Movatterモバイル変換


[0]ホーム

URL:


US6175604B1 - Clock synchronization over data transmission networks - Google Patents

Clock synchronization over data transmission networks
Download PDF

Info

Publication number
US6175604B1
US6175604B1US09/122,966US12296698AUS6175604B1US 6175604 B1US6175604 B1US 6175604B1US 12296698 AUS12296698 AUS 12296698AUS 6175604 B1US6175604 B1US 6175604B1
Authority
US
United States
Prior art keywords
clock
output
circumflex over
references
coupled
Prior art date
Legal status (The legal status is an assumption and is not a legal conclusion. Google has not performed a legal analysis and makes no representation as to the accuracy of the status listed.)
Expired - Fee Related
Application number
US09/122,966
Inventor
Raffaele Noro
Jean-Pierre Hubaux
Maher Hamdi
Current Assignee (The listed assignees may be inaccurate. Google has not performed a legal analysis and makes no representation or warranty as to the accuracy of the list.)
Individual
Original Assignee
Individual
Priority date (The priority date is an assumption and is not a legal conclusion. Google has not performed a legal analysis and makes no representation as to the accuracy of the date listed.)
Filing date
Publication date
Application filed by IndividualfiledCriticalIndividual
Priority to US09/122,966priorityCriticalpatent/US6175604B1/en
Application grantedgrantedCritical
Publication of US6175604B1publicationCriticalpatent/US6175604B1/en
Anticipated expirationlegal-statusCritical
Expired - Fee Relatedlegal-statusCriticalCurrent

Links

Images

Classifications

Definitions

Landscapes

Abstract

A technique has been devised which may be used to synchronize a receiver clock to a transmitter clock at either end of a transmission network having jitter intrinsic therein. The technique is characterized by a modified least squares linear regressive approach which takes advantage of assumptions particular to such transmission networks. The technique finds advantages in comparison to commonly used phase-locked loop techniques which have long startup phase delays where clocks are not in sync. The modified least squares linear regressive technique of the invention provides excellent isolation of jitter and other timing variations while simultaneously providing for quick startup.

Description

BACKGROUND OF THE INVENTION
1. Field
The following invention disclosure is generally concerned with the synchronization of receiver and transmitter time-bases in data transmission networks and specifically concerned with a least squares linear regression technique having a fast startup phase and improved jitter absorption.
2. Prior Art
Recent developments and advances in information technologies have led to new and unanticipated problems. In particular, transfer of data from a server to a requesting client presents certain complication. In addition, the types and formats of data to be transferred have attributes which may further complicate matters. For example, video data comprises a series of still frames which must be played one after another in a predefined and well regulated time sequence. Accordingly, information relating to the image data must be transferred along with information relating to the timing of playback events. Proper transmission of video images requires a scheme to preserve signal timing attributes from a transmitting station to a receiving station.
For proper play-back, an audio-video signal is preferably played out at the same rate which it is transmitted. This is especially important in interactive systems where “real-time” properties are maintained. If a receiver clock is independent from a transmitter clock then the receiver may play frames slightly faster than it receives them and lead the system into a data starvation condition. Alternatively, if the receiver plays frames too slowly, then a data overflow condition may occur at a data buffer having a limited size.
In certain transmission networks a data stream is divided into many portions or “packets” and transmitted along various paths of the network. These packets may be subject to time delays which are random in length. Sometimes and herein referred to as “jitter”, random time delays are necessarily inherent in networks which transmit data in data subsets. Each data packet may arrive at a receiver with a total transmission time which may vary from packet to packet. Depending upon the network path and network congestion conditions, transmission time delays may be highly different between packets. For audio-video data to be useful, it must be transmitted through the packet network and played back in a manner where the time delays or network jitter does not show up as artifacts in the presentation level play back. In order to achieve this, it is necessary that a time base of the transmitting station be replicated at the receiver and thus the “clocks” of the terminal end are said to be synchronized.
Most popular processing devices of digital audio-video data, like TV decoders or PC video boards, define a syntax for coding, decoding, transport and storage of audio-video data streams. This scheme includes provision for a shared time-base between the terminal ends, i.e., the sender and the receiver. For proper processing of digital audio-video signals, it is necessary that a clock of the receiver be synchronized to a clock of the transmitter. Presently, digital audio-video signals are processed within systems which employ a phase-lock loop technique to synchronize a receiver clock to the transmitter clock. The technique is old and reliable and has made its way into many thousands of similar applications where a slave clock is necessarily coupled to a master clock. However, the technique suffers from problems which arise do to the nature of the feedback loop. A phase-locked loop may require many feedback cycles before the slave clock becomes locked to the master clock. This is especially true when the allowable error (clock cycle or frequency) is small. If the phase of the slave clock must be precisely matched with the master, then the lock may take a considerable amount of time to achieve. The period of time for the clocks to become in sync may be referred to as a “startup phase”. Accordingly, a phase-locked loop having high precision requirements may have a long startup phase. Transmission systems which employ phase-locked loop techniques are slow to realize the lock and perfect the transmission of audio-video data. While the startup phase is incomplete, an application may play audio-video data where timing artifacts show up at the presentation level.
In systems where the time to acquire a lock is short compared to the time in which a lock is held, the problem is not of serious consequence, however, for some systems the time extent of the signal is relatively short and the required lock time becomes problematic. For example, in real-time applications such as interactive teleconferencing. The first few seconds of each data exchange may suffer from a clock which is out of sync. Since the duration of any single transmission may only be of the order of a few seconds, startup phase errors due to phase-locked loop techniques become perceivable to the end user. Accordingly, it becomes desirable to find a scheme which locks a slave clock to a master clock where the time to obtain a lock is shorter than that which is associated with a phase-locked loop.
Yasuda teaches a modified phase-locked loop technique in U.S. Pat. No. 5,386,437 published Jan 31, 1995.
A primary objective of that teaching is a variable output which varies in relation to phase error to produce a desired characteristic during pull-in and during synchronization. The techniques provide for avoiding a step-like sudden change of clock frequencies. While being a significant improvement, the system remains a version of a phase-locked loop technique which has a long pull-in or start up period and is consequently not appropriate for applications requiring synchronization where the session length is short.
Inventors Witsaman et al disclose an apparatus for synchronizing a plurality of clocks in a simulcast network to a reference clock. U.S. Pat. No. 5,416,808 dated May 16, 1995 sets forth a scheme whereby a centralized reference clock keeps a time which is accessible over a large geographic area. Individual distributed clocks are manipulated in accordance with comparisons of their time with the time on the reference clock.
While the systems and inventions of the prior art are designed to achieve particular goals and objectives, some of those being no less than remarkable, these inventions have limitations which prevent their use in new ways now possible. These prior art inventions are not used and cannot be used to realize the advantages and objectives of the present invention.
SUMMARY OF THE INVENTION
Comes now, Raffaele Noro and Jean-Pierre Hubaux with an invention of apparatus and methods relating to clock synchronization over data transmission networks including a least squares linear regression technique and device for executing same, having fast startup phase and high jitter absorption. It is a primary function of these apparatus and methods to provide means of reducing the time required to reach a synchronized state while maintaining synchronization accuracy. It is a contrast to prior art methods and devices that those systems do not reach a synchronization lock without first enduring a long startup period. A fundamental difference between a phase-locked loop of the prior art and the instant invention can be found when considering handling of timing indicators which are coded onto a signal being transmitted.
In systems of the invention, an apparatus receives a data stream containing timing indicators, which are used in a least squares linear regression technique to synchronize the time-base of a transmitting station with that of a receiving station. Timing indicators, commonly called program clock references or PCRs, contain timing information and are generated at the transmitter end in accordance with a data transmission coding syntax. After data streams are received at an apparatus of the invention on a receiving end, the PCRs are separated from the base signal and are used to drive a modified least squares linear regression technique which produces timing information to reconstruct the time base of the transmitting station.
A conventional least squares linear regression approach is modified to reduce complexity and provide for implementation in a physical system. A mathematical modification relates to an assumption which may be made about the transmitter and receiver clocks which necessarily have frequencies which are close to each other. This simplification which is applicable to transmission systems reduces the computing overhead necessary to implement the method via standard hardware.
OBJECTIVE OF THE INVENTION
It is a primary object of the invention to provide apparatus and technique for synchronizing the time-bases of the terminal ends of a transmission network.
It is an object of the invention to provide an improved synchronization system in transmission networks used for transmission of time sensitive data having a reduced startup phase.
It is a further object to provide improved synchronization systems in transmission networks used for transmission of time sensitive data having high tolerance of jitter introduced by such transmission networks.
It is an object of the invention to provide synchronization systems for interactive applications where a short startup phase is required.
It is an object of the invention to provide an apparatus having a hardware implementation corresponding to the technique of least squares linear regression to slave a receiver time base to a sender or master time base, the sender or master sending time indicators over data networks and the receiver or slave receiving time indicators from the same data transmission networks.
A better understanding can be had with reference to the detailed description of Preferred Embodiments and drawing figure herefollowing. These embodiments represent particular ways to realize the invention and are not inclusive of all ways possible. Therefore, there may exist embodiments that do not deviate from the spirit and scope of this disclosure as set forth by the claims, but do not appear here as specific examples. It will be appreciated that a great plurality of alternative versions are possible.
BRIEF DESCRIPTION OF THE DRAWING FIGURE
These and other features, aspects, and advantages of the present invention will become better understood with regard to the following description, appended claims and drawing where:
FIG. 1 represents a preferred embodiment of the invention as a set of components that perform elementary operations on received time indicators, which are then processed to update the frequency adjustment {circumflex over (a)} and clock offset {circumflex over (b)}. (note: the symbol (−) indicates the sum of a negative number, i.e. subtraction)
PREFERRED EMBODIMENTS OF THE INVENTION
To recreate the time-base of a transmitting station at a receiving station, one may consider the receipt of program clock references, determine a trend, and anticipate the future by fitting a line to the received events. This technique, in general, is sometimes preferred to as the method of least squares and was developed by Gauss. By fitting a regression curve to data received in the form of program clock references, it becomes possible to derive the time-base of the transmitter and create an identical time-base for the receiver and thus synchronizing the clocks respectively. This approach has the advantage that receipt of only a few program clock references suggests a good fitted line. Thus, in a very short time one may form a clock synchronized to the transmitter.
However, the method of least squares is mathematically complicated and may require significant computing power which is not required in phase locked loop systems. Recall that a phase-locked loop system may be easily implemented in hardware and does not require computations.
It has been discovered that mathematical equations describing a method of least squares is subject to simplification when certain assumptions relating to the particular problem at hand are valid. Therefore, the amount of computing may be reduced and made more favorable to implementation in real systems.
The following modified method of least squares linear regression, when applied to time indicators, for example those hosted by digitized and coded audio video data sets, serves well to provide basis upon which a receiver clock may by synchronized to a transmission station's clock.
Glossary of Terms
Throughout this disclosure, reference is made to some terms which may or may not be exactly defined in popular dictionaries as they are defined here. To provide a more precise disclosure, the following terms are presented with a view to clarity so that the true breadth and scope may be more readily appreciated. Although every attempt is made to be precise and thorough, it is a necessary condition that not all meanings associated with each term can be completely set forth. Accordingly, each term is intended to also include its common meaning which may be derived from general usage within the pertinent arts or by dictionary meaning. For purposes of this disclosure:
Audio (Video)
Audio (and video) refers to a data type including a collection of audible samples (respectively, still images) which may be played in a sequence highly regulated in time.
Phase-Locked Loop
Phase-locked loop is a technique where a local oscillator is coupled by way of feedback loop to a master oscillator which provides timing control for the local oscillator.
Jitter
Jitter refers to timing irregularities which accompany transfer of information through transmission networks.
Master and Slave clocks
A master clock is an independent clock which runs at a preset rate. A slave clock is a dependent clock which runs at a variable rate which is under influence of a master clock.
Packet
A packet is a data subset which contains a portion of a data stream. Packets are unitary data objects which may be transmitted through a network.
Startup phase
Startup phase refers to the period of time from which a synchronization system is initiated and to which a stable synchronization occurs.
Program Clock References
Program clock references are timing indicators which are embedded in some data formats which provide for information about program time.
Method of Least Squares
One will recall from Gauss the basic equation of the method of least squares:
μ(x)=α+βx
where μ(x) is the mean of y which is a function of x in the ordinary sense.
In preferred embodiments of the invention it is assumed that the sender and receiver of the data stream are related by the following equation:
Ts(t)=aTr(t)+b
Respectively, Ts(t) and Tr(t) are the time functions of the sender and the receiver, and {circumflex over (a)} and {circumflex over (b)} are the frequency drift and time offset. It can be assumed also that Tr(t) is the measure of absolute time (i.e. Tr(t)≡t).
The PCR generation and arrival processes are represented as follows:
PCRg={Ts(ti):∀i=1,2,3, . . . }
PCRa={ti+ΔT0+Δti:∀i=1,2,3, . . . }
where ΔTois the average end to end delay and Δti, the jitter, is a random variable.
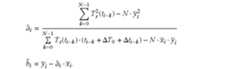
Reconstruction of a sender's time-base can be carried-out with the least-square linear regression analysis: the linear regression is fitted so that the sum of the square of the distances of the points from the regression is at a minimum. Computation of baricentric point ({overscore (x)},{overscore (y)}) permits the estimation of {circumflex over (a)} and {circumflex over (b)} as follows:a^=i=1NTs2(ti)-N·y_2i=1NTs(ti)·(ti+ΔT0+Δti)-N·x_·y_b^=y_-a^x_x_=i=0N(ti+ΔT0+Δti)Ny_=i=0NTs(ti)N
Figure US06175604-20010116-M00001
The equations above are quite complex when compared with conventional phase locked loop equations. The complexity accounts for considerable hindrance in applying least square linear regressive techniques to real decoder systems having finite computing resources. Therefore, it is considered an important part of the invention that the above equations be reduced to more manageable form.
Since it is a necessary condition that a transmitter clock frequency is close to a receivers clock frequency the following simplifications are implied. Making use of recursion, the mechanism is finally implemented as follows:k=0N-1Ts2(ti-tk)=k=1NTs2(ti-k)+Ts2(ti)-Ts2(ti-N)k=0NTs(ti-k)·(ti-k+ΔT0+Δti-k)=k=1NTs(ti-k)·(ti-k+ΔT0+Δti-k)+Ts(ti)·(ti+ΔT0+Δti)-Ts(ti-N)·(ti-N+ΔT0+Δti-N)k=0N-1Ts(ti-k)N=k=1NTs(ti-k)+Ts(ti)-Ts(ti-N)Nk=0N-1(ti-k+ΔT0+Δti-k)N=k=1N(ti-k+ΔT0+Δti-k)N+(ti+ΔT0+Δti)-(ti-N+ΔT0+Δti-N)Na^i=k=0N-1Ts2(ti-k)-N·y_i2k=0N-1Ts(ti-k)·(ti-k+ΔT0+Δti-k)-N·x_i·y_ib^i=y_i-a^i·x_iT^s(t)=a^·t+b^T^s(t)=a^i·t+b^iti+ΔT0+Δti<t<ti+1+ΔT0+Δti+1
Figure US06175604-20010116-M00002
In view of the equations presented above, receipt of several program clock references produces a good and reliable output which forms basis for a receiver time-base. A receiver clock may then be set in accordance with these equations to yield a synchronized system.
In most instances, it is preferred to receive several tens or even hundreds of program clock references before execution of the equations. Of course, the duration of the startup phase is affected by choice of upon how many data points the calculation is based. Therefore this number will change as startup phase limitations vary from one application to another.
The equations about are fully implemented in hardware in accordance with drawing FIG. 1 where a block schematic diagram is shown.
An apparatus of the invention is comprised of electronic components coupled together to form a circuit and to perform the operations described above.
The block diagram of FIG. 1 sets forth the major elements necessary and shows the connections of these elements with respect to each other.
As inputs (1,2), a circuit of the invention includes t timing information from a local clock and Tstiming references from received signals. As outputs (3,4), the circuit has values which represent the frequency drift {circumflex over (a)} and time offset {circumflex over (b)}.
A product operator is performed at amultiplier5. The values of the local time and the collected clock reference are multiplied together and placed into a buffer6 and simultaneously an adder7. The adder output is coupled to amemory8 which stores the sum values and conveys them to the adder as an input in later operations.Elements6,7, and8, form asummation module9.
In aseparate summation module10, a buffer andadder12 receive a value equal to the square of the signal clock reference which is computed and asquaring operator13. Similar to the adder7,adder12 has an output which is coupled to memory for use in following samples.
Anothermodule14 is arranged to similarly perform a summation operation on the signal clock references Ts.
Amodule15 performs summation operations on the local time reference t.
Module15 has an output which is multiplied at amultiplier16 with {circumflex over (a)} and then added atadder17 to the output ofmodule14. This sum is divided by the number of samples atdivider18 which has an output equal to the time offset {circumflex over (b)}.
Outputs ofsummation modules14 and15 are multiplied together atmultiplier19 having an output coupled to an input ofadder20. A second input ofadder20 is connected to the output ofmultiplier21 which operates to multiply the output ofsummation module9 by the number of samples N.
Output ofmodule10 is similarly multiplied by the number of samples atmultiplier22. Output ofsummation module14 is squared at the squaringoperator23. The previous two results are added atadder24 having an output which is divided by the output ofadder20 atdivider25 to yield a value for frequency drift {circumflex over (a)}.
The inputs of the circuit are coupled to the incoming timing indicators. The circuit also uses the arrival time of the indicators as measured in the receivers time base. Accordingly, the estimates of {circumflex over (a)} and {circumflex over (b)} are updated in accordance with the equations above via the circuit described.
If the collection of program clock reference data elements is considered a window, then it becomes possible to enable sophisticated techniques which yield further information about the transmission systems. For example, if program clock references are received and grouped in windows which are interleaved in time, then it becomes possible to detect changes of long term end-to-end delay which is caused when the transmission path has been rerouted.
The careful observer will note that on occasion, as is normal in some packet networks, a packet is lost or severely delayed due to a heavy congestion state of the network. In this instance, the program clock references associated with late packets may be discarded or weighted such that its questionable reliability is accounted for in any calculation.
In accordance with each of the preferred embodiments of the invention, there is provided a method of clock synchronization over data transmission networks. It will be appreciated that each of the embodiments described include a method and that the method of one preferred embodiment may be different than the method of another embodiment.
One will now filly appreciate how a modified least squares linear regression technique may be applied to program clock references to synchronize clocks at either end of a transmission network. Although the present invention has been described in considerable detail with clear and concise language and with reference to certain preferred versions thereof including the best mode anticipated by the inventor, other versions are possible. Therefore, the spirit and scope of the invention should not be limited by the description of the preferred versions contained therein, but rather by the claims appended hereto.

Claims (18)

We claim:
1. A method of synchronizing two clocks, one each at two terminal ends of a transmission network, the method comprising the steps:
produce a plurality of signals in at least two portions: a base signal portion, and a program clock reference portion;
transmit signals across a transmission network;
receive a plurality of said signals at a receiving end;
separate program clock references from base signal portions;
use a plurality of program clock references in a least squares linear regression fitting procedure; and
set a clock rate based on the data output from the least squares linear regression procedure.
2. A method of claim1, where
“network” is further defined as a packet network.
3. A method of claim1, where
a receiver clock signal t is a slave,
a transmitter clock signal Ts(t) is a master, said receiver clock is related to the transmitter clock by a linear transform in accordance with:
Ts(t)=at+b
 where t is the receiver's original clock signal, a is an estimate of frequency drift, and b is an offset.
4. A method of claim3, comprising the step of using an estimation of {circumflex over (T)}s(t) of the master clock to slave said receiver clock to the master in accordance with:
{circumflex over (T)}s(t)={circumflex over (a)}·t+{circumflex over (b)}
where it is the receiver's original clock signal,
{circumflex over (a)} is an estimate of frequency drift,
and {circumflex over (b)} is the time offset.
US09/122,9661998-07-271998-07-27Clock synchronization over data transmission networksExpired - Fee RelatedUS6175604B1 (en)

Priority Applications (1)

Application NumberPriority DateFiling DateTitle
US09/122,966US6175604B1 (en)1998-07-271998-07-27Clock synchronization over data transmission networks

Applications Claiming Priority (1)

Application NumberPriority DateFiling DateTitle
US09/122,966US6175604B1 (en)1998-07-271998-07-27Clock synchronization over data transmission networks

Publications (1)

Publication NumberPublication Date
US6175604B1true US6175604B1 (en)2001-01-16

Family

ID=22405945

Family Applications (1)

Application NumberTitlePriority DateFiling Date
US09/122,966Expired - Fee RelatedUS6175604B1 (en)1998-07-271998-07-27Clock synchronization over data transmission networks

Country Status (1)

CountryLink
US (1)US6175604B1 (en)

Cited By (14)

* Cited by examiner, † Cited by third party
Publication numberPriority datePublication dateAssigneeTitle
US6429902B1 (en)*1999-12-072002-08-06Lsi Logic CorporationMethod and apparatus for audio and video end-to-end synchronization
WO2002013430A3 (en)*2000-08-042002-08-29Snell & Wilcox LtdClock analysis
US20030198257A1 (en)*2002-04-232003-10-23Gateway, Inc.Method of manually fine tuning audio synchronization of a home network
US20030198255A1 (en)*2002-04-232003-10-23Gateway, Inc.Method of synchronizing the playback of a digital audio broadcast using an audio waveform sample
US20040174935A1 (en)*2003-03-052004-09-09Macinnis Alexander G.Closed loop sub-carrier synchronization system
US20050207387A1 (en)*2004-02-092005-09-22Semtech CorporationMethod and apparatus for aligning time references when separated by an unreliable data packet network
US20050251603A1 (en)*2004-04-272005-11-10Sony CorporationTime setting system and time setting method
US20060280182A1 (en)*2005-04-222006-12-14National Ict Australia LimitedMethod for transporting digital media
US7209795B2 (en)2002-04-232007-04-24Gateway Inc.Method of synchronizing the playback of a digital audio broadcast by inserting a control track pulse
US20090274149A1 (en)*2006-05-172009-11-05Audinate Pty LimitedRedundant Media Packet Streams
US20100146319A1 (en)*2007-07-232010-06-10Bertil LundqvistMethod And Protection Device For A Power Network Accounting For Route Switching In A Telecommunication Network
US8171152B2 (en)2007-05-112012-05-01Audinate Pty LimitedSystems, methods and computer-readable media for configuring receiver latency
US9497103B2 (en)2008-02-292016-11-15Audinate Pty LimitedIsochronous local media network for performing discovery
US10929314B2 (en)*2016-07-292021-02-23Razer (Asia-Pacific) Pte. Ltd.Interface devices, methods for controlling an interface device, and computer-readable media

Citations (4)

* Cited by examiner, † Cited by third party
Publication numberPriority datePublication dateAssigneeTitle
US5386437A (en)1991-11-081995-01-31Sony CorporationPhase-locked loop circuit
US5416808A (en)1992-03-311995-05-16Glenayre Electronics, Inc.Apparatus for synchronizing a plurality of clocks in a simulcast network to a reference clock
US5535216A (en)*1995-01-171996-07-09Digital Equipment CorporationMultiplexed gapped constant bit rate data transmission
US5883924A (en)*1996-04-121999-03-16Hewlett Packard CompanyMethod and apparatus for PCR jitter measurement in an MPEG-2 transport stream using sliding window

Patent Citations (4)

* Cited by examiner, † Cited by third party
Publication numberPriority datePublication dateAssigneeTitle
US5386437A (en)1991-11-081995-01-31Sony CorporationPhase-locked loop circuit
US5416808A (en)1992-03-311995-05-16Glenayre Electronics, Inc.Apparatus for synchronizing a plurality of clocks in a simulcast network to a reference clock
US5535216A (en)*1995-01-171996-07-09Digital Equipment CorporationMultiplexed gapped constant bit rate data transmission
US5883924A (en)*1996-04-121999-03-16Hewlett Packard CompanyMethod and apparatus for PCR jitter measurement in an MPEG-2 transport stream using sliding window

Cited By (51)

* Cited by examiner, † Cited by third party
Publication numberPriority datePublication dateAssigneeTitle
US6429902B1 (en)*1999-12-072002-08-06Lsi Logic CorporationMethod and apparatus for audio and video end-to-end synchronization
WO2002013430A3 (en)*2000-08-042002-08-29Snell & Wilcox LtdClock analysis
US20030198257A1 (en)*2002-04-232003-10-23Gateway, Inc.Method of manually fine tuning audio synchronization of a home network
US20030198255A1 (en)*2002-04-232003-10-23Gateway, Inc.Method of synchronizing the playback of a digital audio broadcast using an audio waveform sample
US7392102B2 (en)2002-04-232008-06-24Gateway Inc.Method of synchronizing the playback of a digital audio broadcast using an audio waveform sample
US7209795B2 (en)2002-04-232007-04-24Gateway Inc.Method of synchronizing the playback of a digital audio broadcast by inserting a control track pulse
US7333519B2 (en)2002-04-232008-02-19Gateway Inc.Method of manually fine tuning audio synchronization of a home network
US7372929B2 (en)*2003-03-052008-05-13Broadcom CorporationClosed loop sub-carrier synchronization system
US20040174935A1 (en)*2003-03-052004-09-09Macinnis Alexander G.Closed loop sub-carrier synchronization system
US8130885B2 (en)*2003-03-052012-03-06Broadcom CorporationClosed loop sub-carrier synchronization system
US20090213266A1 (en)*2003-03-052009-08-27Broadcom CorporationClosed loop sub-carrier synchronization system
US7590151B2 (en)2004-02-092009-09-15Semtech CorporationMethod and apparatus for aligning time references when separated by an unreliable data packet network
WO2005077063A3 (en)*2004-02-092006-10-05Semtech CorpMethod and apparatus for aligning time references when separated by an unreliable data packet network
US20050207387A1 (en)*2004-02-092005-09-22Semtech CorporationMethod and apparatus for aligning time references when separated by an unreliable data packet network
CN1934809B (en)*2004-02-092012-11-14Sem技术公司 Method and apparatus for calibrating a time reference when separated by an unreliable data packet network
US20050251603A1 (en)*2004-04-272005-11-10Sony CorporationTime setting system and time setting method
US9213360B2 (en)*2004-04-272015-12-15Sony CorporationTime setting system and time setting method
US11271666B2 (en)2005-04-222022-03-08Audinate Holdings Pty LimitedMethods for transporting digital media
US20060280182A1 (en)*2005-04-222006-12-14National Ict Australia LimitedMethod for transporting digital media
US20100228881A1 (en)*2005-04-222010-09-09Audinate Pty LimitedMethod for transporting digital media
US9003009B2 (en)2005-04-222015-04-07Audinate Pty LimitedMethods for transporting digital media
US8005939B2 (en)2005-04-222011-08-23Audinate Pty LimitedMethod for transporting digital media
US10461872B2 (en)2005-04-222019-10-29Audinate Pty LimitedMethods for transporting digital media
US10097296B2 (en)2005-04-222018-10-09Audinate Pty LimitedMethods for transporting digital media
US7747725B2 (en)2005-04-222010-06-29Audinate Pty. LimitedMethod for transporting digital media
US11764890B2 (en)2005-04-222023-09-19Audinate Holdings Pty LimitedMethods for transporting digital media
US9398091B2 (en)2005-04-222016-07-19Audinate Pty LimitedMethods for transporting digital media
US8478856B2 (en)2005-04-222013-07-02Audinate Pty LimitedMethod for transporting digital media
US9479573B2 (en)2006-04-212016-10-25Audinate Pty LimitedSystems, methods and computer-readable media for configuring receiver latency
US8966109B2 (en)2006-04-212015-02-24Audinate Pty LimitedSystems, methods and computer-readable media for configuring receiver latency
US10291944B2 (en)2006-04-212019-05-14Audinate Pty LimitedSystems, methods and computer-readable media for configuring receiver latency
US9979767B2 (en)2006-05-172018-05-22Audinate Pty LimitedTransmitting and receiving media packet streams
US9178927B2 (en)2006-05-172015-11-03Audinate Pty LimitedTransmitting and receiving media packet streams
US8913612B2 (en)2006-05-172014-12-16Audinate Pty LimitedRedundant media packet streams
US8411679B2 (en)2006-05-172013-04-02Audinate Pty LimitedRedundant media packet streams
US11811837B2 (en)2006-05-172023-11-07Audinate Holdings Pty LimitedRedundant media packet streams
US9860291B2 (en)2006-05-172018-01-02Audinate Pty LimitedRedundant media packet streams
US20090274149A1 (en)*2006-05-172009-11-05Audinate Pty LimitedRedundant Media Packet Streams
US20100046383A1 (en)*2006-05-172010-02-25Audinate Pty LimitedTransmitting and Receiving Media Packet Streams
US7978696B2 (en)2006-05-172011-07-12Audinate Pty LimitedRedundant media packet streams
US11252212B2 (en)2006-05-172022-02-15Audinate Holdings Pty LimitedRedundant media packet streams
US10536499B2 (en)2006-05-172020-01-14Audinate Pty LimitedRedundant media packet streams
US10805371B2 (en)2006-05-172020-10-13Audinate Pty Ltd.Transmitting and receiving media packet streams
US11019381B2 (en)2007-05-112021-05-25Audinate Pty LimitedSystems, methods and computer-readable media for configuring receiver latency
US8171152B2 (en)2007-05-112012-05-01Audinate Pty LimitedSystems, methods and computer-readable media for configuring receiver latency
US11831935B2 (en)2007-05-112023-11-28Audinate Holdings Pty LimitedSystems, methods and computer-readable media for configuring receiver latency
US20100146319A1 (en)*2007-07-232010-06-10Bertil LundqvistMethod And Protection Device For A Power Network Accounting For Route Switching In A Telecommunication Network
US8381008B2 (en)*2007-07-232013-02-19Abb Technology AgMethod and protection device for a power network accounting for route switching in a telecommunication network
US11677485B2 (en)2008-02-292023-06-13Audinate Holdings Pty LimitedNetwork devices, methods and/or systems for use in a media network
US9497103B2 (en)2008-02-292016-11-15Audinate Pty LimitedIsochronous local media network for performing discovery
US10929314B2 (en)*2016-07-292021-02-23Razer (Asia-Pacific) Pte. Ltd.Interface devices, methods for controlling an interface device, and computer-readable media

Similar Documents

PublicationPublication DateTitle
US6175604B1 (en)Clock synchronization over data transmission networks
RU2117411C1 (en)Device for video signal compression and synchronization device
US11729235B2 (en)System and method for synchronizing transmission of media content using timestamps
EP2150062B1 (en)Improved method, system and apparatus for synchronizing signals
EP2759174B1 (en)Method and apparatus for time synchronisation in wireless networks
US9025674B2 (en)Method for reconstructing digital video data stream and apparatus thereof
US20070081562A1 (en)Method and device for stream synchronization of real-time multimedia transport over packet network
PL174674B1 (en)Video and audio signals synchronising system
JP2658962B2 (en) Network time information synchronization method
GB2353925A (en)Transmitting differentially encoded data
CN102307072B (en)Program Clock Reference in multi-media network is synchronous
US20050039065A1 (en)System and method for generating multiple independent, synchronized local timestamps
EP3101902A1 (en)Transmission device, transmission method, reception device, and reception method
EP2163096B1 (en)Timestamp conversion
US7424080B1 (en)Method and system for providing jitter-free transmissions for demodulated data stream
US7012982B1 (en)Method and system for de-jittering of transmitted MPEG-2 and MPEG-4 video
US6658073B1 (en)Method and system for reducing jitter on constant rate data transfer between asynchronous systems
JP3906712B2 (en) Data stream processing device
US7548543B2 (en)Generation of valid program clock reference time stamps for duplicate transport stream packets
US6829304B1 (en)Method for clock recovery in MPEG systems
KR0179507B1 (en)Method of generating up and down signals in the apparatus of restoring system time clock
Yamashita et al.A statistical method for time synchronization of computer clocks with precisely frequency-synchronized oscillators
JP2002529991A (en) How to synchronize a local clock with a cordless network clock
CN120547390A (en) Audio and video timestamp correction method, device, system, equipment and storage medium
KR20040105748A (en)Method and arrangement for converting a first data stream into a second data stream

Legal Events

DateCodeTitleDescription
REMIMaintenance fee reminder mailed
LAPSLapse for failure to pay maintenance fees
STCHInformation on status: patent discontinuation

Free format text:PATENT EXPIRED DUE TO NONPAYMENT OF MAINTENANCE FEES UNDER 37 CFR 1.362

FPLapsed due to failure to pay maintenance fee

Effective date:20050116


[8]ページ先頭

©2009-2025 Movatter.jp