Movatterモバイル変換


[0]ホーム

URL:


US6746582B2 - Electrodes with multilayer membranes and methods of making the electrodes - Google Patents

Electrodes with multilayer membranes and methods of making the electrodes
Download PDF

Info

Publication number
US6746582B2
US6746582B2US09/854,310US85431001AUS6746582B2US 6746582 B2US6746582 B2US 6746582B2US 85431001 AUS85431001 AUS 85431001AUS 6746582 B2US6746582 B2US 6746582B2
Authority
US
United States
Prior art keywords
layer
sensor
membrane
layers
glucose
Prior art date
Legal status (The legal status is an assumption and is not a legal conclusion. Google has not performed a legal analysis and makes no representation as to the accuracy of the status listed.)
Expired - Lifetime, expires
Application number
US09/854,310
Other versions
US20010054319A1 (en
Inventor
Adam Heller
Ting Chen
Keith A. Friedman
Current Assignee (The listed assignees may be inaccurate. Google has not performed a legal analysis and makes no representation or warranty as to the accuracy of the list.)
Abbott Diabetes Care Inc
Original Assignee
Therasense Inc
Priority date (The priority date is an assumption and is not a legal conclusion. Google has not performed a legal analysis and makes no representation as to the accuracy of the date listed.)
Filing date
Publication date
Priority to US09/854,310priorityCriticalpatent/US6746582B2/en
Assigned to THERASENSE, INC.reassignmentTHERASENSE, INC.ASSIGNMENT OF ASSIGNORS INTEREST (SEE DOCUMENT FOR DETAILS).Assignors: CHEN, TING, FRIEDMAN, KEITH A., HELLER, ADAM
Application filed by Therasense IncfiledCriticalTherasense Inc
Publication of US20010054319A1publicationCriticalpatent/US20010054319A1/en
Priority to US10/862,932prioritypatent/US7666284B2/en
Application grantedgrantedCritical
Publication of US6746582B2publicationCriticalpatent/US6746582B2/en
Assigned to ABBOTT DIABETES CARE INC.reassignmentABBOTT DIABETES CARE INC.CHANGE OF NAME (SEE DOCUMENT FOR DETAILS).Assignors: THERASENSE, INC.
Priority to US12/421,619prioritypatent/US20100023270A1/en
Priority to US12/544,689prioritypatent/US20090308743A1/en
Priority to US12/843,634prioritypatent/US20100288633A1/en
Adjusted expirationlegal-statusCritical
Expired - Lifetimelegal-statusCriticalCurrent

Links

Images

Classifications

Definitions

Landscapes

Abstract

A sensor including a sensing layer is disposed over an electrode or an optode and a layer-by-layer assembled mass transport limiting membrane disposed over the sensing layer. The membrane includes at least one layer of a polyanionic or polycationic material. The assembled layers of the membrane are typically disposed in an alternating manner. The sensor also optionally includes a biocompatible membrane.

Description

This application claims the benefit of U.S. Provisional Patent Application Serial No. 60/203,762, filed May 12, 2000, incorporated herein by reference.
GOVERNMENT SUPPORT
This invention was made with government support under grant No. 3R01DK42015 from the NIH-NIDDK. The government has certain rights in the invention.
FIELD OF THE INVENTION
This invention relates to sensors and sensor components that have multilayer membranes and methods of making and using the sensors and sensor components. In addition, the invention relates to enzyme electrodes and optodes with multi-layer analyte-flux limiting membranes and methods of making and using the optodes and the electrodes.
BACKGROUND OF THE INVENTION
Miniature biosensors utilizing enzyme-containing optodes and electrodes for monitoring biochemicals often include mass-transport controlling membranes. The membranes can affect some or all of the characteristics of the optodes or electrodes, including their sensitivity, size, apparent stability, dynamic range and selectivity. Micro-membranes for use with miniature biosensors typically cannot be easily cut to size from preformed membranes and if cut by a precision tool, such as a laser or an electron beam, their placement on and attachment to the surface of an electrode or optode can be difficult.
The reproducible casting of micro-membranes can also be difficult. For cast micro-membranes, the pore sizes and their distribution are typically determined by the relative rates of nucleation and mass-transport during generation of the membrane by phase separation as a result of solvent evaporation. The outcome of the simultaneously occurring nucleation and the mass transport processes depends on the evolution (meaning the time-dependence during the solvent evaporation) of the viscosity, the concentrations of the solvent and the non-solvent, and the membrane's leached phase and its residual phase. These are affected by time-dependent temperature gradients and by the time-dependent gradient of the partial pressure of the evaporating solvent over a droplet, the dimensions of which shrink and are a function of the time-dependent contact angle with the wetted surface.
SUMMARY OF THE INVENTION
Generally, the present invention relates to electrodes and optodes having membranes to reduce analyte flux or reduce interferent flux or both. One embodiment is a sensor that includes a sensing layer disposed on a substrate and a multilayer flux-limiting membrane disposed over the sensing layer. The membrane includes a first layer disposed on and bound to the sensing layer and one or more additional layers disposed on and bound to the preceding layers of the membrane. The substrate can have a conductive material upon which the sensing layer is disposed to form an electrode or an optical material, such as an optical fiber, upon which the sensing layer is disposed to form an optode. As an example, the membrane includes at least two layers; one of which is a polycationic layer or a polyanionic layer. Optionally, the membrane includes at least one layer that has functional groups that can capture transition metal ions.
Another embodiment is a method of making a sensor. A sensing layer is disposed on a substrate. A first membrane layer is disposed on and binds to the sensing layer. One or more subsequent membrane layers are disposed over the first membrane layer, each of the subsequent membrane layers binding to the immediately preceding membrane layer. For example, the membrane layers can be formed by chemisorption or reactive adsorption.
The above summary of the present invention is not intended to describe each disclosed embodiment or every implementation of the present invention. The Figures and the detailed description which follow more particularly exemplify some but not all of these embodiments.
BRIEF DESCRIPTION OF THE DRAWINGS
The invention may be more completely understood in consideration of the following detailed description of various embodiments of the invention in connection with the accompanying drawings, in which:
FIG. 1 is a graph illustrating the dependence of the sensitivity of a glucose sensing electrode on the number of PAc/PAm/PAc/PAm/PAc/PVPEA sextets: (dashed line) none; (squares) one; (triangles) two; (circles) three;
FIG. 2 is a graph illustrating dependence of the apparent stability of a glucose sensing electrode on the number of PAc/PAm/PAc/PAm/PAc/PVPEA sextets: (a) none; (b) two; (c) three;
FIG. 3 is a graph illustrating current increments upon raising the concentrations sequentially by 5 mM glucose, 5 mM glucose, 0.1 mM ascorbate, 0.2 mM acetaminophen and 0.5 mM urate;
FIG. 4 is a graph illustrating changes in the current upon raising the glucose concentration in 5 mM increments, then adding Fe2+ in an amount that in the absence of precipitation of iron phosphate would have raised the concentration of the cation to 0.1 mM with (a) ten PAc/PAm bilayers or (b) three PAc/PAm/PAc/PAm/PAc/PVPEA sextets;
FIG. 5 is a graph depicting in vivo experiments in which the glucose concentration was tracked by sensors with three PAc/PAm/PAc/PAm/PAc/PVPEA sextets. (a) (—) output of the sensor implanted in the jugular vein; ( . . . ) output of the sensor implanted in the intrascapular subcutaneous tissue; (triangles) concentrations of glucose in blood samples withdrawn from the contralateral jugular vein measured with a YSI glucose analyzer; (b) results of linear regression analysis of the data from the two sensors in FIG.5(a): in the jugular vein (closed circles) and in the intrascapular subcutaneous tissue (open circles);
FIG. 6 is a Clarke-type clinical error grid diagram of all data points assuming that the measured glucose concentration does not lag behind the blood glucose concentration at any time;
FIG. 7 is a Clarke-type clinical error grid diagram of all data points assuming that the sensor-measured glucose concentration lags by 3 minutes behind the blood glucose concentration in the period of rise after intravenous injection of a bolus of glucose and lags by 9 minutes during the period of decline after intravenous injection of insulin; and
FIG. 8 is a schematic cross-sectional view of one embodiment of an electrode, according to the invention.
While the invention is amenable to various modifications and alternative forms, specifics thereof have been shown by way of example in the drawings and will be described in detail. It should be understood, however, that the intention is not to limit the invention to the particular embodiments described. On the contrary, the intention is to cover all modifications, equivalents, and alternatives falling within the spirit and scope of the invention.
DETAILED DESCRIPTION OF THE PREFERRED EMBODIMENT
The present invention is believed to be applicable to sensors, particularly miniature sensors, and methods of making and using the sensors. In particular, the present invention is directed to membranes for electrodes and optodes for use in sensors and methods of making and using the electrodes and optodes. While the present invention is not so limited, an appreciation of various aspects of the invention will be gained through a discussion of the examples provided below.
A sensor includes an electrode or optode. Each electrode or optode includes a substrate. For an electrode, the substrate includes a conductive material that is typically either formed on a non-conductive support (e.g., a polymeric film) or as a wire, rod, plate, or other object. A sensing layer (e.g., transducing layer) is provided over at least a portion of the conductive material to transduce the flux of a chemical, usually a biochemical, termed the analyte to an electrical signal, such as a current flowing through the electrode. An optode can include, for example, an optical fiber (or other optical substrate) at the tip of which a layer of a biologically active macromolecule is provided (preferably, immobilized). The sensing layer on the optode converts the change in the concentration of the analyte to a change in photon flux.
The electrode or optode is covered with a membrane. The purpose of the membrane is to reduce analyte-flux or reduce or prevent interferent flux to the electrode or a combination of these features. The membrane contains at least two layers, and, typically, at least six layers. At least one of the layers includes a layer containing a polyanion or a polycation and the polyanionic or polycationic layer is disposed over the sensing layer. When operating to reduce flux of an analyte, interferent, or other material, the membrane typically provides a thin zone in which the solubility of a solute (e.g., analyte or interferent) is lower by at least an order of magnitude than it is in the sample solution. A membrane having such a zone is referred to as “mass transport limiting”. The cross sectional area of the sensor through which mass transport is limited is defined as the “active area”. The active area of the sensors in at least some embodiments of this invention is 0.1 cm2or smaller. For example, sensors can be formed with active areas between 10−2cm2and 10−8cm2. Membranes having mass transporting areas (e.g., “active areas”) between 10−3cm2and 10−5cm2are particularly useful for biosensing applications.
The membrane can be formed, for example, by sequential chemisorption of layers. Preferably, each particular layer, other than the terminal top layer, binds both the preceding and succeeding layers of the membrane. Generally, two consecutive layers are not identical; however, layers made of the same material but differently (for example, oppositely) oriented can be disposed next to each other. The layers typically form an array of bonds as a result of ionic, hydrophobic, coordinative, covalent, van der Waals, or hydrogen bonding interactions between the materials of the two layers. For example, the membrane can be formed of alternating polyanionic and polycationic layers.
In one embodiment, a micro-membrane is formed in-situ on a miniature enzyme electrode by disposing (e.g., chemisorbing or otherwise depositing) a polyanionic material on a polycationic surface of the electrode, rinsing, disposing a polyeationic on the polyanionic material, rinsing, and repeating the cycle a desired number of times. It will be understood that a similar procedure can be used with a polyanionic surface of the electrode by first depositing a polycationic material followed by a polyanionic material and repeating the cycle a desired number of times. Other orders of layers can also be used.
In particular, the membranes are useful in those biosensors that function by chemically converting (e.g., reacting) a chemical or biochemical. The chemical or biochemical can be, for example, an analyte that is being assayed, a product formed by reaction of the analyte, a co-reactant of the analyte, a product or reactant of a reaction that is catalyzed or inhibited by the presence of the analyte, or a constituent whose attachment to an optode or electrode is accelerated or inhibited by the presence of the analyte.
As an example, membranes of the invention can be fanned on, and are evaluated in the Examples below for, miniature glucose oxidizing or electrooxidizing electrodes. For these electrodes, glucose is typically converted to gluconolactone in the first step of a detection reaction. Suitable miniature glucose electrodes include, for example, those disclosed in U.S. Pat. Nos. 5,262,305; 5,262,035; 5,264,104; 5,593,852; 5,665,222; 6,143,164; 6,120,676; 6,576,101; 6,134,461; 6,338,790, and U.S. patent application Ser. No. 09/434,026, now U.S. Pat. No. 6,616,819, all of which are incorporate herein by reference. It will be appreciated that electrodes forte detection of analytes other than glucose can also benefit from the use of the membranes described herein. Glucose electrodes are illustrated herein as an application example.
Glycemia has been monitored amperometrically in the subcutaneous interstitial fluid with miniature electrodes for some time. The electrode reactions applied in such monitoring include (a) the mediated electrooxidation of glucose to gluconolactone at electrodes coated with a redox mediator (e.g., a redox polymer which electrically “wires” the reaction centers of glucose oxidase to an electrode) (Equations 1a and 1b, below) or, alternatively, (b) the glucose oxidase catalyzed reaction of glucose with O2, to produce gluconolactone and H2O2(Equation 2a, below), followed either by electro-oxidation of the H2O2(Equation 2b, below), or by monitoring the change in the O2partial pressure or concentration.
glucose+2 bound mediator(ox)→gluconolactone+2 bound mediator(red)+2H+  (1a)
2 bound mediator (red)→2 bound mediator(ox)+2e  (1b)
glucose+O2→gluconolactone+H2O2  (2a)
H2O2→O2+2H++2e  (2b)
The current at the electrode generally scales with the flux of glucose to the electrode. The flux, and therefore also the current, typically increases linearly with the glucose concentration as long as the entire glucose flux at the electrode is consumed in the electrode reaction.
FIG. 8 illustrates one example of asuitable electrode100. The electrode includes aconductive material102 within an insulatingsleeve104. Disposed on theconductive material102 are asensing layer106, amembrane108, and abiocompatible layer110. Examples of similar electrode configurations, together with examples of some suitable sensing layers and biocompatible layers are provided in U.S. Pat. No. 5,593,852. Other suitable sensing layers and biocompatible layers are described, for example, in U.S. Pat. Nos. 5,665,222; 6,143,164; 6,120,676; 6,576,101; 6,134,461; 6,338,790, and U.S. patent application Ser. No. 09/434,026, now U.S. Pat. No. 6,616,819, all of which are incorporated by reference.
Theconductive material102 can be, for example, carbon, a metal, or a conductive compound or polymer. The insulatingsleeve104 is typically formed from an insulating compound or polymer. In one method of manufacture, a tip of a metal wire (e.g., a gold wire) is etched to form a recess within the insulating sleeve where thesensing layer106,membrane108, andbiocompatible layer110 are deposited.
Thesensing layer106 typically provides a mechanism for transducing an analyte flux (or the flux of a product molecule formed or consumed by a reaction of the analyte) to an electrical signal. The sensing layer can contain, for example, a redox mediator to facilitate the indirect or direct transfer of electrons between the conductive material and the analyre. One type of redox mediator is a transition metal complex or compound (e.g., an osmium, ruthenium, or iron complex or compound). The redox mediator can be a monomeric redox compound or complex. but is preferably in a non-leachable form, such as a redox polymer. The redox polymer, has a polymeric backbone with multiple redox centers. Examples of suitable redox mediators are disclosed in, for example. U.S. Pat. Nos. 5,262,305; 5,262,035; 5,264,104; 5,593,852; 5,665,222; 6,143,164; 6,120,676; 6,576,101; 6,134,461; 6,338,790, and U.S. patent application Ser. No. 09/434,026, now U.S. Pat. No. 6,616,819, all of which are incorporated by reference.
Thesensing layer106 can also include a second electron transfer agent, such as an enzyme. The second electron transfer agent can catalyze the electrochemical oxidation or reduction of the analyte. As an example, suitable second electron transfer agents for glucose include glucose oxidase or glucose dehydrogenase; for lactate, lactate dehydrogenase; and for hydrogen peroxide, peroxidase.
Thebiocompatible layer110 prevents the penetration of large biomolecules into the electrodes. This can be accomplished by using abiocompatible layer110 having a pore size that is smaller than the biomolecules that are to be excluded. Such biomolecules can foul theconductive material102 or thesensing layer106 thereby reducing the effectiveness of theelectrode100 and altering the expected signal amplitude for a given analyte concentration. Thebiocompatible layer110 may also prevent protein adhesion to theelectrode100, formation of blood clots, and other undesirable interactions between theelectrode100 and body. A preferred biocompatible coating is a hydrogel, which contains at least 20 wt. % fluid when in equilibrium with the analyte-containing fluid. Examples of suitable hydrogels are described in U.S. Pat. No. 5,593,852, incorporated herein by reference, and include crosslinked polyethylene oxides, such as polyethylene oxide tetraacrylate.
Thepreferred membrane108 includes at least three, and typically at least six, twelve, or eighteen layers. One example of amembrane108 is formed using alternating polycationic and polyanionic layers. Typically, these layers are formed using polymers. Suitable polycationic polymers include, for example, polyallylamine hydrochloride (PAm), poly(4-vinylpyridine) quaternized by reacting about one third to one tenth of the pyridine nitrogens with 2-bromoethylamine (PVPEA), polyethylene imine, and polystyrene modified with quaternary ammonium functions. Suitable polyanionic polymers include, for example, poly(acrylic acid) (PAc), poly(methacrylic acid), partially sulfonated polystyrene, polystyrene modified with functions having carboxylate anions, and DNA (deoxyribonucleic acid) or RNA (ribonucleic acid) strands, fragments or oligomers. Themembrane108 can serve one or more functions including, for example, a) limiting glucose flux or b) reducing or eliminating the flux of interferents to the electrode. Glucose sensors will be described as an example, but sensors can be formed for other analytes using the same principles.
In glucose sensing optodes or electrodes, a glucose flux-limiting membrane can enhance one or more properties of the optode or the electrode including, for example, expanding the dynamic range, enhancing the apparent stability and improving the selectivity for glucose which may enable one-point calibration of an implanted electrode.
Reducing the flux of glucose (or any other analyte) using a membrane can expand the dynamic range of a sensor. The upper limit of the dynamic range of the sensor is that glucose concentration where the entire influx of the analyte is still consumed. When this limit is exceeded, the rate of glucose-conversion is slower than the influx and the sensor “saturates”: the current no longer increases when the glucose concentration is raised. The kinetic limit, represented by the current density at the glucose concentration above which it no longer increases, is an intrinsic property of the electrode. This current density typically scales linearly with the rate of the slower of reactions 1(a) or 1(b) for a mediator-comprising glucose oxidase electrode or the slower of reactions 2(a) or 2(b) in an O2—utilizing electrode. Because the membrane does not affect the intrinsic rate of the slowest step, its insertion between the assayed fluid and the electrode expands the upper limit of the dynamic range.
Typically, the sensor's apparent stability, which is the stability perceived by its user, can also be improved upon insertion of the glucose flux limiting membrane. The user remains unaware of the deterioration of the electrode's chemistry as long as the kinetics of the slowest step remains fast enough to convert all the influx of glucose to a current. Furthermore, the more blocking the membrane is, the better the apparent stability will typically be. The increased apparent stability and the upward extension of the dynamic range are gained at the cost of reduced specific sensitivity, defined as the current per unit area at unit glucose concentration. The specific sensitivity decreases because less glucose reaches the reactive zone on the electrode. When the specific sensitivity decreases, a larger glucose-transporting area may be needed for the sensor's current to reach an easily measured value.
The membrane thus defines, at least in part, (a) the lowest analyte concentration where the current is large enough to be easily measured and the highest analyte concentration above which the electrode's current no longer increases with the concentration of the analyte; (b) the extent of the feasible miniaturization of the sensor; and (c) the apparent stability of the sensor. Fitting of these characteristics to those sought in the intended application requires tailoring of the flux-controlling membrane. While the characteristics of the earlier solvent-cast membranes depended on the spreading of the casting solution, and on the gradients of temperature and of solvent partial pressure near the membrane being formed; the characteristics of the membranes formed according to the invention typically do not depend on these factors. As a result, the simultaneous tailoring of their many desired characteristics is typically easier.
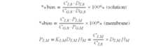
In at least some embodiments, the membrane also reduces or eliminates the flux of interferents to the conductive material of the electrode. The bias resulting from the presence of an interferent that is rapidly electrooxidized at the applied potential is defined by its flux to the electrode surface. In the absence of a membrane, the flux is controlled by diffusion in the solution and is defined by the diffusivity and the concentration of the interferent. When a membrane is inserted between the solution and the electrode, the % bias is defined by the ratio of the products of the solution concentrations and permeabilities of the interferent and glucose.%bias=CI,S·DI,SCG,S·DG,S×100%(solution)%bias=CI,S·PI,MCG,S·PG,M×100%(membrane)PI,M=KI,MDI,M/lM=CI,MCI,S×DI,M/lM
Figure US06746582-20040608-M00001
where C is the concentration of the interferent (I) or glucose (G) in the solution (S) or membrane (M), D represents the appropriate diffusivity, P represents the partition coefficient, and IM represents the thickness of the membrane. Because the permeability is a product of the concentration of the diffusing species in the membrane and of its diffusivity in the membrane, the % bias increases linearly with the ratio of the partition coefficients of the interferent and of glucose between the membrane and the solution. When only monovalent anionic species (Cl, ascorbate, urate) are present, the concentration of anions in the polycationic POs-EA membrane of the sensing layer equals the concentration of its cationic charges, which is about an order of magnitude higher than the concentration of anions in the solution. As a result, the sensing layer is permselective for anions over glucose and in the absence of a neutral or polyanionic glucose-flux-controlling membrane (e.g. Nafion™) the flux and electro-oxidation current of 0.1 mM ascorbate could equal or exceed 10% of that of 10 mM glucose. The membranes described herein are not typically permselective for anions. As a result, ascorbate or urate is not preferentially electrooxidized. As seen in FIG. 3, at 10 mM glucose concentration the combined % bias resulting of the presence of 0.1 mM ascorbate, 0.2 mM acetaminophen and 0.5 mM urate is less than 5%, even though the sensor is poised at 450 mV (Ag/AgCl), a potential where acetaminophen is not rapidly electrooxidized, but ascorbate and urate are.
Transition metal ions also influence the sensor readings. Transition metal ions reduce the intrinsic kinetic capacity of the enzyme layer to electrooxidize glucose and thereby severely reduce the dynamic range and the sensitivity. (See FIG. 4) The loss is attributed to both inhibition of the enzyme and a reduction in the surface density of electroactive redox centers caused by excessive crosslinking through coordination of pyridine rings of neighboring redox centers. In the Examples, a transition metal ion capturing PVPEA/PAc bilayer is included in the membrane. The addition of the PVPEA layer provides an alternative site for capture of transition metal ions by providing pyridine functionalities that can complex with the transition metal ions. It will be recognized that other materials can be used in place of PVPEA. Typically, the replacement materials will include functionalities that can form complexes with the transition metal ions. Because the PVPEA layer is already highly crosslinked, the incremental crosslinking by coordination of the transition metal ions does not change excessively the permeability of the micro-membrane to glucose.
As an example, described in the Examples section below, membranes were assembled by sequentially chemisorbing polyanionic and polycationic materials on miniature (5×10−4cm2) enzyme electrodes. The sequential chemisorption process allowed the simultaneous tailoring of their sensitivity, dynamic range, drift and selectivity. When assembled on tips of 250 μm diameter gold wires coated with a redox polymer/glucose oxidase sensing layer, they allowed tailoring of the glucose electrodes for greater than 2 nA/mM sensitivity; 0 to 30 mM dynamic range; drift of ≦5% per 24 hours at 37° C. at 15 mM glucose concentration; ≦5% current increment by the combination of 0.1 mM ascorbate, 0.2 mM acetaminophen and 0.5 mM urate. The membranes also retained transition metal ions that otherwise bind to and damage the redox polymer and the enzyme. The electrodes were tested in the jugular veins and in the intrascapular subcutaneous region of anaesthetized and heparinized non-diabetic Sprague-Dawley rats, in which rapid changes of glycemia were forced by intravenous glucose and insulin. After one-point in-vivo calibration of the electrodes, all of 152 data points were clinically accurate when it was assumed that after insulin injection the glycemia in the subcutaneous fluid lags by 9 minutes behind that of blood withdrawn from the insulin-injected vein.
EXAMPLES
The following are the materials used to make the electrodes: Glucose oxidase (GOx) (Fluka, Milwaukee, Wis., EC 1.1.3.4, 197 units/mg) fromAspergillus niger;poly (ethylene glycol) diglycidyl ether (400) (PEGDGE), and polyallylamine hydrochloride (MW 50,000) (PAm) from Polysciences, Warrington, Pa.; and polyacrylic acid sodium salt (PAc) (MW 15,000), 1-[3-(dimethylamino)propyl]-3-ethylcarbodiimide (EDC), and N-hydroxysuccinimide (NHS) from Aldrich, Milwaukee, Wis. The redox polymer, poly (4-vinylpyridine) partially N-complexed with [Os(bpy)2Cl]+/2+ and quaternized with bromoethylamine (POs-EA), was prepared as described in Gregg et al.,J. Phys. Chem.95, 5970 (1991), incorporated herein by reference. The related polymer from which the osmium complex was omitted, PVPEA, was prepared by quaternizing poly(4-vinylpyridine) with bromoethylaamine.
Example 1
Formation of Glucose Electrodes. Miniature gold electrodes were structurally similar to those described in Csöregi et al.,Anal. Chem.66, 3131 (1994) and U.S. Pat. No. 5,593,852, both of which are incorporated herein by reference. The electrodes were made of polyimide-insulated 0.25 mm gold wire, which was cut to 5 cm long pieces. At one end, the insulation was stripped from 0.5 cm of the wire to make the electrical contact. At the other end, a 90 μm deep polyimide-walled recess was formed by electrochemically etching away the gold under galvanostatic control by an EG&G PARC 273A potentiostat/galvanostat.
The tip of the gold wire at the bottom of the shielded recess was coated with the transduction (sensing) layer; a micro-membrane; and a biocompatible layer. The first and third layers were formed by micropipetting polymer solutions onto the gold surface under a microscope, using a micromanipulator. The micro-membrane was formed by dip and rinse cycles.
The sensing layer included the redox polymer POs-EA and GOx crosslinked with PEGDGE. A 20 mg/mL solution of GOx were dissolved in a 0.1 M sodium bicarbonate aqueous solution. The GOx solution was then mixed at 2:1 volume ratio with a 12 mg/mL solution of sodium periodate and the mixture was reacted in the dark at room temperature for 1 hour. 2 μL of the now periodate-oxidized GOx solution was mixed with 16 μL of 10 mg/mL POs-EA solution and 1.4 μL of 2.5 mg/mL PEGDGE solution. 15 droplets of about 5 nL mixed solution were sequentially micropipetted into the recessed cavity formed by back-etching the gold in its polyimide insulation. The resulting films were cured at 45° C. for 30 minutes.
The micro-membrane was formed over the sensing layer. Thepolyelectrolyte solutions 20 mM PAc, 20 mM PAm and 20 mM PVPEA (the concentrations being those of the acidic or the basic functions, not of the macromolecules) were prepared in 0.1 M NaCl buffered at pH 6 with 0.1 M 2-[N-morpholino] ethanesulfonic acid (MES). This buffer was used also to prepare 20 mM EDC and 50 mM NHS. The sensors were coated by dipping and rinsing cycles, alternately in PAc and in PAm, to form PAc/PAm bilayers, or in PAc then in PVPEA to form the PAc/PVPEA bilayers. The sequence of the resulting sextets was PAc/PAm/PAc/PAm/PAc/PVPEA; the slashes (/) representing rinses with MES buffer to remove the excess (unbound) polyelectrolyte. All of the sensors used in vitro and in animals, except for those made for the parametric optimization of the sensors, had three of the sextet layers (18 layers total).
The biocompatible layer was formed over the micro-membrane. The biocompatible layer was formed by UV-photocrosslinking tetraacrylated PEO, using 2,2-dimethoxy-2-phenyl-acetophenone as the photoinitiator.
Example 2
In Vitro Experiments using the Electrode of Example 1. In vitro experiments were carried out in a stirred, water-jacketed electrochemical cell in 0.15 M NaCl, 0.02 M phosphate buffer solution with pH 7.1. The cell had a saturated Ag/AgCl reference electrode, a platinum counter electrode and the modified 0.25 mm gold wire tip working electrode, as described in Example 1. Unless otherwise stated the working electrode was poised at 400 mV vs. Ag/AgCl, and the cell was maintained at 37° C. with an isothermal circulator (Fisher Scientific, Pittsburgh, Pa.). The potential was controlled by a CHI832 electrochemical detector (CH Instrument, Austin, Tex.) and a PC collected the data.
FIG. 1 illustrates the dependence of the sensitivity on the number of PAc/PAm/PAc/PAm/PAc/PVPEA sextets where the dashed line indicates no micro-membrane, the squares indicate one sextet, the triangles indicate two sextets, and the circles indicate three sextets. This demonstrates the expansion of the linear range and the corresponding decrease in sensitivity when an increasing number of countercharged polyelectrolyte layers is applied on the sensing layer. When the micro-membrane consisted of two sextets (of the sequence PAc/PAm/PAc/PAm/PAc/PVPEA/PAc/PAm/PAc/PAm/PAc/PVPEA) the current increased linearly with the glucose concentration at least up to 30 mM. As seen in FIG. 1, the linear domain in-vitro now extended through the entire physiologically relevant 2-30 mM range.
FIG. 2 illustrates the dependence of the apparent stability on the number of PAc/PAm/PAc/PAmn/PAc/PVPEA sextets where line (a) indicates no micro-membrane, line (b) indicates two sextets, and line (c) indicates three sextets. FIG. 2 illustrates the improvement in the stability of the current at 15 mM glucose concentration and at 37° C. when the number of the layers was increased. In the absence of a micro-membrane, 39% of the current was lost in the initial 24 hour period. Application of two sextets (PAc/PAm/PAc/PAm/PAc/PVPEA/PAc/PAm/ PAc/PAm/PAc/PVPEA) reduced the loss to 9%. When three sextets were applied (PAc/PAm/PAc/PAm/PAc/PVPEA/PAc/PAm/PAc/PAm/PAc/PVPEA/PAc/PAm/PAc/PAm/PAc/PVPEA), the 24 hour loss dropped to 5%.
Both urate and the ascorbate anions are electrooxidized at potentials positive of 200 mV (SCE). In the absence of a micro-membrane the electrooxidation current of anionic interferents is disproportionately high when the redox-polymer backbone is a polycation. For example, the ascorbate electrooxidation current at 0.1 mM ascorbate concentration is greater than the glucose electrooxidation current at 1 mM concentration. The cause of the disproportionate electrooxidation of anionic interferents is thought to be due to the scaling of their concentration within the redox polymer with the density of cationic sites. As a result, the permeability of the membrane to anionic interferents (which is the product of concentration and diffusivity) is higher than that of neutral molecules like glucose.
Application of the micro-membrane alleviated the disproportionately large interference by ascorbate and urate, as shown in FIG.3. At 10 mM glucose concentration, the aggregate increase in current produced by the combination of 0.1 mM ascorbate, 0.2 mM acetaminophen and 0.5 mM urate was less than 5%. The sensitivity of the electrodes to glucose was not changed.
Transition metal ions like Zn2+ and Fe2+/3+, which are present in serum at <50 μM concentration, can reduce the sensitivity of the “wired” enzyme electrode. The loss is observed even in the presence of 20 mM phosphate, which precipitates most of these ions at neutral pH. Application of multiple bilayers consisting only of PAc/PAm, did not appear to alleviate this loss. The loss was, however, alleviated by incorporating PAc/PVPEA bilayers, which had transition-ion complexing pyridine functions as shown in FIG.4.
The results show that the following sensor characteristics can be simultaneously provided by a tailored micro-membrane: Linear range, 2 to 30 mM; sensitivity per unit area of 4 to 6 μAcm−2mM−1, translating to 2 to 3 nA mM−1sensitivity for an electrode having a 5×10−4cm2mass transporting and sensing area; and ≦5% loss in sensitivity in 24 hrs.
Example 3
In Vivo Experiments using the Electrode of Example 1. Male Sprague-Dawley rats, 400-500 g, were pre-anesthetized with halothane (Halocarbon Laboratories, North Augusta, S.C.) and anesthetized by intraperitoneal injection (0.5 mL) of a solution made of equal volumes of acepromazine maleate (10 mg/mL), ketamine (100 mg/mL), and xylazine (20 mg/mL). The animals were shaved about their necks, abdomens, and between their scapulae, and then secured on a homeothermic blanket system (Harvard Apparatus, South Natick, Mass.). A 0.0375-in.-diameter medical grade silicone tube was inserted into the proximal portion of their right external jugular vein and secured with 4-0 silk sutures. A dose of 100 units/kg body weight of heparin solution was then administered, followed by an equal volume of saline to clear the line. A glucose sensor was implanted subcutaneously between the scapulae, using a 22-gauge Per-Q-Cath introducer (Gesco International, San Antonio, Tex.). The sensor was taped to the skin to prevent its movement. A second silicone tubing of ˜2 cm length was inserted into the proximal side of the left external jugular vein as a guide, and the second glucose sensor was inserted inside the guide tube. The tube and the sensor were then secured with a microvascular clamp, with the sensor protruding beyond the end of the guide tube. A Ag/AgCl surface skin reference electrode was attached to the animal's abdomen after conductive gel was applied. The sensors and the reference electrode were then connected to anEG&G PARC Model 400 bipotentiostat, the output of which was recorded with a Rustrak Ranger data-logger (Rustrak Ranger, East Greenwich, R.I.). Data collection started 40-60 minutes after the sensors were poised at +450 mV vs. Ag/AgCl. The reference blood samples were collected from the right jugular vein and were analyzed using a YSI Model 2300 glucose analyzer (YSI, Yellow Spring, Ohio).
In each experiment a 50% glucose solution (300 mg/kg) was administered intravenously to induce a rapid rise in glucose concentration. A rapid decline in glucose concentration was then induced by an intravenous insulin injection (regular U-100, 0.5 unit/kg). At the end of the experiment, the rat was euthanized by intravenous sodium pentobarbital injection, consistent with the recommendations of the panel on Euthanasia of the American Veterinary Association. The protocols of the experiments in vivo were approved by the University of Texas Institutional Animal Use and Care Committee.
The experiment was started when the glycemia of the rats was at a steady state, the steady glucose concentration being confirmed by withdrawing three blood samples and their analysis with the YSI analyzer. Two minutes after the third withdrawal a bolus of glucose was injected. The sensors were calibrated in vivo by independently analyzing a single sample of blood about 2 minutes before the injection of the bolus of glucose. FIG.5(a) shows the variation in the sensor-measured glycemia after boli of glucose and insulin were sequentially administered intravenously. FIG.5(b) shows the correlation of the sensor readings and the YSI results of FIG.5(a). The linear regressions for the eight sensors are summarized in Table 1, below. The average correlation coefficient (r2) was 0.960 for the jugular vein sensors and 0.935 for the subcutaneous sensors. The average of the intercept was 0.6 mM±0.6 mM, not differing greatly from the reported −0.79 mM to +0.48 mM range of intercepts of home blood glucose meters used by self-monitoring diabetic patients.
As seen in FIG.5 and in Table 1 the subcutaneous and the jugular-vein implanted sensors with the in situ synthesized micro-membranes accurately track the YSI-glucose analyzer measured blood glucose concentration when calibrated in vivo at one point. The clinical validity of glucose assays is often judged by their position in zones of the Clarke plot. Points in zone A of the Clarke plot represent accurate assays. Points in zone B represent less accurate assays leading to valid clinical decision. Points in Zone C reflect assays leading to inappropriate, though not harmful, clinical decisions. Points in zone D reflect assays leading to the missing of a necessary clinical action (consumption of a glucose-source or insulin-injection) when such action is required. Points in Zone E reflect assays leading to clinical action that are the opposite of the required, such as assays indicating the need to inject insulin when the patient is already hypoglycemic.
In absence of correction for the potential transient difference between the blood and the subcutaneous glucose concentrations during rapid rise or decline periods the Clarke-type error grid analysis (FIG. 6) of the data shows that 95.5% of the points are in the clinically accurate or acceptable zones A or B (Table 2, below). The points in zone D (4.5%) resulted of failure to detect hypoglycemia and originated in periods of rapid decline following intravenous administration of insulin. The fraction of points in zone D was reduced to less than 1% when it was assumed that following insulin injection, but not after glucose injection, the subcutaneous glucose concentration lags behind that of the insulin-injected vein by 9 minutes. Table 3, below, shows that the fraction of points in zones other than zone A of the Clarke plot increased when it was assumed that in the period after intravenous administration of glucose the lag time of the subcutaneous glucose concentration behind that in the glucose-injected vein was greater than 0 to 3 minutes; when no lag or a 3 min lag were assumed all points were in zone A.
The assumptions of a 0 to 3 min lag of the subcutaneous glycemia after glucose injection and of a 9 min lag after insulin injection not only brought all of the 88 points measured with the subcutaneous electrode into zones A and B of the Clarke plot, but also increased the ratio of zone A to zone B points. For the intravenous sensor-measured glycemia, the assumption of a 3 min lag of the contralateral venous glycemia behind that in the injected vein, whether after glucose or insulin injection, brought all points into zones A and B of the Clarke plot (Tables 3 and 4, below). The assumptions of a 9 min lag in the subcutaneous glycemia after insulin injection and of a 3 min lag in the subcutaneous glycemia after glucose injection, as well as in the contralateral venous glycemia after glucose or insulin injection, thus brought 163 of the 176 points (92.6%) into zone A; 13 points being in zone B. Comparison of the values in Table 5, below, with those in Table 1 summarizes the effect of these assumptions on the distribution of points, the slopes, the intercepts, and the percent difference between the YSI and the sensor readings. The sensors with the in-situ assembled micro-membranes accurately measured the glycemia in the jugular vein and in the interstitial subcutaneous fluid.
The present invention should not be considered limited to the particular examples described above, but rather should be understood to cover all aspects of the invention as fairly set out in the attached Claims. Various modifications, equivalent processes, as well as numerous structures to which the present invention may be applicable will be readily apparent to those of skill in the art to which the present invention is directed upon review of the instant specification.
TABLE 1
Results of linear regression analysis of the correlation between
the actual glucose blood glucose concentrations and concentrations
measured by the implanted sensors*a
Intercept%
Slope(mg/dL)r2difference*b
jugular vein0.83 9.70.966−3.3
jugular vein0.9615.00.94411.5
jugular vein1.02−4.20.957−2.7
jugular vein0.94−0.90.972−9.2
subcutaneous0.8513.10.943 3.3
subcutaneous0.9030.70.93812.7
subcutaneous0.90 3.50.928−9.0
subcutaneous0.8615.70.931 0.1
Average0.91 ± 0.0610.3 ± 11.10.947 ± 0.016 0.4 ± 8.3
*a. 22 blood samples were withdrawn and independently analyzed in each experiment.
*b. % difference = [Σ((sensor glucose-blood glucose)/blood glucose)]/n
TABLE 2
Clarke-type error grid analysis of all data, without and with
assumption of lag.
No lag assumedLag assumed
ZoneData points%Data points%
A151 85.8 163 92.6 
B17 9.713 7.4
C00.000.0
D84.500.0
E00.000.0
*A 3 min lag was assumed, except for the subcutaneous sensors after insulin injection, for which a 9 min lag was assumed.
TABLE 3
Dependence of the distribution of the data points between the zones
of the Clarke plot on the assumed lag after injection of glucose.
Time Delay (mins)0357911
Intravenous Sensors
Zone A32 31 30 30 26 24 
Zone B012267
Zone D000001
Subcutaneous Sensors
Zone A32 32 30 30 29 26 
Zone B002236
Zone D000000
TABLE 4
Dependence of the distribution of the data points between the zones
of the Clarke plot on the assumed lag after injection of insulin.
Time Delay (mins)0357911
Intravenous Sensors
Zone A35 41 40 38 34 33 
Zone B734610 11 
Zone D200000
Subcutaneous Sensors
Zone A28 34 36 35 37 34 
Zone B10 767710
Zone D632200
TABLE 5
Results of linear regression analyses of the correlation between
the YSI-measured venous glycemia and the sensor-measured glycemia
assuming the optimal lag times.*
Intercept,
Slopemg/dLr2% Difference
jugular vein0.78 9.80.96412.5
jugular vein0.99 7.30.968 9.9
jugular vein1.03−11.60.981 5.7
jugular vein0.94 −5.80.980 9.6
average0.94 ± 0.07 2.4 ± 8.60.973 ± 0.007 9.4 ± 1.9
subcutaneous0.85 7.50.94710.7
subcutaneous0.97−23.80.95416.9
subcutaneous0.97 3.80.975 5.7
subcutaneous0.88 2.30.973 9.0
average0.92 ± 0.05 −2.5 ± 7.20.962 ± 0.01210.6 ± 3.0
average0.93 ± 0.08 −1.3 ± 11.60.968 ± 0.01210.0 ± 3.6
(all data)
*3 min lag for the contra-lateral venous and the subcutaneous glycemia after injection of glucose; 3 min lag of the contra-lateral venous glycemia after injection of insulin; 9 min lag of the subcutaneous glycemia after injection of insulin.

Claims (23)

What is claimed is:
1. A sensor, comprising:
a sensing layer comprising an osmium redox polymer disposed on a substrate;
a multilayer flux-limiting membrane comprising a first layer, any subsequent layers, and a polyanionic last layer disposed over the sensing layer, the first layer disposed on and binding to the sensing layer, at least one of the first layer and any subsequent layer being polycationic and comprising pyridine, each layer disposed on and bound to the immediately preceding layer of the membrane.
2. The sensor ofclaim 1, wherein the sensor has an active area of 0.1 cm2or less.
3. The sensor ofclaim 1, wherein the active area is in a range of 10−2cm2to 10−8cm2.
4. The sensor ofclaim 1, wherein the active area is in a range of 10−3cm2to 10−6cm2.
5. The sensor ofclaim 1, wherein the sensing layer comprises an enzyme.
6. The sensor ofclaim 1, wherein the substrate comprises an electrode upon which the sensing layer is disposed.
7. The sensor ofclaim 1, wherein the substrate comprises an optical fiber upon which the sensing layer is disposed.
8. The sensor ofclaim 7, wherein the sensing layer is disposed on a tip of the optical fiber.
9. The sensor of clam1, wherein the osmium redox polymer comprises a non-leachable redox compound.
10. The sensor ofclaim 1, wherein the multilayer membrane comprises the polycationic layer adjacent the polyanionic last layers.
11. The sensor ofclaim 1, wherein the sensor is adapted for implantation of at least a portion of the sensor in an animal.
12. The sensor ofclaim 1, wherein the sensor is adapted for subcutaneous implantation of at least a portion of the sensor in an animal.
13. The sensor ofclaim 1, further comprising a biocompatible layer disposed over the multilayer membrane.
14. The sensor ofclaim 1, wherein at least one of the layers of the multilayer membrane comprises functional groups that can capture transition metal ions.
15. The sensor ofclaim 1, wherein the membrane is configured and arranged to reduce flux of an analyte to the sensing layer.
16. The sensor ofclaim 1, wherein the membrane is configured and arranged to reduce flux of at least one interferent to the sensing layer.
17. The sensor ofclaim 1, wherein the multilayer membrane comprises the first layer, the last layer, and one subsequent layer.
18. The sensor ofclaim 1, wherein the multilayer membrane comprises the first layer, the last layer, and at least four subsequent layers.
19. A method of making a sensor, the method comprising steps of:
disposing a sensing layer on a surface; and
forming a membrane over the sensing layer by chemisorbing, in an alternating and binding manner, at least three layers alternating between polyanionic layers and polycationic layers comprising pyridine, with a last layer being a polyanionic layer.
20. The method ofclaim 19, further comprising disposing a biocompatible layer over the membrane.
21. A method of making a sensor, the method comprising steps of:
disposing a sensing layer on a substrate;
disposing and binding a first membrane layer on the sensing layer;
optionally disposing one or more subsequent membrane layers on the first membrane layer; and
disposing a polyanionic last membrane layer,
wherein at least one of the first membrane layer and any optional subsequent membrane layer is polycationic and comprises pyridine.
22. The method ofclaim 21, wherein the membrane layers are bound to the sensing layer or any protecting membrane layer by chemisorption or reactive adsorption.
23. The method ofclaim 22, further comprising rinsing after disposing at least one of the first membrane layer or any subsequent membrane layers.
US09/854,3102000-05-122001-05-11Electrodes with multilayer membranes and methods of making the electrodesExpired - LifetimeUS6746582B2 (en)

Priority Applications (5)

Application NumberPriority DateFiling DateTitle
US09/854,310US6746582B2 (en)2000-05-122001-05-11Electrodes with multilayer membranes and methods of making the electrodes
US10/862,932US7666284B2 (en)2000-05-122004-06-07Electrodes with multilayer membranes and methods of using and making the electrodes
US12/421,619US20100023270A1 (en)2000-05-122009-04-09Electrodes With Multilayer Membranes And Methods Of Making The Electrodes
US12/544,689US20090308743A1 (en)2000-05-122009-08-20Electrodes with Multilayer Membranes and Methods of Using and Making the Electrodes
US12/843,634US20100288633A1 (en)2000-05-122010-07-26Electrodes with Multilayer Membranes and Methods of Using and Making the Electrodes

Applications Claiming Priority (2)

Application NumberPriority DateFiling DateTitle
US20376200P2000-05-122000-05-12
US09/854,310US6746582B2 (en)2000-05-122001-05-11Electrodes with multilayer membranes and methods of making the electrodes

Related Child Applications (1)

Application NumberTitlePriority DateFiling Date
US10/862,932ContinuationUS7666284B2 (en)2000-05-122004-06-07Electrodes with multilayer membranes and methods of using and making the electrodes

Publications (2)

Publication NumberPublication Date
US20010054319A1 US20010054319A1 (en)2001-12-27
US6746582B2true US6746582B2 (en)2004-06-08

Family

ID=22755201

Family Applications (5)

Application NumberTitlePriority DateFiling Date
US09/854,310Expired - LifetimeUS6746582B2 (en)2000-05-122001-05-11Electrodes with multilayer membranes and methods of making the electrodes
US10/862,932Expired - LifetimeUS7666284B2 (en)2000-05-122004-06-07Electrodes with multilayer membranes and methods of using and making the electrodes
US12/421,619AbandonedUS20100023270A1 (en)2000-05-122009-04-09Electrodes With Multilayer Membranes And Methods Of Making The Electrodes
US12/544,689AbandonedUS20090308743A1 (en)2000-05-122009-08-20Electrodes with Multilayer Membranes and Methods of Using and Making the Electrodes
US12/843,634AbandonedUS20100288633A1 (en)2000-05-122010-07-26Electrodes with Multilayer Membranes and Methods of Using and Making the Electrodes

Family Applications After (4)

Application NumberTitlePriority DateFiling Date
US10/862,932Expired - LifetimeUS7666284B2 (en)2000-05-122004-06-07Electrodes with multilayer membranes and methods of using and making the electrodes
US12/421,619AbandonedUS20100023270A1 (en)2000-05-122009-04-09Electrodes With Multilayer Membranes And Methods Of Making The Electrodes
US12/544,689AbandonedUS20090308743A1 (en)2000-05-122009-08-20Electrodes with Multilayer Membranes and Methods of Using and Making the Electrodes
US12/843,634AbandonedUS20100288633A1 (en)2000-05-122010-07-26Electrodes with Multilayer Membranes and Methods of Using and Making the Electrodes

Country Status (3)

CountryLink
US (5)US6746582B2 (en)
AU (1)AU2001263022A1 (en)
WO (1)WO2001088524A1 (en)

Cited By (421)

* Cited by examiner, † Cited by third party
Publication numberPriority datePublication dateAssigneeTitle
US20040122353A1 (en)*2002-12-192004-06-24Medtronic Minimed, Inc.Relay device for transferring information between a sensor system and a fluid delivery system
US20040219664A1 (en)*2000-05-122004-11-04Therasense, Inc.Electrodes with multilayer membranes and methods of using and making the electrodes
US20050065464A1 (en)*2002-07-242005-03-24Medtronic Minimed, Inc.System for providing blood glucose measurements to an infusion device
US20050153309A1 (en)*2003-12-222005-07-14David HoonMethod and apparatus for in vivo surveillance of circulating biological components
US20050153379A1 (en)*2003-12-222005-07-14David HoonMethod and apparatus for in vivo collection of circulating biological components
US20050173245A1 (en)*2004-02-092005-08-11Benjamin FeldmanMembrane suitable for use in an analyte sensor, analyte sensor, and associated method
US20050215871A1 (en)*2004-02-092005-09-29Feldman Benjamin JAnalyte sensor, and associated system and method employing a catalytic agent
US20050241957A1 (en)*2001-05-152005-11-03Fei MaoBiosensor membranes composed of polymers containing heterocyclic nitrogens
US20060001550A1 (en)*1998-10-082006-01-05Mann Alfred ETelemetered characteristic monitor system and method of using the same
US20060149067A1 (en)*2001-05-112006-07-06Fei MaoTransition metal complexes with (pyridyl)imidazole ligands
US20060148096A1 (en)*2002-11-052006-07-06Jina Arvind NAssay device, system and method
US20060173410A1 (en)*2005-02-032006-08-03Medtronic Minimed, Inc.Insertion device
US20060184104A1 (en)*2005-02-152006-08-17Medtronic Minimed, Inc.Needle guard
US20060184154A1 (en)*1998-10-292006-08-17Medtronic Minimed, Inc.Methods and apparatuses for detecting occlusions in an ambulatory infusion pump
US20060201805A1 (en)*2002-10-232006-09-14Forrow Nigel JBiosensor having improved hematocrit and oxygen biases
US20060205029A1 (en)*2001-05-162006-09-14Adam HellerDevice for the determination of glycated hemoglobin
US20060272652A1 (en)*2005-06-032006-12-07Medtronic Minimed, Inc.Virtual patient software system for educating and treating individuals with diabetes
US20070007132A1 (en)*1999-11-152007-01-11Fei MaoTransition metal complexes with bidentate ligand having an imidazole ring
US20070020501A1 (en)*2005-07-212007-01-25Ling-Feng LiPolyelectrolyte membranes as separator for battery and fuel cell applications
US20070033074A1 (en)*2005-06-032007-02-08Medtronic Minimed, Inc.Therapy management system
US20070060869A1 (en)*2005-08-162007-03-15Tolle Mike C VController device for an infusion pump
US20070060871A1 (en)*2005-09-132007-03-15Medtronic Minimed, Inc.Modular external infusion device
US20070060870A1 (en)*2005-08-162007-03-15Tolle Mike Charles VController device for an infusion pump
US20070066956A1 (en)*2005-07-272007-03-22Medtronic Minimed, Inc.Systems and methods for entering temporary basal rate pattern in an infusion device
US20070093786A1 (en)*2005-08-162007-04-26Medtronic Minimed, Inc.Watch controller for a medical device
US20070100222A1 (en)*2004-06-142007-05-03Metronic Minimed, Inc.Analyte sensing apparatus for hospital use
US20070095661A1 (en)*2005-10-312007-05-03Yi WangMethod of making, and, analyte sensor
US20070135697A1 (en)*2004-04-192007-06-14Therasense, Inc.Method and apparatus for providing sensor guard for data monitoring and detection systems
US20070149875A1 (en)*2005-12-282007-06-28Abbott Diabetes Care, Inc.Analyte monitoring
US20070163894A1 (en)*2005-12-302007-07-19Medtronic Minimed, Inc.Real-time self-calibrating sensor system and method
US20070173711A1 (en)*2005-09-232007-07-26Medtronic Minimed, Inc.Sensor with layered electrodes
US20070173761A1 (en)*1999-06-032007-07-26Medtronic Minimed, Inc.Apparatus and method for controlling insulin infusion with state variable feedback
US20070170073A1 (en)*2005-12-302007-07-26Medtronic Minimed, Inc.Method and System for Detecting Age, Hydration, and Functional States of Sensors Using Electrochemical Impedance Spectroscopy
US20070173712A1 (en)*2005-12-302007-07-26Medtronic Minimed, Inc.Method of and system for stabilization of sensors
US20070169533A1 (en)*2005-12-302007-07-26Medtronic Minimed, Inc.Methods and systems for detecting the hydration of sensors
US20070191770A1 (en)*1998-10-292007-08-16Medtronic Minimed, Inc.Method and apparatus for detecting occlusions in an ambulatory infusion pump
US20070215465A1 (en)*2006-03-152007-09-20Honeywell International Inc.Biosensor membrane and methods related thereto
US7278983B2 (en)2002-07-242007-10-09Medtronic Minimed, Inc.Physiological monitoring device for controlling a medication infusion device
US20070244383A1 (en)*2004-07-272007-10-18Medtronic Minimed, Inc.Sensing system with auxiliary display
US7303543B1 (en)2004-12-032007-12-04Medtronic Minimed, Inc.Medication infusion set
US20080000780A1 (en)*2006-06-302008-01-03Simon TonksRapid analyte measurement assay
US20080118782A1 (en)*2002-05-022008-05-22Adam HellerMiniature biological fuel cell that is operational under physiological conditions, and associated devices and methods
US20080119702A1 (en)*2006-10-312008-05-22Abbott Diabetes Care, Inc.Analyte meter having alert, alarm and test reminder capabilities and methods of use
US20080139910A1 (en)*2006-12-062008-06-12Metronic Minimed, Inc.Analyte sensor and method of using the same
US20080177164A1 (en)*2006-11-302008-07-24Adam HellerLyotropic Liquid Crystal Coated Analyte Monitoring Device and Methods of Use
US20080179187A1 (en)*2007-01-312008-07-31Tianmei OuyangHeterocyclic nitrogen containing polymers coated analyte monitoring device and methods of use
US20080183060A1 (en)*2007-01-312008-07-31Steil Garry MModel predictive method and system for controlling and supervising insulin infusion
US20080197026A1 (en)*2001-05-112008-08-21Fei MaoTransition metal complexes with (pyridyl)imidazole ligands
US20080300572A1 (en)*2007-06-012008-12-04Medtronic Minimed, Inc.Wireless monitor for a personal medical device system
US20090018779A1 (en)*2005-06-292009-01-15Medtronic Minimed, Inc.Flexible glucose analysis using varying time report deltas and configurable glucose target ranges
US20090018425A1 (en)*2005-12-282009-01-15Tianmei OuyangAnalyte monitoring: stabilizer for subcutaneous glucose sensor with incorporated antiglycolytic agent
US20090082693A1 (en)*2004-12-292009-03-26Therasense, Inc.Method and apparatus for providing temperature sensor module in a data communication system
US20090088731A1 (en)*2000-02-162009-04-02Medtronic Minimed, Inc.Infusion Device Menu Structure and Method of Using the Same
US20090095625A1 (en)*2007-10-122009-04-16Forrow Nigel JMediator-Stabilized Reagent Compositions for Use in Biosensor Electrodes
US20090095642A1 (en)*2001-05-112009-04-16Abbott Diabetes Care Inc.Transition metal complexes with pyridyl-imidazole ligands
US20090099434A1 (en)*1999-11-152009-04-16Abbott Diabetes Care Inc.Oxygen-effect free analyte sensor
US20090099509A1 (en)*2002-07-242009-04-16Medtronic Minimed, Inc.System for Providing Blood Glucose Measurements to an Infusion Device
US20090112626A1 (en)*2007-10-302009-04-30Cary TalbotRemote wireless monitoring, processing, and communication of patient data
US7582059B2 (en)2002-11-052009-09-01Abbott Diabetes Care Inc.Sensor inserter methods of use
US20090227855A1 (en)*2005-08-162009-09-10Medtronic Minimed, Inc.Controller device for an infusion pump
WO2009126942A2 (en)2008-04-102009-10-15Abbott Diabetes Care Inc.Method and system for sterilizing an analyte sensor
US7620438B2 (en)2006-03-312009-11-17Abbott Diabetes Care Inc.Method and system for powering an electronic device
US7618369B2 (en)2006-10-022009-11-17Abbott Diabetes Care Inc.Method and system for dynamically updating calibration parameters for an analyte sensor
US20090294301A1 (en)*2008-06-022009-12-03Feldman Benjamin JReference Electrodes Having An Extended Lifetime for Use in Long Term Amperometric Sensors
US20090294307A1 (en)*2008-06-022009-12-03Zenghe LiuRedox polymer based reference electrodes having an extended lifetime for use in long term amperometric sensors
US20090298104A1 (en)*2008-06-022009-12-03Zenghe LiuReference electrodes having an extended lifetime for use in long term amperometric sensors
US20090299301A1 (en)*2008-05-282009-12-03Medtronic Minimed, Inc.Needle protective device for subcutaneous sensors
US20090294306A1 (en)*2008-06-022009-12-03Feldman Benjamin JReference electrodes having an extended lifetime for use in long term amperometric sensors
US7630748B2 (en)2006-10-252009-12-08Abbott Diabetes Care Inc.Method and system for providing analyte monitoring
US20090317393A1 (en)*2003-02-242009-12-24University Of Maryland, BaltimoreMethod of modifying glucose activity using polypeptides selectively expressed in fat tissue
US20100012049A1 (en)*2006-04-122010-01-21Jms Co., LtdCavitation heating system and method
US7653425B2 (en)2006-08-092010-01-26Abbott Diabetes Care Inc.Method and system for providing calibration of an analyte sensor in an analyte monitoring system
US20100030052A1 (en)*2008-07-312010-02-04Bommakanti Balasubrahmanya SAnalyte sensors comprising plasticizers
US20100069732A1 (en)*2006-10-312010-03-18Abbott Diabetes Care Inc.Medical Devices and Methods of Using the Same
US20100064800A1 (en)*2008-07-172010-03-18Abbott Diabetes Care Inc.Strip connectors for measurement devices
US20100065441A1 (en)*2008-09-152010-03-18Feldman Benjamin JCationic polymer based wired enzyme formulations for use in analyte sensors
WO2010039744A1 (en)2008-09-302010-04-08Abbott Diabetes Care Inc.Optimizing analyte sensor calibration
US7697967B2 (en)2005-12-282010-04-13Abbott Diabetes Care Inc.Method and apparatus for providing analyte sensor insertion
US20100111066A1 (en)*2008-11-052010-05-06Medtronic Minimed, Inc.System and method for variable beacon timing with wireless devices
US7727467B2 (en)2003-06-202010-06-01Roche Diagnostics Operations, Inc.Reagent stripe for test strip
US7737581B2 (en)2005-08-162010-06-15Medtronic Minimed, Inc.Method and apparatus for predicting end of battery life
US7736310B2 (en)2006-01-302010-06-15Abbott Diabetes Care Inc.On-body medical device securement
US7766829B2 (en)2005-11-042010-08-03Abbott Diabetes Care Inc.Method and system for providing basal profile modification in analyte monitoring and management systems
US7768387B2 (en)2007-04-142010-08-03Abbott Diabetes Care Inc.Method and apparatus for providing dynamic multi-stage signal amplification in a medical device
US7768386B2 (en)2007-07-312010-08-03Abbott Diabetes Care Inc.Method and apparatus for providing data processing and control in a medical communication system
US20100198188A1 (en)*2009-02-052010-08-05Abbott Diabetes Care Inc.Devices and Methods for Metering Insoluble Active Agent Particles
WO2010091005A1 (en)2009-02-032010-08-12Abbott Diabetes Care Inc.Analyte sensor and apparatus for insertion of the sensor
US20100215518A1 (en)*2004-12-162010-08-26Welch Jr Kenneth WBuoyancy pump power system
US7801582B2 (en)2006-03-312010-09-21Abbott Diabetes Care Inc.Analyte monitoring and management system and methods therefor
US7811689B2 (en)1998-06-172010-10-12Abbott Diabetes Care Inc.Biological fuel cell and methods
US7822455B2 (en)2006-02-282010-10-26Abbott Diabetes Care Inc.Analyte sensors and methods of use
US20100270180A1 (en)*2009-04-282010-10-28Abbott Diabetes Care Inc.Service-detectable analyte sensors and methods of using and making same
US20100270150A1 (en)*2009-04-282010-10-28Abbott Diabetes Care Inc.Smart Sensor Ports and Methods of Using Same
US7826382B2 (en)2008-05-302010-11-02Abbott Diabetes Care Inc.Close proximity communication device and methods
US20100306888A1 (en)*2007-03-202010-12-02Massachusetts Institute Of TechnologyHigh Resolution Near Field Scanning Optical Microscopy
WO2010141922A1 (en)2009-06-042010-12-09Abbott Diabetes Care Inc.Method and system for updating a medical device
US20100326842A1 (en)*2009-06-302010-12-30Abbott Diabetes Care Inc.Extruded Electrode Structures and Methods of Using Same
US20100326843A1 (en)*2009-06-302010-12-30Abbott Diabetes Care IncExtruded analyte sensors and methods of using same
US7883464B2 (en)2005-09-302011-02-08Abbott Diabetes Care Inc.Integrated transmitter unit and sensor introducer mechanism and methods of use
US7885698B2 (en)2006-02-282011-02-08Abbott Diabetes Care Inc.Method and system for providing continuous calibration of implantable analyte sensors
US20110040246A1 (en)*2009-08-112011-02-17Galasso John RAnalyte sensor ports
US20110046466A1 (en)*2009-08-192011-02-24Feldman Benjamin JAnalyte Sensors Including Nanomaterials and Methods of Using Same
US20110048940A1 (en)*2009-08-312011-03-03Abbott Diabetes Care Inc.Small volume test strips with large sample fill ports, supported test strips, and methods of making and using same
WO2011026053A1 (en)2009-08-312011-03-03Abbott Diabetes Care Inc.Displays for a medical device
WO2011026147A1 (en)2009-08-312011-03-03Abbott Diabetes Care Inc.Analyte signal processing device and methods
US7920907B2 (en)2006-06-072011-04-05Abbott Diabetes Care Inc.Analyte monitoring system and method
US7928850B2 (en)2007-05-082011-04-19Abbott Diabetes Care Inc.Analyte monitoring system and methods
WO2011053881A1 (en)2009-10-302011-05-05Abbott Diabetes Care Inc.Method and apparatus for detecting false hypoglycemic conditions
US7942844B2 (en)2006-04-282011-05-17Medtronic Minimed, Inc.Remote monitoring for networked fluid infusion systems
US20110124993A1 (en)*2009-11-242011-05-26Abbott Diabetes Care Inc.Analyte Sensors Comprising Self-Polymerizing Hydrogels
US20110124994A1 (en)*2009-11-242011-05-26Bommakanti Balasubrahmanya SAnalyte Sensors Comprising Hydrogel Membranes
US20110120865A1 (en)*2009-11-242011-05-26Abbott Diabetes Care Inc.Analyte Sensors Comprising High-Boiling Point Solvents
US20110184264A1 (en)*2010-01-282011-07-28Abbott Diabetes Care Inc.Universal Test Strip Port
US7996158B2 (en)2007-05-142011-08-09Abbott Diabetes Care Inc.Method and apparatus for providing data processing and control in a medical communication system
WO2011119896A1 (en)2010-03-242011-09-29Abbott Diabetes Care Inc.Medical device inserters and processes of inserting and using medical devices
US8029441B2 (en)2006-02-282011-10-04Abbott Diabetes Care Inc.Analyte sensor transmitter unit configuration for a data monitoring and management system
WO2011130545A1 (en)2010-04-162011-10-20Abbott Diabetes Care Inc.Analyte monitoring device and methods
US8066639B2 (en)2003-06-102011-11-29Abbott Diabetes Care Inc.Glucose measuring device for use in personal area network
US8073008B2 (en)2006-04-282011-12-06Medtronic Minimed, Inc.Subnetwork synchronization and variable transmit synchronization techniques for a wireless medical device network
US8071030B2 (en)2003-06-202011-12-06Roche Diagnostics Operations, Inc.Test strip with flared sample receiving chamber
US8103456B2 (en)2009-01-292012-01-24Abbott Diabetes Care Inc.Method and device for early signal attenuation detection using blood glucose measurements
US8103471B2 (en)2007-05-142012-01-24Abbott Diabetes Care Inc.Method and apparatus for providing data processing and control in a medical communication system
US8105268B2 (en)2001-09-072012-01-31Medtronic Minimed, Inc.Safety limits for closed-loop infusion pump control
US8112240B2 (en)2005-04-292012-02-07Abbott Diabetes Care Inc.Method and apparatus for providing leak detection in data monitoring and management systems
US8114269B2 (en)2005-12-302012-02-14Medtronic Minimed, Inc.System and method for determining the point of hydration and proper time to apply potential to a glucose sensor
US8116840B2 (en)2003-10-312012-02-14Abbott Diabetes Care Inc.Method of calibrating of an analyte-measurement device, and associated methods, devices and systems
US8114268B2 (en)2005-12-302012-02-14Medtronic Minimed, Inc.Method and system for remedying sensor malfunctions detected by electrochemical impedance spectroscopy
US8121857B2 (en)2007-02-152012-02-21Abbott Diabetes Care Inc.Device and method for automatic data acquisition and/or detection
US8123686B2 (en)2007-03-012012-02-28Abbott Diabetes Care Inc.Method and apparatus for providing rolling data in communication systems
US8135548B2 (en)2006-10-262012-03-13Abbott Diabetes Care Inc.Method, system and computer program product for real-time detection of sensitivity decline in analyte sensors
US8140312B2 (en)2007-05-142012-03-20Abbott Diabetes Care Inc.Method and system for determining analyte levels
US8140142B2 (en)2007-04-142012-03-20Abbott Diabetes Care Inc.Method and apparatus for providing data processing and control in medical communication system
US8148164B2 (en)2003-06-202012-04-03Roche Diagnostics Operations, Inc.System and method for determining the concentration of an analyte in a sample fluid
US8149117B2 (en)2007-05-082012-04-03Abbott Diabetes Care Inc.Analyte monitoring system and methods
US8160900B2 (en)2007-06-292012-04-17Abbott Diabetes Care Inc.Analyte monitoring and management device and method to analyze the frequency of user interaction with the device
WO2012058237A1 (en)2010-10-262012-05-03Abbott Diabetes Care Inc.Analyte measurement devices and systems, and components and methods related thereto
US8197444B1 (en)2010-12-222012-06-12Medtronic Minimed, Inc.Monitoring the seating status of a fluid reservoir in a fluid infusion device
WO2012078908A1 (en)2010-12-092012-06-14Abbott Diabetes Care Inc.Analyte sensors with a sensing surface having small sensing spots
US8216138B1 (en)2007-10-232012-07-10Abbott Diabetes Care Inc.Correlation of alternative site blood and interstitial fluid glucose concentrations to venous glucose concentration
US8224415B2 (en)2009-01-292012-07-17Abbott Diabetes Care Inc.Method and device for providing offset model based calibration for analyte sensor
US8239166B2 (en)2007-05-142012-08-07Abbott Diabetes Care Inc.Method and apparatus for providing data processing and control in a medical communication system
US8260558B2 (en)2007-05-142012-09-04Abbott Diabetes Care Inc.Method and apparatus for providing data processing and control in a medical communication system
US8273241B2 (en)1998-10-082012-09-25Abbott Diabetes Care Inc.Small volume in vitro analyte sensor and methods of making
US8287703B2 (en)1999-10-042012-10-16Roche Diagnostics Operations, Inc.Biosensor and method of making
WO2012154286A1 (en)2011-02-282012-11-15Abbott Diabetes Care Inc.Devices, systems, and methods associated with analyte monitoring devices and devices incorporating the same
US8333714B2 (en)2006-09-102012-12-18Abbott Diabetes Care Inc.Method and system for providing an integrated analyte sensor insertion device and data processing unit
US8343092B2 (en)2005-03-212013-01-01Abbott Diabetes Care Inc.Method and system for providing integrated medication infusion and analyte monitoring system
US8344847B2 (en)2009-07-092013-01-01Medtronic Minimed, Inc.Coordination of control commands in a medical device system having at least one therapy delivery device and at least one wireless controller device
US8346335B2 (en)2008-03-282013-01-01Abbott Diabetes Care Inc.Analyte sensor calibration management
US8343093B2 (en)2002-10-092013-01-01Abbott Diabetes Care Inc.Fluid delivery device with autocalibration
US8368556B2 (en)2009-04-292013-02-05Abbott Diabetes Care Inc.Method and system for providing data communication in continuous glucose monitoring and management system
US8374668B1 (en)2007-10-232013-02-12Abbott Diabetes Care Inc.Analyte sensor with lag compensation
US8377031B2 (en)2007-10-232013-02-19Abbott Diabetes Care Inc.Closed loop control system with safety parameters and methods
US8386042B2 (en)2009-11-032013-02-26Medtronic Minimed, Inc.Omnidirectional accelerometer device and medical device incorporating same
US8409093B2 (en)2007-10-232013-04-02Abbott Diabetes Care Inc.Assessing measures of glycemic variability
USD680454S1 (en)2011-10-252013-04-23Abbott Diabetes Care Inc.Analyte meter and strip port
US8431011B2 (en)2008-01-312013-04-30Abbott Diabetes Care Inc.Method for automatically and rapidly distinguishing between control and sample solutions in a biosensor strip
US8444560B2 (en)2007-05-142013-05-21Abbott Diabetes Care Inc.Method and apparatus for providing data processing and control in a medical communication system
US8444834B2 (en)1999-11-152013-05-21Abbott Diabetes Care Inc.Redox polymers for use in analyte monitoring
US8454576B2 (en)2007-04-252013-06-04Medtronic Minimed, Inc.Device and method for therapy calibration and safety response
US8456301B2 (en)2007-05-082013-06-04Abbott Diabetes Care Inc.Analyte monitoring system and methods
US8467972B2 (en)2009-04-282013-06-18Abbott Diabetes Care Inc.Closed loop blood glucose control algorithm analysis
US8471714B2 (en)2005-05-172013-06-25Abbott Diabetes Care Inc.Method and system for providing data management in data monitoring system
US8473022B2 (en)2008-01-312013-06-25Abbott Diabetes Care Inc.Analyte sensor with time lag compensation
US8478557B2 (en)2009-07-312013-07-02Abbott Diabetes Care Inc.Method and apparatus for providing analyte monitoring system calibration accuracy
US8474332B2 (en)2010-10-202013-07-02Medtronic Minimed, Inc.Sensor assembly and medical device incorporating same
WO2013102158A1 (en)2011-12-302013-07-04Abbott Diabetes Care Inc.Method and apparatus for determining medication dose information
US8483967B2 (en)2009-04-292013-07-09Abbott Diabetes Care Inc.Method and system for providing real time analyte sensor calibration with retrospective backfill
US8479595B2 (en)2010-10-202013-07-09Medtronic Minimed, Inc.Sensor assembly and medical device incorporating same
US8487758B2 (en)2009-09-022013-07-16Medtronic Minimed, Inc.Medical device having an intelligent alerting scheme, and related operating methods
US8495918B2 (en)2010-10-202013-07-30Medtronic Minimed, Inc.Sensor assembly and medical device incorporating same
US8497777B2 (en)2009-04-152013-07-30Abbott Diabetes Care Inc.Analyte monitoring system having an alert
US8512246B2 (en)2003-04-282013-08-20Abbott Diabetes Care Inc.Method and apparatus for providing peak detection circuitry for data communication systems
US8512243B2 (en)2005-09-302013-08-20Abbott Diabetes Care Inc.Integrated introducer and transmitter assembly and methods of use
US8523803B1 (en)2012-03-202013-09-03Medtronic Minimed, Inc.Motor health monitoring and medical device incorporating same
US8545403B2 (en)2005-12-282013-10-01Abbott Diabetes Care Inc.Medical device insertion
US8560038B2 (en)2007-05-142013-10-15Abbott Diabetes Care Inc.Method and apparatus for providing data processing and control in a medical communication system
US8564447B2 (en)2011-03-182013-10-22Medtronic Minimed, Inc.Battery life indication techniques for an electronic device
US8562565B2 (en)2010-10-152013-10-22Medtronic Minimed, Inc.Battery shock absorber for a portable medical device
US8571624B2 (en)2004-12-292013-10-29Abbott Diabetes Care Inc.Method and apparatus for mounting a data transmission device in a communication system
WO2013163342A1 (en)2012-04-242013-10-31Abbott Diabetes Care Inc.Methods of lag-compensation for analyte measurements, and devices related thereto
US8574201B2 (en)2009-12-222013-11-05Medtronic Minimed, Inc.Syringe piston with check valve seal
US8579853B2 (en)2006-10-312013-11-12Abbott Diabetes Care Inc.Infusion devices and methods
US8583205B2 (en)2008-03-282013-11-12Abbott Diabetes Care Inc.Analyte sensor calibration management
US8591410B2 (en)2008-05-302013-11-26Abbott Diabetes Care Inc.Method and apparatus for providing glycemic control
US8597575B2 (en)2006-03-312013-12-03Abbott Diabetes Care Inc.Analyte monitoring devices and methods therefor
US8597188B2 (en)2007-06-212013-12-03Abbott Diabetes Care Inc.Health management devices and methods
US8600681B2 (en)2007-05-142013-12-03Abbott Diabetes Care Inc.Method and apparatus for providing data processing and control in a medical communication system
US8603026B2 (en)2012-03-202013-12-10Medtronic Minimed, Inc.Dynamic pulse-width modulation motor control and medical device incorporating same
US8603033B2 (en)2010-10-152013-12-10Medtronic Minimed, Inc.Medical device and related assembly having an offset element for a piezoelectric speaker
US8602991B2 (en)2005-08-302013-12-10Abbott Diabetes Care Inc.Analyte sensor introducer and methods of use
US8603032B2 (en)2010-10-152013-12-10Medtronic Minimed, Inc.Medical device with membrane keypad sealing element, and related manufacturing method
US8603027B2 (en)2012-03-202013-12-10Medtronic Minimed, Inc.Occlusion detection using pulse-width modulation and medical device incorporating same
US20130338244A9 (en)*2010-01-092013-12-19Dais Analytic CorporationAnionic exchange electrolyte polymer membranes
US8614596B2 (en)2011-02-282013-12-24Medtronic Minimed, Inc.Systems and methods for initializing a voltage bus and medical devices incorporating same
US8613892B2 (en)2009-06-302013-12-24Abbott Diabetes Care Inc.Analyte meter with a moveable head and methods of using the same
US8613703B2 (en)2007-05-312013-12-24Abbott Diabetes Care Inc.Insertion devices and methods
US8617069B2 (en)2007-06-212013-12-31Abbott Diabetes Care Inc.Health monitor
US8622988B2 (en)2008-08-312014-01-07Abbott Diabetes Care Inc.Variable rate closed loop control and methods
US8628510B2 (en)2010-12-222014-01-14Medtronic Minimed, Inc.Monitoring the operating health of a force sensor in a fluid infusion device
US8635046B2 (en)2010-06-232014-01-21Abbott Diabetes Care Inc.Method and system for evaluating analyte sensor response characteristics
US8638220B2 (en)2005-10-312014-01-28Abbott Diabetes Care Inc.Method and apparatus for providing data communication in data monitoring and management systems
US8665091B2 (en)2007-05-082014-03-04Abbott Diabetes Care Inc.Method and device for determining elapsed sensor life
US8679853B2 (en)2003-06-202014-03-25Roche Diagnostics Operations, Inc.Biosensor with laser-sealed capillary space and method of making
US20140090465A1 (en)*2011-07-072014-04-03Holger BehnkCuvette Module Having an Electrically Conductive Cuvette Carrier
US8690855B2 (en)*2010-12-222014-04-08Medtronic Minimed, Inc.Fluid reservoir seating procedure for a fluid infusion device
US8702928B2 (en)2010-11-222014-04-22Abbott Diabetes Care Inc.Modular analyte measurement system with extendable strip port
US8710993B2 (en)2011-11-232014-04-29Abbott Diabetes Care Inc.Mitigating single point failure of devices in an analyte monitoring system and methods thereof
US8732188B2 (en)2007-02-182014-05-20Abbott Diabetes Care Inc.Method and system for providing contextual based medication dosage determination
US8734422B2 (en)2008-08-312014-05-27Abbott Diabetes Care Inc.Closed loop control with improved alarm functions
WO2014085602A1 (en)2012-11-292014-06-05Abbott Diabetes Care Inc.Methods, devices, and systems related to analyte monitoring
US8755269B2 (en)2009-12-232014-06-17Medtronic Minimed, Inc.Ranking and switching of wireless channels in a body area network of medical devices
US8771183B2 (en)2004-02-172014-07-08Abbott Diabetes Care Inc.Method and system for providing data communication in continuous glucose monitoring and management system
US8795252B2 (en)2008-08-312014-08-05Abbott Diabetes Care Inc.Robust closed loop control and methods
US8808269B2 (en)2012-08-212014-08-19Medtronic Minimed, Inc.Reservoir plunger position monitoring and medical device incorporating same
US8834366B2 (en)2007-07-312014-09-16Abbott Diabetes Care Inc.Method and apparatus for providing analyte sensor calibration
WO2014145049A2 (en)2013-03-152014-09-18Abbott Diabetes Care Inc.Devices, systems, and methods associated with analyte monitoring devices and devices incorporating the same
US8864726B2 (en)2011-02-222014-10-21Medtronic Minimed, Inc.Pressure vented fluid reservoir having a movable septum
US8870818B2 (en)2012-11-152014-10-28Medtronic Minimed, Inc.Systems and methods for alignment and detection of a consumable component
US8880138B2 (en)2005-09-302014-11-04Abbott Diabetes Care Inc.Device for channeling fluid and methods of use
US8876755B2 (en)2008-07-142014-11-04Abbott Diabetes Care Inc.Closed loop control system interface and methods
US8887911B2 (en)2011-12-092014-11-18Abbott Diabetes Care Inc.Packages and kits for analyte monitoring devices, and methods related thereto
US8920381B2 (en)2013-04-122014-12-30Medtronic Minimed, Inc.Infusion set with improved bore configuration
US8924159B2 (en)2008-05-302014-12-30Abbott Diabetes Care Inc.Method and apparatus for providing glycemic control
US8930203B2 (en)2007-02-182015-01-06Abbott Diabetes Care Inc.Multi-function analyte test device and methods therefor
US8983568B2 (en)2008-09-302015-03-17Abbott Diabetes Care Inc.Analyte sensors comprising leveling agents
US8986208B2 (en)2008-09-302015-03-24Abbott Diabetes Care Inc.Analyte sensor sensitivity attenuation mitigation
US8993331B2 (en)2009-08-312015-03-31Abbott Diabetes Care Inc.Analyte monitoring system and methods for managing power and noise
US9007781B2 (en)2011-06-172015-04-14Abbott Diabetes Care Inc.Connectors for making connections between analyte sensors and other devices
US9008743B2 (en)2007-04-142015-04-14Abbott Diabetes Care Inc.Method and apparatus for providing data processing and control in medical communication system
US9018893B2 (en)2011-03-182015-04-28Medtronic Minimed, Inc.Power control techniques for an electronic device
US9033924B2 (en)2013-01-182015-05-19Medtronic Minimed, Inc.Systems for fluid reservoir retention
US9069536B2 (en)2011-10-312015-06-30Abbott Diabetes Care Inc.Electronic devices having integrated reset systems and methods thereof
US9072476B2 (en)2005-09-232015-07-07Medtronic Minimed, Inc.Flexible sensor apparatus
US9085790B2 (en)2010-07-282015-07-21Abbott Diabetes Care Inc.Analyte sensors having temperature independent membranes
US9101305B2 (en)2011-03-092015-08-11Medtronic Minimed, Inc.Glucose sensor product and related manufacturing and packaging methods
US9107994B2 (en)2013-01-182015-08-18Medtronic Minimed, Inc.Systems for fluid reservoir retention
US9125548B2 (en)2007-05-142015-09-08Abbott Diabetes Care Inc.Method and apparatus for providing data processing and control in a medical communication system
US9198623B2 (en)2010-04-222015-12-01Abbott Diabetes Care Inc.Devices, systems, and methods related to analyte monitoring and management
US9204827B2 (en)2007-04-142015-12-08Abbott Diabetes Care Inc.Method and apparatus for providing data processing and control in medical communication system
US9226701B2 (en)2009-04-282016-01-05Abbott Diabetes Care Inc.Error detection in critical repeating data in a wireless sensor system
US9259528B2 (en)2013-08-222016-02-16Medtronic Minimed, Inc.Fluid infusion device with safety coupling
US9259175B2 (en)2006-10-232016-02-16Abbott Diabetes Care, Inc.Flexible patch for fluid delivery and monitoring body analytes
US9289164B2 (en)2011-06-302016-03-22Abbott Diabetes Care Inc.Methods for generating hybrid analyte level output, and devices and systems related thereto
EP3001194A1 (en)2009-08-312016-03-30Abbott Diabetes Care, Inc.Medical devices and methods
US9308321B2 (en)2013-02-182016-04-12Medtronic Minimed, Inc.Infusion device having gear assembly initialization
US9317656B2 (en)2011-11-232016-04-19Abbott Diabetes Care Inc.Compatibility mechanisms for devices in a continuous analyte monitoring system and methods thereof
US9320461B2 (en)2009-09-292016-04-26Abbott Diabetes Care Inc.Method and apparatus for providing notification function in analyte monitoring systems
US9320432B2 (en)2010-04-162016-04-26Abbott Diabetes Care Inc.Analyte meter communication module
US9326709B2 (en)2010-03-102016-05-03Abbott Diabetes Care Inc.Systems, devices and methods for managing glucose levels
US9330237B2 (en)2008-12-242016-05-03Medtronic Minimed, Inc.Pattern recognition and filtering in a therapy management system
US9326707B2 (en)2008-11-102016-05-03Abbott Diabetes Care Inc.Alarm characterization for analyte monitoring devices and systems
US9333292B2 (en)2012-06-262016-05-10Medtronic Minimed, Inc.Mechanically actuated fluid infusion device
US9339229B2 (en)2009-02-262016-05-17Abbott Diabetes Care Inc.Analyte monitoring devices and methods
US9339217B2 (en)2011-11-252016-05-17Abbott Diabetes Care Inc.Analyte monitoring system and methods of use
US9351669B2 (en)2009-09-302016-05-31Abbott Diabetes Care Inc.Interconnect for on-body analyte monitoring device
US9364609B2 (en)2012-08-302016-06-14Medtronic Minimed, Inc.Insulin on board compensation for a closed-loop insulin infusion system
US9380965B2 (en)2011-05-202016-07-05Abbott Diabetes Care Inc.Analyte sensors having a membrane with low temperature sensitivity
US9393399B2 (en)2011-02-222016-07-19Medtronic Minimed, Inc.Sealing assembly for a fluid reservoir of a fluid infusion device
US9392969B2 (en)2008-08-312016-07-19Abbott Diabetes Care Inc.Closed loop control and signal attenuation detection
US9399096B2 (en)2014-02-062016-07-26Medtronic Minimed, Inc.Automatic closed-loop control adjustments and infusion systems incorporating same
US9398882B2 (en)2005-09-302016-07-26Abbott Diabetes Care Inc.Method and apparatus for providing analyte sensor and data processing device
US9402570B2 (en)2011-12-112016-08-02Abbott Diabetes Care Inc.Analyte sensor devices, connections, and methods
US9402949B2 (en)2013-08-132016-08-02Medtronic Minimed, Inc.Detecting conditions associated with medical device operations using matched filters
US9433731B2 (en)2013-07-192016-09-06Medtronic Minimed, Inc.Detecting unintentional motor motion and infusion device incorporating same
US9463309B2 (en)2011-02-222016-10-11Medtronic Minimed, Inc.Sealing assembly and structure for a fluid infusion device having a needled fluid reservoir
US9474475B1 (en)2013-03-152016-10-25Abbott Diabetes Care Inc.Multi-rate analyte sensor data collection with sample rate configurable signal processing
US9501272B2 (en)2010-05-242016-11-22Abbott Diabetes Care Inc.Systems and methods for updating a medical device
US9521968B2 (en)2005-09-302016-12-20Abbott Diabetes Care Inc.Analyte sensor retention mechanism and methods of use
US9522223B2 (en)2013-01-182016-12-20Medtronic Minimed, Inc.Systems for fluid reservoir retention
WO2016205378A1 (en)2015-06-152016-12-22Abbott Diabetes Care Inc.Stabilized lactate responsive enzymes, electrodes and sensors, and methods for making and using the same
WO2017011346A1 (en)2015-07-102017-01-19Abbott Diabetes Care Inc.System, device and method of dynamic glucose profile response to physiological parameters
US9549692B2 (en)2011-08-262017-01-24Dexcom, Inc.Polymer membranes for continuous analyte sensors
US9572534B2 (en)2010-06-292017-02-21Abbott Diabetes Care Inc.Devices, systems and methods for on-skin or on-body mounting of medical devices
US9598210B2 (en)2007-12-272017-03-21Medtronic Minimed, Inc.Reservoir pressure equalization systems and methods
US9610402B2 (en)2014-03-242017-04-04Medtronic Minimed, Inc.Transcutaneous conduit insertion mechanism with a living hinge for use with a fluid infusion patch pump device
US9610401B2 (en)2012-01-132017-04-04Medtronic Minimed, Inc.Infusion set component with modular fluid channel element
US9615780B2 (en)2007-04-142017-04-11Abbott Diabetes Care Inc.Method and apparatus for providing data processing and control in medical communication system
US9622691B2 (en)2011-10-312017-04-18Abbott Diabetes Care Inc.Model based variable risk false glucose threshold alarm prevention mechanism
US9622689B2 (en)2011-09-282017-04-18Abbott Diabetes Care Inc.Methods for analyte monitoring management and analyte measurement data management, and articles of manufacture related thereto
US9623179B2 (en)2012-08-302017-04-18Medtronic Minimed, Inc.Safeguarding techniques for a closed-loop insulin infusion system
US9636450B2 (en)2007-02-192017-05-02Udo HossPump system modular components for delivering medication and analyte sensing at seperate insertion sites
US9636453B2 (en)2014-12-042017-05-02Medtronic Minimed, Inc.Advance diagnosis of infusion device operating mode viability
US9662445B2 (en)2012-08-302017-05-30Medtronic Minimed, Inc.Regulating entry into a closed-loop operating mode of an insulin infusion system
US9668684B2 (en)2009-02-262017-06-06Abbott Diabetes Care Inc.Self-powered analyte sensor
US9675290B2 (en)2012-10-302017-06-13Abbott Diabetes Care Inc.Sensitivity calibration of in vivo sensors used to measure analyte concentration
US9681828B2 (en)2014-05-012017-06-20Medtronic Minimed, Inc.Physiological characteristic sensors and methods for forming such sensors
US9694132B2 (en)2013-12-192017-07-04Medtronic Minimed, Inc.Insertion device for insertion set
US9713440B2 (en)2010-12-082017-07-25Abbott Diabetes Care Inc.Modular analyte measurement systems, modular components thereof and related methods
US9743862B2 (en)2011-03-312017-08-29Abbott Diabetes Care Inc.Systems and methods for transcutaneously implanting medical devices
US9750877B2 (en)2013-12-112017-09-05Medtronic Minimed, Inc.Predicted time to assess and/or control a glycemic state
US9750878B2 (en)2013-12-112017-09-05Medtronic Minimed, Inc.Closed-loop control of glucose according to a predicted blood glucose trajectory
WO2017151952A1 (en)2016-03-042017-09-08Abbott Diabetes Care Inc.Nad(p)-dependent responsive enzymes, electrodes and sensors, and methods for making and using the same
US9760679B2 (en)2011-02-112017-09-12Abbott Diabetes Care Inc.Data synchronization between two or more analyte detecting devices in a database
EP3216390A1 (en)2007-05-082017-09-13Abbott Diabetes Care, Inc.Analyte monitoring system
US9788771B2 (en)2006-10-232017-10-17Abbott Diabetes Care Inc.Variable speed sensor insertion devices and methods of use
US9795326B2 (en)2009-07-232017-10-24Abbott Diabetes Care Inc.Continuous analyte measurement systems and systems and methods for implanting them
US9833563B2 (en)2014-09-262017-12-05Medtronic Minimed, Inc.Systems for managing reservoir chamber pressure
US9833564B2 (en)2014-11-252017-12-05Medtronic Minimed, Inc.Fluid conduit assembly with air venting features
US9839753B2 (en)2014-09-262017-12-12Medtronic Minimed, Inc.Systems for managing reservoir chamber pressure
US9839741B2 (en)2011-02-222017-12-12Medtronic Minimed, Inc.Flanged sealing element and needle guide pin assembly for a fluid infusion device having a needled fluid reservoir
US9849239B2 (en)2012-08-302017-12-26Medtronic Minimed, Inc.Generation and application of an insulin limit for a closed-loop operating mode of an insulin infusion system
US9849240B2 (en)2013-12-122017-12-26Medtronic Minimed, Inc.Data modification for predictive operations and devices incorporating same
US9861748B2 (en)2014-02-062018-01-09Medtronic Minimed, Inc.User-configurable closed-loop notifications and infusion systems incorporating same
US9879668B2 (en)2015-06-222018-01-30Medtronic Minimed, Inc.Occlusion detection techniques for a fluid infusion device having a rotary pump mechanism and an optical sensor
US9878096B2 (en)2012-08-302018-01-30Medtronic Minimed, Inc.Generation of target glucose values for a closed-loop operating mode of an insulin infusion system
US9878095B2 (en)2015-06-222018-01-30Medtronic Minimed, Inc.Occlusion detection techniques for a fluid infusion device having a rotary pump mechanism and multiple sensor contact elements
US9880528B2 (en)2013-08-212018-01-30Medtronic Minimed, Inc.Medical devices and related updating methods and systems
US9889257B2 (en)2013-08-212018-02-13Medtronic Minimed, Inc.Systems and methods for updating medical devices
US9895490B2 (en)2010-12-222018-02-20Medtronic Minimed, Inc.Occlusion detection for a fluid infusion device
US9907492B2 (en)2012-09-262018-03-06Abbott Diabetes Care Inc.Method and apparatus for improving lag correction during in vivo measurement of analyte concentration with analyte concentration variability and range data
US9913599B2 (en)2011-02-112018-03-13Abbott Diabetes Care Inc.Software applications residing on handheld analyte determining devices
US9937292B2 (en)2014-12-092018-04-10Medtronic Minimed, Inc.Systems for filling a fluid infusion device reservoir
US9943644B2 (en)2008-08-312018-04-17Abbott Diabetes Care Inc.Closed loop control with reference measurement and methods thereof
US9943645B2 (en)2014-12-042018-04-17Medtronic Minimed, Inc.Methods for operating mode transitions and related infusion devices and systems
US9962091B2 (en)2002-12-312018-05-08Abbott Diabetes Care Inc.Continuous glucose monitoring system and methods of use
US9968306B2 (en)2012-09-172018-05-15Abbott Diabetes Care Inc.Methods and apparatuses for providing adverse condition notification with enhanced wireless communication range in analyte monitoring systems
US9974472B2 (en)2011-06-162018-05-22Abbott Diabetes Care Inc.Temperature-compensated analyte monitoring devices, systems, and methods thereof
US9980669B2 (en)2011-11-072018-05-29Abbott Diabetes Care Inc.Analyte monitoring device and methods
US9987420B2 (en)2014-11-262018-06-05Medtronic Minimed, Inc.Systems and methods for fluid infusion device with automatic reservoir fill
US9987425B2 (en)2015-06-222018-06-05Medtronic Minimed, Inc.Occlusion detection techniques for a fluid infusion device having a rotary pump mechanism and sensor contact elements
US9993594B2 (en)2015-06-222018-06-12Medtronic Minimed, Inc.Occlusion detection techniques for a fluid infusion device having a rotary pump mechanism and rotor position sensors
US10001450B2 (en)2014-04-182018-06-19Medtronic Minimed, Inc.Nonlinear mapping technique for a physiological characteristic sensor
US9999721B2 (en)2015-05-262018-06-19Medtronic Minimed, Inc.Error handling in infusion devices with distributed motor control and related operating methods
US10002233B2 (en)2007-05-142018-06-19Abbott Diabetes Care Inc.Method and apparatus for providing data processing and control in a medical communication system
US10006880B2 (en)2012-09-212018-06-26Abbott Diabetes Care Inc.Test strips having ceria nanoparticle electrodes
US10007765B2 (en)2014-05-192018-06-26Medtronic Minimed, Inc.Adaptive signal processing for infusion devices and related methods and systems
US10010273B2 (en)2011-03-102018-07-03Abbott Diabetes Care, Inc.Multi-function analyte monitor device and methods of use
US10010668B2 (en)2015-06-222018-07-03Medtronic Minimed, Inc.Occlusion detection techniques for a fluid infusion device having a rotary pump mechanism and a force sensor
US10022499B2 (en)2007-02-152018-07-17Abbott Diabetes Care Inc.Device and method for automatic data acquisition and/or detection
US10028680B2 (en)2006-04-282018-07-24Abbott Diabetes Care Inc.Introducer assembly and methods of use
US10037722B2 (en)2015-11-032018-07-31Medtronic Minimed, Inc.Detecting breakage in a display element
US10076285B2 (en)2013-03-152018-09-18Abbott Diabetes Care Inc.Sensor fault detection using analyte sensor data pattern comparison
EP3381360A1 (en)2011-09-282018-10-03Abbott Diabetes Care, Inc.Methods, devices and systems for analyte monitoring management
US10092229B2 (en)2010-06-292018-10-09Abbott Diabetes Care Inc.Calibration of analyte measurement system
US10108781B2 (en)2012-09-282018-10-23Abbott Diabetes Care Inc.Glucose or ketone body analyte monitoring in vivo
US10105488B2 (en)2013-12-122018-10-23Medtronic Minimed, Inc.Predictive infusion device operations and related methods and systems
US10111608B2 (en)2007-04-142018-10-30Abbott Diabetes Care Inc.Method and apparatus for providing data processing and control in medical communication system
US10117992B2 (en)2015-09-292018-11-06Medtronic Minimed, Inc.Infusion devices and related rescue detection methods
US10130767B2 (en)2012-08-302018-11-20Medtronic Minimed, Inc.Sensor model supervisor for a closed-loop insulin infusion system
US10132793B2 (en)2012-08-302018-11-20Abbott Diabetes Care Inc.Dropout detection in continuous analyte monitoring data during data excursions
US10137243B2 (en)2015-05-262018-11-27Medtronic Minimed, Inc.Infusion devices with distributed motor control and related operating methods
US10136845B2 (en)2011-02-282018-11-27Abbott Diabetes Care Inc.Devices, systems, and methods associated with analyte monitoring devices and devices incorporating the same
US10146911B2 (en)2015-10-232018-12-04Medtronic Minimed, Inc.Medical devices and related methods and systems for data transfer
US10152049B2 (en)2014-05-192018-12-11Medtronic Minimed, Inc.Glucose sensor health monitoring and related methods and systems
US10195341B2 (en)2014-11-262019-02-05Medtronic Minimed, Inc.Systems and methods for fluid infusion device with automatic reservoir fill
US10194850B2 (en)2005-08-312019-02-05Abbott Diabetes Care Inc.Accuracy of continuous glucose sensors
US10201657B2 (en)2015-08-212019-02-12Medtronic Minimed, Inc.Methods for providing sensor site rotation feedback and related infusion devices and systems
WO2019035073A2 (en)2017-08-182019-02-21Abbott Diabetes Care Inc.Systems, devices, and methods related to the individualized calibration and/or manufacturing of medical devices
US10213139B2 (en)2015-05-142019-02-26Abbott Diabetes Care Inc.Systems, devices, and methods for assembling an applicator and sensor control device
US10213141B2 (en)2013-04-302019-02-26Abbott Diabetes Care Inc.Systems, devices, and methods for energy efficient electrical device activation
US10226207B2 (en)2004-12-292019-03-12Abbott Diabetes Care Inc.Sensor inserter having introducer
US10232113B2 (en)2014-04-242019-03-19Medtronic Minimed, Inc.Infusion devices and related methods and systems for regulating insulin on board
US10238030B2 (en)2016-12-062019-03-26Medtronic Minimed, Inc.Wireless medical device with a complementary split ring resonator arrangement for suppression of electromagnetic interference
US10265031B2 (en)2014-12-192019-04-23Medtronic Minimed, Inc.Infusion devices and related methods and systems for automatic alert clearing
US10272201B2 (en)2016-12-222019-04-30Medtronic Minimed, Inc.Insertion site monitoring methods and related infusion devices and systems
US10275572B2 (en)2014-05-012019-04-30Medtronic Minimed, Inc.Detecting blockage of a reservoir cavity during a seating operation of a fluid infusion device
US10274349B2 (en)2014-05-192019-04-30Medtronic Minimed, Inc.Calibration factor adjustments for infusion devices and related methods and systems
US10279126B2 (en)2014-10-072019-05-07Medtronic Minimed, Inc.Fluid conduit assembly with gas trapping filter in the fluid flow path
US10293108B2 (en)2015-08-212019-05-21Medtronic Minimed, Inc.Infusion devices and related patient ratio adjustment methods
US10307528B2 (en)2015-03-092019-06-04Medtronic Minimed, Inc.Extensible infusion devices and related methods
US10307535B2 (en)2014-12-192019-06-04Medtronic Minimed, Inc.Infusion devices and related methods and systems for preemptive alerting
US10363365B2 (en)2017-02-072019-07-30Medtronic Minimed, Inc.Infusion devices and related consumable calibration methods
WO2019152966A1 (en)2018-02-052019-08-08Abbott Diabetes Care Inc.Notes and event log information associated with analyte sensors
US10391242B2 (en)2012-06-072019-08-27Medtronic Minimed, Inc.Diabetes therapy management system for recommending bolus calculator adjustments
US10433773B1 (en)2013-03-152019-10-08Abbott Diabetes Care Inc.Noise rejection methods and apparatus for sparsely sampled analyte sensor data
US10449306B2 (en)2015-11-252019-10-22Medtronics Minimed, Inc.Systems for fluid delivery with wicking membrane
US10449298B2 (en)2015-03-262019-10-22Medtronic Minimed, Inc.Fluid injection devices and related methods
US10463297B2 (en)2015-08-212019-11-05Medtronic Minimed, Inc.Personalized event detection methods and related devices and systems
US10478557B2 (en)2015-08-212019-11-19Medtronic Minimed, Inc.Personalized parameter modeling methods and related devices and systems
US10496797B2 (en)2012-08-302019-12-03Medtronic Minimed, Inc.Blood glucose validation for a closed-loop operating mode of an insulin infusion system
US10500135B2 (en)2017-01-302019-12-10Medtronic Minimed, Inc.Fluid reservoir and systems for filling a fluid reservoir of a fluid infusion device
US10532165B2 (en)2017-01-302020-01-14Medtronic Minimed, Inc.Fluid reservoir and systems for filling a fluid reservoir of a fluid infusion device
US10552580B2 (en)2017-02-072020-02-04Medtronic Minimed, Inc.Infusion system consumables and related calibration methods
US10555695B2 (en)2011-04-152020-02-11Dexcom, Inc.Advanced analyte sensor calibration and error detection
US10575767B2 (en)2015-05-292020-03-03Medtronic Minimed, Inc.Method for monitoring an analyte, analyte sensor and analyte monitoring apparatus
US10589038B2 (en)2016-04-272020-03-17Medtronic Minimed, Inc.Set connector systems for venting a fluid reservoir
US10598624B2 (en)2014-10-232020-03-24Abbott Diabetes Care Inc.Electrodes having at least one sensing structure and methods for making and using the same
US10610137B2 (en)2005-03-102020-04-07Dexcom, Inc.System and methods for processing analyte sensor data for sensor calibration
US10646649B2 (en)2017-02-212020-05-12Medtronic Minimed, Inc.Infusion devices and fluid identification apparatuses and methods
US10664569B2 (en)2015-08-212020-05-26Medtronic Minimed, Inc.Data analytics and generation of recommendations for controlling glycemic outcomes associated with tracked events
US10674944B2 (en)2015-05-142020-06-09Abbott Diabetes Care Inc.Compact medical device inserters and related systems and methods
US10685749B2 (en)2007-12-192020-06-16Abbott Diabetes Care Inc.Insulin delivery apparatuses capable of bluetooth data transmission
EP3714788A1 (en)2009-02-262020-09-30Abbott Diabetes Care, Inc.Improved analyte sensors and methods of making and using the same
USD902408S1 (en)2003-11-052020-11-17Abbott Diabetes Care Inc.Analyte sensor control unit
US10872696B2 (en)2011-02-112020-12-22Abbott Diabetes Care Inc.Method of hypoglycemia risk determination
US10874338B2 (en)2010-06-292020-12-29Abbott Diabetes Care Inc.Devices, systems and methods for on-skin or on-body mounting of medical devices
US10888272B2 (en)2015-07-102021-01-12Abbott Diabetes Care Inc.Systems, devices, and methods for meal information collection, meal assessment, and analyte data correlation
US10963417B2 (en)2004-06-042021-03-30Abbott Diabetes Care Inc.Systems and methods for managing diabetes care data
US11000215B1 (en)2003-12-052021-05-11Dexcom, Inc.Analyte sensor
USD924406S1 (en)2010-02-012021-07-06Abbott Diabetes Care Inc.Analyte sensor inserter
US11071478B2 (en)2017-01-232021-07-27Abbott Diabetes Care Inc.Systems, devices and methods for analyte sensor insertion
US11097051B2 (en)2016-11-042021-08-24Medtronic Minimed, Inc.Methods and apparatus for detecting and reacting to insufficient hypoglycemia response
US11160542B2 (en)2016-06-092021-11-02Haimachek, Inc.Collector for detection and reversible capturing of cells from body fluids in vivo
US11203139B2 (en)2017-12-132021-12-21Becton, Dickinson And CompanyMedical device with overmolded adhesive patch and method for making same
US11207463B2 (en)2017-02-212021-12-28Medtronic Minimed, Inc.Apparatuses, systems, and methods for identifying an infusate in a reservoir of an infusion device
US11213226B2 (en)2010-10-072022-01-04Abbott Diabetes Care Inc.Analyte monitoring devices and methods
US11229382B2 (en)2013-12-312022-01-25Abbott Diabetes Care Inc.Self-powered analyte sensor and devices using the same
US11298058B2 (en)2005-12-282022-04-12Abbott Diabetes Care Inc.Method and apparatus for providing analyte sensor insertion
US11331022B2 (en)2017-10-242022-05-17Dexcom, Inc.Pre-connected analyte sensors
US11350862B2 (en)2017-10-242022-06-07Dexcom, Inc.Pre-connected analyte sensors
WO2022164940A1 (en)2021-01-262022-08-04Abbott Diabetes Care Inc.Systems, devices, and methods related to ketone sensors
US11501867B2 (en)2015-10-192022-11-15Medtronic Minimed, Inc.Medical devices and related event pattern presentation methods
US11596330B2 (en)2017-03-212023-03-07Abbott Diabetes Care Inc.Methods, devices and system for providing diabetic condition diagnosis and therapy
USD982762S1 (en)2020-12-212023-04-04Abbott Diabetes Care Inc.Analyte sensor inserter
US11666702B2 (en)2015-10-192023-06-06Medtronic Minimed, Inc.Medical devices and related event pattern treatment recommendation methods
WO2023110190A1 (en)2021-12-132023-06-22Heraeus Medical GmbhTests and methods for detecting bacterial infection
US11717225B2 (en)2014-03-302023-08-08Abbott Diabetes Care Inc.Method and apparatus for determining meal start and peak events in analyte monitoring systems
USD1002852S1 (en)2019-06-062023-10-24Abbott Diabetes Care Inc.Analyte sensor device
US11793936B2 (en)2009-05-292023-10-24Abbott Diabetes Care Inc.Medical device antenna systems having external antenna configurations
US11883164B2 (en)2004-07-132024-01-30Dexcom, Inc.System and methods for processing analyte sensor data for sensor calibration
USD1015366S1 (en)2020-07-292024-02-20Abbott Diabetes Care Inc.Display screen or portion thereof with graphical user interface
US11918782B2 (en)2006-06-302024-03-05Abbott Diabetes Care Inc.Integrated analyte sensor and infusion device and methods therefor
EP4357778A1 (en)2022-10-202024-04-24Heraeus Medical GmbHTreatment of microbial infections diagnosed using the biomarker d-lactate
US12115339B2 (en)2016-11-282024-10-15Medtronic Minimed, Inc.Interactive guidance for medical devices
US12239463B2 (en)2020-08-312025-03-04Abbott Diabetes Care Inc.Systems, devices, and methods for analyte sensor insertion
US12369821B2 (en)2018-06-072025-07-29Abbott Diabetes Care Inc.Focused sterilization and sterilized sub-assemblies for analyte monitoring systems
US12397111B2 (en)2009-05-222025-08-26Abbott Diabetes Care Inc.Continuous glucose monitoring system
US12411930B2 (en)2013-12-272025-09-09Abbott Diabetes Care Inc.Application interface and display control in an analyte monitoring environment
US12414713B2 (en)2017-12-052025-09-16Abbott Diabetes Care Inc.Medical devices having a dynamic surface profile and methods for production and use thereof
US12440126B2 (en)2023-06-232025-10-14Abbott Diabetes Care Inc.Temperature-compensated analyte monitoring devices, systems, and methods thereof

Families Citing this family (177)

* Cited by examiner, † Cited by third party
Publication numberPriority datePublication dateAssigneeTitle
US6741877B1 (en)1997-03-042004-05-25Dexcom, Inc.Device and method for determining analyte levels
US7192450B2 (en)2003-05-212007-03-20Dexcom, Inc.Porous membranes for use with implantable devices
US6862465B2 (en)1997-03-042005-03-01Dexcom, Inc.Device and method for determining analyte levels
US20050033132A1 (en)1997-03-042005-02-10Shults Mark C.Analyte measuring device
US8527026B2 (en)1997-03-042013-09-03Dexcom, Inc.Device and method for determining analyte levels
US6001067A (en)1997-03-041999-12-14Shults; Mark C.Device and method for determining analyte levels
US6036924A (en)1997-12-042000-03-14Hewlett-Packard CompanyCassette of lancet cartridges for sampling blood
US8071384B2 (en)1997-12-222011-12-06Roche Diagnostics Operations, Inc.Control and calibration solutions and methods for their use
US6391005B1 (en)1998-03-302002-05-21Agilent Technologies, Inc.Apparatus and method for penetration with shaft having a sensor for sensing penetration depth
US8974386B2 (en)1998-04-302015-03-10Abbott Diabetes Care Inc.Analyte monitoring device and methods of use
US8346337B2 (en)1998-04-302013-01-01Abbott Diabetes Care Inc.Analyte monitoring device and methods of use
US8480580B2 (en)1998-04-302013-07-09Abbott Diabetes Care Inc.Analyte monitoring device and methods of use
US6949816B2 (en)2003-04-212005-09-27Motorola, Inc.Semiconductor component having first surface area for electrically coupling to a semiconductor chip and second surface area for electrically coupling to a substrate, and method of manufacturing same
US9066695B2 (en)1998-04-302015-06-30Abbott Diabetes Care Inc.Analyte monitoring device and methods of use
US8465425B2 (en)1998-04-302013-06-18Abbott Diabetes Care Inc.Analyte monitoring device and methods of use
US6175752B1 (en)1998-04-302001-01-16Therasense, Inc.Analyte monitoring device and methods of use
US8688188B2 (en)1998-04-302014-04-01Abbott Diabetes Care Inc.Analyte monitoring device and methods of use
US8641644B2 (en)2000-11-212014-02-04Sanofi-Aventis Deutschland GmbhBlood testing apparatus having a rotatable cartridge with multiple lancing elements and testing means
US6560471B1 (en)2001-01-022003-05-06Therasense, Inc.Analyte monitoring device and methods of use
EP1397068A2 (en)2001-04-022004-03-17Therasense, Inc.Blood glucose tracking apparatus and methods
US7981056B2 (en)2002-04-192011-07-19Pelikan Technologies, Inc.Methods and apparatus for lancet actuation
US7041068B2 (en)2001-06-122006-05-09Pelikan Technologies, Inc.Sampling module device and method
US7344507B2 (en)2002-04-192008-03-18Pelikan Technologies, Inc.Method and apparatus for lancet actuation
AU2002344825A1 (en)2001-06-122002-12-23Pelikan Technologies, Inc.Method and apparatus for improving success rate of blood yield from a fingerstick
US8337419B2 (en)2002-04-192012-12-25Sanofi-Aventis Deutschland GmbhTissue penetration device
JP4272051B2 (en)2001-06-122009-06-03ペリカン テクノロジーズ インコーポレイテッド Blood sampling apparatus and method
JP4209767B2 (en)2001-06-122009-01-14ペリカン テクノロジーズ インコーポレイテッド Self-optimized cutting instrument with adaptive means for temporary changes in skin properties
EP1395185B1 (en)2001-06-122010-10-27Pelikan Technologies Inc.Electric lancet actuator
US9795747B2 (en)2010-06-022017-10-24Sanofi-Aventis Deutschland GmbhMethods and apparatus for lancet actuation
US9427532B2 (en)2001-06-122016-08-30Sanofi-Aventis Deutschland GmbhTissue penetration device
WO2002101359A2 (en)2001-06-122002-12-19Pelikan Technologies, Inc.Integrated blood sampling analysis system with multi-use sampling module
US9226699B2 (en)2002-04-192016-01-05Sanofi-Aventis Deutschland GmbhBody fluid sampling module with a continuous compression tissue interface surface
US7749174B2 (en)2001-06-122010-07-06Pelikan Technologies, Inc.Method and apparatus for lancet launching device intergrated onto a blood-sampling cartridge
US20030032874A1 (en)2001-07-272003-02-13Dexcom, Inc.Sensor head for use with implantable devices
US6702857B2 (en)2001-07-272004-03-09Dexcom, Inc.Membrane for use with implantable devices
US7344894B2 (en)2001-10-162008-03-18Agilent Technologies, Inc.Thermal regulation of fluidic samples within a diagnostic cartridge
US9247901B2 (en)2003-08-222016-02-02Dexcom, Inc.Systems and methods for replacing signal artifacts in a glucose sensor data stream
US7613491B2 (en)2002-05-222009-11-03Dexcom, Inc.Silicone based membranes for use in implantable glucose sensors
US8010174B2 (en)2003-08-222011-08-30Dexcom, Inc.Systems and methods for replacing signal artifacts in a glucose sensor data stream
US8364229B2 (en)2003-07-252013-01-29Dexcom, Inc.Analyte sensors having a signal-to-noise ratio substantially unaffected by non-constant noise
US8260393B2 (en)2003-07-252012-09-04Dexcom, Inc.Systems and methods for replacing signal data artifacts in a glucose sensor data stream
US9282925B2 (en)2002-02-122016-03-15Dexcom, Inc.Systems and methods for replacing signal artifacts in a glucose sensor data stream
US8360992B2 (en)2002-04-192013-01-29Sanofi-Aventis Deutschland GmbhMethod and apparatus for penetrating tissue
US7909778B2 (en)2002-04-192011-03-22Pelikan Technologies, Inc.Method and apparatus for penetrating tissue
US7717863B2 (en)2002-04-192010-05-18Pelikan Technologies, Inc.Method and apparatus for penetrating tissue
US8221334B2 (en)2002-04-192012-07-17Sanofi-Aventis Deutschland GmbhMethod and apparatus for penetrating tissue
US7674232B2 (en)2002-04-192010-03-09Pelikan Technologies, Inc.Method and apparatus for penetrating tissue
US8372016B2 (en)2002-04-192013-02-12Sanofi-Aventis Deutschland GmbhMethod and apparatus for body fluid sampling and analyte sensing
US7901362B2 (en)2002-04-192011-03-08Pelikan Technologies, Inc.Method and apparatus for penetrating tissue
US7491178B2 (en)2002-04-192009-02-17Pelikan Technologies, Inc.Method and apparatus for penetrating tissue
US7410468B2 (en)2002-04-192008-08-12Pelikan Technologies, Inc.Method and apparatus for penetrating tissue
US7708701B2 (en)2002-04-192010-05-04Pelikan Technologies, Inc.Method and apparatus for a multi-use body fluid sampling device
US7232451B2 (en)2002-04-192007-06-19Pelikan Technologies, Inc.Method and apparatus for penetrating tissue
US7976476B2 (en)2002-04-192011-07-12Pelikan Technologies, Inc.Device and method for variable speed lancet
US7563232B2 (en)2002-04-192009-07-21Pelikan Technologies, Inc.Method and apparatus for penetrating tissue
US8784335B2 (en)2002-04-192014-07-22Sanofi-Aventis Deutschland GmbhBody fluid sampling device with a capacitive sensor
US8267870B2 (en)2002-04-192012-09-18Sanofi-Aventis Deutschland GmbhMethod and apparatus for body fluid sampling with hybrid actuation
US8579831B2 (en)2002-04-192013-11-12Sanofi-Aventis Deutschland GmbhMethod and apparatus for penetrating tissue
US7524293B2 (en)2002-04-192009-04-28Pelikan Technologies, Inc.Method and apparatus for penetrating tissue
US8702624B2 (en)2006-09-292014-04-22Sanofi-Aventis Deutschland GmbhAnalyte measurement device with a single shot actuator
US7141058B2 (en)2002-04-192006-11-28Pelikan Technologies, Inc.Method and apparatus for a body fluid sampling device using illumination
US7371247B2 (en)2002-04-192008-05-13Pelikan Technologies, IncMethod and apparatus for penetrating tissue
US9314194B2 (en)2002-04-192016-04-19Sanofi-Aventis Deutschland GmbhTissue penetration device
US7374544B2 (en)2002-04-192008-05-20Pelikan Technologies, Inc.Method and apparatus for penetrating tissue
US7229458B2 (en)2002-04-192007-06-12Pelikan Technologies, Inc.Method and apparatus for penetrating tissue
US7648468B2 (en)2002-04-192010-01-19Pelikon Technologies, Inc.Method and apparatus for penetrating tissue
WO2003088824A2 (en)2002-04-192003-10-30Pelikan Technologies, Inc.Device and method for variable speed lancet
US9248267B2 (en)2002-04-192016-02-02Sanofi-Aventis Deustchland GmbhTissue penetration device
US9795334B2 (en)2002-04-192017-10-24Sanofi-Aventis Deutschland GmbhMethod and apparatus for penetrating tissue
US7547287B2 (en)2002-04-192009-06-16Pelikan Technologies, Inc.Method and apparatus for penetrating tissue
US7291117B2 (en)2002-04-192007-11-06Pelikan Technologies, Inc.Method and apparatus for penetrating tissue
US7892183B2 (en)2002-04-192011-02-22Pelikan Technologies, Inc.Method and apparatus for body fluid sampling and analyte sensing
US7297122B2 (en)2002-04-192007-11-20Pelikan Technologies, Inc.Method and apparatus for penetrating tissue
US7485128B2 (en)2002-04-192009-02-03Pelikan Technologies, Inc.Method and apparatus for penetrating tissue
US7244265B2 (en)2002-04-192007-07-17Pelikan Technologies, Inc.Method and apparatus for penetrating tissue
US7331931B2 (en)2002-04-192008-02-19Pelikan Technologies, Inc.Method and apparatus for penetrating tissue
US7226978B2 (en)2002-05-222007-06-05Dexcom, Inc.Techniques to improve polyurethane membranes for implantable glucose sensors
US8574895B2 (en)2002-12-302013-11-05Sanofi-Aventis Deutschland GmbhMethod and apparatus using optical techniques to measure analyte levels
US7134999B2 (en)2003-04-042006-11-14Dexcom, Inc.Optimized sensor geometry for an implantable glucose sensor
US7875293B2 (en)2003-05-212011-01-25Dexcom, Inc.Biointerface membranes incorporating bioactive agents
DE602004028463D1 (en)2003-05-302010-09-16Pelikan Technologies Inc METHOD AND DEVICE FOR INJECTING LIQUID
US7850621B2 (en)2003-06-062010-12-14Pelikan Technologies, Inc.Method and apparatus for body fluid sampling and analyte sensing
WO2006001797A1 (en)2004-06-142006-01-05Pelikan Technologies, Inc.Low pain penetrating
EP1635700B1 (en)2003-06-132016-03-09Sanofi-Aventis Deutschland GmbHApparatus for a point of care device
US7718439B2 (en)2003-06-202010-05-18Roche Diagnostics Operations, Inc.System and method for coding information on a biosensor test strip
US8206565B2 (en)2003-06-202012-06-26Roche Diagnostics Operation, Inc.System and method for coding information on a biosensor test strip
US8058077B2 (en)2003-06-202011-11-15Roche Diagnostics Operations, Inc.Method for coding information on a biosensor test strip
US7645373B2 (en)2003-06-202010-01-12Roche Diagnostic Operations, Inc.System and method for coding information on a biosensor test strip
US7597793B2 (en)2003-06-202009-10-06Roche Operations Ltd.System and method for analyte measurement employing maximum dosing time delay
US7452457B2 (en)2003-06-202008-11-18Roche Diagnostics Operations, Inc.System and method for analyte measurement using dose sufficiency electrodes
US7604721B2 (en)2003-06-202009-10-20Roche Diagnostics Operations, Inc.System and method for coding information on a biosensor test strip
US7645421B2 (en)2003-06-202010-01-12Roche Diagnostics Operations, Inc.System and method for coding information on a biosensor test strip
WO2007120442A2 (en)2003-07-252007-10-25Dexcom, Inc.Dual electrode system for a continuous analyte sensor
US7074307B2 (en)2003-07-252006-07-11Dexcom, Inc.Electrode systems for electrochemical sensors
US7467003B2 (en)2003-12-052008-12-16Dexcom, Inc.Dual electrode system for a continuous analyte sensor
US9763609B2 (en)2003-07-252017-09-19Dexcom, Inc.Analyte sensors having a signal-to-noise ratio substantially unaffected by non-constant noise
US7460898B2 (en)2003-12-052008-12-02Dexcom, Inc.Dual electrode system for a continuous analyte sensor
WO2005019795A2 (en)2003-07-252005-03-03Dexcom, Inc.Electrochemical sensors including electrode systems with increased oxygen generation
US7424318B2 (en)2003-12-052008-09-09Dexcom, Inc.Dual electrode system for a continuous analyte sensor
US7366556B2 (en)2003-12-052008-04-29Dexcom, Inc.Dual electrode system for a continuous analyte sensor
US8275437B2 (en)2003-08-012012-09-25Dexcom, Inc.Transcutaneous analyte sensor
US8845536B2 (en)2003-08-012014-09-30Dexcom, Inc.Transcutaneous analyte sensor
US20100168657A1 (en)2003-08-012010-07-01Dexcom, Inc.System and methods for processing analyte sensor data
US8369919B2 (en)2003-08-012013-02-05Dexcom, Inc.Systems and methods for processing sensor data
US20080119703A1 (en)*2006-10-042008-05-22Mark BristerAnalyte sensor
US8060173B2 (en)2003-08-012011-11-15Dexcom, Inc.System and methods for processing analyte sensor data
US7591801B2 (en)2004-02-262009-09-22Dexcom, Inc.Integrated delivery device for continuous glucose sensor
US7986986B2 (en)2003-08-012011-07-26Dexcom, Inc.System and methods for processing analyte sensor data
US7774145B2 (en)2003-08-012010-08-10Dexcom, Inc.Transcutaneous analyte sensor
US8626257B2 (en)*2003-08-012014-01-07Dexcom, Inc.Analyte sensor
US8886273B2 (en)2003-08-012014-11-11Dexcom, Inc.Analyte sensor
US8160669B2 (en)2003-08-012012-04-17Dexcom, Inc.Transcutaneous analyte sensor
US7519408B2 (en)2003-11-192009-04-14Dexcom, Inc.Integrated receiver for continuous analyte sensor
US8761856B2 (en)2003-08-012014-06-24Dexcom, Inc.System and methods for processing analyte sensor data
US20140121989A1 (en)2003-08-222014-05-01Dexcom, Inc.Systems and methods for processing analyte sensor data
US8282576B2 (en)2003-09-292012-10-09Sanofi-Aventis Deutschland GmbhMethod and apparatus for an improved sample capture device
EP1680014A4 (en)2003-10-142009-01-21Pelikan Technologies Inc METHOD AND DEVICE FOR A VARIABLE USER INTERFACE
US9247900B2 (en)2004-07-132016-02-02Dexcom, Inc.Analyte sensor
US8364230B2 (en)*2006-10-042013-01-29Dexcom, Inc.Analyte sensor
US11633133B2 (en)2003-12-052023-04-25Dexcom, Inc.Dual electrode system for a continuous analyte sensor
US8425416B2 (en)*2006-10-042013-04-23Dexcom, Inc.Analyte sensor
US8425417B2 (en)*2003-12-052013-04-23Dexcom, Inc.Integrated device for continuous in vivo analyte detection and simultaneous control of an infusion device
US20080197024A1 (en)*2003-12-052008-08-21Dexcom, Inc.Analyte sensor
US8364231B2 (en)*2006-10-042013-01-29Dexcom, Inc.Analyte sensor
ATE480761T1 (en)2003-12-052010-09-15Dexcom Inc CALIBRATION METHODS FOR A CONTINUOUSLY WORKING ANALYTICAL SENSOR
US8423114B2 (en)2006-10-042013-04-16Dexcom, Inc.Dual electrode system for a continuous analyte sensor
DE602004028164D1 (en)2003-12-082010-08-26Dexcom Inc SYSTEMS AND METHOD FOR IMPROVING ELECTROCHEMICAL ANALYTIC SENSORS
EP2301428B1 (en)2003-12-092016-11-30Dexcom, Inc.Signal processing for continuous analyte sensor
US7822454B1 (en)2005-01-032010-10-26Pelikan Technologies, Inc.Fluid sampling device with improved analyte detecting member configuration
US8668656B2 (en)2003-12-312014-03-11Sanofi-Aventis Deutschland GmbhMethod and apparatus for improving fluidic flow and sample capture
WO2009048462A1 (en)2007-10-092009-04-16Dexcom, Inc.Integrated insulin delivery system with continuous glucose sensor
US8808228B2 (en)2004-02-262014-08-19Dexcom, Inc.Integrated medicament delivery device for use with continuous analyte sensor
US8792955B2 (en)2004-05-032014-07-29Dexcom, Inc.Transcutaneous analyte sensor
US8277713B2 (en)2004-05-032012-10-02Dexcom, Inc.Implantable analyte sensor
WO2006011062A2 (en)2004-05-202006-02-02Albatros Technologies Gmbh & Co. KgPrintable hydrogel for biosensors
WO2005120365A1 (en)2004-06-032005-12-22Pelikan Technologies, Inc.Method and apparatus for a fluid sampling device
US9775553B2 (en)2004-06-032017-10-03Sanofi-Aventis Deutschland GmbhMethod and apparatus for a fluid sampling device
US7556723B2 (en)2004-06-182009-07-07Roche Diagnostics Operations, Inc.Electrode design for biosensor
US7569126B2 (en)2004-06-182009-08-04Roche Diagnostics Operations, Inc.System and method for quality assurance of a biosensor test strip
US20070045902A1 (en)2004-07-132007-03-01Brauker James HAnalyte sensor
US8452368B2 (en)2004-07-132013-05-28Dexcom, Inc.Transcutaneous analyte sensor
US8886272B2 (en)2004-07-132014-11-11Dexcom, Inc.Analyte sensor
US8652831B2 (en)2004-12-302014-02-18Sanofi-Aventis Deutschland GmbhMethod and apparatus for analyte measurement test time
WO2007102842A2 (en)2006-03-092007-09-13Dexcom, Inc.Systems and methods for processing analyte sensor data
WO2007147475A1 (en)*2006-06-192007-12-27Roche Diagnostics GmbhAmperometric sensor and method for its manufacturing
US9700252B2 (en)2006-06-192017-07-11Roche Diabetes Care, Inc.Amperometric sensor and method for its manufacturing
US8478377B2 (en)*2006-10-042013-07-02Dexcom, Inc.Analyte sensor
US8562528B2 (en)*2006-10-042013-10-22Dexcom, Inc.Analyte sensor
US8275438B2 (en)*2006-10-042012-09-25Dexcom, Inc.Analyte sensor
US8298142B2 (en)*2006-10-042012-10-30Dexcom, Inc.Analyte sensor
US8447376B2 (en)*2006-10-042013-05-21Dexcom, Inc.Analyte sensor
US8449464B2 (en)2006-10-042013-05-28Dexcom, Inc.Analyte sensor
US7831287B2 (en)2006-10-042010-11-09Dexcom, Inc.Dual electrode system for a continuous analyte sensor
US7751864B2 (en)*2007-03-012010-07-06Roche Diagnostics Operations, Inc.System and method for operating an electrochemical analyte sensor
US20200037874A1 (en)2007-05-182020-02-06Dexcom, Inc.Analyte sensors having a signal-to-noise ratio substantially unaffected by non-constant noise
WO2008154312A1 (en)2007-06-082008-12-18Dexcom, Inc.Integrated medicament delivery device for use with continuous analyte sensor
US20090143725A1 (en)*2007-08-312009-06-04Abbott Diabetes Care, Inc.Method of Optimizing Efficacy of Therapeutic Agent
US8417312B2 (en)2007-10-252013-04-09Dexcom, Inc.Systems and methods for processing sensor data
EP2252196A4 (en)2008-02-212013-05-15Dexcom IncSystems and methods for processing, transmitting and displaying sensor data
EP2265324B1 (en)2008-04-112015-01-28Sanofi-Aventis Deutschland GmbHIntegrated analyte measurement system
WO2010056869A2 (en)*2008-11-142010-05-20Pepex Biomedical, LlcElectrochemical sensor module
US9375169B2 (en)2009-01-302016-06-28Sanofi-Aventis Deutschland GmbhCam drive for managing disposable penetrating member actions with a single motor and motor and control system
US9446194B2 (en)2009-03-272016-09-20Dexcom, Inc.Methods and systems for promoting glucose management
WO2011008357A1 (en)*2009-06-302011-01-20Abbott Diabetes Care Inc.Extruded electrode structures and methods of using same
EP2448486B1 (en)2009-07-022021-08-25Dexcom, Inc.Analyte sensors and methods of manufacturing same
US9351677B2 (en)2009-07-022016-05-31Dexcom, Inc.Analyte sensor with increased reference capacity
US8798934B2 (en)2009-07-232014-08-05Abbott Diabetes Care Inc.Real time management of data relating to physiological control of glucose levels
US8965476B2 (en)2010-04-162015-02-24Sanofi-Aventis Deutschland GmbhTissue penetration device
KR101304338B1 (en)*2010-10-212013-09-11주식회사 엠아이텍LCP-based electro-optrode neural interface and Method for fabricating the same
CZ304417B6 (en)*2012-03-302014-04-23Mikrobiologický ústav AV ČR, v. v. i.Film of electrooxidized nostotrebin 6 with permselective properties for low-molecular biologically active substances, electrochemical sensor and method of determining these substances
US9788765B2 (en)2012-09-282017-10-17Dexcom, Inc.Zwitterion surface modifications for continuous sensors
US9737250B2 (en)2013-03-152017-08-22Dexcom, Inc.Membrane for continuous analyte sensors
RU2531130C1 (en)*2013-06-202014-10-20Федеральное Государственное Бюджетное Образовательное Учреждение Высшего Профессионального Образования "Саратовский Государственный Университет Имени Н.Г. Чернышевского"Membrane of ionselective electrode for determination of ion surface-active substances in sewages and synthetic detergents
RU2546045C1 (en)*2013-11-072015-04-10Федеральное Государственное Бюджетное Образовательное Учреждение Высшего Профессионального Образования "Саратовский Государственный Университет Имени Н.Г. Чернышевского"Ion-selective membrane for determining ionic surfactants
EP3397163B1 (en)2015-12-302023-09-13DexCom, Inc.Diffusion resistance layer for analyte sensors
CN109180096A (en)*2018-08-312019-01-11郭迎庆A kind of haydite track acoustic board
US20250208084A1 (en)*2022-04-012025-06-26Purdue Research FoundationRadiation-tolerant electrodes, potentiometric sensors, and methods of use

Citations (13)

* Cited by examiner, † Cited by third party
Publication numberPriority datePublication dateAssigneeTitle
US4871442A (en)*1986-05-011989-10-03Terumo CorporationIon sensor
EP0352610A2 (en)1988-07-251990-01-31Abbott LaboratoriesFiber-optic physiological probes
US4943364A (en)1985-06-211990-07-24Spectramed, Inc.Fiber optic CO2 sensor
EP0409033A2 (en)*1989-07-191991-01-23Gesellschaft für Biotechnologische Forschung mbH (GBF)Optical fiber sensor arrangement for determining an analyte, in particular glucose
US5006314A (en)*1986-04-181991-04-09Minnesota Mining And Manufacturing CompanySensor and method for sensing the concentration of a component in a medium
US5075127A (en)*1986-10-101991-12-24Minnesota Mining And Manufacturing CompanySensor with overcoating and process for making same
WO1994010553A1 (en)1992-10-231994-05-11Optex Biomedical, Inc.Fibre-optic probe for the measurement of fluid parameters
US5611900A (en)1995-07-201997-03-18Michigan State UniversityMicrobiosensor used in-situ
US5696314A (en)1996-07-121997-12-09Chiron Diagnostics CorporationMultilayer enzyme electrode membranes and methods of making same
US5773270A (en)1991-03-121998-06-30Chiron Diagnostics CorporationThree-layered membrane for use in an electrochemical sensor system
US5804048A (en)1996-08-151998-09-08Via Medical CorporationElectrode assembly for assaying glucose
US6015480A (en)1997-01-162000-01-18Dade Behring Inc.Chloride ion selective membrane electrode having improved stability and selectivity
US6162611A (en)*1993-12-022000-12-19E. Heller & CompanySubcutaneous glucose electrode

Family Cites Families (10)

* Cited by examiner, † Cited by third party
Publication numberPriority datePublication dateAssigneeTitle
US4016866A (en)*1975-12-181977-04-12General Electric CompanyImplantable electrochemical sensor
US4929313A (en)*1984-11-231990-05-29Massachusetts Institute Of TechnologyAmperometric electrochemical ion sensors and method for determining ion concentration
US5312762A (en)*1989-03-131994-05-17Guiseppi Elie AnthonyMethod of measuring an analyte by measuring electrical resistance of a polymer film reacting with the analyte
US5082550A (en)*1989-12-111992-01-21The United States Of America As Represented By The Department Of EnergyEnzyme electrochemical sensor electrode and method of making it
US6164284A (en)*1997-02-262000-12-26Schulman; Joseph H.System of implantable devices for monitoring and/or affecting body parameters
FR2772958B1 (en)*1997-12-242000-05-26Sgs Thomson Microelectronics SECURITY SYSTEM, ESPECIALLY FOR A MOTOR VEHICLE
US20020092612A1 (en)*2000-03-282002-07-18Davies Oliver William HardwickeRapid response glucose sensor
WO2001088524A1 (en)*2000-05-122001-11-22Therasense, Inc.Electrodes with multilayer membranes and methods of using and making the electrodes
AU2001271401A1 (en)*2000-06-232002-01-08The United States Of America As Represented By The Secretary Of The NavyMicroelectronic device and method for label-free detection and quantification ofbiological and chemical molecules
US20080119703A1 (en)*2006-10-042008-05-22Mark BristerAnalyte sensor

Patent Citations (13)

* Cited by examiner, † Cited by third party
Publication numberPriority datePublication dateAssigneeTitle
US4943364A (en)1985-06-211990-07-24Spectramed, Inc.Fiber optic CO2 sensor
US5006314A (en)*1986-04-181991-04-09Minnesota Mining And Manufacturing CompanySensor and method for sensing the concentration of a component in a medium
US4871442A (en)*1986-05-011989-10-03Terumo CorporationIon sensor
US5075127A (en)*1986-10-101991-12-24Minnesota Mining And Manufacturing CompanySensor with overcoating and process for making same
EP0352610A2 (en)1988-07-251990-01-31Abbott LaboratoriesFiber-optic physiological probes
EP0409033A2 (en)*1989-07-191991-01-23Gesellschaft für Biotechnologische Forschung mbH (GBF)Optical fiber sensor arrangement for determining an analyte, in particular glucose
US5773270A (en)1991-03-121998-06-30Chiron Diagnostics CorporationThree-layered membrane for use in an electrochemical sensor system
WO1994010553A1 (en)1992-10-231994-05-11Optex Biomedical, Inc.Fibre-optic probe for the measurement of fluid parameters
US6162611A (en)*1993-12-022000-12-19E. Heller & CompanySubcutaneous glucose electrode
US5611900A (en)1995-07-201997-03-18Michigan State UniversityMicrobiosensor used in-situ
US5696314A (en)1996-07-121997-12-09Chiron Diagnostics CorporationMultilayer enzyme electrode membranes and methods of making same
US5804048A (en)1996-08-151998-09-08Via Medical CorporationElectrode assembly for assaying glucose
US6015480A (en)1997-01-162000-01-18Dade Behring Inc.Chloride ion selective membrane electrode having improved stability and selectivity

Non-Patent Citations (12)

* Cited by examiner, † Cited by third party
Title
Bourdillon, C. et al., "Catalysis and Mass Transport in Spatially Ordered Enzyme Assemblies on Electrodes", J. Am. Chem. Soc., vol. 117, No. 46, pp. 11499-11506 (1995) month unknown.
Bourdillon, C. et al., "Catalysis and Mass Transport in Spatially Ordered Enzyme Assemblies on Electrodes", J. Am. Chem. Soc., vol. 117, No. 46, pp. 11499-11506 (1995).
Caruso, F. et al., "2. Assembly of Alternating Polyelectrolyte and Protein Multilayer Films for Immunosensing", Langmuir, vol. 13, No. 13, pp. 3427-3433 (1997) month unknown.
Caruso, F. et al., "2. Assembly of Alternating Polyelectrolyte and Protein Multilayer Films for Immunosensing", Langmuir, vol. 13, No. 13, pp. 3427-3433 (1997).
Derwent abstract of EP 0409033 A2 (Schaffar).**
Derwent abstract of JP 62266192 A (Tokyo Ohka Kogyo Co. Ltd.).**
Kobayashi, Y. et al., "Alternate Deposition of Cationic and Anionic Polymers for the Improvement of Response Characteristics of Glucose Biosensor", Electrochemistry, vol. 67, No. 12, pp. 1147-1149 (Dec. 1999).
Lvov, Y. et al., "Assembly of Multicomponent Protein Films by Means of Electrostatic Layer-by-Layer Adsorption", J. Am. Chem. Soc., vol. 117, No. 22, pp. 6117-6123 (1995) month unknown.
Lvov, Y. et al., "Assembly of Multicomponent Protein Films by Means of Electrostatic Layer-by-Layer Adsorption", J. Am. Chem. Soc., vol. 117, No. 22, pp. 6117-6123 (1995).
Sun, Y. et al., "Chemically Modified Electrode via Layer-by-Layer Deposition of Glucose Oxidase (GOD) and Polycation-bearing Os Complex", Thin Solid Films, vol. 327-329, pp. 730-733 (1998) month unknown.
Sun, Y. et al., "Chemically Modified Electrode via Layer-by-Layer Deposition of Glucose Oxidase (GOD) and Polycation-bearing Os Complex", Thin Solid Films, vol. 327-329, pp. 730-733 (1998).
Villeneuve et al. ("Electrochemical Detection of Nitric Oxide Production in Perfused Pig Coronary Artery: Comparison of the Performances of Two Electrochemical Sensors," Journal of Pharmacological and Toxicological Methods (1998), 40(2), 95-100).**

Cited By (1295)

* Cited by examiner, † Cited by third party
Publication numberPriority datePublication dateAssigneeTitle
US7998625B2 (en)1998-06-172011-08-16Abbott Diabetes Care Inc.Biological fuel cell and methods
US7811689B2 (en)1998-06-172010-10-12Abbott Diabetes Care Inc.Biological fuel cell and methods
US20110053005A1 (en)*1998-06-172011-03-03Abbott Diabetes Care Inc.Biological Fuel Cell and Methods
US9070934B2 (en)1998-06-172015-06-30Abbott Diabetes Care Inc.Biological fuel cell and methods
US20110117451A1 (en)*1998-06-172011-05-19Abbott Diabetes Care Inc.Biological Fuel Cell and Methods
US20110117452A1 (en)*1998-06-172011-05-19Abbott Diabetes Care Inc.Biological Fuel Cell and Methods
USRE45370E1 (en)1998-06-172015-02-10Abbott Diabetes Care Inc.Biological fuel cell and methods
US8889305B2 (en)1998-06-172014-11-18Abbott Diabetes Care Inc.Biological fuel cell and methods
US8241797B2 (en)1998-06-172012-08-14Abbott Diabetes Care Inc.Biological fuel cell and methods
US8679688B2 (en)1998-06-172014-03-25Abbott Diabetes Care In.Biological fuel cell and methods
US8435682B2 (en)1998-06-172013-05-07Abbott Diabetes Care Inc.Biological fuel cell and methods
US7998624B2 (en)1998-06-172011-08-16Abbott Diabetes Care Inc.Biological fuel cell and methods
US9509010B2 (en)1998-06-172016-11-29Abbott Diabetes Care Inc.Biological fuel cell and methods
US8273241B2 (en)1998-10-082012-09-25Abbott Diabetes Care Inc.Small volume in vitro analyte sensor and methods of making
US7602310B2 (en)1998-10-082009-10-13Medtronic Minimed, Inc.Telemetered characteristic monitor system and method of using the same
US8728297B2 (en)1998-10-082014-05-20Abbott Diabetes Care Inc.Small volume in vitro analyte sensor
US20060001550A1 (en)*1998-10-082006-01-05Mann Alfred ETelemetered characteristic monitor system and method of using the same
US20080030369A1 (en)*1998-10-082008-02-07Medtronic Minimed, Inc.Telemetered characteristic monitor system and method of using the same
US7324012B2 (en)1998-10-082008-01-29Medtronic Minimed, Inc.Telemetered characteristic monitor system and method of using the same
US20060007017A1 (en)*1998-10-082006-01-12Mann Alfred ETelemetered characteristic monitor system and method of using the same
US9433732B2 (en)1998-10-292016-09-06Medtronic Minimed, Inc.Methods and apparatuses for detecting occlusions in an ambulatory infusion pump
US8864739B2 (en)1998-10-292014-10-21Medtronic Minimed, Inc.Methods and apparatuses for detecting occlusions in an ambulatory infusion pump
US9327073B2 (en)1998-10-292016-05-03Medtronic Minimed, Inc.Method and apparatus for detecting occlusions in an ambulatory infusion pump
US20060184154A1 (en)*1998-10-292006-08-17Medtronic Minimed, Inc.Methods and apparatuses for detecting occlusions in an ambulatory infusion pump
US7621893B2 (en)1998-10-292009-11-24Medtronic Minimed, Inc.Methods and apparatuses for detecting occlusions in an ambulatory infusion pump
US8062257B2 (en)1998-10-292011-11-22Medtronic Minimed, Inc.Method and apparatus for detecting occlusions in an ambulatory infusion pump
US8681010B2 (en)1998-10-292014-03-25Medtronic Minimed, Inc.Method and apparatus for detecting occlusions in an ambulatory infusion pump
US8065096B2 (en)1998-10-292011-11-22Medtronic Minimed, Inc.Method and apparatus for detecting occlusions in an ambulatory infusion pump
US8668672B2 (en)1998-10-292014-03-11Medtronic Minimed, Inc.Methods and apparatuses for detecting occlusions in an ambulatory infusion pump
US20080221523A1 (en)*1998-10-292008-09-11Medtronic Minimed, Inc.Methods and apparatuses for detecting occlusions in an ambulatory infusion pump
US20080221522A1 (en)*1998-10-292008-09-11Medtronic Minimed, Inc.Methods and apparatuses for detecting occlusions in an ambulatory infusion pump
US9433733B2 (en)1998-10-292016-09-06Medtronic Minimed, IncMethods and apparatuses for detecting occlusions in an ambulatory infusion pump
US8647296B2 (en)1998-10-292014-02-11Medtronic Minimed, Inc.Methods and apparatuses for detecting occlusions in an ambulatory infusion pump
US9107999B2 (en)1998-10-292015-08-18Medtronic Minimed, Inc.Methods and apparatuses for detecting occlusions in an ambulatory infusion pump
US8267893B2 (en)1998-10-292012-09-18Medtronic Minimed, Inc.Method and apparatus for detecting occlusions in an ambulatory infusion pump
US9364608B2 (en)1998-10-292016-06-14Medtronic Minimed, Inc.Method and apparatus for detecting occlusions in an ambulatory infusion pump
US20070191770A1 (en)*1998-10-292007-08-16Medtronic Minimed, Inc.Method and apparatus for detecting occlusions in an ambulatory infusion pump
US20110224614A1 (en)*1998-10-292011-09-15Medtronic Minimed, Inc.Methods and apparatuses for detecting occlusions in an ambulatory infusion pump
US8617110B2 (en)1998-10-292013-12-31Medtronic Minimed, Inc.Methods and apparatuses for detecting occlusions in an ambulatory infusion pump
US7998111B2 (en)1998-10-292011-08-16Medtronic Minimed, Inc.Methods and apparatuses for detecting occlusions in an ambulatory infusion pump
US8647074B2 (en)1998-10-292014-02-11Medtronic Minimed, Inc.Method and apparatus for detecting occlusions in an ambulatory infusion pump
US9033925B2 (en)1998-10-292015-05-19Medtronic Minimed, Inc.Methods and apparatuses for detecting occlusions in an ambulatory infusion pump
US7766873B2 (en)1998-10-292010-08-03Medtronic Minimed, Inc.Method and apparatus for detecting occlusions in an ambulatory infusion pump
US9011371B2 (en)1998-10-292015-04-21Medtronic Minimed, Inc.Method and apparatus for detecting occlusions in an ambulatory infusion pump
US8483980B2 (en)1998-10-292013-07-09Medtronic Minimed, Inc.Method and apparatus for detecting occlusions in an ambulatory infusion pump
US8771222B2 (en)1999-06-032014-07-08Medtronic Minimed, Inc.Apparatus and method for controlling insulin infusion with state variable feedback
US20100114015A1 (en)*1999-06-032010-05-06Medtronic Minimed, Inc.Apparatus and method for controlling insulin infusion with state variable feedback
US8777924B2 (en)1999-06-032014-07-15Medtronic Minimed, Inc.Apparatus and method for controlling insulin infusion with state variable feedback
US8348886B2 (en)1999-06-032013-01-08Medtronic Minimed, Inc.Apparatus and method for controlling insulin infusion with state variable feedback
US8348923B2 (en)1999-06-032013-01-08Medtronic Minimed, Inc.Apparatus and method for controlling insulin infusion with state variable feedback
US20070173761A1 (en)*1999-06-032007-07-26Medtronic Minimed, Inc.Apparatus and method for controlling insulin infusion with state variable feedback
US7806886B2 (en)1999-06-032010-10-05Medtronic Minimed, Inc.Apparatus and method for controlling insulin infusion with state variable feedback
US9440025B2 (en)1999-06-032016-09-13Medtronic Minimed, Inc.Apparatus and method for controlling insulin infusion with state variable feedback
US20100305545A1 (en)*1999-06-032010-12-02Medtronic Minimed, Inc.Apparatus and method for controlling insulin infusion with state variable feedback
US8287703B2 (en)1999-10-042012-10-16Roche Diagnostics Operations, Inc.Biosensor and method of making
US8551308B2 (en)1999-10-042013-10-08Roche Diagnostics Operations, Inc.Biosensor and method of making
US8795490B2 (en)1999-11-152014-08-05Abbott Diabetes Care Inc.Redox polymers
US8168052B2 (en)1999-11-152012-05-01Abbott Diabetes Care Inc.Transition metal complexes with bidentate ligand having an imidazole ring
US8828204B2 (en)1999-11-152014-09-09Abbott Diabetes Care Inc.Redox polymers
US20070007132A1 (en)*1999-11-152007-01-11Fei MaoTransition metal complexes with bidentate ligand having an imidazole ring
US9320467B2 (en)1999-11-152016-04-26Abbott Diabetes Care Inc.Redox polymers
US20090145757A1 (en)*1999-11-152009-06-11Fei MaoRedox Polymers
US8268143B2 (en)1999-11-152012-09-18Abbott Diabetes Care Inc.Oxygen-effect free analyte sensor
US8444834B2 (en)1999-11-152013-05-21Abbott Diabetes Care Inc.Redox polymers for use in analyte monitoring
US7918976B2 (en)1999-11-152011-04-05Abbott Diabetes Care Inc.Transition metal complexes with bidentate ligand having an imidazole ring
US10219730B2 (en)1999-11-152019-03-05Abbott Diabetes Care Inc.Redox polymers
US8512534B2 (en)1999-11-152013-08-20Abbott Diabetes Care Inc.Redox polymers
US20090099434A1 (en)*1999-11-152009-04-16Abbott Diabetes Care Inc.Oxygen-effect free analyte sensor
US8092662B2 (en)1999-11-152012-01-10Abbott Diabetes Care Inc.Redox polymers
US20100288634A1 (en)*1999-11-152010-11-18Abbott Diabetes Care Inc.Transition Metal Complexes with Bidentate Ligand Having an Imidazole Ring
US20090088731A1 (en)*2000-02-162009-04-02Medtronic Minimed, Inc.Infusion Device Menu Structure and Method of Using the Same
US20090308743A1 (en)*2000-05-122009-12-17Adam HellerElectrodes with Multilayer Membranes and Methods of Using and Making the Electrodes
US20040219664A1 (en)*2000-05-122004-11-04Therasense, Inc.Electrodes with multilayer membranes and methods of using and making the electrodes
US7666284B2 (en)*2000-05-122010-02-23Abbott Diabetes Care Inc.Electrodes with multilayer membranes and methods of using and making the electrodes
US8182447B2 (en)2000-10-272012-05-22Medtronic Minimed, Inc.Methods and apparatuses for detecting occlusions in an ambulatory infusion pump
US20060149067A1 (en)*2001-05-112006-07-06Fei MaoTransition metal complexes with (pyridyl)imidazole ligands
US8070934B2 (en)2001-05-112011-12-06Abbott Diabetes Care Inc.Transition metal complexes with (pyridyl)imidazole ligands
US20080197026A1 (en)*2001-05-112008-08-21Fei MaoTransition metal complexes with (pyridyl)imidazole ligands
US8226814B2 (en)2001-05-112012-07-24Abbott Diabetes Care Inc.Transition metal complexes with pyridyl-imidazole ligands
US8298388B2 (en)2001-05-112012-10-30Abbott Diabetes Care Inc.Transition metal complexes with (pyridyl)imidazole ligands
US7615637B2 (en)2001-05-112009-11-10Abbott Diabetes Care Inc.Transition metal complexes with (pyridyl)imidazole ligands
US20100038242A1 (en)*2001-05-112010-02-18Fei MaoTransition metal complexes with (pyridyl)imidazole ligands
US7465796B2 (en)2001-05-112008-12-16Abbott Diabetes Care Inc.Transition metal complexes with (pyridyl)imidazole ligands
US20090095642A1 (en)*2001-05-112009-04-16Abbott Diabetes Care Inc.Transition metal complexes with pyridyl-imidazole ligands
US8437829B2 (en)2001-05-152013-05-07Abbott Diabetes Care Inc.Biosensor membranes
US9713443B2 (en)2001-05-152017-07-25Abbott Diabetes Care Inc.Biosensor membranes
US9232916B2 (en)2001-05-152016-01-12Abbott Diabetes Care Inc.Analyte monitoring devices
US8147666B2 (en)2001-05-152012-04-03Abbott Diabetes Care Inc.Biosensor membranes composed of polymers containing heterocyclic nitrogens
US9414778B2 (en)2001-05-152016-08-16Abbott Diabetes Care Inc.Biosensor membranes
US20100213058A1 (en)*2001-05-152010-08-26Fei MaoBiosensor Membranes
US8377271B2 (en)2001-05-152013-02-19Abbott Diabetes Care Inc.Biosensor membranes composed of polymers containing heterocyclic nitrogens
US20080277277A1 (en)*2001-05-152008-11-13Fei MaoBiosensor membranes composed of polymers containing heterocyclic nitrogens
US20080029391A1 (en)*2001-05-152008-02-07Abbott Diabetes Care, Inc.Biosensor Membranes Composed of Polymers Containing Heterocyclic Nitrogens
US20110017595A1 (en)*2001-05-152011-01-27Fei MaoBiosensor Membranes Composed of Polymers Containing Heterocyclic Nitrogens
US9014774B2 (en)2001-05-152015-04-21Abbott Diabetes Care Inc.Biosensor membranes
US20050241957A1 (en)*2001-05-152005-11-03Fei MaoBiosensor membranes composed of polymers containing heterocyclic nitrogens
US8380274B2 (en)2001-05-152013-02-19Abbott Diabetes Care Inc.Biosensor membranes composed of polymers containing heterocyclic nitrogens
US20100112613A1 (en)*2001-05-152010-05-06Fei MaoBiosensor Membranes Composed of Polymers Containing Heterocyclic Nitrogens
US7670470B2 (en)2001-05-152010-03-02Abbott Diabetes Care Inc.Biosensor membranes composed of polymers containing heterocyclic nitrogens
US20060205029A1 (en)*2001-05-162006-09-14Adam HellerDevice for the determination of glycated hemoglobin
US8460525B2 (en)2001-05-162013-06-11Abbott Diabetes Care Inc.Device for the determination of glycated hemoglobin
US8206563B2 (en)2001-05-162012-06-26Abbott Diabetes Care Inc.Device for the determination of glycated hemoglobin
US9782540B2 (en)2001-09-072017-10-10Medtronic Minimed, Inc.Safety limits for closed-loop infusion pump control
US8784370B2 (en)2001-09-072014-07-22Medtronic Minimed, Inc.Safety limits for closed-loop infusion pump control
US8105268B2 (en)2001-09-072012-01-31Medtronic Minimed, Inc.Safety limits for closed-loop infusion pump control
US8759055B2 (en)2002-05-022014-06-24Abbott Diabetes Care Inc.Miniature biological fuel cell that is operational under physiological conditions, and associated devices and methods
US20080118782A1 (en)*2002-05-022008-05-22Adam HellerMiniature biological fuel cell that is operational under physiological conditions, and associated devices and methods
US7278983B2 (en)2002-07-242007-10-09Medtronic Minimed, Inc.Physiological monitoring device for controlling a medication infusion device
US8512276B2 (en)2002-07-242013-08-20Medtronic Minimed, Inc.System for providing blood glucose measurements to an infusion device
US20090149803A1 (en)*2002-07-242009-06-11Medtronic Minimed, Inc.System for Providing Blood Glucose Measurements to an Infusion Device
US8568357B2 (en)2002-07-242013-10-29Medtronic Minimed, Inc.System for providing blood glucose measurements to an infusion device
US9636456B2 (en)2002-07-242017-05-02Medtronic Minimed, Inc.System for providing blood glucose measurements to an infusion device
US20090099509A1 (en)*2002-07-242009-04-16Medtronic Minimed, Inc.System for Providing Blood Glucose Measurements to an Infusion Device
US8192395B2 (en)2002-07-242012-06-05Medtronic Minimed, Inc.System for providing blood glucose measurements to an infusion device
US20050065464A1 (en)*2002-07-242005-03-24Medtronic Minimed, Inc.System for providing blood glucose measurements to an infusion device
US7901394B2 (en)2002-07-242011-03-08Medtronic Minimed, Inc.Physiological monitoring device for controlling a medication infusion device
US8343093B2 (en)2002-10-092013-01-01Abbott Diabetes Care Inc.Fluid delivery device with autocalibration
US8163160B2 (en)2002-10-232012-04-24Abbott Diabetes Care Inc.Biosensor having improved hematocrit and oxygen biases
US7754093B2 (en)2002-10-232010-07-13Abbott Diabetes Care Inc.Biosensor having improved hematocrit and oxygen biases
US20060201805A1 (en)*2002-10-232006-09-14Forrow Nigel JBiosensor having improved hematocrit and oxygen biases
US20110031133A1 (en)*2002-10-232011-02-10Abbott Diabetes Care Inc.Biosensor Having Improved Hematocrit and Oxygen Biases
US9980670B2 (en)2002-11-052018-05-29Abbott Diabetes Care Inc.Sensor inserter assembly
US11141084B2 (en)2002-11-052021-10-12Abbott Diabetes Care Inc.Sensor inserter assembly
US20100190268A1 (en)*2002-11-052010-07-29Abbott Diabetes Care Inc.Assay Device, System and Method
US8029442B2 (en)2002-11-052011-10-04Abbott Diabetes Care Inc.Sensor inserter assembly
US10973443B2 (en)2002-11-052021-04-13Abbott Diabetes Care Inc.Sensor inserter assembly
US11116430B2 (en)2002-11-052021-09-14Abbott Diabetes Care Inc.Sensor inserter assembly
US7582059B2 (en)2002-11-052009-09-01Abbott Diabetes Care Inc.Sensor inserter methods of use
US7670853B2 (en)2002-11-052010-03-02Abbott Diabetes Care Inc.Assay device, system and method
US20060148096A1 (en)*2002-11-052006-07-06Jina Arvind NAssay device, system and method
US20040122353A1 (en)*2002-12-192004-06-24Medtronic Minimed, Inc.Relay device for transferring information between a sensor system and a fluid delivery system
US8622954B2 (en)2002-12-192014-01-07Medtronic Minimed, Inc.Relay device for transferring information between a sensor system and a fluid delivery system
US20100280442A1 (en)*2002-12-192010-11-04Medtronic Minimed, Inc.Replay device for transferring information between a sensor system and a fluid delivery system
US9962091B2 (en)2002-12-312018-05-08Abbott Diabetes Care Inc.Continuous glucose monitoring system and methods of use
US10750952B2 (en)2002-12-312020-08-25Abbott Diabetes Care Inc.Continuous glucose monitoring system and methods of use
US10039881B2 (en)2002-12-312018-08-07Abbott Diabetes Care Inc.Method and system for providing data communication in continuous glucose monitoring and management system
US20090317393A1 (en)*2003-02-242009-12-24University Of Maryland, BaltimoreMethod of modifying glucose activity using polypeptides selectively expressed in fat tissue
US8512246B2 (en)2003-04-282013-08-20Abbott Diabetes Care Inc.Method and apparatus for providing peak detection circuitry for data communication systems
US8066639B2 (en)2003-06-102011-11-29Abbott Diabetes Care Inc.Glucose measuring device for use in personal area network
US8512239B2 (en)2003-06-102013-08-20Abbott Diabetes Care Inc.Glucose measuring device for use in personal area network
US8647269B2 (en)2003-06-102014-02-11Abbott Diabetes Care Inc.Glucose measuring device for use in personal area network
US9730584B2 (en)2003-06-102017-08-15Abbott Diabetes Care Inc.Glucose measuring device for use in personal area network
US8148164B2 (en)2003-06-202012-04-03Roche Diagnostics Operations, Inc.System and method for determining the concentration of an analyte in a sample fluid
US8298828B2 (en)2003-06-202012-10-30Roche Diagnostics Operations, Inc.System and method for determining the concentration of an analyte in a sample fluid
US7727467B2 (en)2003-06-202010-06-01Roche Diagnostics Operations, Inc.Reagent stripe for test strip
US7829023B2 (en)2003-06-202010-11-09Roche Diagnostics Operations, Inc.Test strip with vent opening
US7892849B2 (en)2003-06-202011-02-22Roche Diagnostics Operations, Inc.Reagent stripe for test strip
US8071030B2 (en)2003-06-202011-12-06Roche Diagnostics Operations, Inc.Test strip with flared sample receiving chamber
US8679853B2 (en)2003-06-202014-03-25Roche Diagnostics Operations, Inc.Biosensor with laser-sealed capillary space and method of making
US7749437B2 (en)2003-06-202010-07-06Roche Diagnostics Operations, Inc.Method and reagent for producing narrow, homogenous reagent stripes
US8211379B2 (en)2003-06-202012-07-03Roche Diagnostics Operations, Inc.Test strip with slot vent opening
US8222044B2 (en)2003-06-202012-07-17Roche Diagnostics Operations, Inc.Test strip with flared sample receiving chamber
US8119414B2 (en)2003-06-202012-02-21Roche Diagnostics Operations, Inc.Test strip with slot vent opening
US8586373B2 (en)2003-06-202013-11-19Roche Diagnostics Operations, Inc.System and method for determining the concentration of an analyte in a sample fluid
US7879618B2 (en)2003-06-202011-02-01Roche Diagnostics Operations, Inc.Method and reagent for producing narrow, homogenous reagent strips
US8142721B2 (en)2003-06-202012-03-27Roche Diagnostics Operations, Inc.Test strip with slot vent opening
US8684930B2 (en)2003-10-312014-04-01Abbott Diabetes Care Inc.Method of calibrating an analyte-measurement device, and associated methods, devices and systems
US8116840B2 (en)2003-10-312012-02-14Abbott Diabetes Care Inc.Method of calibrating of an analyte-measurement device, and associated methods, devices and systems
US8219174B2 (en)2003-10-312012-07-10Abbott Diabetes Care Inc.Method of calibrating an analyte-measurement device, and associated methods, devices and systems
US8219175B2 (en)2003-10-312012-07-10Abbott Diabetes Care Inc.Method of calibrating an analyte-measurement device, and associated methods, devices and systems
USD914881S1 (en)2003-11-052021-03-30Abbott Diabetes Care Inc.Analyte sensor electronic mount
USD902408S1 (en)2003-11-052020-11-17Abbott Diabetes Care Inc.Analyte sensor control unit
US11627900B2 (en)2003-12-052023-04-18Dexcom, Inc.Analyte sensor
US11000215B1 (en)2003-12-052021-05-11Dexcom, Inc.Analyte sensor
US11020031B1 (en)2003-12-052021-06-01Dexcom, Inc.Analyte sensor
US9162884B2 (en)2003-12-222015-10-20John Wayne Cancer InstituteMethod and apparatus for in vivo surveillance of circulating biological components
US10987037B2 (en)2003-12-222021-04-27John Wayne Cancer InstituteMethod and apparatus for in vivo surveillance of circulating biological components
US8084246B2 (en)2003-12-222011-12-27John Wayne Cancer InstituteMethod and apparatus for in vivo surveillance of circulating biological components
US8569044B2 (en)2003-12-222013-10-29John Wayne Cancer InstituteMethod and apparatus for in vivo collection of circulating biological components
US20080241847A1 (en)*2003-12-222008-10-02John Wayne Cancer InstituteMethod and apparatus for in vivo surveillance of circulating biological components
US7993909B2 (en)2003-12-222011-08-09John Wayne Cancer InstituteMethod and apparatus for in vivo collection of circulating biological components
US7553625B2 (en)2003-12-222009-06-30John Wayne Cancer InstituteMethod and apparatus for in vivo collection of circulating biological components
US20050153309A1 (en)*2003-12-222005-07-14David HoonMethod and apparatus for in vivo surveillance of circulating biological components
US20090011445A1 (en)*2003-12-222009-01-08John Wayne Cancer InstituteMethod and apparatus for in vivo collection of circulating biological components
US20050153379A1 (en)*2003-12-222005-07-14David HoonMethod and apparatus for in vivo collection of circulating biological components
US20050173245A1 (en)*2004-02-092005-08-11Benjamin FeldmanMembrane suitable for use in an analyte sensor, analyte sensor, and associated method
US7699964B2 (en)2004-02-092010-04-20Abbott Diabetes Care Inc.Membrane suitable for use in an analyte sensor, analyte sensor, and associated method
US20050215871A1 (en)*2004-02-092005-09-29Feldman Benjamin JAnalyte sensor, and associated system and method employing a catalytic agent
US8761857B2 (en)2004-02-092014-06-24Abbott Diabetes Care Inc.Analyte sensor, and associated system and method employing a catalytic agent
US8165651B2 (en)2004-02-092012-04-24Abbott Diabetes Care Inc.Analyte sensor, and associated system and method employing a catalytic agent
US20070191701A1 (en)*2004-02-092007-08-16Abbott Diabetes Care, Inc.Analyte Sensor, and Associated System and Method Employing a Catalytic Agent
US8771183B2 (en)2004-02-172014-07-08Abbott Diabetes Care Inc.Method and system for providing data communication in continuous glucose monitoring and management system
US20070135697A1 (en)*2004-04-192007-06-14Therasense, Inc.Method and apparatus for providing sensor guard for data monitoring and detection systems
US12056079B2 (en)2004-06-042024-08-06Abbott Diabetes Care Inc.Systems and methods for managing diabetes care data
US11182332B2 (en)2004-06-042021-11-23Abbott Diabetes Care Inc.Systems and methods for managing diabetes care data
US10963417B2 (en)2004-06-042021-03-30Abbott Diabetes Care Inc.Systems and methods for managing diabetes care data
US11507530B2 (en)2004-06-042022-11-22Abbott Diabetes Care Inc.Systems and methods for managing diabetes care data
US20070100222A1 (en)*2004-06-142007-05-03Metronic Minimed, Inc.Analyte sensing apparatus for hospital use
US11883164B2 (en)2004-07-132024-01-30Dexcom, Inc.System and methods for processing analyte sensor data for sensor calibration
US20070244383A1 (en)*2004-07-272007-10-18Medtronic Minimed, Inc.Sensing system with auxiliary display
US7344500B2 (en)2004-07-272008-03-18Medtronic Minimed, Inc.Sensing system with auxiliary display
US7727148B2 (en)2004-07-272010-06-01Medtronic Minimed, Inc.Sensing system with auxiliary display
US8162876B2 (en)2004-12-032012-04-24Medtronic Minimed, Inc.Medication infusion set
US20080045891A1 (en)*2004-12-032008-02-21Medtronic Minimed, Inc.Medication infusion set
US7303543B1 (en)2004-12-032007-12-04Medtronic Minimed, Inc.Medication infusion set
US20100215518A1 (en)*2004-12-162010-08-26Welch Jr Kenneth WBuoyancy pump power system
US8571624B2 (en)2004-12-292013-10-29Abbott Diabetes Care Inc.Method and apparatus for mounting a data transmission device in a communication system
US20090082693A1 (en)*2004-12-292009-03-26Therasense, Inc.Method and apparatus for providing temperature sensor module in a data communication system
US10226207B2 (en)2004-12-292019-03-12Abbott Diabetes Care Inc.Sensor inserter having introducer
US11160475B2 (en)2004-12-292021-11-02Abbott Diabetes Care Inc.Sensor inserter having introducer
US9056162B2 (en)2005-02-032015-06-16Medtronic Minimed, Inc.Insertion device
US8070722B2 (en)2005-02-032011-12-06Medtronic Minimed, Inc.Insertion device
US8545443B2 (en)2005-02-032013-10-01Medtronic Minimed, Inc.Insertion device
US8414529B2 (en)2005-02-032013-04-09Medtronic Minimed, Inc.Insertion device
US7704229B2 (en)2005-02-032010-04-27Medtronic Minimed, Inc.Insertion device
US8764707B2 (en)2005-02-032014-07-01Medtronic Minimed, Inc.Insertion device
US20100160864A1 (en)*2005-02-032010-06-24Medtronic Minimed, Inc.Insertion device
US20060173410A1 (en)*2005-02-032006-08-03Medtronic Minimed, Inc.Insertion device
US8394058B2 (en)2005-02-032013-03-12Medtronic Minimed, Inc.Insertion device
US9333294B2 (en)2005-02-032016-05-10Medtronic Minimed, Inc.Insertion device
US20060184104A1 (en)*2005-02-152006-08-17Medtronic Minimed, Inc.Needle guard
US10716498B2 (en)2005-03-102020-07-21Dexcom, Inc.System and methods for processing analyte sensor data for sensor calibration
US11000213B2 (en)2005-03-102021-05-11Dexcom, Inc.System and methods for processing analyte sensor data for sensor calibration
US10898114B2 (en)2005-03-102021-01-26Dexcom, Inc.System and methods for processing analyte sensor data for sensor calibration
US10925524B2 (en)2005-03-102021-02-23Dexcom, Inc.System and methods for processing analyte sensor data for sensor calibration
US10709364B2 (en)2005-03-102020-07-14Dexcom, Inc.System and methods for processing analyte sensor data for sensor calibration
US10918316B2 (en)2005-03-102021-02-16Dexcom, Inc.System and methods for processing analyte sensor data for sensor calibration
US10743801B2 (en)2005-03-102020-08-18Dexcom, Inc.System and methods for processing analyte sensor data for sensor calibration
US10610137B2 (en)2005-03-102020-04-07Dexcom, Inc.System and methods for processing analyte sensor data for sensor calibration
US10856787B2 (en)2005-03-102020-12-08Dexcom, Inc.System and methods for processing analyte sensor data for sensor calibration
US10610136B2 (en)2005-03-102020-04-07Dexcom, Inc.System and methods for processing analyte sensor data for sensor calibration
US11051726B2 (en)2005-03-102021-07-06Dexcom, Inc.System and methods for processing analyte sensor data for sensor calibration
US10617336B2 (en)2005-03-102020-04-14Dexcom, Inc.System and methods for processing analyte sensor data for sensor calibration
US10918318B2 (en)2005-03-102021-02-16Dexcom, Inc.System and methods for processing analyte sensor data for sensor calibration
US10918317B2 (en)2005-03-102021-02-16Dexcom, Inc.System and methods for processing analyte sensor data for sensor calibration
US10610135B2 (en)2005-03-102020-04-07Dexcom, Inc.System and methods for processing analyte sensor data for sensor calibration
US8343092B2 (en)2005-03-212013-01-01Abbott Diabetes Care Inc.Method and system for providing integrated medication infusion and analyte monitoring system
US8112240B2 (en)2005-04-292012-02-07Abbott Diabetes Care Inc.Method and apparatus for providing leak detection in data monitoring and management systems
US8471714B2 (en)2005-05-172013-06-25Abbott Diabetes Care Inc.Method and system for providing data management in data monitoring system
US10206611B2 (en)2005-05-172019-02-19Abbott Diabetes Care Inc.Method and system for providing data management in data monitoring system
US9750440B2 (en)2005-05-172017-09-05Abbott Diabetes Care Inc.Method and system for providing data management in data monitoring system
US9332944B2 (en)2005-05-172016-05-10Abbott Diabetes Care Inc.Method and system for providing data management in data monitoring system
US8653977B2 (en)2005-05-172014-02-18Abbott Diabetes Care Inc.Method and system for providing data management in data monitoring system
US20060272652A1 (en)*2005-06-032006-12-07Medtronic Minimed, Inc.Virtual patient software system for educating and treating individuals with diabetes
US20100274592A1 (en)*2005-06-032010-10-28Medtronic Minimed, Inc.Therapy management system
US20070033074A1 (en)*2005-06-032007-02-08Medtronic Minimed, Inc.Therapy management system
US20090018779A1 (en)*2005-06-292009-01-15Medtronic Minimed, Inc.Flexible glucose analysis using varying time report deltas and configurable glucose target ranges
US20070020501A1 (en)*2005-07-212007-01-25Ling-Feng LiPolyelectrolyte membranes as separator for battery and fuel cell applications
US20070066956A1 (en)*2005-07-272007-03-22Medtronic Minimed, Inc.Systems and methods for entering temporary basal rate pattern in an infusion device
US8663201B2 (en)2005-08-162014-03-04Medtronic Minimed, Inc.Infusion device
US20070060869A1 (en)*2005-08-162007-03-15Tolle Mike C VController device for an infusion pump
US20070060870A1 (en)*2005-08-162007-03-15Tolle Mike Charles VController device for an infusion pump
US20100201196A1 (en)*2005-08-162010-08-12Medtronic Minimed, Inc.Method and apparatus for predicting end of battery life
US20090227855A1 (en)*2005-08-162009-09-10Medtronic Minimed, Inc.Controller device for an infusion pump
US20070093786A1 (en)*2005-08-162007-04-26Medtronic Minimed, Inc.Watch controller for a medical device
US8106534B2 (en)2005-08-162012-01-31Medtronic Minimed, Inc.Method and apparatus for predicting end of battery life
US7737581B2 (en)2005-08-162010-06-15Medtronic Minimed, Inc.Method and apparatus for predicting end of battery life
US8602991B2 (en)2005-08-302013-12-10Abbott Diabetes Care Inc.Analyte sensor introducer and methods of use
US10194850B2 (en)2005-08-312019-02-05Abbott Diabetes Care Inc.Accuracy of continuous glucose sensors
US11957463B2 (en)2005-08-312024-04-16Abbott Diabetes Care Inc.Accuracy of continuous glucose sensors
US8182462B2 (en)2005-09-132012-05-22Medtronic Minimed, Inc.Modular external infusion device
US10376640B2 (en)2005-09-132019-08-13Medtronic Minimed, Inc.Modular external infusion device
US8152764B2 (en)2005-09-132012-04-10Medtronic Minimed, Inc.Modular external infusion device
US7815622B2 (en)2005-09-132010-10-19Medtronic Minimed, Inc.Modular external infusion device
US9220840B2 (en)2005-09-132015-12-29Medtronic Minimed, Inc.Modular external infusion device
US8574216B2 (en)2005-09-132013-11-05Medtronic Minimed, Inc.Modular external infusion device
US20070060871A1 (en)*2005-09-132007-03-15Medtronic Minimed, Inc.Modular external infusion device
US8414557B2 (en)2005-09-132013-04-09Medtronic Minimed, Inc.Modular external infusion device
US20090048574A1 (en)*2005-09-132009-02-19Medtronic Minimed, Inc.Modular external infusion device
US8517987B2 (en)2005-09-132013-08-27Medtronic Minimed, Inc.Modular external infusion device
US7713240B2 (en)2005-09-132010-05-11Medtronic Minimed, Inc.Modular external infusion device
US11253647B2 (en)2005-09-132022-02-22Medtronic Minimed, Inc.Modular external infusion device
US20100191084A1 (en)*2005-09-232010-07-29Medtronic Minimed, Inc.Sensor with layered electrodes
US8850687B2 (en)2005-09-232014-10-07Medtronic Minimed, Inc.Method of making a sensor
US9693722B2 (en)2005-09-232017-07-04Medtronic Minimed, Inc.Sensor with layered electrodes
US7882611B2 (en)2005-09-232011-02-08Medtronic Minimed, Inc.Method of making an analyte sensor
US9179870B2 (en)2005-09-232015-11-10Medtronic Minimed, Inc.Method of making a sensor with layered electrodes
US20080313896A1 (en)*2005-09-232008-12-25Medtronic Minimed, Inc.Sensor with layered electrodes
US9364177B2 (en)2005-09-232016-06-14Medtronic Minimed, Inc.Sensor with layered electrodes
US9072476B2 (en)2005-09-232015-07-07Medtronic Minimed, Inc.Flexible sensor apparatus
US20110091816A1 (en)*2005-09-232011-04-21Medtronic Minimed, Inc.Sensor with layered electrodes
US20110091817A1 (en)*2005-09-232011-04-21Medtronic Minimed, Inc.Sensor with layered electrodes
US20070173711A1 (en)*2005-09-232007-07-26Medtronic Minimed, Inc.Sensor with layered electrodes
US20110097480A1 (en)*2005-09-232011-04-28Medtronic Minimed, Inc.Sensor with layered electrodes
US7725148B2 (en)2005-09-232010-05-25Medtronic Minimed, Inc.Sensor with layered electrodes
US8850688B2 (en)2005-09-232014-10-07Medtronic Minimed, Inc.Method of making a sensor with layered electrodes
US9480421B2 (en)2005-09-302016-11-01Abbott Diabetes Care Inc.Integrated introducer and transmitter assembly and methods of use
USD979766S1 (en)2005-09-302023-02-28Abbott Diabetes Care Inc.Analyte sensor device
US10194863B2 (en)2005-09-302019-02-05Abbott Diabetes Care Inc.Integrated transmitter unit and sensor introducer mechanism and methods of use
US7883464B2 (en)2005-09-302011-02-08Abbott Diabetes Care Inc.Integrated transmitter unit and sensor introducer mechanism and methods of use
US9775563B2 (en)2005-09-302017-10-03Abbott Diabetes Care Inc.Integrated introducer and transmitter assembly and methods of use
US8512243B2 (en)2005-09-302013-08-20Abbott Diabetes Care Inc.Integrated introducer and transmitter assembly and methods of use
US9398882B2 (en)2005-09-302016-07-26Abbott Diabetes Care Inc.Method and apparatus for providing analyte sensor and data processing device
US11457869B2 (en)2005-09-302022-10-04Abbott Diabetes Care Inc.Integrated transmitter unit and sensor introducer mechanism and methods of use
US10342489B2 (en)2005-09-302019-07-09Abbott Diabetes Care Inc.Integrated introducer and transmitter assembly and methods of use
US9521968B2 (en)2005-09-302016-12-20Abbott Diabetes Care Inc.Analyte sensor retention mechanism and methods of use
US8880138B2 (en)2005-09-302014-11-04Abbott Diabetes Care Inc.Device for channeling fluid and methods of use
US20110031110A1 (en)*2005-10-312011-02-10Yi WangMethods of Making, and, Analyte Sensor
US9290839B2 (en)2005-10-312016-03-22Abbott Diabetes Care Inc.Method of making, and, analyte sensor
US8638220B2 (en)2005-10-312014-01-28Abbott Diabetes Care Inc.Method and apparatus for providing data communication in data monitoring and management systems
US20070095661A1 (en)*2005-10-312007-05-03Yi WangMethod of making, and, analyte sensor
US8795477B2 (en)2005-10-312014-08-05Abbott Diabetes Care Inc.Methods of making, and, analyte sensor
US9669162B2 (en)2005-11-042017-06-06Abbott Diabetes Care Inc.Method and system for providing basal profile modification in analyte monitoring and management systems
US9323898B2 (en)2005-11-042016-04-26Abbott Diabetes Care Inc.Method and system for providing basal profile modification in analyte monitoring and management systems
US8585591B2 (en)2005-11-042013-11-19Abbott Diabetes Care Inc.Method and system for providing basal profile modification in analyte monitoring and management systems
US11538580B2 (en)2005-11-042022-12-27Abbott Diabetes Care Inc.Method and system for providing basal profile modification in analyte monitoring and management systems
US7766829B2 (en)2005-11-042010-08-03Abbott Diabetes Care Inc.Method and system for providing basal profile modification in analyte monitoring and management systems
US9795331B2 (en)2005-12-282017-10-24Abbott Diabetes Care Inc.Method and apparatus for providing analyte sensor insertion
US10219728B2 (en)2005-12-282019-03-05Abbott Diabetes Care Inc.Analyte monitoring: stabilizer for subcutaneous glucose sensor with incorporated antiglycolytic agent
US10307091B2 (en)2005-12-282019-06-04Abbott Diabetes Care Inc.Method and apparatus for providing analyte sensor insertion
US8792956B2 (en)2005-12-282014-07-29Abbott Diabetes Care Inc.Analyte monitoring: stabilizer for subcutaneous glucose sensor with incorporated antiglycolytic agent
US11439326B2 (en)2005-12-282022-09-13Abbott Diabetes Care Inc.Analyte monitoring: stabilizer for subcutaneous glucose sensor with incorporated antiglycolytic agent
US20070149875A1 (en)*2005-12-282007-06-28Abbott Diabetes Care, Inc.Analyte monitoring
US20090018425A1 (en)*2005-12-282009-01-15Tianmei OuyangAnalyte monitoring: stabilizer for subcutaneous glucose sensor with incorporated antiglycolytic agent
US8515518B2 (en)2005-12-282013-08-20Abbott Diabetes Care Inc.Analyte monitoring
US8160670B2 (en)2005-12-282012-04-17Abbott Diabetes Care Inc.Analyte monitoring: stabilizer for subcutaneous glucose sensor with incorporated antiglycolytic agent
US11298058B2 (en)2005-12-282022-04-12Abbott Diabetes Care Inc.Method and apparatus for providing analyte sensor insertion
US8545403B2 (en)2005-12-282013-10-01Abbott Diabetes Care Inc.Medical device insertion
US9332933B2 (en)2005-12-282016-05-10Abbott Diabetes Care Inc.Method and apparatus for providing analyte sensor insertion
US7697967B2 (en)2005-12-282010-04-13Abbott Diabetes Care Inc.Method and apparatus for providing analyte sensor insertion
US8852101B2 (en)2005-12-282014-10-07Abbott Diabetes Care Inc.Method and apparatus for providing analyte sensor insertion
US20110106480A1 (en)*2005-12-302011-05-05Medtronic Minimed, Inc.Method of and system for stabilization of sensors
US20070170073A1 (en)*2005-12-302007-07-26Medtronic Minimed, Inc.Method and System for Detecting Age, Hydration, and Functional States of Sensors Using Electrochemical Impedance Spectroscopy
US10420496B2 (en)2005-12-302019-09-24Medtronic Minimed, Inc.Method of and system for stabilization of sensors
US8602992B2 (en)2005-12-302013-12-10Medtronic Minimed, Inc.Methods and systems for detecting the hydration of sensors
US9125608B2 (en)2005-12-302015-09-08Medtronic Minimed, Inc.Real-time self-calibrating sensor system and method
US9759678B2 (en)2005-12-302017-09-12Medtronic Minimed, Inc.Methods and systems for detecting the hydration of sensors
US20110106479A1 (en)*2005-12-302011-05-05Medtronic Minimed, Inc.Method of and system for stabilization of sensors
US7774038B2 (en)2005-12-302010-08-10Medtronic Minimed, Inc.Real-time self-calibrating sensor system and method
US9125607B2 (en)2005-12-302015-09-08Medtronic Minimed, Inc.Real-time self-calibrating sensor system and method
US20110048941A1 (en)*2005-12-302011-03-03Medtronic Minimed, Inc.Methods and systems for detecting the hydration of sensors
US8591416B2 (en)2005-12-302013-11-26Medtronic Minimed, Inc.Methods and systems for detecting the hydration of sensors
US9885684B2 (en)2005-12-302018-02-06Medtronic Minimed, Inc.Methods and systems for detecting the hydration of sensors
US20110101995A1 (en)*2005-12-302011-05-05Medtronic Minimed, Inc.Method of and system for stabilization of sensors
US20100324853A1 (en)*2005-12-302010-12-23Medtronic Minimed, Inc.Real-time self-calibrating sensor system and method
US20070169533A1 (en)*2005-12-302007-07-26Medtronic Minimed, Inc.Methods and systems for detecting the hydration of sensors
US8249683B2 (en)2005-12-302012-08-21Medtronic Minimed, Inc.Real-time self-calibrating sensor system and method
US9360447B2 (en)2005-12-302016-06-07Medtronic Minimed, Inc.Methods and systems for detecting the hydration of sensors
US8114269B2 (en)2005-12-302012-02-14Medtronic Minimed, Inc.System and method for determining the point of hydration and proper time to apply potential to a glucose sensor
US20110054281A1 (en)*2005-12-302011-03-03Medtronic Minimed, Inc.Methods and systems for detecting the hydration of sensors
US11980463B2 (en)2005-12-302024-05-14Medtronic Minimed, Inc.Method of and system for stabilization of sensors
US20070173712A1 (en)*2005-12-302007-07-26Medtronic Minimed, Inc.Method of and system for stabilization of sensors
US10288578B2 (en)2005-12-302019-05-14Medtronic Minimed, IncMethods and systems for detecting the hydration of sensors
US9835580B2 (en)2005-12-302017-12-05Medtronic Minimed, Inc.Methods and systems for detecting the hydration of sensors
US8608924B2 (en)2005-12-302013-12-17Medtronic Minimed, Inc.System and method for determining the point of hydration and proper time to apply potential to a glucose sensor
US8114268B2 (en)2005-12-302012-02-14Medtronic Minimed, Inc.Method and system for remedying sensor malfunctions detected by electrochemical impedance spectroscopy
US20110010104A1 (en)*2005-12-302011-01-13Medtronic Minimed, Inc.Methods and systems for detecting the hydration of sensors
US9976978B2 (en)2005-12-302018-05-22Medtronic Minimed, Inc.Methods and systems for detecting the hydration of sensors
US20070163894A1 (en)*2005-12-302007-07-19Medtronic Minimed, Inc.Real-time self-calibrating sensor system and method
US9549698B2 (en)2005-12-302017-01-24Medtronic Minimed, Inc.Method of and system for stabilization of sensors
US7985330B2 (en)2005-12-302011-07-26Medtronic Minimed, Inc.Method and system for detecting age, hydration, and functional states of sensors using electrochemical impedance spectroscopy
US20110010105A1 (en)*2005-12-302011-01-13Medtronic Minimed, Inc.Methods and systems for detecting the hydration of sensors
US8532732B2 (en)2005-12-302013-09-10Medtronic Minimed, Inc.Methods and systems for detecting the hydration of sensors
US7736310B2 (en)2006-01-302010-06-15Abbott Diabetes Care Inc.On-body medical device securement
US7951080B2 (en)2006-01-302011-05-31Abbott Diabetes Care Inc.On-body medical device securement
US9326727B2 (en)2006-01-302016-05-03Abbott Diabetes Care Inc.On-body medical device securement
US8734344B2 (en)2006-01-302014-05-27Abbott Diabetes Care Inc.On-body medical device securement
US8029441B2 (en)2006-02-282011-10-04Abbott Diabetes Care Inc.Analyte sensor transmitter unit configuration for a data monitoring and management system
US11179072B2 (en)2006-02-282021-11-23Abbott Diabetes Care Inc.Analyte sensor transmitter unit configuration for a data monitoring and management system
US7822455B2 (en)2006-02-282010-10-26Abbott Diabetes Care Inc.Analyte sensors and methods of use
US11064916B2 (en)2006-02-282021-07-20Abbott Diabetes Care Inc.Analyte sensor transmitter unit configuration for a data monitoring and management system
US11872039B2 (en)2006-02-282024-01-16Abbott Diabetes Care Inc.Method and system for providing continuous calibration of implantable analyte sensors
US9844329B2 (en)2006-02-282017-12-19Abbott Diabetes Care Inc.Analyte sensors and methods of use
US11179071B2 (en)2006-02-282021-11-23Abbott Diabetes Care IncAnalyte sensor transmitter unit configuration for a data monitoring and management system
US7826879B2 (en)2006-02-282010-11-02Abbott Diabetes Care Inc.Analyte sensors and methods of use
US8506482B2 (en)2006-02-282013-08-13Abbott Diabetes Care Inc.Method and system for providing continuous calibration of implantable analyte sensors
US7885698B2 (en)2006-02-282011-02-08Abbott Diabetes Care Inc.Method and system for providing continuous calibration of implantable analyte sensors
US10117614B2 (en)2006-02-282018-11-06Abbott Diabetes Care Inc.Method and system for providing continuous calibration of implantable analyte sensors
US10945647B2 (en)2006-02-282021-03-16Abbott Diabetes Care Inc.Analyte sensor transmitter unit configuration for a data monitoring and management system
USD961778S1 (en)2006-02-282022-08-23Abbott Diabetes Care Inc.Analyte sensor device
US9031630B2 (en)2006-02-282015-05-12Abbott Diabetes Care Inc.Analyte sensors and methods of use
US10159433B2 (en)2006-02-282018-12-25Abbott Diabetes Care Inc.Analyte sensor transmitter unit configuration for a data monitoring and management system
US9364149B2 (en)2006-02-282016-06-14Abbott Diabetes Care Inc.Analyte sensor transmitter unit configuration for a data monitoring and management system
US20070215465A1 (en)*2006-03-152007-09-20Honeywell International Inc.Biosensor membrane and methods related thereto
US8679308B2 (en)*2006-03-152014-03-25Honeywell International Inc.Biosensor membrane and methods related thereto
US8933664B2 (en)2006-03-312015-01-13Abbott Diabetes Care Inc.Method and system for powering an electronic device
US7801582B2 (en)2006-03-312010-09-21Abbott Diabetes Care Inc.Analyte monitoring and management system and methods therefor
US8597575B2 (en)2006-03-312013-12-03Abbott Diabetes Care Inc.Analyte monitoring devices and methods therefor
US8593109B2 (en)2006-03-312013-11-26Abbott Diabetes Care Inc.Method and system for powering an electronic device
US8086292B2 (en)2006-03-312011-12-27Abbott Diabetes Care Inc.Analyte monitoring and management system and methods therefor
US7620438B2 (en)2006-03-312009-11-17Abbott Diabetes Care Inc.Method and system for powering an electronic device
US8543183B2 (en)2006-03-312013-09-24Abbott Diabetes Care Inc.Analyte monitoring and management system and methods therefor
US9625413B2 (en)2006-03-312017-04-18Abbott Diabetes Care Inc.Analyte monitoring devices and methods therefor
US9743863B2 (en)2006-03-312017-08-29Abbott Diabetes Care Inc.Method and system for powering an electronic device
US9380971B2 (en)2006-03-312016-07-05Abbott Diabetes Care Inc.Method and system for powering an electronic device
US9039975B2 (en)2006-03-312015-05-26Abbott Diabetes Care Inc.Analyte monitoring devices and methods therefor
US20100012049A1 (en)*2006-04-122010-01-21Jms Co., LtdCavitation heating system and method
US8073008B2 (en)2006-04-282011-12-06Medtronic Minimed, Inc.Subnetwork synchronization and variable transmit synchronization techniques for a wireless medical device network
US10736547B2 (en)2006-04-282020-08-11Abbott Diabetes Care Inc.Introducer assembly and methods of use
US7942844B2 (en)2006-04-282011-05-17Medtronic Minimed, Inc.Remote monitoring for networked fluid infusion systems
US10028680B2 (en)2006-04-282018-07-24Abbott Diabetes Care Inc.Introducer assembly and methods of use
US7920907B2 (en)2006-06-072011-04-05Abbott Diabetes Care Inc.Analyte monitoring system and method
US20080000780A1 (en)*2006-06-302008-01-03Simon TonksRapid analyte measurement assay
US11918782B2 (en)2006-06-302024-03-05Abbott Diabetes Care Inc.Integrated analyte sensor and infusion device and methods therefor
US8617369B2 (en)2006-06-302013-12-31Abbott Diabetes Care Inc.Rapid analyte measurement assay
US20100206750A1 (en)*2006-06-302010-08-19Abbott Diabetes Care Inc.Rapid Analyte Measurement Assay
US7699973B2 (en)2006-06-302010-04-20Abbott Diabetes Care Inc.Rapid analyte measurement assay
US7653425B2 (en)2006-08-092010-01-26Abbott Diabetes Care Inc.Method and system for providing calibration of an analyte sensor in an analyte monitoring system
US10278630B2 (en)2006-08-092019-05-07Abbott Diabetes Care Inc.Method and system for providing calibration of an analyte sensor in an analyte monitoring system
US8376945B2 (en)2006-08-092013-02-19Abbott Diabetes Care Inc.Method and system for providing calibration of an analyte sensor in an analyte monitoring system
US9408566B2 (en)2006-08-092016-08-09Abbott Diabetes Care Inc.Method and system for providing calibration of an analyte sensor in an analyte monitoring system
US9833181B2 (en)2006-08-092017-12-05Abbot Diabetes Care Inc.Method and system for providing calibration of an analyte sensor in an analyte monitoring system
US11864894B2 (en)2006-08-092024-01-09Abbott Diabetes Care Inc.Method and system for providing calibration of an analyte sensor in an analyte monitoring system
US9808186B2 (en)2006-09-102017-11-07Abbott Diabetes Care Inc.Method and system for providing an integrated analyte sensor insertion device and data processing unit
US8333714B2 (en)2006-09-102012-12-18Abbott Diabetes Care Inc.Method and system for providing an integrated analyte sensor insertion device and data processing unit
US8862198B2 (en)2006-09-102014-10-14Abbott Diabetes Care Inc.Method and system for providing an integrated analyte sensor insertion device and data processing unit
US10362972B2 (en)2006-09-102019-07-30Abbott Diabetes Care Inc.Method and system for providing an integrated analyte sensor insertion device and data processing unit
US7618369B2 (en)2006-10-022009-11-17Abbott Diabetes Care Inc.Method and system for dynamically updating calibration parameters for an analyte sensor
US9357959B2 (en)2006-10-022016-06-07Abbott Diabetes Care Inc.Method and system for dynamically updating calibration parameters for an analyte sensor
US8515517B2 (en)2006-10-022013-08-20Abbott Diabetes Care Inc.Method and system for dynamically updating calibration parameters for an analyte sensor
US9629578B2 (en)2006-10-022017-04-25Abbott Diabetes Care Inc.Method and system for dynamically updating calibration parameters for an analyte sensor
US10342469B2 (en)2006-10-022019-07-09Abbott Diabetes Care Inc.Method and system for dynamically updating calibration parameters for an analyte sensor
US9839383B2 (en)2006-10-022017-12-12Abbott Diabetes Care Inc.Method and system for dynamically updating calibration parameters for an analyte sensor
US12274548B2 (en)2006-10-232025-04-15Abbott Diabetes Care Inc.Sensor insertion devices and methods of use
US11724029B2 (en)2006-10-232023-08-15Abbott Diabetes Care Inc.Flexible patch for fluid delivery and monitoring body analytes
US10070810B2 (en)2006-10-232018-09-11Abbott Diabetes Care Inc.Sensor insertion devices and methods of use
US9259175B2 (en)2006-10-232016-02-16Abbott Diabetes Care, Inc.Flexible patch for fluid delivery and monitoring body analytes
US11234621B2 (en)2006-10-232022-02-01Abbott Diabetes Care Inc.Sensor insertion devices and methods of use
US10363363B2 (en)2006-10-232019-07-30Abbott Diabetes Care Inc.Flexible patch for fluid delivery and monitoring body analytes
US9788771B2 (en)2006-10-232017-10-17Abbott Diabetes Care Inc.Variable speed sensor insertion devices and methods of use
US9814428B2 (en)2006-10-252017-11-14Abbott Diabetes Care Inc.Method and system for providing analyte monitoring
US11282603B2 (en)2006-10-252022-03-22Abbott Diabetes Care Inc.Method and system for providing analyte monitoring
US9113828B2 (en)2006-10-252015-08-25Abbott Diabetes Care Inc.Method and system for providing analyte monitoring
US8211016B2 (en)2006-10-252012-07-03Abbott Diabetes Care Inc.Method and system for providing analyte monitoring
US8216137B2 (en)2006-10-252012-07-10Abbott Diabetes Care Inc.Method and system for providing analyte monitoring
US7630748B2 (en)2006-10-252009-12-08Abbott Diabetes Care Inc.Method and system for providing analyte monitoring
US10194868B2 (en)2006-10-252019-02-05Abbott Diabetes Care Inc.Method and system for providing analyte monitoring
US8718958B2 (en)2006-10-262014-05-06Abbott Diabetes Care Inc.Method, system and computer program product for real-time detection of sensitivity decline in analyte sensors
US9882660B2 (en)2006-10-262018-01-30Abbott Diabetes Care Inc.Method, system and computer program product for real-time detection of sensitivity decline in analyte sensors
US10903914B2 (en)2006-10-262021-01-26Abbott Diabetes Care Inc.Method, system and computer program product for real-time detection of sensitivity decline in analyte sensors
US12362838B2 (en)2006-10-262025-07-15Abbott Diabetes Care Inc.Method, system and computer program product for real-time detection of sensitivity decline in analyte sensors
US8135548B2 (en)2006-10-262012-03-13Abbott Diabetes Care Inc.Method, system and computer program product for real-time detection of sensitivity decline in analyte sensors
US11722229B2 (en)2006-10-262023-08-08Abbott Diabetes Care Inc.Method, system and computer program product for real-time detection of sensitivity decline in analyte sensors
US11837358B2 (en)2006-10-312023-12-05Abbott Diabetes Care Inc.Infusion devices and methods
US10007759B2 (en)2006-10-312018-06-26Abbott Diabetes Care Inc.Infusion devices and methods
US12073941B2 (en)2006-10-312024-08-27Abbott Diabetes Care Inc.Infusion device and methods
US8579853B2 (en)2006-10-312013-11-12Abbott Diabetes Care Inc.Infusion devices and methods
US20080119702A1 (en)*2006-10-312008-05-22Abbott Diabetes Care, Inc.Analyte meter having alert, alarm and test reminder capabilities and methods of use
US11043300B2 (en)2006-10-312021-06-22Abbott Diabetes Care Inc.Infusion devices and methods
US9064107B2 (en)2006-10-312015-06-23Abbott Diabetes Care Inc.Infusion devices and methods
US11508476B2 (en)2006-10-312022-11-22Abbott Diabetes Care, Inc.Infusion devices and methods
US20100069732A1 (en)*2006-10-312010-03-18Abbott Diabetes Care Inc.Medical Devices and Methods of Using the Same
US9149218B2 (en)2006-11-302015-10-06Abbott Diabetes Care Inc.Lyotropic liquid crystal coated analyte monitoring device and methods of use
US8666470B2 (en)2006-11-302014-03-04Abbott Diabetes Care Inc.Lyotropic liquid crystal coated analyte monitoring device and methods of use
US9907500B2 (en)2006-11-302018-03-06Abbott Diabetes Care Inc.Lyotropic liquid crystal coated analyte monitoring device and methods of use
US8255034B2 (en)2006-11-302012-08-28Abbott Diabetes Care Inc.Lyotropic liquid crystal coated analyte monitoring device and methods of use
US20080177164A1 (en)*2006-11-302008-07-24Adam HellerLyotropic Liquid Crystal Coated Analyte Monitoring Device and Methods of Use
US20080139910A1 (en)*2006-12-062008-06-12Metronic Minimed, Inc.Analyte sensor and method of using the same
US9494545B2 (en)2007-01-312016-11-15Abbott Diabetes Care Inc.Heterocyclic nitrogen containing polymer coated analyte monitoring device and methods of use
US9777307B2 (en)2007-01-312017-10-03Abbott Diabetes Care Inc.Heterocyclic nitrogen containing polymer coated analyte monitoring device and methods of use
US10856786B2 (en)2007-01-312020-12-08Medtronic Minimed, Inc.Model predictive method and system for controlling and supervising insulin infusion
US10154804B2 (en)2007-01-312018-12-18Medtronic Minimed, Inc.Model predictive method and system for controlling and supervising insulin infusion
US20080179187A1 (en)*2007-01-312008-07-31Tianmei OuyangHeterocyclic nitrogen containing polymers coated analyte monitoring device and methods of use
US8808515B2 (en)2007-01-312014-08-19Abbott Diabetes Care Inc.Heterocyclic nitrogen containing polymers coated analyte monitoring device and methods of use
US11918349B2 (en)2007-01-312024-03-05Medtronic Minimed, Inc.Model predictive control for diabetes management
US9096881B2 (en)2007-01-312015-08-04Abbott Diabetes Care Inc.Heterocyclic nitrogen containing polymer coated analyte monitoring device and methods of use
US20080183060A1 (en)*2007-01-312008-07-31Steil Garry MModel predictive method and system for controlling and supervising insulin infusion
US8417545B2 (en)2007-02-152013-04-09Abbott Diabetes Care Inc.Device and method for automatic data acquisition and/or detection
US10617823B2 (en)2007-02-152020-04-14Abbott Diabetes Care Inc.Device and method for automatic data acquisition and/or detection
US8676601B2 (en)2007-02-152014-03-18Abbott Diabetes Care Inc.Device and method for automatic data acquisition and/or detection
US10022499B2 (en)2007-02-152018-07-17Abbott Diabetes Care Inc.Device and method for automatic data acquisition and/or detection
US8121857B2 (en)2007-02-152012-02-21Abbott Diabetes Care Inc.Device and method for automatic data acquisition and/or detection
US8930203B2 (en)2007-02-182015-01-06Abbott Diabetes Care Inc.Multi-function analyte test device and methods therefor
US12040067B2 (en)2007-02-182024-07-16Abbott Diabetes Care Inc.Method and system for providing contextual based medication dosage determination
US8732188B2 (en)2007-02-182014-05-20Abbott Diabetes Care Inc.Method and system for providing contextual based medication dosage determination
US9636450B2 (en)2007-02-192017-05-02Udo HossPump system modular components for delivering medication and analyte sensing at seperate insertion sites
US9095290B2 (en)2007-03-012015-08-04Abbott Diabetes Care Inc.Method and apparatus for providing rolling data in communication systems
US8123686B2 (en)2007-03-012012-02-28Abbott Diabetes Care Inc.Method and apparatus for providing rolling data in communication systems
US9801545B2 (en)2007-03-012017-10-31Abbott Diabetes Care Inc.Method and apparatus for providing rolling data in communication systems
US20100306888A1 (en)*2007-03-202010-12-02Massachusetts Institute Of TechnologyHigh Resolution Near Field Scanning Optical Microscopy
US8693837B2 (en)*2007-03-202014-04-08Massachusetts Institute Of TechnologyHigh resolution near field scanning optical microscopy
US12310721B2 (en)2007-04-142025-05-27Abbott Diabetes Care Inc.Method and apparatus for providing data processing and control in medical communication system
US10194846B2 (en)2007-04-142019-02-05Abbott Diabetes Care Inc.Method and apparatus for providing dynamic multi-stage signal amplification in a medical device
US8698615B2 (en)2007-04-142014-04-15Abbott Diabetes Care Inc.Method and apparatus for providing dynamic multi-stage signal amplification in a medical device
US10349877B2 (en)2007-04-142019-07-16Abbott Diabetes Care Inc.Method and apparatus for providing data processing and control in medical communication system
US11039767B2 (en)2007-04-142021-06-22Abbott Diabetes Care Inc.Method and apparatus for providing data processing and control in medical communication system
US7768387B2 (en)2007-04-142010-08-03Abbott Diabetes Care Inc.Method and apparatus for providing dynamic multi-stage signal amplification in a medical device
US8149103B2 (en)2007-04-142012-04-03Abbott Diabetes Care Inc.Method and apparatus for providing dynamic multi-stage amplification in a medical device
US9402584B2 (en)2007-04-142016-08-02Abbott Diabetes Care Inc.Method and apparatus for providing dynamic multi-stage signal amplification in a medical device
US8937540B2 (en)2007-04-142015-01-20Abbott Diabetes Care Inc.Method and apparatus for providing dynamic multi-stage signal amplification in a medical device
US8427298B2 (en)2007-04-142013-04-23Abbott Diabetes Care Inc.Method and apparatus for providing dynamic multi-stage amplification in a medical device
US9204827B2 (en)2007-04-142015-12-08Abbott Diabetes Care Inc.Method and apparatus for providing data processing and control in medical communication system
US10111608B2 (en)2007-04-142018-10-30Abbott Diabetes Care Inc.Method and apparatus for providing data processing and control in medical communication system
US7948369B2 (en)2007-04-142011-05-24Abbott Diabetes Care Inc.Method and apparatus for providing dynamic multi-stage signal amplification in a medical device
US8140142B2 (en)2007-04-142012-03-20Abbott Diabetes Care Inc.Method and apparatus for providing data processing and control in medical communication system
US9743866B2 (en)2007-04-142017-08-29Abbott Diabetes Care Inc.Method and apparatus for providing dynamic multi-stage signal amplification in a medical device
US9615780B2 (en)2007-04-142017-04-11Abbott Diabetes Care Inc.Method and apparatus for providing data processing and control in medical communication system
US9008743B2 (en)2007-04-142015-04-14Abbott Diabetes Care Inc.Method and apparatus for providing data processing and control in medical communication system
US8454576B2 (en)2007-04-252013-06-04Medtronic Minimed, Inc.Device and method for therapy calibration and safety response
US8593287B2 (en)2007-05-082013-11-26Abbott Diabetes Care Inc.Analyte monitoring system and methods
US8362904B2 (en)2007-05-082013-01-29Abbott Diabetes Care Inc.Analyte monitoring system and methods
US10178954B2 (en)2007-05-082019-01-15Abbott Diabetes Care Inc.Analyte monitoring system and methods
US10952611B2 (en)2007-05-082021-03-23Abbott Diabetes Care Inc.Analyte monitoring system and methods
US9314198B2 (en)2007-05-082016-04-19Abbott Diabetes Care Inc.Analyte monitoring system and methods
US9035767B2 (en)2007-05-082015-05-19Abbott Diabetes Care Inc.Analyte monitoring system and methods
US10653317B2 (en)2007-05-082020-05-19Abbott Diabetes Care Inc.Analyte monitoring system and methods
US9649057B2 (en)2007-05-082017-05-16Abbott Diabetes Care Inc.Analyte monitoring system and methods
EP4403105A2 (en)2007-05-082024-07-24Abbott Diabetes Care, Inc.Analyte monitoring system and methods
US12357180B2 (en)2007-05-082025-07-15Abbott Diabetes Care Inc.Analyte monitoring system and methods
US9177456B2 (en)2007-05-082015-11-03Abbott Diabetes Care Inc.Analyte monitoring system and methods
US9000929B2 (en)2007-05-082015-04-07Abbott Diabetes Care Inc.Analyte monitoring system and methods
EP3216390A1 (en)2007-05-082017-09-13Abbott Diabetes Care, Inc.Analyte monitoring system
US8456301B2 (en)2007-05-082013-06-04Abbott Diabetes Care Inc.Analyte monitoring system and methods
US9949678B2 (en)2007-05-082018-04-24Abbott Diabetes Care Inc.Method and device for determining elapsed sensor life
US8665091B2 (en)2007-05-082014-03-04Abbott Diabetes Care Inc.Method and device for determining elapsed sensor life
US12396645B2 (en)2007-05-082025-08-26Abbott Diabetes Care Inc.Analyte monitoring system and methods
US7928850B2 (en)2007-05-082011-04-19Abbott Diabetes Care Inc.Analyte monitoring system and methods
US9574914B2 (en)2007-05-082017-02-21Abbott Diabetes Care Inc.Method and device for determining elapsed sensor life
US11696684B2 (en)2007-05-082023-07-11Abbott Diabetes Care Inc.Analyte monitoring system and methods
US8461985B2 (en)2007-05-082013-06-11Abbott Diabetes Care Inc.Analyte monitoring system and methods
US8149117B2 (en)2007-05-082012-04-03Abbott Diabetes Care Inc.Analyte monitoring system and methods
US11119090B2 (en)2007-05-142021-09-14Abbott Diabetes Care Inc.Method and apparatus for providing data processing and control in a medical communication system
US10045720B2 (en)2007-05-142018-08-14Abbott Diabetes Care Inc.Method and apparatus for providing data processing and control in a medical communication system
US12313622B2 (en)2007-05-142025-05-27Abbott Diabetes Care Inc.Method and apparatus for providing data processing and control in a medical communication system
US11300561B2 (en)2007-05-142022-04-12Abbott Diabetes Care, Inc.Method and apparatus for providing data processing and control in a medical communication system
US10820841B2 (en)2007-05-142020-11-03Abbot Diabetes Care Inc.Method and apparatus for providing data processing and control in a medical communication system
US9737249B2 (en)2007-05-142017-08-22Abbott Diabetes Care Inc.Method and apparatus for providing data processing and control in a medical communication system
US8260558B2 (en)2007-05-142012-09-04Abbott Diabetes Care Inc.Method and apparatus for providing data processing and control in a medical communication system
US9060719B2 (en)2007-05-142015-06-23Abbott Diabetes Care Inc.Method and apparatus for providing data processing and control in a medical communication system
US10119956B2 (en)2007-05-142018-11-06Abbott Diabetes Care Inc.Method and apparatus for providing data processing and control in a medical communication system
US11125592B2 (en)2007-05-142021-09-21Abbott Diabetes Care Inc.Method and apparatus for providing data processing and control in a medical communication system
US9125548B2 (en)2007-05-142015-09-08Abbott Diabetes Care Inc.Method and apparatus for providing data processing and control in a medical communication system
US9801571B2 (en)2007-05-142017-10-31Abbott Diabetes Care Inc.Method and apparatus for providing data processing and control in medical communication system
US8140312B2 (en)2007-05-142012-03-20Abbott Diabetes Care Inc.Method and system for determining analyte levels
US12326441B2 (en)2007-05-142025-06-10Abbott Diabetes Care Inc.Method and apparatus for providing data processing and control in a medical communication system
US10634662B2 (en)2007-05-142020-04-28Abbott Diabetes Care Inc.Method and apparatus for providing data processing and control in a medical communication system
US9804150B2 (en)2007-05-142017-10-31Abbott Diabetes Care Inc.Method and apparatus for providing data processing and control in a medical communication system
US10002233B2 (en)2007-05-142018-06-19Abbott Diabetes Care Inc.Method and apparatus for providing data processing and control in a medical communication system
US9483608B2 (en)2007-05-142016-11-01Abbott Diabetes Care Inc.Method and apparatus for providing data processing and control in a medical communication system
US10143409B2 (en)2007-05-142018-12-04Abbott Diabetes Care Inc.Method and apparatus for providing data processing and control in a medical communication system
US9797880B2 (en)2007-05-142017-10-24Abbott Diabetes Care Inc.Method and apparatus for providing data processing and control in a medical communication system
US8239166B2 (en)2007-05-142012-08-07Abbott Diabetes Care Inc.Method and apparatus for providing data processing and control in a medical communication system
US11828748B2 (en)2007-05-142023-11-28Abbott Diabetes Care Inc.Method and apparatus for providing data processing and control in a medical communication system
US10653344B2 (en)2007-05-142020-05-19Abbott Diabetes Care Inc.Method and apparatus for providing data processing and control in a medical communication system
US10463310B2 (en)2007-05-142019-11-05Abbott Diabetes Care Inc.Method and apparatus for providing data processing and control in a medical communication system
US8600681B2 (en)2007-05-142013-12-03Abbott Diabetes Care Inc.Method and apparatus for providing data processing and control in a medical communication system
US8560038B2 (en)2007-05-142013-10-15Abbott Diabetes Care Inc.Method and apparatus for providing data processing and control in a medical communication system
US8444560B2 (en)2007-05-142013-05-21Abbott Diabetes Care Inc.Method and apparatus for providing data processing and control in a medical communication system
US8484005B2 (en)2007-05-142013-07-09Abbott Diabetes Care Inc.Method and system for determining analyte levels
US9558325B2 (en)2007-05-142017-01-31Abbott Diabetes Care Inc.Method and system for determining analyte levels
US8103471B2 (en)2007-05-142012-01-24Abbott Diabetes Care Inc.Method and apparatus for providing data processing and control in a medical communication system
US10991456B2 (en)2007-05-142021-04-27Abbott Diabetes Care Inc.Method and system for determining analyte levels
US8682615B2 (en)2007-05-142014-03-25Abbott Diabetes Care Inc.Method and apparatus for providing data processing and control in a medical communication system
US10261069B2 (en)2007-05-142019-04-16Abbott Diabetes Care Inc.Method and apparatus for providing data processing and control in a medical communication system
US10031002B2 (en)2007-05-142018-07-24Abbott Diabetes Care Inc.Method and apparatus for providing data processing and control in a medical communication system
US11076785B2 (en)2007-05-142021-08-03Abbott Diabetes Care Inc.Method and apparatus for providing data processing and control in a medical communication system
US10976304B2 (en)2007-05-142021-04-13Abbott Diabetes Care Inc.Method and apparatus for providing data processing and control in a medical communication system
US12402813B2 (en)2007-05-142025-09-02Abbott Diabetes Care Inc.Method and apparatus for providing data processing and control in a medical communication system
US8571808B2 (en)2007-05-142013-10-29Abbott Diabetes Care Inc.Method and apparatus for providing data processing and control in a medical communication system
US7996158B2 (en)2007-05-142011-08-09Abbott Diabetes Care Inc.Method and apparatus for providing data processing and control in a medical communication system
US8612163B2 (en)2007-05-142013-12-17Abbott Diabetes Care Inc.Method and apparatus for providing data processing and control in a medical communication system
US12390135B2 (en)2007-05-142025-08-19Abbott Diabetes Care Inc.Method and apparatus for providing data processing and control in a medical communication system
US8613703B2 (en)2007-05-312013-12-24Abbott Diabetes Care Inc.Insertion devices and methods
US20080300572A1 (en)*2007-06-012008-12-04Medtronic Minimed, Inc.Wireless monitor for a personal medical device system
US8617069B2 (en)2007-06-212013-12-31Abbott Diabetes Care Inc.Health monitor
US11276492B2 (en)2007-06-212022-03-15Abbott Diabetes Care Inc.Health management devices and methods
US11264133B2 (en)2007-06-212022-03-01Abbott Diabetes Care Inc.Health management devices and methods
US8597188B2 (en)2007-06-212013-12-03Abbott Diabetes Care Inc.Health management devices and methods
US11678821B2 (en)2007-06-292023-06-20Abbott Diabetes Care Inc.Analyte monitoring and management device and method to analyze the frequency of user interaction with the device
US12426812B2 (en)2007-06-292025-09-30Abbott Diabetes Care Inc.Analyte monitoring and management device and method to analyze the frequency of user interaction with the device
US8160900B2 (en)2007-06-292012-04-17Abbott Diabetes Care Inc.Analyte monitoring and management device and method to analyze the frequency of user interaction with the device
US10856785B2 (en)2007-06-292020-12-08Abbott Diabetes Care Inc.Analyte monitoring and management device and method to analyze the frequency of user interaction with the device
US9913600B2 (en)2007-06-292018-03-13Abbott Diabetes Care Inc.Analyte monitoring and management device and method to analyze the frequency of user interaction with the device
US9398872B2 (en)2007-07-312016-07-26Abbott Diabetes Care Inc.Method and apparatus for providing analyte sensor calibration
US7768386B2 (en)2007-07-312010-08-03Abbott Diabetes Care Inc.Method and apparatus for providing data processing and control in a medical communication system
US8834366B2 (en)2007-07-312014-09-16Abbott Diabetes Care Inc.Method and apparatus for providing analyte sensor calibration
US20090095625A1 (en)*2007-10-122009-04-16Forrow Nigel JMediator-Stabilized Reagent Compositions for Use in Biosensor Electrodes
US8163146B2 (en)2007-10-122012-04-24Abbott Diabetes Care Inc.Mediator stabilized reagent compositions for use in biosensor electrodes
US8696884B2 (en)2007-10-122014-04-15Abbott Diabetes Care Inc.Mediator stabilized reagent compositions for use in biosensor electrodes
US9714441B2 (en)2007-10-122017-07-25Abbott Diabetes Care Inc.Mediator-stabilized reagent compositions for use in biosensor electrodes
US8216138B1 (en)2007-10-232012-07-10Abbott Diabetes Care Inc.Correlation of alternative site blood and interstitial fluid glucose concentrations to venous glucose concentration
US8377031B2 (en)2007-10-232013-02-19Abbott Diabetes Care Inc.Closed loop control system with safety parameters and methods
US9332934B2 (en)2007-10-232016-05-10Abbott Diabetes Care Inc.Analyte sensor with lag compensation
US8374668B1 (en)2007-10-232013-02-12Abbott Diabetes Care Inc.Analyte sensor with lag compensation
US9804148B2 (en)2007-10-232017-10-31Abbott Diabetes Care Inc.Analyte sensor with lag compensation
US11083843B2 (en)2007-10-232021-08-10Abbott Diabetes Care Inc.Closed loop control system with safety parameters and methods
US9439586B2 (en)2007-10-232016-09-13Abbott Diabetes Care Inc.Assessing measures of glycemic variability
US9743865B2 (en)2007-10-232017-08-29Abbott Diabetes Care Inc.Assessing measures of glycemic variability
US10173007B2 (en)2007-10-232019-01-08Abbott Diabetes Care Inc.Closed loop control system with safety parameters and methods
US8409093B2 (en)2007-10-232013-04-02Abbott Diabetes Care Inc.Assessing measures of glycemic variability
US20090112626A1 (en)*2007-10-302009-04-30Cary TalbotRemote wireless monitoring, processing, and communication of patient data
US10685749B2 (en)2007-12-192020-06-16Abbott Diabetes Care Inc.Insulin delivery apparatuses capable of bluetooth data transmission
US9598210B2 (en)2007-12-272017-03-21Medtronic Minimed, Inc.Reservoir pressure equalization systems and methods
US9320468B2 (en)2008-01-312016-04-26Abbott Diabetes Care Inc.Analyte sensor with time lag compensation
US9770211B2 (en)2008-01-312017-09-26Abbott Diabetes Care Inc.Analyte sensor with time lag compensation
US8431011B2 (en)2008-01-312013-04-30Abbott Diabetes Care Inc.Method for automatically and rapidly distinguishing between control and sample solutions in a biosensor strip
US8473022B2 (en)2008-01-312013-06-25Abbott Diabetes Care Inc.Analyte sensor with time lag compensation
US9730623B2 (en)2008-03-282017-08-15Abbott Diabetes Care Inc.Analyte sensor calibration management
US10463288B2 (en)2008-03-282019-11-05Abbott Diabetes Care Inc.Analyte sensor calibration management
US8346335B2 (en)2008-03-282013-01-01Abbott Diabetes Care Inc.Analyte sensor calibration management
US11779248B2 (en)2008-03-282023-10-10Abbott Diabetes Care Inc.Analyte sensor calibration management
US9320462B2 (en)2008-03-282016-04-26Abbott Diabetes Care Inc.Analyte sensor calibration management
US8718739B2 (en)2008-03-282014-05-06Abbott Diabetes Care Inc.Analyte sensor calibration management
US8583205B2 (en)2008-03-282013-11-12Abbott Diabetes Care Inc.Analyte sensor calibration management
US8802006B2 (en)2008-04-102014-08-12Abbott Diabetes Care Inc.Method and system for sterilizing an analyte sensor
EP3659628A1 (en)2008-04-102020-06-03Abbott Diabetes Care, Inc.Method and system for sterilizing an analyte sensor
WO2009126942A2 (en)2008-04-102009-10-15Abbott Diabetes Care Inc.Method and system for sterilizing an analyte sensor
EP2982383A1 (en)2008-04-102016-02-10Abbott Diabetes Care, Inc.Method for sterilizing an analyte sensor
US8252229B2 (en)2008-04-102012-08-28Abbott Diabetes Care Inc.Method and system for sterilizing an analyte sensor
US20090299301A1 (en)*2008-05-282009-12-03Medtronic Minimed, Inc.Needle protective device for subcutaneous sensors
US9295786B2 (en)2008-05-282016-03-29Medtronic Minimed, Inc.Needle protective device for subcutaneous sensors
US10010275B2 (en)2008-05-282018-07-03Medtronic Minimed, Inc.Needle protective device for subcutaneous sensors
US11701034B2 (en)2008-05-282023-07-18Medtronic Minimed, Inc.Needle protective device for subcutaneous sensors
US10478102B2 (en)2008-05-282019-11-19Medtronic Minimed, Inc.Needle protective device for subcutaneous sensors
US11735295B2 (en)2008-05-302023-08-22Abbott Diabetes Care Inc.Method and apparatus for providing glycemic control
US7826382B2 (en)2008-05-302010-11-02Abbott Diabetes Care Inc.Close proximity communication device and methods
US12368529B2 (en)2008-05-302025-07-22Abbott Diabetes Care Inc.Close proximity communication device and methods
US10327682B2 (en)2008-05-302019-06-25Abbott Diabetes Care Inc.Method and apparatus for providing glycemic control
US9541556B2 (en)2008-05-302017-01-10Abbott Diabetes Care Inc.Method and apparatus for providing glycemic control
US11770210B2 (en)2008-05-302023-09-26Abbott Diabetes Care Inc.Close proximity communication device and methods
US12165751B2 (en)2008-05-302024-12-10Abbott Diabetes Care Inc.Method and apparatus for providing glycemic control
US9795328B2 (en)2008-05-302017-10-24Abbott Diabetes Care Inc.Method and apparatus for providing glycemic control
US8509107B2 (en)2008-05-302013-08-13Abbott Diabetes Care Inc.Close proximity communication device and methods
DE202009019053U1 (en)2008-05-302016-02-18Abbott Diabetes Care Inc. Short-range communication device
US9184875B2 (en)2008-05-302015-11-10Abbott Diabetes Care, Inc.Close proximity communication device and methods
US8924159B2 (en)2008-05-302014-12-30Abbott Diabetes Care Inc.Method and apparatus for providing glycemic control
US9931075B2 (en)2008-05-302018-04-03Abbott Diabetes Care Inc.Method and apparatus for providing glycemic control
US8591410B2 (en)2008-05-302013-11-26Abbott Diabetes Care Inc.Method and apparatus for providing glycemic control
EP3733053A1 (en)2008-05-302020-11-04Abbott Diabetes Care, Inc.Close proximity communication device and methods
US9831985B2 (en)2008-05-302017-11-28Abbott Diabetes Care Inc.Close proximity communication device and methods
US8737259B2 (en)2008-05-302014-05-27Abbott Diabetes Care Inc.Close proximity communication device and methods
US20090298104A1 (en)*2008-06-022009-12-03Zenghe LiuReference electrodes having an extended lifetime for use in long term amperometric sensors
US9895091B2 (en)2008-06-022018-02-20Abbott Diabetes Care Inc.Reference electrodes having an extended lifetime for use in long term amperometric sensors
US8620398B2 (en)2008-06-022013-12-31Abbott Diabetes Care Inc.Reference electrodes having an extended lifetime for use in long term amperometric sensors
US20090294307A1 (en)*2008-06-022009-12-03Zenghe LiuRedox polymer based reference electrodes having an extended lifetime for use in long term amperometric sensors
US20090294306A1 (en)*2008-06-022009-12-03Feldman Benjamin JReference electrodes having an extended lifetime for use in long term amperometric sensors
US20090294301A1 (en)*2008-06-022009-12-03Feldman Benjamin JReference Electrodes Having An Extended Lifetime for Use in Long Term Amperometric Sensors
US9042955B2 (en)2008-06-022015-05-26Abbott Diabetes Care Inc.Reference electrodes having an extended lifetime for use in long term amperometric sensors
US8155722B2 (en)2008-06-022012-04-10Abbott Diabetes Care Inc.Reference electrodes having an extended lifetime for use in long term amperometric sensors
US8280474B2 (en)2008-06-022012-10-02Abbott Diabetes Care Inc.Reference electrodes having an extended lifetime for use in long term amperometric sensors
US10328201B2 (en)2008-07-142019-06-25Abbott Diabetes Care Inc.Closed loop control system interface and methods
US8876755B2 (en)2008-07-142014-11-04Abbott Diabetes Care Inc.Closed loop control system interface and methods
US11621073B2 (en)2008-07-142023-04-04Abbott Diabetes Care Inc.Closed loop control system interface and methods
US20100064800A1 (en)*2008-07-172010-03-18Abbott Diabetes Care Inc.Strip connectors for measurement devices
US9645105B2 (en)2008-07-172017-05-09Abbott Diabetes Care Inc.Analyte measurement devices and systems, and components and methods related thereto
US9417205B2 (en)2008-07-172016-08-16Abbott Diabetes Care Inc.Analyte measurement devices and systems, and components and methods related thereto
US20100030052A1 (en)*2008-07-312010-02-04Bommakanti Balasubrahmanya SAnalyte sensors comprising plasticizers
US8795252B2 (en)2008-08-312014-08-05Abbott Diabetes Care Inc.Robust closed loop control and methods
US9943644B2 (en)2008-08-312018-04-17Abbott Diabetes Care Inc.Closed loop control with reference measurement and methods thereof
US11679200B2 (en)2008-08-312023-06-20Abbott Diabetes Care Inc.Closed loop control and signal attenuation detection
US9572934B2 (en)2008-08-312017-02-21Abbott DiabetesCare Inc.Robust closed loop control and methods
US8734422B2 (en)2008-08-312014-05-27Abbott Diabetes Care Inc.Closed loop control with improved alarm functions
US10188794B2 (en)2008-08-312019-01-29Abbott Diabetes Care Inc.Closed loop control and signal attenuation detection
US9392969B2 (en)2008-08-312016-07-19Abbott Diabetes Care Inc.Closed loop control and signal attenuation detection
US9610046B2 (en)2008-08-312017-04-04Abbott Diabetes Care Inc.Closed loop control with improved alarm functions
US8622988B2 (en)2008-08-312014-01-07Abbott Diabetes Care Inc.Variable rate closed loop control and methods
US8906211B2 (en)2008-09-152014-12-09Abbott Diabetes Care Inc.Cationic polymer based wired enzyme formulations for use in analyte sensors
US9428785B2 (en)2008-09-152016-08-30Abbott Diabetes Care Inc.Cationic polymer based wired enzyme formulations for use in analyte sensors
US8636884B2 (en)2008-09-152014-01-28Abbott Diabetes Care Inc.Cationic polymer based wired enzyme formulations for use in analyte sensors
US9885073B2 (en)2008-09-152018-02-06Abbott Diabetes Care Inc.Cationic polymer based wired enzyme formulations for use in analyte sensors
US20100065441A1 (en)*2008-09-152010-03-18Feldman Benjamin JCationic polymer based wired enzyme formulations for use in analyte sensors
US12279868B2 (en)2008-09-302025-04-22Abbott Diabetes Care Inc.Optimizing analyte sensor calibration
US9713442B2 (en)2008-09-302017-07-25Abbott Diabetes Care Inc.Analyte sensors comprising leveling agents
US10045739B2 (en)2008-09-302018-08-14Abbott Diabetes Care Inc.Analyte sensor sensitivity attenuation mitigation
US11464434B2 (en)2008-09-302022-10-11Abbott Diabetes Care Inc.Optimizing analyte sensor calibration
US11013439B2 (en)2008-09-302021-05-25Abbott Diabetes Care Inc.Optimizing analyte sensor calibration
US12285275B2 (en)2008-09-302025-04-29Abbott Diabetes Care Inc.Analyte sensor sensitivity attenuation mitigation
US8744547B2 (en)2008-09-302014-06-03Abbott Diabetes Care Inc.Optimizing analyte sensor calibration
US8986208B2 (en)2008-09-302015-03-24Abbott Diabetes Care Inc.Analyte sensor sensitivity attenuation mitigation
US8983568B2 (en)2008-09-302015-03-17Abbott Diabetes Care Inc.Analyte sensors comprising leveling agents
US8219173B2 (en)2008-09-302012-07-10Abbott Diabetes Care Inc.Optimizing analyte sensor calibration
US12053282B2 (en)2008-09-302024-08-06Abbott Diabetes Care Inc.Analyte sensors comprising leveling agents
US11484234B2 (en)2008-09-302022-11-01Abbott Diabetes Care Inc.Optimizing analyte sensor calibration
US11202592B2 (en)2008-09-302021-12-21Abbott Diabetes Care Inc.Optimizing analyte sensor calibration
WO2010039744A1 (en)2008-09-302010-04-08Abbott Diabetes Care Inc.Optimizing analyte sensor calibration
US9662056B2 (en)2008-09-302017-05-30Abbott Diabetes Care Inc.Optimizing analyte sensor calibration
US12274549B2 (en)2008-09-302025-04-15Abbott Diabetes Care Inc.Optimizing analyte sensor calibration
US8208973B2 (en)2008-11-052012-06-26Medtronic Minimed, Inc.System and method for variable beacon timing with wireless devices
US20100111066A1 (en)*2008-11-052010-05-06Medtronic Minimed, Inc.System and method for variable beacon timing with wireless devices
US10980461B2 (en)2008-11-072021-04-20Dexcom, Inc.Advanced analyte sensor calibration and error detection
US12318200B2 (en)2008-11-072025-06-03Dexcom, Inc.Analyte sensor
US11678848B2 (en)2008-11-102023-06-20Abbott Diabetes Care Inc.Alarm characterization for analyte monitoring devices and systems
US9326707B2 (en)2008-11-102016-05-03Abbott Diabetes Care Inc.Alarm characterization for analyte monitoring devices and systems
US9730650B2 (en)2008-11-102017-08-15Abbott Diabetes Care Inc.Alarm characterization for analyte monitoring devices and systems
US12357246B2 (en)2008-11-102025-07-15Abbott Diabetes Care Inc.Alarm characterization for analyte monitoring devices and systems
US11272890B2 (en)2008-11-102022-03-15Abbott Diabetes Care Inc.Alarm characterization for analyte monitoring devices and systems
US9330237B2 (en)2008-12-242016-05-03Medtronic Minimed, Inc.Pattern recognition and filtering in a therapy management system
US8532935B2 (en)2009-01-292013-09-10Abbott Diabetes Care Inc.Method and device for providing offset model based calibration for analyte sensor
US12336812B2 (en)2009-01-292025-06-24Abbott Diabetes Care Inc.Method and device for providing offset model based calibration for analyte sensor
US8676513B2 (en)2009-01-292014-03-18Abbott Diabetes Care Inc.Method and device for early signal attenuation detection using blood glucose measurements
US8473220B2 (en)2009-01-292013-06-25Abbott Diabetes Care Inc.Method and device for early signal attenuation detection using blood glucose measurements
US11464430B2 (en)2009-01-292022-10-11Abbott Diabetes Care Inc.Method and device for providing offset model based calibration for analyte sensor
US9066709B2 (en)2009-01-292015-06-30Abbott Diabetes Care Inc.Method and device for early signal attenuation detection using blood glucose measurements
US8224415B2 (en)2009-01-292012-07-17Abbott Diabetes Care Inc.Method and device for providing offset model based calibration for analyte sensor
US8103456B2 (en)2009-01-292012-01-24Abbott Diabetes Care Inc.Method and device for early signal attenuation detection using blood glucose measurements
US10089446B2 (en)2009-01-292018-10-02Abbott Diabetes Care Inc.Method and device for providing offset model based calibration for analyte sensor
USD955599S1 (en)2009-02-032022-06-21Abbott Diabetes Care Inc.Analyte sensor inserter
US11006870B2 (en)2009-02-032021-05-18Abbott Diabetes Care Inc.Analyte sensor and apparatus for insertion of the sensor
USD957643S1 (en)2009-02-032022-07-12Abbott Diabetes Care Inc.Analyte sensor device
USD957642S1 (en)2009-02-032022-07-12Abbott Diabetes Care Inc.Analyte sensor inserter
US9636068B2 (en)2009-02-032017-05-02Abbott Diabetes Care Inc.Analyte sensor and apparatus for insertion of the sensor
EP3542712A1 (en)2009-02-032019-09-25Abbott Diabetes Care Inc.Analyte sensor and apparatus for insertion of the sensor
EP3977921A1 (en)2009-02-032022-04-06Abbott Diabetes Care, Inc.Analyte sensor and apparatus for insertion of the sensor
EP3960072A1 (en)2009-02-032022-03-02Abbott Diabetes Care, Inc.Compact on-body physiological monitoring devices and methods thereof
EP4477243A2 (en)2009-02-032024-12-18Abbott Diabetes Care Inc.Analyte sensor and apparatus for insertion of the sensor
US11213229B2 (en)2009-02-032022-01-04Abbott Diabetes Care Inc.Analyte sensor and apparatus for insertion of the sensor
USD882432S1 (en)2009-02-032020-04-28Abbott Diabetes Care Inc.Analyte sensor on body unit
US9402544B2 (en)2009-02-032016-08-02Abbott Diabetes Care Inc.Analyte sensor and apparatus for insertion of the sensor
US11202591B2 (en)2009-02-032021-12-21Abbott Diabetes Care Inc.Analyte sensor and apparatus for insertion of the sensor
US10786190B2 (en)2009-02-032020-09-29Abbott Diabetes Care Inc.Analyte sensor and apparatus for insertion of the sensor
EP3329842A1 (en)2009-02-032018-06-06Abbott Diabetes Care, Inc.Compact on-body physiological monitoring device
EP3730045A1 (en)2009-02-032020-10-28Abbott Diabetes Care Inc.Method for inserting analyte sensor
EP3730044A1 (en)2009-02-032020-10-28Abbott Diabetes Care, Inc.Compact on-body physiological monitoring device
US11166656B2 (en)2009-02-032021-11-09Abbott Diabetes Care Inc.Analyte sensor and apparatus for insertion of the sensor
WO2010091005A1 (en)2009-02-032010-08-12Abbott Diabetes Care Inc.Analyte sensor and apparatus for insertion of the sensor
US9993188B2 (en)2009-02-032018-06-12Abbott Diabetes Care Inc.Analyte sensor and apparatus for insertion of the sensor
EP4545118A2 (en)2009-02-032025-04-30Abbott Diabetes Care, Inc.Compact on-body physiological monitoring devices and methods thereof
US11006871B2 (en)2009-02-032021-05-18Abbott Diabetes Care Inc.Analyte sensor and apparatus for insertion of the sensor
US11006872B2 (en)2009-02-032021-05-18Abbott Diabetes Care Inc.Analyte sensor and apparatus for insertion of the sensor
US20100198188A1 (en)*2009-02-052010-08-05Abbott Diabetes Care Inc.Devices and Methods for Metering Insoluble Active Agent Particles
EP4449989A2 (en)2009-02-262024-10-23Abbott Diabetes Care, Inc.Improved analyte sensors and methods of making and using the same
EP4252638A2 (en)2009-02-262023-10-04Abbott Diabetes Care, Inc.Method of calibrating an analyte sensor
EP3714788A1 (en)2009-02-262020-09-30Abbott Diabetes Care, Inc.Improved analyte sensors and methods of making and using the same
US9668684B2 (en)2009-02-262017-06-06Abbott Diabetes Care Inc.Self-powered analyte sensor
US9724029B2 (en)2009-02-262017-08-08Abbott Diabetes Care Inc.Analyte monitoring device and methods
EP3255154A1 (en)2009-02-262017-12-13Abbott Diabetes Care, Inc.Self-powered analyte sensor
US9526453B2 (en)2009-02-262016-12-27Abbott Diabetes Care Inc.Analyte monitoring devices and methods
US10631768B2 (en)2009-02-262020-04-28Abbott Diabetes Inc.Self-powered analyte sensor
EP4252639A2 (en)2009-02-262023-10-04Abbott Diabetes Care Inc.Method of calibrating an analyte sensor
US9339229B2 (en)2009-02-262016-05-17Abbott Diabetes Care Inc.Analyte monitoring devices and methods
US10022077B2 (en)2009-02-262018-07-17Abbott Diabeetes Care Inc.Analyte monitoring devices and methods
US8965477B2 (en)2009-02-262015-02-24Abbott Diabetes Care Inc.Analyte monitoring device and methods
EP3912551A1 (en)2009-02-262021-11-24Abbott Diabetes Care, Inc.Method of calibrating an analyte sensor
US9178752B2 (en)2009-04-152015-11-03Abbott Diabetes Care Inc.Analyte monitoring system having an alert
US8730058B2 (en)2009-04-152014-05-20Abbott Diabetes Care Inc.Analyte monitoring system having an alert
US10009244B2 (en)2009-04-152018-06-26Abbott Diabetes Care Inc.Analyte monitoring system having an alert
US8497777B2 (en)2009-04-152013-07-30Abbott Diabetes Care Inc.Analyte monitoring system having an alert
US8771486B2 (en)2009-04-282014-07-08Abbott Diabetes Care Inc.Smart sensor ports and methods of using same
US20100270149A1 (en)*2009-04-282010-10-28Abbott Diabetes Care Inc.Smart Sensor Ports and Methods of Using Same
US8764954B2 (en)2009-04-282014-07-01Abbott Diabetes Care Inc.Smart sensor ports and methods of using same
US9179871B2 (en)2009-04-282015-11-10Abbott Diabetes Care Inc.Service-detectable analyte sensors and methods of using and making same
US8758583B2 (en)2009-04-282014-06-24Abbott Diabetes Care Inc.Smart sensor ports and methods of using same
US9494546B2 (en)2009-04-282016-11-15Abbott Diabetes Care Inc.Smart sensor ports and methods of using same
US20100270150A1 (en)*2009-04-282010-10-28Abbott Diabetes Care Inc.Smart Sensor Ports and Methods of Using Same
US20100270180A1 (en)*2009-04-282010-10-28Abbott Diabetes Care Inc.Service-detectable analyte sensors and methods of using and making same
US9717450B2 (en)2009-04-282017-08-01Abbott Diabetes Care Inc.Service-detectable analyte sensors and methods of using and making same
US9207201B2 (en)2009-04-282015-12-08Abbott Diabetes Care Inc.Smart sensor ports and methods of using same
US8359081B2 (en)2009-04-282013-01-22Abbott Diabetes Care Inc.Service-detectable analyte sensors and methods of using and making same
US20100274181A1 (en)*2009-04-282010-10-28Abbott Diabetes Care Inc.Smart sensor ports and methods of using same
US9226701B2 (en)2009-04-282016-01-05Abbott Diabetes Care Inc.Error detection in critical repeating data in a wireless sensor system
US10058653B2 (en)2009-04-282018-08-28Abbott Diabetes Care Inc.Smart sensor ports and methods of using same
US8467972B2 (en)2009-04-282013-06-18Abbott Diabetes Care Inc.Closed loop blood glucose control algorithm analysis
US8483967B2 (en)2009-04-292013-07-09Abbott Diabetes Care Inc.Method and system for providing real time analyte sensor calibration with retrospective backfill
US9693688B2 (en)2009-04-292017-07-04Abbott Diabetes Care Inc.Method and system for providing data communication in continuous glucose monitoring and management system
US9088452B2 (en)2009-04-292015-07-21Abbott Diabetes Care Inc.Method and system for providing data communication in continuous glucose monitoring and management system
US11013431B2 (en)2009-04-292021-05-25Abbott Diabetes Care Inc.Methods and systems for early signal attenuation detection and processing
US9310230B2 (en)2009-04-292016-04-12Abbott Diabetes Care Inc.Method and system for providing real time analyte sensor calibration with retrospective backfill
US10820842B2 (en)2009-04-292020-11-03Abbott Diabetes Care Inc.Methods and systems for early signal attenuation detection and processing
US11116431B1 (en)2009-04-292021-09-14Abbott Diabetes Care Inc.Methods and systems for early signal attenuation detection and processing
US12390132B2 (en)2009-04-292025-08-19Abbott Diabetes Care Inc.Methods and systems for early signal attenuation detection and processing
US10617296B2 (en)2009-04-292020-04-14Abbott Diabetes Care Inc.Method and system for providing data communication in continuous glucose monitoring and management system
US9949639B2 (en)2009-04-292018-04-24Abbott Diabetes Care Inc.Method and system for providing data communication in continuous glucose monitoring and management system
US10194844B2 (en)2009-04-292019-02-05Abbott Diabetes Care Inc.Methods and systems for early signal attenuation detection and processing
US10172518B2 (en)2009-04-292019-01-08Abbott Diabetes Care Inc.Method and system for providing data communication in continuous glucose monitoring and management system
US8368556B2 (en)2009-04-292013-02-05Abbott Diabetes Care Inc.Method and system for providing data communication in continuous glucose monitoring and management system
US10952653B2 (en)2009-04-292021-03-23Abbott Diabetes Care Inc.Methods and systems for early signal attenuation detection and processing
US11298056B2 (en)2009-04-292022-04-12Abbott Diabetes Care Inc.Methods and systems for early signal attenuation detection and processing
US12397111B2 (en)2009-05-222025-08-26Abbott Diabetes Care Inc.Continuous glucose monitoring system
US11872370B2 (en)2009-05-292024-01-16Abbott Diabetes Care Inc.Medical device antenna systems having external antenna configurations
US12364815B2 (en)2009-05-292025-07-22Abbott Diabetes Care Inc.Medical device antenna systems having external antenna configurations
US11793936B2 (en)2009-05-292023-10-24Abbott Diabetes Care Inc.Medical device antenna systems having external antenna configurations
US12322505B2 (en)2009-06-042025-06-03Abbott Diabetes Care Inc.Method and system for updating a medical device
US11854693B2 (en)2009-06-042023-12-26Abbott Diabetes Care Inc.Method and system for updating a medical device
US11309078B2 (en)2009-06-042022-04-19Abbott Diabetes Care Inc.Method and system for updating a medical device
US9940436B2 (en)2009-06-042018-04-10Abbott Diabetes Care Inc.Method and system for updating a medical device
WO2010141922A1 (en)2009-06-042010-12-09Abbott Diabetes Care Inc.Method and system for updating a medical device
US11152112B2 (en)2009-06-042021-10-19Abbott Diabetes Care Inc.Method and system for updating a medical device
US20100331643A1 (en)*2009-06-302010-12-30Abbott Diabetes Care Inc.Extruded Analyte Sensors and Methods of Using Same
US8437827B2 (en)2009-06-302013-05-07Abbott Diabetes Care Inc.Extruded analyte sensors and methods of using same
US20100331728A1 (en)*2009-06-302010-12-30Abbott Diabetes Care Inc.Integrated devices having extruded electrode structures and methods of using same
US20100331771A1 (en)*2009-06-302010-12-30Abbott Diabetes Care Inc.Integrated devices having extruded electrode structures and methods of using same
US20100326843A1 (en)*2009-06-302010-12-30Abbott Diabetes Care IncExtruded analyte sensors and methods of using same
US20100326842A1 (en)*2009-06-302010-12-30Abbott Diabetes Care Inc.Extruded Electrode Structures and Methods of Using Same
US8298158B2 (en)2009-06-302012-10-30Abbott Diabetes Care Inc.Integrated devices having extruded electrode structures and methods of using same
US8000763B2 (en)2009-06-302011-08-16Abbott Diabetes Care Inc.Integrated devices having extruded electrode structures and methods of using same
US8613892B2 (en)2009-06-302013-12-24Abbott Diabetes Care Inc.Analyte meter with a moveable head and methods of using the same
US9517304B2 (en)2009-07-092016-12-13Medtronic Minimed, Inc.Coordination of control commands and controller disable messages in a medical device system
US9579454B2 (en)2009-07-092017-02-28Medtronic Minimed, Inc.Coordination of control commands in a medical device system based on synchronization status between devices
US8344847B2 (en)2009-07-092013-01-01Medtronic Minimed, Inc.Coordination of control commands in a medical device system having at least one therapy delivery device and at least one wireless controller device
US9987426B2 (en)2009-07-092018-06-05Medtronic Minimed, Inc.Coordination of control commands in a medical device system based on synchronization status between devices
US10827954B2 (en)2009-07-232020-11-10Abbott Diabetes Care Inc.Continuous analyte measurement systems and systems and methods for implanting them
EP4289355A2 (en)2009-07-232023-12-13Abbott Diabetes Care Inc.Continuous analyte measurement system
EP4473908A2 (en)2009-07-232024-12-11Abbott Diabetes Care, Inc.Continuous analyte measurement system
US9795326B2 (en)2009-07-232017-10-24Abbott Diabetes Care Inc.Continuous analyte measurement systems and systems and methods for implanting them
EP4309580A2 (en)2009-07-232024-01-24Abbott Diabetes Care Inc.Continuous analyte measurement system
EP3689237A1 (en)2009-07-232020-08-05Abbott Diabetes Care, Inc.System and method for continuous analyte measurement
EP3932309A1 (en)2009-07-232022-01-05Abbott Diabetes Care, Inc.Continuous analyte measurement system
US12350042B2 (en)2009-07-232025-07-08Abbott Diabetes Care Inc.Continuous analyte measurement systems and systems and methods for implanting them
EP4252648A2 (en)2009-07-232023-10-04Abbott Diabetes Care Inc.Continuous analyte measurement systems and systems and methods for implanting them
US10660554B2 (en)2009-07-312020-05-26Abbott Diabetes Care Inc.Methods and devices for analyte monitoring calibration
US8478557B2 (en)2009-07-312013-07-02Abbott Diabetes Care Inc.Method and apparatus for providing analyte monitoring system calibration accuracy
US12171556B2 (en)2009-07-312024-12-24Abbott Diabetes Care Inc.Method and devices for analyte monitoring calibration
US9936910B2 (en)2009-07-312018-04-10Abbott Diabetes Care Inc.Method and apparatus for providing analyte monitoring and therapy management system accuracy
US8718965B2 (en)2009-07-312014-05-06Abbott Diabetes Care Inc.Method and apparatus for providing analyte monitoring system calibration accuracy
US11234625B2 (en)2009-07-312022-02-01Abbott Diabetes Care Inc.Method and apparatus for providing analyte monitoring and therapy management system accuracy
US10031124B2 (en)2009-08-112018-07-24Abbott Diabetes Care Inc.Analyte sensor ports
US20110040164A1 (en)*2009-08-112011-02-17Analyte Sensor PortsAnalyte Sensor Ports
US9125603B2 (en)2009-08-112015-09-08Abbott Diabetes Care Inc.Analyte sensor ports
US9101303B2 (en)2009-08-112015-08-11Abbott Diabetes Care Inc.Analyte sensor ports
US20110040246A1 (en)*2009-08-112011-02-17Galasso John RAnalyte sensor ports
US20110046466A1 (en)*2009-08-192011-02-24Feldman Benjamin JAnalyte Sensors Including Nanomaterials and Methods of Using Same
EP3923295A1 (en)2009-08-312021-12-15Abbott Diabetes Care, Inc.Medical devices and methods
EP3988470A1 (en)2009-08-312022-04-27Abbott Diabetes Care, Inc.Displays for a medical device
US8357276B2 (en)2009-08-312013-01-22Abbott Diabetes Care Inc.Small volume test strips with large sample fill ports, supported test strips, and methods of making and using same
EP4070727A1 (en)2009-08-312022-10-12Abbott Diabetes Care, Inc.Displays for a medical device
US9226714B2 (en)2009-08-312016-01-05Abbott Diabetes Care Inc.Displays for a medical device
US9549694B2 (en)2009-08-312017-01-24Abbott Diabetes Care Inc.Displays for a medical device
US11202586B2 (en)2009-08-312021-12-21Abbott Diabetes Care Inc.Displays for a medical device
US8679311B2 (en)2009-08-312014-03-25Abbott Diabetes Care Inc.Small volume test strips with large sample fill ports, supported test strips, and methods of making and using same
US10429250B2 (en)2009-08-312019-10-01Abbott Diabetes Care, Inc.Analyte monitoring system and methods for managing power and noise
EP3718922A1 (en)2009-08-312020-10-07Abbott Diabetes Care, Inc.Displays for a medical device
US10772572B2 (en)2009-08-312020-09-15Abbott Diabetes Care Inc.Displays for a medical device
USD1010133S1 (en)2009-08-312024-01-02Abbott Diabetes Care Inc.Analyte sensor assembly
US8993331B2 (en)2009-08-312015-03-31Abbott Diabetes Care Inc.Analyte monitoring system and methods for managing power and noise
US9011656B2 (en)2009-08-312015-04-21Abbott Diabetes Care Inc.Small volume test strips with large sample fill ports, supported test strips, and methods of making and using same
US11241175B2 (en)2009-08-312022-02-08Abbott Diabetes Care Inc.Displays for a medical device
US11150145B2 (en)2009-08-312021-10-19Abbott Diabetes Care Inc.Analyte monitoring system and methods for managing power and noise
EP4070729A1 (en)2009-08-312022-10-12Abbott Diabetes Care, Inc.Displays for a medical device
EP4070728A1 (en)2009-08-312022-10-12Abbott Diabetes Care, Inc.Displays for a medical device
US10456091B2 (en)2009-08-312019-10-29Abbott Diabetes Care Inc.Displays for a medical device
US10123752B2 (en)2009-08-312018-11-13Abbott Diabetes Care Inc.Displays for a medical device
US10881355B2 (en)2009-08-312021-01-05Abbott Diabetes Care Inc.Displays for a medical device
US10492685B2 (en)2009-08-312019-12-03Abbott Diabetes Care Inc.Medical devices and methods
US9186113B2 (en)2009-08-312015-11-17Abbott Diabetes Care Inc.Displays for a medical device
US10136816B2 (en)2009-08-312018-11-27Abbott Diabetes Care Inc.Medical devices and methods
EP4576110A2 (en)2009-08-312025-06-25Abbott Diabetes Care Inc.Displays for a medical device
EP3001194A1 (en)2009-08-312016-03-30Abbott Diabetes Care, Inc.Medical devices and methods
US12279894B2 (en)2009-08-312025-04-22Abbott Diabetes Care Inc.Analyte signal processing device and methods
US8816862B2 (en)2009-08-312014-08-26Abbott Diabetes Care Inc.Displays for a medical device
US9814416B2 (en)2009-08-312017-11-14Abbott Diabetes Care Inc.Displays for a medical device
US11045147B2 (en)2009-08-312021-06-29Abbott Diabetes Care Inc.Analyte signal processing device and methods
US11730429B2 (en)2009-08-312023-08-22Abbott Diabetes Care Inc.Displays for a medical device
US10918342B1 (en)2009-08-312021-02-16Abbott Diabetes Care Inc.Displays for a medical device
US8514086B2 (en)2009-08-312013-08-20Abbott Diabetes Care Inc.Displays for a medical device
US12315630B2 (en)2009-08-312025-05-27Abbott Diabetes Care Inc.Medical devices and methods
WO2011026147A1 (en)2009-08-312011-03-03Abbott Diabetes Care Inc.Analyte signal processing device and methods
WO2011026053A1 (en)2009-08-312011-03-03Abbott Diabetes Care Inc.Displays for a medical device
EP3988471A1 (en)2009-08-312022-04-27Abbott Diabetes Care, Inc.Displays for a medical device
EP4147999A1 (en)2009-08-312023-03-15Abbott Diabetes Care, Inc.Displays for a medical device
US9968302B2 (en)2009-08-312018-05-15Abbott Diabetes Care Inc.Analyte signal processing device and methods
US11635332B2 (en)2009-08-312023-04-25Abbott Diabetes Care Inc.Analyte monitoring system and methods for managing power and noise
US9314195B2 (en)2009-08-312016-04-19Abbott Diabetes Care Inc.Analyte signal processing device and methods
US20110048940A1 (en)*2009-08-312011-03-03Abbott Diabetes Care Inc.Small volume test strips with large sample fill ports, supported test strips, and methods of making and using same
USRE47315E1 (en)2009-08-312019-03-26Abbott Diabetes Care Inc.Displays for a medical device
USD962446S1 (en)2009-08-312022-08-30Abbott Diabetes Care, Inc.Analyte sensor device
US8487758B2 (en)2009-09-022013-07-16Medtronic Minimed, Inc.Medical device having an intelligent alerting scheme, and related operating methods
US9750439B2 (en)2009-09-292017-09-05Abbott Diabetes Care Inc.Method and apparatus for providing notification function in analyte monitoring systems
US9320461B2 (en)2009-09-292016-04-26Abbott Diabetes Care Inc.Method and apparatus for providing notification function in analyte monitoring systems
US10349874B2 (en)2009-09-292019-07-16Abbott Diabetes Care Inc.Method and apparatus for providing notification function in analyte monitoring systems
US9351669B2 (en)2009-09-302016-05-31Abbott Diabetes Care Inc.Interconnect for on-body analyte monitoring device
US11259725B2 (en)2009-09-302022-03-01Abbott Diabetes Care Inc.Interconnect for on-body analyte monitoring device
US10765351B2 (en)2009-09-302020-09-08Abbott Diabetes Care Inc.Interconnect for on-body analyte monitoring device
US9750444B2 (en)2009-09-302017-09-05Abbott Diabetes Care Inc.Interconnect for on-body analyte monitoring device
US8185181B2 (en)2009-10-302012-05-22Abbott Diabetes Care Inc.Method and apparatus for detecting false hypoglycemic conditions
US9050041B2 (en)2009-10-302015-06-09Abbott Diabetes Care Inc.Method and apparatus for detecting false hypoglycemic conditions
US10117606B2 (en)2009-10-302018-11-06Abbott Diabetes Care Inc.Method and apparatus for detecting false hypoglycemic conditions
US11207005B2 (en)2009-10-302021-12-28Abbott Diabetes Care Inc.Method and apparatus for detecting false hypoglycemic conditions
US12048530B2 (en)2009-10-302024-07-30Abbott Diabetes Care Inc.Method and apparatus for detecting false hypoglycemic conditions
WO2011053881A1 (en)2009-10-302011-05-05Abbott Diabetes Care Inc.Method and apparatus for detecting false hypoglycemic conditions
US8386042B2 (en)2009-11-032013-02-26Medtronic Minimed, Inc.Omnidirectional accelerometer device and medical device incorporating same
US8888970B2 (en)2009-11-242014-11-18Abbott Diabetes Care Inc.Analyte sensors comprising high-boiling point solvents
US20110124993A1 (en)*2009-11-242011-05-26Abbott Diabetes Care Inc.Analyte Sensors Comprising Self-Polymerizing Hydrogels
US20110124994A1 (en)*2009-11-242011-05-26Bommakanti Balasubrahmanya SAnalyte Sensors Comprising Hydrogel Membranes
US8354013B2 (en)2009-11-242013-01-15Abbott Diabetes Care Inc.Analyte sensors comprising high-boiling point solvents
US20110120865A1 (en)*2009-11-242011-05-26Abbott Diabetes Care Inc.Analyte Sensors Comprising High-Boiling Point Solvents
US9668685B2 (en)2009-11-242017-06-06Abbott Diabetes Care Inc.Analyte sensors comprising hydrogel membranes
US9155499B2 (en)2009-11-242015-10-13Abbott Diabetes Care Inc.Analyte sensors comprising high-boiling point solvents
US9042954B2 (en)*2009-11-242015-05-26Abbott Diabetes Care Inc.Analyte sensors comprising hydrogel membranes
US9492112B2 (en)2009-11-242016-11-15Abbott Diabetes Care Inc.Analyte sensors comprising high-boiling point solvents
US8574201B2 (en)2009-12-222013-11-05Medtronic Minimed, Inc.Syringe piston with check valve seal
US8755269B2 (en)2009-12-232014-06-17Medtronic Minimed, Inc.Ranking and switching of wireless channels in a body area network of medical devices
US9393557B2 (en)*2010-01-092016-07-19Dais Analytic CorporationAnionic exchange electrolyte polymer membranes
US20130338244A9 (en)*2010-01-092013-12-19Dais Analytic CorporationAnionic exchange electrolyte polymer membranes
US9291591B2 (en)2010-01-282016-03-22Abbott Diabetes Care Inc.Universal test strip port
US20110184264A1 (en)*2010-01-282011-07-28Abbott Diabetes Care Inc.Universal Test Strip Port
US8828330B2 (en)2010-01-282014-09-09Abbott Diabetes Care Inc.Universal test strip port
USD924406S1 (en)2010-02-012021-07-06Abbott Diabetes Care Inc.Analyte sensor inserter
US12346508B2 (en)2010-03-102025-07-01Abbott Diabetes Care Inc.Systems, devices and methods for managing glucose levels
US9326709B2 (en)2010-03-102016-05-03Abbott Diabetes Care Inc.Systems, devices and methods for managing glucose levels
US11954273B2 (en)2010-03-102024-04-09Abbott Diabetes Care Inc.Systems, devices and methods for managing glucose levels
US10078380B2 (en)2010-03-102018-09-18Abbott Diabetes Care Inc.Systems, devices and methods for managing glucose levels
US11061491B2 (en)2010-03-102021-07-13Abbott Diabetes Care Inc.Systems, devices and methods for managing glucose levels
US8764657B2 (en)2010-03-242014-07-01Abbott Diabetes Care Inc.Medical device inserters and processes of inserting and using medical devices
US10959654B2 (en)2010-03-242021-03-30Abbott Diabetes Care Inc.Medical device inserters and processes of inserting and using medical devices
US11246519B2 (en)2010-03-242022-02-15Abbott Diabetes Care Inc.Medical device inserters and processes of inserting and using medical devices
US9265453B2 (en)2010-03-242016-02-23Abbott Diabetes Care Inc.Medical device inserters and processes of inserting and using medical devices
EP4066731A1 (en)2010-03-242022-10-05Abbott Diabetes Care, Inc.Medical device inserters
EP4248866A2 (en)2010-03-242023-09-27Abbott Diabetes Care, Inc.Medical device inserters
EP4245220A2 (en)2010-03-242023-09-20Abbott Diabetes Care, Inc.Medical device inserters
US9186098B2 (en)2010-03-242015-11-17Abbott Diabetes Care Inc.Medical device inserters and processes of inserting and using medical devices
US11266335B2 (en)2010-03-242022-03-08Abbott Diabetes Care Inc.Medical device inserters and processes of inserting and using medical devices
EP3766408A1 (en)2010-03-242021-01-20Abbott Diabetes Care, Inc.Medical device inserters and processes of inserting and using medical devices
US10881340B2 (en)2010-03-242021-01-05Abbott Diabetes Care Inc.Medical device inserters and processes of inserting and using medical devices
US10952657B2 (en)2010-03-242021-03-23Abbott Diabetes Care Inc.Medical device inserters and processes of inserting and using medical devices
US10881341B1 (en)2010-03-242021-01-05Abbott Diabetes Care Inc.Medical device inserters and processes of inserting and using medical devices
US10010280B2 (en)2010-03-242018-07-03Abbott Diabetes Care Inc.Medical device inserters and processes of inserting and using medical devices
US10945649B2 (en)2010-03-242021-03-16Abbott Diabetes Care Inc.Medical device inserters and processes of inserting and using medical devices
US11013440B2 (en)2010-03-242021-05-25Abbott Diabetes Care Inc.Medical device inserters and processes of inserting and using medical devices
EP3622883A1 (en)2010-03-242020-03-18Abbott Diabetes Care, Inc.Medical device inserters and processes of inserting and using medical devices
US10292632B2 (en)2010-03-242019-05-21Abbott Diabetes Care Inc.Medical device inserters and processes of inserting and using medical devices
EP4434458A2 (en)2010-03-242024-09-25Abbott Diabetes Care, Inc.Medical device inserters
US9215992B2 (en)2010-03-242015-12-22Abbott Diabetes Care Inc.Medical device inserters and processes of inserting and using medical devices
US10772547B1 (en)2010-03-242020-09-15Abbott Diabetes Care Inc.Medical device inserters and processes of inserting and using medical devices
WO2011119896A1 (en)2010-03-242011-09-29Abbott Diabetes Care Inc.Medical device inserters and processes of inserting and using medical devices
US11064922B1 (en)2010-03-242021-07-20Abbott Diabetes Care Inc.Medical device inserters and processes of inserting and using medical devices
US11000216B2 (en)2010-03-242021-05-11Abbott Diabetes Care Inc.Medical device inserters and processes of inserting and using medical devices
USD987830S1 (en)2010-03-242023-05-30Abbott Diabetes Care Inc.Analyte sensor inserter
US11058334B1 (en)2010-03-242021-07-13Abbott Diabetes Care Inc.Medical device inserters and processes of inserting and using medical devices
US9687183B2 (en)2010-03-242017-06-27Abbott Diabetes Care Inc.Medical device inserters and processes of inserting and using medical devices
USD948722S1 (en)2010-03-242022-04-12Abbott Diabetes Care Inc.Analyte sensor inserter
USD997362S1 (en)2010-03-242023-08-29Abbott Diabetes Care Inc.Analyte sensor inserter
US10285632B2 (en)2010-04-162019-05-14Abbott Diabetes Care Inc.Analyte monitoring device and methods
WO2011130545A1 (en)2010-04-162011-10-20Abbott Diabetes Care Inc.Analyte monitoring device and methods
US11992313B2 (en)2010-04-162024-05-28Abbott Diabetes Care Inc.Analyte monitoring device and methods
US9320432B2 (en)2010-04-162016-04-26Abbott Diabetes Care Inc.Analyte meter communication module
US9339219B2 (en)2010-04-222016-05-17Abbott Diabetes Care Inc.Devices, systems, and methods related to analyte monitoring and management
US9198623B2 (en)2010-04-222015-12-01Abbott Diabetes Care Inc.Devices, systems, and methods related to analyte monitoring and management
US10255055B2 (en)2010-05-242019-04-09Abbott Diabetes Care Inc.Systems and methods for updating a medical device
US11748088B2 (en)2010-05-242023-09-05Abbott Diabetes Care Inc.Systems and methods for updating a medical device
US11169794B2 (en)2010-05-242021-11-09Abbott Diabetes Care Inc.Systems and methods for updating a medical device
US12373189B2 (en)2010-05-242025-07-29Abbott Diabetes Care Inc.Systems and methods for updating a medical device
US9501272B2 (en)2010-05-242016-11-22Abbott Diabetes Care Inc.Systems and methods for updating a medical device
US8635046B2 (en)2010-06-232014-01-21Abbott Diabetes Care Inc.Method and system for evaluating analyte sensor response characteristics
US11064921B2 (en)2010-06-292021-07-20Abbott Diabetes Care Inc.Devices, systems and methods for on-skin or on-body mounting of medical devices
US10966644B2 (en)2010-06-292021-04-06Abbott Diabetes Care Inc.Devices, systems and methods for on-skin or on-body mounting of medical devices
US10092229B2 (en)2010-06-292018-10-09Abbott Diabetes Care Inc.Calibration of analyte measurement system
US11478173B2 (en)*2010-06-292022-10-25Abbott Diabetes Care Inc.Calibration of analyte measurement system
US9572534B2 (en)2010-06-292017-02-21Abbott Diabetes Care Inc.Devices, systems and methods for on-skin or on-body mounting of medical devices
US10959653B2 (en)2010-06-292021-03-30Abbott Diabetes Care Inc.Devices, systems and methods for on-skin or on-body mounting of medical devices
US10874338B2 (en)2010-06-292020-12-29Abbott Diabetes Care Inc.Devices, systems and methods for on-skin or on-body mounting of medical devices
US10973449B2 (en)2010-06-292021-04-13Abbott Diabetes Care Inc.Devices, systems and methods for on-skin or on-body mounting of medical devices
US12329522B2 (en)2010-06-292025-06-17Abbott Diabetes Care Inc.Devices, systems and methods for on-skin or on-body mounting of medical devices
EP3009065A1 (en)2010-07-282016-04-20Abbott Diabetes Care Inc.Analyte sensors having temperature independent membranes
US9662055B2 (en)2010-07-282017-05-30Abbott Diabetes Care Inc.Analyte sensors having temperature independent membranes
US10022076B2 (en)2010-07-282018-07-17Abbott Diabetes Care Inc.Analyte sensors having temperature independent membranes
US9085790B2 (en)2010-07-282015-07-21Abbott Diabetes Care Inc.Analyte sensors having temperature independent membranes
EP3395240A1 (en)2010-07-282018-10-31Abbott Diabetes Care, Inc.Methods of monitoring a level of an analyte in a subject, using analyte sensors having temperature independent membranes
US11213226B2 (en)2010-10-072022-01-04Abbott Diabetes Care Inc.Analyte monitoring devices and methods
US8603032B2 (en)2010-10-152013-12-10Medtronic Minimed, Inc.Medical device with membrane keypad sealing element, and related manufacturing method
US8603033B2 (en)2010-10-152013-12-10Medtronic Minimed, Inc.Medical device and related assembly having an offset element for a piezoelectric speaker
US8562565B2 (en)2010-10-152013-10-22Medtronic Minimed, Inc.Battery shock absorber for a portable medical device
US8495918B2 (en)2010-10-202013-07-30Medtronic Minimed, Inc.Sensor assembly and medical device incorporating same
US8479595B2 (en)2010-10-202013-07-09Medtronic Minimed, Inc.Sensor assembly and medical device incorporating same
US8474332B2 (en)2010-10-202013-07-02Medtronic Minimed, Inc.Sensor assembly and medical device incorporating same
WO2012058237A1 (en)2010-10-262012-05-03Abbott Diabetes Care Inc.Analyte measurement devices and systems, and components and methods related thereto
US8632731B2 (en)2010-10-262014-01-21Abbott Diabetes Care Inc.Analyte measurement devices and systems, and components and methods related thereto
US9952172B2 (en)2010-10-262018-04-24Abbott Diabetes Care Inc.Analyte measurement devices and systems, and components and methods related thereto
US8475732B2 (en)2010-10-262013-07-02Abbott Diabetes Care Inc.Analyte measurement devices and systems, and components and methods related thereto
US8702928B2 (en)2010-11-222014-04-22Abbott Diabetes Care Inc.Modular analyte measurement system with extendable strip port
US9770202B2 (en)2010-11-222017-09-26Abbott Diabetes Care Inc.Modular analyte measurement system with extendable strip port
US9103777B2 (en)2010-11-222015-08-11Abbott Diabetes Care Inc.Modular analyte measurement system with extendable strip port
US9465034B2 (en)2010-11-222016-10-11Abbott Diabetes Care Inc.Modular analyte measurement system with extendable strip port
US9713440B2 (en)2010-12-082017-07-25Abbott Diabetes Care Inc.Modular analyte measurement systems, modular components thereof and related methods
US12029554B2 (en)2010-12-092024-07-09Abbott Diabetes Care Inc.Analyte sensors with a sensing surface having small sensing spots
EP4397242A2 (en)2010-12-092024-07-10Abbott Diabetes Care Inc.Analyte sensors with a sensing surface having small sensing spots
US12042275B2 (en)2010-12-092024-07-23Abbott Diabetes Care Inc.Analyte sensors with a sensing surface having small sensing spots
US11457840B2 (en)2010-12-092022-10-04Abbott Diabetes Care Inc.Analyte sensors with a sensing surface having small sensing spots
WO2012078908A1 (en)2010-12-092012-06-14Abbott Diabetes Care Inc.Analyte sensors with a sensing surface having small sensing spots
US10327677B2 (en)2010-12-092019-06-25Abbott Diabetes Care Inc.Analyte sensors with a sensing surface having small sensing spots
EP3954781A1 (en)2010-12-092022-02-16Abbott Diabetes Care, Inc.Analyte sensors with a sensing surface having small sensing spots
US9555190B2 (en)2010-12-222017-01-31Medtronic Minimed, Inc.Fluid reservoir seating procedure for a fluid infusion device
US9770553B2 (en)2010-12-222017-09-26Medtronic Minimed, Inc.Monitoring the operating health of a force sensor in a fluid infusion device
US9895490B2 (en)2010-12-222018-02-20Medtronic Minimed, Inc.Occlusion detection for a fluid infusion device
US8690855B2 (en)*2010-12-222014-04-08Medtronic Minimed, Inc.Fluid reservoir seating procedure for a fluid infusion device
US8628510B2 (en)2010-12-222014-01-14Medtronic Minimed, Inc.Monitoring the operating health of a force sensor in a fluid infusion device
US10071200B2 (en)2010-12-222018-09-11Medtronic Minimed, Inc.Fluid reservoir seating procedure for a fluid infusion device
US8197444B1 (en)2010-12-222012-06-12Medtronic Minimed, Inc.Monitoring the seating status of a fluid reservoir in a fluid infusion device
US9913599B2 (en)2011-02-112018-03-13Abbott Diabetes Care Inc.Software applications residing on handheld analyte determining devices
US11017890B2 (en)2011-02-112021-05-25Abbott Diabetes Care Inc.Systems and methods for aggregating analyte data
US10923218B2 (en)2011-02-112021-02-16Abbott Diabetes Care Inc.Data synchronization between two or more analyte detecting devices in a database
US10872696B2 (en)2011-02-112020-12-22Abbott Diabetes Care Inc.Method of hypoglycemia risk determination
US12112854B2 (en)2011-02-112024-10-08Abbott Diabetes Care Inc.Software applications residing on handheld analyte determining devices
US9760679B2 (en)2011-02-112017-09-12Abbott Diabetes Care Inc.Data synchronization between two or more analyte detecting devices in a database
US9463309B2 (en)2011-02-222016-10-11Medtronic Minimed, Inc.Sealing assembly and structure for a fluid infusion device having a needled fluid reservoir
US9839741B2 (en)2011-02-222017-12-12Medtronic Minimed, Inc.Flanged sealing element and needle guide pin assembly for a fluid infusion device having a needled fluid reservoir
US9610431B2 (en)2011-02-222017-04-04Medtronic Minimed, Inc.Pressure vented fluid reservoir having a movable septum
US8864726B2 (en)2011-02-222014-10-21Medtronic Minimed, Inc.Pressure vented fluid reservoir having a movable septum
US8900206B2 (en)2011-02-222014-12-02Medtronic Minimed, Inc.Pressure vented fluid reservoir for a fluid infusion device
US9393399B2 (en)2011-02-222016-07-19Medtronic Minimed, Inc.Sealing assembly for a fluid reservoir of a fluid infusion device
US8870829B2 (en)2011-02-222014-10-28Medtronic Minimed, Inc.Fluid infusion device and related sealing assembly for a needleless fluid reservoir
US9339639B2 (en)2011-02-222016-05-17Medtronic Minimed, Inc.Sealing assembly for a fluid reservoir of a fluid infusion device
US8945068B2 (en)2011-02-222015-02-03Medtronic Minimed, Inc.Fluid reservoir having a fluid delivery needle for a fluid infusion device
US9533132B2 (en)2011-02-222017-01-03Medtronic Minimed, Inc.Pressure vented fluid reservoir for a fluid infusion device
US9629992B2 (en)2011-02-222017-04-25Medtronic Minimed, Inc.Fluid infusion device and related sealing assembly for a needleless fluid reservoir
EP3583901A2 (en)2011-02-282019-12-25Abbott Diabetes Care, Inc.Devices, systems, and methods associated with analyte monitoring devices and devices incorporating the same
US11627898B2 (en)2011-02-282023-04-18Abbott Diabetes Care Inc.Devices, systems, and methods associated with analyte monitoring devices and devices incorporating the same
US11534089B2 (en)2011-02-282022-12-27Abbott Diabetes Care Inc.Devices, systems, and methods associated with analyte monitoring devices and devices incorporating the same
US8614596B2 (en)2011-02-282013-12-24Medtronic Minimed, Inc.Systems and methods for initializing a voltage bus and medical devices incorporating same
US9532737B2 (en)2011-02-282017-01-03Abbott Diabetes Care Inc.Devices, systems, and methods associated with analyte monitoring devices and devices incorporating the same
US10136845B2 (en)2011-02-282018-11-27Abbott Diabetes Care Inc.Devices, systems, and methods associated with analyte monitoring devices and devices incorporating the same
WO2012154286A1 (en)2011-02-282012-11-15Abbott Diabetes Care Inc.Devices, systems, and methods associated with analyte monitoring devices and devices incorporating the same
US9616165B2 (en)2011-03-092017-04-11Medtronic Minimed, Inc.Glucose sensor product
US9101305B2 (en)2011-03-092015-08-11Medtronic Minimed, Inc.Glucose sensor product and related manufacturing and packaging methods
US12121350B2 (en)2011-03-102024-10-22Abbott Diabetes Care Inc.Multi-function analyte monitor device and methods of use
US10010273B2 (en)2011-03-102018-07-03Abbott Diabetes Care, Inc.Multi-function analyte monitor device and methods of use
US9018893B2 (en)2011-03-182015-04-28Medtronic Minimed, Inc.Power control techniques for an electronic device
US9755452B2 (en)2011-03-182017-09-05Medtronic Minimed, Inc.Power control techniques for an electronic device
US8564447B2 (en)2011-03-182013-10-22Medtronic Minimed, Inc.Battery life indication techniques for an electronic device
US9743862B2 (en)2011-03-312017-08-29Abbott Diabetes Care Inc.Systems and methods for transcutaneously implanting medical devices
US10835162B2 (en)2011-04-152020-11-17Dexcom, Inc.Advanced analyte sensor calibration and error detection
US10722162B2 (en)2011-04-152020-07-28Dexcom, Inc.Advanced analyte sensor calibration and error detection
US10682084B2 (en)2011-04-152020-06-16Dexcom, Inc.Advanced analyte sensor calibration and error detection
US10624568B2 (en)2011-04-152020-04-21Dexcom, Inc.Advanced analyte sensor calibration and error detection
US10555695B2 (en)2011-04-152020-02-11Dexcom, Inc.Advanced analyte sensor calibration and error detection
US10561354B2 (en)2011-04-152020-02-18Dexcom, Inc.Advanced analyte sensor calibration and error detection
US12343143B2 (en)2011-04-152025-07-01Dexcom, Inc.Advanced analyte sensor calibration and error detection
US10610141B2 (en)2011-04-152020-04-07Dexcom, Inc.Advanced analyte sensor calibration and error detection
US11033211B2 (en)2011-04-202021-06-15Abbott Diabetes Care Inc.Analyte monitoring devices and methods
US9775544B2 (en)2011-05-202017-10-03Abbott Diabetes Care Inc.Analyte sensors having a membrane with low temperature sensitivity
US9380965B2 (en)2011-05-202016-07-05Abbott Diabetes Care Inc.Analyte sensors having a membrane with low temperature sensitivity
US9492108B2 (en)2011-05-202016-11-15Abbott Diabetes Care Inc.Analyte sensors having a membrane with low temperature sensitivity
EP3556285A1 (en)2011-06-162019-10-23Abbott Diabetes Care, Inc.Temperature-compensated analyte monitoring devices, systems, and methods thereof
US12290354B2 (en)2011-06-162025-05-06Abbott Diabetes Care Inc.Temperature-compensated analyte monitoring devices, systems, and methods thereof
US11571147B2 (en)2011-06-162023-02-07Abbott Diabetes Care Inc.Temperature-compensated analyte monitoring devices, systems, and methods thereof
US9974472B2 (en)2011-06-162018-05-22Abbott Diabetes Care Inc.Temperature-compensated analyte monitoring devices, systems, and methods thereof
EP4122384A1 (en)2011-06-162023-01-25Abbott Diabetes Care, Inc.Temperature-compensated analyte monitoring devices, systems, and methods thereof
US9782112B2 (en)2011-06-172017-10-10Abbott Diabetes Care Inc.Connectors for making connections between analyte sensors and other devices
US11806141B2 (en)2011-06-172023-11-07Abbott Diabetes Care Inc.Connectors for making connections between analyte sensors and other devices
US11471080B2 (en)2011-06-172022-10-18Abbott Diabetes Care Inc.Connectors for making connections between analyte sensors and other devices
US11382542B2 (en)2011-06-172022-07-12Abbott Diabetes Care Inc.Connectors for making connections between analyte sensors and other devices
US11234622B2 (en)2011-06-172022-02-01Abbott Diabetes Care Inc.Connectors for making connections between analyte sensors and other devices
US9007781B2 (en)2011-06-172015-04-14Abbott Diabetes Care Inc.Connectors for making connections between analyte sensors and other devices
US9271670B2 (en)2011-06-172016-03-01Abbott Diabetes Care Inc.Connectors for making connections between analyte sensors and other devices
US9289164B2 (en)2011-06-302016-03-22Abbott Diabetes Care Inc.Methods for generating hybrid analyte level output, and devices and systems related thereto
US10028686B2 (en)2011-06-302018-07-24Abbott Diabetes Care Inc.Methods for generating hybrid analyte level output, and devices and systems related thereto
US9623416B2 (en)*2011-07-072017-04-18Holger BehnkCuvette module having an electrically conductive cuvette carrier
US20140090465A1 (en)*2011-07-072014-04-03Holger BehnkCuvette Module Having an Electrically Conductive Cuvette Carrier
US9549692B2 (en)2011-08-262017-01-24Dexcom, Inc.Polymer membranes for continuous analyte sensors
EP4400043A2 (en)2011-09-282024-07-17Abbott Diabetes Care, Inc.Methods for analyte monitoring management and analyte measurement data management, and articles of manufacture related thereto
US12102428B2 (en)2011-09-282024-10-01Abbott Diabetes Care Inc.Methods, devices and systems for analyte monitoring management
US10945646B2 (en)2011-09-282021-03-16Abbott Diabetes Care Inc.Methods for analyte monitoring management and analyte measurement data management, and articles of manufacture related thereto
EP3381360A1 (en)2011-09-282018-10-03Abbott Diabetes Care, Inc.Methods, devices and systems for analyte monitoring management
EP3689235A1 (en)2011-09-282020-08-05Abbott Diabetes Care, Inc.Methods for analyte monitoring management and analyte measurement data management, and articles of manufacture related thereto
US11832973B2 (en)2011-09-282023-12-05Abbott Diabetes Care Inc.Methods for analyte monitoring management and analyte measurement data management, and articles of manufacture related thereto
US9622689B2 (en)2011-09-282017-04-18Abbott Diabetes Care Inc.Methods for analyte monitoring management and analyte measurement data management, and articles of manufacture related thereto
US11087868B2 (en)2011-09-282021-08-10Abbott Diabetes Care Inc.Methods, devices and systems for analyte monitoring management
EP4060673A1 (en)2011-09-282022-09-21Abbott Diabetes Care, Inc.Methods, devices and systems for analyte monitoring management
USD680454S1 (en)2011-10-252013-04-23Abbott Diabetes Care Inc.Analyte meter and strip port
US9913619B2 (en)2011-10-312018-03-13Abbott Diabetes Care Inc.Model based variable risk false glucose threshold alarm prevention mechanism
US9465420B2 (en)2011-10-312016-10-11Abbott Diabetes Care Inc.Electronic devices having integrated reset systems and methods thereof
US9622691B2 (en)2011-10-312017-04-18Abbott Diabetes Care Inc.Model based variable risk false glucose threshold alarm prevention mechanism
US11406331B2 (en)2011-10-312022-08-09Abbott Diabetes Care Inc.Model based variable risk false glucose threshold alarm prevention mechanism
US9069536B2 (en)2011-10-312015-06-30Abbott Diabetes Care Inc.Electronic devices having integrated reset systems and methods thereof
US9980669B2 (en)2011-11-072018-05-29Abbott Diabetes Care Inc.Analyte monitoring device and methods
US9743872B2 (en)2011-11-232017-08-29Abbott Diabetes Care Inc.Mitigating single point failure of devices in an analyte monitoring system and methods thereof
US12254978B2 (en)2011-11-232025-03-18Abbott Diabetes Care Inc.Compatibility mechanisms for devices in a continuous analyte monitoring system and methods thereof
US12364419B2 (en)2011-11-232025-07-22Abbott Diabetes Care Inc.Mitigating single point failure of devices in an analyte monitoring system and methods thereof
US9289179B2 (en)2011-11-232016-03-22Abbott Diabetes Care Inc.Mitigating single point failure of devices in an analyte monitoring system and methods thereof
US11783941B2 (en)2011-11-232023-10-10Abbott Diabetes Care Inc.Compatibility mechanisms for devices in a continuous analyte monitoring system and methods thereof
US9721063B2 (en)2011-11-232017-08-01Abbott Diabetes Care Inc.Compatibility mechanisms for devices in a continuous analyte monitoring system and methods thereof
US11205511B2 (en)2011-11-232021-12-21Abbott Diabetes Care Inc.Compatibility mechanisms for devices in a continuous analyte monitoring system and methods thereof
US10939859B2 (en)2011-11-232021-03-09Abbott Diabetes Care Inc.Mitigating single point failure of devices in an analyte monitoring system and methods thereof
US10136847B2 (en)2011-11-232018-11-27Abbott Diabetes Care Inc.Mitigating single point failure of devices in an analyte monitoring system and methods thereof
US8710993B2 (en)2011-11-232014-04-29Abbott Diabetes Care Inc.Mitigating single point failure of devices in an analyte monitoring system and methods thereof
US9317656B2 (en)2011-11-232016-04-19Abbott Diabetes Care Inc.Compatibility mechanisms for devices in a continuous analyte monitoring system and methods thereof
US9339217B2 (en)2011-11-252016-05-17Abbott Diabetes Care Inc.Analyte monitoring system and methods of use
US10082493B2 (en)2011-11-252018-09-25Abbott Diabetes Care Inc.Analyte monitoring system and methods of use
US11391723B2 (en)2011-11-252022-07-19Abbott Diabetes Care Inc.Analyte monitoring system and methods of use
US8887911B2 (en)2011-12-092014-11-18Abbott Diabetes Care Inc.Packages and kits for analyte monitoring devices, and methods related thereto
US9693713B2 (en)2011-12-112017-07-04Abbott Diabetes Care Inc.Analyte sensor devices, connections, and methods
US9402570B2 (en)2011-12-112016-08-02Abbott Diabetes Care Inc.Analyte sensor devices, connections, and methods
USD1036674S1 (en)2011-12-112024-07-23Abbott Diabetes Care Inc.Analyte sensor device
USD915601S1 (en)2011-12-112021-04-06Abbott Diabetes Care Inc.Analyte sensor device
US9931066B2 (en)2011-12-112018-04-03Abbott Diabetes Care Inc.Analyte sensor devices, connections, and methods
USD1051397S1 (en)2011-12-112024-11-12Abbott Diabetes Care Inc.Analyte sensor device
US11051725B2 (en)2011-12-112021-07-06Abbott Diabetes Care Inc.Analyte sensor devices, connections, and methods
US11051724B2 (en)2011-12-112021-07-06Abbott Diabetes Care Inc.Analyte sensor devices, connections, and methods
USD903877S1 (en)2011-12-112020-12-01Abbott Diabetes Care Inc.Analyte sensor device
USD915602S1 (en)2011-12-112021-04-06Abbott Diabetes Care Inc.Analyte sensor device
US11179068B2 (en)2011-12-112021-11-23Abbott Diabetes Care Inc.Analyte sensor devices, connections, and methods
EP4249034A2 (en)2011-12-302023-09-27Abbott Diabetes Care, Inc.Method and apparatus for determining medication dose information
WO2013102158A1 (en)2011-12-302013-07-04Abbott Diabetes Care Inc.Method and apparatus for determining medication dose information
EP3662965A1 (en)2011-12-302020-06-10Abbott Diabetes Care, Inc.Method and apparatus for determining medication dose information
US9610401B2 (en)2012-01-132017-04-04Medtronic Minimed, Inc.Infusion set component with modular fluid channel element
US8523803B1 (en)2012-03-202013-09-03Medtronic Minimed, Inc.Motor health monitoring and medical device incorporating same
US8603026B2 (en)2012-03-202013-12-10Medtronic Minimed, Inc.Dynamic pulse-width modulation motor control and medical device incorporating same
US9379652B2 (en)2012-03-202016-06-28Medtronic Minimed, Inc.Motor health monitoring and medical device incorporating same
US9379653B2 (en)2012-03-202016-06-28Medtronic Minimed, Inc.Dynamic pulse-width modulation motor control and medical device incorporating same
US10228663B2 (en)2012-03-202019-03-12Medtronic Minimed, Inc.Dynamic pulse-width modulation motor control and medical device incorporating same
US10141882B2 (en)2012-03-202018-11-27Medtronic Minimed, Inc.Motor health monitoring and medical device incorporating same
US8603027B2 (en)2012-03-202013-12-10Medtronic Minimed, Inc.Occlusion detection using pulse-width modulation and medical device incorporating same
US9344024B2 (en)2012-03-202016-05-17Medtronic Minimed, Inc.Occlusion detection using pulse-width modulation and medical device incorporating same
US10561372B2 (en)2012-04-242020-02-18Abbott Diabetes Care Inc.Methods of lag-compensation for analyte measurements, and devices related thereto
EP3777664A1 (en)2012-04-242021-02-17Abbott Diabetes Care, Inc.Methods of lag-compensation for analyte measurements, and devices related thereto thereto
WO2013163342A1 (en)2012-04-242013-10-31Abbott Diabetes Care Inc.Methods of lag-compensation for analyte measurements, and devices related thereto
US9462970B2 (en)2012-04-242016-10-11Abbott Diabetes Care Inc.Methods of lag-compensation for analyte measurements, and devices related thereto
EP4541272A2 (en)2012-04-242025-04-23Abbott Diabetes Care, Inc.Methods of lag-compensation for analyte measurements, and devices related thereto
US10391242B2 (en)2012-06-072019-08-27Medtronic Minimed, Inc.Diabetes therapy management system for recommending bolus calculator adjustments
US9757518B2 (en)2012-06-262017-09-12Medtronic Minimed, Inc.Mechanically actuated fluid infusion device
US9333292B2 (en)2012-06-262016-05-10Medtronic Minimed, Inc.Mechanically actuated fluid infusion device
US10232112B2 (en)2012-08-212019-03-19Medtronic Minimed, Inc.Reservoir plunger position monitoring and medical device incorporating same
US8808269B2 (en)2012-08-212014-08-19Medtronic Minimed, Inc.Reservoir plunger position monitoring and medical device incorporating same
US9517303B2 (en)2012-08-212016-12-13Medtronic Minimed, Inc.Reservoir plunger position monitoring and medical device incorporating same
US9623179B2 (en)2012-08-302017-04-18Medtronic Minimed, Inc.Safeguarding techniques for a closed-loop insulin infusion system
US12268846B2 (en)2012-08-302025-04-08Medtronic Minimed, Inc.Regulating delivery of insulin to a body of a user by a fluid delivery device
US11628250B2 (en)2012-08-302023-04-18Medtronic Minimed, Inc.Temporary target glucose values for temporary reductions in fluid delivery
US9849239B2 (en)2012-08-302017-12-26Medtronic Minimed, Inc.Generation and application of an insulin limit for a closed-loop operating mode of an insulin infusion system
US10345291B2 (en)2012-08-302019-07-09Abbott Diabetes Care Inc.Dropout detection in continuous analyte monitoring data during data excursions
US9662445B2 (en)2012-08-302017-05-30Medtronic Minimed, Inc.Regulating entry into a closed-loop operating mode of an insulin infusion system
US9364609B2 (en)2012-08-302016-06-14Medtronic Minimed, Inc.Insulin on board compensation for a closed-loop insulin infusion system
US9526834B2 (en)2012-08-302016-12-27Medtronic Minimed, Inc.Safeguarding measures for a closed-loop insulin infusion system
US9878096B2 (en)2012-08-302018-01-30Medtronic Minimed, Inc.Generation of target glucose values for a closed-loop operating mode of an insulin infusion system
US10132793B2 (en)2012-08-302018-11-20Abbott Diabetes Care Inc.Dropout detection in continuous analyte monitoring data during data excursions
US10496797B2 (en)2012-08-302019-12-03Medtronic Minimed, Inc.Blood glucose validation for a closed-loop operating mode of an insulin infusion system
US10130767B2 (en)2012-08-302018-11-20Medtronic Minimed, Inc.Sensor model supervisor for a closed-loop insulin infusion system
US10942164B2 (en)2012-08-302021-03-09Abbott Diabetes Care Inc.Dropout detection in continuous analyte monitoring data during data excursions
US10656139B2 (en)2012-08-302020-05-19Abbott Diabetes Care Inc.Dropout detection in continuous analyte monitoring data during data excursions
US11986633B2 (en)2012-08-302024-05-21Medtronic Minimed, Inc.Sensor model supervisor for temporary reductions in fluid delivery by a fluid delivery device
US10758674B2 (en)2012-08-302020-09-01Medtronic Minimed, Inc.Safeguarding measures for a closed-loop insulin infusion system
US11950936B2 (en)2012-09-172024-04-09Abbott Diabetes Care Inc.Methods and apparatuses for providing adverse condition notification with enhanced wireless communication range in analyte monitoring systems
US9968306B2 (en)2012-09-172018-05-15Abbott Diabetes Care Inc.Methods and apparatuses for providing adverse condition notification with enhanced wireless communication range in analyte monitoring systems
US12419589B2 (en)2012-09-172025-09-23Abbott Diabetes Care Inc.Methods and apparatuses for providing adverse condition notification with enhanced wireless communication range in analyte monitoring systems
US11612363B2 (en)2012-09-172023-03-28Abbott Diabetes Care Inc.Methods and apparatuses for providing adverse condition notification with enhanced wireless communication range in analyte monitoring systems
US10006880B2 (en)2012-09-212018-06-26Abbott Diabetes Care Inc.Test strips having ceria nanoparticle electrodes
US10004439B2 (en)2012-09-212018-06-26Abbott Diabetes Care Inc.In vivo sensors having ceria nanoparticle electrodes
US11896371B2 (en)2012-09-262024-02-13Abbott Diabetes Care Inc.Method and apparatus for improving lag correction during in vivo measurement of analyte concentration with analyte concentration variability and range data
US12343140B2 (en)2012-09-262025-07-01Abbott Diabetes Care Inc.Method and apparatus for improving lag correction during in vivo measurement of analyte concentration with analyte concentration variability and range data
US9907492B2 (en)2012-09-262018-03-06Abbott Diabetes Care Inc.Method and apparatus for improving lag correction during in vivo measurement of analyte concentration with analyte concentration variability and range data
US10842420B2 (en)2012-09-262020-11-24Abbott Diabetes Care Inc.Method and apparatus for improving lag correction during in vivo measurement of analyte concentration with analyte concentration variability and range data
US10108781B2 (en)2012-09-282018-10-23Abbott Diabetes Care Inc.Glucose or ketone body analyte monitoring in vivo
US10188334B2 (en)2012-10-302019-01-29Abbott Diabetes Care Inc.Sensitivity calibration of in vivo sensors used to measure analyte concentration
US9675290B2 (en)2012-10-302017-06-13Abbott Diabetes Care Inc.Sensitivity calibration of in vivo sensors used to measure analyte concentration
US12279866B2 (en)2012-10-302025-04-22Abbott Diabetes Care Inc.Sensitivity calibration of in vivo sensors used to measure analyte concentration
US9801577B2 (en)2012-10-302017-10-31Abbott Diabetes Care Inc.Sensitivity calibration of in vivo sensors used to measure analyte concentration
US9513104B2 (en)2012-11-152016-12-06Medtronic Minimed, Inc.Systems and methods for alignment and detection of a consumable component
US8870818B2 (en)2012-11-152014-10-28Medtronic Minimed, Inc.Systems and methods for alignment and detection of a consumable component
US9872641B2 (en)2012-11-292018-01-23Abbott Diabetes Care Inc.Methods, devices, and systems related to analyte monitoring
US11633127B2 (en)2012-11-292023-04-25Abbott Diabetes Care Inc.Methods, devices, and systems related to analyte monitoring
US11633126B2 (en)2012-11-292023-04-25Abbott Diabetes Care Inc.Methods, devices, and systems related to analyte monitoring
WO2014085602A1 (en)2012-11-292014-06-05Abbott Diabetes Care Inc.Methods, devices, and systems related to analyte monitoring
US11576593B2 (en)2012-11-292023-02-14Abbott Diabetes Care Inc.Methods, devices, and systems related to analyte monitoring
US10806382B2 (en)2012-11-292020-10-20Abbott Diabetes Care Inc.Methods, devices, and systems related to analyte monitoring
US9033924B2 (en)2013-01-182015-05-19Medtronic Minimed, Inc.Systems for fluid reservoir retention
US9522223B2 (en)2013-01-182016-12-20Medtronic Minimed, Inc.Systems for fluid reservoir retention
US9107994B2 (en)2013-01-182015-08-18Medtronic Minimed, Inc.Systems for fluid reservoir retention
US9308321B2 (en)2013-02-182016-04-12Medtronic Minimed, Inc.Infusion device having gear assembly initialization
US12171548B2 (en)2013-03-152024-12-24Abbott Diabetes Care Inc.Multi-rate analyte sensor data collection with sample rate configurable signal processing
US10433773B1 (en)2013-03-152019-10-08Abbott Diabetes Care Inc.Noise rejection methods and apparatus for sparsely sampled analyte sensor data
US9474475B1 (en)2013-03-152016-10-25Abbott Diabetes Care Inc.Multi-rate analyte sensor data collection with sample rate configurable signal processing
US10076285B2 (en)2013-03-152018-09-18Abbott Diabetes Care Inc.Sensor fault detection using analyte sensor data pattern comparison
US12383164B1 (en)2013-03-152025-08-12Abbott Diabetes Care Inc.Noise rejection methods and apparatus for sparsely sampled analyte sensor data
US10874336B2 (en)2013-03-152020-12-29Abbott Diabetes Care Inc.Multi-rate analyte sensor data collection with sample rate configurable signal processing
WO2014145049A2 (en)2013-03-152014-09-18Abbott Diabetes Care Inc.Devices, systems, and methods associated with analyte monitoring devices and devices incorporating the same
US8920381B2 (en)2013-04-122014-12-30Medtronic Minimed, Inc.Infusion set with improved bore configuration
US11571149B1 (en)2013-04-302023-02-07Abbott Diabetes Care Inc.Systems, devices, and methods for energy efficient electrical device activation
US11207006B2 (en)2013-04-302021-12-28Abbott Diabetes Care Inc.Systems, devices, and methods for energy efficient electrical device activation
US12350041B2 (en)2013-04-302025-07-08Abbott Diabetes Care Inc.Systems, devices, and methods for energy efficient electrical device activation
US10213141B2 (en)2013-04-302019-02-26Abbott Diabetes Care Inc.Systems, devices, and methods for energy efficient electrical device activation
US9795732B2 (en)2013-07-192017-10-24Medtronic Minimed, Inc.Detecting unintentional motor motion and infusion device incorporating same
US9433731B2 (en)2013-07-192016-09-06Medtronic Minimed, Inc.Detecting unintentional motor motion and infusion device incorporating same
US10124113B2 (en)2013-08-132018-11-13Medtronic Minimed, Inc.Detecting conditions associated with medical device operations using matched filters
US9402949B2 (en)2013-08-132016-08-02Medtronic Minimed, Inc.Detecting conditions associated with medical device operations using matched filters
US9880528B2 (en)2013-08-212018-01-30Medtronic Minimed, Inc.Medical devices and related updating methods and systems
US11024408B2 (en)2013-08-212021-06-01Medtronic Minimed, Inc.Medical devices and related updating methods and systems
US9889257B2 (en)2013-08-212018-02-13Medtronic Minimed, Inc.Systems and methods for updating medical devices
US12033737B2 (en)2013-08-212024-07-09Medtronic Minimed, Inc.Streamed communication of updated control information to a medical device via an intermediate device
US10188789B2 (en)2013-08-222019-01-29Medtronic Minimed, Inc.Fluid infusion device with safety coupling
US9259528B2 (en)2013-08-222016-02-16Medtronic Minimed, Inc.Fluid infusion device with safety coupling
US9750878B2 (en)2013-12-112017-09-05Medtronic Minimed, Inc.Closed-loop control of glucose according to a predicted blood glucose trajectory
US12161840B2 (en)2013-12-112024-12-10Medtronic Minimed, Inc.Predicted time to assess and/or control a glycemic state
US9750877B2 (en)2013-12-112017-09-05Medtronic Minimed, Inc.Predicted time to assess and/or control a glycemic state
US12017044B2 (en)2013-12-122024-06-25Medtronic Minimed, Inc.Predictive infusion device operations and related methods and systems
US10105488B2 (en)2013-12-122018-10-23Medtronic Minimed, Inc.Predictive infusion device operations and related methods and systems
US10960136B2 (en)2013-12-122021-03-30Medtronic Minimed, Inc.Predictive infusion device operations and related methods and systems
US9849240B2 (en)2013-12-122017-12-26Medtronic Minimed, Inc.Data modification for predictive operations and devices incorporating same
US9694132B2 (en)2013-12-192017-07-04Medtronic Minimed, Inc.Insertion device for insertion set
US12411930B2 (en)2013-12-272025-09-09Abbott Diabetes Care Inc.Application interface and display control in an analyte monitoring environment
US11229382B2 (en)2013-12-312022-01-25Abbott Diabetes Care Inc.Self-powered analyte sensor and devices using the same
US9399096B2 (en)2014-02-062016-07-26Medtronic Minimed, Inc.Automatic closed-loop control adjustments and infusion systems incorporating same
US10166331B2 (en)2014-02-062019-01-01Medtronic Minimed, Inc.Automatic closed-loop control adjustments and infusion systems incorporating same
US9861748B2 (en)2014-02-062018-01-09Medtronic Minimed, Inc.User-configurable closed-loop notifications and infusion systems incorporating same
US11241535B2 (en)2014-02-062022-02-08Medtronic Minimed, Inc.User-configurable closed-loop notifications and infusion systems incorporating same
US9987422B2 (en)2014-03-242018-06-05Medtronic Minimed, Inc.Fluid infusion patch pump device with automatic startup feature
US9610402B2 (en)2014-03-242017-04-04Medtronic Minimed, Inc.Transcutaneous conduit insertion mechanism with a living hinge for use with a fluid infusion patch pump device
US10034976B2 (en)2014-03-242018-07-31Medtronic Minimed, Inc.Fluid infusion patch pump device with automatic fluid system priming feature
US11717225B2 (en)2014-03-302023-08-08Abbott Diabetes Care Inc.Method and apparatus for determining meal start and peak events in analyte monitoring systems
US10001450B2 (en)2014-04-182018-06-19Medtronic Minimed, Inc.Nonlinear mapping technique for a physiological characteristic sensor
US10232113B2 (en)2014-04-242019-03-19Medtronic Minimed, Inc.Infusion devices and related methods and systems for regulating insulin on board
US11344674B2 (en)2014-04-242022-05-31Medtronic Minimed, Inc.Infusion devices and related methods and systems for regulating insulin on board
US9681828B2 (en)2014-05-012017-06-20Medtronic Minimed, Inc.Physiological characteristic sensors and methods for forming such sensors
US10275572B2 (en)2014-05-012019-04-30Medtronic Minimed, Inc.Detecting blockage of a reservoir cavity during a seating operation of a fluid infusion device
US10007765B2 (en)2014-05-192018-06-26Medtronic Minimed, Inc.Adaptive signal processing for infusion devices and related methods and systems
US10152049B2 (en)2014-05-192018-12-11Medtronic Minimed, Inc.Glucose sensor health monitoring and related methods and systems
US10274349B2 (en)2014-05-192019-04-30Medtronic Minimed, Inc.Calibration factor adjustments for infusion devices and related methods and systems
US9833563B2 (en)2014-09-262017-12-05Medtronic Minimed, Inc.Systems for managing reservoir chamber pressure
US9839753B2 (en)2014-09-262017-12-12Medtronic Minimed, Inc.Systems for managing reservoir chamber pressure
US10279126B2 (en)2014-10-072019-05-07Medtronic Minimed, Inc.Fluid conduit assembly with gas trapping filter in the fluid flow path
US10598624B2 (en)2014-10-232020-03-24Abbott Diabetes Care Inc.Electrodes having at least one sensing structure and methods for making and using the same
US11300537B2 (en)2014-10-232022-04-12Abbott Diabetes Care Inc.Electrodes having at least one sensing structure and methods for making and using the same
US12436127B2 (en)2014-10-232025-10-07Abbott Diabetes Care Inc.Electrodes having at least one sensing structure and methods for making and using the same
US11867652B2 (en)2014-10-232024-01-09Abbott Diabetes Care Inc.Electrodes having at least one sensing structure and methods for making and using the same
US9833564B2 (en)2014-11-252017-12-05Medtronic Minimed, Inc.Fluid conduit assembly with air venting features
US9987420B2 (en)2014-11-262018-06-05Medtronic Minimed, Inc.Systems and methods for fluid infusion device with automatic reservoir fill
US10195341B2 (en)2014-11-262019-02-05Medtronic Minimed, Inc.Systems and methods for fluid infusion device with automatic reservoir fill
US9943645B2 (en)2014-12-042018-04-17Medtronic Minimed, Inc.Methods for operating mode transitions and related infusion devices and systems
US9636453B2 (en)2014-12-042017-05-02Medtronic Minimed, Inc.Advance diagnosis of infusion device operating mode viability
US11636938B2 (en)2014-12-042023-04-25Medtronic Minimed, Inc.Methods for operating mode transitions and related infusion devices and systems
US9937292B2 (en)2014-12-092018-04-10Medtronic Minimed, Inc.Systems for filling a fluid infusion device reservoir
US11191896B2 (en)2014-12-192021-12-07Medtronic Minimed, Inc.Infusion devices and related methods and systems for preemptive alerting
US10307535B2 (en)2014-12-192019-06-04Medtronic Minimed, Inc.Infusion devices and related methods and systems for preemptive alerting
US12285592B2 (en)2014-12-192025-04-29Medtronic Minimed, Inc.Infusion devices and related methods and systems for preemptive alerting
US11744942B2 (en)2014-12-192023-09-05Medtronic Minimed, Inc.Infusion devices and related methods and systems for preemptive alerting
US10265031B2 (en)2014-12-192019-04-23Medtronic Minimed, Inc.Infusion devices and related methods and systems for automatic alert clearing
US12144961B2 (en)2015-03-092024-11-19Medtronic Minimed, Inc.Extensible infusion devices and related methods
US10307528B2 (en)2015-03-092019-06-04Medtronic Minimed, Inc.Extensible infusion devices and related methods
US10449298B2 (en)2015-03-262019-10-22Medtronic Minimed, Inc.Fluid injection devices and related methods
USD980986S1 (en)2015-05-142023-03-14Abbott Diabetes Care Inc.Analyte sensor inserter
US10674944B2 (en)2015-05-142020-06-09Abbott Diabetes Care Inc.Compact medical device inserters and related systems and methods
US10213139B2 (en)2015-05-142019-02-26Abbott Diabetes Care Inc.Systems, devices, and methods for assembling an applicator and sensor control device
US12154671B2 (en)2015-05-262024-11-26Medtronic Minimed, Inc.Error handling in infusion devices with distributed motor control and related operating methods
US10137243B2 (en)2015-05-262018-11-27Medtronic Minimed, Inc.Infusion devices with distributed motor control and related operating methods
US9999721B2 (en)2015-05-262018-06-19Medtronic Minimed, Inc.Error handling in infusion devices with distributed motor control and related operating methods
US10575767B2 (en)2015-05-292020-03-03Medtronic Minimed, Inc.Method for monitoring an analyte, analyte sensor and analyte monitoring apparatus
US9914952B2 (en)2015-06-152018-03-13Abbott Diabetes Care, Inc.Stabilized lactate responsive enzymes, electrodes and sensors, and methods for making and using the same
EP3967227A1 (en)2015-06-152022-03-16Abbott Diabetes Care Inc.Stabilized lactate responsive enzymes, electrodes and sensors, and methods for making and using the same
WO2016205378A1 (en)2015-06-152016-12-22Abbott Diabetes Care Inc.Stabilized lactate responsive enzymes, electrodes and sensors, and methods for making and using the same
US9987425B2 (en)2015-06-222018-06-05Medtronic Minimed, Inc.Occlusion detection techniques for a fluid infusion device having a rotary pump mechanism and sensor contact elements
US9878095B2 (en)2015-06-222018-01-30Medtronic Minimed, Inc.Occlusion detection techniques for a fluid infusion device having a rotary pump mechanism and multiple sensor contact elements
US9993594B2 (en)2015-06-222018-06-12Medtronic Minimed, Inc.Occlusion detection techniques for a fluid infusion device having a rotary pump mechanism and rotor position sensors
US10010668B2 (en)2015-06-222018-07-03Medtronic Minimed, Inc.Occlusion detection techniques for a fluid infusion device having a rotary pump mechanism and a force sensor
US9879668B2 (en)2015-06-222018-01-30Medtronic Minimed, Inc.Occlusion detection techniques for a fluid infusion device having a rotary pump mechanism and an optical sensor
WO2017011346A1 (en)2015-07-102017-01-19Abbott Diabetes Care Inc.System, device and method of dynamic glucose profile response to physiological parameters
US10888272B2 (en)2015-07-102021-01-12Abbott Diabetes Care Inc.Systems, devices, and methods for meal information collection, meal assessment, and analyte data correlation
DE202016009220U1 (en)2015-07-102024-07-09Abbott Diabetes Care, Inc. Device and system for dynamic glucose profile response to physiological parameters
EP4601278A2 (en)2015-07-102025-08-13Abbott Diabetes Care Inc.System and device of dynamic glucose profile response to physiological parameters
US12310757B2 (en)2015-07-102025-05-27Abbott Diabetes Care Inc.System, device and method of dynamic glucose profile response to physiological parameters
US11553883B2 (en)2015-07-102023-01-17Abbott Diabetes Care Inc.System, device and method of dynamic glucose profile response to physiological parameters
US10867012B2 (en)2015-08-212020-12-15Medtronic Minimed, Inc.Data analytics and insight delivery for the management and control of diabetes
US11857765B2 (en)2015-08-212024-01-02Medtronic Minimed, Inc.Personalized parameter modeling methods and related devices and systems
US12057214B2 (en)2015-08-212024-08-06Medtronic Minimed, Inc.Personalized event detection
US11484651B2 (en)2015-08-212022-11-01Medtronic Minimed, Inc.Personalized parameter modeling methods and related devices and systems
US12322492B2 (en)2015-08-212025-06-03Medtronic Minimed, Inc.Personalized event detection
US11338086B2 (en)2015-08-212022-05-24Medtronic Minimed, Inc.Infusion devices and related patient ratio adjustment methods
US11027064B2 (en)2015-08-212021-06-08Medtronic Minimed, Inc.Methods for providing sensor site rotation feedback and related infusion devices and systems
US10293108B2 (en)2015-08-212019-05-21Medtronic Minimed, Inc.Infusion devices and related patient ratio adjustment methods
US10664569B2 (en)2015-08-212020-05-26Medtronic Minimed, Inc.Data analytics and generation of recommendations for controlling glycemic outcomes associated with tracked events
US10543314B2 (en)2015-08-212020-01-28Medtronic Minimed, Inc.Personalized parameter modeling with signal calibration based on historical data
US10463297B2 (en)2015-08-212019-11-05Medtronic Minimed, Inc.Personalized event detection methods and related devices and systems
US10478557B2 (en)2015-08-212019-11-19Medtronic Minimed, Inc.Personalized parameter modeling methods and related devices and systems
US10201657B2 (en)2015-08-212019-02-12Medtronic Minimed, Inc.Methods for providing sensor site rotation feedback and related infusion devices and systems
US11872372B2 (en)2015-08-212024-01-16Medtronic Minimed, Inc.Identification of sites for sensing arrangements
US10117992B2 (en)2015-09-292018-11-06Medtronic Minimed, Inc.Infusion devices and related rescue detection methods
US12311145B2 (en)2015-09-292025-05-27Medtronic Minimed, Inc.Infusion devices and related rescue detection methods
US11501867B2 (en)2015-10-192022-11-15Medtronic Minimed, Inc.Medical devices and related event pattern presentation methods
US11666702B2 (en)2015-10-192023-06-06Medtronic Minimed, Inc.Medical devices and related event pattern treatment recommendation methods
US10146911B2 (en)2015-10-232018-12-04Medtronic Minimed, Inc.Medical devices and related methods and systems for data transfer
US11075006B2 (en)2015-10-232021-07-27Medtronic Minimed, Inc.Medical devices and related methods and systems for data transfer
US10037722B2 (en)2015-11-032018-07-31Medtronic Minimed, Inc.Detecting breakage in a display element
US10449306B2 (en)2015-11-252019-10-22Medtronics Minimed, Inc.Systems for fluid delivery with wicking membrane
EP4325222A2 (en)2016-03-042024-02-21Abbott Diabetes Care Inc.Nad(p)-dependent responsive enzymes, electrodes and sensors, and methods for making and using the same
US12398413B2 (en)2016-03-042025-08-26Abbott Diabetes Care Inc.NAD(P)-dependent responsive enzymes, electrodes and sensors, and methods for making and using the same
WO2017151952A1 (en)2016-03-042017-09-08Abbott Diabetes Care Inc.Nad(p)-dependent responsive enzymes, electrodes and sensors, and methods for making and using the same
US12385077B2 (en)2016-03-042025-08-12Abbott Diabetes Care Inc.NAD(P)-dependent responsive enzymes, electrodes and sensors, and methods for making and using the same
US12234498B2 (en)2016-03-042025-02-25Abbott Diabetes Care Inc.NAD(P)-dependent responsive enzymes, electrodes and sensors, and methods for making and using the same
US10589038B2 (en)2016-04-272020-03-17Medtronic Minimed, Inc.Set connector systems for venting a fluid reservoir
US11160542B2 (en)2016-06-092021-11-02Haimachek, Inc.Collector for detection and reversible capturing of cells from body fluids in vivo
US12064599B2 (en)2016-11-042024-08-20Medtronic Minimed, Inc.Management of insufficient hypoglycemia response
US11097051B2 (en)2016-11-042021-08-24Medtronic Minimed, Inc.Methods and apparatus for detecting and reacting to insufficient hypoglycemia response
US12115339B2 (en)2016-11-282024-10-15Medtronic Minimed, Inc.Interactive guidance for medical devices
US10238030B2 (en)2016-12-062019-03-26Medtronic Minimed, Inc.Wireless medical device with a complementary split ring resonator arrangement for suppression of electromagnetic interference
US10272201B2 (en)2016-12-222019-04-30Medtronic Minimed, Inc.Insertion site monitoring methods and related infusion devices and systems
US11071478B2 (en)2017-01-232021-07-27Abbott Diabetes Care Inc.Systems, devices and methods for analyte sensor insertion
US12268496B2 (en)2017-01-232025-04-08Abbott Diabetes Care Inc.Systems, devices and methods for analyte sensor insertion
US10532165B2 (en)2017-01-302020-01-14Medtronic Minimed, Inc.Fluid reservoir and systems for filling a fluid reservoir of a fluid infusion device
US10500135B2 (en)2017-01-302019-12-10Medtronic Minimed, Inc.Fluid reservoir and systems for filling a fluid reservoir of a fluid infusion device
US10363365B2 (en)2017-02-072019-07-30Medtronic Minimed, Inc.Infusion devices and related consumable calibration methods
US11908562B2 (en)2017-02-072024-02-20Medtronic Minimed, Inc.Infusion system consumables and related calibration methods
US10552580B2 (en)2017-02-072020-02-04Medtronic Minimed, Inc.Infusion system consumables and related calibration methods
US10646649B2 (en)2017-02-212020-05-12Medtronic Minimed, Inc.Infusion devices and fluid identification apparatuses and methods
US11207463B2 (en)2017-02-212021-12-28Medtronic Minimed, Inc.Apparatuses, systems, and methods for identifying an infusate in a reservoir of an infusion device
US11672910B2 (en)2017-02-212023-06-13Medtronic Minimed, Inc.Infusion devices and fluid identification apparatuses and methods
US11596330B2 (en)2017-03-212023-03-07Abbott Diabetes Care Inc.Methods, devices and system for providing diabetic condition diagnosis and therapy
DE202018006591U1 (en)2017-08-182021-07-21Abbott Diabetes Care, Inc. Systems and devices relating to the individualized calibration and / or manufacture of medical devices
US12285251B2 (en)2017-08-182025-04-29Abbott Diabetes Care Inc.Systems, devices, and methods related to the individualized calibration and/or manufacturing of medical devices
EP4218568A1 (en)2017-08-182023-08-02Abbott Diabetes Care Inc.Analyte monitoring system storing a measured electrical characteristic of the in vivo analyte sensor of the system as individualized calibration information
US12285252B2 (en)2017-08-182025-04-29Abbott Diabetes Care Inc.Systems, devices, and methods related to the individualized calibration and/or manufacturing of medical devices
US10993646B2 (en)2017-08-182021-05-04Abbott Diabetes Care Inc.Systems, devices, and methods related to the individualized calibration and/or manufacturing of medical devices
WO2019035073A2 (en)2017-08-182019-02-21Abbott Diabetes Care Inc.Systems, devices, and methods related to the individualized calibration and/or manufacturing of medical devices
US12279867B2 (en)2017-08-182025-04-22Abbott Diabetes Care Inc.Systems, devices, and methods related to the individualized calibration and/or manufacturing of medical devices
US11191463B2 (en)2017-08-182021-12-07Abbott Diabetes Care Inc.Systems, devices, and methods related to the individualized calibration and/or manufacturing of medical devices
US11706876B2 (en)2017-10-242023-07-18Dexcom, Inc.Pre-connected analyte sensors
US11943876B2 (en)2017-10-242024-03-26Dexcom, Inc.Pre-connected analyte sensors
US12150250B2 (en)2017-10-242024-11-19Dexcom, Inc.Pre-connected analyte sensors
US11331022B2 (en)2017-10-242022-05-17Dexcom, Inc.Pre-connected analyte sensors
US11350862B2 (en)2017-10-242022-06-07Dexcom, Inc.Pre-connected analyte sensors
US11382540B2 (en)2017-10-242022-07-12Dexcom, Inc.Pre-connected analyte sensors
US12414713B2 (en)2017-12-052025-09-16Abbott Diabetes Care Inc.Medical devices having a dynamic surface profile and methods for production and use thereof
US11203139B2 (en)2017-12-132021-12-21Becton, Dickinson And CompanyMedical device with overmolded adhesive patch and method for making same
EP4628014A2 (en)2018-02-052025-10-08Abbott Diabetes Care, Inc.Notes and event log information associated with analyte sensors
WO2019152966A1 (en)2018-02-052019-08-08Abbott Diabetes Care Inc.Notes and event log information associated with analyte sensors
US12369821B2 (en)2018-06-072025-07-29Abbott Diabetes Care Inc.Focused sterilization and sterilized sub-assemblies for analyte monitoring systems
USD1057169S1 (en)2019-06-062025-01-07Abbott Diabetes Care Inc.Analyte sensor device
USD1002852S1 (en)2019-06-062023-10-24Abbott Diabetes Care Inc.Analyte sensor device
USD1015366S1 (en)2020-07-292024-02-20Abbott Diabetes Care Inc.Display screen or portion thereof with graphical user interface
US12239463B2 (en)2020-08-312025-03-04Abbott Diabetes Care Inc.Systems, devices, and methods for analyte sensor insertion
USD1006235S1 (en)2020-12-212023-11-28Abbott Diabetes Care Inc.Analyte sensor inserter
USD982762S1 (en)2020-12-212023-04-04Abbott Diabetes Care Inc.Analyte sensor inserter
USD999913S1 (en)2020-12-212023-09-26Abbott Diabetes Care IncAnalyte sensor inserter
WO2022164940A1 (en)2021-01-262022-08-04Abbott Diabetes Care Inc.Systems, devices, and methods related to ketone sensors
WO2023110190A1 (en)2021-12-132023-06-22Heraeus Medical GmbhTests and methods for detecting bacterial infection
US12440172B2 (en)2022-04-142025-10-14Abbott Diabetes Care Inc.Displays for a medical device
US12440173B2 (en)2022-08-182025-10-14Abbott Diabetes Care Inc.Displays for a medical device
EP4357778A1 (en)2022-10-202024-04-24Heraeus Medical GmbHTreatment of microbial infections diagnosed using the biomarker d-lactate
WO2024083429A1 (en)2022-10-202024-04-25Heraeus Medical GmbhTreatment of microbial infections diagnosed using the biomarker d-lactate
US12440126B2 (en)2023-06-232025-10-14Abbott Diabetes Care Inc.Temperature-compensated analyte monitoring devices, systems, and methods thereof

Also Published As

Publication numberPublication date
US20010054319A1 (en)2001-12-27
US20040219664A1 (en)2004-11-04
US7666284B2 (en)2010-02-23
WO2001088524A1 (en)2001-11-22
US20100288633A1 (en)2010-11-18
AU2001263022A1 (en)2001-11-26
US20090308743A1 (en)2009-12-17
US20100023270A1 (en)2010-01-28

Similar Documents

PublicationPublication DateTitle
US6746582B2 (en)Electrodes with multilayer membranes and methods of making the electrodes
Baluta et al.Differential pulse voltammetry and chronoamperometry as analytical tools for epinephrine detection using a tyrosinase-based electrochemical biosensor
Chen et al.In situ assembled mass-transport controlling micromembranes and their application in implanted amperometric glucose sensors
Heller et al.Electrochemical glucose sensors and their applications in diabetes management
Heller et al.Electrochemistry in diabetes management
EP3917392B1 (en)Analyte sensors and sensing methods for detecting creatinine
JP3553884B2 (en) Small volume in vitro analyte sensor using non-leaching or diffusible redox mediator
Yang et al.Development of needle-type glucose sensor with high selectivity
US6413396B1 (en)Enzyme electrode sensor and manufacturing method thereof
US7563588B2 (en)Electrically non-conductive, nanoparticulate membrane
Csoeregi et al.Design, characterization, and one-point in vivo calibration of a subcutaneously implanted glucose electrode
EP1194585B1 (en)Amperometric sensor
US5262305A (en)Interferant eliminating biosensors
Pan et al.Amperometric glucose biosensor based on immobilization of glucose oxidase in electropolymerized o-aminophenol film at Prussian blue-modified platinum electrode
HellerAmperometric biosensors
US8005188B2 (en)Test-sensor production monitoring using XRF spectrometry
EP4325222A2 (en)Nad(p)-dependent responsive enzymes, electrodes and sensors, and methods for making and using the same
JP2024147656A (en) Analyte sensor and detection method featuring low potential detection
JPWO2019146788A1 (en) Protective membrane material for biosensor probes
Nikitina et al.Glucose test strips with the largest linear range made via single step modification by glucose oxidase-hexacyanoferrate-chitosan mixture
Damala et al.Avoiding potential pitfalls in designing wired glucose biosensors
WO2019176339A1 (en)Protective film material for biosensor probe
JP2023531192A (en) Analyte sensor featuring reduced area working electrode to reduce interfering signals
US20240324917A1 (en)Ascorbate blocking membrane
US20240324913A1 (en)Non-enzymatic potassium sensor

Legal Events

DateCodeTitleDescription
ASAssignment

Owner name:THERASENSE, INC., CALIFORNIA

Free format text:ASSIGNMENT OF ASSIGNORS INTEREST;ASSIGNORS:HELLER, ADAM;CHEN, TING;FRIEDMAN, KEITH A.;REEL/FRAME:011813/0461;SIGNING DATES FROM 20010503 TO 20010507

STCFInformation on status: patent grant

Free format text:PATENTED CASE

CCCertificate of correction
FPAYFee payment

Year of fee payment:4

ASAssignment

Owner name:ABBOTT DIABETES CARE INC., CALIFORNIA

Free format text:CHANGE OF NAME;ASSIGNOR:THERASENSE, INC.;REEL/FRAME:021064/0509

Effective date:20050801

Owner name:ABBOTT DIABETES CARE INC.,CALIFORNIA

Free format text:CHANGE OF NAME;ASSIGNOR:THERASENSE, INC.;REEL/FRAME:021064/0509

Effective date:20050801

FPAYFee payment

Year of fee payment:8

FPAYFee payment

Year of fee payment:12


[8]ページ先頭

©2009-2025 Movatter.jp