Movatterモバイル変換


[0]ホーム

URL:


WO1996032808A1 - Fax machine with concurrent drop selection and drop separation ink jet printing - Google Patents

Fax machine with concurrent drop selection and drop separation ink jet printing
Download PDF

Info

Publication number
WO1996032808A1
WO1996032808A1PCT/US1996/004814US9604814WWO9632808A1WO 1996032808 A1WO1996032808 A1WO 1996032808A1US 9604814 WUS9604814 WUS 9604814WWO 9632808 A1WO9632808 A1WO 9632808A1
Authority
WO
WIPO (PCT)
Prior art keywords
ink
drop
nozzles
printing
print head
Prior art date
Application number
PCT/US1996/004814
Other languages
French (fr)
Inventor
Kia Silverbrook
Original Assignee
Eastman Kodak Company
Priority date (The priority date is an assumption and is not a legal conclusion. Google has not performed a legal analysis and makes no representation as to the accuracy of the date listed.)
Filing date
Publication date
Priority claimed from AUPN2299Aexternal-prioritypatent/AUPN229995A0/en
Priority claimed from AUPN2338Aexternal-prioritypatent/AUPN233895A0/en
Application filed by Eastman Kodak CompanyfiledCriticalEastman Kodak Company
Priority to EP96911639ApriorityCriticalpatent/EP0765568A1/en
Priority to US08/750,646prioritypatent/US5781202A/en
Publication of WO1996032808A1publicationCriticalpatent/WO1996032808A1/en

Links

Classifications

Definitions

Landscapes

Abstract

A facsimile machine having a print head comprising: (1) a plurality of drop-emitter nozzles; (2) a body of ink associated with said nozzles; (3) drop selection means for selecting predetermined nozzles and generating a difference in meniscus position between ink in selected and non-selected nozzles; and (4) drop separating means for causing ink from selected nozzles to separate as drops from the body of ink, while allowing ink to be retained in non-selected nozzles. A customized magazine and information distribution system which uses a color facsimile machine as the information delivery system. Daily news and other updated information is matched against a customer information request profile on a daily basis. This information is transmitted overnight to the customers facsimile machine, which uses a concurrent drop selection and drop separation drop on demand printing mechanism.

Description

FAX MACHINE WITH CONCURRENT DROP SELECTION AND DROP
SEPARATION INK JET PRINTING
Field of the Invention
The present invention is in the field of computer controlled printing devices. In particular, the field is thermally activated drop on demand (DOD) printing systems.
Most facsimile machines currently on the market use a thermal printing technique which involves a thermal imaging bar which is in contact with paper coated with a substance which changes color when heated. This paper is commonly known as 'thermal paper' , and the printing mechanism is known as thermal printing. Thermal paper has significant disadvantages over 'plain paper' printing. Among these are that the tactile feel of the coated paper is unpopular, the image fades rapidly, and the paper has a strong tendency to curl. Thermal printers are also typically low resolution bi-level printers. Facsimile machines using 'plain paper' are also available. Some of these use laser electrophotographic print engines as the means of marking the paper. While solving the abovementioned problems, laser electrophotographic print engines have the disadvantage of being relatively expensive an bulky when compared to thermal printers. Facsimile machines using thermal ink jet print heads are also available. However, as these use scanning print heads, the printing speed is low. It is possible to build facsimile machines with thermal print heads the full width of the page, in which case the print speed can be very high. However, the cost, size, and power consumption are excessive.
Cost is very important in such a system, and retail cost should be less than US$400 to achieve wide acceptance. There is currently much worldwide development relating to personalized information delivery to end users. This often is described under the general title 'information superhighway', which is generally understood to include video-on-demand, personalized magazines using 'intelligent agents' to find information in computer databases, electronic shopping, and other services. The user is generally expected to request (and sometimes send) this information either via a personal computer or via a television equipped with a powerful computer interface (known as a "set- top-box"). Magazines are expected to be read on-screen.
There are many difficulties involved in developing a system with a low enough cost, high enough value, adequate convenience, and which is easy enough to use by the general public.
Some specific problems with using a personal computer for personalized magazine services for consumer use are:
1 ) The personal computer must contain a modem.
2) An additional telephone line must be rented from the telephone company as the modem must be permanently connected
3) The computer must be left on constantly
4) Most computer screens are low resolution compared to paper printouts
5) Computers are inconvenient for reading compared to printed magazines.
6) Computers are less portable than printed magazines. 7) The establishment of search criteria can be complex, and the 'general public' is likely to have considerable resistance to learning the complex procedures involved. 8) The textual information bandwidth from computer to human is lower than for printed magazines. Advantages of reading daily magazines on computer include interactivity, digital archiving, digital sorting and searching, and motion video capability.
Some specific problems with using a personal computer for personalized magazine services for consumer use are: 1) Set-top boxes are required.
2) As the interactive television set would be expected to provide motion video, standard telephone services cannot be used for information delivery, due to limited bandwidth.
3) television sets are very low resolution, with typically no more than 40 characters readable across the screen 4) Television sets are overscanned, with part of the image of the screen. The amount of image which is not visible varies widely from television to television. This restricts the space for characters to the television 'safe area', further restricting the displayable text. 5) The normal viewing distance of a television is greater than two meters. This also restricts the amount of text that is easily readable on screen.
6) Television sets are less portable than printed magazines.
7) The establishment of search criteria can be complex, and the 'general public' is likely to have considerable resistance to learning the complex procedures involved.
8) Set-top boxes are unlikely to include alphanumeric keyboards. This further complicates the interactive establishment of search criteria by the user.
9) The textual information bandwidth from television to human is lower than for printed magazines. The main advantage of using television sets for personalized magazine delivery is ubiquitous distribution of the display equipment. However, standard television sets are a poor medium for text delivery.
This patent relates to the use of facsimile machines for the delivery of personalized magazines. In particular, a system using low cost color facsimile machines utilizing print heads operating on the principle of concurrent drop selection and drop separation drop on demand printing is described.
Advantages of using a color facsimile machine based on new technology for the provision of personalized magazine services include: 1) Facsimile transmission data formats are standard worldwide 2) Facsimile machines are typically permanently connected to telephone lines, so the data can be sent at any time. Sending daily personalized magazines at night is convenient for the recipient, as well as reducing the peak telephone line usage.
3) Standard telephone lines can be used, as there is no consumer expectauon of motion video or high speed interactivity
4) The personalized magazines are printed on paper, which can be read anywhere 5) The printed pages are high resolution, with 600 dpi text and 600 dpi halftoned color images being readily achievable.
6) Pages of the personalized magazine can be kept or recycled by the user, as appropriate. 7) A daily personalized magazine will typically have much fewer pages than a daily newspaper, and may displace newspaper use, thereby reducing total paper use. Personalized magazines delivered to computers or television sets are unlikely to replace newspaper purchases, as they would not fill the same function (for example, being read at the breakfast table).
Background of the Invention
Many different types of digitally controlled printing systems have been invented, and many types are currently in production. These printing systems use a variety of actuation mechanisms, a variety of marking materials, and a variety of recording media. Examples of digital printing systems in current use include: laser electrophotographic printers; LED electrophotographic printers; dot matrix impact printers; thermal paper printers; film recorders; thermal wax printers; dye diffusion thermal transfer printers; and ink jet printers. However, at present, such electronic printing systems have not significantly replaced mechanical printing presses, even though this conventional method requires very expensive setup and is seldom commercially viable unless a few thousand copies of a particular page are to be printed. Thus, there is a need for improved digitally controlled printing systems, for example, being able to produce high quality color images at a high-speed and low cost, using standard paper.
Inkjet printing has become recognized as a prominent contender in the digitally controlled, electronic printing arena because, e.g., of its non-impact- low-noise characteristics, its use of plain paper and its avoidance of toner transfers and fixing.
Many types of ink jet printing mechanisms have been invented. These can be categorized as either continuous ink jet (CIJ) or drop on demand (DOD) ink jet. Continuous ink jet printing dates back to at least 1929: Hansell, US
Pat. No. 1,941,001.
Sweet et al US Pat. No. 3,373,437, 1967, discloses an array of continuous ink jet nozzles where ink drops to be printed are selectively charged and deflected towards the recording medium. This technique is known as binary deflection CU, and is used by several manufacturers, including Elmjet and Scitex.
Hertz et al US Pat. No. 3,416,153, 1966, discloses a method of achieving variable optical density of printed spots in CU printing using the electrostatic dispersion of a charged drop stream to modulate the number of droplets which pass through a small aperture. This technique is used in ink jet printers manufactured by Iris Graphics.
Kyser et al US Pat. No. 3,946,398, 1970, discloses a DOD ink jet printer which applies a high voltage to a piezoelectric crystal, causing the crystal to bend, applying pressure on an ink reservoir and jetting drops on demand. Many types of piezoelectric drop on demand printers have subsequently been invented, which utilize piezoelectric crystals in bend mode, push mode, shear mode, and squeeze mode. Piezoelectric DOD printers have achieved commercial success using hot melt inks (for example, Tektronix and Dataproducts printers), and at image resolutions up to 720 dpi for home and office printers (Seiko Epson). Piezoelectric DOD printers have an advantage in being able to use a wide range of inks.
However, piezoelectric printing mechanisms usually require complex high voltage drive circuitry and bulky piezoelectric crystal arrays, which are disadvantageous in regard to manufacturability and performance.
Endo et al GB Pat. No. 2,007,162, 1979, discloses an electrothermal DOD ink jet printer which applies a power pulse to an electrothermal transducer (heater) which is in thermal contact with ink in a nozzle. The heater rapidly heats water based ink to a high temperature, whereupon a small quantity of ink rapidly evaporates, forming a bubble. The formation of these bubbles results in a pressure wave which cause drops of ink to be ejected from small apertures along the edge of the heater substrate. This technology is known as Bubblejet™ (trademark of Canon K.K. of Japan), and is used in a wide range of printing systems from Canon, Xerox, and other manufacturers.
Vaught et al US Pat. No. 4,490,728, 1982, discloses an electrothermal drop ejection system which also operates by bubble formation. In this system, drops are ejected in a direction normal to the plane of the heater substrate, through nozzles formed in an aperture plate positioned above the heater. This system is known as Thermal Ink Jet, and is manufactured by Hewlett-Packard. In this document, the term Thermal Ink Jet is used to refer to both the Hewlett- Packard system and systems commonly known as Bubblejet™. Thermal Ink Jet printing typically requires approximately 20 μJ over a period of approximately 2 μs to eject each drop. The 10 Watt active power consumption of each heater is disadvantageous in itself and also necessitates special inks, complicates the driver electronics and precipitates deterioration of heater elements. Other ink jet printing systems have also been described in technical literature, but are not currently used on a commercial basis. For example, U.S. Patent No. 4,275,290 discloses a system wherein the coincident address of predetermined print head nozzles with heat pulses and hydrostatic pressure, allows ink to flow freely to spacer-separated paper, passing beneath the print head. U.S. Patent Nos. 4,737,803; 4,737,803 and 4,748,458 disclose ink jet recording systems wherein the coincident address of ink in print head nozzles with heat pulses and an electrostatically attractive field cause ejection of ink drops to a print sheet
Each of the above-described inkjet printing systems has advantages and disadvantages. However, there remains a widely recognized need for an improved ink jet printing approach, providing advantages for example, as to cost, speed, quality, reliability, power usage, simplicity of construction and operation, durability and consumables. Sum arv of the invention
My concurrently filed applications, entitled "Liquid Ink Printing Apparatus and System" and "Coincident Drop-Selection, Drop-Separation Printing Method and System" describe new methods and apparatus that afford significant improvements toward overcoming the prior art problems discussed above. Those inventions offer important advantages, e.g., in regard to drop size and placement accuracy, as to printing speeds attainable, as to power usage, as to durability and operative thermal stresses encountered and as to other printer performance characteristics, as well as in regard to manufacturability and the characteristics of useful inks. One important purpose of the present invention is to further enhance the structures and methods described in those applications and thereby contribute to the advancement of printing technology.
One object of the present invention is to provide liquid ink printing systems which afford significant advantages toward attaining the above-noted advantages.
The invention provides a facsimile machine using a printing head operating on the concurrent drop selection and drop separation printing principle.
The invention further provides a periodical information providing system wherein information is transmitted from a data processing system via telephone or ISDN systems to a facsimile machine which uses a concurrent drop selection and drop separation printing mechanism.
Brief Description of the Drawings
Figure 1 (a) shows a simplified block schematic diagram of one exemplary printing apparatus according to the present invention.
Figure 1(b) shows a cross section of one variety of nozzle tip in accordance with the invention.
Figures 2(a) to 2(0 show fluid dynamic simulations of drop selection. Figure 3(a) shows a finite element fluid dynamic simulation of a nozzle in operation according to an embodiment of the invention. Figure 3(b) shows successive meniscus positions during drop selection and separation.
Figure 3(c) shows the temperatures at various points during a drop selection cycle. Figure 3(d) shows measured surface tension versus temperature curves for various ink additives.
Figure 3(e) shows the power pulses which are applied to the nozzle heater to generate the temperature curves of figure 3(c)
Figure 4 shows a block schematic diagram of print head drive circuitry for practice of the invention.
Figure 5 shows projected manufacturing yields for an A4 page width color print head embodying features of the invention, with and without fault tolerance.
Figure 6 shows a simplified schematic diagram of a plain paper facsimile using printing technology according to the present invention.
Figure 7 shows a simplified schematic diagram of a plain paper facsimile using printing technology according to the present invention.
Figure 8 shows a side view of major component placement in one configuration of the facsimile. Figure 9 shows a perspective view of one possible configuration of the facsimile.
Detailed Description of Preferred Embodiments
The invention is a plain paper facsimile machine which uses a concurrent drop selection and drop separation printing mechanism. When used as a facsimile machine, two compatible machines are required. One acts as an image sending device, and the other acts as an image receiving device. The image to be sent is placed on the scanner of the image sending device. A digital communications link is established over a communications network such as Integrated Services Digital Network (ISDN) or the Public Subscriber Telephone network (PSTN). This data transmitted on this link is best transmitted in a facsimile transmission standard, such as G2, G3, or G4. The image is scanned and compressed using a facsimile compatible algorithm such as those standardized by the CCITT. This information is then sent via the communications link to the receiving device, which may be any compatible facsimile machine. When a facsimile is to be received, the data is received from the communications network. This data is interpreted according to the appropriate facsimile transmission standard, and is expanded and stored in the bi-level page memory. The contents of the page memory are then printed using the printing head according to the present invention. A customized magazine and information distribution system which uses a color facsimile machine as the information delivery system. Daily news and other updated information is matched against a customers information request profiles on a daily basis. This information is transmitted overnight to the customers facsimile machine, which uses a drop on demand printing mechanism according to the present invention.
In one general aspect, the invention constitutes a drop-on-demand printing mechanism wherein the means of selecting drops to be printed produces a difference in position between selected drops and drops which are not selected, but which is insufficient to cause the ink drops to overcome the ink surface tension and separate from the body of ink, and wherein an alternative means is provided to cause separation of the selected drops from the body of ink.
The separation of drop selection means from drop separation means significantly reduces the energy required to select which ink drops are to be printed. Only the drop selection means must be driven by individual signals to each nozzle. The drop separation means can be a field or condition applied simultaneously to all nozzles.
The drop selection means may be chosen from, but is not limited to, the following list: 1 ) Electrothermal reduction of surface tension of pressurized ink 2) Electrothermal bubble generation, with insufficient bubble volume to cause drop ejection 3) Piezoelectric, with insufficient volume change to cause drop ejection
4) Electrostatic attraction with one electrode per nozzle
The drop separation means may be chosen from, but is not limited to, the following list:
1 ) Proximity (recording medium in close proximity to print head)
2) Proximity with oscillating ink pressure
3) Electrostatic attraction
4) Magnetic attraction
The table "DOD printing technology targets" shows some desirable characteristics of drop on demand printing technology. The table also lists some methods by which some embodiments described herein, or in other of my related applications, provide improvements over the prior art.
DOD printing technology targets
Target Method of achieving improvement over prior art
High speed operation Practical, low cost, pagewidth printing heads with more than 10,000 nozzles. Monolithic A4 pagewidth print heads can be manufactured using standard 300 mm (12") silicon wafers
High image quality High resolution (800 dpi is sufficient for most applications), six color process to reduce image noise
Full color operation Halftoned process color at 800 dpi using stochastic screening
Ink flexibility Low operating ink temperature and no requirement for bubble formation
Low power Low power operation results from drop selection means requirements not being required to fully eject drop
Low cost Monolithic print head without aperture plate, high manufacturing yield, small number of electrical connections, use of modified existing CMOS manufacturing facilities
High manufacturing Integrated fault tolerance in printing head yield
High reliability Integrated fault tolerance in printing head. Elimination of cavitation and kogation. Reduction of thermal shock. Small number of Shift registers, control logic, and drive circuitry can be electrical connections integrated on a monolithic print head using standard CMOS processes
Use of existing VLSI CMOS compatibility. This can be achieved because the manufacturing heater drive power is less is than 1 % of Thermal Ink Jet facilities heater drive power
Electronic collation A new page compression system which can achieve 100:1 compression with insignificant image degradation, resulting in a compressed data rate low enough to allow real-time printing of any combination of thousands of pages stored on a low cost magnetic disk drive.
In thermal ink jet (TU) and piezoelectric ink jet systems, a drop velocity of approximately 10 meters per second is preferred to ensure that the selected ink drops overcome ink surface tension, separate from the body of the ink, and strike the recording medium. These systems have a very low efficiency of conversion of electrical energy into drop kinetic energy. The efficiency of ΗJ systems is approximately 0.02%). This means that the drive circuits for TU print heads must switch high currents. The drive circuits for piezoelectric ink jet heads must either switch high voltages, or drive highly capacitive loads. The total power consumption of pagewidth ΗJ printheads is also very high. An 800 dpi A4 full color pagewidth ΗJ print head printing a four color black image in one second would consume approximately 6 kW of electrical power, most of which is converted to waste heat. The difficulties of removal of this amount of heat precludes the production of low cost, high speed, high resolution compact pagewidth TU systems.
One important feature of embodiments of the invention is a means of significantly reducing the energy required to select which ink drops are to be printed. This is achieved by separating the means for selecting ink drops from the means for ensuring that selected drops separate from the body of ink and form dots on the recording medium. Only the drop selection means must be driven by individual signals to each nozzle. The drop separation means can be a field or condition applied simultaneously to all nozzles. The table "Drop selection means" shows some of the possible means for selecting drops in accordance with the invention. The drop selection means is only required to create sufficient change in the position of selected drops that the drop separation means can discriminate between selected and imselected drops.
Drop selection means
Method Advantage Limitation
1. Electrothermal Low temperature Requires ink pressure reduction of surface increase and low drop regulating mechanism. Ink tension of selection energy. Can be surface tension must reduce pressurized ink used with many ink substantially as temperature types. Simple fabrication. increases CMOS drive circuits can be fabricated on same substrate
2. Electrothermal Medium drop selection Requires ink pressure reduction of ink energy, suitable for hot oscillation mechanism. Ink viscosity, combined melt and oil based inks. must have a large decrease with oscillating ink Simple fabrication. in viscosity as temperature pressure CMOS drive circuits can increases be fabricated on same substrate
3. Electrothermal Well known technology, High drop selection energy, bubble generation, simple fabrication, requires water based ink, with insufficient bipolar drive circuits can problems with kogation, bubble volume to be fabricated on same cavitation, thermal stress cause drop ejection substrate
4. Piezoelectric, with Many types of ink base High manufacturing cost, insufficient volume can be used incompatible with change to cause drop integrated circuit processes, ejection high drive voltage, mechanical complexity, bulky
5. Electrostatic Simple electrode Nozzle pitch must be attraction with one fabrication relatively large. Crosstalk electrode per nozzle between adjacent electric fields. Requires high voltage drive circuits
Other drop selection means may also be used. The preferred drop selection means for water based inks is method
1 : "Electrothermal reduction of surface tension of pressurized ink". This drop selection means provides many advantages over other systems, including; low power operation (approximately 1% of TU), compatibility with CMOS VLSI chip fabrication, low voltage operation (approx. 10 V), high nozzle density, low temperature operation, and wide range of suitable ink formulations. The ink must exhibit a reduction in surface tension with increasing temperature.
The preferred drop selection means for hot melt or oil based inks is method 2: 'Electrothermal reduction of ink viscosity, combined with oscillating ink pressure". This drop selection means is particularly suited for use with inks which exhibit a large reduction of viscosity with increasing temperature, but only a small reduction in surface tension. This occurs particularly with non-polar ink carriers with relatively high molecular weight This is especially applicable to hot melt and oil based inks.
The table "Drop separation means" shows some of the possible methods for separating selected drops from the body of ink, and ensuring that the selected drops form dots on the printing medium. The drop separation means discriminates between selected drops and unselected drops to ensure that unselected drops do not form dots on the printing medium.
Drop separation means
Means Advantage Limitation
1. Electrostatic Can print on rough Requires high voltage attraction surfaces, simple power supply implementation
2. AC electric field Higher field strength is Requires high voltage AC possible than electrostatic, power supply synchronized operating margins can be to drop ejection phase. increased, ink pressure Multiple drop phase reduced, and dust operation is difficult accumulation is reduced 3. Proximity Very small spot sizes can Requires print medium to be be achieved. Very low very close to print head
(print head in close power dissipation. High surface, not suitable for proximity to, but drop position accuracy rough print media, usually not touching, requires transfer roller or recording medium) belt
4. Transfer Very small spot sizes can Not compact due to size of Proximity (print be achieved, very low transfer roller or transfer head is in close power dissipation, high belt. proximity to a accuracy, can print on transfer roller or rough paper belt
5. Proximity with Useful for hot melt inks Requires print medium to be oscillating ink using viscosity reduction very close to print head pressure drop selection method, surface, not suitable for reduces possibility of rough print media. Requires nozzle clogging, can use ink pressure oscillation pigments instead of dyes apparatus
6. Magnetic Can print on rough Requires uniform high attraction surfaces. Low power if magnetic field strength, permanent magnets are requires magnetic ink used
Other drop separation means may also be used.
The preferred drop separation means depends upon the intended use. For most applications, method 1 : "Electrostatic attraction", or method 2: "AC electric field" are most appropriate. For applications where smooth coated paper or film is used, and very high speed is not essential, method 3: "Proximity" may be appropriate. For high speed, high quality systems, method 4: 'Transfer proximity" can be used. Method 6: "Magnetic attraction" is appropriate for portable printing systems where the print medium is too rough for proximity printing, and the high voltages required for electrostatic drop separation are undesirable. There is no clear 'best' drop separation means which is applicable to all circumstances.
Further details of various types of printing systems according to the present invention are described in the following Austrahan patent specifications filed on 12 April 1995, the disclosure of which are hereby incorporated by reference: 'A Liquid ink Fault Tolerant (LIFT) printing mechanism' (Filing no.:
PN2308);
'Electrothermal drop selection in LIFT printing' (Filing no.: PN2309);
'Drop separation in LIFT printing by print media proximity' (Filing no.: PN2310);
'Drop size adjustment in Proximity LIFT printing by varying head to media distance' (Filing no.: PN2311);
'Augmenting Proximity LIFT printing with acoustic ink waves' (Filing no.: PN2312); 'Electrostatic drop separation in LIFT printing' (Filing no.: PN2313);
'Multiple simultaneous drop sizes in Proximity LIFT printing' (Filing no.:
PN2321);
'Self cooling operation in thermally activated print heads' (Filing no.:
PN2322); and "Thermal Viscosity Reduction LIFT printing' (Filing no.: PN2323).
A simplified schematic diagram of one preferred printing system according to the invention appears in Figure 1(a).
An image source 52 may be raster image data from a scanner or computer, or outline image data in the form of a page description language (PDL), or other forms of digital image representation. This image data is converted to a pixel-mapped page image by the image processing system 53. This may be a raster image processor (RIP) in the case of PDL image data, or may be pixel image manipulation in the case of raster image data. Continuous tone data produced by the image processing unit 53 is halftoned. Halftoning is performed by the Digital Halftoning unit 54. Halftoned bitmap image data is stored in the image memory 72.
Depending upon the printer and system configuration, the image memory 72 may be a full page memory, or a band memory. Heater control circuits 71 read data from the image memory 72 and apply time-varying electrical pulses to the nozzle heaters
(103 in figure 1(b)) that are part of the print head 50. These pulses are applied at an appropriate time, and to the appropriate nozzle, so that selected drops will form spots on the recording medium 51 in the appropriate position designated by the data in the image memory 72.
The recording medium 51 is moved relative to the head 50 by a paper transport system 65, which is electronically controlled by a paper transport control system 66, which in turn is controlled by a microcontroller 315. The paper transport system shown in figure 1(a) is schematic only, and many different mechanical configurations are possible. In the case of pagewidth print heads, it is most convenient to move the recording medium 51 past a stationary head 50.
However, in the case of scanning print systems, it is usually most convenient to move the head 50 along one axis (the sub-scanning direction) and the recording medium 51 along the orthogonal axis (the main scanning direction), in a relative raster motion. The microcontroller 315 may also control the ink pressure regulator
63 and the heater control circuits 71.
For printing using surface tension reduction, ink is contained in an ink reservoir 64 under pressure. In the quiescent state (with no ink drop ejected), the ink pressure is insufficient to overcome the ink surface tension and eject a drop.
A constant ink pressure can be achieved by applying pressure to the ink reservoir 64 under the control of an ink pressure regulator 63. Alternatively, for larger printing systems, the ink pressure can be very accurately generated and controlled by situating the top surface of the ink in the reservoir 64 an appropriate distance above the head 50. This ink level can be regulated by a simple float valve (not shown).
For printing using viscosity reduction, ink is contained in an ink reservoir 64 under pressure, and the ink pressure is caused to oscillate. The means of producing this oscillation may be a piezoelectric actuator mounted in the ink channels (not shown).
When properly arranged with the drop separation means, selected drops proceed to form spots on the recording medium 51 , while unselected drops remain part of the body of ink.
The ink is distributed to the back surface of the head 50 by an ink channel device 75. The ink preferably flows through slots and/or holes etched through the silicon substrate of the head 50 to the front surface, where the nozzles and actuators are situated. In the case of thermal selection, the nozzle actuators are electrothermal heaters.
In some types of printers according to the invention, an external field 74 is required to ensure that the selected drop separates from the body of the ink and moves towards the recording medium 51. A convenient external field 74 is a constant electric field, as the ink is easily made to be electrically conductive. In this case, the paper guide or platen 67 can be made of electrically conductive material and used as one electrode generating the electric field. The other electrode can be the head 50 itself. Another embodiment uses proximity of the print medium as a means of discriminating between selected drops and unselected drops.
For small drop sizes gravitational force on the ink drop is very small; approximately 10"4 of the surface tension forces, so gravity can be ignored in most cases. This allows the print head 50 and recording medium 51 to be oriented in any direction in relation to the local gravitational field. This is an important requirement for portable printers.
Figure 1(b) is a detail enlargement of a cross section of a single microscopic nozzle tip embodiment of the invention, fabricated using a modified CMOS process. The nozzle is etched in a substrate 101, which may be silicon, glass, metal, or any other suitable material. If substrates which are not semiconductor materials are used, a semiconducting material (such as amorphous silicon) may be deposited on the substrate, and integrated drive transistors and data distribution circuitry may be formed in the surface semiconducting layer. Single crystal silicon (SCS) substrates have several advantages, including: 1 ) High performance drive transistors and other circuitry can be fabricated in SCS;
2) Print heads can be fabricated in existing facilities (fabs) using standard VLSI processing equipment;
3) SCS has high mechanical strength and rigidity; and 4) SCS has a high thermal conductivity. In this example, the nozzle is of cylindrical form, with the heater 103 forming an annulus. The nozzle tip 104 is formed from silicon dioxide layers 102 deposited during the fabrication of the CMOS drive circuitry. The nozzle tip is passivated with silicon nitride. The protruding nozzle tip controls the contact point of the pressurized ink 100 on the print head surface. The print head surface is also hydrophobized to prevent accidental spread of ink across the front of the print head.
Many other configurations of nozzles are possible, and nozzle embodiments of the invention may vary in shape, dimensions, and materials used.
Monolithic nozzles etched from the substrate upon which the heater and drive electronics are formed have the advantage of not requiring an orifice plate. The elimination of the orifice plate has significant cost savings in manufacture and assembly. Recent methods for eliminating orifice plates include the use of 'vortex' actuators such as those described in Domoto et al US Pat. No. 4,580,158, 1986, assigned to Xerox, and Miller et al US Pat. No. 5,371,527, 1994 assigned to Hewlett-Packard. These, however are complex to actuate, and difficult to fabricate. The preferred method for elimination of orifice plates for print heads of the invention is incorporation of the orifice into the actuator substrate.
This type of nozzle may be used for print heads using various techniques for drop separation.
Operation with Electrostatic Dron Senaration
As a first example, operation using thermal reduction of surface tension and electrostatic drop separation is shown in figure 2.
Figure 2 shows the results of energy transport and fluid dynamic simulations performed using FIDAP, a commercial fluid dynamic simulation software package available from Fluid Dynamics Inc., of Illinois, USA. This simulation is of a thermal drop selection nozzle embodiment with a diameter of 8 μm, at an ambient temperature of 30°C. The total energy applied to the heater is 276 nJ, applied as 69 pulses of 4 nJ each. The ink pressure is 10 kPa above ambient air pressure, and the ink viscosity at 30°C is 1.84 cPs. The ink is water based, and includes a sol of 0.1 % palmitic acid to achieve an enhanced decrease in surface tension with increasing temperature. A cross section of the nozzle tip from the central axis of the nozzle to a radial distance of 40 μm is shown. Heat flow in the various materials of the nozzle, including silicon, silicon nitride, amorphous silicon dioxide, crystalline silicon dioxide, and water based ink are simulated using the respective densities, heat capacities, and thermal conductivities of the materials. The time step of the simulation is 0.1 μs.
Figure 2(a) shows a quiescent state, just before the heater is actuated. An equilibrium is created whereby no ink escapes the nozzle in the quiescent state by ensuring that the ink pressure plus external electrostatic field is insufficient to overcome the surface tension of the ink at the ambient temperature. In the quiescent state, the meniscus of the ink does not protrude significantly from the print head surface, so the electrostatic field is not significantly concentrated at the meniscus.
Figure 2(b) shows thermal contours at 5°C intervals 5 μs after the start of the heater energizing pulse. When the heater is energized, the ink in contact with the nozzle tip is rapidly heated. The reduction in surface tension causes the heated portion of the meniscus to rapidly expand relative to the cool ink meniscus. This drives a convective flow which rapidly transports this heat over part of the free surface of the ink at the nozzle tip. It is necessary for the heat to be distributed over the ink surface, and not just where the ink is in contact with the heater. This is because viscous drag against the solid heater prevents the ink directly in contact with the heater from moving.
Figure 2(c) shows thermal contours at 5°C intervals 10 μs after the start of the heater energizing pulse. The increase in temperature causes a decrease in surface tension, disturbing the equilibrium of forces. As the entire meniscus has been heated, the ink begins to flow.
Figure 2(d) shows thermal contours at 5°C intervals 20 μs after the start of the heater energizing pulse. The ink pressure has caused the ink to flow to a new meniscus position, which protrudes from the print head. The electrostatic field becomes concentrated by the protruding conductive ink drop. Figure 2(e) shows thermal contours at 5°C intervals 30 μs after the start of the heater energizing pulse, which is also 6 μs after the end of the heater pulse, as the heater pulse duration is 24 μs. The nozzle tip has rapidly cooled due to conduction through the oxide layers, and conduction into the flowing ink. The nozzle tip is effectively 'water cooled' by the ink. Electrostatic attraction causes the ink drop to begin to accelerate towards the recording medium. Were the heater pulse significantly shorter (less than 16 μs in this case) the ink would not accelerate towards the print medium, but would instead return to the nozzle.
Figure 2(f) shows thermal contours at 5°C intervals 26 μs after the end of the heater pulse. The temperature at the nozzle tip is now less than 5°C above ambient temperature. This causes an increase in surface tension around the nozzle tip. When the rate at which the ink is drawn from the nozzle exceeds the viscously limited rate of ink flow through the nozzle, the ink in the region of the nozzle tip 'necks', and the selected drop separates from the body of ink. The selected drop then travels to the recording medium under the influence of the external electrostatic field. The meniscus of the ink at the nozzle tip then returns to its quiescent position, ready for the next heat pulse to select the next ink drop. One ink drop is selected, separated and forms a spot on the recording medium for each heat pulse. As the heat pulses are electrically controlled, drop on demand ink jet operation can be achieved.
Figure 3(a) shows successive meniscus positions during the drop selection cycle at 5 μs intervals, starting at the beginning of the heater energizing pulse.
Figure 3(b) is a graph of meniscus position versus time, showing the movement of the point at the centre of the meniscus. The heater pulse starts 10 μs into the simulation.
Figure 3(c) shows the resultant curve of temperature with respect to time at various points in the nozzle. The vertical axis of the graph is temperature, in units of 100°C. The horizontal axis of the graph is time, in units of 10 μs. The temperature curve shown in figure 3(b) was calculated by FIDAP, using 0.1 μs time steps. The local ambient temperature is 30 degrees C. Temperature histories at three points are shown:
A - Nozzle tip: This shows the temperature history at the circle of contact between the passivation layer, the ink, and air. B - Meniscus midpoint: This is at a circle on the ink meniscus midway between the nozzle tip and the centre of the meniscus.
C - Chip surface: This is at a point on the print head surface 20 μm from the centre of the nozzle. The temperature only rises a few degrees. This indicates that active circuitry can be located very close to the nozzles without experiencing performance or lifetime degradation due to elevated temperatures. Figure 3(e) shows the power applied to the heater. Optimum operation requires a sharp rise in temperature at the start of the heater pulse, a maintenance of the temperature a little below the boiling point of the ink for the duration of the pulse, and a rapid fall in temperature at the end of the pulse. To achieve this, the average energy applied to the heater is varied over the duration of the pulse. In this case, the variation is achieved by pulse frequency modulation of 0.1 μs sub-pulses, each with an energy of 4 nJ. The peak power applied to the heater is 40 mW, and the average power over the duration of the heater pulse is 11.5 mW. The sub-pulse frequency in this case is 5 Mhz. This can readily be varied without significantly affecting the operation of the print head. A higher sub-pulse frequency allows finer control over the power applied to the heater. A sub- pulse frequency of 13.5 Mhz is suitable, as this frequency is also suitable for minimizing the effect of radio frequency interference (RFI).
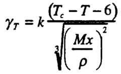
Inks with a negative temperature coefficient of surface tension The requirement for the surface tension of the ink to decrease with increasing temperature is not a major restriction, as most pure liquids and many mixtures have this property. Exact equations relating surface tension to temperature for arbitrary liquids are not available. However, the following empirical equation derived by Ramsay and Shields is satisfactory for many liquids:
Figure imgf000024_0001
Where γris the surface tension at temperature T, k is a constant, Tc is the critical temperature of the liquid, M is the molar mass of the liquid, x is the degree of association of the liquid, and p is the density of the liquid. This equation indicates that the surface tension of most liquids falls to zero as the temperature reaches the critical temperature of the liquid. For most liquids, the critical temperature is substantially above the boiling point at atmospheric pressure, so to achieve an ink with a large change in surface tension with a small change in temperature around a practical ejection temperature, the admixture of surfactants is recommended.
The choice of surfactant is important. For example, water based ink for thermal ink jet printers often contains isopropyl alcohol (2-propanol) to reduce the surface tension and promote rapid drying. Isopropyl alcohol has a boiling point of 82.4°C, lower than that of water. As the temperature rises, the alcohol evaporates faster than the water, decreasing the alcohol concentration and causing an increase in surface tension. A surfactant such as 1-Hexanol (b.p. 158°C) can be used to reverse this effect, and achieve a surface tension which decreases slightly with temperature. However, a relatively large decrease in surface tension with temperature is desirable to maximize operating latitude. A surface tension decrease of 20 mN/m over a 30°C temperature range is preferred to achieve large operating margins, while as little as lOmN/m can be used to achieve operation of the print head according to the present invention.
Inks With Large -Δv-.
Several methods may be used to achieve a large negative change in surface tension with increasing temperature. Two such methods are:
1) The ink may contain a low concentration sol of a surfactant which is solid at ambient temperatures, but melts at a threshold temperature. Particle sizes less than 1,000 A are desirable. Suitable surfactant melting points for a water based ink are between 50°C and 90°C, and preferably between 60°C and 80°C.
2) The ink may contain an oil/water microemulsion with a phase inversion temperature (PIT) which is above the maximum ambient temperature, but below the boiling point of the ink. For stability, the PIT of the microemulsion is preferably 20°C or more above the maximum non-operating temperature encountered by the ink. A PIT of approximately 80°C is suitable.
Inks with Surfactant Sols
Inks can be prepared as a sol of small particles of a surfactant which melts in the desired operating temperature range. Examples of such surfactants include carboxylic acids with between 14 and 30 carbon atoms, such as:
Name Formula m.p. Synonym
Tetradecanoic acid CH.(CH-)12COOH 58°C Myristic acid
Hexadecanoic acid CH3(CHJ)14COOH 63°C Palmitic acid
Octadecanoic acid CH3(CH-)15COOH 71°C Stearic acid
Eicosanoic acid CH.(CH-)16COOH 77°C Arachidic acid
Docosanoic acid CH3(CH-)20COOH 80°C Behenic acid
As the melting point of sols with a small particle size is usually slightly less than of the bulk material, it is preferable to choose a carboxyhc acid with a melting point slightly above the desired drop selection temperature. A good example is Arachidic acid.
These carboxyhc acids are available in high purity and at low cost. The amount of surfactant required is very small, so the cost of adding them to the ink is insignificant A mixture of carboxyhc acids with slightly varying chain lengths can be used to spread the melting points over a range of temperatures. Such mixtures will typically cost less than the pure acid. It is not necessary to restrict the choice of surfactant to simple unbranched carboxyhc acids. Surfactants with branched chains or phenyl groups, or other hydrophobic moieties can be used. It is also not necessary to use a carboxylic acid. Many highly polar moieties are suitable for the hydrophilic end of the surfactant. It is desirable that the polar end be ionizable in water, so that the surface of the surfactant particles can be charged to aid dispersion and prevent flocculation.
In the case of carboxyhc acids, this can be achieved by adding an alkali such as sodium hydroxide or potassium hydroxide.
Preparation of Inks with Surfactant Sols The surfactant sol can be prepared separately at high concentration, and added to the ink in the required concentration.
An example process for creating the surfactant sol is as follows:
1 ) Add the carboxylic acid to purified water in an oxygen free atmosphere.
2) Heat the mixture to above the melting point of the carboxylic acid. The water can be brought to a boil.
3) Ultrasonicate the mixture, until the typical size of the carboxylic acid droplets is between 100 A and l,OOθA.
4) Allow the mixture to cool.
5) Decant the larger particles from the top of the mixture. 6) Add an alkah such as NaOH to ionize the carboxyhc acid molecules on the surface of the particles. A pH of approximately 8 is suitable. This step is not absolutely necessary, but helps stabilize the sol.
7) Centrifuge the sol. As the density of the carboxyhc acid is lower than water, smaller particles will accumulate at the outside of the centrifuge, and larger particles in the centre.
8) Filter the sol using a microporous filter to eliminate any particles above 5000
A.
9) Add the surfactant sol to the ink preparation. The sol is required only in very dilute concentration. The ink preparation will also contain either dye(s) or pigment(s), bactericidal agents, agents to enhance the electrical conductivity of the ink if electrostatic drop separation is used, humectants, and other agents as required.
Anti-foaming agents will generally not be required, as there is no bubble formation during the drop ejection process.
Cationic surfactant sols
Inks made with anionic surfactant sols are generally unsuitable for use with cationic dyes or pigments. This is because the cationic dye or pigment may precipitate or flocculate with the anionic surfactant. To allow the use of cationic dyes and pigments, a cationic surfactant sol is required. The family of alkylamines is suitable for this purpose.
Various suitable alkylamines are shown in the following table:
Name Formula Synonym
Hexadecylamine CH,(CHJ)14CHJNH3 Palmityl amine
Octadecylamine CH-(CH-)16CH-NH_ Stearyl amine
Eicosylamine CH-(CH_) CH-NH- Arachidyl amine
Docosylamine CH3(CH1)-0CH2NH- Bβhβnyl amine
The method of preparation of cationic surfactant sols is essentially similar to that of anionic surfactant sols, except that an acid instead of an alkali is used to adjust the pH balance and increase the charge on the surfactant particles. A pH of 6 using HC1 is suitable.
Microemulsion Based Inks An alternative means of achieving a large reduction in surface tension as some temperature threshold is to base the ink on a microemulsion. A microemulsion is chosen with a phase inversion temperature (PIT) around the desired ejection threshold temperature. Below the PIT, the microemulsion is oil in water (O/W), and above the PIT the microemulsion is water in oil (W/O). At low temperatures, the surfactant forming the microemulsion prefers a high curvature surface around oil, and at temperatures significantly above the PIT, the surfactant prefers a high curvature surface around water. At temperatures close to the PIT, the microemulsion forms a continuous 'sponge' of topologically connected water and oil.
There are two mechanisms whereby this reduces the surface tension.
Around the PIT, the surfactant prefers surfaces with very low curvature. As a result, surfactant molecules migrate to the ink/air interface, which has a curvature which is much less than the curvature of the oil emulsion. This lowers the surface tension of the water. Above the phase inversion temperature, the microemulsion changes from O W to W/O, and therefore the ink/air interface changes from water/air to oil/air. The oil/air interface has a lower surface tension. There is a wide range of possibilities for the preparation of microemulsion based inks.
For fast drop ejection, it is preferable to chose a low viscosity oil.
In many instances, water is a suitable polar solvent. However, in some cases different polar solvents may be required. In these cases, polar solvents with a high surface tension should be chosen, so that a large decrease in surface tension is achievable.
The surfactant can be chosen to result in a phase inversion temperature in the desired range. For example, surfactants of the group poly(oxyethylene)alkylphenyl ether (ethoxylated alkyl phenols, general formula: CnH2n+ιC4H6(CH2CH2θ)mOH) can be used. The hydrophilicity of the surfactant can be increased by increasing m, and the hydrophobicity can be increased by increasing n. Values of m of approximately 10, and n of approximately 8 are suitable.
Low cost commercial preparations are the result of a polymerizauon of various molar ratios of ethylene oxide and alkyl phenols, and the exact number of oxyethylene groups varies around the chosen mean. These commercial preparations are adequate, and highly pure surfactants with a specific number of oxyethylene groups are not required.
The formula for this surfactant is C87C H<;(CH2CH2O)nOH
(average n= 10). Synonyms include Octoxynol-10, PEG- 10 octyl phenyl ether and
POE (10) octyl phenyl ether
The HLB is 13.6, the melting point is 7°C, and the cloud point is
65°C.
Commercial preparations of this surfactant are available under various brand names. Suppliers and brand names are listed in the following table:
Trade name Supplier
Akyporox OP 100 Chem-Y GmbH
Alkasurf OP-10 Rhone-Poulenc Surfactants and Specialties
Dehydrophen POP IO Pulcra SA
Hyonic OP-10 Henkel Corp.
Iconol OP-10 BASF Corp.
Igepal O Rhone-Poulenc France
Macol OP- 10 PPG Industries
Malorphen 810 Huls AG
Nikkol OP- 10 Nikko Chem. Co. Ltd.
Renex 750 ICl Americas Inc.
Rexol 45/10 Hart Chemical Ltd.
Synperonic OP 10 ICI PLC
Teric X10 ICl Australia These are available in large volumes at low cost (less than one dollar per pound in quantity), and so contribute less than 10 cents per hter to prepared microemulsion ink with a 5% surfactant concentration.
Other suitable ethoxylated alkyl phenols include those listed in the following table:
Trivial name Formula HLB Cloud point
Nonoxynol-9 C9HI9C4H6(CH-CH-O)_9OH 13 54°C
Nonoxynol-10 C9H„C4H6(CH-CHJO).10OH 13.2 62°C
Nonoxynol-11 C,H1,C.H6(CH2CH-O)_1IOH 13.8 72°C
Nonoxynol-12 C,H„C4H6(CH2CH2O).I2OH 14.5 81°C
Octoxynol-9 C,H17C4H6(CH-CH-O).9OH 12.1 61°C
Octoxynol-10 C,H17C4H6(CH-CH-O)_)0OH 13.6 65°C
Octoxynol-12 C,Hl7C4H6(CH-CH-O).12OH 14.6 88°C
Dodoxynol-10 C.-H-.C.H. CILCH-O^-OH 12.6 42°C
Dodoxynol-11 C12H25C4H6(CH2CH2O).„OH 13.5 56°C
Dodoxynol-14 C12H25C4H6(CH,CH2O).14OH 14.5 87°C
Microemulsion based inks have advantages other than surface tension control:
1 ) Microemulsions are thermodynamically stable, and will not separate. Therefore, the storage time can be very long. This is especially significant for office and portable printers, which may be used sporadically.
2) The microemulsion will form spontaneously with a particular drop size, and does not require extensive stirring, centrifuging, or filtering to ensure a particular range of emulsified oil drop sizes. 3) The amount of oil contained in the ink can be quite high, so dyes which are soluble in oil or soluble in water, or both, can be used. It is also possible to use a mixture of dyes, one soluble in water, and the other soluble in oil, to obtain specific colors.
4) Oil miscible pigments are prevented from flocculating, as they are trapped in the oil microdroplets. 5) The use of a microemulsion can reduce the mixing of different dye colors on the surface of the print medium.
6) The viscosity of microemulsions is very low.
7) The requirement for humectants can be reduced or eliminated.
Dves and pigments in microemulsion based inks Oil in water mixtures can have high oil contents - as high as 40% - and still foπn O W microemulsions. This allows a high dye or pigment loading. Mixtures of dyes and pigments can be used. An example of a microemulsion based ink mixture with both dye and pigment is as follows:
1) 70% water 2) 5% water soluble dye
3) 5% surfactant
4) 10% oil
5) 10% oil miscible pigment
The following table shows the nine basic combinations of colorants in the oil and water phases of the microemulsion that may be used.
Combination Colorant in water phase Colorant in oil phase
1 none oil miscible pigment
2 none oil soluble dye
3 water soluble dye none
4 water soluble dye oil miscible pigment 5 water soluble dye oil soluble dye
6 pigment dispersed in water none
7 pigment dispersed in water oil miscible pigment
8 pigment dispersed in water oil soluble dye
9 none none
The ninth combination, with no colorants, is useful for printing transparent coatings, UV ink, and selective gloss highlights. As many dyes are amphiphilic, large quantities of dyes can also be solubilized in the oil-water boundary layer as this layer has a very large surface area.
It is also possible to have multiple dyes or pigments in each phase, and to have a mixture of dyes and pigments in each phase.
When using multiple dyes or pigments the absorption spectrum of the resultant ink will be the weighted average of the absorption spectra of the different colorants used. This presents two problems:
1) The absorption spectrum will tend to become broader, as the absorption peaks of both colorants are averaged. This has a tendency to 'muddy' the colors. To obtain brilliant color, careful choice of dyes and pigments based on their absorption spectra, not just their human-perceptible color, needs to be made.
2) The color of the ink may be different on different substrates. If a dye and a pigment are used in combination, the color of the dye will tend to have a smaller contribution to the printed ink color on more absorptive papers, as the dye will be absorbed into the paper, while the pigment will tend to 'sit on top' of the paper. This may be used as an advantage in some circumstances.
Surfactants with a Krafft point in the drop selection temperature ran e
For ionic surfactants there is a temperature (the Krafft point) below which the solubihty is quite low, and the solution contains essentially no micelles. Above the Krafft temperature micelle formation becomes possible and there is a rapid increase in solubihty of the surfactant If the critical micelle concentration (CMC) exceeds the solubility of a surfactant at a particular temperature, then the minimum surface tension will be achieved at the point of maximum solubihty, rather than at the CMC. Surfactants are usually much less effective below the Krafft point.
This factor can be used to achieve an increased reduction in surface tension with increasing temperature. At ambient temperatures, only a portion of the surfactant is in solution. When the nozzle heater is turned on, the temperature rises, and more of the surfactant goes into solution, decreasing the surface tension.
A surfactant should be chosen with a Krafft point which is near the top of the range of temperatures to which the ink is raised. This gives a maximum margin between the concentration of surfactant in solution at ambient temperatures, and the concentration of surfactant in solution at the drop selection temperature.
The concentration of surfactant should be approximately equal to the CMC at the Krafft point. In this manner, the surface tension is reduced to the maximum amount at elevated temperatures, and is reduced to a minimum amount at ambient temperatures.
The following table shows some commercially available surfactants with Krafft points in the desired range.
Formula Krafft point
C16H33SO--Na* 57°C
C„H37SO--Na* 70°C
C16H33SO/Na* 45°C
Na"O4S(CH-)16SO/Na* 44.9°C
K O4S(CH-)16SO/K* 55°C
C16H„CH(CH3)C4H6SO/Na* 60.8°C Surfactants with a cloud point in the drop selection temperature range
Non-ionic surfactants using polyoxyethylene (POE) chains can be used to create an ink where the surface tension falls with increasing temperature. At low temperatures, the POE chain is hydrophilic, and maintains the surfactant in solution. As the temperature increases, the structured water around the POE section of the molecule is disrupted, and the POE section becomes hydrophobic. The surfactant is increasingly rejected by the water at higher temperatures, resulting in increasing concentration of surfactant at the air/ink interface, thereby lowering surface tension. The temperature at which the POE section of a nonionic surfactant becomes hydrophilic is related to the cloud point of that surfactant POE chains by themselves are not particularly suitable, as the cloud point is generally above 100°C
Polyoxypropylene (POP) can be combined with POE in POE/POP block copolymers to lower the cloud point of POE chains without introducing a strong hydrophobicity at low temperatures. Two main configurations of symmetrical POE/POP block copolymers are available. These are:
1 ) Surfactants with POE segments at the ends of the molecules, and a POP segment in the centre, such as the poloxamer class of surfactants (generically
CAS 9003- 11 -6) 2) Surfactants with POP segments at the ends of the molecules, and a POE segment in the centre, such as the meroxapol class of surfactants (generically also CAS 9003-11-6)
Some commercially available varieties of poloxamer and meroxapol with a high surface tension at room temperature, combined with a cloud point above 40°C and below 100°C are shown in the following table: Trivial name BASF Trade Formula Surface Cloud name Tension point
(mN/m)
Meroxapol Pluronic HO(CHCH3CH2O).7- 50.9 69°C 105 10R5 (CH-CH-O).,--
(CHCH3CH_O)_7OH
Meroxapol Pluronic HO(CHCH3CH-O)_7- 54.1 99°C 108 10R8 (CH-CH-O).,,-
(CHCH3CH-O).7OH
Meroxapol Pluronic HO(CHCH3CH2O).I2- 47.3 81°C 178 17R8 (CH-CH-O)_136-
(CHCH3CH_O)_12OH
Meroxapol Pluronic HO(CHCH3CH-O)_18- 46.1 80°C 258 25R8
(CH-CH-O).,,,-
(CHCH3CH_O)_18OH
Poloxamer 105 Pluronic L35 HO(CH2CH2O).11- 48.8 77°C (CHCH3CH_O)_16- (CH2CH-O)_11OH
Poloxamer 124 Pluronic L44 HO(CH-CH-O)_π- 45.3 65°C (CHCH3CH-O)_21- (CRCH-O)_πOH
Other varieties of poloxamer and meroxapol can readily be synthesized using well known techniques. Desirable characteristics are a room temperature surface tension which is as high as possible, and a cloud point between 40°C and 100°C, and preferably between 60°C and 80°C.
Meroxapol [HO(CHCH3CH2O)x(CH2CH2O)y(CHCH3CH2O)_OH] varieties where the average x and z are approximately 4, and the average y is approximately 15 may be suitable. If salts are used to increase the electrical conductivity of the ink, then the effect of this salt on the cloud point of the surfactant should be considered. The cloud point of POE surfactants is increased by ions that disrupt water structure (such as I"), as this makes more water molecules available to form hydrogen bonds with the POE oxygen lone pairs. The cloud point of POE surfactants is decreased by ions that form water structure (such as CI", OH ), as fewer water molecules are available to form hydrogen bonds. Bromide ions have relatively little effect The ink composition can be 'tuned' for a desired temperature range by altering the lengths of POE and POP chains in a block copolymer surfactant, and by changing the choice of salts (e.g CI" to Br" to I") that are added to increase electrical conductivity. NaCl is likely to be the best choice of salts to increase ink conductivity, due to low cost and non-toxicity. NaCl slightly lowers the cloud point of nonionic surfactants.
Ho. Melt Inks
The ink need not be in a liquid state at room temperature. Solid 'hot melt' inks can be used by heating the printing head and ink reservoir above the melting point of the ink. The hot melt ink must be formulated so that the surface tension of the molten ink decreases with temperature. A decrease of approximately 2 mN/m will be typical of many such preparations using waxes and other substances. However, a reduction in surface tension of approximately 20 mN/m is desirable in order to achieve good operating margins when relying on a reducuon m surface tension rather than a reduction in viscosity.
The temperature difference between quiescent temperature and drop selection temperature may be greater for a hot melt ink than for a water based ink. as water based inks are constrained by the boiling point of the water.
The ink must be liquid at the quiescent temperature. The quiescent temperature should be higher than the highest ambient temperature likely to be encountered by the printed page. T he quiescent temperature should also be as low as practical, to reduce the power needed to heat the print head, and to provide a maximum margin between the quiescent and the drop ejection temperatures. A quiescent temperature between 60°C and 90°C is generally suitable, though other temperatures may be used. A drop ejection temperature of between 160°C and
200°C is generally suitable.
There are several methods of achieving an enhanced reduction in surface tension with increasing temperature. 1 ) A dispersion of microfine particles of a surfactant with a melting point substantially above the quiescent temperature, but substantially below the drop ejection temperature, can be added to the hot melt ink while in the liquid phase.
2) A polar/non-polar microemulsion with a PIT which is preferably at least 20°C above the melting points of both the polar and non-polar compounds.
To achieve a large reduction in surface tension with temperature, it is desirable that the hot melt ink carrier have a relatively large surface tension
(above 30 mN/m) when at the quiescent temperature. This generally excludes alkanes such as waxes. Suitable materials will generally have a strong inteπnolecular attraction, which may be achieved by multiple hydrogen bonds, for example, polyols, such as Hexanetetrol, which has a melting point of 88°C.
Surface tension reduction of various solutions
Figure 3(d) shows the measured effect of temperature on the surface tension of various aqueous preparations containing the following additives: 1) 0.1% sol of Stearic Acid
2) 0.1% sol of Palmitic acid
3) 0.1 % solution of Pluronic 10R5 (trade mark of BASF)
4) 0.1 % solution of Pluronic L35 (trade mark of BASF)
5) 0.1 % solution of Pluronic L44 (trade mark of BASF) Inks suitable for printing systems of the present invention are described in the following Australian patent specifications, the disclosure of which are hereby incorporated by reference:
'Ink composition based on a microemulsion' (Filing no.: PN5223, filed on 6 September 1995); 'Ink composition containing surfactant sol' (Filing no.: PN5224, filed on
6 September 1995);
'Ink composition for DOD printers with Krafft point near the drop selection temperature sol' (Filing no.: PN6240, filed on 30 October 1995); and 'Dye and pigment in a microemulsion based ink' (Filing no.: PN6241 , filed on 30 October 1995).
Operation Using Reduction of Viscosity
As a second example, operation of an embodiment using thermal reduction of viscosity and proximity drop separation, in combination with hot melt ink, is as follows. Prior to operation of the printer, solid ink is melted in the reservoir 64. The reservoir, ink passage to the print head, ink channels 75, and print head 50 are maintained at a temperature at which the ink 100 is liquid, but exhibits a relatively high viscosity (for example, approximately 100 cP). The Ink 100 is retained in the nozzle by the surface tension of the ink The ink 100 is formulated so that the viscosity of the ink reduces with increasing temperature. The ink pressure oscillates at a frequency which is an integral multiple of the drop ejection frequency from the nozzle. The ink pressure oscillation causes oscillations of the ink meniscus at the nozzle tips, but this oscillation is small due to the high ink viscosity. At the normal operating temperature, these oscillations are of insufficient amphtude to result in drop separation. When the heater 103 is energized, the ink forming the selected drop is heated, causing a reduction in viscosity to a value which is preferably less than 5 cP. The reduced viscosity results in the ink meniscus moving further during the high pressure part of the ink pressure cycle. The recording medium 51 is arranged sufficiently close to the print head 50 so that the selected drops contact the recording medium 51 , but sufficiently far away that the unselected drops do not contact the recording medium 51. Upon contact with the recording medium 51 , part of the selected drop freezes, and attaches to the recording medium. As the ink pressure falls, ink begins to move back into the nozzle. The body of ink separates from the ink which is frozen onto the recording medium. The meniscus of the ink 100 at the nozzle tip then returns to low amphtude oscillation. The viscosity of the ink increases to its quiescent level as remaining heat is dissipated to the bulk ink and print head. One ink drop is selected, separated and forms a spot on the recording medium 51 for each heat pulse. As the heat pulses are electrically controlled, drop on demand ink jet operation can be achieved.
Manufacturing of Pnm Heads
Manufacturing processes for monolithic print heads in accordance with the present invention are described in the following Australian patent specifications filed on 12 April 1995, the disclosure of which are hereby incorporated by reference: 'A monolithic LIFT printing head' (Filing no.: PN2301);
'A manufacturing process for monolithic LIFT printing heads' (Filing no.: PN2302);
'A self- aligned heater design for LIFT print heads' (Filing no.: PN2303); 'Integrated four color LIFT print heads' (Filing no.: PN2304); 'Power requirement reduction in monolithic LIFT printing heads' (Filing no.: PN2305);
'A manufacturing process for monolithic LIFT print heads using anisotropic wet etching' (Filing no.: PN2306);
'Nozzle placement in monolithic drop-on-demand print heads' (Filing no.: PN2307);
'Heater structure for monolithic LIFT print heads' (Filing no.: PN2346); 'Power supply connection for monolithic LIFT print heads' (Filing no.: PN2347);
'External connections for Proximity LIFT print heads' (Filing no.: PN2348); and
'A self- aligned manufacturing process for monolithic LIFT print heads' (Filing no.: PN2349); and
'CMOS process compatible fabrication of LIFT print heads' (Filing no.: PN5222, 6 September 1995). 'A manufacturing process for LIFT print heads with nozzle rim heaters'
(Filing no.: PN6238, 30 October 1995);
'A modular LIFT print head' (Filing no.: PN6237, 30 October 1995);
'Method of increasing packing density of printing nozzles' (Filing no.: PN6236, 30 October 1995); and
'Nozzle dispersion for reduced electrostatic interaction between simultaneously printed droplets' (Filing no.: PN6239, 30 October 1995).
Control of Print Heads
Means of providing page image data and controlling heater temperature in print heads of the present invention is described in the following Australian patent specifications filed on 12 April 1995, the disclosure of which are hereby incorporated by reference:
'Integrated drive circuitry in LIFT print heads' (Filing no.: PN2295); 'A nozzle clearing procedure for Liquid Ink Fault Tolerant (LIFT) printing' (Filing no.: PN2294);
'Heater power compensation for temperature in LIFT printing systems' (Filing no.: PN2314);
'Heater power compensation for thermal lag in LIFT printing systems' (Filing no.: PN2315); 'Heater power compensation for print density in LIFT printing systems'
(Filing no.: PN2316);
'Accurate control of temperature pulses in printing heads' (Filing no.: PN2317);
'Data distribution in monolithic LIFT print heads' (Filing no.: PN2318); 'Page image and fault tolerance routing device for LIFT printing systems'
(Filing no.: PN2319); and
'A removable pressurized liquid ink cartridge for LIFT printers' (Filing no.: PN2320). Image Processing for Print Heads
An objective of printing systems according to the invention is to attain a print quality which is equal to that which people are accustomed to in quality color publications printed using offset printing. This can be achieved using a print resolution of approximately 1 ,600 dpi. However, 1,600 dpi printing is difficult and expensive to achieve. Similar results can be achieved using 800 dpi printing, with 2 bits per pixel for cyan and magenta, and one bit per pixel for yellow and black. This color model is herein called CC'MM'YK. Where high quality monochrome image printing is also required, two bits per pixel can also be used for black. This color model is herein called CC'MM'YKK'. Color models, halftoning, data compression, and real-time expansion systems suitable for use in systems of this invention and other printing systems are described in the following Austrahan patent specifications filed on 12 April 1995, the disclosure of which are hereby incorporated by reference: 'Four level ink set for bi-level color printing' (Filing no.: PN2339);
'Compression system for page images' (Filing no.: PN2340);
'Real-time expansion apparatus for compressed page images' (Filing no.:
PN2341); and
'High capacity compressed document image storage for digital color printers' (Filing no.: PN2342);
'Improving JPEG compression in the presence of text' (Filing no.:
PN2343);
'An expansion and halftoning device for compressed page images' (Filing no.: PN2344); and 'Improvements in image halftoning' (Filing no.: PN2345).
Applications Using Print Heads According to this Invention
Printing apparatus and methods of this invention are suitable for a wide range of applications, including (but not limited to) the following: color and monochrome office printing, short run digital printing, high speed digital printing, process color printing, spot color printing, offset press supplemental printing, low cost printers using scanning print heads, high speed printers using pagewidth print heads, portable color and monochrome printers, color and monochrome copiers, color and monochrome facsimile machines, combined printer, facsimile and copying machines, label printing, large format plotters, photographic duphcation, printers for digital photographic processing, portable printers incorporated into digital 'instant' cameras, video printing, printing of PhotoCD images, portable printers for 'Personal
Digital Assistants', wallpaper printing, indoor sign printing, billboard printing, and fabric printing.
Printing systems based on this invention are described in the following Austrahan patent specifications filed on 12 April 1995, the disclosure of which are hereby incorporated by reference:
'A high speed color office printer with a high capacity digital page image store' (Filing no.: PN2329);
'A short run digital color printer with a high capacity digital page image store' (Filing no.: PN2330);
'A digital color printing press using LIFT printing technology' (Filing no.:
PN2331);
'A modular digital printing press' (Filing no.: PN2332);
'A high speed digital fabric printer' (Filing no.: PN2333); 'A color photograph copying system' (Filing no.: PN2334);
'A high speed color photocopier using a LIFT printing system' (Filing no.:
PN2335);
'A portable color photocopier using LIFT printing technology' (Filing no.:
PN2336); 'A photograph processing system using LIFT printing technology' (Filing no.: PN2337);
'A plain paper facsimile machine using a LIFT printing system' (Filing no.: PN2338);
'A PhotoCD system with integrated printer' (Filing no.: PN2293); 'A color plotter using LIFT printing technology' (Filing no.: PN2291); 'A notebook computer with integrated LIFT color printing system' (Filing no.: PN2292);
'A portable printer using a LIFT printing system' (Filing no.: PN2300);
'Fax machine with on-line database interrogation and customized magazine printing' (Filing no.: PN2299);
'Miniature portable color printer' (Filing no.: PN2298);
'A color video printer using a LIFT printing system' (Filing no.: PN2296); and
'An integrated printer, copier, scanner, and facsimile using a LIFT printing system' (Filing no. : PN2297)
Compensation of Print Heads for Environmental Conditions
It is desirable that drop on demand printing systems have consistent and predictable ink drop size and position. Unwanted variation in ink drop size and position causes variations in the optical density of the resultant print, reducing the perceived print quahty. These variations should be kept to a small proportion of the nominal ink drop volume and pixel spacing respectively. Many environmental variables can be compensated to reduce their effect to insignificant levels. Active compensation of some factors can be achieved by varying the power applied to the nozzle heaters. An optimum temperature profile for one print head embodiment involves an instantaneous raising of the active region of the nozzle tip to the ejection temperature, maintenance of this region at the ejection temperature for the duration of the pulse, and instantaneous cooling of the region to the ambient temperature. This optimum is not achievable due to the stored heat capacities and thermal conductivities of the various materials used in the fabrication of the nozzles in accordance with the invention. However, improved performance can be achieved by shaping the power pulse using curves which can be derived by iterative refinement of finite element simulation of the print head. The power applied to the heater can be varied in time by various techniques, including, but not limited to: 1) Varying the voltage applied to the heater
2) Modulating the width of a series of short pulses (PWM)
3) Modulating the frequency of a series of short pulses (PFM)
To obtain accurate results, a transient fluid dynamic simulation with free surface modeling is required, as convection in the ink, and ink flow, significantly affect on the temperature achieved with a specific power curve.
By the incorporation of appropriate digital circuitry on the print head substrate, it is practical to individually control the power applied to each nozzle. One way to achieve this is by 'broadcasting' a variety of different digital pulse trains across the print head chip, and selecting the appropriate pulse train for each nozzle using multiplexing circuits.
An example of the environmental factors which may be compensated for is listed in the table "Compensation for environmental factors". This table identifies which environmental factors are best compensated globally (for the entire print head), per chip (for each chip in a composite multi-chip print head), and per nozzle.
Compensation for environmental factors
Factor Scope Sensing or user Compensation compensated control method mechanism
Ambient Global Temperature sensor Power supply voltage
Temperature mounted on print head or global PFM patterns
Power supply Global Predictive active Power supply voltage voltage fluctuation nozzle count based on or global PFM patterns with number of print data active nozzles
Local heat build¬ Per Predictive active Selection of up with successive nozzle nozzle count based on appropriate PFM nozzle actuation print data pattern for each printed drop
Drop size control Per Image data Selection of for multiple bits nozzle appropriate PFM per pixel pattern for each printed drop Nozzle geometry Per Factory measurement, Global PFM patterns variations between chip datafile supplied with per print head chip wafers print head
Heater resistivity Per Factory measurement, Global PFM patterns variations between chip datafile supplied with per print head chip wafers print head
User image Global User selection Power supply voltage, intensity electrostatic adjustment acceleration voltage, or ink pressure
Ink surface tension Global Ink cartridge sensor or Global PFM patterns reduction method user selection and threshold temperature
Ink viscosity Global Ink cartridge sensor or Global PFM patterns user selection and/or clock rate
Ink dye or pigment Global Ink cartridge sensor or Global PFM patterns concentration user selection
Ink response time Global Ink cartridge sensor or Global PFM patterns user selection
Most applications will not require compensation for all of these variables. Some variables have a minor effect, and compensation is only necessary where very high image quahty is required.
Print head drive circuits
Figure 4 is a block schematic diagram showing electronic operation of an example head driver circuit in accordance with this invention. This control circuit uses analog modulation of the power supply voltage apphed to the print head to achieve heater power modulation, and does not have individual control of the power apphed to each nozzle. Figure 4 shows a block diagram for a system using an 800 dpi pagewidth print head which prints process color using the CC'MM'YK color model. The print head 50 has a total of 79,488 nozzles, with 39,744 main nozzles and 39,744 redundant nozzles. The main and redundant nozzles are divided into six colors, and each color is divided into 8 drive phases. Each drive phase has a shift register which converts the serial data from a head control ASIC 400 into parallel data for enabling heater drive circuits. There is a total of 96 shift registers, each providing data for 828 nozzles. Each shift register is composed of 828 shift register stages 217, the outputs of which are logically anded with phase enable signal by a nand gate 215. The output of the nand gate 215 drives an inverting buffer 216, which in turn controls the drive transistor 201. The drive transistor 201 actuates the electrothermal heater 200, which may be a heater 103 as shown in figure 1(b). To maintain the shifted data valid during the enable pulse, the clock to the shift register is stopped the enable pulse is active by a clock stopper 218, which is shown as a single gate for clarity, but is preferably any of a range of well known glitch free clock control circuits. Stopping the clock of the shift register removes the requirement for a parallel data latch in the print head, but adds some complexity to the control circuits in the Head Control ASIC 400. Data is routed to either the main nozzles or the redundant nozzles by the data router 219 depending on the state of the appropriate signal of the fault status bus.
The print head shown in figure 4 is simplified, and does not show various means of improving manufacturing yield, such as block fault tolerance. Drive circuits for different configurations of print head can readily be derived from the apparatus disclosed herein. Digital information representing patterns of dots to be printed on the recording medium is stored in the Page or Band memory 1513, which may be the same as the Image memory 72 in figure 1(a). Data in 32 bit words representing dots of one color is read from the Page or Band memory 1513 using addresses selected by the address mux 417 and control signals generated by the Memory Interface 418 These addresses are generated by Address generators 411 , which forms part of the 'Per color circuits' 410, for which there is one for each of the six color components The addresses are generated based on the positions of the nozzles in relation to the print medium. As the relative position of the nozzles may be different for different print heads, the Address generators 411 are preferably made programmable. The Address generators 411 normally generate the address corresponding to the
P*0 φKHNAL M position of the main nozzles. However, when faulty nozzles are present, locations of blocks of nozzles containing faults can be marked in the Fault Map RAM 412. The
Fault Map RAM 412 is read as the page is printed. If the memory indicates a fault in the block of nozzles, the address is altered so that the Address generators 411 generate the address corresponding to the position of the redundant nozzles. Data read from the Page or Band memory 1513 is latched by the latch 413 and converted to four sequential bytes by the multiplexer 414. Timing of these bytes is adjusted to match that of data representing other colors by the FIFO 415. This data is then buffered by the buffer 430 to form the 48 bit main data bus to the print head 50. The data is buffered as the print head may be located a relatively long distance from the head control ASIC. Data from the Fault Map RAM 412 also forms the input to the FIFO 416. The timing of this data is matched to the data output of the FIFO 415, and buffered by the buffer 431 to form the fault status bus.
The programmable power supply 320 provides power for the head 50. The voltage of the power supply 320 is controlled by the DAC 313, which is part of a RAM and DAC combination (RAMDAC) 316. The RAMDAC 316 contains a dual port RAM 317. The contents of the dual port RAM 317 are programmed by the Microcontroller 315. Temperature is compensated by changing the contents of the dual port RAM 317. These values are calculated by the microcontroller 315 based on temperature sensed by a thermal sensor 300. The theπnal sensor 300 signal connects to the Analog to Digital Converter (ADC) 31 1. The ADC 311 is preferably incorporated in the Microcontroller 315.
The Head Control ASIC 400 contains control circuits for thermal lag compensation and print density. Thermal lag compensation requires that the power supply voltage to the head 50 is a rapidly time- varying voltage which is synchronized with the enable pulse for the heater. This is achieved by programming the programmable power supply 320 to produce this voltage. An analog time varying prograrnming voltage is produced by the DAC 313 based upon data read from the dual port RAM 317. The data is read according to an address produced by the counter 403. The counter 403 produces one complete cycle of addresses during the period of one enable pulse. This synchronization is ensured, as the counter 403 is clocked by the system clock 408, and the top count of the counter 403 is used to clock the enable counter 404. The count from the enable counter 404 is then decoded by the decoder 405 and buffered by the buffer 432 to produce the enable pulses for the head 50. The counter 403 may include a prescaler if the number of states in the count is less than the number of clock periods in one enable pulse.
Sixteen voltage states are adequate to accurately compensate for the heater thermal lag. These sixteen states can be specified by using a four bit connection between the counter 403 and the dual port RAM 317. However, these sixteen states may not be linearly spaced in time. To allow non-hnear timing of these states the counter 403 may also include a ROM or other device which causes the counter 403 to count in a non-linear fashion. Alternatively, fewer than sixteen states may be used.
For print density compensation, the printing density is detected by counting the number of pixels to which a drop is to be printed ('on' pixels) in each enable period. The 'on' pixels are counted by the On pixel counters 402. There is one On pixel counter 402 for each of the eight enable phases. The number of enable phases in a print head in accordance with the invention depend upon the specific design. Four, eight, and sixteen are convenient numbers, though there is no requirement that the number of enable phases is a power of two. The On Pixel Counters 402 can be composed of combinatorial logic pixel counters 420 which determine how many bits in a nibble of data are on. This number is then accumulated by the adder 421 and accumulator 422. A latch 423 holds the accumulated value valid for the duration of the enable pulse. The multiplexer 401 selects the output of the latch 423 which corresponds to the current enable phase, as determined by the enable counter 404. The output of the multiplexer 401 forms part of the address of the dual port RAM 317. An exact count of the number of 'on' pixels is not necessary, and the most significant four bits of this count are adequate. Combining the four bits of thermal lag compensation address and the four bits of print density compensation address means that the dual port RAM 317 has an 8 bit address. This means that the dual port RAM 317 contains 256 numbers, which are in a two dimensional array. These two dimensions are time (for thermal lag compensation) and print density. A third dimension - temperature - can be included. As the ambient temperature of the head varies only slowly, the microcontroller 315 has sufficient time to calculate a matrix of 256 numbers compensating for thermal lag and print density at the current temperature.
Periodically (for example, a few times a second), the microcontroller senses the current head temperature and calculates this matrix.
The clock to the print head 50 is generated from the system clock
408 by the Head clock generator 407, and buffered by the buffer 406. To facilitate testing of the Head control ASIC, JTAG test circuits 499 may be included.
Comparison with thermal ink iet technology
The table "Comparison between Thermal ink jet and Present Invention" compares the aspects of printing in accordance with the present invention with thermal ink jet printing technology. A direct comparison is made between the present invention and thermal ink jet technology because both are drop on demand systems which operate using thermal actuators and liquid ink. Although they may appear similar, the two technologies operate on different principles.
Thermal ink jet printers use the following fundamental operating principle. A thermal impulse caused by electrical resistance heating results in the explosive formation of a bubble in liquid ink. Rapid and consistent bubble formation can be achieved by superheating the ink, so that sufficient heat is transferred to the ink before bubble nucleation is complete. For water based ink, ink temperatures of approximately 280°C to 400°C are required. The bubble formation causes a pressure wave which forces a drop of ink from the aperture with high velocity. The bubble then collapses, drawing ink from the ink reservoir to re-fill the nozzle. Thermal ink jet printing has been highly successful commercially due to the high nozzle packing density and the use of well established integrated circuit manufacturing techniques. However, thermal ink jet printing technology faces significant technical problems including multi-part precision fabrication, device yield, image resolution, 'pepper' noise, printing speed, drive transistor power, waste power dissipation, satellite drop formation, thermal stress, differential thermal expansion, kogation, cavitation, rectified diffusion, and difficulties in ink formulation.
Printing in accordance with the present invention has many of the advantages of thermal ink jet printing, and completely or substantially eliminates many of the inherent problems of thermal ink jet technology.
Comparison between Thermal ink jet and Present Invention
Thermal Ink- Jet Present Invention
Drop selection Drop ejected by pressure Choice of surface tension or mechanism wave caused by thermally viscosity reduction induced bubble mechanisms
Drop separation Same as drop selection Choice of proximity, mechanism mechanism electrostatic, magnetic, and other methods
Basic ink carrier Water Water, microemulsion, alcohol, glycol, or hot melt
Head construction Precision assembly of Monolithic nozzle plate, ink channel, and substrate
Per copy printing Very high due to limited Can be low due to cost print head life and permanent print heads and expensive inks wide range of possible inks
Satellite drop Significant problem which No satellite drop formation formation degrades image quality
Operating ink 280°C to 400°C (high Approx. 70°C (depends temperature temperature limits dye use upon ink formulation) and ink formulation)
Peak heater 400°C to l,000°C (high Approx. 130°C temperature temperature reduces device life)
Cavitation (heater Serious problem limiting None (no bubbles are erosion by bubble head life formed) collapse) Kogation (coating Serious problem limiting None (water based ink of heater by ink head life and ink temperature does not exceed ash) formulation 100°C)
Rectified diffusion Serious problem limiting Does not occur as the ink (formation of ink ink formulation pressure does not go bubbles due to negative pressure cycles)
Resonance Serious problem limiting Very small effect as nozzle design and pressure waves are small repetition rate
Practical resolution Approx. 800 dpi max. Approx. 1,600 dpi max.
Self-cooling No (high energy required) Yes: printed ink carries operation away drop selection energy
Drop ejection High (approx. 10 m sec) Low (approx. 1 m/sec ) velocity
Crosstalk Serious problem requiring Low velocities and careful acoustic design, pressures associated with which limits nozzle refill drop ejection make crosstalk rate. very small.
Operating thermal Serious problem limiting Low: maximum temperature stress print-head life. increase approx. 90°C at centre of heater.
Manufacturing Serious problem limiting Same as standard CMOS thermal stress print-head size. manufacturing process.
Drop selection Approx. 20 μJ Approx. 270 nJ energy
Heater pulse period Approx. 2-3 μs Approx. 15-30 μs
Average heater Approx. 8 Watts per Approx. 12 mW per healer. pulse power heater. This is more than 500 times less than Thermal Ink- Jet.
Heater pulse Typically approx. 40V. Approx. 5 to 10V. voltage
Heater peak pulse Typically approx. 200 mA Approx. 4 mA per heater. current per heater. This requires This allows the use of small bipolar or very large MOS MOS drive transistors. drive transistors.
Fault tolerance Not implemented. Not Simple implementation practical for edge shooter results in better yield and type. reliability Constraints on ink Many constraints including Temperature coefficient of composition kogation, nucleation, etc. surface tension or viscosity must be negative.
Ink pressure Atmospheric pressure or Approx. 1.1 arm less
Integrated drive Bipolar circuitry usually CMOS, nMOS, or bipolar circuitry required due to high drive current
Differential Significant problem for Monolithic construction thermal expansion large print heads reduces problem
Pagewidth print Major problems with yield, High yield, low cost and heads cost, precision long life due to fault construction, head life, and tolerance. Self cooling due power dissipation to low power dissipation.
Yield and Fault Tolerance
In most cases, monolithic integrated circuits cannot be repaired if they are not completely functional when manufactured. The percentage of operational devices which are produced from a wafer run is known as the yield. Yield has a direct influence on manufacturing cost. A device with a yield of 5% is effectively ten times more expensive to manufacture than an identical device with a yield of 50%.
There are three major yield measurements: 1) Fab yield
2) Wafer sort yield
3) Final test yield
For large die, it is typically the wafer sort yield which is the most serious limitation on total yield. Full pagewidth color heads in accordance with this invention are very large in comparison with typical VLSI circuits. Good wafer sort yield is critical to the cost-effective manufacture of such heads.
Figure 5 is a graph of wafer sort yield versus defect density for a monolithic full width color A4 head embodiment of the invention. The head is 215 mm long by 5 mm wide. The non fault tolerant yield 198 is calculated according to Mu hy's method, which is a widely used yield prediction method. With a defect density of one defect per square cm, Murphy's method predicts a yield less than
1%. This means that more than 99% of heads fabricated would have to be discarded. This low yield is highly undesirable, as the print head manufacturing cost becomes unacceptably high.
Murphy's method approximates the effect of an uneven distribution of defects. Figure 5 also includes a graph of non fault tolerant yield 197 which explicitly models the clustering of defects by introducing a defect clustering factor.
The defect clustering factor is not a controllable parameter in manufacturing, but is a characteristic of the manufacturing process. The defect clustering factor for manufacturing processes can be expected to be approximately 2, in which case yield projections closely match Murphy's method.
A solution to the problem of low yield is to incorporate fault tolerance by including redundant functional units on the chip which are used to replace faulty functional units.
In memory chips and most Wafer Scale Integration (WSI) devices, the physical location of redundant sub-units on the chip is not important However, in printing heads the redundant sub-unit may contain one or more printing actuators. These must have a fixed spatial relationship to the page being printed. To be able to print a dot in the same position as a faulty actuator, redundant actuators must not be displaced in the non-scan direction. However, faulty actuators can be replaced with redundant actuators which are displaced in the scan direction. To ensure that the redundant actuator prints the dot in the same position as the faulty actuator, the data timing to the redundant actuator can be altered to compensate for the displacement in the scan direction.
To allow replacement of all nozzles, there must be a complete set of spare nozzles, which results in 100% redundancy. The requirement for 100% redundancy would normally more than double the chip area, dramatically reducing the primary yield before substituting redundant units, and thus eliminating most of the advantages of fault tolerance. However, with print head embodiments according to this invention, the minimum physical dimensions of the head chip are determined by the width of the page being printed, the fragility of the head chip, and manufacturing constraints on fabrication of ink channels which supply ink to the back surface of the chip. The minimum practical size for a full width, full color head for printing A4 size paper is approximately 215 mm x 5 mm. This size allows the inclusion of 100% redundancy without significantly increasing chip area, when using 1.5 μm CMOS fabrication technology. Therefore, a high level of fault tolerance can be included without significantly decreasing primary yield. When fault tolerance is included in a device, standard yield equations cannot be used. Instead, the mechanisms and degree of fault tolerance must be specifically analyzed and included in the yield equation. Figure 5 shows the fault tolerant sort yield 199 for a full width color A4 head which includes various forms of fault tolerance, the modeling of which has been included in the yield equation. This graph shows projected yield as a function of both defect density and defect clustering. The yield projection shown in figure 5 indicates that thoroughly implemented fault tolerance can increase wafer sort yield from under 1% to more than 90% under identical manufacturing conditions. This can reduce the manufacturing cost by a factor of 100. Fault tolerance is highly recommended to improve yield and reliability of print heads containing thousands of printing nozzles, and thereby make pagewidth printing heads practical. However, fault tolerance is not to be taken as an essential part of the present invention.
Fault tolerance in drop-on-demand printing systems is described in the following Australian patent specifications filed on 12 April 1995, the disclosure of which are hereby incorporated by reference:
'Integrated fault tolerance in printing mechanisms' (Filing no.: PN2324); 'Block fault tolerance in integrated printing heads' (Filing no.: PN2325); 'Nozzle duphcation for fault tolerance in integrated printing heads' (Filing no.: PN2326);
'Detection of faulty nozzles in printing heads' (Filing no.: PN2327); and 'Fault tolerance in high volume printing presses' (Filing no.: PN2328).
Facsimile machines using printing heads
The table 'Example product specifications," shows the specifications of one possible configuration of a high performance G4 facsimile machine using concurrent drop selection and drop separation printing technology.
Example product specifications
Configuration Desktop
Printer type Full width printing head
Number of nozzles 4,960 active nozzles, 4,960 spare nozzles
Paper sizes A4, US letter
Facsimile standard G3, G4
Copier mode copy speed 30 cpm (A4)
Printer resolution 600 dpi, bi-level monochrome
Scanner resolution 200 dpi, bi-level monochrome
Scanner speed 2 seconds
Paper volume 40 sheet feeder
Dimensions (W X D X H) Approx. 230 X 280 X 220 mm
Connectivity ISDN, PSTN
The table "LIFT head type A4- 1-600" is a summary of some characteristics of an example monochrome printing head capable of printing an A4 page at 600 dpi in one second.
Figure 6 shows a schematic process diagram of a plain paper facsimile machine using a printing head according to the present invention. The blocks in this diagram represent discrete functions, irrespective of their implementations. Some of the blocks are electronic hardware, some are computer software, some are electromechanical units, and some are mechanical units. Some of the blocks are subsystems, which may include electronic hardware, software, mechanics, and optics. For facsimile transmission, two compatible machines are required.
One acts as an image sending device, and the other acts as an image receiving device. The image to be sent is placed on the scanner 502 of the image sending device. A digital communications link is established over a communications network 540 such as ISDN or PSTN. This can be achieved by using a standard ISDN or PSTN compatible telephone dialing system 542 connected to the ISDN or PSTN interface 541, which is connected to the network 540.
The scanner 502 scans the image. The output of the scanner 502 is connected to a scanner signal conditioning unit 503. This unit amplifies and filters the analog signal of the image sensor (typically a linear CCD), and converts the signal to digital form. This digital image data is digitally compressed by the image compression unit 543. The image compression unit compresses the image data using bi-level compression techniques such as the CCiTT standard for facsimile transmission. The compressed image is buffered in the compressed image buffer memory 544. This may be implemented as a FIFO, or by using a part of the physical memory that is used for the bi-level page memory 505. The compressed data stored in the compressed image buffer 544 is encoded into G2, G3, or G4 facsimile format by the network interface 541 and transmitted on the network 540. This data may be sent to any G2, G3, or G4 compatible facsimile machine.
The facsimile machine that the data is transmitted to need not be of the same type as the machine described here. likewise, the facsimile transmitting machine need not be of the same type, as long as the data encoding and compression schemes are compatible.
Different communications networks can be used instead of ISDN or PSTN. For example, digital satellite transmission systems may be used. The system can also be used over local area networks such as Ethernet or FDDI, or across wide area networks such as the Internet. In these cases, the network interface 541 is replaced with a digital interface to the appropriate network system.
When the facsimile machine described here is used to receive facsimiles, the following data path is used. The data from the network 540 is received by the network interface 541 and stored in the compressed image buffer 544. The image data is expanded using a compatible inverse algorithm to that used to compress the image. This task is performed by the image expansion unit 545. The expanded bi-level image data is stored in the bi-level image memory 505. If the compressed image memory 544 and the bi-level page memory 505 share the same physical memory, then care must be taken not to overwrite compressed image data with bi-level image data before it has been de-compressed.
When a page is to be printed, the bi-level page memory 505 is read in real-time. This data is then processed by the data phasing and fault tolerance system 506. This unit provides the appropriate delays to synchronize the print data with the offset positions of the nozzle of the printing head. It also provides alternate data paths for fault tolerance, to compensate for blocked nozzles, faulty nozzles or faulty circuits in the head.
The monolithic printing head 50 prints the image 60 composed of a multitude of ink drops onto a recording medium 51. This medium will typically be paper, but can also be overhead transparency film, cloth, or most other substantially flat surfaces which will accept ink drops.
The bi-level image processed by the data phasing and fault tolerance circuit 506 provides the pixel data in the correct sequence to the data shift registers 56. Data sequencing is required to compensate for the nozzle arrangement and the movement of the paper. When the data has been loaded into the shift registers, it is presented in parallel to the heater driver circuits 57. At the correct time, these driver circuits will electronically connect the corresponding heaters 58 with the voltage pulse generated by the pulse shaper circuit 61 and the voltage regulator 62. The heaters 58 heat the tip of the nozzles 59, reducing the attraction of the ink to the nozzle surface material. Ink drops 60 escape from the nozzles in a pattern which corresponds to the digital impulses which have been apphed to the heater driver circuits. The pressure of the ink in the nozzle is important, and the pressure in the ink reservoir 64 is regulated by the pressure regulator 63. The ink drops 60 fall under the influence of gravity or another field type towards the paper 51. During printing, the paper is continually moved relative to the print head by the paper transport system 65. As the print head is the full width of the paper used, it is only necessary to move the paper in one direction, and the print head can remain fixed.
The various subsystems are coordinated under the control of one or more control microcomputers 511, which also provide the user interface of the system.
This facsimile system has many advantages over prior-art systems.
Some of these advantages are high speed, plain paper printing, and low production cost.
Low cost, high speed color facsimile systems can be devised using color heads, color ink supplies, a color scanners, color facsimile transmission standards, and appropriate digital electronic design.
Digital information delivery systems using color facsimile machines
In general use of the digital information delivery system utilizing facsimile transmission, databases of information and user search requests are stored on a high capacity data processing system, which may be a mainframe computer, a massively parallel computer, or a network of smaller computers with high capacity storage systems. Information requested by the customer is transmitted via telephone or ISDN lines in facsimile data format The facsimile format may be augmented with special formats that are specific to the service. The data is received and printed by the facsimile machine, which is preferably a high resolution color facsimile machine as described herein. If the facsimile machine is capable of decoding information formats specific to the service, then the data is sent in these formats to improve printed quahty and reduce data transmission volume. If the facsimile machine is a standard G2, G3 or G4 fax, then the data processing system sends a monochrome version of the data in the most capable format that the facsimile machine can decode.
When the customer wishes to specify a new periodical transmission, alter a current periodical transmission definition, or make a special data search request, they simply call a human operator at the service provider. The call can be made on a standard telephone which can share a single communications line with the facsimile via an adapter. The human operator receives the call on a telephone, and enters the details of the request into a personal computer. These search or periodical specifications are transmitted to the data processing system via a local area network. Using a human operator at the service provider removes any requirement for the customer to learn how to specify periodicals and search requests. If the customer has a personal computer, a modem, and appropriate software, then the customer can define the periodical contents themselves.
The table 'Example product specifications," shows the specifications of one possible configuration of a high performance color facsimile machine using printing technology according to the present invention which is suitable for use as a receiving terminal for periodical information distribution.
Example product specifications
Configuration Desktop
Printer type Full width printing head
Number of nozzles 19,840 active nozzles, 19,840 spare nozzles
Paper size A4, US Letter
Facsimile standard G3, G4, page description language
Copier mode copy speed 30 cpm (A4)
Printer resolution 600 dpi, digitally halftoned
Scanner type A4 Flatbed
Scanner resolution 200 dpi Scanner speed 2 seconds
Paper volume 40 sheet feeder
Dimensions (W X D X H) Approx. 230 X 280 X 220 mm
Color calibration Automatic
Memory Capacity 5 MBytes
Connectivity PSTN, ISDN
Comparison with alternative systems
The table "Comparison with expected alternative systems," shows a comparison between personal computers, television sets, and high quality color facsimile machines for the delivery of digital information services.
Comparison with expected alternative systems
Personal Television based Facsimile based computer based delivery delivery delivery
Subscriber Personal Television, 'Set- Fax, telephone equipment computer, top-box' required Modem
Expected data Cable TV, optic 'POTS' standard transmission fiber trunk lines phone system method
Expected services Database Home shopping, Customized daily searches, multi¬ Video-on- magazine, media demand, advertising communications, interactive multimedia games, video personalized magazines, magazines, home communications, shopping, advertising advertising
Reading medium Computer screen Television screen Paper
Usable image 640 x 480 pixels Approx. 300 x 4,800 x 6,600 resolution 400 pixels pixels Text capacity per Approx. 3,200 Approx. 800 Approx. 10,000
'page' with characters characters characters
'equivalent' readability
Weight of Approx. 15 kg Approx. 15 kg Approx. 2 grams personalized magazine (plus reading equipment)
Normal viewing 0.6 m 2 m 0.3 m distance
Video capability Bi-directional Receive only No
Hypertext Yes Limited No capability
Approx. 100 MBytes per 1,000 MBytes per 2 MBytes per day information server day (mixture of day (2 hours (15 pages data rate text, video, compressed including object graphics) video) compressed images)
User interface Keyboard, mouse Infrared remote Telephone, human control operator
Archiving Received data Not practical Printed daily can be archived magazine can be on users digital archived at no storage media cost
(high cost).
Effect on paper No significant No significant Has potenual in use effect likely effect likely reduce paper use significanϋy
Figure imgf000061_0001
displacing daih newspaper purchases.
This table shows that there are many advantages to informauon delivery via a facsimile machine connected to a database server via standard telephone services. Due to the inabihty to provide interactive services and on- demand video, facsimile based data services are unlikely to displace forthcommg services based on personal computers and television sets. However, there S significant market potential as a complementary service. The table "LIFT head type A4-4-600" is a summary of some characteristics of an example full color monolithic printing head according to the present invention capable of printing an color A4 page at 600 dpi in one second.
Figure 7 shows a schematic process diagram of an integrated color printer, scanner, facsimile and copier system using a printing head according to the present invention which can be used for receiving and printing periodical data transmissions from an information service. The blocks in this diagram represent discrete functions, irrespective of their implementations. Some of the blocks are electronic hardware, some are computer software, some are electromechanical units, and some are mechanical units. Some of the blocks are subsystems, which may include electronic hardware, software, mechanics, and optics.
A network interface 501 provides a bi-directional data connection to a computer network 500. The network interface may be a direct connection to a computer network such as an Ethernet network, or may be an indirect connection via a computer which is connected on the network. In this case, the network interface effectively includes the computer, and the interface that would be incorporated in the computer would be a parallel interface such as SCSI or GPIB, or a serial interface such as RS232 or RS422. The Network interface provides a connection to a computer network (or a single computer) across which flows digital image data from the scanner function of the copier to the computer, and Page
Description Language information from the computer to the printer function of the copier.
There are several Page Description Languages (PDLs) in common use. These include Adobe's PostScript language and Hewlett Packard's PCL5. An automatic PDL selector 507 detects the PDL being used from the data stream, and sends the PDL data to the appropriate PDL interpreter. The PDL selector is best implemented in software on the main system processor (not illustrated). In practice, data in the form of each PDL now has a separate path. Two paths are shown, one for PDLs which can render on a scan line basis, and another for PDLs which require a frame memory. A Scan-line rendering PDL interpreter 508 is able to produce an image in scan-line order, without reference to a frame memory. The continuous tone data can be produced in raster order, so may be error diffused before being stored in the bi-level image memory 505. A vector error diffusion function 504 is used to achieve a high image quahty. This operates by selecting the closest printable color in three dimensional color space to the desired color. The difference between the desired color and this printable color is determined. This difference is then diffused to neighboring pixels. The vector error diffusion unit 504 accepts a raster ordered continuous tone (typically 24 bit per pixel) input image and generates a bi- level output with 4 bits per pixel (one bit for each of Cyan, Magenta, Yellow, and black). This is then stored in the bi-level page memory 505. In the case of a 600 dpi, A4 color, the Bi-level page memory 505 requires approximately 16 MBytes. This can be implemented in DRAM. The Bi-level page memory may be a section of the main system processor's memory. PDL interpreters which require random access to a page memory cannot use the data path described for PDL interpreters which are able to render a page in scan-line order. One alternative is to provide the PDL with a full frame continuous tone memory. However, for 600 dpi A4 images, this requires more than 100 MBytes of high speed memory. This is currently too expensive to include in low cost office automation equipment. An alternative is to render the image directly to the bi-level page memory 505. This cannot be achieved using error diffusion, as the image is not provided in scan-line order. A practical solution is to use ordered dithering instead of error diffusion. Referring to figure 6, data from the page-based PDL interpreter 509 is halftoned using a dispersed dot ordered dither 510. The dithered results are then stored in the bi-level page memory. PDL interpreters in current use typically use a clustered dot ordered dither to reduce the effects of non¬ linear dot addition that occurs with laser printers and offset printing. However, dot addition using the printing process of the present invention is substantially linear, so dispersed dot ordered dithering can be used. Computer optimized stochastic dispersed dot ordered dither provides a substantially better image quality than clustered dot ordered dither.
A color scanner 502 scans the image. This scanner can be composed of a linear color CCD, one or more focusing lenses, an optical path, and a means of scanning the optical path of the CCD relative to the object being scanned. These techniques are well known. A scanner resolution of 300 dpi is adequate for most applications, and eliminates the need for complex sampling rate conversions to match the 600 dpi resolution of the printer. The output of the scanner 502 is connected to a scanner signal conditioning unit 503. This unit amplifies and filters the CCD analog signal, converts the signal to digital form, provides CCD sensitivity compensation to adjust for differences in individual CCD sensors, and provides image processing functions such as enlargement or reduction and color correction. The output of the Scanner signal conditioning unit 503 is raster-ordered continuous tone image data, with typically 24 bits per pixel. This is digitally halftoned by the vector error diffusion unit 504. The 4 bit per pixel bi-level output of this unit is stored in the bi-level page memory 505.
The output of the scanner signal conditioning unit 503 can also be sent to the network interface 501 for storage and further processing by an external computer connected to the computer network 500. As most computer networks and systems cannot accept high speed real-time data, the output of the scanner signal conditioning unit 503 must be buffered in memory. A full page buffer can be provided, but at 300 dpi an A4 page requires more than 25 MBytes to store This is expensive, so it is desirable to provide a smaller buffer, and use a scanner which can be halted when the buffer is full. As the processed output of the scanner is stored in the bi-level page memory, the object need only be scanned once even if many copies are to be made Also, the scanner may operate at a lower speed than the printer. This allows a lo cost scanner to be used, while still achieving 60 copies per minute printing speed When a page is to be printed, the Bi-level page memory 505 is read in real-time. This data is then processed by the data phasing and fault tolerance
BAD ORIGINAL A system 506. This unit provides the appropriate delays to synchronize the print data with the offset positions of the nozzle of the printing head. It also provides alternate data paths for fault tolerance, to compensate for blocked nozzles, faulty nozzles or faulty circuits in the head. The monolithic printing head 50 prints the image 60 composed of a multitude of ink drops onto a recording medium 51. This medium will typically be paper, but can also be overhead transparency film, cloth, or most other substantially flat surfaces which will accept ink drops.
The bi-level image processed by the data phasing and fault tolerance circuit 506 provides the pixel data in the correct sequence to the data shift registers 56. Data sequencing is required to compensate for the nozzle arrangement and the movement of the paper. When the data has been loaded into the shift registers, it is presented in parallel to the heater driver circuits 57. At the correct time, these driver circuits will electronically connect the corresponding heaters 58 with the voltage pulse generated by the pulse shaper circuit 61 and the voltage regulator 62. The heaters 58 heat the tip of the nozzles 59, reducing the attraction of the ink to the nozzle surface material. Ink drops 60 escape from the nozzles in a pattern which corresponds to the digital impulses which have been apphed to the heater driver circuits. The pressure of the ink in the nozzle is important, and the pressure in the ink reservoir 64 is regulated by the pressure regulator 63. The ink drops 60 fall under the influence of their momentum plus gravity or another field type towards the paper 51. During printing, the paper is continually moved relative to the print head by the paper transport system 65. As the print head is the full width of the paper used, it is only necessary to move the paper in one direction, and the print head can remain fixed.
The various subsystems are coordinated under the control of one or more control microcomputers 511, which also provide the user interface of the system. Alternatively, all control functions can be provided by the main system processor, which also executes the PDL interpreters and other software functions. When used as a color facsimile, two compatible machines are required. One acts as an image sending device, and the other acts as an image receiving device. The image to be sent is placed on the scanner 502 of the image sending device. A digital communications link is established over a communications network such as ISDN. This can be achieved by using a standard ISDN compatible telephone dialing system 542 connected to the ISDN interface 541, which is connected to the ISDN network 540.
A color scanner 502 scans the image. A scanner resolution of 300 dpi is adequate for most facsimile applications. The output of the scanner 502 is connected to a scanner signal conditioning unit 503. This unit amplifies and filters the CCD analog signal, converts the signal to digital form. The output of the Scanner signal conditioning unit 503 is raster-ordered continuous tone image data, with typically 24 bits per pixel. This is digitally compressed by the image compression unit 543. The image compression unit can use any of a variety of color image compression techniques, including the JPEG (Joint Photographic Experts Group) algorithm based on Discrete Cosine Transforms (DCT), zig-zag coding, quantization, and Huffman encoding. As black-and white text does not compress well using the JPEG algorithm, this can be extracted by image segmentation and compressed using bi-level compression techniques such as those standardized by JBIG (Joint Binary Image Group). To obtain the maximum general usefulness, the color facsimile system should use whichever compression and encoding system actually becomes the world standard in color facsimile transmission. The compressed image is stored in the compressed image memory 544. This may be implemented using a part or all of the physical memory that is used for the bi-level page memory 505, thereby reducing manufacturing costs. When the image scanning and compression is complete, the compressed data stored in the compressed image memory 544 is encoded as ISDN packets by the ISDN interface 541 and transmitted on the ISDN network 540.
The color facsimile machine that the data is transmitted to need not be of the same type as the machine described here. Likewise, the facsimile transmitting machine need not be of the same type, as long as the data encoding and compression schemes are compatible.
Different communications networks can be used instead of ISDN.
For example, analog telephone services can be used in conjunction with a modem. Digital satelhte transmission systems may be used. The system can also be used over local area networks such as Ethernet or FDDI, or across wide area networks such as the Internet In these cases, the ISDN interface 541 is replaced with a digital interface to the appropriate network system.
When the integrated color printer, scanner, copier and facsimile described here is used to receive color facsimiles, the following data path is used. The ISDN packets are received by the ISDN interface 541 and stored in the compressed page memory 544. When the entire page has been received, the image is expanded using a compatible inverse algorithm to that used to compress the image. This task is performed by the image expansion unit 545. The output of the image expansion unit 545 is continuous tone color information in raster order. This data is digitally halftoned by the vector error diffusion unit 546. Other forms of digital halftoning can be used, such as ordered dither, independent error diffusion of the color components, or random dithering. However, vector error diffusion results in the highest image quahty of any known technique. The digitally halftoned image data is stored in the bi-level image memory 505. If the compressed image memory 544 and the bi-level page memory 505 share the same physical memory, then care must be taken not to overwrite compressed image data with halftoned image data before it has been de-compressed and halftoned. When the image expansion and halftoning process is complete, the image is printed using the color printing head in the same manner as color images generated by the copier or printer functions are printed.
Physical configuration
There are many possible physical configurations of the invention. Figure 8 shows a side view of the layout of major components for one possible configuration of the facsimile machine. The facsimile machine includes an ink cartridge 920, an ink pressure regulator 63, a circuit board containing the control electronics 900, a full width print head 50, an optional telephone handset 549, and various other units.
When receiving a facsimile, paper from the input paper tray 910 is picked up by the paper pick-up roller 912, and moved past the print head 50 by paper transport rollers 65. After printing, the paper 51 exits the facsimile machine at the front.
When transmitting a facsimile, documents to be transmitted are placed in the transmit input paper tray 913 shown in Figure 8. Individual pages 915 of the document are picked up by the paper pick-up roller 914 and moved past the scanner 502. These pages exit the facsimile machine at the same location as printed receive pages 51.
The detailed design of paper transport mechanisms is well known in the industry, and can be accomphshed by engineers skilled in the art. Figure 9 shows a perspective view of the facsimile machine. From this perspective the transmit input paper tray 913, the control buttons 901 , the telephone number buttons 542, and the telephone handset 549 are visible. Both printed receive fax sheets and scanned transmit fax sheets exit the unit through the slot at front, below the telephone number buttons 542. The foregoing describes embodiments of the present invention.
Modifications, obvious to those skilled in the art, can be made thereto without departing from the scope of the invention.
Appendix A
Monolithic LIFT head type A4-4-600
This is a four color print bead for A4 size printing. The print head is fixed, and is the full width of the A4 paper. Resolution is 600 dpi bi-level for medium quality output.
Basic specifications Derivation
Resolution 600 dpi Specification
Print head length 215 mm Width of prim area, plus 5 mm
Print head width S mm Derived from physical and layout constraints of head
Ink colors 4 CMYK
Page sire A4 Specification
Prim area width 210mm Pixels per line / Resolution
Prim area length 297 mm Total length of active printing
Page priming time . 1.3 seconds Derived from fluid dynamics, number of nozzles, etc.
Pages per minute . 45 ppm Per head, for full page size
Recording medium speed 22.0 cm sec 1 (resolution ' actuation period times phases)
Basic IC process 1.5 μm CMOS Recommendation
Bitmap memory requirement 166 MBytes Memory required when compression is not used
Pixel spacing 42.33 μm Reciprocal of resolution
Pixels per line 4,960 Active nozzles 1 Number of colors
Lines per page 7,015 Scan distance * resolution
Pixels per page 34,794,400 Pixels per line * lines per page
Drops per page 139,177.600 Pixels per page * simultaneous ink colors
Average data rate 1Z3 MByte/se Pixels per second * ink colors / 8 MBits
Yield and cost Derivation
Number of chips per head 1 Recommendation
Wafer size 300 mm (12") Recommendation for full volume production
Chips per wafer 36 From chip size and recommended wafer size
Prim head chip area 10.7 cm2 Chip width • length
Son yield without fault tolerance ■ 0.87% Using Murphy's method, defect density β / per cπf
Sort yield with fault tolerance 90% See fault tolerant yield calculations (D l/cm', CF=2)
Total yield with fault tolerance 72% Based on mature process yield of 80%
Functional print heads per month - — 260.208 Assuming 10,000 wafer starts per month
Print head assembly cost S10 Estimate
Factory overhead per print head S13 Based on SI 20m. cost for refurbished 1.5 μm Fab line amortised over 5 years, plus $l6m PA. operating cost
Wafer cost per print head S23 Based on materials cost of S600 per wafer
Approx. total print bead cost $46 Sum of print head assembly, overhead, and wafer costs AppendixA {cont'd.)
Monolithic LIFT head type A4-4-600
Nozzle and actuation specifications Derivation
Nozzle radius. .. ... 14 μm Specification
Number of actuation phases ... ... 8 Specification
Nozzles per phase ... .. 2,480 From page width, resolution and colors
Active nozzles per bead ... ... 19,840 Actuation phases * nozzles per phase
Redundant nozzles per head. .. ... 19,840 Same as active nozzles for 100% redundancy
Total nozzles per head. -. ■ ■ 39,680 Active plus redundant nozzles
Drop rate per nozzle ... 5,208 Hz lHheater active period * number of phases)
Heater radius ■■ . 14.5 μm From nozzle geometry and radius
Heater thin film resistivity.... ... 2.3 μΩ For heater formed from T Al
Heater resistance.... ... 2.095 n From heater dimensions and resistivity
Average heater pulse current ... . 5.6 mA From heater power and resistance
Heater active period - . 24 μs From finite element simulations
Settling time petween pulses .... ... 168 μs Active period * (actuation phases- 1)
Clock pulses per line .... ... 2,834 Assuming multiple clocks and no transfer register
Clock frequency . . 14.8 MHz From clock pulses per line, and lines per second
Drive transistor on resistance . 42 Ω From recommended device geometry
Average head drive voltage-. . 12.0 V Heater current • (healer +dnve transistor resistance)
Drop selection temperature — - 75βC m.p of surfactant sot or PIT of microemulsion
Heater peak temperature .... 120βC From finite element simulations
Ink specifications Derivation
Basic ink earner .... .. Water Specification
Surfactant .... . Arachidic acid Suggested method of achieving umperature threshold
Ink drop volume .... . 18 pi From finite element simulations
Ink density . .. . 1.030 g cm' Black ink density at 60'C
Ink drop mass .... ... 18.5 ng Ink drop volume * ink density
Ink specific heal capacity .... . 4_2 J Kg C Ink carrier characteristic
Max. energy for self cooling - ... 2,715 nJ/drop Ink drop heat capacity * temperature increase
Ejection energy per drop - 1.587 nJ Energy applied to healer in finite element simulations
Energy to print full black page - ... 221 J Drop ejection energy • drops per page
Total ink per color per page - ... 0.63 ml Drops per page per color * drop volume
Maximum ink flow rate per color . . .. 047 ml/sec Ink per color per page /page prml time
Full black ink coverage 40.2 ml m' Ink drop volume * colors * drops per square metre
Ejection ink surface tension ... ... 38-5 mN/m Surface tension required for ejection
Ink pressure - .. 5.5 kPa 2 * Ejection ink surface tension / nozzle radius
Ink column height ... 545 mm Ink column height to achieve ink pressure

Claims

I Claim;
1. A facsimile machine having a print head comprising:
(a) a plurality of drop-emitter nozzles;
(b) a body of ink associated with said nozzles;
(c) pressure means for subjecting ink in said body of ink to a pressure of at least 2% above ambient pressure, at least during drop selection and separation;
(d) drop selection means for selecting predetermined nozzles and generating a difference in meniscus position between ink in selected and non- selected nozzles; and
(e) drop separating means for causing ink from selected nozzles to separate as drops from the body of ink, while allowing ink to be retained in non-selected nozzles.
2. A facsimile machine having a print head comprising:
(a) a plurality of drop-emitter nozzles;
(b) a body of ink associated with said nozzles;
(c) drop selection means for selecting predetermined nozzles and generating a difference in meniscus position between ink in selected and non- selected nozzles; and
(d) drop separating means for causing ink from selected nozzles to separate as drops from the body of ink, while allowing ink to be retained in non-selected nozzles, said drop selecting means being capable of producing said difference in miniscus position in the absence of said drop separation means.
3. A facsimile machine having a print head comprising:
(a) a plurality of drop-emitter nozzles;
(b) a body of ink associated with said nozzles, said ink exhibiting a surface tension decrease of at least 10 mN/m over a 30°C temperature range; (c) drop selection means for selecting predetermined nozzles and generating a difference in meniscus position between ink in selected and non- selected nozzles; and
(d) drop separating means for causing ink from selected nozzles to separate as drops from the body of ink, while allowing ink to be retained in non-selected nozzles.
4. A periodical information providing system wherein information is transmitted from a data processing system via telephone or ISDN systems to a facsimile machine having a print head comprising:
(a) a plurality of drop-emitter nozzles;
(b) a body of ink associated with said nozzles;
(c) pressure means for subjecting ink in said body of ink to a pressure of at least 2% above ambient pressure, at least during drop selection and separation;
(d) drop selection means for selecting predetermined nozzles and generating a difference in meniscus position between ink in selected and non- selected nozzles; and
(e) drop separating means for causing ink from selected nozzles to separate as drops from the body of ink, while allowing ink to be retained in non-selected nozzles.
5. A periodical information providing system wherein information is transmitted from a data processing system via telephone or ISDN systems to a facsimile machine having a print head comprising:
(a) a plurality of drop-emitter nozzles;
(b) a body of ink associated with said nozzles;
(c) drop selection means for selecting predetermined nozzles and generating a difference in meniscus position between ink in selected and non- selected nozzles; and
(d) drop separating means for causing ink from selected nozzles to separate as drops from the body of ink, while allowing ink to be retained in non-selected nozzles, said drop selecting means being capable of producing said difference in miniscus position in the absence of said drop separation means.
6. A periodical information providing system wherein information is transmitted from a data processing system via telephone or ISDN systems to a facsimile machine having a print head comprising:
(a) a plurality of drop-emitter nozzles;
(b) a body of ink associated with said nozzles, said ink exhibiting a surface tension decrease of at least 10 mN/m over a 30°C temperature range;
(c) drop selection means for selecting predetermined nozzles and generating a difference in meniscus position between ink in selected and non- selected nozzles; and
(d) drop separating means for causing ink from selected nozzles to separate as drops from the body of ink, while allowing ink to be retained in non-selected nozzles.
7. A periodical information providing system substantially as herein described, with reference to the accompanying diagrams.
PCT/US1996/0048141995-04-121996-04-10Fax machine with concurrent drop selection and drop separation ink jet printingWO1996032808A1 (en)

Priority Applications (2)

Application NumberPriority DateFiling DateTitle
EP96911639AEP0765568A1 (en)1995-04-121996-04-10Fax machine with concurrent drop selection and drop separation ink jet printing
US08/750,646US5781202A (en)1995-04-121996-04-10Fax machine with concurrent drop selection and drop separation ink jet printing

Applications Claiming Priority (4)

Application NumberPriority DateFiling DateTitle
AUPN23381995-04-12
AUPN2299AAUPN229995A0 (en)1995-04-121995-04-12Fax machine with on-line database interrogation and customised magazine printing
AUPN22991995-04-12
AUPN2338AAUPN233895A0 (en)1995-04-121995-04-12A plain paper facsimile machine using a lift printing system

Publications (1)

Publication NumberPublication Date
WO1996032808A1true WO1996032808A1 (en)1996-10-17

Family

ID=25644905

Family Applications (1)

Application NumberTitlePriority DateFiling Date
PCT/US1996/004814WO1996032808A1 (en)1995-04-121996-04-10Fax machine with concurrent drop selection and drop separation ink jet printing

Country Status (2)

CountryLink
EP (1)EP0765568A1 (en)
WO (1)WO1996032808A1 (en)

Cited By (30)

* Cited by examiner, † Cited by third party
Publication numberPriority datePublication dateAssigneeTitle
US6832828B2 (en)1998-09-092004-12-21Silverbrook Research Pty LtdMicro-electromechanical fluid ejection device with control logic circuitry
US6902255B1 (en)*1998-10-162005-06-07Silverbrook Research Pty LtdInkjet printers
US6998278B2 (en)1998-10-162006-02-14Silverbrook Research Pty LtdMethod of fabricating a micro-electromechanical actuator that includes drive circuitry
US7028474B2 (en)1998-10-162006-04-18Silverbook Research Pty LtdMicro-electromechanical actuator with control logic circuitry
US7111924B2 (en)1998-10-162006-09-26Silverbrook Research Pty LtdInkjet printhead having thermal bend actuator heating element electrically isolated from nozzle chamber ink
US7144519B2 (en)1998-10-162006-12-05Silverbrook Research Pty LtdMethod of fabricating an inkjet printhead chip having laminated actuators
US7147304B2 (en)1998-10-162006-12-12Silverbrook Research Pty LtdPagewidth inkjet printhead assembly with longitudinally extending sets of nozzles
US7182431B2 (en)1999-10-192007-02-27Silverbrook Research Pty LtdNozzle arrangement
US7188935B2 (en)1998-10-162007-03-13Silverbrook Research Pty LtdPrinthead wafer with individual ink feed to each nozzle
US7237874B2 (en)2000-06-302007-07-03Silverbrook Research Pty LtdInkjet printhead with grouped nozzles and a nozzle guard
US7289142B2 (en)*1997-07-152007-10-30Silverbrook Research Pty LtdMonolithic integrated circuit having a number of programmable processing elements
US7322680B2 (en)1998-10-162008-01-29Silverbrook Research Pty LtdPrinter assembly and nozzle arrangement
US7331101B2 (en)1998-10-162008-02-19Silverbrook Research Pty LtdMethod of fabricating a micro-electromechanical actuating mechanism
US7380906B2 (en)1998-10-162008-06-03Silverbrook Research Pty LtdPrinthead
US7384131B2 (en)1998-10-162008-06-10Silverbrook Research Pty LtdPagewidth printhead having small print zone
US7419250B2 (en)1999-10-152008-09-02Silverbrook Research Pty LtdMicro-electromechanical liquid ejection device
US7564580B2 (en)1998-11-092009-07-21Silverbrook Research Pty LtdMobile telephone with printer and print media dispenser
US7677686B2 (en)1998-10-162010-03-16Silverbrook Research Pty LtdHigh nozzle density printhead ejecting low drop volumes
US7748827B2 (en)1998-10-162010-07-06Silverbrook Research Pty LtdInkjet printhead incorporating interleaved actuator tails
US7815291B2 (en)1998-10-162010-10-19Silverbrook Research Pty LtdPrinthead integrated circuit with low drive transistor to nozzle area ratio
US8096642B2 (en)1997-08-112012-01-17Silverbrook Research Pty LtdInkjet nozzle with paddle layer arranged between first and second wafers
US8274665B2 (en)1997-07-152012-09-25Silverbrook Research Pty LtdImage sensing and printing device
US8285137B2 (en)1997-07-152012-10-09Silverbrook Research Pty LtdDigital camera system for simultaneous printing and magnetic recording
US8789939B2 (en)1998-11-092014-07-29Google Inc.Print media cartridge with ink supply manifold
US8866923B2 (en)1999-05-252014-10-21Google Inc.Modular camera and printer
US8896724B2 (en)1997-07-152014-11-25Google Inc.Camera system to facilitate a cascade of imaging effects
US8902333B2 (en)1997-07-152014-12-02Google Inc.Image processing method using sensed eye position
US8908075B2 (en)1997-07-152014-12-09Google Inc.Image capture and processing integrated circuit for a camera
US8936196B2 (en)1997-07-152015-01-20Google Inc.Camera unit incorporating program script scanner
US9055221B2 (en)1997-07-152015-06-09Google Inc.Portable hand-held device for deblurring sensed images

Citations (13)

* Cited by examiner, † Cited by third party
Publication numberPriority datePublication dateAssigneeTitle
US4164745A (en)*1978-05-081979-08-14Northern Telecom LimitedPrinting by modulation of ink viscosity
DE2949808A1 (en)*1978-12-111980-07-10Nippon Electric CoInk-jet printer using conductive ink - has acceleration electrode mounted clear of nozzle outlet for form convex meniscus and subsequent droplet formation
US4293865A (en)*1978-04-101981-10-06Ricoh Co., Ltd.Ink-jet recording apparatus
US4312009A (en)*1979-02-161982-01-19Smh-AdrexDevice for projecting ink droplets onto a medium
JPS60210462A (en)*1984-04-051985-10-22Fuji Xerox Co LtdInkjet recorder
JPS63123264A (en)*1986-11-121988-05-27Nec CorpFacsimile equipment
US4752783A (en)*1986-03-271988-06-21Fuji Xerox Co., Ltd.Thermal-electrostatic ink jet recording method and apparatus
JPH01278164A (en)*1988-04-301989-11-08Nec CorpHouse direct system for newspaper
WO1990014233A1 (en)*1989-05-261990-11-29P.A. Consulting Services LimitedLiquid jet recording process and apparatus therefore
EP0440458A2 (en)*1990-02-021991-08-07Canon Kabushiki KaishaRecording apparatus and recording method utilizing ink jet recording head
EP0447262A1 (en)*1990-03-161991-09-18Canon Kabushiki KaishaFacsimile apparatus
EP0521718A2 (en)*1991-07-051993-01-07Canon Kabushiki KaishaImage communication apparatus and method
EP0600712A2 (en)*1992-11-301994-06-08Hewlett-Packard CompanyMethod and apparatus for ink transfer printing

Patent Citations (13)

* Cited by examiner, † Cited by third party
Publication numberPriority datePublication dateAssigneeTitle
US4293865A (en)*1978-04-101981-10-06Ricoh Co., Ltd.Ink-jet recording apparatus
US4164745A (en)*1978-05-081979-08-14Northern Telecom LimitedPrinting by modulation of ink viscosity
DE2949808A1 (en)*1978-12-111980-07-10Nippon Electric CoInk-jet printer using conductive ink - has acceleration electrode mounted clear of nozzle outlet for form convex meniscus and subsequent droplet formation
US4312009A (en)*1979-02-161982-01-19Smh-AdrexDevice for projecting ink droplets onto a medium
JPS60210462A (en)*1984-04-051985-10-22Fuji Xerox Co LtdInkjet recorder
US4752783A (en)*1986-03-271988-06-21Fuji Xerox Co., Ltd.Thermal-electrostatic ink jet recording method and apparatus
JPS63123264A (en)*1986-11-121988-05-27Nec CorpFacsimile equipment
JPH01278164A (en)*1988-04-301989-11-08Nec CorpHouse direct system for newspaper
WO1990014233A1 (en)*1989-05-261990-11-29P.A. Consulting Services LimitedLiquid jet recording process and apparatus therefore
EP0440458A2 (en)*1990-02-021991-08-07Canon Kabushiki KaishaRecording apparatus and recording method utilizing ink jet recording head
EP0447262A1 (en)*1990-03-161991-09-18Canon Kabushiki KaishaFacsimile apparatus
EP0521718A2 (en)*1991-07-051993-01-07Canon Kabushiki KaishaImage communication apparatus and method
EP0600712A2 (en)*1992-11-301994-06-08Hewlett-Packard CompanyMethod and apparatus for ink transfer printing

Non-Patent Citations (3)

* Cited by examiner, † Cited by third party
Title
PATENT ABSTRACTS OF JAPAN vol. 010, no. 066 (M - 461) 15 March 1986 (1986-03-15)*
PATENT ABSTRACTS OF JAPAN vol. 012, no. 375 (E - 666) 7 October 1988 (1988-10-07)*
PATENT ABSTRACTS OF JAPAN vol. 014, no. 051 (E - 0881) 30 January 1990 (1990-01-30)*

Cited By (169)

* Cited by examiner, † Cited by third party
Publication numberPriority datePublication dateAssigneeTitle
US9338312B2 (en)1997-07-122016-05-10Google Inc.Portable handheld device with multi-core image processor
US8902340B2 (en)1997-07-122014-12-02Google Inc.Multi-core image processor for portable device
US8947592B2 (en)1997-07-122015-02-03Google Inc.Handheld imaging device with image processor provided with multiple parallel processing units
US9544451B2 (en)1997-07-122017-01-10Google Inc.Multi-core image processor for portable device
US8936196B2 (en)1997-07-152015-01-20Google Inc.Camera unit incorporating program script scanner
US8937727B2 (en)1997-07-152015-01-20Google Inc.Portable handheld device with multi-core image processor
US9432529B2 (en)1997-07-152016-08-30Google Inc.Portable handheld device with multi-core microcoded image processor
US9237244B2 (en)1997-07-152016-01-12Google Inc.Handheld digital camera device with orientation sensing and decoding capabilities
US9219832B2 (en)1997-07-152015-12-22Google Inc.Portable handheld device with multi-core image processor
US9197767B2 (en)1997-07-152015-11-24Google Inc.Digital camera having image processor and printer
US9191530B2 (en)1997-07-152015-11-17Google Inc.Portable hand-held device having quad core image processor
US9191529B2 (en)1997-07-152015-11-17Google IncQuad-core camera processor
US9185246B2 (en)1997-07-152015-11-10Google Inc.Camera system comprising color display and processor for decoding data blocks in printed coding pattern
US9185247B2 (en)1997-07-152015-11-10Google Inc.Central processor with multiple programmable processor units
US9179020B2 (en)1997-07-152015-11-03Google Inc.Handheld imaging device with integrated chip incorporating on shared wafer image processor and central processor
US9168761B2 (en)1997-07-152015-10-27Google Inc.Disposable digital camera with printing assembly
US9148530B2 (en)1997-07-152015-09-29Google Inc.Handheld imaging device with multi-core image processor integrating common bus interface and dedicated image sensor interface
US9143636B2 (en)1997-07-152015-09-22Google Inc.Portable device with dual image sensors and quad-core processor
US9143635B2 (en)1997-07-152015-09-22Google Inc.Camera with linked parallel processor cores
US9137397B2 (en)1997-07-152015-09-15Google Inc.Image sensing and printing device
US9137398B2 (en)1997-07-152015-09-15Google Inc.Multi-core processor for portable device with dual image sensors
US9131083B2 (en)1997-07-152015-09-08Google Inc.Portable imaging device with multi-core processor
US9124736B2 (en)1997-07-152015-09-01Google Inc.Portable hand-held device for displaying oriented images
US9124737B2 (en)1997-07-152015-09-01Google Inc.Portable device with image sensor and quad-core processor for multi-point focus image capture
US9060128B2 (en)1997-07-152015-06-16Google Inc.Portable hand-held device for manipulating images
US9055221B2 (en)1997-07-152015-06-09Google Inc.Portable hand-held device for deblurring sensed images
US8953178B2 (en)1997-07-152015-02-10Google Inc.Camera system with color display and processor for reed-solomon decoding
US8953060B2 (en)1997-07-152015-02-10Google Inc.Hand held image capture device with multi-core processor and wireless interface to input device
US7289142B2 (en)*1997-07-152007-10-30Silverbrook Research Pty LtdMonolithic integrated circuit having a number of programmable processing elements
US8953061B2 (en)1997-07-152015-02-10Google Inc.Image capture device with linked multi-core processor and orientation sensor
US8947679B2 (en)1997-07-152015-02-03Google Inc.Portable handheld device with multi-core microcoded image processor
US9560221B2 (en)1997-07-152017-01-31Google Inc.Handheld imaging device with VLIW image processor
US7602423B2 (en)*1997-07-152009-10-13Silverbrook Research Pty LtdIntegrated circuit for a digital camera system
US8934027B2 (en)1997-07-152015-01-13Google Inc.Portable device with image sensors and multi-core processor
US7597435B2 (en)1997-07-152009-10-06Silverbrook Research Pty LtdInk supply unit for an ink jet printer
US7391435B2 (en)*1997-07-152008-06-24Silverbrook Research Pty LtdMonolithic integrated circuit with a printhead interface
US7796166B2 (en)1997-07-152010-09-14Silverbrook Research Pty LtdDigital camera system incorporating VLIM image processor
US8928897B2 (en)1997-07-152015-01-06Google Inc.Portable handheld device with multi-core image processor
US8922791B2 (en)1997-07-152014-12-30Google Inc.Camera system with color display and processor for Reed-Solomon decoding
US8934053B2 (en)1997-07-152015-01-13Google Inc.Hand-held quad core processing apparatus
US8922670B2 (en)1997-07-152014-12-30Google Inc.Portable hand-held device having stereoscopic image camera
US8913137B2 (en)1997-07-152014-12-16Google Inc.Handheld imaging device with multi-core image processor integrating image sensor interface
US7826088B2 (en)1997-07-152010-11-02Silverbrook Research Pty LtdDigital camera having parallel processing controller
US8913182B2 (en)1997-07-152014-12-16Google Inc.Portable hand-held device having networked quad core processor
US8913151B2 (en)1997-07-152014-12-16Google Inc.Digital camera with quad core processor
US8908075B2 (en)1997-07-152014-12-09Google Inc.Image capture and processing integrated circuit for a camera
US8908069B2 (en)1997-07-152014-12-09Google Inc.Handheld imaging device with quad-core image processor integrating image sensor interface
US8908051B2 (en)1997-07-152014-12-09Google Inc.Handheld imaging device with system-on-chip microcontroller incorporating on shared wafer image processor and image sensor
US9584681B2 (en)1997-07-152017-02-28Google Inc.Handheld imaging device incorporating multi-core image processor
US8902357B2 (en)1997-07-152014-12-02Google Inc.Quad-core image processor
US8902333B2 (en)1997-07-152014-12-02Google Inc.Image processing method using sensed eye position
US8902324B2 (en)1997-07-152014-12-02Google Inc.Quad-core image processor for device with image display
US8896720B2 (en)1997-07-152014-11-25Google Inc.Hand held image capture device with multi-core processor for facial detection
US8896724B2 (en)1997-07-152014-11-25Google Inc.Camera system to facilitate a cascade of imaging effects
US8866926B2 (en)1997-07-152014-10-21Google Inc.Multi-core processor for hand-held, image capture device
US8836809B2 (en)1997-07-152014-09-16Google Inc.Quad-core image processor for facial detection
US8823823B2 (en)1997-07-152014-09-02Google Inc.Portable imaging device with multi-core processor and orientation sensor
US8285137B2 (en)1997-07-152012-10-09Silverbrook Research Pty LtdDigital camera system for simultaneous printing and magnetic recording
US8274665B2 (en)1997-07-152012-09-25Silverbrook Research Pty LtdImage sensing and printing device
US7973965B2 (en)1997-07-152011-07-05Silverbrook Research Pty LtdDigital camera with ink reservoir and ink reservoir information integrated circuit
US8077207B2 (en)1997-07-152011-12-13Silverbrook Research Pty LtdCamera unit incorporating a printer configured to print distorted images
US8096642B2 (en)1997-08-112012-01-17Silverbrook Research Pty LtdInkjet nozzle with paddle layer arranged between first and second wafers
US6832828B2 (en)1998-09-092004-12-21Silverbrook Research Pty LtdMicro-electromechanical fluid ejection device with control logic circuitry
US7380913B2 (en)1998-09-092008-06-03Silverbrook Research Pty LtdInk jet printer nozzle assembly with micro-electromechanical paddles
US7014785B2 (en)1998-09-092006-03-21Silverbrook Research Pty LtdMethod of fabricating inkjet nozzle
US7416275B2 (en)1998-10-162008-08-26Silverbrook Research Pty LtdPrinthead chip with nozzle arrangement for color printing
US7556353B2 (en)1998-10-162009-07-07Silverbrook Research Pty LtdPrinthead with small drive transistor to nozzle area ratio
US7625067B2 (en)1998-10-162009-12-01Silverbrook Research Pty LtdNozzle assembly for an inkjet printer having a short drive transistor channel
US7625068B2 (en)1998-10-162009-12-01Silverbrook Research Pty LtdSpring of nozzles of a printhead of an inkjet printer
US7625061B2 (en)1998-10-162009-12-01Silverbrook Research Pty LtdPrinthead integrated circuit having an ink ejection member with a laminated structure
US7637582B2 (en)1998-10-162009-12-29Silverbrook Research Pty LtdPhoto printer for printing 6″ × 4″ photos
US7654628B2 (en)1998-10-162010-02-02Silverbrook Research Pty LtdSignaling method for printhead
US7661796B2 (en)1998-10-162010-02-16Silverbrook Research Pty LtdNozzle assembly for ejecting small droplets
US7661797B2 (en)1998-10-162010-02-16Silverbrook Research Pty LtdPrinthead of an inkjet printer having densely spaced nozzles
US7669950B2 (en)1998-10-162010-03-02Silverbrook Research Pty LtdEnergy control of a nozzle of an inkjet printhead
US7669951B2 (en)1998-10-162010-03-02Silverbrook Research Pty LtdLow energy consumption nozzle assembly for an inkjet printer
US7669964B2 (en)1998-10-162010-03-02Silverbrook Research Pty LtdInk supply unit for a printhead in an inkjet printer
US7677685B2 (en)1998-10-162010-03-16Silverbrook Research Pty LtdNozzle assembly for an inkjet printer for ejecting a low volume droplet
US7677686B2 (en)1998-10-162010-03-16Silverbrook Research Pty LtdHigh nozzle density printhead ejecting low drop volumes
US7735968B2 (en)1998-10-162010-06-15Silverbrook Research Pty LtdInkjet printhead nozzle arrangement with actuator arm slot protection barrier
US7748827B2 (en)1998-10-162010-07-06Silverbrook Research Pty LtdInkjet printhead incorporating interleaved actuator tails
US7753487B2 (en)1998-10-162010-07-13Silverbrook Research Pty LtdAperture of a nozzle assembly of an inkjet printer
US7758162B2 (en)1998-10-162010-07-20Silverbrook Research Pty LtdNozzle arrangement for an inkjet printer with ink wicking reduction
US7758160B2 (en)1998-10-162010-07-20Silverbrook Research Pty LtdCompact nozzle assembly for an inkjet printer
US7771025B2 (en)1998-10-162010-08-10Silverbrook Research Pty LtdInkjet printhead having plural nozzle arrangements grouped in pods
US7771032B2 (en)1998-10-162010-08-10Silverbrook Research Pty LtdPrinter assembly with a controller for maintaining a printhead at an equilibrium temperature
US7780264B2 (en)1998-10-162010-08-24Kia SilverbrookInkjet printer nozzle formed on a drive transistor and control logic
US7784905B2 (en)1998-10-162010-08-31Silverbrook Research Pty LtdNozzle assembly for an inkjet printer for ejecting a low speed droplet
US7794050B2 (en)1998-10-162010-09-14Silverbrook Research Pty LtdPrinthead nozzle having shaped heating element
US7591541B2 (en)1998-10-162009-09-22Silverbrook Research Pty LtdNozzle arrangement having an actuator slot protection barrier to reduce ink wicking
US7815291B2 (en)1998-10-162010-10-19Silverbrook Research Pty LtdPrinthead integrated circuit with low drive transistor to nozzle area ratio
US7585047B2 (en)1998-10-162009-09-08Silverbrook Research Pty LtdNozzle arrangement with control logic architecture for an ink jet printhead
US7874644B2 (en)1998-10-162011-01-25Silverbrook Research Pty LtdInkjet printhead with shared ink spread restriction walls
US7891773B2 (en)1998-10-162011-02-22Kia SilverbrookLow voltage nozzle assembly for an inkjet printer
US7896473B2 (en)1998-10-162011-03-01Silverbrook Research Pty LtdLow pressure nozzle for an inkjet printer
US7896468B2 (en)1998-10-162011-03-01Silverbrook Research Pty LtdInk ejection nozzle arrangement
US7901023B2 (en)1998-10-162011-03-08Silverbrook Research Pty LtdInkjet printhead with drive circuitry controlling variable firing sequences
US7905588B2 (en)1998-10-162011-03-15Silverbrook Research Pty LtdCamera printhead assembly with baffles to retard ink acceleration
US7914115B2 (en)1998-10-162011-03-29Silverbrook Research Pty LtdInkjet printhead and printhead nozzle arrangement
US7918541B2 (en)1998-10-162011-04-05Silverbrook Research Pty LtdMicro-electromechanical integrated circuit device with laminated actuators
US7918540B2 (en)1998-10-162011-04-05Silverbrook Research Pty LtdMicroelectromechanical ink jet printhead with printhead temperature feedback
US7931351B2 (en)1998-10-162011-04-26Silverbrook Research Pty LtdInkjet printhead and printhead nozzle arrangement
US7934799B2 (en)1998-10-162011-05-03Silverbrook Research Pty LtdInkjet printer with low drop volume printhead
US7938524B2 (en)1998-10-162011-05-10Silverbrook Research Pty LtdInk supply unit for ink jet printer
US7946671B2 (en)1998-10-162011-05-24Silverbrook Research Pty LtdInkjet printer for photographs
US7950771B2 (en)1998-10-162011-05-31Silverbrook Research Pty LtdPrinthead nozzle arrangement with dual mode thermal actuator
US7971967B2 (en)1998-10-162011-07-05Silverbrook Research Pty LtdNozzle arrangement with actuator slot protection barrier
US7578569B2 (en)1998-10-162009-08-25Silverbrook Research Pty LtdPrinthead with variable nozzle firing sequence
US7971975B2 (en)1998-10-162011-07-05Silverbrook Research Pty LtdInkjet printhead comprising actuator spaced apart from substrate
US7971972B2 (en)1998-10-162011-07-05Silverbrook Research Pty LtdNozzle arrangement with fully static CMOS control logic architecture
US8025355B2 (en)1998-10-162011-09-27Silverbrook Research Pty LtdPrinter system for providing pre-heat signal to printhead
US7562963B2 (en)1998-10-162009-07-21Silverbrook Research Pty LtdPagewidth inkjet printhead assembly with nozzle arrangements having actuator arms configured to be in thermal balance when in a quiescent state
US6860590B2 (en)1998-10-162005-03-01Silverbrook Research Pty LtdPrinthead configuration incorporating a nozzle arrangement layout
US7562962B2 (en)1998-10-162009-07-21Silverbrook Research Pty LtdPrinthead for use in camera photo-printing
US7556352B2 (en)1998-10-162009-07-07Silverbrook Research Pty LtdInject printhead with outwarldy extending actuator tails
US8336990B2 (en)1998-10-162012-12-25Zamtec LimitedInk supply unit for printhead of inkjet printer
US6902255B1 (en)*1998-10-162005-06-07Silverbrook Research Pty LtdInkjet printers
US7611220B2 (en)1998-10-162009-11-03Silverbrook Research Pty LtdPrinthead and method for controlling print quality using printhead temperature
US7556351B2 (en)1998-10-162009-07-07Silverbrook Research Pty LtdInkjet printhead with spillage pits
US6905620B2 (en)1998-10-162005-06-14Silverbrook Research Pty LtdMethod of fabricating a micro-electromechanical device having a laminated actuator
US7556361B2 (en)1998-10-162009-07-07Silverbrook Research Pty LtdInk supply unit having a cover unit for positioning tape automated bonded film
US7556358B2 (en)1998-10-162009-07-07Silverbrook Research Pty LtdMicro-electromechanical integrated circuit device with laminated actuators
US7549726B2 (en)1998-10-162009-06-23Silverbrook Research Pty LtdInkjet printhead with a wafer assembly having an array of nozzle arrangements
US7537314B2 (en)1998-10-162009-05-26Silverbrook Research Pty LtdInkjet printhead having nozzle arrangements with ink spreading prevention rims
US7524029B2 (en)1998-10-162009-04-28Silverbrook Research Pty LtdInkjet printhead with pairs of ink spread restriction pits
US7524032B2 (en)1998-10-162009-04-28Silverbrook Research Pty LtdInkjet nozzle assembly with resistive heating actuator
US7517055B2 (en)1998-10-162009-04-14Silverbrook Research Pty LtdNozzle arrangement for an inkjet printhead with associated actuator drive circuitry
US7506966B2 (en)1998-10-162009-03-24Silverbrook Research Pty LtdPrinter incorporating a print roll unit supplying ink to a baffled ink supply unit
US7441867B2 (en)1998-10-162008-10-28Silverbrook Research Pty LtdInkjet printhead having a pre-determined array of inkjet nozzle assemblies
US7442317B2 (en)1998-10-162008-10-28Silverbrook Research Pty LtdMethod of forming a nozzle rim
US6998278B2 (en)1998-10-162006-02-14Silverbrook Research Pty LtdMethod of fabricating a micro-electromechanical actuator that includes drive circuitry
US7419247B2 (en)1998-10-162008-09-02Silverbrook Research Pty LtdPrinter comprising small area print chips forming a pagewidth printhead
US7401895B2 (en)1998-10-162008-07-22Silverbrook Research Pty LtdInkjet printhead integrated circuit with optimized trace orientation
US7396108B2 (en)1998-10-162008-07-08Silverbrook Research Pty LtdPagewidth printhead assembly with flexible tab film for supplying power and data to printhead integrated circuits
US7387368B2 (en)1998-10-162008-06-17Silverbrook Reseach Pty LtdPagewidth printhead having sealed inkjet actuators
US7384131B2 (en)1998-10-162008-06-10Silverbrook Research Pty LtdPagewidth printhead having small print zone
US7380339B2 (en)1998-10-162008-06-03Silverbrook Research Pty LtdMethod of manufacturing a printhead wafer etched from opposing sides
US7380906B2 (en)1998-10-162008-06-03Silverbrook Research Pty LtdPrinthead
US7370942B2 (en)1998-10-162008-05-13Silverbrook Research Pty LtdInk supply arrangement incorporating baffles in an ink distribution molding
US7350906B2 (en)1998-10-162008-04-01Silverbrook Research Pty LtdInk supply arrangement incorporating sets of passages for carrying respective types of ink
US7350901B2 (en)1998-10-162008-04-01Silverbrook Research Pty LtdInk supply unit for an ink jet printer
US7331101B2 (en)1998-10-162008-02-19Silverbrook Research Pty LtdMethod of fabricating a micro-electromechanical actuating mechanism
US7322680B2 (en)1998-10-162008-01-29Silverbrook Research Pty LtdPrinter assembly and nozzle arrangement
US7284836B2 (en)1998-10-162007-10-23Silverbrook Research Pty LtdNozzle arrangement including an actuator
US7028474B2 (en)1998-10-162006-04-18Silverbook Research Pty LtdMicro-electromechanical actuator with control logic circuitry
US7229154B2 (en)1998-10-162007-06-12Silverbrook Research Pty LtdInk ejection nozzle with a thermal bend actuator
US7219427B2 (en)1998-10-162007-05-22Silverbrook Research Pty LtdFabricating an inkjet printhead with grouped nozzles
US7210764B2 (en)1998-10-162007-05-01Silverbrook Research Pty LtdPrinthead with drive transistors and corresponding ink ejection actuators
US7207656B2 (en)1998-10-162007-04-24Silverbrook Research Pty LtdPrinthead configuration having acutely aligned nozzle actuators
US7198346B2 (en)1998-10-162007-04-03Silverbrook Research Pty LtdInkjet printhead that incorporates feed back sense lines
US7188935B2 (en)1998-10-162007-03-13Silverbrook Research Pty LtdPrinthead wafer with individual ink feed to each nozzle
US7048868B2 (en)1998-10-162006-05-23Silverbrook Reseach Pty LtdMethod of fabricating micro-electromechanical inkjet nozzle
US7182437B2 (en)1998-10-162007-02-27Silverbrook Research Pty LtdInkjet printhead having ink flow preventing actuators
US7178899B2 (en)1998-10-162007-02-20Silverbrook Research Pty LtdPrinthead integrated circuit for a pagewidth inkjet printhead
US7159968B2 (en)1998-10-162007-01-09Silverbrook Research Pty LtdPrinthead integrated circuit comprising thermal bend actuator
US7152944B2 (en)1998-10-162006-12-26Silverbrook Research Pty LtdInk jet printhead assembly with an ink distribution manifold
US7147304B2 (en)1998-10-162006-12-12Silverbrook Research Pty LtdPagewidth inkjet printhead assembly with longitudinally extending sets of nozzles
US7144519B2 (en)1998-10-162006-12-05Silverbrook Research Pty LtdMethod of fabricating an inkjet printhead chip having laminated actuators
US7134740B2 (en)1998-10-162006-11-14Silverbrook Research Pty LtdPagewidth inkjet printhead assembly with actuator drive circuitry
US7132056B2 (en)1998-10-162006-11-07Silverbrook Research Pty LtdMethod of fabricating a fluid ejection device using a planarizing step
US7111924B2 (en)1998-10-162006-09-26Silverbrook Research Pty LtdInkjet printhead having thermal bend actuator heating element electrically isolated from nozzle chamber ink
US7080895B2 (en)1998-10-162006-07-25Silverbrook Research Pty LtdInkjet printhead apparatus
US7073881B2 (en)1998-10-162006-07-11Silverbrook Research Pty LtdTemperature control in printheads having thermal actuators
US8789939B2 (en)1998-11-092014-07-29Google Inc.Print media cartridge with ink supply manifold
US7564580B2 (en)1998-11-092009-07-21Silverbrook Research Pty LtdMobile telephone with printer and print media dispenser
US8866923B2 (en)1999-05-252014-10-21Google Inc.Modular camera and printer
US7419250B2 (en)1999-10-152008-09-02Silverbrook Research Pty LtdMicro-electromechanical liquid ejection device
US7182431B2 (en)1999-10-192007-02-27Silverbrook Research Pty LtdNozzle arrangement
US7237874B2 (en)2000-06-302007-07-03Silverbrook Research Pty LtdInkjet printhead with grouped nozzles and a nozzle guard

Also Published As

Publication numberPublication date
EP0765568A1 (en)1997-04-02

Similar Documents

PublicationPublication DateTitle
US5781202A (en)Fax machine with concurrent drop selection and drop separation ink jet printing
WO1996032808A1 (en)Fax machine with concurrent drop selection and drop separation ink jet printing
US5909227A (en)Photograph processing and copying system using coincident force drop-on-demand ink jet printing
US5805178A (en)Ink jet halftoning with different ink concentrations
US5914737A (en)Color printer having concurrent drop selection and drop separation, the printer being adapted for connection to a computer
US5796416A (en)Nozzle placement in monolithic drop-on-demand print heads
US6012799A (en)Multicolor, drop on demand, liquid ink printer with monolithic print head
US5784077A (en)Digital printing using plural cooperative modular printing devices
EP0765226A1 (en)Color video printer and a photo-cd system with integrated printer
US5892524A (en)Apparatus for printing multiple drop sizes and fabrication thereof
US6002847A (en)High capacity compressed document image storage for digital color printers
US5781205A (en)Heater power compensation for temperature in thermal printing systems
US5859652A (en)Color video printer and a photo CD system with integrated printer
US6030072A (en)Fault tolerance in high volume printing presses
US5796418A (en)Page image and fault tolerance control apparatus for printing systems
US5920331A (en)Method and apparatus for accurate control of temperature pulses in printing heads
WO1996032289A1 (en)Apparatus for printing multiple drop sizes and fabrication thereof
US5838339A (en)Data distribution in monolithic print heads
US5841449A (en)Heater power compensation for printing load in thermal printing systems
US5808639A (en)Nozzle clearing procedure for liquid ink printing
EP0765235A1 (en)A liquid ink printing apparatus and system
WO1996032812A1 (en)Improvements in image halftoning
EP0765232A1 (en)Page image and fault tolerance control apparatus for printing systems
WO1996032811A9 (en)High capacity compressed document image storage for digital color printers
EP0765222A1 (en)A portable printer using a concurrent drop selection and drop separation printing system

Legal Events

DateCodeTitleDescription
AKDesignated states

Kind code of ref document:A1

Designated state(s):US

ALDesignated countries for regional patents

Kind code of ref document:A1

Designated state(s):AT BE CH DE DK ES FI FR GB GR IE IT LU MC NL PT SE

WWEWipo information: entry into national phase

Ref document number:1996911639

Country of ref document:EP

WWEWipo information: entry into national phase

Ref document number:08750646

Country of ref document:US

121Ep: the epo has been informed by wipo that ep was designated in this application
WWPWipo information: published in national office

Ref document number:1996911639

Country of ref document:EP

WWWWipo information: withdrawn in national office

Ref document number:1996911639

Country of ref document:EP


[8]ページ先頭

©2009-2025 Movatter.jp