Movatterモバイル変換


[0]ホーム

URL:


WO1984004752A1 - Polyetherimide-polycarbonate blends - Google Patents

Polyetherimide-polycarbonate blends
Download PDF

Info

Publication number
WO1984004752A1
WO1984004752A1PCT/US1983/000790US8300790WWO8404752A1WO 1984004752 A1WO1984004752 A1WO 1984004752A1US 8300790 WUS8300790 WUS 8300790WWO 8404752 A1WO8404752 A1WO 8404752A1
Authority
WO
WIPO (PCT)
Prior art keywords
composition
accordance
polyetherimide
polycarbonate
blends
Prior art date
Application number
PCT/US1983/000790
Other languages
French (fr)
Inventor
Gary Andreas Mellinger
Harold Frazce Giles Jr
Fred Frank Holub
William Rudolph Schlich
Original Assignee
Gen Electric
Priority date (The priority date is an assumption and is not a legal conclusion. Google has not performed a legal analysis and makes no representation as to the accuracy of the date listed.)
Filing date
Publication date
Application filed by Gen ElectricfiledCriticalGen Electric
Priority to JP58502172ApriorityCriticalpatent/JPS60501413A/en
Priority to PCT/US1983/000790prioritypatent/WO1984004752A1/en
Publication of WO1984004752A1publicationCriticalpatent/WO1984004752A1/en

Links

Classifications

Definitions

Landscapes

Abstract

Blends of (a) a polyetherimide and (b) a thermoplastic polycarbonate. The blends exhibit a higher heat distortion temperature and an improved flexural strength and tensile strength over the polycarbonate component alone and have a higher impact strength than that associated with the polyetherimide component of the blends. In addition, the blends may exhibit good flame resistance.

Description

POLYETHERIMIDE-POLYCARBONATE BLENDS
This invention relates to a class of blends containing a polyetherimide and a thermoplastic polycarbonate. The blends exhibit a higher heat distortion temperature, an improved flexural strength and tensile strength over the polycarbonate component alone and have a higher impact strength than that associated with the polyetherimide component of the blends. In addition, the blends may exhibit good flame resistance.
The blends of the invention include a polyetherimide of the formula:
Figure imgf000003_0002
where a represents a whole number in excess of 1, e.g., 10 to 10,000 or more, the group
Figure imgf000003_0003
is selected from:
Figure imgf000003_0001
R' being hydrogen, lower alkyl or lower alkoxy, preferably the polyetherimide includes the latter -O-A group where R' is hydrogen such that the polyetherimide is of the formula:
Figure imgf000004_0001
and the divalent bonds of the -O-Z-O radical are in the 3,3'; 3,4'; 4,3' or the 4,4' position; Z is a member of the class consisting of (1) and
Figure imgf000004_0002
(2) divalent organic radicals of the general formula:
Figure imgf000004_0003
where X is a member selected from the class consisting of divalent radicals of the formulas,
Figure imgf000005_0004
where q is 0 or 1, y is a whole number from 1 to 5; and R is a divalent organic radical selected from the class consisting of (1) aromatic hydrocarbon radicals having from 6-20 carbon atoms and halogenated derivatives thereof, (2) alkylene radicals and cycloalkylene radicals having from 2-20 carbon atoms,C(2-8) alkylene terminated polydiorganosiloxane, and (3) divalent radicals included by the formula
Figure imgf000005_0001
where Q is a member selected from the class consisting of
Figure imgf000005_0002
and x is a whole number from 1 to 5 inclusive. Particularly preferred polyetherimides for the purposes of the present invention include those where -O-A and Z respectively are:
Figure imgf000005_0003
and R is selected from:
Figure imgf000006_0001
The polyetherimides where R is metaphenylene are most preferred.
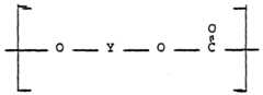
Polycarbonates for use in the blends of the invention can be generally defined as high molecular weight, thermoplastic, aromatic polymers and include homopolycarbonates and copolycarbonates and mixtures thereof which have average molecular weights of about 8,000 to more than 200,000, preferably of about 20,000 to 80,000 and an I.V. of 0.40 to 1.0 dl/g as measured in methylene chloride at 25°C. These polycarbonates are derived from dihydric phenols and carbonate precursors and generally speaking, contain recurring structural units of the formula;
Figure imgf000006_0002
where Y is a divalent aromatic radical of the dihydric phenol employed in the polycarbonate producing reaction. Suitable dihydric phenols for producing polycarbonates include the dihydric phenols such as, for example, 2,2-bis(4-hydroxyphenyl)propane, bis(4hydroxyphenyl) methane, 2,2-bis(4-hydroxy-3methylphenyl)propane, 4, 4-bis(4-hydroxyphenyl)heptane, 2,2-(3,5,3',5'-tetrachloro-4, 4'-dihydroxyphenyl)propane, 2, 2-( 3, 5, 3 ',5'-tetrabromo-4,4'-dihydroxyphenyl)propane, and (3,3'-dichloro-4,4'-dihydroxydiphenyl)methane. Other dihydric phenols which are also suitable for use in the preparation of the above polycarbonates are disclosed in U.S. Patent Nos. 2,999,835, 3,038,365, 3,334,154, and 4,131,575, incorporated herein by reference.
It is of course possible to employ two or more different dihydric phenols or a copolymer of a dihydric phenol with a glycol or with hydroxy or acid terminated polyester, or with a dibasic acid in the event a carbonate copolymer or interpolymer rather than a homopolymer is desired for use in the preparation of the blends of the invention. Blends of any of the above materials can also be employed to provide the aromatic polycarbonate. In addition, branched polycarbonates such as are described in U.S. Patent No. 4,001,184, can also be utilized in the practice of this invention, as can blends of a linear polycarbonate and a branched polycarbonate.
The carbonate precursor employed can be either a carbonyl halide, a carbonate ester or a haloformate. The carbonyl halides which can be employed are carbonyl bromide, carbonyl chloride and mixtures thereof. Typical of the carbonate esters which can be employed are diphenyl carbonate, a di-(halophenyl) carbonate such as di-(chlorophenyl)carbonate, di-(bromopneny1)carbonate, di-(trichlorophenyl)carbonate, di-(tribromophenyl) carbonate, etc., di-(alkylphenyl) carbonate such as di- (tolyl)carbonate, etc., di-(naphthyl)carbonate, di- (chloronaphthyl)carbonate, etc., or mixtures thereof. The suitable haloformates include bis-haloformates of dihydric phenols (bischloroformates of hydroquinone, etc.) or glycols (bishaloformates of ethylene glycol, neopentyl glycol, polyethylene glycol, etc.). While other carbonate precursors will occur to those skilled in the art, carbonyl chloride, also known as phosgene, is preferred. Also included in the polycarbonates are the polymeric materials derived from a dihydric phenol, a dicarboxylic acid and carbonic acid. These are disclosed in U.S. Patent No. 3,169,121 which is incorporated herein by reference.
The polyetherimides can be obtained by any of the methods well known to those skilled in the art including the reaction of any aromatic bis (ether anhydrides) of the formula
Figure imgf000008_0001
where Z is as defined hereinbefore with an organic diamine of the formula
H2N - R - NH2 where R is as defined hereinbefore.
Aromatic bis (ether anhydride)s of the above formula include, for example, 2,2- (bis[4-(2,3dicarboxyphenoxy)phenyl] propane dianhydride; 4,4'bis(2,3-dicarboxyphenoxy)diphenyl ether dianhydride;
1,3-bis(2,3-dicarboxyphenoxy)benzene dianhydride; 4,4'bis(2,3-dicarboxyphenoxy)diphenyl sulfide dianhydride;
1,4-bis(2,3-dicarboxyphenoxy)benzene dianhydride; 4,4'bis (2,3-dicarboxyphenoxy)benzophenone dianhydride; 4,4'bis (2,3-dicarboxyphenoxy)diphenyl sulfone dianhydride; etc., 2,2-bis [4-( 3,4-dicarboxyphenoxy)phenyl] propane dianhydride; 4 ,4'-bis(3,4-dicarboxyphenoxy)diphenyl ether dianhydride; 4,4'-bis(3,4dicarboxyphenoxy)diphenyl sulfide dianhydride; 1,3bis(3,4-dicarboxyphenoxy)benzene dianhydride; 1,4bis(3,4- dicarboxyphenoxy)benzene dianhydride; 4,4'bis(3,4- dicarboxyphenoxy)benzophenone dianhydride; 4¬
(2,3-dicarboxyphenoxy)-4'(3,4- dicarboxyphenoxy)diphenyl2,2-propane dianhydride; etc., and mixtures of such dianhydrides. In addition, aromatic bis(ether anhydride)s also included by the above formula are shown by Koton, M.M.; Plorinski, F.S.; Bessonov, M.I.; Rudakov, A.P. (Institute of Heteroorganic Compounds, Academy of Sciences, U.S.S.R.), U.S.S.R. 257,010, Nov. 11, 1969, Appl. May 3, 1967. Also, dianhydrides are shown by M.M. Koton, F.S. Florinski, Zh Org. Khin, 4(5), 774 (1968).
Organic diamines of the above formula include, for example, m-phenylenediamine, p-phenylenediamine, 4,4'- diaminodiphenyl propane, 4,4'-diaminodiphenylmethane, benzidine, 4,4'-diaminodiphenyl sulfide, 4,4'- diaminodiphenyl sulfone, 4, 4'-diaminodiphenyl ether, 1,5- diaminoaphthalene, 3,3'-dimethylbenzidine, 3,3'- dimethoxybenzidine, 2, 4-bis (β-amino-t-butyl)toluene, bis (p-β-amino-t-butylphenyl)ether, bis(p-β-methyl-o- aminophenyl)benzene, 1, 3-diamino-4-isopropylbenzene, 1,2- bis(3-aminoρropαxy)ethane, m-xylylenediamine, pxylylenediamine, 2, 4-diaminotoluene, 2,6-diaminotoluene, bis (4-aminocyclohexyl)methane, 3-methylheρtamethylenediamine, 4,4-dimethylheptamethylenediamine, 2,11- dodecanediamine, 2, 2-dimethylpropylenediamine, octamethylenediamine, 3-methoxyhexamethylenediamine, 2,5- dimethylhexamethylenediamine, 2,5- dimethylheptamethylenediamine, 3- methylheptamethylenediamine, 5- methylnonamethylenediamine, 1,4-cyclohexanediamine, 1,12- octadecanediamine, bis(3-aminopropyl)sulfide, N-methylbis(3-aminopropyl)amine, hexamethylenediamine, heptamethylenediamine, nonamethylenediamine, decamethylenediamine, bis(3-aminopropyl) tetramethyidisiloxane, bis(4-aminobutyl)tetramethyl disiloxane, and the like, and mixtures of such diamines.
In general, the reactions can be advantageously carried out employing well-known solvents, e.g., odichlorobenzene, m-cresol/toluene, etc., in which to effect interaction between the dianhydrides and the diamines, at temperatures of from about 100 to about 250 °C. Alternatively, the polyetherimides can be prepared by melt polymerization of any of the aforementioned dianhydrides with any of the aforementioned diamine compounds while heating the mixture of the ingredients at elevated temperatures with concurrent intermixing. Generally, melt polymerization temperatures between about 200° to 400°C. and preferably 230° to 300 °C. can be employed. Any order of addition of chain stoppers ordinarily employed in melt polymerization can be employed. The conditions of the reaction and the proportions of ingredients can be varied widely depending on the desired molecular weight, intrinsic viscosity, and solvent resistance. In general, equimolar amounts of diamine and dianhydride are employed for high molecular weight polyetnerimides, however, in certain instances, a slight molar excess (about 1 to 5 mol percent) of diamine can be employed resulting In the production of polyetherimides having terminal amine groups. Generally, useful polyetherimides have an intrinsic viscosity [ ] greater than 0.2 deciliters per gram, preferably 0.35 to 0.60, or 0.7 deciliters per gram or even higher when measured in m-cresol at 25°C.
Included among the many methods of making the polyetherimides are those disclosed in U.S. Patent Nos. Heath et al., 3,847,867, Williams 3,847,869, Takekoshi et al. 3,850,885, White 3,852,242 and 3,855,178. These disclosures are incorporated herein in their entirety by reference for the purpose of teaching, by way of illustration, general and specific methods for preparing polyetherimides suitable for the blends of this invention.
The polycarbonates of the subject blends can be manufactured by known processes, such as, for example, by reacting a dihydric phenol with a carbonate precursor such as diphenyl carbonate or phosgene in accordance with methods set forth in the above-cited literature and U.S. Patent Nos. 4,018,750 and 4,123,436, or by transesterification processes such as are disclosed in U.S. Patent No. 3,153,008, as well as other processes known to those skilled in the art.
The aromatic polycarbonates are typically prepared by employing a molecular weight regulator, an acid acceptor and a catalyst. The molecular weight regulators which can be employed include phenol, cyclohexanol, methanol, para-tertiary-butyl-phenol, etc. Preferably, phenol is employed as the molecular weight regulator. The acid acceptor can be either an organic or an inorganic acid acceptor. A suitable organic acid acceptor is a tertiary amine and includes such materials as pyridine, triethylamine, dimethylaniline, tributylamine, etc. The inorganic acid acceptor can be one which can be either a hydroxide, a carbonate, a bicarbonate, or a phosphate of an alkali or alkali earth metal.
The catalysts which can be employed are those that typically aid the polymerization of the monomer with phosgene. Suitable catalysts include tertiary amines such as triethylamine, tripropylamine, N,N- dimethylaniline, quaternary ammonium compounds such as, for example, tetraethylammonium bromide, cetyl triethyl ammonium bromide, tetra-n-heptylammonium iodide, tetra-n- propyl ammonium bromide, tetramethyl-ammonium chloride, tetramethyl ammonium hydroxide, tetra-n-butyl ammonium iodide, benzyltrimethyl ammonium chloride and quaternary phosphonium compounds such as, for example, n- butyltriphenyl phosphonium bromide and methyltriphenyl phosphonium bromide.
Also included are branched polycarbonates wherein a polyfunctional aromatic compound is reacted with the monomer and carbonate precursor to provide a thermoplastic randomly branched polycarbonate. The polyfunctional aromatic compounds contain at least three functional groups which are carboxyl, carboxylic anhydride, haloformyl, or mixtures thereof. Illustrative polyfunctional aromatic compounds which can be employed include trimellitic anhydride, trimellitic acid, trimellityl trichloride, 4-chloroformyl phthalic anhydride, pyromellitic acid, pyromellitic dianhydride, mellitic acid, mellitic anhydride, trimesic acid, benzophenonetetracarboxylic acid, benzophenoetetracarboxylic anhydride, and the like. The preferred polyfunctional aromatic compounds are timellitic anhydride and trimellitic acid or their acid halide derivatives.
In accordance with the present invention, blends of a polyetherimide and a polycarbonate are generally obtainable in all proportions of the polymers relative to each other. Thus, the polyetherimide and carbonate components of the blend may be mixed in weight ratios of 1:99 to 99:1 relative to each other and such a range of mixtures may be combined with the thermoplastic component in weight ratios of 1:99 to 99:1. It may be generally desirable to include a minimum amount of, for example, about 2%, of each of the components to achieve the desired properties for the blend. By controlling the proportions of the components of the blend relative to each other, blends having certain predetermined useful properties which are improved over those of certain components alone may be readily obtained. In general, blends of the subject invention may exhibit, depending on the blend ratio of the components, one or more of the properties of high tensile and/or flexural strength, good impact strength and high heat distortion temperature. It is contemplated that the blends of the present invention may also include other additive materials such as fillers, stabilizers, plasticizers, flexibilizers, surfactant agents, pigments, dyes, reinforcements, flame retardants and diluents in conventional amounts. It is also contemplated that the blends of the invention may include two or more polyetherimides in combination with one or more polycarbonates or two or more polycarbonates in combination with one or more polyetherimides.
Methods for forming blends of the present invention may vary considerably. Prior art blending techniques are generally satisfactory. A preferred method comprises blending the polymers and additives such as reinforcements in powder, granular or filamentous form, extruding the blend, and chopping the extrudate into pellets suitable for molding by means conventionally used to mold normally solid thermoplastic compositions. The subject blends have application in a wide variety of physical shapes and forms, including the use as films, molding compounds, coatings, etc. When used as films or when made into molded products, these blends, including laminated products prepared therefrom, not only possess good physical properties at room temperature but they retain their strength and excellent response to workloading at elevated temperatures for long periods of time. Films formed from the blends of this invention may be used in application where films have been used previously. Thus, the blends of the present invention can be used in automobile and aviation applications for decorative and protective purposes, and as high temperature electrical insulation for motor slot liners, transformers, dielectric capacitors, cable and coil wrappings (form wound coil insulation for motors), and for containers and container linings. The blends can also be used in laminated structures where films or solutions of the blend are applied to various heat- resistant or other type of materials such as asbestos, mica, glass fiber and the like, the sheets superimposed one upon the other, and thereafter subjecting the sheets to elevated temperatures and pressures to effect flow and cure of the resinous binder to yield cohesive laminated structures. Films made from the subject blends can also serve in printed circuit applications. Alternatively, solutions of the blends herein described can be coated on electrical conductors such as copper, aluminum, etc., and thereafter the coated conductor can be heated at elevated temperatures to remove the solvent and to effect curing of the resinous composition thereon. If desired, an additional overcoat may be applied to such insulated conductors including the use of polymeric coatings, such as polyamides, polyesters, silicones, polyvinylformal resins, epoxy resins, polyimides, polytetrafluoroethylene, etc. The use of the blends of the present invention as overcoats on other types of insulation is not precluded.
Other applications which are contemplated for these blends include their use as binders for asbestos fibers, carbon fibers, and other fibrous materials in making brake linings. In addition, molding compositions and molded articles may be formed from the polymer blends of the invention by incorporating such fillers as asbestos, glass fibers, talc, quartz, powder, finely divided carbon, and silica into the blends prior to molding.
Shaped articles may be molded under heat, or under heat and pressure, in accordance with practices well-known in the art.
The following examples illustrate specific polyetherimide-polycarbonate blends in accordance with the present invention. It should be understood that the examples are given for the purpose of illustration and do not limit the invention. In the examples, all parts and percentages are by weight unless otherwise specified.
EXAMPLE I
Polyetherimide-polycarbonate blends according to the invention were prepared and tested for various mechanical properties. The polyetherimide used in preparing the blend was of the structural formula:
Figure imgf000015_0001
and the polycarbonate was a commercial polycarbonate sold under the trademark Lexan by the General Electric Company, Pittsfield, Massachusetts. The polyetherimide alone had the physical properties set forth in Table I.
The two polymers were melt blended in a weight ratio of about 95 parts polyetherimide to about 5 parts polycarbonate and the blend viscosity meaured on an Instron capillary rheometer at about 300 °C and a shear rate of about one sec.-1. Upon solidification of the blend, various physical properties of the blend such as glass transition temperature (Tg), oxygen index (01), tensile strength and elongation were measured. The results of these measurements are also set forth in Table I.
EXAMPLE II
The procedure of Example I was repeated with the exception that about 90 parts of polyetherimide and about 10 parts of polycarbonate were formulated to produce the blend according to the invention. The properties of the blend are set forth in Table I.
EXAMPLE III
The procedure of Example I was repeated with the exception that about 85 parts of polyetherimide and about 15 parts of polycarbonate, were formulated to produce the blend according to the invention. The properties of the blend are set forth in Table I.
Figure imgf000016_0001
From the data set forth in the above table concerning various blends according to the present invention, it is apparent that the blends are not totally compatible since each polymer retains its own glass transition temperature. However, the blends do exhibit a good appearance and are suitable for a variety of applications.
EXAMPLE IV
A polyetherimide-polycarbonate blend according to the invention was prepared, the blend then molded into test specimens and the specimens tested for various physical properties.
The polyetherimide for the blend was prepared from the reaction product of essentially equimolar amounts of 2, 2-bis[4-(3, 4-dicarboxyphenoxy)pheny1] propane dianhydride and m-phenylene diamine produced at elevated temperature of about 250° to about 300 °C. and under a nitrogen atmosphere. The polymer was extruded at about 300 °C. to form a strand and mechanically chopped into pellets. A test specimen injection molded from the pellets had the physical properties set forth in Table II. The polycarbonate used in the blend was a bisphenol A type polycarbonate sold under the trademark LEXAN 141 by the General Electric Company, Pittsfield, Massachusetts. This polycarbonate, prepared by reacting 2,2-bis(4-hydroxyphenyl)propane, (bisphenol-A) and phosgene in the presence of an acid acceptor and a molecular weight regulator, has an intrinsic viscosity of about 0.57 dl/g. Various physical properties of this polycarbonate are set forth in Table II.
The polymers were mixed in a weight ratio of about 10 parts polyetherimide and about 90 parts polycarbonate and then extruded in a 28mm Werner & Pfleiderer extruder having a temperature profile varying from about 570° to 615°F. The resulting extrudate was comminuted into pellets and the pellets injection molded into test specimens at a temperature of about 550 °F. Impact strength of the specimen was measured according to the notched and unnotched Izod test and the Gardner impact test and the results are set forth in Table II. The heat distortion temperature, tensile properties and flexural properties of the blend were also measured and are set forth in Table II.
EXAMPLE V
The procedure of Example IV was repeated with the exception that about 30 parts of polyetherimide and about 70 parts of polycarbonate, were formulated to produce the blend according to the invention and the blend was injection molded at a temperature of about 575° to 590 °F. to produce test specimens. The results of the notched and unnotched Izod and Gardner impact tests as well as the heat distortion temperature tensile properties and flexural properties for the blend are detailed in Table II.
EXAMPLES VI
The procedure of Example IV was repeated with the exception that about 50 parts of polyetherimide and about 50 parts of polycarbondate, were formulated to produce the blend according to the invention and the blend was injection molded at about 575° to 620 °F. to produce test specimens. The results of the notched and unnotched Izod and Gardner impact tests, as well as the heat distortion temperature, flexural properties and molding pressure for the blend are given in Table II.
EXAMPLE VII
The procedure of Example IV was repeated with the exception that about 70 parts of polyetherimide, and about 30 parts of polycarbonate were formulated to produce the blend according to the invention and the blend was extruded at about 620° to 650 °F and injection molded at about 650 °F. to produce test specimens. The results of the notched and unnotched Izod and Gardner impact tests, as well as the heat distortion temperature, tensile properties and flexural properties for the blend are detailed in Table II.
EXAMPLE VIII
The procedure of Example VIII was repeated with the exception that about 90 parts of polyetherimide, and about 10 parts of polycarbonate were formulated to produce the blend according to the invention. The results of the notched and unnotched Izod and Gardner impact tests, as well as the heat distortion, tensile properties and flexural properties for the blend are detailed in Table II.
Figure imgf000020_0001
During the generation of the above data, several observations concerning the blends of the invention were made. One, the blends had a lower melt viscosity than the polyetherimide component alone which thereby allows the blends to be processed at a lower temperature.
Second, the blends appeared to be one phase systems with no delamination or phase separation in the molded specimens although the specimens were actually a two- phase system as evidenced by two glass transition temperatures. Third, all the specimens were generally opaque in appearance. Fourth, some of the unnotched Izod values are not absolute values since the test specimens twisted or bent out of the path of the hammer upon impact rather than breaking and thus these values only represent impact strength values relative to the other specimens tested.
As to the physical properties of the blends, it is apparent from the above data that the heat distortion temperature and flexural and tensile properties of all the blends, particularly those containing in excess of about 50% polyetherimide were all improved over the polycarbonate component alone. The unnotched impact strength is generally improved over that of the polyetherimide component alone and the notched Izod and Gardner impact strengths are particuarly improved at a blend concentration of about 30% or more polycarbonate.
EXAMPLE IX
A polyetherimide - polyester carbonate blend according to the invention was prepared, the blend molded into test specimens, and the specimens tested for physical properties and for flame resistance.
The polyetherimide for the blend was prepared from the reaction product of essentially equimolar amounts of 2,2-bis [4-(3,4-dicarboxyphenoxy)phenyl] propane dianhydride and m-phenylene diamine. A test specimen injection molded from the polyetherimide had the physical properties and the flame characteristics as set forth in Tables III and IV.
The polyester carbonate was derived from bisphenol A, isophthalic acid and a carbonate precursor with a
50:50 mole ratio isophthalic acid to carbonate precursor. The polyester carbonate alone had the physical properties and the flame characteristics as are set forth in Tables III and IV. The two polymers were mixed in a weight ratio of about 25 parts polyetherimide and 75 parts polyester carbonate and extruded in a Werner & Pfleiderer extruder having a temperature of about 680 °F. The resulting extrudate was comminuted into pellets and the pellets injection molded into test specimens at a temperature of about 680 °F. Impact strength of a specimen was measured according to the notched Izod test, ASTM D-256, and the results are set forth in Table III. The heat distortion temperature, flexural strength and flexural modulus of the blend were also measured and are given in Table III. In addition, the flame resistance characteristics of the blend are set forth in Table IV as determined by the test set forth in Bulletin No. 94 of the Underwriters Laboratory (UL-94).
EXAMPLE X
The procedure of Example IX was repeated with the exception that about 50 parts of polyetherimide and about 50 parts of polyester carbonate were formulated to produce the blend according to the invention. The results of the notched Izod impact test as well as the heat distortion temperature, flexural strength, and flexural modulus for the blend are detailed in Table III. The flame resistance characteristics of the blend are set forth in Table IV. EXAMPLE XI
The procedure of Example IX was repeated with the exception that about 75 parts of polyetherimide and about 25 parts of polyester carbonate were formulated to produce the blend according to the invention. The results of the notched Izod impact test as well as the heat distortion temperature, flexural strength, and flexural modulus for the blend are detailed in Table III. The flame resistance characteristics of the blend are set forth in Table IV.
Figure imgf000024_0001
Figure imgf000025_0001
It is contemplated that the substitution of other polyetherimide or polycarbonates for the components of the blends of the above examples may result in the formulation of polymer blends having one or more improved characteristics such as impact strength, flame resistance, tensile properties, flexural properties and high heat distortion temperature over one or more of the polymer components taken alone.
While the present invention has been described with reference to particular embodiments thereof, it will be understood that numerous modifications may be made by those skilled in the art without actually departing from the spirit and scope of the invention as defined in the appended claims.

Claims

WE CLAIM:
1. A composition comprising a blend of (a) a polycarbonate and (b) a polyetherimide.
2. A composition in accordance with claim 2, wherein the polyetherimide has the formula:
Figure imgf000027_0001
where a represents a whole number in excess of 1, the group -0-A is selected from:
Figure imgf000027_0002
R' being hydrogen, lower alkly or lower alkoxy, and Z is a member of the class consisting of (1)
Figure imgf000027_0003
and (2) divalent organic radicals of the general formula:
Figure imgf000028_0002
where X is a member selected from the class consisting of divalent radicals of the formulas .
Figure imgf000028_0003
where q is 0 or 1, y is a whole number from 1 to 5, and R is a divalent organic radical selected from the class consisting of (1) aromatic hydrocarbon radicals having from 6-20 carbon atoms and halogenated derivatives thereof, (2) alkylene radicals and cycloalkylene radicals having from 2-20 carbon atoms, C(2-8) alkylene terminated polydiorganosiloxane, and (3) divalent radicals included by the formula
Figure imgf000028_0001
where Q is a member selected from the class consisting of
Figure imgf000028_0004
where x is a whole number from 1 to 5 inclusive.
3. A composition in accordance with claim 2 wherein the polyetherimide is of the formula:
Figure imgf000029_0001
and the divalent bonds of the -0-Z-0- radical are in the
3,3'; 3,4'; 4,3' or the 4,4' position.
4. A composition in accordance with claims 3, wherein Z is;
Figure imgf000029_0002
and R is selected from:
Figure imgf000029_0003
5. A composition in accordance with claims 4, wherein the polyetherimide is of the formula;
Figure imgf000030_0001
6. A composition in accordance with claims 1,2,3,4, or 5 wherein polycarbonate is derived from a dihydric phenol and a carbonate precursor.
7. A composition in accordance with claim 6 wherein the dihydric phenol is bisphenol A and the carbonate precursor is carbonyl chloride.
8. A composition in accordance with claim 6 wherein the dihydric phenol is bisphenol A and the carbonate precursor is diphenyl carbonate.
9. A composition in accordance with claim 6 wherein the polycarbonate contains recurring structural units of the formula:
Figure imgf000030_0002
where Y is a divalent aromatic radical of the dihydric phenol employed in the polycarbonate producing reaction.
10. A composition in accordance with claim 6 wherein the dihydric phenol is bisphenol A.
11. A composition in accordance with claim 6 wherein the polycarbonate is derived from a dihydric phenol, a dicarboxylic acid and a carbonate precursor.
12. A composition in accordance with claim 11 wherein the polycarbonate is derived from a dihydric phenol, isophthalic acid and a carbonate precursor.
PCT/US1983/0007901983-05-231983-05-23Polyetherimide-polycarbonate blendsWO1984004752A1 (en)

Priority Applications (2)

Application NumberPriority DateFiling DateTitle
JP58502172AJPS60501413A (en)1983-05-231983-05-23 Polyetherimide-polycarbonate blend
PCT/US1983/000790WO1984004752A1 (en)1983-05-231983-05-23Polyetherimide-polycarbonate blends

Applications Claiming Priority (1)

Application NumberPriority DateFiling DateTitle
PCT/US1983/000790WO1984004752A1 (en)1983-05-231983-05-23Polyetherimide-polycarbonate blends

Publications (1)

Publication NumberPublication Date
WO1984004752A1true WO1984004752A1 (en)1984-12-06

Family

ID=22175171

Family Applications (1)

Application NumberTitlePriority DateFiling Date
PCT/US1983/000790WO1984004752A1 (en)1983-05-231983-05-23Polyetherimide-polycarbonate blends

Country Status (2)

CountryLink
JP (1)JPS60501413A (en)
WO (1)WO1984004752A1 (en)

Cited By (15)

* Cited by examiner, † Cited by third party
Publication numberPriority datePublication dateAssigneeTitle
EP0186927A3 (en)*1984-12-311987-05-13General Electric CompanyPolymer blends containing a polyetherimide and a polyphthalate carbonate
EP0187416A3 (en)*1984-12-311987-05-27General Electric CompanyPolyterephthalatecarbonate-polyetherimide-polyester blends
EP0224696A3 (en)*1985-10-281988-03-23General Electric CompanyFlame retardant polyetherimide-polycarbonate blends
US4782114A (en)*1986-10-031988-11-01Dexter CorporationCompatibilizing agent for polycarbonate and polyamide polymer blends
EP0256761A3 (en)*1986-08-071989-05-31Amoco CorporationMiscible blends of an amide and/or imide containing polymer and a polyarylate
WO1989005332A1 (en)*1986-11-031989-06-15General Electric CompanyFlame resistant polyetherimide resin blends
US5019625A (en)*1987-09-101991-05-28Dexter CorporationCompatibilizing agent for polycarbonate and polyamide polymer blends
US5051483A (en)*1988-11-141991-09-24General Electric CompanyFlame resistant polyetherimide resin blends
US5187228A (en)*1986-10-031993-02-16Dexter CorporationStabilizer for compatibilized polycarbonate and polyamide polymer blends
EP0704487A1 (en)*1994-09-301996-04-03General Electric CompanyPolyester-carbonate compositions
EP0711810A1 (en)*1994-11-141996-05-15General Electric CompanyAutoclave resistant blends of poly(ester-carbonate) and polyetherimide resins
US6296935B1 (en)1996-08-222001-10-02The Furukawa Electric Co., Ltd.Multilayer insulated wire and transformer using the same
EP0949634A4 (en)*1997-10-142006-03-29Furukawa Electric Co LtdMultilayer insulated wire and transformers made by using the same
WO2006065560A1 (en)*2004-12-132006-06-22General Electric CompanyThermoplastic composition, articles thereof, and method of making the articles
US7649040B2 (en)2002-04-112010-01-19Sabic Innovative Plastics Ip B.V.Flame retardant fiber reinforced composition with improved flow

Families Citing this family (3)

* Cited by examiner, † Cited by third party
Publication numberPriority datePublication dateAssigneeTitle
US4816527A (en)*1987-08-201989-03-28General Electric CompanyPolycarbonate-siloxane polyetherimide copolymer blends
JP2766843B2 (en)*1991-04-181998-06-18三井化学株式会社 Polycarbonate resin composition
US5387639A (en)*1992-10-231995-02-07General Electric CompanyDuctile blends of polyester-carbonate or polyarylates and polyetherimide resins

Citations (3)

* Cited by examiner, † Cited by third party
Publication numberPriority datePublication dateAssigneeTitle
US3946090A (en)*1973-04-261976-03-23Bayer AktiengesellschaftFlame-resistant polycarbonate molding compositions
US4225687A (en)*1979-07-231980-09-30General Electric CompanyNovel halobisphenolethylene polycarbonate-polyetheramide-imide blends
US4250279A (en)*1979-12-261981-02-10Union Carbide CorporationPolyarylate blends with polyetherimides

Patent Citations (3)

* Cited by examiner, † Cited by third party
Publication numberPriority datePublication dateAssigneeTitle
US3946090A (en)*1973-04-261976-03-23Bayer AktiengesellschaftFlame-resistant polycarbonate molding compositions
US4225687A (en)*1979-07-231980-09-30General Electric CompanyNovel halobisphenolethylene polycarbonate-polyetheramide-imide blends
US4250279A (en)*1979-12-261981-02-10Union Carbide CorporationPolyarylate blends with polyetherimides

Cited By (17)

* Cited by examiner, † Cited by third party
Publication numberPriority datePublication dateAssigneeTitle
EP0187416A3 (en)*1984-12-311987-05-27General Electric CompanyPolyterephthalatecarbonate-polyetherimide-polyester blends
EP0186927A3 (en)*1984-12-311987-05-13General Electric CompanyPolymer blends containing a polyetherimide and a polyphthalate carbonate
EP0224696A3 (en)*1985-10-281988-03-23General Electric CompanyFlame retardant polyetherimide-polycarbonate blends
EP0256761A3 (en)*1986-08-071989-05-31Amoco CorporationMiscible blends of an amide and/or imide containing polymer and a polyarylate
US5187228A (en)*1986-10-031993-02-16Dexter CorporationStabilizer for compatibilized polycarbonate and polyamide polymer blends
US4782114A (en)*1986-10-031988-11-01Dexter CorporationCompatibilizing agent for polycarbonate and polyamide polymer blends
EP0324790A4 (en)*1986-10-031990-09-26The Dexter CorporationCompatibilizing agent for polycarbonate and polyamide polymer blends
WO1989005332A1 (en)*1986-11-031989-06-15General Electric CompanyFlame resistant polyetherimide resin blends
US5019625A (en)*1987-09-101991-05-28Dexter CorporationCompatibilizing agent for polycarbonate and polyamide polymer blends
US5051483A (en)*1988-11-141991-09-24General Electric CompanyFlame resistant polyetherimide resin blends
EP0704487A1 (en)*1994-09-301996-04-03General Electric CompanyPolyester-carbonate compositions
EP0711810A1 (en)*1994-11-141996-05-15General Electric CompanyAutoclave resistant blends of poly(ester-carbonate) and polyetherimide resins
US6296935B1 (en)1996-08-222001-10-02The Furukawa Electric Co., Ltd.Multilayer insulated wire and transformer using the same
EP0949634A4 (en)*1997-10-142006-03-29Furukawa Electric Co LtdMultilayer insulated wire and transformers made by using the same
US7649040B2 (en)2002-04-112010-01-19Sabic Innovative Plastics Ip B.V.Flame retardant fiber reinforced composition with improved flow
WO2006065560A1 (en)*2004-12-132006-06-22General Electric CompanyThermoplastic composition, articles thereof, and method of making the articles
US7279594B2 (en)2004-12-132007-10-09General Electric CompanyThermoplastic composition, articles thereof, and method of making the articles

Also Published As

Publication numberPublication date
JPS60501413A (en)1985-08-29
JPH0374268B2 (en)1991-11-26

Similar Documents

PublicationPublication DateTitle
US4548997A (en)Polyetherimide-polycarbonate blends
US4673708A (en)Impact modified polyetherimide-polycarbonate blends
US4908418A (en)Ternary polymer blends
US4387193A (en)Blends of polyetherimides and organopolysiloxane-polycarbonate block copolymers
US5387639A (en)Ductile blends of polyester-carbonate or polyarylates and polyetherimide resins
US4687819A (en)Polyterephthalatecarbonate-polyetherimide-polyester blends
US4629759A (en)Flame retardant polyetherimide-polycarbonate blends
US4816527A (en)Polycarbonate-siloxane polyetherimide copolymer blends
US4908419A (en)Polyetherimide-polyarylate, blends
US4141927A (en)Novel polyetherimide-polyester blends
US4923933A (en)Polycarbonate/polyphthalate carbonate blends exhibiting good flame resistance
WO1984004752A1 (en)Polyetherimide-polycarbonate blends
US4871817A (en)Polyetherimide-liquid crystal polymer blends
EP0618945B1 (en)Fire retarding thermoformable blends of copolymer resins
US4395518A (en)Polyetherimide-acrylate copolymer blends
EP0117327A1 (en)Ternary polymer blends
EP0186927A2 (en)Polymer blends containing a polyetherimide and a polyphthalate carbonate
EP0158733A1 (en)Polyestercarbonate/polyetherimide blends
EP0131643B1 (en)Polyetherimide-polycarbonate blends
US4814396A (en)Blends of polycarbonate resins and polyetherimide ester resins
EP0704487A1 (en)Polyester-carbonate compositions
EP0117326A1 (en)Polyetherimide-polyarylate blends
CA1230696A (en)Polyetherimide-polycarbonate blends
EP0158732A1 (en)Polyetherimide-polyethersulfoneimide copolymers
CA1312982C (en)Ternary polymer blends containing a polyetherimide, a polyphthalate carbonate, and rubber modified vinyl aromatic polymer

Legal Events

DateCodeTitleDescription
AKDesignated states

Designated state(s):JP


[8]ページ先頭

©2009-2025 Movatter.jp