Movatterモバイル変換


[0]ホーム

URL:


WO1990002741A1 - Chromone derivatives - Google Patents

Chromone derivatives
Download PDF

Info

Publication number
WO1990002741A1
WO1990002741A1PCT/AU1989/000399AU8900399WWO9002741A1WO 1990002741 A1WO1990002741 A1WO 1990002741A1AU 8900399 WAU8900399 WAU 8900399WWO 9002741 A1WO9002741 A1WO 9002741A1
Authority
WO
WIPO (PCT)
Prior art keywords
thε
compound
oxo
allyl
nhr
Prior art date
Application number
PCT/AU1989/000399
Other languages
French (fr)
Inventor
Laurence Mark Von Itzstein
Hume Forrest White
Original Assignee
Biota Scientific Management Pty Ltd.
Priority date (The priority date is an assumption and is not a legal conclusion. Google has not performed a legal analysis and makes no representation as to the accuracy of the date listed.)
Filing date
Publication date
Application filed by Biota Scientific Management Pty Ltd.filedCriticalBiota Scientific Management Pty Ltd.
Priority to FI902400ApriorityCriticalpatent/FI902400A7/en
Publication of WO1990002741A1publicationCriticalpatent/WO1990002741A1/en
Priority to DK116990Aprioritypatent/DK116990A/en
Priority to NO90902123Aprioritypatent/NO902123L/en

Links

Classifications

Definitions

Landscapes

Abstract

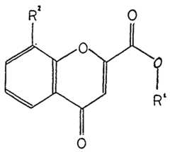
A novel chromone derivative of general formula (I), wherein R1 is H, Na, or the appropriate corresponding methyl or ethyl esters; R2 is OH, NHR3, CH2OH, CH2NHR3, CHXCH¿2?OH, CHXCH2NHR?3, CH¿2CHXCH2OH, or CH2CHXCH2NHR3 where X is halogen, NHR3, or OH, and R3 is H, acetyl, benzyl, or a linear or cyclic alkyl group having 1-6 carbon atoms. Methods of synthesis, pharmaceutical compositions and methods of treatment using the compounds are also disclosed and claimed.

Description

CHROMONE DERIVATIVES This invention relates to compounds capable of inhibiting allergic release of histamine and other autacoids, and in particular to novel chromone derivatives and methods of synthesis thereof.
Background and Prior Art Asthma is a wide-spread condition which affects a considerable proportion of the population, and makes a major contribution to morbidity and mortality. It is a condition characterised by narrowing and inflammation of the respiratory passages, which causes difficulty in breathing. Paroxysmal attacks of bronchospasm may occur. Asthmatic subjects are believed to have hyper-reactive airways, so that they respond more readily to stimuli.
Asthmatic attacks may be precipitated by one or more of a large range of stimuli which include allergens, exercise, infection, and certain chemical irritants, such as sulphur dioxide. Emotional upset may possibly be a contributory factor. Sufferers usually experience their first asthma attack at an early age, and attacks, particularly in allergic people, may be associated with other manifestations of hypersensitivity, such as eczema and hayfevεr.
Treatment of asthma involves the use of powerful drugs such as corticosteroids and their derivatives, as well as sympathomimetic agents related to adrenaline. Avoidance of known allergens may also be of assistance. Desensitization to allergens is of dubious benefit only.
Histamine is only one of a large number of substances, generically known as autacoids, which are released or formed during immediate hypersensitivity reaction and which cause bronchospas and other symptoms of asthma. Consequently, antihistamines are frequently ineffective. Therefore, prophylactic treatment which prevents the production or release of autacoids by inhibiting the response of sensitized mast cells and basophils to specific antigens is especially useful. Adrenergic drugs and theophylline are useful in this respect. More recently, a much more specific inhibition of these responses has been made possible by the use of agents which inhibit the antigen-induced secretion of histamine and other autacoids from human pulmonary mast cells and from mast cells at some other sites. The bis-chromones represent one group of drugs having such activity. The best known of these is cromolyn, also known as cromoglycic acid, whose preparation is disclosed in British Patent No. 1,114,906 to Fisons. The disodium salt of this compound is very widely used as a prophylactic anti-asthmatic, under the trade name, among others, of Intal (trade mark of Fisons Pty. Ltd.). Cromolyn has the following structure:
Figure imgf000005_0001
Another drug used for similar purposes is nedocromil sodium. Both nedocromil sodium and cromolyn protect atopic asthmatic subjects against antigen-induced bronchospasm, exercise- or sulphur dioxide-induced bronchoconstriction, and prevent the late response which occurs in some subjects. Both sodium cromoglycate and nedocromil sodium have been shown to inhibit the IgE-mediated release of histamine from mast cells isolated from human lung, having an IC30 of 50 and 5um respectively (Cromwell et. al. 1986). In this test nedocromil sodium had greater inhibitory potency than sodium cromyglycate, but in other test systems the two drugs were equipotent. In our laboratory, we have shown that nedocromil sodium inhibits the antigen-induced release of sulphidopeptide leukotrienes C ,f D . , and E_. which comprise the slow reacting substance of anaphylaxis (SRS-A), and of histamine, from passively-sensitized human lung in vitro. Although sodium cromoglycate is very widely used, and both compounds are generally well tolerated by patients, their effectiveness is somewhat limited by the fact that human basophils are not protected, and there is no relaxing effect on bronchial smooth muscle.
Cromolyn does not inhibit either the binding of IgE to mast cells or the interaction between cell-bound IgE and specific antigen; it specifically suppresses the secretory response to this interaction. The mechanism of the suppression is not clear. Furthermore, the effect is not limited to the response to the antigen-antibody reaction, although this response may be preferentially effected. Marked tissue differences in responsiveness to cromolyn have been observed. Further problems with the use of cromolyn have been presented by the fact that this compound cannot be administered orally, and must be given by inhalation, and by the fact that on withdrawal of cromolyn, symptoms of asthma may recur. Even more importantly, it is essential that cromolyn be administered before the onset of signs and symptoms of an acute asthmatic attack; thus it is of no utility in the treatment of an attack once it has commenced, nor in the treatment of status asthmaticus, which is the immediately life-threatening manifestation of asthma. Furthermore, for reasons which are unclear, the drug is ineffective in some patients.
We have now synthesized new chromone derivatives which have unexpectedly high activity as inhibitors of antigen-induced release of mediators of allergic responses.
Brief Description of the Figures
Figure 1 represents a reaction scheme for synthesis of compounds according to the invention;
Et = ethyl Figure 2 represents an alternative reaction scheme for synthesis of a sub-class of these compounds.
Summary and Description of the Invention
According to one aspect of the present invention there is provided a novel chromone derivative of general formula I:
Figure imgf000007_0001
wherein R is H, Na, or the appropriate corresponding methyl or ethyl esters;
R2 is OH, NHR3,*CH2OH, CH2NHR3, CHXCH2OH, CHXCH2NHR3, CH2CHXCH2OH, or CH2CH CH2 HR3
where X is halogen, NHR , or OH, and R is H, acetyl, benzyl, or a linear or cyclic alkyl group having 1-6 carbon atoms. Preferably X is Cl, or R2 is OH.
According to a second aspect of the invention there is provided a method of synthesis of a desired compound of general formula I comprising the steps of: (a) reacting 2-hydroxyacetophenone with an allyl halide or dihalide, in the presence of sodium iodide or potassium iodide and an anhydrous alkali metal carbonate to form an allyloxyacetophenone; (b) subjecting the allyloxyacetophenone to thermal rearrangement and reacting the product thereof with an alkali metal alkoxide;
(c) reacting the product of step (b) with a dialkyloxalate in a dry alkane solvent to give an
8-allyl-2-alkoxycarbonyl-4-oxo-2-chromene;
(d) subjecting the 8-allyl-2-alkoxycarbonyl- 4-oxo-2-chromene to a step selected from the group consisting of hydrohalogenation under Markovnikov or anti-Markovnikov conditions, epoxidation with subsequent nucleophilic substitution and ring-opening, ozonolysis followed by reduction, or direct nucleophilic substitution on the allyl side chain to form the desired compound of general formula I; and (e) isolating the desired compound.
It will be evident to persons skilled in the art that in the situation where an allyl dihalide is used in step (a), there is a possibility that direct nucleophilic substitution may be effected on the allyl side chain in step (d) .
Preferably the alkali metal alkoxide is sodium methoxide, and/or the dialkyloxalate is diethyloxalate. Preferably step (d) is an epoxidation step. According to a third aspect of the invention, there is provided a method of synthesis of a desired
2 compound of general formula I in which R is OH, said method comprising the steps of:
(a) heating a mixture of 3-methoxy-2-hydroxyacetophenone with an alkali metal alkoxide and a dialkyloxalate;
(b) rεfluxing the mixture in the presence of an organic acid and HC1 to form a free acid;
(c) isolating the free acid;
(d) treating the free acid with an organic acid and HBr under reflux to form the desired compound, and (e) isolating the desired compound.
Preferably the alkali metal alkoxide is sodium ethoxide, and/or the dialkyloxalate is diethyloxalate.
Preferably the organic acid is acetic acid. According to a fourth aspect of invention there is provided a pharmaceutical composition comprising a compound of general formula I together with a phar aceutically-acceptable diluent, carrier or excipient. According to a fifth aspect of the invention, there is provided a method of treatment or prophylaxis of a hypersensitivity reaction in a mammal in need of such treatment, comprising the step of administering to that mammal a therapeutically-effective amount of a compound according to general formula I.
In a preferred embodiment of the invention the compound according to general formula I is either 8- (2-chloro-3-hydroxypropyl)-2-carboxy-4-oxo-2-chromene (8-CHPC) or 8-hydroxy-2-carboxy-4-oxo-2-chromene(8HC) . The invention will now be illustrated by way of example only by reference to the following non-limiting examples, and to the figures.
Example 1
Preparation of precursor compounds Although the two acetophenone compounds used as starting materials for synthesis of compounds according to the invention are known per se, only the precursor of compound 1 is commercially available. Therefore these compounds were synthesized by the inventors.
Preparation of 2-allyloxyacetophenone (1)
2-hydroxyacetophenone (6.7g, 0.055 moles) and allyl bromide (27.7g, 0.23 moles) were stirred in dry acetone (30 ml) for 16 hours in the presence of potassium iodide (0.2g) and anhydrous potassium carbonate (9g) at room temperature. The salts were removed by filtration and washed with ether. The combined filtrate and washings were partitioned between diethyl ether (2 x 50 ml) and 2.5M NaOH (50 ml), and washed with water until no longer alkaline. The ether extracts were dried, and concentration yielded compound 1 as a colourless oil (4.5 g) . The compound was characterised by Ir and NMR spectroscopic means and was identical to that previously reported (Chemical Abstracts accession number CA 49 1623C).
Preparation of 3-allyl-2-hydroxyacetophenone
(2)
2-allyloxyacetophenone (6.18 g) was heated at 260-270°C for 35 min after which a vigorous reaction was observed. The product was distilled under reduced pressure and isolated as an oil (5.27g).
Ir(neat) 3000, 1620, 1430, 750
This compound is known, and has Chemical Abstracts accession number CA 49 1623C.
Example 2
General Method of Synthesis
Two distinct approaches may be used; the latter is particularly applicable when R 2 is OH.
(A) The starting material is 2-hydroxyacteophenone. Treatment of this starting material with allyl halide or allyl dihalide in dry acetone for circa 16h in the presence of potassium iodide and anhydrous sodium carbonate results in the formation of (1) or corresponding analogue. Thermal rearrangement and further reaction with sodium methoxide followed by addition of diethyloxalate in dry hexane results in the formation of 8-allyl-2-ethoxycarbonyl-4-oxo-2-chromene (3) or corresponding analogue. Hydrohalogenation under Markovnikov or anti-Markovnikov conditions, epoxidation with subsequent nucleophilic substitution and ring-opening, ozonolysis followed by reduction, or direct nucleophilic substitution on the allyl side chain under standard conditions results in the formation of compounds according to General Formula I. This approach is illustrated in Fig. 1.
(B) The starting material is 3-methoxy-2- hydroxyacetophenone To a solution of sodium ethoxide is added the starting material and diethyloxalate. This mixture is heated for circa 20 minutes followed by refluxing in acetic acid and cone HCl for circa 2h. After isolation of the free acid the product is then treated with acetic acid and HBr at reflux for approx. 2h. The product isolated after purification is compound (7). This is illustrated in Fig. 2.
These approaches are illustrated in detail in Examples 3 to 6 below.
Example 3
Preparation of 8-allyl-2-ethoxycarbonyl-4- oxo-2-chromene (3)
Sodium methoxide was generated in the usual manner by addition of metallic sodium (4.1g) to dry methanol (20 ml) with stirring at room temperature followed by heating to dissolve all of the sodium. After dry hexane (150 ml) was added a mixture of diethyloxalate (9.32 g) and 3-allyl-2-hydroxyacetophenone (10.25 g) in 100 ml of diethyl ether was introduced. The reaction mixture was refluxed for 120 min. The precipitate was filtered and was dissolved in a mixture of acetic acid (50 ml) and 33% HCl solution (0.75 ml) and heated on a steam bath for 90 min. The cooled solution was poured on to water (300 ml) and the precipitate was collected and recrystallised from aqueous methanol.
mp 85-87°C Analysis:C15H14°4 Found: C 69.81 H 5.95
Requires: C 69.76 H 5.46
Ir (KBr) 1740, 1660, 1100, 780 cm"1
1H NMR DMSO-d6: 5 1.4,t,3H,CH3;3.6,2H,ArCH2;4.4,q,2H,
CH2CH3;5.2,2H,-CH=CH2;5.8,1H,-CH=;7.0, 1H,=CH-C0;7.2-8.1,3H,3X ArH
Example 4
8-(2,3-anhydropropyl)-2-ethoxycarbonyl-4-oxo-2- chromene (4): Epoxidation of Compound (3) Compound (3) (4 g) was refluxed in dichloromethane under nitrogen for nine hours in the presence of 3-chloroperbenzoic acid (85%, 5 g) . The mixture was washed with 2X 100 ml saturated sodium bicarbonate, the organic phase dried over magnesium sulphate, filtered, and concentrated under reduced pressure. The title compound was isolated as a creamy-white solid and recrystallised from cyclohexane to give colourless needles (2.81 g).
mp 65-68°C
M+=274.08 (M wt = 274.08)
Ir (KBr) 1740, 1660, 1300, 1250 cm"1
λE MNR CDC13 1.4,t,3H,CH3?2.8,2H,ArCH2;3.2,3H,epoxy H;
4.4,q,2H,OCH2;7.1,1H,=CH-CO;7.1-8.2,3H,ArH Example 5
8-(2-chloro-3-hydroxypropyl)-2-ethoxycarbonyl-4- oxo-2-chromene (5): Chlorohydrin synthesis from Compound (4) Compound (4) (1 g) was suspended in ethanol
(95%, 10 ml), 2M HCl (10 ml) added and the mixture stirred for one hour at room temperature. The reaction mixture was poured on to crushed ice and the precipitate was collected and washed with water (0.84 g) and recrystallised from aqueous ethanol.
mp 92-94°C
Analysis: C15H1505Cl Found: C 57.79 H 4.68
Requires: C 57.98 H 4.87
hi NMR CDC13 S 1.4,t,3H,CH3;2.9,lH,OH;3.2,2H,ArCH2;3.6, 2H,CH2OH;4.2,1H,CH-C1;4.4,q,2H,-OCH2;
7.0,lH,=CH-CO;7.2-8.1,3H,ArH
Ir (KBr) 3400, 1740, 1660, 1480, 1260 cm"1
Example 6
Preparation of Sodium 8-(2-chloro-3- hydroxypropyl)-2-carboxy-4-oxo-2-chromene (6)
Compound (5) (0.34 g) was dissolved in a mixture of acetic acid (8 ml) and 33% HCl (2 ml) and heated to reflux for 50 min. The reaction mixture was concentrated and the residue recrystallised from water to give the free acid as colourless needles (0.08 g) .
mp 193 - 195°C
Analysis :C13HHC105 Found: C 54 . 72 H 4 . 10
Requires : C 55.23 H 3 . 92 Ir (KBr) 3400, 3100, 1730, 1640, 1600, 1250 cm"1
1H NMR DMSO-dg ^ 2.5,1H,0H;3.1,2H,ArCH2;3.6,2H,CH2OH;
4.1,1H,CHC1;6.9,1H,=CH-CO;7.2-7.9,3H, ArH
The free acid was dissolved in methanol and treated with one equivalent of aqueous sodium hydroxide. The solution was concentrated and the residue dried to yield the title compound.
Example 7 Preparation of Sodium 8-hydroxy-2-carboxy-4- oxo-2-chromene (7)
3-methoxy-2-hydroxyacetophenone (Amstutz, 1949) (2.05 g) and diethyloxalate (9.84 g) were added to a solution of sodium (1.3 g) in ethanol (25 ml). The mixture was heated on a hot water bath for 20 minutes resulting in the formation of a solid. The mixture was filtered, the solid washed with ether and refluxεd in a solution of acetic acid (30 ml) and cone HCl (10 ml) for 2 hours. Water (100 ml) was added to the cooled reaction mixture and the precipitatε collected. The freε acid was recrystallised from ethanol (2 g).
mp 249-251°C (Compared to a mp 247-249°C reportεd in the literature (CA 64175466, 1966).
The free acid (2.0 g) was refluxεd in a mixturε of acεtic acid (40 ml) and 48% aqueous HBr (40 ml) for two hours.
The mixture was poured onto water (200 ml) and the solid collected and recrystallised from aqueous ethanol to give the deetherified free acid (1.62 g) . mp 218°C (decomposes)
Analysis: C10HgO5 Found: C 58.06 H 3.27
Requires: C 58.26 H 2.93
Ir (KBr) 3400, 1700, 1660 cm"1
"hi NMR DMSO-dg £ 5.6,s,lH,ArOH;6.6,lH,=CH-;7.2,2H,ArH
This compound was treated with sodium hydroxide as described in the procedure for compound (6) in Example 5 to yield the title compound in quantitative yield.
Example 8 Assay of Inhibitory Activity Against Antigen-Induced Release of Mediators of
Allergy The method used routinely in this laboratory (Hughes et. al. 1983) was employed, and may be summarized briefly as follows. Small samples of macroscopically normal human lung obtained from patients undergoing surgery for carcinoma were immersed in oxygenated Tyrode's solution at 37°C, cut into 2 mm fragments, washed repeatedly with Tyrode's solution, and passively sensitized by incubating for three hours at 37 C in serum from an allergic subject. This subject was highly allergic to house dust mite (Dermatophagoides ptεronyssinus) , having a Rast titre for IgE of 4+.
The lung fragments were washed free of serum, and divided into a large number of 250 mg replicatεs, which were suspended in Tyrode's solution with or without test compound, and treated in duplicate for fifteen minutes with an extract of P. pteronyssinus to give a final volume of 3 ml. To measure the effect of the compounds, duplicate samples were incubated for fifteen minutes prior to antigen treatment with 1, 10 or 100 uM of compounds. Controls for drug-induced or spontaneous release of mediators contained no antigen solution. An appropriate concentration range for the compounds was establishεd in prεliminary experiments. The reaction was stopped by chilling the tubes in ice, and the supernatant solution was decanted and assayed for released SRS-A leukotrienes and for histamine.
Assay of Leukotrienes
Leukotrienes were bioassayed using a cascade of four strips of longitudinal muscle from guinea pig ileum, which was supεrfusεd at 37°C with Tyrode's solution containing an antihistamine and an anticholinergic, mepyramine and hyoscine respectively, each at 1 uM.
Muscle contractions were measured in quadruplicate for each supernatant solution, and these measurements werε calibratεd against those for contractions produced by standard solutions of leukotriene C. , and characterized using the leukotriene antagonist FPL 55712.
Assay of Histamine
Histamine was assayed using an automated fluorimetric method (Evans et. al, 1973) and histamine content was exprεssed as a proportion of total tissue histamine. The latter was determined by adding each valuε for released histamine to that for residual histamine, which was measured after boiling each . remaining 250 g aliquot of luhg in normal saline solution in order to releasε rεsidual histamine.
Evaluation of Results
The effect of each concentration of 8-HC and 8-CHPC on leukotriene and histamine relεase was expressed as a percentage of antigen-induced release in the absence of the test compound, after correction for any drug-induced or spontaneous release. Each determination was repeated using between five and eight different lung specimens. The statistical significance of the effect of treatment was determinεd by comparing the mean values, +_ standard errors of the means, for antigen-induced releasε in the presence of each test compound with the values for corresponding antigen-induced relεasε in thε absεnce of tεst compounds, using Student's test for paired data.
Example 9
The control release of sulfidopeptide leukotrienεs (SRS-A) from sεven lung samples was 1.46 +_ 0.49 nmol. equivalents of LTC, per gram lung (mean +_ s.e.m.). A further five lung samples failed to relεasε measurable SRS-A. The LTC4 antagonist FPL 55712 at 2 uM inhibited the contractions caused by SRS-A to the same extent that it inhibited those caused by the LTC. standard.
Histamine rεlεase from twelve lung samples was 13. 8 + 2.7 percεnt of total tissuε histaminε, which is εquivalent to 2.53 + 0.90 ug histamine per gram of lung. Results from expεrimεnts whεre histamine relεasε was lεss than 5% of total tissue histamine, or 1 ug pεr g lung, wεrε εxcludεd from furthεr considεration.
In one experimεnt, a small lung samplε from a subjεct who was allεrgic to Dεrmatophagoides farinae was trεatεd as dεscribed above, but passive sensitization was omittεd, and a Dermatophagoides farinae extract was usεd for antigεn challenge. The compound 8-CHPC at concentration of 1.0 and 10.0 μM was used in this experiment. This sample releasεd no mεasurablε SRS-A, and only 5.4% of thε total tissuε histaminε. Histaminε rεlεasε was inhibitεd by 8-CHPC at 10 uM by 33% and 48% rεspεctivεly. Rεsults, including thosε for thε inherently atopic lung sample, are summarizεd in Tablε 1. Both lεukotriεne and histamine relεasε wεrε inhibitεd by 8-HC and 8-CHPC, but in a diffεrεnt mannεr. Only 8-CHPC showεd a concεntration-dεpεndent effεct.
TABLE 1
Effεct of chromonε dεrivativεs 8-HC and 8-CHPC on antigεn-inducεd rεlεasε of mεdiators from human lung
Pεrcεntagε of control rεlεasε Mεan + s.ε.m. (n)
Lεukotriεnεs (SRS-A) Histaminε
Figure imgf000018_0001
Figure imgf000018_0002
Compound 8-HC at 1, 10 and 100 pM. significantly inhibitεd thε antigεn-induced relεasε of SRS-A lεukotriεnεs from human lung, with maximum inhibition of 44% at 1 uM. Thεrε was grεat variability bεtween results from lung samples from differεnt patiεnts.
The inhibition of histamine release was also very variable, as seεn from the standard error values in the table. Thus, although thεrε was a trεnd towards inhibition at each of the concentrations tested, statistically significant inhibition was found only for 1 uM 8-HC (26 + 9 percent, n=6) . 8-CHPC behaved with less variability, and inhibited both leukotriene and histamine relεase at the two higher concεntrations, 10 and 100 uM, but did not inhibit at 1 uM. At thε concεntrations used, neither compound affectεd thε bioassay for lεukotriεnεs or thε fluorimetric assay for histamine.
The results indicate that compounds according to gεneral formula I inhibit the IgE-mediatεd rεlεasε of SRS-A lεukotriεnεs and histaminε from human lung ±_n vitro. In this rεspεct, thεse chromone derivativεs bεhavε likε nεdocromil sodium, which inhibits histamine relεase from isolated human lung mast cells at a similar concentration range (Cromwell et. al. 1986), and sodium cromoglycate, which inhibits antigεn-inducεd histaminε and SRS-A rεlεasε from human lung fragmεnts (Shεard et. al., 1967, Assem & Mongar, 1970, Butchers et. al., 1979, Church & Young, 1983).
The inhibition by 8-HC of mediator relεasε in thεsε εxpεrimεnts appεars not to bε concεntration dεpendent, sincε 1 and 100 uM 8-HC tεndεd to producε a greater inhibition of both leukotriene and histamine release than did 10 uM 8-HC; in fact therε was no significant differencε between the inhibition caused by 1, 10 and 100 uM of this compound. An apparently biphasic εffεct was also observed for sodium cromoglycatε with leukotriεnε rεlεasε from human lung fragmεnts and from rat mast cεlls (Butchεrs εt. al., 1979). Assε & Mongar (1970) co mεntεd that whilε disodiu cromoglycatε was a potent inhibitor of histamine relεasε from human lung, this inhibition was inconsistεnt, and appeared not to increasε with increasing concentration. Similarly, Church and Young (1983) -observεd an approximatεly constant lεvεl of inhibition of histamine release by a range of concentrations of disodium cromoglycate. Thεy dεducεd that tolεrancε to thε drug dεvεlopεd, causing a loss of activity with ti ε of incubation. Biphasic εffects have also been reported for certain antihistamines which inhibit histaminε rεlεasε from human lung fragmεnts at low concentrations, and enhancε it at higher concεntrations (Church and Gradidge, 1980). Sodium cromoglycate was reportεd to inhibit thε releasε of SRS-A and histaminε from human lung ovεr a narrow rangε of concentration (Sheard εt. al, 1967). The present results show that the chromonε derivatives 8-HC and 8-CHPC behavε similarly to thε known useful drug disodium cromoglycate in this in vitro model of human respiratory allergy. Thus, thesε compounds may havε usεful therapεutic effects in allergic diseasεs such as asthma, in which immunologically-stimulatεd releasε of mediators such as leukotriεnεs and histaminε occurs.
Rεfεrεncεs rεferred to herεinabove are listed on the following page.
It will be clearly understood that thε invεntion in its gεnεral aspεcts is not limitεd to thε spεcific details refεrrεd to hεrεinabovε. Rεfεrεnces
Amstutz, E.D. (1949) J. Am. Chem. Soc. 7JL. 3836.
Assem. E.S.K. & J.L. Mongar, (1970), Int. Arch. Allergy 38, 68-77.
Butchers, P.R., J.R. Fullarton, I.F. Skidmore, L.E. Thompson, C.J. Vardey & A. Wheeler, (1979), Br. J. Pharmacol, 61_, 23-32.
Church, M.K. & C.F. Gradidge, (1980), Br. J. Pharmacol, 9, 663.
Church, M.K. & K.D. Young, (1983), Br J. Pharmacol. 78, 671-679.
Cromwεll,, O.R. Moqbel,• A.J. Wardlaw, G.M. Walsh & A.B. Kay (1986), J. All. Clin. Immunol. 77, 184.
Evans, D.P., J.A. Lewis, & D.S. Thomson (1973) Life Sciencεs 12, 327-336; (1954)
J. Pharm. Soc. Japan 7_ _, 48-51.
Hughεs, J.M. , J.P. Sεale & D.M. Temple, (1983), Europ. J. Pharmacol. £5, 239.
Sheard, P., P.G. Killingback & A.M.J.N. Blair (1967), Naturε 216, 283.

Claims

CLAIMS :
1. A novel chromone derivative of genεral formula
I:
Figure imgf000022_0001
wherein R is H, Na, or the appropriate corresponding methyl or ethyl estεrs;
R2 is OH, NHR3, CH2OH, CH2NHR3, CHXCH2OH, CHXCH2NHR3, CH2CHXCH2OH, or CH2CH CH2NHR3
whεrε X is halogεn, NHR 3, or OH, and R3 i.s H, acεtyl, bεnzyl, or a linεar or cyclic alkyl group having 1-6 carbon atoms.
2. A chromonε dεrivativε according to Claim 1, whεrεin X is Cl.
3. A chromone derivativε according to Claim 1, whεrεin R 2 is OH.
4. A compound according to Claim 1 sεlεctεd from 8-(2-chloro-3-hydroxypropyl)-2-carboxy-4-oxo-2-chromεnε and 8-hydroxy-2-carboxy-4-oxo-2-chromεne.
5. A mεthod of synthεsis of a compound according to Claim 1, comprising thε stεps of:
(a) reacting 2-hydroxyacetophenone with an allyl halidε or dihalidε in thε presεnce of sodium iodidε or potassium iodidε and an anhydrous alkali metal carbonate to form an allyloxyacetophεnonε; (b) subjεcting the allyloxyacetophεnonε to thεrmal rεarrangεmεnt and rεacting thε product thereof with an alkali metal alkoxide;
(c) reacting the product of step (b) with a dialkyloxalatε in a dry alkanε solvent to give an 8-allyl-2-alkoxycarbonyl-4-oxo-2-chromenε;
(d) subjecting the 8-allyl-2-alkoxycarbonyl- 4-oxo-2-chromene to a step selected from the group consisting of hydrohalogenation undεr Markovnikov or anti-Markovnikov conditions, epoxidation with subsequεnt nuclεophilic substitution and ring-opening, ozonolysis followed by reduction, or direct nucleophilic substitution on the allyl side chain to form the desired compound of Claim 1; and
(e) isolating thε desired compound.
6. A method according to Claim 5 in which the alkali metal alkoxide is sodium methoxidε.
7. A mεthod according to Claim 5 or Claim 6 in which thε dialkyloxalatε is diεthyloxalatε.
8. A method according to any one of Claims 5 to 7 in which step (d) is an epoxidation step.
9. A method of synthesis of a dεsirεd compound
2 according to Claim 1 in which R is OH, said method comprising the steps of:
(a) heating a mixture of 3-methoxy-2-hydroxyacεtophεnonε with an alkali εtal alkoxide and a dialkyloxalate;
(b) refluxing thε mixturε in thε prεsεncε of an organic acid and HCl to form a frεe acid;
(c) isolating the freε acid;
(d) trεating thε free acid with an organic acid and HBr under reflux to form the desirεd compound, and
(ε) isolating the desirεd compound.
10. A mεthod according to Claim 9 wherein the alkali metal alkoxide is sodium ethoxide.
11. A mεthod according to Claim 9 or Claim 10 in which thε dialkyloxalate is diεthyloxalatε.
12. A mεthod according to any onε of Claims 9 to 11 wherein the organic acid is acetic acid.
13. A pharmaceutical composition comprising a compound according to any one of Claims 1 to 4 togethεr with a pharmaceutically-acceptable diluent, carrier or excipient.
14. A composition according to Claim 13 whεrεin thε compound is 8-hydroxy-2-carboxy-4-oxo-2-chromεnε.
15. A composition according to Claim 13 whεrεin thε compound is 8-(2-chloro-3-hydroxypropyl)-2-carboxy- 4-oxo-2-chromene.
16. A composition according to any one of Claims 13 to 15 which is suitable for oral, sublingual, buccal, intranasal or percutanεous administration.
17. A method of treatment or prophylaxis of a hypersensitivity reaction in a mammal in neεd of such treatment, comprising the stεp of administεring to that mammal a thεrapεutically-εff ctivε amount of a compound according to any onε of Claims 1 to 4.
PCT/AU1989/0003991988-09-141989-09-14Chromone derivativesWO1990002741A1 (en)

Priority Applications (3)

Application NumberPriority DateFiling DateTitle
FI902400AFI902400A7 (en)1988-09-141989-09-14 Chromone derivatives
DK116990ADK116990A (en)1988-09-141990-05-10 CHROMO DERIVATIVE, PROCEDURES FOR PREPARING THEREOF AND PREPARATIONS CONTAINING SUCH A LINK
NO90902123ANO902123L (en)1988-09-141990-05-11 KROMONDERIVATER.

Applications Claiming Priority (2)

Application NumberPriority DateFiling DateTitle
AUPJ04191988-09-14
AUPJ0419881988-09-14

Publications (1)

Publication NumberPublication Date
WO1990002741A1true WO1990002741A1 (en)1990-03-22

Family

ID=3773370

Family Applications (1)

Application NumberTitlePriority DateFiling Date
PCT/AU1989/000399WO1990002741A1 (en)1988-09-141989-09-14Chromone derivatives

Country Status (4)

CountryLink
EP (1)EP0389607A1 (en)
DK (1)DK116990A (en)
FI (1)FI902400A7 (en)
WO (1)WO1990002741A1 (en)

Cited By (2)

* Cited by examiner, † Cited by third party
Publication numberPriority datePublication dateAssigneeTitle
WO1993012787A1 (en)*1991-12-201993-07-08Richter Gedeon Vegyészeti Gyár Rt.New pharmaceutical compositions inhibiting gastric acid secretion and exerting gastrocytoprotective effect
WO1997022002A1 (en)*1995-12-081997-06-19Reimann Hans JuergenProcess and device for in vitro diagnosis of allergic disorders

Citations (3)

* Cited by examiner, † Cited by third party
Publication numberPriority datePublication dateAssigneeTitle
GB1340512A (en)*1970-01-211973-12-12Fisons LtdProduction of esters of chromone-2-carboxylic acids
AU5114673A (en)*1973-01-161974-07-18Fisons LimitedPhenoxyalkoxy-4-oxo-benzopyran-2-carboxylic acids and-2-tetrazoles
AU4646285A (en)*1984-08-201986-03-27Ono Pharmaceutical Co. Ltd.(Fused) Benz (Thio) Amides

Patent Citations (3)

* Cited by examiner, † Cited by third party
Publication numberPriority datePublication dateAssigneeTitle
GB1340512A (en)*1970-01-211973-12-12Fisons LtdProduction of esters of chromone-2-carboxylic acids
AU5114673A (en)*1973-01-161974-07-18Fisons LimitedPhenoxyalkoxy-4-oxo-benzopyran-2-carboxylic acids and-2-tetrazoles
AU4646285A (en)*1984-08-201986-03-27Ono Pharmaceutical Co. Ltd.(Fused) Benz (Thio) Amides

Non-Patent Citations (1)

* Cited by examiner, † Cited by third party
Title
PATENT ABSTRACTS OF JAPAN, C-43, p 29, JP, A, 55-149279 (Santen Seiyaku K.K.) 20 November 1980 (20.11.80)*

Cited By (3)

* Cited by examiner, † Cited by third party
Publication numberPriority datePublication dateAssigneeTitle
WO1993012787A1 (en)*1991-12-201993-07-08Richter Gedeon Vegyészeti Gyár Rt.New pharmaceutical compositions inhibiting gastric acid secretion and exerting gastrocytoprotective effect
WO1997022002A1 (en)*1995-12-081997-06-19Reimann Hans JuergenProcess and device for in vitro diagnosis of allergic disorders
US6093551A (en)*1995-12-082000-07-25Martin RaithelProcess and device for in vitro diagnosis of allergic disorders

Also Published As

Publication numberPublication date
DK116990D0 (en)1990-05-10
FI902400A0 (en)1990-05-14
FI902400A7 (en)1990-05-14
EP0389607A1 (en)1990-10-03
DK116990A (en)1990-07-12

Similar Documents

PublicationPublication DateTitle
US4233303A (en)Xanthine derivatives
EP0145340A2 (en)1H-Imidazo[4,5-c]quinolines and 1H-imidazo[4,5-c]quinolin-4-amines
EP0178413A1 (en)Benzimidazoles
EP0103497A1 (en)Xanthine derivatives, process for their preparation and pharmaceutical compositions containing them
US4416892A (en)Method of treating hypersensitivity disease with benzoxazole derivatives
US6159988A (en)Arylcycloalkyl derivatives, their production and their use
US4264613A (en)Piperidylbenzimidazolinone compounds
US4670457A (en)2H-benzofuran-3-one-derivatives and process for their preparation
US4119720A (en)Unsaturated esters of 4-hydroxy-2-quinolinone-3-carboxylic acids and salts thereof
US3952013A (en)1-Thiachromone-2-carboxylic acids and derivatives
US4970301A (en)2-(piperazinyl)-2-oxoethylene-substituted flavonoid compounds
WO1990002741A1 (en)Chromone derivatives
US4190659A (en)Pharmaceutical preparation and use of 4-hydroxy-2-quinolinone-3-carboxylic acid esters
US4970214A (en)Quinoline substituted oxomethyl or thioxomethyl glycine derivatives and aldose reductase inhibition therewith
JPH0251914B2 (en)
US4263299A (en)Heterocyclic coumarin derivatives
JPS6143183A (en)Novel 2h-1-benzopyran-2-one derivative, manufacture and antiallergic disease remedy
US4248879A (en)Benzopyranotriazoles
CA1180716A (en)Guanidinocyclohexanecarboxylic acid derivatives and process for producing the same
JPS5872584A (en)Novel xanthin derivative, manufacture and antiallergic
US5599966A (en)Substituted ethanolamine esters
US4116971A (en)3-(1h-tetrazol-5-yl)chromones
JPS6222989B2 (en)
KR100373948B1 (en) Pharmaceutical compositions containing xanthine derivatives, new xanthine compounds and methods for their preparation to reduce the pathogenic overreactivity of eosinophils
EP0002562B1 (en)Triazolo-quinoline derivatives, processes for their preparation and their pharmaceutical use

Legal Events

DateCodeTitleDescription
AKDesignated states

Kind code of ref document:A1

Designated state(s):AU DK FI JP KR NO US

ALDesignated countries for regional patents

Kind code of ref document:A1

Designated state(s):AT BE CH DE FR GB IT LU NL SE

WWEWipo information: entry into national phase

Ref document number:1989910594

Country of ref document:EP

WWEWipo information: entry into national phase

Ref document number:902400

Country of ref document:FI

WWPWipo information: published in national office

Ref document number:1989910594

Country of ref document:EP

WWRWipo information: refused in national office

Ref document number:1989910594

Country of ref document:EP

WWWWipo information: withdrawn in national office

Ref document number:1989910594

Country of ref document:EP


[8]ページ先頭

©2009-2025 Movatter.jp