Movatterモバイル変換


[0]ホーム

URL:


US8048975B2 - Amino acid mimetic copolymers and medical devices coated with the copolymers - Google Patents

Amino acid mimetic copolymers and medical devices coated with the copolymers
Download PDF

Info

Publication number
US8048975B2
US8048975B2US13/045,465US201113045465AUS8048975B2US 8048975 B2US8048975 B2US 8048975B2US 201113045465 AUS201113045465 AUS 201113045465AUS 8048975 B2US8048975 B2US 8048975B2
Authority
US
United States
Prior art keywords
range
polymer
medical device
amino acid
copolymers
Prior art date
Legal status (The legal status is an assumption and is not a legal conclusion. Google has not performed a legal analysis and makes no representation as to the accuracy of the status listed.)
Expired - Fee Related
Application number
US13/045,465
Other versions
US20110160391A1 (en
Inventor
Stephen Pacetti
Current Assignee (The listed assignees may be inaccurate. Google has not performed a legal analysis and makes no representation or warranty as to the accuracy of the list.)
Abbott Laboratories
Original Assignee
Abbott Laboratories
Priority date (The priority date is an assumption and is not a legal conclusion. Google has not performed a legal analysis and makes no representation as to the accuracy of the date listed.)
Filing date
Publication date
Application filed by Abbott LaboratoriesfiledCriticalAbbott Laboratories
Priority to US13/045,465priorityCriticalpatent/US8048975B2/en
Publication of US20110160391A1publicationCriticalpatent/US20110160391A1/en
Application grantedgrantedCritical
Publication of US8048975B2publicationCriticalpatent/US8048975B2/en
Expired - Fee Relatedlegal-statusCriticalCurrent
Anticipated expirationlegal-statusCritical

Links

Images

Classifications

Definitions

Landscapes

Abstract

Biocompatible polymers are manufactured to include an amino acid mimetic monomer and one or more hydrophobic acrylate monomers. The amino acid mimetic monomers are selected to mimic the side chain of the amino acids asparagine or glutamine. The amino acid mimetic monomer can be a methacryloyl or acryloyl derivative of 2-hydroxyacetamide, 3-hydroxypropionamide, alaninamide, lactamide, or glycinamide. These amide functional groups offer the advantage of moderate hydrophilicity with little chemical reactivity. The amino acid mimetic monomer can be copolymerized with one or more hydrophobic acrylate monomers to obtain desired coating properties.

Description

CROSS-REFERENCE TO RELATED APPLICATIONS
This application is a divisional application of U.S. application Ser. No. 11/942,705 filed on Nov. 19, 2007, the teaching of which is incorporated by reference in its entirety. U.S. application Ser. No. 11/942,705 claims the benefit of U.S. Provisional Patent Applications Nos. 60/866,800, 60/866,802, 60/866,804, 60/866,805 60/866,798, 60/866,797, 60/866,796, 60/866,792, all of which were filed on Nov. 21, 2006, and all of which are hereby incorporated by reference in their entirety. This application is related to co-pending U.S. patent application Ser. No. 11,942,695, entitled “Copolymers Having Zwitterionic Moieties and Dihydroxyphenyl Moieties and Medical Devices Coated with the Copolymers”, co-pending U.S. patent application Ser. No. 11/942,704, entitled “Methods of Manufacturing Copolymers with Zwitterionic Moieties and Dihydroxyphenyl Moieties and Use of Same”, co-pending U.S. patent application Ser. No. 11/942,693, entitled “Zwitterionic Copolymers, Method of Making and Use on Medical Devices”, co-pending U.S. patent application Ser. No. 11/942,696, entitled “Methods for Manufacturing Amino Acid Mimetic Copolymers and Use of Same”, co-pending U.S. patent application Ser. No. 11/942,700, entitled “Copolymers Having 1-Methyl-2-Methoxyethyl Moieties”, and co-pending U.S. patent application Ser. No. 11/942,707, entitled “Methods for Manufacturing Copolymers having 1-Methyl-2-Methoxyethyl Moieties and Use of Same”, all of which were filed on Nov. 19, 2007, and all of which are hereby incorporated by reference in their entirety. Co-pending U.S. patent application Ser. No. 11/939,512, filed Nov. 13, 2007, and co-pending application Ser. No. 11/562,338, filed Nov. 21, 2006 are hereby incorporated by reference in their entirety.
BACKGROUND OF THE INVENTION
1. The Field of the Invention
Embodiments of the invention relate to polymeric coatings for coating implantable medical devices. More particularly, embodiments of the invention relate to acrylate copolymers that include monomers that mimic asparagine and glutamine.
2. The Related Technology
Implantable medical devices, including stents, can be coated with polymers to give the implantable device beneficial properties when used in living tissue. Implant coatings, particularly stent coatings, typically need to simultaneously fulfill many criteria. Examples of desirable properties for implant coating properties include: adhesion to the implant (e.g., adhesion to stent struts) to prevent delamination; adequate elongation to accommodate implant deformation without buckling or cracking; sufficient hardness to withstand crimping operations without excessive damage; sterilizability; ability to control the release rate of a drug; biocompatibility including hemocompatibility and chronic vascular tissue compatibility; in the case of durable or permanent coatings, the polymer needs to be sufficiently biostable to avoid biocompatibility concerns; processability (e.g. production of stent coatings that are microns thick); reproducible and feasible polymer synthesis; and an adequately defined regulatory path.
Many methacrylate polymers exhibit several of the forgoing properties. However, some desired properties or combinations of desired properties have been difficult to achieve in methacrylate polymers. For example, homopolymers of hydrophobic methacrylates, including poly(n-butyl methacrylate) (PMBA), can have a low permeability for drugs of interest, leading to a slower drug release rate than desired.
Recently, efforts have been made to copolymerize traditional methacrylate monomers with other monomers to achieve a copolymer that has the benefits of known methacrylate homopolymers and overcomes their deficiencies. One challenge to developing novel methacrylate copolymers has been achieving the desired mechanical properties, and controlling the drug release, while maintaining biocompatibility. Good biocompatibility is essential for patient safety, necessary for device efficacy, and important for receiving regulatory approval to use the polymer on an implantable medical device.
SUMMARY OF THE INVENTION
Embodiments of the invention relate to biocompatible polymers that include an amino acid mimetic monomer and one or more hydrophobic acrylate monomers. The amino acid mimetic monomers are selected to mimic the side chain of the amino acids asparagine or glutamine. Creating synthetic polymers that imitate nature is a form of biomimicry. Mimicking naturally occurring biomolecules is advantageous because it increases the likelihood that the synthetic molecule will be biocompatible. In one embodiment, the amino acid mimetic monomer is a methacryloyl or acryloyl derivative of 2-hydroxyacetamide, 3-hydroxypropionamide, alaninamide, lactamide, or glycinamide. These amide functional groups offer the advantage of moderate hydrophilicity with little chemical reactivity.
The amino acid mimetic monomer is copolymerized with one or more hydrophobic acrylate monomers to obtain the desired coating properties. The hydrophobic monomer provides mechanical strength and moderates water swelling. The amino acid mimetic monomer provides a desired level of hydrophilicity without compromising biocompatibility. The copolymers of the invention can be thermoplastic and mechanically robust, without cross-linking.
These and other advantages and features of the invention will become more fully apparent from the following description and appended claims, or may be learned by the practice of the invention as set forth hereinafter.
BRIEF DESCRIPTION OF THE DRAWINGS
To further clarify the above and other advantages and features of the invention, a more particular description of the invention will be rendered by reference to specific embodiments thereof which are illustrated in the appended drawings. It is appreciated that these drawings depict only typical embodiments of the invention and are therefore not to be considered limiting of its scope. The invention will be described and explained with additional specificity and detail through the use of the accompanying drawings, in which:
FIG. 1A illustrates an example of a stent coated with a copolymer according to one embodiment of the invention; and
FIG. 1B is a cross-section of a strut of the stent ofFIG. 1A.
DETAILED DESCRIPTION OF EMBODIMENTS OF THE INVENTIONI. Copolymers
The copolymers of the invention include a hydrophobic monomer and a polar monomer that mimics an amino acid. The combination of the hydrophobic monomer and the amino acid mimetic monomer advantageously provides desired mechanical strength, biocompatibility, and drug permeability in the copolymers of the invention.
For purposes of this invention, the term “acrylate monomer” includes, but is not limited to, methacrylates and acrylates.
The hydrophobic monomer can be a methacrylate or other acrylate monomer that includes hydrophobic groups attached through an ester linkage. The hydrophobic monomer is typically selected to give the copolymer suitable mechanical strength without crosslinking.
Useful hydrophobic monomers are well known. Examples of suitable hydrophobic monomers include, but are not limited to, methyl methacrylate, ethyl methacrylate, n-propyl methacrylate, isopropyl methacrylate, isobutyl methacrylate, sec-butyl methacrylate, 2-ethyl-hexyl methacrylate, n-hexyl methacrylate, cyclohexyl methacrylate, n-hexyl methacrylate, isobornyl methacrylate, trimethylcyclohexyl methacrylate, methyl acrylate, ethyl arylate, n-propyl acrylate, isopropyl acrylate, n-butyl acrylate, isobutyl acrylate, sec-butyl acrylate, pentyl acrylate, n-hexyl acrylate, cyclohexyl acrylate combinations of these, and the like.
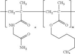
The amino acid mimetic monomer is selected so that the resulting polymer possesses protein-like (i.e., polypeptide) properties. Proteins are biological polymers composed of amino acid monomers. The protein molecule derives many of its properties from the side chain or “R group” of the amino acid monomer. The amino acids asparagine and glutamine have polar R groups that are biocompatible, moderately polar, chemically stable, and do not interfere with methacrylate polymer synthesis. The chemical structure of the amino acids asparagine and glutamine are shown below.
Figure US08048975-20111101-C00001
The R group of asparagine is an acetamide group and the R group of glutamine is propionamide. In one embodiment, the amino acid mimetic monomer is an acryloyl or methacryloyl derivative of 2-hydroxyacetamide, 3-hydroxypropionamide. The chemical structures of methacrylate monomers with asparagine and glutamine R groups are shown below.
Figure US08048975-20111101-C00002
The invention can also include acrylate monomers with other acetamide-type R groups that mimic the R group of asparagine or glutamine. Other examples of suitable acetamide-type R groups include alaninamide, lactamide, and glycinamide Examples of monomers with these specific R groups are shown below.
Figure US08048975-20111101-C00003
These methacrylate monomers can be synthesized by conjugating a methacryloyl group with alaninamide, lactamide, and glycinamide, respectively. In an alternative embodiment, the acrylate is synthesized by conjugating an acryloyl group with an alaninamide, lactamide, or glycinamide.
The amino acid mimetic monomers of the invention are polar and biocompatible. Thus, they can advantageously be copolymerized with hydrophobic acrylate monomers. An example of an amino acid mimetic copolymer according to one embodiment of the invention is shown in the following chemical formula.
Figure US08048975-20111101-C00004
In the forgoing formula, R1and R2may be hydrogen or methyl, the amino acid mimetic group can be the conjugation product of 2-hydroxyacetamide, 3-hydroxypropionamide, alaninamide, lactamide, or glycinamide; the hydrophobic group is a straight chain, branched, unsaturated, or cyclic hydrocarbon of one to sixteen carbon atoms; m is in a range from 0.1 to 0.99; and n is in a range from 0.01 to 0.9. Unless otherwise stated, the monomers shown in the chemical formula above and other chemical formulas herein can be in any order within the copolymer molecule and the monomer linkages shown in the chemical formulas only represent that the monomers are part of the same copolymer molecule. Furthermore, unless otherwise stated, the polymeric molecules can include monomers other than those shown in the chemical formulas.
The ratio of amino acid mimetic monomer to hydrophobic monomer is selected to yield a copolymer with sufficient mechanical strength for use as a coating on a medical device. In one embodiment, the concentration of amino acid mimetic monomer is in a range from about 0.5% to about 90% and the concentration of hydrophobic monomer is in a range from about 10% to about 99.5%. The copolymer can be tuned by adjusting the specific monomer ratio to achieve a desired mechanical strength, elongation, and drug permeability.
In one embodiment, the concentration of hydrophobic monomer is selected to yield a thermoplastic copolymer that is substantially free of cross-linking. While cross-linking can prevent excessive water swelling, cross-linking can be disadvantageous because it limits elongation, which leads to cracking of the polymer coating. Another benefit of a thermoplastic system is that it is simple to process compared to thermoset polymers, which reduces manufacturing costs and can improve product quality.
When incorporated into the copolymers of the invention, the amino acid mimetic monomers, and any hydrolysis products that may form in vivo, will be biocompatible since the monomers mimic compounds already present in humans and other animals Thus, the copolymers of the invention are likely to be extremely benign. In addition, the amino acid mimetic monomers make the copolymers of the invention moderately hydrophilic and allow the Tgof the hydrated copolymer to be tuned to a desired temperature. These features are particularly advantageous for drug elution.
II. Methods of Manufacturing
The method of manufacturing the copolymers of the invention generally includes selecting or forming an amino acid mimetic monomer and reacting the amino acid mimetic monomer with a hydrophobic monomer to form a copolymer that is suitable for coating implantable medical devices. By varying the ratio of the hydrophobic monomer to the polar monomer, the properties of the copolymer may be tuned. In one embodiment, the reaction mixture includes 0.5% to 90% of amino acid mimetic monomer and 10% to 99.5% of a hydrophobic monomer, based on the total moles of monomer in the reaction mixture. The type and ratio of monomers is selected to yield a copolymer that is biocompatible and mechanically robust.
The copolymers can be synthesized using free radical polymerization, atom transfer radical polymerization, cationic polymerization, anionic polymerization, iniferter polymerization, or other suitable reactions techniques. Free radical polymerization can be carried out in a solvent using an initiator. Examples of solvents suitable for carrying out the polymerization reaction include alcoholic solvents such as, but not limited to, methanol, ethanol, and isopropyl alcohol. Examples of suitable initiators for carrying out the polymerization reaction include peroxides such as, but not limited to, benzoyl peroxide, and azo compounds. A specific example of a suitable initiator is 2,2′-azo-bis(2-methylproprionitrile). Those skilled in the art are familiar with the conditions for carrying out the foregoing polymerization reactions and other similar polymerization reactions suitable for yielding the copolymers of the invention.
An alternate path to synthesizing the polymer includes copolymerizing methacrylic acid, or acrylic acid, and the hydrophobic monomer to yield a copolymer with the following structure.
Figure US08048975-20111101-C00005
The polymerization reaction to produce this molecule can be carried out using the same polymerization techniques described previously. Next, 2-hydroxyacetamide, 3-hydroxypropionamide, alaninamide, lactamide, or glycinamide, or other suitable acetamide group is coupled to the carboxy groups of the methacrylic or acrylic acid. Several coupling chemistries can be used to perform the coupling reaction, including, but not limited to, conversion to an acid chloride or use of carbodiimides. For the coupling of amino acid mimetic groups with amine functional groups, an example method is to form the n-hydroxysuccinimidyl ester of the polymer by coupling N-hydroxysuccinamide with dicyclohexyl carbodiimide (DCC). The amino-functional amino acid mimetic group such as, but not limited to glycinamide, can then be coupled to the activated carboxyl group. An example of a technique that can be used to couple the hydroxyl functional moieties is DCC and 4-(dimethylamino)pyridinium (DPTS) as described in M. Trollsas, J. Hedrick, Macromolecules 1998, 31, 4390-4395.
In yet another alternative embodiment, the amino acid mimetic monomer can be synthesized by first forming a homopolymer of a hydrophobic monomer. The homopolymer can then be subjected to acid catalysis with an acetamide acid such as, but not limited to 2-hydroxyacetamide. This reaction exchanges some of the hydrophobic groups as ethanol and replaces them with the acetamide group by transesterification. Byproducts, including ethanol, can be removed by distillation, for example.
In one embodiment, the copolymer compositions are manufactured to have a desired Tg, when hydrated. The Tgof the copolymer can be calculated by knowing the amount of water absorbed and the Tgderived from measurements of the homopolymer of the respective monomers. In an embodiment, the Tgis calculated using the Fox equation, which is shown below.
1TgPolymer=WPCTgPC+WWaterTgWater+WMethacrylateTgMethacrylate
Once the water absorption of the polymer is known, which is usually measured experimentally, the copolymer Tgcan be estimated with the desired target. In one embodiment the desired target Tgis in a range from about −30° C. to about 37° C. when in the fully hydrated state. In another range, the Tgis between about 0° C. and about 37° C. when hydrated. With a Tgof less than 37° C., the copolymers of the invention will have a high degree of polymer mobility when placed in vivo. This feature allows the surface of the polymer to enrich in hydrophilic monomer content, which is advantageous for biocompatibility.
In an alternative embodiment, the co-polymer is designed to have a desired Tgfor the polymer in the dry state. In an embodiment, the Tgof the polymer when dry is in a range from about −30° C. to about 100° C. or alternatively in a range from 0° C. to about 70° C.
The polymerization reaction can be controlled to produce the copolymers with a desired molecular weight. In one embodiment, the number average molecular weight of the copolymer is in the range from about 20K to about 800K, and in another range from about 100K to about 600K.
In an alternative embodiment, the molecular weight of the polymer is selected to provide adhesion. In this embodiment, the number average molecular weight can be in a range from about 2K to about 200K. The adhesive polymer can be used on medical devices that benefit from an adhesive polymer coating.
In an embodiment, the copolymers are manufactured substantially free of cross-linking. Copolymers manufactured according to the invention can have sufficient mechanical strength when hydrated that cross-linking is not necessary for making a polymer coating suitable for coating an implantable device. The absence of cross-linking in the copolymers of the invention gives the copolymers improved elasticity, particularly when dry, which reduces the likelihood of cracking during assembly and use.
III. Use of Coatings on Implantable Devices
The foregoing copolymers are suitable for use on any medical device that is compatible with polymer coatings. The copolymers can be used alone as a coating or can be combined with other polymers or agents to form a polymer coating. For example, the polymers may be blended with poly(vinyl pyrrolidinone), poly(n-butyl methacrylate), poly(n-butyl methacrylate) copolymers, methacrylate polymers, acrylate polymers, and/or a terpolymers of hexyl methacrylate, vinyl acetate, and vinyl pyrrolidinone.
The polymer coatings can be applied to a medical device using any techniques known to those skilled in the art or those that may be developed for applying a coating to a medical device. Examples of suitable techniques for applying the coating to the medical device include spraying, dip coating, roll coating, spin coating, powder coating, inkjet printing, and direct application by brush or needle. One skilled in the art will appreciate the many different techniques in powder coating. The copolymers can be applied directly to the surface of the implant device, or they can be applied over a primer or other coating material.
In one embodiment, the polymer coating is applied to a medical device using a solvent-based technique. The polymer can be dissolved in the solvent to form a solution, which can be more easily applied to the medical device using one or more of the above mentioned techniques or another technique. Thereafter substantially all or a portion of the solvent can be removed to yield the polymer coating on a surface of the medical device.
Examples of suitable solvents that can be used with the copolymers of the invention include, but are not limited to, dimethylacetamide (DMAC), dimethylformamide (DMF), tetrahydrofuran (THF), dimethylsulfoxide (DMSO), cyclohexanone, xylene, toluene, acetone, n-butanol, i-propanol, methyl ethyl ketone, propylene glycol monomethyl ether, methyl t-butyl ketone, methyl isobutyl ketone, ethyl acetate, n-butyl acetate, ethanol, methanol, chloroform, trichloroethylene, 1,1,1-trichloreoethane, methylene chloride, and dioxane. Solvent mixtures can be used as well. Representative examples of the mixtures include, but are not limited to, DMAC and methanol (50:50 w/w); water, i-propanol, and DMAC (10:3:87 w/w); i-propanol and DMAC (80:20, 50:50, or 20:80 w/w); acetone and cyclohexanone (80:20, 50:50, or 20:80 w/w); acetone and xylene (50:50 w/w); and 1,1,2-trichloroethane and chloroform (80:20 w/w).
Examples of suitable implantable devices that can be coated with the copolymers of the invention include coronary stents, peripheral stents, catheters, arterio-venous grafts, by-pass grafts, pacemaker and defibrillator leads, anastomotic clips, arterial closure devices, patent foramen ovale closure devices, and drug delivery balloons The copolymers are particularly suitable for permanently implanted medical devices.
The implantable device can be made of any suitable biocompatible materials, including biostable and bioabsorbable materials. Suitable biocompatible metallic materials include, but are not limited to, stainless steel, tantalum, titanium alloys (including nitinol), and cobalt alloys (including cobalt-chromium-nickel and cobalt-chromium-tungsten alloys). Suitable nonmetallic biocompatible materials include, but are not limited to, polyamides, fluoropolymers, polyolefins (i.e. polypropylene, polyethylene etc.), nonabsorbable polyesters (i.e. polyethylene terephthalate), and bioabsorbable aliphatic polyesters (i.e. homopolymers and copolymers of lactic acid, glycolic acid, lactide, glycolide, para-dioxanone, trimethylene carbonate, c-caprolactone, and the like, and combinations of these).
The copolymers are particularly advantageous as a coating for stents due to their elongation properties, which allow the coated stent to be crimped and expanded without cracking the coating. The stents can be composed of wire structures, flat perforated structures that are subsequently rolled to form tubular structures, or cylindrical structures that are woven, wrapped, drilled, etched or cut.
FIG. 1A shows anexample stent10 coated with a copolymer including amino acid mimetic monomers.Stent10 includes a generallytubular body12 with a lumen. The struts of body12 (e.g. strut14) provide a supporting structure for coating the polymers of the invention.
FIG. 1B illustrates a cross-section of the stent ofFIG. 1A coated with apolymer coating16 according to an embodiment of the invention. Thepolymer coating16 can be conformal as inFIG. 1B. Alternatively, the coating can be ablumenal, luminal, or any combination thereof. In one embodiment, the copolymers of the invention can be elastic at body temperatures and can therefore expand without cracking as the stent expands during use.
The polymer coated stents of the invention can be self-expanding or balloon expandable. The copolymer coatings of the invention can be particularly advantageous for self-expanding stents. Self-expanding stents are typically restrained by a sheath that is removed during deployment of the stent. The copolymers of the invention have improved mechanical strength to better withstand the friction exerted on the polymer as the sheath is removed.
In one embodiment, a bioactive agent is associated with the coated medical devices. The bioactive agent can be associated with a base coat, top coat, mixed with the novel copolymers of the invention, and/or incorporated or otherwise applied to a supporting structure of the medical device.
The bioactive agent can have any therapeutic effect. Examples of suitable therapeutic properties include anti-proliferative, anti-inflammatory, antineoplastic, antiplatelet, anti-coagulant, anti-fibrin, antithrombonic, antimitotic, antibiotic, antiallergic and antioxidant properties.
Examples of suitable bioactive agents include synthetic inorganic and organic compounds, proteins and peptides, polysaccharides and other sugars, lipids, DNA and RNA nucleic acid sequences, antisense oligonucleotides, antibodies, receptor ligands, enzymes, adhesion peptides, blood clot agents, including streptokinase and tissue plasminogen activator, antigens, hormones, growth factors, ribozymes, retroviral vectors, anti-proliferative agents including rapamycin (sirolimus), 40-O-(2-hydroxyethyl)rapamycin (everolimus), 40-O-(3-hydroxypropyl)rapamycin, 40-O-(2-hydroxyethyoxy)ethylrapamycin, 40-O-tetrazolylrapamycin (zotarolimus, ABT-578), 40-epi-(N1-tetrazolyl)-rapamycin, 40-O-[2-(2-hydroxy)ethoxy]ethyl-rapamycin, Biolimus A9 (biosensors International, Singapore), deforolimus, AP23572 (Ariad Pharmaceuticals), paclitaxel, docetaxel, methotrexate, azathioprine, vincristine, vinblastine, fluorouracil, doxorubicin hydrochloride, mitomycin, antiplatelet compounds, anticoagulants, antifibrin, antithrombins including sodium heparin, low molecular weight heparins, heparinoids, hirudin, argatroban, forskolin, vapiprost, prostacyclin, prostacyclin analogues, dextran, D-phe-pro-arg-chloromethylketone (synthetic antithrombin), dipyridamole, glycoprotein IIb/IIIa platelet membrane receptor antagonist antibody, recombinant hirudin, thrombin inhibitors including Angiomax ä, calcium channel blockers including nifedipine, colchicine, fibroblast growth factor (FGF) antagonists, fish oil (omega 3-fatty acid), histamine antagonists, lovastatin, monoclonal antibodies, nitroprusside, phosphodiesterase inhibitors, prostaglandin inhibitors, suramin, serotonin blockers, steroids, thioprotease inhibitors, triazolopyrimidine, nitric oxide or nitric oxide donors, super oxide dismutases, super oxide dismutase mimetic, estradiol, anticancer agents, dietary supplements including vitamins, anti-inflammatory agents including aspirin, tacrolimus, dexamethasone, dexamethasone acetate, dexmethasone phosphate, momentasone, cortisone, cortisone acetate, hydrocortisone. prednisone, prednisone acetate, betamethasone, betamethasone acetate, clobetasol, cytostatic substances including angiopeptin, angiotensin converting enzyme inhibitors including captopril, cilazapril or lisinopril, antiallergic agents is permirolast potassium, alpha-interferon, bioactive RGD, and genetically engineered epithelial cells. Other bioactive agents which are currently available or that may be developed in the future for use with drug eluting stents may likewise be used and all are within the scope of this invention.
The medical devices of the invention can be used in any vascular, tubular, or non-vascular structure in the body. In an embodiment, a coated stent can be used in, but is not limited to use in, neurological, carotid, coronary, aorta, renal, biliary, ureter, iliac, femoral, and popliteal vessels.
IV. EXAMPLES
The following are specific examples of copolymers of amino acid mimetic monomers and hydrophobic monomers. The following copolymers are useful for coating implantable medical devices.
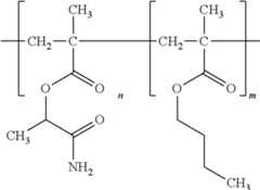
Example 1
Example 1 describes a copolymer of poly(acetamide methacrylate-co-n-butyl methacrylate). The polymer has the following formula.
Figure US08048975-20111101-C00006
In the foregoing formula, m is in a range from 0.1 to 0.99 and n is in a range from 0.01 to 0.9. The use of poly(n-butyl methacrylate) monomer is particularly advantageous since the homopolymer of PBMA is currently being used in implantable medical devices and is thus known to be biocompatible.
Example 2
Example 2 describes a copolymer of poly(3-methacryloyl propionamide-co-ethyl methacrylate). The chemical formula of poly(3-methacryloyl propionamide-co-ethyl methacrylate) is shown below.
Figure US08048975-20111101-C00007
In the foregoing formula, m is in a range from about 0.1 to about 0.98 and n is in a range from about 0.02 to about 0.9. The higher Tgof the alkyl methacrylate monomer will enable a harder, stronger coating at the expense of elasticity as compared to Example 1.
Example 3
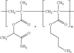
Example 3 describes a copolymer of poly(alaninamide methacrylate-co-n-propyl methacrylate). The copolymer of Example 3 has the following formula.
Figure US08048975-20111101-C00008
In the foregoing formula, m is in a range from about 0.1 to about 0.995 and n is in a range from about 0.005 to about 0.9.
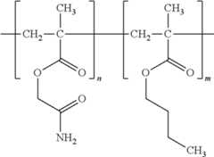
Example 4
Example 4 describes a copolymer of poly(lactamide methacrylate-co-n-butyl methacrylate). The copolymer of Example 4 has the following formula.
Figure US08048975-20111101-C00009
In the foregoing formula, m is in a range from about 0.1 to about 0.995 and n is in a range from about 0.005 to about 0.9. The use of poly(n-butyl methacrylate) monomer is particularly advantageous since the homopolymer of PBMA is currently being used in implantable medical devices and is thus known to be biocompatible.
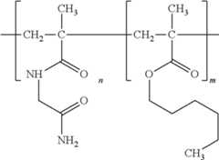
Example 5
Example 5 describes a copolymer of poly(glycinamide methacrylate-co-n-hexyl methacrylate). The copolymer of Example 5 has the following formula.
Figure US08048975-20111101-C00010
In the foregoing formula, m is in a range from about 0.1 to about 0.995 and n is in a range from about 0.005 to about 0.9.
Example 6
Example 6 describes a method for manufacturing a coated stent using one or more of the polymers of Examples 1-5. In a first step, a primer coating is applied to the stent. A primer solution including between about 0.1 mass % and about 15 mass %, (e.g., about 2.0 mass %) of poly(n-butyl methacrylate) (PBMA) and the balance, a solvent mixture of acetone and cyclohexanone (having about 70 mass % of acetone and about 30 mass % of cyclohexanone) is prepared. The solution is applied onto a stent to form a primer layer.
To apply the primer layer, a spray apparatus, (e.g., Sono-Tek MicroMist spray nozzle, manufactured by Sono-Tek Corporation of Milton, N.Y.) is used. The spray apparatus is an ultrasonic atomizer with a gas entrainment stream. A syringe pump is used to supply the coating solution to the nozzle. The composition is atomized by ultrasonic energy and applied to the stent surfaces. A useful nozzle to stent distance is about 20 mm to about 40 mm at an ultrasonic power of about one watt to about two watts. During the process of applying the composition, the stent is optionally rotated about its longitudinal axis, at a speed of 100 to about 600 rpm, for example, about 400 rpm. The stent is also linearly moved along the same axis during the application.
The primer solution is applied to a 15 mm Triplex, N stent (available from Abbott Vascular Corporation) in a series of 20-second passes, to deposit, for example, 20 ug of coating per spray pass. Between the spray passes, the stent is allowed to dry for about 10 seconds to about 30 seconds at ambient temperature. Four spray passes can be applied, followed by baking the printer layer at about 80° C. for about 1 hour. As a result, a primer layer can be formed having a solids content of about 80 μg. For purposes of this invention, “Solids” means the amount of the dry residue deposited on the stent after all volatile organic compounds (e.g., the solvent) have been removed.
In a separate step, a copolymer solution is prepared. The copolymer solution includes one or more of the copolymer of Examples 1, 2, 3, 4, or 5. The solution is prepared by dissolving between about 0.1 mass % and about 15 mass %, (e.g., about 2.0 mass %) of the copolymer in a solvent. The solvent can be a mixture of about 50 mass % ethanol and about 50 mass % n-butanol.
In a manner similar to the application of the primer layer, the copolymer solution is applied to a stent. Twenty one spray passes are performed with a coating application of 10 μg per pass, with a drying time between passes of 10 seconds, followed by baking the copolymer layer at about 60° C. for about 1 hour, to form a layer having a solids content between about 30 μg and 750 μg, (e.g., about 210 μg).
Example 7
Example 7 describes a method for manufacturing a drug eluting stent according to an embodiment of the invention. The medical device is manufactured using the same method as in Example 6, except that instead of the copolymer solution, a polymer-therapeutic solution is prepared and applied using the following formula.
A drug-including formulation is prepared that includes:
    • (a) between about 0.1 mass % and about 15 mass %, (e.g., about 2.0 mass %) of the copolymer of one or more of Example 1-5;
    • (b) between about 0.1 mass % and about 2 mass %, for example, about 1.0 mass % of a therapeutic agent. In one embodiment, the therapeutic agent is ABT-578 (available from Abbott Vascular Corp. of Chicago, Ill.); and
    • (c) the balance, a solvent mixture including about 50 mass % of ethanol and about 50 mass % of n-butanol.
The drug-including formulation is applied to the stent in a manner similar to the application of the copolymer solution in Example 6. The process results in the formation of a drug-polymer reservoir layer having a solids content between about 30 μg and 750 μg, (e.g., about 210 μg) and a drug content of between about 10 μg and about 250 μg, (e.g., about 70 μg).
The invention may be embodied in other specific forms without departing from its spirit or essential characteristics. The described embodiments are to be considered in all respects only as illustrative and not restrictive. The scope of the invention is, therefore, indicated by the appended claims rather than by the foregoing description. All changes which come within the meaning and range of equivalency of the claims are to be embraced within their scope.
Recitation of ranges of values herein are merely intended to serve as a shorthand method of referring individually to each separate value falling within the range, unless otherwise indicated herein, and each separate value is incorporated into the specification as if it were individually recited herein.

Claims (15)

US13/045,4652006-11-212011-03-10Amino acid mimetic copolymers and medical devices coated with the copolymersExpired - Fee RelatedUS8048975B2 (en)

Priority Applications (1)

Application NumberPriority DateFiling DateTitle
US13/045,465US8048975B2 (en)2006-11-212011-03-10Amino acid mimetic copolymers and medical devices coated with the copolymers

Applications Claiming Priority (10)

Application NumberPriority DateFiling DateTitle
US86679806P2006-11-212006-11-21
US86680206P2006-11-212006-11-21
US86679606P2006-11-212006-11-21
US86679206P2006-11-212006-11-21
US86680006P2006-11-212006-11-21
US86680406P2006-11-212006-11-21
US86679706P2006-11-212006-11-21
US86680506P2006-11-212006-11-21
US11/942,705US7928177B2 (en)2006-11-212007-11-19Amino acid mimetic copolymers and medical devices coated with the copolymers
US13/045,465US8048975B2 (en)2006-11-212011-03-10Amino acid mimetic copolymers and medical devices coated with the copolymers

Related Parent Applications (1)

Application NumberTitlePriority DateFiling Date
US11/942,705DivisionUS7928177B2 (en)2006-11-212007-11-19Amino acid mimetic copolymers and medical devices coated with the copolymers

Publications (2)

Publication NumberPublication Date
US20110160391A1 US20110160391A1 (en)2011-06-30
US8048975B2true US8048975B2 (en)2011-11-01

Family

ID=39430498

Family Applications (15)

Application NumberTitlePriority DateFiling Date
US11/942,705Expired - Fee RelatedUS7928177B2 (en)2006-11-212007-11-19Amino acid mimetic copolymers and medical devices coated with the copolymers
US11/942,695Expired - Fee RelatedUS7928176B2 (en)2006-11-212007-11-19Copolymers having zwitterionic moieties and dihydroxyphenyl moieties and medical devices coated with the copolymers
US11/942,707Expired - Fee RelatedUS8063151B2 (en)2006-11-212007-11-19Methods for manufacturing copolymers having 1-methyl-2-methoxyethyl moieties and use of same
US11/942,704Expired - Fee RelatedUS8101156B2 (en)2006-11-212007-11-19Methods of manufacturing copolymers with zwitterionic moieties and dihydroxyphenyl moieties and use of same
US11/942,693Expired - Fee RelatedUS7781551B2 (en)2006-11-212007-11-19Zwitterionic copolymers, method of making and use on medical devices
US11/942,700Expired - Fee RelatedUS7910678B2 (en)2006-11-212007-11-19Copolymers having 1-methyl-2-methoxyethyl moieties
US11/942,696Expired - Fee RelatedUS7622537B2 (en)2006-11-212007-11-19Methods for manufacturing amino acid mimetic copolymers and use of same
US12/575,720Expired - Fee RelatedUS8658749B2 (en)2006-11-212009-10-08Methods for manufacturing amino acid mimetic copolymers and use of same
US12/575,744Expired - Fee RelatedUS8197880B2 (en)2006-11-212009-10-08Methods for manufacturing amino acid mimetic copolymers and use of same
US13/045,452Expired - Fee RelatedUS8202956B2 (en)2006-11-212011-03-10Copolymers having zwitterionic moieties and dihydroxyphenyl moieties and medical devices coated with the copolymers
US13/045,467Expired - Fee RelatedUS8569435B2 (en)2006-11-212011-03-10Amino acid mimetic copolymers and medical devices coated with the copolymers
US13/045,464Expired - Fee RelatedUS8071705B2 (en)2006-11-212011-03-10Amino acid mimetic copolymers and medical devices coated with the copolymers
US13/045,450Expired - Fee RelatedUS8399584B2 (en)2006-11-212011-03-10Copolymers having zwitterionic moieties and dihydroxyphenyl moieties and medical devices coated with the copolymers
US13/045,465Expired - Fee RelatedUS8048975B2 (en)2006-11-212011-03-10Amino acid mimetic copolymers and medical devices coated with the copolymers
US13/403,777Expired - Fee RelatedUS8846839B2 (en)2006-11-212012-02-23Copolymers having zwitterionic moieties and dihdroxyphenyl moieties and medical devices coated with the copolymers

Family Applications Before (13)

Application NumberTitlePriority DateFiling Date
US11/942,705Expired - Fee RelatedUS7928177B2 (en)2006-11-212007-11-19Amino acid mimetic copolymers and medical devices coated with the copolymers
US11/942,695Expired - Fee RelatedUS7928176B2 (en)2006-11-212007-11-19Copolymers having zwitterionic moieties and dihydroxyphenyl moieties and medical devices coated with the copolymers
US11/942,707Expired - Fee RelatedUS8063151B2 (en)2006-11-212007-11-19Methods for manufacturing copolymers having 1-methyl-2-methoxyethyl moieties and use of same
US11/942,704Expired - Fee RelatedUS8101156B2 (en)2006-11-212007-11-19Methods of manufacturing copolymers with zwitterionic moieties and dihydroxyphenyl moieties and use of same
US11/942,693Expired - Fee RelatedUS7781551B2 (en)2006-11-212007-11-19Zwitterionic copolymers, method of making and use on medical devices
US11/942,700Expired - Fee RelatedUS7910678B2 (en)2006-11-212007-11-19Copolymers having 1-methyl-2-methoxyethyl moieties
US11/942,696Expired - Fee RelatedUS7622537B2 (en)2006-11-212007-11-19Methods for manufacturing amino acid mimetic copolymers and use of same
US12/575,720Expired - Fee RelatedUS8658749B2 (en)2006-11-212009-10-08Methods for manufacturing amino acid mimetic copolymers and use of same
US12/575,744Expired - Fee RelatedUS8197880B2 (en)2006-11-212009-10-08Methods for manufacturing amino acid mimetic copolymers and use of same
US13/045,452Expired - Fee RelatedUS8202956B2 (en)2006-11-212011-03-10Copolymers having zwitterionic moieties and dihydroxyphenyl moieties and medical devices coated with the copolymers
US13/045,467Expired - Fee RelatedUS8569435B2 (en)2006-11-212011-03-10Amino acid mimetic copolymers and medical devices coated with the copolymers
US13/045,464Expired - Fee RelatedUS8071705B2 (en)2006-11-212011-03-10Amino acid mimetic copolymers and medical devices coated with the copolymers
US13/045,450Expired - Fee RelatedUS8399584B2 (en)2006-11-212011-03-10Copolymers having zwitterionic moieties and dihydroxyphenyl moieties and medical devices coated with the copolymers

Family Applications After (1)

Application NumberTitlePriority DateFiling Date
US13/403,777Expired - Fee RelatedUS8846839B2 (en)2006-11-212012-02-23Copolymers having zwitterionic moieties and dihdroxyphenyl moieties and medical devices coated with the copolymers

Country Status (4)

CountryLink
US (15)US7928177B2 (en)
EP (1)EP2097119A4 (en)
JP (1)JP5557373B2 (en)
WO (1)WO2008064058A2 (en)

Cited By (3)

* Cited by examiner, † Cited by third party
Publication numberPriority datePublication dateAssigneeTitle
US8197880B2 (en)2006-11-212012-06-12Abbott LaboratoriesMethods for manufacturing amino acid mimetic copolymers and use of same
US8431665B2 (en)2006-11-212013-04-30Abbott Cardiovascular Systems Inc.Zwitterionic terpolymers, method of making and use on medical devices
US9468706B2 (en)2004-03-222016-10-18Abbott Cardiovascular Systems Inc.Phosphoryl choline coating compositions

Families Citing this family (68)

* Cited by examiner, † Cited by third party
Publication numberPriority datePublication dateAssigneeTitle
GB0100761D0 (en)2001-01-112001-02-21Biocompatibles LtdDrug delivery from stents
US7329413B1 (en)*2003-11-062008-02-12Advanced Cardiovascular Systems, Inc.Coatings for drug delivery devices having gradient of hydration and methods for fabricating thereof
SI1988910T1 (en)2006-02-282018-02-28Kodiak Sciences Inc.Acryloyloxyethylphosphorylcholine containing polymer conjugates and their preparation
US8951630B2 (en)2006-12-012015-02-10Rolex S.A.Ultra-thin hydrophobic and oleophobic layer, method of manufacture and use in watchmaking as an epilame and in mechanical engineering as a barrier film
EP1927648A1 (en)*2006-12-012008-06-04Rolex SaUltra-thin water and oil repellent layer, manufacturing method and use in watchmaking as epilame
US20080251106A1 (en)*2007-04-122008-10-16Stefano SciallaProcess of cleaning a hard surface with zwitterionic copolymer
US20080286332A1 (en)2007-05-142008-11-20Pacetti Stephen DImplantable medical devices with a topcoat layer of phosphoryl choline acrylate polymer for reduced thrombosis, and improved mechanical properties
US20080314767A1 (en)*2007-06-222008-12-25Bausch & Lomb IncorporatedOphthalmic Solutions
US8216600B2 (en)2007-11-142012-07-10Cordis CorporationPolymeric materials for medical devices
US8367090B2 (en)*2008-09-052013-02-05Abbott Cardiovascular Systems Inc.Coating on a balloon comprising a polymer and a drug
US20100094407A1 (en)*2008-10-102010-04-15Medtronic Vascular, Inc.Multiple Bioactive Agent Eluting Stents
WO2011038138A1 (en)*2009-09-252011-03-31Origene Technologies, Inc.Protein arrays and uses thereof
US8765432B2 (en)2009-12-182014-07-01Oligasis, LlcTargeted drug phosphorylcholine polymer conjugates
AU2011239434B2 (en)*2010-04-152015-04-30Kodiak Sciences Inc.High molecular weight zwitterion-containing polymers
CN101892475B (en)*2010-06-242012-05-23苏州大学Method for grafting polymer chain on stainless steel surface
US20120310210A1 (en)*2011-03-042012-12-06Campbell Carey VEluting medical devices
US9415193B2 (en)*2011-03-042016-08-16W. L. Gore & Associates, Inc.Eluting medical devices
WO2012173097A1 (en)*2011-06-132012-12-20日立化成工業株式会社Agent for improving cancer cell adhesiveness
WO2012174422A2 (en)2011-06-172012-12-20Berry Plastics CorporationInsulated container with molded brim
TW201309354A (en)*2011-06-232013-03-01Toray IndustriesMedical materials
CN110763842A (en)2011-06-292020-02-07中央研究院 Capture, Purification and Release of Biological Substances Using Surface Coatings
WO2013112154A1 (en)*2012-01-262013-08-01International Engine Intellectual Property Company, LlcInjector boss and system and method of injecting liquid into a gas stream
EP2672269A1 (en)*2012-06-072013-12-11SolarwellEnhanced affinity ligands
US9901715B2 (en)2012-09-052018-02-27W. L. Gore Associates, Inc.Retractable sheath devices, systems, and methods
US9788765B2 (en)2012-09-282017-10-17Dexcom, Inc.Zwitterion surface modifications for continuous sensors
MX378138B (en)2012-10-262025-03-10Berry Plastics Corp POLYMERIC MATERIAL FOR AN INSULATED CONTAINER.
US9840049B2 (en)2012-12-142017-12-12Berry Plastics CorporationCellular polymeric material
CA2915537A1 (en)2013-02-052014-08-14Yehuda ShoenfeldPhosphorylcholine conjugates and uses thereof
US10046021B2 (en)2013-02-052018-08-14Tpcera Ltd.Phosphorylcholine conjugates and uses thereof
US9957365B2 (en)2013-03-132018-05-01Berry Plastics CorporationCellular polymeric material
US9737250B2 (en)2013-03-152017-08-22Dexcom, Inc.Membrane for continuous analyte sensors
CN105283521B (en)*2013-05-272018-05-11Jsr株式会社The manufacture method of utensil and device, the utensil and device that the surface conditioning agent on the surface being made of inorganic material, surface are modified
ES2819217T3 (en)2013-09-082021-04-15Kodiak Sciences Inc Conjugates of zwitterionic polymers and factor VIII
US10259922B2 (en)2013-11-062019-04-16The Board Of Trustees Of The Leland Stanford Junior UniversityMethods for modifying a hydrophobic polymer surface and devices thereof
KR20150066974A (en)*2013-12-092015-06-17삼성전자주식회사Compound for fouling resistance, membrane for fouling resistance, method of preparing membrane for fouling resistance
EP3126814B1 (en)2014-04-012019-06-12Academia SinicaMethods and systems for cancer diagnosis and prognosis
US9840553B2 (en)2014-06-282017-12-12Kodiak Sciences Inc.Dual PDGF/VEGF antagonists
WO2016014471A1 (en)*2014-07-222016-01-28The University Of AkronDegradable amino acid-based poly(ester urea) copolymer adhesives
CN105381824B (en)2014-08-262019-04-23中央研究院collector architecture layout design
US9469726B2 (en)*2014-10-062016-10-18International Business Machines CorporationWater soluble polycarbonates for medical applications
CN107208076A (en)2014-10-172017-09-26科达制药Butyrylcholine esterase amphoteric ion polymer conjugate
EP3213721B1 (en)*2014-10-282021-06-02Jimro Co., Ltd.Drug-eluting stent
KR101759998B1 (en)2014-11-112017-07-20한국에너지기술연구원Ion-exchange polymer containing catechol group, preparation method and application thereof
KR101752384B1 (en)2014-11-272017-06-30주식회사 엘지화학Preparation method of super absorbent polymer and super absorbent polymer prepared therefrom
KR101745679B1 (en)2014-11-272017-06-09주식회사 엘지화학Preparation method of super absorbent polymer and super absorbent polymer prepared therefrom
WO2016118838A1 (en)2015-01-232016-07-28Berry Plastics CorporationPolymeric material for an insulated container
CN108473632B (en)*2015-11-262021-02-19新加坡科技研究局Polymeric compositions
TWI662370B (en)*2015-11-302019-06-11南韓商羅門哈斯電子材料韓國公司Coating compositions for use with an overcoated photoresist
EP3397163B1 (en)*2015-12-302023-09-13DexCom, Inc.Diffusion resistance layer for analyte sensors
KR20250057128A (en)2015-12-302025-04-28코디악 사이언시스 인코포레이티드Antibodies and conjugates thereof
US10792477B2 (en)2016-02-082020-10-06Orbusneich Medical Pte. Ltd.Drug eluting balloon
US10107726B2 (en)2016-03-162018-10-23Cellmax, Ltd.Collection of suspended cells using a transferable membrane
JP7001602B2 (en)*2016-08-252022-01-19テルモ株式会社 Hydrophilic copolymers and medical devices
EP3290451B1 (en)*2016-09-012021-08-18The Swatch Group Research and Development Ltd.Substrate comprising a surface covered with an epilame agent and method for coating such a substrate with epilame
US10543299B2 (en)*2016-10-032020-01-28Microvention, Inc.Surface coatings
WO2018106666A1 (en)*2016-12-052018-06-14Isp Investments LlcOral care copolymers and compositions and methods for use
JP7299162B2 (en)2017-05-122023-06-27マイクロベンション インコーポレイテッド Method for making medical device and method for coating medical device
AU2019225142A1 (en)*2018-02-202020-07-16Terumo Kabushiki KaishaMedical device
JP2021514656A (en)2018-03-022021-06-17コディアック サイエンシーズ インコーポレイテッドKodiak Sciences Inc. IL-6 antibody and its fusion constructs and conjugates
CN109172877B (en)*2018-08-282021-07-13杭州忻元医疗科技合伙企业(有限合伙)Bionic anticoagulant emulsion and preparation method and using method thereof
WO2020049177A1 (en)*2018-09-062020-03-12Biomodics ApsA medical tubular device
US11590267B2 (en)2018-10-012023-02-28Microvention, Inc.Medical devices
EP4003445B1 (en)2019-07-262025-03-05MicroVention, Inc.Coatings
AU2020364071A1 (en)2019-10-102022-05-26Kodiak Sciences Inc.Methods of treating an eye disorder
CN111138580B (en)*2019-12-312022-04-26江汉大学PVP compound with dithioester at terminal, topological polymer and preparation method thereof
JP7541831B2 (en)*2020-02-052024-08-29Ykk株式会社 Water-repellent products and manufacturing method thereof
US11827862B2 (en)2020-08-072023-11-28Microvention, Inc.Durable surface coatings
CN116688247B (en)*2023-05-312025-05-30天津大学Janus zwitterionic hydrogel anti-adhesion film and preparation method and application thereof

Citations (83)

* Cited by examiner, † Cited by third party
Publication numberPriority datePublication dateAssigneeTitle
US4141874A (en)1975-11-151979-02-27Daikin Kogyo Co., Ltd.Fluorine-containing elastomeric copolymers, process for preparing the same and composition containing the same
US4172934A (en)*1978-02-081979-10-30Minnesota Mining And Manufacturing CompanyAcrylic functional aminocarboxylic acids and derivatives as components of pressure sensitive adhesives
US4668506A (en)1985-08-161987-05-26Bausch & Lomb IncorporatedSustained-release formulation containing and amino acid polymer
US4931287A (en)1988-06-141990-06-05University Of UtahHeterogeneous interpenetrating polymer networks for the controlled release of drugs
US5010121A (en)1987-12-101991-04-23Imperial Chemical Industries PlcProduction of aqueous-based fluoropolymer compositions
US5019096A (en)1988-02-111991-05-28Trustees Of Columbia University In The City Of New YorkInfection-resistant compositions, medical devices and surfaces and methods for preparing and using same
US5155252A (en)1989-08-141992-10-13Mitsubishi Rayon Co., Ltd.Material for dentistry
US5163952A (en)1990-09-141992-11-17Michael FroixExpandable polymeric stent with memory and delivery apparatus and method
US5258020A (en)1990-09-141993-11-02Michael FroixMethod of using expandable polymeric stent with memory
JPH0859950A (en)*1994-08-191996-03-05Nippon Paint Co LtdAqueous resin composition having high concentration thickening ratio and aqueous coating compound composition containing the same
US5674242A (en)1995-06-061997-10-07Quanam Medical CorporationEndoprosthetic device with therapeutic compound
US5723219A (en)1995-12-191998-03-03Talison ResearchPlasma deposited film networks
US5780559A (en)*1996-07-221998-07-14Ppg Industries, Inc.Curable film-forming compositions containing amide functional polymers
US5824049A (en)1995-06-071998-10-20Med Institute, Inc.Coated implantable medical device
US5859174A (en)1996-07-221999-01-12Ppg Industries, Inc.Amide functional monomers and acrylic polymers with amide functionality
US5879713A (en)1994-10-121999-03-09Focal, Inc.Targeted delivery via biodegradable polymers
US5908704A (en)1997-06-301999-06-01Norton Performance Plastics CorporationInterlayer film for protective glazing laminates
US5932299A (en)1996-04-231999-08-03Katoot; Mohammad W.Method for modifying the surface of an object
US5997517A (en)1997-01-271999-12-07Sts Biopolymers, Inc.Bonding layers for medical device surface coatings
US6096070A (en)1995-06-072000-08-01Med Institute Inc.Coated implantable medical device
US6110483A (en)1997-06-232000-08-29Sts Biopolymers, Inc.Adherent, flexible hydrogel and medicated coatings
US6143354A (en)1999-02-082000-11-07Medtronic Inc.One-step method for attachment of biomolecules to substrate surfaces
US6159978A (en)1997-05-282000-12-12Aventis Pharmaceuticals Product, Inc.Quinoline and quinoxaline compounds which inhibit platelet-derived growth factor and/or p56lck tyrosine kinases
US6165338A (en)*1998-12-212000-12-26Basf CorporationCathodic electrocoat having a carbamate functional resin
US6180632B1 (en)1997-05-282001-01-30Aventis Pharmaceuticals Products Inc.Quinoline and quinoxaline compounds which inhibit platelet-derived growth factor and/or p56lck tyrosine kinases
US6214901B1 (en)1998-04-272001-04-10Surmodics, Inc.Bioactive agent release coating
US6245760B1 (en)1997-05-282001-06-12Aventis Pharmaceuticals Products, IncQuinoline and quinoxaline compounds which inhibit platelet-derived growth factor and/or p56lck tyrosine kinases
US6248129B1 (en)1990-09-142001-06-19Quanam Medical CorporationExpandable polymeric stent with memory and delivery apparatus and method
US20010007083A1 (en)1999-12-292001-07-05Roorda Wouter E.Device and active component for inhibiting formation of thrombus-inflammatory cell matrix
US6258371B1 (en)1998-04-032001-07-10Medtronic IncMethod for making biocompatible medical article
US6262034B1 (en)1994-03-152001-07-17Neurotech S.A.Polymeric gene delivery system
US6287707B1 (en)1995-10-172001-09-11Ajay Kumar LuthraBiocompatible lubricious hydrophilic materials for medical devices
US6299604B1 (en)1998-08-202001-10-09Cook IncorporatedCoated implantable medical device
US20010029351A1 (en)1998-04-162001-10-11Robert FaloticoDrug combinations and delivery devices for the prevention and treatment of vascular disease
US6329386B1 (en)1997-09-262001-12-11Abbott LaboratoriesTetrazole-containing rapamycin analogs with shortened half-lives
US20020007214A1 (en)2000-05-192002-01-17Robert FaloticoDrug/drug delivery systems for the prevention and treatment of vascular disease
US20020007213A1 (en)2000-05-192002-01-17Robert FaloticoDrug/drug delivery systems for the prevention and treatment of vascular disease
US20020007215A1 (en)2000-05-192002-01-17Robert FaloticoDrug/drug delivery systems for the prevention and treatment of vascular disease
US20020005206A1 (en)2000-05-192002-01-17Robert FaloticoAntiproliferative drug and delivery device
US20020051730A1 (en)2000-09-292002-05-02Stanko BodnarCoated medical devices and sterilization thereof
US6383196B1 (en)1995-02-022002-05-07Scimed Life Systems, Inc.Surgical extractor
US6387379B1 (en)1987-04-102002-05-14University Of FloridaBiofunctional surface modified ocular implants, surgical instruments, medical devices, prostheses, contact lenses and the like
US20020082679A1 (en)2000-12-222002-06-27Avantec Vascular CorporationDelivery or therapeutic capable agents
US6419711B1 (en)1998-03-202002-07-16L'orealOxidation dyeing compositions containing a cationic coupling agent, novel cationic coupling agents
US20020111590A1 (en)2000-09-292002-08-15Davila Luis A.Medical devices, drug coatings and methods for maintaining the drug coatings thereon
US20020133183A1 (en)2000-09-292002-09-19Lentz David ChristianCoated medical devices
US20020165608A1 (en)2001-05-072002-11-07Llanos Gerard H.Local drug delivery devices and methods for maintaining the drug coatings thereon
US20020176849A1 (en)2001-02-092002-11-28Endoluminal Therapeutics, Inc.Endomural therapy
US20020188037A1 (en)1999-04-152002-12-12Chudzik Stephen J.Method and system for providing bioactive agent release coating
US20030004141A1 (en)2001-03-082003-01-02Brown David L.Medical devices, compositions and methods for treating vulnerable plaque
US20030028243A1 (en)1995-06-072003-02-06Cook IncorporatedCoated implantable medical device
US20030036794A1 (en)1995-06-072003-02-20Cook IncorporatedCoated implantable medical device
US20030040790A1 (en)1998-04-152003-02-27Furst Joseph G.Stent coating
US20030039689A1 (en)2001-04-262003-02-27Jianbing ChenPolymer-based, sustained release drug delivery system
US6530951B1 (en)1996-10-242003-03-11Cook IncorporatedSilver implantable medical device
US6530950B1 (en)1999-01-122003-03-11Quanam Medical CorporationIntraluminal stent having coaxial polymer member
US20030060877A1 (en)2001-09-252003-03-27Robert FaloticoCoated medical devices for the treatment of vascular disease
US20030065377A1 (en)2001-09-282003-04-03Davila Luis A.Coated medical devices
US20030083739A1 (en)2001-09-242003-05-01Robert CafferataRational drug therapy device and methods
US6613432B2 (en)1999-12-222003-09-02Biosurface Engineering Technologies, Inc.Plasma-deposited coatings, devices and methods
US6663662B2 (en)2000-12-282003-12-16Advanced Cardiovascular Systems, Inc.Diffusion barrier layer for implantable devices
US20040034408A1 (en)2002-05-102004-02-19Majercak David ChristopherMethod of placing a tubular membrane on a structural frame
US6706819B1 (en)1999-06-302004-03-16Daikin Industries, Ltd.Flexible fluorine-containing material having heat resistance and non-tackiness
US6776796B2 (en)2000-05-122004-08-17Cordis CorportationAntiinflammatory drug and delivery device
US6790228B2 (en)1999-12-232004-09-14Advanced Cardiovascular Systems, Inc.Coating for implantable devices and a method of forming the same
US20050080212A1 (en)2003-10-092005-04-143M Innovative Properties CompanyMethod of modifying a fluoropolymer and articles thereby
US7005137B1 (en)2002-06-212006-02-28Advanceed Cardiovascular Systems, Inc.Coating for implantable medical devices
US7077859B2 (en)2000-12-222006-07-18Avantec Vascular CorporationApparatus and methods for variably controlled substance delivery from implanted prostheses
US7094256B1 (en)2002-12-162006-08-22Advanced Cardiovascular Systems, Inc.Coatings for implantable medical device containing polycationic peptides
US20060216326A1 (en)2005-03-242006-09-28Pacetti Stephen DImplantable devices formed of non-fouling methacrylate or acrylate polymers
US20070010623A1 (en)2005-07-062007-01-11Addison Clear Wave LlcLow-refractive index layer, AR coatings having such a layer and methods for producing them
US7217426B1 (en)2002-06-212007-05-15Advanced Cardiovascular Systems, Inc.Coatings containing polycationic peptides for cardiovascular therapy
US7247313B2 (en)2001-06-272007-07-24Advanced Cardiovascular Systems, Inc.Polyacrylates coatings for implantable medical devices
US20080022046A1 (en)2006-07-182008-01-24Via Technologies, Inc.Partial Cache Way Locking
US20080118541A1 (en)2006-11-212008-05-22Abbott LaboratoriesUse of a terpolymer of tetrafluoroethylene, hexafluoropropylene, and vinylidene fluoride in drug eluting coatings on medical devices
US20080124450A1 (en)2006-11-212008-05-29Abbott LaboratoriesMethods for manufacturing amino acid mimetic copolymers and use of same
US7396539B1 (en)2002-06-212008-07-08Advanced Cardiovascular Systems, Inc.Stent coatings with engineered drug release rate
US7560492B1 (en)2003-11-252009-07-14Advanced Cardiovascular Systems, Inc.Polysulfone block copolymers as drug-eluting coating material
US7563454B1 (en)2003-05-012009-07-21Advanced Cardiovascular Systems, Inc.Coatings for implantable medical devices
US7618937B2 (en)2001-07-202009-11-17Northwestern UniversityPeptidomimetic polymers for antifouling surfaces
US7622533B2 (en)2006-08-042009-11-24Nerites CorporationBiomimetic compounds and synthetic methods therefor
US7713541B1 (en)2006-11-212010-05-11Abbott Cardiovascular Systems Inc.Zwitterionic terpolymers, method of making and use on medical devices
US7974307B2 (en)2006-11-302011-07-05Vestel Elektronik Sanayi Ve Ticaret A.S.Methods and apparatus for data decoding/encoding and for searching for/inserting stuffing bytes

Family Cites Families (27)

* Cited by examiner, † Cited by third party
Publication numberPriority datePublication dateAssigneeTitle
JP4190513B2 (en)*1995-10-112008-12-03テルモ株式会社 Catheter balloon and balloon catheter and vasodilator catheter
US5873713A (en)*1996-09-131999-02-23Osterhues; KonradFuel/air supply assembly for gas burners
GB9624130D0 (en)1996-11-201997-01-08Biocompatibles LtdBiocompatible compositions
JP3779422B2 (en)*1997-05-152006-05-31スリーエム カンパニー Decorative film, decorated article and method for producing the same
CA2298543A1 (en)1997-08-131999-02-25James BarryLoading and release of water-insoluble drugs
US6133391A (en)*1998-03-172000-10-173M Innovative Properties CompanyAdhesive compositions and adhesive tapes comprising zwitterionic copolymers, and novel zwitterionic copolymers
DE10004647C1 (en)2000-02-032001-07-26Infineon Technologies Ag Method for producing a semiconductor component with a multichip module and a silicon carrier substrate
US6306423B1 (en)2000-06-022001-10-23Allergan Sales, Inc.Neurotoxin implant
JP2002069246A (en)*2000-06-082002-03-08Daikin Ind Ltd Highly hydrophobic elastomer composition
JP3975049B2 (en)*2000-07-102007-09-12株式会社リコー Transfer device and image forming apparatus
US20060222756A1 (en)*2000-09-292006-10-05Cordis CorporationMedical devices, drug coatings and methods of maintaining the drug coatings thereon
WO2002040558A1 (en)*2000-11-162002-05-23Biocompatibles Uk LimitedPolymers and polymerisation processes
JP3651387B2 (en)*2000-11-222005-05-25日産自動車株式会社 White line detector
KR100389625B1 (en)*2000-12-152003-06-27삼성전기주식회사Realization device of macro mode using focus driving motor at digital still camera
WO2003063499A2 (en)2002-01-222003-07-31Microsoft CorporationMethods and systems for start code emulation prevention and data stuffing
US20050220880A1 (en)2002-03-072005-10-06Lewis Andrew LDrug carriers comprising amphiphilic block copolymers
US6811696B2 (en)*2002-04-122004-11-02Pall CorporationHydrophobic membrane materials for filter venting applications
JP4448334B2 (en)2002-04-192010-04-07マイクロソフト コーポレーション Method and system for preventing start code emulation in positions that include non-byte-aligned positions and / or positions that include bit-shifted positions (bit-shifted positions)
WO2003094795A1 (en)*2002-05-102003-11-20Cordis CorporationMethod of making a medical device having a thin wall tubular membrane over a structural frame
US7436328B2 (en)2003-07-092008-10-14Texas Instruments IncorporatedVideo coding with start code emulation prevention
EP1687383B1 (en)*2003-10-072009-03-18E.I. Du Pont De Nemours And CompanyFluoropolymer low reflecting layers for polastic lenses and devices
FR2863617B1 (en)2003-12-152006-01-21Rhodia Chimie Sa ZWITTERIONIC POLYMERS COMPRISING BETAINE - TYPE UNITS AND USE OF ZWITTERIONIC POLYMERS IN BOREHOLE FLUIDS.
US8110211B2 (en)*2004-09-222012-02-07Advanced Cardiovascular Systems, Inc.Medicated coatings for implantable medical devices including polyacrylates
US20070173787A1 (en)*2005-11-012007-07-26Huang Mark C TThin-film nitinol based drug eluting stent
FR2903989B1 (en)*2006-07-192008-09-05Arkema France FLUORINATED POLYMER WITH ANTIBACTERIAL ACTIVITY
CN101206343A (en)*2006-12-192008-06-25鸿富锦精密工业(深圳)有限公司 Surface light source
US7815927B2 (en)2007-03-082010-10-19Medtronic Vascular, Inc.Terpolymers for controlled release of bioactive agents from implantable medical devices

Patent Citations (113)

* Cited by examiner, † Cited by third party
Publication numberPriority datePublication dateAssigneeTitle
US4141874A (en)1975-11-151979-02-27Daikin Kogyo Co., Ltd.Fluorine-containing elastomeric copolymers, process for preparing the same and composition containing the same
US4172934A (en)*1978-02-081979-10-30Minnesota Mining And Manufacturing CompanyAcrylic functional aminocarboxylic acids and derivatives as components of pressure sensitive adhesives
US4668506A (en)1985-08-161987-05-26Bausch & Lomb IncorporatedSustained-release formulation containing and amino acid polymer
US6387379B1 (en)1987-04-102002-05-14University Of FloridaBiofunctional surface modified ocular implants, surgical instruments, medical devices, prostheses, contact lenses and the like
US5010121A (en)1987-12-101991-04-23Imperial Chemical Industries PlcProduction of aqueous-based fluoropolymer compositions
US5616338A (en)1988-02-111997-04-01Trustees Of Columbia University In The City Of New YorkInfection-resistant compositions, medical devices and surfaces and methods for preparing and using same
US5019096A (en)1988-02-111991-05-28Trustees Of Columbia University In The City Of New YorkInfection-resistant compositions, medical devices and surfaces and methods for preparing and using same
US4931287A (en)1988-06-141990-06-05University Of UtahHeterogeneous interpenetrating polymer networks for the controlled release of drugs
US5155252A (en)1989-08-141992-10-13Mitsubishi Rayon Co., Ltd.Material for dentistry
US5258020A (en)1990-09-141993-11-02Michael FroixMethod of using expandable polymeric stent with memory
US5607467A (en)1990-09-141997-03-04Froix; MichaelExpandable polymeric stent with memory and delivery apparatus and method
US6248129B1 (en)1990-09-142001-06-19Quanam Medical CorporationExpandable polymeric stent with memory and delivery apparatus and method
US5163952A (en)1990-09-141992-11-17Michael FroixExpandable polymeric stent with memory and delivery apparatus and method
US6262034B1 (en)1994-03-152001-07-17Neurotech S.A.Polymeric gene delivery system
US6620617B2 (en)1994-03-152003-09-16Brown University Research FoundationPolymeric gene delivery system
US6475779B2 (en)1994-03-152002-11-05Neurotech S.A.Polymeric gene delivery
JPH0859950A (en)*1994-08-191996-03-05Nippon Paint Co LtdAqueous resin composition having high concentration thickening ratio and aqueous coating compound composition containing the same
US5879713A (en)1994-10-121999-03-09Focal, Inc.Targeted delivery via biodegradable polymers
US6383196B1 (en)1995-02-022002-05-07Scimed Life Systems, Inc.Surgical extractor
US5674242A (en)1995-06-061997-10-07Quanam Medical CorporationEndoprosthetic device with therapeutic compound
US5873904A (en)1995-06-071999-02-23Cook IncorporatedSilver implantable medical device
US20030028243A1 (en)1995-06-072003-02-06Cook IncorporatedCoated implantable medical device
US5824049A (en)1995-06-071998-10-20Med Institute, Inc.Coated implantable medical device
US20030036794A1 (en)1995-06-072003-02-20Cook IncorporatedCoated implantable medical device
US6096070A (en)1995-06-072000-08-01Med Institute Inc.Coated implantable medical device
US6287707B1 (en)1995-10-172001-09-11Ajay Kumar LuthraBiocompatible lubricious hydrophilic materials for medical devices
US6277449B1 (en)1995-10-192001-08-21Omprakash S. KolluriMethod for sequentially depositing a three-dimensional network
US5962138A (en)1995-12-191999-10-05Talison Research, Inc.Plasma deposited substrate structure
US5723219A (en)1995-12-191998-03-03Talison ResearchPlasma deposited film networks
US5932299A (en)1996-04-231999-08-03Katoot; Mohammad W.Method for modifying the surface of an object
US5859174A (en)1996-07-221999-01-12Ppg Industries, Inc.Amide functional monomers and acrylic polymers with amide functionality
US5780559A (en)*1996-07-221998-07-14Ppg Industries, Inc.Curable film-forming compositions containing amide functional polymers
US6530951B1 (en)1996-10-242003-03-11Cook IncorporatedSilver implantable medical device
US6306176B1 (en)1997-01-272001-10-23Sts Biopolymers, Inc.Bonding layers for medical device surface coatings
US5997517A (en)1997-01-271999-12-07Sts Biopolymers, Inc.Bonding layers for medical device surface coatings
US6159978A (en)1997-05-282000-12-12Aventis Pharmaceuticals Product, Inc.Quinoline and quinoxaline compounds which inhibit platelet-derived growth factor and/or p56lck tyrosine kinases
US6524347B1 (en)1997-05-282003-02-25Avantis Pharmaceuticals Inc.Quinoline and quinoxaline compounds which inhibit platelet-derived growth factor and/or p56lck tyrosine kinases
US6482834B2 (en)1997-05-282002-11-19Aventis Pharmaceuticals Inc.Quinoline and quinoxaline compounds which inhibit platelet-derived growth factor and/or p56lck tyrosine kinases
US6245760B1 (en)1997-05-282001-06-12Aventis Pharmaceuticals Products, IncQuinoline and quinoxaline compounds which inhibit platelet-derived growth factor and/or p56lck tyrosine kinases
US6528526B1 (en)1997-05-282003-03-04Aventis Pharmaceuticals Inc.Quinoline and quinoxaline compounds which inhibit platelet-derived growth factor and/or p56lck tyrosine kinases
US6180632B1 (en)1997-05-282001-01-30Aventis Pharmaceuticals Products Inc.Quinoline and quinoxaline compounds which inhibit platelet-derived growth factor and/or p56lck tyrosine kinases
US6110483A (en)1997-06-232000-08-29Sts Biopolymers, Inc.Adherent, flexible hydrogel and medicated coatings
US5908704A (en)1997-06-301999-06-01Norton Performance Plastics CorporationInterlayer film for protective glazing laminates
US6329386B1 (en)1997-09-262001-12-11Abbott LaboratoriesTetrazole-containing rapamycin analogs with shortened half-lives
US6419711B1 (en)1998-03-202002-07-16L'orealOxidation dyeing compositions containing a cationic coupling agent, novel cationic coupling agents
US6270788B1 (en)1998-04-032001-08-07Medtronic IncImplantable medical device
US6258371B1 (en)1998-04-032001-07-10Medtronic IncMethod for making biocompatible medical article
US20030040790A1 (en)1998-04-152003-02-27Furst Joseph G.Stent coating
US20010029351A1 (en)1998-04-162001-10-11Robert FaloticoDrug combinations and delivery devices for the prevention and treatment of vascular disease
US6344035B1 (en)1998-04-272002-02-05Surmodics, Inc.Bioactive agent release coating
US6890583B2 (en)1998-04-272005-05-10Surmodics, Inc.Bioactive agent release coating
US6214901B1 (en)1998-04-272001-04-10Surmodics, Inc.Bioactive agent release coating
US7008667B2 (en)1998-04-272006-03-07Surmodics, Inc.Bioactive agent release coating
US6730064B2 (en)1998-08-202004-05-04Cook IncorporatedCoated implantable medical device
US6299604B1 (en)1998-08-202001-10-09Cook IncorporatedCoated implantable medical device
US6165338A (en)*1998-12-212000-12-26Basf CorporationCathodic electrocoat having a carbamate functional resin
US6530950B1 (en)1999-01-122003-03-11Quanam Medical CorporationIntraluminal stent having coaxial polymer member
US6143354A (en)1999-02-082000-11-07Medtronic Inc.One-step method for attachment of biomolecules to substrate surfaces
US20020188037A1 (en)1999-04-152002-12-12Chudzik Stephen J.Method and system for providing bioactive agent release coating
US6706819B1 (en)1999-06-302004-03-16Daikin Industries, Ltd.Flexible fluorine-containing material having heat resistance and non-tackiness
US6613432B2 (en)1999-12-222003-09-02Biosurface Engineering Technologies, Inc.Plasma-deposited coatings, devices and methods
US6790228B2 (en)1999-12-232004-09-14Advanced Cardiovascular Systems, Inc.Coating for implantable devices and a method of forming the same
US20010007083A1 (en)1999-12-292001-07-05Roorda Wouter E.Device and active component for inhibiting formation of thrombus-inflammatory cell matrix
US6776796B2 (en)2000-05-122004-08-17Cordis CorportationAntiinflammatory drug and delivery device
US20020005206A1 (en)2000-05-192002-01-17Robert FaloticoAntiproliferative drug and delivery device
US20020007215A1 (en)2000-05-192002-01-17Robert FaloticoDrug/drug delivery systems for the prevention and treatment of vascular disease
US20020007213A1 (en)2000-05-192002-01-17Robert FaloticoDrug/drug delivery systems for the prevention and treatment of vascular disease
US20020007214A1 (en)2000-05-192002-01-17Robert FaloticoDrug/drug delivery systems for the prevention and treatment of vascular disease
US20020111590A1 (en)2000-09-292002-08-15Davila Luis A.Medical devices, drug coatings and methods for maintaining the drug coatings thereon
US20020051730A1 (en)2000-09-292002-05-02Stanko BodnarCoated medical devices and sterilization thereof
US20020133183A1 (en)2000-09-292002-09-19Lentz David ChristianCoated medical devices
US7077859B2 (en)2000-12-222006-07-18Avantec Vascular CorporationApparatus and methods for variably controlled substance delivery from implanted prostheses
US20020082679A1 (en)2000-12-222002-06-27Avantec Vascular CorporationDelivery or therapeutic capable agents
US6663662B2 (en)2000-12-282003-12-16Advanced Cardiovascular Systems, Inc.Diffusion barrier layer for implantable devices
US20020176849A1 (en)2001-02-092002-11-28Endoluminal Therapeutics, Inc.Endomural therapy
US20030004141A1 (en)2001-03-082003-01-02Brown David L.Medical devices, compositions and methods for treating vulnerable plaque
US20030039689A1 (en)2001-04-262003-02-27Jianbing ChenPolymer-based, sustained release drug delivery system
US20020165608A1 (en)2001-05-072002-11-07Llanos Gerard H.Local drug delivery devices and methods for maintaining the drug coatings thereon
US7247313B2 (en)2001-06-272007-07-24Advanced Cardiovascular Systems, Inc.Polyacrylates coatings for implantable medical devices
US7618937B2 (en)2001-07-202009-11-17Northwestern UniversityPeptidomimetic polymers for antifouling surfaces
US20030083739A1 (en)2001-09-242003-05-01Robert CafferataRational drug therapy device and methods
US20030060877A1 (en)2001-09-252003-03-27Robert FaloticoCoated medical devices for the treatment of vascular disease
US20030065377A1 (en)2001-09-282003-04-03Davila Luis A.Coated medical devices
US20040034408A1 (en)2002-05-102004-02-19Majercak David ChristopherMethod of placing a tubular membrane on a structural frame
US7485141B2 (en)2002-05-102009-02-03Cordis CorporationMethod of placing a tubular membrane on a structural frame
US7005137B1 (en)2002-06-212006-02-28Advanceed Cardiovascular Systems, Inc.Coating for implantable medical devices
US7396539B1 (en)2002-06-212008-07-08Advanced Cardiovascular Systems, Inc.Stent coatings with engineered drug release rate
US7217426B1 (en)2002-06-212007-05-15Advanced Cardiovascular Systems, Inc.Coatings containing polycationic peptides for cardiovascular therapy
US7094256B1 (en)2002-12-162006-08-22Advanced Cardiovascular Systems, Inc.Coatings for implantable medical device containing polycationic peptides
US7563454B1 (en)2003-05-012009-07-21Advanced Cardiovascular Systems, Inc.Coatings for implantable medical devices
US20050080212A1 (en)2003-10-092005-04-143M Innovative Properties CompanyMethod of modifying a fluoropolymer and articles thereby
US7560492B1 (en)2003-11-252009-07-14Advanced Cardiovascular Systems, Inc.Polysulfone block copolymers as drug-eluting coating material
US7700659B2 (en)2005-03-242010-04-20Advanced Cardiovascular Systems, Inc.Implantable devices formed of non-fouling methacrylate or acrylate polymers
US20060216326A1 (en)2005-03-242006-09-28Pacetti Stephen DImplantable devices formed of non-fouling methacrylate or acrylate polymers
US20070010623A1 (en)2005-07-062007-01-11Addison Clear Wave LlcLow-refractive index layer, AR coatings having such a layer and methods for producing them
US20080022046A1 (en)2006-07-182008-01-24Via Technologies, Inc.Partial Cache Way Locking
US7622533B2 (en)2006-08-042009-11-24Nerites CorporationBiomimetic compounds and synthetic methods therefor
US20080147178A1 (en)2006-11-212008-06-19Abbott LaboratoriesZwitterionic copolymers, method of making and use on medical devices
US7622537B2 (en)2006-11-212009-11-24Abbott LaboratoriesMethods for manufacturing amino acid mimetic copolymers and use of same
US20080146696A1 (en)2006-11-212008-06-19Abbott LaboratoriesMethods for manufacturing copolymers having 1-methyl-2-methoxyethyl moieties and use of same
US20080139746A1 (en)2006-11-212008-06-12Abbott LaboratoriesCopolymers having zwitterionic moieties and dihydroxyphenyl moieties and medical devices coated with the copolymers
US20080125514A1 (en)2006-11-212008-05-29Abbott LaboratoriesAmino acid mimetic copolymers and medical devices coated with the copolymers
US20080125560A1 (en)2006-11-212008-05-29Abbott LaboratoriesCopolymers having 1-methyl-2-methoxyethyl moieties
US20080124450A1 (en)2006-11-212008-05-29Abbott LaboratoriesMethods for manufacturing amino acid mimetic copolymers and use of same
US20080153923A1 (en)2006-11-212008-06-26Abbott LaboratoriesMethods of manufacturing copolymers with zwitterionic moieties and dihydroxyphenyl moieties and use of same
US20080118541A1 (en)2006-11-212008-05-22Abbott LaboratoriesUse of a terpolymer of tetrafluoroethylene, hexafluoropropylene, and vinylidene fluoride in drug eluting coatings on medical devices
US7713541B1 (en)2006-11-212010-05-11Abbott Cardiovascular Systems Inc.Zwitterionic terpolymers, method of making and use on medical devices
US7781551B2 (en)2006-11-212010-08-24Abbott LaboratoriesZwitterionic copolymers, method of making and use on medical devices
US7910678B2 (en)2006-11-212011-03-22Abbott LaboratoriesCopolymers having 1-methyl-2-methoxyethyl moieties
US7928176B2 (en)2006-11-212011-04-19Abbott LaboratoriesCopolymers having zwitterionic moieties and dihydroxyphenyl moieties and medical devices coated with the copolymers
US7928177B2 (en)2006-11-212011-04-19Abbott LaboratoriesAmino acid mimetic copolymers and medical devices coated with the copolymers
US20110160391A1 (en)2006-11-212011-06-30Abbott LaboratoriesAmino acid mimetic copolymers and medical devices coated with the copolymers
US7974307B2 (en)2006-11-302011-07-05Vestel Elektronik Sanayi Ve Ticaret A.S.Methods and apparatus for data decoding/encoding and for searching for/inserting stuffing bytes

Non-Patent Citations (12)

* Cited by examiner, † Cited by third party
Title
Dyneon(TM) Fluorothermoplastics-Product Information (2000).
Dyneon™ Fluorothermoplastics—Product Information (2000).
Hull et al. THV Fluoroplastic in Modern Fluoropolymers ed. J Scheirs 1997 p. 257.
Hunag et al., "Synthesis and Characterization of Self-Assembling Block Copolymers Containing Bioadhesive End Groups", Biomacromolecules 3, pp. 397-406 (2002).
Kocakulak et al., "Investigation of Blood Compatibility of PMEA Coated Extracorporeal Circuits", J. of Bioactive and Compatible Polymers vol. 17, pp. 343-356 (2002).
Lee et al., "Synthesis and Gelation of DOPA-Modified Poly(ethylene glycol) Hydrogels", Biomacromolecules 3, pp. 1038-1047 (2002).
Maccone et al. Macromoelcules 33: pp. 1656-1663 (2000).
Sipos et al. Biomacromolecules 6: pp. 2570-2582 (2005).
Tanaka et al., "Blood compatible aspects of poly(2-methoxyethylacrylate) (PMEA)-relationship between protein adsorption and platelet adhesion on PMEA surface", Biomaterials 21, pp. 1471-1481 (2000).
Tecnoflon®P 757 (2003).
Trollsas et al., "Hyperbranched Poly(∈-caprolactone) Derived from Interinsically Branched AB2 Macromonomers", Macromolecules 31, pp. 4390-4395 (1998).
U.S. Appl. No. 10/376,348, filed Feb. 26, 2003, Ding et al.

Cited By (6)

* Cited by examiner, † Cited by third party
Publication numberPriority datePublication dateAssigneeTitle
US9468706B2 (en)2004-03-222016-10-18Abbott Cardiovascular Systems Inc.Phosphoryl choline coating compositions
US8197880B2 (en)2006-11-212012-06-12Abbott LaboratoriesMethods for manufacturing amino acid mimetic copolymers and use of same
US8431665B2 (en)2006-11-212013-04-30Abbott Cardiovascular Systems Inc.Zwitterionic terpolymers, method of making and use on medical devices
US8569435B2 (en)2006-11-212013-10-29Abbott LaboratoriesAmino acid mimetic copolymers and medical devices coated with the copolymers
US8658749B2 (en)2006-11-212014-02-25Abbott LaboratoriesMethods for manufacturing amino acid mimetic copolymers and use of same
US8722826B2 (en)2006-11-212014-05-13Abbott Cardiovascular Systems Inc.Zwitterionic terpolymers, method of making and use on medical devices

Also Published As

Publication numberPublication date
US20100022663A1 (en)2010-01-28
US7928176B2 (en)2011-04-19
US20100183798A1 (en)2010-07-22
US7622537B2 (en)2009-11-24
EP2097119A2 (en)2009-09-09
JP2010509998A (en)2010-04-02
US8569435B2 (en)2013-10-29
WO2008064058A2 (en)2008-05-29
EP2097119A4 (en)2012-10-17
US20110160417A1 (en)2011-06-30
US20080147178A1 (en)2008-06-19
US8063151B2 (en)2011-11-22
US8846839B2 (en)2014-09-30
US7910678B2 (en)2011-03-22
US20080125560A1 (en)2008-05-29
US20110160391A1 (en)2011-06-30
US8202956B2 (en)2012-06-19
US7781551B2 (en)2010-08-24
US8399584B2 (en)2013-03-19
US20080146696A1 (en)2008-06-19
US8658749B2 (en)2014-02-25
US20110160331A1 (en)2011-06-30
US20120157602A1 (en)2012-06-21
US7928177B2 (en)2011-04-19
JP5557373B2 (en)2014-07-23
US8197880B2 (en)2012-06-12
US20080124450A1 (en)2008-05-29
WO2008064058A3 (en)2008-12-24
US8071705B2 (en)2011-12-06
US20110160382A1 (en)2011-06-30
US20080125514A1 (en)2008-05-29
WO2008064058A9 (en)2008-10-30
US8101156B2 (en)2012-01-24
US20110166250A1 (en)2011-07-07
US20080139746A1 (en)2008-06-12
US20080153923A1 (en)2008-06-26

Similar Documents

PublicationPublication DateTitle
US8048975B2 (en)Amino acid mimetic copolymers and medical devices coated with the copolymers
US7713541B1 (en)Zwitterionic terpolymers, method of making and use on medical devices
JP5546031B2 (en) Phosphorylcholine coating composition
US8668919B2 (en)Polymer for creating hemocompatible surface
JP2008517719A (en) Poly (ester amide) filler blends for control of coating properties

Legal Events

DateCodeTitleDescription
STCFInformation on status: patent grant

Free format text:PATENTED CASE

FPAYFee payment

Year of fee payment:4

FEPPFee payment procedure

Free format text:MAINTENANCE FEE REMINDER MAILED (ORIGINAL EVENT CODE: REM.); ENTITY STATUS OF PATENT OWNER: LARGE ENTITY

LAPSLapse for failure to pay maintenance fees

Free format text:PATENT EXPIRED FOR FAILURE TO PAY MAINTENANCE FEES (ORIGINAL EVENT CODE: EXP.); ENTITY STATUS OF PATENT OWNER: LARGE ENTITY

STCHInformation on status: patent discontinuation

Free format text:PATENT EXPIRED DUE TO NONPAYMENT OF MAINTENANCE FEES UNDER 37 CFR 1.362

FPLapsed due to failure to pay maintenance fee

Effective date:20191101


[8]ページ先頭

©2009-2025 Movatter.jp