Movatterモバイル変換


[0]ホーム

URL:


US12209172B2 - Curable compositions and methods of using the same - Google Patents

Curable compositions and methods of using the same
Download PDF

Info

Publication number
US12209172B2
US12209172B2US17/912,021US202117912021AUS12209172B2US 12209172 B2US12209172 B2US 12209172B2US 202117912021 AUS202117912021 AUS 202117912021AUS 12209172 B2US12209172 B2US 12209172B2
Authority
US
United States
Prior art keywords
curable
composition
meth
photoinitiator
dental composition
Prior art date
Legal status (The legal status is an assumption and is not a legal conclusion. Google has not performed a legal analysis and makes no representation as to the accuracy of the status listed.)
Active, expires
Application number
US17/912,021
Other versions
US20230133261A1 (en
Inventor
Amanda K. Leone
Ahmed S. Abuelyaman
Yizhong Wang
Wayne S. Mahoney
William H. Moser
Current Assignee (The listed assignees may be inaccurate. Google has not performed a legal analysis and makes no representation or warranty as to the accuracy of the list.)
3M Innovative Properties Co
Original Assignee
3M Innovative Properties Co
Priority date (The priority date is an assumption and is not a legal conclusion. Google has not performed a legal analysis and makes no representation as to the accuracy of the date listed.)
Filing date
Publication date
Application filed by 3M Innovative Properties CofiledCritical3M Innovative Properties Co
Priority to US17/912,021priorityCriticalpatent/US12209172B2/en
Assigned to 3M INNOVATIVE PROPERTIES COMPANYreassignment3M INNOVATIVE PROPERTIES COMPANYASSIGNMENT OF ASSIGNORS INTEREST (SEE DOCUMENT FOR DETAILS).Assignors: ABUELYAMAN, AHMED S., WANG, YIZHONG, MOSER, WILLIAM H., LEONE, Amanda K., MAHONEY, WAYNE S.
Publication of US20230133261A1publicationCriticalpatent/US20230133261A1/en
Application grantedgrantedCritical
Publication of US12209172B2publicationCriticalpatent/US12209172B2/en
Activelegal-statusCriticalCurrent
Adjusted expirationlegal-statusCritical

Links

Classifications

Definitions

Landscapes

Abstract

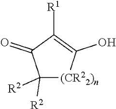
Curable compositions comprise at least one (meth)acrylate monomer; silver; and a photoinitiator system. The photoinitiator system comprises at least one cyclic β-diketone represented by the formula (I) or a tautomer thereof, wherein: R1represents H or an organic moiety having from 1 to 32 carbon atoms and optionally 1 to 12 heteroatoms selected from O, N, and combinations thereof; each R2independently represents H or an aliphatic group having from 1 to 12 carbon atoms, and up to two of oxygen and sulfur atoms; and n represents 1, 2, or 3; and at least one Type II photoinitiator. Methods of making and using the compositions are also disclosed.
Figure US12209172-20250128-C00001

Description

CROSS-REFERENCE TO RELATED APPLICATIONS
This application is a national stage filing under 35 U.S.C. 371 of PCT/IB2021/052816, filed Apr. 5, 2021, which claims the benefit of U.S. Provisional Application No. 63/006,834, filed Apr. 8, 2020.
TECHNICAL FIELD
The present disclosure broadly relates to curable compositions including a β-diketone and a Type II photoinitiator.
BACKGROUND
Photoinitiated curing is used to produce many industrially important materials such as, for example, coatings, adhesives, restoratives, and sealants. Photoinitiated curing materials typically contain Type I and/or Type II photoinitiators. In each case, the application of light induces rapid curing. Type I photoinitiators fragment when irradiated with the correct wavelength, resulting in polymer-initiating radicals. Type II photoinitiators can abstract H-atoms upon absorption of light, thereby generating initiating radical species. However, if readily abstractable H-atoms are not present then no initiation may occur.
For this reason, Type II photoinitiators are commonly paired with a co-initiator that has abstractable H-atoms to form the photoinitiator system. Common co-initiators are amine-based. However, over time in the presence of oxygen, amine-based co-initiators may oxidize and adversely discolor the resulting material. Additionally, amine-based co-initiators are often acid-sensitive, limiting their utility when acidic adhesion promoting monomers are in the polymerizable composition. Moreover, excess or unused co-initiators may migrate and/or leach out of the cured composition over time.
SUMMARY
Advantageously, the present inventors have discovered compositions containing certain non-amine-based co-initiators that can be used with acidic monomers and can avoid amine-based discoloration.
Further, the compositions include silver which impart a level of antimicrobial protection, and which may make them suitable for medical and dental applications.
In one aspect, the present disclosure provides a curable composition comprising:
    • at least one (meth)acrylate monomer;
    • silver; and
    • a photoinitiator system comprising:
      • at least one cyclic β-diketone represented by the formula
Figure US12209172-20250128-C00002
In another aspect, the present disclosure provides a curable dental composition comprising: at least one (meth)acrylate monomer;
Figure US12209172-20250128-C00003
In another aspect, the present disclosure provides a method of using a curable dental composition, the method comprising:
Figure US12209172-20250128-C00004
The term “Type II photoinitiator” refers to a compound wherein absorption of electromagnetic radiation (e.g., ultraviolet and/or visible light) causes an excited electron state in the Type II photoinitiator that will abstract a hydrogen from the co-initiator, and in the process, generate a radical pair.
The term “dental composition” refers to any composition that can be used in the dental field. By “dental composition” it is meant that an unfilled or filled (e.g., a composite) material (e.g., a dental or orthodontic material) that is capable of being applied or adhered to an oral surface. Dental compositions include, for example, adhesives (e.g., dental and/or orthodontic adhesives), cements (e.g., glass ionomer cements, resin-modified glass ionomer cements, and/or orthodontic cements), primers (e.g., orthodontic primers), restoratives (e.g., a restorative filling material), liners, sealants (e.g., orthodontic sealants), and coatings. Oftentimes a dental composition can be used to bond a dental article to a tooth structure.
The term “essentially free of” in reference to a certain component (e.g., an amine or a metal chelate) means that the composition does not contain said component as an essential feature. Thus, said component is not intentionally added to the composition either as such or in combination with other components or ingredients of other components. A composition being essentially free of a certain component (e.g., a resin) usually contains the component in an amount of less than about 5 weight percent, less than about 1 weight percent, less than about 0.5 weight percent, or less than about 0.01 weight percent, based on the total weight of the composition or material. The composition may not contain said component at all. However, sometimes the presence of a small amount of the said component can be unavoidable, for example, due to impurities contained in the raw materials used.
The term “(meth)acryl” is a shorthand term referring to “acryl” and/or “methacryl.” For example, a “(meth)acryloxy” group is a shorthand term referring to an acryloxy group (i.e., CH2═CH—C(O)—O—) and/or a methacryloxy group (i.e., CH2═C(CH3)—C(O)—O—).
The term “substituted” means replacement of a hydrogen atom with another organic (e.g., alkyl, aryl, alkaryl, or aralkyl), or inorganic group (e.g., halide, hydroxyl, alkoxyl); and
The term “metal chelate” refers to a compound between an organic moiety and a metal ion, wherein the metal ion has a formal charge of at least 2+.
Features and advantages of the present disclosure will be further understood upon consideration of the detailed description as well as the appended claims.
DETAILED DESCRIPTION
Curable compositions according to the present disclosure comprise at least one monomer comprising at least one (meth)acryl group, silver, and a photoinitiator system. In many preferred embodiments, the at least one monomer comprises at least two or at least 3 monomers comprising at least one (meth)acryl group.
In many embodiments of the present disclosure, monomers containing methacryl group(s) are preferred over those having acryl groups, although this is not a requirement. In many embodiments, the polymerizable component preferably comprises one or more di-, tri-, tetra- and/or pentafunctional monomeric or oligomeric aliphatic, cycloaliphatic, and/or aromatic (meth)acrylate(s).
(Meth)acryl group-containing monomers are widely commercially available; for example, from Sartomer Co., Exton, Pennsylvania and other vendors. Suitable monomers may include mono-, di- or poly-(meth)acrylates such as, for example, (meth)acrylic acid, 2-(2-ethoxyethoxy)ethyl (meth)acrylate, 2-ethylhexyl (meth)acrylate, 2-hydroxyethyl (meth)acrylate, alkoxylated tetrahydrofurfuryl (meth)acrylate, allyl (meth)acrylate, bis[1-(2-acryloxy)]-p-ethoxyphenyldimethylmethane, bis[1-(3-acryloxy-2-hydroxy)]-p-propoxyphenyldimethylmethane, bis(trimethylolpropane) tetraacrylate, chlorinated polyester (meth)acrylates, diethylene glycol di(meth)acrylate, diglycidyl (meth)acrylate of bisphenol A, dodecyl (meth)acrylate, epoxy (meth)acrylate oligomers, ethoxylated or propoxylated glycerol tri(meth)acrylate, ethyl (meth)acrylate, ethylene glycol di(meth)acrylate, glycerol di(meth)acrylate, glycerol tri(meth)acrylate, hexanediol di(meth)acrylate, hexyl (meth)acrylate, hydroxybutyl (meth)acrylate, hydroxy-functional caprolactone ester (meth)acrylate, hydroxyisopropyl (meth)acrylate, hydroxymethyl (meth)acrylate, hydroxypropyl (meth)acrylate, isobornyl (meth)acrylate, isobutyl (meth)acrylate, isodecyl (meth)acrylate, isononyl (meth)acrylate, isooctyl (meth)acrylate, isopropyl (meth)acrylate, lauryl (meth)acrylate, methyl (meth)acrylate, n-butyl (meth)acrylate, neopentyl glycol di(meth)acrylate, n-hexyl (meth)acrylate, nonylphenol ethoxylate (meth)acrylate, octyl (meth)acrylate, pentaerythritol tetra(meth)acrylate, pentaerythritol triacrylate, poly(ethylene glycol) di(meth)acrylates, polybutadiene di(meth)acrylates, polyester (meth)acrylate oligomers, polyurethane di(meth)acrylates, silicone (meth)acrylate oligomers, sorbitol hexaacrylate, stearyl (meth)acrylate, tetraethylene glycol di(meth)acrylate, tetrahydrofurfuryl (meth)acrylate, triethylene glycol di(meth)acrylate, tris(hydroxyethyl) isocyanurate tri(meth)acrylate, β-carboxyethyl (meth)acrylate, 1,1,1-trimethylolpropane tri(meth)acrylate, 1,2,4-butanetriol tri(meth)acrylate, hexane-2,4,6-triol tri(meth)acrylate, 1,3-propanediol di(meth)acrylate, 1,4-cyclohexanediol diacrylate, 1,6-hexanediol di(meth)acrylate, 1,12-dodecanediol di(meth)acrylate, (meth)acrylamide, N,N-dimethyl(meth)acrylamide, methylene bis-(meth)acrylamide, diacetone (meth)acrylamide and combinations thereof.
The monomer containing at least one (meth)acryl group is typically present in the composition in an amount of at least 40, at least 50, at least 60, at least 70, at least 80, at least 90, at least 95, or even at least 98 weight percent, based on the total weight of the composition, although this is not a requirement.
The free-radically polymerizable compound(s) may comprise an acid-functional monomer, where the acid functional group may be an acid per se, such as a carboxylic acid, or a portion may be a salt thereof, such as an alkali metal carboxylate. Useful acid functional monomers include, but are not limited to, those selected from ethylenically-unsaturated carboxylic acids, ethylenically-unsaturated sulfonic acids, ethylenically-unsaturated phosphonic or phosphoric acids, and mixtures thereof. Examples of such compounds include those selected from acrylic acid, methacrylic acid, itaconic acid, fumaric acid, crotonic acid, citraconic acid, maleic acid, oleic acid, β-carboxyethyl (meth)acrylate, 2-sulfoethyl methacrylate, styrenesulfonic acid, 2-acrylamido-2-methylpropanesulfonic acid, vinylphosphonic acid, phosphate esters of polypropylene glycol monomethacrylate, and mixtures thereof. Due to their availability, acid-functional monomers are typically selected from ethylenically unsaturated carboxylic acids (e.g., (meth)acrylic acids). When stronger acids are desired, acidic monomers may include ethylenically-unsaturated sulfonic acids and ethylenically-unsaturated phosphonic acids. If present, acid-functional monomer is typically used in amounts of 0.5 to 15 parts by weight, preferably 1 to 15 parts by weight, most preferably 5 to 10 parts by weight, based on 100 parts by weight total monomer, although this is not a requirement.
The photoinitiator system comprises at least one cyclic β-diketone in combination with a Type II photoinitiator.
Useful cyclic β-diketone(s) are represented by the formula
Figure US12209172-20250128-C00005

or a tautomer thereof (e.g., as shown below):
Figure US12209172-20250128-C00006

wherein R1represents H or an organic moiety having from 1 to 32 carbon atoms and optionally 1 to 12 heteroatoms selected from O, N, and combinations thereof. In some preferred embodiments, R1has 4 to 20 carbon atoms, and optionally contains 1 to 12 heteroatoms selected from O, N, and combinations thereof. In some preferred embodiments, R1has 4 to 16 carbon atoms, and optionally contains 1 to 8 heteroatoms selected from O, N, and combinations thereof. In some preferred embodiments, R1has 4 to 12 carbon atoms, and optionally contains 1 to 8 heteroatoms selected from O, N, and combinations thereof. In some preferred embodiments, R1has 4 to 8 carbon atoms, and optionally contains 1 to 6 heteroatoms selected from O, N, and combinations thereof. In some preferred embodiments, R1has 4 to 6 carbon atoms, and optionally contains 1 to 4 heteroatoms selected from O, N, and combinations thereof. Exemplary organic moieties R1are exemplified in the Examples contained hereinbelow. Other examples of organic moieties R1may include alkyl groups having from 1 to 12 carbon atoms (e.g., methyl, ethyl, propyl, isopropyl, butyl, hexyl, octyl, decyl, dodecyl, hexadecyl, cyclohexyl, methylcyclohexyl, or octadecyl), alkoxyalkyl groups having from 2 to 8 carbon atoms (e.g., methoxymethyl, ethoxymethyl, ethoxyethyl or butoxybutyl), phenyl, benzyl, phenethyl, a monovalent aliphatic polyether, or a monovalent aromatic polyether. In some embodiments, R1represents H or an alkyl group having from 1 to 12 carbon atoms, preferably 1 to 8 carbon atoms, more preferably 1 to 4 carbon atoms, and more preferably 1 or 2 carbon atoms (e.g., methyl ethyl).
Each R2independently represents H or an aliphatic group having from 1 to 12 carbon atoms (preferably 1 to 8, more preferably 1 to 4, and more preferably 1 or 2 carbon atoms), and up to two of oxygen and sulfur atoms. In many preferred embodiments, R2represents an alkyl group having from 1 to 4 carbon atoms, more preferably methyl or ethyl.
n represents 1, 2, or 3, more preferably 1 or 2.
Combinations of cyclic β-diketones may also be used.
Cyclic β-diketones can be prepared, for example, according to known methods and/or obtained from chemical suppliers such as, for example, MilliporeSigma, Saint Louis, Missouri. Examples include 1,3-cyclohexanedione, 5,5-dimethyl-1,3-cyclohexanedione, 2-methyl-1,3-cyclohexanedione, 1,3-cyclopentanedione, 1,3-cycloheptanedione, 2-methyl-1,3-cyclopentanedione, 4,4-dimethyl-1,3-cyclohexanedione, 5-phenyl-1,3-cyclohexanedione, 5-methyl-1,3-cyclohexanedione, 5-[4-(methoxyphenyl)]-1,3-cyclohexanedione, 1,3-cycloheptanedione, 4-methyl-1,3-cycloheptanedione.
Suitable Type II photoinitiators are well known in the photocuring art. Type II photoinitiators of commercial importance include: diaryl ketones (e.g., benzophenone, 4-methylbenzophenone, or 4-chlorobenzophenone); 1-phenylpropane-1,2-dione (PPD); thioxanthones (2-isopropylthioxanthone, 2-mercaptothioxanthone, 2,4-diethylthioxanthone (DETX), 1-chloro-4-propoxythioxanthone (CPTX), and 2-chlorothioxanthone (CTX), or 4-isopropylthioxanthone); camphorquinone; benzil; naphthoquinones (e.g., 2,2′-bis (3-hydroxy-1,4-naphthoquinone)), anthraquinones (e.g., anthraquinone, 1,4-dihydroxyanthraquinone, 2-methylanthraquinone, or 2,6-dihydroxyanthraquinone), and 3-ketocoumarins or a combination thereof. Other Type II photoinitiators are described in Green, A. W. (2010). Commercial Photoinitiators.Industrial Photoinitiators, A Technical Guide(pp. 86-91). CRC Press, Taylor and Francis Group.
The absorption characteristics of the Type II photoinitiator(s) will typically be selected depending at least in part on the desired wavelengths of the actinic radiation selected. Generally, the actinic radiation will be in the ultraviolet (i.e., 200 to less than 400 nanometers) and/or visible (i.e., 400 to 700 nanometers) wavelength range, although this is not a requirement. A preferred wavelength range is 250 to 450 nanometers.
The photoinitiator systems may be used in any amount, preferably 0.01 to 10 weight percent, more preferably 0.1 to 5 weight percent, and more preferably 0.1 to 2 weight percent, based on the total weight of the curable composition. The weight ratio of the cyclic β-diketone and the Type II photoinitiator will vary with the materials selected, but is within the capability of those of ordinary skill in the art.
As discussed earlier, amines may give rise to aesthetically unacceptable discoloration overtime. Accordingly, in many preferred embodiments the curable composition is essentially free of, or free of, organic amines. Likewise, the curable composition is preferably essentially free of, or free of, polyvalent metal complexes of β-diketones (cyclic and/or non-cyclic) that may also result in coloration.
Curable compositions according to the present disclosure may contain silver (e.g., in the form of silver salts, colloidal silver, or silver oxide). Examples of suitable silver salts include silver chloride, silver bromide, silver iodide, silver acetate, silver propionate, silver fluoride, silver nitrate, silver thiocyanate, silver diamine fluoride, silver iodide complex compound, silver phosphate, or a combination thereof.
Compositions according to the present disclosure may contain filler (i.e., one or more filler). Fillers can be chosen to enhance certain properties, such as compressive strength, diametral tensile strength, wear resistance, appearance, translucency, radiopacity, and storage stability of the dental materials, as well as to limit exothermic effects during the initial set phase. Optionally, the surface of the filler particles may be treated with a surface treatment, such as a silane coupling agent, in order to enhance the bond between the filler and the resin system. The coupling agent may be functionalized with reactive curing groups, such as acrylates and/or methacrylates. Fillers may be selected from one or more of a wide variety of materials suitable for incorporation in compositions used for dental applications, such as fillers currently used in dental restorative compositions, for example.
The filler can be an inorganic material. Examples of suitable inorganic fillers include naturally occurring or synthetic materials such as quartz, nitrides (e.g., silicon nitride), glasses derived from, for example, Ce, Sb, Sn, Zr, Sr, Ba, or Al, colloidal silica, feldspar, borosilicate glass, kaolin, talc, titania, zirconia, and zinc glass, zirconia-silica fillers; low Mohs hardness fillers such as those described in U.S. Pat. No. 4,695,251 (Randklev); and submicron silica particles (e.g., pyrogenic silicas such as those available under the trade designation “AEROSIL” such as “OX 50,” “AEROSIL 130,” “AEROSIL 200,” “AEROSIL 380,” from Evonik, Parsippany, New Jersey and “Cab-O-Sil M5” silica from Cabot Corp., Boston, Massachusetts). Non-acid-reactive inorganic filler particles include quartz (i.e., silica), submicron silica, zirconia, submicron zirconia, and non-vitreous microparticles of the type described in U.S. Pat. No. 4,503,169 (Randklev). The filler can be a crosslinked organic material that is insoluble in the polymerizable resin and is optionally filled with inorganic filler. The filler is generally non-toxic and suitable for use in the mouth. The filler can be radiopaque, radiolucent, or nonradiopaque. Fillers as used in dental applications are typically ceramic in nature.
The filler can also be an acid-reactive filler. Suitable acid-reactive fillers include metal oxides, glasses, and metal salts. Typical metal oxides include barium oxide, calcium oxide, magnesium oxide, and zinc oxide. Typical glasses include borate glasses, phosphate glasses, and fluoroaluminosilicate (“FAS”) glasses either untreated or silanol treated, can be used. The FAS glasses have the added benefit of releasing fluoride at the site of dental work when placed in the oral environment. The FAS glass typically contains sufficient elutable cations so that a hardened dental composition will form when the glass is mixed with the components of the hardenable composition. The glass also typically contains sufficient elutable fluoride ions so that the hardened composition will have cariostatic properties. The glass can be made from a melt containing fluoride, alumina, and other glass-forming ingredients using techniques familiar to those skilled in the FAS glassmaking art. The FAS glass typically is in the form of particles that are sufficiently finely divided so that they can conveniently be mixed with the other cement components and will perform well when the resulting mixture is used in the mouth.
Generally, the average particle size (typically, diameter) for the FAS glass is no greater than 12 micrometers, typically no greater than 10 micrometers, and more typically no greater than 5 micrometers as measured using, for example, a sedimentation particle size analyzer. Suitable FAS glasses will be familiar to those skilled in the art, and are available from a wide variety of commercial sources, and many are found in currently available glass ionomer cements such as those commercially available under the trade designations VITREMER, VITREBOND, RELYX LUTING CEMENT, RELYX LUTING PLUS CEMENT, PHOTAC FIL QUICK APLICAP, KETAC-MOLAR, and KETAC-FIL PLUS (3M ESPE Dental Products, St. Paul, Minnesota), FUJI II LC and FUJI IX (GC Corporation, Tokyo, Japan) and CHEMFIL Superior (Dentsply International, York, Pennsylvania). Mixtures of fillers can be used if desired.
Other suitable fillers are disclosed in U.S. Pat. No. 6,387,981 (Zhang et al.) and U.S. Pat. No. 6,572,693 (Wu et al.) as well as PCT International Publication Nos. WO 01/30305 (Zhang et al.), U.S. Pat. No. 6,730,156 (Windisch et al.), WO 01/30307 (Zhang et al.), and WO 03/063804 (Wu et al.). Filler components described in these references include nanosized silica particles, nanosized metal oxide particles, and combinations thereof. Nanofillers are also described in U.S. Pat. No. 7,090,721 (Craig et al.), U.S. Pat. No. 7,090,722 (Budd et al.), and U.S. Pat. No. 7,156,911 (Kangas et al.); and U.S. Pat. No. 7,649,029 (Kolb et al.).
Examples of suitable organic filler particles include filled or unfilled pulverized polycarbonates, polyepoxides and poly(meth)acrylates, for example. Commonly employed dental filler particles are quartz, submicron silica, and non-vitreous microparticles of the type described in U.S. Pat. No. 4,503,169 (Randklev).
Mixtures of these fillers can also be used, as well as combination fillers made from organic and inorganic materials.
Fillers may be either particulate or fibrous in nature. Particulate fillers may generally be defined as having a length to width ratio, or aspect ratio, of 20:1 or less, and more commonly 10:1 or less. Fibers can be defined as having aspect ratios greater than 20:1, or more commonly greater than 100:1. The shape of the particles can vary, ranging from spherical to ellipsoidal, or more planar such as flakes or discs. The macroscopic properties can be highly dependent on the shape of the filler particles and in particular, the uniformity of the shape. Suitable optional fillers may be finely divided with an average particle size (i.e., the longest dimension of the particle, such as the diameter) of no greater than about 10 micrometers and a maximum particle size of no greater than about 50 micrometers, although this is not a requirement. The filler can have a unimodal or polymodal (e.g., bimodal) particle size distribution.
In some preferred embodiments, the dental composition comprises silica nanoparticles. Suitable nano-sized silicas are commercially available from Nalco Chemical Co., Naperville, Illinois under the product designation NALCO COLLOIDAL SILICAS. For example, preferred silica particles can be obtained from using NALCO products 1040, 1042, 1050, 1060, 2327 and 2329.
Silica particles are preferably made from an aqueous colloidal dispersion of silica (i.e., a sol or aquasol). The colloidal silica is typically in the concentration of about 1 to 50 weight percent in the silica sol. Colloidal silica sols that can be used are available commercially having different colloid sizes, see Matijevic, E.Surface&Coiloid Science, Vol. 6, ed. Wiley, John Sons, 1973. Preferred silica sols for use making the fillers are supplied as a dispersion of amorphous silica in an aqueous medium (such as the Nalco colloidal silicas made by Nalco Chemical Co.) and those which are low in sodium concentration and can be acidified by admixture with a suitable acid (e.g., LUDOX colloidal silica made by E. I. Dupont de Nemours & Co. or NALCO 2326 from Nalco Chemical Co.). Preferably, the silica particles in the sol have an average particle diameter of about 5-100 nanometers (nm), more preferably 10-50 nm, and most preferably 12-40 nm.
In some embodiments, the dental composition comprises zirconia nanoparticles. Suitable nano-sized zirconia nanoparticles can be prepared using hydrothermal technology as described in U.S. Pat. No. 7,241,437 (Davidson et al.).
In some embodiments, the total amount of filler is about 2 weight percent to about 90 weight percent, based on the total weight of the components of the dental material. In certain embodiments, the total amount of filler is about 30 weight percent to about 85 weight percent, based on the total weight of the components of the dental material. Optional filler may be present any suitable amount (e.g., 10 to 90 weight percent of the curable composition, preferably 10 to 60 weight percent of the curable composition).
Curable compositions according to the present disclosure may include one or more additional components such as, for example, solvent, antioxidants, flavorants, fluoridating agents, buffering agents, numbing agents, remineralization agents, desensitization agents, colorants, indicator(s), viscosity modifiers, surfactants, stabilizers, preservative agents (e.g., benzoic acid), or a combination thereof.
Curable compositions according to the present disclosure may be useful as dental compositions. Dental compositions are typically hardenable compositions that can be hardened at ambient conditions, including a temperature range from about 15 to 50° C. or from about 20 to 40° C. within a time frame of about 30 minutes or 20 minutes or 10 minutes or 1 minute or less. Higher temperatures are not recommended as they might cause pain to a patient and may be detrimental to the patient's health. Dental compositions are typically provided to the practitioner in comparable small volumes, that is volumes in the range from about 0.1 to about 100 ml or from about 0.5 to about 50 ml or from about 1 to about 30 ml. Thus, the storage volume of useful packaging devices is within these ranges.
Curable compositions according to the present disclosure may be applied to at least one substrate and then cured using actinic radiation. Exemplary sources of radiation include, LED lights (e.g., at 365 nm, 385 nm, 405 or 450 nm for example), arc lamps (e.g., Hg or Xe arc lamps), flash lamps (e.g., Xe flash lamps), ultraviolet lasers or visible wavelength lasers (e.g., excimer lasers, solid state lasers, pulsed and/or CW lasers), and microwave driven H-type, D-type, or V-type mercury lamps (e.g., as marketed by Heraeus Noblelight America, Gaithersburg, Maryland). Filters and/or dichroic reflectors may also be useful, for example, to reduce thermal energy that accompanies the actinic radiation. The selection of curing conditions is within the capability of one of ordinary skill in the art.
Exemplary substrates may comprise metal, glass, ceramic, wood, plastic, fiber composite, tooth enamel and/or dentin, and combinations thereof.
Select Embodiments of the Disclosure
In a first embodiment, the present disclosure provides a curable composition comprising:
    • at least one (meth)acrylate monomer;
    • silver; and
    • a photoinitiator system comprising:
      • at least one cyclic β-diketone represented by the formula
Figure US12209172-20250128-C00007
In a second embodiment, the present disclosure provides a curable composition according to the first embodiment, wherein the curable composition is free of organic amine.
In a third embodiment, the present disclosure provides a curable composition according to the first or second embodiment, wherein the curable composition is free of polyvalent metal complexes of the at least one cyclic β-diketone.
In a fourth embodiment, the present disclosure provides a curable composition according to any of the first to third embodiments, wherein the at least one Type II photoinitiator comprises at least one of camphorquinone or isopropylthioxanthone.
In a fifth embodiment, the present disclosure provides a curable composition according to any of the first to fourth embodiments, further comprising filler.
In a sixth embodiment, the present disclosure provides a method of using a curable composition, the method comprising:
In a seventh embodiment, the present disclosure provides a curable dental composition comprising:
Figure US12209172-20250128-C00008
In an eighth embodiment, the present disclosure provides a curable dental composition according to the seventh embodiment, wherein the curable dental composition is free of organic amine.
In a ninth embodiment, the present disclosure provides a curable dental composition according to the seventh or eighth embodiment, wherein the curable dental composition is free of metal complexes of the at least one cyclic β-diketone.
In a tenth embodiment, the present disclosure provides a curable dental composition according to any of the seventh to ninth embodiments, wherein the at least one Type II photoinitiator comprises at least one of camphorquinone or isopropylthioxanthone.
In an eleventh embodiment, the present disclosure provides a curable dental composition according to any of the seventh to tenth embodiments, further comprising fillers.
In a twelfth embodiment, the present disclosure provides a method of using a curable dental composition, the method comprising:
Figure US12209172-20250128-C00009
In a thirteenth embodiment, the present disclosure provides a method according to the twelfth embodiment, wherein the curable dental composition is free of organic amine.
In a fourteenth embodiment, the present disclosure provides a method according to the twelfth or thirteenth embodiment, wherein the curable dental composition is free of polyvalent metal complexes of the at least one cyclic β-diketone.
In a fifteenth embodiment, the present disclosure provides a method according to any of the twelfth to fourteenth embodiments, wherein the at least one Type II photoinitiator comprises at least one of camphorquinone or isopropylthioxanthone.
In a sixteenth embodiment, the present disclosure provides a method according to any of the twelfth to fifteenth embodiments, further comprising filler.
In a seventeenth embodiment, the present disclosure provides an at least partially cured composition prepared according to any of the first to sixth embodiments.
In an eighteenth embodiment, the present disclosure provides an at least partially cured dental composition prepared according to any of the twelfth to sixteenth embodiments.
EXAMPLES
Unless otherwise noted, all parts, percentages, ratios, etc. in the Examples and the rest of the specification are by weight.
Materials used in the Examples are listed in TABLE 1, below.
TABLE 1
AbbreviationDescription and Source
DCMA2-(((4-((2,6-dioxocyclo-
hexyl)methyl)phenoxy)carbonyl)amino)ethyl
methacrylate, synthesized as described herein
DOH2-(4-hydroxybenzyl)cyclohexane-
1,3-dione, synthesized as described
herein
1,3-Obtained from Alfa Aesar, Ward Hill, Massachusetts
cyclohexanedione
4-hydroxy-Obtained from Alfa Aesar, Ward Hill, Massachusetts
benzaldehyde
L-ProlineObtained from Alfa Aesar, Ward Hill, Massachusetts
NaBH3CNSodium cyanoborohydride, obtained
from Alfa Aesar, Ward Hill,
Massachusetts
IEM2-Isocyanatoethyl methacrylate, obtained
from TCI America, Portland,
Oregon
CPQCamphorquinone, obtained from
Oakwood Products, Inc., Estill, South
Carolina
ITXIsopropylthioxanthone, obtained from
TCI America, Portland, Oregon
EDMABEthyl 4-dimethylaminobenzoate,
obtained from MilliporeSigma, Saint
Louis, Missouri
HEMA2-hydroxyethyl methacrylate, obtained
from ESSTECH, Inc., Essington,
Pennsylvania
BisGMABisphenol A-glycidyl methacrylate
CAS Reg. No. 1565-94-2, obtained
from 3M OCSD, Irvine, California
TEGDMATriethylene glycol dimethacrylate,
obtained from Sartomer Co., Exton
Pennsylvania
GDMAGlycerol dimethacrylate, obtained
from Sigma Aldrich, Saint Louis,
Missouri
Procrylat K2,2,-bis-4-(3-hydroxy-propoxy-
phenyl)propane dimethacrylate (as further
described in US8389599), obtained from
3M OCSD, Seefeld, Germany
DDDMA1, 12-dodecanediol dimethacrylate,
obtained as “SR262” from Sartomer
Co., Exton, Pennsylvania
BHT2,6-di-tert-butyl-4-methylphenol,
can obtained from Oakwood Products,
Inc., Estill, South Carolina
AgISilver iodide, obtained from
MilliporeSigma, Saint Louis Missouri
NH4IAmmonium iodide, obtained from
Honeywell Specialty Chemical,
Seelze, Germany
NH4FAmmonium fluoride, obtained
from Honeywell Specialty Chemical,
Seelze, Germany
Synthesis of 2-(4-hydroxybenzyl)cyclohexane-1,3-dione (DOH)
Figure US12209172-20250128-C00010
To a round bottom flask was added 1,3-cyclohexanedione (32.02 g, 1.000 equiv), 4-hydroxybenzaldehyde (34.85 g, 1.000 equiv), L-proline (13.15 g, 0.4000 equiv) and ethanol (1.428 L). The reaction was stirred for 45 min at room temperature. Then, NaBH3CN (17.95 g, 1.000 equiv) was added in 2 g portions over 10 min. The heterogeneous mixture was heated to 80° C. and stirred for 18 h. Most of the ethanol was removed under reduced pressure, yielding an orange viscous oil which was dissolved in ethyl acetate (200 mL), quenched with aq. HCl (1M, 200 mL) and stirred until bubbling ceased. The organic layer was separated and washed with aq. HCl (1M, 3×100 mL) and brine (2×100 mL). The organic layer was collected, dried over anhydrous magnesium sulfate, filtered, and concentrated under reduced pressure yielding an orange oil which was crystallized from hot ethyl acetate (100 mL), yielding DOH as a pale orange solid (25.9 g).
Synthesis of 2-(((4-((2,6-dioxocyclohexyl)methyl)phenoxy)carbonyl)amino)ethyl methacrylate (DCMA)
Figure US12209172-20250128-C00011
In a flask equipped with a stirbar, DOH (5.00 g, 1.00 equiv) was dissolved in dry tetrahydrofuran (60 mL) and stirred for 2 min. Triethylamine (3.19 mL, 1.00 equiv) was then added causing some precipitate to form. The mixture was stirred for an additional 2 min then IEM (3.24 mL, 1.00 equiv) and BHT (224 mg) were added and stirred for 60 min at room temperature. Then, the orange solution was concentrated under house air over night (18 h) yielding an orange viscous oil which was purified by column chromatography using a gradient eluent from 80/20 to 20/80 hexanes/ethyl acetate (v/v). The desired fractions were collected, BHT (10 mg) was added and the solvent was removed under reduced pressure yielding DCMA as a white powder (3.39 g).
Examples EX-1 and EX-2 and Comparative Examples CE-A to CE-D
For the following examples, materials were combined to create the inventive examples and comparative examples in the tables below. An aliquot of the formulations was placed on a glass slide, irradiated with then exposed to a blue LED light using 3M ELIPAR DEEPCURE-S LED curing light, (available from 3M Company) with maximum wavelength 450 nm and output approximately 1500 mW/cm2for 20 seconds at an approximate distance of 1 to 5 centimeters, and evaluated immediately by poking with a wooden spatula to determine whether the formulation had cured (hard, brittle solid), were partially cured (forming a gel), or remained uncured (liquid).
TABLE 2
MATERIALCE-ACE-BCE-CEX-1CE-DEX-2
DCMA0.000.001.961.811.961.77
CPQ0.240.240.230.220.230.21
EDMAB0.400.48
HEMA39.6029.7048.9145.28
BisGMA8.3029.7048.9145.2827.9125.21
TEGDMA3.60
GDMA7.90
Procrylat K55.8150.43
DDDMA13.9612.61
BHT0.140.13
AgI12.4412.382.303.00
NH4I12.5612.502.323.03
NH4F1.961.950.360.47
Water13.0813.012.423.15
Resultuncureduncuredcuredpartiallycuredcured
cured
The preceding description, given in order to enable one of ordinary skill in the art to practice the claimed disclosure, is not to be construed as limiting the scope of the disclosure, which is defined by the claims and all equivalents thereto.

Claims (15)

What is claimed is:
US17/912,0212020-04-082021-04-05Curable compositions and methods of using the sameActive2042-01-24US12209172B2 (en)

Priority Applications (1)

Application NumberPriority DateFiling DateTitle
US17/912,021US12209172B2 (en)2020-04-082021-04-05Curable compositions and methods of using the same

Applications Claiming Priority (3)

Application NumberPriority DateFiling DateTitle
US202063006834P2020-04-082020-04-08
US17/912,021US12209172B2 (en)2020-04-082021-04-05Curable compositions and methods of using the same
PCT/IB2021/052816WO2021205324A1 (en)2020-04-082021-04-05Curable compositions and methods of using the same

Publications (2)

Publication NumberPublication Date
US20230133261A1 US20230133261A1 (en)2023-05-04
US12209172B2true US12209172B2 (en)2025-01-28

Family

ID=75746965

Family Applications (1)

Application NumberTitlePriority DateFiling Date
US17/912,021Active2042-01-24US12209172B2 (en)2020-04-082021-04-05Curable compositions and methods of using the same

Country Status (4)

CountryLink
US (1)US12209172B2 (en)
EP (1)EP4132983A1 (en)
CN (1)CN115380053A (en)
WO (1)WO2021205324A1 (en)

Cited By (1)

* Cited by examiner, † Cited by third party
Publication numberPriority datePublication dateAssigneeTitle
US20230119465A1 (en)*2020-04-082023-04-203M Innovative Properties CompanyCurable compositions and methods of using the same

Families Citing this family (1)

* Cited by examiner, † Cited by third party
Publication numberPriority datePublication dateAssigneeTitle
US20240425704A1 (en)*2023-02-162024-12-26Align Technology, Inc.Cyclic initiators in additive manufacturing

Citations (31)

* Cited by examiner, † Cited by third party
Publication numberPriority datePublication dateAssigneeTitle
US2900360A (en)1954-05-281959-08-18Bayer AgProcess for polymerizing ethylenically unsaturated compounds using a sulfur containing catalyst
US4503169A (en)1984-04-191985-03-05Minnesota Mining And Manufacturing CompanyRadiopaque, low visual opacity dental composites containing non-vitreous microparticles
US4534839A (en)1981-09-151985-08-13Kulzer & Co. GmbhProcess for the photopolymerization of vinyl compounds and photopolymerizable materials
US4624910A (en)1984-05-251986-11-25Fuji Photo Film Co., Ltd.Image recording process
US4695251A (en)1980-04-071987-09-22Minnesota Mining And Manufacturing CompanyOrthodontic bracket adhesive and abrasive for removal thereof
US5001032A (en)1988-02-081991-03-19Canon Kabushiki KaishaPhotosensitive material containing a photosensitive and heat developable element and a polymerizable layer and image-forming method utilizing the same
US6080389A (en)1998-01-212000-06-27Esschem, Inc.Materials and methods for reshaping of essentially rigid keratinaceous surfaces
WO2001030304A1 (en)1999-10-282001-05-033M Innovative Properties CompanyAesthetic dental materials
WO2001030307A1 (en)1999-10-282001-05-033M Innovative Properties CompanyDental materials with nano-sized silica particles
WO2001030305A1 (en)1999-10-282001-05-033M Innovative Properties CompanyRadiopaque dental materials with nano-sized particles
US6248804B1 (en)1997-02-272001-06-19Acushnet CompanyUltraviolet and or/ visible light curable inks with photoinitiators for game balls, golf balls and the like
US6572693B1 (en)1999-10-282003-06-033M Innovative Properties CompanyAesthetic dental materials
WO2003063804A1 (en)2002-01-312003-08-073M Innovative Properties CompanyDental pastes, dental articles, and methods
EP1374830A1 (en)*2002-06-212004-01-02Kerr CorporationSilver-containing dental composition
US20040059124A1 (en)2000-08-072004-03-25Cyr Michael JohnColorant compounds containing copolymerizable vinyl groups
US20050256218A1 (en)2002-04-032005-11-17Artur LachowiczPhotoinitiator, novel compound, and photocurable composition
US7090722B2 (en)2004-05-172006-08-153M Innovative Properties CompanyAcid-reactive dental fillers, compositions, and methods
US7090721B2 (en)2004-05-172006-08-153M Innovative Properties CompanyUse of nanoparticles to adjust refractive index of dental compositions
US7156911B2 (en)2004-05-172007-01-023M Innovative Properties CompanyDental compositions containing nanofillers and related methods
US7241437B2 (en)2004-12-302007-07-103M Innovative Properties CompanyZirconia particles
US20090005026A1 (en)2001-01-242009-01-01Palmsource, Inc.Method and system for enabling timed events of a portable computing device to trigger remote control of external devices
WO2009098509A1 (en)2008-02-042009-08-13Sericol LimitedA printing ink
US7649029B2 (en)2004-05-172010-01-193M Innovative Properties CompanyDental compositions containing nanozirconia fillers
EP2198824A1 (en)2008-12-222010-06-23Ernst Mühlbauer GmbH & Co.KGPolymerizable dental material with initiator system
JP2011221192A (en)2010-04-072011-11-04Kaneka CorpCurable composition and cured product
US20120025903A1 (en)2010-07-302012-02-02Foote Garritt WSampling of Multiple Data Channels Using a Successive Approximation Register Converter
JP2012041465A (en)2010-08-202012-03-01Hitachi Chem Co LtdSpherical phosphor, sealing material for wavelength conversion solar battery, solar battery module and method for producing same
US8389599B2 (en)2008-10-222013-03-053M Innovative Properties CompanyDental composition comprising biphenyl di(meth)acrylate monomer comprising urethane moieties
JP2015028179A (en)2014-09-252015-02-12株式会社カネカPhotocurable composition, and insulating thin film and thin film transistor prepared using the same
US10011665B1 (en)2014-03-312018-07-03Konica Minolta, Inc.Photocurable composition and photocurable inkjet ink containing same, recording method using photocurable composition, and recording method using photocurable inkjet ink
WO2021049335A1 (en)2019-09-102021-03-18株式会社ジーシーDental polymerizable composition

Family Cites Families (2)

* Cited by examiner, † Cited by third party
Publication numberPriority datePublication dateAssigneeTitle
US7892386B2 (en)*2007-08-242011-02-22Dymax CorporationRadiation-curable fluorescing compositions
DE102009058638A1 (en)*2009-12-162011-06-22Ernst Mühlbauer GmbH & Co. KG, 25870 Multi-component system for producing a dental material

Patent Citations (33)

* Cited by examiner, † Cited by third party
Publication numberPriority datePublication dateAssigneeTitle
US2900360A (en)1954-05-281959-08-18Bayer AgProcess for polymerizing ethylenically unsaturated compounds using a sulfur containing catalyst
US4695251A (en)1980-04-071987-09-22Minnesota Mining And Manufacturing CompanyOrthodontic bracket adhesive and abrasive for removal thereof
US4534839A (en)1981-09-151985-08-13Kulzer & Co. GmbhProcess for the photopolymerization of vinyl compounds and photopolymerizable materials
US4503169A (en)1984-04-191985-03-05Minnesota Mining And Manufacturing CompanyRadiopaque, low visual opacity dental composites containing non-vitreous microparticles
US4624910A (en)1984-05-251986-11-25Fuji Photo Film Co., Ltd.Image recording process
US5001032A (en)1988-02-081991-03-19Canon Kabushiki KaishaPhotosensitive material containing a photosensitive and heat developable element and a polymerizable layer and image-forming method utilizing the same
US6248804B1 (en)1997-02-272001-06-19Acushnet CompanyUltraviolet and or/ visible light curable inks with photoinitiators for game balls, golf balls and the like
US6080389A (en)1998-01-212000-06-27Esschem, Inc.Materials and methods for reshaping of essentially rigid keratinaceous surfaces
US6730156B1 (en)1999-10-282004-05-043M Innovative Properties CompanyClustered particle dental fillers
WO2001030304A1 (en)1999-10-282001-05-033M Innovative Properties CompanyAesthetic dental materials
WO2001030307A1 (en)1999-10-282001-05-033M Innovative Properties CompanyDental materials with nano-sized silica particles
US6387981B1 (en)1999-10-282002-05-143M Innovative Properties CompanyRadiopaque dental materials with nano-sized particles
US6572693B1 (en)1999-10-282003-06-033M Innovative Properties CompanyAesthetic dental materials
WO2001030305A1 (en)1999-10-282001-05-033M Innovative Properties CompanyRadiopaque dental materials with nano-sized particles
US20040059124A1 (en)2000-08-072004-03-25Cyr Michael JohnColorant compounds containing copolymerizable vinyl groups
US20090005026A1 (en)2001-01-242009-01-01Palmsource, Inc.Method and system for enabling timed events of a portable computing device to trigger remote control of external devices
WO2003063804A1 (en)2002-01-312003-08-073M Innovative Properties CompanyDental pastes, dental articles, and methods
US20050256218A1 (en)2002-04-032005-11-17Artur LachowiczPhotoinitiator, novel compound, and photocurable composition
EP1374830A1 (en)*2002-06-212004-01-02Kerr CorporationSilver-containing dental composition
US7649029B2 (en)2004-05-172010-01-193M Innovative Properties CompanyDental compositions containing nanozirconia fillers
US7090722B2 (en)2004-05-172006-08-153M Innovative Properties CompanyAcid-reactive dental fillers, compositions, and methods
US7090721B2 (en)2004-05-172006-08-153M Innovative Properties CompanyUse of nanoparticles to adjust refractive index of dental compositions
US7156911B2 (en)2004-05-172007-01-023M Innovative Properties CompanyDental compositions containing nanofillers and related methods
US7241437B2 (en)2004-12-302007-07-103M Innovative Properties CompanyZirconia particles
WO2009098509A1 (en)2008-02-042009-08-13Sericol LimitedA printing ink
US8389599B2 (en)2008-10-222013-03-053M Innovative Properties CompanyDental composition comprising biphenyl di(meth)acrylate monomer comprising urethane moieties
EP2198824A1 (en)2008-12-222010-06-23Ernst Mühlbauer GmbH & Co.KGPolymerizable dental material with initiator system
JP2011221192A (en)2010-04-072011-11-04Kaneka CorpCurable composition and cured product
US20120025903A1 (en)2010-07-302012-02-02Foote Garritt WSampling of Multiple Data Channels Using a Successive Approximation Register Converter
JP2012041465A (en)2010-08-202012-03-01Hitachi Chem Co LtdSpherical phosphor, sealing material for wavelength conversion solar battery, solar battery module and method for producing same
US10011665B1 (en)2014-03-312018-07-03Konica Minolta, Inc.Photocurable composition and photocurable inkjet ink containing same, recording method using photocurable composition, and recording method using photocurable inkjet ink
JP2015028179A (en)2014-09-252015-02-12株式会社カネカPhotocurable composition, and insulating thin film and thin film transistor prepared using the same
WO2021049335A1 (en)2019-09-102021-03-18株式会社ジーシーDental polymerizable composition

Non-Patent Citations (8)

* Cited by examiner, † Cited by third party
Title
Bowman, "Synthesis and photopolymerization of N,N0-dimethyl,-N,N0-di(methacryloxy ethyl)-1,6-hexanediamine as a polymerizable amine coinitiator for dental restorations", Biomaterials, Feb. 2002, vol. 23, No. 4, pp. 1221-1226.
Garra, "Metal Acetylacetonate-Bidentate Ligand Interaction (MABLI) (Photo)activated Polymerization: Toward High Performance AmineFree, Peroxide-Free Redox Radical (Photo)initiating Systems", Macromolecules, Mar. 2018, vol. 51, No. 7, pp. 2706-2715.
Garra, "Peroxide-Free and Amine-Free Redox Free Radical Polymerization: Metal Acetylacetonates/Stable Carbonyl Compounds for Highly Efficient Synthesis of Composites", Macromolecules, Aug. 2018, vol. 51, No. 16, pp. 6395-6404.
Green, Industrial Photoinitiators—A Technical Guide, (2010), 86-91.
International Search Report for PCT International Application No. PCT/IB2021/052816, mailed on Jul. 2, 2021, 5 pages.
Kirschner, "Sulfinates and sulfonates as high performance co-initiators in CQ based systems: Towards aromatic amine-free systems for dental restorative materials", Dental Materials, Nov. 2019, vol. 36, No. 2, pp. 187-196.
Matijevic, "Surface & Colloid Science", vol. 6, Wiley Interscience—Table of Content, 1973, 3pages.
Shi, "A Natural Component as Coinitiator for Unfilled Dental Resin Composites", Journal of Biomedical Materials Research Part B: Applied Biomaterials, Jun. 2007, vol. 82B, No. 1, pp. 44-50.

Cited By (1)

* Cited by examiner, † Cited by third party
Publication numberPriority datePublication dateAssigneeTitle
US20230119465A1 (en)*2020-04-082023-04-203M Innovative Properties CompanyCurable compositions and methods of using the same

Also Published As

Publication numberPublication date
EP4132983A1 (en)2023-02-15
US20230133261A1 (en)2023-05-04
CN115380053A (en)2022-11-22
WO2021205324A1 (en)2021-10-14

Similar Documents

PublicationPublication DateTitle
JP6077463B2 (en) Dental composition containing an ethylenically unsaturated addition cleavage agent
JP4638349B2 (en) Compositions and methods comprising polymerizable bisphosphonic acids
CN101035499B (en)Self-adhesive compositions including a plurality of acidic compounds
US8816029B2 (en)Compositions and articles comprising polymerizable ionic liquid mixture, and methods of curing
US9012531B2 (en)Dental compositions comprising mixture of isocyanurate monomer and tricyclodecane monomer
US9414996B2 (en)Dental compositions comprising addition-fragmentation agents
US9675529B2 (en)Dental composition containing high refractive index monomers
JP2009503086A (en) Catalyst system for dental compositions
EP2515827A2 (en)Curable dental compositions and articles comprising polymerizable ionic liquids
EP2976323B1 (en)High refractive index addition-fragmentation agents
US12209172B2 (en)Curable compositions and methods of using the same
US8455565B2 (en)Disulfide monomers comprising ethylenically unsaturated groups suitable for dental compositions
KR101712414B1 (en)Allyl disulfide-containing addition-fragmentation oligomers
CN106102692B (en) dental composition
JP6526042B2 (en) Photopolymerizable and dual cure dental materials based on thiourea derivatives
KR102226633B1 (en)Trithiocarbonate-containing addition-fragmentation agents
EP3864002B1 (en)Addition-fragmentation agent with pendent amine groups
EP4132452B1 (en)Curable compositions and methods of using the same
US10968197B2 (en)Photoinitiators with protected carbonyl group
HK1227736B (en)Dental composition

Legal Events

DateCodeTitleDescription
ASAssignment

Owner name:3M INNOVATIVE PROPERTIES COMPANY, MINNESOTA

Free format text:ASSIGNMENT OF ASSIGNORS INTEREST;ASSIGNORS:LEONE, AMANDA K.;ABUELYAMAN, AHMED S.;WANG, YIZHONG;AND OTHERS;SIGNING DATES FROM 20220428 TO 20220505;REEL/FRAME:061113/0030

FEPPFee payment procedure

Free format text:ENTITY STATUS SET TO UNDISCOUNTED (ORIGINAL EVENT CODE: BIG.); ENTITY STATUS OF PATENT OWNER: LARGE ENTITY

STPPInformation on status: patent application and granting procedure in general

Free format text:DOCKETED NEW CASE - READY FOR EXAMINATION

STPPInformation on status: patent application and granting procedure in general

Free format text:NOTICE OF ALLOWANCE MAILED -- APPLICATION RECEIVED IN OFFICE OF PUBLICATIONS

STPPInformation on status: patent application and granting procedure in general

Free format text:PUBLICATIONS -- ISSUE FEE PAYMENT RECEIVED

STPPInformation on status: patent application and granting procedure in general

Free format text:PUBLICATIONS -- ISSUE FEE PAYMENT VERIFIED

STCFInformation on status: patent grant

Free format text:PATENTED CASE


[8]ページ先頭

©2009-2025 Movatter.jp