Movatterモバイル変換


[0]ホーム

URL:


WO1996032274A1 - Heather structure and fabrication process for monolithic print heads - Google Patents

Heather structure and fabrication process for monolithic print heads
Download PDF

Info

Publication number
WO1996032274A1
WO1996032274A1PCT/US1996/005022US9605022WWO9632274A1WO 1996032274 A1WO1996032274 A1WO 1996032274A1US 9605022 WUS9605022 WUS 9605022WWO 9632274 A1WO9632274 A1WO 9632274A1
Authority
WO
WIPO (PCT)
Prior art keywords
ink
nozzles
heater
drop
nozzle
Prior art date
Application number
PCT/US1996/005022
Other languages
French (fr)
Inventor
Kia Silverbrook
Original Assignee
Eastman Kodak Company
Priority date (The priority date is an assumption and is not a legal conclusion. Google has not performed a legal analysis and makes no representation as to the accuracy of the date listed.)
Filing date
Publication date
Application filed by Eastman Kodak CompanyfiledCriticalEastman Kodak Company
Priority to EP96912694ApriorityCriticalpatent/EP0765234A1/en
Priority to US08/765,017prioritypatent/US5905517A/en
Priority to JP8531187Aprioritypatent/JPH10501772A/en
Publication of WO1996032274A1publicationCriticalpatent/WO1996032274A1/en

Links

Classifications

Definitions

Landscapes

Abstract

A structure and manufacturing process for electrothermal heaters for integrated printing heads where the axes of the ink nozzles are substantially normal to the plane of the heaters, and pass substantially through the centers of the heaters. The completed heater forms a loop, with the centre of the loop being formed by the nozzle etching process. A disk of heater material is formed on the substrate. The radius of the disk is equal to the radius of hole to be etched for the nozzle, plus the required heater width. The nozzle hole is subsequently etched from the centre of the heater disk. The remaining heater material is in the form of an annulus, with the internal radius being equal to the nozzle hole radius. The structure is subsequently coated with a layer of passivation material.

Description

HEATER STRUCTURE AND FABRICATION PROCESS
FOR MONOLITHIC PRINT HEADS
Field of the Invention
The present invention is in the field of computer controlled printing devices. In particular, the field is constructions and manufacturing processes for thermally activated drop on demand (DOD) printing heads which integrate multiple nozzles on a single substrate.
Background of the Invention
Many different types of digitally controlled printing systems have been invented, and many types are currently in production. These printing systems use a variety of actuation mechanisms, a variety of marking materials, and a variety of recording media. Examples of digital printing systems in current use include: laser electrophotographic printers; LED electrophotographic printers; dot matrix impact printers; thermal paper printers; film recorders; thermal wax printers; dye diffusion theπnal transfer printers; and ink jet printers. However, at present, such electronic printing systems have not significantly replaced mechanical printing presses, even though this conventional method requires very expensive setup and is seldom commercially viable unless a few thousand copies of a particular page are to be printed. Thus, there is a need for improved digitally controlled printing systems, for example, being able to produce high quality color images at a high-speed and low cost, using standard paper.
Inkjet printing has become recognized as a prominent contender in the digitally controlled, electronic printing arena because, e.g., of its non-impact, low-noise characteristics, its use of plain paper and its avoidance of toner transfers and fixing.
Many types of ink jet printing mechanisms have been invented. These can be categorized as either continuous ink jet (CIJ) or drop on demand (DOD) ink jet Continuous ink jet printing dates back to at least 1929: Hansell, US Pat. No. 1,941,001. Sweet et al US Pat. No. 3,373,437, 1967, discloses an array of continuous ink jet nozzles where ink drops to be printed are selectively charged and deflected towards the recording medium. This technique is known as binary deflection CU, and is used by several manufacturers, including Elmjet and Scitex. Hertz et al US Pat. No. 3,416,153, 1966, discloses a method of achieving variable optical density of printed spots in CIJ printing using the electrostatic dispersion of a charged drop stream to modulate the number of droplets which pass through a small aperture. This technique is used in ink jet printers manufactured by Iris Graphics. Kyser et al US Pat. No. 3,946,398, 1970, discloses a DOD ink jet printer which applies a high voltage to a piezoelectric crystal, causing the crystal to bend, applying pressure on an ink reservoir and jetting drops on demand. Many types of piezoelectric drop on demand printers have subsequently been invented, which utilize piezoelectric crystals in bend mode, push mode, shear mode, and squeeze mode. Piezoelectric DOD printers have achieved commercial success using hot melt inks (for example, Tektronix and Dataproducts printers), and at image resolutions up to 720 dpi for home and office printers (Seiko Epson). Piezoelectric DOD printers have an advantage in being able to use a wide range of inks. However, piezoelectric printing mechanisms usually require complex high voltage drive circuitry and bulky piezoelectric crystal arrays, which are disadvantageous in regard to manufacturability and performance.
Endo et al GB Pat. No. 2,007,162, 1979, discloses an electrothermal DOD ink jet printer which applies a power pulse to an electrothermal transducer (heater) which is in theπnal contact with ink in a nozzle. The heater rapidly heats water based ink to a high temperature, whereupon a small quantity of ink rapidly evaporates, forming a bubble. The formation of these bubbles results in a pressure wave which cause drops of ink to be ejected from small apertures along the edge of the heater substrate. This technology is known as Bubblejet™ (trademark of Canon K.K. of Japan), and is used in a wide range of printing systems from Canon, Xerox, and other manufacturers. Vaught et al US Pat. No. 4,490,728, 1982, discloses an electrothermal drop ejection system which also operates by bubble formation. In this system, drops are ejected in a direction normal to the plane of the heater substrate, through nozzles formed in an aperture plate positioned above the heater. This system is known as Theπnal Ink Jet, and is manufactured by Hewlett-Packard. In this document, the term Thermal Ink Jet is used to refer to both the Hewlett- Packard system and systems commonly known as Bubblejet™.
Theπnal Ink Jet printing typically requires approximately 20 μJ over a period of approximately 2 μs to eject each drop. The 10 Watt active power consumption of each heater is disadvantageous in itself and also necessitates special inks, complicates the driver electronics and precipitates deterioration of heater elements.
Other ink jet printing systems have also been described in technical literature, but are not currently used on a commercial basis. For example, U.S. Patent No. 4,275,290 discloses a system wherein the coincident address of predetermined print head nozzles with heat pulses and hydrostatic pressure, allows ink to flow freely to spacer-separated paper, passing beneath the print head. U.S. Patent Nos. 4,737,803; 4,737,803 and 4,748,458 disclose ink jet recording systems wherein the coincident address of ink in print head nozzles with heat pulses and an electrostatically attractive field cause ejection of ink drops to a print sheet
Each of the above-described inkjet printing systems has advantages and disadvantages. However, there remains a widely recognized need for an improved inkjet printing approach, providing advantages for example, as to cost speed, quality, reliability, power usage, simplicity of construction and operation, durability and consumables.
Summary of the Invention
Thus, one object of the invention is to provide improved heater constructions for ink nozzles of thermally activated drop on demand printing heads. In one aspect the present invention constitutes a thermally activated, drop on demand printing head comprising a substrate, a heater formed on said substrate and including a planar annulus of heater material and an ink nozzle having an axis that is generally normal to the plane of said heater material, and passes substantially through the center of said heater annulus.
In another aspect the present invention constitutes a method for manufacturing heaters for ink nozzles of thermally activated drop on demand printing heads, comprising the steps of (a) forming on a substrate, a planar region of heater material which has a predetermined outline and which covers at least the peripheral regions of the desired nozzle tip; and (b) creating a nozzle hole along an axis which is generally normal to the plane of said heater and which is substantially concentric with said heater outline.
A further preferred aspect of the invention is that the planar region of heater material is substantially circular. A further preferred aspect of the invention is that the passivation material is silicon dioxide.
An alternative preferred aspect of the invention is that the passivation material is silicon nitride.
A further preferred aspect of the invention is that the nozzle is fabricated with a radius less than 50 microns.
A further preferred aspect of the invention is that drive circuitry is fabricated on the same substrate as the nozzles.
Brief Description of the Drawings Figure 1 (a) shows a simplified block schematic diagram of one exemplary printing apparatus according to the present invention.
Figure 1(b) shows a cross section of one variety of nozzle tip in accordance with the invention.
Figures 2(a) to 2(f) show fluid dynamic simulations of drop selection. Figure 3(a) shows a finite element fluid dynamic simulation of a nozzle in operation according to an embodiment of the invention.
Figure 3(b) shows successive meniscus positions during drop selection and separation. Figure 3(c) shows the temperatures at various points during a drop selection cycle.
Figure 3(d) shows measured surface tension versus temperature curves for various ink additives.
Figure 3(e) shows the power pulses which are applied to the nozzle heater to generate the temperature curves of figure 3(c)
Figure 4 shows a block schematic diagram of print head drive circuitry for practice of the invention.
Figure 5 shows projected manufacturing yields for an A4 page width color print head embodying features of the invention, with and without fault tolerance.
Figure 6 shows a generalized block diagram of a printing system using a print head
Figure 7 shows a single silicon substrate with a multitude of nozzles etched in it. Figures 8(a) to 8(d) shows an exemplary nozzle layout for a small section of a print head.
Figure 8(b) is a detail of figure 8(a). Figures 9(a) to 9(o) show simplified manufacturing steps for combination with standard integrated circuit fabrication. Figures 10(a) and 10(b) show heater layouts which do not use the present invention.
Figures 11(a) to 11(c) show one preferred manufacturing and construction sequence for the heater structures in accordance with this invention. Figures 12(a) to 12(c) show another preferred manufacturing and construction sequence for a heater structure in accordance with this invention. Figures 13(a), 13(c), 13(e), 13(g), 13(i), 13(k), and 13(m) are graphs of the position of the centre of the meniscus versus time for various heater widths.
Figures 13(b), 13(d), 13(f), 13(h), 13(j), 13(1), and 13(n) are plots of the meniscus shape at various instants for various heater widths.
Detailed Description of Preferred Embodiments
In one general aspect, the invention constitutes a drop-on-demand printing mechanism wherein the means of selecting drops to be printed produces a difference in position between selected drops and drops which are not selected, but which is insufficient to cause the ink drops to overcome the ink surface tension and separate from the body of ink, and wherein an alternative means is provided tυ cause separation of the selected drops from the body of ink.
The separation of drop selection means from drop separation means significantly reduces the energy required to select which ink drops are to be printed. Only the drop selection means must be driven by individual signals to each nozzle.
The drop separation means can be a field or condition applied simultaneously to all nozzles.
The drop selection means may be chosen from, but is not limited to, the following list: 1 ) Electrothermal reduction of surface tension of pressurized ink
2) Electrothermal bubble generation, with insufficient bubble volume to cause drop ejection
3) Piezoelectric, with insufficient volume change to cause drop ejection
4) Electrostatic attraction with one electrode per nozzle The drop separation means may be chosen from, but is not limited to, the following list:
1) Proximity (recording medium in close proximity to print head)
2) Proximity with oscillating ink pressure
3) Electrostatic attraction 4) Magnetic attraction The table "DOD printing technology targets" shows some desirable characteristics of drop on demand printing technology. The table also lists some methods by which some embodiments described herein, or in other of my related applications, provide improvements over the prior art.
DOD printing technology targets
Figure imgf000009_0001
Electronic collation A new page compression system which can achieve 100:1 compression with insignificant image degradation, resulting in a compressed data rate low enough to allow real-time printing of any combination of thousands of pages stored on a low cost magnetic disk drive.
In thermal inkjet (TIF) and piezoelectric inkjet systems, a drop velocity of approximately 10 meters per second is prefeπed to ensure that the selected ink drops overcome ink surface tension, separate from the body of the ink, and strike the recording medium. These systems have a very low efficiency of conversion of electrical energy into drop kinetic energy. The efficiency of ΗJ systems is approximately 0.02%). This means that the drive circuits for TTJ print heads must switch high currents. The drive circuits for piezoelectric inkjet heads must either switch high voltages, or drive highly capacitive loads. The total power consumption of pagewidth TTJ printheads is also very high. An 800 dpi A4 full color pagewidth TU print head printing a four color black image in one second would consume approximately 6 kW of electrical power, most of which is converted to waste heat. The difficulties of removal of this amount of heat precludes the production of low cost, high speed, high resolution compact pagewidth TTJ systems.
One important feature of embodiments of the invention is a means of significantly reducing the energy required to select which ink drops are to be printed. This is achieved by separating the means for selecting ink drops from the means for ensuring that selected drops separate from the body of ink and form dots on the recording medium. Only the drop selection means must be driven by individual signals to each nozzle. The drop separation means can be a field or condition applied simultaneously to all nozzles.
The table "Drop selection means" shows some of the possible means for selecting drops in accordance with the invention. The drop selection means is only required to create sufficient change in the position of selected drops that the drop separation means can discriminate between selected and unselected drops. Drop selection means
Figure imgf000011_0001
Other drop selection means may also be used.
The preferred drop selection means for water based inks is method 1 : "Electrothermal reduction of surface tension of pressurized ink". This drop selection means provides many advantages over other systems, including; low power operation (approximately 1% of TU), compatibility with CMOS VLSI chip fabrication, low voltage operation (approx. 10 V), high nozzle density, low temperature operation, and wide range of suitable ink formulations. The ink must exhibit a reduction in surface tension with increasing temperature.
The preferred drop selection means for hot melt or oil based inks is method 2: 'Εlectrotheπnal reduction of ink viscosity, combined with oscillating ink pressure". This drop selection means is particularly suited for use with inks which exhibit a large reduction of viscosity with increasing temperature, but only a small reduction in surface tension. This occurs particularly with non-polar ink carriers with relatively high molecular weight This is especially applicable to hot melt and oil based inks.
The table "Drop separation means" shows some of the possible methods for separating selected drops from the body of ink, and ensuring that the selected drops form dots on the printing medium. The drop separation means discriminates between selected drops and unselected drops to ensure that unselected drops do not form dots on the printing medium.
Drop separation means
Figure imgf000012_0001
Figure imgf000013_0001
Other drop separation means may also be used. The preferred drop separation means depends upon the intended use. For most applications, method 1: "Electrostatic attraction", or method 2: "AC electric field" are most appropriate. For applications where smooth coated paper or film is used, and very high speed is not essential, method 3: "Proximity" may be appropriate. For high speed, high quality systems, method 4: 'Transfer proximity" can be used. Method 6: "Magnetic attraction" is appropriate for portable printing systems where the print medium is too rough for proximity printing, and the high voltages required for electrostatic drop separation are undesirable. There is no clear 'best' drop separation means which is applicable to all circumstances.
Further details of various types of printing systems according to the present invention are described in the following AustraUan patent specifications filed on 12 April 1995, the disclosure of which are hereby incorporated by reference: 'A Liquid ink Fault Tolerant (LIFT) printing mechanism' (Filing no.:
PN2308);
'Electrothermal drop selection in LIFT printing' (Filing no.: PN2309); 'Drop separation in LIFT printing by print media proximity' (Filing no.: PN2310); 'Drop size adjustment in Proximity LIFT printing by varying head to media distance' (Filing no.: PN2311);
'Augmenting Proximity LIFT printing with acoustic ink waves' (Filing no.: PN2312); 'Electrostatic drop separation in LIFT printing' (Filing no.: PN2313);
'Multiple simultaneous drop sizes in Proximity LIFT printing' (Filing no.:
PN2321);
'Self cooling operation in thermally activated print heads' (Filing no.:
PN2322); and 'Thermal Viscosity Reduction LIFT printing' (Filing no.: PN2323).
A simplified schematic diagram of one preferred printing system according to the invention appears in Figure 1(a).
An image source 52 may be raster image data from a scanner or computer, or outline image data in the form of a page description language (PDL), or other forms of digital image representation. This image data is converted to a pixel-mapped page image by the image processing system 53. This may be a raster image processor (RIP) in the case of PDL image data, or may be pixel image manipulation in the case of raster image data. Continuous tone data produced by the image processing unit 53 is halftoned. Halftoning is performed by the Digital
Halftoning unit 54. Halftoned bitmap image data is stored in the image memory 72. Depending upon the printer and system configuration, the image memory 72 may be a full page memory, or a band memory. Heater control circuits 71 read data from the image memory 72 and apply time- varying electrical pulses to the nozzle heaters (103 in figure 1 (b)) that are part of the print head 50. These pulses are applied at an appropriate time, and to the appropriate nozzle, so that selected drops will form spots on the recording medium 51 in the appropriate position designated by the data in the image memory 72.
The recording medium 51 is moved relative to the head 50 by a paper transport system 65, which is electronically controlled by a paper transport control system 66, which in turn is controlled by a microcontroller 315. The paper transport system shown in figure 1(a) is schematic only, and many different mechanical configurations are possible. In the case of pagewidth print heads, it is most convenient to move the recording medium 51 past a stationary head 50.
However, in the case of scanning print systems, it is usually most convenient to move the head 50 along one axis (the sub-scanning direction) and the recording medium 51 along the orthogonal axis (the main scanning direction), in a relative raster motion. The microcontroller 315 may also control the ink pressure regulator
63 and the heater control circuits 71.
For printing using surface tension reduction, ink is contained in an ink reservoir 64 under pressure. In the quiescent state (with no ink drop ejected), the ink pressure is insufficient to overcome the ink surface tension and eject a drop.
A constant ink pressure can be achieved by applying pressure to the ink reservoir 64 under the control of an ink pressure regulator 63. Alternatively, for larger printing systems, the ink pressure can be very accurately generated and controlled by situating the top surface of the ink in the reservoir 64 an appropriate distance above the head 50. This ink level can be regulated by a simple float valve (not shown).
For printing using viscosity reduction, ink is contained in an ink reservoir 64 under pressure, and the ink pressure is caused to oscillate. The means of producing this oscillation may be a piezoelectric actuator mounted in the ink channels (not shown).
When properly arranged with the drop separation means, selected drops proceed to form spots on the recording medium 51, while unselected drops remain part of the body of ink.
The ink is distributed to the back surface of the head 50 by an ink channel device 75. The ink preferably flows through slots and/or holes etched through the silicon substrate of the head 50 to the front surface, where the nozzles and actuators are situated. In the case of theπnal selection, the nozzle actuators are electrothermal heaters.
In some types of printers according to the invention, an external field 74 is required to ensure that the selected drop separates from the body of the ink and moves towards the recording medium 51. A convenient external field 74 is a constant electric field, as the ink is easily made to be electrically conductive. In this case, the paper guide or platen 67 can be made of electrically conductive material and used as one electrode generating the electric field. The other electrode can be the head 50 itself. Another embodiment uses proximity of the print medium as a means of discriminating between selected drops and unselected drops.
For small drop sizes gravitational force on the ink drop is very small; approximately 10"4 of the surface tension forces, so gravity can be ignored in most cases. This allows the print head 50 and recording medium 51 to be oriented in any direction in relation to the local gravitational field. This is an important requirement for portable printers.
Figure 1(b) is a detail enlargement of a cross section of a single microscopic nozzle tip embodiment of the invention, fabricated using a modified CMOS process. The nozzle is etched in a substrate 101, which may be silicon, glass, metal, or any other suitable material. If substrates which are not semiconductor materials are used, a semiconducting material (such as amorphous silicon) may be deposited on the substrate, and integrated drive transistors and data distribution circuitry may be formed in the surface semiconducting layer. Single crystal silicon (SCS) substrates have several advantages, including: 1 ) High performance drive transistors and other circuitry can be fabricated in SCS;
2) Print heads can be fabricated in existing facilities (fabs) using standard VLSI processing equipment;
3) SCS has high mechanical strength and rigidity; and 4) SCS has a high thermal conductivity.
In this example, the nozzle is of cylindrical form, with the heater 103 forming an annulus. The nozzle tip 104 is foπned from silicon dioxide layers 102 deposited during the fabrication of the CMOS drive circuitry. The nozzle tip is passivated with silicon nitride. The protruding nozzle tip controls the contact point of the pressurized ink 100 on the print head surface. The print head surface is also hydrophobized to prevent accidental spread of ink across the front of the print head. Many other configurations of nozzles are possible, and nozzle embodiments of the invention may vary in shape, dimensions, and materials used.
Monolithic nozzles etched from the substrate upon which the heater and drive electronics are foπned have the advantage of not requiring an orifice plate. The elimination of the orifice plate has significant cost savings in manufacture and assembly. Recent methods for eliminating orifice plates include the use of 'vortex' actuators such as those described in Domoto et al US Pat. No. 4,580,158, 1986, assigned to Xerox, and Miller et al US Pat. No. 5,371,527, 1994 assigned to
Hewlett-Packard. These, however are complex to actuate, and difficult to fabricate. The preferred method for elimination of orifice plates for print heads of the invention is incorporation of the orifice into the actuator substrate.
This type of nozzle may be used for print heads using various techniques for drop separation.
Operation with Electrostatic Drop Separation As a first example, operation using thermal reduction of surface tension and electrostatic drop separation is shown in figure 2.
Figure 2 shows the results of energy transport and fluid dynamic simulations performed using FIDAP, a commercial fluid dynamic simulation software package available from Fluid Dynamics Inc., of Illinois, USA. This simulation is of a thermal drop selection nozzle embodiment with a diameter of 8 μm, at an ambient temperature of 30°C. The total energy applied to the heater is 276 nJ, applied as 69 pulses of 4 nJ each. The ink pressure is 10 kPa above ambient air pressure, and the ink viscosity at 30°C is 1.84 cPs. The ink is water based, and includes a sol of 0.1% palmitic acid to achieve an enhanced decrease in surface tension with increasing temperature. A cross section of the nozzle tip from the central axis of the nozzle to a radial distance of 40 μm is shown. Heat flow in the various materials of the nozzle, including silicon, silicon nitride, amorphous silicon dioxide, crystalline silicon dioxide, and water based ink are simulated using the respective densities, heat capacities, and thermal conductivities of the materials. The time step of the simulation is 0.1 μs.
Figure 2(a) shows a quiescent state, just before the heater is actuated. An equilibrium is created whereby no ink escapes the nozzle in the quiescent state by ensuring that the ink pressure plus external electrostatic field is insufficient to overcome the surface tension of the ink at the ambient temperature. In the quiescent state, the meniscus of the ink does not protrude significantly from the print head surface, so the electrostatic field is not significantly concentrated at the meniscus. Figure 2(b) shows thermal contours at 5°C intervals 5 μs after the start of the heater energizing pulse. When the heater is energized, the ink in contact with the nozzle tip is rapidly heated. The reduction in surface tension causes the heated portion of the meniscus to rapidly expand relative to the cool ink meniscus. This drives a convective flow which rapidly transports this heat over part of the free surface of the ink at the nozzle tip. It is necessary for the heat to be distributed over the ink surface, and not just where the ink is in contact with the heater. This is because viscous drag against the solid heater prevents the ink directly in contact with the heater from moving.
Figure 2(c) shows thermal contours at 5°C intervals 10 μs after the start of the heater energizing pulse. The increase in temperature causes a decrease in surface tension, disturbing the equilibrium of forces. As the entire meniscus has been heated, the ink begins to flow.
Figure 2(d) shows thermal contours at 5°C intervals 20 μs after the start of the heater energizing pulse. The ink pressure has caused the ink to flow to a new meniscus position, which protrudes from the print head. The electrostatic field becomes concentrated by the protruding conductive ink drop.
Figure 2(e) shows thermal contours at 5°C intervals 30 μs after the start of the heater energizing pulse, which is also 6 μs after the end of the heater pulse, as the heater pulse duration is 24 μs. The nozzle tip has rapidly cooled due to conduction through the oxide layers, and conduction into the flowing ink. The nozzle tip is effectively 'water cooled' by the ink. Electrostatic attraction causes the ink drop to begin to accelerate towards the recording medium. Were the heater pulse significantly shorter (less than 16 μs in this case) the ink would not accelerate towards the print medium, but would instead return to the nozzle. Figure 2(f) shows thermal contours at 5°C intervals 26 μs after the end of the heater pulse. The temperature at the nozzle tip is now less than 5°C above ambient temperature. This causes an increase in surface tension around the nozzle tip. When the rate at which the ink is drawn from the nozzle exceeds the viscously limited rate of ink flow through the nozzle, the ink in the region of the nozzle tip 'necks', and the selected drop separates from the body of ink. The selected drop then travels to the recording medium under the influence of the external electrostatic field. The meniscus of the ink at the nozzle tip then returns to its quiescent position, ready for the next heat pulse to select the next ink drop. One ink drop is selected, separated and forms a spot on the recording medium for each heat pulse. As the heat pulses are electrically controlled, drop on demand ink jet operation can be achieved.
Figure 3(a) shows successive meniscus positions during the drop selection cycle at 5 μs intervals, starting at the beginning of the heater energizing pulse. Figure 3(b) is a graph of meniscus position versus time, showing the movement of the point at the centre of the meniscus. The heater pulse starts 10 μs into the simulation.
Figure 3(c) shows the resultant curve of temperature with respect to time at various points in the nozzle. The vertical axis of the graph is temperature, in units of 100°C. The horizontal axis of the graph is time, in units of 10 μs. The temperature curve shown in figure 3(b) was calculated by FIDAP, using 0.1 μs time steps. The local ambient temperature is 30 degrees C. Temperature histories at three points are shown:
A - Nozzle tip: This shows the temperature history at the circle of contact between the passivation layer, the ink, and air. B - Meniscus midpoint: This is at a circle on the ink meniscus midway between the nozzle tip and the centre of the meniscus.
C - Chip surface: This is at a point on the print head surface 20 μm from the centre of the nozzle. The temperature only rises a few degrees. This indicates that active circuitry can be located very close to the nozzles without experiencing performance or lifetime degradation due to elevated temperatures.
Figure 3(e) shows the power applied to the heater. Optimum operation requires a sharp rise in temperature at the start of the heater pulse, a maintenance of the temperature a little below the boiling point of the ink for the duration of the pulse, and a rapid fall in temperature at the end of the pulse. To achieve this, the average energy applied to the heater is varied over the duration of the pulse. In this case, the variation is achieved by pulse frequency modulation of 0.1 μs sub-pulses, each with an energy of 4 nJ. The peak power applied to the heater is 40 mW, and the average power over the duration of the heater pulse is 11.5 mW. The sub-pulse frequency in this case is 5 Mhz. This can readily be varied without significantly affecting the operation of the print head. A higher sub-pulse frequency allows finer control over the power applied to the heater. A sub-pulse frequency of 13.5 Mhz is suitable, as this frequency is also suitable for minimizing the effect of radio frequency interference (RFI).
Inks with a negative temperature coefficient of surface tension
The requirement for the surface tension of the ink to decrease with increasing temperature is not a major restriction, as most pure liquids and many mixtures have this property. Exact equations relating surface tension to temperature for arbitrary liquids are not available. However, the following empirical equation derived by Ramsay and Shields is satisfactory for many liquids:
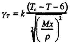
Figure imgf000020_0001
Where γ*ris the surface tension at temperature T, k is a constant, 7 is the critical temperature of the liquid, M is the molar mass of the liquid, x is the degree of association of the liquid, and p is the density of the liquid. This equation indicates that the surface tension of most liquids falls to zero as the temperature reaches the critical temperature of the liquid. For most liquids, the critical temperature is substantially above the boiling point at atmospheric pressure, so to achieve an ink with a large change in surface tension with a small change in temperature around a practical ejection temperature, the admixture of surfactants is recommended.
The choice of surfactant is important. For example, water based ink for thermal ink jet printers often contains isopropyl alcohol (2-propanol) to reduce the surface tension and promote rapid drying. Isopropyl alcohol has a boiling point of 82.4°C, lower than that of water. As the temperature rises, the alcohol evaporates faster than the water, decreasing the alcohol concentration and causing an increase in surface tension. A surfactant such as 1-Hexanol (b.p. 158°C) can be used to reverse this effect, and achieve a surface tension which decreases slightly with temperature. However, a relatively large decrease in surface tension with temperature is desirable to maximize operating latitude. A surface tension decrease of 20 mN/m over a 30°C temperature range is preferred to achieve large operating margins, while as little as lOmN/m can be used to achieve operation of the print head according to the present invention.
Inks With Large -Δγ.
Several methods may be used to achieve a large negative change in surface tension with increasing temperature. Two such methods are:
1) The ink may contain a low concentration sol of a surfactant which is solid at ambient temperatures, but melts at a threshold temperature. Particle sizes less than 1,000 A are desirable. Suitable surfactant melting points for a water based ink are between 50°C and 90°C, and preferably between 60°C and 80°C.
2) The ink may contain an oil/water microemulsion with a phase inversion temperature (PIT) which is above the maximum ambient temperature, but below the boiling point of the ink. For stability, the PIT of the microemulsion is preferably 20°C or more above the maximum non-operating temperature encountered by the ink. A PIT of approximately 80°C is suitable.
Inks with Surfactant Sols
Inks can be prepared as a sol of small particles of a surfactant which melts in the desired operating temperature range. Examples of such surfactants include carboxylic acids with between 14 and 30 carbon atoms, such as:
Figure imgf000022_0001
As the melting point of sols with a small particle size is usually slightly less than of the bulk material, it is preferable to choose a carboxyhc acid with a melting point slightly above the desired drop selection temperature. A good example is Arachidic acid.
These carboxyhc acids are available in high purity and at low cost. The amount of surfactant required is very small, so the cost of adding them to the ink is insignificant A mixture of carboxyhc acids with slightly varying chain lengths can be used to spread the melting points over a range of temperatures. Such mixtures will typically cost less than the pure acid.
It is not necessary to restrict the choice of surfactant to simple unbranched carboxyhc acids. Surfactants with branched chains or phenyl groups, or other hydrophobic moieties can be used. It is also not necessary to use a carboxyhc acid. Many highly polar moieties are suitable for the hydrophilic end of the surfactant It is desirable that the polar end be ionizable in water, so that the surface of the surfactant particles can be charged to aid dispersion and prevent flocculation.
In the case of carboxylic acids, this can be achieved by adding an alkali such as sodium hydroxide or potassium hydroxide.
Preparation of Inks with Surfactant Sols The surfactant sol can be prepared separately at high concentration, and added to the ink in the required concentration.
An example process for creating the surfactant sol is as follows:
1) Add the carboxyhc acid to purified water in an oxygen free atmosphere.
2) Heat the mixture to above the melting point of the carboxylic acid. The water can be brought to a boil.
3) Ultrasonicate the mixture, until the typical size of the carboxylic acid droplets is between lOOA and l,OOθA.
4) Allow the mixture to cool.
5) Decant the larger particles from the top of the mixture. 6) Add an alkah such as NaOH to ionize the carboxylic acid molecules on the surface of the particles. A pH of approximately 8 is suitable. This step is not absolutely necessary, but helps stabilize the sol.
7) Centrifuge the sol. As the density of the carboxylic acid is lower than water, smaller particles will accumulate at the outside of the centrifuge, and larger particles in the centre.
8) Filter the sol using a microporous filter to eliminate any particles above 5000 A.
9) Add the surfactant sol to the ink preparation. The sol is required only in very dilute concentration. The ink preparation will also contain either dye(s) or pigment(s), bactericidal agents, agents to enhance the electrical conductivity of the ink if electrostatic drop separation is used, humectants, and other agents as required. Anti-foaming agents will generally not be required, as there is no bubble formation during the drop ejection process. Cationic surfactant sols
Inks made with anionic surfactant sols are generally unsuitable for use with catiomc dyes or pigments. This is because the cationic dye or pigment may precipitate or flocculate with the anionic surfactant. To allow the use of cationic dyes and pigments, a cationic surfactant sol is required. The family of alkylamines is suitable for this purpose.
Various suitable alkylamines are shown in the following table:
Figure imgf000024_0001
The method of preparation of cationic surfactant sols is essentially similar to that of anionic surfactant sols, except that an acid instead of an alkali is used to adjust the pH balance and increase the charge on the surfactant particles. A pH of 6 using HC1 is suitable.
Microemulsinn Based Inks An alternative means of achieving a large reduction in surface tension as some temperature threshold is to base the ink on a microemulsion. A microemulsion is chosen with a phase inversion temperature (PIT) around the desired ejection threshold temperature. Below the PIT, the microemulsion is oil in water (O/W), and above the PIT the microemulsion is water in oil (W/O). At low temperatures, the surfactant forming the microemulsion prefers a high curvature surface around oil, and at temperatures significantly above the PIT, the surfactant prefers a high curvature surface around water. At temperatures close to the PIT, the microemulsion forms a continuous 'sponge' of topologically connected water and oil.
There are two mechanisms whereby this reduces the surface tension. Around the PIT, the surfactant prefers surfaces with very low curvature. As a result, surfactant molecules migrate to the ink/air interface, which has a curvature which is much less than the curvature of the oil emulsion. This lowers the surface tension of the water. Above the phase inversion temperature, the microemulsion changes from O/W to W/O, and therefore the ink/air interface changes from water/air to oil/air. The oil air interface has a lower surface tension. There is a wide range of possibilities for the preparation of microemulsion based inks.
For fast drop ejection, it is preferable to chose a low viscosity oil.
In many instances, water is a suitable polar solvent However, in some cases different polar solvents may be required. In these cases, polar solvents with a high surface tension should be chosen, so that a large decrease in surface tension is achievable.
The surfactant can be chosen to result in a phase inversion temperature in the desired range. For example, surfactants of the group poly(oxyethylene)alkylphenyl ether (ethoxylated alkyl phenols, general formula:
Figure imgf000025_0001
can be used. The hydrophihcity of the surfactant can be increased by increasing m, and the hydrophobicity can be increased by increasing n. Values of m of approximately 10, and n of approximately 8 are suitable.
Low cost commercial preparations are the result of a polymerization of various molar ratios of ethylene oxide and alkyl phenols, and the exact number of oxyethylene groups varies around the chosen mean. These commercial preparations are adequate, and highly pure surfactants with a specific number of oxyethylene groups are not required.
The formula for this surfactant is CgHi7C4H6(CH2CH2O)„OH (average n=10). Synonyms include Octoxynol-10, PEG- 10 octyl phenyl ether and
POE (10) octyl phenyl ether
The HLB is 13.6, the melting point is 7°C, and the cloud, point is 65°C.
Commercial preparations of this surfactant are available under various brand names. Supphers and brand names are listed in the following table:
Figure imgf000026_0001
These are available in large volumes at low cost (less than one dollar per pound in quantity), and so contribute less than 10 cents per Uter to prepared microemulsion ink with a 5% surfactant concentration.
Other suitable ethoxylated alkyl phenols include those listed in the following table:
Figure imgf000027_0001
Microemulsion based inks have advantages other than surface tension control: 1) Microemulsions are thermodynamically stable, and will not separate.
Therefore, the storage time can be very long. This is especially significant for office and portable printers, which may be used sporadically.
2) The microemulsion will form spontaneously with a particular drop size, and does not require extensive stirring, centrifuging, or filtering to ensure a particular range of emulsified oil drop sizes.
3) The amount of oil contained in the ink can be quite high, so dyes which are soluble in oil or soluble in water, or both, can be used. It is also possible to use a mixture of dyes, one soluble in water, and the other soluble in oil, to obtain specific colors. 4) Oil miscible pigments are prevented from flocculating, as they are trapped in the oil microdroplets. 5) The use of a microemulsion can reduce the mixing of different dye colors on the surface of the print medium.
6) The viscosity of microemulsions is very low.
7) The requirement for humectants can be reduced or eliminated.
Dves and pigments in microftmiilsinn hased inks
Oil in water mixtures can have high oil contents - as high as 40% - and still form O/W microemulsions. This allows a high dye or pigment loading.
Mixtures of dyes and pigments can be used. An example of a microemulsion based ink mixture with both dye and pigment is as foUows: 1) 70% water
2) 5% water soluble dye
3) 5% surfactant
4) 10% oil
5) 10% oil miscible pigment The following table shows the nine basic combinations of colorants in the oil and water phases of the microemulsion that may be used.
Figure imgf000028_0001
The ninth combination, with no colorants, is useful for printing transparent coatings, UV ink, and selective gloss highhghts. As many dyes are amphiphiUc, large quantities of dyes can also be solubilized in the oil-water boundary layer as this layer has a very large surface area.
It is also possible to have multiple dyes or pigments in each phase, and to have a mixture of dyes and pigments in each phase. When using multiple dyes or pigments the absorption spectrum of the resultant ink wiU be the weighted average of the absorption spectra of the different colorants used. This presents two problems:
1) The absorption spectrum will tend to become broader, as the absorption peaks of both colorants are averaged. This has a tendency to 'muddy' the colors. To obtain brilliant color, careful choice of dyes and pigments based on their absorption spectra, not just their human-perceptible color, needs to be made.
2) The color of the ink may be different on different substrates. If a dye and a pigment are used in combination, the color of the dye will tend to have a smaller contribution to the printed ink color on more absorptive papers, as the dye will be absorbed into the paper, while the pigment wiU tend to 'sit on top' of the paper. This may be used as an advantage in some circumstances.
Surfactants with a Krafft point in the drop selection temperature range
For ionic surfactants there is a temperature (the Krafft point) below which the solubility is quite low, and the solution contains essentially no micelles. Above the Krafft temperature micelle formation becomes possible and there is a rapid increase in solubiUty of the surfactant If the critical micelle concentration (CMC) exceeds the solubility of a surfactant at a particular temperature, then the minimum surface tension will be achieved at the point of maximum solubiUty, rather than at the CMC. Surfactants are usually much less effective below the Krafft point This factor can be used to achieve an increased reduction in surface tension with increasing temperature. At ambient temperatures, only a portion of the surfactant is in solution. When the nozzle heater is turned on, the temperature rises, and more of the surfactant goes into solution, decreasing the surface tension.
A surfactant should be chosen with a Krafft point which is near the top of the range of temperatures to which the ink is raised. This gives a maximum margin between the concentration of surfactant in solution at ambient temperatures, and the concentration of surfactant in solution at the drop selection temperature.
The concentration of surfactant should be approximately equal to the CMC at the Krafft point In this manner, the surface tension is reduced to the maximum amount at elevated temperatures, and is reduced to a minimum amount at ambient temperatures.
The following table shows some commercially available surfactants with Krafft points in the desired range.
Figure imgf000030_0001
Surfactants with a cloud point in the drop selection temperature range
Non-ionic surfactants using polyoxyethylene (POE) chains can be used to create an ink where the surface tension faUs with increasing temperature. At low temperatures, the POE chain is hydrophilic, and maintains the surfactant in solution. As the temperature increases, the structured water around the POE section of the molecule is disrupted, and the POE section becomes hydrophobic. The surfactant is increasingly rejected by the water at higher temperatures, resulting in increasing concentration of surfactant at the air/ink interface, thereby lowering surface tension. The temperature at which the POE section of a nonionic surfactant becomes hydrophiUc is related to the cloud point of that surfactant POE chains by themselves are not particularly suitable, as the cloud point is generally above 100°C Polyoxypropylene (POP) can be combined with POE in POE POP block copolymers to lower the cloud point of POE chains without introducing a strong hydrophobicity at low temperatures. Two main configurations of symmetrical POE POP block copolymers are available. These are:
1) Surfactants with POE segments at the ends of the molecules, and a POP segment in the centre, such as the poloxamer class of surfactants (generically CAS 9003-11-6)
2) Surfactants with POP segments at the ends of the molecules, and a POE segment in the centre, such as the meroxapol class of surfactants (generically also CAS 9003-11-6)
Some commercially available varieties of poloxamer and meroxapol with a high surface tension at room temperature, combined with a cloud point above 40°C and below 100°C are shown in the following table:
Figure imgf000031_0001
Figure imgf000032_0001
Other varieties of poloxamer and meroxapol can readily be synthesized using well known techniques. Desirable characteristics are a room temperature surface tension which is as high as possible, and a cloud point between 40°C and 100°C, and preferably between 60°C and 80°C.
Meroxapol IHO(CHCH3CH2O),(CH2CH2O)y(CHCH3CH2O)zOH] varieties where the average x and z are approximately 4, and the average y is approximately 15 may be suitable. If salts are used to increase the electrical conductivity of the ink, then the effect of this salt on the cloud point of the surfactant should be considered. The cloud point of POE surfactants is increased by ions that disrupt water structure (such as I"), as this makes more water molecules available to form hydrogen bonds with the POE oxygen lone pairs. The cloud point of POE surfactants is decreased by ions that form water structure (such as Cl", OH"), as fewer water molecules are available to form hydrogen bonds. Bromide ions have relatively little effect The ink composition can be 'tuned' for a desired temperature range by altering the lengths of POE and POP chains in a block copolymer surfactant, and by changing the choice of salts (e.g Cl' to Br" to T) that are added to increase electrical conductivity. NaCl is likely to be the best choice of salts to increase ink conductivity, due to low cost and non-toxicity. NaCl sUghtly lowers the cloud point of nonionic surfactants.
Hot Melt Into
The ink need not be in a Uquid state at room temperature. SoUd 'hot melt' inks can be used by heating the printing head and ink reservoir above the melting point of the ink. The hot melt ink must be formulated so that the surface tension of the molten ink decreases with temperature. A decrease of approximately
2 mN/m will be typical of many such preparations using waxes and other substances. However, a reduction in surface tension of approximately 20 mN/m is desirable in order to achieve good operating margins when relying on a reduction in surface tension rather than a reduction in viscosity.
The temperature difference between quiescent temperature and drop selection temperature may be greater for a hot melt ink than for a water based ink, as water based inks are constrained by the boiling point of the water. The ink must be Uquid at the quiescent temperature. The quiescent temperature should be higher than the highest ambient temperature likely to be encountered by the printed page. T he quiescent temperature should also be as low as practical, to reduce the power needed to heat the print head, and to provide a maximum margin between the quiescent and the drop ejection temperatures. A quiescent temperature between 60°C and 90°C is generally suitable, though other temperatures may be used. A drop ejection temperature of between 160°C and
200°C is geneπdly suitable.
There are several methods of achieving an enhanced reduction in surface tension with increasing temperature. 1 ) A dispersion of microfine particles of a surfactant with a melting point substantially above the quiescent temperature, but substantially below the drop ejection temperature, can be added to the hot melt ink while in the Uquid phase.
2) A polar/non-polar microemulsion with a PIT which is preferably at least 20°C above the melting points of both the polar and non-polar compounds.
To achieve a large reduction in surface tension with temperature, it is desirable that the hot melt ink carrier have a relatively large surface tension
(above 30 mN/m) when at the quiescent temperature. This generally excludes alkanes such as waxes. Suitable materials will generally have a strong intermolecular attraction, which may be achieved by multiple hydrogen bonds, for example, polyols, such as Hexanetetrol, which has a melting point of 88°C. Surface tension reduction of various solutions
Figure 3(d) shows the measured effect of temperature on the surface tension of various aqueous preparations containing the following additives:
1) 0.1% sol of Stearic Acid 2) 0.1% sol of Palmitic acid
3) 0.1% solution of Pluronic 10R5 (trade mark of BASF)
4) 0.1 % solution of Pluronic L35 (trade mark of BASF)
5) 0.1 % solution of Pluronic L44 (trade mark of BASF)
Inks suitable for printing systems of the present invention are described in the foUowing AustraUan patent specifications, the disclosure of which are hereby incorporated by reference:
'Ink composition based on a microemulsion' (Filing no.: PN5223, filed on 6 September 1995);
'Ink composition containing surfactant sol' (Filing no.: PN5224, filed on 6 September 1995);
'Ink composition for DOD printers with Krafft point near the drop selection temperature sol' (Filing no.: PN6240, filed on 30 October 1995); and
'Dye and pigment in a microemulsion based ink' (Filing no.: PN6241, filed on 30 October 1995).
Operation Using Reduction of Viscosity
As a second example, operation of an embodiment using thermal reduction of viscosity and proximity drop separation, in combination with hot melt ink, is as foUows. Prior to operation of the printer, sohd ink is melted in the reservoir 64. The reservoir, ink passage to the print head, ink channels 75, and print head 50 are maintained at a temperature at which the ink 100 is Uquid, but exhibits a relatively high viscosity (for example, approximately 100 cP). The Ink 100 is retained in the nozzle by the surface tension of the ink. The ink 100 is formulated so that the viscosity of the ink reduces with increasing temperature. The ink pressure oscillates at a frequency which is an integral multiple of the drop ejection frequency from the nozzle. The ink pressure oscillation causes osculations of the ink meniscus at the nozzle tips, but this osciUation is smaU due to the high ink viscosity. At the normal operating temperature, these osάUations are of insufficient amphtude to result in drop separation. When the heater 103 is energized, the ink forming the selected drop is heated, causing a reduction in viscosity to a value which is preferably less than 5 cP. The reduced viscosity results in the ink meniscus moving further during the high pressure part of the ink pressure cycle. The recording medium 51 is arranged sufficiently close to the print head 50 so that the selected drops contact the recording medium 51, but sufficiently far away that the unselected drops do not contact the recording medium 51. Upon contact with the recording medium 51 , part of the selected drop freezes, and attaches to the recording medium. As the ink pressure faUs, ink begins to move back into the nozzle. The body of ink separates from the ink which is frozen onto the recording medium. The meniscus of the ink 100 at the nozzle tip then returns to low amphtude oscillation. The viscosity of the ink increases to its quiescent level as remaining heat is dissipated to the bulk ink and print head. One ink drop is selected, separated and forms a spot on the recording medium 51 for each heat pulse. As the heat pulses are electricaUy controUed, drop on demand inkjet operation can be achieved.
Manufacturing of Print Heads
Manufacturing processes for monoUthic print heads in accordance with the present invention are described in the following AustraUan patent specifications filed on 12 April 1995, the disclosure of which are hereby incorporated by reference:
'A monoUthic LIFT printing head' (Filing no.: PN2301); 'A manufacturing process for monoUthic LIFT printing heads' (Filing no.: PN2302);
'A self-ahgned heater design for LIFT print heads' (Filing no.: PN2303); 'Integrated four color LIFT print heads' (Filing no.: PN2304); 'Power requirement reduction in monolithic LIFT printing heads' (Filing no.: PN2305); ' A manufacturing process for monoUthic LIFT print heads using anisotropic wet etching' (Filing no.: PN2306);
'Nozzle placement in monoUthic drop-on-demand print heads' (Filing no.:
PN2307); 'Heater structure for monolithic LIFT print heads' (Filing no.: PN2346);
'Power supply connection for monoUthic LIFT print heads' (Filing no.:
PN2347);
'External connections for Proximity LIFT print heads' (FiUng no.:
PN2348); and 'A self- aligned manufacturing process for monoUthic LEFT print heads'
(Filing no.: PN2349); and
'CMOS process compatible fabrication of LIFT print heads' (Filing no.:
PN5222, 6 September 1995).
'A manufacturing process for LIFT print heads with nozzle rim heaters' (Filing no.: PN6238, 30 October 1995);
'A modular LIFT print head' (Filing no.: PN6237, 30 October 1995);
'Method of increasing packing density of printing nozzles' (Filing no.:
PN6236, 30 October 1995); and
'Nozzle dispersion for reduced electrostatic interaction between simultaneously printed droplets' (Filing no.: PN6239, 30 October 1995).
Control of Print Heads
Means of providing page image data and controlling heater temperature in print heads of the present invention is described in the following AustraUan patent specifications filed on 12 April 1995, the disclosure of which are hereby incorporated by reference:
'Integrated drive circuitry in LIFT print heads' (Filing no.: PN2295); 'A nozzle clearing procedure for Liquid Ink Fault Tolerant (LEFT) printing' (Filing no.: PN2294);
'Heater power compensation for temperature in LIFT printing systems' (Filing no.: PN2314); 'Heater power compensation for thermal lag in LIFT printing systems'
(Filing no.: PN2315);
'Heater power compensation for print density in LIFT printing systems' (Filing no.: PN2316); 'Accurate control of temperature pulses in printing heads' (Filing no.:
PN2317);
'Data distribution in monoUthic LIFT print heads' (Filing no.: PN2318);
'Page image and fault tolerance routing device for LIFT printing systems' (Filing no.: PN2319); and 'A removable pressurized Uquid ink cartridge for LIFT printers' (Filing no.: PN2320).
Image Processing for Print Heads
An objective of printing systems according to the invention is to attain a print quaUty which is equal to that which people are accustomed to in quality color pubUcations printed using offset printing. This can be achieved using a print resolution of approximately 1,600 dpi. However, 1,600 dpi printing is difficult and expensive to achieve. Similar results can be achieved using 800 dpi printing, with 2 bits per pixel for cyan and magenta, and one bit per pixel for yellow and black. This color model is herein caUed CC'MM' YK. Where high quaUty monochrome image printing is also required, two bits per pixel can also be used for black. This color model is herein caUed CC'MM'YKK'. Color models, halftoning, data compression, and real-time expansion systems suitable for use in systems of this invention and other printing systems are described in the foUowing AustraUan patent specifications filed on 12 April 1995, the disclosure of which are hereby incorporated by reference:
'Four level ink set for bi-level color printing' (Filing no.: PN2339); 'Compression system for page images' (Filing no.: PN2340); 'Real-time expansion apparatus for compressed page images' (Filing no.: PN2341); and 'High capacity compressed document image storage for digital color printers' (Filing no.: PN2342);
'Improving JPEG compression in the presence of text' (Filing no.: PN2343); 'An expansion and halftoning device for compressed page images' (Filing no.: PN2344); and
'Improvements in image halftoning' (FiUng no.: PN2345).
Applications Using Print Heads According to this Invention
Printing apparatus and methods of this invention are suitable for a wide range of appUcations, including (but not Umited to) the foUowing: color and monochrome office printing, short run digital printing, high speed digital printing, process color printing, spot color printing, offset press supplemental printing, low cost printers using scanning print heads, high speed printers using pagewidth print heads, portable color and monochrome printers, color and monochrome copiers, color and monochrome facsimile machines, combined printer, facsimile and copying machines, label printing, large format plotters, photographic dupUcation, printers for digital photographic processing, portable printers incorporated into digital 'instant' cameras, video printing, printing of PhotoCD images, portable printers for 'Personal Digital Assistants', wallpaper printing, indoor sign printing, billboard printing, and fabric printing.
Printing systems based on this invention are described in the foUowing AustraUan patent specifications filed on 12 April 1995, the disclosure of which are hereby incorporated by reference:
'A high speed color office printer with a high capacity digital page image store' (Filing no.: PN2329);
'A short run digital color printer with a high capacity digital page image store' (Filing no.: PN2330);
'A digital color printing press using LIFT printing technology' (Filing no.: PN2331); 'A modular digital printing press' (Filing no.: PN2332); 'A high speed digital fabric printer' (Filing no.: PN2333);
'A color photograph copying system' (Filing no.: PN2334);
'A high speed color photocopier using a LIFT printing system' (Filing no.: PN2335); 'A portable color photocopier using LIFT printing technology' (Filing no.:
PN2336);
'A photograph processing system using LIFT printing technology' (Filing no.: PN2337);
'A plain paper facsimile machine using a LIFT printing system' (Filing no.: PN2338);
'A PhotoCD system with integrated printer' (Filing no.: PN2293);
'A color plotter using LIFT printing technology' (Filing no.: PN2291);
'A notebook computer with integrated LIFT color printing system' (Filing no.: PN2292); 'A portable printer using a LIFT printing system' (Filing no.: PN2300);
'Fax machine with on-line database interrogation and customized magazine printing' (FUing no.: PN2299);
'Miniature portable color printer' (FiUng no.: PN2298);
'A color video printer using a LIFT printing system' (FiUng no.: PN2296); and
'An integrated printer, copier, scanner, and facsimile using a LIFT printing system' (FiUng no.: PN2297)
Compensation of Print Heads for Environmental Conditions
It is desirable that drop on demand printing systems have consistent and predictable ink drop size and position. Unwanted variation in ink drop size and position causes variations in the optical density of the resultant print, reducing the perceived print quaUty. These variations should be kept to a smaU proportion of the nominal ink drop volume and pixel spacing respectively. Many environmental variables can be compensated to reduce their effect to insignificant levels. Active compensation of some factors can be achieved by varying the power appUed to the nozzle heaters.
An optimum temperature profile for one print head embodiment involves an instantaneous raising of the active region of the nozzle tip to the ejection temperature, maintenance of this region at the ejection temperature for the duration of the pulse, and instantaneous cooling of the region to the ambient temperature.
This optimum is not achievable due to the stored heat capacities and thermal conductivities of the various materials used in the fabrication of the nozzles in accordance with the invention. However, improved performance can be achieved by shaping the power pulse using curves which can be derived by iterative refinement of finite element simulation of the print head. The power appUed to the heater can be varied in time by various techniques, including, but not limited to:
1) Varying the voltage appUed to the heater 2) Modulating the width of a series of short pulses (PWM)
3) Modulating the frequency of a series of short pulses (PFM)
To obtain accurate results, a transient fluid dynamic simulation with free surface modeling is required, as convection in the ink, and ink flow, significantly affect on the temperature achieved with a specific power curve. By the incorporation of appropriate digital circuitry on the print head substrate, it is practical to individuaUy control the power appUed to each nozzle.
One way to achieve this is by 'broadcasting' a variety of different digital pulse trains across the print head chip, and selecting the appropriate pulse train for each nozzle using multiplexing circuits. An example of the environmental factors which may be compensated for is Usted in the table "Compensation for environmental factors". This table identifies which environmental factors are best compensated globaUy (for the entire print head), per chip (for each chip in a composite multi-chip print head), and per nozzle.
Compensation for environmental factors
Figure imgf000041_0001
Most appUcations wiU not require compensation for aU of these variables. Some variables have a minor effect, and compensation is only necessary where very high image quaUty is required.
Print head drive circuits Figure 4 is a block schematic diagram showing electronic operation of an example head driver circuit in accordance with this invention. This control circuit uses analog modulation of the power supply voltage appUed to the print head to achieve heater power modulation, and does not have individual control of the power applied to each nozzle. Figure 4 shows a block diagram for a system using an 800 dpi pagewidth print head which prints process color using the CC'MM'YK color model. The print head 50 has a total of 79,488 nozzles, with 39,744 main nozzles and 39,744 redundant nozzles. The main and redundant nozzles are divided into six colors, and each color is divided into 8 drive phases. Each drive phase has a shift register which converts the serial data from a head control ASIC 400 into parallel data for enabling heater drive circuits. There is a total of 96 shift registers, each providing data for 828 nozzles. Each shift register is composed of 828 shift register stages 217, the outputs of which are logicaUy anded with phase enable signal by a nand gate 215. The output of the nand gate 215 drives an inverting buffer 216, which in turn controls the drive transistor 201. The drive transistor 201 actuates the electrothermal heater 200, which may be a heater 103 as shown in figure 1(b). To maintain the shifted data valid during the enable pulse, the clock to the shift register is stopped the enable pulse is active by a clock stopper 218, which is shown as a single gate for clarity, but is preferably any of a range of weU known glitch free clock control circuits. Stopping the clock of the shift register removes the requirement for a paraUel data latch in the print head, but adds some complexity to the control circuits in the Head Control ASIC 400. Data is routed to either the main nozzles or the redundant nozzles by the data router 219 depending on the state of the appropriate signal of the fault status bus.
The print head shown in figure 4 is simplified, and does not show various means of improving manufacturing yield, such as block fault tolerance. Drive circuits for different configurations of print head can readily be derived from the apparatus disclosed herein.
Digital information representing patterns of dots to be printed on the recording medium is stored in the Page or Band memory 1513, which may be the same as the Image memory 72 in figure 1 (a). Data in 32 bit words representing dots of one color is read from the Page or Band memory 1513 using addresses selected by the address mux 417 and control signals generated by the Memory Interface 418.
These addresses are generated by Address generators 411, which forms part of the
'Per color circuits' 410, for which there is one for each of the six color components. The addresses are generated based on the positions of the nozzles in relation to the print medium. As the relative position of the nozzles may be different for different print heads, the Address generators 411 are preferably made programmable. The Address generators 411 normally generate the address corresponding to the position of the main nozzles. However, when faulty nozzles are present, locations of blocks of nozzles containing faults can be marked in the Fault Map RAM 412. The Fault Map RAM 412 is read as the page is printed. If the memory indicates a fault in the block of nozzles, the address is altered so that the Address generators 411 generate the address corresponding to the position of the redundant nozzles. Data read from the Page or Band memory 1513 is latched by the latch 413 and converted to four sequential bytes by the multiplexer 414. Timing of these bytes is adjusted to match that of data representing other colors by the FIFO 415. This data is then buffered by the buffer 430 to form the 48 bit main data bus to the print head 50. The data is buffered as the print head may be located a relatively long distance from the head control ASIC. Data from the Fault Map RAM 412 also forms the input to the FIFO 416. The timing of this data is matched to the data output of the FIFO 415, and buffered by the buffer 431 to form the fault status bus.
The programmable power supply 320 provides power for the head 50. The voltage of the power supply 320 is controlled by the DAC 313, which is part of a RAM and DAC combination (RAMDAC) 316. The RAMDAC 316 contains a dual port RAM 317. The contents of the dual port RAM 317 are programmed by the MicrocontroUer 315. Temperature is compensated by changing the contents of the dual port RAM 317. These values are calculated by the microcontroUer 315 based on temperature sensed by a theπnal sensor 300. The theπnal sensor 300 signal connects to the Analog to Digital Converter (ADC) 311. The ADC 311 is preferably incorporated in the MicrocontroUer 315.
The Head Control ASIC 400 contains control circuits for thermal lag compensation and print density. Thermal lag compensation requires that the power supply voltage to the head 50 is a rapidly time- varying voltage which is synchronized with the enable pulse for the heater. This is achieved by programming the programmable power supply 320 to produce this voltage. An analog time varying programming voltage is produced by the DAC 313 based upon data read from the dual port RAM 317. The data is read according to an address produced by the counter 403. The counter 403 produces one complete cycle of addresses during the period of one enable pulse. This synchronization is ensured, as the counter 403 is clocked by the system clock 408, and the top count of the counter 403 is used to clock the enable counter 404. The count from the enable counter 404 is then decoded by the decoder 405 and buffered by the buffer 432 to produce the enable pulses for the head 50. The counter 403 may include a prescaler if the number of states in the count is less than the number of clock periods in one enable pulse. Sixteen voltage states are adequate to accurately compensate for the heater thermal lag. These sixteen states can be specified by using a four bit connection between the counter 403 and the dual port RAM 317. However, these sixteen states may not be linearly spaced in time. To aUow non-linear timing of these states the counter 403 may also include a ROM or other device which causes the counter 403 to count in a non-linear fashion. Alternatively, fewer than sixteen states may be used.
For print density compensation, the printing density is detected by counting the number of pixels to which a drop is to be printed ('on' pixels) in each enable period. The 'on' pixels are counted by the On pixel counters 402. There is one On pixel counter 402 for each of the eight enable phases. The number of enable phases in a print head in accordance with the invention depend upon the specific design. Four, eight, and sixteen are convenient numbers, though there is no requirement that the number of enable phases is a power of two. The On Pixel
Counters 402 can be composed of combinatorial logic pixel counters 420 which determine how many bits in a nibble of data are on. This number is then accumulated by the adder 421 and accumulator 422. A latch 423 holds the accumulated value vahd for the duration of the enable pulse. The multiplexer 401 selects the output of the latch 423 which corresponds to the current enable phase, as determined by the enable counter 404. The output of the multiplexer 401 forms part of the address of the dual port RAM 317. An exact count of the number of 'on' pixels is not necessary, and the most significant four bits of this count are adequate. Combining the four bits of thermal lag compensation address and the four bits of print density compensation address means that the dual port RAM 317 has an 8 bit address. This means that the dual port RAM 317 contains 256 numbers, which are in a two dimensional array. These two dimensions are time (for thermal lag compensation) and print density. A third dimension - temperature - can be included. As the ambient temperature of the head varies only slowly, the microcontroUer 315 has sufficient time to calculate a matrix of 256 numbers compensating for thermal lag and print density at the current temperature. Periodically (for example, a few times a second), the microcontroUer senses the current head temperature and calculates this matrix.
The clock to the print head 50 is generated from the system clock 408 by the Head clock generator 407, and buffered by the buffer 406. To facilitate testing of the Head control ASIC, JTAG test circuits 499 may be included.
Comparison with thermal ink iet technology The table "Comparison between Theπnal ink jet and Present
Invention" compares the aspects of printing in accordance with the present invention with thermal inkjet printing technology.
A direct comparison is made between the present invention and thermal inkjet technology because both are drop on demand systems which operate using theπnal actuators and Uquid ink. Although they may appear similar, the two technologies operate on different principles.
Thermal ink jet printers use the foUowing fundamental operating principle. A theπnal impulse caused by electrical resistance heating results in the explosive formation of a bubble in Uquid ink. Rapid and consistent bubble formation can be achieved by superheating the ink, so that sufficient heat is transferred to the ink before bubble nucleation is complete. For water based ink, ink temperatures of approximately 280°C to 400°C are required. The bubble formation causes a pressure wave which forces a drop of ink from the aperture with high velocity. The bubble then coUapses, drawing ink from the ink reservoir to re-fiU the nozzle. Thermal inkjet printing has been highly successful commerciaUy due to the high nozzle packing density and the use of weU established integrated circuit manufacturing techniques. However, thermal inkjet printing technology faces significant technical problems including multi-part precision fabrication, device yield, image resolution, 'pepper' noise, printing speed, drive transistor power, waste power dissipation, satelhte drop formation, thermal stress, differential theπnal expansion, kogation, cavitation, rectified diffusion, and difficulties in ink formulation.
Printing in accordance with the present invention has many of the advantages of thermal ink jet printing, and completely or substantiaUy eliminates many of the inherent problems of thermal ink jet technology.
Comparison between Thermal inkjet and Present Invention
Figure imgf000046_0001
Figure imgf000047_0001
Figure imgf000048_0001
Yield and Fault Tolerance
In most cases, monolithic integrated circuits cannot be repaired if they are not completely functional when manufactured. The percentage of operational devices which are produced from a wafer run is known as the yield. Yield has a direct influence on manufacturing cost. A device with a yield of 5% is effectively ten times more expensive to manufacture than an identical device with a yield of 50%.
There are three major yield measurements:
1) Fab yield 2) Wafer sort yield
3) Final test yield
For large die, it is typically the wafer sort yield which is the most serious limitation on total yield. Full pagewidth color heads in accordance with this invention are very large in comparison with typical VLSI circuits. Good wafer sort yield is critical to the cost-effective manufacture of such heads.
Figure 5 is a graph of wafer sort yield versus defect density for a monoUthic fuU width color A4 head embodiment of the invention. The head is 215 mm long by 5 mm wide. The non fault tolerant yield 198 is calculated according to
Murphy's method, which is a widely used yield prediction method. With a defect density of one defect per square cm, Murphy's method predicts a yield less than
1%. This means that more than 99% of heads fabricated would have to be discarded. This low yield is highly undesirable, as the print head manufacturing cost becomes unacceptably high.
Murphy's method approximates the effect of an uneven distribution of defects. Figure 5 also includes a graph of non fault tolerant yield 197 which exphcitly models the clustering of defects by introducing a defect clustering factor.
The defect clustering factor is not a controllable parameter in manufacturing, but is a characteristic of the manufacturing process. The defect clustering factor for manufacturing processes can be expected to be approximately 2, in which case yield projections closely match Murphy's method.
A solution to the problem of low yield is to incorporate fault tolerance by including redundant functional units on the chip which are used to replace faulty functional units.
In memory chips and most Wafer Scale Integration (WSI) devices, the physical location of redundant sub-units on the chip is not important. However, in printing heads the redundant sub-unit may contain one or more printing actuators. These must have a fixed spatial relationship to the page being printed. To be able to print a dot in the same position as a faulty actuator, redundant actuators must not be displaced in the non-scan direction. However, faulty actuators can be replaced with redundant actuators which are displaced in the scan direction. To ensure that the redundant actuator prints the dot in the same position as the faulty actuator, the data timing to the redundant actuator can be altered to compensate for the displacement in the scan direction.
To aUow replacement of all nozzles, there must be a complete set of spare nozzles, which results in 1 0% redundancy. The requirement for 100% redundancy would normally more than double the chip area, dramaticaUy reducing the primary yield before substituting redundant units, and thus eliminating most of the advantages of fault tolerance.
However, with print head embodiments according to this invention, the minimum physical dimensions of the head chip are determined by the width of the page being printed, the fragiUty of the head chip, and manufacturing constraints on fabrication of ink channels which supply ink to the back surface of the chip. The minimum practical size for a full width, fuU color head for printing A4 size paper is approximately 215 mm x 5 mm. This size allows the inclusion of 100% redundancy without significantly increasing chip area, when using 1.5 μm CMOS fabrication technology. Therefore, a high level of fault tolerance can be included without significantly decreasing primary yield.
When fault tolerance is included in a device, standard yield equations cannot be used. Instead, the mechanisms and degree of fault tolerance must be specificaUy analyzed and included in the yield equation. Figure 5 shows the fault tolerant sort yield 199 for a full width color A4 head which includes various forms of fault tolerance, the modeling of which has been included in the yield equation. This graph shows projected yield as a function of both defect density and defect clustering. The yield projection shown in figure 5 indicates that thoroughly implemented fault tolerance can increase wafer sort yield from under 1% to more than 90% under identical manufacturing conditions. This can reduce the manufacturing cost by a factor of 100.
Fault tolerance is highly recommended to improve yield and reliability of print heads containing thousands of printing nozzles, and thereby make pagewidth printing heads practical. However, fault tolerance is not to be taken as an essential part of the present invention.
Fault tolerance in drop-on-demand printing systems is described in the foUowing AustraUan patent specifications filed on 12 April 1995, the disclosure of which are hereby incorporated by reference: 'Integrated fault tolerance in printing mechanisms' (Filing no.: PN2324);
'Block fault tolerance in integrated printing heads' (Filing no.: PN2325);
'Nozzle dupUcation for fault tolerance in integrated printing heads' (Filing no.: PN2326);
'Detection of faulty nozzles in printing heads' (Filing no.: PN2327); and 'Fault tolerance in high volume printing presses' (Filing no.: PN2328).
Printing System Embodiments
A schematic diagram of a digital electronic printing system using a print head of this invention is shown in Figure 6. This shows a monoUthic printing head 50 printing an image 60 composed of a multitude of ink drops onto a recording medium 51. This medium will typically be paper, but can also be overhead transparency film, cloth, or many other substantiaUy flat surfaces which wiU accept ink drops. The image to be printed is provided by an image source 52, which may be any image type which can be converted into a two dimensional array of pixels. Typical image sources are image scanners, digitaUy stored images, images encoded in a page description language (PDL) such as Adobe Postscript, Adobe Postscript level 2, or Hewlett-Packard PCL 5, page images generated by a procedure-caU based rasterizer, such as Apple QuickDraw, Apple Quickdraw GX, or Microsoft GDI, or text in an electronic form such as ASCII. This image data is then converted by an image processing system 53 into a two dimensional array of pixels suitable for the particular printing system. This may be color or monochrome, and the data wiU typically have between 1 and 32 bits per pixel, depending upon the image source and the specifications of the printing system. The image processing system may be a raster image processor (RIP) if the source image is a page description, or may be a two dimensional image processing system if the source image is from a scanner. If continuous tone images are required, then a halftoning system 54 is necessary. Suitable types of halftoning are based on dispersed dot ordered dither or error diffusion. Variations of these, commonly known as stochastic screening or frequency modulation screening are suitable. The halftoning system commonly used for offset printing - clustered dot ordered dither - is not recommended, as effective image resolution is unnecessarily wasted using this technique. The output of the halftoning system is a binary monochrome or color image at the resolution of the printing system according to the present invention.
The binary image is processed by a data phasing circuit 55 (which may be incorporated in a Head Control ASIC 400 as shown in figure 4) which provides the pixel data in the correct sequence to the data shift registers 56. Data sequencing is required to compensate for the nozzle arrangement and the movement of the paper. When the data has been loaded into the shift registers 56, it is presented in paraUel to the heater driver circuits 57. At the correct time, the driver circuits 57 will electronically connect the corresponding heaters 58 with the voltage pulse generated by the pulse shaper circuit 61 and the voltage regulator 62. The heaters 58 heat the tip of the nozzles 59, affecting the physical characteristics of the ink. Ink drops 60 escape from the nozzles in a pattern which corresponds to the digital impulses which have been apphed to the heater driver circuits. The pressure of the ink in the ink reservoir 64 is regulated by the pressure regulator 63. Selected drops of ink drops 60 are separated from the body of ink by the chosen drop separation means, and contact the recording medium 51. During printing, the recording medium 51 is continually moved relative to the print head 50 by the paper transport system 65. If the print head 50 is the fuU width of the print region of the recording medium 51, it is only necessary to move the recording medium 51 in one direction, and the print head 50 can remain fixed. If a smaUer print head 50 is used, it is necessary to implement a raster scan system. This is typicaUy achieved by scanning the print head 50 along the short dimension of the recording medium 51 , while moving the recording medium 51 along its long dimension.
Multiple nozzles in a single monolithic print head It is desirable that a new printing system intended for use in equipment such as office printers or photocopiers is able to print quickly. A printing speed of 60 A4 pages per minute (one page per second) wiU generaUy be adequate for many appUcations. However, achieving an electronicaUy controUed print speed of 60 pages per minute is not simple. The minimum time taken to print a page is equal to the number of dot positions on the page times the time required to print a dot, divided by the number of dots of each color which can be printed simultaneously.
The image quality that can be obtained is affected by the total number of ink dots which can be used to create an image. For full color magazine quahty printing using dispersed dot digital halftoning, approximately 800 dots per inch (31.5 dots per mm) are required. The spacing between dots on the paper is 31.75 μm.
A standard A4 page is 210 mm times 297 mm. At 31.5 dots per mm, 61,886,632 dots are required for a monochrome fuU bleed A4 page. High quaUty process color printing requires four colors - cyan, magenta, yellow, and black. Therefore, the total number of dots required is 247,546,528. WhUe this can be reduced somewhat by not allowing printing in a smaU margin at the edge of the paper, the total number of dots required is stiU very large. If the time taken to print a dot is 144 ms, and only one nozzle per color is provided, then it will take more than two hours to print a single page.
To achieve high speed, high quaUty printing with my printing system described above, printing heads with many smaU nozzles are preferred. The printing of a 800 dpi color A4 page in one second can be achieved if the printing head is the fiill width of the paper. The printing head can be stationary, and the paper can travel past it in the one second period. A four color 800 dpi printing head 210 mm wide requires 26,460 nozzles.
Such a print head may contain 26,460 active nozzles, and 26,460 redundant (spare) nozzles, giving a total of 52,920 nozzles. There are 6,615 active nozzles for each of the cyan, magenta, yeUow, and black process colors.
Print heads with large numbers of nozzles can be manufactured at low cost This can be achieved by using semiconductor manufacturing processes to simultaneously fabricate many thousands of nozzles in a sihcon wafer. To eliminate problems with mechanical alignment and differential thermal expansion that would occur if the print head were to be manufactured in several parts and assembled, the head can be manufactured from a single piece of sihcon. Nozzles and ink channels are etched into the sihcon. Heater elements are formed by evaporation of resistive materials, and subsequent photoUthography using standard semiconductor manufacturing processes. To reduce the large number of connections that would be required on a print head with thousands of nozzles, data distribution circuits and drive circuits can also be integrated on the print head.
Figure 7 is a simplified view of a portion of a print head, seen from the back surface of the chip, and cut through some of the nozzles. The substrate 120 can be made from a single sihcon crystal. Nozzles 121 are fabricated in the substrate, e.g., by semiconductor photolithography and chemical wet etch or plasma etching processes. Ink enters the nozzle at the top surface of the head, passes through the substrate, and leaves via the nozzle tip 123. Planar fabrication of the heaters and the drive circuitry is on the underside of the wafer; that is, the print head is shown 'upside down' in relation the surface upon which active circuitry is fabricated. The substrate thickness 124 can be that of a standard sihcon wafer, approximately 650 μm. The head width 125 is related to the number of colors, the arrangement of nozzles, the spacing between the nozzles, and the head area required for drive circuitry and interconnections. For a monochrome head, an appropriate width would be approximately 2 mm. For a process color head, an appropriate width would be approximately 5 mm. For a CC'MM'YK color print head, the appropriate head width is approximately 8 mm. The length of the head
126 depends upon the appUcation. Very low cost appUcations may use short heads, which must be scanned over a page. High speed appUcations can use fixed page- width monoUthic or multi-chip print heads. A typical range of lengths for print heads is between 1 cm and 21 cm, though print heads longer than 21 cm are appropriate for high volume paper or fabric printing.
Self-aligned print head manufacturing using anisotropic wet etches The manufacture of monoUthic printing heads is similar to standard sihcon integrated circuit manufacture. However, the normal process flow are modified in several ways. This is essential to form the nozzles, the barrels for the nozzles, the heaters, and the nozzle tips. There are many different semiconductor processes upon which monoUthic head production can be based. For each of these semiconductor processes, there are many different ways the basic process can be modified to form the necessary structures.
To reduce the cost of estabhshing factories to produce heads, it is desirable to base the production on a simple process. It is also desirable to use a set of design rules which is as coarse as practical. This is because equipment to produce fine line widths is more expensive, and requires a cleaner environment to achieve equivalent yields.
To minimize the capital cost of small volume manufacturing runs it is desirable that the additional processing steps needed to form the nozzles can be achieved with low capital investment This patent describes a manufacturing process where nozzle formation is achieved mainly using anisotropic wet etch processes. As a result, expensive plasma etching equipment is not required.
The process described herein is based on standard semiconductor manufacturing processes, and can use equipment designed for 1.5 μm line widths. The use of Uthographic equipment which is essentiaUy obsolete (at the time of writing, the latest production IC manufacturing equipment is capable of 0.25 μm line widths) can substantially reduce the cost of estabUshing factories for the production of heads.
It is also not necessary to use a low power, high speed process such as VLSI CMOS. The speeds required are moderate, and the power consumption is dominated by the heater power required for the inkjet nozzles. Therefore, a simple technology such as nMOS is adequate. However, CMOS is likely to be the most practical production solution, as there is a significant amount of idle CMOS manufacturing capability available with line widths between 1 μm and 2 μm.
Suitable hasic manufacturing processes
The manufacturing steps required for fabricating nozzles can be incorporated into many different semiconductor processing systems. For example, it is possible to manufacture print heads by modifying the foUowing technologies: 1) nMOS 2) pMOS
3) CMOS
4) Bipolar
5) ECL
6) Various gallium arsenide processes 7) Thin Film Transistors (TFT) on glass substrates
8) Micromechanical fabrication without active semiconductor circuits
The choice of the base technology is largely independent of the ability to fabricate nozzles. The method of incorporation of nozzle manufacturing steps into semiconductor processing procedures which have not yet been invented is also likely to be obvious to those skilled in the art. The simplest fabrication process is to manufacture the nozzles using sihcon micromechanical processing, without fabricating active semiconductor devices on the same wafer. However, this approach is not practical for heads with large numbers of nozzles, as at least one external connection to the head is required for each nozzle. For large heads, it is highly advantageous to fabricate drive transistors and data distribution circuits on the same chip as the nozzles.
CMOS is currently the most popular integrated circuit process. At present, many CMOS processes are in commercial use, with line widths as smaU as 0.35 μm being in common use. CMOS offers the foUowing advantages for the fabrication of heads:
1) Well known and weU characterized production process.
2) Quiescent current is almost zero 3) High reUabiUty
4) High noise immunity
5) Wide power supply operating range
6) Reduced electromigration in metal lines
7) Simpler circuit design of shift registers and fault tolerance logic 8) The substrate can be grounded from the front side of the wafer.
CMOS has, however, some disadvantages over nMOS and other technologies in the fabrication of heads which include integrated drive circuitry. These include:
1 ) A large number of processing steps are required to simultaneously manufacture high quahty NMOS and PMOS devices on the same chip.
2) CMOS is susceptible to latchup. This is of particular concern due to the high currents at a voltage typically greater than Vdd that are required for the heater circuits.
3) Like other MOS technologies, CMOS is susceptible to electrostatic discharge damage. This can be minimized by including protection circuits at the inputs, and by careful handling.
There is no absolute 'best' base manufacturing process which is appUcable to all possible configurations of printing head. Instead, the manufacturing steps which are specific to the nozzles should be incorporated into the manufacturer's preferred process. In most cases, there will need to be minor alterations to the specific details of nozzle manufacturing steps to be compatible with the existing process flow, equipment used, preferred photoresists, and preferred chemical processes. These modifications are obvious to those skilled in the art, and can be made without departing from the scope of the invention.
Layout example Figure 8(a) shows an example layout for a section of an 800 dpi four color head. The nozzle pitch for 800 dpi printing is 31.75 μm. Figure 8(a) shows four rows of nozzles, for cyan, magenta, yellow, and black inks. Each of these four rows contains four paraUel ink channels. The ink channels are etched almost through the wafer and each contains 64 nozzles. Two ink channels are for the main nozzles, and two ink channels are for the redundant nozzles. The nozzles are spaced by two pixel widths (63.5 μm) along each ink channel. The nozzles in one of the two main ink channels for each color are offset by one pixel width (31.75 μm) from the nozzles in the other main ink channel. The redundant nozzles are arranged in an identical manner, but offset in the print direction. The ink channels do not extend the entire length of the print region of the print head, as this would mechanicaUy weaken the print head too much. Instead, ink channels containing 64 nozzles are staggered in the print direction. Using a staggered array of nozzles such as this requires that the data be provided to drive the nozzles in such a manner as to compensate for the nozzle offsets. This can be achieved by digital circuitry which reads the page image from memory in the appropriate order and suppUes the data to the print head.
Rectangular regions 100 μm wide and 200 μm long are shown along the short edge chip layout. These are bonding pads for data, clocks, and logic power and ground. The V" and V" bonding pads extend along the entire two long edges of the chip, and are 200 μm wide.
Figure 8(b) is a detail enlargement of the ink channels and nozzles for one color of the print head shown in figure 8(a). The distance 4,064 mm is 64 times the nozzle spacing in a channel (63.5 μm). The distance 8,128 μm is 128 times the nozzle spacing in a channel. The distance 6790.6 μm is 4064 μm plus 2 * (1260 μm + (50 μm / tan 70.52°) + (50 μm / tan 54.74°) + 50 μm tolerance). The
50 μm tolerance is required because the wafer thickness may vary by as much as 25 μm.
Figure 8(c) is a detail enlargement of the end of a single ink channel. The angles shown are due to the anisotropic etching process, and result from the orientation of the { 111 } crystaUographic planes. The distance from fuU wafer thickness to the point at the bottom of the ink channel is 1260 μm. This results from a (111) crystaUographic plane which is at an angle of tan"1 (0.5) = 26.57° to the wafer surface. To achieve a required etch depth of 630 μm, an extra length of 1260 μm must be provided at the ends of the slot to be etched.
Figure 8(d) is a detail enlargement of two of the nozzles shown in figure 8(c). The nozzle radius is 10 μm, therefore the nozzle diameter is 20 μm. The nozzle barrel is shown as a dotted line. The nozzle barrel does not have a well defined radius, as it is formed by a boron diffusion etch stop for KOH etching. The distance from the edge of the nozzle to the edge of the ink channel is 15 μm. This is because the surface of the wafer is typicaUy not perfectly aUgned to the (110) crystaHographic plane, but may vary by as much as ±1 °. A 1° tilt of the { 111 } crystaUographic planes wiU result in the bottom of the ink channels being displaced 630 μm * tan 1° = 11 μ from the backface mask location. The line from A to B in figure 8(d) is the line through which the cross section diagrams of figure 9 are taken. This line includes a heater connection on the "A" side, and goes through a 'normal' section of the heater on the "B" side.
Alignment to crvstallngraphic planes
The manufacturing process described herein uses the crystaUographic planes inherent in the single crystal sihcon wafer to control etching. The orientation of the masking procedures to the { 111 } planes must be precisely controUed. The orientation of the primary flats on a sihcon wafer are normally only accurate to within ±1° of the appropriate crystal plane. It is essential that this angular tolerance be taken into account in the design of the mask and manufacturing processes. For example, if a groove is to be etched along the long edges of a 215 mm print head, then a 1 ° error in the ahgnment of the wafer to the { 111 } planes controlling the etch rates wiU result in a 3,752 μm error in the width of the groove, given sufficient etch time. An ahgnment error of ±0.1 ° or less is required. This can be achieved by etching a test groove in an area of the wafer which is imused. The groove should be long, and aligned to a (111) plane using the primary flat to align the wafer. The test groove is then over-etched using a solution of 500 grams of
KOH per Uter of water at 50°C to expose the { 111 } planes. This solution etches sihcon approximately 400 times faster in <100> directions than <111> directions. Subsequent angular ahgnment can be made opticaUy to this groove. Alternatively, the wafer can be etched clean through at the groove, which may extend to the edges of the wafer. This wiU produce another flat on the wafer, aligned with high accuracy to the chosen (111) plane. This flat can then be used for mechanical angular ahgnment. The surface orientation of the wafer is also only accurate to ± 1 ° .
However, since the wafer thickness is only approximately 650 μm, a ±1° eπor in ahgnment of the surface contributes a maximum of 11.3 μm of positional inaccuracy when etching through the entire wafer thickness. This is accommodated in the design of the etch masks.
Manufacturing process summary
A summary of the preferred manufacturing method is shown in Figure 9(a) to Figure 9(k). This consists of the following major steps:
1 ) The first manufacturing step is the deU very of the wafers . Sihcon wafers are highly recommended over other materials such as gallium arsenide, due to the availabiUty of large, high quaUty wafers at low cost, the strength of sihcon as a substrate, and the general maturity of fabrication processes and equipment
The example manufacturing process described herein uses n-type wafers with (110) crystaUographic orientation. The wafers should not be mechanicaUy or laser gettered, as this wiU affect back surface etching processes.
150 mm (6") wafers manufactured to standard Semiconductor Equipment and
Materials Institute (SEMI) specifications aUow 25 mm total thickness variation. The process described herein accommodates this thickness variation during the etching process, so standard tolerance wafers can be used. At the time of writing, 200 mm
(8") wafers are in use, and international standards are being set for 300 mm (12") sihcon wafers. 300 mm wafers are especiaUy useful for manufacturing heads, as pagewidth A4 (also US letter) print heads can be fabricated as a single chip on these wafers. Figure 9(a) shows a (110) n-type 300 mm wafer. The wafer shows
22 A4 print heads of 210 mm print length. Each print head chip is 215 mm long - 8 mm wide. These print heads can be used for US letter or A4 size printing, or as components in multi-chip print heads for A3 printing, sheet fed or web fed digital printing presses, and cloth printing. The boundary of each chip is etched with a deep groove. This groove can be etched before or after the fabrication of the active devices, depending upon process flow for the active devices. However, it is recommended that the grooves be etched after most fabrication steps are complete to avoid problems with resist edge beading at the grooves.
Figure 9(b) shows a cross section of the boundary groove along the short edges of the chip. CrystaUographic planes of the { 111 } family control the etch direction, resulting in a slope of 26.56° in the groove.
Figure 9(c) shows a cross section of the boundary groove along the long edges of the chip. CrystaUographic planes of the { 111 } family control the etch direction, resulting in vertical sidewaUs in the groove. The grooves are only required for proximity print heads, and are formed so that the electrical connections to the print head do not protrude beyond the surface of the chip. The etching of these grooves is best performed after the fabrication of the active devices on the chip, and is described in steps 5) and 6) below. 2) A boron etch stop is then diffused into the sihcon. The etch stop is required only in the regions of the bottoms of the ink channels, and is masked from the nozzles by an oversize mask. Boron is diffused to a concentration of 1020 atoms per cubic centimeter, to a depth of 15 μm to 20 μm. Figure 9(d) shows a cross section of wafer in the region of a nozzle tip after the boron doping stage.
3) The active devices are then fabricated using a prior art integrated circuit fabrication process with double layer metal. The prior art process may be nMOS, pMOS, CMOS, Bipolar, or other process. In general, the active circuits can be fabricated using unmodified processes. However, some processes wiU need modification to aUow for the large currents which may flow though a head. As a large head may have in excess of 28 Amperes flowing through the heater circuits when fuUy energized, it is essential to prevent electromigration. Molybdenum can be used instead of aluminum for first level metal, as it is resistant to electromigration. However, as molybdenum requires sputtering, care must be taken not to damage underlying MOS or CMOS structures. The preferred method of preventing electromigration is the provision of very wide aluminum traces which form a grid over the surface of the print head. This approach does not require modification of the manufacturing process, but must be considered in the mask pattern design. The prior-art manufacturing process proceeds unaltered up to the stage of appUcation of the inter-level dielectric.
4) Apply the inter-level dielectric. This can be 3 μm of CVD
5) Mask and etch the SiO2 at the borders of the chips. A region of approximately 200 μm inside the edge of the chips is etched. This is the bonding pad region. V grooves are etched in the bonding region. When the wafer is diced, these grooves are sawn lengthways, resulting in a chip with beveled edges. The bonding pads are formed on these bevels, aUowing the chip to be bonded without bonding wires or TAB bonding extending above the chip front surface. This is important for close proximity printing, as the print head must be in close proximity (approximately 20 μm) to the recording medium or transfer roUer. Conventional bonding methods would interfere with this proximity.
6) Etch the bonding pad grooves. The etch can be performed by an anisotropic wet etch, which etches the [100] crystaUographic direction preferentiaUy to the [ 111 ] direction. A solution of 440 grams of potassium hydroxide (KOH) per Uter of water can be used for a very high preferential etch rate (approximately 400:1).
Figure 9(b) shows a cross section of V groove at the short edge of the heads after this etching step. Figure 9(c) shows a cross section of the boundary groove along the long edges of the chip. CrystaUographic planes of the { 111 } family control the eich direction, resulting in vertical sidewaUs in the groove.
A 0.5 μm layer of CVD SiO2 should be apphed after etching the V grooves to insulate the bonding pads from the substrate. 7) Etch the inter-metal vias. In some cases, this step may be able to be combined with the etching of the SiO2 to form the mask for V groove etching. As the inter-metal SiO2 is much thicker than normal, tapering of the via sidewaUs is recommended.
8) AppUcation of second level metal. As with the first level metal, electromigration must be taken into account. Electromigration can be minimized by using large line-widths for aU high current traces, and by using an aluminum alloy containing 2% copper. Molybdenum is not recommended due to the difficulty in bonding to molybdenum thin films. The step coverage of the second level metal is important as the inter-level oxide is thicker than normal. Also, the vertical sidewaUs of the V" and V* grooves along the long edges of the chips must be coated. Adequate step coverage is possible by using low pressure evaporation. Via step coverage can be improved by placing vias only to areas where the first level metal covers field oxide. The preferred process is the deposition by low pressure evaporation of 1mm of 98% aluminum, 2% copper. 9) Mask and etch second level metal. Special attention to masking and etching of the bonding pads is required if the print head is to be used for close proximity printing, as they are fabricated in the V grooves. This introduces two problems: the resist thickness wiU be greater in the bottom of the V grooves, and the mask wiU be out of focus. This does not pose a problem for the long edges of the chip, as these are dedicated to the V" and N" power rails, and are not patterned. Bonding pads fabricated on the short edges of the chip should be separated by at least 100 μm. No active circuitry or fine geometry lines should be located in the V grooves. Figure 9(e) shows a cross section of the wafer in the region of a nozzle after this step.
10) Form the heater. The heater material (for example 0.05 μm of TaAl aUoy, or refractory materials such as HfB2 or ZrB2) can be appUed by low pressure evaporation or sputtering. As the heater is planar, masking and etching is straightforward. The heater is masked as a disk rather than an annulus. The centre of the disk is later etched during the nozzle formation step. This is to ensure excellent ahgnment between the heater and the nozzle. Heater radius should be controUed to finer tolerance than is generally available in a 1.5 μm process, and the use of a stepper for 0.5μm process is recommended. Figure 9(f) shows a cross section of the wafer in the region of a nozzle after this step. 11) Apply a protective coating of Si3N4. This is applied to the front face of the wafer only, and should be at least 0.1 μm thick to protect the front face of the wafer from attack by the long wet-etch of the back face of the wafer. Figure 9(g) shows a cross section of the wafer in the region of a nozzle after this step. 12) Mask the back surface of the wafer. Si3N4 is used as a mask, as resist is attacked by the wet etching solution, and the etch rate of SiO2 is too high (approx. 20 A/ minute) for effective use as a mask. The etch rate of Si3N is approximately 14 A/hour. Apply a 0.5 μm layer of Si3N , to the back surface of the wafer, foUowed by spin coating with 0.5 μm of resist. Expose and develop the resist on the back surface of the wafer using a mask of the ink channels. AUgnment is taken from the front surface of the wafer by modified ahgnment optics of the
Uthography equipment. Ahgnment of this step is not critical, and can be performed to an accuracy of approximately ±4 μm. The Si3N4 is then etched and the resist is stripped. 13) Etch the ink channels. This is performed by a wet etch of the sihcon using a solution of potassium hydroxide in water. The advantage of a wet etch over an anisotropic plasma etch is very low equipment cost, combined with highly accurate etch angles determined by crystaUographic planes. The etchant exposes the { 111 } planes. Four of these planes are oriented at an angle of 90° to the wafer surface. The ink channels are oriented paraUel to two of these paraUel planes so that the { 111 } planes define the vertical sidewaUs of the ink channels. A further two { 111 } planes are oriented at an angle of 26.56° to the wafer surface in the plane of the ink channels, and limit the etch depth of the ink channels. For this reason, the ink channel mask must be made longer than the required channel length, so that the full etch depth is attained where required in the ink channel. Etch the wafer in a 50% solution of KOH in water at 80°C. The etch rate is approximately 0.8 μm/minute, and an etch depth of 620 μm is required, so the etch duration should be around 12.9 hours. The exact time is not critical, due to the boron etch stop. The etch at this stage is a bulk silicon etch which should stop shortly before the boron etch stop is reached. The main purpose of this etching step is to reduce the sihcon thickness in the ink channels, so that the etch step which defines the nozzle barrels using the boron etch stop is much shorter, and does not significantly etch the SiO2 at the nozzle tip. Figure 9(h) is a perspective view of some of the ink channels after etching. This view is from the back surface of the wafer. Figure 9(i) shows a cross section of the wafer in the region of a nozzle after this step. The ink channel etched into the silicon from the rear of the wafer appears asymmetrical because the line A to B is not straight: at the A side the cross section is perpendicular to the ink channel, and at the B side the cross section runs along the ink channel. The Si3N4 masking layer should not be stripped. 14) Mask the nozzle tip using resist This must be performed accurately, as the ahgnment of the nozzle tip to the heater, and the radius of the nozzle tip, both affect drop ejection performance. These parameters should be controUed to an accuracy of better than 0.5 μm, and preferably better than 0.3 μm. Figure 9(j) shows a cross section of the wafer in the region of a nozzle after this step.
15) Etch the nozzle tip. The first step is the etching of the Si3N4 layer. The second step is etching the heater. As the heater is very thin, a wet etch can be used. The third step is the etching of the SiO2 forming the nozzle tip. This should be etched with an anisotropic etch, for example an RIE etch using CF - H2 gas mixture. The etch is down to sihcon in the nozzle region. The resist is then stripped. Figure 9(k) shows a cross section of the wafer in the region of a nozzle after this step.
16) Etch the nozzle barrels. This is also performed by a wet etch of the sihcon using KOH. Etching proceeds from both sides of the wafer at the same time, with etching from the rear occurring through the ink channels, and etching from the front occurring through the nozzle tip. Approximately 20 μm of sihcon thickness must be etched, 10 μm from each side. However, as the boron etch stop controls the geometry of the final nozzle barrel, etch time is not critical, and should be substantiaUy longer than the minimum etch time to accommodate 25 μm variations in wafer thickness and variable etch rates. Etch the wafer in a 50% solution of KOH in water at 80°C for 1 hour. Figure 9Q) is a perspective view of some of the nozzle barrels in two of the ink channels after this step. This view is from the back surface of the wafer, looking down into two adjacent ink channels. The circular apertures are the nozzle tips. The arrangement is for a 800 dpi printer with 31.75 μm pixel spacing. The nozzles in each channel are spaced at 63.5 μm, and are offset between the two channels by 31.75 μm. The diameter of the nozzle tip is 20 μm. The line A to B is the line of the cross sections in figure 9., as shown in figure 8(d). Figure 9(m) shows a cross section of the wafer in the region of a nozzle after this step. 17) Form the passivation layer. As the monoUthic head is in contact with heated water based ink during operation, effective passivation is essential. A 0.5 μm confo mal layer of Si3N4 apphed by PECVD can be used. Use SK at 200 seem and NH3 at 2000 seem, pressure of 1.6 torr, temperature of 250°C, at 46 watts for 50 minutes. Figure 9(n) shows a cross section of the wafer in the region of a nozzle after this step.
18) A hydrophobic surface coating may be appUed at this stage, if the coating chosen can survive the subsequent processing steps. Otherwise, the hydrophobic coating should be apphed after TAB bonding. There are many hydrophobic coatings which may be used, and many methods which may be used to apply them. By way of illustration, one such suitable coating is fluorinated diamond¬ like carbon (F*DLC), an amorphous carbon film with the outer surface substantiaUy saturated with fluorine. A method of applying such a film using plasma enhanced chemical vapor deposition (PECVD) equipment is described in US patent number 5,073,785. It is not essential to apply a separate hydrophobic layer. Instead, the exposed dielectric layer can be treated with a hydrophobising agent For example, if SiO2 is used as the passivation layer in place of Si3N , the device can be treated with dimethyldichlorosilane to make the exposed SiO2 hydrophobic. This wiU affect the entire nozzle, unless the regions which are to remain hydrophilic are masked, as dimethyldichlorosUane fumes wiU affect any exposed SiO2.
The appUcation of a hydrophobic layer is required if the ink is water based, or based on some other polar solvent If the ink is wax based or uses a non- polar solvent, then the front surface of the head should be Upophobic. In summary, the front surface of the head should be fabricated or treated in such a manner as to repel the ink used. When using the physical device configuration disclosed herein, the hydrophobic layer need not be Umited to the front surface of the device. The entire device may be coated with a hydrophobic layer (or hpophobic layer is non- polar ink is used) without significantly affecting the performance of the device. If the entire device is treated with an ink repeUent layer, then the nozzle radius should be taken as the inside radius of the nozzle tip, instead of the outside radius. 19) Bond, package and test The bonding, packaging, and testing processes can use standard manufacturing techniques. Bonding pads must be opened out from the Si3N4 passivation layer. Although the bonding pads are fabricated at an angle in the V groove, no special care is required to mask them, as the entire V groove area can be stripped of Si3N . After the bonding pads have been opened, the resist must be stripped, and the wafer cleaned. Then wafer testing can proceed. Then the wafer is diced. The wafers should be sawed instead of scribed and snapped, to prevent breakage of long heads, and because the wafer is weakened along the nozzle rows. The diced wafers (chips) are then mounted in the ink channels. For color heads, the separate ink channels are sealed to the chip at this stage. After mounting, the chip is bonded, and dry device tests performed. The device is then be connected to the ink supply, ink pressure is apphed, and functional testing can be performed. Figure 9(0) shows a cross section of the wafer in the region of a nozzle after this step. In Figure 9(a) to Figure 9(o), 100 is ink, 101 is sihcon, 102 is CVD
SiO ,103 is the heater material, 105 is boron doped silicon, 106 is the second layer metal interconnect (aluminum), 107 is resist, 108 is sihcon nitride (Si3N ) and 109 is the hydrophobic surface coating.
Alternative fabrication processes Many other manufacturing processes are possible. The above manufacturing process is not the simplest process that can be employed, and is not the lowest cost practical process. However, the above process has the advantage of fabrication of high performance data distribution devices and drive transistors on the same wafer as the nozzles. The process is also readily scalable, and 1mm line widths can be used if desired.
The use of lμm line widths (or even finer geometries) aUows more circuitry to be integrated on the wafer, and aUows a reduction in either the size or the on resistance (or both) of the drive transistors. The smaUer device geometries can be used in the foUowing, or a combination of the following, ways: 1) To reduce the width of the monolithic head 2) To increase the yield of the head, by incorporating more sophisticated fault tolerance circuitry
3) To increase the number of nozzles on the head without increasing chip area.
4) To increase the resolution of the print head by more closely spacing the nozzles in terms of the linear dimensions.
5) To incorporate more of the total system circuitry on the chip. For example, data phasing circuits can be incorporated on chip, and the head can be suppUed with a standard memory interface, via which it acquires the printing data by direct memory access. It is possible to alter the nozzle formation processes in many ways.
For example, it is possible to create the heater using a self -aligned vertical technique instead of the planar heater formation described herein.
The process described herein is a preferred process for production of printing heads as it allows high resolution, full color heads to incorporate drive circuitry, data distribution circuitry, and fault tolerance, and can be manufactured with relatively low cost extensions to standard CMOS production processes. Many simpler head manufacturing processes can be derived. In particular, heads which do not include active circuitry may be manufactured using much simpler processes.
Heater structure Figures 10(a) and 10(b) show heater structures which do not use the invention disclosed herein. In both cases, the heater is planar, with the plane being that of the diagram. Also in both cases, the nozzle is substantiaUy cylindrical, with the axis of symmetry being a line normal to the centre of the heater. The completed nozzle diameter is 20 μm, being formed as a 21 μm diameter hole with 0.5 μm thick passivation layer on the inside. The heaters are fabricated using 2 μm linewidths, with 2 μm spacing.
Figure 10(a) shows a heater 103 formed as an open loop around a nozzle. The nozzle is filled with ink 100, and is coated by a passivation layer 108 protecting the heater and active devices from the ink. This nozzle structure has several problems: there is a substantial 'cold' spot where the circle is broken to form electrodes for connection to the drive electronics. This may affect both the direction and the reliability of drop ejection. there is a substantial distance between the heater and the ink. In this case, the distance is 2.5 μm, being 2 μm contribution from linewidth, and 0.5 μm from the passivation layer. This distance reduces the efficiency of heat transfer from the heater to the ink.
Variations in nozzle position relative to the heater have a strong effect on thermal coupling between the heater and the ink. Figure 10(b) shows a heater 103 formed as a closed loop around a nozzle. The nozzle is filled with ink 100, and is coated by a passivation layer 108 protecting the heater and active devices from the ink. This nozzle structure reduces the 'cold spot' associated with the nozzle structure of figure 10(a), but retains the other problems. The electrical resistance of the heater is also reduced by a factor of approximately 4, which can result in design restraints on the drive circuitry or heater material.
The invention is a structure and manufacturing process for electrothermal heaters for integrated printing heads where the axes of the ink nozzles are substantiaUy normal to the plane of the heaters, and pass substantiaUy through the centers of the heaters. The completed heater forms a loop, with the centre of the loop being formed by the nozzle etching process.
A disk of heater material is formed on the substrate. The radius of the disk is equal to the radius of hole to be etched for the nozzle, plus the required heater width. The nozzle hole is subsequently etched from the centre of the heater disk. The remaining heater material is in the form of an annulus, with the internal radius being equal to the nozzle hole radius. The structure is subsequently coated with a layer of passivation material.
This fabrication procedure has the advantage of reducing the distance between the heater and the ink. NormaUy, a linewidth of the optical pattern would be required between the heater and a nozzle formed through the centre of the heater. For a 2 μm process, this is 2 μm (or 3μm if the heater material is opticaUy reflective). This construction disclosed reduces the distance between the inner radius of the heater and the etched nozzle hole to zero. The heater is only separated from the ink by the passivation layer or layers. This increases the thermal coupling between the heater and the ink, thereby increasing the print head efficiency. Also, ahgnment variations between the inner radius of the heater and the nozzle are eliminated.
Accurate ahgnment of the nozzle to the heater should still be maintained to minimize variations in heater width. Figure 11 (a) shows a heater pattern that can be used with this invention. The heater 103 is patterned as a filled disk with two electrodes on opposite sides. It is not necessary for the disk to be completely fiUed, it is sufficient that the inner radius of the disk be less than the radius of the nozzle hole minus mask exposure, ahgnment, and etching tolerances. Figure 11(b) shows the heater 103 after the nozzle hole has been etched. The nozzle hole is etched through the centre of the heater. In this case, the diameter of the nozzle hole is 21 μm, leaving an annulus of 2 μm width of heater material with an outside diameter of 25 μm.
Figure 11 (c) shows the nozzle after application of a 0.5 μm passivation layer 108, and after filling with ink 100. The distance between the inner radius of the heater and the ink is equal to the thickness of the passivation layer.
This is an ideal situation, as the thermal coupling between the heater and the ink is maximized.
Figure 12(a) shows an alternative heater pattern that can be used with this invention. The heater 103 is patterned as a filled disk with two electrodes on the same side, and with a slot which separates the electrodes and extends towards the centre of the disk.
Figure 12(b) shows the alternative heater 103 after the nozzle hole has been etched. The nozzle hole is etched through the centre of the heater. In this case, the diameter of the nozzle hole is 21 μm, leaving an annulus of 2 μm width of heater material with an outside diameter of 25 μm.
Figure 12(c) shows the nozzle after application of a 0.5 μm passivation layer 108, and after filling with ink 100. In this alternative pattern, the distance between the inner radius of the heater and the ink is also equal to the thickness of the passivation layer. This pattern has an advantage of approximately four times higher resistance than the pattern of figure 11. It can therefore be used with heater materials of lower resistivity, thicker heaters, higher drive voltages, lower drive currents, or some combination of the above. It may be more appropriate that the pattern of figure 11 in some print head designs.
With both heater designs as shown in figures 11 and 12, accurate ahgnment of the nozzle to the heater should be maintained. This is to minimize variations in heater width which would occur if the nozzle hole is not concentric with the heater. The heater patterns and fabrication methods can be used with various theπnaUy activated print heads, but are particularly suited to thermal print heads.
Fluid dynamic simulations of heater width variations
When manufacturing print heads, the width of the heater can be controUed accurately, but not exactly. The width wiU vary depending upon the characteristics of the mask exposure system, the exposure time, the type of resist used, resist pre-bake and postbake temperature and time, resist developer temperature and time, and the characteristics of the etchant. The cumulative variation in the width of the heater line can readily be reduced to less than ±0.1 μm using modem equipment, but higher tolerance requirements often leads to higher manufacturing costs.
Fluid dynamic simulations of nozzles have been performed of variations of ±0.6 μm from a nominal heater width of 2 μm. These simulations assume that the variations occur on the same print head, so the effects of the heater variation cannot be compensated by altering drive voltage, ink pressure, or other parameters without adversely affecting other nozzles on the same print head. For this reason, all parameters other than heater width are kept constant
The main effect of variation in heater width is a change to the amount of energy dehvered to the nozzle when using the same drive voltage.
Thinner heaters will have a higher electrical resistance, and therefore allow less current flow, than wider heaters. The spatial distribution of energy apphed to the nozzle also varies shghtly with variations in heater width, though the effect of this is minor. Figures 13(a) to 13(n) show summarized results of fluid dynamic simulations performed using the FIDAP simulation software. In each case the simulation is over a duration of 100 μs, in 0.1 μs steps. The nozzle tip is cylindrical, with a radius of 10 μm. The ink pressure is 7.7 kPa, and the ambient temperature is 30°C. At the beginning of the simulation the ink meniscus is near its quiescent position, and all velocities are zero. A time varying power pulse is applied to the heater, starting at 20 μs, for a duration of 18 μs. The pulse starts at 20 μs to allow time for the ink meniscus to reach the quiescent position before the drop selection pulse.
Only the drop selection process is modeled in these simulations. The drop separation process may be proximity, electrostatic, or other means. Separation of the selected drop from unselected drops rehes upon a physical difference in meniscus position between the selected drop and the unselected drops. A n axial difference of 15 μm between the position of the centre of the meniscus before and after the drop selection pulse is adequate for drop separation. Figures 13(a), 13(c), 13(e), 13(g), 13(i), 13(k), and 13(m) are graphs of the position of the centre of the meniscus versus time for heater widths of 1.4 μm, 1.6 μm, 1.8 μm, 2.0 μm, 2.2 μm, 2.4 μm, and 2.6 μm respectively. Visual comparison of these graphs should take into account the variation of vertical scale between the graphs. The important characteristic is the attainment of a meniscus position of approximately 20 μm, at which point the drop separation means (not simulated in these simulations) can ensure that selected drops are separated from the body of ink and transferred to the recording medium. OsciUations of the meniscus after the drop selection pulse is removed are due to the initial non- spherical nature of the exuded drop: the drop oscillates between an initial prolate form, through a spherical form, to an oblate form, and back again. Where the heater is narrow (and therefore less thermal energy is delivered to the nozzle) the selected drop is eventuaUy re-absorbed into the nozzle. Where the heater is wide (and therefore more thermal energy is delivered to the nozzle) the meniscus has moved far enough that the ink pressure overcomes the surface tension and the selected drop grows steadily. These variations are unimportant as the drop separation means becomes the dominant determining factor of ink meniscus position after drop selection.
Figures 13(b), 13(d), 13(f), 13(h), 13(j), 130), and 13(n) are plots of the meniscus shape at various instants for heater widths of 1.4 μm, 1.6 μm, 1.8 μm, 2.0 μm, 2.2 μm, 2.4 μm, and 2.6 μm respectively. The meniscus positions are shown at 2 μs intervals from the start of the drop selection pulse at 20 μs to 4 μs after the end of the 18 μs pulse, at 42 μs.
In figures 13(b), 13(d), 13(f), 13(h), 130), 13(1), and 13(n), 100 is ink, 101 is the sihcon substrate, 102 is SiO , 103 marks the position of one side of the annular heater, 108 is a Si3N passivation layer and 109 is a hydrophobic surface coating. Although the plots are labeled Temperature contour plot', there are no temperature contours shown.
It can be seen from the simulation results shown in figure 13 that the heater width can vary by ±30% from the nominal width of 2.0 μm while maintaining operation between acceptable hmits. Other nominal heater widths can also result in satisfactory performance, especially if drive voltage, heater thickness, heater resistivity, nozzle diameter, thermal coupUng to the ink, pulse duration, ink pressure, or other factors are altered to compensate for the difference in heater width. The simulation results shown in figure 13 indicate that readily available semiconductor manufacturing equipment can be used to fabricate the heaters using the method disclosed herein.
The foregoing describes a number of preferred embodiments of the present invention. Modifications, obvious to those skilled in the art, can be made thereto without departing from the scope of the invention.

Claims

*■ Claim:
1. A thermally activated, drop on demand printing head comprising a substrate, a heater formed on said substrate and including a planar annulus of heater material and an ink nozzle having an axis that is generally normal to the plane of said heater material, and passes substantially through the center of said heater annulus.
2. The invention claimed in Claim 1 further comprising extending from substantially opposite sides of said annulus.
3. The invention claimed in Claim 1 further comprising connecting electrodes located on substantially the same side of said annulus, and wherein a gap is formed in said annulus between said electrodes.
4. A method for manufacturing heaters for ink nozzles of thermaUy activated drop on demand printing heads, comprising the steps of (a) forming on a substrate, a planar region of heater material which has a predetermined outline and which covers at least the peripheral regions of the desired nozzle tip; and
(b) creating a nozzle hole along an axis which is generally normal to the plane of said heater and which is substantially concentric with said heater outline.
5. The method claimed in Claim 4 further comprising coating the structure with a passivation material.
6. The method defined in Claim 4 wherein the outline of said planar region of heater material is substantially circular.
7. A process as claimed in Claim 5 wherein said passivation material is sihcon dioxide.
8. A process as claimed in Claim 5 wherein said passivation material is silicon nitride.
9. The invention defined in Claim 1 wherein said nozzle is fabricated with a radius less than 50 microns.
10. The invention defined in Claim 1 further comprising drive circuitry fabricated on the same substrate as the nozzles.
11. The invention defined in Claim 1 further comprising:
(a) a plurality of drop-emitter nozzles;
(b) a body of ink associated with said nozzles;
(c) pressure means for subjecting ink in said body of ink to a pressure of at least 2% above ambient pressure, at least during drop selection and separation;
(d) drop selection means for selecting predetermined nozzles and generating a difference in meniscus position between ink in selected and non-selected nozzles; and
(e) drop separating means for causing ink from selected nozzles to separate as drops from the body* of ink, while allowing ink to be retained in non-selected nozzles.
12. The invention defined in Claim 1 further comprising:
(a) a plurality of drop-emitter nozzles;
(b) a body of ink associated with said nozzles;
(c) drop selection means for selecting predetermined nozzles and generating a difference in meniscus position between ink in selected and non-selected nozzles; and
(d) drop separating means for causing ink from selected nozzles to separate as drops from the body of ink, whUe allowing ink to be retained in non-selected nozzles, said drop selecting means being capable of producing said difference in miniscus position in the absence of said drop separation means.
13. The invention defined in Claim 1 further comprising:
(a) a plurality of drop-emitter nozzles; (b) a body of ink associated with said nozzles, said ink exhibiting a surface tension decrease of at least 10 mN/m over a 30°C temperature range;
(c) drop selection means for selecting predetermined nozzles and generating a difference in meniscus position between ink in selected and non-selected nozzles; and
(d) drop separating means for causing ink from selected nozzles to separate as drops from the body of ink, while aUowing ink to be retained in non-selected nozzles.
14. The method claimed in Claim 4 further comprising:
(a) providing a body of ink associated with said nozzles;
(b) subjecting ink in said body of ink to a pressure of at least 2% above ambient pressure, at least during drop selection and separation;
(c) selecting predetermined nozzles and generating a difference in meniscus position between ink in selected and non-selected nozzles; and
(d) causing ink from selected nozzles to separate as drops from the body of ink, while aUowing ink to be retained in non-selected nozzles.
15. The method claimed in Claim 4 further comprising:
(a) providing a body of ink associated with said nozzles;
(b) selecting predetermined nozzles and generating a difference in meniscus position between ink in selected and non-selected nozzles; and
(c) causing ink from selected nozzles to separate as drops from the body of ink, while aUowing ink to be retained in non-selected nozzles, said drop selecting means being capable of producing said difference in miniscus position in the absence of said drop separation means.
16. The method claimed in Claim 4 further comprising:
(a) providing a body of ink associated with said nozzles, said ink exhibiting a surface tension decrease of at least 10 mN/m over a 30°C temperature range;
(b) selecting predetermined nozzles and generating a difference in meniscus position between ink in selected and non-selected nozzles; and
(c) causing ink from selected nozzles to separate as drops from the body of ink, while aUowing ink to be retained in non-selected nozzles.
PCT/US1996/0050221995-04-121996-04-09Heather structure and fabrication process for monolithic print headsWO1996032274A1 (en)

Priority Applications (3)

Application NumberPriority DateFiling DateTitle
EP96912694AEP0765234A1 (en)1995-04-121996-04-09Heather structure and fabrication process for monolithic print heads
US08/765,017US5905517A (en)1995-04-121996-04-09Heater structure and fabrication process for monolithic print heads
JP8531187AJPH10501772A (en)1995-04-121996-04-09 Monolithic printhead heater structure and manufacturing process

Applications Claiming Priority (2)

Application NumberPriority DateFiling DateTitle
AUPN2346AAUPN234695A0 (en)1995-04-121995-04-12Heater structure for monolithic lift print heads
AUPN23461995-04-12

Publications (1)

Publication NumberPublication Date
WO1996032274A1true WO1996032274A1 (en)1996-10-17

Family

ID=3786699

Family Applications (1)

Application NumberTitlePriority DateFiling Date
PCT/US1996/005022WO1996032274A1 (en)1995-04-121996-04-09Heather structure and fabrication process for monolithic print heads

Country Status (4)

CountryLink
EP (1)EP0765234A1 (en)
JP (1)JPH10501772A (en)
AU (1)AUPN234695A0 (en)
WO (1)WO1996032274A1 (en)

Cited By (12)

* Cited by examiner, † Cited by third party
Publication numberPriority datePublication dateAssigneeTitle
EP1215048A3 (en)*2000-12-152003-03-12SAMSUNG ELECTRONICS Co. Ltd.Bubble-jet type ink-jet printhead and manufacturing method thereof
US8025393B2 (en)1998-11-092011-09-27Silverbrook Research Pty LtdPrint media cartridge with ink supply manifold
US8030079B2 (en)1998-11-092011-10-04Silverbrook Research Pty LtdHand-held video gaming device with integral printer
US8823823B2 (en)1997-07-152014-09-02Google Inc.Portable imaging device with multi-core processor and orientation sensor
US8866923B2 (en)1999-05-252014-10-21Google Inc.Modular camera and printer
US8896724B2 (en)1997-07-152014-11-25Google Inc.Camera system to facilitate a cascade of imaging effects
US8902333B2 (en)1997-07-152014-12-02Google Inc.Image processing method using sensed eye position
US8902340B2 (en)1997-07-122014-12-02Google Inc.Multi-core image processor for portable device
US8908075B2 (en)1997-07-152014-12-09Google Inc.Image capture and processing integrated circuit for a camera
US8936196B2 (en)1997-07-152015-01-20Google Inc.Camera unit incorporating program script scanner
US9055221B2 (en)1997-07-152015-06-09Google Inc.Portable hand-held device for deblurring sensed images
TWI764504B (en)*2021-01-112022-05-11研能科技股份有限公司Wafer structure

Families Citing this family (1)

* Cited by examiner, † Cited by third party
Publication numberPriority datePublication dateAssigneeTitle
IL162282A0 (en)*1998-11-092005-11-20Silverbrook Res PtyHand held mobile phone device with integral internal print apparatus and print media supply

Citations (10)

* Cited by examiner, † Cited by third party
Publication numberPriority datePublication dateAssigneeTitle
DE2949808A1 (en)*1978-12-111980-07-10Nippon Electric CoInk-jet printer using conductive ink - has acceleration electrode mounted clear of nozzle outlet for form convex meniscus and subsequent droplet formation
US4293865A (en)*1978-04-101981-10-06Ricoh Co., Ltd.Ink-jet recording apparatus
US4312009A (en)*1979-02-161982-01-19Smh-AdrexDevice for projecting ink droplets onto a medium
JPS60210462A (en)*1984-04-051985-10-22Fuji Xerox Co LtdInkjet recorder
EP0244214A1 (en)*1986-04-281987-11-04Hewlett-Packard CompanyThermal ink jet printhead
US4752783A (en)*1986-03-271988-06-21Fuji Xerox Co., Ltd.Thermal-electrostatic ink jet recording method and apparatus
EP0321075A2 (en)*1987-12-171989-06-21Hewlett-Packard CompanyIntegrated thermal ink jet printhead and method of manufacturing
WO1990014233A1 (en)*1989-05-261990-11-29P.A. Consulting Services LimitedLiquid jet recording process and apparatus therefore
EP0498292A2 (en)*1991-01-301992-08-12Canon Information Systems Research Australia Pty Ltd.Integrally formed bubblejet print device
EP0600712A2 (en)*1992-11-301994-06-08Hewlett-Packard CompanyMethod and apparatus for ink transfer printing

Patent Citations (10)

* Cited by examiner, † Cited by third party
Publication numberPriority datePublication dateAssigneeTitle
US4293865A (en)*1978-04-101981-10-06Ricoh Co., Ltd.Ink-jet recording apparatus
DE2949808A1 (en)*1978-12-111980-07-10Nippon Electric CoInk-jet printer using conductive ink - has acceleration electrode mounted clear of nozzle outlet for form convex meniscus and subsequent droplet formation
US4312009A (en)*1979-02-161982-01-19Smh-AdrexDevice for projecting ink droplets onto a medium
JPS60210462A (en)*1984-04-051985-10-22Fuji Xerox Co LtdInkjet recorder
US4752783A (en)*1986-03-271988-06-21Fuji Xerox Co., Ltd.Thermal-electrostatic ink jet recording method and apparatus
EP0244214A1 (en)*1986-04-281987-11-04Hewlett-Packard CompanyThermal ink jet printhead
EP0321075A2 (en)*1987-12-171989-06-21Hewlett-Packard CompanyIntegrated thermal ink jet printhead and method of manufacturing
WO1990014233A1 (en)*1989-05-261990-11-29P.A. Consulting Services LimitedLiquid jet recording process and apparatus therefore
EP0498292A2 (en)*1991-01-301992-08-12Canon Information Systems Research Australia Pty Ltd.Integrally formed bubblejet print device
EP0600712A2 (en)*1992-11-301994-06-08Hewlett-Packard CompanyMethod and apparatus for ink transfer printing

Non-Patent Citations (1)

* Cited by examiner, † Cited by third party
Title
PATENT ABSTRACTS OF JAPAN vol. 010, no. 066 (M - 461) 15 March 1986 (1986-03-15)*

Cited By (57)

* Cited by examiner, † Cited by third party
Publication numberPriority datePublication dateAssigneeTitle
US8902340B2 (en)1997-07-122014-12-02Google Inc.Multi-core image processor for portable device
US9544451B2 (en)1997-07-122017-01-10Google Inc.Multi-core image processor for portable device
US9338312B2 (en)1997-07-122016-05-10Google Inc.Portable handheld device with multi-core image processor
US8947592B2 (en)1997-07-122015-02-03Google Inc.Handheld imaging device with image processor provided with multiple parallel processing units
US9055221B2 (en)1997-07-152015-06-09Google Inc.Portable hand-held device for deblurring sensed images
US9584681B2 (en)1997-07-152017-02-28Google Inc.Handheld imaging device incorporating multi-core image processor
US8902333B2 (en)1997-07-152014-12-02Google Inc.Image processing method using sensed eye position
US8902357B2 (en)1997-07-152014-12-02Google Inc.Quad-core image processor
US8902324B2 (en)1997-07-152014-12-02Google Inc.Quad-core image processor for device with image display
US9124736B2 (en)1997-07-152015-09-01Google Inc.Portable hand-held device for displaying oriented images
US8908069B2 (en)1997-07-152014-12-09Google Inc.Handheld imaging device with quad-core image processor integrating image sensor interface
US8908075B2 (en)1997-07-152014-12-09Google Inc.Image capture and processing integrated circuit for a camera
US8908051B2 (en)1997-07-152014-12-09Google Inc.Handheld imaging device with system-on-chip microcontroller incorporating on shared wafer image processor and image sensor
US8913151B2 (en)1997-07-152014-12-16Google Inc.Digital camera with quad core processor
US8913182B2 (en)1997-07-152014-12-16Google Inc.Portable hand-held device having networked quad core processor
US8913137B2 (en)1997-07-152014-12-16Google Inc.Handheld imaging device with multi-core image processor integrating image sensor interface
US8922670B2 (en)1997-07-152014-12-30Google Inc.Portable hand-held device having stereoscopic image camera
US8922791B2 (en)1997-07-152014-12-30Google Inc.Camera system with color display and processor for Reed-Solomon decoding
US8928897B2 (en)1997-07-152015-01-06Google Inc.Portable handheld device with multi-core image processor
US8934027B2 (en)1997-07-152015-01-13Google Inc.Portable device with image sensors and multi-core processor
US8934053B2 (en)1997-07-152015-01-13Google Inc.Hand-held quad core processing apparatus
US8937727B2 (en)1997-07-152015-01-20Google Inc.Portable handheld device with multi-core image processor
US8936196B2 (en)1997-07-152015-01-20Google Inc.Camera unit incorporating program script scanner
US8947679B2 (en)1997-07-152015-02-03Google Inc.Portable handheld device with multi-core microcoded image processor
US8896720B2 (en)1997-07-152014-11-25Google Inc.Hand held image capture device with multi-core processor for facial detection
US9131083B2 (en)1997-07-152015-09-08Google Inc.Portable imaging device with multi-core processor
US8953060B2 (en)1997-07-152015-02-10Google Inc.Hand held image capture device with multi-core processor and wireless interface to input device
US8953061B2 (en)1997-07-152015-02-10Google Inc.Image capture device with linked multi-core processor and orientation sensor
US8823823B2 (en)1997-07-152014-09-02Google Inc.Portable imaging device with multi-core processor and orientation sensor
US9060128B2 (en)1997-07-152015-06-16Google Inc.Portable hand-held device for manipulating images
US8896724B2 (en)1997-07-152014-11-25Google Inc.Camera system to facilitate a cascade of imaging effects
US9124737B2 (en)1997-07-152015-09-01Google Inc.Portable device with image sensor and quad-core processor for multi-point focus image capture
US8953178B2 (en)1997-07-152015-02-10Google Inc.Camera system with color display and processor for reed-solomon decoding
US9137398B2 (en)1997-07-152015-09-15Google Inc.Multi-core processor for portable device with dual image sensors
US9137397B2 (en)1997-07-152015-09-15Google Inc.Image sensing and printing device
US9143636B2 (en)1997-07-152015-09-22Google Inc.Portable device with dual image sensors and quad-core processor
US9143635B2 (en)1997-07-152015-09-22Google Inc.Camera with linked parallel processor cores
US9148530B2 (en)1997-07-152015-09-29Google Inc.Handheld imaging device with multi-core image processor integrating common bus interface and dedicated image sensor interface
US9168761B2 (en)1997-07-152015-10-27Google Inc.Disposable digital camera with printing assembly
US9179020B2 (en)1997-07-152015-11-03Google Inc.Handheld imaging device with integrated chip incorporating on shared wafer image processor and central processor
US9185246B2 (en)1997-07-152015-11-10Google Inc.Camera system comprising color display and processor for decoding data blocks in printed coding pattern
US9185247B2 (en)1997-07-152015-11-10Google Inc.Central processor with multiple programmable processor units
US9191529B2 (en)1997-07-152015-11-17Google IncQuad-core camera processor
US9191530B2 (en)1997-07-152015-11-17Google Inc.Portable hand-held device having quad core image processor
US9197767B2 (en)1997-07-152015-11-24Google Inc.Digital camera having image processor and printer
US9219832B2 (en)1997-07-152015-12-22Google Inc.Portable handheld device with multi-core image processor
US9237244B2 (en)1997-07-152016-01-12Google Inc.Handheld digital camera device with orientation sensing and decoding capabilities
US8866926B2 (en)1997-07-152014-10-21Google Inc.Multi-core processor for hand-held, image capture device
US9432529B2 (en)1997-07-152016-08-30Google Inc.Portable handheld device with multi-core microcoded image processor
US8836809B2 (en)1997-07-152014-09-16Google Inc.Quad-core image processor for facial detection
US9560221B2 (en)1997-07-152017-01-31Google Inc.Handheld imaging device with VLIW image processor
US8025393B2 (en)1998-11-092011-09-27Silverbrook Research Pty LtdPrint media cartridge with ink supply manifold
US8030079B2 (en)1998-11-092011-10-04Silverbrook Research Pty LtdHand-held video gaming device with integral printer
US8866923B2 (en)1999-05-252014-10-21Google Inc.Modular camera and printer
EP1215048A3 (en)*2000-12-152003-03-12SAMSUNG ELECTRONICS Co. Ltd.Bubble-jet type ink-jet printhead and manufacturing method thereof
TWI764504B (en)*2021-01-112022-05-11研能科技股份有限公司Wafer structure
US11724499B2 (en)2021-01-112023-08-15Microjet Technology Co., Ltd.Wafer structure

Also Published As

Publication numberPublication date
EP0765234A1 (en)1997-04-02
JPH10501772A (en)1998-02-17
AUPN234695A0 (en)1995-05-04

Similar Documents

PublicationPublication DateTitle
US5905517A (en)Heater structure and fabrication process for monolithic print heads
US5850241A (en)Monolithic print head structure and a manufacturing process therefor using anisotropic wet etching
EP0771658B1 (en)Construction and manufacturing process for drop on demand print heads with nozzle heaters
US6126846A (en)Print head constructions for reduced electrostatic interaction between printed droplets
US5812162A (en)Power supply connection for monolithic print heads
US6045710A (en)Self-aligned construction and manufacturing process for monolithic print heads
EP0772526A2 (en)Nozzle placement in monolithic drop-on-demand print heads
EP0763430A2 (en)CMOS process compatible fabrication of print heads
US5808631A (en)Integrated fault tolerance in printing mechanisms
US5796418A (en)Page image and fault tolerance control apparatus for printing systems
EP0765234A1 (en)Heather structure and fabrication process for monolithic print heads
EP0765244A1 (en)Apparatus for printing multiple drop sizes and fabrication thereof
WO1996032277A1 (en)Coincident drop selection, drop separation printing method and system
EP0765225A1 (en)Nozzle duplication for fault tolerance in integrated printing heads
WO1996032284A9 (en)Monolithic printing heads and manufacturing processes therefor
EP0771657A2 (en)A modular, fault tolerant liquid ink print head
EP0765232A1 (en)Page image and fault tolerance control apparatus for printing systems
WO1996032266A1 (en)Detection of faulty actuators in printing heads
EP0765240A1 (en)Monolithic print head structure and a manufacturing process therefor using anisotropic wet etching
EP0765238A1 (en)Power supply connection for monolithic print heads
WO1996032285A1 (en)A self-aligned construction and manufacturing process for monolithic print heads
EP0772524A1 (en)Block fault tolerance in integrated printing heads
EP0765230A1 (en)Integrated drive circuitry in drop on demand print heads
WO1996032268A1 (en)Data distribution in monolithic print heads
WO1996032273A1 (en)Method and apparatus for accurate control of temperature pulses in printing heads

Legal Events

DateCodeTitleDescription
AKDesignated states

Kind code of ref document:A1

Designated state(s):JP US

ALDesignated countries for regional patents

Kind code of ref document:A1

Designated state(s):AT BE CH DE DK ES FI FR GB GR IE IT LU MC NL PT SE

WWEWipo information: entry into national phase

Ref document number:1996912694

Country of ref document:EP

WWEWipo information: entry into national phase

Ref document number:08765017

Country of ref document:US

121Ep: the epo has been informed by wipo that ep was designated in this application
WWPWipo information: published in national office

Ref document number:1996912694

Country of ref document:EP

WWWWipo information: withdrawn in national office

Ref document number:1996912694

Country of ref document:EP


[8]ページ先頭

©2009-2025 Movatter.jp