Movatterモバイル変換


[0]ホーム

URL:


WO1989000281A1 - Transillumination imaging system using the antenna properties of heterodyne detection - Google Patents

Transillumination imaging system using the antenna properties of heterodyne detection
Download PDF

Info

Publication number
WO1989000281A1
WO1989000281A1PCT/FR1988/000355FR8800355WWO8900281A1WO 1989000281 A1WO1989000281 A1WO 1989000281A1FR 8800355 WFR8800355 WFR 8800355WWO 8900281 A1WO8900281 A1WO 8900281A1
Authority
WO
WIPO (PCT)
Prior art keywords
imaging system
detector
optical
frequency
source
Prior art date
Application number
PCT/FR1988/000355
Other languages
French (fr)
Inventor
Daniel Dolfi
François Micheron
Original Assignee
General Electric Cgr S.A.
Priority date (The priority date is an assumption and is not a legal conclusion. Google has not performed a legal analysis and makes no representation as to the accuracy of the date listed.)
Filing date
Publication date
Application filed by General Electric Cgr S.A.filedCriticalGeneral Electric Cgr S.A.
Publication of WO1989000281A1publicationCriticalpatent/WO1989000281A1/en

Links

Classifications

Definitions

Landscapes

Abstract

In a transillumination imaging system in which a body (H) is illuminated by transparency by a beam of light (FS, F1), a beam splitter (S1) derives from this beam (FS) a beam fraction (F'1) whose frequency is shifted by a frequency changer (CF). The beam (F3) obtained is combined with the signal beam (F2) produced by illumination of the medium (H). A detector (D) receives these beams and supplies a photocurrent having a frequency intermediate between the frequency of the signal beam (F2) and that of the frequency-shifted beam (F3). A privileged direction of the diffused light is thus isolated in the signal beam. Application: medical imaging.

Description

SYSTEME D'IMAGERIE PAR TRANS ILLUMINATION UTILISANT LES PROPRIETES D'ANTENNE DE LA DETECTION HETERODYNE TRANS ILLUMINATION IMAGING SYSTEM USING HETERODYNE DETECTION ANTENNA PROPERTIES
L'invention concerne un système d'imagerie aux longueurs d'ondes visibles et en infrarouge notamment, s'appliquent à tout objet noyé dans un milieu diffusant. Ce système s'applique particulièrement à l'imagerie médicale et concerne donc un procé- dé de transillumination ou de diaphanoscopie .The invention relates to an imaging system with visible wavelengths and in infrared in particular, applicable to any object embedded in a scattering medium. This system is particularly applicable to medical imaging and therefore relates to a transillumination or diaphanoscopy process.
Le procédé décrit propose une alternative totalement inoffensive aux systèmes d'imagerie médicale classiques (rayonnement X associé à un enregistrement sur film, échographie , résonance magnétique nucléaire , . . . ) . Il doit permettre la formation d'images, en deux ou trois dimensions, par transmission de lumière visible ou proche infra rouge, au travers d'un organe vivant. Le procédé peut également s'appliquer à tout milieu diffusant suffisamment transparent à la lumière .The method described offers a completely harmless alternative to conventional medical imaging systems (X-rays associated with film recording, ultrasound, nuclear magnetic resonance, etc.). It must allow the formation of images, in two or three dimensions, by transmission of visible or near infrared light, through a living organ. The method can also be applied to any medium diffusing which is sufficiently transparent to light.
La transillumination comme moyen de diagnostic a été utilisée pour la première fois en 1929 , pour la mise en évidence de tumeurs du sein. L'article "Transillumination as an aid in the diagnosis of breast lésions" de M. CUTLER publié dans Surgery, Gynecology and Obstretics de Juin 1929 , décrit ce moyen de diagnostic . Le dispositif utilisé consistait uniquement en une lampe placée sous le sein de la patiente, le médecin observant directement la lumière diffusée. Tous les dispositifs utilisés par la suite sont des améliorations de ce premier système. L'utilisation de torches plus puissantes refroidies (voir l'article DIaphanologie mammaire" de Ch . GROS et al publié dans le Journal de Radiologie - Tome 53 n° 4 de 1972) , de surfaces sensibles dans le proche infrarouge (film et caméra IR) , la formation d'images à deux longueurs d'ondes différentes, asso ciées à un traitement de l'image important, n'ont pas permis d'amélioration spectaculaire . La limitation principale vient de la valeur très importante du coefficient de diffusion dans les tissus biologiques , même aux longueurs d'ondes où l'absorption est faible. De tels dispositifs ne sont utilisés que pour la mammographie et ne permettent la détection, avec beaucoup de sûreté , ni de tumeurs de faibles dimensions (inférieures à 1 cm) , ni de tumeurs profondes (même plus importantes) .Transillumination as a diagnostic tool was used for the first time in 1929, for the detection of breast tumors. The article "Transillumination as an aid in the diagnosis of breast lesions" by M. CUTLER published in Surgery, Gynecology and Obstretics of June 1929, describes this means of diagnosis. The device used consisted only of a lamp placed under the patient's breast, the doctor directly observing the scattered light. All the devices used subsequently are improvements to this first system. The use of more powerful cooled torches (see the article DIaphanologie mammaire "by Ch. GROS et al published in the Journal de Radiologie - Tome 53 n ° 4 de 1972), sensitive surfaces in the near infrared (film and IR camera ), the formation of images at two different wavelengths, asso ciées to an important image processing, did not allow spectacular improvement. The main limitation comes from the very important value of the diffusion coefficient in biological tissues, even at wavelengths where absorption is low. Such devices are used only for mammography and do not allow the detection, with great safety, of small tumors (less than 1 cm), nor of deep tumors (even larger).
Un procédé connu, tel que celui réalisé dans le labora- tolre INSERM (U238) du Professeur JARRY et décrit dans la thèse de Doctorat, spécialité Sciences , soutenue par S .DEBRAY le 12 juin 1987 devant l'Université de Paris, Val de Marne et ayant pour titre "Dispositif pour la trans illumination Laser des tissus biologiques . Apports de la résolution temporelle et de la Spectrophotométrie" , permet de se soustraire à l'influence de la diffusion. L'organe est éclairé par un faisceau laser. Le détecteur, placé en regard du laser, derrière l'organe, est muni d'un collimateur. La sélection de temps de vol permet de ne pas prendre en compte les photons diffusés . Seul les photons passés en ligne droite sont sélectionnés et on utilise, un laser puisé. Ce système permet également l'analyse spectroscopique de l'organe en utilisant un laser à colorant . Le contraste et la perception des détails sont améliorés . Un tel système est décrit dans l'article "Etude en simulation du comportement de la lumière dans les tissus biologiques" de MAAREK et al publié dans Innovations des Techniques Biologiques et Médicales , Volume 7, n° 3 de 1986.A known process, such as that carried out in the INSERM laboratory (U238) of Professor JARRY and described in the Doctoral thesis, specialty Sciences, defended by S .DEBRAY on June 12, 1987 before the University of Paris, Val de Marne and having for title "Device for the laser illumination trans of the biological tissues. Contributions of the temporal resolution and the Spectrophotometry", allows to escape the influence of the diffusion. The organ is lit by a laser beam. The detector, placed opposite the laser, behind the organ, is fitted with a collimator. The selection of flight times makes it possible not to take into account the scattered photons. Only the photons passed in a straight line are selected and a pulsed laser is used. This system also allows spectroscopic analysis of the organ using a dye laser. Contrast and perception of details are improved. Such a system is described in the article "Study in simulation of the behavior of light in biological tissues" by MAAREK et al published in Innovations des Techniques Biologiques et Médicales, Volume 7, n ° 3 de 1986.
L'utilisation d'une caméra à balayage de fente (5 picosecondes de résolution) et d'une source laser puisée, a permis de mettre au point un système d'imagerie tomographique comme cela est décrit dans l'article "Laser Puise Tomography Using a Streak Caméra de Y.TAKIGUCHI et al publié dan Proceedings" Image Détection and Quality" de Juillet 86. La tomographie est rendue possible par la prise en compte du signal rétrodlffusé. Cette technique, compte tenu de la faiblesse du signal , sera difficile à transposer aux organes vivants de dimensions Importantes .The use of a slit scan camera (5 picoseconds of resolution) and a pulsed laser source, made it possible to develop a tomographic imaging system as described in the article "Laser Puise Tomography Using a Streak Camera by Y. TAKIGUCHI et al published in Proceedings "Image Detection and Quality" of July 86. Tomography is made possible by taking into account the backscattered signal. This technique, given the weakness of the signal, will be difficult to transpose to large living organs.
La faible résolution des systèmes classiques , même lorsqu'ils sont dotés d'un traitement de l'image performant, la complexité du système de détection de ces procédés nous amènent à proposer un système permettant d'éviter ces inconvénients .The low resolution of conventional systems, even when they are equipped with an efficient image processing, the complexity of the detection system of these methods leads us to propose a system making it possible to avoid these drawbacks.
L'invention concerne donc un système de transillumination utilisant les propriétés d'antenne de la détection hétérodyne. La très grande sélectivité angulaire de la détection hétérodyne , ainsi que l'excellent rapport signal à bruit qu'elle autorise, nous permettent d'envisager son application au domaine médical.The invention therefore relates to a transillumination system using the antenna properties of heterodyne detection. The very high angular selectivity of heterodyne detection, as well as the excellent signal-to-noise ratio that it allows, allow us to consider its application in the medical field.
L'Invention concerne donc un système d'imagerie par transillumination comprenant une source laser émettant un faisceau lumineux de source éclairant à l'aide d'un premier faisceau un milieu transparent ou translucide ainsi qu'un détecteur recevant un deuxième faisceau lumineux résultant du premier faisceau après traversée dudit milieu , caractérisé en ce qu'il comporte un séparateur de faisceau placé sur le trajet du faisceau de source et dérivant une portion de faisceau, un changeur de fréquence recevant cette portion de faisceau et fournissant en échange un troisième faisceau légèrement décalé en fréquence par rapport au premier faisceau, un coupleur optique placé sur le trajet du deuxième faisceau recevant également le troisième faisceau et fournissant au détecteur un quatrième faisceau résultant de la combinaison du deuxième faisceau et du troisième faisceau.The invention therefore relates to a transillumination imaging system comprising a laser source emitting a source light beam illuminating with a first beam a transparent or translucent medium as well as a detector receiving a second light beam resulting from the first beam after crossing said medium, characterized in that it comprises a beam splitter placed on the path of the source beam and diverting a portion of beam, a frequency changer receiving this portion of beam and providing in exchange a third beam slightly offset in frequency with respect to the first beam, an optical coupler placed on the path of the second beam also receiving the third beam and supplying the detector a fourth beam resulting from the combination of the second beam and the third beam.
Les différents objets et caractéristiques de l'invention apparaîtront plus clairement dans la description qui va suivre faite à titre d'exemple en se reportant aux figures annexées qui représentent :The various objects and characteristics of the invention will appear more clearly in the description which follows, given by way of example with reference to the appended figures which represent:
- la figure 1, un exemple de réalisation du système d'imagerie selon l'invention fonctionnant en imagerie à deux dimensions : - les figures 2 à 4 , le fonctionnement du système de l'invention ;FIG. 1, an exemplary embodiment of the imaging system according to the invention operating in two-dimensional imaging: - Figures 2 to 4, the operation of the system of the invention;
- la figure 5 , un exemple de réalisation du système selon l'Invention fonctionnant en Imagerie à trois dimensions ;- Figure 5, an exemplary embodiment of the system according to the invention operating in three-dimensional imaging;
- la figure 6 , le fonctionnement du système de la figure- Figure 6, the operation of the system of Figure
5 ;5;
- la figure 7, un exemple de réalisation du système selon l'invention illustrant un système d'exploration par déplacement ;- Figure 7, an embodiment of the system according to the invention illustrating a displacement exploration system;
- les figures 8 à 11, des dispositifs permettant d'effectuer une exploration du corps à Imager ;- Figures 8 to 11, devices for performing an exploration of the body to Imager;
- la figure 12 , des circuits de traitement des signaux détectés par le système d'imagerie ;FIG. 12, circuits for processing the signals detected by the imaging system;
- les figures 13 à 21, différentes courbes de fonctionnement des circuits dé la figure 12 ; - la figure 22, une variante de réalisation des circuits de la figure 12 ;- Figures 13 to 21, different operating curves of the circuits of Figure 12; - Figure 22, an alternative embodiment of the circuits of Figure 12;
- la figure 23 , un autre système de déplacement pour explorer le corps à imager ;- Figure 23, another displacement system for exploring the body to be imaged;
- la figure 24, un autre dispositif d'exploration du système selon l'invention ;- Figure 24, another device for exploring the system according to the invention;
- les figures 25 à 27, différentes variantes de fonctionnement du détecteur du système de l'invention ;- Figures 25 to 27, different operating variants of the detector of the system of the invention;
- la figure 28, une variante du système d'exploration selon l'invention ; - la figure 29 , une vue de détail du dispositif d'exploration de la figure 28 ;- Figure 28, a variant of the exploration system according to the invention; - Figure 29, a detailed view of the exploration device of Figure 28;
- la figure 30, une variante du système selon l'invention comportant plusieurs détecteurs pour obtenir une exploration du corps à imager ; - la figure 31 , une variante du dispositif d'exploration du système selon l'invention ;- Figure 30, a variant of the system according to the invention comprising several detectors to obtain an exploration of the body to be imaged; - Figure 31, a variant of the system exploration device according to the invention;
- la figure 32, un système d'imagerie à trois dimensions selon l'Invention comportant des moyens de transmission à fibres optiques ; - la figure 33 , une variante du système d'imagerie de la figure 32 ;- Figure 32, a three-dimensional imaging system according to the invention comprising fiber optic transmission means; - Figure 33, a variant of the imaging system of Figure 32;
- la figure 34 , un système d'imagerie à trois dimensions comportant des dispositifs optiques cylindriques ; - la figure 35 , un système d'imagerie à trois dimensions selon l'invention prévoyant des moyens de focalisation sur le détecteur ;- Figure 34, a three-dimensional imaging system comprising cylindrical optical devices; - Figure 35, a three-dimensional imaging system according to the invention providing means for focusing on the detector;
- les figures 36 et 37 , un système d'imagerie à trois dimensions selon l'invention fonctionnant en impulsions .- Figures 36 and 37, a three-dimensional imaging system according to the invention operating in pulses.
- la figure 38, une variante de réalisation du système d'imagerie selon l'invention dans lequel un changeur de fréquence se trouve sur le trajet du faisceau lumineux Issue du corps à imager. En se reportant à la figure 1, on va tout d'abord décrire un exemple de réalisation du système de l'invention.- Figure 38, an alternative embodiment of the imaging system according to the invention in which a frequency changer is located on the path of the light beam from the body to be imaged. Referring to Figure 1, we will first describe an embodiment of the system of the invention.
Ce système comporte une source L de rayonnement émettant un faisceau FS . Ce faisceau est, par exemple, un faisceau lumineux de fréquence ω Un séparateur de faisceau SI, tel qu'un miroir semi- réfléchissant, transmet une partie du faisceau FS à un corps H translucide ou transparent. Celui-ci reçoit le faisceau F1 et retransmet tout ou partie de ce faisceau sous la forme d'un faisceau F2. Ce faisceau F2 est réfléchi par un miroir M2 vers un coupleur de faisceau S2. Ce coupleur de faisceau S2 peut être par exemple une lame semi- réfléchissante .This system comprises a source L of radiation emitting a beam FS. This beam is, for example, a light beam of frequency ω A beam splitter SI, such as a semi-reflecting mirror, transmits part of the beam FS to a translucent or transparent body H. The latter receives the beam F1 and retransmits all or part of this beam in the form of a beam F2. This beam F2 is reflected by a mirror M2 towards a beam coupler S2. This beam coupler S2 can for example be a semi-reflecting plate.
Le séparateur de faisceau SI réfléchit une partie F'1 du faisceau FS vers un miroir M1. Celui-ci réfléchit le faisceau F'1 vers un changeur de fréquence CF qui fournit en échange un faisceau F3 de fréquence ω + f . Ce faisceau F3 est transmis au coupleur de faisceau S2 qui combine les faisceaux F2 et F3 , et fournit un faisceau F4 vers un détecteur D . Une optique C focalise éventuellement la lumière transmise vers le détecteur D.The beam splitter SI reflects a part F'1 of the beam FS towards a mirror M1. This reflects the beam F'1 to a frequency changer CF which in exchange supplies a beam F3 of frequency ω + f. This beam F3 is transmitted to the beam coupler S2 which combines the beams F2 and F3, and supplies a beam F4 to a detector D. An optic C optionally focuses the light transmitted to the detector D.
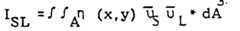
De cette façon, on effectue le mélange sur un détecteur de deux ondes optiques F2 et F3 de fréquences légèrement différentes . Si le faisceau F3 a une fréquence ωS =ω + f et le faisceau F2 a une fréquence ωL =ω , on obtient un photocourant ISL à la fréquence intermédiaire |ωSL | :
Figure imgf000008_0004
'In this way, the mixing is carried out on a detector of two optical waves F2 and F3 of slightly different frequencies. If the beam F3 has a frequency ωS =ω + f and the beam F2 has a frequency ωL =ω , we obtain a photocurrent ISL at the intermediate frequency | ωSL | :
Figure imgf000008_0004
'
A aire du détecteurDetector area
(x, y) efficacité quan tique du détecteur et amplitude des ondes optiques F2 et F3
Figure imgf000008_0005
Figure imgf000008_0006
respectivement.
(x, y) quantum efficiency of the detector and amplitude of the optical waves F2 and F3
Figure imgf000008_0005
Figure imgf000008_0006
respectively.
Pour un détecteur uniforme et dans le cas simplificateur d'ondes planes , on obtient, pour deux ondes F2 et F3 non colinéaires telles que représentées en figure 2 :For a uniform detector and in the simplifying case of plane waves, we obtain, for two waves F2 and F3 non-collinear as shown in FIG. 2:
ISL α SINC
Figure imgf000008_0003
ISL α SINC
Figure imgf000008_0003
Le photocourant n'a donc de valeur significative que lorsque KL et KS sont quasiment parallèles avec une tolérance angulaire : LThe photocurrent therefore only has significant value when KL and KS are almost parallel with an angular tolerance: L
-
Figure imgf000008_0002
λ longueur d'onde utilisée
-
Figure imgf000008_0002
λ wavelength used
- ℓ dimension caractéristique de la zone d'interaction Si iL et iS sont les photocourants délivrés lorsque le détecteur reçoit respectivement des ondes de fréquences ωL et ωS , on peut considérer dans l'hypothèse simplificatrice des ondes planes uniformes et parallèles :
Figure imgf000008_0001
- ℓ characteristic dimension of the interaction zone If iL and iS are the photocurrents delivered when the detector receives waves of frequencies ωL and ωS respectively , we can consider in the simplifying hypothesis uniform and parallel plane waves:
Figure imgf000008_0001
Le système de la figure 1 transmet au détecteur D deux faisceaux F2 et F3 sous la forme d'un faisceau F4. Ce système permet d'utiliser la propriété d'antenne de la détection hétérodyne. Cette propriété permet d'isoler une direction privilégié dans un signal diffus, au moyen d'un faisceau dit -oscillateur local comme cela est représenté en figure 3. Sur cette figure, on retrouve le faisceau F1, le corps H, le faisceau F2, le faisceau F3, la lame semi-réfléchissante S2, le faisceau F4 et le détecteur D.The system of FIG. 1 transmits to the detector D two beams F2 and F3 in the form of a beam F4. This system makes it possible to use the antenna property of heterodyne detection. This property makes it possible to isolate a preferred direction in a diffuse signal, by means of a so-called local oscillator beam as shown in FIG. 3. In this figure, we find the beam F1, the body H, the beam F2, the beam F3, the semi-reflecting plate S2, the beam F4 and the detector D.
Comme cela est représenté en figure 4, le corps H peut être diffusant ou comporter des zones différentes. Il reçoit le faisceau F1 et retransmet alors un faisceau F2 qui comporte un faisceau F2 de lumière non diffusée et une partie de lumière diffusée représentée par le cône de lumière de la figure 4.As shown in FIG. 4, the body H can be diffusing or include different zones. It receives the beam F1 and then retransmits a beam F2 which includes a beam F2 of non-scattered light and a part of scattered light represented by the light cone of FIG. 4.
Aux longueurs d'ondes considérées, la tolérance angulaire sur le mélange des deux ondes (F2 et F3) est de l'ordre de 1 à 10 milliradlans . Dans ces conditions , pratiquement seul la partie de la lumière non diffusée sera détectée .At the wavelengths considered, the angular tolerance on the mixture of the two waves (F2 and F3) is of the order of 1 to 10 milliradlans. Under these conditions, practically only the part of the non-scattered light will be detected.
Dès que le faisceau F3 oscillateur local est suffisamment intense, ce procédé de collimation présente les avantages suivants : - flux lumineux détectés plus importants ;As soon as the local oscillator beam F3 is sufficiently intense, this collimation process has the following advantages: - greater luminous fluxes detected;
- rapport signal à bruit très favorable grâce à la très faible bande passante nécessaire ;- very favorable signal-to-noise ratio thanks to the very low bandwidth required;
- même puissance équivalente de bruit qu'un détecteur quantique parfait limité par le bruit de photons . Le système de figure 1 permet ainsi de réaliser une image à deux dimensions du corps H. Ainsi la détection hétérodyne est utilisée , dans ce cas , comme moyen de collimation . Elle permet la mesure de la transmission collimatée intégrée sur la traversée de l'organe . Les propriétés d'antenne, permettent d'isoler, dans le signal diffus, les photons qui n'ont pas été diffusés et ont suivi un chemin rectiligne tel que cela a été représenté sur la figure 4. L'analyse point par point de la transmission collimatée permet alors de reconstruire une image en deux dimensions par projections de l'ensemble de l'organe sur un plan orthogonal au faisceau d'éclairage . On obtient ainsi une image analogue à celle fournie par les systèmes de radiologie classiques .- same equivalent noise power as a perfect quantum detector limited by photon noise. The system of FIG. 1 thus makes it possible to produce a two-dimensional image of the body H. Thus heterodyne detection is used, in this case, as a means of collimation. It allows the measurement of the integrated collimated transmission on the crossing of the organ. The antenna properties make it possible to isolate, in the diffuse signal, the photons which have not been scattered and have followed a rectilinear path as shown in FIG. 4. The point-by-point analysis of the collimated transmission then makes it possible to reconstruct a two-dimensional image by projections of the entire organ on a plane orthogonal to the light beam. An image similar to that provided by conventional radiology systems is thus obtained.
Le système d'imagerie de l'invention peut également être réalisé pour obtenir une imagerie du corps H à trois dimensions . La figure 5 , représente un tel système. L'organisation de ce système est similaire à celui de la figure 1.The imaging system of the invention can also be produced to obtain a three-dimensional imaging of the body H. Figure 5 shows such a system. The organization of this system is similar to that of Figure 1.
La source L émet un faisceau lumineux FS qui est collimaté par une lentille B . De plus , une optique telle qu'une lentille O permet d'associer à un petit volume de matériau diffusant (diamètre 100 μm à 1 mm) une direction dont la sélection est effectuée par l'oscillateur local . On mesure donc la quantité de lumière diffusée par un volume d'organe réduit placé au foyer objet F de l'optique O . Toute lumière diffusée en un autre point n'est pas collimatée dans la direction de l'oscillateur local. Ainsi une analyse point par point de l'organe permet la reconstruction d'une image en trois dimensions. En effet, des translations de la lentille O selon deux axes X et Y tel que cela est représenté en figure 6 permettent la reconstruction point par point d'un plan PO situé à une côte Z de l'axe Z . Une translation de la lentille O selon l'axe Z de Zo à Z1, permet ensuite la formation de l'image à deux dimensions du plan P1 de côte Z1 .The source L emits a light beam FS which is collimated by a lens B. In addition, an optic such as a lens O makes it possible to associate with a small volume of diffusing material (diameter 100 μm to 1 mm) a direction whose selection is performed by the local oscillator. We therefore measure the quantity of light scattered by a reduced volume of organ placed at the focal point object F of optics O. Any light scattered at another point is not collimated in the direction of the local oscillator. Thus a point by point analysis of the organ allows the reconstruction of a three-dimensional image. Indeed, translations of the lens O along two axes X and Y as shown in FIG. 6 allow point-to-point reconstruction of a plane PO located at a side Z of the axis Z. A translation of the lens O along the axis Z from Zo to Z1 , then allows the formation of the two-dimensional image of the plane P1 of coast Z1 .
Le principe de fonctionnement du système de la figure 5 est identique à celui de la figure 1. cependant, on notera que le système de la figure 1 est particulièrement sensible à la lumière n'ayant pas subit de diffusion tandis que le système de la figure 5 permet de détecter les points diffusant du corps H. Ce qui revient à dire que l'image obtenue par le système de la figure 5 (outre qu'elle est de trois dimensions) est complémentaire de celle obtenue par le système de la figure 1.The operating principle of the system of FIG. 5 is identical to that of FIG. 1. However, it will be noted that the system of FIG. 1 is particularly sensitive to light which has not undergone scattering while the system of FIG. 5 makes it possible to detect the scattering points of the body H. Which amounts to saying that the image obtained by the system of FIG. 5 (in addition to being of three dimensions) is complementary to that obtained by the system of FIG. 1 .
Dans les deux systèmes, la source peut émettre à plusieurs longueurs d'ondes ; la simple mise en place de filtres permet alors la connaissance spectroscopique du milieu et la formation d'images à des longueurs d'ondes différentes. On peut remarquer que les images à deux dimensions et à trois dimensions sont formées en tenant compte à la fois des coefficients d'absorption et de diffusion du milieu.In both systems, the source can transmit at multiple wavelengths; the simple installation of filters then allows spectroscopic knowledge of the medium and the formation of images at different wavelengths. It can be noted that the two-dimensional and three-dimensional images are formed by taking into account both the absorption and diffusion coefficients of the medium.
On va maintenant décrire les différents éléments constitutifs de l'invention et différents modes de réalisation.We will now describe the different elements of the invention and different embodiments.
La source L doit être suffisamment cohérente spatialement et temporellement pour permettre le mélange sur le détecteur. Une source laser convient donc. Cette source peut être monochromatique, fournir des longueurs d'ondes discrètes ou un spectre continu (laser à colorant) . Chaque longueur d'onde per- met alors la formation d'images différentes. Le détecteur D , constitué d'une ou plusieurs photodiodes , par exemple, peut être :The source L must be sufficiently spatially and temporally coherent to allow mixing on the detector. A laser source is therefore suitable. This source can be monochromatic, provide discrete wavelengths or a continuous spectrum (dye laser). Each wavelength then allows the formation of different images. The detector D, consisting of one or more photodiodes, for example, can be:
- unique étendu- single extended
- unique ponctuel - multiple linéaire (barette de détecteurs)- single point - linear multiple (bar of detectors)
- multiple matriciel- multiple matrix
A chaque type de détecteur est associé un ou plusieurs modes d'éclairage et de balayage de l'organe à imager.Each type of detector is associated with one or more modes of lighting and scanning of the organ to be imaged.
Lorsque deux faisceaux de tailles différentes interfèrent sur le détecteur , seule la partie du détecteur, limitée par le faisceau le plus étroit, génère un signal à la fréquence intermédiaire . La sélectivité angulaire et la résolution transversale sont limitées par la taille du faisceau le plus étroit.When two beams of different sizes interfere with the detector, only the part of the detector, limited by the narrowest beam, generates a signal at the intermediate frequency. The angular selectivity and the transverse resolution are limited by the size of the narrowest beam.
On va donc décrire maintenant différentes variantes de réalisation du système de l'invention et de dispositif permettant une exploration du corps H à imager. on va tout d'abord décrire différentes variantes de réalisation du système d'imagerie à deux dimensions de la figure 1.We will therefore now describe various alternative embodiments of the system of the invention and of the device allowing exploration of the body H to be imaged. We will first describe various alternative embodiments of the two-dimensional imaging system of FIG. 1.
La figure 7, représente un système dans lequel une Image est obtenue par des translations selon les axes T1 et T2 de l'ensemble E constitué d'un dispositif optique TR d'une lentille B du coupleur de faisceau S2 et du détecteur D.FIG. 7 represents a system in which an Image is obtained by translations along the axes T1 and T2 of the assembly E consisting of an optical device TR of a lens B of the beam coupler S2 and of the detector D.
Le dispositif optique TR est un dispositif permettant la translation du faisceau F3 selon l'axe T2. Ce dispositif peut être par exemple réalisé avec un ensemble de deux miroirs M3 et M4 parallèles et mobile en rotation tel que cela est représenté en figures 8 et 9. On voit sur ces figures que selon l'orientation des miroirs M3 ET M4, le faisceau F3 se trouve translaté selon la direction T2. Le dispositif optique TR peut également être réalisé, comme cela est représenté en figures 10 et 11, à l'aide de prismes PR1, PR2 dont l'un d'eux est mobile selon la direction T2.The optical device TR is a device allowing the translation of the beam F3 along the axis T2. This device can for example be made with a set of two mirrors M3 and M4 parallel and movable in rotation as shown in Figures 8 and 9. We see in these figures that according to the orientation of the mirrors M3 AND M4, the beam F3 is translated in the direction T2. The optical device TR can also be produced, as shown in FIGS. 10 and 11, using prisms PR1, PR2, one of which is movable in the direction T2.
Le dispositif TR peut donc être réalisé à l'aide de tout système permettant une translation du faisceau F3 parallèlement à lui-même . Dans le dispositif de la figure 7 , la translation du faisceau F3 selon la direction T2 s'accompagne d'une translation équivalente, du changeur de fréquence CF, de la lentille B, du coupleur S2 et du détecteur D de façon que le faisceau F3 balaye toute la surface du détecteur D éclairée par le faisceauThe device TR can therefore be produced using any system allowing translation of the beam F3 parallel to itself. In the device of FIG. 7, the translation of the beam F3 in the direction T2 is accompanied by an equivalent translation, of the frequency changer CF, of the lens B, of the coupler S2 and of the detector D so that the beam F3 scans the entire surface of detector D illuminated by the beam
F2. La surface d'onde du faisceau F3 est de même forme que celle obtenue en sortie de la lentille A (faisceau F2) tout au long de la translation T1.F2. The wave surface of the beam F3 is of the same shape as that obtained at the output of the lens A (beam F2) throughout the translation T1.
Selon l'exemple de réalisation de la figure 7, le détecteur D est solidaire du coupleur optique S2.According to the embodiment of Figure 7, the detector D is integral with the optical coupler S2.
Le miroir M2 peut être conçu pour ne pas prendre en compte la totalité de la lumière sortant du corps H. Il n'en réfléchit qu'une partie, contenant la composante collimatée pour éviter l'éblouissement du détecteur. Les systèmes optiques A et B peuvent être dioptriques ou catodioptriques . Ils fournissent à partir de la source des faisceaux de même surface d'onde, susceptibles d'interférer sur le détecteur D .The mirror M2 can be designed so as not to take into account all of the light leaving the body H. It reflects only a part of it, containing the collimated component to avoid dazzling the detector. Optical systems A and B can be dioptric or catodioptric. They supply from the source beams of the same wave surface, capable of interfering with the detector D.
Le système optique A, fournit un éclairage collimaté qui couvre la totalité du champ à examiner .The optical system A provides collimated lighting which covers the entire field to be examined.
Les dispositifs de réflexion M1 et M2 sont soit des miroirs, soit des prismes en réflexion totale. Le coupleur optique S2 est un dispositif semi-réfléchissant qui a des coefficients de réflexion et de transmission égaux à 0, 5. Le séparateur de faisceau SI peut avoir des coefficients de réflexion et de transmission tels que 0, 2 pour la transmission et 0,8 pour la réflexion .The reflection devices M1 and M2 are either mirrors or prisms in total reflection. The optical coupler S2 is a semi-reflecting device which has reflection and transmission coefficients equal to 0.5. The beam splitter SI can have reflection and transmission coefficients such as 0, 2 for transmission and 0, 8 for reflection.
La lumière utilisée est polarisée rectilignement pour obtenir un mélange des faisceaux F2 et F3 sans altération de contraste. Dans le système de la figure 7, il a été prévu un polarisateur P.The light used is linearly polarized to obtain a mixture of the beams F2 and F3 without altering the contrast. In the system of FIG. 7, a polarizer P has been provided.
La translation en fréquence de l'onde optique réalisée par le translateur de fréquence CF est obtenue soit par un système acousto-optique, par exemple, une cellule de Bragg, soit par montage du miroir M1 sur un matériau piézoélectrique, le miroir M1 , piloté alors par une rampe de tension , vibre orthogonalement à son plan . Cette translation de fréquence peut également être générée par une lame demi onde en rotation entre deux lames quart d'onde .The frequency translation of the optical wave produced by the frequency translator CF is obtained either by an acousto-optical system, for example, a Bragg cell, or by mounting the mirror M1 on a piezoelectric material, the mirror M1, then driven by a voltage ramp, vibrates orthogonally to its plane. This frequency translation can also be generated by a half-wave plate in rotation between two quarter-wave plates.
Le diamètre du détecteur se limite à celui du faisceau F2. Ainsi la surface sensible génératrice de bruit est réduite au maximum puisqu'elle coïncide avec celle génératrice de signal.The diameter of the detector is limited to that of the beam F2. Thus the sensitive noise generating surface is reduced to the maximum since it coincides with that generating the signal.
On mesure la transmission du milieu diffusant selon une direction virtuelle, sélectionnée dans le faisceau signal F2 étendu par le faisceau oscillateur local F3 de dimensions réduites . L'amplitude du signal à la fréquence intermédiaire f est proportionnelle (TC = transmission collimatée) . Ceci
Figure imgf000013_0001
permet une compression naturelle de la dynamique de l'électronique de traitement qui suit le détecteur. La chaîne de détection et de traitement du signal détecté par le détecteur D est représenté en figure 12. C'est une chaîne classique dont tous les éléments sont bien connus . Soient ω la fréquence de la source optique, donc du faisceau F2 etω + f la fréquence de l'oscillateur local. Cette chaîne de détection comporte un circuit de filtrage CD1 autour de la fréquence f et d'amplification recevant le signal détecté par le détecteur D. Un redresseur CD2 est connecté à la sortie du circuit CD1. Un circuit d'intégration est connecté au redresseur CD2 et effectue l'intégration du signal détecté . Un circuit de filtrage basse fréquence CD3 fournit ainsi un signal détecté significatif.
The transmission of the scattering medium is measured in a virtual direction, selected from the signal beam F2 extended by the local oscillator beam F3 of reduced dimensions. The amplitude of the signal at the intermediate frequency f is proportional (TC = collimated transmission). This
Figure imgf000013_0001
allows natural compression of the dynamics of the processing electronics following the detector. The chain for detecting and processing the signal detected by the detector D is shown in FIG. 12. It is a conventional chain of which all the elements are well known. Let ω be the frequency of the optical source, therefore of the beam F2 andω + f the frequency of the local oscillator. This detection chain comprises a filtering circuit CD1 around the frequency f and amplification receiving the signal detected by the detector D. A rectifier CD2 is connected to the output of the circuit CD1. An integration circuit is connected to the rectifier CD2 and performs the integration of the detected signal. A low frequency filtering circuit CD3 thus provides a significant detected signal.
Sur les figures 13 à 21 on trouve l'allure des signaux en différents points du système.Figures 13 to 21 show the appearance of the signals at different points in the system.
Les figures 13 et 14 représentent, respectivement, l'évolution de l'amplitude du signal optique au cours d'une ligne de balayage, et le spectre basse fréquence de cette évolution.Figures 13 and 14 represent, respectively, the evolution of the amplitude of the optical signal during a scan line, and the low frequency spectrum of this evolution.
La fréquence fC peut être assimilée à une fréquence spatiale. Elle chiffre la résolution transverse du système lors du balayage de l'objet diffusant. La figure 15 représente l'onde électromagnétique qui consitue la porteuse du signal obtenu au cours d'une ligne de balayage (onde électromagnétique à la fréquenceω ) .The frequency fC can be compared to a spatial frequency. It encrypts the transverse resolution of the system when scanning the scattering object. FIG. 15 represents the electromagnetic wave which constitutes the carrier of the signal obtained during a scanning line (electromagnetic wave at frequencyω ).
La figure 16 donne le spectre de cette onde. C'est l'onde signal.Figure 16 gives the spectrum of this wave. It's the signal wave.
Les figures 17 à 18 représentent le signal de fréquence intermédiaire f détecté par le détecteur D et le spectre de fréquence associé. Ce signal est obtenu après mélange du faisceau signal et de l'oscillateur local (sortie de CD1) . Les figures 19 à 20 représentent le signal redressé puis filtré par les circuits de la chaîne de détection (respectivement en sortie de CD2 et de CD3) .Figures 17 to 18 show the intermediate frequency signal f detected by the detector D and the associated frequency spectrum. This signal is obtained after mixing the signal beam and the local oscillator (output from CD1). Figures 19 to 20 show the rectified signal then filtered by the circuits of the detection chain (respectively at the output of CD2 and CD3).
La figure 21 représente le spectre de fréquence en sortie de CD3. L'ensemble CD1, CD2, CD3 peut être remplacé par un filtre suivi d'une détection synchrone dont la référence est fournie par le signal pilotant le changeur de fréquence.FIG. 21 represents the frequency spectrum at the output of CD3. The assembly CD1, CD2, CD3 can be replaced by a filter followed by a synchronous detection, the reference of which is provided by the signal controlling the frequency changer.
La figure 22 représente une variante de réalisation des circuits de la figure 12. Cette variante comporte à la suite du circuit de filtrage et d'amplification CD1, une ligne à retard CD5 et une porte logique CD6 placés en série entre le circuit CD1 et le circuit d'Intégration CD3. Cet agencement de circuits permet par intercorrélation, de réduire encore la bande passante de l'électronique et d'améliorer le rapport signal à bruit du système , la porte CD6 est commandée par un signal de fréquence f + δ f . L'intégration est faite de manière à fournir un signal de fréquence δf< < f . L'amplitude de ce signal chiffre toujours la transmission collimatée du milieu diffusant. Cette amélioration est applicable à toutes les formes de réalisation de l'inve- ntion.FIG. 22 represents an alternative embodiment of the circuits of FIG. 12. This alternative comprises, after the filtering and amplification circuit CD1, a delay line CD5 and a logic gate CD6 placed in series between the circuit CD1 and the CD3 Integration circuit. This arrangement of circuits makes it possible, by intercorrelation, to further reduce the bandwidth of the electronics and to improve the signal-to-noise ratio of the system, the door CD6 is controlled by a signal of frequency f + δ f. The integration is made so as to provide a signal of frequency δf <<f. The amplitude of this signal always encrypts the collimated transmission of the diffusing medium. This improvement is applicable to all embodiments of the invention.
Pour réduire le temps de réponse du système, il est possible d'intercaler entre le coupleur S2 et le détecteur un système optique non représenté qui permet la focalisation du faisceau F3 d'oscillateur local et du faisceau signal F2 sur un détecteur D de taille réduite. La réduction de la surface sensi ble s'accompagne de la réduction du temps de réponse du détecteur , le coupleur S2 , ce système optique et le détecteur D sont solidaires au cours des translations T1 et T2 décrites précédemment. La chaîne des circuits de détection est celle décrite précédemment, avec ou sans intercorrélation . On a toujours la possibilité de focaliser les faisceaux F2 et F3 sur le détecteur D .To reduce the response time of the system, it is possible to interpose between the coupler S2 and the detector an optical system not shown which allows the focusing of the beam F3 of local oscillator and of the signal beam F2 on a detector D of reduced size . The reduction of the sensi area ble is accompanied by the reduction in the response time of the detector, the coupler S2, this optical system and the detector D are integral during the translations T1 and T2 described above. The chain of detection circuits is that described above, with or without cross-correlation. There is always the possibility of focusing the beams F2 and F3 on the detector D.
Le système de la figure 23 donne lieu à une autre variante de réalisation non représentée qui ne diffère de la précédente que par le fait qu'on ne déplace plus le coprs H selon les axes X, Y mais c'est l'ensemble du système d'imagerie qui est déplacé . Celui-ci est monté sur un bâti en U soumis aux translations selon les axes X et Y. La variante de réalisation du système de la figure 24 est similaire à celui de la figure 23 et son principe en est le même mise à part les translations du corps H . le faisceau F3 d'oscillateur local et le faisceau d'éclairage F2 ont le même diamètre , mais ils couvrent la totalité du champ à examiner. Un détecteur D dont la surface sensible a la taille du point à résoudre permet, par translations selon les axes X et Y, la reconstruction de l'image , le détecteur D peut être, dans ce cas, précédé d'une optique qui adapte la taille du faisceau virtuel sélectionné à la taille effective du détecteur D utilisé comme cela est repré- sente en figure 25.The system of FIG. 23 gives rise to another variant embodiment, not shown, which differs from the previous one only by the fact that the coprs H is no longer displaced along the axes X, Y but it is the entire system. imagery that is moved. This is mounted on a U-shaped frame subjected to translations along the X and Y axes. The variant embodiment of the system of FIG. 24 is similar to that of FIG. 23 and its principle is the same apart from the translations of the body H. the beam F3 of the local oscillator and the lighting beam F2 have the same diameter, but they cover the entire field to be examined. A detector D whose sensitive surface has the size of the point to be resolved allows, by translations along the X and Y axes, the reconstruction of the image, the detector D can, in this case, be preceded by an optic which adapts the size of the virtual beam selected at the effective size of the detector D used as shown in FIG. 25.
Les figures 25 , 26 et 27 représentent différents types d'optiques permettant soit de focaliser un faisceau, sur le détecteur D (figure 25) soit de le collimater avec un faisceau couvrant tout le détecteur (figure 26) ou avec un faisceau de dimensions plus réduite (figure 27) .Figures 25, 26 and 27 show different types of optics allowing either to focus a beam on detector D (figure 25) or to collimate it with a beam covering the whole detector (figure 26) or with a beam of more dimensions reduced (Figure 27).
Dans la variante de réalisation de la figure 28 les dimensions du faisceau F3 et du détecteur D sont celles de la zone à imager . Dans ce cas , le détecteur D est immobile . La reconstruction de l'image est obtenue par translations selon les axes X, Y du faisceau signal F2. Un système TT , permettant ces translations , est un système à deux miroirs parallèles M6 et M7 en rotation autour de deux axes orthogonaux tel que représenté en figure 29. La rotation autour de l'axe Xa fournit la translation selon X, celle autour de l'axe Ya fournit la translation selon Y. Le miroir M2 peut être de grandes dimensions et rester immobile. Il peut être de taille réduite mais il doit alors se déplacer simultanément avec les miroirs M6 et M7 pour suivre le faisceau F2.In the variant embodiment of FIG. 28, the dimensions of the beam F3 and of the detector D are those of the area to be imaged. In this case, the detector D is stationary. The reconstruction of the image is obtained by translations along the X, Y axes of the signal beam F2. A TT system, allowing these translations, is a system with two parallel mirrors M6 and M7 rotating around two orthogonal axes as shown in Figure 29. The rotation around the axis Xa provides the translation along X, that around the the axis Ya provides the translation along Y. The mirror M2 can be large and remain stationary. It can be reduced in size but it must then move simultaneously with the mirrors M6 and M7 to follow the beam F2.
Sur la figure 28 on voit donc que la translation du faisceau F1 à l'aide du dispositif TT permet de balayer le corps H à imager. Le faisceau F3 d'oscillateur à les dimensions de la zone à balayer et le détecteur D également. Le balayage du faisceau F1 permet donc de réaliser l'image du corps H.In FIG. 28, it can therefore be seen that the translation of the beam F1 using the TT device makes it possible to scan the body H to be imaged. The oscillator beam F3 has the dimensions of the area to be scanned and the detector D also. The scanning of the beam F1 therefore makes it possible to produce the image of the body H.
Une variante de réalisation du système de la figure 28 prévoit un détecteur ne couvrant pas la totalité de la zone à explorer, le faisceau F3 d'oscillateur local couvre toujours la totalité du champ à examiner, mais le détecteur a une surface sensiblement de même dimensions que le faisceau F2. Cela limite la résolution transverse et le détecteur D doit se déplacer simultanément avec le faisceau F2.An alternative embodiment of the system of FIG. 28 provides for a detector not covering the entire area to be explored, the beam F3 of local oscillator still covers the entire field to be examined, but the detector has a surface of substantially the same dimensions. than the beam F2. This limits the transverse resolution and the detector D must move simultaneously with the beam F2.
Il est évident que dans toutes les variantes données ci-dessus ou ci-après , il est toujours possible , après mélange des faisceaux F3 et F2 , d'adapter leurs tailles à celle du détecteur par un système optique . La figure 30 représente une variante prévoyant un système de détection D à plusieurs détecteurs. On utilise dans cette variante non plus un détecteur unique, ponctuel ou étendu, mais un détecteur multiple linéaire de type barette de photodiodes, un tel détecteur peut être monté dans tous les systèmes décrits ci-dessus . Il permet la suppression d'une translation du détecteur, ou du moins la réduction de son amplitude de translation.It is obvious that in all the variants given above or below, it is always possible, after mixing the beams F3 and F2, to adapt their sizes to that of the detector by an optical system. FIG. 30 represents a variant providing a detection system D with several detectors. In this variant, a single detector, either point or extended, is no longer used, but a linear multiple detector of the photodiode array type, such a detector can be mounted in all the systems described above. It allows the suppression of a translation of the detector, or at least the reduction of its amplitude of translation.
Le détecteur utilisé est de type matriciel. S'il est suffisamment étendu pour couvrir la totalité du champ à imager, on peut reconstituer l'image par simples lectures successives des différents détecteurs ponctuels . Si le détecteur n'est pas assez étendu , il suffit de lui associer les systèmes de balayage décrits précédemment . A champ à imager Identique , un tel détecteur permet la réduction des amplitudes de balayage .The detector used is of the matrix type. If it is large enough to cover the entire field to be imaged, the image can be reconstructed by simple successive readings different point detectors. If the detector is not large enough, it suffices to associate it with the scanning systems described above. With an identical imaging field, such a detector allows the reduction of the scanning amplitudes.
La variante de réalisation de la figure 31 prévoit des faisceaux F2 et F3 de même dimensions . Cette variante prévoit de placer le translateur de faisceau TT en amont du séparateur de faisceaux SI . Le translateur de faisceau TT commande le déplacement du faisceau FS selon les axes X et Y. Il n'y a ainsi aucune pièce en translation , mis à part le détecteur D, grâce à l'absence de tout système optique entre la séparation et la recombinaison des faisceaux . Le dispositif TT décrit précédemment, tel que celui de la figure 29, permet les translations selon les axes X et Y . Les quatre surfaces réfléchissantes des miroirs M6 , M7 et M1, M2 maintiennent la coïncidence des faisceaux F2 et F3 au cours du balayage du corps H . Le déplacement du détecteur D est synchrone de celui fourni par le dispositif TT. Le miroir Ml est monté sur un matériau piézoélectrique et réalise le déplacement en fréquence .The variant embodiment of FIG. 31 provides bundles F2 and F3 of the same dimensions. This variant provides for placing the beam translator TT upstream of the beam splitter SI. The beam translator TT controls the movement of the beam FS along the X and Y axes. There is thus no part in translation, apart from the detector D, thanks to the absence of any optical system between the separation and the beam recombination. The TT device described above, such as that of FIG. 29, allows translations along the X and Y axes. The four reflecting surfaces of the mirrors M6, M7 and M1, M2 maintain the coincidence of the beams F2 and F3 during the scanning of the body H. The movement of detector D is synchronous with that provided by the TT device. The mirror M1 is mounted on a piezoelectric material and performs the frequency displacement.
Tous les trajets optiques précédemment décrits ont lieu dans l'air. Ils peuvent également se faire, après séparation en faisceaux F1 et F'1 dans des guides d'ondes G1 et G2 tels que des fibres optiques . Cela permet la suppression du dispositif TT, les différentes translations se faisant par simples déplacements des guides d'ondes G1 et G2. La figure 32 montre un exemple de montage utilisant des guides d'onde. Toutes les variantes précédentes peuvent être modifiées pour accepter les fibres optiques dotées d'optiques d'entrée . Les systèmes optique A et B s'adaptent alors à la sortie de ces fibres . Sur le montage décrit en figure 32 : - le dispositif optique AAll the optical paths previously described take place in the air. They can also be done, after separation into beams F1 and F'1 in waveguides G1 and G2 such as optical fibers. This allows the TT device to be eliminated, the various translations being made by simple displacements of the waveguides G1 and G2. Figure 32 shows an example of assembly using waveguides. All the previous variants can be modified to accept optical fibers with input optics. Optical systems A and B then adapt to the output of these fibers. On the assembly described in figure 32: - the optical device A
- le miroir M2- the M2 mirror
- le coupleur optique S2- the optical coupler S2
- le dispositif optique B- optical device B
- le détecteur forment un ensemble solidaire qui est translaté selon les axes X et Y , de manière à reconstruire l'image . E1 et E2 sont des optiques d'entrée dans les fibres monomodes .- the detector form an integral unit which is translated along the X and Y axes, so as to reconstruct the image. E1 and E2 are input optics in the single-mode fibers.
Les diamètres des faisceaux F2 et F3 sont imposés par la résolution transverse qu'on désire atteindre . Le diamètre du détecteur s'il n'est pas doté d'une adaptation optique détermine cette résolution .The diameters of the beams F2 and F3 are imposed by the transverse resolution which it is desired to achieve. The diameter of the detector if it does not have an optical adaptation determines this resolution.
Pour tous les systèmes d'imagerie 2D.Les mesures de transmission collimatée sont effectuées point par point et mises en mémoire . Elles permettent, après traitement, la reconstitution de l'image .For all 2D imaging systems. Collimated transmission measurements are performed point by point and stored in memory. They allow, after processing, the reconstruction of the image.
En se reportant aux figures 33 à 35, on va maintenant décrire des variantes de réalisation du système d'imagerie à trois dimensions de la figure 5. Comme on l'a vu en décrivant la figure 5, un tel système permet la mesure de l'intensité diffusée en un point.Referring to Figures 33 to 35, we will now describe alternative embodiments of the three-dimensional imaging system of Figure 5. As we saw in describing Figure 5, such a system allows the measurement of the intensity scattered at a point.
Le système permet la mesure de l'intensité diffusée en un point du corps H diffusant mis en coïncidence avec le foyer objet du système optique O . Le système optique O est un système optique de grande ouverture numérique c'est à dire un système assurant une bonne collection du flux diffusé et une faible profondeur de champ objet. il assure la mise en forme de l'onde diffusée au point F et fournit donc une onde plane que l'on superpose dans le cou- pleur S2 avec le faisceau F3 de l'oscillateur local. Toute onde diffusée ailleurs qu'au point F, ne remplit pas en sortie du système O, les conditions d'accord avec le faisceau F3 pour fournir un signal électrique à la fréquence f. Seule la composante lumineuse parvenant à sortir du milieu sans être rediffusée est prise en compte. Cet avantage est très important pour reconstituer une image à trois dimensions .The system allows the measurement of the intensity scattered at a point of the scattering body H placed in coincidence with the object focus of the optical system O. The optical system O is an optical system with large digital aperture, that is to say a system ensuring a good collection of the diffused flux and a shallow depth of field of object. it ensures the shaping of the wave diffused at point F and therefore provides a plane wave which is superimposed in the coupler S2 with the beam F3 of the local oscillator. Any wave diffused elsewhere than at point F, does not fulfill at the output of the system O, the conditions of agreement with the beam F3 to supply an electrical signal at the frequency f. Only the light component which succeeds in leaving the medium without being re-emitted is taken into account. This advantage is very important for reconstructing a three-dimensional image.
La chaîne de détection et de mémorisation de l'image est identique à celle décrite pour l'image à deux dimensions.The image detection and storage chain is identical to that described for the two-dimensional image.
Les miroirs M1 et M2 sont des miroirs ou des prismes à réflexion totale. Le séparateur S1 et le coupleur S2 sont des lames semi-transparentes ou des cubes séparateurs . Le dispositif P est un polariseur.Mirrors M1 and M2 are mirrors or prisms with total reflection. The separator S1 and the coupler S2 are semi-transparent plates or separator cubes. The device P is a polarizer.
La translation en fréquence est assurée de manière identique à ce qui précède à l'aide du dispositif CF.The frequency translation is ensured in an identical manner to the above using the CF device.
On peut prévoir comme dans le système de la figure 32, des fibres optiques G1 et G2 permettant une transmission des faisceaux F1 et F'1 . Les dispositifs E1 et E2 sont alors des systèmes optiques assurant le couplage entre le faisceau laser et les fibres monomodes .One can provide as in the system of Figure 32, optical fibers G1 and G2 allowing transmission of the beams F1 and F'1. The devices E1 and E2 are then optical systems ensuring the coupling between the laser beam and the single-mode fibers.
Les dispositifs A et B sont des systèmes optiques , en sortie de fibre , fournissant des faisceaux collimatés .The devices A and B are optical systems, at the fiber outlet, providing collimated beams.
L'ensemble :All :
- dispositifs optiques A et B - système optique O- optical devices A and B - optical system O
- miroir M2- M2 mirror
- coupleur S2- S2 coupler
- détecteur D est solidaire et peut être translaté selon les axes , X, Y et Z. II est ainsi possible de reconstituer différents plans image dans l'objet.- detector D is integral and can be translated along the axes, X, Y and Z. It is thus possible to reconstruct different image planes in the object.
Le faisceau issu du dispositif A et le système optique O ont le même axe.The beam from device A and the optical system O have the same axis.
Le faisceau d'éclairage F1 est de dimension réduite pour obtenir au point F une densité de puissance assez élevée.The lighting beam F1 is reduced in size to obtain a fairly high power density at point F.
Ce système autorise un mélange de faisceaux F2 et F3 de dimensions importantes, puisque sans rapport direct avec la résolution trans verse exigée . En fait, plus les faisceaux seront étendus , plus petit sera le volume diffusant pris en compte au niveau du point F.This system allows a mixture of F2 and F3 beams of large dimensions, since they have no direct relation to the required transverse resolution. In fact, the more the beams are extended, the smaller will be the diffusing volume taken into account at the point F.
Pour l'exploration du corps H , on a prévu de représenter sur la figure 33 un système possédant des transmissions par guide d'ondes . Mais il est possible sans sortir du cadre de l'invention d'appliquer au système d'imagerie à trois dimensions les systèmes d'explorations par déplacements décrits précédemment.For the exploration of the body H, provision has been made to represent in FIG. 33 a system having transmissions by waveguide. But it is possible without departing from the scope of the invention to apply to the three-dimensional imaging system the displacement exploration systems described above.
Notamment, une variante du système de la figure 33 peut consister à remplacer l'une ou les deux fibres par des systèmes de translation de faisceau, du type de ceux décrit précédemment tel que les dispositifs TR ou TT des figures 7 et 28.In particular, a variant of the system of FIG. 33 can consist in replacing one or both fibers by beam translation systems, of the type of those described above such as the TR or TT devices of FIGS. 7 and 28.
Dans cette variante, le système optique A fournit un faisceau d'éclairage collimaté suffisamment large pour couvrir la totalité du champ à imager. Dans ce cas, il peut ne pas être translaté, à condition que l'éclairage soit suffisamment uniforme ou qu'une mesure préalable du niveau d'éclairement ou encore que le traitement de l'image permettent de tenir compte d'un non uniformité.In this variant, the optical system A provides a collimated lighting beam sufficiently wide to cover the entire field to be imaged. In this case, it may not be translated, provided that the lighting is sufficiently uniform or that a prior measurement of the level of illumination or that the image processing allows for non-uniformity to be taken into account.
Le faisceau d'éclairage issu du dispositif A peut ne pas être collimaté mais être focalisé, réellement ou virtuellement, à l'intérieur ou à l'extérieur du milieu diffusant H.The light beam from device A may not be collimated but be focused, actually or virtually, inside or outside of the diffusing medium H.
Les faisceaux F2 et F3 issus des dispositifs optiques O et B peuvent ne pas être collimatés . les ondes F2 et F3 ne sont pas en effet obligatoirement planes mais elles doivent de toutes façons avoir les mêmes caractéristiques géométriques .The beams F2 and F3 from the optical devices O and B may not be collimated. waves F2 and F3 are not necessarily plane but they must in any case have the same geometric characteristics.
Comme cela est représenté en figure 34, les systèmes optiques O et B peuvent ne pas être de révolution mais être par exemple cylindriques. Dans ce cas , le détecteur D est alors multiple et linéaire et disposé parallèlement à une génératrice des optiques cylindriques. Les génératrices des deux systèmes optiques O et B sont alors parallèles entre elles. Le détecteur peut être une barette de photodiodes parallèle à ces génératrices .As shown in FIG. 34, the optical systems O and B may not be of revolution but be, for example, cylindrical. In this case, the detector D is then multiple and linear and arranged parallel to a generator of the cylindrical optics. The generators of the two optical systems O and B are then mutually parallel. The detector can be a strip of photodiodes parallel to these generators.
Le dispositif O met en forme l'onde issue d'une ligne soit en la collimatant soit en la focalisant.The device O shapes the wave coming from a line either by collimating it or by focusing it.
SI la barette de détecteurs D couvre la totalité de la ligne étudiée, avec une bonne résolution, le dispositif B est aussi cylindrique et génère une onde de même forme que celle fournie par le dispositif O. Si la barette n'est pas assez grande , le dispositif O fournit un faisceau collimaté que le faisceau issu du dispositif B (pouvant être de révolution) vient balayer. Ce fonctionnement est analogue au balayage décrit en relation avec la figure 7. Le balayage s'accompagne alors d'une translation du détecteur .IF the array of detectors D covers the entire line studied, with good resolution, the device B is also cylindrical and generates a wave of the same shape as that supplied by the device O. If the bar is not large enough, the device O provides a collimated beam which the beam from the device B (which may be of revolution) comes to scan. This operation is analogous to the scanning described in relation to FIG. 7. The scanning is then accompanied by a translation of the detector.
L'utilisation de détecteurs multiples linéaires ou matriciels , permet, dans le système de la figure 33 , de désolidariser le détecteur D de l'ensemble optique constitué des dispositifs optiques A, O, B , C, du miroir M2 et du coupleur S2, et ainsi de réduire , voire de supprimer les translations du détecteur D .The use of multiple linear or matrix detectors makes it possible, in the system of FIG. 33, to separate the detector D from the optical assembly made up of the optical devices A, O, B, C, of the mirror M2 and of the coupler S2, and thus to reduce, even to eliminate the translations of the detector D.
Selon une autre variante de réalisation du système de l'invention , la sélection des plans à imager peut se faire également par le faisceau d'éclairage . Cette variante est représentée en figure 35.According to another alternative embodiment of the system of the invention, the selection of the planes to be imaged can also be done by the lighting beam. This variant is shown in Figure 35.
La lame semi-transparente S2 conjugue les deux points F2 et F3. Seule la composante de l'onde F2 issue de A qui parvient hors du milieu diffusant sans avoir été diffusée, interfère avec l'onde F3 de l'oscillateur local . On voit ainsi que si les dispo- sitifs optiques A, B , C, coupleur S2 et détecteur D sont solidaires , Il est possible grâce aux translations selon les axes X , Y, Z de reconstituer une image à trois dimensions de l'objet diffusant.The semi-transparent plate S2 combines the two points F2 and F3. Only the component of the wave F2 coming from A which arrives outside the diffusing medium without having been diffused, interferes with the wave F3 of the local oscillator. It is thus seen that if the optical devices A, B, C, coupler S2 and detector D are integral, It is possible thanks to the translations along the axes X, Y, Z to reconstruct a three-dimensional image of the diffusing object .
Les focalisations en F2 et F3 peuvent se faire, en accord avec la variante de réalisation de la figure 34, selon des lignes . Le dispositif C peut alors être également un système optique cylindrique et le détecteur D linéaire.The focuses at F2 and F3 can be done, in accordance with the variant embodiment of FIG. 34, along lines. The device C can then also be a cylindrical optical system and the linear detector D.
Selon l'Invention, les systèmes qui précèdent peuvent faire l'objet d'un perfectionnement qui améliore l'efficacité de collimation du système de trans Illumination , pour cela on adopte un fonctionnement puisé du système à l'émission et à la détection. Cette variante nécessite une modulation en fréquence des faisceaux signal F2 et oscillateur local F3 , qui permet de distinguer les photons non diffusés, non seulement angulairement, mais également en fonction de leur Instant d'arrivée sur le détecteur D .According to the invention, the foregoing systems can be the subject of an improvement which improves the collimation efficiency of the trans Illumination system, for this a pulsed operation of the system is adopted on emission and on detection. This variant requires frequency modulation of the signal beams F2 and local oscillator F3, which makes it possible to distinguish the non-scattered photons, not only angularly, but also according to their time of arrival on the detector D.
La source laser L fournit des impulsions lumineuses longues (par exemple de quelques centaines de ns à quelques μs) . Le faisceau émis est monochromatique. La fréquence de l'onde optique est ω . Un dispositif acoustooptlque permet de moduler la fréquence optique à l'intérieur des Impulsions émises. Cette fréquence varie entre le début de l'impulsion et sa fin entre ω +f1 et ω+f2.The laser source L provides long light pulses (for example from a few hundred ns to a few μs). The beam emitted is monochromatic. The frequency of the optical wave is ω. An acoustooptical device makes it possible to modulate the optical frequency within the pulses emitted. This frequency varies between the start of the pulse and its end between ω + f1 and ω + f2 .
Ainsi sur la figure 36 , on trouve un dispositif acoustooptlque MAO1 placé sur le trajet du faisceau FS émis par la source L.Thus in FIG. 36, there is an acoustooptical device MAO1 placed on the path of the beam FS emitted by the source L.
Un deuxième modulateur acoustooptique MAO2 est placé sur le trajet du faisceau F'1.A second acoustooptical modulator MAO2 is placed on the path of the beam F'1.
En présence du milieu diffusant H et du second modulateur MAO2 acoustooptlque, les chemins optiques sont ajustés (par exemple au moyen de fibres optiques) pour que les impulsions lumineuses parviennent simultanément sur le détecteur.In the presence of the scattering medium H and the second acoustooptical MAO2 modulator, the optical paths are adjusted (for example by means of optical fibers) so that the light pulses arrive simultaneously on the detector.
Le dispositif acoustooptique MAO2 (ou tout autre dispositif de translation de fréquence) translate les fréquences optiques à l'intérieur de l'impulsion, d'une valeur Δ f. La fréquence des impulsions de l'oscillateur local varie donc entre ω + f1 - Δf et ω + f2 +Δ f .The MAO2 acoustooptical device (or any other frequency translation device) translates the optical frequencies inside the pulse, by a value Δ f. The frequency of the pulses of the local oscillator therefore varies between ω + f1 - Δf and ω + f2 + Δ f.
Le détecteur photoélectrique est suivi d'un filtre passe bande, non représenté sur la figure, de largeur δ f , centré autour de la fréquence intermédiaire Δ f. Si on considère le diagramme de fréquence de la figureThe photoelectric detector is followed by a bandpass filter, not shown in the figure, of width δ f, centered around the intermediate frequency Δ f. If we consider the frequency diagram in the figure
37, à l'instant ti , (seul le photocourant à la fréquence Δ f (à δ f près) peut être détecté (détection hétérodyne) . On sait que la sélectivité de la détection hétérodyne permet d'isoler les photons, issus du milieu diffusant, et colinéaires à l'oscillateur local. La quasi totalité de ces photons n'ont pas été diffusés. Cependant des photons ayant subit plusieurs diffusions peuvent présenter les bonnes caractéristiques d'accord angulaire. Le fonctionnement Impulsionnel , associé à la modulation de fréquence , permet de se soustraire à leur Influence . En effet, lorsque des photons diffusés , mais satisfaisant cependant la condition d'accord angulaire, parviennent sur le détecteur à l'instant t. , ils possèdent une fréquence de typeω + fi-1. Ils fournissent donc, en interférant avec l'oscillateur local à ω + fi-1 + Δ f un photocourant à la fréquence | Δ f+ fi - fi-1| . Le choix des δ f permet de ne pas prendre en compte un tel signal.37, at time ti , (only the photocurrent at the frequency Δ f (to within δ f) can be detected (heterodyne detection). We know that the selectivity of heterodyne detection makes it possible to isolate the photons, originating from the scattering medium, and collinear with the local oscillator. Almost all of these photons have not been scattered, however photons having undergone several scatterings may have the good angular tuning characteristics. The Impulse operation, associated with the frequency modulation, makes it possible to evade their Influence. Indeed, when scattered photons, but satisfying the condition of angular agreement, reach the detector at time t. , they have a frequency of typeω + fi-1 . They therefore provide, by interfering with the local oscillator at ω + fi-1 + Δ f, a photocurrent at the frequency | Δ f + fi - fi-1 | . The choice of δ f makes it possible to ignore such a signal.
Le choix de δ f , τ (durée de l'impulsion) , de f2 - f1 permet de donner au système une grande sélectivité temporelle , s'ajoutant à la sélectivité angulaire .The choice of δ f, τ (duration of the pulse), of f2 - f1 makes it possible to give the system a great temporal selectivity, adding to the angular selectivity.
Une sélectivité temporelle δ t de l'ordre d'une dizaine de picosecondes permet de distinguer des photons ayant suivi des chemins optiques qui diffèrent d'une valeur δ~ 2mm (dans l'eau) . Au cours de l'Impulsion, la fréquence optique du faisceau signal varie comme. : f f
Figure imgf000023_0002
A temporal selectivity δ t of the order of ten picoseconds makes it possible to distinguish photons having followed optical paths which differ by a value δ ~ 2mm (in water). During the Pulse, the optical frequency of the signal beam varies as. : ff
Figure imgf000023_0002
On veut qu'après détection et filtrage, la composante du signal due aux photons directs , de fréquence f(t) et aux photons diffusés, angulairement satisfaisants , à la fréquence f (t- δ t) , ne soit pas transmise à la chaîne de traitement. Il est donc nécessaire que :We want that after detection and filtering, the component of the signal due to direct photons, of frequency f (t) and to scattered photons, angularly satisfactory, at frequency f (t- δ t), is not transmitted to the chain treatment. It is therefore necessary that:
Figure imgf000023_0001
Figure imgf000023_0001
Il est possible d'obtenir une modulation f2-f1 de l'ordre de 1 MHz au cours d'une impulsion de durée 1 μs. On obtient ainsi une sélectivité temporelle de 10 picosecondes pour une bande passante δ f de l'ordre de 10 Hz . La fréquence Δ f peut être choisie indépendemment, par exemple, de quelques KHz.It is possible to obtain a modulation f2-f1 of the order of 1 MHz during a pulse of duration 1 μs. This gives a temporal selectivity of 10 picoseconds for a bandwidth δ f of the order of 10 Hz. The frequency Δ f can be chosen independently, for example, of a few KHz.
A la sélectivité angulaire naturelle de la détection hétérodyne, vient s'ajouter une sélectivité temporelle qui permet, en théorie, de s'affranchir totalement de la diffusion. Le choix d'une très faible bande passante, à la détection, permet d'améliorer le rapport signal sur bruit et de diminuer la valeur de la puissance équivalente de bruit. (NEP = ν δ f ) .In addition to the natural angular selectivity of heterodyne detection, there is a temporal selectivity which, in theory, makes it possible to completely dispense with diffusion. The choice of a very low bandwidth, upon detection, allows to improve the signal to noise ratio and to decrease the value of the equivalent noise power. (NEP = ν δ f).
Si le changeur de fréquence est de type acousto-optique (cellule de Bragg) , on peut envisager le décalage en fréquence non plus sur l'oscillateur local mais sur le faisceau signal comme cela est représenté sur la figure 38.If the frequency changer is of the acousto-optical type (Bragg cell), one can consider the frequency shift no longer on the local oscillator but on the signal beam as shown in Figure 38.
On utilise ainsi la sélectivité angulaire d'une telle cellule. En effet le rendement de diffraction d'une telle cellule varie . En effet le rendement de diffraction d'une telle cellule varie fortement avec l'incidence de la lumière sur le réseau généré acoustiquement. Seule la fraction du faisceau diffusé présentant un angle est diffractee et voit sa
Figure imgf000024_0002
fréquence modifiée. La tolérance angulaire sur θ est de l'ordre (n indice optique du modulateur, Λ s
Figure imgf000024_0001
B e longueur d'onde acoustique, e longueur d'interaction Δ θB , écart à θB pour lequel le rendement de diffraction est divisé par 2) .
The angular selectivity of such a cell is thus used. Indeed the diffraction efficiency of such a cell varies. Indeed, the diffraction efficiency of such a cell varies greatly with the incidence of light on the acoustically generated network. Only the fraction of the scattered beam having an angle is diffracted and sees its
Figure imgf000024_0002
modified frequency. The angular tolerance on θ is of the order (n optical index of the modulator, Λ s
Figure imgf000024_0001
B e acoustic wavelength, e interaction length Δ θB , deviation at θB for which the diffraction efficiency is divided by 2).
A titre d'exemple, on peut avoir les valeurs numériques suivantes . v ~ 103 ms-1 (vitesse de l'onde dans le cristal) f ~ 80.106 Hz e ~ 5 mmAs an example, we can have the following numerical values. v ~ 103 ms-1 (wave speed in the crystal) f ~ 80.106 Hz e ~ 5 mm
Δ θ B ~ 2 milliradians .Δ θ B ~ 2 milliradians.
Il est bien évident que la description qui précède n'a été faite qu'à titre d'exemple . D'autres variantes de réalisation peuvent être envisagées sans sortir du cadre de l'invention.It is obvious that the above description has been given only by way of example. Other alternative embodiments can be envisaged without departing from the scope of the invention.
Les exemples numériques n'ont été fournis qu'à titre indicatif pour illustrer la description.Numerical examples have been provided for illustrative purposes only to illustrate the description.

Claims

REVENDICATIONS
1. Système d'Imagerie par transillumination comprenant une source laser (L) émettant un faisceau lumineux de source (FS) éclairant à l'aide d'un premier faisceau (F1) un corps transparent ou translucide (H) ainsi qu'un détecteur (D) recevant un deuxième faisceau lumineux (F2) résultant du premier faisceau (F1) après traversée dudit milieu (H) , caractérisé en ce qu'il comporte un séparateur de faisceau (S1) placé sur le trajet du premier faisceau de source (FS) et dérivant une portion de faisceau (F'1) , un changeur de fréquence (CF) recevant cette portion de faisceau (F'1) et fournissant en échange un troisième faisceau légèrement décalé en fréquence par rapport au premier faisceau (F1) , un coupleur optique (S2) placé sur le trajet du deuxième faisceau recevant également le troisième faisceau (F3) et fournissant au détecteur un quatrième faisceau (F4) résultant de la combinaison du deuxième faisceau (F2) et du troisième faisceau (F3) .1. Transillumination Imaging System comprising a laser source (L) emitting a source light beam (FS) illuminating with a first beam (F1) a transparent or translucent body (H) and a detector (D) receiving a second light beam (F2) resulting from the first beam (F1) after crossing said medium (H), characterized in that it comprises a beam splitter (S1) placed on the path of the first source beam ( FS) and deriving a beam portion (F'1), a frequency changer (CF) receiving this beam portion (F'1) and providing in exchange a third beam slightly offset in frequency with respect to the first beam (F1) , an optical coupler (S2) placed on the path of the second beam also receiving the third beam (F3) and supplying the detector a fourth beam (F4) resulting from the combination of the second beam (F2) and the third beam (F3).
2. Système d'imagerie selon la revendication 1, caractérisé en ce que la source (L) émet un faisceau (FS) de lumière cohérente.2. An imaging system according to claim 1, characterized in that the source (L) emits a beam (FS) of coherent light.
3. Système d'imagerie selon la revendication 2 , caractérisé en ce que la source (L) émet un faisceau (FS) de lumière qui est polarisée linéairement.3. An imaging system according to claim 2, characterized in that the source (L) emits a beam (FS) of light which is linearly polarized.
4. Système d'imagerie selon la revendication 1, caractérisé en ce que le coupleur (S2) fournit un quatrième faisceau qui est la combinaison des deuxième et troisième faisceaux, mis en parallèle.4. An imaging system according to claim 1, characterized in that the coupler (S2) provides a fourth beam which is the combination of the second and third beams, placed in parallel.
5. Système d'imagerie selon la revendication 1, caractérisé en ce que le deuxième faisceau (F2) et le troisième faisceau (F3) présentent des fronts d'ondes identiques.5. An imaging system according to claim 1, characterized in that the second beam (F2) and the third beam (F3) have identical wave fronts.
6. Système d'imagerie selon la revendication 1, caractérisé en ce que le deuxième faisceau (F2) et le troisième faisceau (F3) sont des ondes planes collimatées .6. Imaging system according to claim 1, characterized in that the second beam (F2) and the third beam (F3) are collimated plane waves.
7. Système d'imagerie selon la revendication 1, caractérise en ce que le changeur de fréquence (CF) est dispositif acoustooptique.7. Imaging system according to claim 1, characterized in that the frequency changer (CF) is an acousto-optical device.
8. Système d'imagerie selon la revendication 1, caractérisé en ce que le changeur de fréquence (CF) comporte un miroir (M1) monté sur un cristal piézo-électrique excité électriquement.8. An imaging system according to claim 1, characterized in that the frequency changer (CF) comprises a mirror (M1) mounted on an electrically excited piezoelectric crystal.
9. Système d'imagerie selon la revendication 1 , caractérisé en ce que les sections des deuxième et troisième faisceaux sont identiques .9. An imaging system according to claim 1, characterized in that the sections of the second and third beams are identical.
10. Système d'Imagerie selon la revendication 1, caractérisé en ce que la section du troisième faisceau (F3) est inférleure à celle du deuxième faisceau (F2) , le système comportant en outre un dispositif translateur (TR) de faisceau placé sur le trajet du troisième faisceau (F3) et permettant de déplacer sa direction parallèlement à une direction fixe de façon a explorer sur le détecteur (D) l'aire éclairée par le deuxième faisceau (F2) .10. Imaging system according to claim 1, characterized in that the section of the third beam (F3) is less than that of the second beam (F2), the system further comprising a beam translator (TR) placed on the path of the third beam (F3) and making it possible to move its direction parallel to a fixed direction so as to explore on the detector (D) the area illuminated by the second beam (F2).
11. Système d'imagerie selon la revendication 10, caractérisé en ce que le translateur de faisceau (TR) comporte deux surfaces de réflexion (M3 , M4) parallèles et orientables autour d'un axe situé sur le passage du faisceau entre les deux miroirs M3 et M4.11. Imaging system according to claim 10, characterized in that the beam translator (TR) comprises two reflection surfaces (M3, M4) parallel and orientable around an axis located on the passage of the beam between the two mirrors M3 and M4.
12. Système d'imagerie selon la revendication 10, caractérisé en ce que le translateur de faisceau (TR) comporte deux surfaces de réflexion (PR1 , PR2) parallèles pouvant s'écarter l'une de l'autre .12. An imaging system according to claim 10, characterized in that the beam translator (TR) has two parallel reflection surfaces (PR1, PR2) which can move away from one another.
13. Système d'imagerie selon la revendication 9, caractérisé en ce que le corps (H) est mobile par rapport au premier faisceau (F1) et au deuxième faisceau (F2) selon deux axes (X, Y) situés dans un plan perpendiculaire à la direction du premier faisceau.13. An imaging system according to claim 9, characterized in that the body (H) is movable relative to the first beam (F1) and to the second beam (F2) along two axes (X, Y) located in a perpendicular plane to the direction of the first beam.
14. Système d'imagerie selon la revendication 13, caractérisé en ce que les différents dispositifs optiques transmettant le premier faisceau, le deuxième faisceau et le troisième faisceau sont mobiles selon lesdlts axe (X, Y) par rapport au corps (H) et que le détecteur (D) est fixe et de dimension suffisante pour imager une zone entière du corps (H) à imager.14. Imaging system according to claim 13, characterized in that the different optical devices transmitting the first beam, the second beam and the third beam are movable along the axis (X, Y) relative to the body (H) and that the detector (D) is fixed and of sufficient size to image an entire area of the body (H) to be imaged.
15. Système d'imagerie selon la revendication 1 , caractérisé en ce que le détecteur (D) est de petite dimension par rapport aux section des deuxième et troisième faisceau et qu'il peut se déplacer dans un plan perpendiculaire à ces faisceaux.15. An imaging system according to claim 1, characterized in that the detector (D) is small in relation to the sections of the second and third beam and that it can move in a plane perpendicular to these beams.
16. Système d'imagerie selon la revendication 1, caractérisé en ce que :16. Imaging system according to claim 1, characterized in that:
- le deuxième faisceau (F2) est de section inférieur à celle du troisième faisceau (F3) ;- The second beam (F2) is of smaller section than that of the third beam (F3);
- la surface du détecteur (D) est égale à la section du troisième faisceau ;- the surface of the detector (D) is equal to the section of the third beam;
- un translateur de faisceau est placé sur le trajet du premier faisceau (F1) de façon à le déplacer parallèlement à une direction déterminée pour permettre une exploration du corps (H) .- A beam translator is placed on the path of the first beam (F1) so as to move it parallel to a determined direction to allow exploration of the body (H).
17. Système d'imagerie selon la revendication 9, caractérisé en ce que le premier faisceau (F1) permet une exploration d'une zone du corps (H) , le détecteur couvrant la section des deuxième et troisième faisceaux et comportant une pluralité de dispositifs de détection.17. Imaging system according to claim 9, characterized in that the first beam (F1) allows an exploration of an area of the body (H), the detector covering the section of the second and third beams and comprising a plurality of devices detection.
18. Système d'imagerie selon la revendication 1 , caractérisé en ce qu'il comporte un translateur de faisceau (TT) placé sur le trajet du faisceau de source (FS) et permettant de déplacer les premier et deuxième faisceau (F2, F3) parallèlement à une direction donnée de façon à explorer une zone du corps (H) .18. An imaging system according to claim 1, characterized in that it comprises a beam translator (TT) placed on the path of the source beam (FS) and making it possible to move the first and second beam (F2, F3) parallel to a given direction so as to explore an area of the body (H).
19. Système d'imagerie selon la revendication 1, caractérisé en ce qu'il comporte un premier guide optique (G1) recevant le premier faisceau (F1) et le transmettant au corps (H) , ainsi qu'un deuxième guide optique (G2) recevant le troisième faisceau et le transmettant au coupleur optique S2.19. An imaging system according to claim 1, characterized in that it comprises a first optical guide (G1) receiving the first beam (F1) and transmitting it to the body (H), as well as a second optical guide (G2 ) receiving the third beam and transmitting it to the optical coupler S2.
20. Système d'imagerie selon la revendication 19, caractérisé en ce que les premier et deuxième guide optique (G1, G2) sont des fibres optiques .20. An imaging system according to claim 19, characterized in that the first and second optical guide (G1, G2) are optical fibers.
21. Système d'Imagerie selon la revendication 1, caractérisé en ce qu'il comporte connectés en série à une sortie du signal de détection électrique du détecteur (D) ;21. Imaging system according to claim 1, characterized in that it comprises connected in series to an output of the electrical detection signal of the detector (D);
- un circuit de filtrage et d'amplification (CD1) centré sur la différence des fréquences des deuxième et troisième faisceau et recevant le signal détecté par le détecteur (D) ; - un redresseur (CD2) ;- a filtering and amplification circuit (CD1) centered on the difference of the frequencies of the second and third beam and receiving the signal detected by the detector (D); - a rectifier (CD2);
- un intégrateur (CD3) ;- an integrator (CD3);
- un filtre basse fréquence (CD4) .- a low frequency filter (CD4).
22. Système d'imagerie selon la revendication 21, caractérisé en ce qu'il comporte en série entre, le circuit de filtrage et d'amplification (CD1) et le redresseur (CD2) une ligne à retard (CD5) et une porte logique (CD6) commandé par un signal de fréquence légèrement différente de la fréquence du faisceau de source (FS) .22. Imaging system according to claim 21, characterized in that it comprises in series between, the filtering and amplification circuit (CD1) and the rectifier (CD2) a delay line (CD5) and a logic gate (CD6) controlled by a frequency signal slightly different from the frequency of the source beam (FS).
23. Système d'imagerie selon la revendication 1, caractérisé en ce qu'il comporte sur le trajet du deuxième faisceau un dispositif optique de collimation (O) dont le foyer (F) est situé en un point du corps (H) .23. An imaging system according to claim 1, characterized in that it comprises on the path of the second beam an optical collimation device (O) whose focus (F) is located at a point on the body (H).
24. Système d'imagerie selon la revendication 23, caractérisé en ce que le corps (H) est mobile par rapport au premier faisceau lumineux (F1) et au deuxième faisceau lumineux (F2) .24. An imaging system according to claim 23, characterized in that the body (H) is movable relative to the first light beam (F1) and the second light beam (F2).
25. Système d'Imagerie selon la revendication 24, caractérisé en ce qu'il comporte des guides optiques (G1, G2) transmettant le premier et le troisième faisceau (F1, F3) et permettant de rendre mobile le système d'imagerie par rapport au corps (H) .25. Imaging system according to claim 24, characterized in that it comprises optical guides (G1, G2) transmitting the first and the third beam (F1, F3) and making it possible to make the imaging system mobile relative to to the body (H).
26. Système d'Imagerie selon la revendication 23, caractérisé en ce que le dispositif optique de collimation (O) est une lentille cylindrique et que le trajet du troisième faisceau (F3) comporte également une lentille cylindrique dont la génératrice est parallèle à celle du dispositif optique (O) , le détecteur comportant une rangée de dispositifs de détecteurs alignés selon une direction parallèle auxdites génératrices .26. Imaging system according to claim 23, characterized in that the optical collimation device (O) is a cylindrical lens and that the path of the third beam (F3) also comprises a cylindrical lens whose generatrix is parallel to that of the optical device (O), the detector comprising a row of detector devices aligned in a direction parallel to said generators.
27. Système d'imagerie selon la revendication 23, caractérisé en ce que le détecteur (D) est précédé d'une lentille de focalisation (C) permettant de projeter un point (f2) du corps (H) sur le détecteur et de focaliser également le troisième faisceau (F3) sur le détecteur (D) ;27. An imaging system according to claim 23, characterized in that the detector (D) is preceded by a focusing lens (C) making it possible to project a point (f2) of the body (H) on the detector and to focus also the third beam (F3) on the detector (D);
28. Système d'Imagerie selon la revendication 1, caractérisé en ce que la source (L) fournit des impulsions lumineuses et en ce qu'il comporte un premier modulateur optique (MAO1) placé sur le trajet du faisceau de source et un deuxième modulateur (MAO2) placé sur le trajet de ladite portion du faisceau de source (F'1) .28. Imaging system according to claim 1, characterized in that the source (L) provides light pulses and in that it comprises a first optical modulator (MAO1) placed on the path of the source beam and a second modulator (MAO2) placed on the path of said portion of the source beam (F'1).
PCT/FR1988/0003551987-07-031988-07-01Transillumination imaging system using the antenna properties of heterodyne detectionWO1989000281A1 (en)

Applications Claiming Priority (2)

Application NumberPriority DateFiling DateTitle
FR87/094601987-07-03
FR8709460AFR2617601B1 (en)1987-07-031987-07-03 TRANSILLUMINATION IMAGING SYSTEM USING HETERODYNE DETECTION ANTENNA PROPERTIES

Publications (1)

Publication NumberPublication Date
WO1989000281A1true WO1989000281A1 (en)1989-01-12

Family

ID=9352849

Family Applications (1)

Application NumberTitlePriority DateFiling Date
PCT/FR1988/000355WO1989000281A1 (en)1987-07-031988-07-01Transillumination imaging system using the antenna properties of heterodyne detection

Country Status (2)

CountryLink
FR (1)FR2617601B1 (en)
WO (1)WO1989000281A1 (en)

Cited By (6)

* Cited by examiner, † Cited by third party
Publication numberPriority datePublication dateAssigneeTitle
EP0458601A1 (en)*1990-05-221991-11-27Research Development Corporation Of JapanMethod of and apparatus for measuring spectral absorption in opaque specimens and method of and apparatus for measuring microscopic absorption distribution
EP0445293A4 (en)*1989-09-261992-06-03Research Development Corporation Of JapanLight receiving system of heterodyne detection and image forming device for light transmission image using said light receiving system
EP0456637A4 (en)*1989-02-061992-09-09Nim, IncorporatedPhase modulated spectrophotometry
US5553614A (en)*1988-12-211996-09-10Non-Invasive Technology, Inc.Examination of biological tissue using frequency domain spectroscopy
GB2306828A (en)*1995-10-201997-05-07Thomson CsfCovert 3-dimensional imaging lidar
US6246892B1 (en)1991-01-242001-06-12Non-Invasive TechnologyPhase modulation spectroscopy

Citations (3)

* Cited by examiner, † Cited by third party
Publication numberPriority datePublication dateAssigneeTitle
US3796495A (en)*1972-05-301974-03-12Zenith Radio CorpApparatus and methods for scanning phase profilometry
EP0108497A1 (en)*1982-10-081984-05-16National Research Development CorporationIrradiative probe system
FR2541786A1 (en)*1983-02-251984-08-31Thomson CsfHeterodyne-detection optical imaging device

Patent Citations (3)

* Cited by examiner, † Cited by third party
Publication numberPriority datePublication dateAssigneeTitle
US3796495A (en)*1972-05-301974-03-12Zenith Radio CorpApparatus and methods for scanning phase profilometry
EP0108497A1 (en)*1982-10-081984-05-16National Research Development CorporationIrradiative probe system
FR2541786A1 (en)*1983-02-251984-08-31Thomson CsfHeterodyne-detection optical imaging device

Cited By (8)

* Cited by examiner, † Cited by third party
Publication numberPriority datePublication dateAssigneeTitle
US5553614A (en)*1988-12-211996-09-10Non-Invasive Technology, Inc.Examination of biological tissue using frequency domain spectroscopy
EP0456637A4 (en)*1989-02-061992-09-09Nim, IncorporatedPhase modulated spectrophotometry
EP0445293A4 (en)*1989-09-261992-06-03Research Development Corporation Of JapanLight receiving system of heterodyne detection and image forming device for light transmission image using said light receiving system
EP0458601A1 (en)*1990-05-221991-11-27Research Development Corporation Of JapanMethod of and apparatus for measuring spectral absorption in opaque specimens and method of and apparatus for measuring microscopic absorption distribution
US5345306A (en)*1990-05-221994-09-06Research Development Corporation Of JapanMethod and apparatus for measuring spectral absorption in an opaque specimen and method and apparatus for measuring the microscopic absorption distribution
US6246892B1 (en)1991-01-242001-06-12Non-Invasive TechnologyPhase modulation spectroscopy
GB2306828A (en)*1995-10-201997-05-07Thomson CsfCovert 3-dimensional imaging lidar
GB2306828B (en)*1995-10-202000-03-15Thomson CsfTomoscopic laser detection device

Also Published As

Publication numberPublication date
FR2617601B1 (en)1989-10-20
FR2617601A1 (en)1989-01-06

Similar Documents

PublicationPublication DateTitle
EP0377571B1 (en)Imaging process and system for transillumination with photon frequency marking
EP1114348B1 (en)Device for observation inside a body providing improved quality of observation
EP0985902B1 (en)Interferometric device for picking up optical subsurface reflexion and/or transmission characteristics of an object
EP2351518B1 (en)Perioperative bi-spectral optical probe
EP4090993A1 (en)Coherent lidar imaging system
FR2717908A1 (en)Multi-point nuclear radiation detection appts.
FR2482325A1 (en) REAL-TIME SCANNING OBSERVATION SYSTEM
EP1461601B1 (en)Equipment for spectroscopy of subsurface autofluorescence
WO2016181077A1 (en)Device and method for observing an object, taking into consideration the distance between the device and the object
EP3488505A1 (en)Acoustic resonance spectroscopy method and system
FR2941045A1 (en) DEVICE AND METHOD FOR DETERMINING POLARIZATION INFORMATION AND POLARIMETRIC IMAGER
WO1989000281A1 (en)Transillumination imaging system using the antenna properties of heterodyne detection
WO2020240131A1 (en)Picosecond acoustic measuring system with double sensor beams
WO2007104853A1 (en)Method of reconstructing an optical tomography image by fluorescence of an object having any outline
FR2794247A1 (en) METHOD AND DEVICE FOR MEASURING SPEED BY DOPPLER EFFECT
EP3491330B1 (en)Full-field interferential imaging systems and methods
EP4197433B1 (en)Device and method for focusing coherent light radiation in a scattering medium
WO2004066015A1 (en)Parallel confocal laser microscopy system based on vcsel technology
FR3074353B1 (en) THREE-DIMENSIONAL IMAGING SYSTEM FOR ACOUSTIC PRESSURE WAVES
WO2007119005A2 (en)Spectroscopy device
EP1513446B1 (en)Device for in vivo confocal optical tomographic section
RU2207591C1 (en)Method of object viewing with use of laser illumination and facility for its implementation ( variants )
FR2615952A1 (en) DEVICE FOR DETERMINING AT LEAST THE CONCENTRATION OF SOLID PARTICLES SUSPENDED IN A FLUID
FR2928729A1 (en) DEVICE FOR DETECTING OR RECEIVING LASER RADIATION
WO2010066969A1 (en)Device and method for imaging using non-linear detection

Legal Events

DateCodeTitleDescription
AKDesignated states

Kind code of ref document:A1

Designated state(s):JP US

ALDesignated countries for regional patents

Kind code of ref document:A1

Designated state(s):AT BE CH DE FR GB IT LU NL SE


[8]ページ先頭

©2009-2025 Movatter.jp