Movatterモバイル変換


[0]ホーム

URL:


US11286276B2 - Cationic steroidal antimicrobials - Google Patents

Cationic steroidal antimicrobials
Download PDF

Info

Publication number
US11286276B2
US11286276B2US15/481,884US201715481884AUS11286276B2US 11286276 B2US11286276 B2US 11286276B2US 201715481884 AUS201715481884 AUS 201715481884AUS 11286276 B2US11286276 B2US 11286276B2
Authority
US
United States
Prior art keywords
alkyl
acid
compound
pharmaceutically acceptable
formula
Prior art date
Legal status (The legal status is an assumption and is not a legal conclusion. Google has not performed a legal analysis and makes no representation as to the accuracy of the status listed.)
Active, expires
Application number
US15/481,884
Other versions
US20170210776A1 (en
Inventor
Paul B. Savage
Current Assignee (The listed assignees may be inaccurate. Google has not performed a legal analysis and makes no representation or warranty as to the accuracy of the list.)
Brigham Young University
Original Assignee
Brigham Young University
Priority date (The priority date is an assumption and is not a legal conclusion. Google has not performed a legal analysis and makes no representation as to the accuracy of the date listed.)
Filing date
Publication date
Application filed by Brigham Young UniversityfiledCriticalBrigham Young University
Priority to US15/481,884priorityCriticalpatent/US11286276B2/en
Assigned to BRIGHAM YOUNG UNIVERSITYreassignmentBRIGHAM YOUNG UNIVERSITYASSIGNMENT OF ASSIGNORS INTEREST (SEE DOCUMENT FOR DETAILS).Assignors: SAVAGE, PAUL B.
Publication of US20170210776A1publicationCriticalpatent/US20170210776A1/en
Application grantedgrantedCritical
Publication of US11286276B2publicationCriticalpatent/US11286276B2/en
Activelegal-statusCriticalCurrent
Adjusted expirationlegal-statusCritical

Links

Classifications

Definitions

Landscapes

Abstract

Disclosed herein are cationic steroidal antimicrobials (“CSA compounds” or “ceragenins”) and methods of making the same. Particularly advantageous methods are identified for the synthesis of CSA compounds. CSA compounds may be formulated for treating subjects with ailments responsive to CSA compounds, including but not limited to treating bacterial infections. Accordingly, some embodiments include formulations and methods of administering CSA compounds.

Description

CROSS-REFERENCE TO RELATED APPLICATION
This application is a division of U.S. patent application Ser. No. 14/602,071, filed Jan. 21, 2015, which claims the benefit of U.S. Prov. App. No. 61/930,580, filed Jan. 24, 2014, and U.S. Prov. App. No. 61/945,681, filed Feb. 27, 2014, the disclosures of which are incorporated herein in their entirety.
BACKGROUNDField of the Invention
The present application relates to the fields of pharmaceutical chemistry, biochemistry, and medicine. In particular, the present application relates to certain cationic steroidal antimicrobials (“CSA compounds” or “ceragenins”).
Description of the Related Art
Endogenous antimicrobial peptides, such as the human cathelicidin LL-37, play key roles in innate immunity. LL-37 is found in airway mucus and is believed to be important in controlling bacterial growth in the lung. Antimicrobial peptides are found in organisms ranging from mammals to amphibians to insects to plants. The ubiquity of antimicrobial peptides has been used as evidence that these compounds do not readily engender bacterial resistance. In addition, considering the varied sequences of antimicrobial peptides among diverse organisms, it is apparent that they have evolved independently multiple times. Thus, antimicrobial peptides appear to be one of “Nature's” primary means of controlling bacterial growth. However, clinical use of antimicrobial peptides presents significant issues including the relatively high cost of producing peptide-based therapeutics, the susceptibility of peptides to proteases generated by the host and by bacterial pathogens, and deactivation of antimicrobial peptides by proteins and DNA in lung mucosa.
An attractive means of harnessing the antibacterial activities of antimicrobial peptides without the issues delineated above is to develop non-peptide mimics of antimicrobial peptides that display the same broad-spectrum antibacterial activity utilizing the same mechanism of action. Non-peptide mimics would offer lower-cost synthesis and potentially increased stability to proteolytic degradation. In addition, control of water solubility and charge density may be used to control association with proteins and DNA in lung mucosa.
With over 1,600 examples of antimicrobial peptides known, it is possible to categorize the structural features common to them. While the primary sequences of these peptides vary substantially, morphologies adopted by a vast majority are similar. Those that adopt alpha helix conformations juxtapose hydrophobic side chains on one face of the helix with cationic (positively charged) side chains on the opposite side. As similar morphology is found in antimicrobial peptides that form beta sheet structures: hydrophobic side chains on one face of the sheet and cationic side chains on the other.
Small molecule, non-peptide mimics of antimicrobial peptides, termed ceragenins or CSA compounds, have been developed. These compounds reproduce the amphiphilic morphology in antimicrobial peptides, represented above by CSA-13, and display potent, as well as diverse, biological activities (including, but not limited to anti-bacterial, anti-cancer, anti-inflammatory, promoting bone growth, promoting wound healing, etc.). Lead ceragenins can be produced at a large scale, and because they are not peptide based, they are not substrates for proteases. Consequently, the ceragenins represented an attractive compound class for producing pharmaceutically-relevant treatments.
SUMMARY OF THE INVENTION
Disclosed herein are compounds of Formula (I), or pharmaceutically acceptable salt thereof:
Figure US11286276-20220329-C00001
wherein R1is selected from the group consisting of an optionally substituted C11-C22-alkylamino-Cx-alkyl; an optionally substituted C5-C22-alkylester-Cx-alkyl; and an optionally substituted Z1,Z2-amino-Cx-alkyl; R2, R3, and R4, are independently selected from the group consisting of optionally substituted amino-Cx-alkyl and optionally substituted amino-Ca-alkylcarbonyl; x is 1-5; Z1and Z2are independently C6-C22-alkyl; and a is 2-5; with the proviso that when R2, R3, and R4are each unsubstituted amino-C3-alkyl, R1is not unsubstituted C16-alkylamino-C3-alkyl; and with the proviso that when R2, R3, and R4are each the same unsubstituted amino-C2-4-alkylcarbonyl, then R1is not unsubstituted C9-alkylcarboxylic ester-C2-alkyl; and with the proviso that when R2, R3, and R4are each unsubstituted amino-C3-alkyl, then Z1and Z2are not both Cx-alkyl. Unless otherwise specified, the indicated number of carbon atoms in an “alkylcarbonyl” and in an “alkyl ester” that is an “alkylcarboxylic ester” is inclusive of the carbonyl carbon.
In some embodiments, R1is an optionally substituted C11-C22-alkylamino-Cx-alkyl; an optionally substituted C11-alkylamino-Cx-alkyl; an optionally substituted C12-alkylamino-Cx-alkyl; an optionally substituted C13-alkylamino-Cx-alkyl; an optionally substituted Cia-alkylamino-Cx-alkyl; an optionally substituted C15-alkylamino-Cx-alkyl; an optionally substituted C16-alkylamino-Cx-alkyl, with the proviso that the C1-C5-alkyl is not C3; an optionally substituted C17-alkylamino-Cx-alkyl; an optionally substituted C15-alkylamino-Cx-alkyl; an optionally substituted C19-alkylamino-Cx-alkyl; an optionally substituted C20-alkylamino-Cx-alkyl; an optionally substituted C21-alkylamino-Cx-alkyl; an optionally substituted C22-alkylamino-Cx-alkyl; an optionally substituted C17-C22-alkylamino-Cx-alkyl; and/or an optionally substituted C9-C22-alkylester-Cx-alkyl.
In some embodiments, R1is an optionally substituted C7-alkylester-Cx-alkyl; an optionally substituted Cx-alkylester-Cx-alkyl; an optionally substituted C9-alkylester-Cx-alkyl; an optionally substituted C10-alkylester-Cx-alkyl; an optionally substituted C11-alkylester-Cx-alkyl; an optionally substituted C12-alkylester-Cx-alkyl; an optionally substituted C13-alkylester-Cx-alkyl; an optionally substituted C14-alkylester-Cx-alkyl; an optionally substituted C15-alkylester-Cx-alkyl; an optionally substituted C16-alkylester-Cx-alkyl; an optionally substituted C17-alkylester-Cx-alkyl; an optionally substituted C18-alkylester-Cx-alkyl; an optionally substituted C19-alkylester-Cx-alkyl; an optionally substituted C20-alkylester-Cx-alkyl; an optionally substituted C21-alkylester-Cx-alkyl; and/or an optionally substituted C22-alkylester-Cx-alkyl. In some embodiments the “ester” is a “carboxylic ester”, such as an oxycarbonyl ester (i.e. —O—C(═O)—) or a carbonyloxy ester (i.e. —C(═O)—O—). In either case, the carbonyl carbon of the “carboxylic ester” is counted toward the total number of carbons in the “alkylester”.
In some embodiments, R1is an optionally substituted Z1,Z2-amino-Cx-alkyl. In some embodiments, Z1and Z2are the same. In some embodiments, Z1and Z2are different. In some embodiments, Z1is C6-alkyl; C7-alkyl; Cx-alkyl (with the proviso that when R2, R3, and R4are amino-C3-alkyl, Z2is not Cx-alkyl); C9-alkyl; C10-alkyl; C11-alkyl; C12-alkyl; C13-alkyl; C14-alkyl; C15-alkyl; C16-alkyl; C17-alkyl; C18-alkyl; C19-alkyl; C20-alkyl; C21-alkyl; and/or C22-alkyl. In some embodiments, Z2is C6-alkyl; C7-alkyl; Cx-alkyl (with the proviso that when R2, R3, and R4are amino-C3-alkyl, Z1is not Cx-alkyl); C9-alkyl; C10-alkyl; C11-alkyl; C12-alkyl; C13-alkyl; C14-alkyl; C15-alkyl; C16-alkyl; C17-alkyl; C18-alkyl; C19-alkyl; C20-alkyl; C21-alkyl; and/or C22-alkyl.
In some embodiments x is 1, 2, 3, 4, and/or 5.
In some embodiments, R2, R3, and R4are the same. In some embodiments, R2, R3, and R4are different.
In some embodiments, a is 2, 3, 4, and/or 5.
In some embodiments, R2, R3, and R4are optionally substituted amino-Cx-alkyl and/or optionally substituted amino-Cx-alkylcarbonyl.
In some embodiments, one or more of R1, R2, R3, and R4is not optionally substituted. In some embodiments, two or more of R1, R2, R3, and R4are not optionally substituted. In some embodiments, three or more of R1, R2, R3, and R4are not optionally substituted. In some embodiments, R1, R2, R3, and R4are not optionally substituted. In some embodiments, R1is not optionally substituted. In some embodiments, R2is not optionally substituted. In some embodiments, R3is not optionally substituted. In some embodiments, R4is not optionally substituted.
Some embodiments disclosed herein are directed to a pharmaceutical composition comprising the compound of Formula I, or a pharmaceutically acceptable salt thereof, and a pharmaceutically acceptable excipient.
DETAILED DESCRIPTION
The embodiments disclosed herein will now be described by reference to some more detailed embodiments, with occasional reference to any applicable accompanying drawings. These embodiments may, however, be embodied in different forms and should not be construed as limited to the embodiments set forth herein. Rather, these embodiments are provided so that this disclosure will be thorough and complete, and will fully convey the scope of the embodiments to those skilled in the art.
Definitions
Unless otherwise defined, all technical and scientific terms used herein have the same meaning as commonly understood by one of ordinary skill in the art to which these embodiments belong. The terminology used in the description herein is for describing particular embodiments only and is not intended to be limiting of the embodiments. As used in the specification and the appended claims, the singular forms “a,” “an,” and “the” are intended to include the plural forms as well, unless the context clearly indicates otherwise. All publications, patent applications, patents, and other references mentioned herein are incorporated by reference in their entirety.
Terms and phrases used in this application, and variations thereof, especially in the appended claims, unless otherwise expressly stated, should be construed as open ended as opposed to limiting. As examples of the foregoing, the term ‘including’ should be read to mean ‘including, without limitation,’ including but not limited to,′ or the like; the term ‘comprising’ as used herein is synonymous with ‘including,’ containing,′ or ‘characterized by,’ and is inclusive or open-ended and does not exclude additional, unrecited elements or method steps; the term ‘having’ should be interpreted as ‘having at least;’ the term ‘includes’ should be interpreted as ‘includes but is not limited to;’ the term ‘example’ is used to provide exemplary instances of the item in discussion, not an exhaustive or limiting list thereof; and use of terms like ‘preferably,’ ‘preferred,’ ‘desired,’ or ‘desirable,’ and words of similar meaning should not be understood as implying that certain features are critical, essential, or even important to the structure or function of the invention, but instead as merely intended to highlight alternative or additional features that may or may not be utilized in a particular embodiment. In addition, the term “comprising” is to be interpreted synonymously with the phrases “having at least” or “including at least”. When used in the context of a process, the term “comprising” means that the process includes at least the recited steps, but may include additional steps. When used in the context of a compound, composition or device, the term “comprising” means that the compound, composition or device includes at least the recited features or components, but may also include additional features or components. Likewise, a group of items linked with the conjunction ‘and’ should not be read as requiring that each and every one of those items be present in the grouping, but rather should be read as ‘and/or’ unless expressly stated otherwise. Similarly, a group of items linked with the conjunction ‘or’ should not be read as requiring mutual exclusivity among that group, but rather should be read as ‘and/or’ unless expressly stated otherwise.
It is understood that, in any compound described herein having one or more chiral centers, if an absolute stereochemistry is not expressly indicated, then each center may independently be of R-configuration or S-configuration or a mixture thereof. Thus, the compounds provided herein may be enantiomerically pure, enantiomerically enriched, racemic mixture, diastereomerically pure, diastereomerically enriched, or a stereoisomeric mixture. In addition it is understood that, in any compound described herein having one or more double bond(s) generating geometrical isomers that can be defined as E or Z, each double bond may independently be E or Z a mixture thereof.
Likewise, it is understood that, in any compound described, all tautomeric forms are also intended to be included.
It is to be understood that where compounds disclosed herein have unfilled valencies, then the valencies are to be filled with hydrogens or isotopes thereof, e.g., hydrogen-1 (protium) and hydrogen-2 (deuterium).
It is understood that the compounds described herein can be labeled isotopically. Substitution with isotopes such as deuterium may afford certain therapeutic advantages resulting from greater metabolic stability, such as, for example, increased in vivo half-life or reduced dosage requirements. Each chemical element as represented in a compound structure may include any isotope of said element. For example, in a compound structure a hydrogen atom may be explicitly disclosed or understood to be present in the compound. At any position of the compound that a hydrogen atom may be present, the hydrogen atom can be any isotope of hydrogen, including but not limited to hydrogen-1 (protium) and hydrogen-2 (deuterium). Thus, reference herein to a compound encompasses all potential isotopic forms unless the context clearly dictates otherwise.
Unless otherwise indicated, all numbers expressing quantities of ingredients, reaction conditions, and so forth used in the specification and claims are to be understood as being modified in all instances by the term “about.” Accordingly, unless indicated to the contrary, the numerical parameters set forth in the specification and attached claims are approximations that may vary depending upon the desired properties sought to be obtained by the present embodiments. At the very least, and not as an attempt to limit the application of the doctrine of equivalents to the scope of the claims, each numerical parameter should be construed in light of the number of significant digits and ordinary rounding approaches.
Notwithstanding that the numerical ranges and parameters setting forth the broad scope of the embodiments are approximations, the numerical values set forth in the specific examples are reported as precisely as possible. Any numerical value, however, inherently contains certain errors necessarily resulting from the standard deviation found in their respective testing measurements. Every numerical range given throughout this specification and claims will include every narrower numerical range that falls within such broader numerical range, as if such narrower numerical ranges were all expressly written herein. Where a range of values is provided, it is understood that the upper and lower limit, and each intervening value between the upper and lower limit of the range is encompassed within the embodiments.
As used herein, the singular forms “a”, “and,” and “the” include plural referents unless the context clearly indicates otherwise. Thus, for example, reference to “a compound” or “a CSA” includes a plurality of compounds/CSAs and reference to “an infection” can include reference to one or more infections, and so forth.
As used herein, any “R” group(s) such as, without limitation, R′, R2, R3, and R4represent substituents that can be attached to the indicated atom. Unless otherwise specified, an R group may be substituted or unsubstituted.
A “ring” as used herein can be heterocyclic or carbocyclic. The term “saturated” used herein refers to a ring having each atom in the ring either hydrogenated or substituted such that the valency of each atom is filled. The term “unsaturated” used herein refers to a ring where the valency of each atom of the ring may not be filled with hydrogen or other substituents. For example, adjacent carbon atoms in the fused ring can be doubly bound to each other. Unsaturation can also include deleting at least one of the following pairs and completing the valency of the ring carbon atoms at these deleted positions with a double bond.
Whenever a group is described as being “optionally substituted” that group may be unsubstituted, or substituted with one, two, three or more of the indicated substituents, which may be the same or different, each replacing a hydrogen atom. If no substituents are indicated, it is meant that the indicated “substituted” group may be substituted with one or more group(s) individually and independently selected from alkyl, alkenyl, alkynyl, cycloalkyl, cycloalkenyl, cycloalkynyl, acylalkyl, alkoxyalkyl, aminoalkyl, amino acid, aryl, heteroaryl, heteroalicyclyl, aralkyl, heteroaralkyl, (heteroalicyclyl)alkyl, hydroxy, protected hydroxyl, alkoxy, aryloxy, acyl, mercapto, alkylthio, arylthio, cyano, halogen (e.g., F, Cl, Br, and I), thiocarbonyl, O-carbamyl, N-carbamyl, O-thiocarbamyl, N-thiocarbamyl, C-amido, N-amido, S-sulfonamido, N-sulfonamido, C-carboxy, protected C-carboxy, O-carboxy, isocyanato, thiocyanato, isothiocyanato, nitro, oxo, silyl, sulfenyl, sulfinyl, sulfonyl, haloalkyl, haloalkoxy, trihalomethanesulfonyl, trihalomethanesulfonamido, an amino, a mono-substituted amino group and a di-substituted amino group, alkylaminoalkyl, dialkylaminoalkyl, di(alkyl)aminoalkyl, cyanato, alkylaminoalkylaminoalkylamino, arylaminoalkyl, aminoalkyloxy, aminoalkyloxyalkyl, aminoalkylcarboxy, aminoalkylaminocarbonyl, aminoalkylcarboxamido, guanidinoalkyloxy, hydroxyalkyl and protected derivatives thereof. The substituent may be attached to the group at more than one attachment point. For example, an aryl group may be substituted with a heteroaryl group at two attachment points to form a fused multicyclic aromatic ring system. Biphenyl and naphthalene are two examples of an aryl group that is substituted with a second aryl group.
As used herein, “alkylthio” refers to the formula —SR wherein R is an alkyl as is defined above, such as “C1-9alkylthio” and the like, including but not limited to methylmercapto, ethylmercapto, n-propylmercapto, 1-methylethylmercapto (isopropylmercapto), n-butylmercapto, iso-butylmercapto, sec-butylmercapto, tert-butylmercapto, and the like.
A “nitro” group refers to a “—NO2” group.
A “cyanato” group refers to a “—OCN” group.
An “isocyanato” group refers to a “—NCO” group.
A “thiocyanato” group refers to a “—SCN” group.
An “isothiocyanato” group refers to a “—NCS” group.
A “sulfinyl” group refers to an “—S(═O)R” group in which R is selected from hydrogen, C1-6alkyl, C2-6alkenyl, C2-6alkynyl, C3-7carbocyclyl, C6-10aryl, 5-10 membered heteroaryl, and 5-10 membered heterocyclyl, as defined herein.
A “sulfonyl” group refers to a “—SO2R” group in which R is selected from hydrogen, C1-6alkyl, C2-6alkenyl, C2-6alkynyl, C3-7carbocyclyl, C6-10aryl, 5-10 membered heteroaryl, and 5-10 membered heterocyclyl, as defined herein.
An “S-sulfonamido” group refers to a “—SO2NRARB” group in which RAand RBare each independently selected from hydrogen, C1-6alkyl, C2-6alkenyl, C2-6alkynyl, C3-7carbocyclyl, C6-10aryl, 5-10 membered heteroaryl, and 5-10 membered heterocyclyl, as defined herein.
An “N-sulfonamido” group refers to a “—N(RA)SO2RB” group in which RAand RBare each independently selected from hydrogen, C1-6alkyl, C2-6alkenyl, C2-6alkynyl, C3-7carbocyclyl, C6-10aryl, 5-10 membered heteroaryl, and 5-10 membered heterocyclyl, as defined herein.
An “O-carbamyl” group refers to a “—OC(═O)NRARB” group in which RAand RBare each independently selected from hydrogen, C1-6alkyl, C2-6alkenyl, C2-6alkynyl, C3-7carbocyclyl, C6-10aryl, 5-10 membered heteroaryl, and 5-10 membered heterocyclyl, as defined herein.
An “N-carbamyl” group refers to an “—N(RA)OC(═O)RB” group in which RAand RBare each independently selected from hydrogen, C1-6alkyl, C2-6alkenyl, C2-6alkynyl, C3-7carbocyclyl, C6-10aryl, 5-10 membered heteroaryl, and 5-10 membered heterocyclyl, as defined herein.
An “O-thiocarbamyl” group refers to a “—OC(═S)NRARB” group in which RAand RBare each independently selected from hydrogen, C1-6alkyl, C2-6alkenyl, C2-6alkynyl, C3-7carbocyclyl, C6-10aryl, 5-10 membered heteroaryl, and 5-10 membered heterocyclyl, as defined herein.
An “N-thiocarbamyl” group refers to an “—N(RA)OC(═S)RB” group in which RAand RBare each independently selected from hydrogen, C1-6alkyl, C2-6alkenyl, C2-6alkynyl, C3-7carbocyclyl, C6-10aryl, 5-10 membered heteroaryl, and 5-10 membered heterocyclyl, as defined herein.
A “C-amido” group refers to a “—C(═O)NRARB” group in which RAand RBare each independently selected from hydrogen, C1-6alkyl, C2-6alkenyl, C2-6alkynyl, C3-7carbocyclyl, C6-10aryl, 5-10 membered heteroaryl, and 5-10 membered heterocyclyl, as defined herein.
An “N-amido” group refers to a “—N(RA)C(═O)RB” group in which RAand RBare each independently selected from hydrogen, C1-6alkyl, C2-6alkenyl, C2-6alkynyl, C3-7carbocyclyl, C6-10aryl, 5-10 membered heteroaryl, and 5-10 membered heterocyclyl, as defined herein.
As used herein, “Ca” or “Cato Cb” in which “a” and “b” are integers refer to the number of carbon atoms in an alkyl, alkenyl or alkynyl group, or the number of carbon atoms in the ring of a cycloalkyl, cycloalkenyl, cycloalkynyl, aryl, heteroaryl or heteroalicyclyl group. That is, the alkyl, alkenyl, alkynyl, ring of the cycloalkyl, ring of the cycloalkenyl, ring of the cycloalkynyl, ring of the aryl, ring of the heteroaryl or ring of the heteroalicyclyl can contain from “a” to “b”, inclusive, carbon atoms. Thus, for example, a “C1to C4alkyl” group refers to all alkyl groups having from 1 to 4 carbons, that is, CH3—, CH3CH2—, CH3CH2CH2—, (CH3)2CH—, CH3CH2CH2CH2—, CH3CH2CH(CH3)— and (CH3)3C—. If no “a” and “b” are designated with regard to an alkyl, alkenyl, alkynyl, cycloalkyl cycloalkenyl, cycloalkynyl, aryl, heteroaryl or heteroalicyclyl group, the broadest range described in these definitions is to be assumed.
Unless otherwise specified, as used herein, “alkyl” refers to a straight or branched hydrocarbon chain that comprises a fully saturated (no double or triple bonds) hydrocarbon group. The alkyl group may have 1 to 25 carbon atoms (whenever it appears herein, a numerical range such as “1 to 25” refers to each integer in the given range; e.g., “1 to 25 carbon atoms” means that the alkyl group may consist of 1 carbon atom, 2 carbon atoms, 3 carbon atoms, etc., up to and including 25 carbon atoms, although the present definition also covers the occurrence of the term “alkyl” where no numerical range is designated). The alkyl group may also be a medium size alkyl having 1 to 15 carbon atoms. The alkyl group could also be a lower alkyl having 1 to 6 carbon atoms. The alkyl group of the compounds may be designated as “C4” or “C1-C4alkyl” or similar designations. By way of example only, “C1-C4alkyl” indicates that there are one to four carbon atoms in the alkyl chain, i.e., the alkyl chain is selected from methyl, ethyl, propyl, iso-propyl, n-butyl, iso-butyl, sec-butyl, and t-butyl. Typical alkyl groups include, but are in no way limited to, methyl, ethyl, propyl, isopropyl, butyl, isobutyl, tertiary butyl, pentyl and hexyl. The alkyl group may be substituted or unsubstituted.
As used herein, “alkenyl” refers to an alkyl group that contains in the straight or branched hydrocarbon chain one or more double bonds. The alkenyl group may have 2 to 25 carbon atoms (whenever it appears herein, a numerical range such as “2 to 25” refers to each integer in the given range; e.g., “2 to 25 carbon atoms” means that the alkenyl group may consist of 2 carbon atom, 3 carbon atoms, 4 carbon atoms, etc., up to and including 25 carbon atoms, although the present definition also covers the occurrence of the term “alkenyl” where no numerical range is designated). The alkenyl group may also be a medium size alkenyl having 2 to 15 carbon atoms. The alkenyl group could also be a lower alkenyl having 1 to 6 carbon atoms. The alkenyl group of the compounds may be designated as “C4” or “C2-C4alkyl” or similar designations. An alkenyl group may be unsubstituted or substituted.
As used herein, “alkynyl” refers to an alkyl group that contains in the straight or branched hydrocarbon chain one or more triple bonds. The alkynyl group may have 2 to 25 carbon atoms (whenever it appears herein, a numerical range such as “2 to 25” refers to each integer in the given range; e.g., “2 to 25 carbon atoms” means that the alkynyl group may consist of 2 carbon atom, 3 carbon atoms, 4 carbon atoms, etc., up to and including 25 carbon atoms, although the present definition also covers the occurrence of the term “alkynyl” where no numerical range is designated). The alkynyl group may also be a medium size alkynyl having 2 to 15 carbon atoms. The alkynyl group could also be a lower alkynyl having 2 to 6 carbon atoms. The alkynyl group of the compounds may be designated as “C4” or “C2-C4alkyl” or similar designations. An alkynyl group may be unsubstituted or substituted.
As used herein, “aryl” refers to a carbocyclic (all carbon) monocyclic or multicyclic aromatic ring system (including fused ring systems where two carbocyclic rings share a chemical bond) that has a fully delocalized pi-electron system throughout all the rings. The number of carbon atoms in an aryl group can vary. For example, the aryl group can be a C6-C14aryl group, a C6-C10aryl group, or a C6aryl group (although the definition of C6-C10aryl covers the occurrence of “aryl” when no numerical range is designated). Examples of aryl groups include, but are not limited to, benzene, naphthalene and azulene. An aryl group may be substituted or unsubstituted.
As used herein, “heteroaryl” refers to a monocyclic or multicyclic aromatic ring system (a ring system with fully delocalized pi-electron system) that contain(s) one or more heteroatoms, that is, an element other than carbon, including but not limited to, nitrogen, oxygen and sulfur. The number of atoms in the ring(s) of a heteroaryl group can vary. For example, the heteroaryl group can contain 4 to 14 atoms in the ring(s), 5 to 10 atoms in the ring(s) or 5 to 6 atoms in the ring(s). Furthermore, the term “heteroaryl” includes fused ring systems where two rings, such as at least one aryl ring and at least one heteroaryl ring, or at least two heteroaryl rings, share at least one chemical bond. Examples of heteroaryl rings include, but are not limited to, furan, furazan, thiophene, benzothiophene, phthalazine, pyrrole, oxazole, benzoxazole, 1,2,3-oxadiazole, 1,2,4-oxadiazole, thiazole, 1,2,3-thiadiazole, 1,2,4-thiadiazole, benzothiazole, imidazole, benzimidazole, indole, indazole, pyrazole, benzopyrazole, isoxazole, benzoisoxazole, isothiazole, triazole, benzotriazole, thiadiazole, tetrazole, pyridine, pyridazine, pyrimidine, pyrazine, purine, pteridine, quinoline, isoquinoline, quinazoline, quinoxaline, cinnoline, and triazine. A heteroaryl group may be substituted or unsubstituted.
As used herein, “aralkyl” and “aryl(alkyl)” refer to an aryl group connected, as a substituent, via a lower alkylene group. The aralkyl group may have 6 to 20 carbon atoms (whenever it appears herein, a numerical range such as “6 to 20” refers to each integer in the given range; e.g., “6 to 20 carbon atoms” means that the aralkyl group may consist of 6 carbon atom, 7 carbon atoms, 8 carbon atoms, etc., up to and including 20 carbon atoms, although the present definition also covers the occurrence of the term “aralkyl” where no numerical range is designated). The lower alkylene and aryl group of an aralkyl may be substituted or unsubstituted. Examples include but are not limited to benzyl, 2-phenylalkyl, 3-phenylalkyl, and naphthylalkyl.
As used herein, “aralkyl” and “aryl(alkyl)” refer to an aryl group connected, as a substituent, via a lower alkylene group. The lower alkylene and aryl group of an aralkyl may be substituted or unsubstituted. Examples include but are not limited to benzyl, 2-phenylalkyl, 3-phenylalkyl, and naphthylalkyl.
A “sulfinyl” group refers to an “—S(═O)—R” group in which R can be the same as defined with respect to sulfenyl. A sulfinyl may be substituted or unsubstituted.
A “sulfonyl” group refers to an “SO2R” group in which R can be the same as defined with respect to sulfenyl. A sulfonyl may be substituted or unsubstituted.
An “O-carboxy” group refers to a “RC(═O)O—” group in which R can be hydrogen, alkyl, alkenyl, alkynyl, cycloalkyl, cycloalkenyl, aryl, heteroaryl, heteroalicyclyl, aralkyl, (heteroaryl)alkyl or (heteroalicyclyl)alkyl, as defined herein. An O-carboxy may be substituted or unsubstituted.
A “thiocarbonyl” group refers to a “—C(═S)R” group in which R can be the same as defined with respect to O-carboxy. A thiocarbonyl may be substituted or unsubstituted.
A “trihalomethanesulfonamido” group refers to an “X3CS(O)2N(RA)—” group wherein each X is a halogen, and RAhydrogen, alkyl, alkenyl, alkynyl, cycloalkyl, cycloalkenyl, cycloalkynyl, aryl, heteroaryl, heteroalicyclyl, aralkyl, (heteroaryl)alkyl or (heteroalicyclyl)alkyl.
The term “azido” as used herein refers to a —N3group.
A “mercapto” group refers to an “—SH” group.
A “carbonyl” group refers to a C═O group.
“Lower alkylene groups” refer to a C1-C25straight-chained alkyl tethering groups, such as —CH2— tethering groups, forming bonds to connect molecular fragments via their terminal carbon atoms. Examples include but are not limited to methylene (—CH2—), ethylene (—CH2CH2—), propylene (—CH2CH2CH2—), and butylene (—CH2CH2CH2CH2—). A lower alkylene group can be substituted by replacing one or more hydrogen of the lower alkylene group with a substituent(s) listed under the definition of “substituted.” As used herein, “cycloalkyl” refers to a completely saturated (no double or triple bonds) mono- or multicyclic hydrocarbon ring system. When composed of two or more rings, the rings may be joined together in a fused fashion. Cycloalkyl groups can contain 3 to 10 atoms in the ring(s) or 3 to 8 atoms in the ring(s). A cycloalkyl group may be unsubstituted or substituted. Typical cycloalkyl groups include, but are in no way limited to, cyclopropyl, cyclobutyl, cyclopentyl, cyclohexyl, cycloheptyl and cyclooctyl.
As used herein, “cycloalkenyl” refers to a mono- or multi-cyclic hydrocarbon ring system that contains one or more double bonds in at least one ring; although, if there is more than one, the double bonds cannot form a fully delocalized pi-electron system throughout all the rings (otherwise the group would be “aryl,” as defined herein). When composed of two or more rings, the rings may be connected together in a fused fashion. A cycloalkenyl group may be unsubstituted or substituted.
As used herein, “cycloalkynyl” refers to a mono- or multi-cyclic hydrocarbon ring system that contains one or more triple bonds in at least one ring. If there is more than one triple bond, the triple bonds cannot form a fully delocalized pi-electron system throughout all the rings. When composed of two or more rings, the rings may be joined together in a fused fashion. A cycloalkynyl group may be unsubstituted or substituted.
As used herein, “alkoxy” or “alkyloxy” refers to the formula —OR wherein R is an alkyl, an alkenyl, an alkynyl, a cycloalkyl, a cycloalkenyl or a cycloalkynyl as defined above. A non-limiting list of alkoxys are methoxy, ethoxy, n-propoxy, 1-methylethoxy (isopropoxy), n-butoxy, iso-butoxy, sec-butoxy and tert-butoxy. An alkoxy may be substituted or unsubstituted.
As used herein, “acyl” refers to a hydrogen, alkyl, alkenyl, alkynyl, aryl, or heteroaryl connected, as substituents, via a carbonyl group. Examples include formyl, acetyl, propanoyl, benzoyl, and acryl. An acyl may be substituted or unsubstituted.
As used herein, “alkoxyalkyl” or “alkyloxyalkyl” refers to an alkoxy group connected, as a substituent, via a lower alkylene group. Examples include alkyl-O-alkyl- and alkoxy-alkyl- with the terms alkyl and alkoxy defined herein.
As used herein, “hydroxyalkyl” refers to an alkyl group in which one or more of the hydrogen atoms are replaced by a hydroxy group. Exemplary hydroxyalkyl groups include but are not limited to, 2-hydroxyethyl, 3-hydroxypropyl, 2-hydroxypropyl, and 2,2-dihydroxyethyl. A hydroxyalkyl may be substituted or unsubstituted.
As used herein, “haloalkyl” refers to an alkyl group in which one or more of the hydrogen atoms are replaced by a halogen (e.g., mono-haloalkyl, di-haloalkyl and tri-haloalkyl). Such groups include but are not limited to, chloromethyl, fluoromethyl, difluoromethyl, trifluoromethyl and 1-chloro-2-fluoromethyl, 2-fluoroisobutyl. A haloalkyl may be substituted or unsubstituted.
The term “amino” as used herein refers to a —NH2group.
As used herein, the term “hydroxy” refers to a —OH group.
A “cyano” group refers to a “—CN” group.
A “carbonyl” or an “oxo” group refers to a C═O group.
The term “azido” as used herein refers to a —N3 group.
As used herein, “aminoalkyl” refers to an amino group connected, as a substituent, via a lower alkylene group. Examples include H2N-alkyl- with the term alkyl defined herein.
As used herein, “alkylcarboxyalkyl” refers to an alkyl group connected, as a substituent, to a carboxy group that is connected, as a substituent, to an alkyl group. Examples include alkyl-C(═O)O-alkyl- and alkyl-O—C(═O)-alkyl- with the term alkyl as defined herein.
As used herein, “alkylaminoalkyl” refers to an alkyl group connected, as a substituent, to an amino group that is connected, as a substituent, to an alkyl group. Examples include alkyl-NH-alkyl-, with the term alkyl as defined herein.
As used herein, “dialkylaminoalkyl” or “di(alkyl)aminoalkyl” refers to two alkyl groups connected, each as a substituent, to an amino group that is connected, as a substituent, to an alkyl group. Examples include
Figure US11286276-20220329-C00002

with the term alkyl as defined herein.
As used herein, “alkylaminoalkylamino” refers to an alkyl group connected, as a substituent, to an amino group that is connected, as a substituent, to an alkyl group that is connected, as a substituent, to an amino group. Examples include alkyl-NH-alkyl-NH—, with the term alkyl as defined herein.
As used herein, “alkylaminoalkylaminoalkylamino” refers to an alkyl group connected, as a substituent, to an amino group that is connected, as a substituent, to an alkyl group that is connected, as a substituent, to an amino group that is connected, as a substituent, to an alkyl group. Examples include alkyl-NH-alkyl-NH-alkyl-, with the term alkyl as defined herein.
As used herein, “arylaminoalkyl” refers to an aryl group connected, as a substituent, to an amino group that is connected, as a substituent, to an alkyl group. Examples include aryl-NH-alkyl-, with the terms aryl and alkyl as defined herein.
As used herein, “aminoalkyloxy” refers to an amino group connected, as a substituent, to an alkyloxy group. Examples include H2N-alkyl-O— and H2N-alkoxy- with the terms alkyl and alkoxy as defined herein.
As used herein, “aminoalkyloxyalkyl” refers to an amino group connected, as a substituent, to an alkyloxy group connected, as a substituent, to an alkyl group. Examples include H2N-alkyl-O-alkyl- and H2N-alkoxy-alkyl- with the terms alkyl and alkoxy as defined herein.
As used herein, “aminoalkylcarboxy” refers to an amino group connected, as a substituent, to an alkyl group connected, as a substituent, to a carboxy group. Examples include H2N-alkyl-C(═O)O— and H2N-alkyl-O—C(═O)— with the term alkyl as defined herein.
As used herein, “aminoalkylaminocarbonyl” refers to an amino group connected, as a substituent, to an alkyl group connected, as a substituent, to an amino group connected, as a substituent, to a carbonyl group. Examples include H2N-alkyl-NH—C(═O)— with the term alkyl as defined herein.
As used herein, “aminoalkylcarboxamido” refers to an amino group connected, as a substituent, to an alkyl group connected, as a substituent, to a carbonyl group connected, as a substituent to an amino group. Examples include H2N-alkyl-C(═O)—NH— with the term alkyl as defined herein.
As used herein, “guanidinoalkyloxy” refers to a guanidinyl group connected, as a substituent, to an alkyloxy group. Examples include
Figure US11286276-20220329-C00003

with the terms alkyl and alkoxy as defined herein.
As used herein, “guanidinoalkylcarboxy” refers to a guanidinyl group connected, as a substituent, to an alkyl group connected, as a substituent, to a carboxy group. Examples include
Figure US11286276-20220329-C00004

with the term alkyl as defined herein.
As used herein, “quaternary ammonium alkylcarboxy” refers to a quaternized amino group connected, as a substituent, to an alkyl group connected, as a substituent, to a carboxy group. Examples include
Figure US11286276-20220329-C00005

with the term alkyl as defined herein.
The term “halogen atom” or “halogen” as used herein, means any one of the radio-stable atoms of column 7 of the Periodic Table of the Elements, such as, fluorine, chlorine, bromine and iodine.
Where the numbers of substituents is not specified (e.g. haloalkyl), there may be one or more substituents present. For example “haloalkyl” may include one or more of the same or different halogens.
As used herein, the term “amino acid” refers to any amino acid (both standard and non-standard amino acids), including, but not limited to, α-amino acids, β-amino acids, γ-amino acids and 8-amino acids. Examples of suitable amino acids include, but are not limited to, alanine, asparagine, aspartate, cysteine, glutamate, glutamine, glycine, proline, serine, tyrosine, arginine, histidine, isoleucine, leucine, lysine, methionine, phenylalanine, threonine, tryptophan and valine. Additional examples of suitable amino acids include, but are not limited to, ornithine, hypusine, 2-aminoisobutyric acid, dehydroalanine, gamma-aminobutyric acid, citrulline, beta-alanine, alpha-ethyl-glycine, alpha-propyl-glycine and norleucine.
A linking group is a divalent moiety used to link one steroid to another steroid. In some embodiments, the linking group is used to link a first CSA with a second CSA (which may be the same or different). An example of a linking group is (C1-C10) alkyloxy-(C1-C10) alkyl.
Commonly understand nomenclature and molecule representations are described and utilized throughout the specification. For example, a skilled artisan would readily appreciate that the following two structural representations are equivalent (wherein A, B, C, and D are unspecified functional groups):
Figure US11286276-20220329-C00006
The terms “P.G.” or “PG” or “protecting group” or “protecting groups” as used herein refer to any atom or group of atoms that is added to a molecule in order to prevent existing groups in the molecule from undergoing unwanted chemical reactions. Examples of protecting group moieties are described in T. W. Greene and P. G. M. Wuts,Protective Groups in Organic Synthesis,3. Ed. John Wiley & Sons, 1999, and in J. F. W. McOmie,Protective Groups in Organic ChemistryPlenum Press, 1973, both of which are hereby incorporated by reference for the limited purpose of disclosing suitable protecting groups. The protecting group moiety may be chosen in such a way, that they are stable to certain reaction conditions and readily removed at a convenient stage using methodology known from the art. A non-limiting list of protecting groups include benzyl; substituted benzyl; alkylcarbonyls and alkoxycarbonyls (e.g., t-butoxycarbonyl (BOC), acetyl, or isobutyryl); arylalkylcarbonyls and arylalkoxycarbonyls (e.g., benzyloxycarbonyl); substituted methyl ether (e.g. methoxymethyl ether); substituted ethyl ether; a substituted benzyl ether; tetrahydropyranyl ether; silyls (e.g., trimethylsilyl, triethylsilyl, triisopropylsilyl, t-butyldimethylsilyl, tri-iso-propylsilyloxymethyl, [2-(trimethylsilyl)ethoxy]methyl or t-butyldiphenylsilyl); esters (e.g. benzoate ester); carbonates (e.g. methoxymethylcarbonate); sulfonates (e.g. tosylate or mesylate); acyclic ketal (e.g. dimethyl acetal); cyclic ketals (e.g., 1,3-dioxane, 1,3-dioxolanes, and those described herein); acyclic acetal; cyclic acetal (e.g., those described herein); acyclic hemiacetal; cyclic hemiacetal; cyclic dithioketals (e.g., 1,3-dithiane or 1,3-dithiolane); orthoesters (e.g., those described herein) and triarylmethyl groups (e.g., trityl; monomethoxytrityl (MMTr); 4,4′-dimethoxytrityl (DMTr); 4,4′,4″-trimethoxytrityl (TMTr); and those described herein). Amino-protecting groups are known to those skilled in the art. In general, the species of protecting group is not critical, provided that it is stable to the conditions of any subsequent reaction(s) on other positions of the compound and can be removed at the appropriate point without adversely affecting the remainder of the molecule. In addition, a protecting group may be substituted for another after substantive synthetic transformations are complete. Clearly, where a compound differs from a compound disclosed herein only in that one or more protecting groups of the disclosed compound has been substituted with a different protecting group, that compound is within the disclosure.
Compounds:
Compounds useful in accordance with this disclosure are described herein, both generically and with particularity. The skilled artisan will recognize the compounds within the generic formula set forth herein and understand their preparation in view of the references cited herein and the Examples.
It has been discovered that alteration and optimization of CSA alkyl chain lengths can have pharmaceutically beneficial properties such as potent, as well as diverse, biological activities (including, but not limited to anti-bacterial, anti-cancer, anti-inflammatory, promoting bone growth, promoting wound healing, etc.), favorable solution stability, improved lipophilicity, and favorable elution from and stability in various polymers and hydrogels. Such properties are of critical concern for the handling and use of CSA compounds as pharmaceutical agents.
Some embodiments are directed to a compound of Formula (I), or pharmaceutically acceptable salt thereof:
Figure US11286276-20220329-C00007
wherein R1is selected from the group consisting of an optionally substituted C11-C22-alkylamino-Cx-alkyl; an optionally substituted C8-C22-alkylester-Cx-alkyl; and an optionally substituted Z1,Z2-amino-Cx-alkyl; R2, R3, and R4, are independently selected from the group consisting of optionally substituted amino-Cx-alkyl and optionally substituted amino-Ca-alkylcarbonyl; x is 1-5; Z1and Z2are independently C6-C22-alkyl; and a is 2-5; with the proviso that when R2, R3, and R4are each unsubstituted amino-C3-alkyl, R1is not unsubstituted C16-alkylamino-C3-alkyl; and with the proviso that then R2, R3, and R4are each the same unsubstituted amino-C2-4-alkylcarbonyl, then R1is not unsubstituted C9-alkylcarboxylic ester-C2-alkyl; and with the proviso that when R2, R3, and R4are each unsubstituted amino-C3-alkyl, then Z1and Z2are not both Cx-alkyl. Unless otherwise specified, the indicated number of carbon atoms in an “alkylcarbonyl” and in an “alkyl ester” that is an “alkylcarboxylic ester” is inclusive of the carbonyl carbon.
In some embodiments, R1is an optionally substituted C11-C22-alkylamino-Cx-alkyl; an optionally substituted C1-alkylamino-Cx-alkyl; an optionally substituted C12-alkylamino-Cx-alkyl; an optionally substituted C13-alkylamino-Cx-alkyl; an optionally substituted C14-alkylamino-Cx-alkyl; an optionally substituted C15-alkylamino-Cx-alkyl; an optionally substituted C10-alkylamino-Cx-alkyl, with the proviso that the C1-C5-alkyl is not C3; an optionally substituted C17-alkylamino-Cx-alkyl; an optionally substituted C18-alkylamino-Cx-alkyl; an optionally substituted C19-alkylamino-Cx-alkyl; an optionally substituted C20-alkylamino-Cx-alkyl; an optionally substituted C21-alkylamino-Cx-alkyl; an optionally substituted C22-alkylamino-Cx-alkyl; an optionally substituted C17-C22-alkylamino-Cx-alkyl; or an optionally substituted C9-C22-alkylester-Cx-alkyl. In some embodiments, R1is an optionally substituted C11-C22-alkylamino-Cx-alkyl. In some embodiments, R1is an optionally substituted C11-alkylamino-Cx-alkyl. In some embodiments, R1is an optionally substituted C12-alkylamino-Cx-alkyl. In some embodiments, R1is an optionally substituted C13-alkylamino-Cx-alkyl. In some embodiments, R1is an optionally substituted C14-alkylamino-Cx-alkyl. In some embodiments, R1is an optionally substituted C15-alkylamino-Cx-alkyl. In some embodiments, R1is an optionally substituted C16-alkylamino-Cx-alkyl, with the proviso that the C1-C5-alkyl is not C3. In some embodiments, R1is an optionally substituted C17-alkylamino-Cx-alkyl. In some embodiments, R1is an optionally substituted C18-alkylamino-Cx-alkyl. In some embodiments, R1is an optionally substituted C19-alkylamino-Cx-alkyl. In some embodiments, R1is an optionally substituted C20-alkylamino-Cx-alkyl. In some embodiments, R1is an optionally substituted C21-alkylamino-Cx-alkyl. In some embodiments, R1is an optionally substituted C22-alkylamino-Cx-alkyl. In some embodiments, R1is an optionally substituted C17-C22-alkylamino-Cx-alkyl.
In some embodiments, R1is an optionally substituted C7-alkylester-Cx-alkyl; an optionally substituted Cx-alkylester-Cx-alkyl; an optionally substituted C9-alkylester-Cx-alkyl; an optionally substituted C10-alkylester-Cx-alkyl; an optionally substituted C11-alkylester-Cx-alkyl; an optionally substituted C12-alkylester-Cx-alkyl; an optionally substituted C13-alkylester-Cx-alkyl; an optionally substituted C14-alkylester-Cx-alkyl; an optionally substituted C15-alkylester-Cx-alkyl; an optionally substituted C16-alkylester-Cx-alkyl; an optionally substituted C17-alkylester-Cx-alkyl; an optionally substituted C18-alkylester-Cx-alkyl; an optionally substituted C19-alkylester-Cx-alkyl; an optionally substituted C20-alkylester-Cx-alkyl; an optionally substituted C21-alkylester-Cx-alkyl; and/or an optionally substituted C22-alkylester-Cx-alkyl. In some embodiments, R1is an optionally substituted C7-22-alkylester-Cx-alkyl; an optionally substituted C8-22-alkylester-Cx-alkyl; an optionally substituted C9-22-alkylester-Cx-alkyl; an optionally substituted C10-22-alkylester-Cx-alkyl; an optionally substituted C11-22-alkylester-Cx-alkyl; an optionally substituted C12-22-alkylester-Cx-alky; an optionally substituted C13-22-alkylester-Cx-alkyl; an optionally substituted C14-22-alkylester-Cx-alkyl; an optionally substituted C15-22-alkylester-Cx-alkyl; an optionally substituted C16-22-alkylester-Cx-alkyl; an optionally substituted C17-22-alkylester-Cx-alkyl; an optionally substituted C18-22-alkylester-Cx-alkyl; an optionally substituted C19-22-alkylester-Cx-alkyl; an optionally substituted C20-22-alkylester-Cx-alkyl; or an optionally substituted C21-22-alkylester-Cx-alkyl. In some embodiments, R1is an optionally substituted C8-21-alkylester-Cx-alkyl; an optionally substituted C8-20-alkylester-Cx-alkyl; an optionally substituted C8-19-alkylester-Cx-alkyl; an optionally substituted C8-18-alkylester-Cx-alkyl; an optionally substituted C8-17-alkylester-Cx-alkyl; an optionally substituted C8-16-alkylester-Cx-alkyl; an optionally substituted C8-15-alkylester-Cx-alkyl; an optionally substituted C8-14-alkylester-Cx-alkyl; an optionally substituted C8-13-alkylester-Cx-alkyl; an optionally substituted C8-12-alkylester-Cx-alkyl; an optionally substituted C8-11-alkylester-Cx-alkyl; an optionally substituted C8-10-alkylester-Cx-alkyl; or an optionally substituted C8-9-alkylester-Cx-alkyl. In some embodiments the “ester” is a “carboxylic ester”, such as an oxycarbonyl ester (i.e. —O—C(═O)—) or a carbonyloxy ester (i.e. —C(═O)—O—). In either case, the carbonyl carbon of the “carboxylic ester” is counted toward the total number of carbons in the “alkylester”.
In some embodiments, R1is an optionally substituted Z1,Z2-amino-Cx-alkyl. In some embodiments, Z1and Z2are the same. In some embodiments, Z1and Z2are different. In some embodiments, Z1is C6-alkyl; C7-alkyl; Cx-alkyl (with the proviso that when R2, R3, and R4are amino-C3-alkyl, Z2is not Cx-alkyl); C9-alkyl; C10-alkyl; CH-alkyl; C12-alkyl; C13-alkyl; C11-alkyl; C15-alkyl; C16-alkyl; C17-alkyl; C15-alkyl; C19-alkyl; C20-alkyl; C2i-alkyl; and/or C22-alkyl. In some embodiments, Z2is C6-alkyl; C7-alkyl; Cx-alkyl with the proviso that when R2, R3, and R4are amino-C3-alkyl, Z1is not Cx-alkyl; C9-alkyl; C10-alkyl; CH-alkyl; C12-alkyl; C13-alkyl; C11-alkyl; C15-alkyl; C16-alkyl; C17-alkyl; C15-alkyl; C19-alkyl; C20-alkyl; C21-alkyl; and/or C22-alkyl. In some embodiments, Z1is C6-alkyl. In some embodiments, Z1is C7-alkyl. In some embodiments, Z1is Cx-alkyl and with the proviso that when R2, R3, and R4are amino-C3-alkyl, Z2is not Cx-alkyl. In some embodiments, Z1is C10-alkyl. In some embodiments, Z1is C11-alkyl. In some embodiments, Z1is C12-alkyl. In some embodiments, Z1is C13-alkyl. In some embodiments, Z1is C14-alkyl. In some embodiments, Z1is C15-alkyl. In some embodiments, Z1is C16-alkyl. In some embodiments, Z1is Cr-alkyl. In some embodiments, Z1is C18-alkyl. In some embodiments, Z1is C19-alkyl. In some embodiments, Z1is C20-alkyl. In some embodiments, Z1is C21-alkyl. In some embodiments, Z1is C22-alkyl. In some embodiments, Z2is C6-alkyl. In some embodiments, Z2is C7-alkyl. In some embodiments, Z2is Cx-alkyl with the proviso that when R2, R3, and R4are amino-C3-alkyl, Z1is not Cx-alkyl. In some embodiments, Z2is C9-alkyl. In some embodiments, Z2is C10-alkyl. In some embodiments, Z2is C11-alkyl. In some embodiments, Z2is C12-alkyl. In some embodiments, Z2is C13-alkyl. In some embodiments, Z2is C14-alkyl. In some embodiments, Z2is C15-alkyl. In some embodiments, Z2is C16-alkyl. In some embodiments, Z2is C17-alkyl. In some embodiments, Z2is C15-alkyl. In some embodiments, Z2is C19-alkyl. In some embodiments, Z2is C20-alkyl. In some embodiments, Z2is C21-alkyl. In some embodiments, Z2is C22-alkyl. In some embodiments, Z1and Z2are independently C6-22-alkyl, with the proviso that when R2, R3, and R4are amino-C3-alkyl, Z1and Z2are not both Cx-alkyl. In some embodiments, Z1and Z2are independently C7-22-alkyl, with the proviso that when R2, R3, and R4are amino-C3-alkyl, Z1and Z2are not both Cx-alkyl. In some embodiments, Z1and Z2are independently C8-22-alkyl, with the proviso that when R2, R3, and R4are amino-C3-alkyl, Z1and Z2are not both Cx-alkyl. In some embodiments, Z1and Z2are independently C9-22-alkyl. In some embodiments, Z1and Z2are independently C10-22-alkyl. In some embodiments, Z1and Z2are independently C11-22-alkyl. In some embodiments, Z1and Z2are independently C12-22-alkyl. In some embodiments, Z1and Z2are independently C15-22-alkyl. In some embodiments, Z1and Z2are independently C14-22-alkyl. In some embodiments, Z1and Z2are independently C15-22-alkyl. In some embodiments, Z1and Z2are independently C16-22-alkyl. In some embodiments, Z1and Z2are independently C17-22-alkyl. In some embodiments, Z1and Z2are independently C18-22-alkyl. In some embodiments, Z1and Z2are independently C19-22-alkyl. In some embodiments, Z1and Z2are independently C20-22-alkyl. In some embodiments, Z1and Z2are independently C21-22-alkyl. In some embodiments, Z1and Z2are independently C6-21-alkyl, with the proviso that when R2, R3, and R4are amino-C3-alkyl, Z1and Z2are not both Cx-alkyl. In some embodiments, Z1and Z2are independently C6-20-alkyl, with the proviso that when R2, R3, and R4are amino-C3-alkyl, Z1and Z2are not both Cx-alkyl. In some embodiments, Z1and Z2are independently C6-19-alkyl, with the proviso that when R2, R3, and R4are amino-C3-alkyl, Z1and Z2are not both Cx-alkyl. In some embodiments, Z1and Z2are independently C6-18-alkyl, with the proviso that when R2, R3, and R4are amino-C3-alkyl, Z1and Z2are not both Cx-alkyl. In some embodiments, Z1and Z2are independently C6-17-alkyl, with the proviso that when R2, R3, and R4are amino-C3-alkyl, Z1and Z2are not both Cx-alkyl. In some embodiments, Z1and Z2are independently C6-16-alkyl, with the proviso that when R2, R3, and R4are amino-C3-alkyl, Z1and Z2are not both C8-alkyl. In some embodiments, Z1and Z2are independently C6-15-alkyl, with the proviso that when R2, R3, and R4are amino-C3-alkyl, Z1and Z2are not both Cx-alkyl. In some embodiments, Z1and Z2are independently C6-14-alkyl, with the proviso that when R2, R3, and R4are amino-C3-alkyl, Z1and Z2are not both Cx-alkyl. In some embodiments, Z1and Z2are independently C6-13-alkyl, with the proviso that when R2, R3, and R4are amino-C3-alkyl, Z1and Z2are not both Cx-alkyl. In some embodiments, Z1and Z2are independently C6-12-alkyl, with the proviso that when R2, R3, and R4are amino-C3-alkyl, Z1and Z2are not both C8-alkyl. In some embodiments, Z1and Z2are independently C6-11-alkyl, with the proviso that when R2, R3, and R4are amino-C3-alkyl, Z1and Z2are not both Cx-alkyl. In some embodiments, Z1and Z2are independently C6-10-alkyl, with the proviso that when R2, R3, and R4are amino-C3-alkyl, Z1and Z2are not both Cx-alkyl. In some embodiments, Z1and Z2are independently C6-9-alkyl, with the proviso that when R2, R3, and R4are amino-C3-alkyl, Z1and Z2are not both Cx-alkyl. In some embodiments, Z1and Z2are independently C6-8-alkyl, with the proviso that when R2, R3, and R4are amino-C3-alkyl, Z1and Z2are not both Cx-alkyl. In some embodiments, Z1and Z2are independently C6-7-alkyl.
In some embodiments x is 1, 2, 3, 4, and/or 5. In some embodiments, x is 1. In some embodiments, x is 2. In some embodiments, x is 3. In some embodiments, x is 4. In some embodiments, x is 5. In some embodiments, x is 1-4. In some embodiments, x is 1-3. In some embodiments, x is 1-2. In some embodiments, x is 2-5. In some embodiments, x is 3-5. In some embodiments, x is 4-5
In some embodiments, R2, R3, and R4are the same. In some embodiments, R2, R3, and R4are different.
In some embodiments, a is 2, 3, 4, and/or 5. In some embodiments, a is 2. In some embodiments, a is 3. In some embodiments, a is 4. In some embodiments, a is 5. In some embodiments, a is 2-5. In some embodiments, a is 3-5. In some embodiments, a is 4-5. In some embodiments, a is 2-4. In some embodiments, a is 2-3.
In some embodiments, R2, R3, and R4are optionally substituted amino-Cx-alkyl and/or optionally substituted amino-Cx-alkylcarbonyl.
In some embodiments, one or more of R1, R2, R3, and R4is not optionally substituted. In some embodiments, two or more of R1, R2, R3, and R4are not optionally substituted. In some embodiments, three or more of R1, R2, R3, and R4are not optionally substituted. In some embodiments, R1, R2, R3, and R4are not optionally substituted. In some embodiments, R1is not optionally substituted. In some embodiments, R2is not optionally substituted. In some embodiments, R3is not optionally substituted. In some embodiments, R4is not optionally substituted.
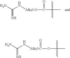
In some embodiments, the compound of Formula (I), or pharmaceutically acceptable salt thereof, is selected from the group consisting of:
Figure US11286276-20220329-C00008
Figure US11286276-20220329-C00009

and pharmaceutically acceptable salts thereof, wherein Cxxindicates a branched or linear alkyl group containing the indicated number (xx) of carbon atoms.
In some embodiments, the compound of Formula (I) is selected from the group consisting of:
Figure US11286276-20220329-C00010
Figure US11286276-20220329-C00011
In some embodiments, the compound of Formula (I) is selected from the group consisting of:
Figure US11286276-20220329-C00012
Figure US11286276-20220329-C00013
Some embodiments comprise a compound of Formula (I), or a pharmaceutically acceptable salt thereof, and a pharmaceutically acceptable excipient.
Pharmaceutically Acceptable Salts
The compounds and compositions disclosed herein are optionally prepared as pharmaceutically acceptable salts. The term “pharmaceutically acceptable salt” as used herein is a broad term, and is to be given its ordinary and customary meaning to a skilled artisan (and is not to be limited to a special or customized meaning), and refers without limitation to a salt of a compound that does not cause significant irritation to an organism to which it is administered and does not abrogate the biological activity and properties of the compound. In some embodiments, the salt is an acid addition salt of the compound. Pharmaceutical salts can be obtained by reacting a compound with inorganic acids such as hydrohalic acid (e.g., hydrochloric acid or hydrobromic acid), sulfuric acid, nitric acid, and phosphoric acid. Pharmaceutical salts can also be obtained by reacting a compound with an organic acid such as aliphatic or aromatic carboxylic or sulfonic acids, for example formic acid, acetic acid, propionic acid, glycolic acid, pyruvic acid, malonic acid, maleic acid, fumaric acid, trifluoroacetic acid, benzoic acid, cinnamic acid, mandelic acid, succinic acid, lactic acid, malic acid, tartaric acid, citric acid, ascorbic acid, nicotinic acid, methanesulfonic acid, ethanesulfonic acid, p-toluensulfonic acid, salicylic acid, stearic acid, muconic acid, butyric acid, phenylacetic acid, phenylbutyric acid, valproic acid, 1,2-ethanedisulfonic acid, 2-hydroxyethanesulfonic acid, benzenesulfonic acid, 2-naphthalenesulfonic acid, or naphthalenesulfonic acid. Pharmaceutical salts can also be obtained by reacting a compound with a base to form a salt such as an ammonium salt, an alkali metal salt, such as a lithium, sodium or a potassium salt, an alkaline earth metal salt, such as a calcium, magnesium or aluminum salt, a salt of organic bases such as dicyclohexylamine, N-methyl-D-glucamine, tris(hydroxymethyl)methylamine, C1-C7alkylamine, cyclohexylamine, dicyclohexylamine, triethanolamine, ethylenediamine, ethanolamine, diethanolamine, triethanolamine, tromethamine, and salts with amino acids such as arginine and lysine; or a salt of an inorganic base, such as aluminum hydroxide, calcium hydroxide, potassium hydroxide, sodium carbonate, sodium hydroxide, or the like.
In some embodiments, the pharmaceutically acceptable salt is a hydrochloride salt. In some embodiments, the pharmaceutically acceptable salt is a mono-hydrochloride salt, a di-hydrochloride salt, a tri-hydrochloride salt, or a tetra-hydrochloride salt. Some embodiments are directed to a sulfuric acid addition salt or sulfonic acid addition salt of a CSA. In some embodiments, the sulfonic acid addition salt is a disulfonic acid addition salt. In some embodiments, the sulfonic acid addition salt is a 1,5-naphthalenedisulfonic acid addition salt. In some embodiments, the acid addition salt is a mono-addition salt. In other embodiments, the acid addition salt is a di-addition salt. In other embodiments, the acid addition salt is a tetra-addition salt.
In some embodiments, the pharmaceutically acceptable salt is a benzoic acid salt. In other embodiments, the acid addition salt is a benzenesulphonic acid salt. In other embodiments, the acid addition salt is a citric acid salt. In other embodiments, the acid addition salt is a fumaric acid salt. In other embodiments, the acid addition salt is a galactaric acid (mucic acid) salt. In other embodiments, the acid addition salt is al-hydroxy-2-naphthoic acid salt. In other embodiments, the acid addition salt is a pamoic acid salt. In other embodiments, the acid addition salt is a phosphoric acid salt. In other embodiments, the acid addition salt is a succinic acid salt. In other embodiments, the acid addition salt is a L-tartaric acid salt.
Pharmaceutical Compositions
While it is possible for the compounds described herein to be administered alone, it may be preferable to formulate the compounds as pharmaceutical compositions (e.g., formulations). As such, in yet another aspect, pharmaceutical compositions useful in the methods and uses of the disclosed embodiments are provided. A pharmaceutical composition is any composition that may be administered in vitro or in vivo or both to a subject in order to treat or ameliorate a condition. In a preferred embodiment, a pharmaceutical composition may be administered in vivo. A subject may include one or more cells or tissues, or organisms. In some exemplary embodiments, the subject is an animal. In some embodiments, the animal is a mammal. The mammal may be a human or primate in some embodiments. A mammal includes any mammal, such as by way of non-limiting example, cattle, pigs, sheep, goats, horses, camels, buffalo, cats, dogs, rats, mice, and humans.
As used herein the terms “pharmaceutically acceptable” and “physiologically acceptable” mean a biologically compatible formulation, gaseous, liquid or solid, or mixture thereof, which is suitable for one or more routes of administration, in vivo delivery, or contact. A formulation is compatible in that it does not destroy activity of an active ingredient therein (e.g., a CSA), or induce adverse side effects that far outweigh any prophylactic or therapeutic effect or benefit.
In an embodiment, the pharmaceutical compositions may be formulated with pharmaceutically acceptable excipients such as carriers, solvents, stabilizers, adjuvants, diluents, etc., depending upon the particular mode of administration and dosage form. The pharmaceutical compositions should generally be formulated to achieve a physiologically compatible pH, and may range from a pH of about 3 to a pH of about 11, preferably about pH 3 to about pH 7, depending on the formulation and route of administration. In alternative embodiments, it may be preferred that the pH is adjusted to a range from about pH 5.0 to about pH 8. More particularly, the pharmaceutical compositions may compr In some embodiments a therapeutically or prophylactically effective amount of at least one compound as described herein, together with one or more pharmaceutically acceptable excipients. Optionally, the pharmaceutical compositions may compr In some embodiments a combination of the compounds described herein, or may include a second active ingredient useful in the treatment or prevention of bacterial infection (e.g., anti-bacterial or anti-microbial agents).
Formulations, e.g., for parenteral or oral administration, are most typically solids, liquid solutions, emulsions or suspensions, while inhalable formulations for pulmonary administration are generally liquids or powders, with powder formulations being generally preferred. A preferred pharmaceutical composition may also be formulated as a lyophilized solid that is reconstituted with a physiologically compatible solvent prior to administration. Alternative pharmaceutical compositions may be formulated as syrups, creams, ointments, tablets, and the like.
Compositions may contain one or more excipients. Pharmaceutically acceptable excipients are determined in part by the particular composition being administered, as well as by the particular method used to administer the composition. Accordingly, there exists a wide variety of suitable formulations of pharmaceutical compositions (see, e.g., Remington's Pharmaceutical Sciences).
Suitable excipients may be carrier molecules that include large, slowly metabolized macromolecules such as proteins, polysaccharides, polylactic acids, polyglycolic acids, polymeric amino acids, amino acid copolymers, and inactive virus particles. Other exemplary excipients include antioxidants such as ascorbic acid; chelating agents such as EDTA; carbohydrates such as dextrin, hydroxyalkylcellulose, hydroxyalkylmethylcellulose, stearic acid; liquids such as oils, water, saline, glycerol and ethanol; wetting or emulsifying agents; pH buffering substances; and the like. Liposomes are also included within the definition of pharmaceutically acceptable excipients.
The pharmaceutical compositions described herein may be formulated in any form suitable for the intended method of administration. When intended for oral use for example, tablets, troches, lozenges, aqueous or oil suspensions, non-aqueous solutions, dispersible powders or granules (including micronized particles or nanoparticles), emulsions, hard or soft capsules, syrups or elixirs may be prepared. Compositions intended for oral use may be prepared according to any method known to the art for the manufacture of pharmaceutical compositions, and such compositions may contain one or more agents including sweetening agents, flavoring agents, coloring agents and preserving agents, in order to provide a palatable preparation.
Pharmaceutically acceptable excipients particularly suitable for use in conjunction with tablets include, for example, inert diluents, such as celluloses, calcium or sodium carbonate, lactose, calcium or sodium phosphate; disintegrating agents, such as cross-linked povidone, maize starch, or alginic acid; binding agents, such as povidone, starch, gelatin or acacia; and lubricating agents, such as magnesium stearate, stearic acid or talc.
Tablets may be uncoated or may be coated by known techniques including microencapsulation to delay disintegration and adsorption in the gastrointestinal tract and thereby provide a sustained action over a longer period. For example, a time delay material such as glyceryl monostearate or glyceryl distearate alone or with a wax may be employed.
Formulations for oral use may be also presented as hard gelatin capsules where the active ingredient is mixed with an inert solid diluent, for example celluloses, lactose, calcium phosphate or kaolin, or as soft gelatin capsules wherein the active ingredient is mixed with non-aqueous or oil medium, such as glycerin, propylene glycol, polyethylene glycol, peanut oil, liquid paraffin or olive oil.
In another embodiment, pharmaceutical compositions may be formulated as suspensions comprising a compound of the embodiments in admixture with at least one pharmaceutically acceptable excipient suitable for the manufacture of a suspension.
In yet another embodiment, pharmaceutical compositions may be formulated as dispersible powders and granules suitable for preparation of a suspension by the addition of suitable excipients.
Excipients suitable for use in connection with suspensions include suspending agents, such as sodium carboxymethylcellulose, methylcellulose, hydroxypropyl methylcellulose, sodium alginate, polyvinylpyrrolidone, gum tragacanth, gum acacia, dispersing or wetting agents such as a naturally occurring phosphatide (e.g., lecithin), a condensation product of an alkylene oxide with a fatty acid (e.g., polyoxyethylene stearate), a condensation product of ethylene oxide with a long chain aliphatic alcohol (e.g., heptadecaethyleneoxycethanol), a condensation product of ethylene oxide with a partial ester derived from a fatty acid and a hexitol anhydride (e.g., polyoxyethylene sorbitan monooleate); polysaccharides and polysaccharide-like compounds (e.g. dextran sulfate); glycoaminoglycans and glycosaminoglycan-like compounds (e.g., hyaluronic acid); and thickening agents, such as carbomer, beeswax, hard paraffin or cetyl alcohol. The suspensions may also contain one or more preservatives such as acetic acid, methyl and/or n-propyl p-hydroxy-benzoate; one or more coloring agents; one or more flavoring agents; and one or more sweetening agents such as sucrose or saccharin.
The pharmaceutical compositions may also be in the form of oil-in water emulsions. The oily phase may be a vegetable oil, such as olive oil or arachis oil, a mineral oil, such as liquid paraffin, or a mixture of these. Suitable emulsifying agents include naturally-occurring gums, such as gum acacia and gum tragacanth; naturally occurring phosphatides, such as soybean lecithin, esters or partial esters derived from fatty acids; hexitol anhydrides, such as sorbitan monooleate; and condensation products of these partial esters with ethylene oxide, such as polyoxyethylene sorbitan monooleate. The emulsion may also contain sweetening and flavoring agents. Syrups and elixirs may be formulated with sweetening agents, such as glycerol, sorbitol or sucrose. Such formulations may also contain a demulcent, a preservative, a flavoring or a coloring agent.
Additionally, the pharmaceutical compositions may be in the form of a sterile injectable preparation, such as a sterile injectable aqueous emulsion or oleaginous suspension. This emulsion or suspension may be formulated according to the known art using those suitable dispersing or wetting agents and suspending agents which have been mentioned above. The sterile injectable preparation may also be a sterile injectable solution or suspension in a non-toxic parenterally acceptable diluent or solvent, such as a solution in 1,2-propane-diol.
The sterile injectable preparation may also be prepared as a lyophilized powder. Among the acceptable vehicles and solvents that may be employed are water, Ringer's solution, and isotonic sodium chloride solution. In addition, sterile fixed oils may be employed as a solvent or suspending medium. For this purpose any bland fixed oil may be employed including synthetic mono- or diglycerides. In addition, fatty acids such as oleic acid may likewise be used. In some embodiments be used in the preparation of injectables.
The pharmaceutical composition may also be in the form of a solution of a salt form of the active ingredient in an appropriate aqueous vehicle, such as water or isotonic saline or dextrose solution. Also contemplated are compounds which have been modified by substitutions or additions of chemical or biochemical moieties which make them more suitable for delivery (e.g., increase solubility, bioactivity, palatability, decrease adverse reactions, etc.), for example by esterification, glycosylation, PEGylation, and complexation.
Many therapeutics have undesirably short half-lives and/or undesirable toxicity. Thus, the concept of improving half-life or toxicity is applicable to various treatments and fields. Pharmaceutical compositions can be prepared, however, by complexing the therapeutic with a biochemical moiety to improve such undesirable properties. Proteins are a particular biochemical moiety that may be complexed with a CSA for administration in a wide variety of applications. In some embodiments, one or more CSA compounds are complexed with a protein. In some embodiments, one or more CSA compounds are complexed with a protein to increase the CSA compounds's half-life. In other embodiments, one or more CSA compounds are complexed with a protein to decrease the CSA compounds's toxicity. Albumin is a particularly preferred protein for complexation with a CSA compound. In some embodiments, the albumin is fat-free albumin.
With respect to the CSA therapeutic, the biochemical moiety for complexation can be added to the pharmaceutical composition as 0.25, 0.5, 0.75, 1, 1.5, 2, 2.5, 3, 3.5, 4, 4.5, 5, 10, 20, 50, or 100 weight equivalents, or a range bounded by any two of the aforementioned numbers, or about any of the numbers. In some embodiments, the weight ratio of albumin to CSA is about 18:1 or less, such as about 9:1 or less. In some embodiments, the CSA is coated with albumin.
Alternatively, or in addition, non-biochemical compounds can be added to the pharmaceutical compositions to reduce the toxicity of the therapeutic and/or improve the half-life. Suitable amounts and ratios of an additive that can reduce toxicity can be determined via a cellular assay. With respect to the CSA therapeutic, toxicity reducing compounds can be added to the pharmaceutical composition as 0.25, 0.5, 0.75, 1, 1.5, 2, 2.5, 3, 3.5, 4, 4.5, 5, 10, 20, 50, or 100 weight equivalents, or a range bounded by any two of the aforementioned numbers, or about any of the numbers. In some embodiments, the toxicity reducing compound is a cocoamphodiacetate such as Miranol® (disodium cocoamphodiacetate). In other embodiments, the toxicity reducing compound is an amphoteric surfactant. In some embodiments, the toxicity reducing compound is a surfactant. In other embodiments, the molar ratio of cocoamphodiacetate to CSA is between about 8:1 and 1:1, preferably about 4:1. In some embodiments, the toxicity reducing compound is allantoin.
In some embodiments, a CSA composition is prepared utilizing one or more surfactants. In specific embodiments, the CSA is complexed with one or more poloxamer surfactants. Poloxamer surfactants are nonionic triblock copolymers composed of a central hydrophobic chain of polyoxypropylene (poly(propylene oxide)) flanked by two hydrophilic chains of polyoxyethylene (poly(ethylene oxide)). In some embodiments, the poloxamer is a liquid, paste, or flake (solid). Examples of suitable poloxamers include those by the trade names Synperonics, Pluronics, or Kolliphor. In some embodiments, one or more of the poloxamer surfactant in the composition is a flake poloxamer. In some embodiments, the one or more poloxamer surfactant in the composition has a molecular weight of about 3600 g/mol for the central hydrophobic chain of polyoxypropylene and has about 70% polyoxyethylene content. In some embodiments, the ratio of the one or more poloxamer to CSA is between about 50 to 1; about 40 to 1; about 30 to 1; about 20 to 1; about 10 to 1; about 5 to 1; about 1 to 1; about 1 to 10; about 1 to 20; about 1 to 30; about 1 to 40; or about 1 to 50. In other embodiments, the ratio of the one or more poloxamer to CSA is between 50 to 1; 40 to 1; 30 to 1; 20 to 1; 10 to 1; 5 to 1; 1 to 1; 1 to 10; 1 to 20; 1 to 30; 1 to 40; or 1 to 50. In some embodiments, the ratio of the one or more poloxamer to CSA is between about 50 to 1 to about 1 to 50. In other embodiments, the ratio of the one or more poloxamer to CSA is between about 30 to 1 to about 3 to 1. In some embodiments, the poloxamer is Pluronic F127.
The amount of poloxamer may be based upon a weight percentage of the composition. In some embodiments, the amount of poloxamer is about 10%, 15%, 20%, 25%, 30%, 35%, 40%, about any of the aforementioned numbers, or a range bounded by any two of the aforementioned numbers or the formulation. In some embodiments, the one or more poloxamer is between about 10% to about 40% by weight of a formulation administered to the patient. In some embodiments, the one or more poloxamer is between about 20% to about 30% by weight of the formulation. In some embodiments, the formulation contains less than about 50%, 40%, 30%, 20%, 10%, 5%, or 1% of CSA, or about any of the aforementioned numbers. In some embodiments, the formulation contains less than about 20% by weight of CSA.
The above described poloxamer formulations are particularly suited for the methods of treatment, device coatings, preparation of unit dosage forms (e.g., solutions, mouthwashes, injectables), etc.
In one embodiment, the compounds described herein may be formulated for oral administration in a lipid-based formulation suitable for low solubility compounds. Lipid-based formulations can generally enhance the oral bioavailability of such compounds.
As such, a pharmaceutical composition compr In some embodiments a therapeutically or prophylactically effective amount of a compound described herein, together with at least one pharmaceutically acceptable excipient selected from the group consisting of—medium chain fatty acids or propylene glycol esters thereof (e.g., propylene glycol esters of edible fatty acids such as caprylic and capric fatty acids) and pharmaceutically acceptable surfactants such as polyoxyl 40 hydrogenated castor oil.
In an alternative preferred embodiment, cyclodextrins may be added as aqueous solubility enhancers. Preferred cyclodextrins include hydroxypropyl, hydroxyethyl, glucosyl, maltosyl and maltotriosyl derivatives of α-, β-, and γ-cyclodextrin. A particularly preferred cyclodextrin solubility enhancer is hydroxypropyl-o-cyclodextrin (BPBC), which may be added to any of the above-described compositions to further improve the aqueous solubility characteristics of the compounds of the embodiments. In one embodiment, the composition compr In some embodiments about 0.1% to about 20% hydroxypropyl-o-cyclodextrin, more preferably about 1% to about 15% hydroxypropyl-o-cyclodextrin, and even more preferably from about 2.5% to about 10% hydroxypropyl-o-cyclodextrin. The amount of solubility enhancer employed will depend on the amount of the compound of the embodiments in the composition.
In some exemplary embodiments, a CSA compr In some embodiments a multimer (e.g., a dimer, trimer, tetramer, or higher order polymer). In some exemplary embodiments, the CSA compounds can be incorporated into pharmaceutical compositions or formulations. Such pharmaceutical compositions/formulations are useful for administration to a subject, in vivo or ex vivo. Pharmaceutical compositions and formulations include carriers or excipients for administration to a subject.
Such formulations include solvents (aqueous or non-aqueous), solutions (aqueous or non-aqueous), emulsions (e.g., oil-in-water or water-in-oil), suspensions, syrups, elixirs, dispersion and suspension media, coatings, isotonic and absorption promoting or delaying agents, compatible with pharmaceutical administration or in vivo contact or delivery. Aqueous and non-aqueous solvents, solutions and suspensions may include suspending agents and thickening agents. Such pharmaceutically acceptable carriers include tablets (coated or uncoated), capsules (hard or soft), microbeads, powder, granules and crystals. Supplementary active compounds (e.g., preservatives, antibacterial, antiviral and antifungal agents) can also be incorporated into the compositions.
Cosolvents and adjuvants may be added to the formulation. Non-limiting examples of cosolvents contain hydroxyl groups or other polar groups, for example, alcohols, such as isopropyl alcohol; glycols, such as propylene glycol, polyethyleneglycol, polypropylene glycol, glycol ether; glycerol; polyoxyethylene alcohols and polyoxyethylene fatty acid esters. Adjuvants include, for example, surfactants such as, soya lecithin and oleic acid; sorbitan esters such as sorbitan trioleate; and polyvinylpyrrolidone.
A pharmaceutical composition and/or formulation contains a total amount of the active ingredient(s) sufficient to achieve an intended therapeutic effect.
Dosages
The formulations may, for convenience, be prepared or provided as a unit dosage form. Preparation techniques include bringing into association the active ingredient (e.g., CSA/ceragenin) and a pharmaceutical carrier(s) or excipient(s). In general, formulations are prepared by uniformly and intimately associating the active ingredient with liquid carriers or finely divided solid carriers or both, and then, if necessary, shaping the product. For example, a tablet may be made by compression or molding. Compressed tablets may be prepared by compressing, in a suitable machine, an active ingredient (e.g., a CSA/ceragenin) in a free-flowing form such as a powder or granules, optionally mixed with a binder, lubricant, inert diluent, preservative, surface-active or dispersing agent. Molded tablets may be produced by molding, in a suitable apparatus, a mixture of powdered compound (e.g., CSA/ceragenin) moistened with an inert liquid diluent. The tablets may optionally be coated or scored and may be formulated so as to provide a slow or controlled release of the active ingredient therein.
Compounds (e.g., CSA compounds/ceragenins), including pharmaceutical formulations can be packaged in unit dosage forms for ease of administration and uniformity of dosage. A “unit dosage form” as used herein refers to a physically discrete unit suited as unitary dosages for the subject to be treated; each unit containing a predetermined quantity of compound optionally in association with a pharmaceutical carrier (excipient, diluent, vehicle or filling agent) which, when administered in one or more doses, is calculated to produce a desired effect (e.g., prophylactic or therapeutic effect or benefit). Unit dosage forms can contain a daily dose or unit, daily sub-dose, or an appropriate fraction thereof, of an administered compound (e.g., CSA/ceragenin). Unit dosage forms also include, for example, capsules, troches, cachets, lozenges, tablets, ampules and vials, which may include a composition in a freeze-dried or lyophilized state; a sterile liquid carrier, for example, can be added prior to administration or delivery in vivo. Unit dosage forms additionally include, for example, ampules and vials with liquid compositions disposed therein. Unit dosage forms further include compounds for transdermal administration, such as “patches” that contact with the epidermis of the subject for an extended or brief period of time. The individual unit dosage forms can be included in multi-dose kits or containers. Pharmaceutical formulations can be packaged in single or multiple unit dosage forms for ease of administration and uniformity of dosage.
Compounds (e.g., CSA compounds/ceragenins) can be administered in accordance with the methods at any frequency as a single bolus or multiple dose e.g., one, two, three, four, five, or more times hourly, daily, weekly, monthly, or annually or between about 1 to 10 days, weeks, months, or for as long as appropriate. Exemplary frequencies are typically from 1-7 times, 1-5 times, 1-3 times, 2-times or once, daily, weekly or monthly. Timing of contact, administration ex vivo or in vivo delivery can be dictated by the infection, pathogenesis, symptom, pathology or adverse side effect to be treated. For example, an amount can be administered to the subject substantially contemporaneously with, or within about 1-60 minutes or hours of the onset of a symptom or adverse side effect, pathogenesis, or vaccination. Long-acting pharmaceutical compositions may be administered twice a day, once a day, once every two days, three times a week, twice a week, every 3 to 4 days, or every week depending on half-life and clearance rate of the particular formulation. For example, in an embodiment, a pharmaceutical composition contains an amount of a compound as described herein that is selected for administration to a patient on a schedule selected from: twice a day, once a day, once every two days, three times a week, twice a week, and once a week.
Localized delivery is also contemplated, including but not limited to delivery techniques in which the compound is implanted, injected, infused, or otherw In some embodiments locally delivered. Localized delivery is characterized by higher concentrations of drug at the site of desired action (e.g., the tumor or organ to be treated) versus systemic concentrations of the drug. Well-known localized delivery forms can be used, including long-acting injections; infusion directly into the site of action; depot delivery forms; controlled or sustained delivery compositions; transdermal patches; infusion pumps; and the like. The CSA can further be incorporated into a biodegradable or bioerodible material or be put into or on a medical device.
Doses may vary depending upon whether the treatment is therapeutic or prophylactic, the onset, progression, severity, frequency, duration, probability of or susceptibility of the symptom, the type pathogenesis to which treatment is directed, clinical endpoint desired, previous, simultaneous or subsequent treatments, general health, age, gender or race of the subject, bioavailability, potential adverse systemic, regional or local side effects, the presence of other disorders or d In some embodimentsases in the subject, and other factors that will be appreciated by the skilled artisan (e.g., medical or familial history). Dose amount, frequency or duration may be increased or reduced, as indicated by the clinical outcome desired, status of the infection, symptom or pathology, any adverse side effects of the treatment or therapy. The skilled artisan will appreciate the factors that may influence the dosage, frequency and timing required to provide an amount sufficient or effective for providing a prophylactic or therapeutic effect or benefit. The exact dosage will be determined by the practitioner, in light of factors related to the subject that requires treatment. Dosage and administration are adjusted to provide sufficient levels of the active agent(s) or to maintain the desired effect. It will be appreciated that treatment as described herein includes preventing a d In some embodimentsase, ameliorating symptoms, slowing d In some embodimentsase progression, reversing damage, or curing a din some embodimentsase.
The dosage may range broadly, depending upon the desired effects and the therapeutic indication. Alternatively dosages may be based and calculated upon the surface area of the patient, as understood by those of skill in the art. Although the exact dosage will be determined on a drug-by-drug basis, in most cases, some generalizations regarding the dosage can be made. The systemic daily dosage regimen for an adult human patient may be, for example, an oral dose of between 0.01 mg and 3000 mg of the active ingredient, preferably between 1 mg and 700 mg, e.g. 5 to 200 mg. In some embodiments, the daily dosage regimen is 1 mg, 5 mg, 10, mg, 25 mg, 50 mg, 75 mg, 100 mg, 150 mg, 200 mg, 250 mg, 300 mg, 350 mg, 400 mg, 450 mg, 500 mg, 550 mg, 600 mg, 650 mg, 700 mg, or about any of the aforementioned numbers or a range bounded by any two of the aforementioned numbers. The dosage may be a single one or a series of two or more given in the course of one or more days, as is needed by the subject. In some embodiments, the compounds will be administered for a period of continuous therapy, for example for a week or more, or for months or years. Doses tailored for particular types of cancers or particular patients can be selected based, in part, on the GI50, TGI, and LC50values set forth in the Examples that follow. Particularly preferred formulations for oral dosage include tablet or solutions, particularly solutions compatible with IV administration or solutions compatible with oral administration/use.
In instances where human dosages for compounds have been established for at least some condition, those same dosages may be used, or dosages that are between about 0.1% and 500%, more preferably between about 25% and 250% of the established human dosage. Where no human dosage is established, as will be the case for newly-discovered pharmaceutical compositions, a suitable human dosage can be inferred from ED50or ID50values, or other appropriate values derived from in vitro or in vivo studies, as qualified by toxicity studies and efficacy studies in animals.
In cases of administration of a pharmaceutically acceptable salt, dosages may be calculated as the free base. As will be understood by those of skill in the art, in certain situations it may be necessary to administer the compounds disclosed herein in amounts that exceed, or even far exceed, the above-stated, preferred dosage range in order to effectively and aggressively treat particularly aggressive diseases or conditions.
Dosage amount and interval may be adjusted individually to provide plasma levels of the active moiety which are sufficient to maintain the modulating effects, or minimal effective concentration (MEC). For example, therapeutic dosages may result in plasma levels of 0.05 μg/mL, 0.1 μg/mL, 0.5 μg/mL, 1 μg/mL, 5 μg/mL, 10 μg/mL, 15 μg/mL, 20 μg/mL, 2 μg/mL, 30 μg/mL, 35 μg/mL, 40 μg/mL, 45 μg/mL, 50 μg/mL, 55 μg/mL, 60 μg/mL, 65 μg/mL, 70 μg/mL, 75 μg/mL, 80 μg/mL, 85 μg/mL, 90 μg/mL, 95 μg/mL, 100 μg/mL, a range bounded by any two of the aforementioned numbers, or about any of the aforementioned numbers and ranges. In some embodiments, the therapeutic dose is sufficient to establish plasma levels in the range of about 0.1 μg/mL to about 10 μg/mL. In other embodiments, the therapeutic dose is sufficient to establish plasma levels in the range of 1 μg/mL to 20 μg/mL. The MEC will vary for each compound but can be estimated from in vitro data. Dosages necessary to achieve the MEC will depend on individual characteristics and route of administration. However, HPLC assays or bioassays can be used to determine plasma concentrations. Dosage intervals can also be determined using MEC value. Compositions should be administered using a regimen which maintains plasma levels above the MEC for 10-90% of the time, preferably between 30-90% and most preferably between 50-90%. In cases of local administration or selective uptake, the effective local concentration of the drug may not be related to plasma concentration.
Compounds disclosed herein can be evaluated for efficacy and toxicity using known methods. For example, the toxicology of a particular compound, or of a subset of the compounds, sharing certain chemical moieties, may be established by determining in vitro toxicity towards a cell line, such as a mammalian, and preferably human, cell line. The results of such studies are often predictive of toxicity in animals, such as mammals, or more specifically, humans. Alternatively, the toxicity of particular compounds in an animal model, such as mice, rats, rabbits, or monkeys, may be determined using known methods. The efficacy of a particular compound may be established using several recognized methods, such as in vitro methods, animal models, or human clinical trials. When selecting a model to determine efficacy, the skilled artisan can be guided by the state of the art to choose an appropriate model, dose, route of administration and/or regime.
As described herein, the methods of the embodiments also include the use of a compound or compounds as described herein together with one or more additional therapeutic agents for the treatment of diseases or conditions. Thus, for example, the combination of active ingredients may be: (1) co-formulated and administered or delivered simultaneously in a combined formulation; (2) delivered by alternation or in parallel as separate formulations; or (3) by any other combination therapy regimen known in the art. When delivered in alternation therapy, the methods described herein may compr In some embodiments administering or delivering the active ingredients sequentially, e.g., in separate solution, emulsion, suspension, tablets, pills or capsules, or by different injections in separate syringes. In general, during alternation therapy, an effective dosage of each active ingredient is administered sequentially, e.g., serially, whereas in simultaneous therapy, effective dosages of two or more active ingredients are administered together. Various sequences of intermittent combination therapy may also be used.
Co-Administration:
As used herein, “co-administration” means concurrently or administering one substance followed by beginning the administration of a second substance within 24 hours, 20 hours, 16 hours, 12 hours, 8 hours, 4 hours, 1 hour, 30 minutes, 15 minutes, 5 minutes, 1 minute, a range bounded by any two of the aforementioned numbers, and/or about any of the aforementioned numbers.
In some embodiments, one or more CSA/ceragenin are co-administered. In other embodiments, the co-administration of CSA/ceragenin accounts for their therapeutic benefit. In some embodiments, co-administration is concurrent.
Some embodiments are directed to the use of companion diagnostics to identify an appropriate treatment for the patient. A companion diagnostic is an in vitro diagnostic test or device that provides information that is essential for the safe and effective use of a corresponding therapeutic product. Such tests or devices can identify patients likely to be at risk for adverse reactions as a result of treatment with a particular therapeutic product. Such tests or devices can also monitor responsiveness to treatment (or estimate responsiveness to possible treatments). Such monitoring may include schedule, dose, discontinuation, or combinations of therapeutic agents. In some embodiments, the CSA/ceragenin is selected by measuring a biomarker in the patient. The term biomarker includes, but is not limited to, genetic regulation, protein levels, RNA levels, and cellular responses such as cytotoxicity.
Methods and Uses:
CSA compounds/ceragenins have utility for known and new therapies and uses including, but not limited to anti-bacterial, anti-cancer, anti-inflammatory, bone growth, and wound healing. Moreover, many of the CSA compounds described herein exhibit one or more of the aforementioned properties as well as possess improved solution stability, lipophilicity, and favorable elution profiles and stabilities in various media, polymers, and hydrogels. Such properties are of critical concern for the handling and use of CSA compounds as pharmaceutical agents.
Synthesis of CSA Compounds:
Compounds described herein can be prepared by known methods. A skilled artisan will readily understand that minor variations of starting materials and reagents may be utilized to prepare known and novel cationic steroidal antimicrobials. For example, the preparation of CSA-131 can be used to prepare CSA-132 by using a C18-alkylamine rather than a C12-alkylamine as disclosed. Schematically, for example, the preparation of certain compounds can be accomplished according to Schemes 1 and 2 as follows:
Figure US11286276-20220329-C00014
Figure US11286276-20220329-C00015
As shown above, compound C-1 is converted to the tetra-ol, compound C-2, using a reducing reagent such as lithium aluminum hydride. Treatment of C-2 with a protecting group (“PG”) reagent selectively protects the primary alcohol providing compound C-3. A variety of alcohol protecting groups may be used for this transformation. See, e.g., T. W. Greene and P. G. M. Wuts,Protective Groups in Organic Synthesis,3. Ed. John Wiley & Sons, 1999, and in J. F. W. McOmie,Protective Groups in Organic ChemistryPlenum Press, 1973. Subsequent treatment of C-3 with allylbromide provides the allyl-ether functionalized compound C-4. Treatment of C-4 with ozone and subsequent reduction provides tri-ol C-5. C-5 is then treated with a reagent to create an oxygen-containing leaving group, such as methane sulfonyl chloride (“MsCl”), which is subsequently displaced upon treatment with nucleophilic azide resulting in the formation of C-6. The protection alcohol functionality of C-6 is deprotected using standard conditions and treated with a leaving group reagent as described above. The leaving group is then displaced by treatment with an optionally substituted alkyl amine to provide C-7. C-7 is then subjected to reduction, using standard conditions, to reduce the azido functional groups to amines, resulting in C-8. A skilled artisan will readily appreciate that this general synthetic scheme can be modified to prepare the CSA compounds described herein, including CSA compounds with substituents and functional groups that are different from those generally described above.
Figure US11286276-20220329-C00016
Figure US11286276-20220329-C00017
As shown above, compound C-1 is converted to the tetra-ol, compound C-2, using a reducing reagent such as lithium aluminum hydride. Treatment of C-2 with a protecting group (“PG”) reagent selectively protects the primary alcohol providing compound C-3. A variety of alcohol protecting groups may be used for this transformation. See, e.g., T. W. Greene and P. G. M. Wuts,Protective Groups in Organic Synthesis,3. Ed. John Wiley & Sons, 1999, and in J. F. W. McOmie,Protective Groups in Organic ChemistryPlenum Press, 1973. Compound C-3 is subsequently treated with esterification reagents [such as dicyclohexylcarbodiimide and N-hydroxysuccinimide, followed by 3-PG-aminopropanoic acid (the protected amine derivative of 3-aminopropanoic acid)] to provide compound C-9. Compound C-9 is deprotected using standard conditions and treated with a reagent to form a suitable leaving group (e.g. mesyl chloride) as described above, to provide C-10. Treatment of C-10 with an optionally substituted alkyl amine provides compound C-11, which is subjected to standard amine-deprotection conditions to provide CSA C-12.
Non-limiting examples of CSA compounds described in the present application are generally illustrated in the table below (wherein in this table, CXXindicates an unsubstituted, linear alkyl group having X carbon atoms). For example, —C2would represent ethyl or —CH2CH3; —C3would represent propyl or —CH2CH2CH3, —C12would represent —CH2CH2CH2CH2CH2CH2CH2CH2CH2CH2CH2CH3; etc. A skilled artisan would also readily understand, as a further example, that an alternative representation of —C12would be —(CH2)11CH3. These CSA compounds can be prepared according to Schemes 1 or 2 above.
Figure US11286276-20220329-C00018
Figure US11286276-20220329-C00019
An alternative representation of these examples is as follows:
Figure US11286276-20220329-C00020
Figure US11286276-20220329-C00021
Using the above-described processes and procedures, additional CSA compounds generally and specifically described herein are synthesized and evaluated for their relative therapeutic efficacy.
Compounds of the invention and precursors to the compounds according to the invention are available commercially, e.g., from Sigm-Aldrich Co., St. Louis; MO; and Research Plus, Inc., Manasquan, N.J. Other compounds according to the invention can be synthesized according to methods disclosed herein and in the art.
Unless otherwise defined, all technical and scientific terms used herein have the same meaning as commonly understood by one of ordinary skill in the art to which this invention belongs. Although methods and materials similar or equivalent to those described herein can be used in the practice or study of the present invention, suitable methods and materials are described herein.
All of the features disclosed herein may be combined in any combination. Each feature disclosed in the specification may be replaced by an alternative feature serving a same, equivalent, or similar purpose. Thus, unless expressly stated otherw In some embodiments, disclosed features (e.g., compound structures) are an example of a genus of equivalent or similar features. All applications, publications, patents and other references, GenBank citations and ATCC citations cited herein are incorporated by reference in their entirety. In case of conflict, the specification, including definitions, will control.
As used herein, all numerical values or numerical ranges include integers within such ranges and fractions of the values or the integers within ranges unless the context clearly indicates otherwise. Thus, to illustrate, reference to a range of 90-100%, includes 91%, 92%, 93%, 94%, 95%, 95%, 97%, etc., as well as 91.1%, 91.2%, 91.3%, 91.4%, 91.5%, etc., 92.1%, 92.2%, 92.3%, 92.4%, 92.5%, etc., and so forth. Reference to a range of 0-72 hrs, includes 1, 2, 3, 4, 5, 6, 7 hrs, etc., as well as 1, 2, 3, 4, 5, 6, 7 minutes, etc., and so forth. Reference to a range of 0-72 hrs, includes 1, 2, 3, 4, 5, 6, 7 hrs, etc., as well as 1, 2, 3, 4, 5, 6, 7 minutes, etc., and so forth. Reference to a range of doses, such as 0.1-1 μg/kg, 1-10 μg/kg, 10-25 μg/kg, 25-50 μg/kg, 50-100 μg/kg, 100-500 μg/kg, 500-1,000 μg/kg, 1-5 mg/kg, 5-10 mg/kg, 10-20 mg/kg, 20-50 mg/kg, 50-100 mg/kg, 100-250 mg/kg, 250-500 mg/kg, includes 0.11-0.9 μg/kg, 2-9 μg/kg, 11.5-24.5 μg/kg, 26-49 μg/kg, 55-90 μg/kg, 125-400 μg/kg, 750-800 μg/kg, 1.1-4.9 mg/kg, 6-9 mg/kg, 11.5-19.5 mg/kg, 21-49 mg/kg, 55-90 mg/kg, 125-200 mg/kg, 275.5-450.1 mg/kg, etc. A series of ranges, for example, 1-10 μg/kg, 10-25 μg/kg, 25-50 μg/kg, 50-100 μg/kg, 100-500 μg/kg, 500-1,000 μg/kg, 1-5 mg/kg, 5-10 mg/kg, 10-20 mg/kg, 20-50 mg/kg, 50-100 mg/kg, 100-250 mg/kg, 250-500 mg/kg, includes 1-25 μg/kg, 10-25 μg/kg, 25-100 μg/kg, 100-1,000 μg/kg, 1-10 mg/kg, 1-20 mg/kg etc.
The invention is generally disclosed herein using affirmative language to describe the numerous embodiments. The invention also includes embodiments in which subject matter is excluded, in full or in part, such as substances or materials, method steps and conditions, protocols, or procedures. Thus, even though the invention is generally not expressed herein in terms of what the invention does not include aspects that are not expressly excluded in the invention are nevertheless disclosed herein.
A number of embodiments of the invention have been described. Nevertheless, one skilled in the art, without departing from the spirit and scope of the invention, can make various changes and modifications of the invention to adapt it to various usages and conditions. For example, salts, esters, ethers and amides of invention compounds disclosed herein are within the scope of this invention. Accordingly, the following examples are intended to illustrate but not limit the scope of invention described in the claims.
Examples
Syntheses of CSA-131, 132, 134, and 136-138 followed the published procedures used to generate CSA-13 (Li, C.; Budge, L. P.; Driscoll, C. D.; Willardson, B. M.; Allman, G. W.; Savage, P. B.J. Am. Chem. Soc.1999, 121, 931-940. Incremental conversion of outer-membrane permeabilizers into potent antibiotics for Gram-negative bacteria.) except that tetradecylamine, decylamine, undecylamine or tridecylamine was substituted for octylamine. Mass spectra showed the expected molecular ions for CSA-131, 132, 134, 136-138, and NMR spectra showed the expected resonances.
Syntheses of CSA-142 and 144-146 followed the published procedures used to generate CSA-44 (Guan, Q.; Schmidt, E. J.; Boswell, S. R.; Li, C.; Allman, G. W.; Savage, P. B.Org. Lett.2000, 2, 2837-2840. Preparation and characterization of cholic acid-derived antimicrobial agents with controlled stabilities.) except that decanol, nonanol or heptanol was substituted for octanol. Mass spectra showed the expected molecular ions for CSA-142 and 144-146, and NMR spectra showed the expected resonances.
CONCLUSION
Furthermore, although the foregoing has been described in some detail by way of illustrations and examples for purposes of clarity and understanding, it will be understood by those of skill in the art that numerous and various modifications can be made without departing from the spirit of the present disclosure. Therefore, it should be clearly understood that the forms disclosed herein are illustrative only and are not intended to limit the scope of the present disclosure, but rather to also cover all modification and alternatives coming with the true scope and spirit of the invention.

Claims (28)

The invention claimed is:
US15/481,8842014-01-232017-04-07Cationic steroidal antimicrobialsActive2035-05-09US11286276B2 (en)

Priority Applications (1)

Application NumberPriority DateFiling DateTitle
US15/481,884US11286276B2 (en)2014-01-232017-04-07Cationic steroidal antimicrobials

Applications Claiming Priority (4)

Application NumberPriority DateFiling DateTitle
US201461930580P2014-01-232014-01-23
US201461945681P2014-02-272014-02-27
US14/602,071US20150203527A1 (en)2014-01-232015-01-21Cationic steroidal antimicrobials
US15/481,884US11286276B2 (en)2014-01-232017-04-07Cationic steroidal antimicrobials

Related Parent Applications (1)

Application NumberTitlePriority DateFiling Date
US14/602,071DivisionUS20150203527A1 (en)2014-01-232015-01-21Cationic steroidal antimicrobials

Publications (2)

Publication NumberPublication Date
US20170210776A1 US20170210776A1 (en)2017-07-27
US11286276B2true US11286276B2 (en)2022-03-29

Family

ID=53544203

Family Applications (2)

Application NumberTitlePriority DateFiling Date
US14/602,071AbandonedUS20150203527A1 (en)2014-01-232015-01-21Cationic steroidal antimicrobials
US15/481,884Active2035-05-09US11286276B2 (en)2014-01-232017-04-07Cationic steroidal antimicrobials

Family Applications Before (1)

Application NumberTitlePriority DateFiling Date
US14/602,071AbandonedUS20150203527A1 (en)2014-01-232015-01-21Cationic steroidal antimicrobials

Country Status (1)

CountryLink
US (2)US20150203527A1 (en)

Families Citing this family (31)

* Cited by examiner, † Cited by third party
Publication numberPriority datePublication dateAssigneeTitle
US9943614B2 (en)2008-06-172018-04-17Brigham Young UniversityCationic steroid antimicrobial diagnostic, detection, screening and imaging methods
CA2842460C (en)2011-07-202019-08-20Brigham Young UniversityHydrophobic ceragenin compounds and devices incorporating same
US9694019B2 (en)2011-09-132017-07-04Brigham Young UniversityCompositions and methods for treating bone diseases and broken bones
US9603859B2 (en)2011-09-132017-03-28Brigham Young UniversityMethods and products for increasing the rate of healing of tissue wounds
BR112014015144B1 (en)2011-12-212018-03-27Brigham Young University AQUOSO COMPOSITION FOR ORAL CARE, USE OF A CATIONIC STEROID COMPOUND AND NON-THERAPEUTIC METHOD FOR REDUCING VOLAFLE SULFUR COMPOUNDS
US9533063B1 (en)2012-03-012017-01-03Brigham Young UniversityAerosols incorporating ceragenin compounds and methods of use thereof
EP2846634A2 (en)2012-05-022015-03-18Brigham Young UniversityCeragenin particulate materials and methods for making same
AU2013331136B2 (en)2012-10-172016-05-12Brigham Young UniversityTreatment and prevention of mastitis
CN105451742B (en)2013-01-072021-04-06布莱阿姆青年大学Methods for reducing cell proliferation and treating certain diseases
US10568893B2 (en)2013-03-152020-02-25Brigham Young UniversityMethods for treating inflammation, autoimmune disorders and pain
US11524015B2 (en)2013-03-152022-12-13Brigham Young UniversityMethods for treating inflammation, autoimmune disorders and pain
CN110420211A (en)2013-03-152019-11-08布莱阿姆青年大学The method for treating inflammation, autoimmune disease and pain
US9387215B2 (en)2013-04-222016-07-12Brigham Young UniversityAnimal feed including cationic cholesterol additive and related methods
US11690855B2 (en)2013-10-172023-07-04Brigham Young UniversityMethods for treating lung infections and inflammation
US20150203527A1 (en)2014-01-232015-07-23Brigham Young UniversityCationic steroidal antimicrobials
CA2844321C (en)2014-02-272021-03-16Brigham Young UniversityCationic steroidal antimicrobial compounds
US10220045B2 (en)2014-03-132019-03-05Brigham Young UniversityCompositions and methods for forming stabilized compositions with reduced CSA agglomeration
US9867836B2 (en)2014-03-132018-01-16Brigham Young UniversityLavage and/or infusion using CSA compounds for increasing fertility in a mammal
US9931350B2 (en)2014-03-142018-04-03Brigham Young UniversityAnti-infective and osteogenic compositions and methods of use
US9686966B2 (en)2014-04-302017-06-27Brigham Young UniversityMethods and apparatus for cleaning or disinfecting a water delivery system
US10441595B2 (en)2014-06-262019-10-15Brigham Young UniversityMethods for treating fungal infections
US10238665B2 (en)2014-06-262019-03-26Brigham Young UniversityMethods for treating fungal infections
US10227376B2 (en)2014-08-222019-03-12Brigham Young UniversityRadiolabeled cationic steroid antimicrobials and diagnostic methods
US10155788B2 (en)2014-10-072018-12-18Brigham Young UniversityCationic steroidal antimicrobial prodrug compositions and uses thereof
WO2016172553A1 (en)2015-04-222016-10-27Savage Paul BMethods for the synthesis of ceragenins
US10370403B2 (en)2015-04-222019-08-06Brigham Young UniversityMethods for the synthesis of ceragenins
US9434759B1 (en)2015-05-182016-09-06Brigham Young UniversityCationic steroidal antimicrobial compounds and methods of manufacturing such compounds
US20170080128A1 (en)*2015-09-212017-03-23Brigham Young UniversityNovel endotracheal tube for the reduction of intubation-related complication in neonates and babies
US10226550B2 (en)*2016-03-112019-03-12Brigham Young UniversityCationic steroidal antimicrobial compositions for the treatment of dermal tissue
US10959433B2 (en)2017-03-212021-03-30Brigham Young UniversityUse of cationic steroidal antimicrobials for sporicidal activity
US12186328B2 (en)2019-05-232025-01-07Brigham Young UniversityUse of CSA compounds to stimulate stem cells and hair growth

Citations (196)

* Cited by examiner, † Cited by third party
Publication numberPriority datePublication dateAssigneeTitle
US821187A (en)1906-05-22peters
US3843779A (en)1971-03-221974-10-22Colgate Palmolive CoProcess for preparing stable dentifrice
US4248236A (en)1978-12-261981-02-03Linder Gerald SPackaged medical appliance
US4284236A (en)1978-05-171981-08-18Carrier Drysys LimitedAir conditioning system
US4289755A (en)1980-11-031981-09-15Richardson-Vicks Inc.Stable mouthwash compositions containing zinc and fluoride compounds
US4296206A (en)1980-04-301981-10-20United States Of AmericaIrreversible anti-glucocorticoids
US4473988A (en)1979-10-241984-10-02Colgate-Palmolive CompanyDentifrice packaging process
JPS6080457A (en)1983-10-071985-05-08ユニチカ株式会社Antibacterial agent slow releasing urethral catheter
US4661341A (en)1984-10-301987-04-28The Procter & Gamble CompanyOral compositions
US4723950A (en)1984-12-121988-02-09C. R. Bard, Inc.Urine drainage bag outlet with barrier against microbial infection
US4765855A (en)1984-01-121988-08-23I. T. I. Enterprises Ltd.Method of making a sandwich material with internal undulations and protective layers
US4842593A (en)1987-10-091989-06-27The Procter & Gamble CompanyDisposable absorbent articles for incontinent individuals
US4865855A (en)1988-01-111989-09-12Kimberly-Clark CorporationAntimicrobial absorbent food pad
EP0341951A2 (en)1988-05-091989-11-15Dow Corning CorporationAntimicrobial superabsorbent compositions and methods
US4972848A (en)1989-08-231990-11-27Medtronic, Inc.Medical electrical lead with polymeric monolithic controlled release device and method of manufacture
US5025754A (en)1990-02-011991-06-25David PlylerApparatus and method for providing drinking water to poultry
JPH0474026A (en)1990-07-161992-03-09Nippon Telegr & Teleph Corp <Ntt>Connection control method in mobile communication
US5286479A (en)1991-12-101994-02-15The Dow Chemical CompanyOral compositions for suppressing mouth odors
US5310545A (en)1991-04-111994-05-10Drore EisenMethod of treatment using mouthwashes containing steroids and antifungal agents and compositions of matter
JPH06153779A (en)1992-11-181994-06-03Sekisui Plastics Co LtdAntibacterial drip sheet
US5352682A (en)1993-03-081994-10-04Digestive Care Inc.Compositions containing salts of bile acid-aminosalicylate conjugates
US5356630A (en)1989-02-221994-10-18Massachusetts Institute Of TechnologyDelivery system for controlled release of bioactive factors
US5364650A (en)1992-10-311994-11-15Guthery B EugeneDisinfecting product
US5380839A (en)1985-09-121995-01-10The Upjohn CompanyPhenylpiperazinyl steroids
WO1995024415A1 (en)1994-03-101995-09-14Magainin Pharmaceuticals Inc.Steroid derivatives, pharmaceutical compositions containing them, and their pharmaceutical uses
US5552057A (en)1993-06-011996-09-03Hughes; DougWater-purifying device
US5624704A (en)1995-04-241997-04-29Baylor College Of MedicineAntimicrobial impregnated catheters and other medical implants and method for impregnating catheters and other medical implants with an antimicrobial agent
JPH09248454A (en)1995-11-131997-09-22Sanyo Chem Ind LtdAntibacterial water absorbent composition and its production
US5687714A (en)1995-10-101997-11-18The United States Of America As Represented By The Department Of Health And Human ServicesSelf-cleaning endotracheal tube apparatus
WO1998005337A1 (en)1996-08-011998-02-12Cocensys, Inc.Use of gaba and nmda receptor ligands for the treatment of migraine headache
US5721359A (en)1993-03-121998-02-24Pharmacia & Upjohn CompanyCrystalline ceftiofur free acid
US5763430A (en)1995-06-071998-06-09Magainin Pharmaceuticals Inc.Method of treating a viral infection by administering a steroid compound
WO1998027106A1 (en)1996-12-181998-06-25Magainin Pharmaceuticals Inc.Aminosterol ester compounds
US5919183A (en)1996-04-251999-07-06Smiths Industries Public Limited CompanyIntroducers and assemblies
CA2322847A1 (en)1998-03-061999-09-10Brigham Young UniversitySteroid derived antibiotics
WO1999045024A1 (en)1998-03-061999-09-10Research Institute For Medicine And Chemistry Inc.Cholenic acid amides and pharmaceutical compositions thereof
CN1236322A (en)1996-11-061999-11-24斯蒂斯生物聚合物公司Echogenic coating containing gaseous spaces for ultrasonography
WO2000042058A1 (en)1999-01-192000-07-20Brigham Young UniversitySteroid derived antibiotics
US6117332A (en)1997-10-232000-09-12Plymouth Products, Inc.Method for using a center core cartridge feeder insert
US6143738A (en)1995-06-072000-11-07Magainin Pharmaceuticals, Inc.Therapeutic uses for an aminosterol compound
US6217896B1 (en)1999-04-012001-04-17Uab Research FoundationConjunctival inserts for topical delivery of medication or lubrication
US6228393B1 (en)1996-04-122001-05-08Uroteq, Inc.Drug delivery via therapeutic hydrogels
US6329488B1 (en)1998-11-102001-12-11C. R. Bard, Inc.Silane copolymer coatings
US6344184B1 (en)1999-03-012002-02-05Orix AsOral composition for inhibiting oral malodor
WO2002014342A1 (en)2000-08-152002-02-21Brigham Young UniversitySteroid derived antibiotics
JP2002515019A (en)1995-06-072002-05-21マガイニン ファーマシューティカルズ インク. Aminosterol compounds useful as inhibitors of sodium / proton exchanger (NHE), pharmaceutical methods and compositions using the inhibitors, and methods for evaluating the NHE inhibitory effect of compounds
EP1208844A1 (en)2000-11-242002-05-29Kyoritsu Seiyaku CorporationTherapeutic agent for mastitis of livestock and method for treating mastitis using the same agent
EP1219631A1 (en)1999-08-232002-07-03Chugai Seiyaku Kabushiki KaishaAntiandrogen agents
US20020091278A1 (en)1998-03-062002-07-11Savage Paul B.Steroid derived antibiotics
US20020091433A1 (en)1995-04-192002-07-11Ni DingDrug release coated stent
US20020115121A1 (en)2000-11-172002-08-22Garwin Jeffrey L.Compositions and methods for detecting pre-cancerous conditions in cell and tissue samples using 5, 10, 15, 20-tetrakis (carboxyphenyl) porphine
WO2002067979A1 (en)2001-02-262002-09-06The University Of SydneyMethod of improving the growth performance of an animal
JP2002255771A (en)2001-02-262002-09-11Sunstar IncLiquid composition for oral cavity not mixed with alcohol
US20030018306A1 (en)2001-07-232003-01-23Weenna Bucay-CoutoLong-term indwelling medical devices containing slow-releasing antimicrobial agents and having a surfactant surface
WO2003015757A1 (en)2001-08-162003-02-27The Trustees Of The University Of PennsylvaniaSynthesis and use of reagents for improved dna lipofection and/or slow release prodrug and drug therapies
US6562318B1 (en)1990-09-142003-05-13Syngenix LimitedParticular agents
US20030099717A1 (en)2001-06-152003-05-29Oftrai, S.L.Disinfectant and antiseptic composition
US6582713B2 (en)2000-04-062003-06-24Univ. Of Colorado - Colorado SpringsCompositions and methods for promoting wound healing
WO2003066119A1 (en)2002-02-082003-08-14Scimed Life Systems, Inc.Implantable or insertable medical device resistant to microbial-growth and biofilm formation
US20030170354A1 (en)2002-03-052003-09-11Beelman Robert B.Process for antimicrobial treatment of fresh produce, particularly mushrooms
WO2003090799A1 (en)2002-04-232003-11-06Stockhausen GmbhWater-absorbing polymer particles inhibiting the breakdown of body fluids, composites comprising the same and use thereof
US20030232791A1 (en)1999-12-092003-12-18Levitt Roy C.Asthma associated factors as targets for treating atopic allergies including asthma and related disorders
US6673771B1 (en)1999-07-282004-01-06The Trustees Of The University Of PennsylvaniaMethods of inhibiting osteoclast activity
US20040009227A1 (en)2000-03-062004-01-15Porex CorporationThermoplastic particles which comprise an antiviral or antimicrobial agent
US20040011358A1 (en)2002-05-072004-01-22The State University Of New York At Stony BrookMethods, devices and formulations for targeted endobronchial therapy
US20040018154A1 (en)2002-07-292004-01-29Pauline PanOral care compositions comprising tropolone compounds and essential oils and methods of using the same
US20040058974A1 (en)2002-09-232004-03-25Schering CorporationTreating fungal infections
US20040071781A1 (en)2002-10-112004-04-15Ferro CorporationComposite particles and method for preparing
US20040126409A1 (en)2002-12-192004-07-01Mark WillcoxBiomedical devices with antimicrobial coatings
US20040134292A1 (en)2003-01-152004-07-15Joerg RothMethod of making a gas diffusion media and quality controls for same
US20040170563A1 (en)1997-10-272004-09-02Meade Thomas J.Magnetic resonance imaging agents for the delivery of therapeutic agents
WO2004082588A2 (en)2003-03-202004-09-30Pharmacia CorporationDispersible formulation of an anti-inflammatory agent
US6803066B2 (en)2001-01-182004-10-12Praxair Technology, Inc.Sanitizing food products
US6803030B2 (en)2000-02-292004-10-12Bracco Imaging S.P.A.Bile acids conjugates with metal ion chelates and the use thereof
US6824044B1 (en)1999-06-302004-11-30Silverbrook Research Pty LtdMethod and system for obtaining a video-related document
US20040259445A1 (en)2003-06-232004-12-23Beiersdorf AgAntimicrobial composite
WO2004112852A1 (en)2003-06-232004-12-29Beiersdorf AgAntimicrobial wounddressing
US6872306B2 (en)2003-04-222005-03-29Albert ShenMultifunctional pure water maker
US6872303B2 (en)2003-08-122005-03-29Ian M. KnappWater treatment cartridge
US20050075321A1 (en)1999-03-232005-04-07Ahlem Clarence NathanielNeurological disorder treatment methods
US6939376B2 (en)2001-11-052005-09-06Sun Biomedical, Ltd.Drug-delivery endovascular stent and method for treating restenosis
US20050244468A1 (en)2004-04-302005-11-03Allergan, Inc.Sustained release intraocular implants and related methods
US20050267051A1 (en)2003-12-192005-12-01Lee Henry JAntineoplastic and anti-HIV conjugates of steroid acid and nucleosides
US20060014738A1 (en)2002-06-242006-01-19Ulrike Wachendorff-NeumannFungicidal combination of active substances
US20060062742A1 (en)2004-09-212006-03-23The Procter & Gamble CompanyCompositions for reduction of human malodor
US20060269485A1 (en)2002-11-292006-11-30Foamix Ltd.Antibiotic kit and composition and uses thereof
US20070053788A1 (en)2005-08-262007-03-08Becton, Dickinson And CompanyMethods of sterilizing elastomeric sealing articles
US20070077292A1 (en)2005-10-032007-04-05Pinsky Mark ACompositions and methods for improved skin care
US20070106393A1 (en)2003-08-122007-05-10University Of BathBone substitute material
US7226577B2 (en)2003-01-132007-06-05Bracco Imaging, S. P. A.Gastrin releasing peptide compounds
US20070134292A1 (en)2003-07-172007-06-14Esa SuokasSynthetic, bioabsorbable polymer materials and implants
US20070170563A1 (en)2006-01-262007-07-26Chien Chung ChenLight emitting module and process thereof
WO2007089903A2 (en)2006-02-012007-08-09Brigham Young UniversityCationic steroid microbial compositions for treating or preventing influenza infections
WO2007089907A2 (en)2006-02-012007-08-09Brigham Young UniversityCationic steroid antimicrobial compositions and methods of use
WO2007089906A2 (en)2006-02-012007-08-09Brigham Young UniversityCationic steroid antimicrobial compositions for treating or preventing herpes infections
US20070190066A1 (en)2006-02-012007-08-16Savage Paul BCationic Steroid Antimicrobial Compositions and Methods of Use
US20070243225A1 (en)2006-04-132007-10-18Mckay William FDrug depot implant designs and methods of implantation
WO2007134176A2 (en)2006-05-102007-11-22Microban Products CompanyAntimicrobial food pad
US20070269375A1 (en)2003-07-242007-11-22Bracco Imaging S.P.A.Stable Radiopharmaceutical Compositions and Methods for Preparation
WO2008038965A1 (en)2006-09-262008-04-03Kyungpook National University Industry-Academic Cooperation Foundation7alpha-aminosteroid derivatives or pharmaceutically acceptable salts thereof, preparation method thereof and composition for anticancer or antibiotics containing the same as an active ingredient
US20080085949A1 (en)1998-10-072008-04-10Mcghee Diane LAntimicrobial lubricious coating
US20080124376A1 (en)2006-11-062008-05-29Novartis AgOcular devices and methods of making and using thereof
US7381439B2 (en)2000-12-152008-06-03Ecolab Inc.Method and composition for washing poultry during processing
US20080174035A1 (en)2006-06-082008-07-24Lynn Cook WintertonSilicone hydrogel contact lenses
US20080188819A1 (en)2006-07-072008-08-07Kloke Tim MBeaded Wound Spacer Device
WO2008096149A2 (en)2007-02-072008-08-14Argenta Discovery LtdNapadisylate salt of a muscarinic m3 antagonist
US20080279944A1 (en)1998-08-142008-11-13Incept LlcComposite hydrogel drug delivery systems
US20090016973A1 (en)2007-07-092009-01-15Micropure, Inc.Composition and Method for the Prevention of Oral Disease
US20090024101A1 (en)2007-07-182009-01-22Hiroshi ToshishigeDisposable Absorbent Article Having Odor Control System
US7481973B2 (en)2003-04-172009-01-27L'air Liquide Sante InternationalComposition and process for chemical and thermal disinfection
US20090054295A1 (en)2007-08-242009-02-26Celanese International CorporationChemical Delivery Product And Process For Making The Same
US20090068122A1 (en)2007-09-062009-03-12Shira PilchDentifrice Compositions for Treating Xerostomia
US20090099531A1 (en)2007-10-152009-04-16Griesbach Iii Henry LouisPackaging for selectivity lubricating part of a medical device
WO2009049370A1 (en)2007-10-162009-04-23Progen Pharmaceuticals LimitedNovel sulfated oligosaccharide derivatives
US20090124591A1 (en)2001-08-162009-05-14The Trustees Of The University Of PennsylvaniaSynthesis and Use of Cationic Steroids for Anti-Inflammatory Drug Therapy
WO2009079066A2 (en)2007-09-262009-06-25Aparna BiosciencesTherapeutic and vaccine polyelectrolyte nanoparticle compositions
US20090226884A1 (en)2006-03-202009-09-10Japan Advanced Institute Of Science And TechnlogyMethod of Quantitative Analysis of Oxidized Protein, Labeling Reagents for Quantitative Analysis of Oxidized Protein and Labeling Reagent kit for Quantitative Analysis of Oxidized Protein
US20090252781A1 (en)2007-07-092009-10-08Incept LlcHydrogel polymeric compositions and methods
US7611692B2 (en)2003-01-132009-11-03Bracco Imaging S.P.A.Gastrin releasing peptide compounds
US20090279944A1 (en)2006-04-042009-11-12Schmitz JuergenRadial joint and process for manufacturing such a radial joint for a motor vehicle
WO2009144708A1 (en)2008-04-142009-12-03Ganot, ArieAugmentation and treatment of gingival defects
US20090324517A1 (en)2008-06-302009-12-31Dan KlineHalitosis treatment
WO2010006192A1 (en)2008-07-092010-01-14Board Of Regents Of The University Of NebraskaFunctional micelles for hard tissue targeted delivery of chemicals
US20100022481A1 (en)2006-08-022010-01-28Dong WangDrug Carriers, Their Synthesis, and Methods of Use Thereof
US7659061B2 (en)2002-11-192010-02-09Pharmacia & Upjohn CompanyPharmaceutical compositions having a modified vehicle
JP2010059194A (en)2009-11-122010-03-18Brigham Young UnivAntibiotic derived from steroid
WO2010036427A1 (en)2008-06-172010-04-01Brigham Young UniversityCationic steroid antimicrobial diagnostic, detection, screening and imaging methods
US20100092398A1 (en)2004-09-302010-04-15Max ReynoldsAntimicrobial compositions and applications therefore
US20100226884A1 (en)2009-01-202010-09-09Immunomedics, Inc.Novel Class of Monospecific and Bispecific Humanized Antibodies that Target the Insulin-like Growth Factor Type I Receptor (IGF-1R)
US20100310478A1 (en)2007-12-132010-12-09Daniel James FitzgeraldSubstituted benzoquinones and hydroquinones in the treatment of periodontal diseases
US7850947B2 (en)2003-01-132010-12-14Bracco Imaging S.P.A.Gastrin releasing peptide compounds
US7854941B2 (en)2007-02-122010-12-21The University Of Southern MississippiMethod of attaching drug compounds to non-reactive polymer surfaces
US20110033540A1 (en)2007-02-052011-02-10George DaniloffPolymer formulations for delivery of bioactive agents
US20110071099A1 (en)2004-10-292011-03-24Alicja BielawskaCationic Ceramides, And Analogs Thereof, And Their Use For Preventing Or Treating Cancer
US20110123624A1 (en)2009-11-252011-05-26Michael ZasloffFormulations comprising aminosterols
US20110135742A1 (en)2006-06-202011-06-09The Regents Of The University Of CaliforniaControlled release encapsulated anti-bacterial and anti-inflammatory nanoparticles
US7993903B2 (en)2005-09-082011-08-09Kabushiki Kaisha Yakult HonshaCholesterol absorption inhibitor
US7999390B2 (en)2007-06-152011-08-16Kabushiki Kaisha ToshibaSemiconductor integrated circuit
CN102172356A (en)2011-03-032011-09-07山东农业大学Use of taurochenodeoxycholic acid in prevention and treatment of osteoporosis
WO2011109704A1 (en)2010-03-042011-09-09The Trustees Of The University Of Pennsylvania Center For Technology TransferAntimicrobial cationic stereoids and methods of use
US20110230589A1 (en)2010-03-182011-09-22Maggio Thomas LSilicone hydrogel, lens for eye and contact lens
US20120088733A1 (en)2010-10-082012-04-12Korea Advanced Institute Of Science And TechnologyNovel use of antimicrobial peptides in regeneration of skin cells
WO2012061651A1 (en)2010-11-032012-05-10Brigham Young UniversityArticles incorporating absorbert polymer and ceragenin compound
US20130004586A1 (en)2011-06-242013-01-03Vachon David JBiologically Efficacious Compositions, Articles of Manufacture and Processes for Producing and/or Using Same
WO2013013221A1 (en)2011-07-202013-01-24Brigham Young UniversityHydrophobic ceragenin compounds and devices incorporating same
US20130040265A1 (en)2010-04-222013-02-14Megagen Implant Co., Ltd.Fixture for a dental implant and an implant system comprising the same
WO2013029059A1 (en)2011-08-252013-02-28Brigham Young UniversityMedical devices incorporating ceragenin-containing composites
WO2013029055A1 (en)2011-08-252013-02-28Brigham Young UniversityIncorporation of particulate ceragenins in polymers
WO2013040265A1 (en)2011-09-132013-03-21Brigham Young University Technology Commercialization OfficeCompositions for treating bone diseases and broken bones
US20130089580A1 (en)2010-04-302013-04-11Ayman BoutrosAlloplastic injectable dermal filler and methods of use thereof
US8420050B2 (en)2003-01-132013-04-16Bracco Imaging S.P.A.Gastrin releasing peptide compounds
WO2013109236A2 (en)2011-12-212013-07-25Colgate-Palmolive CompanyOral care compositions
WO2013131060A1 (en)2012-03-012013-09-06Brigham Young UniversityAnti-microbial food processing compositions including ceragenin compounds and methods of use
US8530002B1 (en)2010-01-072013-09-10Sandia CorporationMethods for attaching polymerizable ceragenins to water treatment membranes using silane linkages
US20130234842A1 (en)2011-07-012013-09-12Gerald F. LeitzGolf scoring management system
US20130243842A1 (en)2011-09-132013-09-19Brigham Young UniversityCompositions and methods for treating bone diseases and broken bones
US20130280312A1 (en)2010-12-242013-10-24Reckitt & Colman (Overseas) LimitedSkin Sanitizer Compositions Comprising Alcohol Based Emulsion
US20130280391A1 (en)2012-04-242013-10-24Brigham Young UniversityAnti-microbial wash compositions including ceragenin compounds and methods of use for treating non-meat food products
WO2013167743A1 (en)2012-05-112013-11-14Akron Molecules GmbhUse of compounds for the treatment of pain
US20140062960A1 (en)2012-08-302014-03-06Samsung Display Co., Ltd.Display apparatus and method of recognizing air touch using the same and method of displaying three-dimensional image using the same
WO2014062960A1 (en)2012-10-172014-04-24Brigham Young UniversityTreatment and prevention of mastitis
WO2014107740A2 (en)2013-01-072014-07-10Brigham Young UniversityMethods for reducing cellular proliferation and treating certain diseases
US8787857B2 (en)2012-04-202014-07-22Fujitsu LimitedReceiving apparatus, frequency deviation calculating method, and medium storing computer program therein
US20140219914A1 (en)2012-12-132014-08-07Immunomedics, Inc.Dosages of Immunoconjugates of Antibodies and SN-38 for Improved Efficacy and Decreased Toxicity
US20140228905A1 (en)2006-10-132014-08-14Cyberonics, Inc.Obstructive sleep apnea treatment devices, systems and methods
US20140274913A1 (en)2013-03-152014-09-18Brigham Young UniversityMethods for treating inflammation, autoimmune disorders and pain
US20140305461A1 (en)2011-12-152014-10-16Colgate-Palmolive CompanyAqueous oral care compositions
US20140336131A1 (en)2013-03-152014-11-13Brigham Young UniversityMethods for treating inflammation, autoimmune disorders and pain
US20140363780A1 (en)2011-12-212014-12-11Brigham Young UniversityOral care compositions
US8932614B2 (en)2011-08-252015-01-13Paul B. SavageIncorporation of particulate ceragenins in polymers
US20150093423A1 (en)2012-05-022015-04-02Brigham Young UniversityCeragenin particulate materials and methods for making same
US20150110767A1 (en)2013-10-172015-04-23Brigham Young UniversityMethods for treating lung infections and inflammation
US20150203257A1 (en)2008-07-072015-07-23Grc Pack Luxembourg S.A.Flexible container for packaging, in particular in sterile conditions, of food products and relative package comprising said flexible container
US20150203527A1 (en)2014-01-232015-07-23Brigham Young UniversityCationic steroidal antimicrobials
US20150239928A1 (en)2014-02-272015-08-27Brigham Young UniversityCationic steroidal antimicrobial compounds
US20150258122A1 (en)2014-03-132015-09-17Brigham Young UniversityLavage and/or infusion using csa compounds for increasing fertility in a mammal
US20150258121A1 (en)2014-03-132015-09-17Brigham Young UniversityCompositions and methods for forming stabilized compositions with reduced csa agglomeration
WO2015138716A2 (en)2014-03-142015-09-17Savage Paul BAnti-infective and osteogenic compositions and methods of use
US20150314342A1 (en)2014-04-302015-11-05Brigham Young UniversityMethods and apparatus for cleaning or disinfecting a water delivery system
US20150366880A1 (en)2011-09-132015-12-24Brigham Young UniversityCompositions and methods for treating bone diseases and broken bones
WO2015200815A1 (en)2014-06-262015-12-30Genberg Carl AMethods for treating fungal infections
US20150374720A1 (en)2011-09-132015-12-31Brigham Young UniversityMethods and products for increasing the rate of healing of tissue wounds
US20160022702A1 (en)2013-03-152016-01-28Paul B. SavageMethods for treating inflammation, autoimmune disorders and pain
US20160052959A1 (en)2014-08-222016-02-25Brigham Young UniversityRadiolabeled cationic steroid antimicrobials and diagnostic methods
US20160096864A1 (en)2014-10-072016-04-07Brigham Young UniversityCationic steroidal antimicrobial prodrug compositions and uses thereof
US9387215B2 (en)2013-04-222016-07-12Brigham Young UniversityAnimal feed including cationic cholesterol additive and related methods
US9434759B1 (en)2015-05-182016-09-06Brigham Young UniversityCationic steroidal antimicrobial compounds and methods of manufacturing such compounds
WO2016172543A1 (en)2015-04-222016-10-27Savage Paul BMethods for the synthesis of ceragenins
US20160311850A1 (en)2015-04-222016-10-27Brigham Young UniversityCationic steroidal antimicrobial salts
US9527883B2 (en)2015-04-222016-12-27Brigham Young UniversityMethods for the synthesis of ceragenins
US9533063B1 (en)2012-03-012017-01-03Brigham Young UniversityAerosols incorporating ceragenin compounds and methods of use thereof
US20170080128A1 (en)2015-09-212017-03-23Brigham Young UniversityNovel endotracheal tube for the reduction of intubation-related complication in neonates and babies
US20170232004A1 (en)2014-06-262017-08-17Brigham Young UniversityMethods for treating fungal infections
US20170258963A1 (en)2016-03-112017-09-14Brigham Young UniversityCationic steroidal antimicrobial compositions for the treatment of dermal tissue
CA2741177C (en)2010-05-272018-03-13Confluent Surgical, Inc.Hydrogel implants with varying degrees of crosslinking
US20180164221A1 (en)2016-12-072018-06-14Progenity Inc.Gastrointestinal tract detection methods, devices and systems

Patent Citations (282)

* Cited by examiner, † Cited by third party
Publication numberPriority datePublication dateAssigneeTitle
US821187A (en)1906-05-22peters
US3843779A (en)1971-03-221974-10-22Colgate Palmolive CoProcess for preparing stable dentifrice
US4284236A (en)1978-05-171981-08-18Carrier Drysys LimitedAir conditioning system
US4248236A (en)1978-12-261981-02-03Linder Gerald SPackaged medical appliance
US4473988A (en)1979-10-241984-10-02Colgate-Palmolive CompanyDentifrice packaging process
US4296206A (en)1980-04-301981-10-20United States Of AmericaIrreversible anti-glucocorticoids
US4289755A (en)1980-11-031981-09-15Richardson-Vicks Inc.Stable mouthwash compositions containing zinc and fluoride compounds
JPS6080457A (en)1983-10-071985-05-08ユニチカ株式会社Antibacterial agent slow releasing urethral catheter
US4765855A (en)1984-01-121988-08-23I. T. I. Enterprises Ltd.Method of making a sandwich material with internal undulations and protective layers
US4661341A (en)1984-10-301987-04-28The Procter & Gamble CompanyOral compositions
US4723950A (en)1984-12-121988-02-09C. R. Bard, Inc.Urine drainage bag outlet with barrier against microbial infection
US5380839A (en)1985-09-121995-01-10The Upjohn CompanyPhenylpiperazinyl steroids
US4842593A (en)1987-10-091989-06-27The Procter & Gamble CompanyDisposable absorbent articles for incontinent individuals
US4865855A (en)1988-01-111989-09-12Kimberly-Clark CorporationAntimicrobial absorbent food pad
JPH0214741A (en)1988-05-091990-01-18Dow Corning CorpComposition and method for anti-germ ultraadsorbent
EP0341951A2 (en)1988-05-091989-11-15Dow Corning CorporationAntimicrobial superabsorbent compositions and methods
US5356630A (en)1989-02-221994-10-18Massachusetts Institute Of TechnologyDelivery system for controlled release of bioactive factors
US4972848A (en)1989-08-231990-11-27Medtronic, Inc.Medical electrical lead with polymeric monolithic controlled release device and method of manufacture
US5025754A (en)1990-02-011991-06-25David PlylerApparatus and method for providing drinking water to poultry
JPH0474026A (en)1990-07-161992-03-09Nippon Telegr & Teleph Corp <Ntt>Connection control method in mobile communication
US6562318B1 (en)1990-09-142003-05-13Syngenix LimitedParticular agents
US5310545A (en)1991-04-111994-05-10Drore EisenMethod of treatment using mouthwashes containing steroids and antifungal agents and compositions of matter
US5286479A (en)1991-12-101994-02-15The Dow Chemical CompanyOral compositions for suppressing mouth odors
JPH07501826A (en)1991-12-101995-02-23ザ ダウ ケミカル カンパニー Oral composition for suppressing bad breath
US5364650A (en)1992-10-311994-11-15Guthery B EugeneDisinfecting product
JPH06153779A (en)1992-11-181994-06-03Sekisui Plastics Co LtdAntibacterial drip sheet
US5352682A (en)1993-03-081994-10-04Digestive Care Inc.Compositions containing salts of bile acid-aminosalicylate conjugates
US5721359A (en)1993-03-121998-02-24Pharmacia & Upjohn CompanyCrystalline ceftiofur free acid
US5552057A (en)1993-06-011996-09-03Hughes; DougWater-purifying device
WO1995024415A1 (en)1994-03-101995-09-14Magainin Pharmaceuticals Inc.Steroid derivatives, pharmaceutical compositions containing them, and their pharmaceutical uses
US20020091433A1 (en)1995-04-192002-07-11Ni DingDrug release coated stent
US5624704A (en)1995-04-241997-04-29Baylor College Of MedicineAntimicrobial impregnated catheters and other medical implants and method for impregnating catheters and other medical implants with an antimicrobial agent
EP0832094B1 (en)1995-06-072004-02-11Genaera CorporationAminosterol compounds useful as inhibitors of the sodium/proton exchanger (nhe), pharmaceutical methods and compositions employing such inhibitors, and processes for evaluating the nhe-inhibitory efficacy of compounds
US5763430A (en)1995-06-071998-06-09Magainin Pharmaceuticals Inc.Method of treating a viral infection by administering a steroid compound
JP2002515019A (en)1995-06-072002-05-21マガイニン ファーマシューティカルズ インク. Aminosterol compounds useful as inhibitors of sodium / proton exchanger (NHE), pharmaceutical methods and compositions using the inhibitors, and methods for evaluating the NHE inhibitory effect of compounds
US6143738A (en)1995-06-072000-11-07Magainin Pharmaceuticals, Inc.Therapeutic uses for an aminosterol compound
US5687714A (en)1995-10-101997-11-18The United States Of America As Represented By The Department Of Health And Human ServicesSelf-cleaning endotracheal tube apparatus
JPH09248454A (en)1995-11-131997-09-22Sanyo Chem Ind LtdAntibacterial water absorbent composition and its production
US6228393B1 (en)1996-04-122001-05-08Uroteq, Inc.Drug delivery via therapeutic hydrogels
US5919183A (en)1996-04-251999-07-06Smiths Industries Public Limited CompanyIntroducers and assemblies
WO1998005337A1 (en)1996-08-011998-02-12Cocensys, Inc.Use of gaba and nmda receptor ligands for the treatment of migraine headache
CN1236322A (en)1996-11-061999-11-24斯蒂斯生物聚合物公司Echogenic coating containing gaseous spaces for ultrasonography
WO1998027106A1 (en)1996-12-181998-06-25Magainin Pharmaceuticals Inc.Aminosterol ester compounds
US6117332A (en)1997-10-232000-09-12Plymouth Products, Inc.Method for using a center core cartridge feeder insert
US20040170563A1 (en)1997-10-272004-09-02Meade Thomas J.Magnetic resonance imaging agents for the delivery of therapeutic agents
US7598234B2 (en)1998-03-062009-10-06Brigham Young UniversitySteroid derived antibiotics
US20050032765A1 (en)1998-03-062005-02-10Brigham Young University, A Utah CorporationSteroid derived antibiotics
JP2002505292A (en)1998-03-062002-02-19ブリガム ヤング ユニバーシティ Steroid-derived antibiotics
WO1999044616A1 (en)1998-03-061999-09-10Brigham Young UniversitySteroid derived antibiotics
US6350738B1 (en)1998-03-062002-02-26Brigham Young UniversitySteroid derived antibiotics
CA2322847A1 (en)1998-03-061999-09-10Brigham Young UniversitySteroid derived antibiotics
EP1058552B1 (en)1998-03-062004-06-16Brigham Young UniversitySteroid derived antibiotics
US6767904B2 (en)1998-03-062004-07-27Bringham Young UniversitySteroid derived antibiotics
US20020091278A1 (en)1998-03-062002-07-11Savage Paul B.Steroid derived antibiotics
WO1999045024A1 (en)1998-03-061999-09-10Research Institute For Medicine And Chemistry Inc.Cholenic acid amides and pharmaceutical compositions thereof
US6486148B2 (en)1998-03-062002-11-26Brigham Young UniversitySteroid derived antibiotics
US7235552B1 (en)1998-03-062007-06-26Research Institute For Medicine And Chemistry, Inc.Cholenic acid amides and pharmaceutical compositions thereof
US20080279944A1 (en)1998-08-142008-11-13Incept LlcComposite hydrogel drug delivery systems
US20080085949A1 (en)1998-10-072008-04-10Mcghee Diane LAntimicrobial lubricious coating
US6329488B1 (en)1998-11-102001-12-11C. R. Bard, Inc.Silane copolymer coatings
JP2002534532A (en)1999-01-192002-10-15ブリガム ヤング ユニバーシティ Steroid-derived antibiotics
WO2000042058A1 (en)1999-01-192000-07-20Brigham Young UniversitySteroid derived antibiotics
JP2002538093A (en)1999-03-012002-11-12オリックス エイエス Oral composition for preventing bad breath
US6344184B1 (en)1999-03-012002-02-05Orix AsOral composition for inhibiting oral malodor
US20050075321A1 (en)1999-03-232005-04-07Ahlem Clarence NathanielNeurological disorder treatment methods
US6217896B1 (en)1999-04-012001-04-17Uab Research FoundationConjunctival inserts for topical delivery of medication or lubrication
US6824044B1 (en)1999-06-302004-11-30Silverbrook Research Pty LtdMethod and system for obtaining a video-related document
US6673771B1 (en)1999-07-282004-01-06The Trustees Of The University Of PennsylvaniaMethods of inhibiting osteoclast activity
EP1219631A1 (en)1999-08-232002-07-03Chugai Seiyaku Kabushiki KaishaAntiandrogen agents
US20030232791A1 (en)1999-12-092003-12-18Levitt Roy C.Asthma associated factors as targets for treating atopic allergies including asthma and related disorders
JP2004506599A (en)1999-12-092004-03-04ジェネーラ・コーポレーション Asthma-related factors as targets for treating atopic allergy, including asthma and related diseases
US6803030B2 (en)2000-02-292004-10-12Bracco Imaging S.P.A.Bile acids conjugates with metal ion chelates and the use thereof
US20040009227A1 (en)2000-03-062004-01-15Porex CorporationThermoplastic particles which comprise an antiviral or antimicrobial agent
US6582713B2 (en)2000-04-062003-06-24Univ. Of Colorado - Colorado SpringsCompositions and methods for promoting wound healing
WO2002014342A1 (en)2000-08-152002-02-21Brigham Young UniversitySteroid derived antibiotics
JP2004506645A (en)2000-08-152004-03-04ブリガム ヤング ユニバーシティ Steroid-derived antibiotics
EP1311531B1 (en)2000-08-152016-05-11Brigham Young UniversitySteroid derived antibiotics
US20020115121A1 (en)2000-11-172002-08-22Garwin Jeffrey L.Compositions and methods for detecting pre-cancerous conditions in cell and tissue samples using 5, 10, 15, 20-tetrakis (carboxyphenyl) porphine
EP1208844A1 (en)2000-11-242002-05-29Kyoritsu Seiyaku CorporationTherapeutic agent for mastitis of livestock and method for treating mastitis using the same agent
US7381439B2 (en)2000-12-152008-06-03Ecolab Inc.Method and composition for washing poultry during processing
US6803066B2 (en)2001-01-182004-10-12Praxair Technology, Inc.Sanitizing food products
JP2002255771A (en)2001-02-262002-09-11Sunstar IncLiquid composition for oral cavity not mixed with alcohol
WO2002067979A1 (en)2001-02-262002-09-06The University Of SydneyMethod of improving the growth performance of an animal
US20030099717A1 (en)2001-06-152003-05-29Oftrai, S.L.Disinfectant and antiseptic composition
US20030018306A1 (en)2001-07-232003-01-23Weenna Bucay-CoutoLong-term indwelling medical devices containing slow-releasing antimicrobial agents and having a surfactant surface
WO2003015757A1 (en)2001-08-162003-02-27The Trustees Of The University Of PennsylvaniaSynthesis and use of reagents for improved dna lipofection and/or slow release prodrug and drug therapies
US20090124591A1 (en)2001-08-162009-05-14The Trustees Of The University Of PennsylvaniaSynthesis and Use of Cationic Steroids for Anti-Inflammatory Drug Therapy
US6939376B2 (en)2001-11-052005-09-06Sun Biomedical, Ltd.Drug-delivery endovascular stent and method for treating restenosis
WO2003066119A1 (en)2002-02-082003-08-14Scimed Life Systems, Inc.Implantable or insertable medical device resistant to microbial-growth and biofilm formation
US20120128793A1 (en)2002-02-082012-05-24Boston Scientific Scimed, Inc.Implantable or insertable medical device resistant to microbial growth and biofilm formation
US20030170354A1 (en)2002-03-052003-09-11Beelman Robert B.Process for antimicrobial treatment of fresh produce, particularly mushrooms
WO2003090799A1 (en)2002-04-232003-11-06Stockhausen GmbhWater-absorbing polymer particles inhibiting the breakdown of body fluids, composites comprising the same and use thereof
US20040011358A1 (en)2002-05-072004-01-22The State University Of New York At Stony BrookMethods, devices and formulations for targeted endobronchial therapy
US20060014738A1 (en)2002-06-242006-01-19Ulrike Wachendorff-NeumannFungicidal combination of active substances
US20040018154A1 (en)2002-07-292004-01-29Pauline PanOral care compositions comprising tropolone compounds and essential oils and methods of using the same
US20040058974A1 (en)2002-09-232004-03-25Schering CorporationTreating fungal infections
US20040071781A1 (en)2002-10-112004-04-15Ferro CorporationComposite particles and method for preparing
US7659061B2 (en)2002-11-192010-02-09Pharmacia & Upjohn CompanyPharmaceutical compositions having a modified vehicle
US20060269485A1 (en)2002-11-292006-11-30Foamix Ltd.Antibiotic kit and composition and uses thereof
US20040126409A1 (en)2002-12-192004-07-01Mark WillcoxBiomedical devices with antimicrobial coatings
US7282214B2 (en)2002-12-192007-10-16Johnson & Johnson Vision Care, Inc.Biomedical devices with antimicrobial coatings
US7226577B2 (en)2003-01-132007-06-05Bracco Imaging, S. P. A.Gastrin releasing peptide compounds
US7611692B2 (en)2003-01-132009-11-03Bracco Imaging S.P.A.Gastrin releasing peptide compounds
US8420050B2 (en)2003-01-132013-04-16Bracco Imaging S.P.A.Gastrin releasing peptide compounds
US8444954B2 (en)2003-01-132013-05-21Bracco Imaging S.P.A.Gastrin releasing peptide compounds
US7850947B2 (en)2003-01-132010-12-14Bracco Imaging S.P.A.Gastrin releasing peptide compounds
US20040134292A1 (en)2003-01-152004-07-15Joerg RothMethod of making a gas diffusion media and quality controls for same
WO2004082588A2 (en)2003-03-202004-09-30Pharmacia CorporationDispersible formulation of an anti-inflammatory agent
US7481973B2 (en)2003-04-172009-01-27L'air Liquide Sante InternationalComposition and process for chemical and thermal disinfection
US6872306B2 (en)2003-04-222005-03-29Albert ShenMultifunctional pure water maker
US20040259445A1 (en)2003-06-232004-12-23Beiersdorf AgAntimicrobial composite
WO2004112852A1 (en)2003-06-232004-12-29Beiersdorf AgAntimicrobial wounddressing
US20070134292A1 (en)2003-07-172007-06-14Esa SuokasSynthetic, bioabsorbable polymer materials and implants
US20070269375A1 (en)2003-07-242007-11-22Bracco Imaging S.P.A.Stable Radiopharmaceutical Compositions and Methods for Preparation
US6872303B2 (en)2003-08-122005-03-29Ian M. KnappWater treatment cartridge
US20070106393A1 (en)2003-08-122007-05-10University Of BathBone substitute material
US20050267051A1 (en)2003-12-192005-12-01Lee Henry JAntineoplastic and anti-HIV conjugates of steroid acid and nucleosides
US20050244468A1 (en)2004-04-302005-11-03Allergan, Inc.Sustained release intraocular implants and related methods
US20060062742A1 (en)2004-09-212006-03-23The Procter & Gamble CompanyCompositions for reduction of human malodor
US20100092398A1 (en)2004-09-302010-04-15Max ReynoldsAntimicrobial compositions and applications therefore
US20110071099A1 (en)2004-10-292011-03-24Alicja BielawskaCationic Ceramides, And Analogs Thereof, And Their Use For Preventing Or Treating Cancer
CN101247838A (en)2005-08-262008-08-20贝克顿迪肯森公司Methods of sterilizing elastomeric sealing articles
US20070053788A1 (en)2005-08-262007-03-08Becton, Dickinson And CompanyMethods of sterilizing elastomeric sealing articles
US7993903B2 (en)2005-09-082011-08-09Kabushiki Kaisha Yakult HonshaCholesterol absorption inhibitor
US20070077292A1 (en)2005-10-032007-04-05Pinsky Mark ACompositions and methods for improved skin care
US20070170563A1 (en)2006-01-262007-07-26Chien Chung ChenLight emitting module and process thereof
US20070190067A1 (en)2006-02-012007-08-16Savage Paul BCationic Steroid Antimicrobial Compositions and Methods of Use
CN102145005A (en)2006-02-012011-08-10杨百翰大学Cationic steroid antimicrobial compositions and methods of use
US8211879B2 (en)2006-02-012012-07-03Brigham Young UniversityCationic steroid antimicrobial compositions and methods of use
US20130034500A1 (en)2006-02-012013-02-07Savage Paul BCationic Steroid Antimicrobial Compositions and Methods of Use
WO2008048340A2 (en)2006-02-012008-04-24Brigham Young UniversityCationic steroid antimicrobial compositions for treating poxvirus infections
US20100330086A1 (en)2006-02-012010-12-30Savage Paul BCationic steroid antimicrobial compositions and methods of use
CN101378761A (en)2006-02-012009-03-04杨百翰大学Cationic steroid antimicrobial compositions and methods of use thereof
US20070190066A1 (en)2006-02-012007-08-16Savage Paul BCationic Steroid Antimicrobial Compositions and Methods of Use
US7754705B2 (en)2006-02-012010-07-13Brigham Young UniversityCationic steroid antimicrobial compositions and methods of use
US20070190558A1 (en)2006-02-012007-08-16Savage Paul BCationic Steroid Antimicrobial Compositions and Methods of Use
WO2007089906A2 (en)2006-02-012007-08-09Brigham Young UniversityCationic steroid antimicrobial compositions for treating or preventing herpes infections
CA2640584A1 (en)2006-02-012007-08-09Brigham Young UniversityCationic steroid antimicrobial compositions and methods of use
WO2007089907A2 (en)2006-02-012007-08-09Brigham Young UniversityCationic steroid antimicrobial compositions and methods of use
WO2007089903A2 (en)2006-02-012007-08-09Brigham Young UniversityCationic steroid microbial compositions for treating or preventing influenza infections
US20090226884A1 (en)2006-03-202009-09-10Japan Advanced Institute Of Science And TechnlogyMethod of Quantitative Analysis of Oxidized Protein, Labeling Reagents for Quantitative Analysis of Oxidized Protein and Labeling Reagent kit for Quantitative Analysis of Oxidized Protein
US20090279944A1 (en)2006-04-042009-11-12Schmitz JuergenRadial joint and process for manufacturing such a radial joint for a motor vehicle
US20070243225A1 (en)2006-04-132007-10-18Mckay William FDrug depot implant designs and methods of implantation
WO2007134176A2 (en)2006-05-102007-11-22Microban Products CompanyAntimicrobial food pad
US20080174035A1 (en)2006-06-082008-07-24Lynn Cook WintertonSilicone hydrogel contact lenses
US20110135742A1 (en)2006-06-202011-06-09The Regents Of The University Of CaliforniaControlled release encapsulated anti-bacterial and anti-inflammatory nanoparticles
US20080188819A1 (en)2006-07-072008-08-07Kloke Tim MBeaded Wound Spacer Device
US20100022481A1 (en)2006-08-022010-01-28Dong WangDrug Carriers, Their Synthesis, and Methods of Use Thereof
WO2008038965A1 (en)2006-09-262008-04-03Kyungpook National University Industry-Academic Cooperation Foundation7alpha-aminosteroid derivatives or pharmaceutically acceptable salts thereof, preparation method thereof and composition for anticancer or antibiotics containing the same as an active ingredient
US20140228905A1 (en)2006-10-132014-08-14Cyberonics, Inc.Obstructive sleep apnea treatment devices, systems and methods
US20080124376A1 (en)2006-11-062008-05-29Novartis AgOcular devices and methods of making and using thereof
US20110033540A1 (en)2007-02-052011-02-10George DaniloffPolymer formulations for delivery of bioactive agents
WO2008096149A2 (en)2007-02-072008-08-14Argenta Discovery LtdNapadisylate salt of a muscarinic m3 antagonist
US7854941B2 (en)2007-02-122010-12-21The University Of Southern MississippiMethod of attaching drug compounds to non-reactive polymer surfaces
US7999390B2 (en)2007-06-152011-08-16Kabushiki Kaisha ToshibaSemiconductor integrated circuit
US20090016973A1 (en)2007-07-092009-01-15Micropure, Inc.Composition and Method for the Prevention of Oral Disease
US20090252781A1 (en)2007-07-092009-10-08Incept LlcHydrogel polymeric compositions and methods
JP2010533051A (en)2007-07-182010-10-21ザ プロクター アンド ギャンブル カンパニー Disposable absorbent article having odor control system
US20090024101A1 (en)2007-07-182009-01-22Hiroshi ToshishigeDisposable Absorbent Article Having Odor Control System
US20090054295A1 (en)2007-08-242009-02-26Celanese International CorporationChemical Delivery Product And Process For Making The Same
US20090068122A1 (en)2007-09-062009-03-12Shira PilchDentifrice Compositions for Treating Xerostomia
JP2010538074A (en)2007-09-062010-12-09コルゲート・パーモリブ・カンパニー Dentifrice composition for treating xerostomia
WO2009079066A2 (en)2007-09-262009-06-25Aparna BiosciencesTherapeutic and vaccine polyelectrolyte nanoparticle compositions
US20090099531A1 (en)2007-10-152009-04-16Griesbach Iii Henry LouisPackaging for selectivity lubricating part of a medical device
WO2009049370A1 (en)2007-10-162009-04-23Progen Pharmaceuticals LimitedNovel sulfated oligosaccharide derivatives
JP2009131625A (en)2007-10-312009-06-18Tyco Healthcare Group LpAntimicrobial lubricious coating
US20100310478A1 (en)2007-12-132010-12-09Daniel James FitzgeraldSubstituted benzoquinones and hydroquinones in the treatment of periodontal diseases
WO2009144708A1 (en)2008-04-142009-12-03Ganot, ArieAugmentation and treatment of gingival defects
WO2010036427A1 (en)2008-06-172010-04-01Brigham Young UniversityCationic steroid antimicrobial diagnostic, detection, screening and imaging methods
US20110091376A1 (en)2008-06-172011-04-21Brigham Young UniversityCatatonic steroid antimicrobial diagnostic, detection, screening and imaging methods
US20180280550A1 (en)2008-06-172018-10-04Brigham Young UniversityCationic steroid antimicrobial diagnostic, detection, screening and imaging methods
US20090324517A1 (en)2008-06-302009-12-31Dan KlineHalitosis treatment
US20150203257A1 (en)2008-07-072015-07-23Grc Pack Luxembourg S.A.Flexible container for packaging, in particular in sterile conditions, of food products and relative package comprising said flexible container
US20110171144A1 (en)2008-07-092011-07-14Dong WangFunctional Micelles for Hard Tissue Targeted Delivery of Chemicals
JP2011527702A (en)2008-07-092011-11-04ボード オブ リージェンツ オブ ザ ユニバーシティ オブ ネブラスカ Functional micelles for chemical delivery targeted to hard tissue
WO2010006192A1 (en)2008-07-092010-01-14Board Of Regents Of The University Of NebraskaFunctional micelles for hard tissue targeted delivery of chemicals
WO2010062562A1 (en)2008-10-272010-06-03The Trustees Of The University Of PennsylvaniaSynthesis and use of cationic steroids for anti-inflammatory drug therapy
US20100226884A1 (en)2009-01-202010-09-09Immunomedics, Inc.Novel Class of Monospecific and Bispecific Humanized Antibodies that Target the Insulin-like Growth Factor Type I Receptor (IGF-1R)
JP2010059194A (en)2009-11-122010-03-18Brigham Young UnivAntibiotic derived from steroid
US20110123624A1 (en)2009-11-252011-05-26Michael ZasloffFormulations comprising aminosterols
WO2011066260A2 (en)2009-11-252011-06-03Michael ZasloffFormulations comprising aminosterols
US8623416B2 (en)2009-11-252014-01-07Michael ZasloffFormulations comprising aminosterols
US8530002B1 (en)2010-01-072013-09-10Sandia CorporationMethods for attaching polymerizable ceragenins to water treatment membranes using silane linkages
US8529681B1 (en)2010-01-072013-09-10Sandia CorporationBiofouling-resistant ceragenin-modified materials and structures for water treatment
US8557031B1 (en)2010-01-072013-10-15Sandia CorporationMethods for attaching polymerizable ceragenins to water treatment membranes using amine and amide linkages
WO2011109704A1 (en)2010-03-042011-09-09The Trustees Of The University Of Pennsylvania Center For Technology TransferAntimicrobial cationic stereoids and methods of use
US20130137668A1 (en)2010-03-042013-05-30The Trustees Of The University Of PennsylvaniaAntimicrobial Cationic Steroids and Methods of Use
US9180132B2 (en)2010-03-042015-11-10The Trustees Of The University Of PennsylvaniaAntimicrobial cationic steroids and methods of use
US20110230589A1 (en)2010-03-182011-09-22Maggio Thomas LSilicone hydrogel, lens for eye and contact lens
US20130040265A1 (en)2010-04-222013-02-14Megagen Implant Co., Ltd.Fixture for a dental implant and an implant system comprising the same
US20130089580A1 (en)2010-04-302013-04-11Ayman BoutrosAlloplastic injectable dermal filler and methods of use thereof
CA2741177C (en)2010-05-272018-03-13Confluent Surgical, Inc.Hydrogel implants with varying degrees of crosslinking
US20120088733A1 (en)2010-10-082012-04-12Korea Advanced Institute Of Science And TechnologyNovel use of antimicrobial peptides in regeneration of skin cells
JP2014500741A (en)2010-11-032014-01-16ブリガム・ヤング・ユニバーシティ Products incorporating absorbent polymers and ceragenin compounds
US8784857B2 (en)2010-11-032014-07-22Brigham Young UniversityArticles incorporating absorbent polymer and ceragenin compound
US8691252B2 (en)2010-11-032014-04-08Brigham Young UniversityStorage-stable, anti-microbial compositions including ceragenin compounds and methods of use
WO2012061651A1 (en)2010-11-032012-05-10Brigham Young UniversityArticles incorporating absorbert polymer and ceragenin compound
US20130280312A1 (en)2010-12-242013-10-24Reckitt & Colman (Overseas) LimitedSkin Sanitizer Compositions Comprising Alcohol Based Emulsion
CN102172356A (en)2011-03-032011-09-07山东农业大学Use of taurochenodeoxycholic acid in prevention and treatment of osteoporosis
US20130004586A1 (en)2011-06-242013-01-03Vachon David JBiologically Efficacious Compositions, Articles of Manufacture and Processes for Producing and/or Using Same
US20130234842A1 (en)2011-07-012013-09-12Gerald F. LeitzGolf scoring management system
US20130022651A1 (en)2011-07-202013-01-24Savage Paul BHydrogel materials incorporating eluting ceragenin compound
US20170137459A1 (en)2011-07-202017-05-18Brigham Young UniversityHydrophobic ceragenin compounds and devices incorporating same
WO2013013223A1 (en)2011-07-202013-01-24Brigham Young UniversityHydrogel materials incorporating eluting ceragenin compound
US9546195B2 (en)2011-07-202017-01-17Brigham Young UniversityHydrophobic ceragenin compounds and devices incorporating same
US8975310B2 (en)2011-07-202015-03-10Brigham Young UniversityHydrophobic ceragenin compounds and devices incorporating same
JP2014520900A (en)2011-07-202014-08-25ブリガム・ヤング・ユニバーシティ Hydrophobic ceragenin compound and apparatus incorporating the same
CN104039369A (en)2011-07-202014-09-10布莱阿姆青年大学Hydrophobic ceragenin compounds and devices incorporating same
WO2013013221A1 (en)2011-07-202013-01-24Brigham Young UniversityHydrophobic ceragenin compounds and devices incorporating same
CA2842460A1 (en)2011-07-202013-01-24Brigham Young UniversityHydrophobic ceragenin compounds and devices incorporating same
US20140271761A1 (en)2011-08-252014-09-18Brigham Young UniversityIncorporation of particulate ceragenins in polymers
WO2013029059A1 (en)2011-08-252013-02-28Brigham Young UniversityMedical devices incorporating ceragenin-containing composites
US8932614B2 (en)2011-08-252015-01-13Paul B. SavageIncorporation of particulate ceragenins in polymers
US8945217B2 (en)2011-08-252015-02-03Brigham Young UniversityMedical devices incorporating ceragenin-containing composites
WO2013029055A1 (en)2011-08-252013-02-28Brigham Young UniversityIncorporation of particulate ceragenins in polymers
US20150366880A1 (en)2011-09-132015-12-24Brigham Young UniversityCompositions and methods for treating bone diseases and broken bones
WO2013040265A1 (en)2011-09-132013-03-21Brigham Young University Technology Commercialization OfficeCompositions for treating bone diseases and broken bones
US9603859B2 (en)2011-09-132017-03-28Brigham Young UniversityMethods and products for increasing the rate of healing of tissue wounds
CA2848567A1 (en)2011-09-132013-03-21Brigham Young UniversityProducts for healing of tissue wounds
WO2013040269A1 (en)2011-09-132013-03-21Brigham Young UniversityProducts for healing of tissue wounds
US20150374720A1 (en)2011-09-132015-12-31Brigham Young UniversityMethods and products for increasing the rate of healing of tissue wounds
US20130243823A1 (en)2011-09-132013-09-19Brigham Young UniversityMethods and products for increasing the rate of healing of tissue wounds
US9161942B2 (en)2011-09-132015-10-20Brigham Young UniversityMethods and products for increasing the rate of healing of tissue wounds
US9155746B2 (en)2011-09-132015-10-13Brigham Young UniversityCompositions and methods for treating bone diseases and broken bones
US20130243842A1 (en)2011-09-132013-09-19Brigham Young UniversityCompositions and methods for treating bone diseases and broken bones
JP2014530191A (en)2011-09-132014-11-17ブリガム・ヤング・ユニバーシティBrigham Young University Composition for the treatment of bone disease and fractured bone
US20140305461A1 (en)2011-12-152014-10-16Colgate-Palmolive CompanyAqueous oral care compositions
US20140363780A1 (en)2011-12-212014-12-11Brigham Young UniversityOral care compositions
US20160045421A1 (en)2011-12-212016-02-18Brigham Young UniversityOral care compositions and methods of use
WO2013109236A2 (en)2011-12-212013-07-25Colgate-Palmolive CompanyOral care compositions
US20170035677A1 (en)2011-12-212017-02-09Brigham Young UniversityOral care compositions
US9345655B2 (en)2011-12-212016-05-24Brigham Young UniversityOral care compositions
WO2013131060A1 (en)2012-03-012013-09-06Brigham Young UniversityAnti-microbial food processing compositions including ceragenin compounds and methods of use
US9533063B1 (en)2012-03-012017-01-03Brigham Young UniversityAerosols incorporating ceragenin compounds and methods of use thereof
US20130236619A1 (en)2012-03-012013-09-12Brigham Young UniversityAnti-microbial food processing compositions including ceragenin compounds and methods of use
US8787857B2 (en)2012-04-202014-07-22Fujitsu LimitedReceiving apparatus, frequency deviation calculating method, and medium storing computer program therein
WO2013163359A1 (en)2012-04-242013-10-31Brigham Young UniversityAnti microbial wash compositions including ceragenin compounds and methods of use for treating non-meat food products
US20130280391A1 (en)2012-04-242013-10-24Brigham Young UniversityAnti-microbial wash compositions including ceragenin compounds and methods of use for treating non-meat food products
US20150093423A1 (en)2012-05-022015-04-02Brigham Young UniversityCeragenin particulate materials and methods for making same
WO2013167743A1 (en)2012-05-112013-11-14Akron Molecules GmbhUse of compounds for the treatment of pain
US20140062960A1 (en)2012-08-302014-03-06Samsung Display Co., Ltd.Display apparatus and method of recognizing air touch using the same and method of displaying three-dimensional image using the same
US20160193232A1 (en)2012-10-172016-07-07Brigham Young UniversityTreatment and prevention of mastitis
US9314472B2 (en)2012-10-172016-04-19Brigham Young UniversityTreatment and prevention of mastitis
WO2014062960A1 (en)2012-10-172014-04-24Brigham Young UniversityTreatment and prevention of mastitis
CA2888259A1 (en)2012-10-172014-04-24Brigham Young UniversityTreatment and prevention of mastitis
US20140219914A1 (en)2012-12-132014-08-07Immunomedics, Inc.Dosages of Immunoconjugates of Antibodies and SN-38 for Improved Efficacy and Decreased Toxicity
WO2014107740A2 (en)2013-01-072014-07-10Brigham Young UniversityMethods for reducing cellular proliferation and treating certain diseases
US20140194401A1 (en)2013-01-072014-07-10Brigham Young UniversityMethods for reducing cellular proliferation and treating certain diseases
WO2014151411A1 (en)2013-03-152014-09-25Brigham Young UniversityMethods for treating inflammation, autoimmune disorders and pain
US20160022702A1 (en)2013-03-152016-01-28Paul B. SavageMethods for treating inflammation, autoimmune disorders and pain
US20140274913A1 (en)2013-03-152014-09-18Brigham Young UniversityMethods for treating inflammation, autoimmune disorders and pain
US20140336131A1 (en)2013-03-152014-11-13Brigham Young UniversityMethods for treating inflammation, autoimmune disorders and pain
US9387215B2 (en)2013-04-222016-07-12Brigham Young UniversityAnimal feed including cationic cholesterol additive and related methods
US20160199390A1 (en)2013-04-222016-07-14Brigham Young UniversityAnimal feed including cationic cholesterol additive and related methods
US20150110767A1 (en)2013-10-172015-04-23Brigham Young UniversityMethods for treating lung infections and inflammation
WO2015058087A1 (en)2013-10-172015-04-23Genberg, Carl A.Methods for treating lung infections and inflammation
US20150203527A1 (en)2014-01-232015-07-23Brigham Young UniversityCationic steroidal antimicrobials
US20150239928A1 (en)2014-02-272015-08-27Brigham Young UniversityCationic steroidal antimicrobial compounds
US20150258122A1 (en)2014-03-132015-09-17Brigham Young UniversityLavage and/or infusion using csa compounds for increasing fertility in a mammal
US20150258121A1 (en)2014-03-132015-09-17Brigham Young UniversityCompositions and methods for forming stabilized compositions with reduced csa agglomeration
WO2015138716A2 (en)2014-03-142015-09-17Savage Paul BAnti-infective and osteogenic compositions and methods of use
US20150258123A1 (en)2014-03-142015-09-17Brigham Young UniversityAnti-infective and osteogenic compositions and methods of use
US20150314342A1 (en)2014-04-302015-11-05Brigham Young UniversityMethods and apparatus for cleaning or disinfecting a water delivery system
WO2015200815A1 (en)2014-06-262015-12-30Genberg Carl AMethods for treating fungal infections
JP2017519036A (en)2014-06-262017-07-13ブリガム・ヤング・ユニバーシティBrigham Young University Methods for treating fungal infections
US10441595B2 (en)2014-06-262019-10-15Brigham Young UniversityMethods for treating fungal infections
US20150374719A1 (en)2014-06-262015-12-31Brigham Young UniversityMethods for treating fungal infections
US20170232004A1 (en)2014-06-262017-08-17Brigham Young UniversityMethods for treating fungal infections
US20160052959A1 (en)2014-08-222016-02-25Brigham Young UniversityRadiolabeled cationic steroid antimicrobials and diagnostic methods
US20160096864A1 (en)2014-10-072016-04-07Brigham Young UniversityCationic steroidal antimicrobial prodrug compositions and uses thereof
WO2016172543A1 (en)2015-04-222016-10-27Savage Paul BMethods for the synthesis of ceragenins
US20160311850A1 (en)2015-04-222016-10-27Brigham Young UniversityCationic steroidal antimicrobial salts
US20160311851A1 (en)2015-04-222016-10-27Brigham Young UniversityMethods for the synthesis of ceragenins
US9527883B2 (en)2015-04-222016-12-27Brigham Young UniversityMethods for the synthesis of ceragenins
US9434759B1 (en)2015-05-182016-09-06Brigham Young UniversityCationic steroidal antimicrobial compounds and methods of manufacturing such compounds
WO2016186821A1 (en)2015-05-182016-11-24Savage Paul BCationic steroidal antimicrobial compounds and methods of manufacturing such compounds
WO2017053355A1 (en)2015-09-212017-03-30Brigham Young UniversityMedical devices integrating cationic steroidal antimicrobial compounds
US20170080128A1 (en)2015-09-212017-03-23Brigham Young UniversityNovel endotracheal tube for the reduction of intubation-related complication in neonates and babies
US20170258963A1 (en)2016-03-112017-09-14Brigham Young UniversityCationic steroidal antimicrobial compositions for the treatment of dermal tissue
US10226550B2 (en)2016-03-112019-03-12Brigham Young UniversityCationic steroidal antimicrobial compositions for the treatment of dermal tissue
US20190076581A1 (en)2016-03-112019-03-14Paul B. SavageCationic steroidal antibiotic compositions for the treatment of dermal tissue
US20180164221A1 (en)2016-12-072018-06-14Progenity Inc.Gastrointestinal tract detection methods, devices and systems

Non-Patent Citations (183)

* Cited by examiner, † Cited by third party
Title
"Martindale: the complete drug reference, Cetrimide; Cetylpyridinium chloride Ed-Parfitt K", Jan. 1, 2000, pp. 1105-1106.
"Mouth rinse" definition by Medical dictionay. Retrieved from http://medical-dictionary.thefreedictionary.com/mouth-i-rinse, 2009.
"Quaternary Ammoniuim Compounds", Van Nostrand's Scientific Encyclopedia, Jan. 1, 2006, John Wiley & Sons, Inc.
Ahmed, Hydrogel: Preparation, characterization, and applications: A review, Journal of Advanced Research (2015) 6: 105-121 (Year: 2015).
Alafort et al., "Lys and Arg in UBI: A specific site for a stable Tc-99m complex?", Nuclear Medicine and Biology 30 (2003) 605-615.
Alhanout K et al: "Squalamine as an example of a new potent antimicrobial agents class: a critical review.", Current Medicinal Chemistry 2010, vol. 17, No. 32, 2010, pp. 3909-3917.
Atiq-Ur-Rehman Li C et al: "Preparation of Amino Acid-Appended Cholic Acid Derivatives as Sensitizers of Gram-Negative Bacteria", Tetrahedron Letters, Elsevier, Amsterdam, NL, vol. 40, No. 10, Mar. 5, 1999 (Mar. 5, 1999), pp. 1865-1868, XP004155984, ISSN: 0040-4039, DOI: 10.1016/S0040-4039(99)00075-1.
ATIQ-UR-REHMAN, LI, C. BUDGE, L.P. STREET, S.E. SAVAGE, P.B.: "Preparation of Amino Acid-Appended Cholic Acid Derivatives as Sensitizers of Gram-Negative Bacteria", TETRAHEDRON LETTERS, ELSEVIER, AMSTERDAM , NL, vol. 40, no. 10, 5 March 1999 (1999-03-05), Amsterdam , NL , pages 1865 - 1868, XP004155984, ISSN: 0040-4039, DOI: 10.1016/S0040-4039(99)00075-1
Bakri et al., "Inhibitory effect of garlic extract on oral bacteria", Archives of Oral Biology, 50: 645-651.
Barton, Journal of Clinical Investigation, vol. 118, No. 2, Feb. 2008, Review Series, pp. 413-420.
BASF, [Retrieved from internet <URL: https://worldaccount.basf.com/wa/NAFTA.about.en_US/Catalog/ChemicalsNAFTA-/doc4/BASF/PRD/30085231/.pdf?asset_type=pi/pdf&language=EN&urn=urn:documen-tum:eCommerce_sol_EU:09007bb280022b53.pdf >] (Year: 2004).
BASF, Pluronic® Block Copolymer NF Grades (Poloxamer NF Grades), Technical Bulletive (2004).
Belikov V.G., Pharmaceutical Chemistry, M., Higher School, 1993, p. 43-47.
Bellini et al., "Cholic and deoxycholic acids derivatives (Part I). Antimicrobial activity of cholane compounds", European J. of Medicinal Chem., 18(2), pp. 185-190, 1983.
Bellini et al., "Cholic and deoxycholic acids derivatives (Part II). Antimicrobial activity of cholane compounds", European J. of Medicinal Chem., 18(2), pp. 191-195, 1983.
Berge et al., "Pharmaceutical Salts", Journal of Pharmaceutical Sciences, Jan. 1977, vol. 66, No. 1, pp. 1-19.
Berge et al., Pharmaceutical salts. Journal of Pharmaceutical Sciences, vol. 66(1), pp. 1-19 (Year: 1977).*
Bondaryk et al. Postep. Derm. Alergol., 2013, vol. 5, pp. 293-301.
Bridot et al., "Hybrid Gadolinium Oxide Nanoparticles: Multimodal Contrast Agents for in Vivo Imaging", Journal of American Chemical Society, vol. 129, No. 16, pp. 5076-5084, Mar. 31, 2007.
Britton et al., "Imaging bacterial infection with 99mTc-ciprofloxacin (Infection)", Journal of Clinical Pathology, vol. 55, pp. 817-823, Apr. 6, 2015.
Brown, "Bioisosteres in Medicinal Chemistry, First Edition", edited by Nathan Brown, 2012, Ch. 2 Classical Bioisosteres, pp. 1-52.
Bucki et al., "Resistance of the antibacterial agent ceragenin CSA-13 to inactivation by DNA or F-actin and its activity in cystic fibrosis sputum", Journal of Antimicrobial Chemotherapy (2007) 60: 535-545, 11 pages.
Bucki et al., "Salivary mucins inhibit antibacterial activity of the cathelicidin-derived LL-37 peptide but not the cationic steroid CSA-13", Journal of Antimicrobial Chemotherapy (2008) 62: 329-335, 7 pages.
Bush, "Staphylococcal Infections", Merck Manuals Professional Edition, http://www.merckmanuals.com/professional/infectious-diseases/gram-positive-cocci/staphylococcal-infections.
Chen et al, J Drug Target, Dec. 2012; 20(10):856-63, 892.
Chin et al., "Antimicrobial Activities of Ceragenins against Clinical Isolates of Resistant Staphylococcus aureas", Antimicrobial Agents and Chemotherapy, vol. 51, No. 4, Apr. 2007, p. 1268-1273.
Chunhong, et al., "Antimicrobial Activities of Amine- and Guanidine-functionalized Cholic Acid Derivatives", Antimicrobial Agents and Chemotherapy, American Society for Microbiology, Washington DC, US, vol. 43, No. 6, Jun. 1999, pp. 1347-1349.
Cipolla et al., "Inhaled antibiotics to treat lung infection", Pharm Pat Anal., Sep. 2013.
Clara et al., "Preclinical evaluation of magainin-A as a contraceptive antimicrobial agent", Fertility and Sterility 81 (5), pp. 1357-1365, 2004.
csabiotech.com, Uncategorized: CSA Biotecfinologies LLC. posted by admin on Apr. 5, 2011 (Year: 2011).
Czemomysy-Furowicz et al. Etiological agents of mastitis in dairy cows on a farm in the West Pomeranian Region. Acta Sci. Pol., Zootechnica 7(1) 2008, 3-10.
De Cuyper et al., "Surface functionalization of magnetoliposomes in view of improving iron oxide-based magnetic resonance imaging contrast agents: Anchoring of gadolinium ions to a lipophilic chelate", 2007 Anal. Biochem. 367: 266-273. Published online May 10, 2007.
De Haas et al. Associations between pathogen-specific cases of clinical mastitis and somatic cell count patterns. J. Dairy Sci. 87: 95-105.
Dean et al.; Flavor Associated with Fish Meal in Diets Fed to Broiler Chickens; 1968; Can. J. Animal Sci.; 49:11-15 (Year: 1968).
Deepak B. Salunke et al., "Amino Functionalized Novel Cholic Acid Derivatives Induce HIV-1 Replication and Syncytia Formation in T Cells", J. Med. Chem. 2006.
Dennison et al., "Anticancer a-Helical Peptides and Structure/Function Relationships Underpinning their Interactions with Tumour Cell Membranes", Current Protein and Peptide Science, 2006, 7, No. 6, pp. 1-13.
Dennison et al., "Anticancer α-Helical Peptides and Structure/Function Relationships Underpinning their Interactions with Tumour Cell Membranes", Current Protein and Peptide Science, 2006, 7, No. 6, pp. 1-13.
Derakhshandeh et al., "Thermosensitive Pluronic hydrogel: prolonged injectable formulation for drug abuse", Drug Design, Development and Therapy, 2010, 255-262.
Ding, et al., "Correlation of the Antibacerial Activities of Cationic Peptid Antibiotics and Cationic Steroid Antibiotics", J. Med. Chem., vo. 45, pp. 663-669 (Year: 2002).
Ding, et al., "Origins of cell selectivity of cationic steroid antibiotics", Journal of American Chemical Society, Oct. 2004, pp. 13642-13648.
Dörwald, "Side reactions in organic synthesis", 2005, Wiley-VCH Verlag GmbH & co., KGAA Weinheim, Preface. p. IX.
Dumortier G, (A review of poloxamer 407 pharmaceutical and pharmacological characteristics. Pharm Res. Dec. 2006;23(12):2709-28. doi: 10.1007/S11095-006-9104-4. Epub Nov. 11, 2006. PMID: 17096184.).
Dumortier, Get al. (Pharmaceutical Research, vol. 23, No. 12, Dec. 2006).
Elder et al., "The Utility of Sulfonate Salts in Drug Development", Journal of Pharmaceutical Sciences 99(7): 2948-2961.
Epand et al., "Bacterial lipid composition and the antimicrobial efficacy of cationic steroid compounds (Ceragenins)", BBA, 2007, pp. 65-78.
Erskine et al., "Mastitis in Cattle", Merck Manual: Veterinary Manual. Electronic Resource: [http://www.merckvetmanual.com/reproductive-system/mastitis-in-large-animals/mastitis-in-cattle], retrieved Mar. 8, 2017.
Examiner Interview Summary received for U.S. Appl. No. 14/208,082, dated Oct. 23, 2020, 4 pages.
Feng, Theses Brigham Young University, BYU Scholars Archive, dated Dec. 19, 2011, 892.
Fichna et al., "Synthesis of Target-Specific Radiolabeled Peptides for Diagnostic Imaging", Bioconjugate Chem., 2003, 14, 3-17, American Chemical Society.
Food definition, Merriam Webster, https://www.merriam-webster.com/dictionary/food, Accessed Feb. 12, 2018.
Graterol et al., "Ultrastructural changes in premalignant and malignant lesions of the uterine cervix with papillomavirus infection", Journal of Cancer Research and Experimental Oncology, vol. 2, No. 3, Sep. 2010, pp. 35-42.
Guan et al: "Preparation and Characterization of Cholic Acid-Derived Antimicrobial Agents with Controlled Stabilities", Organic Letters, American Chemical Society, US, vol. 2, No. 18, Sep. 7, 2000 (Sep. 7, 2000), pp. 2837-2840.
Guan et al: "Supporting Information: Preparation and Characterization of Cholic Acid-Derived Antimicrobial Agents with Controlled Stabilities", Organic Letters, Aug. 17, 2000 (Aug. 17, 2000), pp. 1-7, XP55017313, Retrieved from the Internet: URL:http://pubs.acs.org/doi/supp1/10.1021/o10062704/suppl_file/o10062704_sl.pdf.
Hao et al., "A Phase I and Pharmacokinetic Study of Squalamine, an Aminosterol Angiogenesis Inhibitor", Clin Cancer Res, vol. 9, 2003, pp. 2465-2471.
Howell et al., "Ceragenins: A 1-18, class of Antiviral Compounds to Treat Orthopox Infections", Journal of Investigative Dermatology, vol. 129, No. 11, Jun. 11, 2009, pp. 2688-2675.
Huang L. et al.: "Synthesis and characterization of organometallic rhenium(I) and technetium(I) bile acid complexes" Journal of organometallic chemistry, Elsevier-Sequoia S.A. Lausanne, CH, col. 694, No. 20, Sep. 15, 2009, pp. 3247-3253.
Interational Search Report for PCT Application No. PCT/US2009/045485 dated Feb. 17, 2010.
International Search Report and Written Opinion received for PCT Patent Application No. PCT/US2020/034297, dated Aug. 26, 2020, 8 pages.
International Search Report for PCT Application No. PCT/US2009/047485 dated Feb. 17, 2010.
International Search Report for PCT Application No. PCT/US2011/059225 dated Jan. 31, 2012.
International Search Report for PCT Application No. PCT/US2012/047750, dated Oct. 5, 2012.
International Search Report for PCT Application No. PCT/US2012/055244 dated Dec. 5, 2012.
International Search Report for PCT Application No. PCT/US2012/055248 dated Feb. 14, 2013.
International Search Report for PCT Application No. PCT/US2013/038090, dated Jul. 24, 2013.
International Search Report for PCT Application No. PCT/US2013/065510 dated Apr. 30, 2015.
International Search Report for PCT Application No. PCT/US2014/034986 dated Aug. 28, 2014.
International Search Report for PCT Application No. PCT/US2015/020166 dated Sep. 2, 2015.
International Search Report for PCT Application No. PCT/US2015/038029 dated Sep. 29, 2015.
International Search Report for PCT Application No. PCT/US2015/046412 dated Dec. 1, 2015.
International Search Report for PCT Application No. PCT/US2015/054434 dated Dec. 23, 2015.
International Search Report for PCT Application No. PCT/US2016/052771 dated Dec. 9, 2016.
International Search Report for PCT Application No. PCT/US2018/023566 dated Mar. 21, 2018.
Isogai E et al: "Ceragenin CSA-13 exhibits antimicrobial activity against cariogenic and periodontopathic bacteria", Oral Microbiology and Immunology, vol. 24, No. 2, Apr. 2009 (Apr. 2009), pp. 170-172.
Iuliano, "Synthesis of four cholic acid-based CSPs containing 2-naphthyl carbamate and 3,5-dinitrophenylcarbamate moieties and their evaluation in the HPLC resolution of racemic compounds", Tetrahedron: Asymmetry 13 (2002) 1265-1275.
Jacob; Feeding Fishmeal to Poultry; https://articles.extension.org/pages/67357/feeding-fishmeal-to-poultry; May 5, 2015; accessed Sep. 10, 2018 (Year: 2015).
Jones et al, "Physicochemical Characterization of Hexetidine-Impregnated Endotracheal Tube Poly(Vinyl Chloride) and Resistance to Adherence of Respiratory Bacterial Pathogens", Pharmaceutical Research 19(6): 818-824, 2002.
Journal of Ocular Pharmacology and Therapeutics, vol. 27, Issue 1, Table of Contents (Mary Ann Liebert, Inc. publishers), Retrieved from internet <URL:http://online.libertpub.com/toc/jop/27/1>, Downloaded Dec. 1, 2017, 5 pages.
K. Leszczynska et al., "Antibacterial activity of the human host defence peptide LL-37 and selected synthetic cationic lipids against bacteria associated with oral and upper respiratory tract infections", Journal of Antimicrobial Chemotherapy Advance Access, Published Nov. 7, 2012.
K. Leszczynska et al., "Potential of ceragin CSA-13 and its mixture with pluronic F-127 as treatment of topical bacterial infections", Journal of Applied Microbiology, vol. 110, No. 1, Oct. 21, 2010, pp. 229-238.
Kaltsas et al., Endocrine-Related Cancer (2005) 12 683-699.
Kuroda, et al., "Ceragenin CSA-13 induces cell cycle arrest and antipro liferative effects in wild-type and p52 null mutant HCT116 colon cancer cells", Preclinical Report, Wolters Kluwer Health 2013.
Kwon, Ed., Polymeric Drug Delivery Systems, Taylor & Francis Group, LLC; pp. 1-653, 2005, pp. 350-351.
Lai XZ ( Ceragenins: cholic acid-based mimics of antimicrobial peptides. Acc Chern Res. Oct. 2008;41 (10): 1233-40. doi: 10.1021/ar700270t. Epub Jul. 11, 2008. PMID: 18616297.
Lai, et al., "Controlled Released of a Bactericidal Ceragenin-Polymer Conjugate", September 227, 2006, p. 1, 46th Annual Interscience Conference on Antimicrobial Agents and Chemotherapy.
Lankinen et al., "Ga-Dota-Peptide Targeting VAP-1 for In Vivo Evaluation of Inflammatory and Infectious Bone Conditions", 52nd Annual Meeting of the Orthopaedic Research Society.
Lawrence, Toby (The Nuclear Factor NF-?B Pathway in Inflammation, Cold Spring Harb Perspect Biol. Dec. 2009; 1(6): a001651).
Leszczynska et al. (J Antimicrob Chemother, published Nov. 7, 2012), Bacterial activity of cationic lipids, pp. 1-9).
Leszczynska et al., "Potential of ceragenin CSA-13 and its mixture with pluronic F-127 as treatment of topical bacterial infections", Journal of Applied Microbiology, vol. 110, No. 1, Oct. 21, 2010, pp. 229-238.
Li et al., "Incremental conversion of Outer-Membrane Permeabilizers into Potent Antibiotics for Gram-Negative Bacteria", J. Am. Chem. Soc. 1999, 121, 931-940.
Li, et al., "Antimicrobial Activities of Amine- and Guanidine-functionalized Cholic Acid Derivatives", Antimicrobial Agents and Chemotherapy, American Society for Microbiology, Washington DC, US, vol. 43, No. 6, Jun. 1999, pp. 1347-1349.
Louw et al., "Recueil des Travaux Chimiques des Pays-Bas et la Belgique", vol. 73, pp. 667-676, 1954.
Lowe et al., "Effect of Hydrophobicity of a Drug on its Release from Hydrogels with Different Topological Structures" Journal of Polymer Science (1999) 73: 1031-1039 (9 pages).
Martin, L., WebMD, 2012, pp. 1-25.
Massoud et al., "Molecular imaging in living subjects: seeing fundamental biological processes in a new light", Genes & Development 17: 545-580 2003, Cold Spring Harbor Laboratory Press.
McIntosh et al., "Towards Non-lnvasive Screening of Skin Lesions by Near-Infrared Spectroscopy", The Journal of Investigative Dermatology, vol. 116, No. 1, 2001, pp. 175-181.
Muñoz-Juárez et al., "Wide-Lumen Stapled Anastomosis vs. Conventional End-to-End Anastomosis in the Treatment of Crohn's Disease", Dis Colon Rectum 2001; 44: No. 1, 20-26).
No author listed. Novel antibiotic coating shows potential for use on surgical implants. Healio website. Dec. 21, 2005. healio.com/orthopedics/news/online/%7BdcOe6031-1f10-4b3c-abf6-f50b9cfd683f%7D/novel-antibiotic-coating-shows-potential-for-use-on-surgical-implants. Accessed Jun. 2, 2019. (Year: 2005).
Notice of Allowance received for U.S. Appl. No. 14/257,776, dated Mar. 25, 2016.
Novy et al., "Infections as a Cuase of Infertility", Glob. Libr. Women's med., (ISSN: 1756-2228) 2008; DOI 10.3843/GLOWM.10328.
Office Action received for U.S. Appl. No. 14/257,776, dated Apr. 16, 2015.
Ogata et al. Intramammary application of ozone therapy to acute clinical mastitis in dairy cows. J. Vet. Med. Sci. 62(7): 681-686, 2000.
Opsenica D, et al., "Cholic Acid Derivatives as 1,2,4,5-Tetraoxane Carriers: Structure and Antimalarial and Antiproliferative Activity", J. Med Chern. Aug. 2000.
Oxford Dictionaries (on-line) definition of Adsorb ([Retrieved from internet <URL: http://www.oxforddictionaries.com/us/definition/american_english/adsorb >] [Downloaded Mar. 10, 2015]).
Papo et al., "Host defense peptides as new weapons in cancer treatment", Cmls Cellular and Molecular Life Sciences, vol. 62, No. 7-8, Apr. 1, 2005, pp. 784-790.
Papo et al., "Host peptides as new weapons in cancer treatment", CMLS Cell. Mol. Life Sci. 62 (2005), 784-785.
Paul B. Savage, et al: "Antibacterial Properties of cationic steroid antibiotics", FEMS Microbiology Letters, vol. 217, Nov. 2002, p. 1-7.
Paul B. Savage, et al: "Antibacterial Properties of cationic steroid antibiotics", FEMS Microbiology Letters, vol. 217, Nov. 2002, pp. 1-7.
Perry et al., "Assessing peri-implant tissue infection prevention in a percutaneous model", Journal of Biomedical Materials Research Part B: Applied Biomaterials, vol. 028, Nov. 19, 2009, pp. 397-408.
Perry et al., "Assessing peri-implant tissue infection prevention in a percutaneous model", Journal of Biomedical Materials Research Part B: Applied Biomaterials, vol. 02B, Nov. 19, 2009, pp. 397-408.
Piktel et al. Sporicidal Activity of Ceragenin CSA-13 Against Bacillus Subtillis, Scientific Reports, vol. 7, Mar. 15, 2017 [retrieved on Apr. 24, 2018. Retreived from the internet: <URL: https://www.nature.com/articles/srep44452.pdf> Entire Document.
Pitten F-A, et al., "Efficacy of Cetylpyridinium Chloride Used as Oropharyngeal Antiseptic" Arzenimittel Forschung. Drug Research, ECV Editio Cantor Verlag, Aulendorf, DE, vol. 51, No. 7, Jan. 1, 2001, pp. 588-595.
Polat et al., "In Vitro Amoebicidal Activity of a Ceragenin, Cationic Steroid Antibiotic-13, Against Acanthamoeba castellanii and Its Cytotoxic Potential", Journal of Ocular Pharmacology and Therapeutics, vol. 27, No. 1, 2011.
Pollard et al. (J Antimicrob Chemother 2012; 67:2665-2672).
Press release (Ceragenix Pharmaceuticals, Wayne State University, Brigham Young University, Systemic Anti-Infectives, Preclinical Title—Ceragenin™ Compound demonstrates potent activity multidrug resistant bacterial strains of Pseudomonas, Denver, CO-Published Dec. 20, 2007).
Pycock, "The Dirty Mare", https://www.equine-reproduction.com/articles/DirtyMare.shtml, 2003.
Rausch, Virtual Textbook of Organic Chemistry, Heterocyclic Chemistry, 1999, pp. 1-14, recovered from https://www2.chemistry.msu.edu/faculty/reusch /VirtTxtJml/heterocy.htm on Jun. 1, 2017.
Robert Bucki (Resistance of the antibacterial agent ceragenin CSA-13 to inactivation by DNA or F-actin and its activity in cystic fibrosis sputum, Journal of Antimicrobial Chemotherapy, vol. 60, Issue 3, Sep. 2007, pp. 535-545).
Roohi et al., Prepration, quality control and biological evaluation of 99m-Tc-labelled cationic steroid antibiotic (CSA-13), Radiochim. Acta 197, 57-62 (2009).
Savage, et al., "Antibacterial Activities of Thin Films Containing Ceragenins", Microbial Surfaces: Structure, Interactions and Reactivity, ACS, May 30, 2008, pp. 65-78.
Schiller et al., "Potentiation of Platinum Antitumor Effects in Human Lung Tumor Xenografts by the Angiogenesis Inhibitor Squalamine: Effects on Tumor Neovascularization", Clin Cancer Res., vol. 5, 1999, pp. 4287-4294.
Schmidmaier et al., "Local Application of Growth Factors (Insulin-Like Growth Factor-1 and Transforming Growth Factor-β1) From a Biodegradable Poly(D, L-lactide) Coating of Osteosynthetic Implants Accelerates Fracture Healing in Rats", Bone vol. 28 No. 4, Apr. 2001.
Shi et al., "Multi-center randomized double-blind clinical trial on efficacy of a mouthwash containing 0.1% cetylpiridinium chloride on gingivitis and plaque and its safety", Chinese Journal of Evidence-Based Medicine (Sep. 2003, vol. 3, No. 3, pp. 171-177).
Sigma-Aldrich, Poly(ethylene-co-vinyl acetate), [Retrieved from internet <URL: http://www.sigmaaldrich.com/catalog/product/aldrich/340502?lang=- en®ion=US >], [Downloaded Jul. 22, 2016], excerpt in action.
Sinclair et al., "Development of a broad spectrum polymer-released antimicrobial coating for the prevention of resistant strain bacterial infections", Journal of Biomedical Materials Research Part A, vol. 100A, No. 10, May 24, 2012, pp. 2732-2738.
Staphylococcal Infections (Electronic Resource; Merck Manual). Retrieved on Jul. 3, 2017: [http://www.merckmanuals.com/professional/infectious-diseases/gram-positive-cocci/staphylococcal-infections].
Steeneveld et al., "Cow-specific treatment of clinical mastitis: an economic approach", Journal of Dairy Science vol. 94, Jan. 2011, pp. 174-188.
Suzuki et al., "Molecular Genetics of Plant Sterol Backbone Synthesis", 2007; Lipids; 42: 47-54.
U.S. Appl. filed Apr. 22, 2016, Savage et al., U.S. Appl. No. 15/135,900.
U.S. Appl. filed Apr. 22, 2016, Savage et al., U.S. Appl. No. 15/135,928.
U.S. Appl. filed Apr. 22, 2016, Savage et al., U.S. Appl. No. 15/135,969.
U.S. Appl. filed Apr. 23, 2015, Beus et al., U.S. Appl. No. 14/694,028.
U.S. Appl. filed Apr. 7, 2017, Savage., U.S. Appl. No. 15/481,184.
U.S. Appl. filed Aug. 19, 2015, Savage., U.S. Appl. No. 14/830,356.
U.S. Appl. filed Jan. 16, 2017, Savage., U.S. Appl. No. 15/406,667.
U.S. Appl. filed Jan. 21, 2015, Savage., U.S. Appl. No. 14/602,071.
U.S. Appl. filed Jan. 22, 2015, Savage., U.S. Appl. No. 14/602,499.
U.S. Appl. filed Jul. 25, 2014, Savage, et al., U.S. Appl. No. 14/341,304.
U.S. Appl. filed Jun. 25, 2015, Genberg et al., U.S. Appl. No. 14/750,928.
U.S. Appl. filed Mar. 1, 2013, Savage., U.S. Appl. No. 13/783,007.
U.S. Appl. filed Mar. 11, 2015, Beus et al., U.S. Appl. No. 14/644,946.
U.S. Appl. filed Mar. 11, 2015, Savage et al., U.S. Appl. No. 14/645,040.
U.S. Appl. filed Mar. 21, 2016, Beus et al., U.S. Appl. No. 15/076,313.
U.S. Appl. filed Mar. 23, 2018, Savage, Paul B., U.S. Appl. No. 15/934,534.
U.S. Appl. filed Oct. 16, 2014, Savage, et al., U.S. Appl. No. 14/515,858.
U.S. Appl. filed Oct. 30, 2014, Savage, et al., U.S. Appl. No. 14/398,094.
U.S. Appl. filed Oct. 6, 2015, Savage., U.S. Appl. No. 14/875,953.
U.S. Appl. filed Sep. 1, 2015, Genberg et al., U.S. Appl. No. 14/842,582.
U.S. Appl. filed Sep. 20, 2016, Genberg et al., U.S. Appl. No. 15/270,876.
U.S. Appl. filed Sep. 25, 2015, Savage., U.S. Appl. No. 14/866,213.
U.S. Appl. filed Sep. 9, 2015, Genberg et al., U.S. Appl. No. 14/848,819.
U.S. Appl. No. 13/288,902, filed Nov. 3, 2011, Notice of Allowance dated Aug. 9, 2013.
U.S. Appl. No. 13/841,549, filed Mar. 15, 2013, Office Action dated Apr. 23, 2015.
U.S. Appl. No. 14/288,126, filed May 27, 2014, Savage et al.
U.S. Appl. No. 14/341,304, filed Feb. 21, 2017, Final Office Action dated Feb. 21, 2017.
U.S. Appl. No. 14/602,071, filed Jan. 21, 2015, Final Office Action dated Jan. 12, 2017.
U.S. Appl. No. 14/602,071, filed Jan. 21, 2015, Office Action dated Aug. 3, 2016.
U.S. Appl. No. 14/926,738, filed Oct. 29, 2015, Vazquez et al.
U.S. Appl. No. 15/454,135, filed Mar. 9, 2017, Savage.
U.S. Appl. No. 15/585,632, filed May 3, 2017, Savage et al.
U.S. Appl. No. 15/895,848, filed Feb. 13, 2018, Genberg et al.
U.S. Appl. No. 15/926,534, filed Mar. 20, 2018, Savage.
U.S. Appl. No. 15/926,577, filed Mar. 20, 2018, Savage et al.
U.S. Appl. No. 15/934,534, filed Mar. 23, 2018, Savage.
U.S. Appl. No. 16/184,211, filed Nov. 8, 2018, Savage.
U.S. Application filed Feb. 17, 2015, by Savage, U.S. Appl. No. 14/624,200.
U.S. Application filed Jul. 29, 2014, by Vazquez et al., U.S. Appl. No. 14/364,283.
U.S. Application filed Mar. 10, 2015, by Darien et al., U.S. Appl. No. 14/642,905.
U.S. Application filed Oct. 25, 2016, by Vazquez et al., U.S. Appl. No. 15/333,514.
U.S. Patent Application filed Jul. 23, 2014 2014 by Vazquez et al., U.S. Appl. No. 14/339,342.
U.S. Patent Application filed Mar. 20, 2020, by Savage, U.S. Appl. No. 15/926,534.
Uncategorized: CSA Biotechnologies LLC, Apr. 5, 2011.
Valkonen, et al., "Bile acid amidoalcohols: simple orqanoqelators", Biosens Bioelectron, Dec. 2004.
Van Bambeke et al: "The bacterial envelope as a target for novel anti-MRSA antibiotics", Trends in Pharmacological Sciences, Elsevier, Haywarth, GB, vol. 29, No. 3, Feb. 11, 2008 (Feb. 11, 2008), pp. 124-134.
Van Den Bogaard et al., "Antibiotic Usage in Animals: Impact on Bacterial Resistance and Public Health"; 1999; Drugs; 58 (4): 589-607.
Welling et al., "Radiochemical and biological characteristics of 99m-Tc-UBI 29-41 for imaging of bacterial infections", Nuclear Medicine and Biology 29 (2002) 413-422.
Willemen et al., "Miceli Formation and Antimicrobial Acivity of Cholic Acid Derivatives with three Permanent Ionic Head Groups", Angew. Chem. Int. Ed., 2002, 41, No. 22.
Williams et al., "In vivo efficacy of a silicone-cationic steroid antimicrobial coating to prevent implant-related infection", Biomaterials, Nov. 2012: 33(33): 8641-8656 (Department of Brigham Young University).
Winter et al., "Improved paragmentic chelate for molecular imaging with MRI", 2005 J. Magn. Magn. Mater. 293: 540-545.
Wu et al., "Biodegradable hydrophobic-hydrophilic hybrid hydrogels: swelling behavior and controlled drug release", Journal of Biomaterials Science Polymer Edition (J. Biomatter. Sci. Polymer Ed.) (2008) 19 (4): 411-429 (20 pages, including copyright information).
Xin-Zhong Lai et al., "Ceragenins: Cholic Acid-Based Mimics of Antimicrobial peptides", Account of Chemical Research vol. 41, No. 10, Oct. 21, 2008, pp. 1233-1240.
Yin, et al., "Antiangiogenic Treatment Delays Chondrocyte Maturation and Cone Formation During Lim Skeletogenesis", Journal of Bone and Mineral Research, American Society for Bone and Mineral Research, New York, NY, US, vol. 17, No. 1, Jan. 1, 2002.
Zanger et al., "Structure-Activity Relationship and Drug Design", Remington's Pharmaceutical Sciences, Chapter 27, 16th Edition, 1980, pp. 420-425.
Zaragoza Dorwald, Side Reactions in Organic Synthesis, 2005, WILEY-VCH Verlag GmbH & Co. KGaA, Weinheim, Preface. p. IX.

Also Published As

Publication numberPublication date
US20150203527A1 (en)2015-07-23
US20170210776A1 (en)2017-07-27

Similar Documents

PublicationPublication DateTitle
US11286276B2 (en)Cationic steroidal antimicrobials
US10626139B2 (en)Cationic steroidal antimicrobial compounds
US9931350B2 (en)Anti-infective and osteogenic compositions and methods of use
US10195215B2 (en)Methods for reducing cellular proliferation and treating certain diseases
US9314472B2 (en)Treatment and prevention of mastitis
CA2907082C (en)Methods for treating inflammation, autoimmune disorders and pain
US9434759B1 (en)Cationic steroidal antimicrobial compounds and methods of manufacturing such compounds
JP6038154B2 (en) Composition for the treatment of bone disease and fractured bone
EP3229808B1 (en)Cationic steroidal antimicrobal compounds for use in treating fungal infections
US10568893B2 (en)Methods for treating inflammation, autoimmune disorders and pain
US20140336131A1 (en)Methods for treating inflammation, autoimmune disorders and pain
WO2013040265A1 (en)Compositions for treating bone diseases and broken bones
JP7716764B2 (en) Cationic steroid antibacterial compounds and methods for producing cationic steroid antibacterial compounds

Legal Events

DateCodeTitleDescription
ASAssignment

Owner name:BRIGHAM YOUNG UNIVERSITY, UTAH

Free format text:ASSIGNMENT OF ASSIGNORS INTEREST;ASSIGNOR:SAVAGE, PAUL B.;REEL/FRAME:042191/0469

Effective date:20150108

FEPPFee payment procedure

Free format text:ENTITY STATUS SET TO MICRO (ORIGINAL EVENT CODE: MICR); ENTITY STATUS OF PATENT OWNER: MICROENTITY

STPPInformation on status: patent application and granting procedure in general

Free format text:DOCKETED NEW CASE - READY FOR EXAMINATION

STPPInformation on status: patent application and granting procedure in general

Free format text:NON FINAL ACTION MAILED

FEPPFee payment procedure

Free format text:ENTITY STATUS SET TO MICRO (ORIGINAL EVENT CODE: MICR); ENTITY STATUS OF PATENT OWNER: MICROENTITY

STPPInformation on status: patent application and granting procedure in general

Free format text:FINAL REJECTION MAILED

STCVInformation on status: appeal procedure

Free format text:NOTICE OF APPEAL FILED

STCVInformation on status: appeal procedure

Free format text:EXAMINER'S ANSWER TO APPEAL BRIEF MAILED

STCVInformation on status: appeal procedure

Free format text:ON APPEAL -- AWAITING DECISION BY THE BOARD OF APPEALS

STCVInformation on status: appeal procedure

Free format text:BOARD OF APPEALS DECISION RENDERED

STPPInformation on status: patent application and granting procedure in general

Free format text:FINAL REJECTION MAILED

STPPInformation on status: patent application and granting procedure in general

Free format text:NON FINAL ACTION MAILED

STPPInformation on status: patent application and granting procedure in general

Free format text:RESPONSE TO NON-FINAL OFFICE ACTION ENTERED AND FORWARDED TO EXAMINER

STPPInformation on status: patent application and granting procedure in general

Free format text:FINAL REJECTION MAILED

STPPInformation on status: patent application and granting procedure in general

Free format text:RESPONSE AFTER FINAL ACTION FORWARDED TO EXAMINER

STPPInformation on status: patent application and granting procedure in general

Free format text:NOTICE OF ALLOWANCE MAILED -- APPLICATION RECEIVED IN OFFICE OF PUBLICATIONS

STPPInformation on status: patent application and granting procedure in general

Free format text:PUBLICATIONS -- ISSUE FEE PAYMENT VERIFIED

STCFInformation on status: patent grant

Free format text:PATENTED CASE

CCCertificate of correction
MAFPMaintenance fee payment

Free format text:PAYMENT OF MAINTENANCE FEE, 4TH YEAR, MICRO ENTITY (ORIGINAL EVENT CODE: M3551); ENTITY STATUS OF PATENT OWNER: MICROENTITY

Year of fee payment:4


[8]ページ先頭

©2009-2025 Movatter.jp