Movatterモバイル変換


[0]ホーム

URL:


US10226456B2 - Methods and compositions for preventing opioid abuse - Google Patents

Methods and compositions for preventing opioid abuse
Download PDF

Info

Publication number
US10226456B2
US10226456B2US15/139,836US201615139836AUS10226456B2US 10226456 B2US10226456 B2US 10226456B2US 201615139836 AUS201615139836 AUS 201615139836AUS 10226456 B2US10226456 B2US 10226456B2
Authority
US
United States
Prior art keywords
oxy
nmr
mhz
dmso
hydroxy
Prior art date
Legal status (The legal status is an assumption and is not a legal conclusion. Google has not performed a legal analysis and makes no representation as to the accuracy of the status listed.)
Active
Application number
US15/139,836
Other versions
US20160326182A1 (en
Inventor
John K. Thottathil
Current Assignee (The listed assignees may be inaccurate. Google has not performed a legal analysis and makes no representation or warranty as to the accuracy of the list.)
3st Research LLC
Curia Global Inc
Original Assignee
3st Research LLC
Priority date (The priority date is an assumption and is not a legal conclusion. Google has not performed a legal analysis and makes no representation as to the accuracy of the date listed.)
Filing date
Publication date
Family has litigation
First worldwide family litigation filedlitigationCriticalhttps://patents.darts-ip.com/?family=57222389&utm_source=google_patent&utm_medium=platform_link&utm_campaign=public_patent_search&patent=US10226456(B2)"Global patent litigation dataset” by Darts-ip is licensed under a Creative Commons Attribution 4.0 International License.
Priority to US15/139,836priorityCriticalpatent/US10226456B2/en
Application filed by 3st Research LLCfiledCritical3st Research LLC
Publication of US20160326182A1publicationCriticalpatent/US20160326182A1/en
Assigned to Waterville Valley Technologies, Inc.reassignmentWaterville Valley Technologies, Inc.RESCISSION OF ASSIGNMENTAssignors: CAMARA, FATOUMATA, GOLDEN, Kathryn, JIANG, XIAOWU, JIN, XIAOMIN, PASETTO, Paolo, SURMAN, MATTHEW
Assigned to ALBANY MOLECULAR RESEARCH, INC.reassignmentALBANY MOLECULAR RESEARCH, INC.ASSIGNMENT OF ASSIGNORS INTEREST (SEE DOCUMENT FOR DETAILS).Assignors: CAMARA, FATOUMATA, GOLDEN, Kathryn, JIANG, XIAOWU, JIN, XIAOMIN, PASETTO, Paolo, SURMAN, MATTHEW
Priority to US15/431,624prioritypatent/US11020386B2/en
Priority to US15/431,572prioritypatent/US10695342B2/en
Assigned to THOTTATHIL, JOHN K.reassignmentTHOTTATHIL, JOHN K.ASSIGNMENT OF ASSIGNORS INTEREST (SEE DOCUMENT FOR DETAILS).Assignors: WATERVILLE VALLEY TECHNOLOGIES
Assigned to THOTTATHIL, JOHN K.reassignmentTHOTTATHIL, JOHN K.ASSIGNMENT OF ASSIGNORS INTEREST (SEE DOCUMENT FOR DETAILS).Assignors: PELTIER, JAMES
Assigned to 3ST RESEARCH LLCreassignment3ST RESEARCH LLCASSIGNMENT OF ASSIGNORS INTEREST (SEE DOCUMENT FOR DETAILS).Assignors: THOTTATHIL, JOHN K.
Publication of US10226456B2publicationCriticalpatent/US10226456B2/en
Application grantedgrantedCritical
Assigned to APOLLO ADMINISTRATIVE AGENCY, LLCreassignmentAPOLLO ADMINISTRATIVE AGENCY, LLCSECURITY INTEREST (SEE DOCUMENT FOR DETAILS).Assignors: CURIA GLOBAL, INC., CURIA IP HOLDINGS, LLC, CURIA MISSOURI, INC.
Assigned to WILMINGTON TRUST, NATIONAL ASSOCIATION, AS COLLATERAL AGENTreassignmentWILMINGTON TRUST, NATIONAL ASSOCIATION, AS COLLATERAL AGENTSECOND LIEN INTELLECTUAL PROPERTY AGREEMENT SUPPLEMENTAssignors: CURIA GLOBAL, INC., CURIA IP HOLDINGS, LLC, CURIA MISSOURI, INC.
Activelegal-statusCriticalCurrent
Anticipated expirationlegal-statusCritical

Links

Images

Classifications

Definitions

Landscapes

Abstract

Abuse-resistant opioid compounds, drug delivery systems, pharmaceutical compositions comprising an opioid covalently bound to a chemical moiety are provided. Methods of delivering an active ingredient to a subject and methods of preventing opioid abuse are also provided.

Description

FIELD OF THE INVENTION
The following invention generally relates to the field of preventing the overuse and/or abuse of certain medicines, and in particular, opioid compounds.
BACKGROUND OF THE INVENTION
Opioids reduce pain by decreasing perception of pain, decreasing reaction to pain, and increasing pain tolerance. They have long been used in the treatment of acute and chronic pain. Opioid use may produce side effects such as feelings of euphoria, and, as such, opioids are among the most misused and abused medications. Attempts to create abuse-resistant opioids have been made (e.g., crush-resistant formulations), but skilled illicit chemists have thus far been able to extract the opioids from these formulations.
Therefore there at least remains a need in the art for the availability of new methods and compositions for preventing opioid abuse.
SUMMARY OF THE INVENTION
One or more embodiments of the invention may address one or more of the aforementioned problems. The present invention addresses some of the needs mentioned above by using abuse-resistant opioid compounds comprising an opioid covalently bound to a chemical moiety. For example, certain embodiments according to the present invention provide abuse-resistant opioid compounds. In some embodiments, the abuse-resistant opioid compound may comprise an opioid covalently bound to a chemical moiety.
In another aspect, the present invention provides a drug delivery system including abuse-resistant opioid compounds. In such embodiments, the abuse-resistant opioid compound comprises an opioid covalently bound to a chemical moiety.
In another aspect, the present invention provides a pharmaceutical composition including abuse-resistant opioid compounds wherein the abuse-resistant opioid compounds comprise an opioid covalently bound to a chemical moiety.
In another aspect, the present invention provides a method of delivering an active ingredient to a subject by administering a therapeutically effective amount of an opioid compound to a subject.
In another aspect, the present invention provides a method of preventing opioid abuse by administering a therapeutically effective amount of an opioid compound to a subject.
BRIEF DESCRIPTION OF THE DRAWINGS
The present invention now will be described more fully hereinafter with reference to the accompanying drawings, in which some, but not all embodiments of the invention are shown. The present invention may be embodied in many different forms and should not be construed as limited to the embodiments set forth herein; rather, these embodiments are provided so that this disclosure will satisfy applicable legal requirements and demonstrate exemplary embodiments of the invention. Repeat use of reference characters in the present specification and drawings is intended to represent same or analogous features or elements of the invention.
FIG. 1 illustrates plasma concentrations of oxymorphone at dose 1.77 mg/kg Oxymorphone HCl Oral for individual animals;
FIG. 2 illustrates mean and standard deviation plasma concentrations of oxymorphone at dose 1.77 mg/kg Oxymorphone HCl Oral;
FIG. 3 illustrates plasma concentrations of oxymorphone at dose 3.54 mg/kg Oxymorphone HCl Oral for individual animals;
FIG. 4 illustrates mean and standard deviation plasma concentrations of oxymorphone at dose 3.54 mg/kg Oxymorphone HCl Oral;
FIG. 5 illustrates plasma concentrations of oxymorphone at dose 7.12 mg/kg Oxymorphone Oleate (Ex No. B3) Oral for individual animals;
FIG. 6 illustrates mean and standard deviation plasma concentrations of oxymorphone at dose 7.12 mg/kg Oxymorphone Oleate (Ex No. B3) Oral;
FIG. 7 illustrates plasma concentrations of oxymorphone at dose 5.56 mg/kg Oxymorphone Malate (Ex No. B5) Oral for individual animals;
FIG. 8 illustrates mean and standard deviation plasma concentrations of oxymorphone at dose 5.56 mg/kg Oxymorphone Malate (Ex No. B5) Oral;
FIG. 9 illustrates plasma concentrations of oxymorphone at dose 6.72 mg/kg Oxymorphone Mandelate (Ex No. B1a) Oral for individual animals;
FIG. 10 illustrates mean and standard deviation plasma concentrations of oxymorphone at dose 6.72 mg/kg Oxymorphone Mandelate (Ex No. B1a) Oral;
FIG. 11 illustrates plasma concentrations of oxymorphone at dose 5.48 mg/kg Oxymorphone Mandelate (Ex No. B1b) Oral for individual animals;
FIG. 12 illustrates mean and standard deviation plasma concentrations of oxymorphone at dose 5.48 mg/kg Oxymorphone Mandelate (Ex No. B1b) Oral;
FIG. 13 illustrates plasma concentrations of oxymorphone at dose 6.01 mg/kg Oxymorphone Lactate (Ex No. B2a) Oral for individual animals;
FIG. 14 illustrates mean and standard deviation plasma concentrations of oxymorphone at dose 6.01 mg/kg Oxymorphone Lactate (Ex No. B2a) Oral;
FIG. 15 illustrates plasma concentrations of oxymorphone at dose 4.93 mg/kg Oxymorphone Lactate (Ex No. B2b) Oral for individual animals;
FIG. 16 illustrates mean and standard deviation plasma concentrations of oxymorphone at dose 4.93 mg/kg Oxymorphone Lactate (Ex No. B2b) Oral;
FIG. 17 illustrates plasma concentrations of oxymorphone at dose 7.4 mg/kg Oxymorphone Stearate (Ex No. B4) Oral for individual animals;
FIG. 18 illustrates mean and standard deviation plasma concentrations of oxymorphone at dose 7.4 mg/kg Oxymorphone Stearate (Ex No. B4) Oral;
FIG. 19 illustrates plasma concentrations of oxymorphone at dose 6.16 mg/kg Oxymorphone Alanine (Ex No. B6) Oral;
FIG. 20 illustrates mean and standard deviation plasma concentrations of oxymorphone at dose 6.16 mg/kg Oxymorphone Alanine (Ex No. B6) Oral;
FIG. 21 illustrates plasma concentrations of oxymorphone at dose 5.41 mg/kg Oxymorphone Alanine (Ex No. B7) Oral;
FIG. 22 illustrates mean and standard deviation plasma concentrations of oxymorphone at dose 5.41 mg/kg Oxymorphone Alanine (Ex No. B7) Oral;
FIG. 23 illustrates plasma concentrations of oxymorphone at dose 6.01 mg/kg Oxymorphone Mandelate (Ex No. B8) Oral;
FIG. 24 illustrates mean and standard deviation plasma concentrations of oxymorphone at dose 6.01 mg/kg Oxymorphone Mandelate (Ex No. B8) Oral;
FIG. 25 illustrates plasma concentrations of oxymorphone at dose 6.02 mg/kg Oxymorphone Malate (Ex No. B9) Oral;
FIG. 26 illustrates mean and standard deviation plasma concentrations of oxymorphone at dose 6.02 mg/kg Oxymorphone Malate (Ex No. B9) Oral; and
FIG. 27 illustrates average plasma concentrations of oxycodone in rats at various doses of opioid compounds according to certain embodiments of the present invention.
DETAILED DESCRIPTION OF PREFERRED EMBODIMENTS
Reference will now be made in detail to exemplary embodiments of the invention, one or more examples of which are illustrated in the accompanying drawings. Each example is provided by way of explanation of the invention, not limitation of the invention. In fact, it will be apparent to those skilled in the art that modifications and variations can be made in the present invention without departing from the scope or spirit thereof. For instance, features illustrated or described as part of one embodiment may be used on another embodiment to yield a still further embodiment. Thus, it is intended that the present invention covers such modifications and variations as come within the scope of the appended claims and their equivalents.
As used herein, the term “composition” may comprise any composition containing one or more opioid compounds. The composition may comprise a dry formulation, an aqueous solution, or a sterile composition. Compositions comprising the opioid compounds described herein may be stored in freeze-dried form and may be associated with a stabilizing agent such as a carbohydrate. In use, the composition may be deployed in an aqueous solution containing salts, e.g., NaCl, detergents such as sodium dodecyl sulfate (SDS), and other components.
The term “alkyl”, as used herein, may refer to linear or branched alkyl groups. Exemplary alkyl groups include methyl, ethyl, n-propyl, iso-propyl, n-butyl, iso-butyl, t-butyl, n-pentyl, iso-pentyl, hexyl, heptyl, octyl and the like. Unless otherwise specified, an alkyl group typically has from about 1 to about 10 carbon atoms.
The term “alkoxy”, as used herein, may refer to an —O (alkyl) group, where alkyl is as defined above. Exemplary alkyl groups include methoxy, ethoxy, prepay, butoxy, iso-propoxy, iso-butoxy, and the like. Unless otherwise specified, an alkoxy group typically has from 1 to about 10 carbon atoms.
The term “amine”, as used herein, may refer to a primary, secondary, or tertiary amino group. The secondary and tertiary amine may contain alkyl, cycloalkyl or aryl substitutions. Some examples of amines include NH2, NHMe, NMe2, NH(cyclopropyl), and the like. Unless otherwise specified, the alkyl or cycloalkyl group on an amine typically has from 1 to about 8 carbon atoms.
The term “aryl”, as used herein, may refer to an optionally substituted monocyclic or polycyclic aromatic ring system of about 6 to about 14 carbon atoms. Exemplary aryl groups include phenyl, naphthyl, and the like. Unless otherwise specified, an aryl group typically has from 6 to about 14 carbon atoms.
The term “salts”, as used herein, may refer to any acid or base salt, pharmaceutically acceptable solvates, or any complex of the compound that, when administered to a recipient, is capable of providing (directly or indirectly) a compound as described herein. It should be appreciated, however, that salts that are not pharmaceutically acceptable also lie within the scope of the invention. The preparation of salts can be carried out using known methods.
For example, pharmaceutically acceptable salts of compounds contemplated herein as being useful may be synthesized by conventional chemical methods using a parent compound containing a base or an acid functionality. Generally, such salts may be prepared, for example, by making free acid or base forms of the compounds and reacting with a stoichiometric quantity of the appropriate base or acid in water or in an organic solvent, or in a mixture of the two. Generally, non-aqueous media such as one or more of solvents such as ether, ethyl acetate, ethanol, isopropanol or acetonitrile may be utilized. Examples of acid addition salts include one or more of mineral acid addition salts such as hydrochloride, hydrobromide, hydroiodide, sulphate, phosphate, and organic acid addition salts such as one or more of acetate, maleate, fumarate, citrate, oxalate, succinate, tartrate, malate, mandelate, methanesulphonate and p-toluenesulphonate. Examples of base addition salts include one or more of inorganic salts such as sodium, potassium, calcium, ammonium, magnesium, and lithium salts, and organic base salts such as one or more of ethylenediamine, ethanolamine, N,N-dialkyl-ethanolamine, triethanolamine, and basic amino acid salts.
As used herein, the term “peptide” may refer to a single amino acid, a dipeptide, a tripeptide, an oligopeptide, a polypeptide, or a carrier peptide. An oligopeptide includes from 2 to 70 amino acids.
The terms “decreased”, “reduced”, “diminished”, or “lowered”, as used herein, include at least a 10% change in pharmacological activity with greater percentage changes being preferred for reduction in abuse potential and overdose potential. For instance, the change may also be greater than 25%, 35%, 45%, 55%, 65%, 75%, 85%, 95%, 96%, 97%, 98%, 99%, or other increments greater than 10%.
The term “similar pharmacological activity”, as used herein, may indicate that two compounds exhibit curves that have substantially the same AUC, Cmax, Tmax, Cmin, and/or t1/2parameters, within, in certain exemplary embodiments, about 30% of each other, and in further exemplary embodiments within about 25%, 20%, 10%, 5%, 2%, 1%, or other increments less than 30%.
For ease of reference, the present invention will be described in terms of administration to human subjects. It will be understood, however, that such descriptions are not limited to administration to humans, but will also include administration to other animals unless explicitly stated otherwise.
In one aspect, the present invention provides abuse-resistant opioid compounds comprising an opioid covalently bound to at least one chemical moiety. The opioid compounds can also be characterized as conjugates in that they possess a covalent attachment. The opioid compounds may also be characterized as conditionally bioreversible derivatives (“CBDs”) in that, according to certain embodiments, the opioid compound remains inactive until oral administration releases the opioid from the at least one chemical moiety.
In accordance with certain embodiments of the present invention, the opioid compound may be represented by Formula I:
O-Xn—Zm  (I)
wherein O is an opioid; each X is an independent chemical moiety; each Z is an independent chemical moiety that acts as an adjuvant and is a different chemical moiety from at least one X; n is from 1 to 50; and m is from 0 to 50. In further embodiments, n may be from 1 to 10, and m may be from 0 to 10.
In some embodiments, m may be 0. In such embodiments, the opioid compound may be represented by Formula II:
O-Xn  (II)
wherein O is an opioid; each X is an independent chemical moiety; and n is from 1 to 50. Formula II can also be written to designate the chemical moiety that is physically attached to the opioid:
O-X1—(X)n-1  (III)
wherein O is an opioid; X1is a chemical moiety; each X is an independent chemical moiety that is the same or different from X1; and n is from 1 to 50. In further embodiments, n may be from 1 to 10.
In accordance with certain embodiments of the present invention, the opioid O may be any of the natural or synthetic derivatives ofPapaver somniferumsuch as oxymorphone or oxycodone, or any derivative, analog, or salt thereof. In some embodiments, the opioid O may be selected from the group consisting of a natural opioid, an ester of morphine opioid, an ether of morphine opioid, a semi-synthetic opioid, a synthetic opioid, and an endogenous opioid peptide. As such, exemplary opioids include, but are not limited to, morphine; codeine; thebaine; oripavine; diacetylmorphine; 2,4-dinitrophenylmorphine; methylenedioxydimethylamphetamine; chlomaltrexamine; dihydromorphine; hydromorphinol; nicomorphine; dipropanoylmorphine; desomorphine; acetylproprionylmorphine; methyldesorphine; N-phenethylnormorphine; 14-hydroxydihydrocodeine (RAM-318); 7,8-dihydro-14-hydroxy-N-phenethylnormorphine (RAM-378); dibenzoylmorphine; diacetyldihydromorphine; dibenzoylmorphine; 6-monoacetylcodeine (6-MAC); acetyldihydrocodeine; dihydrocodeine; nalbuphine; nicocodeine; nicodicodeine; oxymorphazone; 1-iodomorphine; morphine-6-glycuronide (M6G); 6-monoacetylmorphine (6-MAM); norcodeine; normorphine; genomorphine; dextrallorphan (DXA); cyclorphan; dihydroheterocodeine; pholcodine; myrophine; 14-cinnamoyloxycodeinone; 14-ethoxymetopon; 14-methoxymetopon; 14-phenylpropoxymetopon (PPOM); 7-spiroindanyloxymorphone; acetylmorphone; codeinone; conorphone; codoxime; thebacon; metopon; N-phenethyl-14-ethoxymetopon; morphinone; benzylmorphine; codeine methylbromide; ethylmorphine; heterocodeine; hydromorphone; hydrocodone; oxycodone; oxymorphone; pentamorphone; semorphone; chloromorphide; ethylmorphine; buprenorphine; fentanyl; alphamethylfentanyl; alfentanil; sufentanil; remifentanil; carfentanyl; ohmefentanyl; pethidine; ketobemidone; desmethylprodine (MPPP); allylprodine; prodine; 1-methyl-4-phenyl-4-propionoxypiperidine (PEPAP); propoxyphene; dextropropoxyphene; dextromoramide; bezitramide; piritramide; levorphanol; methadone; dipipanone; levomethadyl acetate (LAAM); difenoxin; diphenoxylate; loperamide; dezocine; pentazocine; phenazocine; dihydroetorphine; etorphine; butorphanol; nalbuphine; levomethorphan; levophenacylmorphan; norlevorphanol; oxilorphan; phenomorphan; furethylnorlevorphanol; xorphanol; butorphanol; cyprodime; drotebanol; 7-PET; acetorphine; BU-48; cyprenorphine; norbuprenorphine; lefetamine; meptazinol; mitragynine; tilidine; tramadol; tapentadol; dextropropoxyphene; endorphins; enkephalins; dynorphins; and endomorphins. In some embodiments, the opioid is oxymorphone. In further embodiments, the opioid is oxycodone.
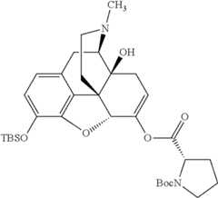
Figure US10226456-20190312-C00001

The opioid can have any stereogenic configuration, including both dextro- and levo-isomers.
According to certain embodiments of the present invention, the opioid may be an opioid salt. Pharmaceutically acceptable salts, e.g., non-toxic, inorganic and organic acid addition salts, are known in the art. Exemplary salts include, but are not limited to, 2-hydroxyethanesulfonate, 2-naphthalenesulfonate, 3-hydroxy-2-naphthoate, 3-phenylpropionate, acetate, adipate, alginate, amsonate, aspartate, benzenesulfonate, benzoate, besylate, bicarbonate, bisulfate, bitartrate, borate, butyrate, calcium edetate, camphorate, camphorsulfonate, camsylate, carbonate, citrate, clavulariate, cyclopentanepropionate, digluconate, dodecylsulfate, edetate, edisylate, estolate, esylate, ethanesulfonate, finnarate, gluceptate, glucoheptanoate, gluconate, glutamate, glycerophosphate, glycollylarsanilate, hemisulfate, heptanoate, hexafluorophosphate, hexanoate, hexylresorcinate, hydrabamine, hydrobromide, hydrochloride, hydroiodide, hydroxynaphthoate, iodide, isothionate, lactate, lactobionate, laurate, laurylsulphonate, malate, maleate, mandelate, mesylate, methanesulfonate, methylbromide, methylnitrate, methylsulfate, mucate, naphthylate, napsylate, nicotinate, nitrate, N-methylglucamine ammonium salt, oleate, oxalate, palmitate, pamoate, pantothenate, pectinate, persulfate, phosphate, phosphateldiphosphate, picrate, pivalate, polygalacturonate, propionate, p-toluenesulfonate, saccharate, salicylate, stearate, subacetate, succinate, sulfate, sulfosaliculate, suramate, tannate, tartrate, teoclate, thiocyanate, tosylate, triethiodide, undecanoate, and valerate salts, and the like.
According to certain embodiments of the present invention, the opioid is bound to one or more chemical moieties, denominated X. A chemical moiety can be any moiety that decreases the pharmacological activity of the opioid while bound to the chemical moiety as compared to unbound (free) opioid. The attached chemical moiety can be either naturally occurring or synthetic. The chemical moiety is safe for human consumption. Safe for human consumption, as used herein, may generally refer to the Food and Drug Administration (FDA) designation of a consumable as generally recognized as safe (“GRAS”). In this regard, the chemical moiety is regarded as safe under the conditions of its intended use by experts and, as such, is exempted from Federal Food, Drug, and Cosmetic Act (FFDCA) food additive tolerance requirements.
Exemplary chemical moieties may include, but are not limited to, peptides, including single amino acids, dipeptides, tripeptides, oligopeptides, and polypeptides; carboxylic acids, including α-hydroxy acids and dicarboxylic acids; and fatty acids. In some embodiments, X may be a carboxylic acid. In such embodiments, X may comprise lactic acid, mandelic acid, malic acid, tartaric acid, succinic acid, citric acid, or sorbic acid. In other embodiments, X may be a peptide. In such embodiments, X may comprise an amino acid including, but not limited to, alanine (Ala or A), arginine (Arg or R), asparagine (Asn or N), aspartic acid (Asp or D), cysteine (Cys or C), glycine (Gly or G), glutamic acid (Glu or E), glutamine (Gln or Q), histidine (His or H), isoleucine (Ile or I), leucine (Leu or L), lysine (Lys or K), methionine (Met or M), proline (Pro or P), phenylalanine (Phe or F), serine (Ser or S), tryptophan (Trp or W), threonine (Thr or T), tyrosine (Tyr or Y), and valine (Val or V), or a dipeptide including, but not limited to, camosine. Each amino acid can be any one of the L- or D-enantiomers. In further embodiments, X may comprise at least one of alanine, proline, or camosine. In other embodiments, X may be a fatty acid. In such embodiments, X may comprise oleic acid or stearic acid.
According to certain embodiments, the opioid may be bound to another chemical moiety Z. In such embodiments, Z may be an adjuvant analgesic. Exemplary embodiments of Z are listed below in Table 1.
In accordance with certain embodiments of the present invention, the abuse-resistant opioid compound may be represented by Formula IV:
Figure US10226456-20190312-C00002
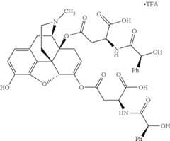
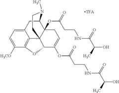
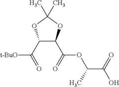
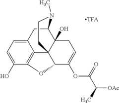
According to certain embodiments, the abuse-resistant opioid compound may be selected from one or more of:
Ex,Mass
No.StructureSpec1H NMR Data
A1
Figure US10226456-20190312-C00003
5801H NMR (300 MHz, CDCl3) δ 9.99 (s, 1H), 6.78 (d, J = 8.4 Hz, 1H), 6.70 (d, J = 8.1 Hz, 1H), 5.57 (apparent d, J = 4.5 Hz, 1H), 5.40-5.30 (m, 2H), 5.05 (s, 1H), 4.35 (br s, 1H), 3.86 (s, 3H), 3.48 (d, J = 10.2 Hz, 1H), 3.27-3.20 (m, 2H), 3.10-2.84 (m, 5H), 2.72-2.66 (m, 1H), 2.43 (t, J = 7.2 Hz, 2H), 2.12 (d, J = 17.7 Hz, 1H), 2.02-2.01 (m, 4H), 1.74-1.61 (m, 4H), 1.32-1.27 (m, 20H), 0.88 (t, J = 6.6 Hz, 3H)
A2
Figure US10226456-20190312-C00004
4501H NMR (300 MHz, DMSO-d6) δ 9.14 (br s, 1H), 7.46-7.40 (m, 2H), 7.39-7.31 (m, 3H), 6.83 (d, J = 8.4 Hz, 2H), 6.73 (d, J = 8.1 Hz, 1H), 6.28-6.24 (m, 2H), 5.48-5.45 (m, 1H), 5.27 (d, J = 5.7 Hz, 1H), 4.92 (s, 1H), 3.68 (s, 3H), 3.64-3.62 (m, 1H), 3.44-3.38 (m, 1H), 3.13-3.05 (m, 2H), 2.82 (br s, 3H), 2.27-2.19 (m, 1H), 2.09-2.03 (m, 1H), 1.61 (d, J = 12.6 Hz, 1H)
A3
Figure US10226456-20190312-C00005
4321H NMR (300 MHz, DMSO-d6) δ 12.7 (br s, 1H), 9.18 (br s, 1H), 6.82 (d, J = 8.1 Hz, 1H), 6.75 (d, J = 8.1 Hz, 1H), 6.29 (s, 1H), 5.62 (br s, 1H), 5.52 (d, J = 4.5 Hz, 1H), 4.98 (s, 1H), 4.33 (br s, 1H), 3.76 (s, 3H), 3.57 (s, 3H), 3.15-3.06 (m, 2H), 2.89-2.84 (m, 4H), 2.73-2.63 (m, 1H), 2.29 (dd, J = 6.3, 18.0 Hz, 1H), 2.33-2.25 (m, 1H), 1.63 (d, J = 11.4 Hz, 1H)
A4a
Figure US10226456-20190312-C00006
5821H NMR (300 MHz, CDCl3) δ 6.71 (d, J = 8.1 Hz, 1H), 6.62 (d, J = 8.1 Hz, 1H), 5.57 (dd, J = 4.8, 3.9 Hz, 1H), 5.01 (s, 1H), 4.72 (br s, 1H), 3.84 (s, 3H), 3.17 (d, J = 18.6 Hz, 1H), 2.85 (d, J = 6.3 Hz, 1H), 2.62 (dd, J = 18.9, 6.6 Hz, 1H), 2.47-2.18 (m, 8H), 2.16-2.15 (m, 2H), 1.70-1.59 (m, 3H), 1.30-1.25 (m, 28H), 0.88 (t, J = 6.3 Hz, 3H)
A4b
Figure US10226456-20190312-C00007
5541H NMR (300 MHz, CDCl3) δ 6.71 (d, J = 8.1 Hz, 1H), 6.62 (d, J = 8.4 Hz, 1H), 5.57 (dd, J = 4.5, 3.6 Hz, 1H), 5.01 (s, 1H), 3.84 (s, 3H), 3.17 (d, J = 18.6 Hz, 1H), 2.85 (d, J = 6.3 Hz, 1H), 2.62 (dd, J = 18.6, 6.3 Hz, 1H), 2.47-2.35 (m, 6H), 2.32-2.22 (m, 2H), 2.16-2.15 (m, 2H), 1.68-1.59 (m, 3H), 1.30-1.25 (m, 24H), 0.88 (t, J = 6.3 Hz, 3H)
A5
Figure US10226456-20190312-C00008
3881H NMR (300 MHz, DMSO-d6) δ 9.18 (s, 1H), 6.86 (d, J = 8.1 Hz, 1H), 6.75 (d, J = 8.4 Hz, 1H), 6.30 (s, 1H), 5.60 (d, J = 6.0 Hz, 1H), 5.54 (dd, J = 6.0, 2.1 Hz, 1H), 5.00 (s, 1H), 4.33-4.24 (m, 1H), 3.75 (s, 3H), 3.64 (d, J = 6.6 Hz, 1H), 3.43 (d, J = 19.8 Hz, 1H), 3.11 (dd, J = 18.9, 6.6 Hz, 2H), 2.84 (d, J = 3.9 Hz, 3H), 2.69-2.57 (m, 1H), 2.49-2.41 (m, 1H), 2.32-2.24 (m, 1H), 2.07 (d, J = 17.7 Hz, 1H), 1.64 (d, J = 11.7 Hz, 1H), 1.35 (d, J = 6.9 Hz, 3H)
A6
Figure US10226456-20190312-C00009
4591H NMR (300 MHz, DMSO-d6) δ 9.23 (br s, 1H), 8.48 (s, 3H), 6.87 (d, J = 8.4 Hz, 1H), 6.76 (d, J = 8.1 Hz, 1H), 6.36 (s, 1H), 5.61 (dd, J = 6.0, 1.8 Hz, 1H), 5.35 (q, J = 6.9 Hz, 1H), 5.01 (s, 1H), 4.24-4.22 (m, 1H), 3.76 (s, 3H), 3.69 (d, J = 6.0 Hz, 1H), 3.43 (d, J = 20.1 Hz, 1H), 3.12 (dd, J = 19.2, 6.9 Hz, 1H), 2.85 (s, 3H), 2.64-2.57 (m, 1H), 2.49-2.27 (m, 2H, partially obscured by solvent peak), 2.06 (apparent d, J = 18.0 Hz, 1H), 1.63 (d, J = 11.1 Hz, 1H), 1.56 (d, J = 6.9 Hz, 3H), 1.48 (d, J = 7.2 Hz, 3H)
A7
Figure US10226456-20190312-C00010
4601H NMR (300 MHz, DMSO-d6) δ 9.18 (br s, 1H), 6.86 (d, J = 8.1 Hz, 1H), 6.75 (d, J = 8.4 Hz, 1H), 6.30 (s, 1H), 5.59 (dd, J = 5.7, 1.8 Hz, 1H), 5.50 (br s, 1H), 5.17 (q, J = 6.9 Hz, 1H), 5.00 (s, 1H), 4.25-4.22 (m, 1H), 3.75 (s, 3H), 3.65 (d, J = 6.0 Hz, 1H), 3.46-3.38 (m, 1H, partially obscured by water peak), 3.16-3.07 (m, 2H), 2.84 (apparent d, J = 5.1 Hz, 3H), 2.69-2.57 (m, 1H), 2.49-2.26 (m, 2H, partially obscured by solvent peak), 2.07 (apparent d, J = 18.0 Hz, 1H), 1.65 (d, J = 11.4 Hz, 1H), 1.51 (d, J = 11.4 Hz, 3H), 1.31 (d, J = 6.6 Hz, 3H)
A8
Figure US10226456-20190312-C00011
4101H NMR (300 MHz, CDCl3) δ 7.35-7.26 (m, 1H), 6.71 (d, J = 8.4 Hz, 1H), 6.62 (d, J = 8.1 Hz, 1H), 6.26-6.10 (m, 2H), 5.85 (d, J = 15.3 Hz, 1H), 5.64 (overlapping dd, J = 3.9 Hz, 1H), 5.06 (s, 1H), 4.72 (br s, 1H), 3.84 (s, 3H), 3.18 (d, J = 18.6 Hz, 1H), 2.86 (d, J = 6.3 Hz, 1H), 2.63 (dd, J = 18.6, 6.3 Hz, 1H), 2.47-2.42 (m, 1H), 2.38 (s, 3H), 2.33-2.19 (m, 2H), 2.18-2.16 (m, 2H), 1.87 (d, J = 5.4 Hz, 3H), 1.63 (dd, J = 13.5, 3.0 Hz, 1H)
A9
Figure US10226456-20190312-C00012
4321H NMR (300 MHz, DMSO-d6) δ 12.43 (br s, 1H), 9.18 (br s, 1H), 6.86 (d, J = 8.4 Hz, 1H), 6.75 (d, J = 8.1 Hz, 1H), 6.29 (br s, 1H), 5.90 (br s, 1H), 5.55-5.54 (m, 1H), 4.97 (s, 1H), 4.47 (br s, 1H), 3.75 (s, 3H), 3.62 (s, 1H), 3.45-3.37 (m, 1H), 3.12-3.06 (m, 2H), 2.83 (s, 1H), 2.74-2.53 (m, 3H), 2.33-2.22 (m, 1H), 2.07 (d, J = 18.3 Hz, 1H), 1.63 (d, J = 12.3 Hz, 1H), one proton obscured by solvent peaks
A10
Figure US10226456-20190312-C00013
4501H NMR (300 MHz, DMSO-d6) δ 9.16 (br s, 1H), 7.49-7.33 (m, 5H), 6.84 (d, J = 8.1 Hz, 1H), 6.73 (d, J = 8.1 Hz, 1H), 6.28-6.24 (m, 2H), 5.44-5.41 (m, 1H), 5.28 (d, J = 5.1 Hz, 1H), 4.95 (s, 1H), 3.68 (s, 3H), 3.64-3.62 (m, 1H), 3.44-3.35 (m, 1H), 3.13-3.04 (m, 2H), 2.83 (s, 3H), 2.69-2.54 (m, 1H), 2.44-2.43 (m, 1H), 2.34 (dd, J = 18.0, 5.4 Hz, 1H), 2.04 (d, J = 18.0 Hz, 1H)
A11
Figure US10226456-20190312-C00014
5221H NMR (300 MHz, DMSO-d6) δ 9.15 (br s, 1H), 7.57-7.55 (m, 2H), 7.48-7.45 (m, 3H), 6.81 (d, J = 8.1 Hz, 1H), 6.72 (d, J = 8.1 Hz, 1H), 6.31 (br s, 1H), 6.15 (s, 1H), 5.57-5.53 (m, 2H), 4.94 (s, 1H), 4.34-4.26 (m, 1H), 3.64 (br s, 4H), 3.44-3.37 (m, 1H, partially obscured by water peak), 3.13-3.05 (m, 2H), 2.82 (s, 3H), 2.62-2.57 (m, 1H), 2.49-2.39 (m, 1H, partially obscured by solvent peak), 2.30-2.22 (m, 1H), 2.08-2.02 (m, 1H), 1.62 (d, J = 12.0 Hz, 1H), 1.37 (d, J = 6.6 Hz, 3H)
A12
Figure US10226456-20190312-C00015
4591H NMR (300 MHz, DMSO-d6) δ 9.22 (br s, 1H), 8.09 (d, J = 6.9 Hz, 1H), 6.86 (d, J = 8.4 Hz, 1H), 6.75 (d, J = 8.1 Hz, 1H), 6.28 (s, 1H), 5.53-5.50 (m, 1H), 5.00 (s, 1H), 4.39-4.34 (m, 1H), 4.03-3.99 (m, 1H), 3.75 (s, 3H), 3.64 (d, J = 5.7 Hz, 1H), 3.50-3.35 (m, 2H), 3.13-3.06 (m, 2H), 2.84 (d, J = 4.5 Hz, 3H), 2.75-2.55 (m, 1H), 2.32-2.24 (m, 1H), 2.06 (d, J = 18.0 Hz, 1H), 1.59 (d, J = 11.7 Hz, 1H), 1.40 (d, J = 7.2 Hz, 3H), 1.22 (d, J = 10.5 Hz, 3H)
A13
Figure US10226456-20190312-C00016
4851H NMR (300 MHz, DMSO-d6) δ 9.93 (br s, 1H), 9.22 (br s, 1H), 9.02 (br s, 1H), 6.87 (d, J = 8.4 Hz, 1H), 6.76 (d, J = 8.1 Hz, 1H), 6.35 (s, 1H), 5.62 (dd, J = 5.7, 1.8 Hz, 1H), 5.35 (q, J = 7.2 Hz, 1H), 4.99 (s, 1H), 4.54 (br s, 1H), 3.75 (s, 3H), 3.69 (d, J = 5.7 Hz, 1H), 3.42-3.37 (m, 1H, partially obscured by water peak), 3.25 (br s, 2H), 3.16-3.07 (m, 2H), 2.85 (apparent d, J = 4.8 Hz, 3H), 2.65-2.57 (m, 1H), 2.49-2.27 (m, 3H, partially obscured by solvent peak), 2.18-1.88 (m, 4H), 1.63 (d, J = 12.0 Hz, 1H), 1.57 (d, J = 7.2 Hz, 3H)
A14
Figure US10226456-20190312-C00017
1H NMR (300 MHz, DMSO-d6) δ 9.22 (br s, 1H), 9.01 (s, 1H), 8.85 (d, J = 7.2 Hz, 1H), 7.77 (br s, 3H), 7.49 (s, 1H), 6.88 (d, J = 8.4 Hz, 1H), 6.77 (d, J = 8.4 Hz, 1H), 6.35 (br s, 1H), 5.53-5.51 (m, 1H), 4.94 (s, 1H), 4.69 (q, J = 8.1 Hz, 1H), 3.75 (s, 3H), 3.67 (d, J = 6.3 Hz, 1H), 3.44 (d, J = 20.1 Hz, 1H), 3.23-3.09 (m, 4H), 3.00-2.92 (m, 2H), 2.85 (s, 3H), 2.70-2.55 (m, 1H), 2.30 (dd, J = 18.6, 6.6 Hz, 1H), 2.04 (d, J = 17.7 Hz, 1H), 1.62 (, J = 11.4 Hz, 1H), two protons not observed
A15
Figure US10226456-20190312-C00018
4591H NMR (300 MHz, DMSO-d6) δ 9.24 (br s, 1H), 8.02 (br s, 3H), 6.86 (d, J = 8.4 Hz, 1H), 6.76 (d, J = 8.4 Hz, 1H), 6.38 (s, 1H), 5.59 (dd, J = 6.0, 1.8 Hz, 1H), 5.17 (q, J = 7.2 Hz, 1H), 4.99 (s, 1H), 3.76 (s, 3H), 3.70 (d, J = 6.0 Hz, 1H), 3.43 (d, J = 20.1 Hz, 1H), 3.16-3.04 (m, 4H), 2.85-2.79 (m, 5H), 2.65-2.57 (m, 1H), 2.49-2.27 (m, 2H, partially obscured by solvent peak), 2.05 (apparent d, J = 18.0 Hz, 1H), 1.63 (d, J = 10.8 Hz, 1H), 1.52 (d, J = 7.2 Hz, 3H)
A16
Figure US10226456-20190312-C00019
5211H NMR (300 MHz, DMSO-d6, Mixture of diastereomers) δ 9.22 (br s, 1H), 8.03 (br s, 3H), 7.57-7.56 (m, 2H), 7.49-7.46 (m, 3H), 6.86-6.80 (m, 1H), 6.76-6.72 (m, 1H), 6.38 (s, 1H), 6.14 (s, 0.66H), 6.13 (s, 0.34H), 5.55 (dd, J = 6.3, 2.1 Hz, 0.66H), 5.47 (dd, J = 6.0, 1.8 Hz, 0.34H), 4.96 (s, 0.66H), 4.93 (s, 0.34H), 3.72 (s, 1.02H), 3.70-3.68 (m, 1H), 3.64 (s, 1.98H), 3.41 (d, J = 20.1 Hz, 1H), 3.14-3.07 (m, 4H), 2.89-2.83 (m, 5H), 2.63-2.59 (m, 1H), 2.49-2.27 (m, 2H, partially obscured by solvent peak), 2.04 (apparent d, J = 18.3 Hz, 1H), 1.61 (d, J = 11.7 Hz, 1H)
A17
Figure US10226456-20190312-C00020
5211H NMR (300 MHz, DMSO-d6) δ 8.13 (t, J = 6.0 Hz, 1H), 7.42-7.24 (m, 7H), 6.83 (d, J = 8.1 Hz, 1H), 6.72 (d, J = 8.1 Hz, 1H), 6.20 (d, J = 4.8 Hz, 1H), 5.47-5.45 (m, 1H), 4.93 (s, 1H), 4.89 (d, J = 4.8 Hz, 1H), 3.74 (s, 3H), 3.41-3.28 (m, 2H), 3.10-2.80 (m, 2H), 2.78-2.60 (m, 5H), 2.46-2.33 (m, 2H), 2.30-2.12 (m, 1H), 2.02 (d, J = 18.0 Hz, 1H), 1.60-1.50 (m, 1H), one proton not observed
A18
Figure US10226456-20190312-C00021
4591H NMR (300 MHz, DMSO-d6) δ 9.22 (br s, 1H), 8.09 (d, J = 6.9 Hz, 1H), 6.86 (d, J = 8.4 Hz, 1H), 6.75 (d, J = 8.1 Hz, 1H), 6.28 (s, 1H), 5.53-5.50 (m, 1H), 5.00 (s, 1H), 4.39-4.34 (m, 1H), 4.03-3.99 (m, 1H), 3.75 (s, 3H), 3.64 (d, J = 5.7 Hz, 1H), 3.50-3.35 (m, 2H), 3.13-3.06 (m, 2H), 2.84 (d, J = 4.5 Hz, 3H), 2.75-2.55 (m, 1H), 2.32-2.24 (m, 1H), 2.06 (d, J = 18.0 Hz, 1H), 1.59 (d, J = 11.7 Hz, 1H), 1.40 (d, J = 7.2 Hz, 3H), 1.22 (d, J = 10.5 Hz, 3H)
A19
Figure US10226456-20190312-C00022
5661H NMR (300 MHz, DMSO-d6, Mixture of diastereomers) δ 7.56-7.54 (m, 2H), 7.46-7.44 (m, 3H), 6.75-6.62 (m, 1H), 6.09 (s, 0.68H), 6.05 (s, 0.32H), 5.54 (dd, J = 5.4, 2.4 Hz, 0.68H), 5.42 (dd, J = 5.4, 2.4 Hz, 0.32H), 4.81 (s, 1H), 4.29-4.25 (m, 1H), 3.70 (s, 0.96H), 3.61 (s, 2.04H), 3.13 (d, J = 18.9 Hz, 1H), 2.93-2.83 (m, 2H), 2.73-2.59 (m, 2H), 2.49-2.40 (m, 1H, partially obscured by solvent peak), 2.38 (s, 3H), 2.31-1.95 (m, 5H), 1.39 (d, J = 10.8 Hz, 1H), CO2H, HCl, and two OH protons not observed
A20
Figure US10226456-20190312-C00023
5171H NMR (300 MHz, DMSO-d6) δ 9.09 (br s, 1H), 8.52 (br s, 2H), 6.86 (d, J = 8.4 Hz, 1H), 6.76 (d, J = 8.1 Hz, 1H), 6.31 (br s, 1H), 5.63-5.60 (m, 1H), 5.35 (q, J = 6.9 Hz, 1H), 5.02 (s, 1H), 4.20 (apparent t, J = 6.6 Hz, 1H), 3.75 (s, 3H), 3.65 (br s, 1H), 3.43 (d, J = 19.8 Hz, 1H, partially obscured by water peak), 3.14-3.05 (m, 2H), 2.83 (s, 3H), 2.62-2.56 (m, 1H), 2.49-2.27 (m, 3H, partially obscured by solvent peak), 2.10-2.04 (m, 3H), 1.65-1.58 (m, 1H), 1.57 (d, J = 7.2 Hz, 3H), CO2H proton not observed, one proton obscured by solvent peaks
A21
Figure US10226456-20190312-C00024
5031H NMR (300 MHz, DMSO-d6) δ 12.5 (br s, 1H), 9.21 (br s, 1H), 8.45 (d, J = 6.3 Hz, 1H), 6.85 (d, J = 8.4 Hz, 1H), 6.75 (d, J = 8.1 Hz, 1H), 6.34 (s, 1H), 5.54-5.52 (m, 1H), 4.99 (s, 1H), 4.37-4.31 (m, 2H), 3.75 (s, 3H), 3.69-3.65 (m, 2H), 3.39 (s, 3H), 3.13-3.07 (m, 2H), 2.84 (d, J = 4.5 Hz, 3H), 2.28 (d, J = 6.3 Hz, 1H), 2.05 (d, J = 17.7 Hz, 1H), 1.63 (d, J = 11.1 Hz, 1H), 1.36 (d, J = 7.5 Hz, 3H), 1.25 (d, J = 7.5 Hz, 1H)
A22
Figure US10226456-20190312-C00025
5211H NMR (300 MHz, DMSO-d6) δ 9.16 (br s, 1H), 8.13 (t, J = 6.3 Hz, 1H), 7.34-7.31 (m, 2H), 7.29-7.23 (m, 3H), 6.86 (d, J = 8.4 Hz, 1H), 6.75 (d, J = 8.1 Hz, 1H), 6.26 (s, 1H), 6.21 (d, J = 4.5 Hz, 1H), 5.50-5.48 (m, 1H), 4.97 (s, 1H), 4.89 (d, J = 4.2 Hz, 1H), 3.75 (m, 3H), 3.64-3.63 (m, 1H), 3.46-3.33 (m, 3H), 3.15-3.06 (m, 2H), 2.84 (d, J = 4.5 Hz, 3H), 2.63 (t, J = 6.9 Hz, 3H), 2.28-2.22 (m, 1H), 2.05 (d, J = 17.7H, 1H), 1.63 (d, J = 12.9 Hz, 1H)
A23
Figure US10226456-20190312-C00026
5031H NMR (300 MHz, DMSO-d6) δ 8.05 (t, J = 5.4H, 1H), 6.75 (d, J = 8.1 Hz, 1H), 6.66 (d, J = 8.1 Hz, 1H), 5.55-5.52 (m, 1H), 4.87 (s, 1H), 4.24-4.20 (m, 1H), 3.73 (s, 3H), 3.14 (d, J = 18.9 Hz, 2H), 2.91 (d, J = 6.0 Hz, 1H), 2.73-2.55 (m, 3H), 2.48-2.42 (m, 2H), 2.39-2.20 (m, 5H), 2.17-1.90 (m, 3H), 1.40 (d, J = 11.1 Hz, 1H), CO2H and two OH protons not observed, one proton obscured by solvent peaks
A24
Figure US10226456-20190312-C00027
5211H NMR (300 MHz, DMSO-d6) δ 9.15 (br s, 1H), 8.43 (d, J = 6.9 Hz, 1H), 7.43-7.40 (m, 2H), 7.34-7.21 (m, 3H), 6.85 (d, J = 8.1 Hz, 1H), 6.75 (d, J = 8.4 Hz, 1H), 6.27-6.22 (m, 2H), 5.41-5.40 (m, 1H), 4.96 (d, J = 4.8 Hz, 2H), 4.40-4.35 (m, 1H), 3.75 (s, 3H), 3.70-3.55 (m, 1H), 3.50-3.35 (m, 1H), 3.20-3.00 (m, 2H), 2.83 (s, 3H), 2.27-2.22 (m, 1H), 2.05-1.99 (m, 1H), 1.65-1.61 (m, 1H), 1.40 (d, J = 7.2 Hz, 3H), one proton obscured by solvent peaks
A25
Figure US10226456-20190312-C00028
5931H NMR (300 MHz, DMSO-d6, Mixture of diastereomers) δ 9.17 (br s, 1H), 7.82-7.79 (m, 1H), 7.57-7.54 (m, 2H), 7.47-7.45 (m, 3H), 6.86-6.80 (m, 1H), 6.74-6.71 (m, 1H), 6.30 (s, 1H), 6.09 (s, 0.64H), 6.07 (s, 0.36H), 5.56-5.46 (m, 2H), 4.96 (s, 0.64H), 4.93 (s, 0.36H), 3.98-3.90 (m, 1H), 3.71 (s, 1.08H), 3.63 (s, 1.92H), 3.62 (br s, 1H), 3.46-3.32 (m, 3H, partially obscured by water peak), 3.14-3.05 (m, 2H), 2.83 (s, 3H), 2.65-2.61 (m, 2H), 2.49-2.39 (m, 2H, partially obscured by solvent peak), 2.30-2.24 (m, 1H), 2.09-2.03 (m, 1H), 1.65-1.61 (m, 1H), 1.19-1.16 (m, 3H)
A26
Figure US10226456-20190312-C00029
5961H NMR (300 MHz, DMSO-d6) δ 9.19 (br s, 1H), 8.94 (s, 1H), 8.59 (d, J = 7.5 Hz, 1H), 7.72 (t, J = 7.2 Hz, 1H), 7.45 (s, 1H), 6.87 (d, J = 8.4 Hz, 1H), 6.76 (d, J = 8.1 Hz, 1H), 6.29 (s, 1H), 5.53-5.51 (m, 2H), 4.96 (s, 1H), 4.68-4.65 (m, 1H), 3.98-3.88 (m, 1H), 3.75 (s, 3H), 3.60-3.70 (m, 1H), 3.25-3.23 (m, 3H), 3.15-3.10 (m, 4H), 2.85 (s, 3H), 2.33-2.28 (m, 3H), 2.07-2.02 (m, 1H), 1.63 (d, J = 11.1 Hz, 1H), 1.228-1.24 (m, 2H), 1.17 (d, J = 6.9 Hz, 3H)
A27
Figure US10226456-20190312-C00030
5891H NMR (300 MHz, DMSO-d6) δ 12.19 (br s, 1H), 9.17 (br s, 1H), 7.99 (d, J = 7.8 Hz, 1H), 6.86 (d, J = 8.4 Hz, 1H), 6.75 (d, J = 8.4 Hz, 1H), 6.30 (s, 1H), 5.60 (dd, J = 6.0, 2.1 Hz, 1H), 5.54 (br s, 1H), 5.16 (q, J = 6.9 Hz, 1H), 5.01 (s, 1H), 4.42-4.34 (m, 1H), 4.01 (q, J = 6.9 Hz, 1H), 3.75 (s, 3H), 3.65 (d, J = 6.3 Hz, 1H), 3.43 (d, J = 20.1 Hz, 1H, partially obscured by water peak), 3.16-3.07 (m, 2H), 2.84 (apparent d, J = 4.8 Hz, 3H), 2.66-2.57 (m, 1H), 2.49-2.43 (m, 1H, partially obscured by solvent peak), 2.37-2.23 (m, 3H), 2.15-2.05 (m, 2H), 1.97-1.85 (m, 1H), 1.64 (d, J = 10.8 Hz, 1H), 1.52 (d, J = 6.9 Hz, 3H), 1.22 (d, J = 6.9 Hz, 3H)
A28
Figure US10226456-20190312-C00031
6021H NMR (300 MHz, DMSO-d6) δ 9.44 (br s, 1H), 7.89 (dt, J = 12.9, 6.0 Hz, 2H) 6.92 (d, J = 8.4 Hz, 1H), 6.79 (d, J = 8.4 Hz, 1H), 5.51-5.49 (m, 2H), 5.10 (s, 1H), 4.76 (d, J = 5.4 Hz, 1H), 3.98-3.94 (m, 2H), 3.77 (s, 3H), 3.40-3.20 (m, 7H), 3.04-2.96 (m, 4H), 2.65-2.61 (m, 3H), 2.09 (d, J = 18.3 Hz, 1H), 1.81 (d, J = 12.0 Hz, 1H), 1.21 (d, J = 4.5 Hz, 3H), 1.19 (d, J = 4.2 Hz, 6H)
A29
Figure US10226456-20190312-C00032
5211H NMR (300 MHz, DMSO-d6, Mixture of diastereomers) δ 9.19 (br s, 1H), 7.91 (br s, 3H), 7.57-7.55 (m, 2H), 7.48-7.46 (m, 3H), 6.87-6.81 (m, 1H), 6.76-6.72 (m, 1H), 6.32 (s, 1H), 6.14 (s, 0.42H), 6.13 (s, 0.58H), 5.56-5.54 (m, 0.42H), 5.48-5.46 (m, 0.58H), 4.96 (s, 0.42H), 4.92 (s, 0.58H), 3.72 (s, 1.74H), 3.67 (br s, 1H), 3.75 (s, 1.26H), 3.42 (d, J = 20.4 Hz, 1H), 3.14-3.07 (m, 4H), 2.86-2.83 (m, 5H), 2.64-2.57 (m, 1H), 2.49-2.33 (m, 2H, partially obscured by solvent peak), 2.08-2.00 (m, 1H), 1.61 (d, J = 12.6 Hz, 1H)
A30
Figure US10226456-20190312-C00033
5031H NMR (300 MHz, DMSO-d6) δ 12.96 (br s, 1H), 9.17 (br s, 1H), 8.01 (d, J = 8.4 Hz, 1H), 6.86 (d, J = 8.4 Hz, 1H), 6.75 (d, J = 8.4 Hz, 1H), 6.27 (s, 1H), 5.65 (br s, 1H), 5.51 (dd, J = 6.0, 2.1 Hz, 1H), 4.97 (s, 1H), 4.66 (q, J = 8.1 Hz, 1H), 4.01 (q, J = 6.6 Hz, 1H), 3.75 (s, 3H), 3.64 (d, J = 6.0 Hz, 1H), 3.15-3.01 (m, 3H), 2.96 (d, J = 6.3 Hz, 1H), 2.91 (d, J = 6.3 Hz, 1H), 2.84 (d, J = 4.5 Hz, 3H), 2.75-2.55 (m, 1H), 2.32-2.24 (m, 1H), 2.06 (d, J = 18.0 Hz, 1H), 1.64 (d, J = 10.2 Hz, 1H), 1.21 (d, J = 6.6 Hz, 3H)
A31
Figure US10226456-20190312-C00034
6331H NMR (300 MHz, DMSO-d6) δ 8.41 (d, J = 7.2 Hz, 1H), 6.75 (d, J = 8.1 Hz, 1H), 6.67 (d, J = 8.1 Hz, 1H), 5.57 (dd, J = 5.7, 2.4 Hz, 1H), 5.14 (q, J = 7.2 Hz, 1H), 4.87 (s, 1H), 4.41-4.34 (m, 1H), 4.23 (dd, J = 8.1, 4.8 Hz, 1H), 3.73 (s, 3H), 3.15 (d, J = 18.9 Hz, 1H), 2.95 (d, J = 5.4 Hz, 1H), 2.73-2.63 (m, 1H), 2.49-2.24 (m, 9H, partially obscured by solvent peak), 2.16-1.96 (m, 4H), 1.88-1.76 (m, 1H), 1.52 (d, J = 7.2 Hz, 3H), two CO2H, HCl, and two OH protons not observed, one proton obscured by solvent peaks
A32
Figure US10226456-20190312-C00035
5031H NMR (300 MHz, DMSO-d6) δ 7.77 (br s, 1H), 6.84 (d, J = 8.1 Hz, 1H), 6.74 (d, J = 8.4 Hz, 1H), 5.60-5.58 (m, 1H), 5.13 (q, J = 6.9 Hz, 1H), 4.99 (s, 1H), 3.76 (s, 3H), 3.64-3.52 (m, 2H), 3.04-2.91 (m, 4H), 2.76-2.63 (m, 5H), 2.49-2.40 (m, 1H, partially obscured by solvent peak), 2.28-2.22 (m, 1H), 2.06 (apparent d, J = 17.4 Hz, IH), 1.60 (d, J = 9.9 Hz, 1H), 1.51 (d, J = 6.9 Hz, 3H), CO2H, NH2, and OH protons not observed
A33
Figure US10226456-20190312-C00036
5751H NMR (300 MHz, DMSO-d6) δ 7.94 (d, J = 8.1 Hz, 1H), 6.77 (d, J = 8.1 Hz, 1H), 6.68 (d, J = 8.1 Hz, 1H), 5.64 (d, J = 5.1 Hz, 1H), 5.57 (dd, J = 5.7, 2.1 Hz, 1H), 5.11 (q, J = 6.9 Hz, 1H), 4.90 (s, 1H), 4.62-4.55 (m, 1H), 4.00-3.94 (m, 1H), 3.74 (s, 3H), 3.20 (d, J = 19.8 Hz, 1H, partially obscured by water peak), 3.08 (br s, 1H), 2.89-2.78 (m, 3H), 2.63-2.57 (m, 1H), 2.49-2.31 (m, 2H, partially obscured by solvent peak), 2.17-1.97 (m, 2H), 1.48 (d, J = 6.9 Hz, 3H), 1.47-1.45 (m, 1H), 1.19 (d, J = 6.6 Hz, 3H), CO2H and CH3CO2H protons not observed, four protons obscured by solvent peaks
A34
Figure US10226456-20190312-C00037
6371H NMR (300 MHz, DMSO-d6, Mixture of diastereomers) δ 8.04 (br s, 1H), 7.56-7.54 (m, 2H), 7.46-7.44 (m, 3H), 6.75-6.69 (m, 1H), 6.66-6.62 (m, 1H), 6.06 (s, 1H), 5.55-5.52 (m, 0.43H), 5.43-5.41 (m, 0.57H), 4.80 (s, 1H), 4.24-4.19 (m, 1H), 3.70 (s, 1.71H), 3.61 (s, 1.29H), 3.16-3.09 (m, 1H, partially obscured by water peak), 2.90 (br s, 1H), 2.67-2.58 (m, 2H), 2.49-2.22 (m, 8H, partially obscured by solvent peak), 2.12-1.93 (m, 3H), 1.39 (d, J = 11.4 Hz, 1H), CO2H and HCl protons not observed, four protons obscured by solvent peaks
A35
Figure US10226456-20190312-C00038
7261H NMR (300 MHz, DMSO-d6) δ 9.41 (br s, 1H), 8.24 (t, J = 5.7 Hz, 1H), 8.16 (t, J = 5.7 Hz, 1H), 7.40-7.21 (m, 10H), 6.92 (d, J = 8.4 Hz, 1H), 6.79 (d, J = 8.4 Hz, 1H), 6.26 (br s, 2H), 5.37-5.35 (m, 1H), 5.07 (s, 1H), 4.91 (d, J = 6.0 Hz, 2H), 4.70 (d, J = 6.0 Hz, 1H), 3.77 (s, 3H), 3.52 (d, J = 20.1 Hz, 1H), 3.38-3.18 (m, 6H), 2.99-2.87 (m, 4H), 2.82-2.52 (m, 5H), 2.05 (d, J = 18.9 Hz, 1H), 1.78 (d, J = 13.5 Hz, 1H)
A36
Figure US10226456-20190312-C00039
5461H NMR (300 MHz, DMSO-d6) δ 8.85-7.92 (br s, 6H), 6.92 (d, J = 8.1 Hz, 1H), 6.80 (d, J = 8.4 Hz, 1H), 5.54-5.52 (m, 1H), 5.07 (s, 1H), 4.67 (d, J = 6.0 Hz, 1H), 4.27 (t, J = 5.7 Hz, 1H), 3.93 (t, J = 8.7 Hz, 1H), 3.77 (s, 3H), 3.50 (d, J = 20.1 Hz, 1H), 3.21-2.97 (m, 5H), 2.81 (s, 3H), 2.77-2.65 (m, 4H), 2.13 (d, J = 18.3 Hz, 1H), 1.77 (d, J = 11.4 Hz, 1H), two CO2H protons not observed
A37
Figure US10226456-20190312-C00040
4881H NMR (300 MHz, DMSO-d6) δ 12.25 (br s, 1H), 9.19 (s, 1H), 6.86 (d, J = 8.4 Hz, 1H), 6.75 (d, J = 8.4 Hz, 1H), 6.31 (br s, 1H), 5.59-5.57 (m, 1H), 5.11 (q, J = 6.9 Hz, 1H), 4.99 (s, 1H), 3.75 (s, 3H), 3.65 (d, J = 6.0 Hz, 2H), 3.43 (d, J = 19.8 Hz, 1H), 3.14-3.31 (m, 2H), 2.84 (d, J = 4.5 Hz, 3H), 2.62-2.60 (m, 3H), 2.48-2.40 (m, 2H), 2.29 (dd, J = 17.7, 11.7 Hz, 1H), 2.06 (d, J = 18.0 Hz, 1H), 1.65 (d, J = 11.1 Hz, 1H), 1.49 (d, J = 3.9 Hz, 3H)
A38
Figure US10226456-20190312-C00041
6901H NMR (300 MHz, DMSO-d6) δ 12.96 (br s, 2H), 9.35 (br s, 1H), 8.03 (d, J = 8.4 Hz, 1H), 7.93 (d, J = 7.8 Hz, 1H), 6.89 (d, J = 8.1 Hz, 1H), 6.77 (d, J = 8.4 Hz, 1H), 5.68 (br s, 2H), 5.44-5.42 (m, 1H), 5.03 (s, 1H), 4.69-4.62 (m, 3H), 4.03-3.97 (m, 2H), 3.76 (s, 3H), 3.28-3.13 (m, 1H), 3.16-3.07 (m, 2H), 3.04-2.82 (m, 8H), 2.73-2.63 (m, 2H), 2.11 (d, J = 18.3 Hz, 1H), 1.76 (d, J = 12.9 Hz, 1H), 1.20 (d, J = 9.0 Hz, 6H)
A39
Figure US10226456-20190312-C00042
5041H NMR (300 MHz, DMSO-d6) δ 12.36 (br s, 1H), 9.19 (br s, 1H), 6.86 (d, J = 8.4 Hz, 1H), 6.75 (d, J = 8.4 Hz, 1H), 6.31 (s, 1H), 5.83 (br s, 1H), 5.60-5.58 (m, 1H), 5.18 (q, J = 16.2 Hz, 1H), 5.00 (s, 1H), 4.73 (dd, J = 8.7, 3.9 Hz, 1H), 3.75 (s, 3H), 3.65 (d, J = 6.3 Hz, 1H), 3.43 (d, J = 20.1 Hz, 1H), 3.14-3.07 (m, 2H), 2.84 (d, J = 4.8 Hz, 3H), 2.78-2.58 (m, 2H), 2.33-2.26 (m, 1H), 2.07 (d, J = 17.7 Hz, 1H), 1.65 (d, J = 11.4 Hz, 1H), 1.51 (d, J = 7.2 Hz, 3H), one proton obscured by solvent peaks
A40
Figure US10226456-20190312-C00043
5501H NMR (300 MHz, DMSO-d6) δ 12.28 (br s, 1H), 9.16 (br s, 1H), 7.56-7.54 (m, 2H), 7.50-7.45 (m, 3H), 6.81 (d, J = 8.4 Hz, 1H), 6.72 (d, J = 8.4 Hz, 1H), 6.31 (s, 1H), 6.10 (s, 1H), 5.55-5.53 (m, 1H), 4.95 (s, 1H), 3.64 (s, 3H), 3.41 (d, J = 19.8 Hz, 1H), 3.14-3.05 (m, 2H), 2.83 (d, J = 4.5 Hz, 3H), 2.69-2.66 (m, 3H), 2.56-2.49 (m, 2H), 2.45-2.40 (m, 1H), 2.30-2.22 (m, 1H), 2.05 (d, J = 18.3 Hz, 1H), 1.62 (d, J = 11.4 Hz, 1H)
A41
Figure US10226456-20190312-C00044
5221H NMR (300 MHz, DMSO-d6) δ 9.17 (br s, 1H), 7.46-7.42 (m, 2H), 7.37-7.27 (m, 3H), 6.85 (d, J = 8.4 Hz, 1H), 6.74 (d, J = 8.1 Hz, 1H), 6.26 (s, 1H), 6.15 (d, J = 5.4 Hz, 1H), 5.50-5.48 (m, 1H), 5.23-5.16 (m, 1H), 4.84 (s, 1H), 3.72 (s, 3H), 3.64 (br s, 1H), 3.42 (d, J = 20.1 Hz, 1H), 3.15-3.06 (m, 2H), 2.84 (s, 3H), 2.64-2.57 (m, 1H), 2.49-2.40 (m, 1H, partially obscured by solvent peak), 2.34-2.23 (m, 1H), 2.04 (apparent d, J = 18.3 Hz, 1H), 1.62 (d, J = 8.7 Hz, 1H), 1.48 (d, J = 6.9 Hz, 3H)
A42
Figure US10226456-20190312-C00045
7141H NMR (300 MHz, DMSO-d6, Mixture of diastereomers) δ 9.17 (br s, 1H), 7.56-7.53 (m, 2H), 7.46-7.44 (m, 3H), 6.85-6.79 (m, 1H), 6.75-6.71 (m, 1H), 6.29 (s, 1H), 6.09 (s, 0.49H), 6.07 (s, 0.51H), 5.53 (dd, J = 6.0, 2.1 Hz, 0.49H), 5.45 (dd, J = 6.0, 2.1 Hz, 0.51H), 5.33-5.30 (m, 2H), 4.94 (s, 0.49H), 4.90 (s, 0.51H), 3.71 (s, 1.47H), 3.64 (br s, 2.53H), 3.45-3.38 (m, 1H), 3.13-3.05 (m, 2H), 2.82 (s, 3H), 2.64-2.55 (m, 1H), 2.49-2.40 (m, 3H, partially obscured by solvent peak), 2.28-2.22 (m, 1H), 2.07-1.96 (m, 5H), 1.64-1.54 (m, 3H), 1.32-1.24 (m, 20H), 0.84 (t, J = 6.6 Hz, 3H)
A43
Figure US10226456-20190312-C00046
7161H NMR (300 MHz, DMSO-d6, Mixture of diastereomers) δ 9.17 (br s, 1H), 7.56-7.53 (m, 2H), 7.46-7.44 (m, 3H), 6.86-6.80 (m, 1H), 6.75-6.71 (m, 1H), 6.30 (hr s, 1H), 6.09 (s, 0.51H), 6.07 (s, 0.49H), 5.53 (dd, J = 6.0, 2.1 Hz, 0.51H), 5.45 (dd, J = 6.0, 2.1 Hz, 0.49H), 4.94 (s, 0.51H), 4.90 (s, 0.49H), 3.71 (s, 1.53H), 3.64 (br s, 2.47H), 3.45-3.35 (m, 1H), 3.13-3.05 (m, 2H), 2.83 (apparent d, J = 4.5 Hz, 3H), 2.67-2.55 (m, 1H), 2.49-2.40 (m, 3H, partially obscured by solvent peak), 2.30-2.22 (m, 1H), 2.08-2.01 (m, 1H), 1.64-1.51 (m, 3H), 1.32-1.23 (m, 28H), 0.85 (t, J = 6.6 Hz, 3H)
A44
Figure US10226456-20190312-C00047
6541H NMR (300 MHz, DMSO-d6) δ 9.17 (br s, 1H), 6.85 (d, J = 8.4 Hz, 1H), 6.75 (d, J = 8.4 Hz, 1H), 6.29 (hr s, 1H), 5.58 (dd, J = 5.7, 1.8 Hz, 1H), 5.10 (q, J = 6.9 Hz, 1H), 4.99 (s, 1H), 3.75 (s, 3H), 3.64 (br s, 1H), 3.43 (d, J = 19.5 Hz, 1H), 3.16-3.07 (m, 2H), 2.84 (s, 3H), 2.64-2.57 (m, 1H), 2.49-2.42 (m, 1H, partially obscured by solvent peak), 2.06 (d, J = 18.0 Hz, 1H), 1.66-1.51 (m, 3H), 1.49 (d, J = 6.9 Hz, 3H), 1.32-1.23 (m, 28H), 0.85 (t, J = 6.6 Hz, 3H)
A45
Figure US10226456-20190312-C00048
6521H NMR (300 MHz, DMSO-d6) δ 9.23 (br s, 1H), 6.85 (d, J = 8.4 Hz, 1H), 6.75 (d, J = 8.4 Hz, 1H), 6.39 (br s, 1H), 5.58-5.56 (m, 1H), 5.37-5.27 (m, 2H), 5.10 (q, J = 6.9 Hz, 1H), 4.99 (s, 1H), 3.75 (s, 3H), 3.68 (d, J = 6.0 Hz, 1H), 3.43 (d, J = 19.8 Hz, 1H), 3.16-3.07 (m, 2H), 2.85 (s, 3H), 2.64-2.58 (m, 1H), 2.49-2.42 (m, 1H, partially obscured by solvent peak), 2.39-2.27 (m, 3H), 2.09-1.97 (m, 5H), 1.63 (d, J = 11.7 Hz, 1H), 1.54-1.48 (m, 5H), 1.26-1.24 (m, 20H), 0.85 (t, J = 6.3 Hz, 3H)
A46
Figure US10226456-20190312-C00049
5321H NMR (300 MHz, DMSO-d6) δ 12.71 (br s, 1H), 12.32 (br s, 1H), 9.17 (br s, 1H), 6.85 (d, J = 8.4 Hz, 1H), 6.75 (d, J = 8.4 Hz, 1H), 6.30 (s, 1H), 5.59 (dd, J = 5.7, 1.8 Hz, 1H), 5.42 (t, J = 5.4 Hz, 1H), 4.96 (s, 1H), 3.75 (s, 3H), 3.65 (d, J = 6.0 Hz, 1H), 3.16-3.07 (m, 3H), 2.90-2.84 (m, 5H), 2.73-2.59 (m, 3H), 2.33-2.25 (m, 1H), 2.07 (d, J = 18.0 Hz, 1H), 1.64 (d, J = 11.4 Hz, 1H), three protons obscured by solvent peaks
A47
Figure US10226456-20190312-C00050
5171H NMR (300 MHz, DMSO-d6) δ 12.81 (br s, 1H), 9.17 (br s, 1H), 7.85 (d, J = 8.1 Hz, 1H), 6.86 (d, J = 8.4 Hz, 1H), 6.75 (d, J = 8.1 Hz, 1H), 6.27 (s, 1H), 5.55-5.53 (m, 2H), 5.00 (s, 1H), 4.35-4.27 (m, 1H), 4.00 (q, J = 6.9 Hz, 1H), 3.75 (s, 3H), 3.64 (d, J = 6.0 Hz, 1H), 3.15-3.06 (m, 2H), 2.84 (d, J = 4.2 Hz, 3H), 2.73-2.55 (m, 1H), 2.32-2.24 (m, 1H), 2.14-1.89 (m, 3H), 1.63 (d, J = 11.4 Hz, 1H), 1.22 (d, J = 6.9 Hz, 3H), four protons obscured by solvent peaks
A48
Figure US10226456-20190312-C00051
5641H NMR (300 MHz, CDCl3) δ 9.15 (br s, 1H), 7.59-7.54 (m, 2H), 7.49-7.76 (m, 3H), 6.82 (d, J = 8.4 Hz, 1H), 6.73 (d, J = 8.4 Hz, 1H), 6.30 (br s, 1H), 6.22 (s, 1H), 5.53 (dd, J = 6.0, 1.8 Hz, 1H), 5.15 (q, J = 6.9 Hz, 1H), 4.95 (s, 1H), 3.64 (s, 3H), 3.41 (d, J = 19.8 Hz, 1H), 3.14-3.05 (m, 2H), 2.83 (d, J = 4.8 Hz, 3H), 2.70-2.53 (m, 1H), 2.46-2.38 (m, 1H), 2.30-2.22 (m, 1H), 2.08 (s, 3H), 2.06-2.00 (m, 1H), 1.62 (d, J = 11.1 Hz, 1H), 1.53 (d, J = 6.9 Hz, 3H)
A49
Figure US10226456-20190312-C00052
6981H NMR (300 MHz, DMSO-d6) δ 12.76 (br s, 1H), 9.17 (br s, 1H), 6.84 (d, J = 8.1 Hz, 1H), 6.74 (d, J = 8.1 Hz, 1H), 6.31 (s, 1H), 5.59 (dd, J = 6.0, 3.9 Hz, 1H), 5.41 (t, J = 6.3 Hz, 1H), 4.96 (s, 1H), 3.75 (s, 3H), 3.65 (d, J = 6.3 Hz, 1H), 3.13-3.06 (m, 2H), 2.90-2.84 (m, 5H), 2.70-2.52 (m, 2H), 2.33 (t, J = 7.2 Hz, 2H), 2.27-2.25 (m, 1H), 1.64 (d, J = 11.7 Hz, 1H), 1.56-1.51 (m, 2H), 1.23 (br s, 30H), 0.88 (t, J = 6.3 Hz, 3H)
A50
Figure US10226456-20190312-C00053
4301H NMR (300 MHz, CDCl3) δ 9.18 (br s, 1H), 6.86 (d, J = 8.4 Hz, 1H), 6.75 (d, J = 8.1 Hz, 1H), 6.31 (s, 1H), 5.58 (dd, J = 5.7, 1.8 Hz, 1H), 5.09 (q, J = 6.9 Hz, 1H), 4.99 (s, 1H), 3.76 (s, 3H), 3.65 (d, J = 6.0 Hz, 1H), 3.43 (d, J = 20.1 Hz, 1H), 3.16-3.07 (m, 2H), 2.84 (d, J = 4.8 Hz, 3H), 2.72-2.52 (m, 1H), 2.49-2.43 (m, 1H, partially obscured by solvent peak), 2.29 (dd, J = 18.0, 6.6 Hz, 1H), 2.10 (s, 3H), 2.30-2.22 (m, 1H), 1.65 (d, J = 11.4 Hz, 1H), 1.49 (d, J = 6.9 Hz, 3H)
A51
Figure US10226456-20190312-C00054
5021H NMR (300 MHz, CDCl3) δ 9.17 (br s, 1H), 6.86 (d, J = 8.1 Hz, 1H), 6.75 (d, J = 8.4 Hz, 1H), 6.30 (s, 1H), 5.59 (dd, J = 5.7, 1.8 Hz, 1H), 5.24 (q, J = 6.9 Hz, 1H), 5.07 (q, J = 7.2 Hz, 1H), 4.99 (s, 1H), 3.75 (s, 3H), 3.65 (d, 6.0 Hz, 1H), 3.16-3.07 (m, 2H), 2.84 (d, J = 4.8 Hz, 3H), 2.72-2.58 (m, 1H), 2.44-2.40 (m, 1H), 2.30 (dd, J = 18.3, 6.0 Hz, 1H), 2.08 (s, 3H), 2.12-2.02 (m, 1H), 1.65 (d, J = 13.2 Hz, 1H), 1.53 (d, J = 6.9 Hz, 3H), 1.47 (d, J = 6.9 Hz, 3H), one proton obscured by the solvent peaks
A52
Figure US10226456-20190312-C00055
4881H NMR (300 MHz, DMSO-d6) δ 13.02 (br s, 1H), 9.18 (br s, 1H), 6.86 (d, J = 8.4 Hz, 1H), 6.75 (d, J = 8.4 Hz, 1H), 6.28 (br s, 1H), 5.53 (dd, J = 6.0, 1.8 Hz, 1H), 4.98 (s, 1H), 4.92 (q, J = 6.9 Hz, 1H), 3.75 (s, 3H), 3.64 (d, J = 6.3 Hz, 1H), 3.43 (d, J = 19.8 Hz, 1H), 3.15-3.06 (m, 2H), 2.84 (d, J = 3.9 Hz, 3H), 2.73-2.58 (m, 5H), 2.46-2.40 (m, 1H), 2.32-2.20 (m, 1H), 2.05 (d, J = 18.3 Hz, 1H), 1.64 (d, J = 11.1 Hz, 1H), 1.40 (d, J = 6.9 Hz, 3H)
A53
Figure US10226456-20190312-C00056
7241H NMR (300 MHz, DMSO-d6) δ 9.22 (br s, 1H), 6.85 (d, J = 8.4 Hz, 1H), 6.75 (d, J = 8.4 Hz, 1H), 6.34 (br s, 1H), 5.59-5.58 (m, 1H), 5.37-5.30 (m, 2H), 5.24 (q, J = 6.9 Hz, 1H), 5.08 (q, J = 6.9 Hz, 1H), 4.99 (s, 1H), 3.75 (s, 3H), 3.65 (br s, 1H), 3.42 (d, J = 20.1 Hz, 1H), 3.15-3.06 (m, 2H), 2.84 (s, 3H), 2.64-2.58 (m, 1H), 2.49-2.43 (m, 1H, partially obscured by solvent peak), 2.37-2.26 (m, 3H), 2.09-1.95 (m, 5H), 1.63 (d, J = 11.7 Hz, 1H), 1.54-1.45 (m, 8H), 1.26-1.24 (m, 20H), 0.85 (t, J = 6.3 Hz, 3H)
A54
Figure US10226456-20190312-C00057
5321H NMR (300 MHz, DMSO-d6) δ 13.23 (br s, 1H), 12.59 (br s, 1H), 9.17 (br s, 1H), 6.86 (d, J = 8.4 Hz, 1H), 6.75 (d, J = 8.4 Hz, 1H), 6.27 (s, 1H), 5.53 (dd, J = 6.3, 2.1 Hz, 1H), 5.22 (dd, J = 7.8, 4.5 Hz, 1H), 4.99 (s, 1H), 3.75 (s, 3H), 3.64 (d, J = 6.3 Hz, 1H), 3.46-3.39 (m, 1H, partially obscured by water peak), 3.15-3.06 (m, 2H), 2.84 (s, 3H), 2.80-2.66 (m, 7H), 2.49-2.43 (m, 1H, partially obscured by solvent peak), 2.27 (dd, J = 17.7, 6.3 Hz, 1H), 2.06 (apparent d, J = 18.0 Hz, 1H), 1.64 (d, J = 11.7 Hz, 1H)
A55
Figure US10226456-20190312-C00058
4741H NMR (300 MHz, DMSO-d6) δ 13.38 (br s, 1H), 9.17 (br s, 1H), 6.86 (d, J = 8.4 Hz, 1H), 6.75 (d, J = 8.4 Hz, 1H), 6.29 (s, 1H), 5.56 (dd, J = 5.7, 1.8 Hz, 1H), 5.26 (dd, J = 8.4, 4.2 Hz, 1H), 4.99 (s, 1H), 3.74 (s, 3H), 3.65 (d, J = 6.3 Hz, 1H), 3.43 (d, J = 20.1 Hz, 1H, partially obscured by water peak), 3.16-3.06 (m, 3H), 2.98 (dd, J = 16.8, 8.4 Hz, 1H), 2.84 (apparent d, J = 3.9 Hz, 3H), 2.65-2.57 (m, 1H), 2.49-2.42 (m, 1H, partially obscured by solvent peak), 2.28 (dd, J = 17.7, 6.3 Hz, 1H), 2.09 (s, 3H), 2.09-2.04 (m, 1H), 1.65 (d, J = 11.1 Hz, 1H)
A56
Figure US10226456-20190312-C00059
5501H NMR (300 MHz, DMSO-d6) δ 13.29 (br s, 1H), 9.18 (br s, 1H), 7.46-7.40 (m, 5H), 6.86 (d, J = 8.4 Hz, 1H), 6.75 (d, J = 8.4 Hz, 1H), 6.29 (br s, 1H), 5.84 (s, 1H), 5.50-5.46 (m, 1H), 4.96 (s, 1H), 3.74 (s, 3H), 3.64 (d, J = 6.0 Hz, 1H), 3.43 (d, J = 19.8 Hz, 1H), 3.15-3.06 (m, 2H), 2.84 (apparent d, J = 3.3 Hz, 3H), 2.76 (s, 4H), 2.65-2.58 (m, 1H), 2.43 (dd, J = 12.9, 4.2 Hz, 1H), 2.26 (dd, J = 17.7, 6.0 Hz, 1H), 2.04 (apparent d, J = 17.7 Hz, 1H), 1.63 (d, J = 12.0 Hz, 1H)
A57
Figure US10226456-20190312-C00060
5641H NMR (300 MHz, DMSO-d6) δ 9.19 (br s, 1H), 7.52-7.48 (m, 2H), 7.42-7.37 (m, 3H), 6.86 (d, J = 8.4 Hz, 1H), 6.75 (d, J = 8.1 Hz, 1H), 6.28 (s, 1H), 6.06 (s, 1H), 5.47 (dd, J = 5.7, 1.8 Hz, 1H), 5.28 (q, J = 6.9 Hz, 1H), 4.82 (s, 1H), 3.73 (s, 3H), 3.64 (d, J = 6.0 Hz, 1H), 3.42 (d, J = 20.1 Hz, 1H), 3.15-3.06 (m, 2H), 2.84 (apparent d, J = 4.8 Hz, 3H), 2.68-2.57 (m, 1H), 2.49-2.35 (m, 1H, partially obscured by solvent peak), 2.27 (dd, J = 18.0, 6.0 Hz, 1H), 2.14 (s, 3H), 2.04 (apparent d, J = 17.7 Hz, 1H), 1.62 (d, J = 12.0 Hz, 1H), 1.48 (d, J = 6.9 Hz, 3H)
A58
Figure US10226456-20190312-C00061
5301H NMR (300 MHz, DMSO-d6) δ 6.81 (d, J = 8.1 Hz, 1H), 6.70 (d, J = 8.1 Hz, 1H), 5.53 (dd, J = 5.7, 2.1 Hz, 1H), 5.09-5.06 (m, 1H), 4.93 (s, 1H), 3.74 (s, 3H), 3.28 (d, J = 18.9 Hz, 1H), 2.83-2.61 (m, 9H), 2.37-2.13 (m, 6H), 2.02 (d, J = 18 Hz, 1H), 1.52 (d, J = 9.9 Hz, l1H), two CO2H and OH protons not observed
A59
Figure US10226456-20190312-C00062
5041H NMR (300 MHz, DMSO-d6) δ 6.75 (d, J = 8.4 Hz, 1H), 6.66 (d, J = 8.4 Hz, 1H), 5.91 (s, 1H), 5.52 (dd, J = 5.7, 2.4 Hz, 1H), 4.95 (dd, J = 13.8, 6.9 Hz, 1H), 4.86 (s, 1H), 4.49-4.47 (m, 1H), 3.74 (s, 3H), 3.13 (d, J = 18.9 Hz, 1H), 2.97-2.89 (m, 2H), 2.69-2.61 (m, 2H), 2.46-2.42 (m, 1H), 2.28-2.22 (m, 2H), 2.12-2.00 (m, 4H), 1.42-1.38 (m, 4H), CO2H and OH protons not observed
A60a
Figure US10226456-20190312-C00063
6021H NMR (300 MHz, DMSO-d6) δ 6.73 (d, J = 8.4 Hz, 1H), 6.65 (d, J = 8.1 Hz, 1H), 5.55 (dd, J = 5.4, 2.4 Hz, 1H), 5.21-5.13 (m, 2H), 4.83 (s, 1H), 4.72 (s, 1H), 3.73 (s, 3H), 3.10 (d, J = 18.6 Hz, 1H), 2.97-2.94 (m, 2H), 2.83 (d, J = 6.0 Hz, 1H), 2.60 (dd, J = 18.9, 6.0 Hz, 1H), 2.41 (dd, J = 11.4, 3.9 Hz, 1H), 2.31 (s, 3H), 2.22 (dd, J = 12.6, 4.8 Hz, 1H), 2.10-1.94 (m, 3H), 2.04 (s, 3H), 1.49 (d, J = 6.9 Hz, 3H) 1.41 (s, 9H), 1.39 (d, J = 12.3 Hz, 1H)
A60b
Figure US10226456-20190312-C00064
5461H NMR (300 MHz, DMSO-d6) δ 13.37 (br s, 1H), 9.18 (br s, 1H), 6.85 (d, J = 8.4 Hz, 1H), 6.75 (d, J = 8.4 Hz, 1H), 6.30 (s, 1H), 5.59 (dd, J = 5.7, 1.8 Hz, 1H), 5.27 (dd, J = 7.8, 4.5 Hz, 1H), 5.18 (q, J = 7.2 Hz, 1H), 5.00 (s, 1H), 3.75 (s, 3H), 3.65 (d, J = 6.3 Hz, 1H), 3.43 (d, J = 19.8 Hz, 1H, partially obscured by water peak), 3.16-3.07 (m, 2H), 3.05-2.90 (m, 2H), 2.84 (apparent d, J = 3.0 Hz, 3H), 2.66-2.55 (m, 1H), 2.49-2.43 (m, 1H, partially obscured by solvent peak), 2.34-2.26 (m, 1H), 2.10-2.04 (m, 1H), 2.04 (s, 3H), 1.65 (d, J = 11.1 Hz, 1H), 1.50 (d, J = 7.2 Hz, 3H)
A61
Figure US10226456-20190312-C00065
5321H NMR (300 MHz, DMSO-d6) δ 13.87 (br s, 1H), 9.17 (br s, 1H), 6.88 (d, J = 8.4 Hz, 1H), 6.76 (d, J = 8.4 Hz, 1H), 6.34 (s, 1H), 5.77 (d, J = 3.0 Hz, 1H), 5.68 (d, J = 3.0 Hz, 1H), 5.56 (dd, J = 6.3, 2.1 Hz, 1H), 4.88 (s, 1H), 3.76 (s, 3H), 3.65 (d, J = 6.3 Hz, 1H), 3.43 (d, J = 20.1 Hz, 1H), 3.16-3.07 (m, 2H), 2.84 (apparent d, J = 3.3 Hz, 3H), 2.64-2.57 (m, 1H), 2.49-2.43 (m, 1H, partially obscured by solvent peak), 2.33-2.25 (m, 1H), 2.18 (s, 3H), 2.14 (s, 3H), 2.11-2.05 (m, 1H), 1.65 (d, J = 11.4 Hz, 1H)
A62
Figure US10226456-20190312-C00066
6081H NMR (300 MHz, DMSO-d6; Mixture of diastereomers) δ 7.58-7.53 (m, 2H), 7.48-7.44 (m, 3H), 6.75-6.71 (m, 0.8H), 6.69-6.64 (m, 1.2H), 6.21 (s, 0.4H), 6.12 (s, 0.6H), 5.53-5.47 (m, 0.8H), 5.45-5.43 (m, 1.2H), 4.81 (s, 0.6H), 4.78 (s, 0.4H), 3.70 (s, 1.8H), 3.60 (s, 1.2H), 3.12 (d, J = 18.3 Hz, 1H), 3.00-3.72 (m, 5H), 2.46-2.42 (m, 1H), 2.35 (s, 3H), 2.28-1.99 (m, 6H), 1.38 (d, J = 12.6 Hz, 1H), CO2H, CF3CO2H, and OH protons not observed
A63
Figure US10226456-20190312-C00067
5461H NMR (300 MHz, DMSO-d6) δ 6.81 (d, J = 8.4 Hz, 1H), 6.71 (d, J = 8.4 Hz, 1H), 5.57 (dd, J = 5.7, 2.1 Hz, 1H), 5.39 (dd, J = 9.6, 3.2 Hz, 1H), 5.04 (dd, J = 14.1, 6.9 Hz, 1H), 4.95 (s, 1H), 3.73 (s, 3H), 3.29-3.26 (m, 1H), 3.17 (d, J = 17.1 Hz, 1H), 3.00-2.72 (m, 3H), 2.64-2.62 (m, 3H), 2.39-2.37 (m, 3H), 2.22-2.00 (m, 2H), 2.11 (s, 3H), 1.53 (d, J = 9.9 Hz, 1H), 1.43 (d, J = 6.9 Hz, 3H), CO2H, CF3CO2H, and OH protons not observed
A64
Figure US10226456-20190312-C00068
5461H NMR (300 MHz, DMSO-d6) δ 6.77 (d, J = 8.4 Hz, 1H), 6.68 (d, J = 8.4 Hz, 1H), 5.61 (dd, J = 5.7, 2.4 Hz, 1H), 5.45 (dd, J = 6.9, 2.1 Hz, 1H), 4.99 (dd, J = 14.1, 6.9 Hz, 1H), 4.87 (s, 1H), 3.74 (s, 3H), 3.19 (d, J = 19.2 Hz, 1H), 3.12-2.99 (m, 5H), 2.79-2.59 (m, 2H), 2.47-2.46 (m, 1H), 2.37-1.97 (m, 7H), 1.45 (d, J = 12.6 Hz, 1H), 1.40 (d, J = 7.2 Hz, 3H), CO2H, CF3CO2H, and OH protons not observed
A65
Figure US10226456-20190312-C00069
5461H NMR (300 MHz, DMSO-d6) δ 12.8 (s, 1H), 9.19 (s, 1H), 6.86 (d, J = 8.4 Hz, 1H), 6.76 (d, J = 8.1 Hz, 1H), 6.31 (s, 1H), 5.59 (dd, J = 6.0, 1.8 Hz, 1H), 5.36 (dd, J = 9.0, 3.6 Hz, 1H), 5.26 (dd, J = 14.1, 6.9 Hz, 1H), 5.00 (s, 1H), 3.75 (s, 3H), 3.65 (d, J = 6.3 Hz, 1H), 3.43 (d, J = 20.1 Hz, 1H), 3.16-3.07 (m, 2H), 2.96-2.72 (m, 5H), 2.62-2.52 (m, 1H), 2.46-2.42 (m, 1H), 2.34-2.26 (m, 1H), 2.09 (s, 3H), 2.06 (d, J = 16.0 Hz, 1H), 1.64 (d, J = 11.1 Hz, 1H), 1.52 (d, J = 6.9 Hz, 3H)
A66
Figure US10226456-20190312-C00070
6661H NMR (300 MHz, DMSO-d6) δ 13.5 (s, 1H), 9.18 (s, 1H), 7.46-7.41 (m, 5H), 6.88 (d, J = 8.4 Hz, 1H), 6.76 (d, J = 8.4 Hz, 1H), 6.35 (s, 1H), 6.01 (s, 1H), 5.92 (dd, J = 24.6, 2.7 Hz, 1H), 5.55 (dd, J = 6.0, 2.1 Hz, 1H), 4.87 (s, 1H), 3.75 (s, 3H), 3.65 (d, J = 6.0 Hz, 1H), 3.43 (d, J = 20.1 Hz, 1H), 3.16-3.07 (m, 2H), 2.84 (d, J = 3.6 Hz, 3H), 2.64-2.61 (m, 1H), 2.41-2.32 (m, 2H), 2.32-2.27 (m, 1H), 2.20 (s, 3H), 2.08 (d, J = 18.3 Hz, 1H), 2.00 (s, 3H), 1.64 (d, J = 11.7 Hz, 1H)
A67
Figure US10226456-20190312-C00071
5321H NMR (300 MHz, DMSO-d6) δ 13.87 (br s, 1H), 9.18 (br s, 1H), 6.84 (d, J = 8.4 Hz, 1H), 6.75 (d, J = 8.1 Hz, 1H), 6.33 (s, 1H), 5.80 (d, J = 3.0 Hz, 1H), 5.59 (dd, J = 5.7, 1.8 Hz, 1H), 5.56 (d, J = 3.0 Hz, 1H), 5.00 (s, 1H), 3.72 (s, 3H), 3.65 (d, J = 6.3 Hz, 1H), 3.43 (d, J = 19.8 Hz, 1H), 3.16-3.07 (m, 2H), 2.84 (apparent d, J = 2.7 Hz, 3H), 2.65-2.58 (m, 1H), 2.49-2.43 (m, 1H, partially obscured by solvent peak), 2.34-2.25 (m, 1H), 2.17 (s, 3H), 2.15 (s, 3H), 2.11-2.05 (m, 1H), 1.66 (d, J = 10.8 Hz, 1H)
A68a
Figure US10226456-20190312-C00072
5041H NMR (300 MHz, DMSO-d6) δ 13.42 (br s, 1H), 9.18 (br s, 1H), 6.86 (d, J = 8.4 Hz, 1H), 6.75 (d, J = 8.4 Hz, 1H), 6.29 (s, 1H), 5.56-5.55 (m, 1H), 5.46 (br s, 1H), 5.31 (dd, J = 8.1, 4.2 Hz, 1H), 4.99 (s, 1H), 4.21 (q, J = 6.9 Hz, 1H), 3.75 (s, 3H), 3.64 (d, J = 6.3 Hz, 1H), 3.48-3.40 (m, 1H, partially obscured by water peak), 3.15-2.96 (m, 4H), 2.84 (apparent d, J = 4.2 Hz, 3H), 2.66-2.58 (m, 1H), 2.49-2.42 (m, 1H, partially obscured by solvent peak), 2.32-2.24 (m, 1H), 2.07 (apparent d, J = 18.0 Hz, 1H), 1.64 (d, J = 11.7 Hz, 1H), 1.31 (d, J = 6.9 Hz, 3H)
A68b
Figure US10226456-20190312-C00073
5601H NMR (300 MHz, CDCl3) δ 9.18 (br s, 1H), 6.86 (d, J = 8.4 Hz, 1H), 6.75 (d, J = 8.4 Hz, 1H), 6.27 (s, 1H), 5.56-5.54 (m, 1H), 5.48 (br s, 1H), 5.24 (dd, J = 7.5, 4.8 Hz, 1H), 4.99 (s, 1H), 4.21 (q, J = 6.6 Hz, 1H), 3.74 (s, 3H), 3.64 (d, J = 6.0 Hz, 1H), 3.46-3.40 (m, 1H, partially obscured by water peak), 3.15-2.97 (m, 4H), 2.85 (apparent d, J = 4.8 Hz, 3H), 2.66-2.57 (m, 1H), 2.49-2.42 (m, 1H, partially obscured by solvent peak), 2.33-2.24 (m, 1H), 2.07 (apparent d, J = 18.3 Hz, 1H), 1.64 (d, J = 12.0 Hz, 1H), 1.41 (s, 9H), 1.32 (d, J = 6.9 Hz, 3H)
A69
Figure US10226456-20190312-C00074
4321H NMR (300 MHz, DMSO-d6) δ 12.7 (s, 1H), 9.19 (s, 1H), 6.86 (d, J = 8.4 Hz, 1H), 6.75 (d, J = 8.4 Hz, 1H), 6.28 (s, 1H), 5.63 (s, 1H), 5.53-5.51 (m, 1H), 4.98 (s, 1H), 4.34 (dd, J = 7.8, 2.1 Hz, 1H), 3.76 (s, 3H), 3.64 (d, J = 6.3 Hz, 1H), 3.43 (d, J = 20.1 Hz, 1H), 3.15-3.07 (m, 2H), 2.89-2.82 (m, 2.72-2.61 (m, 2H), 2.46-2.42 (m, 1H), 2.33-2.26 (m, 1H), 2.05 (d, J = 18.0 Hz, 1H), 1.64 (d, J = 11.5 Hz, 1H)
A70
Figure US10226456-20190312-C00075
5171H NMR (300 MHz, DMSO-d6) δ 9.20 (s, 1H), 8.29 (s, 3H), 6.86 (d, J = 8.4 Hz, 1H), 6.76 (d, J = 8.1 Hz, 1H), 6.34 (s, 1H), 5.60-5.58 (m, 1H), 5.14 (dd, J = 13.8, 7.2 Hz, 1H), 5.00 (s, 1H), 3.76 (s, 3H), 3.66 (d, J = 6.3 Hz, 1H), 3.43 (d, J = 20.1 Hz, 1H), 3.16-3.07 (m, 2H), 2.85 (s, 3H), 2.72-2.61 (m, 3H), 2.46-2.42 (m, 1H), 2.33-2.26 (m, 1H), 2.15-1.99 (m, 3H), 2.07 (d, J = 18.0 Hz, 1H), 1.64 (d, J = 11.5 Hz, 1H), 1.51 (d, J = 7.2 Hz, 3H), CO2H proton not observed
A71
Figure US10226456-20190312-C00076
6081H NMR (300 MHz, DMSO-d6) δ 13.40 (br s, 1H), 9.16 (br s, 1H), 7.57-7.54 (m, 2H), 7.48-7.46 (m, 3H), 6.81 (d, J = 8.4 Hz, 1H), 6.73 (d, J = 8.4 Hz, 1H), 6.29 (s, 1H), 6.17 (s, 1H), 5.55 (dd, J = 6.0, 2.1 Hz, 1H), 5.33 (dd, J = 8.7, 3.9 Hz, 1H), 4.95 (s, 1H), 3.75 (br s, 4H), 3.44-3.38 (m, 1H, partially obscured by water peak), 3.14-2.97 (m, 4H), 2.83 (apparent d, J = 4.2 Hz, 3H), 2.68-2.57 (m, 1H), 2.49-2.40 (m, 1H, partially obscured by solvent peak), 2.31-2.22 (m, 1H), 2.09-2.04 (m, 1H), 2.04 (s, 3H), 1.63 (d, J = 12.0 Hz, 3H)
A72
Figure US10226456-20190312-C00077
6481H NMR (300 MHz, DMSO-d6) δ 13.5 (s, 1H), 12.6 (s, 1H), 9.18 (s, 1H), 6.88 (d, J = 8.1 Hz, 1H), 6.77 (d, J = 8.1 Hz, 1H), 6.34 (s, 1H), 5.85 (d, J = 2.7 Hz, 1H), 5.78 (d, J = 2.7 Hz, 1H), 5.55 (dd, J = 6.0, 2.1 Hz, 1H), 5.30 (dd, J = 8.4, 3.6 Hz, 1H), 4.88 (s, 1H), 3.75 (s, 3H), 3.65 (d, J = 6.0 Hz, 1H), 3.43 (d, J = 20.1 Hz, 1H), 3.16-3.07 (m, 2H), 2.90-2.80 (m, 5H), 2.64-2.61 (m, 1H), 2.41-2.32 (m, 1H), 2.32-2.27 (m, 1H), 2.20 (s, 3H), 2.12 (s, 3H), 2.08 (d, J = 18.3 Hz, 1H), 1.64 (d, J = 11.7 Hz, 1H)
A73
Figure US10226456-20190312-C00078
5481H NMR (300 MHz, DMSO-d6) δ 13.41 (br s, 1H), 12.69 (br s, 1H), 9.19 (br s, 1H), 6.86 (d, J = 8.4 Hz, 1H), 6.75 (d, J = 8.1 Hz, 1H), 6.31 (br s, 1H), 5.57 (dd, J = 5.7, 1.5 Hz, 1H), 5.55 (br s, 1H), 5.30 (dd, J = 7.8, 4.5 Hz, 1H), 4..99 (s, 1H), 4.32 (dd, J = 7.8, 4.2 Hz, 1H), 3.75 (s, 3H), 3.65 (d, J = 6.3 Hz, 1H), 3.43 (d, J = 20.1 Hz, 1H), 3.16-2.95 (m, 4H), 2.84 (s, 3H), 2.81-2.58 (m, 3H), 2.49-2.43 (m, 1H, partially obscured by solvent peak), 2.32-2.24 (m, 1H), 2.07 (apparent d, J = 18.0 Hz, 1H), 1.64 (d, J = 11.1 Hz, 1H)
A74
Figure US10226456-20190312-C00079
5561H NMR (300 MHz, DMSO-d6) δ 9.20 (br s, 2H), 8.61 (t, J = 5.7 Hz, 1H), 8.54 (br s, 1H), 6.86 (d, J = 8.4 Hz, 1H), 6.76 (d, J = 8.1 Hz, 1H), 6.31 (br s, 1H), 5.59 (dd, J = 6.0, 2.1 Hz, 1H), 5.12 (q, J = 7.2 Hz, 1H), 5.00 (s, 1H), 4.13-4.09 (m, 1H), 3.76 (s, 3H), 3.66 (d, J = 6.0 Hz, 1H), 3.51-3.29 (m, 4H), 3.22-3.07 (m, 4H), 2.85 (apparent d, J = 4.5 Hz, 3H), 2.70-2.58 (m, 2H), 2.49-2.41 (m, 1H, partially obscured by solvent peak), 2.34-2.19 (m, 2H), 2.06 (apparent d, J = 18.0 Hz, 1H), 1.92-1.77 (m, 3H), 1.64 (d, J = 11.1 Hz, 1H), 1.51 (d, J = 6.9 Hz, 3H)
A75
Figure US10226456-20190312-C00080
6291H NMR (300 MHz, DMSO-d6) δ 9.19 (br s, 1H), 8.05-7.98 (m, 2H), 7.65 (br s, 3H), 6.86 (d, J = 8.4 Hz, 1H), 6.76 (d, J = 8.4 Hz, 1H), 6.32 (s, 1H), 5.59 (dd, J = 5.7, 1.8 Hz, 1H), 5.10 (q, J = 6.9 Hz, 1H), 5.00 (s, 1H), 4.19-4.12 (m, 1H), 3.75 (s, 3H), 3.66 (d, J = 6.0 Hz, 1H), 3.43 (d, J = 19.8 Hz, 1H), 3.35-3.25 (m, 2H), 3.16-3.07 (m, 2H), 2.85 (apparent d, J = 4.5 Hz, 3H), 2.79-2.70 (m, 2H), 2.65-2.53 (m, 3H, partially obscured by solvent peak), 2.49-2.43 (m, 1H, partially obscured by solvent peak), 2.34-2.26 (m, 1H), 2.06 (apparent d, J = 18.3 Hz, IH), 1.84 (s, 3H), 1.67-1.40 (m, 8H), .33-1.20 (m, 2H)
A76
Figure US10226456-20190312-C00081
5601H NMR (300 MHz, DMSO-d6) δ 12.28 (br s, 1H), 9.19 (br s, 1H), 6.85 (d, J = 8.4 Hz, 1H), 6.75 (d, J = 8.4 Hz, 1H), 6.31 (s, 1H), 5.61 (dd, J = 5.7, 1.8 Hz, 1H), 5.47 (t, J = 5.4 Hz, 1H), 4.96 (s, 1H), 4.13 (q, J = 6.9 Hz, 2H), 3.74 (s, 3H), 3.65 (d, J = 6.0 Hz, 1H), 3.43 (d, J = 19.8 Hz, 1H), 3.16-3.07 (m, 2H), 2.98 (d, J = 6.6 Hz, 2H), 2.84 (apparent d, J = 4.8 Hz, 3H), 2.69-2.58 (m, 3H), 2.49-2.43 (m, 1H, partially obscured by solvent peak), 2.34-2.26 (m, 1H), 2.07 (apparent d, J = 18.3 Hz, 1H), 1.65 (d, J = 10.8 Hz, 1H), 1.21 (t, J = 6.9 Hz, 3H), two protons obscured by the solvent peaks
A77
Figure US10226456-20190312-C00082
5721H NMR (300 MHz, DMSO-d6) δ 9.19 (br s, 1H), 8.63 (t, J = 5.4 Hz, 1H), 8.11 (br s, 3H), 6.86 (d, J = 8.4 Hz, 1H), 6.76 (d, J = 8.4 Hz, 1H), 6.32 (br s, 1H), 5.59 (dd, J = 5.7, 1.8 Hz, 1H), 5.13 (q, J = 6.9 Hz, 1H), 5.00 (s, 1H), 3.76 (s, 3H), 3.67-3.65 (m, 2H), 3.53-3.40 (m, 2H), 3.35-3.24 (m, 1H), 3.16-3.07 (m, 2H), 2.85 (apparent d, J = 4.5 Hz, 3H), 2.73-2.59 (m, 3H), 2.49-2.43 (m, 1H, partially obscured by solvent peak), 2.34-2.26 (m, 1H), 2.06 (apparent d, J = 18.3 Hz, 4H), 1.66-1.50 (m, 7H), 0.90-0.87 (m, 6H)
A78
Figure US10226456-20190312-C00083
4481H NMR (300 MHz, DMSO-d6) δ 12.8 (s, 1H), 9.20 (s, 1H), 6.86 (d, J = 8.4 Hz, 1H), 6.75 (d, J = 8.4 Hz, 1H), 6.30 (s, 1H), 5.71 (s, 1H), 5.54 (dd, J = 6.0, 2.1 Hz, 1H), 5.31 (s, 1H), 5.04 (s, 1H), 4.55 (s, 1H), 4.41 (s, 1H), 3.75 (s, 3H), 3.64 (d, J = 6.3 Hz, 1H), 3.43 (d, J = 19.8 Hz, 1H), 3.15-3.07 (m, 2H), 2.85 (d, J = 3.3 Hz, 3H), 2.69-2.62 (m, 1H), 2.49-2.43 (m, 1H), 2.32-2.26 (m, 1H), 2.07 (d, J = 18.3 Hz, 1H), 1.65 (d, J = 11.1 Hz, 1H)
A79
Figure US10226456-20190312-C00084
5561H NMR (300 MHz, DMSO-d6) δ 9.21 (s, 2H), 8.96 (d, J = 6.6 Hz, 1H), 8.55 (s, 1H), 6.86 (d, J = 8.1 Hz, 1H), 6.75 (d, J = 8.1 Hz, 1H), 6.30 (s, 1H), 5.59 (dd, J = 6.0, 2.1 Hz, 1H), 5.19 (dd, J = 14, 7.2 Hz, 1H), 4.99 (s, 1H), 4.48-4.39 (m, 1H), 4.25-4.18 (m, 1H), 3.76 (s, 3H), 3.66 (d, J = 6.0 Hz, 1H), 3.43 (d, J = 19.8 Hz, 1H), 3.23-3.07 (m, 4H), 2.85 (d, J = 4.5 Hz, 3H), 2.69-2.57 (m, 1H), 2.49-2.41 (m, 1H), 2.33-2.26 (m, 2H), 2.06 (d, J = 18 Hz, 1H), 1.93-1.84 (m, 3H), 1.64 (d, J = 11.1 Hz, 1H), 1.52 (d, J = 6.9 Hz, 3H), 1.41 (d, J = 7.2 Hz, 3H)
A80
Figure US10226456-20190312-C00085
6041H NMR (300 MHz, DMSO-d6) δ 13.2 (s, 1H), 9.17 (s, 1H), 6.88 (d, J = 8.4 Hz, 1H), 6.77 (d, J = 8.4 Hz, 1H), 6.35 (s, 1H), 5.87 (dd, J = 13.5, 2.7 Hz, 2H), 5.57 (dd, J = 6.3, 2.1 Hz, 1H), 5.04 (dd, J = 13.8, 1.2 Hz, 1H), 4.88 (s, 1H), 3.76 (s, 3H), 3.65 (d, J = 6.3 Hz, 1H), 3.41 (d, J = 20.1 Hz, 1H), 3.16-3.07 (m, 2H), 2.84 (d, J = 3.6 Hz, 3H), 2.64-2.61 (m, 1H), 2.46-2.42 (m, 1H), 2.33-2.26 (m, 1H), 2.21 (s, 3H), 2.15 (s, 3H), 2.08 (d, J = 18.0 Hz, 1H), 1.64 (d, J = 11.1 Hz, 1H), 1.38 (d, J = 7.2 Hz, 3H)
A81
Figure US10226456-20190312-C00086
6291H NMR (300 MHz, DMSO-d6) δ 9.19 (s, 1H), 8.42 (d, J = 6.6 Hz, 1H), 8.00 (d, J = 8.4 Hz, 1H), 7.64 (s, 3H), 6.86 (d, J = 8.4 Hz, 1H), 6.76 (d, J = 8.4 Hz, 1H), 6.30 (s, 1H), 5.57 (dd, J = 6.0, 2.1 Hz, 1H), 5.15 (dd, J = 14, 6.9 Hz, 1H), 4.99 (s, 1H), 4.34-4.25 (m, 2H), 3.75 (s, 3H), 3.66 (d, J = 6.0 Hz, 1H), 3.43 (d, J = 19.8 Hz, 1H), 3.16-3.07 (m, 2H), 2.85 (d, J = 4.5 Hz, 3H), 2.76-2.62 (m, 2H), 2.33-2.26 (m, 2H), 2.06 (d, J = 18 Hz, 1H), 1.84 (s, 3H), 1.66-1.34 (m, 14H)
A82
Figure US10226456-20190312-C00087
5041H NMR (300 MHz, DMSO-d6) δ 13.1 (s, 1H), 9.17 (s, 1H), 6.87 (d, J = 8.4 Hz, 1H), 6.76 (d, J = 8.4 Hz, 1H), 6.29 (s, 1H), 6.00 (s, 1H), 5.57 (dd, J = 6.0, 1.8 Hz, 1H), 4.98 (d, J = 4.5 Hz, 1H), 4.96 (dd, J = 14.1, 6.9 Hz, 1H), 4.54-4.50 (m, 1H), 3.76 (s, 3H), 3.64 (d, J = 5.7 Hz, 1H), 3.43 (d, J = 20.1 Hz, 1H), 3.16-3.07 (m, 2H), 2.85-2.78 (m, 5H), 2.65-2.61 (m, 1H), 2.46-2.42 (m, 1H), 2.33-2.25 (m, 1H), 2.07 (d, J = 18.0 Hz, 1H), 1.64 (d, J = 11.1 Hz, 1H), 1.40 (d, J = 6.9 Hz, 3H)
A83
Figure US10226456-20190312-C00088
6041H NMR (300 MHz, DMSO-d6) δ 13.9 (s, 1H), 9.19 (s, 1H), 6.85 (d, J = 8.1 Hz, 1H), 6.75 (d, J = 8.1 Hz, 1H), 6.32 (s, 1H), 5.72 (d, J = 3.0 Hz, 1H), 5.66-5.60 (m, 2H), 5.29 (dd, J = 13.8, 6.9 Hz, 1H), 5.03 (s, 1H), 3.74 (s, 3H), 3.65 (d, J = 6.3 Hz, 1H), 3.41 (d, J = 20.1 Hz, 1H), 3.16-3.07 (m, 2H), 2.84 (d, J = 3.6 Hz, 3H), 2.64-2.61 (m, 1H), 2.46-2.42 (m, 1H), 2.33-2.26 (m, 1H), 2.13 (s, 3H), 2.11 (s, 3H), 2.06 (d, J = 18.0 Hz, 1H), 1.65 (d, J = 11.1 Hz, 1H), 1.46 (d, J = 6.9 Hz, 3H)
A84
Figure US10226456-20190312-C00089
6481H NMR (300 MHz, DMSO-d6) δ 13.5 (s, 1H), 12.7 (s, 1H), 9.17 (s, 1H), 6.88 (d, J = 8.4 Hz, 1H), 6.77 (d, J = 8.4 Hz, 1H), 6.33 (s, 1H), 5.80 (dd, J = 9.6, 2.7 Hz, 2H), 5.57 (dd, J = 6.0, 2.1 Hz, 1H), 5.35 (dd, J = 7.8, 1.2 Hz, 1H), 4.89 (s, 1H), 3.75 (s, 3H), 3.65 (d, J = 6.3 Hz, 1H), 3.41 (d, J = 20.1 Hz, 1H), 3.15-3.07 (m, 2H), 2.93-2.80 (m, 5H), 2.64-2.61 (m, 1H), 2.41-2.32 (m, 1H), 2.32-2.26 (m, 1H), 2.27 (s, 3H), 2.07 (s, 3H), 2.06 (d, J = 18.3 Hz, 1H), 1.64 (d, J = 11.4 Hz, 1H)
A85
Figure US10226456-20190312-C00090
5031H NMR (300 MHz, DMSO-d6) δ 13.2 (s, 1H), 9.20 (s, 1H), 8.48 (s, 3H), 6.87 (d, J = 8.4 Hz, 1H), 6.76 (d, J = 8.4 Hz, 1H), 6.32 (s, 1H), 5.62-5.59 (m, 1H), 5.39-5.30 (m, 1H), 5.00 (d, J = 7.5 Hz, 1H), 4.48-4.45 (m, 1H), 3.76 (s, 3H), 3.66 (d, J = 6.3 Hz, 1H), 3.44 (d, J = 20.1 Hz, 1H), 3.16-3.07 (m, 2H), 2.96-2.85 (m, 5H), 2.64-2.61 (m, 1H), 2.46-2.42 (m, 1H), 2.33-2.26 (m, 1H), 2.07 (d, J = 18.0 Hz, 1H), 1.64 (d, J = 12.6 Hz, 1H), 1.55 (d, J = 7.2 Hz, 3H)
A86
Figure US10226456-20190312-C00091
5881H NMR (300 MHz, DMSO-d6) δ 12.35 (br s, 1H), 9.19 (br s, 1H), 8.61 (t, J = 5.4 Hz, 1H), 8.13 (br s, 3H), 6.86 (d, J = 8.4 Hz, 1H), 6.76 (d, J = 8.4 Hz, 1H), 6.31 (br s, 1H), 5.59 (dd, J = 5.7, 1.8 Hz, 1H), 5.12 (q, J = 7 .2 Hz, 1H), 5.00 (s, 1H), 3.76 (s, 3H), 3 75-3 71 (m, 1H), 3.66 (d, J = 6.3 Hz, 1H), 3.53-3.40 (m, 3H), 3.35-3.25 (m, 1H), 3.16-3.07 (m, 2H), 2.85 (apparent d, J = 3.6 Hz, 3H), 2.67-2.55 (m, 2H), 2.49-2.42 (m, 1H, partially obscured by solvent peak), 2.35-2.26 (m, 3H), 2.09-2.03 (m, 1H), 1.95-1.89 (m, 2H), 1.64 (d, J = 11.1 Hz, 1H), 1.51 (d, J = 7.2 Hz, 3H)
A87
Figure US10226456-20190312-C00092
5881H NMR (300 MHz, DMSO-d6) δ 9.19 (br s, 1H), 8.26 (br s, 3H), 8.10 (t, J = 5.7 Hz, 1H), 6.86 (d, J = 8.4 Hz, 1H), 6.76 (d, J = 8.4 Hz, 1H), 6.32 (br s, 1H), 5.58 (dd, J = 5.7, 1.8 Hz, 1H), 5.11 (q, J = 7.2 Hz, 1H), 5.00 (s, 1H), 3.93 (br s, 1H), 3.75 (s, 3H), 3.66 (d, J = 6.3 Hz, 1H), 3.47-3.40 (m, 2H, partially obscured by water peak), 3.36-3.27 (m, 2H), 3.16-3.07 (m, 2H), 2.85 (s, 3H), 2.63-2.55 (m, 2H), 2.49-2.43 (m, 1H, partially obscured by solvent peak), 2.34-2.17 (m, 3H), 2.09-1.93 (m, 3H), 1.64 (d, J = 11.1 Hz, 1H), 1.50 (d, J = 7.2 Hz, 3H), CO2H proton not observed
A88
Figure US10226456-20190312-C00093
6061H NMR (300 MHz, DMSO-d6) δ 9.18 (br s, 1H), 8.48 (t, J = 5.7 Hz, 1H), 8.17 (br s, 3H), 7.37-7.26 (m, 3H), 7.23-7.20 (m, 2H), 6.86 (d, J = 8.4 Hz, 1H), 6.76 (d, J = 8.4 Hz, 1H), 6.29 (br s, 1H), 5.58 (dd, J = 6.0, 2.1 Hz, 1H), 5.09 (q, J = 7.2 Hz, 1H), 4.99 (s, 1H), 3.94 (br s, 1H), 3.75 (s, 3H), 3.65 (d, J = 6.3 Hz, 1H), 3.45-3.40 (m, 3H, partially obscured by water peak), 3.24-3.07 (m, 4H), 2.99-2.96 (m, 2H), 2.85 (apparent d, J = 4.2 Hz, 3H), 2.68-2.55 (m, 1H), 2.49-2.41 (m, 1H, partially obscured by solvent peak), 2.37-2.25 (m, 1H), 2.05 (apparent d, J = 17.7 Hz, 1H), 1.64 (d, J = 13.2 Hz, 1H), 1.52 (d, J = 6.9 Hz, 3H)
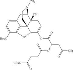
In further embodiments, the abuse-resistant opioid compound may be selected from one or more of:
Ex,Mass
No.StructureSpec1H NMR Data
B1a
Figure US10226456-20190312-C00094
6361H NMR (300 MHz, DMSO-d6) δ 7.54-7.51 (m, 2H), 7.46-7.44 (m, 3H), 6.90 (d, J = 8.1 Hz, 0.14H), 6.87 (d, J = 8.1 Hz, 0.86H), 6.72 (d, J = 8.4 Hz, 0.14H), 6.71 (d, J = 8.1 Hz, 0.86H), 5.98 (s, 0.14H), 5.97 (s, 0.86H), 5.57 (dd, J = 5.4, 2.1 Hz, 0.86H), 5.42-5.41 (m, 0.14H), 4.86 (s, 0.86H), 4.83 (s, 0.14H), 4.76 (br s, 1H), 3.14 (d, J = 19.2 Hz, 1H), 2.86- 2.84 (m, 1H), 2.69-2.61 (m, 1H), 2.43-2.41 (m, 1H), 2.31 (s, 3H), 2.27-2.23 (m, 1H), 2.11-1.94 (m, 3H), 1.47 (s, 1.26H), 1.46 (s, 7.74H), 1.43 (s, 9H), 1.39-1.33 (m, 1H)
B1b
Figure US10226456-20190312-C00095
4361H NMR (300 MHz, DMSO-d6) δ 9.30 (s, 1H), 9.12 (br s, 1H), 7.50-7.47 (m, 2H), 7.42-7.31 (m, 3H), 6.68 (d, J = 8.1 Hz, 1H), 6.62 (d, J = 8.1 Hz, 1H), 6.26 (d, J = 5.7 Hz, 1H), 6.24 (s, 1H), 5.48-5.45 (m, 1H), 5.27 (d, J = 5.4 Hz, 1H), 4.87 (s, 1H), 3.61-3.60 (m, 1H), 3.40-3.34 (m, 1H), 3.07-3.01 (m, 2H), 2.82 (d, J = 4.5 Hz, 3H), 2.64-2.57 (m, 1H), 2.43-2.38 (m, 1H), 2.28-2.18 (m, 1H), 2.09-2.03 (m, 1H), 1.62-1.58 (m, 1H)
B2a
Figure US10226456-20190312-C00096
5741H NMR (300 MHz, DMSO-d6) δ 6.88 (d, J = 8.4 Hz, 1H), 6.72 (d, J = 8.4 Hz, 1H), 5.58 (dd, J = 5.7, 2.4 Hz, 1H), 4.99-4.92 (m, 2H), 4.78 (s, 1H), 3.15 (d, J = 18.9 Hz, 1H), 2.87-2.86 (m, 1H), 2.73-2.62 (m, 1H), 2.49- 2.41 (m, 1H), 2.32 (s, 3H), 2.29-2.23 (m, 1H), 2.12-1.95 (m, 2H), 1.47- 1.22 (m, 23H)
B2b
Figure US10226456-20190312-C00097
3741H NMR (300 MHz, DMSO-d6) δ 9.29 (s, 1H), 9.19 (br s, 1H), 6.67 (d, J = 8.1 Hz, 1H), 6.61 (d, J = 8.1 Hz, 1H), 6.21 (br s, 1H), 5.60-5.53 (m, 2H), 4.94 (s, 1H), 4.30-4.25 (m, 1H), 3.57 (br s, 1H), 3.04-2.99 (m, 2H), 2.79 (s, 3H), 2.65-2.35 (m, 2H), 2.29-2.22 (m, 1H), 2.09-2.02 (m, 1H), 1.62- 1.57 (m, 1H), 1.36 (d, J = 6.9 Hz, 3H), one proton obscured by solvent peaks
B3
Figure US10226456-20190312-C00098
5661H NMR (300 MHz, DMSO-d6) δ 9.29 (s, 1H), 9.15 (br s, 1H), 6.67 (d, J = 8.1 Hz, 1H), 6.62 (d, J = 8.1 Hz, 1H), 6 22 (s, 1H), 5.51-5.49 (m, 1H), 5.34-5.31 (m, 2H), 4.95 (s, 1H), 3.62- 3.60 (m, 1H), 3.37 (d, J = 19.8 Hz, 1H), 3.11-3.02 (m, 2H), 2.84 (d, J = 4.8 Hz, 3H), 2.78-2.56 (m, 1H), 2.45-2.40 (m, 3H), 3.37 (dd, J = 18.0, 6.0 Hz, 1H), 2.08-1.98 (m, 5H), 1.63- 1.52 (m, 3H), 1.28-1.24 (br m, 20H), 0.85 (t, J = 6.3 Hz, 3H)
B4
Figure US10226456-20190312-C00099
5681H NMR (300 MHz, DMSO-d6) δ 9.28 (s, 1H), 9.14 (br s, 1H), 6.67 (d, J = 8.1 Hz, 1H), 6.61 (d, J = 8.1 Hz, 1H), 6.21 (s, 1H), 5.52-5.49 (m, 1H), 4.95 (s, 1H), 3.62-3.60 (m, 1H), 3.41-3.33 (m, 1H), 3.11-3.02 (m, 2H), 2.84 (d, J = 4.8 Hz, 3H), 2.73-2.63 (m, 1H), 2.45-2.40 (m, 3H), 2.30-2.22 (m, 1H), 2.08-2.03 (m, 1H), 1.63-1.54 (m, 3H), 1.33-1.24 (br m, 28H), 0.85 (t, J = 6.3 Hz, 3H)
B5
Figure US10226456-20190312-C00100
4181H NMR (300 MHz, DMSO-d6) δ 12.7 (br s, 1H), 9.32 (s, 1H), 9.16 (s, 1H), 6.67 (d, J = 8.1 Hz, 1H), 6.62 (d, J = 8.1 Hz, 1H), 6.24 (s, 1H), 5.52 (dd, J = 5.9, 1.9 Hz, 1H), 4.95 (s, 1H), 4.35 (dd, J = 7.4, 5.0 Hz, 1H), 3.61 (d, J = 8.4 Hz, 1H), 3.13-3.00 (m, 2H), 2.90-2.80 (m, 4H), 2.74-2.59 (m, 2H), 2 50-2.40 (m, 1H), 2.27 (dd, J = 17.9, 6.1 Hz, 1H), 2.05 (d, J = 17.9 Hz, 1H), 1.62 (d, J = 10.9 Hz, 1H), one proton obscured by solvent peaks
B6
Figure US10226456-20190312-C00101
4451H NMR (300 MHz, DMSO-d6) δ 9.28 (s, 1H), 9.16 (br s, 1H), 8.10 (d, J = 7.1 Hz, 1H), 6.68 (d, J = 8.1 Hz, 1H), 6.62 (d, J = 8.1 Hz, 1H), 6.24 (s, 1H), 5.57-5.49 (m, 2H), 4.96 (s, 1H), 4.41-4.31 (m, 1H), 4.06-4.97 (m, 1H), 3.61 (d, J = 6.1 Hz, 1H), 3.36 (d, partially obscured by solvent peak, 1H), 3.11-3.01 (m, 2H), 2.84 (apparent d, J = 3.9 Hz, 3H), 2.69- 2.60 (m, 1H), 2.43 (dd, J = 13.1, 5.0 Hz, 1H), 2.27 (dd, J = 18.0, 6.0 Hz, 1H), 2.05 (d, J = 18.0 Hz, 1H), 1.62 (d, J = 10.7 Hz, 1H), 1.41 (d, J = 7.2 Hz, 3H), 1.22 (d, J = 6.8 Hz, 3H)
B7
Figure US10226456-20190312-C00102
4891H NMR (300 MHz, DMSO-d6) δ 8.54 (d, J = 6.8 Hz, 1H), 6.58 (d, J = 8.1 Hz, 1H), 6.53 (d, J = 8.1 Hz, 1H), 5.51 (dd, J = 5.6, 2.5 Hz, 1H), 4.83 (s, 1H), 4.37-4.27 (m, 1H), 4.22 (dd, J = 8.4, 4.3 Hz, 1H), 3.10 (d, J = 18.9 Hz, 1H), 2.93 (d, J = 5.6 Hz, 1H), 2.64 (dd, J = 18.9, 5.9 Hz, 1H), 2.48- 2.40 (m, 2H), 2.39 (s, 3H), 2.34-1.93 (m, 5H), 1.45-1.33 (m, 4H), CO2H and three OH protons not observed
B8
Figure US10226456-20190312-C00103
4361H NMR (300 MHz, DMSO-d6) δ 9.34 (s, 1H), 9.14 (br s, 1H), 7.50-7.41 9 m, 2H), 7.40-7.30 9 m, 3H), 6.68 (d, J = 8.1 Hz, 1H), 6.61 (d, J = 8.1 Hz, 1H), 6.25 (d, J = 5.4 Hz 1H), 6.21 (s, 1H), 5.32 (dd, J = 23.7, 3.9 Hz, 1H), 4.97 (s, 1H), 3.60 (d, J = 6.0 Hz, 1H), 3.09-3.00 (m, 2H), 2.83 (d, J = 4.2 Hz, 3H), 2.72-2.52 (m, 1H), 2.22 (dd, J = 18.3, 6.3 Hz, 1H), 2.01 (d, J = 17.7 Hz, 1H), 1.62 (d, J = 11.1 Hz, 1H)
B9
Figure US10226456-20190312-C00104
4181H NMR (300 MHz, DMSO-d6) δ 12.43 (br s, 1H), 9.30 (s, 1H), 9.16 (br s, 1H), 6.69-6.64 (m, 2H), 6.25 (s, 1H), 5.90 (s, 1H), 5.55 (s, 1H), 4.93 (s, 1H), 4.49 (s, 1H), 3.62 (s, 1H), 3.18-3.00 (m, 2H), 2.83 (s, 3H), 2.80-2.58 (m, 3H), 2.29-2.26 (m, 1H), 2.07 (d, J = 18.0 Hz, 1H), 1.62 (d, J = 13.2 Hz, 1H), two protons obscured by solvent peaks
B10
Figure US10226456-20190312-C00105
4891H NMR (300 MHz, DMSO-d6) δ 8.21 (d, J = 7.3 Hz, 1H), 6.57 (d, J = 8.1 Hz, 1H), 6.52 (d, J = 8.1 Hz, 1H), 5.51 (dd, J = 4.4, 2.8 Hz, 1H), 4.83 (s, 1H), 4.43-4.32 (m, 1H), 4.27 (dd, J = 8.8, 3.7 Hz, 1H), 3.08 (d, J = 18.6 Hz, 1H), 2.85 (d, J = 5.8 Hz, 1H), 2.65-2.54 (m, 2H), 2.48-2.38 (m, 1H), 2.34 (s, 3H), 2.30-2.17 (m, 2H), 2.10 (d, J = 8.7 Hz, 1H), 2.07-1.98 (m, 2H), 1.43-1.34 (m, 4H), CO2H, CF3CO2H, and three OH protons not observed
B11
Figure US10226456-20190312-C00106
4891H NMR (300 MHz, DMSO-d6) δ 8.08 (t, J = 5.6 Hz, 1H), 6.58 (d, J = 8.1 Hz, 1H), 6.53 (d, J = 8.1 Hz, 1H), 5.53 (dd, J = 5.5, 2.6 Hz, 1H), 4.85 (s, 1H), 4.22 (dd, J = 8.1, 4.5 Hz, 1H), 3.41-3.24 (m, 2H), 3.12 (d, J = 18.8 Hz, 1H), 2.95 (d, J = 6.0 Hz, 1H), 2.70-2.51 (m, 4H), 2.49-4.22 (m, 1H), 2.40 (s, 3H), 2.35-1.95 (m, 5H), 1.41 (d, J = 12.2 Hz, 1H), CO2H and three OH protons not observed
B12
Figure US10226456-20190312-C00107
5151H NMR (300 MHz, DMSO-d6) δ 6.58 (d, J = 8.1 Hz, 1H), 6.53 (d, J = 8.1 Hz, 1H), 5.51 (dd, J = 5.5, 2.5 Hz, 1H), 4.86-4.83 (m, 1H), 4.39 (dd, J = 8.7, 3.5 Hz, 1H), 4.29-4.24 (m, 1H), 3.65-3.54 (m, 2H), 3.10 (d, J = 18.8 Hz, 1H), 2.93 (d, J = 5.9 Hz, 1H), 2.69-2.60 (m, 3H), 2.39 (s, 3H), 2.30-2.20 (m, 2H), 2.15 (d, J = 13.4 Hz, 1H), 2.10-1.92 (m, 5H), 1.40 (d, J = 11.1 Hz, 1H), five protons not observed
B13
Figure US10226456-20190312-C00108
3961H NMR (300 MHz, DMSO-d6) δ 9.32 (s, 1H), 9.15 (br s, 1H), 7.37-7.28 (m, 1H), 6.67 (d, J = 8.1 Hz, 1H), 6.62 (d, J = 8.1 Hz, 1H), 6.38-6.35 (m, 2H), 6.24 (s, 1H), 5.98 (d, J = 15.0 Hz, 1H), 5.59-5.57 (m, 1H), 5.03 (s, 1H), 3.63-3.61 (m, 1H), 3.41-3.33 (m, 1H), 3.09-3.05 (m, 2H), 2.84 (d, J = 4.5 Hz, 3H), 2.67-2.60 (m, 1H), 2.49-2.41 (m, 1H), 2.31-2.23 (m, 1H), 2.11-2.05 (m, 1H), 1.85 (d, J = 4.5 Hz, 3H), 1.65-1.60 (m, 1H)
B14
Figure US10226456-20190312-C00109
4461H NMR (300 MHz, DMSO-d6) 9.29 (s, 1H), 9.15 (br s, 1H), 6.68 (d, J = 8.4 Hz, 1H), 6.62 (d, J = 8.1 Hz, 1H), 6.25 (br s, 1H), 5.59-5.55 (m, 1H), 5.50 (d, J = 5.7 Hz, 1H), 5.15 (q, J = 6.9 Hz, 1H), 4.96 (s, 1H), 4.29-4.20 (m, 1H), 3.62 (br s, 1H), 3.41-3.33 (m, 1H), 3.10-3.03 (m, 2H), 2.83 (s, 3H), 2.68-2.56 (m, 1H), 2.46-2.41 (m, 1H), 2.33-2.25 (m, 1H), 2.09- 2.03 (m, 1H), 1.64-1.60 (m, 1H), 1.53 (d, J = 6.9 Hz, 3H), 1.32 (d, J = 6.6 Hz, 3H)
B15
Figure US10226456-20190312-C00110
5101H NMR (300 MHz, DMSO-d6) δ 9.40 (br s, 1H), 9.18 (br s, 1H), 8.94 (br s, 1H), 8.82 (d, J = 7.2 Hz, 1H), 7.73 (br s, 3H), 7.47 (s, 1H), 6.70 (d, J = 8.1 Hz, 1H), 6.63 (d, J = 8.1 Hz, 1H), 6.27 (s, 1H), 5.53-5.51 (m, 1H), 4.91 (s, 1H), 4.69 (q, J = 7.2 Hz, 1H), 3.63 (d, J = 4.8 Hz, 1H), 3.39 (d, J = 19.8 Hz, 1H), 3.28-2.93 (m, 7H), 2.85 (s, 3H), 2.74-2.55 (m, 1H), 2.29 (dd, J = 17.7, 6.0 Hz, 1H), 2.04 (d, J = 18.0 Hz, 1H), three protons not observed
B16
Figure US10226456-20190312-C00111
5071H NMR (300 MHz, DMSO-d6) δ 9.29 (s, 1H), 9.17 (br s, 1H), 8.43 (d, J = 7.2 Hz, 1H), 7.47-7.10 (m, 5H), 6.65 (q, J = 8.1 Hz, 2H), 6.27-6.23 (m, 2H), 5.48 (dd, J = 6.0, 2.1 Hz, 1H), 4.95 (d, J = 4.5 Hz, 1H), 4.91 (s, 1H), 4.36 (m, 1H), 3.59 (m, 1H), 3.09-3.00 (m, 2H), 2.82 (s, 3H), 2.72-2.38 (m, 3H), 2.28-2.20 (m, 1H), 2.06-2.00 (m, 1H), 1.63-1.60 (m, 1H), 1.41 (d, J = 7.2 Hz, 3H)
B17
Figure US10226456-20190312-C00112
5071H NMR (300 MHz, DMSO-d6) δ 9.31 (s, 1H), 9.15 (s, 1H), 8.15 (t, J = 5.8 Hz, 1H), 7.41-7.37 (m, 2H), 7.33- 7.23 (m, 3H), 6.65 (q, J = 7.9 Hz, 2H), 6.22-6.20 (m, 2H), 5.46 (dd, J = 5.8, 1.9 Hz, 1H), 4.94 (s, 1H), 4.90 (d, J = 4.5 Hz, 1H), 3.60 (s, 1H), 3.40-3.32 (m, 2H), 3.13-3.00 (m, 2H), 2.83 (s, 3H), 2.62 (t, J = 7.0 Hz, 3H), 2.50-2.38 (m, 1H), 2.28-2.19 (m, 1H), 2.03 (d, J = 18.0 Hz, 1H), 1.61 (d, J = 12.3 Hz, 1H)
B18
Figure US10226456-20190312-C00113
4591H NMR (300 MHz, DMSO-d6) δ 9.32 (s, 1H), 9.16 (s, 1H), 7.78 (s, 3H), 6.66 (q, J = 10.5 Hz, 2H), 6.23 (s, 1H), 5.59 (dd, J = 6.0, 4.2 Hz, 1H), 5.17 (q, J = 6.9 Hz, 1H), 3.62 (m, 1H), 3.08 (m, 4H), 2.63-2.84 (m, 6H), 2.45-2.49 (m, 4H), 2.05 (d, J = 18.3 Hz, 1H), 1.61 (d, J = 12.3 Hz, 1H), 1.54 (d, J = 6.9 Hz, 3H)
B19
Figure US10226456-20190312-C00114
4871H NMR (300 MHz, DMSO-d6) δ 9.31 (s, 1H), 9.13 (br s, 1H), 8.32 (br s, 3H), 6.06 (apparent q, J = 9.6 Hz, 2H), 6.21 (br s, 1H), 5.60 (dd, J = 6.0, 2.1 Hz, 1H), 5.34 (q, J = 7.2 Hz, 1H), 4.96 (s, 1H), 4.11 (t, J = 6.6 Hz, 1H), 3.71-3.53 (m, 1H, partially obscured by water peak), 3.07-3.04 (m, 2H), 2.83 (s, 3H), 2.63-2.41 (m, 3H), 2.33-2.25 (m, 1H), 2.06 (d, J = 18.0 Hz, 1H), 1.91-1.57 (m, 4H), 1.58 (d, J = 7.2 Hz, 3H), 0.93 (t, J = 6.3 Hz, 6H)
B20
Figure US10226456-20190312-C00115
4451H NMR (300 MHz, DMSO-d6) δ 9.30 (s, 1H), 9.15 (s, 1H), 7.84 (t, J = 5.9 Hz, 1H), 6.67 (d, J = 8.1 Hz, 1H), 6.62 (d, J = 8.1 Hz, 1H), 6.23 (s, 1H), 5.56-5.51 (m, 2H), 4.96 (s, 1H), 4.00-3.91 (m, 1H), 3.61 (d, J = 5.4 Hz, 1H), 3.42-3.31 (m, 3H), 3.12- 3.00 (m, 2H), 2.83 (s, 3H), 2.62 (t, J = 6.9 Hz, 3H), 2.50-2.39 (m, 1H), 2.26 (dd, J = 17.7, 6.0 Hz, 1H), 2.06 (d, J = 17.7 Hz, 1H), 1.62 (d, J = 11.6 Hz, 1H), 1.20 (d, J 6.8 Hz, 3H)
B21
Figure US10226456-20190312-C00116
5071H NMR (300 MHz, DMSO-d6) δ 9.31 (s, 1H), 9.13 (s, 1H), 7.79 (s, 3H), 7.59-7.56 (m, 2H), 7.49-7.47 (m, 3H), 6.64 (q, J = 11.4 Hz, 2H), 6.23 (s, 1H), 6.15 (s, 1H), 5.59 (dd, J = 6.0, 2.1 Hz, 1H), 4.87 (s, 1H), 3.61 (m, 1H), 3.10 (m, 4H), 2.85-2.83 (m, 5H), 2.65-2.43 (m, 3H), 2.29-2.21 (m, 1H), 2.06 (d, J = 18.3 Hz, 1H), 1.62-1.58 (m, 1H)
B22
Figure US10226456-20190312-C00117
5211H NMR (300 MHz, DMSO-d6) δ 9.31 (s, 1H), 9.15 (s, 1H), 8.35 (s, 3H), 7.35-7.27 (m, 5H), 6.66 (apparent q, J = 9.6 Hz, 2H), 6.24 (s, 1H), 5.59 (dd, J = 6.0, 2.1 Hz, 1H), 5.30 (q, J = 7.2 Hz, 1H), 4.97 (s, 1H), 4.44 (t, J = 6.6 Hz, 1H), 3.62 (m, 1H), 3.25-3.05 (m, 5H), 2.84 (s, 3H), 2.64 (m, 1H), 2.29-2.26 (m, 1H), 2.07 (d, J = 18.3 Hz, 1H), 1.64-1.61 (m, 1H), 1.51 (d, J = 6.9 Hz, 3H), one proton obscured by solvent peaks
B23
Figure US10226456-20190312-C00118
5171H NMR (300 MHz, DMSO-d6) δ 9.28 (s, 1H), 9.15 (s, 1H), 7.79 (t, J = 6.0 Hz, 1H), 6.65 (apparent q, J = 8.4 Hz, 1H), 6.25 (s, 1H), 5.58 (dd, J = 6.0, 2.1 Hz, 1H), 5.11 (q, J = 7.2 Hz, 1H), 4.96 (s, 1H), 3.94 (m, 1H), 3.62 (m, 1H), 3.38 (m, 4H), 3.05 (m, 2H), 2.83 (s, 3H), 2.64 (m, 1H), 2.57 (t, J = 6.9 Hz, 2H), 2.42 (m, 2H), 2.29 (m, 1H), 2.06 (d, J = 18.0 Hz, 1H), 1.63 (d, J = 11.4 Hz, 1H), 1.52 (d, J = 9.6 Hz, 3H), 1.19 (d, J = 9.6 Hz, 3H)
B24
Figure US10226456-20190312-C00119
7121H NMR (300 MHz, DMSO-d6) δ 9.46 (broad s, 1.5H), 8.24-8.15 (m, 2H), 7.41-7.20 (m, 10H), 6.72 (d, J = 8.2 Hz, 1H), 6.66 (d, J = 8.2 Hz, 1H), 5.36 (dd, J = 6.3, 1.8 Hz, 1H), 5.03 (s, 1H), 4.92-4.90 (m, 2H), 4.68 (d, J = 6.3 Hz, 1H), 3.46-3.10 (m, 8H), 3 00-2.71 (m, 5H), 2.69-2.51 (m, 4H), 2.43-2.35 (m, 1H), 2.05 (d, J = 18.6 Hz, 1H), 1.76 (d, J = 12.6 Hz, 1H
B25
Figure US10226456-20190312-C00120
4891H NMR (300 MHz, DMSO-d6) δ 8.33 (br s, 3H), 6.63 (apparent q, J = 8.1 Hz, 2H), 5.58 (dd, J = 6.0, 2.1 Hz, 1H), 5.01 (q, J = 6.9 Hz, 1H), 4.88 (s, 1H), 3.71 (m, 1H), 3.55 (m, 1H), 3.04-2.97 (m, 4H), 2.79-2.72 (m, 4H), 2.63-2.40 (m, 2H), 2.28-2.22 (m, 1H), 2.04 (d, J = 18.3 Hz, 1H), 1.60 (d, J = 12.6 Hz, 1H), 1.52 (d, J = 6.9 Hz, 3H), CO2H and two OH protons not observed
B26
Figure US10226456-20190312-C00121
5881H NMR (300 MHz, DMSO-d6) δ 9.70-9.40 (m, 1.6H), 7.92-7.84 (m, 2H), 6.73 (d, J = 8.2 Hz, 1H), 6.67 (d, J = 8.2 Hz, 1H), 5.50 (dd, J = 6.3, 1.6 Hz, 1H), 5.06 (s, 1H), 4.73 (d, J = 5.7 Hz, 1H), 4.01-3.91 (m, 2H), 3.45- 3.13 (m, 10H), 3.17-2.89 (m, 4H), 2.87-2.70 (m, 1H), 2.69-2.52 (m, 4H), 2.47-2.36 (m, 1H), 2.09 (d, J = 18.6 Hz, 1H), 1.78 (d, J = 12.7 Hz, 1H), 1.21 (d, J = 2.7 Hz, 3H), 1.19 (d, J = 2.7 Hz, 3H)
B27
Figure US10226456-20190312-C00122
5591H NMR (300 MHz, DMSO-d6) δ 9.30 (s, 1H), 9.14 (br s,1H), 7.89 (d, J = 8.1 Hz, 1H), 6.66 (apparent q, J = 8.1 Hz, 1H), 6.23 (s, 1H), 5.58 (dd, J = 6.0, 2.1 Hz, 1H), 5.53 (br s, 1H), 5.15 (q, J = 6.9 Hz, 1H), 4.96 (s, 1H), 4.40 (m, 1H), 4.01 (m, 1H), 3.62 (m, 1H), 3.11-3.03 (m, 2H), 2.84 (d, J = 4.5 Hz, 3H), 2.65 (m, 1H), 2.43 (m, 2H), 2.27 (m, 1H), 2.06 (d, J = 17.7 Hz, 1H), 1.75-1.61 (m, 4H), 1.53 (d, J = 6.9 Hz, 3H), 1.21 (d, J = 6.9 Hz, 3H), 0.91 (d, J = 6.0 Hz, 3H), 0.86 (d, J = 5.7 Hz, 3H), one proton obscured by solvent peaks
B28
Figure US10226456-20190312-C00123
4891H NMR (300 MHz, DMSO-d6) δ 12.99 (br s, 1H), 9.29 (s, 1H), 9.16 (s, 1H), 8.05 (d, J = 8.4 Hz, 1H), 6.67 (d, J = 8.2 Hz, 1H), 6.63 (d, J = 8.2 Hz, 1H), 6 23 (s, 1H), 5.69 (br s, 1H), 5.52-5.49 (m, 1H), 4.94 (s, 1H), 4.72-4.64 (m, 1H), 4.02 (q, J = 6.8 Hz, 1H), 3.61 (d, J = 6.1 Hz, 1H), 3.13-3.00 (m, 3H), 3.00-2.87 (m, 2H), 2.87-2.78 (m, 3H), 2.78-2.55 (m, 1H), 2.48-2.38 (m, 1H), 2.27 (dd, J = 17.8, 6.1 Hz, 1H), 2.05 (d, J = 17.8 Hz, 1H), 1.62 (d, J = 12.0 Hz, 1H), 1.22 (d, J = 6.8 Hz, 1H), two protons obscured by solvent peaks
B29
Figure US10226456-20190312-C00124
4901H NMR (300 MHz, DMSO-d6) δ 6.57 (apparent q, J = 7.8 Hz, 2H), 5.56 (dd, J = 5.7, 2.4 Hz, 1H), 5.10 (q, J = 6.9 Hz, 1H), 4.84 (s, 1H), 4.24 (dd, J = 8.1, 4.2 Hz, 1H), 3.14 (d, J = 18.9 Hz, 1H), 3.01 (m, 1H), 2.79 (dd, J = 15.6, 4.2 Hz, 1H), 2.75-2.54 (m, 3H), 2.44 (s, 3H), 2.33-2.13 (m, 2H), 2.09-1.96 (m, 2H), 1.50 (d, J = 6.9 Hz, 3H), 1.42 (m, 1H), CO2H, HCl, and OH protons not observed
B30
Figure US10226456-20190312-C00125
5081H NMR (300 MHz, DMSO-d6) δ 9.26 (s, 1H), 9.13 (s, 1H), 7.60-7.56 (m, 2H), 7.49-7.46 (m, 3H), 6.64 (apparent q, J = 8.1 Hz, 2H), 6.24 (s, 1H), 6.14 (s, 1H), 5.60-5.54 (m, 2H), 4.87 (s, 1H), 4.31 (m, 1H), 3.03 (m, 1H), 2.82 (m, 3H), 2.64-2.39 (m, 3H), 2.30-2.22 (m, 1H), 2.05 (d, J = 18.0 Hz, 1H), 1.59 (d, J = 11.4 Hz, 3H), 1.38 (d, J = 6.9 Hz, 3H)
B31
Figure US10226456-20190312-C00126
7021H NMR (300 MHz, DMSO-d6) δ 9.25 (s, 1H), 9.13 (s, 1H), 7.58-7.55 (m, 2H), 7.47-7.44 (m, 3H), 6.63 (q, J = 8.1 Hz, 2H), 6.23 (s, 1H), 6.09 (s, 1H), 5.58 (dd, J = 8.3, 2.1 Hz, 1H), 4.86 (s, 1H), 3.06 (m, 1H), 2.82 (d, J = 4.8 Hz, 3H), 2.64-2.22 (m, 6H), 2.05 (m, 1H), 2.58 (m, 3H), 1.23 (m, 30H 0.85 (t, J = 6.9 Hz, 3H)
B32
Figure US10226456-20190312-C00127
6761H NMR (300 MHz, DMSO-d6) δ 12.97 (br s, 1H), 9.40 (br s, 2H), 8.10 (d, J = 8.4 Hz, 1H), 7.95 (d, J = 8.0 Hz, 1H), 6.72 (d, J = 8.2 Hz, 1H), 6.66 (d, J = 8.2 Hz, 1H), 5.42 (dd, J = 6.1, 1.7 Hz, 1H), 5.01 (s, 1H), 4.76- 4.60 (m, 3H), 4.06-3.98 (m, 2H), 2.30-3.10 (m, 4H), 3.09-2.56 (m, 10H), 2.48-2.33 (m, 2H), 2.11 (d, J = 19.0 Hz, 1H), 1.78 (d, J = 12.8 Hz, 1H), 1.21 (d, J = 6.8 Hz, 6H)
B33
Figure US10226456-20190312-C00128
5081H NMR (300 MHz, DMSO-d6) δ 9.29 (s, 1H), 9.14 (s, 1H), 7.46-7.43 (m, 2H), 7.38-7.27 (m, 3H), 6.64 (apparent q, J = 8.1 Hz, 2H), 6.21 (s, 1H), 6.16 (d, J = 5.7 Hz, 1H), 5.49 (dd, J = 5.7, 2.1 Hz, 1H), 5.24-5.15 (m, 2H), 4.82 (s, 1H), 3.06 (m, 1H), 2.83 (d, J = 4.2 Hz, 3H), 2.63-2.22 (m, 6H), 2.03 (d, J = 18.0 Hz, 1H), 1.60 (d, J = 10.2 Hz, 1H), 1.50 (d, J = 6.9 Hz, 3H)
B34
Figure US10226456-20190312-C00129
4741H NMR (300 MHz, DMSO-d6) δ 9.26 (br s, 1H), 6.66 (d, J = 8.2 Hz, 1H), 6.60 (d, J = 8.2 Hz, 1H), 5.57 (dd, J = 5.8, 2.0 Hz, 1H), 5.11 (q, J = 7.0 Hz, 1H), 4.92 (s, 1H), 3.02-2.78 (m, 2H), 2.8-2.58 (m, 5H), 2.50-2.31 (m, 1H), 2.24 (dd, J = 17.8, 5.4 Hz, 1H), 2.04 (d, J = 19.9 Hz, 1H), 1.57 (d, J = 11.3 Hz, 1H), 1.51 (d, J = 7.0 Hz, 3H), CO2H and OH protons not observed, five protons obscured by solvent peaks
B35
Figure US10226456-20190312-C00130
5361H NMR (300 MHz, DMSO-d6) δ 7.59-7.51 (m, 2H), 7.50-7.40 (m, 3H), 6.57 (d, J = 8.1 Hz, 1H), 6.51 (d, J = 8.1 Hz, 1H), 6.07 (s, 1H), 5.55 (dd, J = 5.5, 2.6 Hz, 1H), 4.70 (s, 1H), 3.20-3.03 (m, 2H), 3.84 (d, J = 6.0 Hz, 1H), 2.74-2.63 (m, 2H), 2.62 - 2.54 (m, 3H), 2.43 (dd, J = 10.9, 3.6 Hz, 1H), 2.32 (s, 3H), 2.19 (dd, J = 12.3, 4.5 Hz, 1H), 2.13-1.93 (m, 3H), 1.36 (d, J = 10.8 Hz, 1H), CO2H and OH protons not observed
B36
Figure US10226456-20190312-C00131
5341H NMR (300 MHz, DMSO-d6) δ 9.44 (br s, 1H), 9.31 (br s, 1H), 9.15 (br s, 1H), 6.75-6.58 (m, 3H), 5.46-5.41 (m, 2H), 5.02 (s, 1H), 4.69 (d, J = 5.9 Hz, 1H), 4.25-4.33 (m, 3H), 3.60- 2.60 (m, 11H), 2.47-2.37 (m, 1H), 2.10 (d, J = 19.3 Hz, 1H), 1.77 (d, J = 11.4 Hz, 1H)
B37
Figure US10226456-20190312-C00132
5521H NMR (300 MHz, DMSO-d6) δ 7.59-7.54 (m, 2H), 7.48-7.44 (m, 3H), 6.55 (apparent q, J = 7.8 Hz, 2H), 6.08 (s, 1H), 5.56 (dd, J = 5.7, 2.4 Hz, 1H), 4.74 (s, 1H), 4.26 (dd, J = 8.4, 4.2 Hz, 1H), 3.15 (s, 1H), 3.09 (s, 1H), 2.97 (d, J = 5.7 Hz, 1H), 2.88 (dd, J = 15.9, 4.2 Hz, 1H), 2.73-1.95 (m, 6H), 2.41 (s, 3H), 1.40 (d, J = 11.1 Hz, 1H), CO2H, HCl, and three OH protons not observed
B38
Figure US10226456-20190312-C00133
6401H NMR (300 MHz, DMSO-d6) δ 9.27 (s, 1H), 9.13 (s, 1H), 6.65 (apparent q, J = 8.1 Hz, 2H), 6.23 (s, 1H), 5.57 (dd, J = 6.3, 2.1 Hz, 1H), 5.09 (q, J = 6.9 Hz, 1H), 4.95 (s, 1H), 3.09 (m, 1H), 2.84 (d, J = 3.9 Hz, 3H), 2.63- 2.26 (m, 5H), 2.05 (d, J = 18.0 Hz, 1H), 1.64-1.49 (m, 7H), 1.23 (m, 30H), 0.85 (t, J = 6.6 Hz, 3H)
B39
Figure US10226456-20190312-C00134
7001H NMR (300 MHz, DMSO-d6) δ 9.25 (s, 1H), 9.12 (s, 1H), 7.58-7.54 (m, 2H), 7.48-7.45 (m, 3H), 6.64 (q, J = 8.1 Hz, 2H), 6.23 (s, 1H), 6.09 (s, 1H), 5.58 (dd, J = 8.3, 2.1 Hz, 1H), 5.32 (t, J = 4.8 Hz, 2H), 4.86 (s, 1H), 3.04 (m, 1H), 2.82 (d, J = 4.8 Hz, 3H), 2.64-2.22 (m, 3H), 2.08-1.96 (m, 5H), 1.60-1.40 (m, 4H), 1.23 (m, 24H), 0.85 (t, J = 6.9 Hz, 3H)
B40
Figure US10226456-20190312-C00135
4901H NMR (300 MHz, DMSO-d6) δ 12.39 (br s, 1H), 9.30 (s, 1H), 9.17 (s, 1H), 6.69 (d, J = 8.1 Hz, 1H), 6.62 (d, J = 8.1 Hz, 1H), 6.28 (s, 1H), 5.84 (br s, 1H), 5.59 (dd, J = 5.9, 2.0 Hz, 1H), 5.17 (q, J = 7.0 Hz, 1H), 4.97 (s, 1H), 4.47 (dd, J = 8.6, 4.0 Hz, 1H), 3.63 (d, J = 6.2 Hz, 1H), 3.13-3.00 (m, 2H), 2.84 (d, J = 3.3 Hz, 3H), 2.72 (dd, J = 16.0, 4.2 Hz, 1H), 2.69-2.57 (m, 1H), 2.50-2.40 (m, 1H), 2.29 (dd, J = 18.0, 6.0 Hz, 1H), 2.06 (d, J = 18.0 Hz, 1H), 1.62 (d, J = 11.2 Hz, 1H), 1.53 (d, J = 7.0 Hz, 3H), two protons obscured by solvent peaks
B41
Figure US10226456-20190312-C00136
7121H NMR (300 MHz, DMSO-d6) δ 9.27 (s, 1H), 9.13 (s, 1H), 6.65 (apparent q, J = 8.1 Hz, 2H), 6.23 (s, 1H), 5.58 (dd, J = 6.3, 2.1 Hz, 1H), 5.23 (q, J = 6.9 Hz, 1H), 5.08 (q, J = 7.2 Hz, 1H), 4.95 (s, 1H), 3.06 (m, 1H), 2.83 (d, J = 4.8 Hz, 3H), 2.63-2.25 (m, 5H), 2.06 (d, J = 17.4 Hz, 1H), 1.64-1.46 (m, 10H), 1.23 (m, 30H), 0.85 (t, J = 6.9 Hz, 3H)
B42
Figure US10226456-20190312-C00137
6381H NMR (300 MHz, DMSO-d6) δ 9.27 (s, 1H), 9.14 (s, 1H), 6.65 (apparent q, J = 8.1 Hz, 2H), 6.23 (s, 1H), 5.57 (dd, J = 5.7, 2.1 Hz, 1H), 5.32 (t, J = 4.5 Hz, 2H), 5.09 (q, J = 7.2 Hz, 1H), 4.95 (s, 1H), 3.09 (m, 1H), 2.83 (d, J = 4.5 Hz, 3H), 2.67-2.24 (m, 7H), 2.09-1.95 (m, 5H), 1.64-1.49 (m, 6H), 1.25 (m, 21H), 0.85 (t, J = 6.3 Hz, 3H)
B43a
Figure US10226456-20190312-C00138
5081H NMR (300 MHz, DMSO-d6) δ 12.23 (br s, 1H), 9.30 (s, 1H), 9.15 (s, 1H), 7.97 (t, J = 6.0 Hz, 1H), 6.64 (apparent q, J = 8.1 Hz, 2H), 6.22 (s, 1H), 5.85 (s, 1H), 5.55 (dd, J = 6.0, 2.1 Hz, 1H), 4.96 (s, 1H), 4.22 (dd, J = 8.7, 3.6 Hz, 1H), 3.62-3.43 (m, 5H), 3.11-3.02 (m, 1H), 2.84 (d, J = 4.8 Hz, 3H), 2.66-2.60 (m, 4H), 2.49- 2.23 (m, 3H), 2.05 (d, J = 17.7 Hz, 1H), 1.62 (d, J = 10.5 Hz, 1H)
B43b
Figure US10226456-20190312-C00139
4711H NMR (300 MHz, DMSO-d6) 12.86 (br s, 1H), 9.30 (s, 1H), 9.15 (s, 1H), 8.65 (t, J = 5.5 Hz, 1H), 6.92 (d, J = 15.5 Hz, 1H), 6.68 (d, J = 8.1 Hz, 1H), 6.62 (d, J = 8.1 Hz, 1H), 6.53 (d, J = 15.5 Hz, 1H), 6.21 (s, 1H), 5.55 (dd, J = 6.0, 2.0 Hz, 1H), 4.96 (s, 1H), 3.61 (d, J = 6.3 Hz, 1H), 3.50-3.42 (m, 2H), 3.13-3.01 (m, 3H), 2.84 (d, J = 4.7 Hz, 3H), 2.70-2.62 (m, 3H), 2.50- 2.40 (m, 1H), 2.32-2.22 (m, 1H), 2.06 (d, J = 17.5 Hz, 1H), 1.62 (d, J = 11.3 Hz, 1H)
B44
Figure US10226456-20190312-C00140
6801H NMR (300 MHz, DMSO-d6) δ 12.75 (br s, 1H), 9.26 (s, 1H), 9.13 (s, 1H), 6.64 (apparent q, J = 8.1 Hz, 2H), 6.23 (s, 1H), 5.59 (dd, J = 6.0, 2.1 Hz, 1H), 5.40 (dd, J = 7.8, 4.2 Hz, 1H), 5.32 (t, J = 4.5 Hz, 2H), 4.93 (s, 1H), 3.62-3.41 (m, 1H), 3.04-2.88 (m, 4H), 2.84 (d, J = 4.5 Hz, 3H), 2.66-2.24 (m, 6H), 2.09-1.97 (m, 4H), 1.64-1.52 (m, 3H), 1.25 (m, 23H), 0.85 (t, J = 6.9 Hz, 3H)
B45
Figure US10226456-20190312-C00141
6821H NMR (300 MHz, DMSO-d6) δ 12.77 (s, 1H), 9.26 (s, 1H), 9.14 (s, 1H), 6.65 (q, J = 8.1 Hz, 2H), 6.24 (s, 1H), 5.59 (dd, J = 6.0, 2.1 Hz, 1H), 5.40 (dd, J = 7.8, 4.2 Hz, 1H), 4.92 (s, 1H), 3.04-2.83 (m, 6H), 2.63-2.24 (m, 6H), 2.06 (d, J = 18.0 Hz, 1H), 1.64-1.52 (m, 3H), 1.25 (m, 31H), 0.85 (t, J = 6.9 Hz, 3H)
B46
Figure US10226456-20190312-C00142
4161H NMR (300 MHz, DMSO-d6) δ 9.28 (s, 1H), 9.14 (s, 1H), 6.65 (q, J = 8.1 Hz, 2H), 6.25 (s, 1H), 5.58 (dd, J = 6.0, 2.1 Hz, 1H), 5.08 (q, J = 6.9 Hz, 1H), 4.95 (s, 1H), 3.05 (m, 1H), 2.83 (d, J = 4.2 Hz, 3H), 2.67-2.24 (m, 6H), 2.11-2.03 (m, 4H), 1.62 (d, J = 12.6 Hz, 1H), 1.51 (d, J = 7.2 Hz, 3H)
B47
Figure US10226456-20190312-C00143
4881H NMR (300 MHz, DMSO-d6) δ 9.27 (s, 1H), 9.14 (s, 1H), 6.65 (q, J = 8.1 Hz, 2H), 6.24 (s, 1H), 5.58 (dd, J = 5.7, 1.8 Hz, 1H), 5.23 (q, J = 6.9 Hz, 1H), 5.07 (q, J = 7.2 Hz, 1H), 4.95 (s, 1H), 3.05 (m, 1H), 2.82 (s, 3H), 2.63- 2.24 (m, 6H), 2.08-2.03 (m, 4H), 1.62 (d, J = 12.3 Hz, 1H), 1.54 (d, J = 7.2 Hz, 3H), 1.47 (d, J = 7.2 Hz, 3H)
B48
Figure US10226456-20190312-C00144
5501H NMR (300 MHz, DMSO-d6) δ 9.25 (s, 1H), 9.12 (s, 1H), 7.60-7.55 (m, 2H), 7.52-7.46 (m, 3H), 6.65 (q, J = 8.1 Hz, 2H), 6.24 (s, 1H), 6.21 (s, 1H), 5.58 (dd, J = 6.0, 2.1 Hz, 1H), 5.15 (q, J = 6.9 Hz, 1H), 4.86 (s, 1H), 3.03 (m, 1H), 2.82 (s, 3H), 2.63-2.22 (m, 6H), 2.08-2.02 (m, 4H), 1.62 (d, J = 13.5 Hz, 1H), 1.54 (d, J = 7.2 Hz, 3H)
B49
Figure US10226456-20190312-C00145
5301H NMR (300 MHz, DMSO-d6) δ 12.82 (s, 1H), 9.27 (s, 1H), 9.15 (s, 1H), 6.65 (apparent q, J = 8.1 Hz, 2H), 6.25 (s, 1H), 5.59 (dd, J = 6.0, 2.1 Hz, 1H), 5.50 (t, J = 5.4 Hz, 1H), 5.08 (q, J = 7.2 Hz, 1H), 4.91 (s, 1H), 3.04 (m, 1H), 2.95 (d, J = 6.0 Hz, 2H), 2.84 (d, J = 4.5 Hz, 3H), 2.67- 2.25 (m, 8H), 2.08-2.03 (m, 4H), 1.62 (d, J = 11.7 Hz, 1H), 1.46 (d, J = 6.9 Hz, 3 H)
B50
Figure US10226456-20190312-C00146
7101H NMR (300 MHz, DMSO-d6) δ 9.27 (s, 1H), 9.14 (s, 1H), 6.65 (apparent q, J = 8.1 Hz, 2H), 6.23 (s, 1H), 5.57 (dd, J = 6.3, 2.1 Hz, 1H), 5.32 (t, J = 4.5 Hz, 1H), 5.22 (q, J = 6.9 Hz, 1H), 5.08 (q, J = 7.2 Hz, 1H), 4.95 (s, 1H), 3.06 (m, 1H), 2.84 (d, J = 4.5Hz, 3H), 2.63-2.25 (m, 8H), 2.09-1.95 (m, 4H), 1.64-1.46 (m, 10H), 1.23 m, 21H), 0.85 (t, J = 6.6 Hz, 3H)
B51
Figure US10226456-20190312-C00147
5361H NMR (300 MHz, DMSO-d6) δ 9.30 (s, 1H), 9.15 (br s, 1H), 7.50-7.44 (m, 2H), 7.44-7.40 (m, 3H), 6.68 (d, J = 8.2 Hz, 1H), 6.62 (d, J = 8.2 Hz, 1H), 6.22 (s, 1H), 5.85 (s, 1H), 5.49 (dd, J = 6.0, 1.9 Hz, 1H), 4.93 (s, 1H), 3.61 (d, J = 6.3 Hz, 1H), 3.12-3.01 (m, 2H), 2.84 (s, 3H), 2.79-2.70 (m, 4H), 2.70-2.58 (m, 1H), 2.42 (dd, J = 13.3, 4.7 Hz, 1H), 2.25 (dd, J = 17.1, 7.1 Hz, 1H), 2.04 (d, J = 17.1 Hz, 1H), 1.61 (d, J = 11.2 Hz, 1H), CO2H proton not observed, one proton obscured by solvent peaks
B52
Figure US10226456-20190312-C00148
4781H NMR (300 MHz, DMSO-d6) δ 9.29 (s, 1H), 9.15 (br s, 1H), 7.60-7.51 (m, 2H), 7.51-7.43 (m, 3H), 6.68 (d, J = 8.1 Hz, 1H), 6.61 (d, J = 8.1 Hz, 1H), 6.27 (s, 1H), 6.08 (s, 1H), 5.58 (dd, J = 6.0, 1.9 Hz, 1H), 4.87 (s, 1H), 3.61 (d, J = 6.1 Hz, 1H), 3.11-3.00 (m, 2H), 2.83 (d, J = 4.6 Hz, 3H), 2.70- 2.55 (m, 1H), 2.42 (dd, J = 12.8, 4.2 Hz, 1H), 2.26 (dd, J = 18.0, 6.1 Hz, 1H), 2.17 (s, 3H), 2.05 (d, J = 18.0 Hz, 1H), 1.60 (d, J = 11.1 Hz, 1H), one proton obscured by solvent peaks
B53
Figure US10226456-20190312-C00149
6761H NMR (300 MHz, DMSO-d6) δ 9.55 (br s, 2H), 8.03-7.97 (m, 2H), 6.73 (d, J = 8.2 Hz, 1H), 6.66 (d, J = 8.2 Hz, 1H), 5.50 (dd, J = 6.7, 1.8 Hz, 1H), 5.06 (s, 1H), 4.73 (d, J = 6.0 Hz, 1H), 4.26-4.21 (m, 2H), 3.45-3.13 (m, 10H), 3.08-2.90 (m, 4H), 2.86- 2.70 (m, 1H), 2.70-2.53 (m, 5H), 2.45-2.25 (m, 3H), 2.09 (d, J = 18.6 Hz, 1H), 1.78 (d, J = 13.5 Hz, 1H), CO2H protons not observed
B54
Figure US10226456-20190312-C00150
5181H NMR (300 MHz, DMSO-d6) δ 12.3 (s, 1H), 12.6 (s, 1H), 9.30 (s, 1H), 9.14 (s, 1H), 6.65 (apparent q, J = 8.1 Hz, 2H), 6.22 (s, 1H), 5.53 (dd, J = 6.3, 2.1 Hz, 1H), 5.23 (dd, J = 7.8, 4.5 Hz, 1H), 4.95 (s, 1H), 3.06 (m, 1H), 2.91-2.66 (m, 11H), 2.47 (m, 3H), 2.27 (m, 1H), 2.06 (d, J = 18.0 Hz, 1H), 1.63 (d, J = 11.7 Hz, 1H)
B55
Figure US10226456-20190312-C00151
4601H NMR (300 MHz, DMSO-d6) δ 13.4 (br s, 1H), 9.29 (s, 1H), 9.14 (br s, 1H), 6.65 (apparent q, J = 8.1 Hz, 2H), 6.24 (s, 1H), 5.55 (dd, J = 5.7, 2.1 Hz, 1H), 5.28 (dd, J = 8.4, 4.5 Hz, 1H), 4.96 (s, 1H), 3.12-2.94 (m, 4H), 2.84 (d, J = 3.6 Hz, 3H), 2.67-2.42 (m, 4H), 2.27 (dd, J = 17.7, 6.0 Hz, 1H), 2.09-2.03 (m, 4H), 1.63 (d, J = 11.7 Hz, 1H)
B56
Figure US10226456-20190312-C00152
5501H NMR (300 MHz, DMSO-d6) δ 9.30 (br s, 1H), 9.16 (br s, 1H), 7.53-7.49 (m, 2H), 7.42-7.39 (m, 3H), 6.68 (d, J = 8.2 Hz, 1H), 6.63 (d, J = 8.2 Hz, 1H), 6.25 (s, 1H), 6.06 (s, 1H), 5.46 (dd, J = 5.9, 2.0 Hz, 1H), 5.26 (q, J = 7.1 Hz, 1H), 4.79 (s, 1H), 6.61 (d, J = 6.1 Hz, 1H), 3.36 (d, J = 20.0 Hz, 1H), 3.12-3.01 (m, 2H), 2.87-2.82 (m, 3H), 2.69-2.57 (m, 1H), 2.41 (dd, J = 13.2, 4.7 Hz, 1H), 2.26 (dd, J = 18.0, 6.2 Hz, 1H), 2.13 (s, 3H), 2.03 (d, J = 18.0 Hz, 1H), 1.59 (d, J = 10.9 Hz, 1H), 1.50 (d, J = 7.1 Hz, 3H)
B57
Figure US10226456-20190312-C00153
4741H NMR (300 MHz, DMSO-d6) δ 13.05 (br s, 1H), 9.33 (br s, 1H), 9.18 (br s, 1H), 6.68 (d, J = 8.2 Hz, 1H), 6.62 (d, J = 8.2 Hz, 1H), 6.28 (s, 1H), 5.52 (dd, J = 5.7, 1.8 Hz, 1H), 4.98- 4.89 (m, 2H), 3.63 (d, J = 6.2 Hz, 1H), 3.37 (d, J = 19.9 Hz, 1H), 3.13- 3.00 (m, 2H), 3.84 (s, 3H), 2.76-2.55 (m, 5H), 2.43 (dd, J = 13.2, 4.6 Hz, 1H), 2.27 (dd, J = 17.9, 6.1 Hz, 1H), 2.05 (d, J = 16.2 Hz, 1H), 1.62 (d, J = 11.0 Hz, 1H), 1.40 (d, J = 7.1 Hz, 3H)
B58
Figure US10226456-20190312-C00154
5311H NMR (300 MHz, DMSO-d6) δ 9.28 (br s, 1H), 9.16 (br s, 1H), 8.45 (d, J = 8.3 Hz, 1H), 6.68 (d, J = 8.2 Hz, 1H), 6.63 (d, J = 8.2 Hz, 1H), 6.24 (s, 1H), 5.52 (dd, J = 5.9, 1.9 Hz, 1H), 4.98 (q, J = 6.8 Hz, 1H), 4.93 (s, 1H), 4.65 (q, J = 6.9 Hz, 1H), 3.61 (d, J = 6.3 Hz, 1H), 3.11-2.93 (m, 3H), 2.91- 2.74 (m, 4H), 2.70-2.58 (m, 1H), 2.48-2.39 (m, 1H), 2.28 (dd, J = 17.7, 6.2 Hz, 1H), 2.06 (d, J = 14.0 Hz, 1H), 1.62 (d, J = 11.0 Hz, 1H), 1.33 (d, J = 6.9 Hz, 3H), CO2H proton not observed, four protons obscured by solvent peaks
B59
Figure US10226456-20190312-C00155
8001H NMR (300 MHz, DMSO-d6, Mixture of diastereomers) δ 9.35 (s, 1H), 8.48 (d, J = 8.4 Hz, 0.18H), 8.43 (d, J = 8.3 Hz, 0.82H), 8.25 (d, J = 7.2 Hz, 1H), 7.44-7.17 (m, 10H), 6.69 (d, J = 8.2 Hz, 1H), 6.63 (d, J = 8.2 Hz, 1H), 6.41-6.30 (m, 2H), 5.34 (d, J = 5.9 Hz, 0.18H), 5.25 (d, J = 4.5 Hz, 0.82H), 5.00-4.89 (m, 3H), 4.74-4.47 (m, 3H), 3.18-2.94 (m, 4H), 2.93-2.67 (m, 8H), 2.45-2.43 (m, 2H), 2.09-1.98 (m, 1H), 1.73- 1.61 (m, 1H), CO2H protons not observed
B60
Figure US10226456-20190312-C00156
5181H NMR (300 MHz, DMSO-d6) δ 13.2 (br s, 1H), 12.6 (br s, 1H), 9.30 (s, 1H), 9.17 (br s, 1H), 6.64 (q, J = 8.1 Hz, 2H), 6.24 (br s, 1H), 5.53 (dd, J = 6.3, 2.1 Hz, 1H), 5.22 (dd, J = 7.8, 4.5 Hz, 1H), 4.95 (s, 1H), 3.41-3.32 (m, 1H), 3.04 (m, 1H), 2.86-2.61 (m, 10H), 2.51-2.42 (m, 3H), 2.26 (m, 1H), 2.06 (d, J = 18.0 Hz, 1H), 1.62 (d, J = 10.8 Hz, 1H)
B61a
Figure US10226456-20190312-C00157
5511H NMR (300 MHz, DMSO-d6) δ 13.01 (br s,1H), 9.30 (br s, 1H), 9.15 (br s, 1H), 8.37 (d, J = 8.3 Hz, 1H), 7.46-7.18 (m, 5H), 6.68 (d, J = 8.1 Hz, 1H), 6.62 (d, J = 8.1 Hz, 1H), 6.38 (br s, 1H), 6.21 (s, 1H), 5.35 (d, J = 4.2 Hz, 1H), 4,96 (s, 1H), 4.89 (s, 1H), 4.67 (q, J = 6.3 Hz, 1H), 3.64- 3.58 (m, 1H), 3.18-2.79 (m, 8H), 2.77-2.60 (m, 2H), 2.30-2.18 (dd, J = 17.6, 6.1 Hz, 1H), 2.03 (d, J = 18.32 Hz, 1H), 1.62 (d, J = 12.2 Hz, 1H)
B61b
Figure US10226456-20190312-C00158
6071H NMR (300 MHz, DMSO-d6) δ 9.29 (br s, 1H), 9.14 (br s, 1H), 8.41 (d, J = 8.1 Hz, 1H), 7.43-7.38 (m, 2H), 7.34-7.24 (m, 3H), 6.68 (d, J = 8.1 Hz, 1H), 6.63 (d, J = 8.1 Hz, 1H), 6.32 (br s, 1H), 6.22 (s, 1H), 5.41- 5.39 (m, 1H), 4.96 (s, 1H), 4.90 (s, 1H), 4.61-4.52 (m, 1H), 3.63-3.59 (m, 1H), 3.12-2.95 (m, 3H), 2.88- 2.78 (m, 4H), 2.70-2.59 (m, 1H), 2.45-2.40 (m, 1H), 2.25 (dd, J = 17.5, 6.3 Hz, 1H), 2.04 (d, J = 18.6 Hz, 1H), 1.62 (d, J = 11.6 Hz, 1H), 1.33 (s, 9H), one proton obscured by solvent peaks
B62
Figure US10226456-20190312-C00159
5321H NMR (300 MHz, DMSO-d6) δ 6.55 (apparent q, J = 8.1 Hz, 2H), 5.56 (dd, J = 5.7, 2.4 Hz, 1H), 5.35 (dd, J = 9.0, 3.6 Hz, 1H), 5.23 (q, J = 8.1 Hz, 1H), 3.09 (d, J = 18.6 Hz, 1H), 2.94-2.72 (m, 3H), 2.60 (dd, J = 18.6, 6.3 Hz, 1H), 2.51-2.44 (m, 4H), 2.35 (s, 3H), 2.27 (m, 1H), 2.13-2.00 (m, 6H), 1.53 (d, J = 6.9 Hz, 3H), 1.39 (d, J = 10.8 Hz, 1H), CO2H proton not observed
B63
Figure US10226456-20190312-C00160
4181H NMR (300 MHz, DMSO-d6) δ 12.7 (s, 1H), 9.31 (s, 1H), 9.15 (br s, 1H), 6.65 (apparent q, J = 7.8 Hz, 2H), 6.22 (s, 1H), 5.64 (s, 1H), 5.52 (dd, J = 6.0, 2.1 Hz, 1H), 4.95 (s, 1H), 4.35 (m, 1H), 3.41-3.33 (m, 2H), 3.03 (m, 1H), 2.89 (d, J = 4.5 Hz, 1H), 2.83 (s, 3H), 2.72-2.61 (m, 1H), 2.44-2.42 (m, 1H), 2.27 (m, 1H), 2.06 (d, J = 17.7 Hz, 3H), 1.63 (d, J = 10.8 Hz, 1H)
B64
Figure US10226456-20190312-C00161
5031H NMR (300 MHz, DMSO-d6) δ 12.3 (br s, 1H), 9.32 (br s, 1H), 9.16 (br s, 1H), 8.44 (br s, 3H), 6.66 (apparent q, J = 8.1 Hz, 2H), 6.25 (s, 1H), 5.61 (dd, J = 6.0, 2.1 Hz, 1H), 5.34 (q, J = 7.2 Hz, 1H), 4.99 (s, 1H), 4.23 (m, 1H), 3.62 (m, 3H), 3.08 (m, 1H), 2.84 (s, 3H), 2.63-2.26 (m, 4H), 2.11-2.05 (m, 3H), 1.76 (m, 1H), 1.63-1.58 (m, 4H)
B65
Figure US10226456-20190312-C00162
6881H NMR (300 MHz, DMSO-d6) δ 9.26 (s, 1H), 9.14 (br s, 1H), 6.65 (apparent q, J = 8.1 Hz, 2H), 6.23 (s, 1H), 5.62 (dd, J = 6.0, 2.4 Hz, 1H), 5.52 (dd, J = 7.2, 4.5 Hz, 1H), 5.36 (dd, J = 8.7, 3.9 Hz, 1H), 4.92 (s, 1H), 3.62-3.31 (m, 1H), 3.11-3.01 (m, 2H), 2.97-2.63 (m, 8H), 2.47-2.27 (m, 2H), 2.08-2.03 (m, 4H), 1.63 (m, 1H), 1.44 (s, 9H), 1.39 (s, 9H), one proton obscured by solvent peaks
B66
Figure US10226456-20190312-C00163
5181H NMR (300 MHz, DMSO-d6) δ 9.34 (s, 1H), 9.15 (br s, 1H), 6.68 (d, J = 8.1 Hz, 1H), 6.63 (d, J = 8.1 Hz, 1H), 6.29 (br s, 1H), 5.77 (d, J = 2.8 Hz, 1H), 5.68 (d, J = 2.8 Hz, 1H), 5.52 (d, J = 4.1 Hz, 1H), 4.83 (s, 1H), 3.62 (d, J = 6.0 Hz, 1H), 3.12-3.01 (m, 3H), 2.83 (s, 3H), 2.70-2.56 (m, 1H), 2.46-2.39 (m, 1H), 2.28 (dd, J = 17.7, 6.0 Hz, 1H), 2.19 (s, 3H), 2.15 (s, 3H), 2.07 (d, J = 16.4 Hz, 1H), 1.62 (d, J = 11.2 Hz, 1H), CO2H proton not observed
B67
Figure US10226456-20190312-C00164
5941H NMR (300 MHz, DMSO-d6) δ 9.30 (s, 1H), 9.15 (s, 1H), 7.51-7.39 (m, 5H), 6.68 (d, J = 8.1 Hz, 1H), 6.63 (d, J = 8.1 Hz, 1H), 6.27 (s, 1H), 5.92- 5.87 (m, 1H), 5.61-5.47 (m, 2H), 4.94 (m, 0.7H), 4.90 (s, 0.3H), 3.62 (d, J = 6.4 Hz, 1H), 3.24-3.01 (m, 5H), 2.83 (s, 3H), 2.71-2.56 (m, 1H), 2.48-2.36 (m, 1H), 2.33-2.21 (m, 1H), 2.12- 2.02 (m, 4H), 1.66-1.57 (m, 1H), CO2H proton not observed
B68
Figure US10226456-20190312-C00165
4901H NMR (300 MHz, DMSO-d) δ 13.1 (br s, 1H), 9.30 (s, 1H), 9.14 (br s, 1H), 6.64 (apparent q, J = 8.1 Hz, 2H), 6.22 (s, 1H), 5.96 (d, J = 6.3 Hz, 1H), 5.55 (dd, J = 6.0, 1.8 Hz, 1H), 5.03-4.97 (m, 2H), 4.52 (m, 1H), 3.41-3.33 (m, 1H), 3.04 (m, 1H), 2.95 (dd, J = 15.9, 4.2 Hz, 1H), 2.84 (s, 3H), 2.73-2.64 (m, 2H), 2.51-2.42 (m, 3H), 2.27 (m, 1H), 2.05 (d, J = 17.7 Hz, 1H), 1.63 (m, 1H), 1.42 (d, J = 6.9 Hz, 3H)
B69
Figure US10226456-20190312-C00166
5941H NMR (300 MHz, DMSO-d6) δ 9.30 (br s, 1H), 9.15 (br s, 1H), 7.52-7.39 (m, 5H), 6.68 (d, J = 8.2 Hz, 1H), 6.63 (d, J = 8.2 Hz, 1H), 6.23 (s, 1H), 5.97 (s, 1H), 5.57-5.47 (m, 2H), 4.96 (s, 1H), 6.31 (d, J = 6.0 Hz, 1H), 3.12-3.00 (m, 4H), 2.84 (s, 3H), 2.71-2.49 (m, 1H), 2.50-2.40 (m, 1H), 2.34-2.21 (m, 1H), 2.15-2.00 (m, 4H), 1.63 (d, J = 11.8 Hz, 1H), CO2H proton not observed
B70
Figure US10226456-20190312-C00167
5321H NMR (300 MHz, DMSO-d6) δ 13.3 (br s, 1H), 9.29 (s, 1H), 9.15 (br s, 1H), 6.65 (apparent q, J = 8.1 Hz, 2H), 6.24 (s, 1H), 5.58 (dd, J = 5.7, 2.1 Hz, 1H), 5.27 (dd, J = 8.4, 4.5 Hz, 1H), 5.18 (q, J = 6.9 Hz, 1H), 4.97 (s, 1H), 3.11-2.96 (m, 4H), 2.83 (d, J = 3.9 Hz, 3H), 2.73-2.41 (m, 4H), 2.29 (m, 1H), 2.09-2.04 (m, 4H), 1.63 (m, 1H), 1.52 (d, J = 7.2 Hz, 3H)
B71
Figure US10226456-20190312-C00168
4601H NMR (300 MHz, DMSO-d6) δ 12.8 (br s, 1H), 9.29 (s, 1H), 9.16 (br s, 1H), 6.65 (apparent q, J = 8.1 Hz, 2H), 6.26 (s, 1H), 5.60 (dd, J = 5.7, 2.1 Hz, 1H), 5.39 (dd, J = 7.2, 4.2 Hz, 1H), 4.92 (s, 1H), 3.62-3.34 (m, 1H), 3.11-2.83 (m, 7H), 2.73-2.39 (m, 3H), 2.29 (m, 1H), 2.11 (s, 3H), 2.06 (m, 1H), 1.62 (m, 1H)
B72
Figure US10226456-20190312-C00169
5941H NMR (300 MHz, DMSO-d6) δ 12.8 (br s, 1H), 9.34 (s, 1H), 9.27 (br s, 1H), 7.60-7.54 (m, 2H), 7.49-7.45 (m, 3H), 6.68 (d, J = 8.1 Hz, 1H), 6.66 (d, J = 8.1 Hz, 1H), 6.24 (s, 2H), 5.58 (dd, J = 5.7, 2.1 Hz, 1H), 5.44 (dd, J = 9.0, 3.6 Hz, 1H), 4.86 (s, 1H), 3.40-3.33 (m, 2H), 3.07-2.99 (m, 2H), 2.89-2.82 (m, 4H), 2.63-2.39 (m, 4H), 2.25 (m, 1H), 2.09-2.02 (m, 3H), 1.59 (m, 1H)
B73
Figure US10226456-20190312-C00170
6521H NMR (300 MHz, DMSO-d6) δ 9.35 (s, 1H), 9.15 (br s, 1H), 7.46-7.40 (m, 5H), 6.68 (d, J = 8.2 Hz, 1H), 6.63 (d, J = 8.2 Hz, 1H), 6.30 (s, 1H), 6.01 (s, 1H), 5.96 (d, J = 2.7 Hz, 1H), 5.86 (d, J = 2.7 Hz, 1H), 5.56-5.51 (m, 1H), 4.83 (s, 1H), 3.62 (d, J = 6.2 Hz, 1H), 3.11-3.01 (m, 1H), 3.83 (s, 3H), 2.70-2.54 (m, 1H), 2.49-2.39 (m, 1H), 2.32-2.16 (m, 5H), 2.07 (d, J = 18.0 Hz, 1H), 2.01 (s, 3H), 1.62 (d, J = 12.0 Hz, 1H), CO2H proton not observed
B74
Figure US10226456-20190312-C00171
5031H NMR (300 MHz, DMSO-d6) δ 9.30 (br s, 1H), 9.16 (br s, 1H), 8.27 (br s, 3H), 6.66 (apparent q, J = 8.1 Hz, 2H), 6.26 (s, 1H), 5.58 (dd, J = 6.0, 2.1 Hz, 1H), 5.13 (q, J = 4.2 Hz, 1H), 4.96 (s, 1H), 3.96 (m, 1H), 3.44 (m, 2H), 3.05 (m, 1H), 2.84 (s, 3H), 2.73- 2.41 (m, 5H), 2.28 (m, 1H), 2.18-2.00 (m, 3H), 1.62 (m, 1H), 1.53 (d, J = 7.2 Hz, 3H), CO2H proton not observed
B75
Figure US10226456-20190312-C00172
5321H NMR (300 MHz, DMSO-d6) δ 13.2 (br s, 1H), 9.29 (s, 1H), 9.15 (br s, 1H), 6.65 (apparent q, J = 8.1 Hz, 2H), 6.23 (s, 1H), 5.58 (dd, J = 6.3, 2.1 Hz, 1H), 5.42 (dd, J = 9.3, 3.6 Hz, 1H), 5.09-4.97 (m, 2H), 3.43-3.33 (m, 1H), 3.18 (dd, J = 17.1, 3.6 Hz, 1H), 3.11-2.93 (m, 3H), 2.84 (s, 3H), 2.73-2.42 (m, 3H), 2.28 (m, 1H), 2.13-2.04 (m, 4H), 1.63 (m, 1H), 1.43 (d, J = 7.2 Hz, 3H)
B76
Figure US10226456-20190312-C00173
6521H NMR (300 MHz, DMSO-d6) δ 13.51 (br s, 1H), 9.33 (s, 1H), 9.15 (br s, 1H), 7.51-7.40 (m, 5H), 6.67 (d, J = 8.2 Hz, 1H), 6.62 (d, J = 8.2 Hz, 1H), 6.30 (s, 1H), 6.03 (d, J = 2.7 Hz, 1H), 5.98-5.94 (m, 2H), 5.56- 5.53 (m, 1H), 4.83 (s, 1H), 3.62 (d, J = 6.0 Hz, 1H), 3.40-3.33 (m, 1H), 3.12-3.02 (m, 2H), 3.83 (apparent d, J = 3.5 Hz, 3H), 2.67-2.56 (m, 1H), 2.47-2.38 (m, 1H), 2.31-2.21 (m, 4H), 2.11 (s, 3H), 2.08 (d, J = 17.7 Hz, 1H), 1.63 (d, J = 11.1 Hz, 1H)
B77
Figure US10226456-20190312-C00174
4341H NMR (300 MHz, CD3OD) δ 6.65- 6.57 (m, 2H), 5.55 (dd, J = 5.4, 2.8 Hz, 1H), 4.99 (s, 1H), 4.65 (d, J = 2.2 Hz, 1H), 4.53 (d, J = 2.2 Hz, 1H), 3.56 (d, J = 6.5 Hz, 1H), 3.35 (d, J = 20.0 Hz, 1H), 3.13-3.03 (m, 2H), 2.83 (s, 3H), 2.82-2.74 (m, 1H), 2.57 (dt, J = 13.4, 4.9 Hz, 1H), 2.25-2.17 (m, 2H), 1.71 (dd, J = 13.5, 3.0 Hz, 1H), CO2H, CF3CO2H, and four OH protons not observed
B78
Figure US10226456-20190312-C00175
5181H NMR (300 MHz, DMSO-d6) δ 9.24 (br s, 1H), 9.16 (br s, 1H), 6.87 (d, J = 8.2 Hz, 1H), 6.62 (d, J = 8.2 Hz, 1H), 6.30 (s, 1H), 5.82 (d, J = 2.9 Hz, 1H), 5.60 (dd, J = 6.0, 1.9 Hz, 1H), 5.56 (d, J = 2.9 Hz, 1H), 4.94 (s, 1H), 3.63 (d, J = 6.0 Hz, 1H), 3.42-3.30 (m, 1H), 3.11-3.02 (m, 2H), 2.84 (apparent d, J = 3.8 Hz, 3H), 2.70- 2.56 (m, 1H), 2.48-2.39 (m, 1H), 2.28 (d, J = 18.0, 6.1 Hz, 1H), 2.18 (s, 3H), 2.15 (s, 3H), 2.11-2.02 (m, 1H), 1.63 (d, J = 11.3 Hz, 1H), CO2H proton not observed
B79
Figure US10226456-20190312-C00176
6341H NMR (300 MHz, DMSO-d6) δ 9.35 (s, 1H), 9.15 (br s, 1H), 6.64 (apparent q, J = 8.1 Hz, 2H), 6.27 (br s, 1H), 5.85 (d, J = 2.7 Hz, 1H), 5.77 (d, J = 2.7 Hz, 1H), 5.53 (dd, J = 5.7, 1.8 Hz, 1H), 5.29 (dd, J = 8.4, 3.9 Hz, 1H), 4.83 (s, 1H), 3.32 (m, 1H), 3.03 (m, 1H), 2.90-2.63 (m, 6H), 2.51- 2.41 (m, 3H), 2.27 (m, 1H), 2.21 (s, 3H), 2.13 (s, 3H), 2.04 (m, 1H), 1.62 (m, 1H), CO2H protons not observed
B80
Figure US10226456-20190312-C00177
5461H NMR (300 MHz, DMSO-d6) δ 12.30 (br s, 1H), 9.30 (br s, 1H), 9.17 (br s, 1H), 6.68 (d, J = 8.2 Hz, 1H), 6.63 (d, J = 8.2 Hz, 1H), 6.27 (s, 1H), 5.60 (dd, J = 6.0, 1.9 Hz, 1H), 5.45 (t, J = 5.9 Hz, 1H), 4.93 (s, 1H), 4.14 (q, J = 7.1 Hz, 2H), 3.62 (d, J = 6.0 Hz, 1H), 3.14-2.98 (m, 4H), 2.84 (apparent d, J = 4.7 Hz, 3H), 2.70- 2.57 (m, 3H), 2.43 (dd, J = 13.3, 4.5 Hz, 1H), 2.28 (dd, J = 17.9, 6.0 Hz, 1H), 2.05 (d, J = 17.9 Hz, 1H), 1.63 (d, J = 11.1 Hz, 1H), 1.21 (t, J = 7.1 Hz, 3H), three protons obscured by solvent peaks
B81
Figure US10226456-20190312-C00178
5901H NMR (300 MHz, DMSO-d6) δ 9.37 (br s, 1H), 9.17 (br s, 1H), 6.68 (d, J = 8.2 Hz, 1H), 6.63 (d, J = 8.2Hz, 1H), 6.33 (br s, 1H), 5.89 (d, J = 2.7 Hz, 1H), 5.85 (d, J = 2.7 Hz, 1H), 5.55- 5.53 (m, 1H), 5.05 (q, J = 7.0 Hz, 1H), 4.84 (s, 1H), 3.63 (d, J = 6.2 Hz, 1H), 3.11-3.03 (m, 2H), 3.83 (apparent d, J = 1.8 Hz, 3H), 2.71- 2.57 (m, 1H), 2.47-2.39 (m, 1H), 2.43 (dd, J = 18.0, 6.3 Hz, 1H), 2.22 (s, 3H), 2.15 (s, 3H), 2.07 (d, J = 18.0 Hz, 1H), 1.62 (d, J = 11.2 Hz, 1H), 1.39 (d, J = 7.0 Hz, 3H), CO2H proton not observed
B82
Figure US10226456-20190312-C00179
5901H NMR (300 MHz, DMSO-d6) δ 13.9 (br s, 1H), 9.29 (br s, 1H), 9.17 (br s 1H), 6.68 (d, J = 8.2 Hz, 1H), 6.63 (d, J = 8.2 Hz, 1H), 6.26 (s, 1H), 5.72 (d, J = 2.8 Hz, 1H), 5.62 (d, J = 2 8 Hz, 1H), 5.59 (dd, J = 6.0, 2.2 Hz, 1H), 5.28 (q, J = 7.0 Hz, 1H), 5.00 (s, 1H), 3.62 (d, J = 6.3 Hz, 1H), 3.37 (d, J = 20.0 Hz, 1H), 3.13-3.01 (m, 2H), 2.83 (apparent d, J = 4.6 Hz, 3H), 2.70-2.57 (m, 1H), 2.43 (dd, J = 14.5, 4.7 Hz, 1H), 2.29 (dd, J = 17.9, 6.4 Hz, 1H), 2.14 (s, 3H), 2.11-2.02 (m, 4H), 1.63 (d, J = 10.8 Hz, 1H), 1.50 (d, J = 7.0 Hz, 3H)
B83
Figure US10226456-20190312-C00180
4891H NMR (300 MHz, DMSO-d6) δ 9.15 (br s, 2H), 8.44 (br s, 2H), 6.66 (apparent q, J = 8.1 Hz, 2H), 6.26 (s, 2H), 5.59 (m, 1H), 5.33 (q, J = 7.2 Hz, 1H), 4.98 (s, 1H), 4.45 (m, 1H), 3.35 (m, 2H), 3.11-2.88 (m, 4H), 2.84 (s, 3H), 2.73-2.42 (m, 3H), 2.29 (m, 1H), 2.06 (m, 1H), 1.64-1.53 (m, 4H)
B84
Figure US10226456-20190312-C00181
6761H NMR (300 MHz, DMSO-d6) δ 12.5 (br s, 2H), 9.51-9.28 (m, 2H), 8.13 (t, J = 5.7 Hz, 1H), 8.02 (t, J = 5.5 Hz, 1H), 6.72 (d, J = 8.2 Hz, 1H), 6.66 (d, J = 8.2 Hz, 1H), 5.50 (dd, J = 6.6, 1.7 Hz, 1H), 5.06 (s, 1H), 4.78-4.65 (m, 1H), 4.32-4.27 (m, 2H), 3.56-3.43 (m, 2H), 3.40-3.15 (m, 6H), 3.08- 2.88 (m, 4H), 2.87-2.69 (m, 2H), 2.67-2.57 (m, 3H), 2.48-2.30 (m, 4H), 2.08 (d, J = 18.8 Hz, 1H), 1.78 (d, J = 12.9 Hz, 1H), two protons obscured by solvent peaks
B85
Figure US10226456-20190312-C00182
5941H NMR (300 MHz, DMSO-d6) δ 13.4 (br s, 1H), 9.28 (s, 1H), 9.14 (br s, 1H), 7.59-7.54 (m, 2H), 7.52-7.45 (m, 3H), 6.64 (apparent q, J = 8.1 Hz, 2H), 6.25 (s, 1H), 6.17 (s, 1H), 5.60 (dd, J = 5.7, 2.1 Hz, 1H), 5.31 (dd, J = 8.7, 3.9 Hz, 1H), 4.87 (s, 1H), 3.62- 3.33 (m, 2H), 3.14-2.96 (m, 4H), 2.82 (d, J = 4.2 Hz, 3H), 2.64-2.38 (m, 2H), 2.25 (m, 1H), 2.09-2.02 (m, 4H), 1.60 (m,1H)
B86
Figure US10226456-20190312-C00183
6341H NMR (300 MHz, DMSO-d6) δ 13.5 (br s, 1H), 12.8 (br s, 1H), 9.36 (s, 1H), 9.16 (br s, 1H), 6.65 (apparent q, J = 8.1 Hz, 2H), 6.28 (br s, 1H), 5.82 (d, J = 2.4 Hz, 1H), 5.78 (d, J = 2.4 Hz, 1H), 5.54 (dd, J = 6.0, 1.8 Hz, 1H), 5.35 (dd, J = 7.5, 3.9 Hz, 1H), 4.84 (s, 1H), 3.62-3.34 (m, 2H), 3.02 (m, 1H), 2.93-2.72 (m, 5H), 2.63- 2.40 (m, 3H), 2.27 (m, 1H), 2.22 (s, 3H), 2.11 (s, 3H), 2.07 (m, 1H), 1.62 (m, 1H)
B87
Figure US10226456-20190312-C00184
6151H NMR (300 MHz, DMSO-d6) δ 9.30 (s, 1H), 9.16 (br s, 1H), 8.05-7.98 (m, 2H), 7.64 (br s, 3H), 6.65 (apparent q, J = 8.1 Hz, 2H), 6.25 (s, 2H), 5.58 (dd, J = 5.7, 1.8 Hz, 1H), 5.10 (q, J = 7.2 Hz, 1H), 4.96 (s, 1H),4.15 (m, 1H), 3.67-3.27 (m, 4H), 3.11-3.03 (m, 2H), 2.84 (d, J = 4.8 Hz, 3H), 2.78-2.72 (m, 2H), 2.67-2.46 (m, 2H), 2.29 (m, 1H), 2.06 (m, 1H), 1.84 (s, 3H), 1.65-1.25 (m, 11H)
B88
Figure US10226456-20190312-C00185
5061H NMR (300 MHz, DMSO-d6) δ 12.83 (br s, 1H), 9.30 (br s, 1H), 9.17 (br s, 1H), 6.69 (d, J = 8.1 Hz, 1H), 6.63 (d, J = 8.1 Hz, 1H), 6.27 (s, 1H), 5.60 (dd, J = 6.0, 2.0 Hz, 1H), 5.18 (q, J = 7.0 Hz, 1H), 4.99 (s, 1H), 4.48 (d, J = 2.2 Hz, 1H), 4.39 (d, J = 2.1 Hz, 1H), 3.63 (d, J = 6.3 Hz, 1H), 3.38 (d, J = 20.0 Hz, 1H), 3.14-3.00 (m, 2H), 2.84 (apparent d, J = 4.2 Hz, 3H), 2.70-2.57 (m, 1H), 2.44 (dd, J = 13.6, 4.9 Hz, 1H), 2.29 (dd, J = 17.9, 6.1 Hz, 1H), 2.07 (d, J = 17.9 Hz, 1H), 1.63 (d, J = 11.3 Hz, 1H), 1.53 (d, J = 7.0 Hz, 3H), two protons obscured by solvent peaks
B89
Figure US10226456-20190312-C00186
4901H NMR (300 MHz, DMSO-d6) δ 9.30 (s, 1H), 9.14 (br s, 1H), 6.64 (apparent q, J = 8.4 Hz, 2H), 6.24 (br s, 1H), 5.97 (d, J = 6.0 Hz, 1H), 5.57 (d, J = 3.9 Hz, 1H), 5.00-4.93 (m, 2H), 4.53 (m, 1H), 3.41-3.33 (m, 2H), 3.05 (m, 1H), 2.89-2.72 (m, 6H), 2.63- 2.41 (m, 3H), 2.27 (m, 1H), 2.07 (m, 1H), 1.62 (m, 1H), 1.40 (d, J = 7.2 Hz, 3H)
B90
Figure US10226456-20190312-C00187
5581H NMR (300 MHz, DMSO-d6) δ 9.31 (s, 1H), 9.16 (br s, 1H), 8.62 (t, J = 5.4 Hz, 1H), 8.09 (br s, 3H), 6.65 (apparent q, J = 8.1 Hz, 2H), 6.24 (s, 1H), 5.58 (dd, J = 6.0, 2.1 Hz, 1H), 5.12 (q, J = 6.9 Hz, 1H), 4.96 (s, 1H), 3.67-3.27 (m, 4H), 3.05 (m, 1H), 2.84 (d, J = 4.8 Hz, 3H), 2.63-2.41 (m, 6H), 2.28 (m, 1H), 2.05 (m, 1H), 1.64- 1.52 (m, 7H), 0.89 (dd, J = 6.0, 2.1 Hz, 6H)
B91
Figure US10226456-20190312-C00188
6151H NMR (300 MHz, DMSO-d6) δ 9.30 (s, 1H), 9.16 (br s, 1H), 8.43 (d, J = 6.3 Hz, 1H), 7.99 (d, J = 7.8 Hz, 1H), 7.61 (br s, 3H), 6.65 (apparent q, J = 8.1 Hz, 2H), 6.22 (s, 1H), 5.57 (dd, J = 6.0, 2.1 Hz, 1H), 5.14 (q, J = 6.9 Hz, 1H), 4.35-4.30 (m, 3H), 3.46- 3.33 (m, 2H), 3.11 (m, 1H), 2.84 (d, J = 5.1 Hz, 3H), 2.74-2.41 (m, 3H), 2.27 (m, 1H), 2.07 (m, 1H), 1.84 (s, 3H), 1.64-1.32 (m, 14H)
B92
Figure US10226456-20190312-C00189
5681H NMR (300 MHz, DMSO-d6) δ 12.86 (br s, 1H), 9.30 (br s, 1H), 9.14 (br s, 1H), 7.62-7.56 (m, 2H), 7.50- 7.43 (d, 3H), 6.68 (d, J = 8.1 Hz, 1H), 6.62 (d, J = 8.1 Hz, 1H), 6.27 (s, 1H), 6.16 (s, 1H), 5.61 (dd, J = 6.0, 2.0 Hz, 1H), 4.90 (s, 1H), 4.58 (d, J = 2.0 Hz, 1H), 4.38 (d, J = 2.3 Hz, 1H), 3.61 (d, J = 6.2 Hz, 1H), 3.37 (d, J = 19.8 Hz, 1H), 3.13-3.00 (m, 2H), 2.83 (d, J = 4.3 Hz, 3H), 2.68-2.56 (m, 1H), 2.41 (dd, J = 13.0, 4.7 Hz, 1H), 2.26 (dd, J = 18.0, 6.2 Hz, 1H), 2.07 (d, J = 18.0 Hz, 1H), 1.60 (d, J = 10.8 Hz, 1H), two protons obscured by solvent peaks
B93
Figure US10226456-20190312-C00190
5061H NMR (300 MHz, DMSO-d6) δ 13.4 (br s, 1H), 9.32 (s, 1H), 9.17 (br s, 1H), 6.69 (d, J = 8.2 Hz, 1H), 6.63 (d, J = 8.2 Hz, 1H), 6.26 (s, 1H), 5.83 (br s, 2H), 5.56 (dd, J = 5.9, 1.9 Hz, 1H), 5.03 (s, 1H), 4.99 (q, J = 7.1 Hz, 1H), 4.62 (s, 1H), 4.56 (s, 1H), 3.62 (d, J = 6.1 Hz, 1H), 3.38 (d, J = 20.0 Hz, 1H), 3.13-3.01 (m, 2H), 2.84 (apparent d, J = 4.1 Hz, 3H), 2.71- 2.58 (m, 1H), 2.45 (dd, J = 14.1, 5.6 Hz, 1H), 2.30 (dd, J = 18.0, 6.1 Hz, 1H), 2.06 (d, J = 18.0 Hz, 1H), 1.64 (d, J = 10.7 Hz, 1H), 1.43 (d, J = 7.1 Hz, 3H)
B94
Figure US10226456-20190312-C00191
5421H NMR (300 MHz, DMSO-d6) δ 9.31 (s, 1H), 9.19 (br s, 2H), 8.61 (t, J = 5.7 Hz, 1H), 8.54 (br s, 1H), 6.66 (apparent q, J = 8.1 Hz, 2H), 6.25 (s, 1H), 5.58 (dd, J = 6.0, 2.1 Hz, 1H), 5.12 (q, J = 6.9 Hz, 1H), 4.96 (s, 1H), 4.13-3.03 (m, 10H), 2.84 (d, J = 4.5 Hz, 3H), 2.64-2.19 (m, 5H), 2.05 (m, 1H), 1.92-1.77 (m, 3H), 1.62 (m, 1H), 1.53 (d, J = 7.2 Hz, 3H)
B95a
Figure US10226456-20190312-C00192
5681H NMR (300 MHz, DMSO-d6) δ 13.38 (br s,1H), 9.32 (s, 1H), 9.17 (br s, 1H), 7.54-7.47 (m, 2H), 7.47- 7.39 (m, 3H), 6.69 (d, J = 8.2 Hz, 1H), 6.63 (d, J = 8.2 Hz, 1H), 6.26 (s, 1H), 5.99-5.80 (m, 3H), 5.54 (dd, J = 6.1, 2.0 Hz, 1H), 5.02 (s, 1H), 4.67 (d, J = 1.6 Hz, 1H), 4.59 (d, J = 1.5 Hz, 1H), 3.62 (d, J = 7.1 Hz, 1H), 3.38 (d, J = 18.7 Hz, 1H), 3.13-3.00 (m, 2H), 2.84 (s, 3H), 2.70-2.57 (m, 1H), 2.43 (dd, J = 14.2, 5.5 Hz, 1H), 2.28 (dd, J = 17.5, 6.2 Hz, 1H), 2.05 (d, J = 17.7 Hz, 1H), 1.63 (d, J = 10.5 Hz, 1H)
B95b
Figure US10226456-20190312-C00193
5681H NMR (300 MHz, DMSO-d6) δ 13.28 (br s, 1H), 9.32 (s, 1H), 9.15 (br s, 1H), 7.56-7.47 (m, 2H), 7.47- 7.37 (m, 3H), 6.68 (d, J = 8.2 Hz, 1H), 6.63 (d, J = 8.2 Hz, 1H), 6.29 (br s, 1H), 5.94-5.89 (m, 3H), 5.56-5.35 (m, 1H), 5.03 (s, 1H), 4.70 (s, 1H), 4.64 (dd, J = 8.0, 2.4 Hz, 1H), 3.61 (d, J = 5.6 Hz, 1H), 3.41-3.38 (m, 1H), 3.14-2.99 (m, 2H), 2.83 (s, 3H), 2.71-2.58 (m, 1H), 2.47-2.38 (m, 1H), 2.27 (dd, J = 17.4, 6.5 Hz, 1H), 2.05 (d, J = 18.0 Hz, 1H), 1.63 (d, J = 12.8 Hz, 1H)
B96
Figure US10226456-20190312-C00194
5581H NMR (300 MHz, DMSO-d6) δ 9.32 (s, 1H), 9.15 (br s, 1H), 8.93 (d, J = 6.9 Hz, 1H), 8.13 (br s, 3H), 6.65 (apparent q, J = 8.1 Hz, 2H), 6.24 (s, 1H), 5.58 (dd, J = 6.0, 2.1 Hz, 1H), 5.19 (q, J = 6.9 Hz, 1H), 4.95 (s, 1H), 4.47 (m, 1H), 3.75 (m, 1H), 3.64-3.52 (m, 2H), 3.05 (m, 1H), 2.84 (d, J = 4.5 Hz, 3H), 2.73-2.41 (m, 3H), 2.27 (m, 1H), 2.07 (m, 1H), 1.73-1.51 (m, 7H), 1.41 (d, J = 7.5 Hz, 3H), 0.91 (t, J = 6.6 Hz, 6H)
B97
Figure US10226456-20190312-C00195
5741H NMR (300 MHz, DMSO-d6) δ 12.35 (br s, 1H), 9.32 (s, 1H), 9.17 (br s, 1H), 8.61 (t, J = 5.4 Hz, 1H), 8.14 (br s, 3H), 6.66 (apparent q, J = 8.1 Hz, 2H), 6.26 (s, 1H), 5.58 (dd, J = 6.0, 2.1 Hz, 1H), 5.11 (q, J = 7.2 Hz, 1H), 4.96 (s, 1H), 3.74 (m, 1H), 3.67-3.27 (m, 4H), 3.06 (m, 1H), 2.84 (s, 3H), 2.63-2.41 (m, 5H), 2.32-2.26 (m, 3H), 2.05 (m, 1H), 1.96-1.88 (m, 2H), 1.62 (m, 1H), 1.53 (d, J = 7.2 Hz, 3H)
B98
Figure US10226456-20190312-C00196
5421H NMR (300 MHz, DMSO-d6) δ 9.32 (s, 1H), 9.25 (br s, 1H), 9.17 (br s, 1H), 8.97 (d, J = 6.6 Hz, 1H), 8.56 (br s, 1H), 6.66 (apparent q, J = 8.1 Hz, 2H), 6.25 (s, 1H), 5.58 (dd, J = 6.0, 2.4 Hz, 1H), 5.18 (q, J = 6.9 Hz, 1H), 4.95 (s, 1H), 4.44 (m, 1H), 4.21 (m, 1H), 3.67-3.03 (m, 4H), 2.84 (d, J = 4.5 Hz, 3H), 2.72-2.41 (m, 3H), 2.31-2.27 (m, 2H), 2.07 (m, 1H), 1.91-1.84 (m, 3H), 1.62 (m, 1H), 1.54 (d, J = 7.2 Hz, 3H), 1.41 (d, J = 7.2 Hz, 3H)
B99
Figure US10226456-20190312-C00197
5921H NMR (300 MHz, DMSO-d6) δ 9.32 (s, 1H), 9.16 (br s, 1H), 8.49 (t, J = 5.4 Hz, 1H), 8.19 (br s, 3H), 7.37- 7.24 (m, 5H), 6.65 (apparent q, J = 8.1 Hz, 2H), 6.25 (s, 1H), 5.57 (dd, J = 5.7, 1.8 Hz, 1H), 5.08 (q, J = 6.9 Hz, 1H), 3.94 (m, 1H), 3.64-3.16 (m, 6H), 3.11-2.92 (m, 4H), 2.84 (d, J = 3.3 Hz, 3H), 2.73-2.24 (m, 3H), 2.28 (m, 1H), 2.05 (m, 1H), 1.61 (m, 1H), 1.53 (d, J = 7.2 Hz, 3H)
In further embodiments, the abuse-resistant opioid compound may be selected from one or more of:
Ex,
No.StructureName
C1 
Figure US10226456-20190312-C00198
(S)-(4R,4aS,7aR,12bS)-4a- Hydroxy-9-methoxy-3-methyl- 2,3,4,4a,5,7a- hexahydro-1H-4,12- methanobenzofuro[3,2-e] isoquinolin-7-yl 2-(((S)-2- ((S)-2-acetamido-4- methylpentanamido) propanoyl)oxy)propanoate
C2 
Figure US10226456-20190312-C00199
(S)-(4R,4aS,7aR,12bS)-4a- Hydroxy-9-methoxy-3-methyl- 2,3,4,4a,5,7a- hexahydro-1H-4,12- methanobenzofuro [3,2-e]isoquinolin-7-yl 2- (((S)-2-((S)-2-amino-4- methylpentanamido) propanoyl)oxy)propanoate
C3 
Figure US10226456-20190312-C00200
(S)-(4R,4aS,7aR,12bS)-4a- Hydroxy-9-methoxy-3-methyl- 2,3,4,4a,5,7a- hexahydro-1H-4,12- methanobenzofuro [3,2-e]isoquinolin-7-yl 2- (((S)-2-((S)-2-amino-3- phenylpropanamido) propanoyl)oxy)propanoate
C4 
Figure US10226456-20190312-C00201
(S)-2-amino-5-(((S)-1-(((S)- 1-(((4R,4aS,7aR,12bS)-4a- hydroxy-9-methoxy-3- methyl-2,3,4,4a,5,7a- hexahydro-1H-4,12- methanobenzofuro[3,2-e] isoquinolin-7-yl)oxy)- 1-oxopropan-2-yl)oxy)- 1-oxopropan-2-yl)amino)-5- oxopentanoic acid
C5 
Figure US10226456-20190312-C00202
(2R,3R)-2,3-diacetoxy-4- ((S)-2-(((4R,4aS,7aR,12bS)- 4a-hydroxy-9-methoxy-3- methyl-2,3,4,4a,5,7a- hexahydro-1H-4,12- methanobenzofuro[3,2- e]isoquinolin-7-yl)oxy)-2- oxo-1-phenylethoxy)-4- oxobutanoic acid
C6 
Figure US10226456-20190312-C00203
(S)-(S)-1-(((S)-1-(((4R,4aS, 7aR,12bS)-4a-hydroxy-9- methoxy-3-methyl-2,3,4, 4a,5,7a-hexahydro-1H-4,12- methanobenzofuro[3,2-e] isoquinolin-7-yl)oxy)-1- oxopropan-2-yl)oxy)-1- oxopropan-2-yl 2-acetamido- 6-aminohexanoate
C7 
Figure US10226456-20190312-C00204
(S)-(4R,4aS,7aR,12bS)-4a- hydroxy-9-methoxy-3- methyl-2,3,4,4a,5,7a- hexahydro-1H-4,12- methanobenzofuro[3,2-e] isoquinolin-7-yl 2-(((S)-2- ((S)-2-acetamidopropanamido) propanoyl)oxy)propanoate
C8 
Figure US10226456-20190312-C00205
(S)-(4R,4aS,7aR,12bS)-4a- hydroxy-9-methoxy-3-methyl- 2,3,4,4a,5,7a-hexahydro- 1H-4,12-methanobenzofuro [3,2-e]isoquinolin- 7-yl 2-(((S)-2-((S)- 2-acetamido-2- phenylacetamido) propanoyl)oxy) propanoate
C9 
Figure US10226456-20190312-C00206
(S)-2-(((S)-2-acetoxy-4- (((4R,4aS,7aR,12bS)-4a- hydroxy-9-methoxy-3-methyl- 2,3,4,4a,5,7a-hexahydro- 1H-4,12-methanobenzofuro [3,2-e]-isoquinolin-7-yl)oxy)- 4-oxobutanoyl)oxy)-2- phenylacetic acid
C10
Figure US10226456-20190312-C00207
(S)-(4R,4aS,7aR,12bS)-4a- hydroxy-9-methoxy-3- methyl-2,3,4,4a,5,7a- hexahydro-1H-4,12- methanobenzofuro [3,2-e]isoquinolin-7-yl 2-((3-((S)-2-acetamido- 4-methylpentanamido) propanoyl)oxy)propanoate
C11
Figure US10226456-20190312-C00208
(S)-(4R,4aS,7aR,12bS)-4a- hydroxy-9-methoxy-3- methyl-2,3,4,4a,5,7a- hexahydro-1H-4,12- methanobenzofuro[3,2-e] isoquinolin-7-yl 2-((3- ((S)-2-acetoxy-2- phenylacetamido) propanoyl)oxy)propanoate
C12
Figure US10226456-20190312-C00209
(S)-2-(((2R,3R)-2(3- dihydroxy-4-(((4R, 4aS,7aR,12bS)- 4a-hydroxy-9-methoxy- 3-methyl-2,3,4,4a,5,7a- hexahydro-1H-4,12- methanobenzofuro[3,2- e]isoquinolin-7-yl)oxy)- 4-oxobutanoyl)oxy) propanoic acid
C13
Figure US10226456-20190312-C00210
(S)-(4R,4aS,7aR,12bS)- 4a-hydroxy-9-methoxy-3- methyl-2,3,4,4a,5,7a- hexahydro-1H-4,12- methanobenzofuro [3,2-e]isoquinolin-7-yl 2-((3-((S)-2- acetoxypropanamido) propanoyl)oxy) propanoate
C14
Figure US10226456-20190312-C00211
(R)-2-(((2R)3R)-2,3- dihydroxy-4-(((4R,4aS, 7aR,12bS)-4a-hydroxy- 9-methoxy-3-methyl- 2,3,4,4a,5,7a- hexahydro-1H-4,12- methanobenzofuro[3,2- e]isoquinolin-7-yl)oxy)- 4-oxobutanoyl)oxy) succinic acid
C15
Figure US10226456-20190312-C00212
(S)-2-((S)-2-(((2R,3R)-2,3- dihydroxy-4-(((4R,4aS,7aR, 12bS)-4a-hydroxy-9- methoxy-3-methyl- 2,3,4,4a,5,7a-hexahydro- 1H-4,12-methanobenzofuro [3,2-e]isoquinolin-7-yl)oxy)- 4-oxobutanoyl)oxy) propanamido)propanoic acid
C16
Figure US10226456-20190312-C00213
(S)-2-(((S)-2-hydroxy-4- (((4R,4aS,7aR,12bS-4a- hydroxy-9-methoxy-3- methyl-2,3,4,4a,5,7a- hexahydro-1H-4,12- methanobenzofuro [3,2-e]isoquinolin-7- yl)oxy)-4-oxobutanoyl) oxy)-2-phenylacetic acid
C17
Figure US10226456-20190312-C00214
(S)-2-(((S)-3-hydroxy- 4-(((4R,4aS,7aR,12bS)- 4a-hydroxy-9-methoxy- 3-methyl-2,3,4,4a,5,7a- hexahydro-1H-4,12- methanobenzofuro[3,2-e] isoquinolin-7-yl)oxy) 4-oxobutanoyl)oxy)-2- phenylacetic acid
C18
Figure US10226456-20190312-C00215
(S)-2-(((2R,3R)-2,3- dihydroxy-4-(((4R(4aS, 7aR,12bS)-4a-hydroxy- 9-methoxy-3-methyl- 2,3,4,4a,5,7a- hexahydro-1H-4,12- ethanobenzofuro[3,2- e]isoquinolin-7-yl)oxy)- 4-oxobutanoyl)oxy)-2- phenylacetic acid
C19
Figure US10226456-20190312-C00216
(S)-2-(((2R,3R)-2,3- dihydroxy-4-(((4R,4aS, 7aR,12bS)-4a-hydroxy- 9-methoxy-3-methyl- 2,3,4,4a,5,7a- hexahydro-1H-4,12- methanobenzofuro[3,2- e]isoquinolin-7-yl)oxy)- 4-oxobutanoyl)oxy) succinic acid
C20
Figure US10226456-20190312-C00217
(2R,3R)-4-((S)-1-carboxy- 3-(((4R,4a,5,7aR,12bS)- 4a-hydroxy-9-methoxy-3- methyl-2,3,4,4a,5,7a- hexahydro-1H-4,12- methanobenzofuro[3,2- e]isoquinolin-7-yl)oxy)- 3-oxopropoxy)-2,3- dihydroxy-4- oxobutanoic acid
C21
Figure US10226456-20190312-C00218
(S)-2-(((S)-2-(((S)-2- acetamido-6- aminohexanoyl)oxy) propanoyl)oxy)-4- (((4R,4aS,7aR,12bS)- 4a-hydroxy-9-methoxy- 3-methyl-2,3,4,4a,5,7a- hexahydro-1H-4,12- methanobenzofuro [3,2-e]isoqulnolin-7- yl)oxy)-4-oxobutanoic acid
C22
Figure US10226456-20190312-C00219
(S)-2-(((S)-2-((S)-2- acetamido-6- aminohexanamido) propanoyl)oxy)-4- (((4R,4aS,7aR,12bS)- 4a-hydroxy-9-methoxy- 3-methyl-2,3,4,4a,5,7a- hexahydro-1H-4,12- methanobenzofuro [3,2-e]isoquinolin-7- yl)oxy)-4-oxobutanoic acid
C23
Figure US10226456-20190312-C00220
(S)-2-((3-((S)-2-acetamido- 6-aminohexanamido) propanoyl)oxy)-4- (((4R,4aS,7aR,12bS)-4a- hydroxy-9-methoxy-3- methyl-2,3,4,4a,5,7a- hexahydro-1H-4,12- methanobenzofuro [3,2-e]isoquinolin-7-yl) oxy)-4-oxobutanoic acid
C24
Figure US10226456-20190312-C00221
(S)-2-(((S)-2-((4-(((4R, 4aS,7aR,12bS)-4a-hydroxy- 9-methoxy-3-methyl-2,3,4, 4a,5,7a-hexahydro-1H- 4,12-methanobenzofuro [3,2-e]isoquinolin-7-yl) oxy)-4-oxobutanoyl)oxy) propanoyl)oxy)propanoic acid
C25
Figure US10226456-20190312-C00222
(S)-2-(((S)-2-((4-(((4R, 4aS,7aR,12bS)-4a-hydroxy- 9-methoxy-3-methyl- 2,3,4,4a,5,7a-hexahydro- 1H-4,12- methanobenzofuro [3,2-e]isoquinolin-7-yl) oxy)-4-oxobutanoyl) oxy)propanoyl)oxy)- 2-phenylacetic acid
C26
Figure US10226456-20190312-C00223
(S)-2-(((S)-2-((4-(((4R, 4aS,7aR,12bS)-4a-hydroxy- 9-methoxy-3-methyl-2,3,4, 4a,5,7a-hexahydro-1H- 4,12-methanobenzofuro [3,2-e]isoquinolin-7-yl) oxy)-4-oxobutanoyl)oxy) propanoyl)oxy)succinic acid
C27
Figure US10226456-20190312-C00224
(R)-2-(((S)-2-((4-(((4R,4aS, 7aR,12bS)-4a-hydroxy-9- methoxy-3-methyl-2,3,4,4a, 5,7a-hexahydro-1H-4,12- methanobenzofuro[3,2-e] isoquinolin-7-yl)oxy)-4- oxobutanoyl)oxy) propanoyl)oxy)succinic acid
C28
Figure US10226456-20190312-C00225
(S)-2-((S)-2-((4-(((4R,4aS, 7aR,12bS)-4a-hydroxy-9- methoxy-3-methyl-2,3,4,4a, 5,7a-hexahydro-1H-4,12- methanobenzofuro[3,2-e] isoquinolin-7-yl)oxy)-4- oxobutanoyl)oxy)-2- phenylacetoxy)propanoic acid
C29
Figure US10226456-20190312-C00226
(S)-2-((S)-2-((4-(((4R,4aS, 7aR,12bS)-4a-hydroxy-9- methoxy-3-methyl-2,3,4, 4a,5,7a-hexahydro-1H-4,12- methanobenzofuro[3,2-e] isoqulnolin-7-yl)oxy)-4- oxobutanoyl)oxy)-2- phenylacetoxy)-2- phenylacetic acid
C30
Figure US10226456-20190312-C00227
(S)-2-((S)-2-((4-(((4R,4aS, 7aR,12bS)-4a-hydroxy-9- methoxy-3-methyl-2,3,4,4a, 5,7a-hexahydro-1H-4,12- methanobenzofuro[3,2-e] isoquinolin-7-yl)oxy)-4- oxobutanoyl)oxy)-2- phenylacetoxy)succinic acid
C31
Figure US10226456-20190312-C00228
(R)-2-((S)-2-((4-(((4R,4aS, 7aR,12bS)-4a-hydroxy-9- methoxy-3-methyl-2,3,4,4a, 5,7a-hexahydro-1H-4,12- methanobenzofuro[3,2-e] isoquinolin-7-yl)oxy)-4- oxobutanoyl)oxy)-2- phenylacetoxy)succinic acid
C32
Figure US10226456-20190312-C00229
(S)-2-((S)-2-((4-(((4R,4aS, 7aR,12bS)-4a-hydroxy-9- methoxy-3-methyl-2,3,4,4a, 5,7a-hexahydro-1H-4,12- methanobenzofuro[3,2-e] isoquinolin-7-yl)oxy)-4- oxobutanoyl)oxy) propanamido)propanoic acid
C33
Figure US10226456-20190312-C00230
(S)-2-((S)-2-((4-(((4R,4aS, 7aR,12bS)-4a-hydroxy-9- methoxy-3-methyl-2,3,4,4a, 5,7a-hexahydro-1H-4,12- methanobenzofuro[3,2-e] isoquinolin-7-yl)oxy)-4- oxobutanoyl)oxy) propanamido)-4- methylpentanoic acid
C34
Figure US10226456-20190312-C00231
(S)-2-((S)-2-((4-(((4R,4aS, 7aR,12bS)-4a-hydroxy-9- methoxy-3-methyl-2,3,4,4a, 5,7a-hexahydro-1H-4,12- methanobenzofuro[3,2-e] isoquinolin-7-yl)oxy)-4- oxobutanoyl)oxy) propanamido)succinic acid
C35
Figure US10226456-20190312-C00232
(R)-2-((S)-2-((4-(((4R,4aS, 7aR,12bS)-4a-hydroxy-9- methoxy-3-methyl-2,3,4,4a, 5,7a-hexahydro-1H-4,12- methanobenzofuro[3,2-e] isoquinolin-7-yl)oxy)-4- oxobutanoyl)oxy) propanamido)succinic acid
C36
Figure US10226456-20190312-C00233
(S)-2-(((S)-4-(((4R,4aS, 7aR,12bS)-4a-hydroxy-9- methoxy-3-methyl-2,3,4,4a, 5,7a-hexahydro-1H-4,12- methanobenzofuro[3,2-e] isoquinolin-7-yl)oxy)-2- (((S)-2-hydroxypropanoyl) oxy)-4-oxobutanoyl)oxy) propanoic acid
C37
Figure US10226456-20190312-C00234
(S)-2-(((S)-2-((3-amino- propanoyl)oxy)-4-(((4R,4aS, 7aR,12bS)-4a-hydroxy-9- methoxy-3-methyl-2,3,4,4a, 5,7a-hexahydro-1H-4,12- methanobenzofuro(3,2-e] isoquinolin-7-yl)oxy)-4- oxobutanoyl)oxy) propanoic acid
C38
Figure US10226456-20190312-C00235
(S)-2-(((S)-4-(((4R,4aS, 7aR,12bS)-4a-hydroxy-9- methoxy-3-methyl-2,3,4,4a, 5,7a-hexahydro-1H-4,12- methanobenzofuro[3,2-e] isoquinolin-7-yl)oxy)-2- ((3-((S)-2-hydroxy- propanamido)propanoyl) oxy)-4-oxobutanoyl) oxy)propanoic acid
C39
Figure US10226456-20190312-C00236
(2R,3R)-4-(((S)-1-((S)-1- carboxyethoxy)-4- (((4R,4aS,7aR,12bS)-4a- hydroxy-9-methoxy-3- methyl-2,3,4,4a,5,7a- hexahydro-1H-4,12- methanobenzofuro[3,2-e] isoquinolin-7-yl)oxy)-1,4- dioxobutan-2-yl)oxy)-2,3- dihydroxy-4-oxobutanoic acid
C40
Figure US10226456-20190312-C00237
(S)-4-(((S)-1-((S)-1- carboxyethoxy)-4- (((4R,4aS,7aR,12bS)- 4a-hydroxy-9-methoxy- 3-methyl-2,3,4,4a,5,7a- hexahydro-1H-4,12- methanobenzofuro[3,2-e] isoquinolin-7-yl)oxy)-1,4- dioxobutan-2-yl)oxy)-2- hydroxy-4-oxobutanoic acid
C41
Figure US10226456-20190312-C00238
(S)-2-(((S)-2-hydroxy-4- (((4R,4aS,7aR,12bS)-4a- hydroxy-9-methoxy-3- methyl-2,3,4,4a,5,7a- hexahydro-1H-4,12- methanobenzofuro[3,2-e] isoquinolin-7-yl)oxy)- 4-oxobutanoyl)oxy) succinic acid
C42
Figure US10226456-20190312-C00239
(S)-2-(((S)-2-acetoxy-4- (((4R,4aS,7aR,12bS)-4a- hydroxy-9-methoxy-3- methyl-2,3,4,4a,5,7a- hexahydro-1H-4,12- methanobenzofuro[3,2-e] isoquinolin-7-yl)oxy)- 4-oxobutanoyl)oxy) succinic acid
C43
Figure US10226456-20190312-C00240
(R)-2-(((S)-2-hydroxy-4- (((4R,4aS,7aR,12bS)-4a- hydroxy-9-methoxy-3- methyl-2,3,4,4a,5,7a- hexahydro-1H-4,12- methanobenzofuro[3,2-e] isoquinolin-7-yl)oxy)- 4-oxobutanoyl)oxy) succinic acid
C44
Figure US10226456-20190312-C00241
(R)-2-(((S)-2-acetoxy-4- (((4R,4aS,7aR,12bS)-4a- hydroxy-9-methoxy-3-methyl- 2,3,4,4a,5,7a-hexahydro- 1H-4,12-methanobenzofuro [3,2-e]isoquinolin-7-yl)oxy)- 4-oxobutanoyl)oxy) succinic acid
C45
Figure US10226456-20190312-C00242
(S)-2-(((S)-3-hydroxy-4- (((4R,4aS,7aR,12bS)-4a- hydroxy-9-methoxy-3- methyl-2,3,4,4a,5,7a- hexahydro-1H-4,12- methanobenzofuro[3,2-e] isoquinolin-7-yl)oxy)- 4-oxobutanoyl)oxy) succinic acid
C46
Figure US10226456-20190312-C00243
(R)-2-(((S)-3-hydroxy-4-(((4R,4aS,7aR,12bS)-4a- hydroxy-9-methoxy-3- methyl-2,3,4,4a,5,7a- hexahydro-1H-4,12- methanobenzofuro [3,2-e]isoquinolin-7-yl) oxy)-4-oxobutanoyl) oxy)succinic acid
C47
Figure US10226456-20190312-C00244
(S)-2-(((S)-2-(((S)-2-hydroxy- 4-(((4R,4aS,7aR,12bS)- 4a-hydroxy-9-methoxy-3- methyl-2,3,4,4a,5,7a- hexahydro-1H-4,12- methanobenzofuro[3,2- e]isoquinolin-7-yl)oxy)- 4-oxobutanoyl)oxy) propanoyl)oxy) propanoic acid
C48
Figure US10226456-20190312-C00245
(S)-2-(((S)-2-(((S)-2- acetoxy-4-(((4R,4aS, 7aR,12bS)-4a-hydroxy- 9-methoxy-3- methyl-2,3,4,4a,5,7a- hexahydro-1H-4,12- methanobenzofuro[3,2- e]isoquinolin-7-yl)oxy)- 4-oxobutanoyl)oxy) propanoyl)oxy) propanoic acid
C49
Figure US10226456-20190312-C00246
(S)-2-(((S)-2-(((S)-2- hydroxy-4-(((4R,4aS, 7aR,12bS)-4a-hydroxy- 9-methoxy-3-methyl- 2,3,4,4a,5,7a- hexahydro-1H-4,12- methanobenzofuro[3,2- e]isoquinolin-7-yl)oxy)- 4-oxobutanoyl)oxy) propanoyl)oxy)-2- phenylacetic acid
C50
Figure US10226456-20190312-C00247
(S)-2-(((S)-2-(((S)-2- acetoxy-4-(((4R,4aS, 7aR,12bS)-4a-hydroxy- 9-methoxy-3-methyl- 2,3,4,4a,5,7a- hexahydro-1H-4,12- methanobenzofuro[3,2- e]isoquinolin-7-yl) oxy)-4-oxobutanoyl) oxy)propanoyl)oxy)- 2-phenylacetic acid
C51
Figure US10226456-20190312-C00248
(S)-2-(((S)-2-(((S)-2- hydroxy-4-(((4R,4aS, 7aR,12bS)-4a-hydroxy- 9-methoxy-3-methyl- 2,3,4,4a,5,7a- hexahydro-1H-4,12- methanobenzofuro[3,2- e]isoquinolin-7-yl)oxy)-4- oxobutanoyl)oxy) propanoyl)oxy) succinic acid
C52
Figure US10226456-20190312-C00249
(S)-2-(((S)-2-(((S)-2- acetoxy-4-(((4R,4aS, 7aR,12bS)-4a-hydroxy- 9-methoxy-3-methyl- 2,3,4,4a,5,7a- hexahydro-1H-4,12- methanobenzofuro[3,2- e]isoquinolin-7-yl)oxy)-4- oxobutanoyl)oxy) propanoyl)oxy) succinic acid
C53
Figure US10226456-20190312-C00250
(R)-2-(((S)-2-(((S)-2- hydroxy-4-(((4R,4aS, 7aR,12bS)-4a-hydroxy- 9-methoxy-3-methyl- 2,3,4,4a,5,7a-hexahydro- 1H-4,12-methanobenzofuro [3,2-e]isoquinolin-7-yl) oxy)-4-oxobutanoyl)oxy) propanoyl)oxy)succinic acid
C54
Figure US10226456-20190312-C00251
(R)-2-(((S)-2-(((S)-2- acetoxy-4-(((4R,4aS, 7aR,12bS)-4a-hydroxy- 9-methoxy-3-methyl- 2,3,4,4a,5,7a- hexahydro-1H-4,12- methanobenzofuro[3,2- e]isoquinolin-7-yl)oxy)- 4-oxobutanoyl)oxy) propanoyl)oxy) succinic acid
C55
Figure US10226456-20190312-C00252
(S)-2-((((S)-2-(((S)-3- hydroxy-4-(((4R,4aS, 7aR,12bS)-4a-hydroxy- 9-methoxy-3-methyl- 2,3,4,4a,5,7a- hexahydro-1H-4,12- methanobenzofuro[3,2- e]isoquinolin-7-yl)oxy)- 4-oxobutanoyl)oxy) propanoyl)oxy) propanoic acid
C56
Figure US10226456-20190312-C00253
(S)-2-(((S)-2-(((S)-3- hydroxy-4-(((4R,4aS, 7aR,12bS)-4a-hydroxy- 9-methoxy-3-methyl- 2,3,4,4a,5,7a- hexahydro-1H-4,12- methanobenzofuro [3,2-e]isoquinolin- 7-yl)oxy)-4- oxobutanoyl)oxy) propanoyl)oxy)-2- phenylacetic acid
C57
Figure US10226456-20190312-C00254
(S)-2-(((S)-2-(((S)-3- hydroxy-4-((((4R,4aS, 7aR,12bS)-4a-hydroxy- 9-methoxy-3-methyl- 2,3,4,4a,5,7a- hexahydro-1H-4,12- methanobenzofuro[3,2- e]isoquinolin-7-yl)oxy)- 4-oxobutanoyl)oxy) propanoyl)oxy) succinic acid
C58
Figure US10226456-20190312-C00255
(R)-2-(((S)-2-(((S)-3- hydroxy-4-(((4R,4aS, 7aR,12bS)-4a-hydroxy- 9-methoxy-3-methyl- 2,3,4,4a,5,7a- hexahydro-1H-4,12- methanobenzofuro[3,2- e]isoquinolin-7-yl)oxy)- 4-oxobutanoyl)oxy) propanoyl)oxy) succinic acid
C59
Figure US10226456-20190312-C00256
(S)-2-((S)-2-(((S)-2- hydroxy-4-(((4R,4aS, 7aR,12bS)-4a-hydroxy- 9-methoxy-3-methyl- 2,3,4,4a,5,7a- hexahydro-1H-4,12- methanobenzofuro[3,2-e] isoquinolin-7-yl)oxy)- 4-oxobuianoyt)oxy)-2- phenylacetoxy) propanoic acid
C60
Figure US10226456-20190312-C00257
(S)-2-((S)-2-(((S)-2- acetoxy-4-(((4R,4aS, 7aR,12bS)-4a-hydroxy- 9-methoxy-3-methyl- 2,3,4,4a,5,7a-hexahydro- 1H-4,12-methano- benzofuro[3,2-e] isoquinolin-7-yl) oxy)-4-oxobutanoyt) oxy)-2-phenylacetoxy) propanoic acid
C61
Figure US10226456-20190312-C00258
(S)-2-((S)-2-(((S)-2- hydroxy-4-(((4R,4aS, 7aR,12bS)-4a-hydroxy- 9-methoxy-3-methyl- 2,3,4,4a,5,7a-hexahydro- 1H-4,12-methanobenzofuro [3,2-e]isoquinolin-7-yl) oxy)-4-oxobutanoyt)oxy)- 2-phenylacetoxy)-2- phenylacetic acid
C62
Figure US10226456-20190312-C00259
(S)-2-((S)-2-(((S)-2- acetoxy-4-(((4R,4aS, 7aR,12bS)-4a-hydroxy- 9-methoxy-3-methyl- 2,3,4,4a,5,7a- hexahydro-1H-4,12- methanobenzofuro [3,2-e]isoquinolin-7-yl) oxy)-4-oxobutanoyl) oxy)-2-phenylacetoxy)- 2-phenylacetic acid
C63
Figure US10226456-20190312-C00260
(S)-2-(((S)-2-(((S)-4- (((4R,4aS,7aR,12bS)- 4a-hydroxy-9-methoxy- 3-methyl-2,3,4,4a,5,7a- hexahydro-1H-4,12- methanobenzofuro [3,2-e]isoquinolin-7-yl) oxy)-2-(((S)-2- hydroxypropanoyl)oxy)- 4-oxobutanoyl)oxy) propanoyl)oxy) propanoic acid
C64
Figure US10226456-20190312-C00261
(S)-2-(((S)-4-(((4R,4aS, 7aR,12bS)-4a-hydroxy- 9-methoxy-3-methyl- 2,3,4,4a,5,7a- hexahydro-1H-4,12- methanobenzofuro[3,2-e] isoquinolin-7-yl)oxy)-2- (((S)-2-hydroxy- propanoyt)oxy)-4- oxobutanoyl)oxy) succinic acid
C65
Figure US10226456-20190312-C00262
(R)-2-(((S)-4-(((4R,4aS, 7aR,12bS)-4a-hydroxy-9- methoxy-3-methyl-2,3,4,4a, 5,7a-hexahydro-1H-4,12- methanobenzofuro (3,2-e]isoquinolin-7-yl) oxy)-2-(((S)-2- hydroxypropanoyl)oxy)- 4-oxobutanoyl)oxy) succinic acid
C66
Figure US10226456-20190312-C00263
(S)-2-(((S)-2-(((S)-4- (((4R,4aS,7aR,12bS)-4a- hydroxy-9-methoxy-3- methyl-2,3,4,4a,5,7a- hexahydro-1H-4,12- methanobenzofuro[3,2-e] isoquinolin-7-yl)oxy)-2- (((S)-2-hydroxypropanoyl) oxy)-4-oxobutanoyl)oxy) propanoyl)oxy)succinic acid
C67
Figure US10226456-20190312-C00264
(R)-2-(((S)-2-(((S)-4- (((4R,4aS,7aR,12bS)-4a- hydroxy-9-methoxy-3- methoxy-3-methyl-2,3,4,4a, 5,7a-hexahydro-1H-4,12- methanobenzofuro[3,2-e] isoquinolin-7-yl)oxy)-2- (((S)-2-hydroxypropanoyl) oxy)-4-oxobutanoyl)oxy) propanoyl)oxy)succinic acid
C68
Figure US10226456-20190312-C00265
(S)-4-(((S)-1-(((S)-1-((S)-1- carboxyethoxy)-1- oxopropan-2-yl)oxy)-4- (((4R,4aS,7aR,12bS)-4a- hydroxy-9-methoxy-3-methyl- 2,3,4,4a,5,7a-hexahydro- 1H-4,12-methanobenzofuro [3,2-e]isoquinolin-7-yl)oxy)- 1,4-dioxobutan-2-yl)oxy)-2- hydroxy-4-oxobutanoic acid
C69
Figure US10226456-20190312-C00266
(S)-2-(((S)-2-(((S)-3- carboxy-3-hydroxy- propanoyl)oxy)- 4-(((4R,4aS,7aR,12bS)- 4a-hydroxy-9-methoxy- 3-methyl-2,3,4,4a,5,7a- hexahydro-1H-4,12- methanobenzofuro [3,2-e]isoquinolin-7-yl) oxy)-4-oxobutanoyl)oxy) succinic acid
C70
Figure US10226456-20190312-C00267
(R)-2-(((S)-2-(((S)-3- carboxy-3-hydroxy- propanoyl)oxy)- 4-(((4R,4aS,7aR,12bS)- 4a-hydroxy-9-methoxy- 3-methyl-2,3,4,4a,5,7a- hexahydro-1H-4,12- methanobenzofuro [3,2-e]isoquinolin-7-yl) oxy)-4-oxobutanoyl) oxy)succinic acid
C71
Figure US10226456-20190312-C00268
(S)-2-(((S)-2-(((S)-2- (((S)-3-carboxy-3- hydroxypropanoyl)oxy)-4- (((4R,4aS,7aR,12bS)-4a- hydroxy-9-methoxy-3- methyl-2,3,4,4a,5,7a- hexahydro-1H-4,12- methanobenzofuro [3,2-e]isoquinolin-7-yl) oxy)-4-oxobutanoyl)oxy) propanoyl)oxy)succinic acid
C72
Figure US10226456-20190312-C00269
(R)-2-(((S)-2-(((S)-2-(((S)- 3-carboxy-3- hydroxypropanoyl)oxy)-4- (((4R,4aS,7aR,12bS)-4a- hydroxy-9-methoxy-3- methyl-2,3,4,4a,5,7a- hexahydro-1H-4,12- methanobenzofuro[3,2-e] isoquinolin-7-yl)oxy)-4- oxobutanoyl)oxy) propanoyl)oxy)succinic acid
C73
Figure US10226456-20190312-C00270
(2R,3R)-4-(((S)-1-(((S)-1- ((S)-1-carboxyethoxy)-1- oxopropan-2-yl)oxy)-4- (((4R,4aS,7aR,12bS)-4a- hydroxy-9-methoxy-3- methyl-2,3,4,4a,5,7a- hexahydro-1H-4,12- methanobenzofuro [3,2-e]isoquinolin-7-yl) oxy)-1,4-dioxobutan- 2-yl)oxy)-2,3- dihydroxy-4- oxobutanoic acid
C74
Figure US10226456-20190312-C00271
(S)-2-(((S)-2-(((2R,3R)- 3-carboxy-2,3- dihydroxypropanoyl) oxy)-4-(((4R,4aS,7aR, 12bS)-4a-hydroxy-9- methoxy-3-methyl- 2,3,4,4a,5,7a-hexahydro- 1H-4,12- methanobenzofuro [3,2-e]isoquinolin-7-yl) oxy)-4-oxobutanoyl) oxy)succinic acid
C75
Figure US10226456-20190312-C00272
(R)-2-(((S)-2-(((2R,3R)- 3-carboxy-2,3- dihydroxypropanoyl) oxy)-4-(((4R,4aS,7aR, 12bS)-4a-hydroxy-9- methoxy-3-methyl- 2,3,4,4a,5,7a- hexahydro-1H-4,12- methanobenzofuro [3,2-e]isoquinolin- 7-yl)oxy)-4- oxobutanoyl)oxy) succinic acid
C76
Figure US10226456-20190312-C00273
(S)-2-(((S)-2-(((S)-2- (((2R,3R)-3-carboxy- 2,3-dihydroxy- propanoyl)oxy)-4- (((4R,4aS,7aR,12bS)- 4a-hydroxy-9- methoxy-3-methyl- 2,3,4,4a,5,7a- hexahydro-1H-4,12- methanobenzofuro [3,2-e]isoquinolin- 7-yl)oxy)-4- oxobutanoyl)oxy) propanoyl)oxy) succinic acid
C77
Figure US10226456-20190312-C00274
(R)-2-(((S)-2-(((S)-2- (((2R,3R)-3-carboxy- 2,3-dihydroxy- propanoyl)oxy)-4- (((4R,4aS,7aR,12bS)- 4a-hydroxy-9-methoxy- 3-methyl-2,3,4,4a,5,7a- hexahydro-1H-4,12- methanobenzofuro [3,2-e]isoquinolin-7- yl)oxy)-4- oxobutanoyl)oxy) propanoyl)oxy) succinic acid
C78
Figure US10226456-20190312-C00275
(S)-2-((S)-2-(((S)-2- hydroxy-4-(((4R,4aS, 7aR,12bS)-4a- hydroxy-9-methoxy- 3-methyl-2,3,4,4a,5,7a- hexahydro-1H-4,12- methanobenzofuro [3,2-e]isoquinolin-7- yl)oxy)-4-oxobutanoyl) oxy)-2-phenylacetoxy) succinic acid
C79
Figure US10226456-20190312-C00276
(S)-2-((S)-2-(((S)-2- acetoxy-4-(((4R,4aS, 7aR,12bS)-4a- hydroxy-9-methoxy- 3-methyl-2,3,4,4a,5,7a- hexahydro-1H-4,12- methanoben2ofuro [3,2-e]isoquinolin-7- yl)oxy)-4-oxobutanoyl) oxy)-2-phenylacetoxy) succinic acid
C80
Figure US10226456-20190312-C00277
(R)-2-((S)-2-(((S)-2- hydroxy-4-(((4R,4aS, 7aR,12bS)-4a-hydroxy- 9-methoxy-3-methyl- 2,3,4,4a,5,7a- hexahydro-1H-4,2- methanobenzofuro [3,2-e]isoquinolin- 7-yl)oxy)-4- oxobutanoyl)oxy)-2- phenylacetoxy) succinic acid
C81
Figure US10226456-20190312-C00278
(R)-2-((S)-2-(((S)-2- acetoxy-4-(((4R,4aS, 7aR,12bS)-4a- hydroxy-9-methoxy-3- methyl-2,3,4,4a,5,7a- hexahydro-1H-4,12- methanobenzofuro [3,2-e]isoquinolin-7- yl)oxy)-4- oxobutanoyl)oxy)- 2-phenylacetoxy) succinic acid
C82
Figure US10226456-20190312-C00279
(S)-2-((S)-2-(((S)-3- hydroxy-4-(((4R,4aS, 7aR,12bS)-4a- hydroxy-9-methoxy- 3-methyl-2,3,4,4a,5,7a- hexahydro-1H-4,12- methanobenzofuro [3,2-e]isoquinolin-7-yl) oxy)-4-oxobutanoyl) oxy)-2-phenylacetoxy) propanoic acid
C83
Figure US10226456-20190312-C00280
(S)-2-((S)-2-(((S)-3- hydroxy-4-(((4R,4aS, 7aR,12bS)-4a- hydroxy-9-methoxy- 3-methyl-2,3,4,4a,5,7a- hexahydro-1H-4,12- methanobenzofuro [3,2-e]isoquinolin-7- yl)oxy)-4-oxobutanoyl) oxy)-2-phenylacetoxy)- 2-phenylacetic acid
C84
Figure US10226456-20190312-C00281
(S)-2-((S)-2-(((S)-3- hydroxy-4-(((4R,4aS, 7aR,12bS)-4a-hydroxy- 9-methoxy-3-methyl- 2,3,4,4a,5,7a-hexahydro- 1H-4,12- methanobenzofuro [3,2-e]isoquinolin-7- yl)oxy)-4-oxobutanoyl) oxy)-2-phenylacetoxy) succinic acid
C85
Figure US10226456-20190312-C00282
(R)-2-((S)-2-(((S)-3- hydroxy-4-(((4R,4aS, 7aR,12bS)-4a-hydroxy- 9-methoxy-3-methyl- 2,3,4,4a,5,7a- hexahydro-1H-4,12- methanobenzofuro [3,2-e]isoquinolin-7- yl)oxy)-4- oxobutanoyl)oxy)-2- phenylacetoxy) succinic acid
C86
Figure US10226456-20190312-C00283
(S)-2-((S)-2-(((S)-2- hydroxy-4-(((4R,4aS, 7aR,12bS)-4a- hydroxy-9-methoxy- 3-methyl-2,3,4,4a,5,7a- hexahydro-1H-4,12- methanobenzofuro [3,2-e]isoquinolin-7- yl)oxy)-4-oxobutanoyl) oxy)propanamido) propanoic acid
C87
Figure US10226456-20190312-C00284
(S)-2-((S)-2-(((S)-2- acetoxy-4-(((4R,4aS, 7aR,12bS)-4a-hydroxy- 9-methoxy-3-methyl- 2,3,4,4a,5,7a- hexahydro-1H-4,12- methanobenzofuro [3,2-e]isoquinolin-7- yl)oxy)-4-oxobutanoyl) oxy)propanamido) propanoic acid
C88
Figure US10226456-20190312-C00285
(S)-2-((S)-2-(((S)-2- hydroxy-4-(((4R,4aS, 7aR,12bS)-4a-hydroxy- 9-methoxy-3-methyl- 2,3,4,4a,5,7a- hexahydro-1H-4,12- methanobenzofuro [3,2-e]isoquinolin-7- yl)oxy)-4- oxobutanoyl)oxy) propanamido)-4- methylpentanoic acid
C89
Figure US10226456-20190312-C00286
(S)-2-((S)-2-(((S)-2- acetoxy-4-(((4R,4aS, 7aR,12bS)-4a- hydroxy-9-methoxy- 3-methyl-2,3,4,4a,5,7a- hexahydro-1H-4,12- methanobenzofuro [3,2-e]isoquinolin-7- yl)oxy)-4- oxobutanoyl)oxy) propanamido)-4- methylpentanoic acid
C90
Figure US10226456-20190312-C00287
(S)-2-((S)-2-(((S)-2- hydroxy-4-((4R,4aS, 7aR,12bS)-4a-hydroxy- 9-methoxy-3-methyl- 2,3,4,4a,5,7a- hexahydro-1H-4,12- methanobenzofuro [3,2-e]isoquinolin-7- yl)oxy)-4- oxobutanoyl)oxy) propanamido) succinic acid
C91
Figure US10226456-20190312-C00288
(S)-2-((S)-2-(((S)-2- acetoxy-4-(((4R,4aS, 7aR,12bS)-4a-hydroxy- 9-methoxy-3-methyl- 2,3,4,4a,5,7a-hexahydro- 1H-4,12- methanobenzofuro [3,2-e]isoquinolin-7-yl) oxy)-4-oxobutanoyl) oxy)propanamido) succinic acid
C92
Figure US10226456-20190312-C00289
(R)-2-((S)-2-(((S)-2- hydroxy-4-(((4R,4aS, 7aR,12bS)-4a- hydroxy-9-methoxy- 3-methyl-2,3,4,4a,5,7a- hexahydro-1H-4,12- methanobenzofuro [3,2-e]isoquinolin- 7-yl)oxy)-4- oxobutanoyl)oxy) propanamido) succinic acid
C93
Figure US10226456-20190312-C00290
(R)-2-((S)-2-(((S)-2- acetoxy-4-(((4R,4aS, 7aR,12bS)-4a-hydroxy- 9-methoxy-3-methyl- 2,3,4,4a,5,7a- hexahydro- 1H-4,12- methanobenzofuro [3,2-e]isoquinolin-7- yl)oxy)-4- oxobutanoyl)oxy) propanamido) succinic acid
C94
Figure US10226456-20190312-C00291
(S)-2-((S)-2-(((S)-3- hydroxy-4-(((4R,4aS, 7aR,12bS)-4a- hydroxy-9-methoxy- 3-methyl-2,3,4,4a,5,7a- hexahydro-1H-4,12- methanobenzofuro [3,2-e]isoquinolin- 7-yl)oxy)-4- oxobutanoyl)oxy) propanamido) propanoic acid
C95
Figure US10226456-20190312-C00292
(S)-2-((S)-2-(((S)-3- hydroxy-4-(((4R,4aS, 7aR,12bS)-4a- hydroxy-9-methoxy- 3-methyl-2,3,4,4a, 5,7a-hexahydro-1H- 4,12-methanobenzofuro [3,2-e]isoquinolin-7-yl) oxy)-4-oxobutanoyl) oxy)propanamido)-4- methylpentanoic acid
C96
Figure US10226456-20190312-C00293
(S)-2-((S)-2-(((S)-3- hydroxy-4-(((4R,4aS, 7aR,12bS)-4a- hydroxy-9-methoxy- 3-methyl-2,3,4,4a,5,7a- hexahydro-1H-4,12- methanobenzofuro [3,2-e]isoquinolin-7- yl)oxy)-4-oxobutanoyl) oxy)propanamido) succinic acid
C97
Figure US10226456-20190312-C00294
(R)-2-((S)-2-(((S)-3- hydroxy-4-(((4R,4aS, 7aR,12bS)-4a-hydroxy- 9-methoxy-3-methyl- 2,3,4,4a,5,7a- hexahydro-1H-4,12- methanobenzofuro [3,2-e]isoquinolin- 7-yl)oxy)-4- oxobutanoyl)oxy) propanamido) succinic acid
C98
Figure US10226456-20190312-C00295
(S)-2-(((S)-2-(((2R,3R)- 2,3-dihydroxy-4- (((4R,4aS,7aR,12bS)-4a- hydroxy-9-methoxy-3- methyl-2,3,4,4a,5,7a- hexahydro-1H-4,12- methanobenzofuro[3,2-e] isoquinolin-7-yl)oxy)-4- oxobutanoyl)oxy) propanoyl)oxy) propanoic acid
C99
Figure US10226456-20190312-C00296
(S)-2-(((S)-2-(((2R,3R)- 2,3-dihydroxy-4- (((4R,4aS,7aR,12bS)-4a- hydroxy-9-methoxy-3- methyl-2,3,4,4a,5,7a- hexahydro-1H-4,12- methanobenzofuro [3,2-e]isoquinolin-7-yl) oxy)-4-oxobutanoyl) oxy)propanoyl)oxy)- 2-phenylacetic acid
 C100
Figure US10226456-20190312-C00297
(S)-2-(((S)-2-(((2R,3R)- 2,3-dihydroxy-4- (((4R,4aS,7aR,12bS)- 4a-hydroxy-9-methoxy- 3-methyl-2,3,4,4a,5,7a- hexahydro-1H-4,12- methanobenzofuro [3,2-e]isoquinolin-7-yl) oxy)-4-oxobutanoyl)oxy) propanoyl)oxy)succinic acid
 C101
Figure US10226456-20190312-C00298
(R)-2-(((S)-2-(((2R,3R)- 2,3-dihydroxy-4- (((4R,4aS,7aR,12bS)-4a- hydroxy-9-methoxy-3- methyl-2,3,4,4a,5,7a- hexahydro-1H-4,12- methanobenzofuro [3,2-e]isoquinolin-7-yl) oxy)-4-oxobutanoyl) oxy)propanoyl) oxy)succinic acid
 C102
Figure US10226456-20190312-C00299
(S)-2-((S)-2-(((2R,3R)- 2,3-dihydroxy-4- (((4R,4aS,7aR,12bS)- 4a-hydroxy-9-methoxy- 3-methyl-2,3,4,4a,5,7a- hexahydro-1H-4,12- methanobenzofuro [3,2-e]isoquinolin-7- yl)oxy)-4-oxobutanoyl) oxy)-2-phenylacetoxy) propanoic acid
 C103
Figure US10226456-20190312-C00300
(S)-2-((S)-2-(((2R,3R)- 2,3-dihydroxy-4- (((4R,4aS,7aR,12bS)- 4a-hydroxy-9-methoxy- 3-methyl-2,3,4,4a,5,7a- hexahydro-1H-4,12- methanobenzofuro [3,2-e]isoquinolin-7-yl) oxy)-4-oxobutanoyl) oxy)-2-phenylacetoxy)- 2-phenylacetic acid
 C104
Figure US10226456-20190312-C00301
(S)-2-((S)-2-(((2R,3R)- 2,3-dihydroxy-4- (((4R,4aS,7aR,12bS)- 4a-hydroxy-9-methoxy- 3-methyl-2,3,4,4a,5,7a- hexahydro-1H-4,12- methanobenzofuro [3,2-e]isoquinolin-7- yl)oxy)-4-oxobutanoyl) oxy)-2-phenylacetoxy) succinic acid
 C105
Figure US10226456-20190312-C00302
(R)-2-((S)-2-(((2R,3R)- 2,3-dihydroxy-4- (((4R,4aS,7aR,12bS)- 4a-hydroxy-9-methoxy- 3-methyl-2,3,4,4a,5,7a- hexahydro-1H-4,12- methanobenzofuro [3,2-e]isoquinolin-7-yl) oxy)-4-oxobutanoyl) oxy)-2-phenylacetoxy) succinic acid
 C106
Figure US10226456-20190312-C00303
(S)-2-((S)-2-(((2R,3R)- 2,3-dihydroxy-4- (((4R,4aS,7aR,12bS)- 4a-hydroxy-9-methoxy- 3-methyl-2,3,4,4a,5,7a- hexahydro-1H-4,12- methanobenzofuro [3,2-e]isoquinolin-7- yl)oxy)-4-oxobutanoyl) oxy)propanamido) propanoic acid
 C107
Figure US10226456-20190312-C00304
(S)-2-((S)-2-(((2R,3R)- 2,3-dihydroxy-4- (((4R,4aS,7aR,12bS)- 4a-hydroxy-9-methoxy- 3-methyl-2,3,4,4a,5,7a- hexahydro-1H-4,12- methanobenzofuro [3,2-e]isoquinolin-7- yl)oxy)-4-oxobutanoyl) oxy)propanamido)- 4-methylpentanoic acid
 C108
Figure US10226456-20190312-C00305
(S)-2-((S)-2-(((2R,3R)- 2,3-dihydroxy-4- (((4R,4aS,7aR,12bS)-4a- hydroxy-9-methoxy-3- methyl-2,3,4,4a,5,7a- hexahydro-1H-4,12- methanobenzofuro [3,2-e]isoquinolin-7-yl) oxy)-4-oxobutanoyl) oxy)propanamido) succinic acid
 C109
Figure US10226456-20190312-C00306
(R)-2-((S)-2-(((2R,3R)- 2,3-dihydroxy-4- (((4R,4aS,7aR,12bS)- 4a-hydroxy-9-methoxy- 3-methyl-2,3,4,4a,5,7a- hexahydro-1H-4,12- methanobenzofuro [3,2-e]isoquinolin-7-yl) oxy)-4-oxobutanoyl)oxy) propanamido)succinic acid
In further embodiments, the abuse-resistant opioid compound may be selected from one or more of:
Ex.
No.StructureName
D1
Figure US10226456-20190312-C00307
(S)-2-(((2R,3R)-4- (((4R,4aS,7aR,12bS)-4a,9-dihydroxy- 3-methyl-2,3,4,4a,5,7a- hexahydro-1H-4,12- methanobenzofuro[3,2-e]isoquinolin- 7-yl)oxy)-2,3-dihydroxy-4- oxobutanoyl)oxy)succinic acid
D2
Figure US10226456-20190312-C00308
(S)-(4R,4aS,7aR,12bS)- 4a,9-dihydroxy-3-methyl- 2,3,4,4a,5,7a-hexahydro-1H-4,12- methanobenzofuro[3,2-e] isoquinolin-7-yl 2-(((S)-2-((S)- 2-amino-3-phenylpropanamido) propanoyl)oxy)propanoate
D3
Figure US10226456-20190312-C00309
(S)-2-amino-5-((3-(((S)-1- (((4R,4aS,7aR,12bS)-4a,9- dihydroxy-3-methyl-2,3, 4,4a,5,7-hexahydro-1H-4,12- methanobenzofuro[3,2-e] isoquinolin-7-yl)oxy)-1- oxopropan-2-yl)oxy)-3- oxopropyl)amino)-5- oxopentanoic acid
D4
Figure US10226456-20190312-C00310
(S)-(S)-1-(((S)-1- (((4R,4aS,7aR,12bS)-4a,9- dihydroxy-3-methyl- 2,3,4,4a,5,7a-hexahydro- 1H-4,12-methanobenzofuro [3,2-e]isoquinolin-7-yl)oxy)-1- oxopropan-2-yl)oxy)-1- oxopropan-2-yl 2-actamido-6- aminohexanoate
D5
Figure US10226456-20190312-C00311
(2R,3R)-2,3-diacetoxy-4- ((S)-2-(((4R,4aS,7aR,12bS)- 4a,9-dihydroxy-3-methyl- 2,3,4,4a,5,7a-hexahydro-1H- 4,12-methanobenzofuro[3,2-e] isoquinolin-7-yl)oxy)-2- oxo-1-phenylethoxy)-4- oxobutanoic acid
D6
Figure US10226456-20190312-C00312
(S)-4-amino-5-(((S)-1-(((S)- 1-(((4R,4aS,7aR,12bS)-4a,9- dihydroxy-3-methyl-2,3,4,4a,5,7a- hexahydro-1H-4,12-methano- benzofuro[3,2-e]isoquinolin- 7-yl)oxy)-1-oxopropan-2- yl)oxy)-1-oxopropan-2-yl)amino)-5- oxopentanoic acid
D7
Figure US10226456-20190312-C00313
(S)-2-amino-5-(((S)-1-(((S)- 1-(((4R,4aS,7aR,12bS)-4a,9- dihydroxy-3-methyl-2,3,4,4a,5,7a- hexahydro-1H-4,12-methano- benzofuro[3,2-e]isoquinolin- 7-yl)oxy)-1-oxopropan-2-yl) oxy)-1-oxopropan-2-yl) amino)-5-oxopentanoic acid
D8
Figure US10226456-20190312-C00314
(S)-(4R,4aS,7aR,12bs)- 4a,9-dihydroxy-3-methyl- 2,3,4,4a,5,7a-hexahydro-1H-4,12- methanobenzofuro[3,2-e] isoquinolin-7-yl 2-((3-((S)-2- acetamido-4-methylpentanamido) propanoyl)oxy)propanoate
D9
Figure US10226456-20190312-C00315
(S)-(4R,4aS,7aR,12bS)- 4a,9-dihydro-3-methyl- 2,3,4,4a,5,7a-hexahydro-1H-4,12- methanobenzofuro[3,2-e] isoquinolin-7-yl 2-(((S)-2-((S)- 2-acetamido-4-methyl- pentanamido)propanoyl)oxy) propanoate
D10
Figure US10226456-20190312-C00316
(S)-(4R,4aS,7aR,12bS)- 4a,9-dihydroxy-3-methyl- 2,3,4,4a,5,7a-hexahydro-1H-4,12- methanobenzofuro[3,2-e] isoquinolin-7-yl 2-(((S)-2-((S)- 2-acetoxy-2-phenylacetamido) propanoyl)oxy)propanoate
D11
Figure US10226456-20190312-C00317
(S)-(4R,4aS,7aR,12bS)- 4a,9-dihydroxy-3-methyl- 2,3,4,4a,5,7a-hexahydro-1H-4,12- methanobenzofuro[3,2-e] isoquinolin-7-yl 2-(((S)-2-((S)- 2-acetoxypropanamido) propanoyl)oxy)propanoate
D12
Figure US10226456-20190312-C00318
(R)-2-(((2R,3R)-4- (((4R,4aS,7aR,12bS)-4a,9- dihydroxy-3-methyl-2,3,4,4a,5,7a- hexahydro-1H-4,12-methano- benzofuro[3,2-e]isoquinolin-7- yl)oxy)-2,3-dihydroxy-4- oxobutanoyl)oxy)succinic acid
D13
Figure US10226456-20190312-C00319
(S)-2-((S)-2-(((2R,3R)-4- (((4R,4aS,7aR,12bS)-4a,9- dihydroxy-3-methyl- 2,3,4,4a,5,7a-hexahydro-1H-4,12- methanobenzofuro[3,2-e] isoquinolin-7-yl)oxy)-2,3- dihydroxy-4-oxobutanoyl) oxy)propanamido)propanoic acid
D14
Figure US10226456-20190312-C00320
(2R,3R)-4-((S)-1-carboxy-3- (((4R,4aS,7aR,12bS)-4a,9- dihydroxy-3-methyl-2,3, 4,4a,5,7a-hexahydro-1H-4,12- methanobenzofuro[3,2-e] isoquinolin-7-yl)oxy)-3-oxopropoxy)- 2,3-dihydroxy-4-oxobutanoic acid
D15
Figure US10226456-20190312-C00321
(R)-2-(((S)-2-((4-(((4R,4aS, 7aR,12bS)-4a,9-dihydroxy- 3-methyl-2,3,4,4a,5,7a- hexahydro-1H-4,12- methanobenzofuro[3,2-e] isoquinolin-7-yl)oxy)-4-oxobutanoyl) oxy)propanoyl)oxy)succinic acid
D16
Figure US10226456-20190312-C00322
(R)-2-(((S)-4-(((4R,4aS, 7aR,12bS)-4a,9-dihydroxy-3- methyl-2,3,4,4a,5,7a-hexahydro- 1H-4,12-methanobenzofuro [3,2-e]isoquinolin-7-yl)oxy)-3- hydroxy-4-oxobutanoyl) oxy)succinic acid
D17
Figure US10226456-20190312-C00323
(S)-2-(((S)-4-(((4R,4aS,7aR,12bS)- 4a,9-dihydroxy-3-methyl-2,3,4, 4a,5,7a-hexahydro-1H-4,12- methanobenzofuro[3,2-e] isoquinolin-7-yl)oxy)-2- hydroxy-4-oxobutanoyl)oxy)- 2-phenylacetic acid
D18
Figure US10226456-20190312-C00324
(S)-2-(((S)-4-(((4R,4aS,7aR, 12bS)-4a,9-dihydroxy-3- methyl-2,3,4,4a,5,7a-hexahydro- 1H-4,12-methanobenzofuro [3,2-e]isoquinolin-7-yl)oxy)-3- hydroxy-4-oxobutanoyl)oxy)- 2-phenylacetic acid
D19
Figure US10226456-20190312-C00325
(S)-2-(((S)-2-(((S)- 2-acetamido-6- aminohexanoyl)oxy) propanoyl)oxy)-4-(((4R,4aS,7aR, 12bS)-4a,9-dihydroxy-3-methyl- 2,3,4,4a,5,7a-hexahydro-1H-4,12- methanobenzofuro[3,2-e] isoquinolin-7-yl)oxy)-4- oxobutanoic acid
D20
Figure US10226456-20190312-C00326
(S)-2-(((S)-2-((S)-2- acetamido-6-amino- hexanamido)propanoyl) oxy)-4-(((4R,4aS,7aR,12bS)- 4a,9-dihydroxy-3-methyl- 2,3,4,4a,5,7a-hexahydro-1H- 4,12-methanobenzofuro [3,2-e]isoquinolin-7-yl)oxy)-4- oxobutanoic acid
D21
Figure US10226456-20190312-C00327
(S)-2-((3-((S)-2- acetamido-6-amino- hexanamido)propanoyl)oxy)-4- (((4R,4aS,7aR,12bS)-4a,9- dihydroxy-3-methyl- 2,3,4,4a,5,7a-hexahydro- 1H-4,12-methanobenzofuro [3,2-e]isoquinolin-7-yl)oxy)-4- oxobutanoic acid
D22
Figure US10226456-20190312-C00328
(S)-2-(((S)-2-((4-(((4R,4aS, 7aR,12bS)-4a,9-dihydroxy- 3-methyl-2,3,4,4a,5,7a- hexahydro-1H-4,12-methano- benzofuro[3,2-e]isoquinolin- 7-yl)oxy)-4-oxobutanoyl)oxy) propanoyl)oxy)propanoic acid
D23
Figure US10226456-20190312-C00329
(S)-2-(((S)-2-((4-(((4R,4aS, 7aR,12bS)-4a,9-dihydroxy- 3-methyl-2,3,4,4a,5,7a-hexahydro- 1H-4,12-methanobenzofuro [3,2-e]isoquinolin-7-yl)oxy)-4- oxobutanoyl)oxy)propanoyl)oxy)- 2-phenylacetic acid
D24
Figure US10226456-20190312-C00330
(S)-2-(((S)-2-((4-(((4R,4aS, 7aR,12bS)-4a,9-dihydroxy- 3-methyl-2,3,4,4a,5,7a-hexahydro- 1H-4,12-methanobenzofuro [3,2-e]isoquinolin-7-yl)oxy)-4- oxobutanoyl)oxy)propanoyl) oxy)succinic acid
D25
Figure US10226456-20190312-C00331
(S)-2-((S)-2-((4-(((4R,4aS, 7aR,12bS)-4a,9-dihydroxy-3- methyl-2,3,4,4a,5,7a-hexahydro- 1H-4,12-methanobenzofuro [3,2-e]isoquinolin-7-yl)oxy)-4- oxobutanoyl)oxy)-2-phenylacetoxy) propanoic acid
D26
Figure US10226456-20190312-C00332
(S)-2-((S)-2-((4-(((4R,4aS,7aR, 12bS)-4a,9-dihydroxy-3- methyl-2,3,4,4a,5,7a-hexahydro- 1H-4,12-methanobenzofuro [3,2-e]isoquinolin-7-yl)oxy)-4- oxobutanoyl)oxy)-2- phenylacetoxy)-2-phenylacetic acid
D27
Figure US10226456-20190312-C00333
(S)-2-((S)-2-((4-(((4R,4aS, 7aR,12bS)-4a,9-dihydroxy-3- methyl-2,3,4,4a,5,7a-hexahydro- 1H-4,12-methanobenzofuro [3,2-e]isoquinolin-7-yl)oxy)-4- oxobutanoyl)oxy)-2-phenylacetoxy) succinic acid
D28
Figure US10226456-20190312-C00334
(R)-2-((S)-2-((4-(((4R,4aS,7aR, 12bS)-4a,9-dihydroxy-3- methyl-2,3,4,4a,5,7a-hexahydro- 1H-4,12-methanobenzofuro [3,2-e]isoquinolin-7-yl)oxy)-4- oxobutanoyl)oxy)-2-phenylacetoxy) succinic acid
D29
Figure US10226456-20190312-C00335
(S)-2-((S)-2-((4-((4R,4aS,7aR, 12bS)-4a,9-dihydroxy-3- methyl-2,3,4,4a,5,7a-hexahydro- 1H-4,12-methanobenzofuro [3,2-e]isoquinolin-7-yl)oxy)-4- oxobutanoyl)oxy)propanamido) propanoic acid
D30
Figure US10226456-20190312-C00336
(S)-2-((S)-2-((4-(((4R,4aS,7aR, 12bS)-4a,9-dihydroxy-3- methyl-2,3,4,4a,5,7a- hexahydro-1H-4,12-methanobenzofuro [3,2-e]isoquinolin-7-yl)oxy)-4- oxobutanoyl)oxy)propanamido)-4- methylpentanoic acid
D31
Figure US10226456-20190312-C00337
(S)-2-((S)-2-((4-(((4R,4aS,7aR, 12bS)-4a,9-dihydroxy-3- methyl-2,3,4,4a,5,7a-hexahydro- 1H-4,12-methanobenzofuro [3,2-e]isoquinolin-7-yl)oxy)-4- oxobutanoyl)oxy)propanamido) succinic acid
D32
Figure US10226456-20190312-C00338
(R)-2-((S)-2-((4-(((4R,4aS,7aR, 12bS)-4a,9-dihydroxy-3-methyl- 2,3,4,4a,5,7a-hexahydro-1H-4,12- methanobenzofuro[3,2-e]isoquinolin- 7-yl)oxy)-4-oxobutanoyl)oxy) propanamido)succinic acid
D33
Figure US10226456-20190312-C00339
(S)-2-(((S)-4-(((4R,4aS,7aR, 12bS)-4a,9-dihydroxy-3- methyl-2,3,4,4a,5,7a-hexahydro- 1H-4,12-methanobenzofuro [3,2-e]isoquinolin-7-yl)oxy)-2- (((S)-2-hydroxypropanoyl)oxy)- 4-oxobutanoyl)oxy)propanoic acid
D34
Figure US10226456-20190312-C00340
(S)-2-(((S)-2-((3-aminopropanoyl) oxy)-4-(((4R,4aS,7aR,12bS)- 4a,9-dihydroxy-3-methyl- 2,3,4,4a,5,7a-hexahydro- 1H-4,12-methanobenzofuro [3,2-e]isoquinolin-7-yl)oxy)-4- oxobutanoyl)oxy)propanoic acid
D35
Figure US10226456-20190312-C00341
(S)-2-(((S)-4-(((4R,4aS,7aR, 12bS)-4a,9-dihydroxy-3-methyl- 2,3,4,4a,5,7a-hexahydro-1H-4,12- methanobenzofuro[3,2-e]isoquinolin- 7-yl)oxy)-2-((3-((S)-2- hydroxypropanamido)propanoyl) oxy)-4-oxobutanoyl)oxy) propanoic acid
D36
Figure US10226456-20190312-C00342
(2R,3R)-4-(((S)-1-((S)-1- carboxyethoxy)-4- (((4R,4aS,7aR,12bS)-4a,9- dihydroxy-3-methyl-2,3,4,4a, 5,7a-hexahydro-1H-4,12- methanobenzofuro[3,2-e]isoquinolin- 7-yl)oxy)-1,4-dioxobutan-2- yl)oxy)-2,3-dihydroxy-4-oxobutanoic acid
D37
Figure US10226456-20190312-C00343
(S)-4-(((S)-1-((S)-1- carboxyethoxy)-4-(((4R,4aS, 7aR,12bS)-4a,9-dihydroxy-3- methyl-2,3,4,4a,5,7a- hexahydro-1H-4,12- methanobenzofuro[3,2-e]isoquinolin- 7-yl)oxy)-1,4- dioxobutan-2-yl)oxy)-2-hydroxy- 4-oxobutanoic acid
D38
Figure US10226456-20190312-C00344
(S)-2-(((S)-4-(((4R,4aS,7aR, 12bS)-4a,9-dihydroxy-3- methyl-2,3,4,4a,5,7a-hexahydro- 1H-4,12-methanobenzofuro [3,2-e]isoquinolin-7-yl)oxy)-2- hydroxy-4-oxobutanoyl)oxy)succinic acid
D39
Figure US10226456-20190312-C00345
(S)-2-(((S)-2-acetoxy-4- (((4R,4aS,7aR,12bS)-4a,9- dihydroxy-3-methyl-2,3,4,4a,5,7a- hexahydro-1H-4,12-methano- benzofuro[3,2-e]isoquinolin-7-yl)oxy)- 4-oxobutanoyl)oxy)succinic acid
D40
Figure US10226456-20190312-C00346
(R)-2-(((S)-4-(((4R,4aS,7aR, 12bS)-4a,9-dihydroxy-3- methyl-2,3,4,4a,5,7a-hexahydro- 1H-4,12-methanobenzofuro [3,2-e]isoquinolin-7-yl)oxy)-2- hydroxy-4-oxobutanoyl)oxy) succinic acid
D41
Figure US10226456-20190312-C00347
(R)-2-(((S)-2-acetoxy-4- (((4R,4aS,7aR,12bS)-4a,9- dihydroxy-3-methyl-2,3,4,4a,5,7a- hexahydro-1H-4,12- methanobenzofuro[3,2-e]isoquinolin- 7-yl)oxy)-4- oxobutanoyl)oxy)succinic acid
D42
Figure US10226456-20190312-C00348
(S)-2-(((S)-4-(((4R,4aS,7aR, 12bS)-4a,9-dihydroxy-3-methyl- 2,3,4,4a,5,7a-hexahydro-1H-4,12- methanobenzofuro[3,2-e]isoquinolin- 7-yl)oxy)-3-hydroxy-4-oxobutanoyl) oxy)succinic acid
D43
Figure US10226456-20190312-C00349
(R)-2-(((S)-4-(((4R,4aS,7aR, 12bS)-4a,9-dihydroxy-3-methyl- 2,3,4,4a,5,7a-hexahydro-1H-4,12- methanobenzofuro[3,2-e]isoquinolin- 7-yl)oxy)-3-hydroxy-4-oxobutanoyl) oxy)succinic acid
D44
Figure US10226456-20190312-C00350
(S)-2-(((S)-2-(((S)-4- (((4R,4aS,7aR,12bS)-4a,9- dihydroxy-3-methyl-2,3,4,4a,5,7a- hexahydro-1H-4,12-methanobenzo- furo[3,2-e]isoquinolin-7-yl)oxy)-2- hydroxy-4-oxobutanoyl)oxy) propanoyl)oxy)propanoic acid
D45
Figure US10226456-20190312-C00351
(S)-2-(((S)-2-(((S)-2-acetoxy- 4-(((4R,4aS,7aR,12bS)- 4a,9-dihydroxy-3-methyl-2,3,4, 4a,5,7a-hexahydro-1H- 4,12-methanobenzofuro[3,2-e] isoquinolin-7-yl)oxy)-4- oxobutanoyl)oxy)propanoyl) oxy)propanoic acid
D46
Figure US10226456-20190312-C00352
(S)-2-(((S)-2-(((S)-4-(((4R,4aS, 7aR,12bS)-4a,9- dihydroxy-3-methyl-2,3,4,4a,5,7a- hexahydro-1H-4,12- methanobenzofuro[3,2-e]isoquinolin- 7-yl)oxy)-2-hydroxy-4- oxobutanoyl)oxy)propanoyl)oxy)-2- phenylacetic acid
D47
Figure US10226456-20190312-C00353
(S)-2-(((S)-2-(((S)-2-acetoxy- 4-(((4R,4aS,7aR,12bS)- 4a,9-dihydroxy-3-methyl-2,3,4, 4a,5,7a-hexahydro-1H- 4,12-methanobenzofuro [3,2-e]isoquinolin-7-yl)oxy)-4- oxobutanoyl)oxy)propanoyl) oxy)-2-phenylacetic acid
D48
Figure US10226456-20190312-C00354
(S)-2-(((S)-2-(((S)-4- (((4R,4aS,7aR,12bS)-4a,9- dihydroxy-3-methyl-2,3,4, 4a,5,7a-hexahydro-1H-4,12- methanobenzofuro[3,2-e]isoquinolin- 7-yl)oxy)-2-hydroxy-4-oxobutanoyl) oxy)propanoyl)oxy)succinic acid
D49
Figure US10226456-20190312-C00355
(S)-2-(((S)-2-(((S)-2-acetoxy- 4-(((4R,4aS,7aR,12bS)- 4a,9-dihydroxy-3-methyl-2,3,4, 4a,5,7a-hexahydro-1H- 4,12-methanobenzofuro [3,2-e]isoquinolin-7-yl)oxy)-4- oxobutanoyl)oxy)propanoyl) oxy)succinic acid
D50
Figure US10226456-20190312-C00356
(R)-2-(((S)-2-(((S)-4- (((4R,4aS,7aR,12bS)-4a,9- dihydroxy-3-methyl-2,3,4,4a, 5,7a-hexahydro-1H-4,12- methanobenzofuro[3,2-e] isoquinolin-7-yl)oxy)-2- hydroxy-4-oxobutanoyl)oxy) propanoyl)oxy)succinic acid
D51
Figure US10226456-20190312-C00357
(R)-2-(((S)-2-(((S)-2-acetoxy- 4-(((4R,4aS,7aR,12bS)- 4a,9-dihydroxy-3-methyl- 2,3,4,4a,5,7a-hexahydro-1H- 4,12-methanobenzofuro [3,2-e]isoquinolin-7-yl)oxy)-4- oxobutanoyl)oxy)propanoyl) oxy)succinic acid
D52
Figure US10226456-20190312-C00358
(S)-2-(((S)-2-(((S)-4- (((4R,4aS,7aR,12bS)-4a,9- dihydroxy-3-methyl-2,3,4,4a, 5,7a-hexahydro-1H-4,12- methanobenzofuro[3,2-e] isoquinolin-7-yl)oxy)-3- hydroxy-4-oxobutanoyl)oxy) propanoyl)oxy)propanoic acid
D53
Figure US10226456-20190312-C00359
(S)-2-(((S)-2-(((S)-4-(((4R, 4aS,7aR,12bS)-4a,9- dihydroxy-3-methyl-2,3,4,4a, 5,7a-hexahydro-1H-4,12- methanobenzofuro[3,2-e] isoquinolin-7-yl)oxy)-3- hydroxy-4-oxobutanoyl) oxy)propanoyl)oxy)-2- phenylacetic acid
D54
Figure US10226456-20190312-C00360
(S)-2-(((S)-2-(((S)-4- (((4R,4aS,7aR,12bS)-4a,9- dihydroxy-3-methyl-2,3,4, 4a,5,7a-hexahydro-1H-4,12- methanobenzofuro[3,2-e] isoquinolin-7-yl)oxy)-3- hydroxy-4-oxobutanoyl)oxy) propanoyl)oxy)succinic acid
D55
Figure US10226456-20190312-C00361
(R)-2-(((S)-2-(((S)-4- (((4R,4aS,7aR,12bS)-4a,9- dihydroxy-3-methyl-2,3,4,4a, 5,7a-hexahydro-1H-4,12- methanobenzofuro[3,2-e] isoquinolin-7-yl)oxy)-3- hydroxy-4-oxobutanoyl)oxy) propanoyl)oxy)succinic acid
D56
Figure US10226456-20190312-C00362
(S)-2-((S)-2-(((S)-4- (((4R,4aS,7aR,12bS)-4a,9- dihydroxy-3-methyl-2,3,4,4a, 5,7a-hexahydro-1H-4,12- methanobenzofuro[3,2-e] isoquinolin-7-yl)oxy)-2- hydroxy-4-oxobutanoyl)oxy)-2- phenylacetoxy)propanoic acid
D57
Figure US10226456-20190312-C00363
(S)-2-((S)-2-(((S)-2-acetoxy- 4-(((4R,4aS,7aR,12bS)- 4a,9-dihydroxy-3-methyl-2,3, 4,4a,5,7a-hexahydro-1H- 4,12-methanobenzofuro [3,2-e]isoquinolin-7-yl)oxy)-4- oxobutanoyl)oxy)-2-phenyl- acetoxy)propanoic acid
D58
Figure US10226456-20190312-C00364
(S)-2-((S)-2-(((S)-4-(((4R, 4aS,7aR,12bS)-4a,9- dihydroxy-3-methyl-2,3,4,4a,5, 7a-hexahydro-1H-4,12- methanobenzofuro[3,2-e] isoquinolin-7-yl)oxy)-2- hydroxy-4-oxobutanoyl)oxy)- 2-phenylacetoxy)-2- phenylacetic acid
D59
Figure US10226456-20190312-C00365
(S)-2-((S)-2-(((S)-2-acetoxy- 4-(((4R,4aS,7aR,12bS)- 4a,9-dihydroxy-3-methyl-2,3,4, 4a,5,7a-hexahydro-1H- 4,12-methanobenzofuro[3,2-e] isoquinolin-7-yl)oxy)-4- oxobutanoyl)oxy)-2-phenylacetoxy)- 2-phenylacetic acid
D60
Figure US10226456-20190312-C00366
(S)-2-(((S)-2-(((S)-4-(((4R, 4aS,7aR,12bS)-4a,9- dihydroxy-3-methyl-2,3,4,4a, 5,7a-hexahydro-1H-4,12- methanobenzofuro[3,2-e] isoquinolin-7-yl)oxy)-2-(((S)-2- hydroxypropanoyl)oxy)-4- oxobutanoyl)oxy)propanoyl) oxy)propanoic acid
D61
Figure US10226456-20190312-C00367
(S)-2-(((S)-4-(((4R,4aS,7aR, 12bS)-4a,9-dihydroxy-3- methyl-2,3,4,4a,5,7a-hexahydro- 1H-4,12-methanobenzofuro [3,2-e]isoquinolin-7-yl)oxy)- 2-(((S)-2-hydroxypropanoyl) oxy)-4-oxobutanoyl)oxy)succinic acid
D62
Figure US10226456-20190312-C00368
(R)-2-(((S)-4-(((4R,4aS,7aR, 12bS)-4a,9-dihydroxy-3- methyl-2,3,4,4a,5,7a-hexahydro- 1H-4,12-methanobenzofuro [3,2-e]isoquinolin-7-yl)oxy)-2-(((S)-2- hydroxypropanoyl)oxy)-4- oxobutanoyl)oxy)succinic acid
D63
Figure US10226456-20190312-C00369
(S)-2-(((S)-2-(((S)-4-(((4R, 4aS,7aR,12bS)-4a,9-dihydroxy- 3-methyl-2,3,4,4a,5,7a- hexahydro-1H-4,12- methanobenzofuro[3,2-e] isoquinolin-7-yl)oxy)-2-(((S)-2- hydroxypropanoyl)oxy)-4- oxobutanoyl)oxy)propanoyl) oxy)succinic acid
D64
Figure US10226456-20190312-C00370
(R)-2-(((S)-2-(((S)-4-(((4R, 4aS,7aR,12bS)-4a,9-dihydroxy-3- methyl-2,3,4,4a,5,7a-hexa- hydro-1H-4,12-methanobenzofuro [3,2-e]isoquinolin-7-yl)oxy)-2-(((S)-2- hydroxypropanoyl)oxy)-4- oxobutanoyl)oxy)propanoyl) oxy)succinic acid
D65
Figure US10226456-20190312-C00371
(S)-4-(((S)-1-(((S)-1-((S)- 1-carboxyethoxy)-1-oxopropan- 2-yl)oxy)-4-(((4R,4aS,7aR,12bS)- 4a,9-dihydroxy-3-methyl- 2,3,4,4a,5,7a-hexahydro-1H-4,12- methanobenzofuro[3,2-e] isoquinolin-7-yl)oxy)-1,4-dioxobutan- 2-yl)oxy)-2-hydroxy-4-oxobutanoic acid
D66
Figure US10226456-20190312-C00372
(S)-2-(((S)-2-(((S)-3-carboxy- 3-hydroxypropanoyl)oxy)- 4-(((4R,4aS,7aR,12bS)-4a,9- dihydroxy-3-methyl- 2,3,4,4a,5,7a-hexahydro-1H-4,12- methanobenzofuro[3,2-e] isoquinolin-7-yl)oxy)-4- oxobutanoyl)oxy)succinic acid
D67
Figure US10226456-20190312-C00373
(R)-2-(((S)-2-(((S)-3-carboxy-3- hydroxypropanoyl)oxy)- 4-(((4R,4aS,7aR,12bS)-4a,9- dihydroxy-3-methyl- 2,3,4,4a,5,7a-hexahydro-1H-4,12- methanobenzofuro[3,2-e]isoquinolin- 7-yl)oxy)-4-oxobutanoyl)oxy) succinic acid
D68
Figure US10226456-20190312-C00374
(S)-2-(((S)-2-(((S)-2-(((S)- 3-carboxy-3-hydroxypropanoyl) oxy)-4-(((4R,4aS,7aR,12bS)-4a,9- dihydroxy-3-methyl-2,3,4,4a,5,7a- hexahydro-1H-4,12-methano- benzofuro[3,2-e]isoquinolin-7-yl) oxy)-4-oxobutanoyl)oxy) propanoyl)oxy)succinic acid
D69
Figure US10226456-20190312-C00375
(R)-2-(((S)-2-(((S)-2-(((S)- 3-carboxy-3-hydroxypropanoyl) oxy)-4-(((4R,4aS,7aR,12bS)-4a,9- dihydroxy-3-methyl-2,3,4,4a,5,7a- hexahydro-1H-4,12- methanobenzofuro [3,2-e]isoquinolin-7-yl)oxy)-4- oxobutanoyl)oxy)propanoyl)oxy) succinic acid
D70
Figure US10226456-20190312-C00376
(2R,3R)-4-(((S)-1-((S)-1- carboxyethoxy)-1-oxopropan-2-yl) oxy)-4-(((4R,4aS,7aR,12bS)-4a,9- dihydroxy-3-methyl-2,3,4,4a, 5,7a-hexahydro-1H-4,12- methanobenzofuro[3,2-e] isoquinolin-7-yl)oxy)-1,4-dioxobutan- 2-yl)oxy)-2,3-dihydroxy-4- oxobutanoic acid
D71
Figure US10226456-20190312-C00377
(S)-2-(((S)-2-(((2R,3R)-3-carboxy- 2,3-dihydroxypropanoyl)oxy)- 4-(((4R,4aS,7aR,12bS)-4a,9- dihydroxy-3-methyl-2,3,4,4a,5,7a- hexahydro-1H-4,12- methanobenzofuro[3,2-e] isoquinolin-7-yl)oxy)-4- oxobutanoyl)oxy)succinic acid
D72
Figure US10226456-20190312-C00378
(R)-2-(((S)-2-(((2R,3R)-3-carboxy- 2,3-dihydroxypropanoyl)oxy)- 4-(((4R,4aS,7aR,12bS)-4a,9- dihydroxy-3-methyl-2,3,4,4a,5,7a- hexahydro-1H-4,12-methano- benzofuro[3,2-e]isoquinolin-7-yl)oxy)- 4-oxobutanoyl)oxy)succinic acid
D73
Figure US10226456-20190312-C00379
(S)-2-(((S)-2-(((S)-2-(((2R,3R)- 3-carboxy-2,3-dihydroxypropanoyl) oxy)-4-(((4R,4aS,7aR,12bS)-4a,9- dihydroxy-3-methyl-2,3,4,4a,5,7a- hexahydro-1H-4,12-methanobenzo- furo[3,2-e]isoquinolin-7-yl)oxy)-4- oxobutanoyl)oxy)propanoyl)oxy) succinic acid
D74
Figure US10226456-20190312-C00380
(R)-2-(((S)-2-(((S)-2-(((2R, 3R)-3-carboxy-2,3-dihydroxy- propanoyl)oxy)-4-(((4R,4aS,7aR, 12bS)-4a,9-dihydroxy-3-methyl- 2,3,4,4a,5,7a-hexahydro-1H-4,12- methanobenzofuro[3,2-e]isoquinolin- 7-yl)oxy)-4-oxobutanoyl)oxy) propanoyl)oxy)succinic acid
D75
Figure US10226456-20190312-C00381
(S)-2-((S)-2-(((S)-4- (((4R,4aS,7aR,12bS)-4a,9- dihydroxy-3-methyl-2,3,4,4a,5,7a- hexahydro-1H-4,12- methanobenzofuro[3,2-e] isoquinolin-7-yl)oxy)-2- hydroxy-4-oxobutanoyl)oxy)-2- phenylacetoxy)succinc acid
D76
Figure US10226456-20190312-C00382
(S)-2-((S)-2-(((S)-2-acetoxy- 4-(((4R,4aS,7aR,12bS)-4a,9- dihydroxy-3-methyl-2,3,4,4a,5, 7a-hexahydro-1H-4,12-methano- benzofuro[3,2-e]isoquinolin-7- yl)oxy)-4-oxobutanoyl)oxy)-2- phenylacetoxy)succinic acid
D77
Figure US10226456-20190312-C00383
(R)-2-((S)-2-(((S)-4-(((4R, 4aS,7aR,12bS)-4a,9-dihydroxy- 3-methyl-2,3,4,4a,5,7a-hexahydro- 1H-4,12-methanobenzofuro[3,2-e] isoquinolin-7-yl)oxy)-2- hydroxy-4-oxobutanoyl)oxy)-2- phenylacetoxy)succinic acid
D78
Figure US10226456-20190312-C00384
(R)-2-((S)-2-(((S)-2-acetoxy- 4-(((4R,4aS,7aR,12bS)-4a,9- dihydroxy-3-methyl-2,3,4,4a,5,7a- hexahydro-1H-4,12- methanobenzofuro [3,2-e]isoquinolin-7-yl)oxy)-4- oxobutanoyl)oxy)-2-phenylacetoxy) succinic acid
D79
Figure US10226456-20190312-C00385
(S)-2-((S)-2-(((S)-4-(((4R,4aS, 7aR,12bS)-4a,9-dihydroxy-3- methyl-2,3,4,4a,5,7a-hexahydro- 1H-4,12-methanobenzofuro [3,2-e]isoquinolin-7-yl)oxy)-3- hydroxy-4-oxobutanoyl)oxy)-2- phenylacetoxy)propanoic acid
D80
Figure US10226456-20190312-C00386
(S)-2-((S)-2-(((S)-4-(((4R, 4aS,7aR,12bS)-4a,9-dihydroxy- 3-methyl-2,3,4,4a,5,7a-hexahydro- 1H-4,12-methanobenzofuro [3,2-e]isoquinolin-7-yl)oxy)-3- hydroxy-4-oxobutanoyl)oxy)- 2-phenylacetoxy)-2- phenylacetic acid
D81
Figure US10226456-20190312-C00387
(S)-2-((S)-2-(((S)-4-(((4R, 4aS,7aR,12bS)-4a,9-dihydroxy-3- methyl-2,3,4,4a,5,7a-hexahydro- 1H-4,12-methanobenzofuro [3,2-e]isoquinolin-7-yl)oxy)-3- hydroxy-4-oxobutanoyl)oxy)-2- phenylacetoxy)succinic acid
D82
Figure US10226456-20190312-C00388
(R)-2-((S)-2-(((S)-4-(((4R, 4aS,7aR,12bS)-4a,9-dihydroxy- 3-methyl-2,3,4,4a,5,7a-hexahydro- 1H-4,12-methanobenzofuro [3,2-e]isoquinolin-7-yl)oxy)-3- hydroxy-4-oxobutanoyl)oxy)-2- phenylacetoxy)succinic acid
D83
Figure US10226456-20190312-C00389
(S)-2-((S)-2-(((S)-4-(((4R, 4aS,7aR,12bS)-4a,9-dihydroxy-3- methyl-2,3,4,4a,5,7a-hexahydro- 1H-4,12-methanobenzofuro [3,2-e]isoquinolin-7-yl)oxy)-2- hydroxy-4-oxobutanoyl)oxy) propanamido)propanoic acid
D84
Figure US10226456-20190312-C00390
(S)-2-((S)-2-(((S)-2-acetoxy- 4-(((4R,4aS,7aR,12bS)-4a,9- dihydroxy-3-methyl-2,3,4,4a,5,7a- hexahydro-1H-4,12- methanobenzofuro [3,2-e]isoquinolin-7-yl)oxy)-4- oxobutanoyl)oxy)propanamido) propanoic acid
D85
Figure US10226456-20190312-C00391
(S)-2-((S)-2-(((S)-4-(((4R,4aS, 7aR,12bS)-4a,9-dihydroxy-3- methyl-2,3,4,4a,5,7a-hexahydro- 1H-4,12-methanobenzofuro [3,2-e]isoquinolin-7-yl)oxy)-2- hydroxy-4-oxobutanoyl)oxy) propanamido)-4-methylpentanoic acid
D86
Figure US10226456-20190312-C00392
(S)-2-((S)-2-(((S)-2-acetoxy-4- (((4R,4aS,7aR,12bS)-4a,9- dihydroxy-3-methyl-2,3,4,4a,5,7a- hexahydro-1H-4,12- methanobenzofuro [3,2-e]isoquinolin-7-yl)oxy)-4- oxobutanoyl)oxy)propanamido)- 4-methylpentanoic acid
D87
Figure US10226456-20190312-C00393
(S)-2-((S)-2-(((S)-4-(((4R, 4aS,7aR,12bS)-4a,9-dihydroxy- 3-methyl-2,3,4,4a,5,7a-hexahydro- 1H-4,12-methanobenzofuro [3,2-e]isoquinolin-7-yl)oxy)-2- hydroxy-4-oxobutanoyl)oxy) propanamido)succinic acid
D88
Figure US10226456-20190312-C00394
(S)-2-((S)-2-(((S)-2-acetoxy-4- (((4R,4aS,7aR,12bS)-4a,9- dihydroxy-3-methyl-2,3,4,4a,5,7a- hexahydro-1H-4,12- methanobenzofuro [3,2-e]isoquinolin-7-yl)oxy)-4- oxobutanoyl)oxy)propanamido) succinic acid
D89
Figure US10226456-20190312-C00395
(R)-2-((S)-2-(((S)-4-(((4R, 4aS,7aR,12bS)-4a,9-dihydroxy-3- methyl-2,3,4,4a,5,7a-hexahydro- 1H-4,12-methanobenzofuro [3,2-e]isoquinolin-7-yl)oxy)-2- hydroxy-4-oxobutanoyl)oxy) propanamido)succinic acid
D90
Figure US10226456-20190312-C00396
(R)-2-((S)-2-(((S)-2-acetoxy-4- (((4R,4aS,7aR,12bS)-4a,9-dihydroxy- 3-methyl-2,3,4,4a,5,7a- hexahydro-1H-4,12-methano- benzofuro[3,2-e]isoquinolin-7-yl) oxy)-4-oxobutanoyl)oxy) propanamido)succinic acid
D91
Figure US10226456-20190312-C00397
(S)-2-((S)-2-(((S)-4-(((4R, 4aS,7aR,12bS)-4a,9-dihydroxy-3- methyl-2,3,4,4a,5,7a-hexahydro- 1H-4,12-methanobenzofuro [3,2-e]isoquinolin-7-yl)oxy)-3- hydroxy-3-oxobutanoyl)oxy) propanamido)propanoic acid
D92
Figure US10226456-20190312-C00398
(S)-2-((S)-2-(((S)-4-(((4R, 4aS,7aR,12bS)-4a,9-dihydroxy- 3-methyl-2,3,4,4a,5,7a-hexahydro- 1H-4,12-methanobenzofuro[3,2-e] isoquinolin-7-yl)oxy)-3-hydroxy-4- oxobutanoyl)oxy)propanamido)-4- methylpentanoic acid
D93
Figure US10226456-20190312-C00399
(S)-2-((S)-2-(((S)-4-(((4R,4aS, 7aR,12bS)-4a,9-dihydroxy-3- methyl-2,3,4,4a,5,7a-hexahydro- 1H-4,12-methanobenzofuro[3,2-e] isoquinolin-7-yl)oxy)-3- hydroxy-4-oxobutanoyl)oxy) propanamido)succinic acid
D94
Figure US10226456-20190312-C00400
(R)-2-((S)-2-(((S)-4-(((4R, 4aS,7aR,12bS)-4a,9-dihydroxy-3- methyl-2,3,4,4a,5,7a-hexahydro- 1H-4,12-methanobenzofuro [3,2-e]isoquinolin-7-yl)oxy)-3- hydroxy-4-oxobutanoyl)oxy) propanamido)succinic acid
D95
Figure US10226456-20190312-C00401
(S)-2-(((S)-2-(((2R,3R)-4-(((4R, 4aS,7aR,12bS)-4a,9-dihydroxy-3- methyl-2,3,4,4a,5,7a-hexahydro- 1H-4,12-methanobenzofuro [3,2-e]isoquinolin-7-yl)oxy)-2,3- dihydroxy-4-oxobutanoyl)oxy) propanoyl)oxy)-2-phenylacetic acid
D96
Figure US10226456-20190312-C00402
(S)-2-(((S)-2-(((2R,3R)-4-(((4R, 4aS,7aR,12bS)-4a,9-dihydroxy- 3-methyl-2,3,4,4a,5,7a-hexahydro- 1H-4,12-methanobenzofuro [3,2-e]isoquinolin-7-yl)oxy)-2,3- dihydroxy-4-oxobutanoyl)oxy) propanoyl)oxy)succinic acid
D97
Figure US10226456-20190312-C00403
(R)-2-(((S)-2-(((2R,3R)-4-(((4R, 4aS,7aR,12bS)-4a,9-dihydroxy- 3-methyl-2,3,4,4a,5,7a-hexahydro- 1H-4,12-methanobenzofuro [3,2-e]isoquinolin-7-yl)oxy)-2,3- dihydroxy-4-oxobutanoyl)oxy) propanoyl)oxy)succinic acid
D98
Figure US10226456-20190312-C00404
(S)-2-((S)-2-(((2R,3R)-4-(((4R, 4aS,7aR,12bS)-4a,9-dihydroxy- 3-methyl-2,3,4,4a,5,7a-hexahydro- 1H-4,12-methanobenzofuro [3,2-e]isoquinolin-7-yl)oxy)-2,3- dihydroxy-4-oxobutanoyl)oxy)-2- phenylacetoxy)propanoic acid
D99
Figure US10226456-20190312-C00405
(S)-2-((S)-2-(((2R,3R)-4-(((4R, 4aS,7aR,12bS)-4a,9-dihydroxy- 3-methyl-2,3,4,4a,5,7a-hexahydro- 1H-4,12-methanobenzofuro [3,2-e]isoquinolin-7-yl)oxy)-2,3- dihydroxy-4-oxobutanoyl)oxy)-2- phenylacetoxy)-2-phenylacetic acid
D100
Figure US10226456-20190312-C00406
(S)-2-((S)-2-(((2R,3R)-4-(((4R, 4aS,7aR,12bS)-4a,9-dihydroxy-3- methyl-2,3,4,4a,5,7a-hexahydro- 1H-4,12-methanobenzofuro [3,2-e]isoquinolin-7-yl)oxy)-2,3- dihydroxy-4-oxobutanoyl)oxy)-2- phenylacetoxy)succinic acid
D101
Figure US10226456-20190312-C00407
(R)-2-((S)-2-(((2R,3R)-4-(((4R, 4aS,7aR,12bS)-4a,9-dihydroxy-3- methyl-2,3,4,4a,5,7a-hexahydro- 1H-4,12-methanobenzofuro [3,2-e]isoquinolin-7-yl)oxy)-2,3- dihydroxy-4-oxobutanoyl)oxy)-2- phenylacetoxy)succinic acid
D102
Figure US10226456-20190312-C00408
(S)-2-((S)-2-(((2R,3R)-4-(((4R, 4aS,7aR,12bS)-4a,9-dihydroxy-3- methyl-2,3,4,4a,5,7a-hexahydro- 1H-4,12-methanobenzofuro [3,2-e]isoquinolin-7-yl)oxy)-2,3- dihydroxy-4-oxobutanoyl)oxy) propanamido)-4- methylpentanoic acid
D103
Figure US10226456-20190312-C00409
(S)-2-((S)-2-(((2R,3R)-4-(((4R, 4aS,7aR,12bS)-4a,9-dihydroxy-3- methyl-2,3,4,4a,5,7a-hexahydro- 1H-4,12-methanobenzofuro [3,2-e]isoquinolin-7-yl)oxy)-2,3- dihydroxy-4-oxobutanoyl)oxy) propanamido)succinic acid
D104
Figure US10226456-20190312-C00410
(R)-2-((S)-2-(((2R,3R)-4-(((4R, 4aS,7aR,12bS)-4a,9-dihydroxy- 3-methyl-2,3,4,4a,5,7a-hexahydro- 1H-4,12-methanobenzofuro [3,2-e]isoquinolin-7-yl)oxy)-2,3- dihydroxy-4-oxobutanoyl)oxy) propanamido)succinic acid
As such, in another aspect, certain embodiments of the present invention provide a drug delivery system comprising an abuse-resistant opioid compound. In such embodiments, as described above, the abuse-resistant opioid compound comprises an opioid covalently bound to a chemical moiety.
In another aspect, certain embodiments of the present invention provide a method of preventing opioid abuse. In such embodiments, the method comprises administering a therapeutically effective amount of an opioid compound (a compound of one of the formulas described above) to a subject. In some embodiments, the opioid compound may exhibit one or more of the following advantages over free opioids. The opioid compound may prevent overdose by exhibiting a reduced pharmacological activity when administered at higher than therapeutic doses, e.g., higher than the prescribed dose. Yet when the opioid compound is administered at therapeutic doses, the opioid compound may retain similar pharmacological activity to that achieved by administering unbound opioids, e.g., Opana® ER. Also, the opioid compound may prevent abuse by exhibiting stability under conditions likely to be employed by illicit chemists attempting to release the amphetamine. The opioid compound may prevent abuse by exhibiting reduced bioavailability when it is administered via parenteral routes, particularly the intravenous (“shooting”), intranasal (“snorting”), and/or inhalation (“smoking”) routes that are often employed in illicit use. In particular, the chemical moiety X may not release the opioid until the opioid compound reaches the intestinal tract. Thus, the opioid compound may not be administered via routes typically associated with opioid abuse. As such, the opioid compound may reduce the euphoric effect associated with opioid abuse. Additionally, the opioid compound may prevent and/or reduce the potential of abuse and/or overdose when the opioid compound is used in a manner inconsistent with the manufacturer's instructions, e.g., consuming the opioid compound at a higher than therapeutic dose or via a non-oral route of administration.
According to certain embodiments of the present invention, the opioid compound remains inactive until oral administration releases the opioid. Without being bound by theory, it is believed that the opioid compound is inactive because the attachment of the chemical moiety reduces binding between the opioid and its biological target sites (e.g., opioid receptors located in the intestinal tract, brain, spinal cord, and peripheral sensory neurons). The opioid compound is activated by oral administration, that is, the opioid is released from the chemical moiety by hydrolysis, e.g., by enzymes in the intestinal tract. Because oral administration facilitates activation, activation is reduced or does not occur when the opioid compound is administered via parenteral routes often employed by illegal users. Further, it is believed that the opioid compound is resistant to abuse and/or overdose due to a natural gating mechanism at the site of hydrolysis, namely the intestinal tract. This gating mechanism is thought to allow the release of therapeutic amounts of opioid from the opioid compound but limit the release of higher amounts of opioid.
In another aspect, certain embodiments of the present invention provide a method of delivering an active ingredient to a subject. In such embodiments, the method comprises administering a therapeutically effective amount of an opioid compound to a subject (i.e. an amount sufficient to prevent, ameliorate, and/or eliminate the symptoms of a disease. In some embodiments, this method can be used to treat any disease that may benefit from opioid-type drugs including, but not limited to: acute and/or chronic back pain, chronic cancer pain, fibromyalgia, headaches, migraines, acute and/or chronic nerve pain, rheumatoid arthritis, and shortness of breath from cancer or cardiopulmonary syndromes (e.g., COPD).
In accordance with certain embodiments of the present invention, the method of delivering an active ingredient to a subject may further comprise administering at least one adjuvant analgesic in addition to administering an opioid compound. In such embodiments, the at least one adjuvant analgesic and the opioid compound can be formulated into a single dosage form, or they may be formulated together or separately among multiple dosage forms. The at least one adjuvant analgesic and the opioid compound can be administered simultaneously or sequentially in any order. Exemplary combination therapies include the administration of the drugs listed in Table 1:
TABLE 1
Exemplary drug therapies contemplated for
use in combination with an opioid compound
Exemplary Drug
ConditionClassSpecific exemplary drugs
Back PainAntidepressantElavil ®, Prozac ®, Paxil ®,
(TCA, SSRI)Zoloft ®, Effexor ®, Serzone ®.
Muscle RelaxantsSoma ®, Flexeril ®, Skelaxin ®.
α-2-AdrenergicZanaflex ®
Agonist
Cancer PainSteroidCorticosteroids
FibromyalgiaAnticonvulsantNeurontin ®, Lyrica ®.
HeadacheAntidepressantElavil ®, Prozac ®, Paxil ®,
(TCA, SSRI)Zoloft ®, Effexor ®, Serzone ®.
AnticonvulsantDepakote ®, Topamax ®.
α-2-AdrenergicZanaflex ®
Agonist
MigraineAntidepressantElavil ®, Prozac ®, Paxil ®,
(TCA, SSRI)Zoloft ®, Effexor ®, Serzone ®.
AnticonvulsantNeurontin ®, Lyrica ®.
SteroidCorticosteroids
Nerve PainAntidepressantElavil ®, Prozac ®, Paxil ®,
(TCA, SSRI)Zoloft ®, Effexor ®, Serzone ®.
AnticonvulsantNeurontin ®, Lyrica ®, Tegretol ®,
Dilantin ®, Depakote ®, Klonopin ®,
Topamax ®, Lamictal ®.
α-2-AdrenergicZanaflex ®, Catapres ®.
Agonist
Local AnestheticMexiletine
Muscle RelaxantBaclofen
NDMA ReceptorDextromethorphan, Ketamine,
AgonistAmantadine
Topical PainLidoderm ®, Capsaicin
Reliever
RheumatoidAntidepressantElavil ®, Prozac ®, Paxil ®,
Arthritis(TCA, SSRI)Zoloft ®, Effexor ®, Serzone ®.
Topical PainCapsaicin
Reliever
Shortness ofSteroidCorticosteroids
Breath
In another aspect, certain embodiments of the present invention provide a pharmaceutical composition comprising an abuse-resistant opioid compound and at least one pharmaceutical additive. In such embodiments, the abuse-resistant opioid compound may comprise an opioid covalently bound to a chemical moiety. Additionally, in such embodiments, the at least one pharmaceutical additive may include a wide range of materials including, but not limited to diluents and bulking substances, binders and adhesives, lubricants, glidants, plasticizers, disintegrants, carrier solvents, buffers, colorants, flavorings, sweeteners, preservatives and stabilizers, and other pharmaceutical additives known in the art.
Diluents increase the bulk of a dosage form and may make the dosage form easier to handle. Exemplary diluents include, but are not limited to, lactose, dextrose, saccharose, cellulose, starch, and calcium phosphate for solid dosage forms, e.g., tablets and capsules; olive oil and ethyl oleate for soft capsules; water and vegetable oil for liquid dosage forms, e.g., suspensions and emulsions. Additional suitable diluents include, but are not limited to, sucrose, dextrates, dextrin, maltodextrin, microcrystalline cellulose (e.g., Avicel®), microfine cellulose, powdered cellulose, pregelatinized starch (e.g., Starch 1500®), calcium phosphate dihydrate, soy polysaccharide (e.g., Emcosoy®), gelatin, silicon dioxide, calcium sulfate, calcium carbonate, magnesium carbonate, magnesium oxide, sorbitol, mannitol, kaolin, polymethacrylates (e.g., Eudragit®), potassium chloride, sodium chloride, and talc. In some embodiments, r the ranges for the amount of diluent by weight percent may include about 40% to about 90%, about 50% to about 85%, about 55% to about 80%, about 50% to about 60%, and increments therein.
In embodiments where the pharmaceutical composition is compacted into a solid dosage form, e.g., a tablet, a binder can help the ingredients hold together. Binders include, but are not limited to, sugars such as sucrose, lactose, and glucose; corn syrup; soy polysaccharide, gelatin; povidone (e.g., Kollidon®, Plasdone®); Pullulan; cellulose derivatives such as microcrystalline cellulose, hydroxypropylmethyl cellulose (e.g., Methocel®), hydroxypropyl cellulose (e.g., Klucel®), ethylcellulose, hydroxyethyl cellulose, carboxymethylcellulose sodium, and methylcellulose; acrylic and methacrylic acid co-polymers; carbomer (e.g., Carbopol®); polyvinylpolypyrrolidine, polyethylene glycol (Carbowax®); pharmaceutical glaze; alginates such as alginic acid and sodium alginate; gums such as acacia, guar gum, and arabic gums; tragacanth; dextrin and maltodextrin; milk derivatives such as whey; starches such as pregelatinized starch and starch paste; hydrogenated vegetable oil; and magnesium aluminum silicate.
For tablet dosage forms, the pharmaceutical composition is subjected to pressure from a punch and dye. Among other purposes, a lubricant can help prevent the composition from sticking to the punch and dye surfaces. A lubricant can also be used in the coating of a coated dosage form. Lubricants include, but are not limited to, magnesium stearate, calcium stearate, zinc stearate, powdered stearic acid, glyceryl monostearate, glyceryl palmitostearate, glyceryl behenate, silica, magnesium silicate, colloidal silicon dioxide, titanium dioxide, sodium benzoate, sodium lauryl sulfate, sodium stearyl fumarate, hydrogenated vegetable oil, talc, polyethylene glycol, and mineral oil. In certain embodiments, the amount of lubricant by weight percent may be less than about 5%, 4%, 3%, 2%, 1.5%, 1%, or 0.5%, or increments therein.
Glidants may improve the flowability of non-compacted solid dosage forms and may improve the accuracy of dosing. Glidants include, but are not limited to, colloidal silicon dioxide, fumed silicon dioxide, silica gel, talc, magnesium trisilicate, magnesium or calcium stearate, powdered cellulose, starch, and tribasic calcium phosphate.
Plasticizers may include both hydrophobic and hydrophilic plasticizers such as, but not limited to, diethyl phthalate, butyl phthalate, diethyl sebacate, dibutyl sebacate, triethyl citrate, acetyltriethyl citrate, acetyltributyl citrate, cronotic acid, propylene glycol, castor oil, triacetin, polyethylene glycol, propylene glycol, glycerin, and sorbitol. Plasticizers are particularly useful for pharmaceutical compositions containing a polymer and in soft capsules and film-coated tablets.
Disintegrants can increase the dissolution rate of a pharmaceutical composition. Disintegrants include, but are not limited to, alginates such as alginic acid and sodium alginate, carboxymethylcellulose calcium, carboxymethylcellulose sodium (e.g., Ac-Di-Sol®, Primellose®), colloidal silicon dioxide, croscarmellose sodium, crospovidone (e.g., Kollidon®, Polyplasdone®), polyvinylpolypyrrolidine (Plasone-XL®), guar gum, magnesium aluminum silicate, methyl cellulose, microcrystalline cellulose, polacrilin potassium, powdered cellulose, starch, pregelatinized starch, sodium starch glycolate (e.g., Explotab®, Primogel®). In some embodiments, the ranges for the amount of disintegrant by weight percent may include about 1% to about 10%, about 1% to about 5%, about 2% to about 3%, and increments therein.
In embodiments where the pharmaceutical composition is formulated for a liquid dosage form, the pharmaceutical composition may include one or more solvents. Suitable solvents include, but are not limited to, water; alcohols such as ethanol and isopropyl alcohol; methylene chloride; vegetable oil; polyethylene glycol; propylene glycol; and glycerin.
The pharmaceutical composition may comprise a buffer. Buffers include, but are not limited to, lactic acid, citric acid, acetic acid, sodium lactate, sodium citrate, and sodium acetate.
Any pharmaceutically acceptable colorant can be used to improve appearance or to help identify the pharmaceutical composition. Exemplary colorants include D&C Red No. 28, D&C Yellow No. 10, FD&C Blue No. 1, FD&C Red No. 40,FD&C Green #3, FD&C Yellow No. 6, and edible inks. Preferred colors for gelatin capsules include white, medium orange, and light blue.
Flavorings improve palatability and may be particularly useful for chewable tablet or liquid dosage forms. Flavorings include, but are not limited to maltol, vanillin, ethyl vanillin, menthol, citric acid, fumaric acid, ethyl maltol, and tartaric acid. Sweeteners include, but are not limited to, sorbitol, saccharin, sodium saccharin, sucrose, aspartame, fructose, mannitol, and invert sugar.
The pharmaceutical compositions of the invention may also include one or more preservatives and/or stabilizers to improve storagability. These include, but are not limited to, alcohol, sodium benzoate, butylated hydroxy toluene, butylated hydroxyanisole, and ethylenediamine tetraacetic acid.
Other pharmaceutical additives may include gelling agents such as colloidal clays; thickening agents such as gum tragacanth and sodium alginate; wetting agents such as lecithin, polysorbates, and laurylsulphates; humectants; antioxidants such as vitamin E, caronene, and BHT; adsorbents; effervescing agents; emulsifying agents, viscosity enhancing agents; surface active agents such as sodium lauryl sulfate, dioctyl sodium sulfosuccinate, triethanolamine, polyoxyethylene sorbitan, poloxalkol, and quaternary ammonium salts; and other miscellaneous excipients such as lactose, mannitol, glucose, fructose, xylose, galactose, sucrose, maltose, xylitol, sorbitol, chloride, sulfate and phosphate salts of potassium, sodium, and magnesium.
The pharmaceutical compositions may be manufactured according to any method known to those of skill in the art of pharmaceutical manufacture such as, for example, wet granulation, dry granulation, encapsulation, direct compression, slugging, etc. For instance, a pharmaceutical composition may be prepared by mixing the opioid compound with one or more pharmaceutical additives with an aliquot of liquid, preferably water, to form a wet granulation. The wet granulation can be dried to obtain granules. The resulting granulation can be milled, screened, and blended with various pharmaceutical additives such as water-insoluble polymers and additional hydrophilic polymers. In some embodiments, an opioid compound may be mixed with a hydrophilic polymer and an aliquot of water, then dried to obtain granules of opioid compound encapsulated by hydrophilic polymer.
After granulation, the pharmaceutical composition may be encapsulated, e.g., in a gelatin capsule. The gelatin capsule can contain, for example, kosher gelatin, titanium dioxide, and optional colorants. Alternatively, the pharmaceutical composition may be tableted, e.g., compressed and optionally coated with a protective coating that dissolves or disperses in gastric juices.
The pharmaceutical compositions of the invention may be administered by a variety of dosage forms. Any biologically-acceptable dosage form known in the art, and combinations thereof, are contemplated. Examples of preferred dosage forms include, without limitation, tablets including chewable tablets, film-coated tablets, quick dissolve tablets, effervescent tablets, multi-layer tablets, and bi-layer tablets; caplets; powders including reconstitutable powders; granules; dispersible granules; particles; microparticles; capsules including soft and hard gelatin capsules; lozenges; chewable lozenges; cachets; beads; liquids; solutions; suspensions; emulsions; elixirs; and syrups.
The pharmaceutical composition is administered orally. Oral administration permits the maximum release of opioid, provides sustained release of opioid, and maintains abuse resistance by only releasing the opioid from the chemical moiety upon reaching the intestinal tract.
Oral dosage forms may be presented as discrete units, such as capsules, caplets, or tablets. In certain embodiments, a solid oral dosage form comprising an opioid compound that is smaller in size compared to a solid oral dosage form containing a therapeutically equivalent amount of unbound opioid may be used. In some embodiment, the oral dosage form may comprise a gelatin capsule ofsize 2,size 3, or smaller (e.g., size 4). The smaller size of the opioid compound dosage forms promotes ease of swallowing.
Soft gel or soft gelatin capsules may be prepared, for example, by dispersing the formulation in an appropriate vehicle (e.g., vegetable oil) to form a high viscosity mixture. This mixture then is encapsulated with a gelatin based film. The industrial units so formed are then dried to a constant weight.
Chewable tablets can be prepared by mixing the opioid compound with excipients designed to form a relatively soft, flavored tablet dosage form that is intended to be chewed. Conventional tablet machinery and procedures (e.g., direct compression, granulation, and slugging) can be utilized.
Film-coated tablets can be prepared by coating tablets using techniques such as rotating pan coating methods and air suspension methods to deposit a contiguous film layer on a tablet.
Compressed tablets can be prepared by mixing the opioid compound with excipients that add binding qualities. The mixture can be directly compressed, or it can be granulated and then compressed.
In other embodiments, the pharmaceutical composition may alternatively be formulated into a liquid dosage form, such as a solution or suspension in an aqueous or non-aqueous liquid. The liquid dosage form can be an emulsion, such as an oil-in-water liquid emulsion or a water-in-oil liquid emulsion. The oils can be administered by adding the purified and sterilized liquids to a prepared enteral formula, which then is placed in the feeding tube of a patient who is unable to swallow.
For oral administration, fine powders or granules containing diluting, dispersing, and/or surface-active agents can be presented in a draught, in water or a syrup, in capsules or sachets in the dry state, in a non-aqueous suspension wherein suspending agents may be included, or in a suspension in water or a syrup. Liquid dispersions for oral administration can be syrups, emulsions, or suspensions. The syrups, emulsions, or suspensions can contain a carrier, for example, a natural gum, agar, sodium alginate, pectin, methylcellulose, carboxymethylcellulose, saccharose, saccharose with glycerol, mannitol, sorbitol, and polyvinyl alcohol.
The dose range of the opioid compound for humans will depend on a number of factors including the age, weight, and condition of the patient. Tablets and other dosage forms provided in discrete units can contain a daily dose, or an appropriate fraction thereof, of one or more opioid compounds. The dosage form can contain a dose of about 2.5 mg to about 500 mg, about 10 mg to about 250 mg, about 10 mg to about 100 mg, about 10 mg to about 75 mg, or increments therein of one or more of the opioid compounds.
In certain embodiments, the pharmaceutical compositions of the invention may be administered in a partial, i.e., fractional dose, one or more times during a 24 hour period. Fractional, single, double, or other multiple doses can be taken simultaneously or at different times during a 24 hour period. The doses can be uneven doses with regard to one another or with regard to the individual components at different administration times. Preferably, a single dose is administered once daily. The dose can be administered in a fed or fasted state.
The dosage units of the pharmaceutical composition can be packaged according to market need, for example, as unit doses, rolls, bulk bottles, blister packs, and so forth. The pharmaceutical package, e.g., blister pack, can further include or be accompanied by indicia allowing individuals to identify the identity of the pharmaceutical composition, the prescribed indication (e.g., pain), and/or the time periods (e.g., time of day, day of the week, etc.) for administration. The blister pack or other pharmaceutical package can also include a second pharmaceutical product for combination therapy.
EXAMPLES
The present disclosure is further illustrated by the following examples, which in no way should be construed as being limiting. That is, the specific features described in the following examples are merely illustrative and not limiting.
Compound Synthesis
The following outlines synthesis of exemplary compounds of the invention. The suggested methodologies are not intended to be limiting. The variations of these synthetic methodologies or methodologies reported in literature can be adopted to synthesize molecules within the scope of invention.
HPLC Conditions:
Method A
Column:Phenomenex Luna C8(2) column (150 × 4.6 mm,
5 micron)
Mobile Phase A:Water containing 0.1% v/v Trifluoroacetic Acid
Mobile Phase B:Acetonitrile containing 0.1% v/v Trifluoroacetic Acid
Detection:254 nm

Method A Gradient
TimeFlow
(min)(mL/min)% A% B
0.01.0100.00.0
15.01.00.0100.0
22.01.00.0100.0

Method B Gradient
TimeFlow
(min)(mL/min)% A% B
0.01.0100.00.0
12.01.00.030.0
20.01.00.030.0
Figure US10226456-20190312-C00411
Preparation 2,5-Dioxopyrrolidin-1-yl oleate
Figure US10226456-20190312-C00412
A solution of oleic acid (1.00 g, 3.54 mmol) and N-hydroxysuccinimide (407 mg, 3.54 mmol) in tetrahydrofuran (10 mL) was treated dropwise with a solution of N,N′-dicyclohexylcarbodiimide (730 mg, 3.54 mmol) in tetrahydrofuran (10 mL). The mixture was heated at 50° C. under a nitrogen atmosphere for 2 h. After this time, the reaction mixture was cooled to room temperature and filtered to remove the solid dicyclohexylurea byproduct. The filtrate was concentrated under reduced pressure and dried under vacuum overnight to provide 2,5-dioxopyrrolidin-1-yl oleate (3.54 g, 83%) as a white semi-solid:1H NMR (300 MHz, DMSO-d6) δ 5.32 (m, 2H), 2.81 (s, 4H), 2.65 (t, J=7.2 Hz, 2H), 1.99-1.95 (m, 4H), 1.63-1.95 (m, 3H), 1.24-1.18 (m, 19H), 0.85 (t, J=6.3 Hz, 3H).
Preparation of (4R,4aS,7aR,12bS)-4a-Hydroxy-9-methoxy-3-methyl-2,3,4,4a,5,7a-hexahydro-1H-4,12-methanobenzofuro[3,2-e]isoquinolin-7-yl oleate hydrochloride
Figure US10226456-20190312-C00413
A suspension of oxycodone (380 mg, 1.20 mmol) in tetrahydrofuran (5 mL) was cooled in an ice bath and treated dropwise with a 1.0 M solution of potassium tert-butoxide in tetrahydrofuran (1.5 mL, 1.5 mmol). After addition was complete, the mixture was stirred at ambient temperature for 15 min. The mixture was re-cooled in the ice bath and treated dropwise with a solution of 2,5-dioxopyrrolidin-1-yl octadec-9-enoate (502 mg, 1.32 mmol) in tetrahydrofuran (5 mL) over 15 min. After addition was complete, the mixture was stirred at ambient temperature for 15 min. After this time, the reaction mixture was re-cooled in the ice bath, treated with saturated aqueous ammonium chloride (50 mL), and extracted with ethyl acetate (2×50 mL). The combined organics were washed with saturated sodium bicarbonate (2×25 mL) and brine (25 mL), dried over sodium sulfate, filtered, and concentrated under reduced pressure. The crude residue was purified by column chromatography (silica gel, 0-10% methanol/methylene chloride) followed by reversed phase column chromatography (15 g C18 column, 10-100% acetonitrile/water) to provide (4R,4aS,7aR,12bS)-4α-hydroxy-9-methoxy-3-methyl-2,3,4,4a,5,7a-hexahydro-1H-4,12-methanobenzofuro[3,2-e]isoquinolin-7-yl oleate (169 mg, 24%) as a colorless oil. Approximately half of this material was dissolved in diethyl ether (1 mL) and treated with a 4.0 M solution of hydrogen chloride in 1,4-dioxane (0.3 mL). The solution was diluted with hexanes (5 mL) and concentrated under reduced pressure until a white precipitate formed. The solids were isolated by filtration, washed with diethyl ether, and dried under vacuum to provide (4R,4aS,7aR,12bS)-4a-hydroxy-9-methoxy-3-methyl-2,3,4,4a,5,7a-hexahydro-1H-4,12-methanobenzofuro[3,2-e]isoquinolin-7-yl oleate hydrochloride (59 mg, 8%) as a white solid:1H NMR (300 MHz, CDCl3) δ 9.99 (s, 1H), 6.78 (d, J=8.4 Hz, 1H), 6.70 (d, J=8.1 Hz, 1H), 5.57 (apparent d, J=4.5 Hz, 1H), 5.40-5.30 (m, 2H), 5.05 (s, 1H), 4.35 (br s, 1H), 3.86 (s, 3H), 3.48 (d, J=10.2 Hz, 1H), 3.27-3.20 (m, 2H), 3.10-2.84 (m, 5H), 2.72-2.66 (m, 1H), 2.43 (t, J=7.2 Hz, 2H), 2.12 (d, J=17.7 Hz, 1H), 2.02-2.01 (m, 4H), 1.74-1.61 (m, 4H), 1.32-1.27 (m, 20H), 0.88 (t, J=6.6 Hz, 3H); ESI MS m/z 580 [C36H53NO5+H]+; HPLC (Method A) 98.9% (AUC), tR=15.36 min.
Figure US10226456-20190312-C00414
Preparation of (S)-Methyl 2-((tert-butoxycarbonyl)oxy)-2-phenylacetate
Figure US10226456-20190312-C00415
(S)-Methyl 2-hydroxy-2-phenylacetate (30.0 g, 180 mmol), di-tert-butyl dicarbonate (43.3 g, 198 mmol), and zinc acetate (3.96 g, 18.0 mmol) were combined and heated at 55° C. under a nitrogen atmosphere for 48 h. After this time, the reaction mixture was cooled to ambient temperature. The mixture was diluted with water (400 mL) and extracted with methylene chloride (3×200 mL). The combined organics were washed with brine (200 mL), dried over sodium sulfate, filtered, and concentrated under reduced pressure to provide (S)-methyl 2-((tert-butoxycarbonyl)oxy)-2-phenylacetate (39.2 g, 82%) as a colorless oil:1H NMR (500 MHz, CDCl3) δ 7.37-7.32 (m, 5H), 5.80 (s, 1H), 3.74 (s, 3H), 1.51 (s, 9H).
Preparation of (S)-2-((tert-Butoxycarbonyl)oxy)-2-phenylacetic acid
Figure US10226456-20190312-C00416
A solution of (S)-methyl 2-((tert-butoxycarbonyl)oxy)-2-phenylacetate (9.06 g, 34.0 mmol) in a mixture of tetrahydrofuran (106 mL) and water (53 mL) was treated with lithium hydroxide hydrate (4.30 g, 102 mmol) and stirred at ambient temperature for 3 h. After this time, the volatiles were removed under reduced pressure. The aqueous mixture was diluted with water (50 mL) and extracted with diethyl ether (100 mL). The aqueous layer was cooled in an ice bath, acidified to pH ˜3 with 1 M hydrochloric acid, and extracted with ethyl acetate (3×100 mL). The combined organics were dried over sodium sulfate, filtered, and concentrated under reduced pressure to provide (S)-2-((tert-butoxycarbonyl)oxy)-2-phenylacetic acid (8.40 g, 98%) as a white solid:1H NMR (500 MHz, CDCl3) δ 7.50 (7.47 (m, 2H), 7.48-7.37 (m, 3H), 5.82 (s, 1H), 1.50 (s, 9H), CO2H proton not observed.
Preparation of (S)-2,5-Dioxopyrrolidin-1-yl 2-((tert-butoxycarbonyl)oxy)-2-phenylacetate
Figure US10226456-20190312-C00417
A solution of (S)-2-((tert-butoxycarbonyl)oxy)-2-phenylacetic acid (8.02 g, 31.8 mmol) in tetrahydrofuran (107 mL) was treated with N-hydroxysuccinimide (4.03 g, 35.0 mmol) and N,N′-dicyclohexylcarbodiimide (7.22 g, 16.4 mmol) and stirred under a nitrogen atmosphere for 3 h. After this time, the reaction mixture was filtered to remove the solid dicyclohexylurea byproduct. The solid was washed with diethyl ether (100 mL), and the combined filtrate and washings were concentrated under reduced pressure. The residue was triturated with diethyl ether to provide (S)-2,5-dioxopyrrolidin-1-yl 2-((tert-butoxycarbonyl)oxy)-2-phenylacetate (8.20 g, 74%) as a white powder:1H NMR (500 MHz, DMSO) δ 7.58-7.56 (m, 2H), 7.49-7.45 (m, 3H), 6.39 (s, 1H), 2.93-2.76 (m, 4H), 1.45 (s, 9H).
Preparation of (S)-(4R,4aS,7aR,12bS)-4a-Hydroxy-9-methoxy-3-methyl-2,3,4,4a,5,7a-hexahydro-1H-4,12-methanobenzofuro[3,2-e]isoquinolin-7-yl 2-((tert-butoxycabonyl)oxy)-2-phenylacetate
Figure US10226456-20190312-C00418
A suspension of oxycodone (0.200 g, 0.634 mmol) in tetrahydrofuran (6.5 mL) was cooled in an ice bath and treated dropwise with a 1.0 M solution of lithium bis(trimethylsilyl)amide in tetrahydrofuran (0.7 mL, 0.7 mmol). The mixture was stirred at 0° C. for 15 min and then treated dropwise with a solution of (S)-2,5-dioxopyrrolidin-1-yl 2-((tert-butoxycarbonyl)oxy)-2-phenylacetate (0.190 g, 0.661 mmol) in tetrahydrofuran (2 mL). The mixture was stirred at 0° C. for 1 h. After this time, the reaction mixture was treated with saturated aqueous ammonium chloride (50 mL) and extracted with ethyl acetate (3×75 mL). The combined organics were dried over sodium sulfate, filtered, and concentrated under reduced pressure. The crude residue was purified by column chromatography (silica gel, 0-5% methanol/methylene chloride) to provide (S)-(4R,4aS,7aR,12bS)-4a-hydroxy-9-methoxy-3-methyl-2,3,4,4a,5,7a-hexahydro-1H-4,12-methanobenzofuro[3,2-e]isoquinolin-7-yl 2-((tert-butoxycabonyl)oxy)-2-phenylacetate (0.100 g, 29%) as a colorless oil: ESI MS m/z 550 [C31H35NO8+H]+.
Preparation of (S)-(4R,4aS,7aR,12bS)-4a-Hydroxy-9-methoxy-3-methyl-2,3,4,4a,5,7a-hexahydro-1H-4,12-methanobenzofuro[3,2-e]isoquinolin-7-yl 2-hydroxy-2-phenylacetate
Figure US10226456-20190312-C00419
A solution of (S)-(4R,4aS,7aR,12bS)-4a-hydroxy-9-methoxy-3-methyl-2,3,4,4a,5,7a-hexahydro-1H-4,12-methanobenzofuro[3,2-e]isoquinolin-7-yl 2-((tert-butoxycabonyl)oxy)-2-phenylacetate (0.100 g, 0.182 mmol) in methylene chloride (2 mL) was treated with trifluoroacetic acid (2 mL) and stirred under a nitrogen atmosphere at ambient temperature for 1 h. After this time, the reaction mixture was concentrated under reduced pressure. The residue was triturated with diethyl ether to give a white powder. This material was purified by reversed phase column chromatography (50 g C18 column, 5-50% acetonitrile/water) and freeze dried to provide (S)-(4R,4aS,7aR,12bS)-4a-hydroxy-9-methoxy-3-methyl-2,3,4,4a,5,7a-hexahydro-1H-4,12-methanobenzofuro[3,2-e]isoquinolin-7-yl 2-hydroxy-2-phenylacetate 2,2,2-trifluoroacetate (41 mg, 50%) as a fluffy white solid:1H NMR (300 MHz, DMSO-d6) δ 9.14 (br s, 1H), 7.46-7.40 (m, 2H), 7.39-7.31 (m, 3H), 6.83 (d, J=8.4 Hz, 2H), 6.73 (d, J=8.1 Hz, 1H), 6.28-6.24 (m, 2H), 5.48-5.45 (m, 1H), 5.27 (d, J=5.7 Hz, 1H), 4.92 (s, 1H), 3.68 (s, 3H), 3.64-3.62 (m, 1H), 3.44-3.38 (m, 1H), 3.13-3.05 (m, 2H), 2.82 (br s, 3H), 2.27-2.19 (m, 1H), 2.09-2.03 (m, 1H), 1.61 (d, J=12.6 Hz, 1H); ESI MS m/z 450 [C26H27NO6+H]+; HPLC (Method A) 98.4% (AUC), tR=8.62 min.
Figure US10226456-20190312-C00420
Preparation of (S)-2-(2,2-Dimethyl-5-oxo-1,3-dioxolan-4-yl)acetic acid
Figure US10226456-20190312-C00421
A solution of (S)-2-hydroxysuccinic acid (25.0 g, 186 mmol) and 2-methoxypropene (71.4 mL, 746 mmol) in acetone (400 mL) at 0° C. was slowly treated with pyridinium p-toluenesulfonate (4.68 g, 18.6 mmol). The reaction mixture was warmed to ambient temperature then heated at 35° C. for overnight. After this time, the volatiles were removed under reduced pressure. The residue was triturated in heptane/ethyl acetate (150 mL, 1:1) and filtered. The filtrate was diluted with ethyl acetate (300 mL) and washed with water (150 mL). The organic layer was dried over sodium sulfate, filtered and concentrated at reduced pressure to give (S)-2-(2,2-dimethyl-5-oxo-1,3-dioxolan-4-yl)acetic acid (27.9 g, 86%) as a light brown solid:1H NMR (500 MHz, CDCl3) δ 4.72 (apparent t, J=3.5 Hz, 1H), 3.00 (dd, J=17.0, 3.5 Hz, 1H), 2.56 (dd, J=17.0, 6.5 Hz, 1H), 1.57 (s, 3H), 1.50 (s, 3H).
Preparation of (S)-2,5-Dioxopyrrolidin-1-yl 2-(2,2-dimethyl-5-oxo-1,3-dioxolan-4-yl)aceate
Figure US10226456-20190312-C00422
The combined organics were washed with brine (50 mL), dried over sodium sulfate, filtered, and concentrated under reduced pressure to provide (S)-methyl 2-((tert-butoxycarbonyl)oxy)propanoate (18.5 g, quantitative) as a colorless oil:1H NMR (300 MHz, DMSO-d6) δ 4.98 (apparent t, J=4.5 Hz, 1H), 3.34-3.32 (m, 2H), 2.81 (s, 4H), 1.55 (s, 3H), 1.53 (s, 3H).
Preparation of (4R,4aS,7aR,12bS)-4a-Hydroxy-9-methoxy-3-methyl-2,3,4,4a,5,7a-hexahydro-1H-4,12-methanobenzofuro[3,2-e]isoquinolin-7-yl 2-((S)-2,2-dimethyl-5-oxo-1,3-dioxolan-4-yl)acetate
Figure US10226456-20190312-C00423
A suspension of oxycodone (0.500 g, 1.58 mmol) in tetrahydrofuran (10 mL) was cooled in an ice bath and treated dropwise with a 1.0 M solution of lithium bis(trimethylsilyl)amide in tetrahydrofuran (1.74 mL, 1.74 mmol). The reaction mixture was stirred at 0° C. for 15 min then was treated dropwise with a solution of (S)-2,5-dioxopyrrolidin-1-yl 2-(2,2-dimethyl-5-oxo-1,3-dioxolan-4-yl)acetate (0.473 g, 1.74 mmol) in tetrahydrofuran (5 mL). The reaction was stirred at 0° C. for 3 h. After this time, the reaction mixture was poured into saturated aqueous ammonium chloride (50 mL) and extracted with ethyl acetate (3×100 mL). The combined organics were dried over sodium sulfate, filtered, and concentrated under reduced pressure. The crude residue was purified by column chromatography (silica gel, 0-5% methanol/methylene chloride) to provide (4R,4aS,7aR,12bS)-4a-hydroxy-9-methoxy-3-methyl-2,3,4,4a,5,7a-hexahydro-1H-4,12-methanobenzofuro[3,2,e]isoquinolin-7-yl 2-((S)-2,2-dimethyl-5-oxo-1,3-dioxolan-4-yl)acetate (0.390 g, 52%) as a light yellow oil:1H NMR (300 MHz, CDCl3) δ 6.72 (d, J=8.4 Hz, 1H), 6.62 (d, J=8.1 Hz, 1H), 5.69-5.66 (m, 1H), 4.99 (s, 1H), 4.74 (dd, J=6.9, 3.6 H, 1H), 3.85 (s, 3H), 3.17 (d, J=18.6 Hz, 1H), 3.08 (dd, J=17.1, 3.6 Hz, 1H), 2.94-2.86 (m, 2H), 2.68-2.60 (m, 2H), 2.50-2.43 (m, 1H), 2.39 (s, 3H), 2.34-2.24 (m, 2H), 2.18-2.14 (m, 2H), 1.62 (s, 3H), 1.56 (s, 3H), OH proton not observed; ESI MS m/z 472 [C25H29NO5+H]+.
Preparation (S)-2-Hydroxy-4-(((4R,4aS,7aR,12bS)-4a-hydroxy-9-methoxy-3-methyl-2,3,4,4a,5,7a-hexahydro-1H-4,12-methanobenzofuro[3,2-e]isoquinolin-7-yl)oxy)-4-oxobutanoic acid hydrochloride
Figure US10226456-20190312-C00424
A solution of (4R,4aS,7aR,12bS)-4a-hydroxy-9-methoxy-3-methyl-2,3,4,4a,5,7a-hexahydro-1H-4,12-methanobenzofuro[3,2,e]isoquinolin-7-yl 2-((S)-2,2-dimethyl-5-oxo-1,3-dioxolan-4-yl)acetate (0.050 g, 0.11 mmol) in 1,4-dioxane (5 mL) was treated with 4 N hydrogen chloride in 1,4-dioxane (0.8 mL) and 4 drops of water. The reaction mixture was stirred at ambient temperature for 1 h. Additional 4 N hydrogen chloride in 1,4-dioxane (0.25 mL) and water (2 drops) were added and stirring continued for another 1 h. After this time, the reaction mixture was concentrated under reduced pressure. The residue was triturated with diethyl ether, filtered and dried under vacuum at ambient temperature for six days to provide (S)-2-hydroxy-4-(((4R,4aS,7aR, 12bS)-4a-hydroxy-9-methoxy-3-methyl-2,3,4,4a,5,7a-hexahydro-1H-4,12-methanobenzofuro[3,2-e]isoquinolin-7-yl)oxy)-4-oxobutanoic acid hydrochloride (41 mg, 89%) as an off-white solid:1H NMR (300 MHz, DMSO-d6) δ 12.7 (br s, 1H), 9.18 (br s, 1H), 6.82 (d, J=8.1 Hz, 1H), 6.75 (d, J=8.1 Hz, 1H), 6.29 (s, 1H), 5.62 (br s, 1H), 5.52 (d, J=4.5 Hz, 1H), 4.98 (s, 1H), 4.33 (br s, 1H), 3.76 (s, 3H), 3.57 (s, 3H), 3.15-3.06 (m, 2H), 2.89-2.84 (m, 4H), 2.73-2.63 (m, 1H), 2.29 (dd, J=6.3, 18.0 Hz, 1H), 2.33-2.25 (m, 1H), 1.63 (d, J=11.4 Hz, 1H); ESI MS m/z 432 [C22H25NO8+H]+.
Figure US10226456-20190312-C00425
Preparation of (4R,4aS,7aR,12bS)-4a-Hydroxy-9-methoxy-3-methyl-2,3,4,4a,5,7a-hexahydro-1H-4,12-methanobenzofuro[3,2-e]isoquinolin-7-yl stearate and (4R,4aS,7aR,12bS)-4a-Hydroxy-9-methoxy-3-methyl-2,3,4,4a,5,7a-hexahydro-1H-4,12-methanobenzofuro[3,2-e]isoquinolin-7-yl palmitate
Figure US10226456-20190312-C00426
A suspension of oxycodone (478 mg, 1.52 mmol) in tetrahydrofuran (5 mL) was cooled in an ice bath and treated dropwise with a 1.0 M solution of potassium tert-butoxide in tetrahydrofuran (2.0 mL, 2.0 mmol). After addition was complete, the mixture was stirred at ambient temperature for 15 min. The mixture was re-cooled in the ice bath and treated dropwise with a solution of 2,5-dioxopyrrolidin-1-yl stearate (644 mg, 1.69 mmol) in tetrahydrofuran (5 mL) over 10 min. After addition was complete, the mixture was stirred at ambient temperature for 30 min. After this time, the reaction mixture was re-cooled in the ice bath, treated with saturated aqueous ammonium chloride (50 mL), and extracted with ethyl acetate (2×50 mL). The combined organics were dried over sodium sulfate, filtered, and concentrated under reduced pressure. The crude residue was purified by column chromatography (silica gel, 0-10% methanol/methyl tert-butyl ether) to provide material contaminated with stearic acid. This material was dissolved in methylene chloride (50 ml), washed with saturated sodium bicarbonate (2×25 mL) and brine (25 mL), dried over sodium sulfate, filtered, and concentrated under reduced pressure. This residue was purified by reversed phase column chromatography (50 g C18 column, 30-100% acetonitrile/water) to provide two compounds. Each compound was freeze dried to afford (4R,4aS,7aR,12bS)-4a-hydroxy-9-methoxy-3-methyl-2,3,4,4a,5, 7a-hexahydro-1H-4,12-methanobenzofuro[3,2-e]isoquinolin-7-yl stearate (92 mg, 10%) as a fluffy white solid:1H NMR (300 MHz, CDCl3) δ 6.71 (d, J=8.1 Hz, 1H), 6.62 (d, J=8.1 Hz, 1H), 5.57 (dd, J=4.8, 3.9 Hz, 1H), 5.01 (s, 1H), 4.72 (br s, 1H), 3.84 (s, 3H), 3.17 (d, J=18.6 Hz, 1H), 2.85 (d, J=6.3 Hz, 1H), 2.62 (dd, J=18.9, 6.6 Hz, 1H), 2.47-2.18 (m, 8H), 2.16-2.15 (m, 2H), 1.70-1.59 (m, 3H), 1.30-1.25 (m, 28H), 0.88 (t, J=6.3 Hz, 3H); ESI MS m/z 582 [C3H55NO5+H]+; HPLC (Method A) 97.9% (AUC), tR=16.03 min; and (4R, 4aS, 7aR, 12bS)-4a-hydroxy-9-methoxy-3-methyl-2,3,4,4a,5,7a-hexahydro-1H-4,12-methanobenzofuro[3,2-e]isoquinolin-7-yl palmitate(105 mg, 12%) as a fluffy white solid:1H NMR (300 MHz, CDCl3) δ 6.71 (d, J=8.1 Hz, 1H), 6.62 (d, J=8.4 Hz, 1H), 5.57 (dd, J=4.5, 3.6 Hz, 1H), 5.01 (s, 1H), 3.84 (s, 3H), 3.17 (d, J=18.6 Hz, 1H), 2.85 (d, J=6.3 Hz, 1H), 2.62 (dd, J=18.6, 6.3 Hz, 1H), 2.47-2.35 (m, 6H), 2.322.22 (m, 2H), 2.16-2.15 (m, 2H), 1.68-1.59 (m, 3H), 1.30-1.25 (m, 24H), 0.88 (t, J=6.3 Hz, 3H), OH proton not observed; ESI MS m/z 554 [C34H51NO5=H]+; HPLC (Method A) 96.9% (AUC), tR=15.20 min.
Figure US10226456-20190312-C00427
Preparation of (S)-Methyl 2-((tert-butoxycarbonyl)oxy)propanoate
Figure US10226456-20190312-C00428
(S)-Methyl 2-hydroxypropanoate (5.01 g, 48.2 mmol), di-tert-butyl dicarbonate (11.63 g, 53.29 mmol), and zinc acetate (1.05 g, 4.78 mmol) were combined and heated at 55° C. under a nitrogen atmosphere for 48 h. After this time, the reaction mixture was cooled to room temperature. The mixture was diluted with water (50 mL) and extracted with methylene chloride (2×50 mL). The combined organics were washed with brine (50 mL), dried over sodium sulfate, filtered, and concentrated under reduced pressure to provide (S)-methyl 2-((tert-butoxycarbonyl)oxy)propanoate (8.03 g, 82%) as a colorless oil:1H NMR (500 MHz, CDCl3) δ 4.96 (q, J=7.0 Hz, 1H), 3.77 (s, 3H), 1.52 (d, J=6.5 Hz, 3H), 1.50 (s, 9H).
Preparation of (S)-2-((tert-Butoxycarbonyl)oxy)propanoic acid
Figure US10226456-20190312-C00429
A solution of (S)-methyl 2-((tert-butoxycarbonyl)oxy)propanoate (7.00 g, 34.3 mmol) in tetrahydrofuran (100 mL) and water (50 mL) was treated with lithium hydroxide hydrate (1.45 g, 34.5 mmol) and stirred at ambient temperature for 16 h. After this time, the volatiles were removed under reduced pressure. The aqueous mixture was diluted with water (50 mL) and extracted with diethyl ether (100 mL). The aqueous layer was cooled in an ice bath, acidified to pH ˜3 with 0.5 M hydrochloric acid, and extracted with diethyl ether (3×100 mL). The combined organics were dried over sodium sulfate, filtered, and concentrated under reduced pressure to provide of (S)-2-((tert-butoxycarbonyl)oxy)propanoic acid (2.83 g, 43%) as a white solid:1H NMR (500 MHz, CDCl3) δ 4.99 (q, J=7.0 Hz, 1H), 1.56 (d, J=7.5 Hz, 3H), 1.50 (s, 9H).
Preparation of (S)-2,5-Dioxopyrrolidin-1-yl 2-((tert-butoxycarbonyl)oxy)propanoate
Figure US10226456-20190312-C00430
A solution of (S)-2-((tert-butoxycarbonyl)oxy)propanoic acid (2.83 g, 14.9 mmol) in tetrahydrofuran (50 mL) was treated with N-hydroxysuccinimide (1.88 g, 16.3 mmol) and N,N′-dicyclohexylcarbodiimide (3.38 g, 16.4 mmol) and stirred under a nitrogen atmosphere for 3 h. After this time, the reaction mixture was filtered to remove the solid dicyclohexylurea byproduct. The solid was washed with diethyl ether (100 mL), and the combined filtrate and washings were concentrated under reduced pressure. The residue was triturated with diethyl ether to provide (S)-2,5-dioxopyrrolidin-1-yl 2-((tert-butoxycarbonyl)oxy)propanoate (3.54 g, 83%) as a white powder:1H NMR (500 MHz, CDCl3) δ 5.24 (q, J=7.0 Hz, 1H), 2.84 (s, 4H), 1.69 (d, J=7.0 Hz, 3H), 1.51 (s, 9H).
Preparation of (S)-(4R,4aS,7aR,12bS)-4a-Hydroxy-9-methoxy-3-methyl-2,3,4,4a,5,7a-hexahydro-1H-4,12-methanobenzofuro[3,2-e]isoquinolin-7-yl 2-((tert-butoxycarbonyl)oxy)propanoate
Figure US10226456-20190312-C00431
A suspension of oxycodone (201 mg, 0.637 mmol) in tetrahydrofuran (3 mL) was cooled in an ice bath and treated dropwise with a 1.0 M solution of potassium tert-butoxide in tetrahydrofuran (0.7 mL, 0.7 mmol). After addition was complete, the mixture was stirred at ambient temperature for 15 min. The mixture was re-cooled in the ice bath and treated dropwise with a solution of (S)-2,5-dioxopyrrolidin-1-yl 2-((tert-butoxycarbonyl)oxy)propanoate (190 mg, 0.661 mmol) in tetrahydrofuran (2 mL). After addition was complete, the mixture was stirred at ambient temperature for 15 min. After this time, the reaction mixture was treated with saturated aqueous ammonium chloride (10 mL) and extracted with ethyl acetate (2×25 mL). The combined organics were dried over sodium sulfate, filtered, and concentrated under reduced pressure. The crude residue was purified by column chromatography (silica gel, 0-5% methanol/methylene chloride) to provide (S)-(4R,4aS,7aR,12bS)-4a-hydroxy-9-methoxy-3-methyl-2,3,4,4a,5,7a-hexahydro-1H-4,12-methanobenzofuro[3,2-e]isoquinolin-7-yl 2-((tert-butoxycarbonyl)oxy)propanoate (156 mg, 50%) as a colorless residue:1H NMR (300 MHz, CDCl3) δ 6.71 (d, J=8.1 Hz, 1H), 6.61 (d, J=8.4 Hz, 1H), 5.66 (dd, J=5.1, 3.3 Hz, 1H), 5.07-4.99 (m, 2H), 3.84 (s, 3H), 3.17 (d, J=18.6 Hz, 1H), 2.85 (d, J=6.3 Hz, 1H), 2.63 (dd, J=18.6, 6.6 Hz, 1H), 2.47-2.35 (m, 1H), 2.38 (s, 3H), 2.31-2.22 (m, 2H), 2.18-2.16 (2H), 1.63-1.69 (m, 1H), 1.60 (d, J=7.2 Hz, 3H), 1.50 (s, 9H); ESI MS m/z 488 [C26H33NO8+H]+.
Preparation of (S)-(4R,4aS,7aR,12bS)-4a-Hydroxy-9-methoxy-3-methyl-2,3,4,4a,5,7a-hexahydro-1H-4,12-methanobenzofuro[3,2-e]isoquinolin-7-yl 2-hydroxypropanoate trifluoroacetic acid salt
Figure US10226456-20190312-C00432
A solution of (S)-(4R,4aS,7aR,12bS)-4a-hydroxy-9-methoxy-3-methyl-2,3,4,4a,5,7a-hexahydro-1H-4,12-methanobenzofuro[3,2-e]isoquinolin-7-yl 2-((tert-butoxycarbonyl)oxy)propanoate (71 mg, 0.15 mmol) in methylene chloride (1 mL) was treated with trifluoroacetic acid (1 mL) and stirred under a nitrogen atmosphere at ambient temperature for 1 h. After this time, the reaction mixture was concentrated under reduced pressure. The residue was triturated with diethyl ether to give a white powder. This material was purified by reversed phase column chromatography (15 g C18 column, 10-100% acetonitrile/water) and freeze dried to provide (S)-(4R,4aS,7aR,12bS)-4a-hydroxy-9-methoxy-3-methyl-2,3,4,4a,5,7a-hexahydro-1H-4,12-methanobenzofuro[3,2-e]isoquinolin-7-yl 2-hydroxypropanoate trifluoroacetic acid salt (36 mg, 51%) as a fluffy white solid:1H NMR (300 MHz, DMSO-d6) δ 9.18 (s, 1H), 6.86 (d, J=8.1 Hz, 1H), 6.75 (d, J=8.4 Hz, 1H), 6.30 (s, 1H), 5.60 (d, J=6.0 Hz, 1H), 5.54 (dd, J=6.0, 2.1 Hz, 1H), 5.00 (s, 1H), 4.33-4.24 (m, 1H), 3.75 (s, 3H), 3.64 (d, J=6.6 Hz, 1H), 3.43 (d, J=19.8 Hz, 1H), 3.11 (dd, J=18.9, 6.6 Hz, 2H), 2.84 (d, J=3.9 Hz, 3H), 2.69-2.57 (m, 1H), 2.49-2.41 (m, 1H), 2.32-2.24 (m, 1H), 2.07 (d, J=17.7 Hz, 1H), 1.64 (d, J=11.7 Hz, 1H), 1.35 (d, J=6.9 Hz, 3H); ESI MS m/z 388 [C21H25NO6+H]+; HPLC (Method A) 98.3% (AUC), tR=7.32 min.
Figure US10226456-20190312-C00433
Preparation of (S)-2-(((S)-2-((tert-Butoxycarbonyl)amino)propanoyl)oxy)propanoic acid
Figure US10226456-20190312-C00434
A solution of (S)-2,5-dioxopyrrolidin-1-yl 2-((tert-butoxycarbonyl)amino)propanoate (1.00 g, 3.49 mmol), lactic acid (391 mg, 4.34 mmol), and 4-dimethylaminopyridine (51 mg, 0.42 mmol) in tetrahydrofuran (17 mL) was treated with pyridine (0.33 g, 4.2 mmol) and heated at 50° C. under a nitrogen atmosphere for 17 h. After this time, the reaction mixture was cooled to room temperature and concentrated under reduced pressure. The residue was dissolved in ethyl acetate (50 mL) and washed with aqueous 10% citric acid (2×25 mL) and water (25 mL). The organic layer was extracted with saturated aqueous sodium bicarbonate (2×25 mL). The combined aqueous bicarbonate layers were acidified to pH ˜2 with 6 N hydrochloric acid and extracted with ethyl acetate (4×25 mL). The combined organics were dried over sodium sulfate, filtered, and concentrated under reduced pressure to provide (S)-2-(((S)-2-((tert-butoxycarbonyl)amino)propanoyl)oxy)propanoic acid (862 mg, 95%) as a colorless oil:1H NMR (300 MHz, CDCl3) δ 5.23-5.17 (m, 1H), 5.03-5.01 (m, 1H), 4.38-4.33 (m, 1H), 1.56 (d, J=7.2 Hz, 3H), 1.45-1.44 (m, 12H), CO2H proton not observed; ESIMS m/z 260 [C11H19NO6−H].
Preparation of (S)-2,5-Dioxopyrrolidin-1-yl 2-(((S)-2-((tert-butoxycarbonyl)amino)propanoyl)oxy)propanoate
Figure US10226456-20190312-C00435
A solution of (S)-2-(((S)-2-((tert-butoxycarbonyl)amino)propanoyl)oxy)propanoic acid (820 mg, 3.14 mmol) in tetrahydrofuran (10 mL) was treated with N-hydroxysuccinimide (401 mg, 3.48 mmol) and N,N′-dicyclohexylcarbodiimide (717 mg, 3.48 mmol) and stirred under a nitrogen atmosphere for 2 h. After this time, the reaction mixture was filtered to remove the solid dicyclohexylurea byproduct. The solid was washed with diethyl ether, and the combined filtrate and washings were concentrated under reduced pressure to provide (S)-2,5-dioxopyrrolidin-1-yl 2-(((S)-2-((tert-butoxycarbonyl)amino)propanoyl)oxy)propanoate (1.15 g, quantitative) as a colorless crushable foam:1H NMR (300 MHz, CDCl3) δ 5.52-5.43 (m, 1H), 5.02-5.00 (m, 1H), 4.42-4.33 (m, 1H), 2.84 (br s, 4H), 1.71 (d, J=7.2 Hz, 3H), 1.46-1.44 (m, 12H).
Preparation of (S)-(4R,4aS,7aR,12bS)-4a-Hydroxy-9-methoxy-3-methyl-2,3,4,4a,5,7a-hexahydro-1H-4,12-methanobenzofuro[3,2-e]isoquinolin-7-yl 2-(((S)-2-((tert-butoxycarbonyl)amino)propanoyl)oxy)propanoate
Figure US10226456-20190312-C00436
A suspension of oxycodone (480 mg, 1.52 mmol) in tetrahydrofuran (5 mL) was cooled in an ice bath and treated dropwise with a 1.0 M solution of potassium tert-butoxide in tetrahydrofuran (1.8 mL, 1.8 mmol). After addition was complete, the mixture was stirred at ambient temperature for 30 min. The mixture was re-cooled in the ice bath and treated dropwise with a solution of (S)-2,5-dioxopyrrolidin-1-yl 2-(((S)-2-((tert-butoxycarbonyl)amino)propanoyl)oxy)propanoate (601 mg, 1.68 mmol) in tetrahydrofuran (5 mL). After addition was complete, the mixture was stirred at ambient temperature for 15 min. After this time, the reaction mixture was re-cooled in the ice bath and treated with saturated aqueous ammonium chloride (25 mL) and extracted with ethyl acetate (2×50 mL). The combined organics were washed with saturated sodium bicarbonate (25 mL), dried over sodium sulfate, filtered, and concentrated under reduced pressure. The crude residue was purified by column chromatography (silica gel, 0-10% methanol/methylene chloride) followed by reversed phase column chromatography (50 g C18 column, 10-100% acetonitrile/water) and freeze dried to provide (S)-(4R,4aS,7aR,12bS)-4a-hydroxy-9-methoxy-3-methyl-2,3,4,4a,5,7a-hexahydro-1H-4,12-methanobenzofuro[3,2-e]isoquinolin-7-yl 2-(((S)-2-((tert-butoxycarbonyl)amino)propanoyl)oxy)propanoate (68 mg, 8%) as a fluffy white solid: ESI MS m/z 559 [C29H38N2O9+H]+.
Preparation of (S)-(4R,4aS,7aR,12bS)-4a-Hydroxy-9-methoxy-3-methyl-2,3,4,4a,5,7a-hexahydro-H-4,12-methanobenzofuro[3,2-e]isoquinolin-7-yl 2-(((S)-2-aminopropanoyl)oxy)propanoate hydrochloride
Figure US10226456-20190312-C00437
A solution of (S)-(4R,4aS,7aR,12bS)-4a-hydroxy-9-methoxy-3-methyl-2,3,4,4a,5,7a-hexahydro-1H-4,12-methanobenzofuro[3,2-e]isoquinolin-7-yl 2-(((S)-2-((tert-butoxycarbonyl)amino)propanoyl)oxy)propanoate (67 mg, 0.12 mmol) in ethyl acetate (1 mL) was treated with a 4.0 M solution of hydrogen chloride in 1,4-dioxane (1 mL) and stirred under a nitrogen atmosphere at ambient temperature for 3.5 h. After this time, the reaction mixture was diluted with diethyl ether (5 mL). The resulting precipitate was isolated by filtration, washed with diethyl ether (5 mL), and freeze-dried from acetonitrile/water to provide (S)-(4R,4aS,7aR,12bS)-4a-hydroxy-9-methoxy-3-methyl-2,3,4,4a,5,7a-hexahydro-1H-4,12-methanobenzofuro[3,2-e]isoquinolin-7-yl 2-(((S)-2-aminopropanoyl)oxy)propanoate hydrochloride (47 mg, 74%) as a fluffy white solid:1H NMR (300 MHz, DMSO-d6) δ 9.23 (br s, 1H), 8.48 (s, 3H), 6.87 (d, J=8.4 Hz, 1H), 6.76 (d, J=8.1 Hz, 1H), 6.36 (s, 1H), 5.61 (dd, J=6.0, 1.8 Hz, 1H), 5.35 (q, J=6.9 Hz, 1H), 5.01 (s, 1H), 4.24-4.22 (m, 1H), 3.76 (s, 3H), 3.69 (d, J=6.0 Hz, 1H), 3.43 (d, J=20.1 Hz, 1H), 3.12 (dd, J=19.2, 6.9 Hz, 1H), 2.85 (s, 3H), 2.64-2.57 (m, 1H), 2.49-2.27 (m, 2H, partially obscured by solvent peak), 2.06 (apparent d, J=18.0 Hz, 1H), 1.63 (d, J=11.1 Hz, 1H), 1.56 (d, J=6.9 Hz, 3H), 1.48 (d, J=7.2 Hz, 3H); ESI MS m/z 459 [C24H30N2O7+H]+; HPLC (Method A) 95.1% (AUC), tR=6.98 min.
Figure US10226456-20190312-C00438
Preparation of (S)-2-(((S)-2-((tert-Butoxycarbonyl)oxy)propanoyl)oxy)propanoic acid
Figure US10226456-20190312-C00439
A solution of (S)-2,5-dioxopyrrolidin-1-yl 2-((tert-butoxycarbonyl)oxy)propanoate (1.00 g, 3.48 mmol), lactic acid (376 mg, 4.17 mmol), and 4-dimethylaminopyridine (53 mg, 0.43 mmol) in tetrahydrofuran (17 mL) was treated with pyridine (0.33 g, 4.2 mmol) and heated at 50° C. under a nitrogen atmosphere for 48 h. After this time, the reaction mixture was cooled to room temperature and concentrated under reduced pressure. The residue was dissolved in ethyl acetate (50 mL) and washed with aqueous 10% citric acid (2×25 mL) and water (25 mL). The organic layer was extracted with saturated aqueous sodium bicarbonate (2×25 mL). The combined aqueous bicarbonate layers were acidified to pH ˜2 with 6 N hydrochloric acid and extracted with ethyl acetate (4×25 mL). The combined organics were dried over sodium sulfate, filtered, and concentrated under reduced pressure to provide (S)-2-(((S)-2-((tert-butoxycarbonyl)oxy)propanoyl)oxy)propanoic acid (659 mg, 72%) as a colorless oil:1H NMR (300 MHz, CDCl3) δ 5.27-5.17 (m, 1H), 4.98 (q, J=7.2 Hz, 1H), 1.60-1.55 (m, 6H), 1.50 (s, 9H), CO2H proton not observed; ESI MS m/z 261 [C11H18O7−H].
Preparation of (S)-2,5-Dioxopyrrolidin-1-yl 2-(((S)-2-((tert-butoxycarbonyl)oxy)propanoyl)oxy)propanoate
Figure US10226456-20190312-C00440
A solution of (S)-2-(((S)-2-((tert-butoxycarbonnyl)oxy)propanoic acid (659 mg, 2.51 mmol) in tetrahydrofuran (10 mL) was treated with N-hydroxysuccinimide (323 mg, 2.81 mmol) and N,N′-dicydohexylcarbodiimide (573 mg, 2.78 mmol) and stirred under a nitrogen atmosphere for 3 h. After this time, the reaction mixture was filtered to remove the solid dicyclohexylurea byproduct. The solid was washed with diethyl ether, and the combined filtrate and washings were concentrated under reduced pressure to provide (S)-2,5-dioxopyrrolidin-1-yl 2-(((S)-2-((tert-butoxycarbonyl)oxy)propanoyl)oxy)propanoate (813 g, 90%) as an off-white solid:1H NMR (300 MHz, CDCl3) δ 5.57-5.47 (m, 1H), 5.02-4.94 (m, 1H), 2.84 (br s, 4H), 1.73-1.69 (m, 3H), 1.60-1.55 (m, 3H), 1.49 (s, 9H).
Preparation of (S)-(4R,4aS,7aR,12bS)-4a-Hydroxy-9-methoxy-3-methyl-2,3,4,4a,5,7a-hexahydro-1H-4,12-methanobenzofuro[3,2-e]isoquinolin-7-yl 2-(((S)-2-((tert-butoxycarbonyl)oxy)propanoyl)oxy)propanoate
Figure US10226456-20190312-C00441
A suspension of oxycodone (602 mg, 1.91 mmol) in tetrahydrofuran (6 mL) was cooled in an ice bath and treated dropwise with a 1.0 M solution of potassium tert-butoxide in tetrahydrofuran (2.3 mL, 2.3 mmol). After addition was complete, the mixture was stirred at ambient temperature for 15 min. The mixture was re-cooled in the ice bath and treated dropwise with a solution of (S)-2,5-dioxopyrrolidin-1-yl 2-(((S)-2-((tert-butoxycarbonyl)oxy)propanoyl)oxy)propanoate (813 mg, 2.26 mmol) in tetrahydrofuran (6 mL). After addition was complete, the mixture was stirred at ambient temperature for 15 min. After this time, the reaction mixture was re-cooled in the ice bath and treated with saturated aqueous ammonium chloride (10 mL) and extracted with ethyl acetate (2×25 mL). The combined organics were dried over sodium sulfate, filtered, and concentrated under reduced pressure. The crude residue was purified by column chromatography (silica gel, 0-10% methanol/methylene chloride) followed by reversed phase column chromatography (50 g C18 column, 10-100% acetonitrile/water) and freeze dried to provide (S)-(4R,4aS,7aR,12bS)-4a-hydroxy-9-methoxy-3-methyl-2,3,4,4a,5,7a-hexahydro-1H-4,12-methanobenzofuro[3,2-e]isoquinolin-7-yl 2-(((S)-2-((tert-butoxycarbonyl)oxy)propanoyl)oxy)propanoate (98 mg, 9%) as a fluffy white solid: ESI MS m/z 560 [C29H37NO10+H]+.
Preparation of (S)-(4R,4aS,7aR,12bS)-4a-Hydroxy-9-methoxy-3-methyl-2,3,4,4a,5,7a-hexahydro-H-4,12-methanobenzofuro[3,2-e]isoquinolin-7-yl 2-(((S)-2-hydroxypropanoyl)oxy)propanoate trifluoroacetic acid salt
Figure US10226456-20190312-C00442
A solution of (S)-(4R,4aS,7aR,12bS)-4a-hydroxy-9-methoxy-3-methyl-2,3,4,4a,5,7a-hexahydro-1H-4,12-methanobenzofuro[3,2-e]isoquinolin-7-yl 2-(((S)-2-((tert-butoxycarbonyl)oxy)propanoyl)oxy)propanoate (94 mg, 0.17 mmol) in methylene chloride (2 mL) was treated with trifluoroacetic acid (1 mL) and stirred under a nitrogen atmosphere at ambient temperature for 1 h. After this time, the reaction mixture was concentrated under reduced pressure. The residue was purified by reversed phase column chromatography (C18 column, 10-100% acetonitrile/water) and freeze dried to provide (S)-(4R,4aS,7aR,12bS)-4a-hydroxy-9-methoxy-3-methyl-2,3,4,4a,5,7a-hexahydro-1H-4,12-methanobenzofuro[3,2-e]isoquinolin-7-yl 2-(((S)-2-hydroxypropanoyl)oxy)propanoate trifluoroacetic acid salt (51 mg, 54%) as a fluffy white solid:1H NMR (300 MHz, DMSO-d6) δ 9.18 (br s, 1H), 6.86 (d, J=8.1 Hz, 1H), 6.75 (d, J=8.4 Hz, 1H), 6.30 (s, 1H), 5.59 (dd, J=5.7, 1.8 Hz, 1H), 5.50 (br s, 1H), 5.17 (q, J=6.9 Hz, 1H), 5.00 (s, 1H), 4.25-4.22 (m, 1H), 3.75 (s, 3H), 3.65 (d, J=6.0 Hz, 1H), 3.46-3.38 (m, 1H, partially obscured by water peak), 3.16-3.07 (m, 2H), 2.84 (apparent d, J=5.1 Hz, 3H), 2.69-2.57 (m, 1H), 2.49-2.26 (m, 2H, partially obscured by solvent peak), 2.07 (apparent d, J=18.0 Hz, 1H), 1.65 (d, J=11.4 Hz, 1H), 1.51 (d, J=11.4 Hz, 3H), 1.31 (d, J=6.6 Hz, 3H); ESI MS m/z 460 [C24H29NO8+H]+.
Figure US10226456-20190312-C00443
Preparation of (2E,4E)-2,5-Dioxopyrrolidin-1-yl hexa-2,4-dienoate
Figure US10226456-20190312-C00444
A solution of (2E,4E)-hexa-2,4-dienoic acid (2.00 g, 17.8 mmol) in tetrahydrofuran (50 mL) was treated with N-hydroxysuccinimide (2.26 g, 19.6 mmol) and N,N′-dicyclohexylcarbodiimide (4.04 g, 19.6 mmol) and stirred under a nitrogen atmosphere for 2.5 h. After this time, the reaction mixture was filtered to remove the solid dicyclohexylurea byproduct. The solid was washed with diethyl ether, and the combined filtrate and washings were concentrated under reduced pressure to provide (2E,4E)-2,5-dioxopyrrolidin-1-yl hexa-2,4-dienoate (5.14 g, quantitative) as a white solid:1H NMR (300 MHz, CDCl3) δ 7.53-5.44 (m, 1H), 6.31-6.27 (m, 2H), 5.93 (d, J=15.3 Hz, 1H), 2.85 (s, 4H), 1.91 (d, J=5.4 Hz, 3H).
Preparation of (2E,4E)-(4R,4aS,7aR,12bS)-4a-Hydroxy-9-methoxy-3-methyl-2,3,4,4a,5,7a-hexahydro-1H-4,12-methanobenzofuro[3,2-e]isoquinolin-7-yl hexa-2,4-dienoate
Figure US10226456-20190312-C00445
A suspension of oxycodone (487 mg, 1.54 mmol) in tetrahydrofuran (5 mL) was cooled in an ice bath and treated dropwise with a 1.0 M solution of potassium tert-butoxide in tetrahydrofuran (1.9 mL, 1.9 mmol). After addition was complete, the mixture was stirred at ambient temperature for 10 min. The mixture was re-cooled in the ice bath and treated dropwise with a solution of (2E,4E)-2,5-dioxopyrrolidin-1-yl hexa-2,4-dienoate (391 mg, 1.87 mmol) in tetrahydrofuran (5 mL). After addition was complete, the mixture was stirred at ambient temperature for 15 min. After this time, the reaction mixture was re-cooled in the ice bath and treated with saturated aqueous ammonium chloride (50 mL) and extracted with ethyl acetate (2×50 mL). The combined organics were washed with saturated sodium bicarbonate (25 mL) and brine (25 mL), dried over sodium sulfate, filtered, and concentrated under reduced pressure. The crude residue was purified by column chromatography (silica gel, 0-10% methanol/methylene chloride) followed by reversed phase column chromatography (50 g C18 column, 10-100% acetonitrile/water) and freeze dried to provide (2E,4E)-(4R,4aS,7aR,12bS)-4a-hydroxy-9-methoxy-3-methyl-2,3,4,4a,5,7a-hexahydro-1H-4,12-methanobenzofuro[3,2-e]isoquinolin-7-yl hexa-2,4-dienoate (69 mg, 11%) as a fluffy white solid:1H NMR (300 MHz, CDCl3) δ 7.35-7.26 (m, 1H), 6.71 (d, J=8.4 Hz, 1H), 6.62 (d, J=8.1 Hz, 1H), 6.26-6.10 (m, 2H), 5.85 (d, J=15.3 Hz, 1H), 5.64 (overlapping dd, J=3.9 Hz, 1H), 5.06 (s, 1H), 4.72 (br s, 1H), 3.84 (s, 3H), 3.18 (d, J=18.6 Hz, 1H), 2.86 (d, J=6.3 Hz, 1H), 2.63 (dd, J=18.6, 6.3 Hz, 1H), 2.47-2.42 (m, 1H), 2.38 (s, 3H), 2.33-2.19 (m, 2H), 2.18-2.16 (m, 2H), 1.87 (d, J=5.4 Hz, 3H), 1.63 (dd, J=13.5, 3.0 Hz, 1H);ESI MS m/z 410 [C24H27NO5+H]+; HPLC (Method A)>99% (AUC), tR=9.74 min.
Figure US10226456-20190312-C00446
Figure US10226456-20190312-C00447
Preparation of (S)-tert-Butyl 2-(2,2-dimethyl-5-oxo-1,3-dioxolan-4-yl)acetate
Figure US10226456-20190312-C00448
A solution of (S)-2-(2,2-dimethyl-5-oxo-1,3-dioxolan-4-yl)acetic acid (7.50 g, 43.1 mmol) in methylene chloride (150 mL) was treated with N,N′-dicyclohexylcarbodiimide (10.7 g, 51.7 mmol), 4-dimethylaminopyridine (1.60 g, 12.9 mmol), and tert-butyl alcohol (6.2 mL, 64.7 mmol) and stirred under a nitrogen atmosphere for 2 h. After this time, the reaction mixture was filtered to remove the solid dicyclohexylurea byproduct. The filtrate was concentrated under reduced pressure. The crude residue was purified by column chromatography (silica gel, 0-10% ethyl acetate/heptanes) to provide (S)-tert-butyl 2-(2,2-dimethyl-5-oxo-1,3-dioxolan-4-yl)acetate (7.2 g, 73%) as an off-white solid:1H NMR (300 MHz, CDCl3) δ 4.66 (dd, J=6.3, 3.9 Hz, 1H), 2.84 (dd, J=16.8, 3.9 Hz, 1H), 2.72 (dd, J=16.8, 6.3 Hz, 1H), 1.63 (s, 3H), 1.56 (s, 3H), 1.47 (s, 9H).
Preparation of (S)-4-tert-Butyl 1-methyl 2-hydroxysuccinate
Figure US10226456-20190312-C00449
A solution of (S)-tert-butyl 2-(2,2-dimethyl-5-oxo-1,3-dioxolan-4-yl)acetate (6.80 g, 29.6 mmol) in methanol (100 mL) was cooled in an ice bath and treated portion-wise over 10 min with anhydrous sodium methoxide (1.76 g, 32.5 mmol). After addition was complete, the mixture was stirred at 0° C. for 1.5 h. After this time, the reaction mixture was treated with saturated aqueous ammonium chloride (100 mL) and extracted with ethyl acetate (3×100 mL). The combined organics were dried over sodium sulfate, filtered, concentrated under reduced pressure, and dried under vacuum to provide (S)-4-tert-butyl 1-methyl 2-hydroxysuccinate (5.2 g, 86%) as a yellow oil:1H NMR (300 MHz, CDCl3) δ 4.44 (dd, J=10.5, 5.4 Hz, 1H), 3.81 (s, 3H), 3.22 (d, J=5.4 Hz, 1H), 2.87-2.64 (m, 2H), 1.45 (s, 9H).
Preparation of (S)-4-tert-Butyl 1-methyl 2-((tert-butoxycarbonyl)oxy)succinate
Figure US10226456-20190312-C00450
A solution of (S)-4-tert-butyl 1-methyl 2-hydroxysuccinate (5.30 g, 26.0 mmol) in methylene chloride (150 mL) was cooled in an ice bath under a nitrogen atmosphere and treated with 4-dimethylaminopyridine (0.317 g, 2.60 mmol) followed by di-tert-butyl dicarbonate (8.50 g, 40.0 mmol). After 2-3 min, the ice bath was removed, and the mixture was stirred at ambient temperature for 2 h. After this time, the reaction mixture was concentrated under reduced pressure and purified by column chromatography (silica gel, 0-5% ethyl acetate/heptanes) to provide (S)-4-tert-butyl 1-methyl 2-((tert-butoxycarbonyl)oxy)succinate (6.6 g, 83%) as a light yellow oil:1H NMR (300 MHz, CDCl3) δ 5.32 (dd, J=6.9, 6.0 Hz, 1H), 3.78 (s, 3H), 2.81-2.79 (m, 2H), 1.50 (s, 9H), 1.45 (s, 9H).
Preparation of (S)-4-(tert-Butoxy)-2-((tert-butoxycarbonyl)oxy)-4-oxobutanoic acid
Figure US10226456-20190312-C00451
A solution of (S)-4-tert-butyl 1-methyl 2-((tert-butoxycarbonyl)oxy)succinate (6.60 g, 21.7 mmol) in tetrahydrofuran (74 mL) and water (37 mL) was cooled in an ice bath, treated with lithium hydroxide hydrate (1.09 g, 26.1 mmol), and stirred at 0° C. for 3 h. After this time, the reaction mixture was concentrated to remove the volatiles, acidified at 0° C. to pH ˜3, and extracted with ethyl acetate (3×100 mL). The combined organics were dried over sodium sulfate, filtered, concentrated under reduced pressure, and dried under vacuum to provide (S)-4-(tert-butoxy)-2-((tert-butoxycarbonyl)oxy)-4-oxobutanoic acid (5.7 g, 90%):1H NMR (300 MHz, CDCl3) δ 5.32 (apparent t, J=6.0 Hz, 1H), 2.85 (apparent d, J=6.0 Hz, 2H), 1.50 (s, 9H), 1.46 (s, 9H), CO2H proton not observed.
Preparation of (S)-4-tert-Butyl 1-(2,5-dioxopyrrolidin-1-yl) 2-((tert-butoxycarbonyl)oxy)succinate
Figure US10226456-20190312-C00452
A solution of (S)-4-(tert-butoxy)-2-((tert-butoxycarbonyl)oxy)-4-oxobutanoic acid (525 mg, 1.81 mmol) in tetrahydrofuran (10 mL) was treated with N-hydroxysuccinimide (292 mg, 2.53 mmol) and N,N′-dicydohexylcarbodiimide (523 mg, 2.53 mmol) and stirred under a nitrogen atmosphere for 1 h. After this time, the reaction mixture was filtered to remove the solid dicyclohexylurea byproduct. The solid was washed with tetrahydrofuran (25 mL), and the combined filtrate and washings were concentrated under reduced pressure. The residue was triturated with tetrahydrofuran (25 mL) and filtered to remove the solids. The filtrate was concentrated under reduced pressure. The residue was triturated with diethyl ether and filtered to remove the solids. The filtrate was concentrated under reduced pressure and dried under vacuum to provide (S)-4-tert-butyl 1-(2,5-dioxopyrrolidin-1-yl) 2-((tert-butoxycarbonyl)oxy)succinate (702 mg, quantitative) as a light yellow oil:1H NMR (300 MHz, CDCl3) δ 5.61 (dd, J=8.1, 4.8 Hz, 1H), 2.98-2.94 (m, 2H), 2.84 (s, 4H), 1.51 (s, 9H), 1.47 (s, 9H).
Preparation of (S)-4-tert-Butyl 1-((4R,4aS,7aR,12bS)-4a-hydroxy-9-methoxy-3-methyl-2,3,4,4a,5,7a-hexahydro-1H-4,12-methanobenzofuro[3,2-e]isoquinolin-7-yl) 2-((tert-butoxycarbonyl)oxy)succinate
Figure US10226456-20190312-C00453
A suspension of oxycodone (0.438 g, 1.39 mmol) in tetrahydrofuran (10 mL) was cooled in an ice bath and treated dropwise with a 1.0 M solution of lithium bis(trimethylsilyl)amide in tetrahydrofuran (1.80 mL, 1.80 mmol). The reaction mixture was stirred at 0° C. for 15 min then was treated dropwise with a solution of (S)-4-tert-butyl 1-(2,5-dioxopyrrolidin-1-yl) 2-((tert-butoxycarbonyl)oxy)succinate (0.700 g, 1.81 mmol) in tetrahydrofuran (6 mL). The reaction mixture was stirred at 0° C. for 1 h. After this time, the reaction mixture was poured into saturated aqueous ammonium chloride (100 mL) and extracted with ethyl acetate (3×100 mL). The combined organics were dried over sodium sulfate, filtered, and concentrated under reduced pressure. The crude residue was purified by reversed phase column chromatography (50 g C18 column, 5-80% acetonitrile/water) and freeze dried to provide (S)-4-tert-butyl 1-((4R,4aS,7aR,12bS)-4a-hydroxy-9-methoxy-3-methyl-2,3,4,4a,5,7a-hexahydro-1H-4,12-methanobenzofuro[3,2-e]isoquinolin-7-yl) 2-((tert-butoxycarbonyl)oxy)succinate (0.133 g, 16%) as a white solid: ESI MS m/z 588 [C31H41NO10+H]+.
Preparation of (S)-3-Hydroxy-4-(((4R,4aS,7aR,12bS)-4a-hydroxy-9-methoxy-3-methyl-2,3,4,4a,5,7a-hexahydro-1H-4,12-methanobenzofuro[3,2-e]isoquinolin-7-yl)oxy)-4-oxobutanoic acid trifluoroacetic acid salt
Figure US10226456-20190312-C00454
A solution of (S)-4-tert-butyl 1-((4R,4aS,7aR,12bS)-4a-hydroxy-9-methoxy-3-methyl-2,3,4,4a,5,7a-hexahydro-1H-4,12-methanobenzofuro[3,2-e]isoquinolin-7-yl) 2-((tert-butoxycarbonyl)oxy)succinate (0.070 g, 0.12 mmol) in dichloromethane (8 mL) was treated with trifluoroacetic acid (2.5 mL). The reaction mixture was stirred at ambient temperature for 1 h. After this time, the reaction mixture was concentrated under reduced pressure. The residue was triturated with diethyl ether, filtered and lyophilized to provide (S)-3-hydroxy-4-(((4R,4aS,7aR,12bS)-4a-hydroxy-9-methoxy-3-methyl-2,3,4,4a,5,7a-hexahydro-1H-4,12-methanobenzofuro[3,2-e]isoquinolin-7-yl)oxy)-4-oxobutanoic acid trifluoroacetic acid salt (0.044 g, 86%) as an off-white solid:1H NMR (300 MHz, DMSO-d6) δ 12.43 (br s, 1H), 9.18 (br s, 1H), 6.86 (d, J=8.4 Hz, 1H), 6.75 (d, J=8.1 Hz, 1H), 6.29 (br s, 1H), 5.90 (br s, 1H), 5.55-5.54 (m, 1H), 4.97 (s, 1H), 4.47 (br s, 1H), 3.75 (s, 3H), 3.62 (s, 1H), 3.45-3.37 (m, 1H), 3.12-3.06 (m, 2H), 2.83 (s, 3H), 2.74-2.53 (m, 3H), 2.33-2.22 (m, 1H), 2.07 (d, J=18.3 Hz, 1H), 1.63 (d, J=12.3 Hz, 1H), one proton obscured by solvent peaks; ESI MS m/z 432 [C22H25NO8+H]+.
Figure US10226456-20190312-C00455
Preparation of (R)-Methyl 2-((tert-butoxycarbonyl)oxy)-2-phenylacetate
Figure US10226456-20190312-C00456
(R)-Methyl 2-hydroxy-2-phenylacetate (20.0 g, 120 mmol), di-tert-butyl dicarbonate (34.1 g, 156 mmol), and zinc acetate (3.96 g, 18.0 mmol) were combined and heated at 55° C. overnight under a nitrogen atmosphere. After this time, the reaction mixture was cooled to room temperature. The mixture was diluted with water (300 mL) and extracted with methylene chloride (3×150 mL). The combined organics were washed with brine (150 mL), dried over sodium sulfate, filtered, and concentrated under reduced pressure to provide (R)-methyl 2-((tert-butoxycarbonyl)oxy)-2-phenylacetate (31.4 g, 98%) as a colorless oil:1H NMR (500 MHz, CDCl3) δ 7.49-7.46 (m, 2H), 7.40-7.36 (m, 3H), 5.80 (s, 1H), 3.74 (s, 3H), 1.51 (s, 9H).
Preparation of (R)-2-((tert-Butoxycarbonyl)oxy)-2-phenylacetic acid
Figure US10226456-20190312-C00457
A solution of (R)-methyl 2-((tert-butoxycarbonyl)oxy)-2-phenylacetate (30.0 g, 110 mmol) in a mixture of tetrahydrofuran (300 mL) and water (150 mL) was treated with lithium hydroxide hydrate (9.45 g, 220 mmol) and stirred at ambient temperature for 3 h. After this time, the volatiles were removed under reduced pressure. The aqueous mixture was diluted with water (50 mL) and extracted with diethyl ether (150 mL). The aqueous layer was cooled in an ice bath, acidified to pH ˜3 with 1.0 M hydrochloric acid, and extracted with ethyl acetate (3×150 mL). The combined organics were dried over sodium sulfate, filtered, and concentrated under reduced pressure to provide (R)-2-((tert-butoxycarbonyl)oxy)-2-phenylacetic acid (16.8 g, 61%) as a white solid:1H NMR (300 MHz, CDCl3) δ 7.51-7.44 (m, 2H), 7.41-7.36 (m, 3H), 5.25 (s, 1H), 1.51 (s, 9H), CO2H proton not observed.
Preparation of (R)-2,5-Dioxopyrrolidin-1-yl 2-((tert-butoxycarbonyl)oxy)-2-phenylacetate
Figure US10226456-20190312-C00458
A solution of (R)-2-((tert-butoxycarbonyl)oxy)-2-phenylacetic acid (7.78 g, 30.8 mmol) in tetrahydrofuran (110 mL) was treated with N-hydroxysuccinimide (3.90 g, 34.0 mmol) and N,N′-dicyclohexylcarbodiimide (7.00 g, 34.0 mmol) and stirred under a nitrogen atmosphere for 3 h. After this time, the reaction mixture was filtered to remove the solid dicyclohexylurea byproduct. The solid was washed with diethyl ether (100 mL), and the combined filtrate and washings were concentrated under reduced pressure. The residue was triturated with diethyl ether to provide (R)-2,5-dioxopyrrolidin-1-yl 2-((tert-butoxycarbonyl)oxy)-2-phenylacetate (8.50 g, 79%) as a white solid:1H NMR (300 MHz, CDCl3) δ 7.57-7.55 (m, 2H), 7.44-7.42 (m, 3H), 6.15 (s, 1H), 2.80 (m, 4H), 1.52 (s, 9H).
Preparation of (R)-(4R,4aS,7aR,12bS)-4a-Hydroxy-9-methoxy-3-methyl-2,3,4,4a,5,7a-hexahydro-1H-4,12-methanobenzofuro[3,2-e]isoquinolin-7-yl 2-((tert-butoxycabonyl)oxy)-2-phenylacetate
Figure US10226456-20190312-C00459
A suspension of oxycodone (0.350 g, 1.11 mmol) in tetrahydrofuran (8 mL) was cooled in an ice bath and treated dropwise with a 1.0 M solution of lithium bis(trimethylsilyl)amide in tetrahydrofuran (1.3 mL, 1.3 mmol). The mixture was stirred at 0° C. for 15 min and then treated dropwise with a solution of (R)-2,5-dioxopyrrolidin-1-yl 2-((tert-butoxycarbonyl)oxy)-2-phenylacetate (0.465 g, 1.33 mmol) in tetrahydrofuran (4 mL). The reaction mixture was stirred at 0° C. for 1 h. After this time, the mixture was poured into saturated aqueous ammonium chloride (75 mL) and extracted with ethyl acetate (2×100 mL). The combined organics were dried over sodium sulfate, filtered, and concentrated under reduced pressure. The crude residue was purified by column chromatography (silica gel, 0-5% methanol/methylene chloride) to provide (R)-(4R,4aS,7aR,12bS)-4a-hydroxy-9-methoxy-3-methyl-2,3,4,4a,5,7a-hexahydro-1H-4,12-methanobenzofuro[3,2-e]isoquinolin-7-yl 2-((tert-butoxycabonyl)oxy)-2-phenylacetate (0.130 g, 21%) as a light yellow oil:1H NMR (300 MHz, CDCl3) δ 7.56-7.53 (m, 2H), 7.40-7.37 (m, 3H), 6.68 (d, J=8.1 Hz, 1H), 6.63 (d, J=8.4 Hz, 1H), 5.90 (s, 1H), 5.56 (apparent t, J=3.6 Hz, 1H), 4.89 (s, 1H), 3.77 (s, 3H), 3.14 (d, J=18.6 Hz, 1H), 2.83 (d, J=6.3 Hz, 1H), 2.60 (dd, J=18.6, 6.3 Hz, 1H), 2.44-2.40 (m, 1H), 2.36 (s, 3H), 2.27-2.12 (m, 4H), 1.35-1.55 (m, 2H), 1.50 (s, 9H).
Preparation of (R)-(4R,4aS,7aR,12bS)-4a-Hydroxy-9-methoxy-3-methyl-2,3,4,4a,5,7a-hexahydro-1H-4,12-methanobenzofuro[3,2-e]isoquinolin-7-yl 2-hydroxy-2-phenylacetate trifluoroacetic acid salt
Figure US10226456-20190312-C00460
A solution of (R)-(4R,4aS,7aR,12bS)-4a-hydroxy-9-methoxy-3-methyl-2,3,4,4a,5,7a-hexahydro-1H-4,12-methanobenzofuro[3,2-e]isoquinolin-7-yl 2-((tert-butoxycabonyl)oxy)-2-phenylacetate (0.120 g, 0.218 mmol) in methylene chloride (3 mL) was treated with trifluoroacetic acid (2 mL) and stirred at ambient temperature for 1 h. After this time, the reaction mixture was concentrated under reduced pressure. The residue was triturated with diethyl ether to give a white powder. The powder was dissolved in water and freeze dried to provide (R)-(4R,4aS,7aR,12bS)-4a-Hydroxy-9-methoxy-3-methyl-2,3,4,4a,5,7a-hexahydro-1H-4,12-methanobenzofuro[3,2-e]isoquinolin-7-yl 2-hydroxy-2-phenylacetate trifluoroacetic acid salt (83 mg, 50%) as a fluffy white solid:1H NMR (300 MHz, DMSO-d6) δ 9.16 (br s, 1H), 7.49-7.33 (m, 5H), 6.84 (d, J=8.1 Hz, 1H), 6.73 (d, J=8.1 Hz, 1H), 6.28-6.24 (m, 2H), 5.44-5.41 (m, 1H), 5.28 (d, J=5.1 Hz, 1H), 4.95 (s, 1H), 3.68 (s, 3H), 3.64-3.62 (m, 1H), 3.44-3.35 (m, 1H), 3.13-3.04 (m, 2H), 2.83 (s, 3H), 2.69-2.54 (m, 1H), 2.44-2.43 (m, 1H), 2.34 (dd, J=18.0, 5.4 Hz, 1H), 2.04 (d, J=18.0 Hz, 1H); ESI MS m/z 450 [C26H27NO6+H]+; HPLC (Method A) 95.2% (AUC), tR=8.62 min.
Figure US10226456-20190312-C00461
Preparation of (S)-2-(((S)-2-((tert-Butoxycarbonyl)oxy)propanoyl)oxy)-2-phenylacetic acid
Figure US10226456-20190312-C00462
A solution of (S)-2,5-dioxopyrrolidin-1-yl 2-((tert-butoxycarbonyl)oxy)propanoate (2.00 g, 6.96 mmol), mandelic acid (1.28 g, 8.41 mmol), and 4-dimethylaminopyridine (87 mg, 0.71 mmol) in tetrahydrofuran (30 mL) was treated with pyridine (0.67 mL, 8.3 mmol) and heated at 50° C. under a nitrogen atmosphere for 20 h. After this time, the reaction mixture was cooled to room temperature and concentrated under reduced pressure. The residue was dissolved in ethyl acetate (50 mL) and washed with aqueous 10% citric acid (2×25 mL) and water (25 mL). The organic layer was extracted with saturated aqueous sodium bicarbonate (2×25 mL). The combined aqueous bicarbonate layers were acidified to pH ˜2 with 6 N hydrochloric acid and extracted with ethyl acetate (4×25 mL). The combined organics were dried over sodium sulfate, filtered, and concentrated under reduced pressure to provide (S)-2-(((S)-2-((tert-butoxycarbonyl)oxy)propanoyl)oxy)-2-phenylacetic acid (1.71 g, 76%) as a colorless oil:1H NMR (300 MHz, CDCl3) δ 7.48-7.36 (m, 5H), 6.00 (s, 1H), 5.06 (q, J=6.9 Hz, 1H), 1.62 (d, J=6.9 Hz, 3H), 1.48 (s, 9H), CO2H proton not observed; ESI MS m/z 647 [(2×C16H20O7)−H].
Preparation of (S)-(S)-2-((2,5-Dioxopyrrolidin-1-yl)oxy)-2-oxo-1-phenylethyl 2-((tert-butoxycarbonyl)oxy)propanoate
Figure US10226456-20190312-C00463
A solution of (S)-2-(((S)-2-((tert-butoxycarbonyl)oxy)propanoyl)oxy)-2-phenylacetic acid (1.71 g, 5.27 mmol) in tetrahydrofuran (20 mL) was treated with N-hydroxysuccinimide (667 mg, 5.80 mmol) and N,N′-dicyclohexylcarbodiimide (1.21 g, 5.86 mmol) and stirred under a nitrogen atmosphere for 2.5 h. After this time, the reaction mixture was filtered to remove the solid dicyclohexylurea byproduct. The solid was washed with diethyl ether, and the combined filtrate and washings were concentrated under reduced pressure to provide (S)-(S)-2-((2,5-dioxopyrrolidin-1-yl)oxy)-2-oxo-1-phenylethyl 2-((tert-butoxycarbonyl)oxy)propanoate (2.21 g, 99%) as an white crushable foam:1H NMR (300 MHz, CDCl3) δ 7.55-7.51 (m, 2H), 7.47-7.42 (m, 3H), 6.39 (s, 1H), 5.05 (q, J=7.2 Hz, 1H), 2.80 (s, 4H), 1.61 (d, J=7.2 Hz, 3H), 1.48 (s, 9H).
Preparation of (S)-(S)-2-(((4R,4aS,7aR,12bS)-4a-Hydroxy-9-methoxy-3-methyl-2,3,4,4a,5,7a-hexahydro-1H-4,12-methanobenzofuro[3,2-e]isoquinolin-7-yl)oxy)-2-oxo-1-phenylethyl 2-((tert-butoxycarbonyl)oxy)propanoate
Figure US10226456-20190312-C00464
A suspension of oxycodone (503 mg, 1.60 mmol) in tetrahydrofuran (6 mL) was cooled in an ice bath and treated dropwise with a 1.0 M solution of potassium tert-butoxide in tetrahydrofuran (1.9 mL, 1.9 mmol). After addition was complete, the mixture was stirred at ambient temperature for 15 min. The mixture was re-cooled in the ice bath and treated dropwise with a solution of (S)-(S)-2-((2,5-dioxopyrrolidin-1-yl)oxy)-2-oxo-1-phenylethyl 2-((tert-butoxycarbonyl)oxy)propanoate (806 mg, 1.91 mmol) in tetrahydrofuran (6 mL). After addition was complete, the mixture was stirred at ambient temperature for 10 min. After this time, the reaction mixture was re-cooled in the ice bath and treated with saturated aqueous ammonium chloride (50 mL) and extracted with ethyl acetate (2×50 mL). The combined organics were washed with saturated sodium bicarbonate (25 mL) and brine (25 mL), dried over sodium sulfate, filtered, and concentrated under reduced pressure. The crude residue was purified by column chromatography (silica gel, 0-10% methanol/methylene chloride) followed by reversed phase column chromatography (50 g C18 column, 10-100% acetonitrile/water) and freeze dried to provide (S)-(S)-2-(((4R,4aS,7aR,12bS)-4a-hydroxy-9-methoxy-3-methyl-2,3,4,4a,5,7a-hexahydro-1H-4,12-methanobenzofuro[3,2-e]isoquinolin-7-yl)oxy)-2-oxo-1-phenylethyl 2-((tert-butoxycarbonyl)oxy)propanoate (51 mg, 5%) as a fluffy white solid: ESI MS m/z 622 [C34H39NO10+H]+.
Preparation of (S)-(S)-2-(((4R,4aS,7aR,12bS)-4a-Hydroxy-9-methoxy-3-methyl-2,3,4,4a,5,7a-hexahydro-1H-4,12-methanobenzofuro[3,2-e]isoquinolin-7-yl)oxy)-2-oxo-1-phenylethyl 2-hydroxypropanoate trifluoroacetic acid salt
Figure US10226456-20190312-C00465
A solution of (S)-(S)-2-(((4R,4aS,7aR,12bS)-4a-hydroxy-9-methoxy-3-methyl-2,3,4,4a,5,7a-hexahydro-1H-4,12-methanobenzofuro[3,2-e]isoquinolin-7-yl)oxy)-2-oxo-1-phenylethyl 2-((tert-butoxycarbonyl)oxy)propanoate (50 mg, 0.080 mmol) in methylene chloride (2 mL) was treated with trifluoroacetic acid (1 mL) and stirred under a nitrogen atmosphere at ambient temperature for 30 min. After this time, the reaction mixture was concentrated under reduced pressure. The residue was purified by reversed phase column chromatography (C18 column, 10-100% acetonitrile/water) and freeze dried to provide (S)-(S)-2-(((4R,4aS,7aR,12bS)-4a-hydroxy-9-methoxy-3-methyl-2,3,4,4a,5,7a-hexahydro-1H-4,12-methanobenzofuro[3,2-e]isoquinolin-7-yl)oxy)-2-oxo-1-phenylethyl 2-hydroxypropanoate trifluoroacetic acid salt (23 mg, 46%) as a fluffy white solid:1H NMR (300 MHz, DMSO-d6) δ 9.15 (br s, 1H), 7.57-7.55 (m, 2H), 7.48-7.45 (m, 3H), 6.81 (d, J=8.1 Hz, 1H), 6.72 (d, J=8.1 Hz, 1H), 6.31 (br s, 1H), 6.15 (s, 1H), 5.57-5.53 (m, 2H), 4.94 (s, 1H), 4.34-4.26 (m, 1H), 3.64 (br s, 4H), 3.44-3.37 (m, 1H, partially obscured by water peak), 3.13-3.05 (m, 2H), 2.82 (s, 3H), 2.62-2.57 (m, 1H), 2.49-2.39 (m, 1H, partially obscured by solvent peak), 2.30-2.22 (m, 1H), 2.08-2.02 (m, 1H), 1.62 (d, J=12.0 Hz, 1H), 1.37 (d, J=6.6 Hz, 3H);ESI MS m/z 522 [C29H31NO8+H]+.
Figure US10226456-20190312-C00466
Preparation of (S)-(4R,4aS,7aR,12bS)-4a-Hydroxy-9-methoxy-3-methyl-2,3,4,4a,5,7a-hexahydro-1H-4,12-methanobenzofuro[3,2-e]isoquinolin-7-yl 2-((tert-butoxycarbonyl)amino)propanoate
Figure US10226456-20190312-C00467
A suspension of oxycodone (0.500 g, 1.58 mmol) in tetrahydrofuran (10 mL) was cooled in an ice bath and treated dropwise with a 1.0 M solution of lithium bis(trimethylsilyl)amide in tetrahydrofuran (0.7 mL, 0.7 mmol). The mixture was stirred at 0° C. for 15 min and then treated dropwise with a solution of (S)-2,5-dioxopyrrolidin-1-yl 2-((tert-butoxycarbonyl)amino)propanoate (0.904 g, 3.16 mmol) in tetrahydrofuran (10 mL). The mixture was stirred 0° C. for 1 h. After this time, the reaction mixture was treated with saturated aqueous ammonium chloride (75 mL) and extracted with ethyl acetate (2×100 mL). The combined organics were dried over sodium sulfate, filtered, and concentrated under reduced pressure. The crude residue was purified by reversed phase chromatography (C18, 10-80% acetonitrile/water) to provide (S)-(4R,4aS,7aR,12bS)-4a-hydroxy-9-methoxy-3-methyl-2,3,4,4a,5,7a-hexahydro-1H-4,12-methanobenzofuro[3,2-e]isoquinolin-7-yl 2-((tert-butoxycarbonyl)amino)propanoate (0.225 g, 29%) as a white solid:1H NMR (300 MHz, CDCl3) δ 6.71 (d, J=8.1 Hz, 1H), 6.62 (d, J=8.4 Hz, 1H), 5.65-5.62 (m, 1H), 5.05 (br s, 1H), 4.99 (s, 1H), 4.45-4.35 (m, 1H), 3.84 (s, 3H), 3.17 (d, J=18.6 Hz, 1H), 2.86 (d, J=6.3 Hz, 1H), 2.63 (dd, J=18.9, 6.3 Hz, 1H), 2.47-2.42 (m, 1H), 2.38 (s, 3H), 2.35-2.22 (m, 2H), 2.18-2.16 (m, 2H), 1.64-1.59 (m, 1H), 1.48 (d, J=7.5 Hz, 3H), 1.45 (s, 9H), OH proton not observed.
Preparation of (S)-(4R,4aS,7aR,12bS)-4a-Hydroxy-9-methoxy-3-methyl-2,3,4,4a,5,7a-hexahydro-1H-4,12-methanobenzofuro[3,2-e]isoquinolin-7-yl 2-aminopropanoate bis(trifluoroacetic acid salt)
Figure US10226456-20190312-C00468
A solution of (S)-(4R,4aS,7aR,12bS)-4a-hydroxy-9-methoxy-3-methyl-2,3,4,4a,5,7a-hexahydro-1H-4,12-methanobenzofuro[3,2-e]isoquinolin-7-yl 2-((tert-butoxycarbonyl)amino)propanoate (0.200 g, 0.410 mmol) in methylene chloride (6 mL) was treated with trifluoroacetic acid (3 mL) and stirred under a nitrogen atmosphere at ambient temperature for 0.5 h. After this time, the reaction mixture was concentrated under reduced pressure to give (S)-(4R,4aS,7aR,12bS)-4a-hydroxy-9-methoxy-3-methyl-2,3,4,4a,5,7a-hexahydro-1H-4,12-methanobenzofuro[3,2-e]isoquinolin-7-yl 2-aminopropanoate bis(trifluoroacetic acid salt) (0.343 g, quantitative) as a light yellow oil: ESI MS m/z 387 [C21H26N2O5+H]+.
Preparation of (S)-(4R,4aS,7aR,12bS)-4a-Hydroxy-9-methoxy-3-methyl-2,3,4,4a,5,7a-hexahydro-1H-4,12-methanobenzofuro[3,2-e]isoquinolin-7-yl 2-((S)-2-((tert-butoxycarbonyl)oxy)propanamido)propanoate
Figure US10226456-20190312-C00469
A solution of (S)-(4R,4aS,7aR,12bS)-4a-hydroxy-9-methoxy-3-methyl-2,3,4,4a,5,7a-hexahydro-1H-4,12-methanobenzofuro[3,2-e]isoquinolin-7-yl 2-aminopropanoate bis(trifluoroacetic acid salt) (0.252 g, 0.411 mmol) in methylene chloride (8 mL) was cooled in an ice bath and treated with N,N-diisopropylethylamine (0.77 mL, 4.44 mmol) and (S)-2,5-dioxopyrrolidin-1-yl 2-((tert-butoxycarbonyl)oxy)propanoate (0.382 g, 1.33 mmol). The ice bath was removed, and the mixture was stirred at ambient temperature for 2 h. After this time, the reaction mixture was concentrated under reduced pressure. The residue was diluted in ethyl acetate (100 mL) and successively washed with 10% citric acid (75 mL), saturated sodium bicarbonate (75 mL) and brine (75 mL). The organic layer was dried over sodium sulfate, filtered and concentrated under reduced pressure. The crude residue was purified by column chromatography (silica gel, 0-4% methylene chloride/methanol) to provide (S)-(4R,4aS,7aR,12bS)-4a-hydroxy-9-methoxy-3-methyl-2,3,4,4a,5,7a-hexahydro-1H-4,12-methanobenzofuro[3,2-e]isoquinolin-7-yl 2-((S)-2-((tert-butoxycarbonyl)oxy)propanamido)propanoate (0.138 g, 60%) as a white foam: ESI MS m/z 559 [C29H38N2O9+H]+.
Preparation of (S)-(4R,4aS,7aR,12bS)-4a-Hydroxy-9-methoxy-3-methyl-2,3,4,4a,5,7a-hexahydro-1H-4,12-methanobenzofuro[3,2-e]isoquinolin-7-yl 2-((S)-2-hydroxypropanamido)propanoate trifluoroacetic acid salt
Figure US10226456-20190312-C00470
A solution of (S)-(4R,4aS,7aR,12bS)-4a-hydroxy-9-methoxy-3-methyl-2,3,4,4a,5,7a-hexahydro-1H-4,12-methanobenzofuro[3,2-e]isoquinolin-7-yl 2-((S)-2-((tert-butoxycarbonyl)oxy)propanamido)propanoate (0.080 g, 0.14 mmol) in methylene chloride (3 mL) was treated with trifluoroacetic acid (1.5 mL) and stirred at ambient temperature for 1 h. After this time, the reaction mixture was concentrated under reduced pressure. The residue was triturated with a mixture of methylene chloride/diethyl ether (1:1) and filtered to give (S)-(4R,4aS,7aR,12bS)-4a-hydroxy-9-methoxy-3-methyl-2,3,4,4a,5,7a-hexahydro-1H-4,12-methanobenzofuro[3,2-e]isoquinolin-7-yl 2-((S)-2-hydroxypropanamido)propanoatetrifluoroacetic acid salt (0.044 mg, 67%) as a white solid:1H NMR (300 MHz, DMSO-d6) δ 9.22 (br s, 1H), 8.09 (d, J=6.9 Hz, 1H), 6.86 (d, J=8.4 Hz, 1H), 6.75 (d, J=8.1 Hz, 1H), 6.28 (s, 1H), 5.53-5.50 (m, 1H), 5.00 (s, 1H), 4.39-4.34 (m, 1H), 4.03-3.99 (m, 1H), 3.75 (s, 3H), 3.64 (d, J=5.7 Hz, 1H), 3.50-3.35 (m, 2H), 3.13-3.06 (m, 2H), 2.84 (d, J=4.5 Hz, 3H), 2.75-2.55 (m, 1H), 2.32-2.24 (m, 1H), 2.06 (d, J=18.0 Hz, 1H), 1.59 (d, J=11.7 Hz, 1H), 1.40 (d, J=7.2 Hz, 3H), 1.22 (d, J=10.5 Hz, 3H); ESI MS m/z 459 [C24H30N2O7+H]+.
Figure US10226456-20190312-C00471
Preparation of (S)-2-(((S)-1-(tert-Butoxycarbonyl)pyrrolidine-2-carbonyl)oxy)propanoic acid
Figure US10226456-20190312-C00472
A solution of (S)-1-tert-butyl 2-(2,5-dioxopyrrolidin-1-yl) pyrrolidine-1,2-dicarboxylate (2.01 g, 6.44 mmol), lactic acid (699 mg, 7.76 mmol), and 4-dimethylaminopyridine (82 mg, 0.67 mmol) in tetrahydrofuran (30 mL) was treated with pyridine (0.62 mL, 7.7 mmol) and heated at 50° C. under a nitrogen atmosphere for 20 h. After this time, the reaction mixture was cooled to room temperature and concentrated under reduced pressure. The residue was dissolved in ethyl acetate (50 mL) and washed with aqueous 10% citric acid (2×25 mL) and water (25 mL). The organic layer was extracted with saturated aqueous sodium bicarbonate (2×25 mL). The combined aqueous bicarbonate layers were acidified to pH ˜2 with 6 N hydrochloric acid and extracted with ethyl acetate (4×25 mL). The combined organics were dried over sodium sulfate, filtered, and concentrated under reduced pressure to provide (S)-2-(((S)-1-(tert-Butoxycarbonyl)pyrrolidine-2-carbonyl)oxy)propanoic acid (646 mg, 35%) as a colorless oil:1H NMR (300 MHz, CDCl3, Mixture of isomers) δ 5.29 (q, J=7.2 Hz, 0.51H), 5.21-5.14 (m, 0.49H), 4.38 (dd, J=8.4, 4.8 Hz, 0.51H), 4.38 (dd, J=8.4, 3.9 Hz, 0.49H), 3.62-3.36 (m, 2H), 2.34-2.22 (m, 1H), 2.19-2.06 (m, 1H), 1.98-1.87 (m, 2H), 1.57-1.41 (m, 12H), CO2H proton not observed; ESI MS m/z 573 [(2×C13H21NO6)−H].
Preparation of (S)-1-tert-Butyl 2-((S)-1-((2,5-dioxopyrrolidin-1-yl)oxy)-1-oxopropan-2-yl) pyrrolidine-1,2-dicarboxylate
Figure US10226456-20190312-C00473
A solution of (S)-2-(((S)-1-(tert-butoxycarbonyl)pyrrolidine-2-carbonyl)oxy)propanoic acid (640 mg, 2.23 mmol) in tetrahydrofuran (10 mL) was treated with N-hydroxysuccinimide (283 mg, 2.46 mmol) and N,N′-dicyclohexylcarbodiimide (511 mg, 2.48 mmol) and stirred under a nitrogen atmosphere for 3 h. After this time, the reaction mixture was filtered to remove the solid dicyclohexylurea byproduct. The solid was washed with diethyl ether, and the combined filtrate and washings were concentrated under reduced pressure to provide (S)-1-tert-butyl 2-((S)-1-((2,5-dioxopyrrolidin-1-yl)oxy)-1-oxopropan-2-yl) pyrrolidine-1,2-dicarboxylate (957 mg, quantitative) as a tan foam:1H NMR (300 MHz, CDCl3, Mixture of isomers) δ 5.48 (q, J=6.9 Hz, 1H), 4.41 (dd, J=8.4, 3.9 Hz, 0.50H), 4.31 (dd, J=8.4, 3.9 Hz, 0.50H), 3.60-3.37 (m, 2H), 2.85-2.84 (m, 4H), 2.27-2.11 (m, 2H), 1.98-1.89 (m, 2H), 1.70 (d, J=6.9 Hz, 3H), 1.45 (s, 4.5H), 1.43 (s, 4.5H).
Preparation of (S)-1-tert-Butyl 2-((S)-1-(((4R,4aS,7aR,12bS)-4a-hydroxy-9-methoxy-3-methyl-2,3,4,4a,5,7a-hexahydro-1H-4,12-methanobenzofuro[3,2-e]isoquinolin-7-yl)oxy)-1-oxopropan-2-yl) pyrrolidine-1,2-dicarboxylate
Figure US10226456-20190312-C00474
A suspension of oxycodone (634 mg, 2.01 mmol) in tetrahydrofuran (7 mL) was cooled in an ice bath and treated dropwise with a 1.0 M solution of potassium tert-butoxide in tetrahydrofuran (2.4 mL, 2.4 mmol). After addition was complete, the mixture was stirred in the ice bath for 5 min and at ambient temperature for 5 min. The mixture was re-cooled in an ice/brine bath and treated dropwise with a solution of (S)-1-tert-butyl 2-((S)-1-((2,5-dioxopyrrolidin-1-yl)oxy)-1-oxopropan-2-yl) pyrrolidine-1,2-dicarboxylate (932 mg, 2.43 mmol) in tetrahydrofuran (7 mL). After addition was complete, the mixture was stirred in the ice/brine bath for 20 min. After this time, the reaction mixture was treated with saturated aqueous ammonium chloride (50 mL) and extracted with ethyl acetate (2×50 mL). The combined organics were washed with saturated sodium bicarbonate (50 mL) and brine (50 mL), dried over sodium sulfate, filtered, and concentrated under reduced pressure. The crude residue was purified by column chromatography (silica gel, 0-10% methanol/methylene chloride) followed by reversed phase column chromatography (150 g C18 column, 20-100% acetonitrile/water) and freeze dried to provide (S)-1-tert-butyl 2-((S)-1-(((4R,4aS,7aR,12bS)-4a-hydroxy-9-methoxy-3-methyl-2,3,4,4a,5,7a-hexahydro-1H-4,12-methanobenzofuro[3,2-e]isoquinolin-7-yl)oxy)-1-oxopropan-2-yl) pyrrolidine-1,2-dicarboxylate (185 mg, 16%) as a fluffy white solid: ESI MS m/z 585 [C31H40N2O9+H]+.
Preparation of (S)-(S)-1-(((4R,4aS,7aR,12bS)-4a-Hydroxy-9-methoxy-3-methyl-2,3,4,4a,5,7a-hexahydro-1H-4,12-methanobenzofuro[3,2-e]isoquinolin-7-yl)oxy)-1-oxopropan-2-yl pyrrolidine-2-carboxylate dihydrochloride
Figure US10226456-20190312-C00475
A solution of (S)-1-tert-butyl 2-((S)-1-(((4R,4aS,7aR,12bS)-4a-hydroxy-9-methoxy-3-methyl-2,3,4,4a,5,7a-hexahydro-1H-4,12-methanobenzofuro[3,2-e]isoquinolin-7-yl)oxy)-1-oxopropan-2-yl) pyrrolidine-1,2-dicarboxylate (88 mg, 0.15 mmol) in ethyl acetate (1 mL) was treated with a 4.0 M solution of hydrogen chloride in 1,4-dioxane (1 mL) and stirred under a nitrogen atmosphere at ambient temperature for 1 h. After this time, the reaction mixture was diluted with diethyl ether and sonicated to produce a solid precipitate. The solid was isolated by filtration, washed with diethyl ether, and dried under vacuum to provide (S)-(S)-1-(((4R,4aS,7aR,12bS)-4a-hydroxy-9-methoxy-3-methyl-2,3,4,4a,5,7a-hexahydro-1H-4,12-methanobenzofuro[3,2-e]isoquinolin-7-yl)oxy)-1-oxopropan-2-yl pyrrolidine-2-carboxylate dihydrochloride (90 mg, quantitative) as a white solid:1H NMR (300 MHz, DMSO-d6) δ 9.93 (br s, 1H), 9.22 (br s, 1H), 9.02 (br s, 1H), 6.87 (d, J=8.4 Hz, 1H), 6.76 (d, J=8.1 Hz, 1H), 6.35 (s, 1H), 5.62 (dd, J=5.7, 1.8 Hz, 1H), 5.35 (q, J=7.2 Hz, 1H), 4.99 (s, 1H), 4.54 (br s, 1H), 3.75 (s, 3H), 3.69 (d, J=5.7 Hz, 1H), 3.42-3.37 (m, 1H, partially obscured by water peak), 3.25 (br s, 2H), 3.16-3.07 (m, 2H), 2.85 (apparent d, J=4.8 Hz, 3H), 2.65-2.57 (m, 1H), 2.49-2.27 (m, 3H, partially obscured by solvent peak), 2.18-1.88 (m, 4H), 1.63 (d, J=12.0 Hz, 1H), 1.57 (d, J=7.2 Hz, 3H);ESI MS m/z 485 [C26H32N2O7+H]+; HPLC (Method A) 98.0% (AUC), tR=7.07 min.
Figure US10226456-20190312-C00476
Preparation of (S)-3-(1-(tert-Butoxycarboyl)-1H-imidazol-4-yl)-2-(3-((tert-butoxycarbonyl)amino)propanamido)propanoic acid
Figure US10226456-20190312-C00477
A suspension of (S)-2-(3-aminopropanamido)-3-(1H-imidazol-4-yl)propanoic acid (3.00 g, 13.3 mmol) in a mixture of 1,4-dioxane/water (13.5 mL, 2:1) was stirred at ambient temperature until a clear solution was obtained (˜10 minutes). The mixture was treated dropwise with a solution of 1 M aqueous NaOH (4.40 mL, 4.42 mmol). The reaction mixture was cooled to 0° C. and treated with di-tert-butyl dicarbonate (2.12 g, 9.72 mmol). The ice bath was removed and stirring continued at ambient temperature for 2 h. After this time, the volatiles were removed under reduced pressure. The residue was diluted with water (40 mL) and ethyl acetate (60 mL), acidified to pH ˜3 with 1.0 M potassium bisulfate and extracted with ethyl acetate (3×100 mL). The combined organics were dried over sodium sulfate, filtered, and concentrated under reduced pressure to provide (S)-3-(1-(tert-butoxycarboyl)-1H-imidazol-4-yl)-2-(3-((tert-butoxycarbonyl)amino)propanamido)propanoic acid (1.70 g, 90%) as a white solid:1H NMR (300 MHz, CDCl3) δ 8.15 (s, 1H), 7.21 (s, 1H), 6.69-6.67 (br s, 1H), 5.28 (s, 1H), 4.72-4.66 (m, 1H), 3.46-3.40 (m, 2H), 3.26 (dd, J=11.7, 5.7 Hz, 1H), 3.13 (dd, J=15.0, 6.3 Hz, 1H), 2.46 (t, J=26.3 Hz, 2H), 1.61 (s, 9H), 1.44 (s, 9H), CO2H proton not observed.
Preparation of (S)-tert-Butyl 4-(2-(3-((tert-butoxycarbonyl)amino)propanamido)-3-((2,5-dioxopyrrolidin-1-yl)oxy)-3-oxopropyl)-1H-Imidazole-1-carboxylate
Figure US10226456-20190312-C00478
A solution of (S)-3-(1-(tert-butoxycarboyl)-1H-imidazol-4-yl)-2-(3-((tert-butoxycarbonyl)amino)propanamido)propanoic acid (4.90 g, 11.5 mmol) in tetrahydrofuran (60 mL) was treated with N-hydroxysuccinimide (1.70 g, 14.9 mmol) and N,N′-dicyclohexylcarbodiimide (3.08 g, 14.9 mmol) and stirred under a nitrogen atmosphere for 3 h. After this time, the reaction mixture was filtered to remove the solid dicyclohexylurea byproduct. The solid was washed with diethyl ether (100 mL), and the combined filtrate and washings were concentrated under reduced pressure. The residue was triturated with diethyl ether to provide (S)-tert-butyl 4-(2-(3-((tert-butoxycarbonyl)amino)propanamido)-3-((2,5-dioxopyrrolidin-1-yl)oxy)-3-oxopropyl)-1H-imidazole-1-carboxylate (7.20 g, quantitative) as a white foam:1H NMR (300 MHz, CDCl3) δ 8.02 (s, 1H), 7.41 (s, 1H), 5.72 (br s, 1H), 5.17-5.11 (m, 1H), 3.51-3.3.41 (m, 2H), 3.21 (d, J=4.8 Hz, 2H), 2.82 (m, 5H), 2.49-2.44 (m, 2H), 1.61 (s, 9H), 1.42 (s, 9H).
Preparation of tert-Butyl 4-((S)-2-(3-((tert-butoxycarbonyl)amino)propanamido)-3-(((4R,4aS,7aR,12bS)-4a-hydroxy-9-methoxy-3-methyl-2,3,4,4a,5,7a-hexahydro-1H-4,12-methanobenzofuro[3,2-e]isoquinolin-7-yl)oxy)-3-oxopropyl)-1H-imidazole-1-carboxylate
Figure US10226456-20190312-C00479
A suspension of oxycodone (0.500 g, 1.58 mmol) in tetrahydrofuran (8 mL) was cooled in an ice bath and treated dropwise with a 1.0 M solution of lithium bis(trimethylsilyl)amide in tetrahydrofuran (3.20 mL, 3.20 mmol). The mixture was stirred at 0° C. for 15 min and then treated dropwise with a solution of(S)-tert-butyl 4-(2-(3-((tert-butoxycarbonyl)amino)propanamido)-3-((2,5-dioxopyrrolidin-1-yl)oxy)-3-oxopropyl)-1H-imidazole-1-carboxylate (1.66 g, 3.17 mmol) in tetrahydrofuran (8 mL). The reaction mixture was stirred at 0° C. for 1 h. After this time, the mixture was poured into saturated aqueous ammonium chloride (75 mL) and extracted with ethyl acetate (2×100 mL). The combined organics were dried over sodium sulfate, filtered, and concentrated under reduced pressure. The crude residue was purified by reversed phase chromatography (C18, 10-75% acetonitrile/water) and lyophilized to provide tert-butyl 4-((S)-2-(3-((tert-butoxycarbonyl)amino)propanamido)-3-(((4R,4aS,7aR,12bS)-4a-hydroxy-9-methoxy-3-methyl-2,3,4,4a,5,7a-hexahydro-1H-4,12-methanobenzofuro[3,2-e]isoquinolin-7-yl)oxy)-3-oxopropyl)-1H-imidazole-1-carboxylate (0.331 g, 29%) as a white solid:1H NMR (300 MHz, CDCl3) δ 8.02 (s, 1H), 7.38 (s, 1H), 6.70 (d, J=6.6 Hz, 1H), 6.71 (d, J=6.6 Hz, 1H), 6.71 6.62 (d, J=8.4 Hz, 1H), 6.02 (br s, 1H), 5.58-5.55 (m, 1H), 4.97-4.90 (m, 2H), 3.85 (s, 3H), 3.58-3.38 (m, 2H), 3.20-3.13 (m, 3H), 2.85 (d, J=6.3 Hz, 1H), 2.62 (dd, J=18.6, 6.3 Hz, 1H), 2.46-2.40 (m, 3H), 2.38 (s, 3H), 2.33-2.21 (m, 2H), 2.16-2.14 (m, 2H), 1.58 (s, 9H), 1.43 (s, 9H).
Preparation of (S)-(4R,4aS,7aR,12bS)-4a-Hydroxy-9-methoxy-3-methyl-2,3,4,4a,5,7a-hexahydro-1H-4,12-methanobenzofuro[3,2-e]isoquinolin-7-yl 2-(3-aminopropanamido)-3-(1H-Imidazo-4-yl)propanoate tris(trifluoroacetic acid salt)
Figure US10226456-20190312-C00480
A solution of tert-butyl 4-((S)-2-(3-((tert-butoxycarbonyl)amino)propanamido)-3-(((4R,4aS,7aR,12bS)-4a-hydroxy-9-methoxy-3-methyl-2,3,4,4a,5,7a-hexahydro-1H-4,12-methanobenzofuro[3,2-e]isoquinolin-7-yl)oxy)-3-oxopropyl)-1H-imidazole-1-carboxylate (100 mg, 0.138 mmol) in methylene chloride (4 mL) was treated with trifluoroacetic acid (1.5 mL) and stirred under a nitrogen atmosphere at ambient temperature for 1 h. After this time, the reaction mixture was concentrated under reduced pressure. The residue was triturated with diethyl ether then freeze dried from water to provide (S)-(4R,4aS,7aR,12bS)-4a-hydroxy-9-methoxy-3-methyl-2,3,4,4a,5,7a-hexahydro-1H-4,12-methanobenzofuro[3,2-e]isoquinolin-7-yl 2-(3-aminopropanamido)-3-(1H-imidazo-4-yl)propanoate tris(trifluoroacetic acid salt) (98.6 mg, quantitative) as an off-white solid:1H NMR (300 MHz, DMSO-d6) δ 9.22 (br s, 1H), 9.01 (s, 1H), 8.85 (d, J=7.2 Hz, 1H), 7.77 (br s, 3H), 7.49 (s, 1H), 6.88 (d, J=8.4 Hz, 1H), 6.77 (d, J=8.4 Hz, 1H), 6.35 (br s, 1H), 5.53-5.51 (m, 1H), 4.94 (s, 1H), 4.69 (q, J=8.1 Hz, 1H), 3.75 (s, 3H), 3.67 (d, J=6.3 Hz, 1H), 3.44 (d, J=20.1 Hz, 1H), 3.23-3.09 (m, 4H), 3.00-2.92 (m, 2H), 2.85 (s, 3H), 2.70-2.55 (m, 1H), 2.30 (dd, J=18.6, 6.6 Hz, 1H), 2.04 (d, J=17.7 Hz, 1H), 1.62 (d, J=11.4 Hz, 1H), two protons not observed; ESI MS m/z 524 [C27H33N5O6+H]+.
Figure US10226456-20190312-C00481
Preparation of (S)-2-((3-((tert-Butoxycarbonyl)amino)propanoyl)oxy)propanoic acid
Figure US10226456-20190312-C00482
A solution of 2,5-dioxopyrrolidin-1-yl 3-((tert-butoxycarbonyl)amino)propanoate (1.00 g, 3.49 mmol), lactic acid (389 mg, 4.32 mmol), and 4-dimethylaminopyridine (45 mg, 0.37 mmol) in tetrahydrofuran (17 mL) was treated with pyridine (0.34 mL, 4.2 mmol) and heated at 50° C. under a nitrogen atmosphere for 17 h. After this time, the reaction mixture was cooled to room temperature and concentrated under reduced pressure. The residue was dissolved in ethyl acetate (50 mL) and washed with aqueous 10% citric acid (2×25 mL) and water (25 mL). The organic layer was extracted with saturated aqueous sodium bicarbonate (2×25 mL). The combined aqueous bicarbonate layers were acidified to pH ˜2 with 6 N hydrochloric acid and extracted with ethyl acetate (4×25 mL). The combined organics were dried over sodium sulfate, filtered, and concentrated under reduced pressure to provide (S)-2-((3-((tert-butoxycarbonyl)amino)propanoyl)oxy)propanoic acid (489 mg, 54%) as a colorless oil:1H NMR (300 MHz, CDCl3) δ 5.18 (q, J=7.2 Hz, 1H), 5.11 (br s, 1H), 3.49-3.39 (m, 2H), 2.61-2.59 (m, 2H), 1.55 (d, J=7.2 Hz, 3H), 1.44 (s, 9H), CO2H proton not observed; ESI MS m/z 260 [C11H19NO6−H].
Preparation of (S)-2,5-Dioxopyrrolidin-1-yl 2-((3-((tert-butoxycarbonyl)amino)propanoyl)oxy)propanoate
Figure US10226456-20190312-C00483
A solution of (S)-2-((3-((tert-butoxycarbonyl)amino)propanoyl)oxy)propanoic acid (489 mg, 1.87 mmol) in tetrahydrofuran (9 mL) was treated with N-hydroxysuccinimide (240 mg, 2.09 mmol) and N,N′-dicyclohexylcarbodiimide (426 mg, 2.06 mmol) and stirred under a nitrogen atmosphere for 3 h. After this time, the reaction mixture was filtered to remove the solid dicyclohexylurea byproduct. The solid was washed with diethyl ether, and the combined filtrate and washings were concentrated under reduced pressure to provide (S)-2,5-dioxopyrrolidin-1-yl 2-((3-((tert-butoxycarbonyl)amino)propanoyl)oxy)propanoate (773 mg, quantitative) as an off-white foam:1H NMR (300 MHz, CDCl3) δ 5.40 (q, J=6.9 Hz, 1H), 5.16-5.11 (m, 1H), 3.46-3.42 (m, 2H), 2.85 (s, 4H), 2.65-2.62 (m, 2H), 1.69 (d, J=6.9 Hz, 3H), 1.43 (s, 9H).
Preparation of (S)-(4R,4aS,7aR,12bS)-4a-Hydroxy-9-methoxy-3-methyl-2,3,4,4a,5,7a-hexahydro-1H-4,12-methanobenzofuro[3,2-e]isoquinolin-7-yl 2-((3-((tert-butoxycarbonyl)amino)propanoyl)oxy)propanoate
Figure US10226456-20190312-C00484
A suspension of oxycodone (560 mg, 1.78 mmol) in tetrahydrofuran (6 mL) was cooled in an ice bath and treated dropwise with a 1.0 M solution of potassium tert-butoxide in tetrahydrofuran (2.1 mL, 2.1 mmol). After addition was complete, the mixture was stirred in the ice bath for 1 h. The mixture was treated dropwise with a solution of (S)-2,5-dioxopyrrolidin-1-yl 2-((3-((tert-butoxycarbonyl)amino)propanoyl)oxy)propanoate (761 mg, 2.12 mmol) in tetrahydrofuran (6 mL). After addition was complete, the mixture was stirred in the ice bath for 15 min. After this time, the reaction mixture was treated with saturated aqueous ammonium chloride (50 mL) and extracted with ethyl acetate (2×50 mL). The combined organics were washed with saturated sodium bicarbonate (2×25 mL) and brine (2×25 mL), dried over sodium sulfate, filtered, and concentrated under reduced pressure. The crude residue was purified by column chromatography (silica gel, 0-10% methanol/methylene chloride) followed by reversed phase column chromatography (50 g C18 column, 10-100% acetonitrile/water) and freeze dried to provide (S)-(4R,4aS,7aR,12bS)-4a-hydroxy-9-methoxy-3-methyl-2,3,4,4a,5,7a-hexahydro-1H-4,12-methanobenzofuro[3,2-e]isoquinolin-7-yl 2-((3-((tert-butoxycarbonyl)amino)propanoyl)oxy)propanoate (132 mg, 13%) as a fluffy white solid: ESI MS m/z 559 [C29H38N2O9+H]+.
Preparation of (S)-(4R,4aS,7aR,12bS)-4a-Hydroxy-9-methoxy-3-methyl-2,3,4,4a,5,7a-hexahydro-1H-4,12-methanobenzofuro[3,2-e]isoquinolin-7-yl 2-((3-aminopropanoyl)oxy)propanoate hydrochloride
Figure US10226456-20190312-C00485
A solution of (S)-(4R,4aS,7aR,12bS)-4a-hydroxy-9-methoxy-3-methyl-2,3,4,4a,5,7a-hexahydro-1H-4,12-methanobenzofuro[3,2-e]isoquinolin-7-yl 2-((3-((tert-butoxycarbonyl)amino)propanoyl)oxy)propanoate (35 mg, 0.063 mmol) in ethyl acetate (1 mL) was treated with a 4.0 M solution of hydrogen chloride in 1,4-dioxane (1 mL) and stirred under a nitrogen atmosphere at ambient temperature for 1 h. After this time, the reaction mixture was diluted with diethyl ether and sonicated to produce a solid precipitate. The solid was isolated by filtration, washed with diethyl ether, dried under vacuum, and freeze-dried from water to provide (S)-(4R,4aS,7aR,12bS)-4a-hydroxy-9-methoxy-3-methyl-2,3,4,4a,5,7a-hexahydro-1H-4,12-methanobenzofuro[3,2-e]isoquinolin-7-yl 2-((3-aminopropanoyl)oxy)propanoate hydrochloride (27 mg, 81%) as a white solid:1H NMR (300 MHz, DMSO-d6) δ 9.24 (br s, 1H), 8.02 (br s, 3H), 6.86 (d, J=8.4 Hz, 1H), 6.76 (d, J=8.4 Hz, 1H), 6.38 (s, 1H), 5.59 (dd, J=6.0, 1.8 Hz, 1H), 5.17 (q, J=7.2 Hz, 1H), 4.99 (s, 1H), 3.76 (s, 3H), 3.70 (d, J=6.0 Hz, 1H), 3.43 (d, J=20.1 Hz, 1H), 3.16-3.04 (m, 4H), 2.85-2.79 (m, 5H), 2.65-2.57 (m, 1H), 2.49-2.27 (m, 2H, partially obscured by solvent peak), 2.05 (apparent d, J=18.0 Hz, 1H), 1.63 (d, J=10.8 Hz, 1H), 1.52 (d, J=7.2 Hz, 3H); ESI MS m/z 459 [C24H30N2O7+H]+.
Figure US10226456-20190312-C00486
Preparation of (S)-2-((3-((tert-Butoxycarbonyl)amino)propanoyl)oxy)-2-phenylacetic acid
Figure US10226456-20190312-C00487
A solution of 2,5-dioxopyrrolidin-1-yl 3-((tert-butoxycarbonyl)amino)propanoate (1.04 g, 3.62 mmol), mandelic acid (457 mg, 3.00 mmol), and 4-dimethylaminopyridine (29 mg, 0.24 mmol) in tetrahydrofuran (18 mL) was treated with pyridine (0.40 mL, 5.0 mmol) and heated at 50° C. under a nitrogen atmosphere for 48 h. After this time, the reaction mixture was cooled to room temperature and concentrated under reduced pressure. The residue was dissolved in ethyl acetate (50 mL) and washed with aqueous 10% citric acid (2×25 mL) and water (25 mL). The organic layer was extracted with saturated aqueous sodium bicarbonate (2×25 mL). The combined aqueous bicarbonate layers were acidified to pH ˜2 with 6 N hydrochloric acid and extracted with ethyl acetate (4×25 mL). The combined organics were dried over sodium sulfate, filtered, and concentrated under reduced pressure to provide (S)-2-((3-((tert-butoxycarbonyl)amino)propanoyl)oxy)-2-phenylacetic acid (791 mg, 81%) as a colorless oil:1H NMR (300 MHz, CDCl3) δ 7.50-7.36 (m, 5H), 5.99 (s, 1H), 5.18 (br s, 1H), 3.48-3.45 (m, 2H), 2.69-2.62 (m, 2H), 1.43 (s, 9H), CO2H proton not observed.
Preparation of (S)-2-((2,5-Dioxopyrrolidin-1-yl)oxy)-2-oxo-1-phenylethyl 3-((tert-butoxycarbonyl)amino)propanoate
Figure US10226456-20190312-C00488
A solution of (S)-2-((3-((tert-butoxycarbonyl)amino)propanoyl)oxy)-2-phenylacetic acid (724 mg, 2.24 mmol) in tetrahydrofuran (12 mL) was treated with N-hydroxysuccinimide (298 mg, 2.59 mmol) and N,N′-dicyclohexylcarbodiimide (506 mg, 2.45 mmol) and stirred under a nitrogen atmosphere for 3 h. After this time, the reaction mixture was filtered to remove the solid dicyclohexylurea byproduct. The solid was washed with diethyl ether, and the combined filtrate and washings were concentrated under reduced pressure to provide (S)-2-((2,5-dioxopyrrolidin-1-yl)oxy)-2-oxo-1-phenylethyl 3-((tert-butoxycarbonyl)amino)propanoate (1.07 g, quantitative) as an off-white foam:1H NMR (300 MHz, CDCl3) δ 7.56-7.52 (m, 2H), 7.47-7.40 (m, 3H), 6.32 (s, 1H), 5.15 (t, J=5.7 Hz, 1H), 3.48-3.42 (m, 2H), 2.81 (s, 4H), 2.72-2.67 (m, 2H), 1.42 (s, 9H).
Preparation of (S)-2-(((4R,4aS,7aR,12bS)-4a-Hydroxy-9-methoxy-3-methyl-2,3,4,4a,5,7a-hexahydro-1H-4,12-methanobenzofuro[3,2-e]isoquinolin-7-yl)oxy)-2-oxo-1-phenylethyl 3-((tert-butoxycarbonyl)amino)propanoate
Figure US10226456-20190312-C00489
A suspension of oxycodone (645 mg, 2.05 mmol) in tetrahydrofuran (8 mL) was cooled in an ice bath and treated dropwise with a 1.0 M solution of potassium tert-butoxide in tetrahydrofuran (2.5 mL, 2.5 mmol). After addition was complete, the mixture was stirred in the ice bath for 5 min and at ambient temperature for 5 min. The mixture was re-cooled in an ice/brine bath and treated dropwise with a solution of (S)-2-((2,5-dioxopyrrolidin-1-yl)oxy)-2-oxo-1-phenylethyl 3-((tert-butoxycarbonyl)amino)propanoate (1.04 g, 2.47 mmol) in tetrahydrofuran (8 mL). After addition was complete, the mixture was stirred in the ice/brine bath for 45 min. After this time, the reaction mixture was treated with saturated aqueous ammonium chloride (50 mL) and extracted with ethyl acetate (2×50 mL). The combined organics were washed with saturated sodium bicarbonate (50 mL) and brine (50 mL), dried over sodium sulfate, filtered, and concentrated under reduced pressure. The crude residue was purified by column chromatography (silica gel, 0-10% methanol/methylene chloride) followed by reversed phase column chromatography (50 g C18 column, 30-100% acetonitrile/water) and freeze dried to provide (S)-2-(((4R,4aS,7aR,12bS)-4a-hydroxy-9-methoxy-3-methyl-2,3,4,4a,5,7a-hexahydro-1H-4,12-methanobenzofuro[3,2-e]isoquinolin-7-yl)oxy)-2-oxo-1-phenylethyl 3-((tert-butoxycarbonyl)amino)propanoate (128 mg, 10%) as a fluffy white solid: ESI MS m/z 621 [C34H40N2O9+H]+.
Preparation of (S)-2-(((4R,4aS,7aR,12bS)-4a-Hydroxy-9-methoxy-3-methyl-2,3,4,4a,5,7a-hexahydro-1H-4,12-methanobenzofuro[3,2-e]isoquinolin-7-yl)oxy)-2-oxo-1-phenylethyl 3-aminopropanoate dihydrochloride
Figure US10226456-20190312-C00490
A solution of (S)-2-(((4R,4aS,7aR,12bS)-4a-hydroxy-9-methoxy-3-methyl-2,3,4,4a,5,7a-hexahydro-1H-4,12-methanobenzofuro[3,2-e]isoquinolin-7-yl)oxy)-2-oxo-1-phenylethyl 3-((tert-butoxycarbonyl)amino)propanoate (87 mg, 0.14 mmol) in ethyl acetate (1 mL) was treated with a 4.0 M solution of hydrogen chloride in 1,4-dioxane (1 mL) and stirred under a nitrogen atmosphere at ambient temperature for 1.5 h. After this time, the reaction mixture was diluted with diethyl ether and sonicated to produce a solid precipitate. The solid was isolated by filtration, washed with diethyl ether, dried under vacuum, and freeze-dried from acetonitrile/water to provide (S)-2-(((4R,4aS,7aR,12bS)-4a-Hydroxy-9-methoxy-3-methyl-2,3,4,4a,5,7a-hexahydro-1H-4,12-methanobenzofuro[3,2-e]isoquinolin-7-yl)oxy)-2-oxo-1-phenylethyl 3-aminopropanoate dihydrochloride (51 mg, 61%) as a white solid:1H NMR (300 MHz, DMSO-d6, Mixture of diastereomers) δ 9.22 (br s, 1H), 8.03 (br s, 3H), 7.57-7.56 (m, 2H), 7.49-7.46 (m, 3H), 6.86-6.80 (m, 1H), 6.76-6.72 (m, 1H), 6.38 (s, 1H), 6.14 (s, 0.66H), 6.13 (s, 0.34H), 5.55 (dd, J=6.3, 2.1 Hz, 0.66H), 5.47 (dd, J=6.0, 1.8 Hz, 0.34H), 4.96 (s, 0.66H), 4.93 (s, 0.34H), 3.72 (s, 1.02H), 3.70-3.68 (m, 1H), 3.64 (s, 1.98H), 3.41 (d, J=20.1 Hz, 1H), 3.14-3.07 (m, 4H), 2.89-2.83 (m, 5H), 2.63-2.59 (m, 1H), 2.49-2.27 (m, 2H, partially obscured by solvent peak), 2.04 (apparent d, J=18.3 Hz, 1H), 1.61 (d, J=11.7 Hz, 1H);ESI MS m/z 521 [C29H32N2O7+H]+; HPLC (Method A) 95.0% (AUC), tR=7.95 min.
Figure US10226456-20190312-C00491
Preparation of (4R,4aS,7aR,12bS)-4a-Hydroxy-9-methoxy-3-methyl-2,3,4,4a,5,7a-hexahydro-1H-4,12-methanobenzofuro[3,2-e]isoquinolin-7-yl 3-((tert-butoxycarbonyl)amino)propanoate
Figure US10226456-20190312-C00492
A suspension of oxycodone (1.02 g, 3.23 mmol) in tetrahydrofuran (10 mL) was cooled in an ice bath and treated with a 1.0 M solution of potassium tert-butoxide in tetrahydrofuran (3.55 mL, 3.55 mmol). After addition was complete, the mixture was stirred under nitrogen atmosphere in the ice bath for 45 min and at ambient temperature for 20 min. The solution was re-cooled in an ice/brine bath, treated dropwise with a solution of 2,5-dioxopyrrolidin-1-yl 3-((tert-butoxycarbonyl)amino)propanoate (0.972 g, 3.39 mmol) in tetrahydrofuran (10 mL), and stirred for 2 h. After this time, the reaction mixture was treated with saturated aqueous ammonium chloride (75 mL) and extracted with ethyl acetate (3×100 mL). The combined organics were washed with saturated aqueous ammonium chloride (100 mL), saturated sodium bicarbonate (2×100 mL), and brine (2×100 mL); dried over sodium sulfate; filtered; and concentrated under reduced pressure to provide (4R,4aS,7aR,12bS)-4a-hydroxy-9-methoxy-3-methyl-2,3,4,4a,5,7a-hexahydro-1H-4,12-methanobenzofuro[3,2-e]isoquinolin-7-yl 3-((tert-butoxycarbonyl)amino)propanoate (1.20 g, 76%) as a yellow oil: ESI MS m/z 487 [C26H34N2O7+H]+.
Preparation of (4R,4aS,7aR,12bS)-4a-Hydroxy-9-methoxy-3-methyl-2,3,4,4a,5,7a-hexahydro-1H-4,12-methanobenzofuro[3,2-e]isoquinolin-7-yl 3-aminopropanoate dihydrochloride
Figure US10226456-20190312-C00493
A solution of (4R,4aS,7aR,12bS)-4a-hydroxy-9-methoxy-3-methyl-2,3,4,4a,5,7a-hexahydro-1H-4,12-methanobenzofuro[3,2-e]isoquinolin-7-yl 3-((tert-butoxycarbonyl)amino)propanoate (0.500 g, 1.06 mmol) in 1,4-dioxane (1 mL) was treated with 4 N hydrogen chloride in 1,4-dioxane (5 mL) at ambient temperature and stirred for 2 h. After this time, the resulting precipitate was isolated by filtration, washed with 1,4-dioxane (15 mL), and dried under vacuum to provide (4R,4aS,7aR,12bS)-4a-hydroxy-9-methoxy-3-methyl-2,3,4,4a,5,7a-hexahydro-1H-4,12-methanobenzofuro[3,2-e]isoquinolin-7-yl 3-aminopropanoate dihydrochloride (0.560 g, quantitative) as an off-white solid: ESI MS m/z 387 [C21H26N2O5+H]+.
Preparation of (4R,4aS,7aR,12bS)-4a-Hydroxy-9-methoxy-3-methyl-2,3,4,4a,5,7a-hexahydro-1H-4,12-methanobenzofuro[3,2-e]isoquinolin-7-yl 3-((S)-2-((tert-butoxycarbonyl)oxy)-2-phenylacetamido)propanoate
Figure US10226456-20190312-C00494
A mixture of (4R,4aS,7aR,12bS)-4a-hydroxy-9-methoxy-3-methyl-2,3,4,4a,5,7a-hexahydro-1H-4,12-methanobenzofuro[3,2-e]isoquinolin-7-yl 3-aminopropanoate dihydrochloride (0.500 g, 1.09 mmol), (S)-2,5-dioxopyrrolidin-1-yl 2-((tert-butoxycarbonyl)oxy)-2-phenylacetate (0.570 g, 1.63 mmol), and N,N-diisopropylethylamine (0.95 mL, 5.4 mmol) in methylene chloride (10 mL) was stirred at ambient temperature for 1 h. After this time, the reaction mixture was concentrated under reduced pressure. The crude residue was purified by column chromatography (silica gel, 0-4% methanol/methylene chloride) to provide (4R,4aS,7aR,12bS)-4a-hydroxy-9-methoxy-3-methyl-2,3,4,4a,5,7a-hexahydro-1H-4,12-methanobenzofuro[3,2-e]isoquinolin-7-yl 3-((S)-2-((tert-butoxycarbonyl)oxy)-2-phenylacetamido)propanoate (0.360 g, 53%) as a light yellow oil: ESI MS m/z 621 [C34H40N2O9+H]+.
Preparation of (4R,4aS,7aR,12bS)-4a-Hydroxy-9-methoxy-3-methyl-2,3,4,4a,5,7a-hexahydro-1H-4,12-methanobenzofuro[3,2-e]isoquinolin-7-yl 3-((S)-2-hydroxy-2-phenylacetamido)propanoate trifluoroacetic acid salt
Figure US10226456-20190312-C00495
A solution of (4R,4aS,7aR,12bS)-4a-hydroxy-9-methoxy-3-methyl-2,3,4,4a,5,7a-hexahydro-1H-4,12-methanobenzofuro[3,2-e]isoquinolin-7-yl 3-((S)-2-((tert-butoxycarbonyl)oxy)-2-phenylacetamido)propanoate (0.100 g, 0.161 mmol) in methylene chloride (3 mL) was treated with trifluoroacetic acid (1 mL) and stirred under a nitrogen atmosphere at ambient temperature for 1 h. After this time, the reaction mixture was concentrated under reduced pressure. The crude residue was purified by reversed phase column chromatography (50 g C18 column, 5-50% acetonitrile/water) and freeze dried to provide (4R,4aS,7aR,12bS)-4a-hydroxy-9-methoxy-3-methyl-2,3,4,4a,5,7a-hexahydro-1H-4,12-methanobenzofuro[3,2-e]isoquinolin-7-yl 3-((S)-2-hydroxy-2-phenylacetamido)propanoate trifluoroacetic acid salt (0.026 g, 32%) as a white solid:1H NMR (300 MHz, DMSO-d6) δ 8.13 (t, J=6.0 Hz, 1H), 7.42-7.24 (m, 7H), 6.83 (d, J=8.1 Hz, 1H), 6.72 (d, J=8.1 Hz, 1H), 6.20 (d, J=4.8 Hz, 1H), 5.47-5.45 (m, 1H), 4.93 (s, 1H), 4.89 (d, J=4.8 Hz, 1H), 3.74 (s, 3H), 3.41-3.28 (m, 2H), 3.10-2.80 (m, 2H), 2.78-2.60 (m, 5H), 2.46-2.33 (m, 2H), 2.30-2.12 (m, 1H), 2.02 (d, J=18.0 Hz, 1H), 1.60-1.50 (m, 1H), one proton not observed; ESI MS m/z 521 [C29H32N2O7+H]+; HPLC (Method A) 91.8% (AUC), tR=8.15 min.
Figure US10226456-20190312-C00496
Preparation of (4R,4aS,7aR,12bS)-4a-Hydroxy-9-methoxy-3-methyl-2,3,4,4a,5,7a-hexahydro-1H-4,12-methanobenzofuro[3,2-e]isoquinolin-7-yl 3-((S)-2-((tert-butoxycarbonyl)oxy)propanamido)propanoate
Figure US10226456-20190312-C00497
A mixture of (4R,4aS,7aR,12bS)-4a-hydroxy-9-methoxy-3-methyl-2,3,4,4a,5,7a-hexahydro-1H-4,12-methanobenzofuro[3,2-e]isoquinolin-7-yl 3-aminopropanoate dihydrochloride (0.500 g, 1.09 mmol), (S)-2,5-dioxopyrrolidin-1-yl 2-((tert-butoxycarbonyl)oxy)propanoate (0.469 g, 1.63 mmol) and N,N-diisopropylethylamine (0.95 mL, 5.44 mmol) in methylene chloride (10 mL) was stirred at ambient temperature for 2 h. After this time, the reaction mixture was concentrated under reduced pressure. The crude residue was purified by column chromatography (silica gel, 0-4% methanol/methylene chloride) to provide (4R,4aS,7aR,12bS)-4a-hydroxy-9-methoxy-3-methyl-2,3,4,4a,5,7a-hexahydro-1H-4,12-methanobenzofuro[3,2-e]isoquinolin-7-yl 3-((S)-2-((tert-butoxycarbonyl)oxy)propanamido)propanoate (0.260 g, 43%) as a white foam: ESI MS m/z 559 [C29H38N2O9+H]+;
Preparation of (4R,4aS,7aR,12bS)-4a-Hydroxy-9-methoxy-3-methyl-2,3,4,4a,5,7a-hexahydro-1H-4,12-methanobenzofuro[3,2-e]isoquinolin-7-yl 3-((S)-2-hydroxypropanamido)propanoate trifluoroacetic acid salt
Figure US10226456-20190312-C00498
A solution of (4R,4aS,7aR,12bS)-4a-hydroxy-9-methoxy-3-methyl-2,3,4,4a,5,7a-hexahydro-1H-4,12-methanobenzofuro[3,2-e]isoquinolin-7-yl 3-((S)-2-((tert-butoxycarbonyl)oxy)propanamido)propanoate (0.080 g, 0.143 mmol) in methylene chloride (3 mL) was treated with trifluoroacetic acid (1.5 mL) and stirred under a nitrogen atmosphere at ambient temperature for 1 h. After this time, the reaction mixture was concentrated under reduced pressure. The residue was triturated with a mixture of methylene chloride/diethyl ether (1:1) and filtered to give (4R,4aS,7aR,12bS)-4a-hydroxy-9-methoxy-3-methyl-2,3,4,4a,5,7a-hexahydro-1H-4,12-methanobenzofuro[3,2-e]isoquinolin-7-yl 3-((S)-2-hydroxypropanamido)propanoatetrifluoroacetic acid salt (0.044 mg, 67%) as a white solid:1H NMR (300 MHz, DMSO-d6) δ 9.22 (br s, 1H), 8.09 (d, J=6.9 Hz, 1H), 6.86 (d, J=8.4 Hz, 1H), 6.75 (d, J=8.1 Hz, 1H), 6.28 (s, 1H), 5.53-5.50 (m, 1H), 5.00 (s, 1H), 4.39-4.34 (m, 1H), 4.03-3.99 (m, 1H), 3.75 (s, 3H), 3.64 (d, J=5.7 Hz, 1H), 3.50-3.35 (m, 2H), 3.13-3.06 (m, 2H), 2.84 (d, J=4.5 Hz, 3H), 2.75-2.55 (m, 1H), 2.32-2.24 (m, 1H), 2.06 (d, J=18.0 Hz, 1H), 1.59 (d, J=11.7 Hz, 1H), 1.40 (d, J=7.2 Hz, 3H), 1.22 (d, J=10.5 Hz, 3H); ESI MS m/z 459 [C24H30N2O7+H]+; HPLC (Method A) 93.9% (AUC), tR=7.41 min.
Figure US10226456-20190312-C00499
Preparation of (S)-2-(2-((S)-2,2-Dimethyl-5-oxo-1,3-dioxolan-4-yl)acetoxy)-2-phenylacetic acid
Figure US10226456-20190312-C00500
A solution of (S)-2,5-dioxopyrrolidin-1-yl 2-(2,2-dimethyl-5-oxo-1,3-dioxolan-4-yl)acetate (2.01 g, 7.41 mmol), mandelic acid (1.35 g, 8.87 mmol), and 4-dimethylaminopyridine (100 mg, 0.819 mmol) in tetrahydrofuran (30 mL) was treated with pyridine (0.70 mL, 8.7 mmol) and heated at 50° C. under a nitrogen atmosphere for 16 h. After this time, the reaction mixture was cooled to room temperature and concentrated under reduced pressure. The residue was dissolved in ethyl acetate (50 mL) and washed with aqueous 10% citric acid (2×25 mL) and water (25 mL). The organic layer was extracted with saturated aqueous sodium bicarbonate (2×25 mL). The combined aqueous bicarbonate layers were acidified to pH ˜2 with 6 N hydrochloric acid and extracted with ethyl acetate (4×25 mL). The combined organics were dried over sodium sulfate, filtered, and concentrated under reduced pressure to provide crude (S)-2-(2-((S)-2,2-dimethyl-5-oxo-1,3-dioxolan-4-yl)acetoxy)-2-phenylacetic acid (1.55 g, 68%) as a white semisolid. The material was recrystallized from diethyl ether/ethyl acetate/heptanes to give the product (258 mg) as a white crystalline solid:1H NMR (300 MHz, CDCl3) δ 7.49-7.45 (m, 2H), 7.42-7.40 (m, 3H), 6.00 (s, 1H), 4.76 (dd, J=6.3, 3.6 Hz, 1H), 3.14 (dd, J=17.1, 3.6 Hz, 1H), 2.93 (dd, J=17.1, 6.3 Hz, 1H), 1.55 (s, 6H), CO2H proton not observed; ESI MS m/z 615 [(2×C15H16O7)−H].
Preparation of (S)-2,5-Dioxopyrrolidin-1-yl 2-(2-((S)-2,2-dimethyl-5-oxo-1,3-dioxolan-4-yl)acetoxy)-2-phenylacetate
Figure US10226456-20190312-C00501
A solution of (S)-2-(2-((S)-2,2-dimethyl-5-oxo-1,3-dioxolan-4-yl)acetoxy)-2-phenylacetic acid (258 mg, 0.836 mmol) in tetrahydrofuran (4 mL) was treated with N-hydroxysuccinimide (107 mg, 0.930 mmol) and N,N′-dicyclohexylcarbodiimide (191 mg, 0.926 mmol) and stirred under a nitrogen atmosphere for 3 h. After this time, the reaction mixture was filtered to remove the solid dicyclohexylurea byproduct. The solid was washed with diethyl ether, and the combined filtrate and washings were concentrated under reduced pressure to provide (S)-2,5-dioxopyrrolidin-1-yl 2-(2-((S)-2,2-dimethyl-5-oxo-1,3-dioxolan-4-yl)acetoxy)-2-phenylacetate (372 mg, quantitative) as an off-white foam:1H NMR (300 MHz, CDCl3) δ 7.55-7.52 (m, 2H), 7.46-7.44 (m, 3H), 6.38 (s, 1H), 4.77 (dd, J=6.6, 3.6 Hz, 1H), 3.14 (dd, J=17.4, 3.6 Hz, 1H), 2.92 (dd, J=17.4, 6.6 Hz, 1H), 2.81 (s, 4H), 1.57 (s, 3H), 1.56 (s, 3H).
Preparation of (S)-(4R,4aS,7aR,12bS)-4a-Hydroxy-9-methoxy-3-methyl-2,3,4,4a,5,7a-hexahydro-1H-4,12-methanobenzofuro[3,2-e]isoquinolin-7-yl 2-(2-((S)-2,2-d methyl-5-oxo-1,3-dioxolan-4-yl)acetoxy)-2-phenylacetate
Figure US10226456-20190312-C00502
A suspension of oxycodone (241 mg, 0.764 mmol) in tetrahydrofuran (4 mL) was cooled in an ice bath and treated dropwise with a 1.0 M solution of potassium tert-butoxide in tetrahydrofuran (0.92 mL, 0.92 mmol). After addition was complete, the mixture was stirred in the ice bath for 10 min and at ambient temperature for 5 min. The mixture was re-cooled in an ice/brine bath and treated dropwise with a solution of (S)-2,5-dioxopyrrolidin-1-yl 2-(2-((S)-2,2-dimethyl-5-oxo-1,3-dioxolan-4-yl)acetoxy)-2-phenylacetate (370 mg, 0.913 mmol) in tetrahydrofuran (4 mL). After addition was complete, the mixture was stirred in the ice bath for 40 min. After this time, the reaction mixture was treated with saturated aqueous ammonium chloride (25 mL) and extracted with ethyl acetate (2×25 mL). The combined organics were washed with saturated sodium bicarbonate (25 mL) and brine (25 mL), dried over sodium sulfate, filtered, and concentrated under reduced pressure. The crude residue was purified by column chromatography (silica gel, 0-10% methanol/methylene chloride) followed by reversed phase column chromatography (15.5 g C18 column, 30-100% acetonitrile/water) and freeze dried to provide (S)-(4R,4aS,7aR,12bS)-4a-hydroxy-9-methoxy-3-methyl-2,3,4,4a,5,7a-hexahydro-1H-4,12-methanobenzofuro[3,2-e]isoquinolin-7-yl 2-(2-((S)-2,2-dimethyl-5-oxo-1,3-dioxolan-4-yl)acetoxy)-2-phenylacetate (49 mg, 11%) as a fluffy white solid: ESI MS m/z 606 [C33H35NO10+H]+.
Preparation of (S)-2-Hydroxy-4-((S)-2-(((4R,4aS,7aR,12bS)-4a-hydroxy-9-methoxy-3-methyl-2,3,4,4a,5,7a-hexahydro-1H-4,12-methanobenzofuro[3,2-e]isoquinolin-7-yl)oxy)-2-oxo-1-phenylethoxy)-4-oxobutanoic acid hydrochloride
Figure US10226456-20190312-C00503
A solution of (S)-(4R,4aS,7aR,12bS)-4a-hydroxy-9-methoxy-3-methyl-2,3,4,4a,5,7a-hexahydro-1H-4,12-methanobenzofuro[3,2-e]isoquinolin-7-yl 2-(2-((S)-2,2-dimethyl-5-oxo-1,3-dioxolan-4-yl)acetoxy)-2-phenylacetate (47 mg, 0.078 mmol) in 1,4-dioxane (4 mL) was treated with a 4.0 M solution of hydrogen chloride in 1,4-dioxane (0.5 mL) followed by water (4 drops) and stirred under a nitrogen atmosphere at ambient temperature for 15 min. After this time, the reaction mixture was partially concentrated under reduced pressure, diluted with acetonitrile and water, and freeze dried. The crude product was purified by reversed phase column chromatography (15.5 g C18 column, 5-80% acetonitrile/water) and freeze dried to provide (S)-2-hydroxy-4-((S)-2-(((4R,4aS,7aR,12bS)-4a-hydroxy-9-methoxy-3-methyl-2,3,4,4a,5,7a-hexahydro-1H-4,12-methanobenzofuro[3,2-e]isoquinolin-7-yl)oxy)-2-oxo-1-phenylethoxy)-4-oxobutanoic acid hydrochloride (28 mg, 60%) as a white solid:1H NMR (300 MHz, DMSO-d6, Mixture of diastereomers) δ 7.56-7.54 (m, 2H), 7.46-7.44 (m, 3H), 6.75-6.62 (m, 1H), 6.09 (s, 0.68H), 6.05 (s, 0.32H), 5.54 (dd, J=5.4, 2.4 Hz, 0.68H), 5.42 (dd, J=5.4, 2.4 Hz, 0.32H), 4.81 (s, 1H), 4.29-4.25 (m, 1H), 3.70 (s, 0.96H), 3.61 (s, 2.04H), 3.13 (d, J=18.9 Hz, 1H), 2.93-2.83 (m, 2H), 2.73-2.59 (m, 2H), 2.49-2.40 (m, 1H, partially obscured by solvent peak), 2.38 (s, 3H), 2.31-1.95 (m, 5H), 1.39 (d, J=10.8 Hz, 1H), CO2H, HCl, and two OH protons not observed;ESI MS m/z 566 [C30H31NO10+H]+; HPLC (Method A) 95.5% (AUC), tR=8.86 min.
Figure US10226456-20190312-C00504
Preparation of (S)-2-(((S)-5-(tert-Butoxy)-2-((tert-butoxycarbonyl)amino)-5-oxopentanoyl)oxy)propanoic acid
Figure US10226456-20190312-C00505
A solution of (S)-5-tert-butyl 1-(2,5-dioxopyrrolidin-1-yl) 2-((tert-butoxycarbonyl)amino)pentanedioate (3.01 g, 7.52 mmol), lactic acid (678 mg, 7.53 mmol), and 4-dimethylaminopyridine (93 mg, 0.76 mmol) in tetrahydrofuran (40 mL) was treated with pyridine (0.61 mL, 7.6 mmol) and heated at 50° C. under a nitrogen atmosphere for 48 h. After this time, the reaction mixture was cooled to room temperature and concentrated under reduced pressure. The residue was dissolved in ethyl acetate (100 mL) and washed with aqueous 10% citric acid (2×50 mL) and water (50 mL). The organic layer was extracted with saturated aqueous sodium bicarbonate (2×50 mL). The combined aqueous bicarbonate layers were acidified to pH ˜1 with 6 N hydrochloric acid and extracted with ethyl acetate (4×50 mL). The combined organics were dried over sodium sulfate, filtered, and concentrated under reduced pressure to provide (S)-2-(((S)-5-(tert-butoxy)-2-((tert-butoxycarbonyl)amino)-5-oxopentanoyl)oxy)propanoic acid (2.49 g, 88%) as a colorless oil:1H NMR (300 MHz, CDCl3) δ 5.24-5.14 (m, 2H), 4.35-4.32 (m, 1H), 2.43-2.37 (m, 2H), 2.26-2.15 (m, 1H), 2.03-1.93 (m, 1H), 1.56 (d, J=7.2 Hz, 3H), 1.45 (s, 9H), 1.44 (s, 9H), CO2H proton not observed.
Preparation of (S)-5-tert-Butyl 1-((S)-1-((2,5-dioxopyrrolidin-1-yl)oxy)-1-oxopropan-2-yl) 2-((tert-butoxycarbonyl)amino)pentanedioate
Figure US10226456-20190312-C00506
A solution of (S)-2-(((S)-5-(tert-butoxy)-2-((tert-butoxycarbonyl)amino)-5-oxopentanoyl)oxy)propanoic acid (2.47 mg, 6.59 mmol) in tetrahydrofuran (33 mL) was treated with N-hydroxysuccinimide (836 mg, 7.26 mmol) and N,N′-dicyclohexylcarbodiimide (1.51 mg, 7.32 mmol) and stirred under a nitrogen atmosphere for 3 h. After this time, the reaction mixture was filtered to remove the solid dicyclohexylurea byproduct. The solid was washed with diethyl ether, and the combined filtrate and washings were concentrated under reduced pressure to provide (S)-5-tert-butyl 1-((S)-1-((2,5-dioxopyrrolidin-1-yl)oxy)-1-oxopropan-2-yl) 2-((tert-butoxycarbonyl)amino)pentanedioate 3.36 g, quantitative) as a tan foam:1H NMR (300 MHz, CDCl3) δ 5.45 (q, J=6.9 Hz, 1H), 5.20-5.12 (m, 1H), 4.43-4.33 (m, 1H), 2.84 (s, 4H), 2.39-2.34 (m, 2H), 2.0-2.15 (m, 1H), 2.02-1.90 (m, 1H), 1.71 (d, J=6.9 Hz, 3H), 1.44 (s, 9H), 1.43 (s, 9H).
Preparation of (S)-5-tert-Butyl 1-((S)-1-(((4R,4aS,7aR,12bS)-4a-hydroxy-9-methoxy-3-methyl-2,3,4,4a,5,7a-hexahydro-1H-4,12-methanobenzofuro[3,2-e]isoquinolin-7-yl)oxy)-1-oxopropan-2-yl) 2-((tert-butoxycarbonyl)amino)pentanedioate
Figure US10226456-20190312-C00507
A suspension of oxycodone (705 mg, 2.24 mmol) in tetrahydrofuran (9 mL) was cooled in an ice bath and treated dropwise with a 1.0 M solution of potassium tert-butoxide in tetrahydrofuran (2.7 mL, 2.7 mmol). After addition was complete, the mixture was stirred in the ice bath for 5 min and at ambient temperature for 5 min. The mixture was re-cooled in an ice/brine bath and treated dropwise with a solution of (S)-5-tert-butyl 1-((S)-1-((2,5-dioxopyrrolidin-1-yl)oxy)-1-oxopropan-2-yl) 2-((tert-butoxycarbonyl)amino)pentanedioate (1.28 g, 2.71 mmol) in tetrahydrofuran (9 mL). After addition was complete, the mixture was stirred in the ice/brine bath for 45 min. After this time, the reaction mixture was treated with saturated aqueous ammonium chloride (50 mL) and extracted with ethyl acetate (2×50 mL). The combined organics were washed with saturated sodium bicarbonate (2×25 mL) and brine (25 mL), dried over sodium sulfate, filtered, and concentrated under reduced pressure. The crude residue was purified by column chromatography (silica gel, 0-10% methanol/methylene chloride) followed by reversed phase column chromatography (150 g C18 column, 20-100% acetonitrile/water) and freeze dried to provide (S)-5-tert-butyl 1-((S)-1-(((4R,4aS,7aR,12bS)-4a-hydroxy-9-methoxy-3-methyl-2,3,4,4a,5,7a-hexahydro-1H-4,12-methanobenzofuro[3,2-e]isoquinolin-7-yl)oxy)-1-oxopropan-2-yl) 2-((tert-butoxycarbonyl)amino)pentanedioate (219 mg, 15%) as a fluffy white solid: ESI MS m/z 673 [C35H48N2O11+H]+.
Preparation of (S)-4-Amino-5-(((S)-1-(((4R,4aS,7aR,12bS)-4a-hydroxy-9-methoxy-3-methyl-2,3,4,4a,5,7a-hexahydro-1H-4,12-methanobenzofuro[3,2-e]isoquinolin-7-yl)oxy)-1-oxopropan-2-yl)oxy)-5-oxopentanoic acid hydrochloride
Figure US10226456-20190312-C00508
A solution of (S)-5-tert-butyl 1-((S)-1-(((4R,4aS,7aR,12bS)-4a-hydroxy-9-methoxy-3-methyl-2,3,4,4a,5,7a-hexahydro-1H-4,12-methanobenzofuro[3,2-e]isoquinolin-7-yl)oxy)-1-oxopropan-2-yl) 2-((tert-butoxycarbonyl)amino)pentanedioate (145 mg, 0.216 mmol) in ethyl acetate (2 mL) was treated with a 4.0 M solution of hydrogen chloride in 1,4-dioxane (2 mL) and stirred under a nitrogen atmosphere at ambient temperature for 2 h. After this time, the reaction mixture was diluted with diethyl ether and sonicated to produce a solid precipitate. The solid was isolated by filtration, washed with diethyl ether, dried under vacuum, and freeze-dried from acetonitrile/water to provide (S)-4-amino-5-(((S)-1-(((4R,4aS,7aR,12bS)-4a-hydroxy-9-methoxy-3-methyl-2,3,4,4a,5,7a-hexahydro-1H-4,12-methanobenzofuro[3,2-e]isoquinolin-7-yl)oxy)-1-oxopropan-2-yl)oxy)-5-oxopentanoic acid hydrochloride (48 mg, 38%) as a white solid:1H NMR (300 MHz, DMSO-d6) δ 9.09 (br s, 1H), 8.52 (br s, 2H), 6.86 (d, J=8.4 Hz, 1H), 6.76 (d, J=8.1 Hz, 1H), 6.31 (br s, 1H), 5.63-5.60 (m, 1H), 5.35 (q, J=6.9 Hz, 1H), 5.02 (s, 1H), 4.20 (apparent t, J=6.6 Hz, 1H), 3.75 (s, 3H), 3.65 (br s, 1H), 3.43 (d, J=19.8 Hz, 1H, partially obscured by water peak), 3.14-3.05 (m, 2H), 2.83 (s, 3H), 2.62-2.56 (m, 1H), 2.49-2.27 (m, 3H, partially obscured by solvent peak), 2.10-2.04 (m, 3H), 1.65-1.58 (m, 1H), 1.57 (d, J=7.2 Hz, 3H), CO2H proton not observed, one proton obscured by solvent peaks; ESI MS m/z 517 [C26H32N2O9+H]+; HPLC (Method A) 97.0% (AUC), tR=6.88 min.
Figure US10226456-20190312-C00509
Preparation of (S)-(4R,4aS,7aR,12bS)-4a-Hydroxy-9-methoxy-3-methyl-2,3,4,4a,5,7a-hexahydro-1H-4,12-methanobenzofuro[3,2-e]isoquinolin-7-yl 2-(2-((S)-2,2-dimethyl-5-oxo-1,3-dioxolan-4-yl)acetamido)propanoate
Figure US10226456-20190312-C00510
A mixture of (S)-(4R,4aS,7aR,12bS)-4a-hydroxy-9-methoxy-3-methyl-2,3,4,4a,5,7a-hexahydro-1H-4,12-methanobenzofuro[3,2-e]isoquinolin-7-yl 2-aminopropanoate (190 g, 0.309 mmol), (S)-2,5-dioxopyrrolidin-1-yl 2-(2,2-dimethyl-5-oxo-1,3-dioxolan-4-yl)acetate (0.106 g, 0.392 mmol) and pyridine (0.08 mL, 1 mmol) in methylene chloride (4 mL) was stirred at ambient temperature for 3 h. After this time, the reaction was concentrated under reduced pressure and purified by column chromatography (silica gel, 0-20% methanol/methylene chloride) to provide (S)-(4R,4aS,7aR,12bS)-4a-Hydroxy-9-methoxy-3-methyl-2,3,4,4a,5,7a-hexahydro-1H-4,12-methanobenzofuro[3,2-e]isoquinolin-7-yl 2-(2-((S)-2,2-dimethyl-5-oxo-1,3-dioxolan-4-yl)acetamido)propanoate (0.050 g, 30%) as a yellow solid:1H NMR (300 MHz, CDCl3) δ 9.17 (br s, 1H), 8.60 (d, J=6.6 Hz, 1H), 6.86 (d, J=8.4 Hz, 1H), 6.75 (d, J=8.4 Hz, 1H), 6.28 (s, 1H), 5.52-51 (m, 1H), 4.98 (s, 1H), 4.83-4.80 (m, 1H), 4.35-4.31 (m, 1H), 3.76 (s, 3H), 3.65-3.63 (m, 1H), 3.42 (d, J=19.5 Hz, 1H), 3.16-3.07 (m, 2H), 2.85-2.84 (m, 3H), 2.75-2.55 (m, 3H), 2.30-2.24 (m, 1H), 2.06 (d, J=17.4 Hz, 1H), 1.64 (d, J=12.3 Hz, 1H), 1.50 (s, 6H), 1.37 (d, J=7.2 Hz, 3H).
Preparation of (S)-2-hydroxy-4-(((S)-1-(((4R,4aS,7aR,12bS)-4a-Hydroxy-9-methoxy-3-methyl-2,3,4,4a,5,7a-hexahydro-1H-4,12-methanobenzofuro[3,2-e]isoquinolin-7-yl)oxy)-1-oxopropan-2-yl)amino)-4-oxobutanoic acid hydrochloride
Figure US10226456-20190312-C00511
A solution of (S)-(4R,4aS,7aR,12bS)-4a-hydroxy-9-methoxy-3-methyl-2,3,4,4a,5,7a-hexahydro-1H-4,12-methanobenzofuro[3,2-e]isoquinolin-7-yl 2-(2-((S)-2,2-dimethyl-5-oxo-1,3-dioxolan-4-yl)acetamido)propanoate (0.040 g, 0.074 mmol) in 1,4-dioxane (4 mL) was treated with 4 N hydrogen chloride in 1,4-dioxane (0.5 mL) and 4 drops of water. The reaction mixture was stirred at ambient temperature for 0.5 h. After this time, the reaction mixture was concentrated under reduced pressure. The residue was triturated with diethyl ether and freeze dried from water to provide (S)-2-hydroxy-4-(((S)-1-(((4R,4aS,7aR,12bS)-4a-hydroxy-9-methoxy-3-methyl-2,3,4,4a,5,7a-hexahydro-1H-4,12-methanobenzofuro[3,2-e]isoquinolin-7-yl)oxy)-1-oxopropan-2-yl)amino)-4-oxobutanoic acid hydrochloride (40 mg, quantitative) as an off-white solid:1H NMR (300 MHz, DMSO-d6) δ 12.5 (br s, 1H), 9.21 (br s, 1H), 8.45 (d, J=6.3 Hz, 1H), 6.85 (d, J=8.4 Hz, 1H), 6.75 (d, J=8.1 Hz, 1H), 6.34 (s, 1H), 5.54-5.52 (m, 1H), 4.99 (s, 1H), 4.37-4.31 (m, 2H), 3.75 (s, 3H), 3.69-3.65 (m, 2H), 3.39 (s, 3H), 3.13-3.07 (m, 2H), 2.84 (d, J=4.5 Hz, 3H), 2.28 (d, J=6.3 Hz, 1H), 2.05 (d, J=17.7 Hz, 1H), 1.63 (d, J=11.1 Hz, 1H), 1.36 (d, J=7.5 Hz, 3H), 1.25 (d, J=7.5 Hz, 1H); ESI MS m/z 503 [C25H30N2O9+H]+;HPLC (Method A) 92.3% (AUC), tR=7.03 min.
Figure US10226456-20190312-C00512
Preparation of (4R,4aS,7aR,12bS)-4a-Hydroxy-9-methoxy-3-methyl-2,3,4,4a,5,7a-hexahydro-1H-4,12-methanobenzofuro[3,2-e]isoquinolin-7-yl 3-((R)-2-((tert-butoxycarbonyl)oxy)-2-phenylacetamido)propanoate
Figure US10226456-20190312-C00513
A solution of (4R,4aS,7aR,12bS)-4a-hydroxy-9-methoxy-3-methyl-2,3,4,4a,5,7a-hexahydro-1H-4,12-methanobenzofuro[3,2-e]isoquinolin-7-yl 3-aminopropanoate dihydrochloride (0.245 g, 0.533 mmol), (R)-2,5-dioxopyrrolidin-1-yl 2-((tert-butoxycarbonyl)oxy)-2-phenylacetate (0.279, 0.800 mmol), and N,N-diisopropylethylamine (0.46 mL, 2.7 mmol) in methylene chloride (5 mL) was stirred at ambient temperature for 2 h. After this time, the reaction was concentrated under reduced pressure. The crude residue was diluted with ethyl acetate (3×75 mL) and washed with water. The combined organics were dried over sodium sulfate, filtered, and concentrated under reduced pressure to give (4R,4aS,7aR,12bS)-4a-hydroxy-9-methoxy-3-methyl-2,3,4,4a,5,7a-hexahydro-1H-4,12-methanobenzofuro[3,2-e]isoquinolin-7-yl 3-((R)-2-((tert-butoxycarbonyl)oxy)-2-phenylacetamido)propanoate (0.095 g, 29%) as a colorless oil: ESI MS m/z 621 [C34H40N2O9+H]+.
Preparation of (4R,4aS,7aR,12bS)-4a-Hydroxy-9-methoxy-3-methyl-2,3,4,4a,5,7a-hexahydro-1H-4,12-methanobenzofuro[3,2-e]isoquinolin-7-yl 3-((R)-2-hydroxy-2-phenylacetamido)propanoatetrifluoroacetic acid salt
Figure US10226456-20190312-C00514
A solution of (4R,4aS,7aR,12bS)-4a-hydroxy-9-methoxy-3-methyl-2,3,4,4a,5,7a-hexahydro-1H-4,12-methanobenzofuro[3,2-e]isoquinolin-7-yl 3-((R)-2-((tert-butoxycarbonyl)oxy)-2-phenylacetamido)propanoate (0.065 g, 0.105 mmol) in dichloromethane (2 mL) was treated with trifluoroacetic acid (0.6 mL) and stirred at ambient temperature for 1 h. After this time, the reaction mixture was concentrated under reduced pressure. The crude residue was purified by reversed phase column chromatography (50 g C18 column, 5-25% acetonitrile/water) and freeze dried to provide (4R,4aS,7aR,12bS)-4a-hydroxy-9-methoxy-3-methyl-2,3,4,4a,5,7a-hexahydro-1H-4,12-methanobenzofuro[3,2-e]isoquinolin-7-yl 3-((R)-2-hydroxy-2-phenylacetamido)propanoatetrifluoroacetic acid salt (0.015 mg, 27%) as an off-white solid:1H NMR (300 MHz, DMSO-d6) δ 9.16 (br s, 1H), 8.13 (t, J=6.3 Hz, 1H), 7.34-7.31 (m, 2H), 7.29-7.23 (m, 3H), 6.86 (d, J=8.4 Hz, 1H), 6.75 (d, J=8.1 Hz, 1H), 6.26 (s, 1H), 6.21 (d, J=4.5 Hz, 1H), 5.50-5.48 (m, 1H), 4.97 (s, 1H), 4.89 (d, J=4.2 Hz, 1H), 3.75 (m, 3H), 3.64-3.63 (m, 1H), 3.46-3.33 (m, 3H), 3.15-3.06 (m, 2H), 2.84 (d, J=4.5 Hz, 3H), 2.63 (t, J=6.9 Hz, 3H), 2.28-2.22 (m, 1H), 2.05 (d, J=17.7 H, 1H), 1.63 (d, J=12.9 Hz, 1H); ESI MS m/z 521 [C29H32N2O7+H]+; HPLC (Method A) >99% (AUC), tR=8.16 min.
Figure US10226456-20190312-C00515
Preparation of (4R,4aS,7aR,12bS)-4a-Hydroxy-9-methoxy-3-methyl-2,3,4,4a,5,7a-hexahydro-1H-4,12-methanobenzofuro[3,2-e]isoquinolin-7-yl 3-(2-((S)-2,2-dimethyl-5-oxo-1,3-dioxolan-4-yl)acetamido)propanoate
Figure US10226456-20190312-C00516
A solution of (4R,4aS,7aR,12bS)-4a-hydroxy-9-methoxy-3-methyl-2,3,4,4a,5,7a-hexahydro-1H-4,12-methanobenzofuro[3,2-e]isoquinolin-7-yl 3-aminopropanoate dihydrochloride (0.550 g, 1.19 mmol), (S)-2,5-dioxopyrrolidin-1-yl 2-(2,2-dimethyl-5-oxo-1,3-dioxolan-4-yl)acetate (0.487 g, 1.79 mmol), and N,N-diisopropylethylamine (1.0 mL, 6.0 mmol) in methylene chloride (10 mL) was stirred at ambient temperature for 2 h. After this time, the reaction was concentrated under reduced pressure. The crude residue was purified by column chromatography (silica gel, 0-4% methanol/methylene chloride) to provide (4R,4aS,7aR,12bS)-4a-hydroxy-9-methoxy-3-methyl-2,3,4,4a,5,7a-hexahydro-1H-4,12-methanobenzofuro[3,2-e]isoquinolin-7-yl 3-(2-((S)-2,2-dimethyl-5-oxo-1,3-dioxolan-4-yl)acetamido)propanoate (0.240 g, 37%) as a colorless oil: ESI MS m/z 543 [C28H34N2O9+H]+.
Preparation of (S)-2-Hydroxy-4-((3-(((4R,4aS,7aR,12bS)-4a-Hydroxy-9-methoxy-3-methyl-2,3,4,4a,5,7a-hexahydro-1H-4,12-methanobenzofuro[3,2-e]isoquinolin-7-yl)oxy)-3-oxopropyl)amino)-4-oxobutanoic acid
Figure US10226456-20190312-C00517
A solution of (4R,4aS,7aR,12bS)-4a-hydroxy-9-methoxy-3-methyl-2,3,4,4a,5,7a-hexahydro-1H-4,12-methanobenzofuro[3,2-e]isoquinolin-7-yl 3-(2-((S)-2,2-dimethyl-5-oxo-1,3-dioxolan-4-yl)acetamido)propanoate (0.115 g, 0.212 mmol) in 1,4-dioxane (4 mL) was treated with 4 N hydrogen chloride in 1,4-dioxane (0.4 mL) and 4 drops of water. The reaction mixture was stirred at ambient temperature for 1 h. Additional 4 N hydrogen chloride in 1,4-dioxane (0.25 mL) and water (2 drops) were added and stirring was continued for another 1 h. After this time, the reaction mixture was concentrated under reduced pressure. The crude residue was triturated with diethyl ether, filtered, and purified by reversed phase column chromatography (50 g C18 column, 5-15% acetonitrile/water) and freeze dried to provide (S)-2-hydroxy-4-((3-(((4R,4aS,7aR,12bS)-4a-hydroxy-9-methoxy-3-methyl-2,3,4,4a,5,7a-hexahydro-1H-4,12-methanobenzofuro[3,2-e]isoquinolin-7-yl)oxy)-3-oxopropyl)amino)-4-oxobutanoic acid (0.038 mg, 36%) as an off-white solid:1H NMR (300 MHz, DMSO-d6) δ 8.05 (t, J=5.4 H, 1H), 6.75 (d, J=8.1 Hz, 1H), 6.66 (d, J=8.1 Hz, 1H), 5.55-5.52 (m, 1H), 4.87 (s, 1H), 4.24-4.20 (m, 1H), 3.73 (s, 3H), 3.14 (d, J=18.9 Hz, 2H), 2.91 (d, J=6.0 Hz, 1H), 2.73-2.55 (m, 3H), 2.48-2.42 (m, 2H), 2.39-2.20 (m, 5H), 2.17-1.90 (m, 3H), 1.40 (d, J=11.1 Hz, 1H), CO2H and two OH protons not observed, one proton obscured by solvent peaks; ESI MS m/z 503 [C25H30N2O9+H]+; HPLC (Method A) 98.9% (AUC), tR=7.06 min.
Figure US10226456-20190312-C00518
Preparation of (S)-(4R,4aS,7aR,12bS)-4a-Hydroxy-9-methoxy-3-methyl-2,3,4,4a,5,7a-hexahydro-1H-4,12-methanobenzofuro[3,2-e]isoquinolin-7-yl 2-((S)-2-((tert-butoxycarbonyl)oxy)-2-phenylacetamido)propanoate
Figure US10226456-20190312-C00519
A mixture of (S)-(4R,4aS,7aR,12bS)-4a-hydroxy-9-methoxy-3-methyl-2,3,4,4a,5,7a-hexahydro-1H-4,12-methanobenzofuro[3,2-e]isoquinolin-7-yl 2-aminopropanoate dihydrochloride (0.500 g, 1.09 mmol), (S)-2,5-dioxopyrrolidin-1-yl 2-((tert-butoxycarbonyl)oxy)-2-phenylacetate (0.571 g, 1.63 mmol), and N,N-diisopropylethylamine (0.95 mL, 5.4 mmol) in methylene chloride (10 mL) was stirred at ambient temperature for 1 h. After this time, the reaction mixture was concentrated under reduced pressure. The crude residue was purified by column chromatography (silica gel, 0-4% methanol/methylene chloride) to provide (S)-(4R,4aS,7aR,12bS)-4a-hydroxy-9-methoxy-3-methyl-2,3,4,4a,5,7a-hexahydro-1H-4,12-methanobenzofuro[3,2-e]isoquinolin-7-yl 2-((S)-2-((tert-butoxycarbonyl)oxy)-2-phenylacetamido)propanoate, (0.567 g, 84%) as a light yellow oil: ESI MS m/z 621 [C34H40N2O9+H]+.
Preparation of (S)-(4R,4aS,7aR,12bS)-4a-Hydroxy-9-methoxy-3-methyl-2,3,4,4a,5,7a-hexahydro-1H-4,12-methanobenzofuro[3,2-e]isoquinolin-7-yl 2-((S)-2-hydroxy-2-phenylacetamido)propanoatetrifluoroacetic acid salt
Figure US10226456-20190312-C00520
A solution of (S)-(4R,4aS,7aR,12bS)-4a-hydroxy-9-methoxy-3-methyl-2,3,4,4a,5,7a-hexahydro-1H-4,12-methanobenzofuro[3,2-e]isoquinolin-7-yl 2-((S)-2-((tert-butoxycarbonyl)oxy)-2-phenylacetamido)propanoate (0.110 g, 0.177 mmol) in methylene chloride (3 mL) was treated with trifluoroacetic acid (1 mL) and stirred at ambient temperature for 1 h. After this time, the reaction mixture was concentrated under reduced pressure. The crude residue was purified by reversed phase column chromatography (50 g C18 column, 5-25% acetonitrile/water) and freeze dried to provide (S)-(4R,4aS,7aR,12bS)-4a-hydroxy-9-methoxy-3-methyl-2,3,4,4a,5,7a-hexahydro-1H-4,12-methanobenzofuro[3,2-e]isoquinolin-7-yl 2-((S)-2-hydroxy-2-phenylacetamido)propanoatetrifluoroacetic acid salt (0.020 mg, 22%) as a white solid:1H NMR (300 MHz, DMSO-d6) δ 9.15 (br s, 1H), 8.43 (d, J=6.9 Hz, 1H), 7.43-7.40 (m, 2H), 7.34-7.21 (m, 3H), 6.85 (d, J=8.1 Hz, 1H), 6.75 (d, J=8.4 Hz, 1H), 6.27-6.22 (m, 2H), 5.41-5.40 (m, 1H), 4.96 (d, J=4.8 Hz, 2H), 4.40-4.35 (m, 1H), 3.75 (s, 3H), 3.70-3.55 (m, 1H), 3.50-3.35 (m, 1H), 3.20-3.00 (m, 2H), 2.83 (s, 3H), 2.27-2.22 (m, 1H), 2.05-1.99 (m, 1H), 1.65-1.61 (m, 1H), 1.40 (d, J=7.2 Hz, 3H), one proton obscured by solvent peaks;ESI MS m/z 521 [C29H32N2O7+H]+; HPLC (Method A) 94.2% (AUC), tR=8.58 min.
Figure US10226456-20190312-C00521
Preparation of (S)-2-(((4R,4aS,7aR,12bS)-4a-Hydroxy-9-methoxy-3-methyl-2,3,4,4a,5,7a-hexahydro-1H-4,12-methanobenzofuro[3,2-e]isoquinolin-7-yl)oxy)-2-oxo-1-phenylethyl 3-((S)-2-((tert-butoxycarbonyl)oxy)propanamido)propanoate
Figure US10226456-20190312-C00522
A suspension (S)-2-(((4R,4aS,7aR,12bS)-4a-hydroxy-9-methoxy-3-methyl-2,3,4,4a,5,7a-hexahydro-1H-4,12-methanobenzofuro[3,2-e]isoquinolin-7-yl)oxy)-2-oxo-1-phenylethyl 3-aminopropanoate dihydrochloride (50 mg, 0.084 mmol) and (S)-2,5-dioxopyrrolidin-1-yl 2-((tert-butoxycarbonyl)oxy)propanoate (36 mg, 0.13 mmol) in methylene chloride (2 mL) was treated with N,N-diisopropylethylamine (0.06 mL, 0.3 mmol) and stirred under a nitrogen atmosphere for 30 min. After this time, the reaction mixture was diluted with methylene chloride (10 mL) and washed with saturated aqueous ammonium chloride (10 mL). The organic layer was dried over sodium sulfate, filtered, and concentrated under reduced pressure. The crude residue was purified by reversed phase column chromatography (15.5 g C18 column, 20-100% acetonitrile/water) and freeze dried to provide (S)-2-(((4R,4aS,7aR,12bS)-4a-Hydroxy-9-methoxy-3-methyl-2,3,4,4a,5,7a-hexahydro-1H-4,12-methanobenzofuro[3,2-e]isoquinolin-7-yl)oxy)-2-oxo-1-phenylethyl 3-((S)-2-((tert-butoxycarbonyl)oxy)propanamido)propanoate (30 mg, 51%) as a fluffy white solid: ESI MS m/z 693 [C37H44N2O11+H]+.
Preparation of (S)-2-(((4R,4aS,7aR,12bS)-4a-Hydroxy-9-methoxy-3-methyl-2,3,4,4a,5,7a-hexahydro-1H-4,12-methanobenzofuro[3,2-e]isoquinolin-7-yl)oxy)-2-oxo-1-phenylethyl 3-((S)-2-hydroxypropanamido)propanoate trifluoroacetic acid salt
Figure US10226456-20190312-C00523
A solution of (S)-2-(((4R,4aS,7aR,12bS)-4a-Hydroxy-9-methoxy-3-methyl-2,3,4,4a,5,7a-hexahydro-1H-4,12-methanobenzofuro[3,2-e]isoquinolin-7-yl)oxy)-2-oxo-1-phenylethyl 3-((S)-2-((tert-butoxycarbonyl)oxy)propanamido)propanoate (30 mg, 0.043 mmol) in methylene chloride (1 mL) was treated with trifluoroacetic acid (0.5 mL) and stirred under a nitrogen atmosphere at ambient temperature for 30 min. After this time, the reaction mixture concentrated under reduced pressure. The residue was treated with diethyl ether (5 mL) and sonicated to produce a solid precipitate. The solid was isolated by filtration, washed with diethyl ether, dried under vacuum, and freeze-dried from acetonitrile/water. The crude product was purified by reversed phase column chromatography (15.5 g C18 column, 10-80% acetonitrile/water) and freeze dried to provide (S)-2-(((4R,4aS,7aR,12bS)-4a-hydroxy-9-methoxy-3-methyl-2,3,4,4a,5,7a-hexahydro-1H-4,12-methanobenzofuro[3,2-e]isoquinolin-7-yl)oxy)-2-oxo-1-phenylethyl 3-((S)-2-hydroxypropanamido)propanoate trifluoroacetic acid salt (23 mg, 77%) as a white solid:1H NMR (300 MHz, DMSO-d6, Mixture of diastereomers) δ 9.17 (br s, 1H), 7.82-7.79 (m, 1H), 7.57-7.54 (m, 2H), 7.47-7.45 (m, 3H), 6.86-6.80 (m, 1H), 6.74-6.71 (m, 1H), 6.30 (s, 1H), 6.09 (s, 0.64H), 6.07 (s, 0.36H), 5.56-5.46 (m, 2H), 4.96 (s, 0.64H), 4.93 (s, 0.36H), 3.98-3.90 (m, 1H), 3.71 (s, 1.08H), 3.63 (s, 1.92H), 3.62 (br s, 1H), 3.46-3.32 (m, 3H, partially obscured by water peak), 3.14-3.05 (m, 2H), 2.83 (s, 3H), 2.65-2.61 (m, 2H), 2.49-2.39 (m, 2H, partially obscured by solvent peak), 2.30-2.24 (m, 1H), 2.09-2.03 (m, 1H), 1.65-1.61 (m, 1H), 1.19-1.16 (m, 3H); ESI MS m/z 593 [C32H36N2O9+H]+; HPLC (Method A) 98.2% (AUC), tR=8.89 min.
Figure US10226456-20190312-C00524
Preparation of (6S,13S)-(4R,4aS,7aR,12bS)-4a-Hydroxy-9-methoxy-3-methyl-2,3,4,4a,5,7a-hexahydro-1H-4,12-methanobenzofuro[3,2-e]isoquinolin-7-yl 13-((1H-imidazol-4-yl)methyl)-2,2,6-trimethyl-4,7,11-trioxo-3,5-dioxa-8,12-diazatetradecan-14-oate
Figure US10226456-20190312-C00525
A solution of(S)-(4R,4aS,7aR,12bS)-4a-hydroxy-9-methoxy-3-methyl-2,3,4,4a,5,7a-hexahydro-1H-4,12-methanobenzofuro[3,2-e]isoquinolin-7-yl 2-(3-aminopropanamido)-3-(1H-imidazol-4-yl)propanoatetrifluoroacetic acid salt (0.220 g, 0.250 mmol), (S)-2,5-dioxopyrrolidin-1-yl 2-((tert-butoxycarbonyl)oxy)propanoate (0.088 g, 0.31 mmol) and N,N-diisopropylethylamine (0.22 mL, 1.3 mmol) in methylene chloride (5 mL) was stirred at ambient temperature for 2 h. After this time, the reaction mixture was concentrated under reduced pressure. The residue was diluted in ethyl acetate (100 mL) and successively washed with water (75 mL) and brine (75 mL). The organic layer was dried over sodium sulfate, filtered, and concentrated under reduced pressure. The crude residue was purified by column chromatography (silica gel, 0-20% methanol/methylene chloride) to provide (6S,13S)-(4R,4aS,7aR,12bS)-4a-hydroxy-9-methoxy-3-methyl-2,3,4,4a,5,7a-hexahydro-1H-4,12-methanobenzofuro[3,2-e]isoquinolin-7-yl 13-((1H-imidazol-4-yl)methyl)-2,2,6-trimethyl-4,7,11-trioxo-3,5-dioxa-8,12-diazatetradecan-14-oate (0.045 g, 26%) as a light yellow foam: ESI MS m/z 696 [C35H45N5O10+H]+.
Preparation of (S)-(4R,4aS,7aR,12bS)-4a-Hydroxy-9-methoxy-3-methyl-2,3,4,4a,5,7a-hexahydro-1H-4,12-methanobenzofuro[3,2-e]isoquinolin-7-yl 2-(3-((S)-2-hydroxypropanamido)propanamido)-3-(1H-imidazol-4-yl)propanoate bis(trifluoroacetic acid salt)
Figure US10226456-20190312-C00526
A solution of (6S,13S)-(4R,4aS,7aR,12bS)-4a-hydroxy-9-methoxy-3-methyl-2,3,4,4a,5,7a-hexahydro-1H-4,12-methanobenzofuro[3,2-e]isoquinolin-7-yl 13-((1H-imidazol-4-yl)methyl)-2,2,6-trimethyl-4,7,11-trioxo-3,5-dioxa-8,12-diazatetradecan-14-oate (0.045 mg, 0.065 mmol) in methylene chloride (4 mL) was treated with trifluoroacetic acid (1 mL) and stirred under a nitrogen atmosphere at ambient temperature for 1 h. After this time, the reaction mixture was concentrated under reduced pressure. The crude residue was purified by reversed phase column chromatography (50 g C18 column, 5-60% acetonitrile/water) and freeze dried to provide (S)-(4R,4aS,7aR,12bS)-4a-hydroxy-9-methoxy-3-methyl-2,3,4,4a,5,7a-hexahydro-1H-4,12-methanobenzofuro[3,2-e]isoquinolin-7-yl 2-(3-((S)-2-hydroxypropanamido)propanamido)-3-(1H-imidazol-4-yl)propanoatebis(trifluoroacetic acid salt) (99 mg, quantitative) as a white solid:1H NMR (300 MHz, DMSO-d6) δ 9.19 (br s, 1H), 8.94 (s, 1H), 8.59 (d, J=7.5 Hz, 1H), 7.72 (t, J=7.2 Hz, 1H), 7.45 (s, 1H), 6.87 (d, J=8.4 Hz, 1H), 6.76 (d, J=8.1 Hz, 1H), 6.29 (s, 1H), 5.53-5.51 (m, 2H), 4.96 (s, 1H), 4.68-4.65 (m, 1H), 3.98-3.88 (m, 1H), 3.75 (s, 3H), 3.60-3.70 (m, 1H), 3.25-3.23 (m, 3H), 3.15-3.10 (m, 4H), 2.85 (s, 3H), 2.33-2.28 (m, 3H), 2.07-2.02 (m, 1H), 1.63 (d, J=11.1 Hz, 1H), 1.228-1.24 (m, 2H), 1.17 (d, J=6.9 Hz, 3H); ESI MS m/z 596 [C30H37N5O8+H]+.
Figure US10226456-20190312-C00527
Preparation of (S)-4-((S)-2-((tert-Butoxycarbonyl)oxy)propanamido)-5-(((S)-1-(((4R,4aS,7aR,12bS)-4a-hydroxy-9-methoxy-3-methyl-2,3,4,4a,5,7a-hexahydro-1H-4,12-methanobenzofuro[3,2-e]isoquinolin-7-yl)oxy)-1-oxopropan-2-yl)oxy)-5-oxopentanoic acid
Figure US10226456-20190312-C00528
A suspension of (S)-4-amino-5-(((S)-1-(((4R,4aS,7aR,12bS)-4a-hydroxy-9-methoxy-3-methyl-2,3,4,4a,5,7a-hexahydro-1H-4,12-methanobenzofuro[3,2-e]isoquinolin-7-yl)oxy)-1-oxopropan-2-yl)oxy)-5-oxopentanoic acid dihydrochloride (85 mg, 0.14 mmol) and (S)-2,5-dioxopyrrolidin-1-yl 2-((tert-butoxycarbonyl)oxy)propanoate (67 mg, 0.23 mmol) in methylene chloride (3 mL) was treated with N,N-diisopropylethylamine (0.10 mL, 0.57 mmol) and stirred under a nitrogen atmosphere for 30 min. After this time, the reaction mixture was diluted with methylene chloride (10 mL) and washed with saturated aqueous ammonium chloride (10 mL). The organic layer was dried over sodium sulfate, filtered, and concentrated under reduced pressure. The crude residue was purified by reversed phase column chromatography (15.5 g C18 column, 20-100% acetonitrile/water) and freeze dried to provide to provide (S)-4-((S)-2-((tert-butoxycarbonyl)oxy)propanamido)-5-(((S)-1-(((4R,4aS,7aR,12bS)-4a-hydroxy-9-methoxy-3-methyl-2,3,4,4a,5,7a-hexahydro-1H-4,12-methanobenzofuro[3,2-e]isoquinolin-7-yl)oxy)-1-oxopropan-2-yl)oxy)-5-oxopentanoic acid (58 mg, 58%) as a fluffy white solid: ESI MS m/z 689 [C34H44N2O13+H]+.
Preparation of (S)-5-(((S)-1-(((4R,4aS,7aR,12bS)-4a-Hydroxy-9-methoxy-3-methyl-2,3,4,4a,5,7a-hexahydro-1H-4,12-methanobenzofuro[3,2-e]isoquinolin-7-yl)oxy)-1-oxopropan-2-yl)oxy)-4-((S)-2-hydroxypropanamido)-5-oxopentanoic acid trifluoroacetic acid salt
Figure US10226456-20190312-C00529
A solution of (S)-4-((S)-2-((tert-butoxycarbonyl)oxy)propanamido)-5-(((S)-1-(((4R,4aS,7aR,12bS)-4a-hydroxy-9-methoxy-3-methyl-2,3,4,4a,5,7a-hexahydro-1H-4,12-methanobenzofuro[3,2-e]isoquinolin-7-yl)oxy)-1-oxopropan-2-yl)oxy)-5-oxopentanoic acid (54 mg, 0.078 mmol) in methylene chloride (1 mL) was treated with trifluoroacetic acid (0.5 mL) and stirred under a nitrogen atmosphere at ambient temperature for 45 min. After this time, the reaction mixture concentrated under reduced pressure. The residue was treated with diethyl ether (5 mL) and sonicated to produce a solid precipitate. The solid was isolated by filtration, washed with diethyl ether, dried under vacuum, and freeze-dried from acetonitrile/water to provide (S)-5-(((S)-1-(((4R,4aS,7aR,12bS)-4a-Hydroxy-9-methoxy-3-methyl-2,3,4,4a,5,7a-hexahydro-1H-4,12-methanobenzofuro[3,2-e]isoquinolin-7-yl)oxy)-1-oxopropan-2-yl)oxy)-4-((S)-2-hydroxypropanamido)-5-oxopentanoic acid trifluoroacetic acid salt (44 mg, 81%) as a white solid:1H NMR (300 MHz, DMSO-d6) δ 12.19 (br s, 1H), 9.17 (br s, 1H), 7.99 (d, J=7.8 Hz, 1H), 6.86 (d, J=8.4 Hz, 1H), 6.75 (d, J=8.4 Hz, 1H), 6.30 (s, 1H), 5.60 (dd, J=6.0, 2.1 Hz, 1H), 5.54 (br s, 1H), 5.16 (q, J=6.9 Hz, 1H), 5.01 (s, 1H), 4.42-4.34 (m, 1H), 4.01 (q, J=6.9 Hz, 1H), 3.75 (s, 3H), 3.65 (d, J=6.3 Hz, 1H), 3.43 (d, J=20.1 Hz, 1H, partially obscured by water peak), 3.16-3.07 (m, 2H), 2.84 (apparent d, J=4.8 Hz, 3H), 2.66-2.57 (m, 1H), 2.49-2.43 (m, 1H, partially obscured by solvent peak), 2.37-2.23 (m, 3H), 2.15-2.05 (m, 2H), 1.97-1.85 (m, 1H), 1.64 (d, J=10.8 Hz, 1H), 1.52 (d, J=6.9 Hz, 3H), 1.22 (d, J=6.9 Hz, 3H); ESI MS m/z 589 [C29H36N2O11+H]+;HPLC (Method A) 95.0% (AUC), tR=7.63 min.
Figure US10226456-20190312-C00530
Preparation of (4R,4aS,7aR,12bS)-9-Methoxy-3-methyl-2,3,4,4a,5,7a-hexahydro-1H-4,12-methanobenzofuro[3,2-e]isoquinoline-4a,7-diyl bis(3-((tert-butoxycarbonyl)amino)propanoate)
Figure US10226456-20190312-C00531
A suspension of oxycodone (0.490 g, 1.55 mmol) in tetrahydrofuran (10 mL) was cooled in an ice bath and treated with a 1.0 M solution of lithium bis(trimethylsilyl)amide in tetrahydrofuran (3.1 mL, 3.1 mmol). After addition was complete, the mixture was stirred under nitrogen atmosphere in the ice bath for 45 min and at ambient temperature for 20 min. The solution was re-cooled in an ice/brine bath, treated dropwise with a solution of 2,5-dioxopyrrolidin-1-yl 3-((tert-butoxycarbonyl)amino)propanoate (0.890 g, 3.11 mmol) in tetrahydrofuran (5 mL), and stirred for 2 h. After this time, the reaction mixture was treated with saturated aqueous ammonium chloride (75 mL) and extracted with ethyl acetate (3×100 mL). The combined organics were washed with saturated aqueous ammonium chloride (100 mL), saturated sodium bicarbonate (2×100 mL), and brine (2×100 mL); dried over sodium sulfate; filtered; and concentrated under reduced pressure to provide (4R,4aS,7aR,12bS)-9-methoxy-3-methyl-2,3,4,4a,5,7a-hexahydro-1H-4,12-methanobenzofuro[3,2-e]isoquinoline-4a,7-diyl bis(3-((tert-butoxycarbonyl)amino)propanoate) (0.990 g, 97%) as a yellow oil: ESI MS m/z 658 [C34H47N3O10+H]+.
Preparation of (4R,4aS,7aR,12bS)-9-Methoxy-3-methyl-2,3,4,4a,5,7a-hexahydro-1H-4,12-methanobenzofuro[3,2-e]isoquinoline-4a,7-diyl bis(3-aminopropanoate) tris(trifluoroacetic acid salt)
Figure US10226456-20190312-C00532
A solution of (4R,4aS,7aR,12bS)-9-methoxy-3-methyl-2,3,4,4a,5,7a-hexahydro-1H-4,12-methanobenzofuro[3,2-e]isoquinoline-4a,7-diyl bis(3-((tert-butoxycarbonyl)amino)propanoate) (0.990 g, 1.51 mmol) in methylene chloride (20 mL) was treated with trifluoroacetic acid (10 mL) and stirred under a nitrogen atmosphere at ambient temperature for 1 h. After this time, the reaction mixture was concentrated under reduced pressure and dried under vacuum to provide (4R,4aS,7aR,12bS)-9-methoxy-3-methyl-2,3,4,4a,5,7a-hexahydro-1H-4,12-methanobenzofuro[3,2-e]isoquinoline-4a,7-diyl bis(3-aminopropanoate) tris(trifluoroacetic acid salt) (1.50 g, quantitative) as a yellow oil: ESI MS m/z 458 [C24H31N3O6+H]+.
Preparation of (S)-(4R,4aS,7aR,12bS)-9-Methoxy-3-methyl-2,3,4,4a,5,7a-hexahydro-1H-4,12-methanobenzofuro[3,2-e]isoquinoline-4a,7-diyl bis(3-((S)-2-((tert-butoxycarbonyl)oxy)propanamido)propanoate)
Figure US10226456-20190312-C00533
A mixture of (4R,4aS,7aR,12bS)-9-methoxy-3-methyl-2,3,4,4a,5,7a-hexahydro-1H-4,12-methanobenzofuro[3,2-e]isoquinoline-4a,7-diyl bis(3-aminopropanoate) tris(trifluoroacetic acid salt)(0.580 g, 0.725 mmol), (S)-2,5-dioxopyrrolidin-1-yl 2-((tert-butoxycarbonyl)oxy)propanoate (0.521 g, 1.81 mmol) and N,N-diisopropylethylamine (0.63 mL, 3.6 mmol) in methylene chloride (10 mL) was stirred at ambient temperature for 2 h. After this time, the reaction was concentrated under reduced pressure. The crude residue was purified by column chromatography (silica gel, 0-6% methanol/methylene chloride) to provide (S)-(4R,4aS,7aR,12bS)-9-methoxy-3-methyl-2,3,4,4a,5,7a-hexahydro-1H-4,12-methanobenzofuro[3,2-e]isoquinoline-4a,7-diyl bis(3-((S)-2-((tert-butoxycarbonyl)oxy)propanamido)propanoate) (0.300 g, 52%) as a colorless oil: ESI MS m/z 802 [C40H55N3O14+H]+.
Preparation of (S)-(4R,4aS,7aR,12bS)-9-Methoxy-3-methyl-2,3,4,4a,5,7a-hexahydro-1H-4,12-methanobenzofuro[3,2-e]isoquinoline-4a,7-diyl bis(3-((S)-2-hydroxypropanamido)propanoate) trifluoroacetic acid salt
Figure US10226456-20190312-C00534
A solution of (S)-(4R,4aS,7aR,12bS)-9-methoxy-3-methyl-2,3,4,4a,5,7a-hexahydro-1H-4,12-methanobenzofuro[3,2-e]isoquinoline-4a,7-diyl bis(3-((S)-2-((tert-butoxycarbonyl)oxy)propanamido)propanoate) (0.300 g, 0.374 mmol) in methylene chloride (5 mL) was treated with trifluoroacetic acid (2 mL) and stirred under a nitrogen atmosphere at ambient temperature for 1 h. After this time, the reaction mixture was concentrated under reduced pressure. The crude residue was purified by reverse phase chromatography (50 g C18 column, 5-25% acetonitrile/water with 0.1% trifluoroacetic acid) and freeze dried to provide (S)-(4R,4aS,7aR,12bS)-9-methoxy-3-methyl-2,3,4,4a,5,7a-hexahydro-1H-4,12-methanobenzofuro[3,2-e]isoquinoline-4a,7-diyl bis(3-((S)-2-hydroxypropanamido)propanoate) trifluoroacetic acid salt (0.070 mg, 31%) as a white solid:1H NMR (300 MHz, DMSO-d6) δ 9.44 (br s, 1H), 7.89 (dt, J=12.9, 6.0 Hz, 2H) 6.92 (d, J=8.4 Hz, 1H), 6.79 (d, J=8.4 Hz, 1H), 5.51-5.49 (m, 2H), 5.10 (s, 1H), 4.76 (d, J=5.4 Hz, 1H), 3.98-3.94 (m, 2H), 3.77 (s, 3H), 3.40-3.20 (m, 7H), 3.04-2.96 (m, 4H), 2.65-2.61 (m, 3H), 2.09 (d, J=18.3 Hz, 1H), 1.81 (d, J=12.0 Hz, 1H), 1.21 (d, J=4.5 Hz, 3H), 1.19 (d, J=4.2 Hz, 6H); ESI MS m/z 602 [C30H39N3O10+H]+;HPLC (Method A)>99% (AUC), tR=7.25 min.
Figure US10226456-20190312-C00535
Preparation of (R)-2-((3-((tert-Butoxycarbonyl)amino)propanoyl)oxy)-2-phenylacetic acid
Figure US10226456-20190312-C00536
A solution of 3-((tert-butoxycarbonyl)amino)propanoic acid (1.01 g, 5.31 mmol) and benzotriazole (703 mg, 5.90 mmol) in tetrahydrofuran (25 mL) was treated with N,N′-dicyclohexylcarbodiimide (1.20 g, 5.82 mmol) and stirred under a nitrogen atmosphere for 4 h. After this time, the reaction mixture was filtered to remove the solid dicyclohexylurea byproduct. The filtrate was cooled in an ice bath and treated with (R)-mandelic acid (511 mg, 3.36 mmol), and 4-dimethylaminopyridine (502 mg, 4.11 mmol) and stirred under a nitrogen atmosphere for 65 h. After this time, the reaction mixture was diluted with ethyl acetate (50 mL) and washed with aqueous 10% citric acid (2×25 mL) and water (25 mL). The organic layer was extracted with saturated aqueous sodium bicarbonate (3×25 mL). The combined aqueousbicarbonate layers were acidified to pH ˜2 with 6 N hydrochloric acid and extracted with ethyl acetate (4×25 mL). The combined organics were dried over sodium sulfate, filtered, and concentrated under reduced pressure to provide (R)-2-((3-((tert-butoxycarbonyl)amino)propanoyl)oxy)-2-phenylacetic acid (1.23 g, quantitative) as a white semi-solid:1H NMR (300 MHz, CDCl3) δ 7.50-7.44 (m, 2H), 7.40-7.36 (m, 3H), 6.00 (s, 1H), 3.48-3.38 (m, 2H), 2.73-2.59 (m, 2H), 1.43 (s, 9H), CO2H and NH protons not observed.
Preparation of (R)-2-((2,5-Dioxopyrrolidin-1-yl)oxy)-2-oxo-1-phenylethyl 3-((tert-butoxycarbonyl)amino)propanoate
Figure US10226456-20190312-C00537
A solution of (R)-2-((3-((tert-butoxycarbonyl)amino)propanoyl)oxy)-2-phenylacetic acid (1.20 g, 3.36 mmol) in tetrahydrofuran (15 mL) was treated with N-hydroxysuccinimide (434 mg, 3.77 mmol) and N,N′-dicydohexylcarbodiimide (770 mg, 3.73 mmol) and stirred under a nitrogen atmosphere for 2 h. After this time, the reaction mixture was filtered to remove the solid dicyclohexylurea byproduct. The solid was washed with diethyl ether, and the combined filtrate and washings were concentrated under reduced pressure to provide (R)-2-((2,5-dioxopyrrolidin-1-yl)oxy)-2-oxo-1-phenylethyl 3-((tert-butoxycarbonyl)amino)propanoate (1.54 g, quantitative) as an amber foam:1H NMR (300 MHz, CDCl3) δ 7.56-7.53 (m, 2H), 7.46-7.44 (m, 3H), 6.32 (s, 1H), 5.14 (br s, 1H), 3.53-3.43 (m, 2H), 2.82 (br s, 4H), 2.72-2.62 (m, 2H), 1.43 (s, 9H).
Preparation of (R)-2-(((4R,4aS,7aR,12bS)-4a-Hydroxy-9-methoxy-3-methyl-2,3,4,4a,5,7a-hexahydro-1H-4,12-methanobenzofuro[3,2-e]isoquinolin-7-yl)oxy)-2-oxo-1-phenylethyl 3-((tert-butoxycarbonyl)amino)propanoate
Figure US10226456-20190312-C00538
A suspension of oxycodone (804 mg, 2.55 mmol) in tetrahydrofuran (10 mL) was cooled in an ice bath and treated dropwise with a 1.0 M solution of potassium tert-butoxide in tetrahydrofuran (3.0 mL, 3.0 mmol). After addition was complete, the mixture was stirred in the ice bath for 30 min and at ambient temperature for 5 min. The mixture was re-cooled in an ice/brine bath and treated dropwise with a solution of (R)-2-((2,5-dioxopyrrolidin-1-yl)oxy)-2-oxo-1-phenylethyl 3-((tert-butoxycarbonyl)amino)propanoate (1.54 g, 3.35 mmol) in tetrahydrofuran (8 mL). After addition was complete, the mixture was stirred in the ice/brine bath for 1 h. After this time, the reaction mixture was treated with saturated aqueous ammonium chloride (50 mL) and extracted with ethyl acetate (2×50 mL). The combined organics were washed with saturated sodium bicarbonate (25 mL) and brine (25 mL), dried over sodium sulfate, filtered, and concentrated under reduced pressure. The crude residue was purified by column chromatography (silica gel, 0-10% methanol/methylene chloride) followed by reversed phase column chromatography (150 g C18 column, 20-100% acetonitrile/water) and freeze dried to provide (R)-2-(((4R,4aS,7aR,12bS)-4a-hydroxy-9-methoxy-3-methyl-2,3,4,4a,5,7a-hexahydro-1H-4,12-methanobenzofuro[3,2-e]isoquinolin-7-yl)oxy)-2-oxo-1-phenylethyl 3-((tert-butoxycarbonyl)amino)propanoate (111 mg, 7%) as a fluffy white solid: ESI MS m/z 621 [C34H40N2O9+H]+.
Preparation of (R)-2-(((4R,4aS,7aR,12bS)-4a-Hydroxy-9-methoxy-3-methyl-2,3,4,4a,5,7a-hexahydro-1H-4,12-methanobenzofuro[3,2-e]isoquinolin-7-yl)oxy)-2-oxo-1-phenylethyl 3-aminopropanoate dihydrochloride
Figure US10226456-20190312-C00539
A solution of (R)-2-(((4R,4aS,7aR,12bS)-4a-hydroxy-9-methoxy-3-methyl-2,3,4,4a,5,7a-hexahydro-1H-4,12-methanobenzofuro[3,2-e]isoquinolin-7-yl)oxy)-2-oxo-1-phenylethyl 3-((tert-butoxycarbonyl)amino)propanoate (110 mg, 0.177 mmol) in ethyl acetate (3 mL) was treated with a 4.0 M solution of hydrogen chloride in 1,4-dioxane (3 mL) and stirred under a nitrogen atmosphere at ambient temperature for 2 h. After this time, the reaction mixture was diluted with diethyl ether and sonicated to produce a solid precipitate. The solid was isolated by filtration, washed with diethyl ether, dried under vacuum, and freeze-dried from water to provide (R)-2-(((4R,4aS,7aR,12bS)-4a-Hydroxy-9-methoxy-3-methyl-2,3,4,4a,5,7a-hexahydro-1H-4,12-methanobenzofuro[3,2-e]isoquinolin-7-yl)oxy)-2-oxo-1-phenylethyl 3-aminopropanoate dihydrochloride (91 mg, 87%) as a white solid:1H NMR (300 MHz, DMSO-d6, Mixture of diastereomers) δ 9.19 (br s, 1H),7.91 (br s, 3H), 7.57-7.55 (m, 2H), 7.48-7.46 (m, 3H), 6.87-6.81 (m, 1H), 6.76-6.72 (m, 1H), 6.32 (s, 1H), 6.14 (s, 0.42H), 6.13 (s, 0.58H), 5.56-5.54 (m, 0.42H), 5.48-5.46 (m, 0.58H), 4.96 (s, 0.42H), 4.92 (s, 0.58H), 3.72 (s, 1.74H), 3.67 (br s, 1H), 3.75 (s, 1.26H), 3.42 (d, J=20.4 Hz, 1H), 3.14-3.07 (m, 4H), 2.86-2.83 (m, 5H), 2.64-2.57 (m, 1H), 2.49-2.33 (m, 2H, partially obscured by solvent peak), 2.08-2.00 (m, 1H), 1.61 (d, J=12.6 Hz, 1H);ESI MS m/z 521 [C29H32N2O7+H]+; HPLC (Method A) 94.3% (AUC), tR=7.92 min.
Figure US10226456-20190312-C00540
Preparation of (S)-1-tert-Butyl 4-((4R,4aS,7aR,12bS)-4a-hydroxy-9-methoxy-3-methyl-2,3,4,4a,5,7a-hexahydro-1H-4,12-methanobenzofuro[3,2-e]isoquinolin-7-yl) 2-((tert-butoxycarbonyl)amino)succinate
Figure US10226456-20190312-C00541
A suspension of oxycodone (0.474 g, 1.50 mmol) in tetrahydrofuran (5 mL) was cooled in an ice bath and treated with a 1.0 M solution of potassium tert-butoxide in tetrahydrofuran (1.65 mL, 1.65 mmol). After addition was complete, the mixture was stirred under a nitrogen atmosphere in the ice bath for 25 min and at ambient temperature for 25 min. The solution was re-cooled in an ice/brine bath, and the mixture was treated with a solution of (S)-1-tert-butyl 4-(2,5-dioxopyrrolidin-1-yl) 2-((tert-butoxycarbonyl)amino)succinate (0.637 g, 1.64 mmol) in tetrahydrofuran (4 mL) and stirred for 2 h. After this time, the reaction mixture was treated with saturated aqueous ammonium chloride (50 mL) and extracted with ethyl acetate (2×50 mL). The combined organics were washed with saturated sodium bicarbonate (50 mL) and brine (50 mL), dried over sodium sulfate, filtered, and concentrated under reduced pressure. The crude residue was purified by column chromatography (silica gel, 0-4% methanol/methylene chloride) to provide (S)-1-tert-butyl 4-((4R,4aS,7aR,12bS)-4a-hydroxy-9-methoxy-3-methyl-2,3,4,4a,5,7a-hexahydro-1H-4,12-methanobenzofuro[3,2-e]isoquinolin-7-yl) 2-((tert-butoxycarbonyl)amino)succinate (0.485 g, 55%) as an off-white solid: ESI MS m/z 587 [C31H42N2O9+H]+.
Preparation of (S)-2-Amino-4-(((4R,4aS,7aR,12bS)-4a-hydroxy-9-methoxy-3-methyl-2,3,4,4a,5,7a-hexahydro-1H-4,12-methanobenzofuro[3,2-e]isoquinolin-7-yl)oxy)-4-oxobutanoic acid dihydrochloride
Figure US10226456-20190312-C00542
A solution of (S)-1-tert-butyl 4-((4R,4aS,7aR,12bS)-4a-hydroxy-9-methoxy-3-methyl-2,3,4,4a,5,7a-hexahydro-1H-4,12-methanobenzofuro[3,2-e]isoquinolin-7-yl) 2-((tert-butoxycarbonyl)amino)succinate (0.480 g, 0.818 mmol) in 1,4-dioxane (15 mL) was treated with 4 N hydrogen chloride in 1,4-dioxane (12 mL) at ambient temperature and stirred for 3 h. After this time, the reaction mixture was concentrated under reduced pressure and dried under vacuum to provide (S)-2-amino-4-(((4R,4aS,7aR,12bS)-4a-hydroxy-9-methoxy-3-methyl-2,3,4,4a,5,7a-hexahydro-1H-4,12-methanobenzofuro[3,2-e]isoquinolin-7-yl)oxy)-4-oxobutanoic acid dihydrochloride (0.460 g, quantitative) as a white solid: ESI MS m/z 387 [C22H26N2O7+H]+.
Preparation of (S)-2-((S)-2-((tert-Butoxycarbonyl)oxy)propanamido)-4-(((4R,4aS,7aR,12bS)-4a-hydroxy-9-methoxy-3-methyl-2,3,4,4a,5,7a-hexahydro-1H-4,12-methanobenzofuro[3,2-e]isoquinolin-7-yl)oxy)-4-oxobutanoic acid
Figure US10226456-20190312-C00543
A mixture of (S)-2-amino-4-(((4R,4aS,7aR,12bS)-4a-hydroxy-9-methoxy-3-methyl-2,3,4,4a,5,7a-hexahydro-1H-4,12-methanobenzofuro[3,2-e]isoquinolin-7-yl)oxy)-4-oxobutanoic acid dihydrochloride (0.250 g, 0.496 mmol), (S)-2,5-dioxopyrrolidin-1-yl 2-((tert-butoxycarbonyl)oxy)propanoate (0.214 g, 0.745 mmol), and N,N-diisopropylethylamine (0.43 mL, 2.5 mmol) in methylene chloride (8 mL) was stirred at ambient temperature for 2 h. After this time, the reaction mixture was concentrated under reduced pressure. The crude residue was purified by reversed phase column chromatography (50 g C18 column, 5-100% acetonitrile/water) and freeze dried to provide (S)-2-((S)-2-((tert-butoxycarbonyl)oxy)propanamido)-4-(((4R,4aS,7aR,12bS)-4a-hydroxy-9-methoxy-3-methyl-2,3,4,4a,5,7a-hexahydro-1H-4,12-methanobenzofuro[3,2-e]isoquinolin-7-yl)oxy)-4-oxobutanoic acid (0.050 g, 17%) as a white solid: ESI MS m/z 603 [C30H38N2O11+H]+.
Preparation of (S)-4-(((4R,4aS,7aR,12bS)-4a-Hydroxy-9-methoxy-3-methyl-2,3,4,4a,5,7a-hexahydro-1H-4,12-methanobenzofuro[3,2-e]isoquinolin-7-yl)oxy)-2-((S)-2-hydroxypropanamido)-4-oxobutanoic acid trifluoroacetic acid salt
Figure US10226456-20190312-C00544
A solution of (S)-2-((S)-2-((tert-butoxycarbonyl)oxy)propanamido)-4-(((4R,4aS,7aR,12bS)-4a-hydroxy-9-methoxy-3-methyl-2,3,4,4a,5,7a-hexahydro-1H-4,12-methanobenzofuro[3,2-e]isoquinolin-7-yl)oxy)-4-oxobutanoic acid (0.049 g, 0.074 mmol) in methylene chloride (3 mL) was treated with trifluoroacetic acid (1 mL) and stirred at ambient temperature for 1 h. After this time, the reaction mixture was concentrated under reduced pressure. The residue was purified by reverse chromatography (50 g C18 column, 5-25% acetonitrile/water, with 0.1% TFA) and freeze dried to provide (S)-4-(((4R,4aS,7aR,12bS)-4a-hydroxy-9-methoxy-3-methyl-2,3,4,4a,5,7a-hexahydro-1H-4,12-methanobenzofuro[3,2-e]isoquinolin-7-yl)oxy)-2-((S)-2-hydroxypropanamido)-4-oxobutanoic acid trifluoroacetic acid salt (0.032 g, 86%) as a white solid:1H NMR (300 MHz, DMSO-d6) δ 12.96 (br s, 1H), 9.17 (br s, 1H), 8.01 (d, J=8.4 Hz, 1H), 6.86 (d, J=8.4 Hz, 1H), 6.75 (d, J=8.4 Hz, 1H), 6.27 (s, 1H), 5.65 (br s, 1H), 5.51 (dd, J=6.0, 2.1 Hz, 1H), 4.97 (s, 1H), 4.66 (q, J=8.1 Hz, 1H), 4.01 (q, J=6.6 Hz, 1H), 3.75 (s, 3H), 3.64 (d, J=6.0 Hz, 1H), 3.15-3.01 (m, 3H), 2.96 (d, J=6.3 Hz, 1H), 2.91 (d, J=6.3 Hz, 1H), 2.84 (d, J=4.5 Hz, 3H), 2.75-2.55 (m, 1H), 2.32-2.24 (m, 1H), 2.06 (d, J=18.0 Hz, 1H), 1.64 (d, J=10.2 Hz, 1H), 1.21 (d, J=6.6 Hz, 3H); ESI MS m/z 503 [C25H30N2O9+H]+; HPLC (Method A) 95.0% (AUC), tR=7.03 min.
Figure US10226456-20190312-C00545
Preparation of (S)-4-(2-((S)-2,2-Dimethyl-5-oxo-1,3-dioxolan-4-yl)acetamido)-5-(((S)-1-(((4R,4aS,7aR,12bS)-4a-hydroxy-9-methoxy-3-methyl-2,3,4,4a,5,7a-hexahydro-1H-4,12-methanobenzofuro[3,2-e]isoquinolin-7-yl)oxy)-1-oxopropan-2-yl)oxy)-5-oxopentanoic acid
Figure US10226456-20190312-C00546
A suspension (S)-4-amino-5-(((S)-1-(((4R,4aS,7aR,12bS)-4a-hydroxy-9-methoxy-3-methyl-2,3,4,4a,5,7a-hexahydro-1H-4,12-methanobenzofuro[3,2-e]isoquinolin-7-yl)oxy)-1-oxopropan-2-yl)oxy)-5-oxopentanoic acid dihydrochloride (207 mg, 0.351 mmol) and (S)-2,5-dioxopyrrolidin-1-yl 2-(2,2-dimethyl-5-oxo-1,3-dioxolan-4-yl)acetate (150 mg, 0.553 mmol) in methylene chloride (3 mL) was treated with N,N-diisopropylethylamine (0.24 mL, 1.4 mmol) and stirred under a nitrogen atmosphere for 15 min. After this time, the reaction mixture was diluted with methylene chloride (15 mL) and washed with saturated aqueous ammonium chloride (15 mL). The organic layer was dried over sodium sulfate, filtered, and concentrated under reduced pressure to provide (S)-4-(2-((S)-2,2-dimethyl-5-oxo-1,3-dioxolan-4-yl)acetamido)-5-(((S)-1-(((4R,4aS,7aR,12bS)-4a-hydroxy-9-methoxy-3-methyl-2,3,4,4a,5,7a-hexahydro-1H-4,12-methanobenzofuro[3,2-e]isoquinolin-7-yl)oxy)-1-oxopropan-2-yl)oxy)-5-oxopentanoic acid (234 mg, 99%) as an off-white semi-solid: ESI MS m/z 673 [C33H40N2O13+H]+.
Preparation of (S)-4-((S)-3-Carboxy-3-hydroxypropanamido)-5-(((S)-1-(((4R,4aS,7aR,12bS)-4a-hydroxy-9-methoxy-3-methyl-2,3,4,4a,5,7a-hexahydro-1H-4,12-methanobenzofuro[3,2-e]isoquinolin-7-yl)oxy)-1-oxopropan-2-yl)oxy)-5-oxopentanoic acid hydrochloride
Figure US10226456-20190312-C00547
A solution of (S)-4-(2-((S)-2,2-dimethyl-5-oxo-1,3-dioxolan-4-yl)acetamido)-5-(((S)-1-(((4R,4aS,7aR,12bS)-4a-hydroxy-9-methoxy-3-methyl-2,3,4,4a,5,7a-hexahydro-1H-4,12-methanobenzofuro[3,2-e]isoquinolin-7-yl)oxy)-1-oxopropan-2-yl)oxy)-5-oxopentanoic acid (232 mg, 0.345 mmol) in 1,4-dioxane (5 mL) was treated with a 4.0 M solution of hydrogen chloride in 1,4-dioxane (0.5 mL) followed by water (5 drops) and stirred under a nitrogen atmosphere at ambient temperature for 10 min. After this time, the reaction mixture was partially concentrated under reduced pressure, diluted with acetonitrile, and freeze-dried. The crude product was purified by reversed phase column chromatography (50 g C18 column, 10-70% acetonitrile/water) and freeze dried to provide (S)-4-((S)-3-carboxy-3-hydroxypropanamido)-5-(((S)-1-(((4R,4aS,7aR,12bS)-4a-hydroxy-9-methoxy-3-methyl-2,3,4,4a,5,7a-hexahydro-1H-4,12-methanobenzofuro[3,2-e]isoquinolin-7-yl)oxy)-1-oxopropan-2-yl)oxy)-5-oxopentanoic acid hydrochloride (59 mg, 26%) as a fluffy white solid:1H NMR (300 MHz, DMSO-d6) δ 8.41 (d, J=7.2 Hz, 1H), 6.75 (d, J=8.1 Hz, 1H), 6.67 (d, J=8.1 Hz, 1H), 5.57 (dd, J=5.7, 2.4 Hz, 1H), 5.14 (q, J=7.2 Hz, 1H), 4.87 (s, 1H), 4.41-4.34 (m, 1H), 4.23 (dd, J=8.1, 4.8 Hz, 1H), 3.73 (s, 3H), 3.15 (d, J=18.9 Hz, 1H), 2.95 (d, J=5.4 Hz, 1H), 2.73-2.63 (m, 1H), 2.49-2.24 (m, 9H, partially obscured by solvent peak), 2.16-1.96 (m, 4H), 1.88-1.76 (m, 1H), 1.52 (d, J=7.2 Hz, 3H), two CO2H, HCl, and two OH protons not observed, one proton obscured by solvent peaks; ESI MS m/z 633 [C30H36N2O13+H]+; HPLC (Method A) 96.9% (AUC), tR=7.41 min.
Figure US10226456-20190312-C00548
Preparation of (S)-2-(((S)-4-(tert-Butoxy)-3-((tert-butoxycarbonyl)amino)-4-oxobutanoyl)oxy)propanoic acid
Figure US10226456-20190312-C00549
A solution of (S)-1-tert-butyl 4-(2,5-dioxopyrrolidin-1-yl) 2-((tert-butoxycarbonyl)amino)succinate (3.42 g, 8.84 mmol), (S)-lactic acid (963 mg, 10.7 mmol), and 4-dimethylaminopyridine (104 mg, 0.85 mmol) in tetrahydrofuran (40 mL) was treated with pyridine (0.85 mL, 10.6 mmol) and heated at 50° C. under a nitrogen atmosphere for 16 h. After this time, the reaction mixture was cooled to room temperature and concentrated under reduced pressure. The residue was dissolved in ethyl acetate (100 mL) and washed with aqueous 10% citric acid (2×50 mL) and water (50 mL). The organic layer was extracted with saturated aqueous sodium bicarbonate (2×50 mL). The combined aqueous bicarbonate layers were acidified to pH ˜2 with 6 N hydrochloric acid and extracted with ethyl acetate (4×50 mL). The combined organics were dried over sodium sulfate, filtered, and concentrated under reduced pressure to provide (S)-2-(((S)-4-(tert-butoxy)-3-((tert-butoxycarbonyl)amino)-4-oxobutanoyl)oxy)propanoic acid (1.47 mg, 46%) as a white semi-solid:1H NMR (300 MHz, CDCl3) δ 5.51-5.48 (m, 1H), 5.17 (q, J=7.2 Hz, 1H), 4.55-4.45 (br m, 1H), 2.92-2.89 (m, 2H), 1.54 (d, J=7.2 Hz, 3H), 1.46 (s, 9H), 1.44 (s, 9H), CO2H proton not observed.
Preparation of (S)-1-tert-Butyl 4-((S)-1-((2,5-dioxopyrrolidin-1-yl)oxy)-1-oxopropan-2-yl) 2-((tert-butoxycarbonyl)amino)succinate
Figure US10226456-20190312-C00550
A solution of (S)-2-(((S)-4-(tert-butoxy)-3-((tert-butoxycarbonyl)amino)-4-oxobutanoyl)oxy)propanoic acid (1.47 g, 4.05 mmol) in tetrahydrofuran (20 mL) was treated with N-hydroxysuccinimide (513 mg, 4.46 mmol) and N,N′-dicyclohexylcarbodiimide (921 mg, 4.46 mmol) and stirred under a nitrogen atmosphere for 4 h. After this time, the reaction mixture was filtered to remove the solid dicyclohexylurea byproduct. The solid was washed with diethyl ether, and the combined filtrate and washings were concentrated under reduced pressure to provide (S)-1-tert-butyl 4-((S)-1-((2,5-dioxopyrrolidin-1-yl)oxy)-1-oxopropan-2-yl) 2-((tert-butoxycarbonyl)amino)succinate (2.04 g, quantitative) as a white foam:1H NMR (300 MHz, CDCl3) δ 5.54-5.48 (m, 1H), 5.42 (q, J=7.2 Hz, 1H), 4.51-4.45 (m, 1H), 3.08-2.82 (m, 6H), 1.68 (d, J=7.2 Hz, 3H), 1.46 (s, 9H), 1.44 (s, 9H).
Preparation of (S)-1-tert-Butyl 4-((S)-1-(((4R,4aS,7aR,12bS)-4a-hydroxy-9-methoxy-3-methyl-2,3,4,4a,5,7a-hexahydro-1H-4,12-methanobenzofuro[3,2-e]isoquinolin-7-yl)oxy)-1-oxopropan-2-yl) 2-((tert-butoxycarbonyl)amino)succinate
Figure US10226456-20190312-C00551
A suspension of oxycodone (574 mg, 1.82 mmol) in tetrahydrofuran (8 mL) was cooled in an ice bath and treated dropwise with a 1.0 M solution of potassium tert-butoxide in tetrahydrofuran (2.2 mL, 2.2 mmol). After addition was complete, the mixture was stirred in the ice bath for 1.5 h. The ice bath was replaced with an ice/brine bath, and the mixture was treated dropwise with a solution of (S)-1-tert-butyl 4-((S)-1-((2,5-dioxopyrrolidin-1-yl)oxy)-1-oxopropan-2-yl) 2-((tert-butoxycarbonyl)amino)succinate (992 mg, 2.16 mmol) in tetrahydrofuran (8 mL). After addition was complete, the mixture was stirred in the ice bath for 30 min. After this time, the reaction mixture was treated with saturated aqueous ammonium chloride (50 mL) and extracted with ethyl acetate (2×50 mL). The combined organics were washed with saturated sodium bicarbonate (50 mL) and brine (50 mL), dried over sodium sulfate, filtered, and concentrated under reduced pressure. The crude residue was purified by column chromatography (silica gel, 0-10% methanol/methylene chloride) followed by reversed phase column chromatography (150 g C18 column, 20-100% acetonitrile/water) and freeze dried to provide (S)-1-tert-butyl 4-((S)-1-(((4R,4aS,7aR,12bS)-4a-hydroxy-9-methoxy-3-methyl-2,3,4,4a,5,7a-hexahydro-1H-4,12-methanobenzofuro[3,2-e]isoquinolin-7-yl)oxy)-1-oxopropan-2-yl) 2-((tert-butoxycarbonyl)amino)succinate (244 mg, 20%) as a fluffy white solid: ESI MS m/z 659 [C34H46N2O11+H]+.
Preparation of (S)-2-Amino-4-(((S)-1-(((4R,4aS,7aR,12bS)-4a-hydroxy-9-methoxy-3-methyl-2,3,4,4a,5,7a-hexahydro-1H-4,12-methanobenzofuro[3,2-e]isoquinolin-7-yl)oxy)-1-oxopropan-2-yl)oxy)-4-oxobutanoic acid hydrochloride
Figure US10226456-20190312-C00552
A solution of (S)-1-tert-butyl 4-((S)-1-(((4R,4aS,7aR,12bS)-4a-hydroxy-9-methoxy-3-methyl-2,3,4,4a,5,7a-hexahydro-1H-4,12-methanobenzofuro[3,2-e]isoquinolin-7-yl)oxy)-1-oxopropan-2-yl) 2-((tert-butoxycarbonyl)amino)succinate (242 mg, 0.367 mmol) in ethyl acetate (3 mL) was treated with a 4.0 M solution of hydrogen chloride in 1,4-dioxane (3 mL) and stirred under a nitrogen atmosphere at ambient temperature for 16 h. After this time, the reaction mixture was diluted with diethyl ether and sonicated to produce a solid precipitate. The solid was isolated by filtration, washed with diethyl ether, and dried under vacuum. Half of the material was purified by reversed phase column chromatography (50 g C18 column, 10-50% acetonitrile/water) and freeze dried to provide (S)-2-amino-4-(((S)-1-(((4R,4aS,7aR,12bS)-4a-hydroxy-9-methoxy-3-methyl-2,3,4,4a,5,7a-hexahydro-1H-4,12-methanobenzofuro[3,2-e]isoquinolin-7-yl)oxy)-1-oxopropan-2-yl)oxy)-4-oxobutanoic acid hydrochloride (30 mg, 30%) as a white solid:1H NMR (300 MHz, DMSO-d6) δ 7.77 (br s, 1H), 6.84 (d, J=8.1 Hz, 1H), 6.74 (d, J=8.4 Hz, 1H), 5.60-5.58 (m, 1H), 5.13 (q, J=6.9 Hz, 1H), 4.99 (s, 1H), 3.76 (s, 3H), 3.64-3.52 (m, 2H), 3.04-2.91 (m, 4H), 2.76-2.63 (m, 5H), 2.49-2.40 (m, 1H, partially obscured by solvent peak), 2.28-2.22 (m, 1H), 2.06 (apparent d, J=17.4 Hz, 1H), 1.60 (d, J=9.9 Hz, 1H), 1.51 (d, J=6.9 Hz, 3H),CO2H, NH2, and OH protons not observed;ESI MS m/z 503 [C25H30N2O9+H]+; HPLC (Method A) 96.6% (AUC), tR=6.89 min.
Figure US10226456-20190312-C00553
Preparation of (S)-2-((S)-2-((tert-Butoxycarbonyl)oxy)propanamido)-4-(((S)-1-(((4R,4aS,7aR,12bS)-4a-hydroxy-9-methoxy-3-methyl-2,3,4,4a,5,7a-hexahydro-1H-4,12-methanobenzofuro[3,2-e]isoquinolin-7-yl)oxy)-1-oxopropan-2-yl)oxy)-4-oxobutanoic acid
Figure US10226456-20190312-C00554
A suspension of (S)-2-amino-4-(((S)-1-(((4R,4aS,7aR,12bS)-4a-hydroxy-9-methoxy-3-methyl-2,3,4,4a,5,7a-hexahydro-1H-4,12-methanobenzofuro[3,2-e]isoquinolin-7-y)oxy)-1-oxopropan-2-yl)oxy)-4-oxobutanoic acid dihydrochloride (105 mg, 0.195 mmol) and (S)-2,5-dioxopyrrolidin-1-yl 2-((tert-butoxycarbonyl)oxy)propanoate (88 mg, 0.31 mmol) in methylene chloride (4 mL) was treated with N,N-diisopropylethylamine (0.08 mL, 0.5 mmol) and stirred under a nitrogen atmosphere for 15 min. After this time, the reaction mixture was diluted with methylene chloride (10 mL) and washed with saturated aqueous ammonium chloride (10 mL). The organic layer was dried over sodium sulfate, filtered, and concentrated under reduced pressure. The crude residue was purified by reversed phase column chromatography (50 g C18 column, 10-100% acetonitrile/water) and freeze dried to provide to provide (S)-2-((S)-2-((tert-butoxycarbonyl)oxy)propanamido)-4-(((S)-1-(((4R,4aS,7aR,12bS)-4a-hydroxy-9-methoxy-3-methyl-2,3,4,4a,5,7a-hexahydro-1H-4,12-methanobenzofuro[3,2-e]isoquinolin-7-yl)oxy)-1-oxopropan-2-yl)oxy)-4-oxobutanoic acid (74 mg, 56%) as a fluffy white solid: ESI MS m/z 675 [C33H42N2O13+H]+.
Preparation of (S)-4-(((S)-1-(((4R,4aS,7aR,12bS)-4a-Hydroxy-9-methoxy-3-methyl-2,3,4,4a,5,7a-hexahydro-1H-4,12-methanobenzofuro[3,2-e]isoquinolin-7-yl)oxy)-1-oxopropan-2-yl)oxy)-2-((S)-2-hydroxypropanamido)-4-oxobutanoic acid trifluoroacetic acid salt
Figure US10226456-20190312-C00555
A solution of (S)-2-((S)-2-((tert-butoxycarbonyl)oxy)propanamido)-4-(((S)-1-(((4R,4aS,7aR,12bS)-4a-hydroxy-9-methoxy-3-methyl-2,3,4,4a,5,7a-hexahydro-1H-4,12-methanobenzofuro[3,2-e]isoquinolin-7-yl)oxy)-1-oxopropan-2-yl)oxy)-4-oxobutanoic acid (73 mg, 0.11 mmol) in methylene chloride (2 mL) was treated with trifluoroacetic acid (0.5 mL) and stirred under a nitrogen atmosphere at ambient temperature for 30 min. After this time, the reaction mixture concentrated under reduced pressure. The residue was purified by reversed phase column chromatography (15.5 g C18 column, 10-70% acetonitrile/water) and freeze dried to provide to provide (S)-4-(((S)-1-(((4R,4aS,7aR,12bS)-4a-hydroxy-9-methoxy-3-methyl-2,3,4,4a,5,7a-hexahydro-1H-4,12-methanobenzofuro[3,2-e]isoquinolin-7-yl)oxy)-1-oxopropan-2-yl)oxy)-2-((S)-2-hydroxypropanamido)-4-oxobutanoic acid trifluoroacetic acid salt (42 mg, 58%) as a white solid:1H NMR (300 MHz, DMSO-d6) δ 7.94 (d, J=8.1 Hz, 1H), 6.77 (d, J=8.1 Hz, 1H), 6.68 (d, J=8.1 Hz, 1H), 5.64 (d, J=5.1 Hz, 1H), 5.57 (dd, J=5.7, 2.1 Hz, 1H), 5.11 (q, J=6.9 Hz, 1H), 4.90 (s, 1H), 4.62-4.55 (m, 1H), 4.00-3.94 (m, 1H), 3.74 (s, 3H), 3.20 (d, J=19.8 Hz, 1H, partially obscured by water peak), 3.08 (br s, 1H), 2.89-2.78 (m, 3H), 2.63-2.57 (m, 1H), 2.49-2.31 (m, 2H, partially obscured by solvent peak), 2.17-1.97 (m, 2H), 1.48 (d, J=6.9 Hz, 3H), 1.47-1.45 (m, 1H), 1.19 (d, J=6.6 Hz, 3H), CO2H and CH3CO2H protons not observed, four protons obscured by solvent peaks;ESI MS m/z 575 [C28H34N2O11+H]+; HPLC (Method A) 97.1% (AUC), tR=7.78 min.
Figure US10226456-20190312-C00556
Preparation of (R)-2-(((4R,4aS,7aR,12bS)-4a-Hydroxy-9-methoxy-3-methyl-2,3,4,4a,5,7a-hexahydro-1H-4,12-methanobenzofuro[3,2-e]isoquinolin-7-yl)oxy)-2-oxo-1-phenylethyl 3-(2-((S)-2,2-dimethyl-5-oxo-1,3-dioxolan-4-yl)acetamido)propanoate
Figure US10226456-20190312-C00557
A suspension (S)-2-(((4R,4aS,7aR,12bS)-4a-hydroxy-9-methoxy-3-methyl-2,3,4,4a,5,7a-hexahydro-1H-4,12-methanobenzofuro[3,2-e]isoquinolin-7-yl)oxy)-2-oxo-1-phenylethyl 3-aminopropanoate dihydrochloride (47 mg, 0.079 mmol) and (S)-2,5-dioxopyrrolidin-1-yl 2-(2,2-dimethyl-5-oxo-1,3-dioxolan-4-yl)acetate (32 mg, 0.12 mmol) in methylene chloride (2 mL) was treated with N-methylmorpholine (0.04 mL, 0.4 mmol) and stirred under a nitrogen atmosphere for 30 min. After this time, the reaction mixture was diluted with methylene chloride (10 mL) and washed with saturated aqueous ammonium chloride (10 mL). The organic layer was dried over sodium sulfate, filtered, and concentrated under reduced pressure to provide (R)-2-(((4R,4aS,7aR,12bS)-4a-hydroxy-9-methoxy-3-methyl-2,3,4,4a,5,7a-hexahydro-1H-4,12-methanobenzofuro[3,2-e]isoquinolin-7-yl)oxy)-2-oxo-1-phenylethyl 3-(2-((S)-2,2-dimethyl-5-oxo-1,3-dioxolan-4-yl)acetamido)propanoate (65 mg, quantitative) as an off-white semi-solid: ESI MS m/z 677 [C36H40N2O11+H]+.
Preparation of (S)-2-Hydroxy-4-((3-((R)-2-(((4R,4aS,7aR,12bS)-4a-hydroxy-9-methoxy-3-methyl-2,3,4,4a,5,7a-hexahydro-1H-4,12-methanobenzofuro[3,2-e]isoquinolin-7-yl)oxy)-2-oxo-1-phenylethoxy)-3-oxopropyl)amino)-4-oxobutanoic acid hydrochloride
Figure US10226456-20190312-C00558
A solution of (R)-2-(((4R,4aS,7aR,12bS)-4a-hydroxy-9-methoxy-3-methyl-2,3,4,4a,5,7a-hexahydro-1H-4,12-methanobenzofuro[3,2-e]isoquinolin-7-yl)oxy)-2-oxo-1-phenylethyl 3-(2-((S)-2,2-dimethyl-5-oxo-1,3-dioxolan-4-yl)acetamido)propanoate (54 mg, 0.079 mmol) in 1,4-dioxane (4 mL) was treated with a 4.0 M solution of hydrogen chloride in 1,4-dioxane (0.5 mL) followed by water (4 drops) and stirred under a nitrogen atmosphere at ambient temperature for 10 min. After this time, the reaction mixture was partially concentrated under reduced pressure, diluted with acetonitrile, and freeze dried. The crude product was purified by reversed phase column chromatography (15.5 g C18 column, 10-80% acetonitrile/water) and freeze dried to provide (S)-2-hydroxy-4-((3-((R)-2-(((4R,4aS,7aR,12bS)-4a-hydroxy-9-methoxy-3-methyl-2,3,4,4a,5,7a-hexahydro-1H-4,12-methanobenzofuro[3,2-e]isoquinolin-7-yl)oxy)-2-oxo-1-phenylethoxy)-3-oxopropyl)amino)-4-oxobutanoic acid hydrochloride (26 mg, 49%) as a fluffy white solid:1H NMR (300 MHz, DMSO-de, Mixture of diastereomers) δ 8.04 (br s, 1H), 7.56-7.54 (m, 2H), 7.46-7.44 (m, 3H), 6.75-6.69 (m, 1H), 6.66-6.62 (m, 1H), 6.06 (s, 1H), 5.55-5.52 (m, 0.43H), 5.43-5.41 (m, 0.57H), 4.80 (s, 1H), 4.24-4.19 (m, 1H), 3.70 (s, 1.71H), 3.61 (s, 1.29H), 3.16-3.09 (m, 1H, partially obscured by water peak), 2.90 (br s, 1H), 2.67-2.58 (m, 2H), 2.49-2.22 (m, 8H, partially obscured by solvent peak), 2.12-1.93 (m, 3H), 1.39 (d, J=11.4 Hz, 1H),CO2H and HCl protons not observed, four protons obscured by solvent peaks; ESI MS m/z 637 [C33H36N2O11+H]+;HPLC (Method A) 98.2% (AUC), tR=8.52 min.
Figure US10226456-20190312-C00559
Preparation of (S)-(4R,4aS,7aR,12bS)-9-Methoxy-3-methyl-2,3,4,4a,5,7a-hexahydro-1H-4,12-methanobenzofuro[3,2-e]isoquinoline-4a,7-diyl bis(3-((S)-2-((tert-butoxycarbonyl)oxy)-2-phenylacetamido)propanoate)
Figure US10226456-20190312-C00560
A mixture of (4R,4aS,7aR,12bS)-9-methoxy-3-methyl-2,3,4,4a,5,7a-hexahydro-1H-4,12-methanobenzofuro[3,2-e]isoquinoline-4a,7-diyl bis(3-aminopropanoate) tris(hydrochloride) (0.520 g, 1.14 mmol), (S)-2,5-dioxopyrrolidin-1-yl 2-((tert-butoxycarbonyl)oxy)-2-phenylacetate (0.595 g, 1.70 mmol) and N,N-diisopropylethylamine (0.98 mL, 5.7 mmol) in methylene chloride (15 mL) was stirred at ambient temperature for 2 h. After this time, the reaction mixture was concentrated under reduced pressure. The crude residue was purified by column chromatography (silica gel, 0-10% methanol/methylene chloride) to provide (S)-(4R,4aS,7aR,12bS)-9-methoxy-3-methyl-2,3,4,4a,5,7a-hexahydro-1H-4,12-methanobenzofuro[3,2-e]isoquinoline-4a,7-diyl bis(3-((S)-2-((tert-butoxycarbonyl)oxy)-2-phenylacetamido)propanoate) (0.400 g, 38%) as a yellow foam: ESI MS m/z 926 [C50H59N3O14+H]+.
Preparation of (S)-(4R,4aS,7aR,12bS)-9-Methoxy-3-methyl-2,3,4,4a,5,7a-hexahydro-1H-4,12-methanobenzofuro[3,2-e]isoquinoline-4a,7-diyl bis(3-((S)-2-hydroxy-2-phenylacetamido)propanoate) trifluoroacetic acid salt
Figure US10226456-20190312-C00561
A solution of (S)-(4R,4aS,7aR,12bS)-9-methoxy-3-methyl-2,3,4,4a,5,7a-hexahydro-1H-4,12-methanobenzofuro[3,2-e]isoquinoline-4a,7-diyl bis(3-((S)-2-((tert-butoxycarbonyl)oxy)-2-phenylacetamido)propanoate) (0.400 g, 0.430 mmol) in methylene chloride (6 mL) was treated with trifluoroacetic acid (3 mL) and stirred under a nitrogen atmosphere at ambient temperature for 1 h. After this time, the reaction mixture was concentrated under reduced pressure. The crude residue was purified was purified by reversed phase column chromatography (50 g C18 column, 5-35% acetonitrile/water, with 0.1% trifluoroacetic acid) and freeze dried to provide (S)-(4R,4aS,7aR,12bS)-9-methoxy-3-methyl-2,3,4,4a,5,7a-hexahydro-1H-4,12-methanobenzofuro[3,2-e]isoquinoline-4a,7-diyl bis(3-((S)-2-hydroxy-2-phenylacetamido)propanoate) trifluoroacetic acid salt (0.0656 g, 21%) as a white solid:1H NMR (300 MHz, DMSO-d6) δ 9.41 (br s, 1H), 8.24 (t, J=5.7 Hz, 1H), 8.16 (t, J=5.7 Hz, 1H), 7.40-7.21 (m, 10H), 6.92 (d, J=8.4 Hz, 1H), 6.79 (d, J=8.4 Hz, 1H), 6.26 (br s, 2H), 5.37-5.35 (m, 1H), 5.07 (s, 1H), 4.91 (d, J=6.0 Hz, 2H), 4.70 (d, J=6.0 Hz, 1H), 3.77 (s, 3H), 3.52 (d, J=20.1 Hz, 1H), 3.38-3.18 (m, 6H), 2.99-2.87 (m, 4H), 2.82-2.52 (m, 5H), 2.05 (d, J=18.9 Hz, 1H), 1.78 (d, J=13.5 Hz, 1H); ESI MS m/z 726 [C40H43N3O10+H]+; HPLC (Method A)>99% (AUC), tR=9.14 min.
Figure US10226456-20190312-C00562
Preparation of (2S,2′S)-1-di-tert-Butyl O′4,O4-((4R,4aS,7aR,12bS)-9-methoxy-3-methyl-2,3,4,4a,5,7a-hexahydro-1H-4,12-methanobenzofuro[3,2-e]isoquinoline-4a,7-diyl) bis(2-((tert-butoxycarbonyl)amino)succinate)
Figure US10226456-20190312-C00563
A suspension of oxycodone (0.600 g, 1.90 mmol) in tetrahydrofuran (8 mL) was cooled in an ice bath and treated dropwise with a 1.0 M solution of lithium bis(trimethylsilyl)amide in tetrahydrofuran (2.28 mL, 2.28 mmol). The mixture was stirred at 0° C. for 15 min and then treated dropwise with a solution of (S)-1-tert-butyl 4-(2,5-dioxopyrrolidin-1-yl) 2-((tert-butoxycarbonyl)amino)succinate (0.882 g, 2.28 mmol) in tetrahydrofuran (8 mL). The mixture was stirred at 0° C. for 1 h. After this time, the reaction mixture was treated with saturated aqueous ammonium chloride (100 mL) and extracted with ethyl acetate (3×100 mL). The combined organics were dried over sodium sulfate, filtered, and concentrated under reduced pressure. The crude residue was purified by column chromatography (silica gel, 0-3% methanol/methylene chloride) to provide (2S,2′S)-1-di-tert-butyl O′4,O4-((4R,4aS,7aR,12bS)-9-methoxy-3-methyl-2,3,4,4a,5,7a-hexahydro-1H-4,12-methanobenzofuro[3,2-e]isoquinoline-4a,7-diyl) bis(2-((tert-butoxycarbonyl)amino)succinate)(0.490 g, 44%) as a white foam: ESI MS m/z 858 [C44H63N3O14+H]+.
Preparation of (2S,2′S)-4,4′-(((4R,4aS,7aR,12bS)-9-Methoxy-3-methyl-2,3,4,4a,5,7a-hexahydro-1H-4,12-methanobenzofuro[3,2-e]isoquinoline-4a,7-diyl)bis(oxy))bis(2-amino-4-oxobutanoic acid) tris(trifluoroacetic acid salt)
Figure US10226456-20190312-C00564
A solution of (2S,2′S)-1-di-tert-butyl O′4,O4-((4R,4aS,7aR,12bS)-9-methoxy-3-methyl-2,3,4,4a,5,7a-hexahydro-1H-4,12-methanobenzofuro[3,2-e]isoquinoline-4a,7-diyl) bis(2-((tert-butoxycarbonyl)amino)succinate) (0.100 g, 0.116 mmol) in methylene chloride (8 mL) was treated with trifluoroacetic acid (2.5 mL) and stirred at ambient temperature for 1 h. After this time, the reaction mixture was concentrated under reduced pressure. The residue was purified by reversed phase column chromatography (50 g C18 column, 5-30% acetonitrile/water) and freeze dried to provide (2S,2′S)-4,4′-(((4R,4aS,7aR,12bS)-9-methoxy-3-methyl-2,3,4,4a,5,7a-hexahydro-1H-4,12-methanobenzofuro[3,2-e]isoquinoline-4a,7-diyl)bis(oxy))bis(2-amino-4-oxobutanoic acid)tris(trifluoroacetic acid salt)(0.0515 g, 81%) as a fluffy white solid:1H NMR (300 MHz, DMSO-d6) δ 8.85-7.92 (br s, 6H), 6.92 (d, J=8.1 Hz, 1H), 6.80 (d, J=8.4 Hz, 1H), 5.54-5.52 (m, 1H), 5.07 (s, 1H), 4.67 (d, J=6.0 Hz, 1H), 4.27 (t, J=5.7 Hz, 1H), 3.93 (t, J=8.7 Hz, 1H), 3.77 (s, 3H), 3.50 (d, J=20.1 Hz, 1H), 3.21-2.97 (m, 5H), 2.81 (s, 3H), 2.77-2.65 (m, 4H), 2.13 (d, J=18.3 Hz, 1H), 1.77 (d, J=11.4 Hz, 1H), two CO2H protons not observed; ESI MS m/z 546 [C26H31N3O10+H];HPLC (Method A) 95.6% (AUC), tR=6.11 min.
Figure US10226456-20190312-C00565
Preparation of tert-Butyl (2,5-dioxopyrrolidin-1-yl) succinate
Figure US10226456-20190312-C00566
A mixture of 4-(tert-butoxy)-4-oxobutanoic acid (9.75 g, 56.0 mmol) and N-hydroxysuccinimide (7.00 g, 60.8 mmol) in tetrahydrofuran (280 mL) at 0° C. was treated with N,N′-dicyclohexylcarbodiimide (12.5 g, 60.8 mmol). The ice bath was removed, and the reaction mixture was stirred at ambient temperature for 4 h. After this time, diethyl ether (100 mL) was added, and the mixture was filtered. The filtrate was concentrated under reduced pressure to provide tert-butyl (2,5-dioxopyrrolidin-1-yl) succinate (15.0 g) that was used without purification:1H NMR (300 MHz, CDCl3) δ 2.91 (t, J=7.2 Hz, 2H), 2.83 (s, 4H), 2.66 (t, J=7.2 Hz, 2H), 1.46 (s, 9H).
Preparation of (S)-2-((4-(tert-Butoxy)-4-oxobutanoyl)oxy)propanoic acid
Figure US10226456-20190312-C00567
A mixture of tert-butyl (2,5-dioxopyrrolidin-1-yl) succinate (7.60 g, 28.0 mmol), (S)-2-hydroxypropanoic acid (3.00 g, 33.3 mmol), pyridine (2.7 mL, 33.5 mmol), and 4-dimethylaminopyridine (200 mg, 1.6 mmol) in tetrahydrofuran (120 mL) was stirred at reflux for 24 h. After this time, the mixture was cooled to room temperature, partially concentrated under reduced pressure, diluted with ethyl acetate, and washed with 10% citric acid. The organic layer was extracted with saturated sodium bicarbonate. The aqueous extract was carefully treated with 2N hydrochloric acid until acidic by pH paper analysis, and then extracted with ethyl acetate. The organic extracts were dried over sodium sulfate, filtered, and concentrated to give (S)-2-((4-(tert-butoxy)-4-oxobutanoyl)oxy)propanoic acid (4.84 g, 70%): ESI MS m/z 245 [C11H18O6−H]
Preparation of (S)-tert-Butyl (1-((2,5-dioxopyrrolidin-1-yl)oxy)-1-oxopropan-2-yl) succinate
Figure US10226456-20190312-C00568
A mixture of (S)-2-((4-(tert-butoxy)-4-oxobutanoyl)oxy)propanoic acid (4.80 g, 19.5 mmol) and N-hydroxysuccinimide (2.50 g, 21.7 mmol) in tetrahydrofuran (100 mL) at 0° C. was treated with N,N′-dicyclohexylcarbodiimide (4.45 g, 21.6 mmol). The ice bath was removed, and the reaction mixture was stirred at ambient temperature for 4 h. After this time, diethyl ether (100 mL) was added, and the mixture was filtered. The filtrate was concentrated under reduced pressure to provide (S)-tert-butyl (1-((2,5-dioxopyrrolidin-1-yl)oxy)-1-oxopropan-2-yl) succinate (6.85 g) that was used without purification:1H NMR (300 MHz, CDCl3) δ 5.44 (q, J=7.1 Hz, 1H), 2.84 (s, 4H), 2.72-2.52 (m, 4H), 1.68 (d, J=7.1 Hz, 3H), 1.44 (s, 9H).
Preparation of tert-Butyl ((S)-1-(((4R,4aS,7aR,12bS)-4a-Hydroxy-9-methoxy-3-methyl-2,3,4,4a,5,7a-hexahydro-1H-4,12-methanobenzofuro[3,2-e]isoquinolin-7-yl)oxy)-1-oxopropan-2-yl) succinate
Figure US10226456-20190312-C00569
A suspension of oxycodone (0.600 g, 1.90 mmol) in tetrahydrofuran (6 mL) was cooled in an ice bath and treated dropwise with a 1.0 M solution of lithium bis(trimethylsilyl)amide in tetrahydrofuran (2.47 mL, 2.47 mmol). The mixture was stirred at 0° C. for 15 min and then treated dropwise with a solution of(S)-tert-butyl (1-((2,5-dioxopyrrolidin-1-yl)oxy)-1-oxopropan-2-yl) succinate (0.849 g, 2.47 mmol) in tetrahydrofuran (6 mL). The mixture was stirred at 0° C. for 1 h. After this time, the reaction mixture was treated with saturated aqueous ammonium chloride (100 mL) and extracted with ethyl acetate (3×100 mL). The combined organics were dried over sodium sulfate, filtered, and concentrated under reduced pressure. The crude residue was purified by reversed phase column chromatography (50 g C18 column, 5-100% acetonitrile/water) and freeze dried to provide tert-butyl ((S)-1-(((4R,4aS,7aR,12bS)-4a-hydroxy-9-methoxy-3-methyl-2,3,4,4a,5,7a-hexahydro-1H-4,12-methanobenzofuro[3,2-e]isoquinolin-7-yl)oxy)-1-oxopropan-2-yl) succinate (0.460 g, 44%) as a colorless oil: ESI MS m/z 544 [C29H37NO9+H]+.
Preparation of 4-(((R)-1-(((4R,4aS,7aR,12bS)-4a-Hydroxy-9-methoxy-3-methyl-2,3,4,4a,5,7a-hexahydro-1H-4,12-methanobenzofuro[3,2-e]isoquinolin-7-yl)oxy)-1-oxopropan-2-yl)oxy)-4-oxobutanoic acid trifluoroacetic acid salt
Figure US10226456-20190312-C00570
A solution of tert-butyl ((S)-1-(((4R,4aS,7aR,12bS)-4a-hydroxy-9-methoxy-3-methyl-2,3,4,4a,5,7a-hexahydro-1H-4,12-methanobenzofuro[3,2-e]isoquinolin-7-yl)oxy)-1-oxopropan-2-yl) succinate (0.210 g, 0.386 mmol) in methylene chloride (6 mL) was treated with trifluoroacetic acid (3 mL) and stirred under a nitrogen atmosphere at ambient temperature for 1 h. After this time, the reaction mixture was concentrated under reduced pressure. The crude residue was purified by reversed phase column chromatography (50 g C18 column, 5-50% acetonitrile/water) and freeze dried to provide 4-(((S)-1-(((4R,4aS,7aR,12bS)-4a-hydroxy-9-methoxy-3-methyl-2,3,4,4a,5,7a-hexahydro-1H-4,12-methanobenzofuro[3,2-e]isoquinolin-7-yl)oxy)-1-oxopropan-2-yl)oxy)-4-oxobutanoic acid trifluoroacetic acid salt (0.098 g, 52%) as a fluffy white solid:1H NMR (300 MHz, DMSO-d6) δ 12.25 (br s, 1H), 9.19 (s, 1H), 6.86 (d, J=8.4 Hz, 1H), 6.75 (d, J=8.4 Hz, 1H), 6.31 (br s, 1H), 5.59-5.57 (m, 1H), 5.11 (q, J=6.9 Hz, 1H), 4.99 (s, 1H), 3.75 (s, 3H), 3.65 (d, J=6.0 Hz, 2H), 3.43 (d, J=19.8 Hz, 1H), 3.14-3.31 (m, 2H), 2.84 (d, J=4.5 Hz, 3H), 2.62-2.60 (m, 3H), 2.48-2.40 (m, 2H), 2.29 (dd, J=17.7, 11.7 Hz, 1H), 2.06 (d, J=18.0 Hz, 1H), 1.65 (d, J=11.1 Hz, 1H), 1.49 (d, J=3.9 Hz, 3H); ESI MS m/z 488 [C25H29NO9+H]+; HPLC (Method A) 97.3% (AUC), tR=8.19 min.
Figure US10226456-20190312-C00571
Preparation of (S,2S,2′S)-4,4′-(((4R,4aS,7aR,12bS)-9-Methoxy-3-methyl-2,3,4,4a,5,7a-hexahydro-1H-4,12-methanobonzofuro[3,2-e]isoquinolino-4a,7-diyl)bis(oxy))bis(2-((S)-2-((tert-butoxycarbonyl)oxy)propanamido)-4-oxobutanoic acid)
Figure US10226456-20190312-C00572
A mixture of (2S,2′S)-4,4′-(((4R,4aS,7aR,12bS)-9-Methoxy-3-methyl-2,3,4,4a,5,7a-hexahydro-1H-4,12-methanobenzofuro[3,2-e]isoquinoline-4a,7-diyl)bis(oxy))bis(2-amino-4-oxobutanoic acid) tris(trifluoroacetic acid salt)(0.200 g, 0.225 mmol), (S)-2,5-dioxopyrrolidin-1-yl 2-((tert-butoxycarbonyl)oxy)propanoate (0.194 g, 0.676 mmol), and N,N-diisopropylethylamine (0.23 mL, 1.4 mmol) in methylene chloride (5 mL) was stirred at ambient temperature for 2 h. After this time, the reaction was concentrated under reduced pressure to give (S,2S,2′S)-4,4′-(((4R,4aS,7aR,12bS)-9-methoxy-3-methyl-2,3,4,4a,5,7a-hexahydro-1H-4,12-methanobenzofuro[3,2-e]isoquinoline-4a,7-diyl)bis(oxy))bis(2-((S)-2-((tert-butoxycarbonyl)oxy)propanamido)-4-oxobutanoic acid) (0.600 g, crude) as a white foam: ESI MS m/z 890 [C42H5N3O18+H]+.
Preparation of (S,2S,2′S)-4,4′-(((4R,4aS,7aR,12bS)-9-Methoxy-3-methyl-2,3,4,4a,5,7a-hexahydro-1H-4,12-methanobenzofuro[3,2-e]isoquinoline-4a,7-diyl)bis(oxy))bis(2-((S)-2-hydroxypropanamido)-4-oxobutanoic acid) trifluoroacetic acid salt
Figure US10226456-20190312-C00573
A solution of (S,2S,2′S)-4,4′-(((4R,4aS,7aR,12bS)-9-methoxy-3-methyl-2,3,4,4a,5,7a-hexahydro-1H-4,12-methanobenzofuro[3,2-e]isoquinoline-4a,7-diyl)bis(oxy))bis(2-((S)-2-((tert-butoxycarbonyl)oxy)propanamido)-4-oxobutanoic acid)(0.600 g, crude) in methylene chloride (6 mL) was treated with trifluoroacetic acid (3 mL) and stirred at ambient temperature for 1 h. After this time, the reaction mixture was concentrated under reduced pressure. The residue was purified by reversed phase chromatography (50 g C18 column, 5-20% acetonitrile/water, with 0.1% trifluoroacetic acid) and freeze dried to provide (S,2S,2′S)-4,4′-(((4R,4aS,7aR,12bS)-9-methoxy-3-methyl-2,3,4,4a,5,7a-hexahydro-1H-4,12-methanobenzofuro[3,2-e]isoquinoline-4a,7-diyl)bis(oxy))bis(2-((S)-2-hydroxypropanamido)-4-oxobutanoic acid)trifluoroacetic acid salt (0.0135 g, 7% over two steps) as a white solid:1H NMR (300 MHz, DMSO-d6) δ 12.96 (br s, 2H), 9.35 (br s, 1H), 8.03 (d, J=8.4 Hz, 1H), 7.93 (d, J=7.8 Hz, 1H), 6.89 (d, J=8.1 Hz, 1H), 6.77 (d, J=8.4 Hz, 1H), 5.68 (br s, 2H), 5.44-5.42 (m, 1H), 5.03 (s, 1H), 4.69-4.62 (m, 3H), 4.03-3.97 (m, 2H), 3.76 (s, 3H), 3.28-3.13 (m, 1H), 3.16-3.07 (m, 2H), 3.04-2.82 (m, 8H), 2.73-2.63 (m, 2H), 2.11 (d, J=18.3 Hz, 1H), 1.76 (d, J=12.9 Hz, 1H), 1.20 (d, J=9.0 Hz, 6H); ESI MS m/z 690 [C32H39N3O14+H]+;HPLC (Method A) 83.1% (AUC), tR=7.13 min.
Figure US10226456-20190312-C00574
Preparation of (S)-4-tert-Butyl 1-(2,5-dioxopyrrolidin-1-yl) 2-((tert-butoxycarbonyl)oxy)succinate
Figure US10226456-20190312-C00575
A mixture of (S)-4-(tert-butoxy)-2-((tert-butoxycarbonyl)oxy)-4-oxobutanoic acid (2.70 g, 9.31 mmol) and N-hydroxysuccinimide (1.25 g, 10.9 mmol) in tetrahydrofuran (50 mL) at 0° C. was treated with N,N′-dicyclohexylcarbodiimide (2.20 g, 10.7 mmol). The ice bath was removed, and the reaction mixture was stirred at ambient temperature for 4 h. After this time, diethyl ether (100 mL) was added, and the mixture was filtered. The filtrate was concentrated under reduced pressure to provide (S)-4-tert-butyl 1-(2,5-dioxopyrrolidin-1-yl) 2-((tert-butoxycarbonyl)oxy)succinate (3.78 g) that was used without purification:1H NMR (300 MHz, CDCl3) δ 5.61 (dd, J=8.0, 4.8 Hz, 1H), 2.98-2.93 (m, 2H), 2.84 (s, 4H), 1.51 (s, 9H), 1.47 (s, 9H).
Preparation of (S)-2-(((S)-4-(tert-Butoxy)-2-((tert-butoxycarbonyl)oxy)-4-oxobutanoyl)oxy)propanoic acid
Figure US10226456-20190312-C00576
A mixture of (S)-4-tert-butyl 1-(2,5-dioxopyrrolidin-1-yl) 2-((tert-butoxycarbonyl)oxy)succinate (3.38 g, 8.73 mmol), (S)-2-hydroxypropanoic acid (1.20 g, 13.3 mmol), pyridine (1.1 mL, 14 mmol), and 4-dimethylaminopyridine (100 mg, 0.8 mmol) in tetrahydrofuran (40 mL) was stirred at reflux for 18 h. After this time, the mixture was cooled to room temperature, partially concentrated under reduced pressure, diluted with ethyl acetate, and washed with 10% citric acid. The organic layer was extracted with saturated sodium bicarbonate. The aqueous extract was carefully treated with 2N hydrochloric acid until acidic by pH paper analysis, and then extracted with ethyl acetate. The organic extracts were dried over sodium sulfate, filtered, and concentrated under reduced pressure to give (S)-2-(((S)-4-(tert-butoxy)-2-((tert-butoxycarbonyl)oxy)-4-oxobutanoyl)oxy)propanoic acid (1.58 g, 50%):1H NMR (300 MHz, CDCl3) δ 5.37-5.22 (m, 2H), 2.96-2.82 (m, 2H), 1.57 (d, J=7.1 Hz, 3H), 1.49 (s, 9H), 1.46 (s, 9H), CO2H proton not observed.
Preparation of (S)-4-tert-Butyl 1-((S)-1-((2,5-dioxopyrrolidin-1-yl)oxy)-1-oxopropan-2-yl) 2-((tert-butoxycarbonyl)oxy)succinate
Figure US10226456-20190312-C00577
A mixture of (S)-2-(((S)-4-(tert-butoxy)-2-((tert-butoxycarbonyl)oxy)-4-oxobutanoyl)oxy)propanoic acid (1.58 g, 4.36 mmol) and N-hydroxysuccinimide (550 mg, 4.78 mmol) in tetrahydrofuran (30 mL) at 0° C. was treated with N,N′-dicyclohexylcarbodiimide (990 mg, 4.80 mmol). The ice bath was removed, and the reaction mixture was stirred at ambient temperature for 4 h. After this time, diethyl ether (30 mL) was added, and the mixture was filtered. The filtrate was concentrated under reduced pressure to provide (S)-4-tert-butyl 1-((S)-1-((2,5-dioxopyrrolidin-1-yl)oxy)-1-oxopropan-2-yl) 2-((tert-butoxycarbonyl)oxy)succinate (2.2 g) that was used without purification:1H NMR (300 MHz, CDCl3) δ 5.56 (q, J=7.1 Hz, 1H), 3.37 (dd, J=8.8, 3.9 Hz, 1H), 2.98-2.93 (m, 2H), 2.84 (s, 4H), 1.72 (d, J=7.1 Hz, 3H), 1.50 (s, 9H), 1.46 (s, 9H).
Preparation of (S)-4-tert-Butyl 1-((S)-1-(((4R,4aS,7aR,12bS)-4a-hydroxy-9-methoxy-3-methyl-2,3,4,4a,5,7a-hexahydro-1H-4,12-methanobenzofuro[3,2-e]isoquinolin-7-yl)oxy)-1-oxopropan-2-yl) 2-((tert-butoxycarbonyl)oxy)succinate
Figure US10226456-20190312-C00578
A suspension of oxycodone (0.550 g, 1.75 mmol) in tetrahydrofuran (5 mL) was cooled in an ice bath and treated with a 1.0 M solution of potassium tert-butoxide in tetrahydrofuran (1.95 mL, 1.95 mmol). After addition was complete, the mixture was stirred under a nitrogen atmosphere in the ice bath for 25 min and at ambient temperature for 25 min. The solution was re-cooled in a dry ice/acetone bath, and the mixture was treated with a solution of (S)-4-tert-butyl 1-((S)-1-((2,5-dioxopyrrolidin-1-yl)oxy)-1-oxopropan-2-yl) 2-((tert-butoxycarbonyl)oxy)succinate (0.900 g, 1.96 mmol) in tetrahydrofuran (5 mL). The temperature was allowed to slowly increase to 0° C. over 2 h. After this time, the reaction mixture was treated with saturated aqueous ammonium chloride (50 mL) and extracted with ethyl acetate (2×50 mL). The combined organics were washed with saturated sodium bicarbonate (50 mL) and brine (50 mL), dried over sodium sulfate, filtered, and concentrated under reduced pressure. The crude residue was purified by reversed phase column chromatography (150 g C18 column, 5-100% acetonitrile/water) and freeze dried to provide (S)-4-tert-butyl 1-((S)-1-(((4R,4aS,7aR,12bS)-4a-hydroxy-9-methoxy-3-methyl-2,3,4,4a,5,7a-hexahydro-1H-4,12-methanobenzofuro[3,2-e]isoquinolin-7-yl)oxy)-1-oxopropan-2-yl) 2-((tert-butoxycarbonyl)oxy)succinate (273 mg, 24%) as a white solid: ESI MS m/z 660 [C34H45NO12+H]+.
Preparation of (S)-3-Hydroxy-4-(((S)-1-(((4R,4aS,7aR,12bS)-4a-Hydroxy-9-methoxy-3-methyl-2,3,4,4a,5,7a-hexahydro-1H-4,12-methanobenzofuro[3,2-e]isoquinolin-7-yl)oxy)-1-oxopropan-2-yl)oxy)-4-oxobutanoic acid trifluoroacetic acid salt
Figure US10226456-20190312-C00579
A solution of (S)-4-tert-butyl 1-((S)-1-(((4R,4aS,7aR,12bS)-4a-hydroxy-9-methoxy-3-methyl-2,3,4,4a,5,7a-hexahydro-1H-4,12-methanobenzofuro[3,2-e]isoquinolin-7-yl)oxy)-1-oxopropan-2-yl) 2-((tert-butoxycarbonyl)oxy)succinate (0.260 g, 0.390 mmol) in methylene chloride (6 mL) was treated with trifluoroacetic acid (3 mL) and stirred at ambient temperature for 1 h. After this time, the reaction mixture was concentrated under reduced pressure. The crude residue was purified by reversed phase column chromatography (50 g C18 column, 5-50% acetonitrile/water) and freeze dried to provide (S)-3-hydroxy-4-(((S)-1-(((4R,4aS,7aR,12bS)-4a-hydroxy-9-methoxy-3-methyl-2,3,4,4a,5,7a-hexahydro-1H-4,12-methanobenzofuro[3,2-e]isoquinolin-7-yl)oxy)-1-oxopropan-2-yl)oxy)-4-oxobutanoic acid trifluoroacetic acid salt (0.122 g, 62%) as a white solid:1H NMR (300 MHz, DMSO-d6) δ 12.36 (br s, 1H), 9.19 (br s, 1H), 6.86 (d, J=8.4 Hz, 1H), 6.75 (d, J=8.4 Hz, 1H), 6.31 (s, 1H), 5.83 (br s, 1H), 5.60-5.58 (m, 1H), 5.18 (q, J=16.2 Hz, 1H), 5.00 (s, 1H), 4.73 (dd, J=8.7, 3.9 Hz, 1H), 3.75 (s, 3H), 3.65 (d, J=6.3 Hz, 1H), 3.43 (d, J=20.1 Hz, 1H), 3.14-3.07 (m, 2H), 2.84 (d, J=4.8 Hz, 3H), 2.78-2.58 (m, 2H), 2.33-2.26 (m, 1H), 2.07 (d, J=17.7 Hz, 1H), 1.65 (d, J=11.4 Hz, 1H), 1.51 (d, J=7.2 Hz, 3H), one proton obscured by solvent peaks; ESI MS m/z 504 [C25H29NO10+H]+;HPLC (Method A) 98.6% (AUC), tR=7.62 min.
Figure US10226456-20190312-C00580
Preparation of (S)-2-((4-(tert-Butoxy)-4-oxobutanoyl)oxy)-2-phenylacetic acid
Figure US10226456-20190312-C00581
A mixture of tert-butyl (2,5-dioxopyrrolidin-1-yl) succinate (7.60 g, 28.0 mmol), (S)-2-hydroxy-2-phenylacetic acid (4.26 g, 28.0 mmol), pyridine (2.7 mL, 33.5 mmol), and 4-dimethylaminopyridine (200 mg, 1.6 mmol) in tetrahydrofuran (120 mL) was stirred at reflux for 48 h. After this time, the mixture was cooled to room temperature, partially concentrated under reduced pressure, diluted with ethyl acetate, and washed with 10% citric acid. The organic layer was extracted with saturated sodium bicarbonate. The aqueous extract was carefully treated with 2N hydrochloric acid until acidic by pH paper analysis, and then extracted with ethyl acetate. The organic extracts were dried over sodium sulfate, filtered, and concentrated to give (S)-2-((4-(tert-butoxy)-4-oxobutanoyl)oxy)-2-phenylacetic acid (6.00 g, 70%):1H NMR (300 MHz, CDCl3) δ 7.51-7.45 (m, 2H), 7.42-7.35 (m, 3H), 5.97 (s, 1H), 2.76-2.69 (m, 2H), 2.63-2.55 (m, 2H), 1.41 (s, 9H), CO2H proton not observed.
Preparation of (S)-tert-Butyl (2-((2,5-dioxopyrrolidin-1-yl)oxy)-2-oxo-1-phenylethyl) succinate
Figure US10226456-20190312-C00582
A mixture of (S)-2-((4-(tert-butoxy)-4-oxobutanoyl)oxy)-2-phenylacetic acid (6.00 g, 19.5 mmol) and N-hydroxysuccinimide (2.50 g, 21.7 mmol) in tetrahydrofuran (100 mL) at 0° C. was treated with N,N′-dicyclohexylcarbodiimide (4.45 g, 21.6 mmol). The ice bath was removed, and the reaction mixture was stirred at ambient temperature for 4 h. After this time, diethyl ether (100 mL) was added, and the mixture was filtered. The filtrate was concentrated under reduced pressure to provide (S)-tert-butyl (2-((2,5-dioxopyrrolidin-1-yl)oxy)-2-oxo-1-phenylethyl) succinate (8.33 g) that was used without purification:1H NMR (300 MHz, CDCl3) δ 7.57-7.51 (m, 2H), 7.46-7.40 (m, 3H), 6.35 (s, 1H), 2.80 (s, 4H), 2.77-2.71 (m, 2H), 2.63-2.56 (m, 2H), 1.41 (s, 9H).
Preparation of tert-butyl ((S)-2-(((4R,4aS,7aR,12bS)-4a-Hydroxy-9-methoxy-3-methyl-2,3,4,4a,5,7a-hexahydro-1H-4,12-methanobenzofuro[3,2-e]isoquinolin-7-yl)oxy)-2-oxo-1-phenylethyl) succinate
Figure US10226456-20190312-C00583
A suspension of oxycodone (0.600 g, 1.90 mmol) in tetrahydrofuran (6.0 mL) was cooled in an ice bath and treated dropwise with a 1.0 M solution of lithium bis(trimethylsilyl)amide in tetrahydrofuran (3.0 mL, 3.0 mmol). The mixture was stirred at 0° C. for 15 min and then treated dropwise with a solution of(S)-tert-butyl (2-((2,5-dioxopyrrolidin-1-yl)oxy)-2-oxo-1-phenylethyl) succinate (1.20 g, 3.04 mmol) in tetrahydrofuran (6 mL). The mixture was stirred at 0° C. for 1 h. After this time, the reaction mixture was treated with saturated aqueous ammonium chloride (100 mL) and extracted with ethyl acetate (3×100 mL). The combined organics were dried over sodium sulfate, filtered, and concentrated under reduced pressure. The crude residue was purified by reversed phase chromatography (150 g C18 column, 5-100% acetonitrile/water) and freeze dried to provide tert-butyl ((S)-2-(((4R,4aS,7aR,12bS)-4a-hydroxy-9-methoxy-3-methyl-2,3,4,4a,5,7a-hexahydro-1H-4,12-methanobenzofuro[3,2-e]isoquinolin-7-yl)oxy)-2-oxo-1-phenylethyl) succinate (0.540 g, 47%) as a colorless oil: ESI MS m/z 606 [C34H39NO9+H]+.
Preparation of 4-((R)-2-(((4R,4aS,7aR,12bS)-4a-Hydroxy-9-methoxy-3-methyl-2,3,4,4a,5,7a-hexahydro-1H-4,12-methanobenzofuro[3,2-e]isoquinolin-7-yl)oxy)-2-oxo-1-phenylethoxy)-4-oxobutanoic acid trifluoroacetic acid salt
Figure US10226456-20190312-C00584
A solution of tert-butyl ((R)-2-(((4R,4aS,7aR,12bS)-4a-hydroxy-9-methoxy-3-methyl-2,3,4,4a,5,7a-hexahydro-1H-4,12-methanobenzofuro[3,2-e]isoquinolin-7-yl)oxy)-2-oxo-1-phenylethyl) succinate (0.250 g, 0.413 mmol) in methylene chloride (6 mL) was treated with trifluoroacetic acid (3 mL) and stirred under a nitrogen atmosphere at ambient temperature for 1 h. After this time, the reaction mixture was concentrated under reduced pressure. The residue was purified by reversed phase column chromatography (50 g C18 column, 5-50% acetonitrile/water) and freeze dried to provide 4-((S)-2-(((4R,4aS,7aR,12bS)-4a-hydroxy-9-methoxy-3-methyl-2,3,4,4a,5,7a-hexahydro-1H-4,12-methanobenzofuro[3,2-e]isoquinolin-7-yl)oxy)-2-oxo-1-phenylethoxy)-4-oxobutanoic acid trifluoroacetic acid salt (0.100 mg, 44%) as a fluffy white solid:1H NMR (300 MHz, DMSO-d6) δ 12.28 (br s, 1H), 9.16 (br s, 1H), 7.56-7.54 (m, 2H), 7.50-7.45 (m, 3H), 6.81 (d, J=8.4 Hz, 1H), 6.72 (d, J=8.4 Hz, 1H), 6.31 (s, 1H), 6.10 (s, 1H), 5.55-5.53 (m, 1H), 4.95 (s, 1H), 3.64 (s, 3H), 3.41 (d, J=19.8 Hz, 1H), 3.14-3.05 (m, 2H), 2.83 (d, J=4.5 Hz, 3H), 2.69-2.66 (m, 3H), 2.56-2.49 (m, 2H), 2.45-2.40 (m, 1H), 2.30-2.22 (m, 1H), 2.05 (d, J=18.3 Hz, 1H), 1.62 (d, J=11.4 Hz, 1H); ESI MS m/z 550 [C30H31NO9+H]+; HPLC (Method A) 99.0% (AUC), tR=9.30 min.
Figure US10226456-20190312-C00585
Preparation of (S)-2-((S)-2-((tert-Butoxycarbonyl)oxy)-2-phenylacetoxy)propanoic acid
Figure US10226456-20190312-C00586
A solution of (S)-2,5-dioxopyrrolidin-1-yl 2-((tert-butoxycarbonyl)oxy)-2-phenylacetate (2.00 g, 5.73 mmol), lactic acid (627 mg, 6.96 mmol), and 4-dimethylaminopyridine (68 mg, 0.56 mmol) in tetrahydrofuran (25 mL) was treated with pyridine (0.56 g, 7.0 mmol) and heated at 50° C. under a nitrogen atmosphere for 16 h. After this time, the reaction mixture was cooled to room temperature and concentrated under reduced pressure. The residue was dissolved in ethyl acetate (50 mL) and washed with aqueous 10% citric acid (2×25 mL) and water (25 mL). The organic layer was extracted with saturated aqueous sodium bicarbonate (2×25 mL). The combined aqueous bicarbonate layers were acidified to pH ˜2 with 6 N hydrochloric acid and extracted with ethyl acetate (4×25 mL). The combined organics were dried over sodium sulfate, filtered, and concentrated under reduced pressure to provide (S)-2-((S)-2-((tert-butoxycarbonyl)oxy)-2-phenylacetoxy)propanoic acid (1.42 g, 76%) as a colorless oil:1H NMR (300 MHz, CDCl3) δ 7.52-7.48 (m, 2H), 7.40-7.37 (m, 3H), 5.85 (s, 1H), 5.23 (q, J=6.9 Hz, 1H), 1.56-1.44 (m, 12H), CO2H proton not observed; ESI MS m/z 647 [(2×C16H20O7)−H].
Preparation of (S)-2,5-Dioxopyrrolidin-1-yl 2-((S)-2-((tert-butoxycarbonyl)oxy)-2-phenylacetoxy)propanoate
Figure US10226456-20190312-C00587
A solution of (S)-2-((S)-2-((tert-butoxycarbonyl)oxy)-2-phenylacetoxy)propanoic acid (1.42 g, 4.36 mmol) in tetrahydrofuran (20 mL) was treated with N-hydroxysuccinimide (558 mg, 4.85 mmol) and N,N′-dicyclohexylcarbodiimide (997 mg, 4.83 mmol) and stirred under a nitrogen atmosphere for 2.5 h. After this time, the reaction mixture was filtered to remove the solid dicyclohexylurea byproduct. The solid was washed with diethyl ether, and the combined filtrate and washings were concentrated under reduced pressure to provide (S)-2,5-dioxopyrrolidin-1-yl 2-((S)-2-((tert-butoxycarbonyl)oxy)-2-phenylacetoxy)propanoate (2.02 g, quantitative) as a white crushable foam:1H NMR (300 MHz, CDCl3) δ 7.51-7.45 (m, 2H), 7.40-7.34 (m, 3H), 5.85 (s, 1H), 5.53 (q, J=6.9 Hz, 1H), 2.82 (br s, 4H), 1.69 (d, J=6.9 Hz, 3H), 1.51 (s, 9H).
Preparation of (S)-(4R,4aS,7aR,12bS)-4a-Hydroxy-9-methoxy-3-methyl-2,3,4,4a,5,7a-hexahydro-1H-4,12-methanobenzofuro[3,2-e]isoquinolin-7-yl 2-((S)-2-((tert-butoxycarbonyl)oxy)-2-phenylacetoxy)propanoate
Figure US10226456-20190312-C00588
A suspension of oxycodone (502 mg, 1.59 mmol) in tetrahydrofuran (6 mL) was cooled in an ice bath and treated dropwise with a 1.0 M solution of potassium tert-butoxide in tetrahydrofuran (1.9 mL, 1.9 mmol). After addition was complete, the mixture was stirred in the ice bath for 10 min and at ambient temperature for 5 min. The mixture was re-cooled in the ice bath and treated dropwise with a solution of (S)-2,5-dioxopyrrolidin-1-yl 2-((S)-2-((tert-butoxycarbonyl)oxy)-2-phenylacetoxy)propanoate (806 mg, 1.91 mmol) in tetrahydrofuran (6 mL). After addition was complete, the mixture was stirred at ambient temperature for 10 min. After this time, the reaction mixture was re-cooled in the ice bath and treated with saturated aqueous ammonium chloride (50 mL) and extracted with ethyl acetate (2×50 mL). The combined organics were washed with saturated sodium bicarbonate (25 mL) and brine (25 mL), dried over sodium sulfate, filtered, and concentrated under reduced pressure. The crude residue was purified by column chromatography (silica gel, 0-10% methanol/methylene chloride) followed by reversed phase column chromatography (50 g C18 column, 20-100% acetonitrile/water) and freeze dried to provide (S)-(4R,4aS,7aR,12bS)-4a-hydroxy-9-methoxy-3-methyl-2,3,4,4a,5,7a-hexahydro-1H-4,12-methanobenzofuro[3,2-e]isoquinolin-7-yl 2-((S)-2-((tert-butoxycarbonyl)oxy)-2-phenylacetoxy)propanoate (53 mg, 5%) as a fluffy white solid: ESI MS m/z 622 [C34H39NO10+H]+.
Preparation of (S)-(4R,4aS,7aR,12bS)-4a-Hydroxy-9-methoxy-3-methyl-2,3,4,4a,5,7a-hexahydro-1H-4,12-methanobenzofuro[3,2-e]isoquinolin-7-yl 2-((S)-2-hydroxy-2-phenylacetoxy)propanoate trifluoroacetic acid salt
Figure US10226456-20190312-C00589
A solution of (S)-(4R,4aS,7aR,12bS)-4a-hydroxy-9-methoxy-3-methyl-2,3,4,4a,5,7a-hexahydro-1H-4,12-methanobenzofuro[3,2-e]isoquinolin-7-yl 2-((S)-2-((tert-butoxycarbonyl)oxy)-2-phenylacetoxy)propanoate (53 mg, 0.085 mmol) in methylene chloride (2 mL) was treated with trifluoroacetic acid (0.5 mL) and stirred under a nitrogen atmosphere at ambient temperature for 20 min. After this time, the reaction mixture concentrated under reduced pressure. The residue was purified by reversed phase column chromatography (50 g C18 column, 10-70% acetonitrile/water) and freeze dried to provide (S)-(4R,4aS,7aR,12bS)-4a-hydroxy-9-methoxy-3-methyl-2,3,4,4a,5,7a-hexahydro-1H-4,12-methanobenzofuro[3,2-e]isoquinolin-7-yl 2-((S)-2-hydroxy-2-phenylacetoxy)propanoate trifluoroacetic acid salt (24 mg, 45%) as a fluffy white solid:1H NMR (300 MHz, DMSO-d6) δ 9.17 (br s, 1H), 7.46-7.42 (m, 2H), 7.37-7.27 (m, 3H), 6.85 (d, J=8.4 Hz, 1H), 6.74 (d, J=8.1 Hz, 1H), 6.26 (s, 1H), 6.15 (d, J=5.4 Hz, 1H), 5.50-5.48 (m, 1H), 5.23-5.16 (m, 1H), 4.84 (s, 1H), 3.72 (s, 3H), 3.64 (br s, 1H), 3.42 (d, J=20.1 Hz, 1H), 3.15-3.06 (m, 2H), 2.84 (s, 3H), 2.64-2.57 (m, 1H), 2.49-2.40 (m, 1H, partially obscured by solvent peak), 2.34-2.23 (m, 1H), 2.04 (apparent d, J=18.3 Hz, 1H), 1.62 (d, J=8.7 Hz, 1H), 1.48 (d, J=6.9 Hz, 3H); ESI MS m/z 522 [C2H31NO8+H]+.
Figure US10226456-20190312-C00590
Preparation of (S,Z)-2-(Oleoyloxy)-2-phenylacetic acid
Figure US10226456-20190312-C00591
A solution of oleoyl chloride (2.13 g, 7.08 mmol) in methylene chloride (35 mL) was cooled in an ice bath and treated with (S)-mandelic acid (1.08 g, 7.08 mmol) and N,N-diisopropylethylamine (2.75 g, 21.2 mmol) and stirred under a nitrogen for 5 h. After this time, 10% aqueous citric acid (100 mL) was added, and the resulting mixture was extracted with ethyl acetate (2×100 mL). The combined organics were washed with brine (100 mL), dried over sodium sulfate, filtered, and concentrated under reduced pressure. The residue was purified by column chromatography (80 g silica gel column, 0-50% ethyl acetate/heptane) to provide of (S,Z)-2-(oleoyloxy)-2-phenylacetic acid (1.26 g, 42%) as a white solid:1H NMR (300 MHz, DMSO-d6) δ 7.50-7.46 (m, 2H), 7.41-7.37 (m, 3H), 5.95 (s, 1H), 5.36-5.32 (m, 2H), 2.47 (m, 2H), 1.99 (m, 4H), 1.66 (m, 2H), 1.27 (m, 20H), 0.87 (t, J=6.6 Hz, 3H),CO2H proton not observed.
Preparation of (S)-2-((2,5-Dioxopyrrolidin-1-yl)oxy)-2-oxo-1-phenylethyl oleate
Figure US10226456-20190312-C00592
A solution of (S,Z)-2-(oleoyloxy)-2-phenylacetic acid (1.26 g, 3.02 mmol) in tetrahydrofuran (30 mL) was treated with N-hydroxysuccinimide (383 mg, 3.33 mmol) and N,N′-dicyclohexylcarbodiimide (686 mg, 3.33 mmol) and stirred under a nitrogen atmosphere for 5 h. After this time, the reaction mixture was filtered to remove the solid dicyclohexylurea byproduct. The solid was washed with diethyl ether (100 mL), and the combined filtrate and washings were concentrated under reduced pressure. The residue was triturated with diethyl ether to provide (S)-2-((2,5-dioxopyrrolidin-1-yl)oxy)-2-oxo-1-phenylethyl oleate (1.68 g) as a white solid:1H NMR (300 MHz, CDCl3) δ 7.61-7.53 (m, 2H), 7.46-7.42 (m, 3H), 6.34 (s, 1H), 5.36-5.32 (m, 2H), 2.87 (s, 4H), 2.45 (m, 2H), 1.99 (m, 4H), 1.66 (m, 2H), 1.27 (m, 20H), 0.88 (t, J=6.6 Hz, 3H).
Preparation of (S)-2-(((4R,4aS,7aR,12bS)-4a-Hydroxy-9-methoxy-3-methyl-2,3,4,4a,5,7a-hexahydro-1H-4,12-methanobenzofuro[3,2-e]isoquinolin-7-yl)oxy)-2-oxo-1-phenylethyl oleate trifluoroacetic acid salt
Figure US10226456-20190312-C00593
A suspension of oxycodone (461 mg, 1.46 mmol) in tetrahydrofuran (7 mL) was cooled in an ice bath and treated dropwise with a 1.0 M solution of potassium tert-butoxide in tetrahydrofuran (1.8 mL, 1.8 mmol). After addition was complete, the mixture was stirred in the ice bath for 45 min. The ice bath was replaced with an ice/brine bath, and the mixture was treated dropwise with a suspension of (S)-2-((2,5-dioxopyrrolidin-1-yl)oxy)-2-oxo-1-phenylethyl oleate (900 mg, 1.75 mmol) in tetrahydrofuran (7 mL). The mixture was stirred in the ice/brine bath under a nitrogen atmosphere for 45 min. After this time, the reaction mixture was treated with saturated aqueous ammonium chloride (50 mL) and extracted with ethyl acetate (2×50 mL). The combined organics were washed with saturated sodium bicarbonate (50 mL), water (50 mL), and brine (50 mL); dried over sodium sulfate; filtered; and concentrated under reduced pressure. The crude residue was purified by column chromatography (silica gel, 0-10% methanol/methylene chloride) followed by reversed phase column chromatography (150 g C18 column, 50-100% acetonitrile/water with 0.1% trifluoroacetic acid) and freeze dried to provide (S)-2-(((4R,4aS,7aR,12bS)-4α-hydroxy-9-methoxy-3-methyl-2,3,4,4a,5,7a-hexahydro-1H-4,12-methanobenzofuro[3,2-e]isoquinolin-7-yl)oxy)-2-oxo-1-phenylethyl oleate trifluoroacetic acid salt (265 mg, 22%) as a white solid:1H NMR (300 MHz, DMSO-d6, Mixture of diastereomers) δ 9.17 (br s, 1H), 7.56-7.53 (m, 2H), 7.46-7.44 (m, 3H), 6.85-6.79 (m, 1H), 6.75-6.71 (m, 1H), 6.29 (s, 1H), 6.09 (s, 0.49H), 6.07 (s, 0.51H), 5.53 (dd, J=6.0, 2.1 Hz, 0.49H), 5.45 (dd, J=6.0, 2.1 Hz, 0.51H), 5.33-5.30 (m, 2H), 4.94 (s, 0.49H), 4.90 (s, 0.51H), 3.71 (s, 1.47H), 3.64 (br s, 2.53H), 3.45-3.38 (m, 1H), 3.13-3.05 (m, 2H), 2.82 (s, 3H), 2.64-2.55 (m, 1H), 2.49-2.40 (m, 3H, partially obscured by solvent peak), 2.28-2.22 (m, 1H), 2.07-1.96 (m, 5H), 1.64-1.54 (m, 3H), 1.32-1.24 (m, 20H), 0.84 (t, J=6.6 Hz, 3H); ESI MS m/z 714 [C44H59NO7+H]4; HPLC (Method A)>99% (AUC), tR=16.02 min.
Figure US10226456-20190312-C00594
Preparation of (S)-2-Phenyl-2-(stearoyloxy)acetic acid
Figure US10226456-20190312-C00595
A solution of stearoyl chloride (364 mg, 1.20 mmol) in methylene chloride (5 mL) was cooled in an ice bath and treated with (S)-mandelic acid (182 mg, 1.20 mmol) and N,N-diisopropylethylamine (465 mg, 3.60 mmol) and stirred under a nitrogen atmosphere for 16 h. After this time, 10% aqueous citric acid (10 mL) was added, and the resulting mixture was extracted with ethyl acetate (2×20 mL). The combined organics were washed with brine (50 mL), dried over sodium sulfate, filtered, and concentrated under reduced pressure. The residue was purified by column chromatography (40 g silica gel column, 0-100% ethyl acetate/heptane) to provide of (S)-2-phenyl-2-(stearoyloxy)acetic acid (140 mg, 28%) as a white solid:1H NMR (300 MHz, DMSO-d6) δ 7.51-7.47 (m, 2H), 7.42-7.39 (m, 3H), 5.97 (s, 1H), 2.45 (m, 2H), 1.68 (m, 3H), 1.27 (m, 28H), 0.88 (t, J=6.6 Hz, 3H).
Preparation of (S)-2-((2,5-Dioxopyrrolidin-1-yl)oxy)-2-oxo-1-phenylethyl stearate
Figure US10226456-20190312-C00596
A solution of (S)-2-phenyl-2-(stearoyloxy)acetic acid (140 mg, 0.334 mmol) in tetrahydrofuran (3 mL) was treated with N-hydroxysuccinimide (42 mg, 0.368 mmol) and N,N′-dicyclohexylcarbodiimide (76 mg, 0.368 mmol) and stirred under a nitrogen atmosphere for 5 h. After this time, the reaction mixture was filtered to remove the solid dicyclohexylurea byproduct. The solid was washed with diethyl ether (100 mL), and the combined filtrate and washings were concentrated under reduced pressure. The residue was triturated with diethyl ether to provide (S)-2-((2,5-dioxopyrrolidin-1-yl)oxy)-2-oxo-1-phenylethyl stearate (191 mg) as a white powder:1H NMR (300 MHz, CDCl3) δ 7.56-7.53 (m, 2H), 7.46-7.43 (m, 3H), 6.34 (s, 1H), 2.81 (s, 4H), 2.46 (m, 2H), 1.68 (m, 2H), 1.24 (m, 28H), 0.88 (t, J=6.6 Hz, 3H).
Preparation of (S)-2-(((4R,4aS,7aR,12bS)-4a-Hydroxy-9-methoxy-3-methyl-2,3,4,4a,5,7a-hexahydro-1H-4,12-methanobenzofuro[3,2-e]isoquinolin-7-yl)oxy)-2-oxo-1-phenylethyl stearate trifluoroacetic acid salt
Figure US10226456-20190312-C00597
A suspension of oxycodone (515 mg, 1.63 mmol) in tetrahydrofuran (9 mL) was cooled in an ice bath and treated dropwise with a 1.0 M solution of potassium tert-butoxide in tetrahydrofuran (2.0 mL, 2.0 mmol). After addition was complete, the mixture was stirred in the ice bath for 45 min. The ice bath was replaced with an ice/brine bath, and the mixture was treated dropwise with a suspension of (S)-2-((2,5-dioxopyrrolidin-1-yl)oxy)-2-oxo-1-phenylethyl stearate (1.01 g, 1.96 mmol) in tetrahydrofuran (7 mL). The mixture was stirred in the ice/brine bath under a nitrogen atmosphere for 45 min. After this time, the reaction mixture was treated with saturated aqueous ammonium chloride (50 mL) and extracted with ethyl acetate (2×50 mL). The combined organics were washed with saturated sodium bicarbonate (50 mL), water (50 mL), and brine (50 mL); dried over sodium sulfate; filtered; and concentrated under reduced pressure. The crude residue was purified by column chromatography (silica gel, 0-10% methanol/methylene chloride) followed by reversed phase column chromatography (150 g C18 column, 50-100% acetonitrile/water with 0.1% trifluoroacetic acid) and freeze dried to (S)-2-(((4R,4aS,7aR,12bS)-4a-hydroxy-9-methoxy-3-methyl-2,3,4,4a,5,7a-hexahydro-1H-4,12-methanobenzofuro[3,2-e]isoquinolin-7-yl)oxy)-2-oxo-1-phenylethyl stearate trifluoroacetic acid salt (430 mg, 32%) as a white solid:1H NMR (300 MHz, DMSO-d6, Mixture of diastereomers) δ 9.17 (br s, 1H), 7.56-7.53 (m, 2H), 7.46-7.44 (m, 3H), 6.86-6.80 (m, 1H), 6.75-6.71 (m, 1H), 6.30 (br s, 1H), 6.09 (s, 0.51H), 6.07 (s, 0.49H), 5.53 (dd, J=6.0, 2.1 Hz, 0.51H), 5.45 (dd, J=6.0, 2.1 Hz, 0.49H), 4.94 (s, 0.51H), 4.90 (s, 0.49H), 3.71 (s, 1.53H), 3.64 (br s, 2.47H), 3.45-3.35 (m, 1H), 3.13-3.05 (m, 2H), 2.83 (apparent d, J=4.5 Hz, 3H), 2.67-2.55 (m, 1H), 2.49-2.40 (m, 3H, partially obscured by solvent peak), 2.30-2.22 (m, 1H), 2.08-2.01 (m, 1H), 1.64-1.51 (m, 3H), 1.32-1.23 (m, 28H), 0.85 (t, J=6.6 Hz, 3H);ESI MS m/z 716 [C44H61NO7+H]+; HPLC (Method A) 99.0% (AUC), tR=16.53 min.
Figure US10226456-20190312-C00598
Preparation of (S)-2-(Stearoyloxy)propanoic acid
Figure US10226456-20190312-C00599
A solution of stearic acid (5.02 g, 17.6 mmol) and benzotriazole (2.31 g, 19.4 mmol) in tetrahydrofuran (80 mL) was treated with N,N′-dicyclohexylcarbodiimide (4.00 g, 19.4 mmol) and stirred under a nitrogen atmosphere for 5.5 h. After this time, the reaction mixture was filtered to remove the solid dicyclohexylurea byproduct, and the solids were washed with diethyl ether. The combined filtrate and washings were concentrated. The residue was dissolved in tetrahydrofuran (90 mL) and cooled in an ice bath. The mixture was treated with lactic acid (1.61 g, 17.9 mmol) and 4-dimethylaminopyridine (2.18 g, 17.8 mmol), and the ice bath was removed. The mixture was stirred at ambient temperature under a nitrogen atmosphere for 40 h. After this time, the reaction mixture was concentrated under reduced pressure. The residue was dissolved in ethyl acetate (250 mL) and washed with aqueous 10% citric acid (2×100 mL) and water (100 mL). The organic layer was extracted with saturated aqueous sodium bicarbonate (2×100 mL). The combined aqueousbicarbonate layers were acidified to pH ˜1 with 6 N hydrochloric acid and extracted with ethyl acetate (2×100 mL). The combined organics were dried over sodium sulfate, filtered, and concentrated under reduced pressure. The residue was dissolved/suspended in heptanes (100 mL), filtered to remove undissolved solids, washed with aqueous 10% citric acid (50 mL), dried over sodium sulfate, filtered, and concentrated under reduced pressure to provide (S)-2-(stearoyloxy)propanoic acid (4.86 g, 77%) as a colorless oil:1H NMR (300 MHz, CDCl3) δ 5.12 (q, J=7.2 Hz, 1H), 2.41-2.32 (m, 2H), 1.67-1.52 (m, 5H), 1.31-1.27 (m, 28H), 0.88 (t, J=6.3 Hz, 3H), CO2H proton not observed.
Preparation of (S)-1-((2,5-Dioxopyrrolidin-1-yl)oxy)-1-oxopropan-2-yl stearate
Figure US10226456-20190312-C00600
A solution of (S)-2-(stearoyloxy)propanoic acid (4.85 g, 13.6 mmol) in tetrahydrofuran (80 mL) was treated with N-hydroxysuccinimide (1.57 mg, 13.6 mmol) and N,N′-dicyclohexylcarbodiimide (2.80 g, 13.6 mmol) and stirred under a nitrogen atmosphere for 1.5 h. After this time, the reaction mixture was filtered to remove the solid dicyclohexylurea byproduct. The solid was washed with diethyl ether, and the combined filtrate and washings were concentrated under reduced pressure to provide (S)-1-((2,5-dioxopyrrolidin-1-yl)oxy)-1-oxopropan-2-yl stearate (6.69 g, quantitative) as a white crushable foam:1H NMR (300 MHz, CDCl3) δ 5.42 (q, J=7.2 Hz, 1H), 2.84 (br s, 4H), 2.42-2.37 (m, 2H), 1.73-1.53 (m, 5H), 1.31-1.27 (m, 28H), 0.88 (t, J=6.3 Hz, 3H).
Preparation of (S)-1-(((4R,4aS,7aR,12bS)-4a-Hydroxy-9-methoxy-3-methyl-2,3,4,4a,5,7a-hexahydro-1H-4,12-methanobenzofuro[3,2-e]isoquinolin-7-yl)oxy)-1-oxopropan-2-yl stearate trifluoroacetic acid salt
Figure US10226456-20190312-C00601
A suspension of oxycodone (582 mg, 1.85 mmol) in tetrahydrofuran (9 mL) was cooled in an ice bath and treated dropwise with a 1.0 M solution of potassium tert-butoxide in tetrahydrofuran (2.3 mL, 2.3 mmol). After addition was complete, the mixture was stirred in the ice bath for 45 min. The ice bath was replaced with an ice/brine bath, and the mixture was treated dropwise with a solution of (S)-1-((2,5-dioxopyrrolidin-1-yl)oxy)-1-oxopropan-2-yl stearate (1.01 g, 2.23 mmol) in tetrahydrofuran (9 mL). The mixture was stirred in the ice/brine bath under a nitrogen atmosphere for 20 min. After this time, the reaction mixture was treated with saturated aqueous ammonium chloride (50 mL) and extracted with ethyl acetate (2×50 mL). The combined organics were washed with saturated sodium bicarbonate (50 mL) and brine (50 mL), dried over sodium sulfate, filtered, and concentrated under reduced pressure. The crude residue was purified by column chromatography (silica gel, 0-10% methanol/methylene chloride) followed by reversed phase column chromatography (150 g C18 column, 50-100% acetonitrile/water with 0.1% trifluoroacetic acid) and freeze dried to provide (S)-1-(((4R,4aS,7aR,12bS)-4a-hydroxy-9-methoxy-3-methyl-2,3,4,4a,5,7a-hexahydro-1H-4,12-methanobenzofuro[3,2-e]isoquinolin-7-yl)oxy)-1-oxopropan-2-yl stearate trifluoroacetic acid salt (94 mg, 8%) as a white solid:1H NMR (300 MHz, DMSO-d6) δ 9.17 (br s, 1H), 6.85 (d, J=8.4 Hz, 1H), 6.75 (d, J=8.4 Hz, 1H), 6.29 (br s, 1H), 5.58 (dd, J=5.7, 1.8 Hz, 1H), 5.10 (q, J=6.9 Hz, 1H), 4.99 (s, 1H), 3.75 (s, 3H), 3.64 (br s, 1H), 3.43 (d, J=19.5 Hz, 1H), 3.16-3.07 (m, 2H), 2.84 (s, 3H), 2.64-2.57 (m, 1H), 2.49-2.42 (m, 1H, partially obscured by solvent peak), 2.06 (d, J=18.0 Hz, 1H), 1.66-1.51 (m, 3H), 1.49 (d, J=6.9 Hz, 3H), 1.32-1.23 (m, 28H), 0.85 (t, J=6.6 Hz, 3H); ESI MS m/z 654 [C39H59NO7+H]+; HPLC (Method A) 97.4% (AUC), tR=16.31 min.
Figure US10226456-20190312-C00602
Preparation of (S,Z)-2-(Oleoyloxy)propanoic acid
Figure US10226456-20190312-C00603
A solution of oleic acid (5.04 g, 17.9 mmol) and benzotriazole (2.35 g, 19.8 mmol) in tetrahydrofuran (80 mL) was treated with N,N′-dicyclohexylcarbodiimide (4.13 g, 20.0 mmol) and stirred under a nitrogen atmosphere for 16 h. After this time, the reaction mixture was filtered to remove the solid dicyclohexylurea byproduct, and the solids were washed with diethyl ether. The combined filtrate and washings were concentrated. The residue was dissolved in tetrahydrofuran (75 mL) and cooled in an ice bath. The mixture was treated with (S)-lactic acid (1.62 g, 18.0 mmol) and 4-dimethylaminopyridine (2.20 g, 18.0 mmol), and the ice bath was removed. The mixture was stirred at ambient temperature under a nitrogen atmosphere for 40 h. After this time, the reaction mixture was concentrated under reduced pressure. The residue was dissolved in ethyl acetate (250 mL) and washed with aqueous 10% citric acid (2×100 mL), water (100 mL), and brine (100 mL). The organic layer was extracted with saturated aqueous sodium bicarbonate (2×100 mL). The combined aqueous bicarbonate layers were acidified to pH ˜1 with 6 N hydrochloric acid and extracted with ethyl acetate (2×100 mL). The combined organics were dried over sodium sulfate, filtered, and concentrated under reduced pressure. The residue was dissolved/suspended in heptanes (100 mL), washed with aqueous 10% citric acid (50 mL) and brine (50 mL), dried over sodium sulfate, filtered, and concentrated under reduced pressure to provide (S,Z)-2-(oleoyloxy)propanoic acid (4.50 g, 71%) as a colorless oil:1H NMR (300 MHz, CDCl3) δ 5.36-5.30 (m, 2H), 5.10 (q, J=5.4 Hz, 1H), 2.41-2.32 (m, 2H), 2.02-1.98 (m, 4H), 1.67-1.52 (m, 5H), 1.31-1.27 (m, 20H), 0.88 (t, J=6.3 Hz, 3H), CO2H proton not observed.
Preparation of (S)-1-((2,5-Dioxopyrrolidin-1-yl)oxy)-1-oxopropan-2-yl oleate
Figure US10226456-20190312-C00604
A solution of (S,Z)-2-(oleoyloxy)propanoic acid (4.50 g, 12.7 mmol) in tetrahydrofuran (60 mL) was treated with N-hydroxysuccinimide (1.58 mg, 13.8 mmol) and N,N′-dicyclohexylcarbodiimide (2.91 g, 14.1 mmol) and stirred under a nitrogen atmosphere for 1.5 h. After this time, the reaction mixture was filtered to remove the solid dicyclohexylurea byproduct. The solid was washed with diethyl ether, and the combined filtrate and washings were concentrated under reduced pressure to provide (S)-1-((2,5-dioxopyrrolidin-1-yl)oxy)-1-oxopropan-2-yl oleate (6.20 g, quantitative) as an amber semi-solid:1H NMR (300 MHz, CDCl3) δ 5.42 (q, J=7.2 Hz, 1H), 5.36-5.32 (m, 2H), 2.84 (br s, 4H), 2.42-2.37 (m, 2H), 2.02-1.98 (m, 4H), 1.72-1.53 (m, 5H), 1.30-1.27 (m, 20H), 0.88 (t, J=6.3 Hz, 3H).
Preparation of (S)-1-(((4R,4aS,7aR,12bS)-4a-Hydroxy-9-methoxy-3-methyl-2,3,4,4a,5,7a-hexahydro-1H-4,12-methanobenzofuro[3,2-e]isoquinolin-7-yl)oxy)-1-oxopropan-2-yl oleate trifluoroacetic acid salt
Figure US10226456-20190312-C00605
A suspension of oxycodone (0.50 g, 1.6 mmol) in tetrahydrofuran (5 mL) was cooled in an ice bath and treated with a 1.0 M solution of lithium bis(trimethylsilyl)amide in tetrahydrofuran (1.8 mL, 1.8 mmol). After addition was complete, the mixture was stirred under nitrogen atmosphere in the ice bath for 25 min and at ambient temperature for 25 min. The solution was re-cooled in a dry ice/acetone bath, and the mixture was treated with a solution of (S)-1-((2,5-dioxopyrrolidin-1-yl)oxy)-1-oxopropan-2-yl oleate (0.83 g, 1.8 mmol) in tetrahydrofuran (5 mL). The temperature was allowed to slowly increase to 0° C. over 2 h. After this time, the reaction mixture was treated with saturated aqueous ammonium chloride (50 mL) and extracted with ethyl acetate (2×50 mL). The combined organics were washed with saturated sodium bicarbonate (50 mL) and brine (50 mL), dried over sodium sulfate, filtered, and concentrated under reduced pressure. The crude residue was purified by column chromatography (silica gel, 0-10% methanol/methylene chloride) followed by reversed phase column chromatography (150 g C18 column, 50-100% acetonitrile/water with 0.1% trifluoroacetic acid) and freeze dried to provide (S)-1-(((4R,4aS,7aR,12bS)-4a-hydroxy-9-methoxy-3-methyl-2,3,4,4a,5,7a-hexahydro-1H-4,12-methanobenzofuro[3,2-e]isoquinolin-7-yl)oxy)-1-oxopropan-2-yl oleate trifluoroacetic acid salt (343 mg, 28%) as a white solid:1H NMR (300 MHz, DMSO-d6) δ 9.23 (br s, 1H), 6.85 (d, J=8.4 Hz, 1H), 6.75 (d, J=8.4 Hz, 1H), 6.39 (br s, 1H), 5.58-5.56 (m, 1H), 5.37-5.27 (m, 2H), 5.10 (q, J=6.9 Hz, 1H), 4.99 (s, 1H), 3.75 (s, 3H), 3.68 (d, J=6.0 Hz, 1H), 3.43 (d, J=19.8 Hz, 1H), 3.16-3.07 (m, 2H), 2.85 (s, 3H), 2.64-2.58 (m, 1H), 2.49-2.42 (m, 1H, partially obscured by solvent peak), 2.39-2.27 (m, 3H), 2.09-1.97 (m, 5H), 1.63 (d, J=11.7 Hz, 1H), 1.54-1.48 (m, 5H), 1.26-1.24 (m, 20H), 0.85 (t, J=6.3 Hz, 3H); ESI MS m/z 652 [C39H57NO7+H]+; HPLC (Method A) 95.8% (AUC), tR=15.64 min.
Figure US10226456-20190312-C00606
Preparation of (S)-4-tert-Butyl 1-((4R,4aS,7aR,12bS)-4a-hydroxy-9-methoxy-3-methyl-2,3,4,4a,5,7a-hexahydro-1H-4,12-methanobenzofuro[3,2-e]isoquinolin-7-yl) 2-((4-(tert-butoxy)-4-oxobutanoyl)oxy)succinate
Figure US10226456-20190312-C00607
A suspension of oxycodone (0.500 g, 1.59 mmol) in tetrahydrofuran (5 mL) was cooled in an ice bath and treated with a 1.0 M solution of lithium bis(trimethylsilyl)amide in tetrahydrofuran (1.9 mL, 1.9 mmol). After addition was complete, the mixture was stirred under a nitrogen atmosphere in the ice bath for 25 min and at ambient temperature for 25 min. The solution was re-cooled in a dry ice/acetone bath, and the mixture was treated with a solution of (S)-4-tert-butyl 1-(2,5-dioxopyrrolidin-1-yl) 2-((4-(tert-butoxy)-4-oxobutanoyl)oxy)succinate (0.89 g, 2.0 mmol) in tetrahydrofuran (5 mL). The temperature was allowed to slowly increase to 0° C. over 2 h. After this time, the reaction mixture was treated with saturated aqueous ammonium chloride (50 mL) and extracted with ethyl acetate (2×50 mL). The combined organics were washed with saturated sodium bicarbonate (50 mL) and brine (50 mL), dried over sodium sulfate, filtered, and concentrated under reduced pressure. The crude residue was purified by reversed phase column chromatography (150 g C18 column, 5-100% acetonitrile/water) and freeze dried to provide (S)-4-tert-butyl 1-((4R,4aS,7aR,12bS)-4a-hydroxy-9-methoxy-3-methyl-2,3,4,4a,5,7a-hexahydro-1H-4,12-methanobenzofuro[3,2-e]isoquinolin-7-yl) 2-((4-(tert-butoxy)-4-oxobutanoyl)oxy)succinate (195 mg, 19%) as a white solid: ESI MS m/z 644 [C34H45NO11+H]+.
Preparation of (S)-3-((3-Carboxypropanoyl)oxy)-4-(((4R,4aS,7aR,12bS)-4a-Hydroxy-9-methoxy-3-methyl-2,3,4,4a,5,7a-hexahydro-1H-4,12-methanobenzofuro[3,2-e]isoquinolin-7-yl)oxy)-4-oxobutanoic acidtrifluoroacetic acid salt
Figure US10226456-20190312-C00608
A solution of(S)-4-tert-butyl 1-((4R,4aS,7aR,12bS)-4a-hydroxy-9-methoxy-3-methyl-2,3,4,4a,5,7a-hexahydro-1H-4,12-methanobenzofuro[3,2-e]isoquinolin-7-yl) 2-((4-(tert-butoxy)-4-oxobutanoyl)oxy)succinate (0.195 g, 0.300 mmol) in methylene chloride (3 mL) was treated with trifluoroacetic acid (3 mL) and stirred under at ambient temperature for 1 h. After this time, the reaction mixture was concentrated under reduced pressure. The residue was purified twice by reversed phase column chromatography (50 g C18 column, 5-25% acetonitrile/water with 0.1% trifluoroacetic acid) and freeze dried to provide (S)-3-((3-carboxypropanoyl)oxy)-4-(((4R,4aS,7aR,12bS)-4a-hydroxy-9-methoxy-3-methyl-2,3,4,4a,5,7a-hexahydro-1H-4,12-methanobenzofuro[3,2-e]isoquinolin-7-yl)oxy)-4-oxobutanoic acid trifluoroacetic acid salt (0.056 g, 35%) as a white solid:1H NMR (300 MHz, DMSO-d6) δ 12.71 (br s, 1H), 12.32 (br s, 1H), 9.17 (br s, 1H), 6.85 (d, J=8.4 Hz, 1H), 6.75 (d, J=8.4 Hz, 1H), 6.30 (s, 1H), 5.59 (dd, J=5.7, 1.8 Hz, 1H), 5.42 (t, J=5.4 Hz, 1H), 4.96 (s, 1H), 3.75 (s, 3H), 3.65 (d, J=6.0 Hz, 1H), 3.16-3.07 (m, 3H), 2.90-2.84 (m, 5H), 2.73-2.59 (m, 3H), 2.33-2.25 (m, 1H), 2.07 (d, J=18.0 Hz, 1H), 1.64 (d, J=11.4 Hz, 1H), three protons obscured by solvent peaks; ESI MS m/z 532 [C26H29NO11+H]+.
Figure US10226456-20190312-C00609
Preparation of (S)-1-tert-Butyl 5-((4R,4aS,7aR,12bS)-4a-hydroxy-9-methoxy-3-methyl-2,3,4,4a,5,7a-hexahydro-1H-4,12-methanobenzofuro[3,2-e]isoquinolin-7-yl) 2-((tert-butoxycarbonyl)amino)pentanedioate
Figure US10226456-20190312-C00610
A suspension of oxycodone (0.450 g, 1.43 mmol) in tetrahydrofuran (6 mL) was cooled in an ice bath and treated with a 1.0 M solution of lithium bis(trimethylsilyl)amide in tetrahydrofuran (3.55 mL, 3.55 mmol). After addition was complete, the mixture was stirred under nitrogen atmosphere in the ice bath for 45 min and at ambient temperature for 20 min. The solution was re-cooled in an ice/brine bath, treated dropwise with a solution of (S)-1-tert-butyl 5-(2,5-dioxopyrrolidin-1-yl) 2-((tert-butoxycarbonyl)amino)pentanedioate (0.914 g, 2.28 mmol) in tetrahydrofuran (6 mL), and stirred for 2 h. After this time, the reaction mixture was treated with saturated aqueous ammonium chloride (75 mL) and extracted with ethyl acetate (3×100 mL). The combined organics were washed with saturated aqueous ammonium chloride (100 mL), saturated sodium bicarbonate (2×100 mL), and brine (2×100 mL); dried over sodium sulfate; filtered; and concentrated under reduced pressure. The crude residue was purified by reversed phase column chromatography (50 g C18 column, 5-100% acetonitrile/water) and freeze dried to provide (S)-1-tert-butyl 5-((4R,4aS,7aR,12bS)-4a-hydroxy-9-methoxy-3-methyl-2,3,4,4a,5,7a-hexahydro-1H-4,12-methanobenzofuro[3,2-e]isoquinolin-7-yl) 2-((tert-butoxycarbonyl)amino)pentanedioate (0.371 g, 43%) as a colorless oil: ESI MS m/z 601 [C32H44N2O9+H]+.
Preparation of (S)-2-Amino-5-(((4R,4aS,7aR,12bS)-4a-hydroxy-9-methoxy-3-methyl-2,3,4,4a,5,7a-hexahydro-1H-4,12-methanobenzofuro[3,2-e]isoquinolin-7-yl)oxy)-5-oxopentanoic acid bis(trifluoroacetic acid salt)
Figure US10226456-20190312-C00611
A solution of (S)-1-tert-butyl 5-((4R,4aS,7aR,12bS)-4a-hydroxy-9-methoxy-3-methyl-2,3,4,4a,5,7a-hexahydro-1H-4,12-methanobenzofuro[3,2-e]isoquinolin-7-yl) 2-((tert-butoxycarbonyl)amino)pentanedioate (0.371 g, 0.618 mmol) in methylene chloride (6 mL) was treated with trifluoroacetic acid (3 mL) and stirred under a nitrogen atmosphere at ambient temperature for 5 h. After this time, the reaction mixture was concentrated under reduced pressure and dried under vacuum to provide (S)-2-amino-5-(((4R,4aS,7aR,12bS)-4a-hydroxy-9-methoxy-3-methyl-2,3,4,4a,5,7a-hexahydro-1H-4,12-methanobenzofuro[3,2-e]isoquinolin-7-yl)oxy)-5-oxopentanoic acid bis(trifluoroacetic acid salt)(0.500 g, quantitative) as a colorless oil: ESI MS m/z 445 [C23H28N2O7+H]+.
Preparation of (S)-2-((S)-2-((tert-Butoxycarbonyl)oxy)propanamido)-5-(((4R,4aS,7aR,12bS)-4a-hydroxy-9-methoxy-3-methyl-2,3,4,4a,5,7a-hexahydro-1H-4,12-methanobenzofuro[3,2-e]isoquinolin-7-yl)oxy)-5-oxopentanoic acid
Figure US10226456-20190312-C00612
A mixture(S)-2-amino-5-(((4R,4aS,7aR,12bS)-4a-hydroxy-9-methoxy-3-methyl-2,3,4,4a,5,7a-hexahydro-1H-4,12-methanobenzofuro[3,2-e]isoquinolin-7-yl)oxy)-5-oxopentanoic acid bis(trifluoroacetic acid salt)(0.220 g, 0.406 mmol), (S)-2,5-dioxopyrrolidin-1-yl 2-((tert-butoxycarbonyl)oxy)propanoate (0.175 g, 0.609 mmol) and N,N-diisopropylethylamine (0.35 mL, 2.0 mmol) in methylene chloride (5 mL) was stirred at ambient temperature for 2 h. After this time, the reaction mixture was concentrated under reduced pressure to give(S)-2-((S)-2-((tert-butoxycarbonyl)oxy)propanamido)-5-(((4R,4aS,7aR,12bS)-4a-hydroxy-9-methoxy-3-methyl-2,3,4,4a,5,7a-hexahydro-1H-4,12-methanobenzofuro[3,2-e]isoquinolin-7-yl)oxy)-5-oxopentanoic acid (0.250 g, quantitative) as a colorless oil: ESI MS m/z 617 [C31H40N2O11+H]+.
Preparation of (S)-5-(((4R,4aS,7aR,12bS)-4a-Hydroxy-9-methoxy-3-methyl-2,3,4,4a,5,7a-hexahydro-1H-4,12-methanobenzofuro[3,2-e]isoquinolin-7-yl)oxy)-2-((S)-2-hydroxypropanamido)-5-oxopentanoic acid trifluoroacetic acid salt
Figure US10226456-20190312-C00613
A solution of (S)-2-((S)-2-((tert-butoxycarbonyl)oxy)propanamido)-5-(((4R,4aS,7aR,12bS)-4a-hydroxy-9-methoxy-3-methyl-2,3,4,4a,5,7a-hexahydro-1H-4,12-methanobenzofuro[3,2-e]isoquinolin-7-yl)oxy)-5-oxopentanoic acid (0.250 g, 0.406) in methylene chloride (4 mL) was treated with trifluoroacetic acid (2 mL) and stirred under a nitrogen atmosphere at ambient temperature for 1 h. After this time, the reaction mixture was concentrated under reduced pressure. The residue was purified by reversed phase column chromatography (50 g C18 column, 5-25% acetonitrile/water, with 0.1% trifluoroacetic acid) and freeze dried to provide (S)-5-(((4R,4aS,7aR,12bS)-4a-hydroxy-9-methoxy-3-methyl-2,3,4,4a,5,7a-hexahydro-1H-4,12-methanobenzofuro[3,2-e]isoquinolin-7-yl)oxy)-2-((S)-2-hydroxypropanamido)-5-oxopentanoic acid trifluoroacetic acid salt (0.067 g, 32%) as a white solid:1H NMR (300 MHz, DMSO-d6) δ 12.81 (br s, 1H), 9.17 (br s, 1H), 7.85 (d, J=8.1 Hz, 1H), 6.86 (d, J=8.4 Hz, 1H), 6.75 (d, J=8.1 Hz, 1H), 6.27 (s, 1H), 5.55-5.53 (m, 2H), 5.00 (s, 1H), 4.35-4.27 (m, 1H), 4.00 (q, J=6.9 Hz, 1H), 3.75 (s, 3H), 3.64 (d, J=6.0 Hz, 1H), 3.15-3.06 (m, 2H), 2.84 (d, J=4.2 Hz, 3H), 2.73-2.55 (m, 1H), 2.32-2.24 (m, 1H), 2.14-1.89 (m, 3H), 1.63 (d, J=11.4 Hz, 1H), 1.22 (d, J=6.9 Hz, 3H),four protons obscured by solvent peaks; ESI MS m/z 517 [C26H32N2O9+H]+;HPLC (Method A) 96.5% (AUC), tR=7.29 min.
Figure US10226456-20190312-C00614
Preparation of (S)-2-(((S)-2-Acetoxypropanoyl)oxy)-2-phenylacetic acid
Figure US10226456-20190312-C00615
(S)-Mandelic acid (553 mg, 3.63 mmol), (S)-2,5-dioxopyrrolidin-1-yl 2-acetoxypropanoate (1.00 g, 4.36 mmol), 4-(dimethylamino)pyridine (44 mg, 0.363 mmol), pyridine (345 mg, 4.36 mmol) and tetrahydrofuran (15 mL) were combined and heated at 60° C. under a nitrogen atmosphere for 48 h. After this time, the solvent was removed under reduced pressure, and the residue was partitioned between ethyl acetate (20 mL) and 10% aqueous citric acid. The organic layer was separated and extracted with saturated aqueous sodium bicarbonate (20 ml). The aqueous phase was collected and acidified to pH=3 with 6 N hydrochloric acid, and the mixture was extracted with ethyl acetate (2×20 mL). The combined organics were washed with brine (50 mL), dried over sodium sulfate, filtered, and concentrated under reduced pressure to provide (S)-2-(((S)-2-acetoxypropanoyl)oxy)-2-phenylacetic acid (1.02 g, 87%) as a colorless oil:1H NMR (300 MHz, CDCl3) δ 7.46-7.37 (m, 5H), 5.99 (s, 1H), 5.19 (q, J=7.2 Hz, 1H), 2.12 (s, 3H), 1.61 (d, J=6.9 Hz, 3H), CO2H proton not observed.
Preparation of (S)-(S)-2-((2,5-Dioxopyrrolidin-1-yl)oxy)-2-oxo-1-phenylethyl 2-acetoxypropanoate
Figure US10226456-20190312-C00616
A solution of (S)-2-(((S)-2-acetoxypropanoyl)oxy)-2-phenylacetic acid (1.02 g, 3.83 mmol) in tetrahydrofuran (40 mL) was treated with N-hydroxysuccinimide (485 mg, 4.21 mmol) and N,N′-dicyclohexylcarbodiimide (867 mg, 4.21 mmol) and stirred under a nitrogen atmosphere for 5 h. After this time, the reaction mixture was filtered to remove the solid dicyclohexylurea byproduct. The solid was washed with diethyl ether (100 mL), and the combined filtrate and washings were concentrated under reduced pressure. The residue was triturated with diethyl ether to provide (S)-(S)-2-((2,5-dioxopyrrolidin-1-yl)oxy)-2-oxo-1-phenylethyl 2-acetoxypropanoate (1.65 g) as a white solid:1H NMR (300 MHz, CDCl3) δ 7.56-7.51 (m, 5H), 6.38 (s, 1H), 5.17 (q, J=7.2 Hz, 1H), 2.82 (s, 4H), 2.12 (s, 3H), 1.59 (d, J=6.9 Hz, 3H).
Preparation of (S)-(S)-2-(((4R,4aS,7aR,12bS)-4a-Hydroxy-9-methoxy-3-methyl-2,3,4,4a,5,7a-hexahydro-1H-4,12-methanobenzofuro[3,2-e]isoquinolin-7-yl)oxy)-2-oxo-1-phenylethyl 2-acetoxypropanoatetrifluoroacetic acid salt
Figure US10226456-20190312-C00617
A suspension of oxycodone (0.250 g, 0.793 mmol) in tetrahydrofuran (4 mL) was cooled in an ice bath and treated dropwise with a 1.0 M solution of lithium bis(trimethylsilyl)amide in tetrahydrofuran (1.03 mL, 1.03 mmol). The mixture was stirred at 0° C. for 15 min and then treated dropwise with a solution of(S)-(S)-2-((2,5-dioxopyrrolidin-1-yl)oxy)-2-oxo-1-phenylethyl 2-acetoxypropanoate (0.374 g, 1.03 mmol) in tetrahydrofuran (4 mL). The reaction mixture was stirred at 0° C. for 1 h. After this time, the mixture was poured into saturated aqueous ammonium chloride (75 mL) and extracted with ethyl acetate (2×100 mL). The combined organics were dried over sodium sulfate, filtered, and concentrated under reduced pressure. The crude residue was purified by reversed phase chromatography (C18, 10-100% acetonitrile/water with 0.1% trifluoroacetic acid) and lyophilized to provide (S)-(S)-2-(((4R,4aS,7aR,12bS)-4a-hydroxy-9-methoxy-3-methyl-2,3,4,4a,5,7a-hexahydro-1H-4,12-methanobenzofuro[3,2-e]isoquinolin-7-yl)oxy)-2-oxo-1-phenylethyl 2-acetoxypropanoatetrifluoroacetic acid salt (0.120 g, 27%) as a white solid:1H NMR (300 MHz, CDCl3) δ 9.15 (br s, 1H), 7.59-7.54 (m, 2H), 7.49-7.76 (m, 3H), 6.82 (d, J=8.4 Hz, 1H), 6.73 (d, J=8.4 Hz, 1H), 6.30 (br s, 1H), 6.22 (s, 1H), 5.53 (dd, J=6.0, 1.8 Hz, 1H), 5.15 (q, J=6.9 Hz, 1H), 4.95 (s, 1H), 3.64 (s, 3H), 3.41 (d, J=19.8 Hz, 1H), 3.14-3.05 (m, 2H), 2.83 (d, J=4.8 Hz, 3H), 2.70-2.53 (m, 1H), 2.46-2.38 (m, 1H), 2.30-2.22 (m, 1H), 2.08 (s, 3H), 2.06-2.00 (m, 1H), 1.62 (d, J=11.1 Hz, 1H), 1.53 (d, J=6.9 Hz, 3H); ESI MS m/z 564 [C31H33NO9+H]+; HPLC (Method A) 97.4% (AUC), tR=10.24 min.
Figure US10226456-20190312-C00618
Preparation of 1-(1H-Benzo[d][1,2,3]triazol-1-yl)octadecan-1-one
Figure US10226456-20190312-C00619
A solution of stearic acid (2.00 g, 7.03 mmol) in tetrahydrofuran (30 mL) was treated with 1H-benzo[d][1,2,3]triazole (921 mg, 7.73 mmol) and N,N′-dicyclohexylcarbodiimide (1.59 g, 7.73 mmol) and stirred under a nitrogen atmosphere for 5 h. After this time, the reaction mixture was filtered to remove the solid dicyclohexylurea byproduct. The solid was washed with diethyl ether (100 mL), and the combined filtrate and washings were concentrated under reduced pressure. The residue was triturated with diethyl ether to provide 1-(1H-benzo[d][1,2,3]triazol-1-yl)octadecan-1-one (3.02 g) as a white solid, which was used without purification.
Preparation of (S)-4-(tert-Butoxy)-4-oxo-2-(stearoyloxy)butanoic acid
Figure US10226456-20190312-C00620
(S)-4-(tert-Butoxy)-2-hydroxy-4-oxobutanoic acid (247 mg, 1.30 mmol), 1-(1H-benzo[d][1,2,3]triazol-1-yl)octadecan-1-one (500 mg, 1.30 mmol), 4-(dimethylamino)pyridine (159 mg, 1.30 mmol), and tetrahydrofuran (10 mL) were combined and stirred at room temperature under a nitrogen atmosphere for 48 h. After this time, the solvent was removed under reduced pressure, and the residue was partitioned between ethyl acetate (30 mL) and 10% aqueous citric acid. The organic layer was separated and washed with water (50 mL), dried over sodium sulfate, filtered, and concentrated under reduced pressure. The crude residue was purified by column chromatography (40 g silica gel column, 0-50% ethyl acetate/heptane) to provide of (S)-4-(tert-butoxy)-4-oxo-2-(stearoyloxy)butanoic acid (430 mg, 72%) as a white solid:1H NMR (300 MHz, CDCl3) δ 5.47 (t, J=5.7 Hz, 1H), 2.84 (d, J=0.9 Hz, 2H), 2.38 (m, 2H), 1.62 (m, 2H), 1.45 (s, 9H), 1.25 (m, 28H), 0.88 (t, J=6.6 Hz, 3H), CO2H proton not observed.
Preparation of (S)-4-tert-Butyl 1-(2,5-dioxopyrrolidin-1-yl) 2-(stearoyloxy)succinate
Figure US10226456-20190312-C00621
A solution of (S)-4-(tert-butoxy)-4-oxo-2-(stearoyloxy)butanoic acid (430 mg, 0.942 mmol) in tetrahydrofuran (10 mL) was treated with N-hydroxysuccinimide (119 mg, 1.04 mmol) and N,N′-dicyclohexylcarbodiimide (214 mg, 1.04 mmol) and stirred under a nitrogen atmosphere for 4 h. After this time, the reaction mixture was filtered to remove the solid dicyclohexylurea byproduct. The solid was washed with diethyl ether (100 mL), and the combined filtrate and washings were concentrated under reduced pressure. The residue was triturated with diethyl ether to provide (S)-4-tert-butyl 1-(2,5-dioxopyrrolidin-1-yl) 2-(stearoyloxy)succinate (610 mg) as a white solid:1H NMR (300 MHz, CDCl3) δ 5.76 (dd, J=8.1, 1.8 Hz, 1H), 2.96 (m, 2H), 2.84 (s, 4H), 2.38 (m, 2H), 1.67 (m, 2H), 1.46 (s, 9H), 1.25 (m, 28H), 0.88 (t, J=6.3 Hz, 3H).
Preparation of (S)-4-tert-Butyl 1-((4R,4aS,7aR,12bS)-4a-hydroxy-9-methoxy-3-methyl-2,3,4,4a,5,7a-hexahydro-1H-4,12-methanobenzofuro[3,2-e]isoquinolin-7-yl) 2-(stearoyloxy)succinate
Figure US10226456-20190312-C00622
A suspension of oxycodone (0.300 g, 0.95 mmol) in tetrahydrofuran (5 mL) was cooled in an ice bath and treated dropwise with a 1.0 M solution of lithium bis(trimethylsilyl)amide in tetrahydrofuran (1.24 mL, 1.24 mmol). The mixture was stirred at 0° C. for 15 min and then treated dropwise with a solution of(S)-4-tert-butyl 1-(2,5-dioxopyrrolidin-1-yl) 2-(stearoyloxy)succinate (0.685 g, 1.23 mmol) in tetrahydrofuran (5 mL). The reaction mixture was stirred at 0° C. for 1 h. After this time, the mixture was poured into saturated aqueous ammonium chloride (100 mL) and extracted with ethyl acetate (2×100 mL). The combined organics were dried over sodium sulfate, filtered, and concentrated under reduced pressure. The crude residue was purified by reverse phase chromatography (C18, 10-100% acetonitrile/water) and lyophilized to provide (S)-4-tert-butyl 1-((4R,4aS,7aR,12bS)-4a-hydroxy-9-methoxy-3-methyl-2,3,4,4a,5,7a-hexahydro-1H-4,12-methanobenzofuro[3,2-e]isoquinolin-7-yl) 2-(stearoyloxy)succinate (0.390 g, 54%) as a colorless oil:1H NMR (300 MHz, CDCl3) δ 6.81 (d, J=8.1 Hz, 1H), 6.72 (d, J=8.4 Hz, 1H), 5.65-5.62 (m, 1H), 5.51 (t, J=6.0 Hz, 1H), 3.80-3.60 (m, 1H), 3.86 (s, 3H), 3.41 (d, J=7.5 Hz, 1H), 3.24 (s, 1H), 3.21 (d, J=6.0 Hz, 1H), 2.93 (s, 3H), 2.89-2.79 (m, 4H), 2.41-2.35 (m, 3H), 2.21 (d, J=17.7 Hz, 1H), 1.78 (d, J=10.5 Hz, 1H), 1.66-1.61 (m, 2H), 1.46 (s, 9H), 1.25 (br s, 30H), 0.88 (t, J=6.3 Hz, 3H).
Preparation of (S)-4-(((4R,4aS,7aR,12bS)-4a-Hydroxy-9-methoxy-3-methyl-2,3,4,4a,5,7a-hexahydro-1H-4,12-methanobenzofuro[3,2-e]isoquinolin-7-yl)oxy)-4-oxo-3-(stearoyloxy)butanoic acid trifluoroacetic acid salt
Figure US10226456-20190312-C00623
A solution of(S)-4-tert-butyl 1-((4R,4aS,7aR,12bS)-4a-hydroxy-9-methoxy-3-methyl-2,3,4,4a,5,7a-hexahydro-1H-4,12-methanobenzofuro[3,2-e]isoquinolin-7-yl) 2-(stearoyloxy)succinate (0.380 g, 0.504 mmol) in methylene chloride (6 mL) was treated with trifluoroacetic acid (3 mL) and stirred at ambient temperature for 1 h. After this time, the reaction mixture was concentrated under reduced pressure. The crude residue was purified by reversed phase chromatography (C18, 10-100% acetonitrile/water with 0.1% TFA) and freeze dried to provide (S)-4-(((4R,4aS,7aR,12bS)-4a-hydroxy-9-methoxy-3-methyl-2,3,4,4a,5,7a-hexahydro-1H-4,12-methanobenzofuro[3,2-e]isoquinolin-7-yl)oxy)-4-oxo-3-(stearoyloxy)butanoic acid trifluoroacetic acid salt (0.135 g, 38%) as an off-white solid:1H NMR (300 MHz, DMSO-d6) δ 12.76 (br s, 1H), 9.17 (br s, 1H), 6.84 (d, J=8.1 Hz, 1H), 6.74 (d, J=8.1 Hz, 1H), 6.31 (s, 1H), 5.59 (dd, J=6.0, 3.9 Hz, 1H), 5.41 (t, J=6.3 Hz, 1H), 4.96 (s, 1H), 3.75 (s, 3H), 3.65 (d, J=6.3 Hz, 1H), 3.13-3.06 (m, 2H), 2.90-2.84 (m, 5H), 2.70-2.52 (m, 2H), 2.33 (t, J=7.2 Hz, 2H), 2.27-2.25 (m, 1H), 1.64 (d, J=11.7 Hz, 1H), 1.56-1.51 (m, 2H), 1.23 (br s, 30H), 0.88 (t, J=6.3 Hz, 3H); ESI MS m/z 698 [C40H59NO9+H]+.
Figure US10226456-20190312-C00624
Preparation of (S)-2,5-Dioxopyrrolidin-1-yl 2-acetoxypropanoate
Figure US10226456-20190312-C00625
A solution of (S)-2-acetoxypropanoic acid (10.06 g, 76.15 mmol) in tetrahydrofuran (300 mL) was treated with N-hydroxysuccinimide (9.71 g, 84.4 mmol) and N,N′-dicyclohexylcarbodiimide (17.36 g, 84.14 mmol) and stirred under a nitrogen atmosphere for 4.5 h. After this time, the reaction mixture was filtered to remove the solid dicyclohexylurea byproduct. The solid was washed with diethyl ether, and the combined filtrate and washings were concentrated under reduced pressure. The crude residue was triturated with 5:1 diethyl ether/methylene chloride (120 mL). The resulting solid was isolated by filtration and washed with diethyl ether. The combined filtrate and washings were concentrated under reduced pressure to provide (S)-2,5-dioxopyrrolidin-1-yl 2-acetoxypropanoate (18.24 g, quantitative) as an off-white foam:1H NMR (300 MHz, CDCl3) δ 5.41 (t, J=7.2 Hz, 1H), 2.81 (s, 4H), 2.16 (s, 3H), 1.67 (d, J=7.2 Hz, 3H).
Preparation of (S)-(4R,4aS,7aR,12bS)-4a-hydroxy-9-methoxy-3-methyl-2,3,4,4a,5,7a-hexahydro-1H-4,12-methanobenzofuro[3,2-e]isoquinolin-7-yl 2-acetoxypropanoate trifluoroacetic acid salt
Figure US10226456-20190312-C00626
A suspension of oxycodone (0.250 g, 0.793 mmol) in tetrahydrofuran (4 mL) was cooled in an ice bath and treated dropwise with a 1.0 M solution of lithium bis(trimethylsilyl)amide in tetrahydrofuran (1.03 mL, 1.03 mmol). The mixture was stirred at 0° C. for 15 min and then treated dropwise with a solution of(S)-2,5-dioxopyrrolidin-1-yl 2-acetoxypropanoate (0.236 g, 1.03 mmol) in tetrahydrofuran (4 mL). The reaction mixture was stirred at 0° C. for 1 h. After this time, the mixture was poured into saturated aqueous ammonium chloride (100 mL) and extracted with ethyl acetate (2×100 mL). The combined organics were dried over sodium sulfate, filtered, and concentrated under reduced pressure. The crude residue was purified by reverse phase chromatography (C18, 10-25% acetonitrile/water with 0.1% trifluoroacetic acid) and lyophilized to provide (S)-(4R,4aS,7aR,12bS)-4a-hydroxy-9-methoxy-3-methyl-2,3,4,4a,5,7a-hexahydro-1H-4,12-methanobenzofuro[3,2-e]isoquinolin-7-yl 2-acetoxypropanoatetrifluoroacetic acid salt (0.095 g, 28%) as a white solid:1H NMR (300 MHz, CDCl3) δ 9.18 (br s, 1H), 6.86 (d, J=8.4 Hz, 1H), 6.75 (d, J=8.1 Hz, 1H), 6.31 (s, 1H), 5.58 (dd, J=5.7, 1.8 Hz, 1H), 5.09 (q, J=6.9 Hz, 1H), 4.99 (s, 1H), 3.76 (s, 3H), 3.65 (d, J=6.0 Hz, 1H), 3.43 (d, J=20.1 Hz, 1H), 3.16-3.07 (m, 2H), 2.84 (d, J=4.8 Hz, 3H), 2.72-2.52 (m, 1H), 2.49-2.43 (m, 1H, partially obscured by solvent peak), 2.29 (dd, J=18.0, 6.6 Hz, 1H), 2.10 (s, 3H), 2.30-2.22 (m, 1H), 1.65 (d, J=11.4 Hz, 1H), 1.49 (d, J=6.9 Hz, 3H); ESI MS m/z 430 [C23H27NO7+H]+; HPLC (Method A) 97.8% (AUC), tR=8.64 min.
Figure US10226456-20190312-C00627
Preparation of (S)-2-(((S)-2-Acetoxypropanoyl)oxy)propanoic acid
Figure US10226456-20190312-C00628
(S)-Lactic acid (472 mg, 5.24 mmol), (S)-2,5-dioxopyrrolidin-1-yl 2-acetoxypropanoate (1.00 g, 4.36 mmol), 4-(dimethylamino)pyridine (53 mg, 0.44 mmol), pyridine (414 mg, 5.24 mmol) and tetrahydrofuran (17 mL) were combined and heated at 80° C. under a nitrogen atmosphere for 24 h. After this time, the solvent was removed under reduced pressure, and the residue was partitioned between ethyl acetate (20 mL) and 10% aqueous citric acid. The organic layer was separated and extracted with saturated aqueous sodium bicarbonate (20 ml). The aqueous phase was collected and acidified to pH=3 with 6 N hydrochloric acid, and the mixture was extracted with ethyl acetate (2×20 mL). The combined organics were washed with brine (50 mL), dried over sodium sulfate, filtered, and concentrated under reduced pressure to provide (S)-2-(((S)-2-acetoxypropanoyl)oxy)propanoic acid (323 mg, 36%) as a colorless oil:1H NMR (300 MHz, CDCl3) δ 5.23-5.08 (m, 2H), 2.14 (s, 3H), 1.60-1.48 (m, 6H), CO2H proton not observed.
Preparation of (S)-2,5-Dioxopyrrolidin-1-yl 2-(((S)-2-acetoxypropanoyl)oxy)propanoate
Figure US10226456-20190312-C00629
A solution of (S)-2-(((S)-2-acetoxypropanoyl)oxy)propanoic acid (323 mg, 1.58 mmol) in tetrahydrofuran (15 mL) was treated with N-hydroxysuccinimide (200 mg, 1.74 mmol) and N,N′-dicyclohexylcarbodiimide (358 mg, 1.74 mmol) and stirred under a nitrogen atmosphere for 5 h. After this time, the reaction mixture was filtered to remove the solid dicyclohexylurea byproduct. The solid was washed with diethyl ether (100 mL), and the combined filtrate and washings were concentrated under reduced pressure. The residue was triturated with diethyl ether to provide (S)-2,5-dioxopyrrolidin-1-yl 2-(((S)-2-acetoxypropanoyl)oxy)propanoate (543 mg) as a colorless oil:1H NMR (300 MHz, CDCl3) δ 5.53 (q, J=5.4 Hz, 1H), 5.13 (q, J=5.4 Hz, 1H), 2.85 (s, 4H), 2.13 (s, 3H), 1.72 (m, 3H), 1.57 (m, 3H).
Preparation of (S)-(4R,4aS,7aR,12bS)-4a-Hydroxy-9-methoxy-3-methyl-2,3,4,4a,5,7a-hexahydro-1H-4,12-methanobenzofuro[3,2-e]isoquinolin-7-yl 2-(((S)-2-acetoxypropanoyl)oxy)propanoate
Figure US10226456-20190312-C00630
A suspension of oxycodone (0.600 g, 1.90 mmol) in tetrahydrofuran (5 mL) was cooled in an ice bath and treated with a 1.0 M solution of lithium bis(trimethylsilyl)amide in tetrahydrofuran (2.1 mL, 2.1 mmol). After addition was complete, the mixture was stirred under a nitrogen atmosphere in the ice bath for 25 min and at ambient temperature for 25 min. The solution was re-cooled in a dry ice/acetone bath, and the mixture was treated with a solution of (S)-2,5-dioxopyrrolidin-1-yl 2-(((S)-2-acetoxypropanoyl)oxy)propanoate (0.640 g, 2.12 mmol) in tetrahydrofuran (5 mL). The temperature was allowed to slowly increase to 0° C. over 2 h. After this time, the reaction mixture was treated with saturated aqueous ammonium chloride (75 mL) and extracted with ethyl acetate (2×100 mL). The combined organics were washed with saturated sodium bicarbonate (75 mL) and brine (75 mL), dried over sodium sulfate, filtered, and concentrated under reduced pressure. The crude residue was purified by reversed phase column chromatography (50 g C18 column, 10-100% acetonitrile/water with 0.1% trifluoroacetic acid) and freeze dried to provide (S)-(4R,4aS,7aR,12bS)-4a-hydroxy-9-methoxy-3-methyl-2,3,4,4a,5,7a-hexahydro-1H-4,12-methanobenzofuro[3,2-e]isoquinolin-7-yl 2-(((S)-2-acetoxypropanoyl)oxy)propanoate (66 mg, 5%) as a white solid:1H NMR (300 MHz, CDCl3) δ 9.17 (br s, 1H), 6.86 (d, J=8.1 Hz, 1H), 6.75 (d, J=8.4 Hz, 1H), 6.30 (s, 1H), 5.59 (dd, J=5.7, 1.8 Hz, 1H), 5.24 (q, J=6.9 Hz, 1H), 5.07 (q, J=7.2 Hz, 1H), 4.99 (s, 1H), 3.75 (s, 3H), 3.65 (d, 6.0 Hz, 1H), 3.16-3.07 (m, 2H), 2.84 (d, J=4.8 Hz, 3H), 2.72-2.58 (m, 1H), 2.44-2.40 (m, 1H), 2.30 (dd, J=18.3, 6.0 Hz, 1H), 2.08 (s, 3H), 2.12-2.02 (m, 1H), 1.65 (d, J=13.2 Hz, 1H), 1.53 (d, J=6.9 Hz, 3H), 1.47 (d, J=6.9 Hz, 3H), one proton obscured by the solvent peaks; ESI MS m/z 502 [C26H31NO9+H]+; HPLC (Method A) 97.8% (AUC), tR=8.64 min.
Figure US10226456-20190312-C00631
Preparation of (S)-4-((1-(tert-Butoxy)-1-oxopropan-2-yl)oxy)-4-oxobutanoic acid
Figure US10226456-20190312-C00632
A solution of (S)-tert-butyl 2-hydroxypropanoate (3.40 g, 23.3 mmol) in tetrahydrofuran (50 mL) was cooled in an ice bath and treated with a 1.0 M solution of lithium bis(trimethylsilyl)amide in tetrahydrofuran (30.3 mL, 30.3 mmol) under a nitrogen atmosphere. After 10 min, the mixture was treated dropwise with a solution of succinic anhydride (2.80 g, 27.9 mmol) in tetrahydrofuran (25 mL) and stirred at 0° C. for 45 min. After this time, the reaction mixture was poured into saturated aqueous ammonium chloride and extracted with ethyl acetate. The combined organics were dried over sodium sulfate, filtered, and concentrated under reduced pressure. The crude residue was purified by column chromatography (silica gel, 0-20% methanol/methylene chloride) and triturated with ether, filtered, and concentrated under reduced pressure to provide (S)-4-((1-(tert-butoxy)-1-oxopropan-2-yl)oxy)-4-oxobutanoic acid (0.600 g, 10%) as a colorless oil:1H NMR (300 MHz, DMSO-d6) δ 12.18 (br s, 1H), 4.81 (q, J=7.2 Hz, 1H), 2.51-2.49 (m, 4H, partially obscured by solvent peak), 1.40 (s, 9H), 1.36 (d, J=7.2 Hz, 3H).
Preparation of (S)-1-(tert-Butoxy)-1-oxopropan-2-yl (2,5-dioxopyrrolidin-1-yl) succinate
Figure US10226456-20190312-C00633
A solution of (S)-4-((1-(tert-butoxy)-1-oxopropan-2-yl)oxy)-4-oxobutanoic acid (0.700 mg, 2.84 mmol) in tetrahydrofuran (12 mL) was treated with N-hydroxysuccinimide (0.459 mg, 3.98 mmol) and N,N′-dicyclohexylcarbodiimide (0.822 mg, 3.98 mmol) and stirred under a nitrogen atmosphere for 5 h. After this time, the reaction mixture was filtered to remove the solid dicyclohexylurea byproduct. The solid was washed with diethyl ether, and the combined filtrate and washings were concentrated under reduced pressure. The crude residue was triturated with diethyl ether. The resulting solid was isolated by filtration and washed with diethyl ether. The combined filtrate and washings were concentrated under reduced pressure to provide (S)-1-(tert-butoxy)-1-oxopropan-2-yl (2,5-dioxopyrrolidin-1-yl) succinate (0.900 g, 92%) as a yellow oil:1H NMR (300 MHz, CDCl3) δ 5.00 (q, J=7.2 Hz, 1H), 2.99-2.96 (m, 2H), 2.85-2.80 (m, 6H), 1.48-1.45 (m, 12H).
Preparation of (S)-1-(tert-Butoxy)-1-oxopropan-2-yl ((4R,4aS,7aR,12bS)-4a-hydroxy-9-methoxy-3-methyl-2,3,4,4a,5,7a-hexahydro-1H-4,12-methanobenzofuro[3,2-e]isoquinolin-7-yl) succinate
Figure US10226456-20190312-C00634
A suspension of oxycodone (0.350 g, 1.11 mmol) in tetrahydrofuran (5 mL) was cooled in an ice bath and treated dropwise with a 1.0 M solution of lithium bis(trimethylsilyl)amide in tetrahydrofuran (1.44 mL, 1.44 mmol). The mixture was stirred at 0° C. for 15 min and then treated dropwise with a solution of (S)-1-(tert-butoxy)-1-oxopropan-2-yl (2,5-dioxopyrrolidin-1-yl) succinate (0.496 g, 1.44 mmol) in tetrahydrofuran (5 mL). The reaction mixture was stirred at 0° C. for 1 h. After this time, the mixture was poured into saturated aqueous ammonium chloride (100 mL) and extracted with ethyl acetate (2×100 mL). The combined organics were dried over sodium sulfate, filtered, and concentrated under reduced pressure. The crude residue was purified by reverse phase chromatography (C18, 10-70% acetonitrile/water) and freeze dried to provide (S)-1-(tert-butoxy)-1-oxopropan-2-yl ((4R,4aS,7aR,12bS)-4a-hydroxy-9-methoxy-3-methyl-2,3,4,4a,5,7a-hexahydro-1H-4,12-methanobenzofuro[3,2-e]isoquinolin-7-yl) succinate (0.290 g, 48%) as a white solid: ESI MS m/z 544 [C29H37NO9+H]+.
Preparation of (S)-2-((4-(((4R,4aS,7aR,12bS)-4a-Hydroxy-9-methoxy-3-methyl-2,3,4,4a,5,7a-hexahydro-1H-4,12-methanobenzofuro[3,2-e]isoquinolin-7-yl)oxy)-4-oxobutanoyl)oxy)propanoic acid trifluoroacetic acid salt
Figure US10226456-20190312-C00635
A solution of (S)-1-(tert-butoxy)-1-oxopropan-2-yl ((4R,4aS,7aR,12bS)-4a-hydroxy-9-methoxy-3-methyl-2,3,4,4a,5,7a-hexahydro-1H-4,12-methanobenzofuro[3,2-e]isoquinolin-7-yl) succinate (0.280 g, 0.515 mmol) in methylene chloride (6 mL) was treated with trifluoroacetic acid (3 mL) and stirred under a nitrogen atmosphere at ambient temperature for 1 h. After this time, the reaction mixture was concentrated under reduced pressure. The residue was purified was purified by reversed phase column chromatography (50 g C18 column, 5-30% acetonitrile/water, with 0.1% TFA) and freeze dried to provide (S)-2-((4-(((4R,4aS,7aR,12bS)-4a-hydroxy-9-methoxy-3-methyl-2,3,4,4a,5,7a-hexahydro-1H-4,12-methanobenzofuro[3,2-e]isoquinolin-7-yl)oxy)-4-oxobutanoyl)oxy)propanoic acid trifluoroacetic acid salt (0.0200 g, 80%) as a white solid:1H NMR (300 MHz, DMSO-d6) δ 13.02 (br s, 1H), 9.18 (br s, 1H), 6.86 (d, J=8.4 Hz, 1H), 6.75 (d, J=8.4 Hz, 1H), 6.28 (br s, 1H), 5.53 (dd, J=6.0, 1.8 Hz, 1H), 4.98 (s, 1H), 4.92 (q, J=6.9 Hz, 1H), 3.75 (s, 3H), 3.64 (d, J=6.3 Hz, 1H), 3.43 (d, J=19.8 Hz, 1H), 3.15-3.06 (m, 2H), 2.84 (d, J=3.9 Hz, 3H), 2.73-2.58 (m, 5H), 2.46-2.40 (m, 1H), 2.32-2.20 (m, 1H), 2.05 (d, J=18.3 Hz, 1H), 1.64 (d, J=11.1 Hz, 1H), 1.40 (d, J=6.9 Hz, 3H); ESI MS m/z 488 [C25H29NO9+H]+; HPLC (Method A) 98.9% (AUC), tR=8.17 min.
Figure US10226456-20190312-C00636
Preparation of (S)-2-(((S)-2-(Oleoyloxy)propanoyl)oxy)propanoic acid
Figure US10226456-20190312-C00637
A solution of (S)-1-((2,5-dioxopyrrolidin-1-yl)oxy)-1-oxopropan-2-yl oleate (3.49 g, 7.73 mmol), (S)-lactic acid (764 mg, 8.48 mmol), and 4-dimethylaminopyridine (100 mg, 0.819 mmol) in tetrahydrofuran (35 mL) was treated with pyridine (0.69 g, 8.6 mmol) and heated at 50° C. under a nitrogen atmosphere for 64 h. After this time, the reaction mixture was cooled to room temperature and concentrated under reduced pressure. The residue was dissolved in methylene chloride (100 mL) and washed with aqueous 10% citric acid (2×50 mL). The organic layer was dried over sodium sulfate, filtered, and concentrated. The crude residue was purified by column chromatography (silica gel, 0-10% methanol/methylene chloride) to provide (S)-2-(((S)-2-(oleoyloxy)propanoyl)oxy)propanoic acid (835 mg, 25%) as a colorless oil:1H NMR (300 MHz, CDCl3) δ 5.36-5.29 (m, 2H), 5.24-5.08 (m, 2H), 2.41-2.35 (m, 2H), 2.02-1.98 (m, 4H), 1.67-1.60 (m, 2H), 1.58-1.52 (m, 6H), 1.30-1.27 (m, 20H), 0.88 (t, J=6.6 Hz, 3H), CO2H proton not observed.
Preparation of (S)-1-(((S)-1-((2,5-Dioxopyrrolidin-1-yl)oxy)-1-oxopropan-2-yl)oxy)-1-oxopropan-2-yl oleate
Figure US10226456-20190312-C00638
A solution of (S)-2-(((S)-2-(oleoyloxy)propanoyl)oxy)propanoic acid (0.83 g, 2.0 mmol) in tetrahydrofuran (10 mL) was treated with N-hydroxysuccinimide (262 mg, 2.28 mmol) and N,N′-dicyclohexylcarbodiimide (446 mg, 2.16 mmol) and stirred under a nitrogen atmosphere for 3 h. After this time, the reaction mixture was filtered to remove the solid dicyclohexylurea byproduct. The solid was washed with diethyl ether, and the combined filtrate and washings were concentrated under reduced pressure to provide (S)-1-(((S)-1-((2,5-dioxopyrrolidin-1-yl)oxy)-1-oxopropan-2-yl)oxy)-1-oxopropan-2-yl oleate (1.07 g, quantitative) as a white semi-solid:1H NMR (300 MHz, CDCl3) δ 5.52 (q, J=7.2 Hz, 1H), 5.38-5.33 (m, 2H), 5.11 (q, J=7.2 Hz, 1H), 2.84 (br s, 4H), 2.42-2.35 (m, 2H), 2.02-1.98 (m, 4H), 1.72-1.53 (m, 8H), 1.30-1.27 (m, 20H), 0.88 (t, J=6.6 Hz, 3H).
Preparation of (S)-1-(((S)-1-(((4R,4aS,7aR,12bS)-4a-Hydroxy-9-methoxy-3-methyl-2,3,4,4a,5,7a-hexahydro-1H-4,12-methanobenzofuro[3,2-e]isoquinolin-7-yl)oxy)-1-oxopropan-2-yl)oxy)-1-oxopropan-2-yl oleate trifluoroacetic acid salt
Figure US10226456-20190312-C00639
A suspension of oxycodone (0.27 g, 0.86 mmol) in tetrahydrofuran (5 mL) was cooled in an ice bath and treated with a 1.0 M solution of lithium bis(trimethylsilyl)amide in tetrahydrofuran (0.9 mL, 0.9 mmol). After addition was complete, the mixture was stirred under nitrogen atmosphere in the ice bath for 25 min and at ambient temperature for 25 min. The solution was re-cooled in a dry ice/acetone bath, and the mixture was treated with a solution of (S)-1-(((S)-1-((2,5-dioxopyrrolidin-1-yl)oxy)-1-oxopropan-2-yl)oxy)-1-oxopropan-2-yl oleate (0.50 g, 0.95 mmol) in tetrahydrofuran (5 mL). The temperature was allowed to slowly increase to 0° C. over 2 h. After this time, the reaction mixture was treated with saturated aqueous ammonium chloride (50 mL) and extracted with ethyl acetate (2×50 mL). The combined organics were washed with saturated sodium bicarbonate (50 mL) and brine (50 mL), dried over sodium sulfate, filtered, and concentrated under reduced pressure. The crude residue was purified by reversed phase column chromatography (150 g C18 column, 50-100% acetonitrile/water with 0.1% trifluoroacetic acid) and freeze dried to provide (S)-1-(((S)-1-(((4R,4aS,7aR,12bS)-4a-hydroxy-9-methoxy-3-methyl-2,3,4,4a,5,7a-hexahydro-1H-4, 12-methanobenzofuro[3,2-e]isoquinolin-7-yl)oxy)-1-oxopropan-2-yl)oxy)-1-oxopropan-2-yl oleate trifluoroacetic acid salt (176 mg, 24%) as a white solid:1H NMR (300 MHz, DMSO-d6) δ 9.22 (br s, 1H), 6.85 (d, J=8.4 Hz, 1H), 6.75 (d, J=8.4 Hz, 1H), 6.34 (br s, 1H), 5.59-5.58 (m, 1H), 5.37-5.30 (m, 2H), 5.24 (q, J=6.9 Hz, 1H), 5.08 (q, J=6.9 Hz, 1H), 4.99 (s, 1H), 3.75 (s, 3H), 3.65 (br s, 1H), 3.42 (d, J=20.1 Hz, 1H), 3.15-3.06 (m, 2H), 2.84 (s, 3H), 2.64-2.58 (m, 1H), 2.49-2.43 (m, 1H, partially obscured by solvent peak), 2.37-2.26 (m, 3H), 2.09-1.95 (m, 5H), 1.63 (d, J=11.7 Hz, 1H), 1.54-1.45 (m, 8H), 1.26-1.24 (m, 20H), 0.85 (t, J=6.3 Hz, 3H); ESI MS m/z 724 [C42H61NO9+H]+; HPLC (Method A)>99% (AUC), tR=15.93 min.
Figure US10226456-20190312-C00640
Preparation of (S)-2-Acetoxy-4-(tert-butoxy)-4-oxobutanoic acid
Figure US10226456-20190312-C00641
(S)-4-(tert-Butoxy)-2-hydroxy-4-oxobutanoic acid (4.88 g, 25.7 mmol), acetyl chloride (2.22 g, 28.2 mmol), N,N-diisopropylethylamine (3.99 g, 30.8 mmol), and methylene chloride (200 mL) were combined at 0° C. and stirred at room temperature under a nitrogen atmosphere for 16 h. After this time, 10% aqueous citric acid (100 mL) was added. The organic layer was separated and extracted with methylene chloride (2×100 mL). The combined organics were washed with brine (50 mL), dried over sodium sulfate, filtered, and concentrated under reduced pressure to provide (S)-2-acetoxy-4-(tert-butoxy)-4-oxobutanoic acid (4.59 g, 76%) as a light yellow oil:1H NMR (300 MHz, CDCl3) δ 5.46 (m, 1H), 2.83 (m, 2H), 2.14 (s, 3H), 1.46 (s, 9H), CO2H proton not observed.
Preparation of (S)-Di-tert-butyl 2-acetoxysuccinate
Figure US10226456-20190312-C00642
A solution of (S)-2-acetoxy-4-(tert-butoxy)-4-oxobutanoic acid (4.59 g, 19.8 mmol) and tert-butanol (3.22 g, 43.5 mmol) in methylene chloride (70 mL) was treated with N,N′-dicyclohexylcarbodiimide (5.31 g, 25.7 mmol) and 4-(dimethylamino)pyridine (798 mg, 6.53 mmol) at 0° C. and stirred at room temperature under a nitrogen atmosphere for 16 h. After this time, the reaction mixture was filtered to remove the solid dicyclohexylurea byproduct. The solid was washed with diethyl ether (100 mL), and the combined filtrate and washings were concentrated under reduced pressure. The crude residue was purified by column chromatography (80 g silica gel column, 0-30% ethyl acetate/heptane) to provide (S)-di-tert-butyl 2-acetoxysuccinate (3.44 g, 60%) as a colorless oil:1H NMR (300 MHz, CDCl3) δ 5.30 (dd, J=7.5, 5.4 Hz, 1H), 2.75 (m, 2H), 2.13 (s, 3H), 1.46 (s, 18H).
Preparation of (S)-Di-tert-butyl 2-hydroxysuccinate
Figure US10226456-20190312-C00643
(S)-Di-tert-butyl 2-acetoxysuccinate (3.44 g, 11.9 mmol), potassium carbonate (4.94 g, 35.8 mmol), methanol (240 mL) and water (40 mL) were combined and stirred at 0° C. for 4 h. After this time, water (200 mL) was added, and the aqueous solution was extracted with methylene chloride (2×200 mL). The combined organics were washed with brine (50 mL), dried over sodium sulfate, filtered, and concentrated under reduced pressure to provide (S)-di-tert-butyl 2-hydroxysuccinate (2.71 g, 92%) as a colorless oil:1H NMR (300 MHz, CDCl3) δ 4.30 (dd, J=10.2, 5.7 Hz, 1H), 3.21 (d, J=5.4 Hz, 1H), 2.77-2.60 (m, 2H), 1.45 (s, 9H), 1.42 (s, 9H).
Preparation of (S)-4-((1,4-Di-tert-butoxy-1,4-dioxobutan-2-yl)oxy)-4-oxobutanoic acid
Figure US10226456-20190312-C00644
(S)-Di-tert-butyl 2-hydroxysuccinate (428 mg, 1.74 mmol), dihydrofuran-2,5-dione (414 mg, 4.14 mmol), N,N-diisopropylethylamine (535 mg, 4.14 mmol), and methylene chloride (10 mL) were combined and stirred at room temperature under a nitrogen atmosphere for 16 h. After this time, 10% aqueous citric acid (100 mL) was added. The organic layer was separated and extracted with methylene chloride (2×50 mL). The combined organics were washed with brine (50 mL), dried over sodium sulfate, filtered, and concentrated under reduced pressure to provide (S)-4-((1,4-di-tert-butoxy-1,4-dioxobutan-2-yl)oxy)-4-oxobutanoic acid (534 mg, 95%) as a brown oil:1H NMR (300 MHz, CDCl3) δ 5.32 (dd, J=7.5, 5.1 Hz, 1H), 2.77-2.66 (m, 6H), 1.46 (s, 18H), CO2H proton not observed.
Preparation of (S)-Di-tert-butyl 2-((4-((2,5-dioxopyrrolidin-1-yl)oxy)-4-oxobutanoyl)oxy)succinate
Figure US10226456-20190312-C00645
A solution of (S)-4-((1,4-di-tert-butoxy-1,4-dioxobutan-2-yl)oxy)-4-oxobutanoic acid (534 mg, 1.38 mmol) in tetrahydrofuran (15 mL) was treated with N-hydroxysuccinimide (159 mg, 1.38 mmol) and N,N′-dicyclohexylcarbodiimide (284 mg, 1.38 mmol) and stirred under a nitrogen atmosphere for 3 h. After this time, the reaction mixture was filtered to remove the solid dicyclohexylurea byproduct. The solid was washed with diethyl ether (100 mL), and the combined filtrate and washings were concentrated under reduced pressure. The residue was triturated with diethyl ether to provide (S)-di-tert-butyl 2-((4-((2,5-dioxopyrrolidin-1-yl)oxy)-4-oxobutanoyl)oxy)succinate (684 mg) as a brown oil:1H NMR (300 MHz, CDCl3) δ 5.34 (dd, J=6.9, 5.7 Hz, 1H), 3.01-2.96 (m, 2H), 2.87-2.70 (m, 8H), 1.44 (s, 18H).
Preparation of (S)-Di-tert-butyl 2-((4-(((4R,4aS,7aR,12bS)-4a-hydroxy-9-methoxy-3-methyl-2,3,4,4a,5,7a-hexahydro-1H-4,12-methanobenzofuro[3,2-e]isoquinolin-7-yl)oxy)-4-oxobutanoyl)oxy)succinate
Figure US10226456-20190312-C00646
A suspension of oxycodone (0.22 g, 0.69 mmol) in tetrahydrofuran (5 mL) was cooled in an ice bath and treated with a 1.0 M solution of lithium bis(trimethylsilyl)amide in tetrahydrofuran (0.8 mL, 0.8 mmol). After addition was complete, the mixture was stirred under a nitrogen atmosphere in the ice bath for 25 min and at ambient temperature for 25 min. The solution was re-cooled in a dry ice/acetone bath, and the mixture was treated with a solution of (S)-di-tert-butyl 2-((4-((2,5-dioxopyrrolidin-1-yl)oxy)-4-oxobutanoyl)oxy)succinate (0.34 g, 0.77 mmol) in tetrahydrofuran (5 mL). The temperature was allowed to slowly increase to 0° C. over 2 h. After this time, the reaction mixture was treated with saturated aqueous ammonium chloride (50 mL) and extracted with ethyl acetate (2×50 mL). The combined organics were washed with saturated sodium bicarbonate (50 mL) and brine (50 mL), dried over sodium sulfate, filtered, and concentrated under reduced pressure. The crude residue was purified by reversed phase column chromatography (50 g C18 column, 10-100% acetonitrile/water) and freeze dried to provide (S)-di-tert-butyl 2-((4-(((4R,4aS,7aR,12bS)-4a-hydroxy-9-methoxy-3-methyl-2,3,4,4a,5,7a-hexahydro-1H-4,12-methanobenzofuro[3,2-e]isoquinolin-7-yl)oxy)-4-oxobutanoyl)oxy)succinate (147 mg, 33%) as a white solid: ESI MS m/z 644 [C34H45NO11+H]+.
Preparation of (S)-2-((4-(((4R,4aS,7aR,12bS)-4a-Hydroxy-9-methoxy-3-methyl-2,3,4,4a,5,7a-hexahydro-1H-4,12-methanobenzofuro[3,2-e]isoquinolin-7-yl)oxy)-4-oxobutanoyl)oxy)succinic acid trifluoroacetic acid salt
Figure US10226456-20190312-C00647
A solution of (S)-di-tert-butyl 2-((4-(((4R,4aS,7aR,12bS)-4a-hydroxy-9-methoxy-3-methyl-2,3,4,4a,5,7a-hexahydro-1H-4,12-methanobenzofuro[3,2-e]isoquinolin-7-yl)oxy)-4-oxobutanoyl)oxy)succinate (136 mg, 0.211 mmol) in methylene chloride (4 mL) was treated with trifluoroacetic acid (1 mL) and stirred under a nitrogen atmosphere at ambient temperature for 7 h. After this time, the reaction mixture was concentrated under reduced pressure. The residue was purified by reversed phase column chromatography (C18 column, 10-70% acetonitrile/water with 0.1% trifluoroacetic acid) and freeze dried to provide (S)-2-((4-(((4R,4aS,7aR,12bS)-4a-hydroxy-9-methoxy-3-methyl-2,3,4,4a,5,7a-hexahydro-1H-4,12-methanobenzofuro[3,2-e]isoquinolin-7-yl)oxy)-4-oxobutanoyl)oxy)succinic acid trifluoroacetic acid salt (122 mg, 90%) as a white solid:1H NMR (300 MHz, DMSO-d6) δ 13.23 (br s, 1H), 12.59 (br s, 1H), 9.17 (br s, 1H), 6.86 (d, J=8.4 Hz, 1H), 6.75 (d, J=8.4 Hz, 1H), 6.27 (s, 1H), 5.53 (dd, J=6.3, 2.1 Hz, 1H), 5.22 (dd, J=7.8, 4.5 Hz, 1H), 4.99 (s, 1H), 3.75 (s, 3H), 3.64 (d, J=6.3 Hz, 1H), 3.46-3.39 (m, 1H, partially obscured by water peak), 3.15-3.06 (m, 2H), 2.84 (s, 3H), 2.80-2.66 (m, 7H), 2.49-2.43 (m, 1H, partially obscured by solvent peak), 2.27 (dd, J=17.7, 6.3 Hz, 1H), 2.06 (apparent d, J=18.0 Hz, 1H), 1.64 (d, J=11.7 Hz, 1H); ESI MS m/z 532 [C26H29NO11+H]+; HPLC (Method A)>99% (AUC), tR=7.62 min.
Figure US10226456-20190312-C00648
Figure US10226456-20190312-C00649
Preparation of (S)-2-(2,2-Dimethyl-5-oxo-1,3-dioxolan-4-yl)acetic acid
Figure US10226456-20190312-C00650
A solution of (S)-malic acid (30.28 g, 225.8 mmol) and pyridinium p-toluenesulfonate (5.16 g, 20.5 mmol) in acetone (17 mL) was cooled in an ice bath and treated with 2-methoxyprop-1-ene (85.0 mL, 888 mmol) under a nitrogen atmosphere. After 30 min, the ice bath was removed, and the mixture was heated at 35° C. for 16 h. After this time, the reaction mixture was cooled to room temperature and concentrated under reduced pressure. The residue was dissolved in ethyl acetate (500 mL), washed with 1:1 brine/water (4×200 mL), dried over sodium sulfate, filtered, and partially concentrated under reduced pressure to a volume of approximately 200 mL. The solution was treated with heptanes (200 mL) and cooled in an ice bath for 1 h. The resulting solids were isolated by filtration and washed with heptanes to provide (S)-2-(2,2-dimethyl-5-oxo-1,3-dioxolan-4-yl)acetic acid (23.14 g, 59%) as a white solid:1H NMR (300 MHz, DMSO-d6) δ 12.61 (s, 1H), 4.79 (dd, J=5.1, 4.8 Hz, 1H), 2.83-2.68 (m, 2H), 1.53 (s, 3H), 1.52 (s, 3H).
Preparation of (S)-Benzyl 2-(2,2-dimethyl-5-oxo-1,3-dioxolan-4-yl)acetate
Figure US10226456-20190312-C00651
A solution of (S)-2-(2,2-dimethyl-5-oxo-1,3-dioxolan-4-yl)acetic acid (10.08 g, 57.88 mmol) in methylene chloride (290 mL) was treated with benzyl alcohol (9.0 mL, 87 mmol), N,N′-dicyclohexylcarbodiimide (14.3 g, 69.2 mmol), and 4-dimethylaminopyridine (2.12 g, 17.4 mmol) and stirred under a nitrogen atmosphere for 1.5 h. After this time, the reaction mixture was filtered to remove the solid dicyclohexylurea byproduct. The solid was washed with methylene chloride, and the combined filtrate and washings were concentrated under reduced pressure. The crude residue was purified by column chromatography (silica gel, 0-20% ethyl acetate/heptanes) to provide (S)-benzyl 2-(2,2-dimethyl-5-oxo-1,3-dioxolan-4-yl)acetate (8.63 g, 56%) as a white solid:1H NMR (300 MHz, DMSO-d6) δ 7.41-7.30 (m, 5H), 5.13 (dd, J=14.4, 12.3 Hz, 2H), 4.87 (t, J=4.8 Hz, 1H), 3.02-2.89 (m, 2H), 1.52 (s, 3H), 1.49 (s, 3H).
Preparation of (S)-4-(Benzyloxy)-2-hydroxy-4-oxobutanoic acid
Figure US10226456-20190312-C00652
A solution of (S)-benzyl 2-(2,2-dimethyl-5-oxo-1,3-dioxolan-4-yl)acetate (8.63 g, 32.7 mmol) in acetic acid (50 mL) and water (25 mL) was heated at 60° C. for 1.5 h. After this time, the reaction mixture was concentrated under reduced pressure. The residue was dissolved in water and freeze dried to provide (S)-4-(benzyloxy)-2-hydroxy-4-oxobutanoic acid (7.32 g, quantitative) as a white solid:1H NMR (300 MHz, DMSO-d6) δ 12.57 (br s, 1H), 7.40-7.29 (m, 5H), 5.57 (br s, 1H), 5.11 (s, 2H), 4.33 (dd, J=7.8, 4.8 Hz, 1H), 2.77 (dd, J=15.6, 4.8 Hz, 1H), 2.61 (dd, J=15.6, 7.8 Hz, 1H); ESI MS m/z 223 [C11H12O5−H].
Preparation of (S)-2-Acetoxy-4-(benzyloxy)-4-oxobutanoic acid
Figure US10226456-20190312-C00653
A solution of (S)-4-(benzyloxy)-2-hydroxy-4-oxobutanoic acid (3.00 g, 13.4 mmol) in methylene chloride (15 mL) was treated with acetic acid (3 mL) and cooled in an ice bath under a nitrogen atmosphere. The solution was treated dropwise with acetyl chloride (1.05 mL, 14.8 mmol). After 15 min, the ice bath was removed, and the mixture was stirred at ambient temperature for 16 h. After this time, the reaction mixture was concentrated under reduced pressure and dried under vacuum to provide (S)-2-acetoxy-4-(benzyloxy)-4-oxobutanoic acid (4.12 g, quantitative) as a colorless oil:1H NMR (300 MHz, DMSO-d6) δ 7.39-7.33 (m, 5H), 5.25 (dd, J=8.1, 4.5 Hz, 1H), 5.14 (dd, J=14.4, 12.6 Hz, 2H), 3.00 (dd, J=16.5, 4.5 Hz, 1H), 2.89 (dd, J=16.5, 8.1 Hz, 1H), 2.02 (s, 3H), CO2H proton not observed.
Preparation of (S)-4-Benzyl 1-tert-butyl 2-acetoxysuccinate
Figure US10226456-20190312-C00654
A solution of (S)-2-acetoxy-4-(benzyloxy)-4-oxobutanoic acid (3.57 g, 13.4 mmol) in methylene chloride (60 mL) was treated with tert-butanol (4.5 mL, 47 mmol), N,N′-dicyclohexylcarbodiimide (4.30 g, 20.8 mmol), and 4-dimethylaminopyridine (462 mg, 3.78 mmol) and stirred under a nitrogen atmosphere for 5 h. After this time, the reaction mixture was filtered to remove the solid dicyclohexylurea byproduct. The solid was washed with diethyl ether, and the combined filtrate and washings were concentrated under reduced pressure. The crude residue was purified by column chromatography (silica gel, 0-20% ethyl acetate/heptanes) to provide (S)-4-benzyl 1-tert-butyl 2-acetoxysuccinate (2.78 g, 64%) as a colorless oil:1H NMR (300 MHz, DMSO-d6) δ 7.42-7.30 (m, 5H), 5.19-5.14 (m, 3H), 3.00-2.85 (m, 2H), 2.03 (s, 3H), 1.37 (s, 9H).
Preparation of (S)-3-Acetoxy-4-(tert-butoxy)-4-oxobutanoic acid
Figure US10226456-20190312-C00655
A solution of (S)-4-benzyl 1-tert-butyl 2-acetoxysuccinate (1.02 g, 3.16 mmol) in ethanol (30 mL) was sparged with nitrogen gas for 30 min. The solution was treated with 5% palladium on carbon (214 mg) and sparged with hydrogen gas for 5 min. The mixture was stirred under a hydrogen atmosphere for 2 h. After this time, the reaction mixture was sparged with nitrogen gas for 5 min and filtered through diatomaceous earth. The filtrate was concentrated under reduced pressure to provide (S)-3-acetoxy-4-(tert-butoxy)-4-oxobutanoic acid (731 mg, 99%) as a colorless oil:1H NMR (300 MHz, DMSO-d6) δ 12.74 (br s, 1H), 5.10 (dd, J=8.1, 4.8 Hz, 1H), 2.81-2.64 (m, 2H), 2.06 (s, 3H), 1.40 (s, 9H).
Preparation of (S)-1-tert-Butyl 4-(2,5-dioxopyrrolidin-1-yl) 2-acetoxysuccinate
Figure US10226456-20190312-C00656
A solution of (S)-3-acetoxy-4-(tert-butoxy)-4-oxobutanoic acid (725 mg, 3.12 mmol) in tetrahydrofuran (15 mL) was treated with N-hydroxysuccinimide (396 mg, 3.44 mmol) and N,N′-dicyclohexylcarbodiimide (709 mg, 3.44 mmol) and stirred under a nitrogen atmosphere for 6 h. After this time, the reaction mixture was filtered to remove the solid dicyclohexylurea byproduct. The solid was washed with diethyl ether, and the combined filtrate and washings were concentrated under reduced pressure to provide (S)-1-tert-butyl 4-(2,5-dioxopyrrolidin-1-yl) 2-acetoxysuccinate (1.25 g, quantitative) as an off-white solid:1H NMR (300 MHz, DMSO-d6) δ 5.28 (dd, J=7.5, 4.8 Hz, 1H), 3.39-3.22 (m, 2H), 2.82 (s, 4H), 2.08 (s, 3H), 1.41 (s, 9H).
Preparation of (S)-1-tert-Butyl 4-((4R,4aS,7aR,12bS)-4a-hydroxy-9-methoxy-3-methyl-2,3,4,4a,5,7a-hexahydro-1H-4,12-methanobenzofuro[3,2-e]isoquinolin-7-yl) 2-acetoxysuccinate
Figure US10226456-20190312-C00657
A suspension of oxycodone (0.52 g, 1.7 mmol) in tetrahydrofuran (5 mL) was cooled in an ice bath and treated with a 1.0 M solution of lithium bis(trimethylsilyl)amide in tetrahydrofuran (1.8 mL, 1.8 mmol). After addition was complete, the mixture was stirred under nitrogen atmosphere in the ice bath for 25 min and at ambient temperature for 25 min. The solution was re-cooled in a dry ice/acetone bath, and the mixture was treated with a solution of (S)-1-tert-butyl 4-(2,5-dioxopyrrolidin-1-yl) 2-acetoxysuccinate (0.60 g, 1.8 mmol) in tetrahydrofuran (5 mL). The temperature was allowed to slowly increase to 0° C. over 2 h. After this time, the reaction mixture was treated with saturated aqueous ammonium chloride (50 mL) and extracted with ethyl acetate (2×50 mL). The combined organics were washed with saturated sodium bicarbonate (50 mL) and brine (50 mL), dried over sodium sulfate, filtered, and concentrated under reduced pressure. The crude residue was purified by reversed phase column chromatography (150 g C18 column, 10-100% acetonitrile/water) and freeze dried to provide (S)-1-tert-butyl 4-((4R,4aS,7aR,12bS)-4a-hydroxy-9-methoxy-3-methyl-2,3,4,4a,5,7a-hexahydro-1H-4,12-methanobenzofuro[3,2-e]isoquinolin-7-yl) 2-acetoxysuccinate (232 mg, 27%) as a white solid: ESI MS m/z 530 [C28H35NO9+H]+.
Preparation of (S)-2-Acetoxy-4-(((4R,4aS,7aR,12bS)-4a-hydroxy-9-methoxy-3-methyl-2,3,4,4a,5,7a-hexahydro-1H-4,12-methanobenzofuro[3,2-e]isoquinolin-7-yl)oxy)-4-oxobutanoic acid trifluoroacetic acid salt
Figure US10226456-20190312-C00658
A solution of (S)-1-tert-butyl 4-((4R,4aS,7aR,12bS)-4a-hydroxy-9-methoxy-3-methyl-2,3,4,4a,5,7a-hexahydro-1H-4,12-methanobenzofuro[3,2-e]isoquinolin-7-yl) 2-acetoxysuccinate (230 mg, 0.434 mmol) in methylene chloride (4 mL) was treated with trifluoroacetic acid (1 mL) and stirred under a nitrogen atmosphere at ambient temperature for 3 h. After this time, the reaction mixture was concentrated under reduced pressure. The residue was purified by reversed phase column chromatography (50 g C18 column, 10-70% acetonitrile/water with 0.1% trifluoroacetic acid) and freeze dried to provide (S)-2-acetoxy-4-(((4R,4aS,7aR,12bS)-4a-hydroxy-9-methoxy-3-methyl-2,3,4,4a,5,7a-hexahydro-1H-4,12-methanobenzofuro[3,2-e]isoquinolin-7-yl)oxy)-4-oxobutanoic acid 2,2,2-trifluoroacetatetrifluoroacetic acid salt(225 mg, 88%) as a fluffy white solid:1H NMR (300 MHz, DMSO-d6) δ 13.38 (br s, 1H), 9.17 (br s, 1H), 6.86 (d, J=8.4 Hz, 1H), 6.75 (d, J=8.4 Hz, 1H), 6.29 (s, 1H), 5.56 (dd, J=5.7, 1.8 Hz, 1H), 5.26 (dd, J=8.4, 4.2 Hz, 1H), 4.99 (s, 1H), 3.74 (s, 3H), 3.65 (d, J=6.3 Hz, 1H), 3.43 (d, J=20.1 Hz, 1H, partially obscured by water peak), 3.16-3.06 (m, 3H), 2.98 (dd, J=16.8, 8.4 Hz, 1H), 2.84 (apparent d, J=3.9 Hz, 3H), 2.65-2.57 (m, 1H), 2.49-2.42 (m, 1H, partially obscured by solvent peak), 2.28 (dd, J=17.7, 6.3 Hz, 1H), 2.09 (s, 3H), 2.09-2.04 (m, 1H), 1.65 (d, J=11.1 Hz, 1H);ESI MS m/z 474 [C24H27NO9+H]+; HPLC (Method A) 96.7% (AUC), tR=7.78 min.
Figure US10226456-20190312-C00659
Figure US10226456-20190312-C00660
Preparation of (S)-tert-Butyl 2-acetoxy-2-phenylacetate
Figure US10226456-20190312-C00661
A mixture of (S)-2-acetoxy-2-phenylacetic acid (22.0 g, 104 mmol) and tert-butanol (19.0 g, 257 mmol) in methylene chloride (150 mL) at 0° C. was treated with N,N′-dicyclohexylcarbodiimide (28.0 g, 136 mmol). After stirring for 1 h, the ice bath was removed and the reaction mixture was stirred at ambient temperature for 18 h. After this time, the mixture was filtered and the filtrate was concentrated under reduced pressure. The residue was purified by column chromatography (330 g silica gel column, 5-20% ethyl acetate/heptane) to provide (S)-tert-butyl 2-acetoxy-2-phenylacetate (14.4 g, 52%):1H NMR (300 MHz, CDCl3) δ 7.48-7.43 (m, 2H), 7.40-7.35 (m, 3H), 5.80 (s, 1H), 2.18 (s, 3H), 1.40 (s, 9H).
Preparation of (S)-tert-Butyl 2-hydroxy-2-phenylacetate
Figure US10226456-20190312-C00662
A solution of (S)-tert-butyl 2-acetoxy-2-phenylacetate (14.4 g, 54.1 mmol) in methanol (15 mL) was cooled to 0° C. and treated with a solution of sodium bicarbonate (22.5 g, 163 mmol) in water/methanol (3:2, 145 mL). The reaction mixture was stirred at 0° C. for 2 h, and then neutralized by addition of citric acid (10 g, 52 mmol). The mixture was partially concentrated under reduced pressure and then extracted with methylene chloride. The organic layer was washed with water and brine, dried over sodium sulfate, filtered, and concentrated under reduced pressure to provide (S)-tert-butyl 2-hydroxy-2-phenylacetate (11.2 g), which was used without purification:1H NMR (300 MHz, CDCl3) δ 7.43-7.29 (m, 5H), 5.03 (d, J=6.0 Hz, 1H), 3.50 (d, J=6.0 Hz, 1H), 1.41 (s, 9H).
Preparation of (S)-4-(2-(tert-Butoxy)-2-oxo-1-phenylethoxy)-4-oxobutanoic acid
Figure US10226456-20190312-C00663
A solution of (S)-tert-butyl 2-hydroxy-2-phenylacetate (3.15 g, 15.1 mmol) in tetrahydrofuran (35 mL) at 0° C. was treated with a 1.0 M solution of lithium bis(trimethylsilyl)amidein tetrahydrofuran (16 mL, 16 mmol), and the mixture was stirred for 10 min. After this time, a solution of succinic anhydride (1.33 g, 16.6 mmol) in tetrahydrofuran (25 mL) was added, and the mixture was stirred at 0° C. for 1.5 h. After this time, the mixture was poured into a saturated solution of ammonium chloride and extracted with ethyl acetate. The organic extract was dried over sodium sulfate, filtered, and concentrated under reduced pressure to provide (S)-4-(2-(tert-butoxy)-2-oxo-1-phenylethoxy)-4-oxobutanoic acid (4.60 g): ESI MS m/z 634 [C16H20O6+NH4]+.
Preparation of (S)-2-(tert-Butoxy)-2-oxo-1-phenylethyl (2,5-dioxopyrrolidin-1-yl) succinate
Figure US10226456-20190312-C00664
A mixture of (S)-4-(2-(tert-butoxy)-2-oxo-1-phenylethoxy)-4-oxobutanoic acid (4.60 g, 15.0 mmol) and N-hydroxysuccinimide (1.90 g, 16.5 mmol) in tetrahydrofuran (75 mL) at 0° C. was treated with N,N′-dicyclohexylcarbodiimide (3.40 g, 16.5 mmol). The ice bath was removed, and the reaction mixture was stirred at ambient temperature for 4 h. After this time, diethyl ether (75 mL) was added, and the mixture was filtered. The filtrate was concentrated under reduced pressure to provide (S)-2-(tert-butoxy)-2-oxo-1-phenylethyl (2,5-dioxopyrrolidin-1-yl) succinate (10.0 g) that was used without purification:1H NMR (300 MHz, CDCl3) δ 7.47-7.42 (m, 2H), 7.42-7.35 (m, 3H), 5.84 (s, 1H), 3.06-2.98 (m, 2H), 2.93-2.88 (m, 2H), 2.83 (s, 4H), 1.39 (s, 9H).
Preparation of (S)-2-(tert-Butoxy)-2-oxo-1-phenylethyl ((4R,4aS,7aR,12bS)-4a-hydroxy-9-methoxy-3-methyl-2,3,4,4a,5,7a-hexahydro-1H-4,12-methanobenzofuro[3,2-e]isoquinolin-7-yl) succinate
Figure US10226456-20190312-C00665
A suspension of oxycodone (530 mg, 1.68 mmol) in tetrahydrofuran (9 mL) was cooled in an ice bath and treated dropwise with a 1.0 M solution of lithium bis(trimethylsilyl)amide in tetrahydrofuran (2.0 mL, 2.0 mmol). After addition was complete, the mixture was stirred under nitrogen atmosphere in the ice bath for 10 min and at ambient temperature for 5 min. The solution was re-cooled in a dry ice/acetone bath, and the mixture was treated dropwise with a solution of (S)-2-(tert-butoxy)-2-oxo-1-phenylethyl (2,5-dioxopyrrolidin-1-yl) succinate (810 mg, 2.00 mmol) in tetrahydrofuran (7 mL). After addition was complete, the dry ice/acetone bath was replaced with a wet ice/brine bath, and the mixture was stirred for 20 min. After this time, the reaction mixture was treated with saturated aqueous ammonium chloride (50 mL) and extracted with ethyl acetate (2×50 mL). The combined organics were washed with saturated sodium bicarbonate (50 mL), water (50 mL), and brine (50 mL); dried over sodium sulfate; filtered; and concentrated under reduced pressure. The crude residue was purified by reversed phase column chromatography (150 g C18 column, 20-100% acetonitrile/water) and freeze dried to provide (S)-2-(tert-butoxy)-2-oxo-1-phenylethyl ((4R,4aS,7aR,12bS)-4a-hydroxy-9-methoxy-3-methyl-2,3,4,4a,5,7a-hexahydro-1H-4,12-methanobenzofuro[3,2-e]isoquinolin-7-yl) succinate (344 mg, 34%) as a white solid: ESI MS m/z 606 [C34H39NO9+H]+.
Preparation of (S)-2-((4-(((4R,4aS,7aR,12bS)-4a-Hydroxy-9-methoxy-3-methyl-2,3,4,4a,5,7a-hexahydro-1H-4,12-methanobenzofuro[3,2-e]isoquinolin-7-yl)oxy)-4-oxobutanoyl)oxy)-2-phenylacetic acid trifluoroacetic acid salt
Figure US10226456-20190312-C00666
A solution of (S)-2-(tert-butoxy)-2-oxo-1-phenylethyl ((4R,4aS,7aR,12bS)-4a-hydroxy-9-methoxy-3-methyl-2,3,4,4a,5,7a-hexahydro-1H-4,12-methanobenzofuro[3,2-e]isoquinolin-7-yl) succinate (340 mg, 0.561 mmol) in methylene chloride (8 mL) was treated with trifluoroacetic acid (2 mL) and stirred under a nitrogen atmosphere at ambient temperature for 5 h. After this time, the reaction mixture was concentrated under reduced pressure. The residue was purified by reversed phase column chromatography (150 g C18 column, 10-100% acetonitrile/water with 0.1% trifluoroacetic acid) and freeze dried to provide (S)-2-((4-(((4R,4aS,7aR,12bS)-4a-hydroxy-9-methoxy-3-methyl-2,3,4,4a,5,7a-hexahydro-1H-4,12-methanobenzofuro[3,2-e]isoquinolin-7-yl)oxy)-4-oxobutanoyl)oxy)-2-phenylacetic acid trifluoroacetic acid salt (338 mg, 91%) as a white solid:1H NMR (300 MHz, DMSO-d6) δ 13.29 (br s, 1H), 9.18 (br s, 1H), 7.46-7.40 (m, 5H), 6.86 (d, J=8.4 Hz, 1H), 6.75 (d, J=8.4 Hz, 1H), 6.29 (br s, 1H), 5.84 (s, 1H), 5.50-5.46 (m, 1H), 4.96 (s, 1H), 3.74 (s, 3H), 3.64 (d, J=6.0 Hz, 1H), 3.43 (d, J=19.8 Hz, 1H), 3.15-3.06 (m, 2H), 2.84 (apparent d, J=3.3 Hz, 3H), 2.76 (s, 4H), 2.65-2.58 (m, 1H), 2.43 (dd, J=12.9, 4.2 Hz, 1H), 2.26 (dd, J=17.7, 6.0 Hz, 1H), 2.04 (apparent d, J=17.7 Hz, 1H), 1.63 (d, J=12.0 Hz, 1H); ESI MS m/z 550 [C30H31NO9+H]+; HPLC (Method A)>99% (AUC), tR=9.29 min.
Figure US10226456-20190312-C00667
Preparation of (S)-2-Acetoxy-2-phenylacetic acid
Figure US10226456-20190312-C00668
A solution of (S)-2-hydroxy-2-phenylacetic acid (16.4 g, 108 mmol) in acetic acid (30 mL) and water (1.3 mL) at 0° C. was treated dropwise with acetyl chloride (23.0 mL, 32.4 mmol). The reaction mixture was stirred at 0° C. for 1 h and then at room temperature for 18 h. After this time, the mixture was concentrated under reduced pressure, and the residue was dissolved in ethyl acetate, washed with water and brine, dried over sodium sulfate, filtered, and concentrated under reduced pressure to provide (S)-2-acetoxy-2-phenylacetic acid (22.0 g, 97%):1H NMR (300 MHz, CDCl3) δ 7.50-7.45 (m, 2H), 7.42-7.37 (m, 3H), 5.94 (s, 1H), 2.20 (s, 3H), CO2H proton not observed.
Preparation of (S)-2,5-Dioxopyrrolidin-1-yl 2-acetoxy-2-phenylacetate
Figure US10226456-20190312-C00669
A mixture of (S)-2-acetoxy-2-phenylacetic acid (6.50 g, 31.0 mmol) and N-hydroxysuccinimide (4.00 g, 34.8 mmol) in tetrahydrofuran (150 mL) at 0° C. was added N,N′-dicyclohexylcarbodiimide (7.00 g, 33.9 mmol). The ice bath was removed, and the reaction mixture was stirred at ambient temperature for 4 h. After this time, diethyl ether (100 mL) was added, and the mixture was filtered. The filtrate was concentrated under reduced pressure to provide (S)-2,5-dioxopyrrolidin-1-yl 2-acetoxy-2-phenylacetate (10.0 g) that was used without purification:1H NMR (300 MHz, CDCl3) δ 7.57-7.52 (m, 2H), 7.46-7.43 (m, 3H), 6.33 (s, 1H), 2.80 (s, 4H), 2.20 (s, 3H).
Preparation of (S)-2-((S)-2-Acetoxy-2-phenylacetoxy)propanoic acid
Figure US10226456-20190312-C00670
A mixture of (S)-2,5-dioxopyrrolidin-1-yl 2-acetoxy-2-phenylacetate (3.40 g, 11.6 mmol), (S)-2-hydroxypropanoic acid (1.30 g, 14.4 mmol), pyridine (1.1 mL, 13.6 mmol), and 4-dimethylaminopyridine (100 mg, 0.8 mmol) in tetrahydrofuran (50 mL) was stirred at reflux for 18 h. After this time, the mixture was cooled to room temperature, partially concentrated under reduced pressure, diluted with ethyl acetate, and washed with 10% citric acid. The organic layer was extracted with saturated sodium bicarbonate. The aqueous extract was carefully treated with 2N hydrochloric acid until acidic by pH paper analysis, and then extracted with ethyl acetate. The organic extracts were dried over sodium carbonate, filtered and concentrated. The residue was purified by reversed phase column chromatography (150 g C18 column, 5-100% acetonitrile/water) to provide (S)-2-((S)-2-acetoxy-2-phenylacetoxy)propanoic acid (1.15 g, 37%): ESI MS m/z 531 [2×(C13H14O6)−H].
Preparation of (S)-2,5-Dioxopyrrolidin-1-yl 2-((S)-2-acetoxy-2-phenylacetoxy)propanoate
Figure US10226456-20190312-C00671
A mixture of (S)-2-((S)-2-acetoxy-2-phenylacetoxy)propanoic acid (1.15 g, 4.32 mmol) and N-hydroxysuccinimide (545 mg, 4.74 mmol) in tetrahydrofuran (20 mL) was treated with N,N′-dicyclohexylcarbodiimide (975 mg, 4.74 mmol), and the reaction mixture was stirred at ambient temperature for 4 h. After this time, diethyl ether (20 mL) was added, and the mixture was filtered. The filtrate was concentrated under reduced pressure to provide (S)-2,5-dioxopyrrolidin-1-yl 2-((S)-2-acetoxy-2-phenylacetoxy)propanoate (1.64 g) that was used without purification:1H NMR (300 MHz, CDCl3) δ 7.50-7.46 (m, 2H), 7.42-7.35 (m, 3H), 5.99 (s, 1H), 5.49 (q, J=7.1 Hz, 1H), 2.79 (s, 4H), 2.19 (s, 3H), 1.68 (d, J=7.1 Hz, 3H).
Preparation of (S)-(4R,4aS,7aR,12bS)-4a-Hydroxy-9-methoxy-3-methyl-2,3,4,4a,5,7a-hexahydro-1H-4,12-methanobenzofuro[3,2-e]isoquinolin-7-yl 2-((S)-2-acetoxy-2-phenylacetoxy)propanoate trifluoroacetic acid salt
Figure US10226456-20190312-C00672
A suspension of oxycodone (0.50 g, 1.6 mmol) in tetrahydrofuran (5 mL) was cooled in an ice bath and treated with a 1.0 M solution of lithium bis(trimethylsilyl)amide in tetrahydrofuran (1.8 mL, 1.8 mmol). After addition was complete, the mixture was stirred under nitrogen atmosphere in the ice bath for 25 min and at ambient temperature for 25 min. The solution was re-cooled in a dry ice/acetone bath, and the mixture was treated with a solution of (S)-2,5-dioxopyrrolidin-1-yl 2-((S)-2-acetoxy-2-phenylacetoxy)propanoate (0.67 g, 1.8 mmol) in tetrahydrofuran (5 mL). The temperature was allowed to slowly increase to 0° C. over 2 h. After this time, the reaction mixture was treated with saturated aqueous ammonium chloride (50 mL) and extracted with ethyl acetate (2×50 mL). The combined organics were washed with saturated sodium bicarbonate (50 mL) and brine (50 mL), dried over sodium sulfate, filtered, and concentrated under reduced pressure. The crude residue was purified by reversed phase column chromatography (150 g C18 column, 30-100% acetonitrile/water with 0.1% trifluoroacetic acid) and freeze dried to provide (S)-(4R,4aS,7aR,12bS)-4a-hydroxy-9-methoxy-3-methyl-2,3,4,4a,5,7a-hexahydro-1H-4,12-methanobenzofuro[3,2-e]isoquinolin-7-yl 2-((S)-2-acetoxy-2-phenylacetoxy)propanoate trifluoroacetic acid salt (190 mg, 18%) as a white solid:1H NMR (300 MHz, DMSO-d6) δ 9.19 (br s, 1H), 7.52-7.48 (m, 2H), 7.42-7.37 (m, 3H), 6.86 (d, J=8.4 Hz, 1H), 6.75 (d, J=8.1 Hz, 1H), 6.28 (s, 1H), 6.06 (s, 1H), 5.47 (dd, J=5.7, 1.8 Hz, 1H), 5.28 (q, J=6.9 Hz, 1H), 4.82 (s, 1H), 3.73 (s, 3H), 3.64 (d, J=6.0 Hz, 1H), 3.42 (d, J=20.1 Hz, 1H), 3.15-3.06 (m, 2H), 2.84 (apparent d, J=4.8 Hz, 3H), 2.68-2.57 (m, 1H), 2.49-2.35 (m, 1H, partially obscured by solvent peak), 2.27 (dd, J=18.0, 6.0 Hz, 1H), 2.14 (s, 3H), 2.04 (apparent d, J=17.7 Hz, 1H), 1.62 (d, J=12.0 Hz, 1H), 1.48 (d, J=6.9 Hz, 3H); ESI MS m/z 564 [C31H33NO9+H]+; HPLC (Method A) 98.2% (AUC), tR=10.19 min.
Figure US10226456-20190312-C00673
Figure US10226456-20190312-C00674
Preparation of (R)-2-(2,2-Dimethyl-5-oxo-1,3-dioxolan-4-yl)acetic acid
Figure US10226456-20190312-C00675
A solution of (R)-malic acid (4.50 g, 33.6 mmol), 2-methoxyprop-1-ene (9.68 g, 134 mmol) and pyridinium p-toluenesulfonate (844 mg, 3.36 mmol) in acetone (50 mL) was stirred at 35° C. for 16 h. After this time, water (200 mL) was added, and the aqueous solution was extracted with ethyl acetate (2×200 mL). The combined organics were dried over sodium sulfate, filtered, and concentrated under reduced pressure. The residue was recrystallized from ethyl acetate/heptane to provide (R)-2-(2,2-dimethyl-5-oxo-1,3-dioxolan-4-yl)acetic acid (2.92 g, 50%) as an off-white solid:1H NMR (300 MHz, DMSO-d6) δ 4.72 (dd, J=6.6, 3.9 Hz, 1H), 3.01 (dd, J=17.4, 3.9 Hz, 1H), 2.86 (dd, J=17.4, 6.6 Hz, 1H), 1.63 (s, 3H), 1.58 (s, 3H), CO2H proton not observed.
Preparation of (R)-tert-Butyl 2-(2,2-dimethyl-5-oxo-1,3-dioxolan-4-yl)acetate
Figure US10226456-20190312-C00676
A solution of (R)-2-(2,2-dimethyl-5-oxo-1,3-dioxolan-4-yl)acetic acid (2.92 g, 16.8 mmol) and tert-butanol (1.86 g, 25.2 mmol) in methylene chloride (40 mL) was treated with N,N′-dicyclohexylcarbodiimide (4.16 g, 20.2 mmol) and 4-(dimethylamino)pyridine (616 mg, 5.04 mmol) and stirred at room temperature under a nitrogen atmosphere for 4 h. After this time, the reaction mixture was filtered to remove the solid dicyclohexylurea byproduct. The solid was washed with diethyl ether (100 mL), and the combined filtrate and washings were concentrated under reduced pressure. The crude residue was purified by column chromatography (80 g silica gel column, 0-30% ethyl acetate/heptane) to provide (R)-tert-butyl 2-(2,2-dimethyl-5-oxo-1,3-dioxolan-4-yl)acetate (3.19 g, 82%) as a white solid:1H NMR (300 MHz, CDCl3) δ 4.66 (dd, J=6.0, 3.9 Hz, 1H), 2.84 (dd, J=17.1, 4.2 Hz, 1H), 2.72 (dd, J=16.8, 6.3 Hz, 1H), 1.63 (s, 3H), 1.56 (s, 3H), 1.47 (s, 9H).
Preparation of (R)-4-(tert-Butoxy)-2-hydroxy-4-oxobutanoic acid
Figure US10226456-20190312-C00677
A solution of (R)-tert-butyl 2-(2,2-dimethyl-5-oxo-1,3-dioxolan-4-yl)acetate (3.19 g, 13.9 mmol) in acetic acid (21 mL) and water (9 mL) was stirred at 60° C. for 4 h. After this time, the solvent was removed under reduced pressure. The residue was dried under vacuum to provide (R)-4-(tert-butoxy)-2-hydroxy-4-oxobutanoic acid (2.81 g) as a colorless oil:1H NMR (300 MHz, DMSO-d6) δ 4.48 (dd, J=5.7, 5.4 Hz, 1H), 2.83 (m, 2H), 1.48 (m, 9H), CO2H and OH protons not observed.
Preparation of (R)-2-Acetoxy-4-(tert-butoxy)-4-oxobutanoic acid
Figure US10226456-20190312-C00678
(R)-4-(tert-Butoxy)-2-hydroxy-4-oxobutanoic acid (2.81 g, 14.8 mmol), acetyl chloride (1.28 g, 16.3 mmol), N,N-diisopropylethylamine (5.74 g, 44.4 mmol), and methylene chloride (150 mL) were combined at 0° C. and then stirred at room temperature under a nitrogen atmosphere for 4 h. After this time, 10% aqueous citric acid (100 mL) was added. The organic layer was separated and extracted with methylene chloride (2×100 mL). The combined organics were washed with brine (50 mL), dried over sodium sulfate, filtered, and concentrated under reduced pressure to provide (R)-2-acetoxy-4-(tert-butoxy)-4-oxobutanoic acid (3.44 g) as a black oil, which was used without purification.
Preparation of (R)-Di-tert-butyl 2-acetoxysuccinate
Figure US10226456-20190312-C00679
A solution of (R)-2-acetoxy-4-(tert-butoxy)-4-oxobutanoic acid (3.44 g, 14.8 mmol) and tert-butanol (2.41 g, 32.6 mmol) in methylene chloride (70 mL) was treated with N,N′-dicyclohexylcarbodiimide (3.69 g, 19.2 mmol) and 4-(dimethylamino)pyridine (597 mg, 4.88 mmol) and stirred at room temperature under a nitrogen atmosphere for 16 h. After this time, the reaction mixture was filtered to remove the solid dicyclohexylurea byproduct. The solid was washed with diethyl ether (100 mL), and the combined filtrate and washings were concentrated under reduced pressure. The crude residue was purified by column chromatography (80 g silica gel column, 0-30% ethyl acetate/heptane) to provide (R)-di-tert-butyl 2-acetoxysuccinate (1.70 g, 40%) as a colorless oil:1H NMR (300 MHz, CDCl3) δ 5.30 (dd, J=7.5, 5.4 Hz, 1H), 2.75 (m, 2H), 2.12 (s, 3H), 1.46 (s, 18H).
Preparation of (R)-Di-tert-butyl 2-hydroxysuccinate
Figure US10226456-20190312-C00680
(R)-Di-tert-butyl 2-acetoxysuccinate (1.70 g, 5.90 mmol), potassium carbonate (2.44 g, 17.7 mmol), methanol (90 mL) and water (15 mL) were combined and stirred at 0° C. for 3 h. After this time, water (200 mL) was added, and the aqueous solution was extracted with methylene chloride (2×200 mL). The combined organics were washed with brine (50 mL), dried over sodium sulfate, filtered, and concentrated under reduced pressure to provide (R)-di-tert-butyl 2-hydroxysuccinate (1.16 g, 80%) as a white solid:1H NMR (300 MHz, CDCl3) δ 4.30 (dd, J=10.2, 5.7 Hz, 1H), 3.19 (d, J=5.4 Hz, 1H), 2.75-2.66 (m, 2H), 1.47 (s, 9H), 1.45 (s, 9H).
Preparation of (R)-4-((1,4-Di-tert-butoxy-1,4-dioxobutan-2-yl)oxy)-4-oxobutanoic acid
Figure US10226456-20190312-C00681
(R)-Di-tert-butyl 2-hydroxysuccinate (1.16 g, 4.71 mmol), dihydrofuran-2,5-dione (1.41 g, 14.1 mmol), N,N-diisopropylethylamine (1.82 g, 14.1 mmol), and methylene chloride (30 mL) were combined and stirred at room temperature under a nitrogen atmosphere for 16 h. After this time, 10% aqueous citric acid (100 mL) was added. The organic layer was separated and extracted with methylene chloride (2×50 mL). The combined organics were washed with brine (50 mL), dried over sodium sulfate, filtered, and concentrated under reduced pressure to provide (R)-4-((1,4-di-tert-butoxy-1,4-dioxobutan-2-yl)oxy)-4-oxobutanoic acid (2.05 g) as a brown oil:1H NMR (300 MHz, CDCl3) δ 5.32 (dd, J=7.5, 5.1 Hz, 1H), 2.77-2.66 (m, 6H), 1.45 (s, 18H), CO2H proton not observed.
Preparation of (R)-Di-tert-butyl 2-((4-((2,5-dioxopyrrolidin-1-yl)oxy)-4-oxobutanoyl)oxy)succinate
Figure US10226456-20190312-C00682
A solution of (R)-4-((1,4-di-tert-butoxy-1,4-dioxobutan-2-yl)oxy)-4-oxobutanoic acid (2.05 g, 5.92 mmol) in tetrahydrofuran (60 mL) was treated with N-hydroxysuccinimide (681 mg, 5.92 mmol) and N,N′-dicyclohexylcarbodiimide (1.22 g, 5.92 mmol) and stirred under a nitrogen atmosphere for 5 h. After this time, the reaction mixture was filtered to remove the solid dicyclohexylurea byproduct. The solid was washed with diethyl ether (100 mL), and the combined filtrate and washings were concentrated under reduced pressure. The residue was triturated with diethyl ether to provide (R)-di-tert-butyl 2-((4-((2,5-dioxopyrrolidin-1-yl)oxy)-4-oxobutanoyl)oxy)succinate (2.75 g) as a brown oil:1H NMR (300 MHz, CDCl3) δ 5.34 (dd, J=6.9, 5.7 Hz, 1H), 3.01-2.96 (m, 2H), 2.87-2.70 (m, 8H), 1.45 (s, 18H).
Preparation of (R)-Di-tert-butyl 2-((4-(((4R,4aS,7aR,12bS)-4a-hydroxy-9-methoxy-3-methyl-2,3,4,4a,5,7a-hexahydro-1H-4,12-methanobenzofuro[3,2-e]isoquinolin-7-yl)oxy)-4-oxobutanoyl)oxy)succinate
Figure US10226456-20190312-C00683
A suspension of oxycodone (500 mg, 1.59 mmol) in tetrahydrofuran (10 mL) was cooled to −50° C. and treated dropwise with a 1.0 M solution of potassium tert-butoxide in tetrahydrofuran (1.8 mL, 1.8 mmol). After addition was complete, the mixture was stirred at −50° C. for 45 min. The mixture was treated dropwise with a solution of (R)-di-tert-butyl 2-((4-((2,5-dioxopyrrolidin-1-yl)oxy)-4-oxobutanoyl)oxy)succinate (775 mg, 1.80 mmol) in tetrahydrofuran (8 mL). After addition was complete, the mixture was stirred at −50° C. for 30 min. After this time, the reaction mixture was treated with saturated aqueous ammonium chloride (20 mL) and extracted with ethyl acetate (3×20 mL). The combined organics were dried over sodium sulfate, filtered, and concentrated under reduced pressure. The crude residue was purified by reversed phase column chromatography (50 g C18 column, 10-100% acetonitrile/water) and freeze dried to provide (R)-di-tert-butyl 2-((4-(((4R,4aS,7aR,12bS)-4a-hydroxy-9-methoxy-3-methyl-2,3,4,4a,5,7a-hexahydro-1H-4,12-methanobenzofuro[3,2-e]isoquinolin-7-yl)oxy)-4-oxobutanoyl)oxy)succinate (144 mg, 15%) as a white solid: ESI MS m/z 644 [C34H45NO11+H]+.
Preparation of (R)-2-((4-(((4R,4aS,7aR,12bS)-4a-Hydroxy-9-methoxy-3-methyl-2,3,4,4a,5,7a-hexahydro-1H-4,12-methanobenzofuro[3,2-e]isoquinolin-7-yl)oxy)-4-oxobutanoyl)oxy)succinic acid
Figure US10226456-20190312-C00684
A solution of (R)-di-tert-butyl 2-((4-(((4R,4aS,7aR,12bS)-4a-hydroxy-9-methoxy-3-methyl-2,3,4,4a,5,7a-hexahydro-1H-4,12-methanobenzofuro[3,2-e]isoquinolin-7-yl)oxy)-4-oxobutanoyl)oxy)succinate (144 mg, 0.220 mmol) in methylene chloride (1 mL) was treated with trifluoroacetic acid (1 mL) and stirred under a nitrogen atmosphere at ambient temperature for 1 h. After this time, the reaction mixture was concentrated under reduced pressure. This material was purified by reversed phase column chromatography (50 g C18 column, 5-40% acetonitrile/water) and freeze dried to provide (R)-2-((4-(((4R,4aS,7aR,12bS)-4a-hydroxy-9-methoxy-3-methyl-2,3,4,4a,5,7a-hexahydro-1H-4,12-methanobenzofuro[3,2-e]isoquinolin-7-yl)oxy)-4-oxobutanoyl)oxy)succinic acid (102 mg, 86%) as a white solid:1H NMR (300 MHz, DMSO-d6) δ 6.81 (d, J=8.1 Hz, 1H), 6.70 (d, J=8.1 Hz, 1H), 5.53 (dd, J=5.7, 2.1 Hz, 1H), 5.09-5.06 (m, 1H), 4.93 (s, 1H), 3.74 (s, 3H), 3.28 (d, J=18.9 Hz, 1H), 2.83-2.61 (m, 9H), 2.37-2.13 (m, 6H), 2.02 (d, J=18 Hz, 1H), 1.52 (d, J=9.9 Hz, 1H), two CO2H and OH protons not observed; ESI MS m/z 530 [C26H29NO11+H]+; HPLC (Method A)>99% (AUC), tR=7.64 min.
Figure US10226456-20190312-C00685
Preparation of (S)-4-Benzyl 1-((S)-1-(tert-butoxy)-1-oxopropan-2-yl) 2-hydroxysuccinate
Figure US10226456-20190312-C00686
A solution of (S)-tert-butyl 2-hydroxypropanoate (1.11 g, 7.61 mmol) in tetrahydrofuran (15 mL) was cooled in an ice bath and treated dropwise with a 1.0 M solution of lithium bis(trimethylsilyl)amide in tetrahydrofuran (7.6 mL, 7.6 mmol). After addition was complete, the mixture was stirred at ambient temperature for 15 min. The mixture was re-cooled in the ice bath and treated dropwise with a solution of (S)-benzyl 2-(2,2-dimethyl-5-oxo-1,3-dioxolan-4-yl)acetate (2.01 g, 7.61 mmol) in tetrahydrofuran (10 mL). After addition was complete, the mixture was stirred at 0° C. for 4 h. After this time, the reaction mixture was treated with saturated aqueous ammonium chloride (10 mL) and extracted with ethyl acetate (2×25 mL). The combined organics were dried over sodium sulfate, filtered, and concentrated under reduced pressure. The crude residue was purified by column chromatography (silica gel, 0-30% ethyl acetate/heptanes) to provide (S)-4-benzyl 1-((S)-1-(tert-butoxy)-1-oxopropan-2-yl) 2-hydroxysuccinate (0.89, 33%) as a colorless oil:1H NMR (300 MHz, CDCl3) δ 7.38-7.35 (m, 5H), 5.17 (d, J=1.0 Hz, 1H), 5.05 (dd, J=14.1, 8.4 Hz, 1H), 4.69-4.53 (m, 1H), 3.15 (dd, J=18.0, 6.0 Hz, 1H), 3.02 (dd, J=15.9, 3.9 Hz, 1H), 2.90-2.80 (m, 1H), 1.46 (d, J=8.1 Hz, 3H), 1.45 (s, 9H), OH proton not observed.
Preparation of (S)-4-Benzyl 1-((S)-1-(tert-butoxy)-1-oxopropan-2-yl) 2-((tert-butoxycarbonyl)oxy)succinate
Figure US10226456-20190312-C00687
(S)-4-Benzyl 1-((S)-1-(tert-butoxy)-1-oxopropan-2-yl) 2-hydroxysuccinate (1.86 g, 5.28 mmol), di-tert-butyl dicarbonate (1.38 g, 6.34 mmol), and N,N-dimethylpyridin-4-amine (64 mg, 0.53 mmol) were combined and stirred in methylene chloride (60 mL) at ambient temperature for 3 h. After this time, the mixture was concentrated under reduced pressure. The crude residue was purified by column chromatography (silica gel, 0-30% ethyl acetate/heptanes) to provide (S)-4-benzyl 1-((S)-1-(tert-butoxy)-1-oxopropan-2-yl) 2-((tert-butoxycarbonyl)oxy)succinate (1.91 g, 80%) as a colorless oil:1H NMR (300 MHz, CDCl3) δ 7.38-7.33 (m, 5H), 5.41 (dd, J=9.6, 3.3 Hz, 1H), 5.21 (d, J=12.3 Hz, 1H), 5.13 (d, J=12.3 Hz, 1H), 5.02 (dd, J=14.1, 3.6 Hz, 1H), 3.12 (dd, J=17.8, 3.6 Hz, 1H), 2.95 (dd, J=18.1, 8.1 Hz, 1H), 1.49 (s, 9H), 1.45 (d, J=6.2 Hz, 3H), 1.44 (s, 9H).
Preparation of (S)-4-(((S)-1-(tert-Butoxy)-1-oxopropan-2-yl)oxy)-3-((tert-butoxycarbonyl)oxy)-4-oxobutanoic acid
Figure US10226456-20190312-C00688
A solution of (S)-4-benzyl 1-((S)-1-(tert-butoxy)-1-oxopropan-2-yl) 2-((tert-butoxycarbonyl)oxy)succinate (0.27 g, 0.60 mmol) in ethyl alcohol (5 mL) was treated with palladium on carbon (10%, 30 mg). The mixture was stirred with under a hydrogen atmosphere at ambient temperature for 2 h. After this time, the reaction mixture was filtered and concentrated under reduced pressure to provide (S)-4-(((S)-1-(tert-butoxy)-1-oxopropan-2-yl)oxy)-3-((tert-butoxycarbonyl)oxy)-4-oxobutanoic acid (0.22 g, 99%) as a colorless oil:1H NMR (300 MHz, CDCl3) δ 5.38 (dd, J=9.3, 3.6 Hz, 1H), 5.05 (dd, J=14.1, 6.9 Hz, 1H), 3.13 (dd, J=17.1, 3.3 Hz, 1H), 2.95 (dd, J=17.1, 9.3 Hz, 1H), 1.50 (s, 9H), 1.47 (d, J=6.2 Hz, 3H), 1.46 (s, 9H), CO2H proton not observed.
Preparation of (S)-1-((S)-1-(tert-Butoxy)-1-oxopropan-2-yl) 4-(2,5-dioxopyrrolidin-1-yl) 2-((tert-butoxycarbonyl)oxy)succinate
Figure US10226456-20190312-C00689
(S)-4-(((S)-1-(tert-Butoxy)-1-oxopropan-2-yl)oxy)-3-((tert-butoxycarbonyl)oxy)-4-oxobutanoic acid (0.21 g, 0.58 mmol), 1-hydroxypyrrolidine-2,5-dione (77 mg, 0.67 mmol) and dicyclohexylcarbodiimide (0.13 g, 0.64 mmol) were combined and stirred in tetrahydrofuran (4 mL) at ambient temperature for 4 h. After this time, the mixture was filtered and concentrated under reduced pressure to provide (S)-1-((S)-1-(tert-butoxy)-1-oxopropan-2-yl) 4-(2,5-dioxopyrrolidin-1-yl) 2-((tert-butoxycarbonyl)oxy)succinate (0.3 g, 99%) as a sticky solid:1H NMR (300 MHz, CDCl3) δ 5.45 (dd, J=9.6, 3.3 Hz, 1H), 5.05 (dd, J=14.1, 6.9 Hz, 1H), 3.46 (dd, J=17.1, 3.3 Hz, 1H), 3.18 (dd, J=17.1, 9.3 Hz, 1H), 2.87-2.82 (m, 4H), 1.50 (s, 9H), 1.47 (d, J=6.2 Hz, 3H), 1.46 (s, 9H).
Preparation of (S)-1-((S)-1-(tert-Butoxy)-1-oxopropan-2-yl) 4-((4R,4aS,7aR,12bS)-4a-hydroxy-9-methoxy-3-methyl-2,3,4,4a,5,7a-hexahydro-1H-4,12-methanobenzofuro[3,2-e]isoquinolin-7-yl) 2-((tert-butoxycarbonyl)oxy)succinate
Figure US10226456-20190312-C00690
A suspension of oxycodone (500 mg, 1.59 mmol) in tetrahydrofuran (10 mL) was cooled to −50° C. and treated dropwise with a 1.0 M solution of potassium tert-butoxide in tetrahydrofuran (1.8 mL, 1.8 mmol). After addition was complete, the mixture was stirred at −50° C. for 45 min. The mixture was treated dropwise with a solution of (S)-1-((S)-1-(tert-butoxy)-1-oxopropan-2-yl) 4-(2,5-dioxopyrrolidin-1-yl) 2-((tert-butoxycarbonyl)oxy)succinate (800 mg, 1.8 mmol) in tetrahydrofuran (8 mL). After addition was complete, the mixture was stirred at −50° C. for 30 min. After this time, the reaction mixture was treated with saturated aqueous ammonium chloride (20 mL) and extracted with ethyl acetate (3×20 mL). The combined organics were dried over sodium sulfate, filtered, and concentrated under reduced pressure. The crude residue was purified by reversed phase column chromatography (50 g C18 column, 10-100% acetonitrile/water) and freeze dried to provide (S)-1-((S)-1-(tert-butoxy)-1-oxopropan-2-yl) 4-((4R,4aS,7aR,12bS)-4a-hydroxy-9-methoxy-3-methyl-2,3,4,4a,5,7a-hexahydro-1H-4,12-methanobenzofuro[3,2-e]isoquinolin-7-yl) 2-((tert-butoxycarbonyl)oxy)succinate (77 mg, 7%) as a white solid: ESI MS m/z 660 [C34H45NO12+H]+.
Preparation of (S)-2-(((S)-2-Hydroxy-4-(((4R,4aS,7aR,12bS)-4a-hydroxy-9-methoxy-3-methyl-2,3,4,4a,5,7a-hexahydro-1H-4,12-methanobenzofuro[3,2-e]isoquinolin-7-yl)oxy)-4-oxobutanoyl)oxy)propanoic acid
Figure US10226456-20190312-C00691
A solution of (S)-1-((S)-1-(tert-butoxy)-1-oxopropan-2-yl) 4-((4R,4aS,7aR,12bS)-4a-hydroxy-9-methoxy-3-methyl-2,3,4,4a,5,7a-hexahydro-1H-4,12-methanobenzofuro[3,2-e]isoquinolin-7-yl) 2-((tert-butoxycarbonyl)oxy)succinate (77 mg, 0.12 mmol) in methylene chloride (1 mL) was treated with trifluoroacetic acid (1 mL) and stirred under a nitrogen atmosphere at ambient temperature for 1 h. After this time, the reaction mixture was concentrated under reduced pressure. This material was purified by reversed phase column chromatography (50 g C18 column, 5-40% acetonitrile/water) and freeze dried to provide (S)-2-(((S)-2-hydroxy-4-(((4R,4aS,7aR,12bS)-4a-hydroxy-9-methoxy-3-methyl-2,3,4,4a,5,7a-hexahydro-1H-4,12-methanobenzofuro[3,2-e]isoquinolin-7-yl)oxy)-4-oxobutanoyl)oxy)propanoic acid (34 mg, 58%) as a white solid:1H NMR (300 MHz, DMSO-d6) δ 6.75 (d, J=8.4 Hz, 1H), 6.66 (d, J=8.4 Hz, 1H), 5.91 (s, 1H), 5.52 (dd, J=5.7, 2.4 Hz, 1H), 4.95 (dd, J=13.8, 6.9 Hz, 1H), 4.86 (s, 1H), 4.49-4.47 (m, 1H), 3.74 (s, 3H), 3.13 (d, J=18.9 Hz, 1H), 2.97-2.89 (m, 2H), 2.69-2.61 (m, 2H), 2.46-2.42 (m, 1H), 2.28-2.22 (m, 2H), 2.12-2.00 (m, 4H), 1.42-1.38 (m, 4H), CO2H and OH protons not observed; ESI MS m/z 504 [C25H29NO10+H]+;HPLC (Method A)>99% (AUC), tR=7.58 min.
Figure US10226456-20190312-C00692
Preparation of (S)-2-(((S)-3-Acetoxy-4-(tert-butoxy)-4-oxobutanoyl)oxy)propanoic acid
Figure US10226456-20190312-C00693
A solution of (S)-1-tert-butyl 4-(2,5-dioxopyrrolidin-1-yl) 2-acetoxysuccinate (1.46 g, 4.44 mmol), lactic acid (447 mg, 4.96 mmol), and 4-dimethylaminopyridine (57 mg, 0.47 mmol) in tetrahydrofuran (30 mL) was treated with pyridine (0.72 g, 8.9 mmol) and heated at 50° C. under a nitrogen atmosphere for 48 h. After this time, the reaction mixture was cooled to room temperature and concentrated under reduced pressure. The residue was dissolved in ethyl acetate (50 mL) and washed with aqueous 10% citric acid (2×25 mL) and water (25 mL), dried over sodium sulfate, filtered, and concentrated under reduced pressure. The crude residue was purified by column chromatography (silica gel, 0-10% methanol/methylene chloride) to (S)-2-(((S)-3-acetoxy-4-(tert-butoxy)-4-oxobutanoyl)oxy)propanoic (455 mg, 34%) as a colorless oil:1H NMR (300 MHz, DMSO-d6) δ 13.07 (br s, 1H), 5.17 (dd, J=7.8, 4.8 Hz, 1H), 4.96 (q, J=6.9 Hz, 1H), 2.98-2.83 (m, 2H), 2.05 (s, 3H), 1.41 (s, 9H), 1.39 (d, J=6.9 Hz, 3H).
Preparation of (S)-1-tert-Butyl 4-((S)-1-((2,5-dioxopyrrolidin-1-yl)oxy)-1-oxopropan-2-yl) 2-acetoxysuccinate
Figure US10226456-20190312-C00694
A solution of (S)-2-(((S)-3-acetoxy-4-(tert-butoxy)-4-oxobutanoyl)oxy)propanoic (450 mg, 1.48 mmol) in tetrahydrofuran (15 mL) was treated with N-hydroxysuccinimide (185 mg, 1.61 mmol) and N,N′-dicyclohexylcarbodiimide (338 mg, 1.64 mmol) and stirred under a nitrogen atmosphere for 7 h. After this time, the reaction mixture was filtered to remove the solid dicyclohexylurea byproduct. The solid was washed with diethyl ether, and the combined filtrate and washings were concentrated under reduced pressure to provide (S)-1-tert-butyl 4-((S)-1-((2,5-dioxopyrrolidin-1-yl)oxy)-1-oxopropan-2-yl) 2-acetoxysuccinate (703 mg, quantitative) as an off-white solid:1H NMR (300 MHz, DMSO-d6) δ 5.52 (q, J=6.9 Hz, 1H), 5.18 (dd, J=7.5, 5.1 Hz, 1H), 3.05-2.91 (m, 2H), 2.82 (br s, 4H), 2.05 (s, 3H), 1.56 (d, J=6.9 Hz, 3H), 1.41 (s, 9H).
Preparation of (S)-1-tert-Butyl 4-((S)-1-(((4R,4aS,7aR,12bS)-4a-hydroxy-9-methoxy-3-methyl-2,3,4,4a,5,7a-hexahydro-1H-4,12-methanobenzofuro[3,2-e]isoquinolin-7-yl)oxy)-1-oxopropan-2-yl) 2-acetoxysuccinate
Figure US10226456-20190312-C00695
A suspension of oxycodone (415 mg, 1.32 mmol) in tetrahydrofuran (6 mL) was cooled in an ice bath and treated dropwise with a 1.0 M solution of lithium bis(trimethylsilyl)amide in tetrahydrofuran (1.4 mL, 1.4 mmol). After stirring at 0° C. for 45 min, the ice bath was replaced with a dry ice/acetonitrile bath (−45° C.). The mixture was treated dropwise with a solution of (S)-1-tert-butyl 4-((S)-1-((2,5-dioxopyrrolidin-1-yl)oxy)-1-oxopropan-2-yl) 2-acetoxysuccinate (590 mg, 1.47 mmol) in tetrahydrofuran (7 mL) and stirred for 1 h. After this time, the dry ice/acetonitrile bath was replaced with a wet ice/brine bath, and the reaction mixture was treated with saturated aqueous ammonium chloride (50 mL) and extracted with ethyl acetate (2×50 mL). The combined organics were washed with saturated sodium bicarbonate (50 mL) and brine (50 mL), dried over sodium sulfate, filtered, and concentrated under reduced pressure. The crude residue was purified by reversed phase column chromatography (50 g C18 column, 10-100% acetonitrile/water) and freeze dried to provide (S)-1-tert-butyl 4-((S)-1-(((4R,4aS,7aR,12bS)-4a-hydroxy-9-methoxy-3-methyl-2,3,4,4a,5,7a-hexahydro-1H-4,12-methanobenzofuro[3,2-e]isoquinolin-7-yl)oxy)-1-oxopropan-2-yl) 2-acetoxysuccinate (241 mg, 30%) as a fluffy white solid:1H NMR (300 MHz, DMSO-d6) δ 6.73 (d, J=8.4 Hz, 1H), 6.65 (d, J=8.1 Hz, 1H), 5.55 (dd, J=5.4, 2.4 Hz, 1H), 5.21-5.13 (m, 2H), 4.83 (s, 1H), 4.72 (s, 1H), 3.73 (s, 3H), 3.10 (d, J=18.6 Hz, 1H), 2.97-2.94 (m, 2H), 2.83 (d, J=6.0 Hz, 1H), 2.60 (dd, J=18.9, 6.0 Hz, 1H), 2.41 (dd, J=11.4, 3.9 Hz, 1H), 2.31 (s, 3H), 2.22 (dd, J=12.6, 4.8 Hz, 1H), 2.10-1.94 (m, 3H), 2.04 (s, 3H), 1.49 (d, J=6.9 Hz, 3H) 1.41 (s, 9H), 1.39 (d, J=12.3 Hz, 1H);ESI MS m/z 602 [C31H39NO11+H]+; HPLC (Method A) 96.6% (AUC), tR=10.46 min.
Preparation of (S)-2-Acetoxy-4-(((S)-1-(((4R,4aS,7aR,12bS)-4a-hydroxy-9-methoxy-3-methyl-2,3,4,4a,5,7a-hexahydro-1H-4,12-methanobenzofuro[3,2-e]isoquinolin-7-yl)oxy)-1-oxopropan-2-yl)oxy)-4-oxobutanoic acid trifluoroacetic acid salt
Figure US10226456-20190312-C00696
A solution of (S)-1-tert-butyl 4-((S)-1-(((4R,4aS,7aR,12bS)-4a-hydroxy-9-methoxy-3-methyl-2,3,4,4a,5,7a-hexahydro-1H-4,12-methanobenzofuro[3,2-e]isoquinolin-7-yl)oxy)-1-oxopropan-2-yl) 2-acetoxysuccinate (196 mg, 0.326 mmol) in methylene chloride (4 mL) was treated with trifluoroacetic acid (1 mL) and stirred under a nitrogen atmosphere at ambient temperature for 5 h. After this time, the reaction mixture was concentrated under reduced pressure. The residue was purified by reversed phase column chromatography (C18 column, 10-100% acetonitrile/water with 0.1% trifluoroacetic acid) and freeze dried to provide (S)-2-acetoxy-4-(((S)-1-(((4R,4aS,7aR,12bS)-4a-hydroxy-9-methoxy-3-methyl-2,3,4,4a,5,7a-hexahydro-1H-4,12-methanobenzofuro[3,2-e]isoquinolin-7-yl)oxy)-1-oxopropan-2-yl)oxy)-4-oxobutanoic acid trifluoroacetic acid salt (164 mg, 76%) as a fluffy white solid:1H NMR (300 MHz, DMSO-d6) δ 13.37 (br s, 1H), 9.18 (br s, 1H), 6.85 (d, J=8.4 Hz, 1H), 6.75 (d, J=8.4 Hz, 1H), 6.30 (s, 1H), 5.59 (dd, J=5.7, 1.8 Hz, 1H), 5.27 (dd, J=7.8, 4.5 Hz, 1H), 5.18 (q, J=7.2 Hz, 1H), 5.00 (s, 1H), 3.75 (s, 3H), 3.65 (d, J=6.3 Hz, 1H), 3.43 (d, J=19.8 Hz, 1H, partially obscured by water peak), 3.16-3.07 (m, 2H), 3.05-2.90 (m, 2H), 2.84 (apparent d, J=3.0 Hz, 3H), 2.66-2.55 (m, 1H), 2.49-2.43 (m, 1H, partially obscured by solvent peak), 2.34-2.26 (m, 1H), 2.10-2.04 (m, 1H), 2.04 (s, 3H), 1.65 (d, J=11.1 Hz, 1H), 1.50 (d, J=7.2 Hz, 3H); ESI MS m/z 546 [C27H31NO11+H]+; HPLC (Method A) 99.0% (AUC), tR=8.48 min.
Figure US10226456-20190312-C00697
Preparation of (2R,3R)-2,3-Diacetoxy-4-(((4R,4aS,7aR,12bS)-4a-hydroxy-9-methoxy-3-methyl-2,3,4,4a,5,7a-hexahydro-1H-4,12-methanobenzofuro[3,2-e]isoquinolin-7-yl)oxy)-4-oxobutanoic acid trifluoroacetic acid salt
Figure US10226456-20190312-C00698
A suspension of oxycodone (252 mg, 0.799 mmol) in tetrahydrofuran (6 mL) was cooled in an ice bath and treated dropwise with a 1.0 M solution of potassium tert-butoxide in tetrahydrofuran (0.85 mL, 0.85 mmol). After stirring in the ice bath under a nitrogen atmosphere for 1 h, the mixture was treated with solid (3R,4R)-2,5-dioxotetrahydrofuran-3,4-diyl diacetate (268 mg, 1.24 mmol). After 30 min, the ice bath was removed, and the mixture was stirred at ambient temperature for 30 min. After this time, the reaction mixture was re-cooled in an ice bath, treated with a 1:1 mixture of trifluoroacetic acid/acetonitrile (0.5 mL), and concentrated under reduced pressure. The crude residue was purified by reversed phase column chromatography (50 g C18 column, 10-60% acetonitrile/water with 0.1% trifluoroacetic acid) and freeze dried to provide (2R,3R)-2,3-diacetoxy-4-(((4R,4aS,7aR,12bS)-4a-hydroxy-9-methoxy-3-methyl-2,3,4,4a,5,7a-hexahydro-1H-4,12-methanobenzofuro[3,2-e]isoquinolin-7-yl)oxy)-4-oxobutanoic acid trifluoroacetic acid salt (113 mg, 27%) as a white solid:1H NMR (300 MHz, DMSO-d6) δ 13.87 (br s, 1H), 9.17 (br s, 1H), 6.88 (d, J=8.4 Hz, 1H), 6.76 (d, J=8.4 Hz, 1H), 6.34 (s, 1H), 5.77 (d, J=3.0 Hz, 1H), 5.68 (d, J=3.0 Hz, 1H), 5.56 (dd, J=6.3, 2.1 Hz, 1H), 4.88 (s, 1H), 3.76 (s, 3H), 3.65 (d, J=6.3 Hz, 1H), 3.43 (d, J=20.1 Hz, 1H), 3.16-3.07 (m, 2H), 2.84 (apparent d, J=3.3 Hz, 3H), 2.64-2.57 (m, 1H), 2.49-2.43 (m, 1H, partially obscured by solvent peak), 2.33-2.25 (m, 1H), 2.18 (s, 3H), 2.14 (s, 3H), 2.11-2.05 (in, 1H), 1.65 (d, J=11.4 Hz, 1H); ESI MS m/z 532 [C26H29NO1+H]+; HPLC (Method A) 94.2% (AUC), tR=7.90 min.
Figure US10226456-20190312-C00699
Preparation of (S)-2-(((S)-2-Acetoxy-4-(tert-butoxy)-4-oxobutanoyl)oxy)-2-phenylacetic acid
Figure US10226456-20190312-C00700
(S)-Mandelic acid (770 mg, 5.06 mmol), (S)-4-tert-butyl 1-(2,5-dioxopyrrolidin-1-yl) 2-acetoxysuccinate (2.00 g, 6.07 mmol), 4-(dimethylamino)pyridine (62 mg, 0.506 mmol), pyridine (480 mg, 6.07 mmol) and tetrahydrofuran (34 mL) were combined and heated at 60° C. under a nitrogen atmosphere for 24 h. After this time, the solvent was removed under reduced pressure, and the residue was participated between ethyl acetate (20 mL) and 10% aqueous citric acid. The organic layer was separated and extracted with saturated aqueous sodium bicarbonate (20 ml). The aqueous phase was collected and acidified to pH=3 with 6 N hydrochloric acid, and the mixture was extracted with ethyl acetate (2×20 mL). The combined organics were washed with brine (50 mL), dried over sodium sulfate, filtered, and concentrated under reduced pressure to provide (S)-2-(((S)-2-acetoxy-4-(tert-butoxy)-4-oxobutanoyl)oxy)-2-phenylacetic acid (754 mg, 41%) as a colorless oil:1H NMR (300 MHz, CDCl3) δ 7.48-7.39 (m, 5H), 6.03 (s, 1H), 5.54 (m, 1H), 3.01-2.76 (m, 2H), 2.13 (s, 3H), 1.45 (s, 9H), CO2H proton not observed.
Preparation of (S)-4-tert-Butyl 1-((S)-2-((2,5-dioxopyrrolidin-1-yl)oxy)-2-oxo-1-phenylethyl) 2-acetoxysuccinate
Figure US10226456-20190312-C00701
A solution of (S)-2-(((S)-2-acetoxy-4-(tert-butoxy)-4-oxobutanoyl)oxy)-2-phenylacetic acid (754 mg, 2.06 mmol) in tetrahydrofuran (15 mL) was treated with N-hydroxysuccinimide (260 mg, 2.26 mmol) and N,N′-dicyclohexylcarbodiimide (466 mg, 2.26 mmol) and stirred under a nitrogen atmosphere for 5 h. After this time, the reaction mixture was filtered to remove the solid dicyclohexylurea byproduct. The solid was washed with diethyl ether (100 mL), and the combined filtrate and washings were concentrated under reduced pressure. The residue was triturated with diethyl ether to provide (S)-4-tert-butyl 1-((S)-2-((2,5-dioxopyrrolidin-1-yl)oxy)-2-oxo-1-phenylethyl) 2-acetoxysuccinate (930 mg) as a yellow oil:1H NMR (300 MHz, CDCl3) δ 7.55-7.43 (m, 5H), 6.39 (s, 1H), 5.53 (m, 1H), 2.98-2.76 (m, 6H), 2.15 (s, 3H), 1.46 (s, 9H).
Preparation of (S)-4-tert-Butyl 1-((S)-2-(((4R,4aS,7aR,12bS)-4a-hydroxy-9-methoxy-3-methyl-2,3,4,4a,5,7a-hexahydro-1H-4,12-methanobenzofuro[3,2-e]isoquinolin-7-yl)oxy)-2-oxo-1-phenylethyl) 2-acetoxysuccinate
Figure US10226456-20190312-C00702
A suspension of oxycodone (286 mg, 1.59 mmol) in tetrahydrofuran (10 mL) was cooled to −50° C. and treated dropwise with a 1.0 M solution of potassium tert-butoxide in tetrahydrofuran (1.0 mL, 1.0 mmol). After addition was complete, the mixture was stirred at −50° C. for 45 min. The mixture was treated dropwise with a solution of (S)-4-tert-butyl 1-((S)-2-((2,5-dioxopyrrolidin-1-yl)oxy)-2-oxo-1-phenylethyl) 2-acetoxysuccinate (0.47 g, 1.0 mmol) in tetrahydrofuran (8 mL). After addition was complete, the mixture was stirred at −50° C. for 30 min. After this time, the reaction mixture was treated with saturated aqueous ammonium chloride (20 mL) and extracted with ethyl acetate (3×20 mL). The combined organics were dried over sodium sulfate, filtered, and concentrated under reduced pressure. The crude residue was purified by column chromatography (50 g C18 column, 10-100% acetonitrile/water) and freeze dried to provide (S)-4-tert-butyl 1-((S)-2-(((4R,4aS,7aR,12bS)-4a-hydroxy-9-methoxy-3-methyl-2,3,4,4a,5,7a-hexahydro-1H-4,12-methanobenzofuro[3,2-e]isoquinolin-7-yl)oxy)-2-oxo-1-phenylethyl) 2-acetoxysuccinate (89 mg, 15%) as a white solid: ESI MS m/z 602 [C36H41NO11+H]+.
Preparation of (S)-3-Acetoxy-4-((S)-2-(((4R,4aS,7aR,12bS)-4a-hydroxy-9-methoxy-3-methyl-2,3,4,4a,5,7a-hexahydro-1H-4,12-methanobenzofuro[3,2-e]isoquinolin-7-yl)oxy)-2-oxo-1-phenylethoxy)-4-oxobutanoic acid trifluoroacetic acid salt
Figure US10226456-20190312-C00703
A solution of (S)-4-tert-butyl 1-((S)-2-(((4R,4aS,7aR,12bS)-4a-hydroxy-9-methoxy-3-methyl-2,3,4,4a,5,7a-hexahydro-1H-4,12-methanobenzofuro[3,2-e]isoquinolin-7-yl)oxy)-2-oxo-1-phenylethyl) 2-acetoxysuccinate (89 mg, 0.13 mmol) in methylene chloride (1 mL) was treated with trifluoroacetic acid (1 mL) and stirred under a nitrogen atmosphere at ambient temperature for 1 h. After this time, the reaction mixture was concentrated under reduced pressure. This material was purified by reversed phase column chromatography (50 g C18 column, 5-40% acetonitrile/water) and freeze dried to provide (S)-3-acetoxy-4-((S)-2-(((4R,4aS,7aR,12bS)-4a-hydroxy-9-methoxy-3-methyl-2,3,4,4a,5,7a-hexahydro-1H-4,12-methanobenzofuro[3,2-e]isoquinolin-7-yl)oxy)-2-oxo-1-phenylethoxy)-4-oxobutanoic acid trifluoroacetic acid salt (45 mg, 57%) as a white solid:1H NMR (300 MHz, DMSO-d6; Mixture of diastereomers) δ 7.58-7.53 (m, 2H), 7.48-7.44 (m, 3H), 6.75-6.71 (m, 0.8H), 6.69-6.64 (m, 1.2H), 6.21 (s, 0.4H), 6.12 (s, 0.6H), 5.53-5.47 (m, 0.8H), 5.45-5.43 (m, 1.2H), 4.81 (s, 0.6H), 4.78 (s, 0.4H), 3.70 (s, 1.8H), 3.60 (s, 1.2H), 3.12 (d, J=18.3 Hz, 1H), 3.00-3.72 (m, 5H), 2.46-2.42 (m, 1H), 2.35 (s, 3H), 2.28-1.99 (m, 6H), 1.38 (d, J=12.6 Hz, 1H), CO2H, CF3CO2H, and OH protons not observed; ESI MS m/z 608 [C32H33NO11+H]+;HPLC (Method A) 90.7% (AUC), tR=9.40 min.
Figure US10226456-20190312-C00704
Preparation of (S)-3-acetoxy-4-(((S)-1-(tert-butoxy)-1-oxopropan-2-yl)oxy)-4-oxobutanoic acid
Figure US10226456-20190312-C00705
A solution of (S)-2,5-dioxotetrahydrofuran-3-yl acetate (0.70 g, 3.4 mmol) and (S)-tert-butyl 2-hydroxypropanoate (0.50 g, 3.4 mmol) in N,N-dimethylformamide (4 mL) was cooled in an ice bath and treated with pyridine (0.36 mL, 4.4 mmol). After addition was complete, the mixture was stirred at ambient temperature for 16 h. After this time, the mixture was diluted with water (20 mL) and extracted with ethyl acetate (2×20 mL). The combined organics were washed with brine (50 mL), dried over sodium sulfate, filtered, and concentrated under reduced pressure to provide (S)-3-acetoxy-4-(((S)-1-(tert-butoxy)-1-oxopropan-2-yl)oxy)-4-oxobutanoic acid (0.6 g, 58%) as a brown oil:1H NMR (300 MHz, CDCl3)1H NMR (300 MHz, CDCl3) δ 5.49 (dd, J=9.3, 3.3 Hz, 1H), 5.03 (dd, J=14.1, 6.9 Hz, 1H), 3.13 (dd, J=17.1, 3.3 Hz, 1H), 2.95 (dd, J=17.1, 9.3 Hz, 1H), 2.13 (s, 3H), 1.48 (d, J=7.2 Hz, 3H), 1.46 (s, 9H),CO2H proton not observed.
Preparation of (S)-1-((S)-1-(tert-Butoxy)-1-oxopropan-2-yl) 4-(2,5-dioxopyrrolidin-1-yl) 2-acetoxsuccinate
Figure US10226456-20190312-C00706
(S)-3-Acetoxy-4-(((S)-1-(tert-butoxy)-1-oxopropan-2-yl)oxy)-4-oxobutanoic acid (1.8 g, 6.01 mmol), 1-hydroxypyrrolidine-2,5-dione (0.81 g, 7.0 mmol) and dicyclohexylcarbodiimide (1.36 g, 6.61 mmol) were combined and stirred in tetrahydrofuran (40 mL) at ambient temperature for 4 h. After this time, the mixture was filtered and concentrated under reduced pressure to provide (S)-1-((S)-1-(tert-butoxy)-1-oxopropan-2-yl) 4-(2,5-dioxopyrrolidin-1-yl) 2-acetoxysuccinate (2.64 g, 99%) as a sticky solid:1H NMR (300 MHz, DMSO-d6) δ 5.50 (dd, J=8.7, 4.2 Hz, 1H), 5.00 (dd, J=14.1, 6.9 Hz, 1H), 3.40 (dd, J=17.1, 3.3 Hz, 1H), 3.30 (dd, J=17.1, 9.3 Hz, 1H), 2.77 (s, 4H), 2.10 (s, 3H), 1.46 (d, J=6.9 Hz, 3H), 1.41 (s, 9H).
Preparation of (S)-1-((S)-1-(tert-Butoxy)-1-oxopropan-2-yl) 4-((4R,4aS,7aR,12bS)-4a-hydroxy-9-methoxy-3-methyl-2,3,4,4a,5,7a-hexahydro-1H-4,12-methanobenzofuro[3,2-e]isoquinolin-7-yl) 2-acetoxysuccinate
Figure US10226456-20190312-C00707
A suspension of oxycodone (500 mg, 1.59 mmol) in tetrahydrofuran (10 mL) was cooled to −50° C. and treated dropwise with a 1.0 M solution of potassium tert-butoxide in tetrahydrofuran (1.8 mL, 1.8 mmol). After addition was complete, the mixture was stirred at −50° C. for 45 min. The mixture was treated dropwise with a solution of (S)-1-((S)-1-(tert-butoxy)-1-oxopropan-2-yl) 1-(2,5-dioxopyrrolidin-1-yl) 2-acetoxysuccinate (700 mg, 1.81 mmol) in tetrahydrofuran (8 mL). After addition was complete, the mixture was stirred at −50° C. for 30 min. After this time, the reaction mixture was treated with saturated aqueous ammonium chloride (20 mL) and extracted with ethyl acetate (3×20 mL). The combined organics were dried over sodium sulfate, filtered, and concentrated under reduced pressure. The crude residue was purified by reversed phase column chromatography (50 g C18 column, 10-100% acetonitrile/water) and freeze dried to provide (S)-1-((S)-1-(tert-butoxy)-1-oxopropan-2-yl) 4-((4R,4aS,7aR,12bS)-4a-hydroxy-9-methoxy-3-methyl-2,3,4,4a,5,7a-hexahydro-1H-4,12-methanobenzofuro[3,2-e]isoquinolin-7-yl) 2-acetoxysuccinate (110 mg, 11%) as a white solid: ESI MS m/z 602 [C31H39NO11+H]+.
Preparation of (S)-2-(((S)-2-Acetoxy-4-(((4R,4aS,7aR,12bS)-4a-hydroxy-9-methoxy-3-methyl-2,3,4,4a,5,7a-hexahydro-1H-4,12-methanobenzofuro[3,2-e]isoquinolin-7-yl)oxy)-4-oxobutanoyl)oxy)propanoic acid trifluoroacetic acid salt
Figure US10226456-20190312-C00708
A solution of (S)-1-((S)-1-(tert-butoxy)-1-oxopropan-2-yl) 4-((4R,4aS,7aR,12bS)-4a-hydroxy-9-methoxy-3-methyl-2,3,4,4a,5,7a-hexahydro-1H-4,12-methanobenzofuro[3,2-e]isoquinolin-7-yl) 2-acetoxysuccinate (110 mg, 0.171 mmol) in methylene chloride (1 mL) was treated with trifluoroacetic acid (1 mL) and stirred under a nitrogen atmosphere at ambient temperature for 1 h. After this time, the reaction mixture was concentrated under reduced pressure. This material was purified by reversed phase column chromatography (50 g C18 column, 5-40% acetonitrile/water) and freeze dried to provide (S)-2-(((S)-2-acetoxy-4-(((4R,4aS,7aR,12bS)-4a-hydroxy-9-methoxy-3-methyl-2,3,4,4a,5,7a-hexahydro-1H-4,12-methanobenzofuro[3,2-e]isoquinolin-7-yl)oxy)-4-oxobutanoyl)oxy)propanoic acid trifluoroacetic acid salt (66 mg, 71%) as a white solid:1H NMR (300 MHz, DMSO-d6) δ 6.81 (d, J=8.4 Hz, 1H), 6.71 (d, J=8.4 Hz, 1H), 5.57 (dd, J=5.7, 2.1 Hz, 1H), 5.39 (dd, J=9.6, 3.2 Hz, 1H), 5.04 (dd, J=14.1, 6.9 Hz, 1H), 4.95 (s, 1H), 3.73 (s, 3H), 3.29-3.26 (m, 1H), 3.17 (d, J=17.1 Hz, 1H), 3.00-2.72 (m, 3H), 2.64-2.62 (m, 3H), 2.39-2.37 (m, 3H), 2.22-2.00 (m, 2H), 2.11 (s, 3H), 1.53 (d, J=9.9 Hz, 1H), 1.43 (d, J=6.9 Hz, 3H), CO2H, CF3CO2H, and OH protons not observed; ESI MS m/z 546 [C27H31NO11+H]+.
Figure US10226456-20190312-C00709
Preparation of (S)-tert-Butyl 2-(2-((S)-2,2-dimethyl-5-oxo-1,3-dioxolan-4-yl)acetoxy)propanoate
Figure US10226456-20190312-C00710
(S)-2,5-dioxopyrrolidin-1-yl 2-(2,2-dimethyl-5-oxo-1,3-dioxolan-4-yl)acetate (3.0 g, 11 mmol), (S)-lactic acid (1.0 g, 11 mmol), N,N-dimethylpyridin-4-amine (0.13 g, 0.11 mmol) and pyridine (1.16 mL, 12.5 mmol) were combined in tetrahydrofuran (50 mL) and heated at 60° C. for 72 h. After this time, the reaction mixture was treated with saturated aqueous ammonium chloride (10 mL) and extracted with ethyl acetate (2×25 mL). The combined organics were dried over sodium sulfate, filtered, and concentrated under reduced pressure to provide (S)-2-(2-((S)-2,2-dimethyl-5-oxo-1,3-dioxolan-4-yl)acetoxy)propanoic acid (2.0 g, 99%) as a yellow oil.
(S)-2-(2-((S)-2,2-Dimethyl-5-oxo-1,3-dioxolan-4-yl)acetoxy)propanoic acid (2.0 g, 8.1 mmol), tert-butyl alcohol (0.90 g, 12 mmol),N,N-dimethylpyridin-4-amine (0.30 g, 2.4 mmol) and dicyclohexylcarbodiimide (2.0 g, 9.7 mmol) were combined and stirred in methylene chloride (60 mL) at ambient temperature for 16 h. After this time, the mixture was concentrated under reduced pressure. The crude residue was purified by column chromatography (silica gel, 0-30% ethyl acetate/heptanes) to provide (S)-tert-butyl 2-(2-((S)-2,2-dimethyl-5-oxo-1,3-dioxolan-4-yl)acetoxy)propanoate (0.4 g, 16%) as a colorless oil:1H NMR (300 MHz, CDCl3) δ 4.99 (dd, J=14.1, 6.9 Hz, 1H), 4.74 (dd, J=6.6, 3.6 Hz, 1H), 3.04 (dd, J=17.4, 3.6 Hz, 1H), 2.84 (dd, J=14.1, 6.6 Hz, 1H), 1.62 (s, 3H), 1.56 (s, 3H), 1.47 (d, J=7.2 Hz, 3H), 1.46 (s, 9H).
Preparation of (S)-4-(((S)-1-(tert-Butoxy)-1-oxopropan-2-yl)oxy)-2-hydroxy-4-oxobutanoic acid
Figure US10226456-20190312-C00711
A solution of (S)-tert-butyl 2-(2-((S)-2,2-dimethyl-5-oxo-1,3-dioxolan-4-yl)acetoxy)propanoate (0.50 g, 1.7 mmol), acetic acid (3 mL) and water (1 mL) was heated at 60° C. for 1 h. After this time, the mixture was concentrated under reduced pressure. The residue was diluted with toluene and concentrated under reduced pressure to provide (S)-4-(((S)-1-(tert-butoxy)-1-oxopropan-2-yl)oxy)-2-hydroxy-4-oxobutanoic acid (0.5 g, 99%) as a colorless oil:1H NMR (300 MHz, DMSO-d6) δ 12.6 (s, 1H), 5.51 (s, 1H), 4.82 (dd, J=14.1, 6.9 Hz, 1H), 4.31-4.30 (m, 1H), 2.72 (dd, J=15.9, 4.5 Hz, 1H), 2.60 (dd, J=15.9, 7.8 Hz, 1H), 1.40 (s, 9H), 1.36 (d, J=7.2 Hz, 3H).
Preparation of (S)-2-Acetoxy-4-(((S)-1-(tert-butoxy)-1-oxopropan-2-yl)oxy)-4-oxobutanoic acid
Figure US10226456-20190312-C00712
A solution of (S)-4-(((S)-1-(tert-butoxy)-1-oxopropan-2-yl)oxy)-2-hydroxy-4-oxobutanoic acid (0.43 g, 1.6 mmol) in methylene chloride (3 mL) in a cold bath was treated dropwise with acetyl chloride (0.13 mL, 1.8 mmol) and stirred at ambient temperature for 16 h. After this time, the mixture was concentrated under reduced pressure to provide (S)-2-acetoxy-4-(((S)-1-(tert-butoxy)-1-oxopropan-2-yl)oxy)-4-oxobutanoic acid (0.6 g, 99%) as a clear oil:1H NMR (300 MHz, DMSO-d6) δ 13.3 (s, 1H), 5.25 (dd, J=7.8, 4.8 Hz, 1H), 4.89 (dd, J=14.1, 7.2 Hz, 1H), 2.97-2.89 (m, 2H), 2.05 (s, 3H), 1.40 (s, 9H), 1.37 (d, J=6.9 Hz, 3H).
Preparation of (S)-4-((S)-1-(tert-Butoxy)-1-oxopropan-2-yl) 1-(2,5-dioxopyrrolidin-1-yl) 2-acetoxysuccinate
Figure US10226456-20190312-C00713
(S)-2-acetoxy-4-(((S)-1-(tert-butoxy)-1-oxopropan-2-yl)oxy)-4-oxobutanoic acid (0.50 g, 1.6 mmol), 1-hydroxypyrrolidine-2,5-dione (0.22 g, 1.9 mmol) and dicyclohexylcarbodiimide (0.37 g, 1.8 mmol) were combined and stirred in tetrahydrofuran (10 mL) at ambient temperature for 4 h. After this time, the mixture was filtered and concentrated under reduced pressure to provide (S)-1-((S)-1-(tert-butoxy)-1-oxopropan-2-yl) 4-(2,5-dioxopyrrolidin-1-yl) 2-((tert-butoxycarbonyl)oxy)succinate (0.3 g, 99%) as a sticky oil:1H NMR (300 MHz, DMSO-d6) δ 5.76 (dd, J=7.8, 4.8 Hz, 1H), 4.90 (dd, J=14.1, 7.2 Hz, 1H), 3.21-3.12 (m, 2H), 2.82 (s, 4H), 2.12 (s, 3H), 1.41 (s, 9H), 1.38 (d, J=6.9 Hz, 3H).
Preparation of (S)-4-((S)-1-(tert-Butoxy)-1-oxopropan-2-yl) 1-((4R,4aS,7aR,12bS)-4a-hydroxy-9-methoxy-3-methyl-2,3,4,4a,5,7a-hexahydro-1H-4,12-methanobenzofuro[3,2-e]isoquinolin-7-yl) 2-acetoxysuccinate
Figure US10226456-20190312-C00714
A suspension of oxycodone (470 mg, 1.59 mmol) in tetrahydrofuran (10 mL) was cooled to −50° C. and treated dropwise with a 1.0 M solution of potassium tert-butoxide in tetrahydrofuran (1.7 mL, 1.7 mmol). After addition was complete, the mixture was stirred at −50° C. for 45 min. The mixture was treated dropwise with a solution of (S)-4-((S)-1-(tert-butoxy)-1-oxopropan-2-yl) 1-(2,5-dioxopyrrolidin-1-yl) 2-acetoxysuccinate (775 mg, 1.80 mmol) in tetrahydrofuran (8 mL). After addition was complete, the mixture was stirred at −50° C. for 30 min. After this time, the reaction mixture was treated with saturated aqueous ammonium chloride (20 mL) and extracted with ethyl acetate (3×20 mL). The combined organics were dried over sodium sulfate, filtered, and concentrated under reduced pressure. The crude residue was purified by reversed phase column chromatography (50 g C18 column, 10-100% acetonitrile/water) and freeze dried to provide (S)-4-((S)-1-(tert-butoxy)-1-oxopropan-2-yl) 1-((4R,4aS,7aR,12bS)-4a-hydroxy-9-methoxy-3-methyl-2,3,4,4a,5,7a-hexahydro-1H-4,12-methanobenzofuro[3,2-e]isoquinolin-7-yl) 2-acetoxysuccinate (140 mg, 12%) as a white solid: ESI MS m/z 602 [C31H39NO11+H]+.
Preparation of (S)-2-(((S)-3-Acetoxy-4-(((4R,4aS,7aR,12bS)-4a-hydroxy-9-methoxy-3-methyl-2,3,4,4a,5,7a-hexahydro-1H-4,12-methanobenzofuro[3,2-e]isoquinolin-7-yl)oxy)-4-oxobutanoyl)oxy)propanoic acid trifluoroacetic acid salt
Figure US10226456-20190312-C00715
A solution of (S)-4-((S)-1-(tert-butoxy)-1-oxopropan-2-yl) 1-((4R,4aS,7aR,12bS)-4a-hydroxy-9-methoxy-3-methyl-2,3,4,4a,5,7a-hexahydro-1H-4,12-methanobenzofuro[3,2-e]isoquinolin-7-yl) 2-acetoxysuccinate (0.14 g, 0.23 mmol) in methylene chloride (1 mL) was treated with trifluoroacetic acid (1 mL) and stirred under a nitrogen atmosphere at ambient temperature for 1 h. After this time, the reaction mixture was concentrated under reduced pressure. This material was purified by reversed phase column chromatography (50 g C18 column, 5-40% acetonitrile/water) and freeze dried to provide (S)-2-(((S)-3-acetoxy-4-(((4R,4aS,7aR,12bS)-4a-hydroxy-9-methoxy-3-methyl-2,3,4,4a,5,7a-hexahydro-1H-4,12-methanobenzofuro[3,2-e]isoquinolin-7-yl)oxy)-4-oxobutanoyl)oxy)propanoic acid trifluoroacetic acid salt (79 mg, 63%) as a white solid:1H NMR (300 MHz, DMSO-d6) δ 6.77 (d, J=8.4 Hz, 1H), 6.68 (d, J=8.4 Hz, 1H), 5.61 (dd, J=5.7, 2.4 Hz, 1H), 5.45 (dd, J=6.9, 2.1 Hz, 1H), 4.99 (dd, J=14.1, 6.9 Hz, 1H), 4.87 (s, 1H), 3.74 (s, 3H), 3.19 (d, J=19.2 Hz, 1H), 3.12-2.99 (m, 5H), 2.79-2.59 (m, 2H), 2.47-2.46 (m, 1H), 2.37-1.97 (m, 7H), 1.45 (d, J=12.6 Hz, 1H), 1.40 (d, J=7.2 Hz, 3H), CO2H, CF3CO2H, and OH protons not observed; ESI MS m/z 546 [C27H31NO11+H]+.
Figure US10226456-20190312-C00716
Preparation of (S)-2-(((S)-2-Acetoxy-4-(tert-butoxy)-4-oxobutanoyl)oxy)propanoic acid
Figure US10226456-20190312-C00717
(S)-Lactic acid (109 mg, 1.21 mmol), (S)-4-tert-butyl 1-(2,5-dioxopyrrolidin-1-yl) 2-acetoxysuccinate (400 mg, 1.21 mmol), 4-(dimethylamino)pyridine (15 mg, 0.121 mmol), pyridine (115 mg, 1.45 mmol) and tetrahydrofuran (8 mL) were combined and heated at 60° C. under a nitrogen atmosphere for 24 h. After this time, the solvent was removed under reduced pressure, and the residue was partitioned between ethyl acetate (20 mL) and 10% aqueous citric acid. The organic layer was separated and extracted with saturated aqueous sodium bicarbonate (20 ml). The aqueous phase was collected and acidified to pH=3 with 6 N hydrochloric acid, and the mixture was extracted with ethyl acetate (2×20 mL). The combined organics were washed with brine (50 mL), dried over sodium sulfate, filtered, and concentrated under reduced pressure to provide (S)-2-(((S)-2-acetoxy-4-(tert-butoxy)-4-oxobutanoyl)oxy)propanoic acid (247 mg, 67%) as a colorless oil:1H NMR (300 MHz, CDCl3) δ 5.47 (m, 1H), 5.21 (m, 1H), 2.95-2.77 (m, 2H), 2.13 (s, 3H), 1.56 (d, J=6.9 Hz, 3H), 1.45 (s, 9H), CO2H proton not observed.
Preparation of (S)-4-tert-Butyl 1-((S)-1-((2,5-dioxopyrrolidin-1-yl)oxy)-1-oxopropan-2-yl) 2-acetoxysuccinate
Figure US10226456-20190312-C00718
A solution of (S)-2-(((S)-2-acetoxy-4-(tert-butoxy)-4-oxobutanoyl)oxy)propanoic acid (247 mg, 0.812 mmol) in tetrahydrofuran (10 mL) was treated with N-hydroxysuccinimide (103 mg, 0.893 mmol) and N,N′-dicyclohexylcarbodiimide (184 mg, 0.893 mmol) and stirred under a nitrogen atmosphere for 5 h. After this time, the reaction mixture was filtered to remove the solid dicyclohexylurea byproduct. The solid was washed with diethyl ether (100 mL), and the combined filtrate and washings were concentrated under reduced pressure. The residue was triturated with diethyl ether to provide (S)-4-tert-butyl 1-((S)-1-((2,5-dioxopyrrolidin-1-yl)oxy)-1-oxopropan-2-yl) 2-acetoxysuccinate (384 mg) as a white solid:1H NMR (300 MHz, CDCl3) δ 5.38-5.45 (m, 2H), 2.97-2.81 (m, 6H), 2.12 (s, 3H), 1.71 (q, J=6.9 Hz, 3H), 1.46 (s, 9H).
Preparation of (S)-4-tert-Butyl 1-((S)-1-(((4R,4aS,7aR,12bS)-4a-hydroxy-9-methoxy-3-methyl-2,3,4,4a,5,7a-hexahydro-1H-4,12-methanobenzofuro[3,2-e]isoquinolin-7-yl)oxy)-1-oxopropan-2-yl) 2-acetoxysuccinate
Figure US10226456-20190312-C00719
A suspension of oxycodone (500 mg, 1.59 mmol) in tetrahydrofuran (10 mL) was cooled to −50° C. and treated dropwise with a 1.0 M solution of lithium bis(trimethylsilyl)amide in tetrahydrofuran (1.8 mL, 1.8 mmol). After addition was complete, the mixture was stirred at −50° C. for 45 min. The mixture was treated dropwise with a solution of (S)-4-tert-butyl 1-((S)-1-((2,5-dioxopyrrolidin-1-yl)oxy)-1-oxopropan-2-yl) 2-acetoxysuccinate (1.0 g, 1.8 mmol) in tetrahydrofuran (8 mL). After addition was complete, the mixture was stirred at −50° C. for 30 min. After this time, the reaction mixture was treated with saturated aqueous ammonium chloride (20 mL) and extracted with ethyl acetate (3×20 mL). The combined organics were dried over sodium sulfate, filtered, and concentrated under reduced pressure. The crude residue was purified by reversed phase column chromatography (50 g C18 column, 10-100% acetonitrile/water) and freeze dried to provide (S)-4-tert-butyl 1-((S)-1-(((4R,4aS,7aR,12bS)-4a-hydroxy-9-methoxy-3-methyl-2,3,4,4a,5,7a-hexahydro-1H-4,12-methanobenzofuro[3,2-e]isoquinolin-7-yl)oxy)-1-oxopropan-2-yl) 2-acetoxysuccinate (420 mg, 45%) as a white solid: ESI MS m/z 602 [C31H39NO11+H]+.
Preparation of (S)-3-Acetoxy-4-((S)-1-(((4R,4aS,7aR,12bS)-4a-hydroxy-9-methoxy-3-methyl-2,3,4,4a,5,7a-hexahydro-1H-4,12-methanobenzofuro[3,2-e]isoquinolin-7-yl)oxy)-1-oxopropan-2-yl)oxy)-4-oxobutanoic acid trifluoroacetic acid salt
Figure US10226456-20190312-C00720
A solution of (S)-4-tert-butyl 1-((S)-1-(((4R,4aS,7aR,12bS)-4a-hydroxy-9-methoxy-3-methyl-2,3,4,4a,5,7a-hexahydro-1H-4,12-methanobenzofuro[3,2-e]isoquinolin-7-yl)oxy)-1-oxopropan-2-yl) 2-acetoxysuccinate (120 mg, 0.2 mmol) in methylene chloride (1 mL) was treated with trifluoroacetic acid (1 mL) and stirred under a nitrogen atmosphere at ambient temperature for 1 h. After this time, the reaction mixture was concentrated under reduced pressure. This material was purified by reversed phase column chromatography (50 g C18 column, 5-40% acetonitrile/water) and freeze dried to provide (S)-3-acetoxy-4-(((S)-1-(((4R,4aS,7aR,12bS)-4a-hydroxy-9-methoxy-3-methyl-2,3,4,4a,5,7a-hexahydro-1H-4,12-methanobenzofuro[3,2-e]isoquinolin-7-yl)oxy)-1-oxopropan-2-yl)oxy)-4-oxobutanoic acid trifluoroacetic acid salt (69 mg, 63%) as a white solid:1H NMR (300 MHz, DMSO-d6) 512.8 (s, 1H), 9.19 (s, 1H), 6.86 (d, J=8.4 Hz, 1H), 6.76 (d, J=8.1 Hz, 1H), 6.31 (s, 1H), 5.59 (dd, J=6.0, 1.8 Hz, 1H), 5.36 (dd, J=9.0, 3.6 Hz, 1H), 5.26 (dd, J=14.1, 6.9 Hz, 1H), 5.00 (s, 1H), 3.75 (s, 3H), 3.65 (d, J=6.3 Hz, 1H), 3.43 (d, J=20.1 Hz, 1H), 3.16-3.07 (m, 2H), 2.96-2.72 (m, 5H), 2.62-2.52 (m, 1H), 2.46-2.42 (m, 1H), 2.34-2.26 (m, 1H), 2.09 (s, 3H), 2.06 (d, J=16.0 Hz, 1H), 1.64 (d, J=11.1 Hz, 1H), 1.52 (d, J=6.9 Hz, 3H); ESI MS m/z 546 [C27H31NO11+H]+.
Figure US10226456-20190312-C00721
Preparation of (2R,3R)-2,3-Diacetoxy-4-((S)-2-(tert-butoxy)-2-oxo-1-phenylethoxy)-4-oxobutanoic acid and (2R,3R)-2,3-Diacetoxy-4-((R)-2-(tert-butoxy)-2-oxo-1-phenylethoxy)-4-oxobutanoic acid
Figure US10226456-20190312-C00722
A solution of (3R,4R)-2,5-dioxotetrahydrofuran-3,4-diyl diacetate (1.35 g, 6.25 mmol) in N,N-dimethylformamide (1.5 mL) at 0° C. was treated with (S)-tert-butyl 2-hydroxy-2-phenylacetate (˜7:3 S/R mixture, 1.02 g, 4.90 mmol) followed by pyridine (0.36 mL, 4.47 mmol), and the mixture was stirred at 0° C. for 1 h. After this time, the reaction mixture was diluted with ethyl acetate; washed with 10% citric acid, water, and brine; filtered; and concentrated. The residue was purified by reversed phase column chromatography (150 g C18 column, 3-20% acetonitrile/water) to provide (2R,3R)-2,3-diacetoxy-4-((S)-2-(tert-butoxy)-2-oxo-1-phenylethoxy)-4-oxobutanoic acid (dr 95:5, 1.47 g, 54%) and (2R,3R)-2,3-diacetoxy-4-((R)-2-(tert-butoxy)-2-oxo-1-phenylethoxy)-4-oxobutanoic acid (dr 85:15, 0.55 g, 18%).
(2R,3R)-2,3-Diacetoxy-4-((S)-2-(tert-butoxy)-2-oxo-1-phenylethoxy)-4-oxobutanoic acid:1H NMR (300 MHz, CDCl3) δ 7.26 (s, 5H), 5.94 (s, 1H), 5.90 (d, J=2.6 Hz, 1H), 5.81 (s, J=2.6 Hz, 1H), 2.17 (s, 3H), 1.92 (s, 3H), 1.40 (s, 9H), CO2H proton not observed.
(2R,3R)-2,3-Diacetoxy-4-((R)-2-(tert-butoxy)-2-oxo-1-phenylethoxy)-4-oxobutanoic acid:1H NMR (300 MHz, CDCl3) δ 7.38 (s, 5H), 5.99 (d, J=2.6 Hz, 1H), 5.81 (d, J=2.6 Hz, 1H), 5.79 (s, 1H), 2.25 (s, 3H), 2.21 (s, 3H), 2.51 (s, 9H), CO2H proton not observed.
Preparation of (2R,3R)-1-((S)-2-(tert-Butoxy)-2-oxo-1-phenylethyl) 4-(2,5-dioxopyrrolidin-1-yl) 2,3-diacetoxysuccinate
Figure US10226456-20190312-C00723
A mixture of (2R,3R)-2,3-diacetoxy-4-((S)-2-(tert-butoxy)-2-oxo-1-phenylethoxy)-4-oxobutanoic acid (1.07 g, 2.52 mmol) and N-hydroxysuccinimide (320 mg, 2.78 mmol) in tetrahydrofuran (14 mL) was treated with N,N′-dicyclohexylcarbodiimide (570 mg, 2.76 mmol), and the reaction mixture was stirred at ambient temperature for 4 h. After this time, diethyl ether (20 mL) was added, and the mixture was filtered. The filtrate was concentrated under reduced pressure to provide (2R,3R)-1-((S)-2-(tert-butoxy)-2-oxo-1-phenylethyl) 4-(2,5-dioxopyrrolidin-1-yl) 2,3-diacetoxysuccinate (1.41 g, 80%) that was used without purification:1H NMR (300 MHz, CDCl3) δ 7.38 (s, 5H), 6.14 (d, J=2.8 Hz, 1H), 6.02 (d, J=2.8 Hz, 1H), 5.92 (s, 1H), 2.83 (s, 4H), 2.24 (s, 3H), 1.97 (s, 3H), 1.41 (s, 9H).
Preparation of (2R,3R)-1-((S)-2-(tert-Butoxy)-2-oxo-1-phenylethyl) 4-((4R,4aS,7aR,12bS)-4a-hydroxy-9-methoxy-3-methyl-2,3,4,4a,5,7a-hexahydro-1H-4,12-methanobenzofuro[3,2-e]isoquinolin-7-yl) 2,3-diacetoxysuccinate
Figure US10226456-20190312-C00724
A suspension of oxycodone (500 mg, 1.59 mmol) in tetrahydrofuran (10 mL) was cooled to −50° C. and treated dropwise with a 1.0 M solution of lithium bis(trimethylsilyl)amide in tetrahydrofuran (1.8 mL, 1.8 mmol). After addition was complete, the mixture was stirred at −50° C. for 45 min. The mixture was treated dropwise with a solution of (2R,3R)-1-((S)-2-(tert-butoxy)-2-oxo-1-phenylethyl) 4-(2,5-dioxopyrrolidin-1-yl) 2,3-diacetoxysuccinate (900 mg, 1.80 mmol) in tetrahydrofuran (8 mL). After addition was complete, the mixture was stirred at −50° C. for 30 min. After this time, the reaction mixture was treated with saturated aqueous ammonium chloride (15 mL) and extracted with ethyl acetate (3×15 mL). The combined organics were dried over sodium sulfate, filtered, and concentrated under reduced pressure. The crude residue was purified by reversed phase column chromatography (50 g C18 column, 10-100% acetonitrile/water) and freeze dried to provide (2R,3R)-1-((S)-2-(tert-butoxy)-2-oxo-1-phenylethyl) 4-((4R,4aS,7aR,12bS)-4a-hydroxy-9-methoxy-3-methyl-2,3,4,4a,5,7a-hexahydro-1H-4,12-methanobenzofuro[3,2-e]isoquinolin-7-yl) 2,3-diacetoxysuccinate (280 mg, 24%) as a white solid: ESI MS m/z 722 [C38H43NO13+H]+.
Preparation of (S)-2-(((2R,3R)-2,3-Diacetoxy-4-(((4R,4aS,7aR,12bS)-4a-hydroxy-9-methoxy-3-methyl-2,3,4,4a,5,7a-hexahydro-1H-4,12-methanobenzofuro[3,2-e]isoquinolin-7-yl)oxy)-4-oxobutanoyl)oxy)-2-phenylacetic acid trifluoroacetic acid salt
Figure US10226456-20190312-C00725
A solution of (2R,3R)-1-((S)-2-(tert-butoxy)-2-oxo-1-phenylethyl) 4-((4R,4aS,7aR,12bS)-4a-hydroxy-9-methoxy-3-methyl-2,3,4,4a,5,7a-hexahydro-1H-4,12-methanobenzofuro[3,2-e]isoquinolin-7-yl) 2,3-diacetoxysuccinate (0.15 g, 0.21 mmol) in methylene chloride (1 mL) was treated with trifluoroacetic acid (1 mL) and stirred under a nitrogen atmosphere at ambient temperature for 1 h. After this time, the reaction mixture was concentrated under reduced pressure. This material was purified by reversed phase column chromatography (50 g C18 column, 5-40% acetonitrile/water) and freeze dried to provide (S)-2-(((2R,3R)-2,3-diacetoxy-4-(((4R,4aS,7aR,12bS)-4a-hydroxy-9-methoxy-3-methyl-2,3,4,4a,5,7a-hexahydro-1H-4,12-methanobenzofuro[3,2-e]isoquinolin-7-yl)oxy)-4-oxobutanoyl)oxy)-2-phenylacetic acid trifluoroacetic acid salt (96 mg, 69%) as a white solid:1H NMR (300 MHz, DMSO-d6) δ 13.5 (s, 1H), 9.18 (s, 1H), 7.46-7.41 (m, 5H), 6.88 (d, J=8.4 Hz, 1H), 6.76 (d, J=8.4 Hz, 1H), 6.35 (s, 1H), 6.01 (s, 1H), 5.92 (dd, J=24.6, 2.7 Hz, 1H), 5.55 (dd, J=6.0, 2.1 Hz, 1H), 4.87 (s, 1H), 3.75 (s, 3H), 3.65 (d, J=6.0 Hz, 1H), 3.43 (d, J=20.1 Hz, 1H), 3.16-3.07 (m, 2H), 2.84 (d, J=3.6 Hz, 3H), 2.64-2.61 (m, 1H), 2.41-2.32 (m, 2H), 2.32-2.27 (m, 1H), 2.20 (s, 3H), 2.08 (d, J=18.3 Hz, 1H), 2.00 (s, 3H), 1.64 (d, J=11.7 Hz, 1H); ESI MS m/z 666 [C34H35NO13+H]+.
Figure US10226456-20190312-C00726
Preparation of (2S,3S)-2,3-Diacetoxy-4-(((4R,4aS,7aR,12bS)-4a-hydroxy-9-methoxy-3-methyl-2,3,4,4a,5,7a-hexahydro-1H-4,12-methanobenzofuro[3,2-e]isoquinolin-7-yl)oxy)-4-oxobutanoic acid trifluoroacetic acid salt
Figure US10226456-20190312-C00727
A suspension of oxycodone (270 mg, 0.856 mmol) in tetrahydrofuran (7 mL) was cooled in an ice bath and treated dropwise with a 1.0 M solution of potassium tert-butoxide in tetrahydrofuran (0.90 mL, 0.90 mmol). After 30 min, the mixture was treated with solid (3S,4S)-2,5-dioxotetrahydrofuran-3,4-diyl diacetate (338 mg, 1.56 mmol) and stirred in the ice bath under a nitrogen atmosphere for 2.5 h. After this time, the reaction mixture was treated with trifluoroacetic acid (0.3 mL) and concentrated under reduced pressure. The crude residue was purified by reversed phase column chromatography (50 g C18 column, 10-60% acetonitrile/water with 0.1% trifluoroacetic acid) and freeze dried to provide (2S,3S)-2,3-diacetoxy-4-(((4R,4aS,7aR,12bS)-4a-hydroxy-9-methoxy-3-methyl-2,3,4,4a,5, 7a-hexahydro-1H-4,12-methanobenzofuro[3,2-e]isoquinolin-7-yl)oxy)-4-oxobutanoic acid trifluoroacetic acid salt (219 mg, 40%) as a white solid:1H NMR (300 MHz, DMSO-d6) δ 13.87 (br s, 1H), 9.18 (br s, 1H), 6.84 (d, J=8.4 Hz, 1H), 6.75 (d, J=8.1 Hz, 1H), 6.33 (s, 1H), 5.80 (d, J=3.0 Hz, 1H), 5.59 (dd, J=5.7, 1.8 Hz, 1H), 5.56 (d, J=3.0 Hz, 1H), 5.00 (s, 1H), 3.72 (s, 3H), 3.65 (d, J=6.3 Hz, 1H), 3.43 (d, J=19.8 Hz, 1H), 3.16-3.07 (m, 2H), 2.84 (apparent d, J=2.7 Hz, 3H), 2.65-2.58 (m, 1H), 2.49-2.43 (m, 1H, partially obscured by solvent peak), 2.34-2.25 (m, 1H), 2.17 (s, 3H), 2.15 (s, 3H), 2.11-2.05 (m, 1H), 1.66 (d, J=10.8 Hz, 1H); ESI MS m/z 532 [C26H29NO11+H]+; HPLC (Method A) 98.3% (AUC), tR=7.91 min.
Figure US10226456-20190312-C00728
Figure US10226456-20190312-C00729
Preparation of (S)-4-(tert-Butoxy)-3-hydroxy-4-oxobutanoic acid
Figure US10226456-20190312-C00730
A solution of (S)-3-acetoxy-4-(tert-butoxy)-4-oxobutanoic acid (3.58 g, 15.4 mmol) in methanol (80 mL) was cooled in an ice bath and treated with a chilled solution potassium carbonate (4.71 g, 34.1 mmol) in water (40 mL). The mixture was stirred in the ice bath for 6 h. After this time, the reaction mixture was treated with aqueous 10% citric acid (200 mL) to a pH of approximately 3-4 and concentrated under reduced pressure to remove the volatiles. The aqueous mixture was extracted with methylene chloride (4×100 mL). The aqueous mixture was then further acidified to pH ˜2 with 6 N hydrochloric acid and extracted again with methylene chloride (8×100 mL). The combined organics from all extractions were dried over sodium sulfate, filtered, and concentrated under reduced pressure to provide (S)-4-(tert-butoxy)-3-hydroxy-4-oxobutanoic acid (2.44 g, 84%) as a white solid:1H NMR (300 MHz, DMSO-d6) δ 12.27 (br s, 1H), 5.46 (br s, 1H), 4.19 (dd, J=7.5, 5.4 Hz, 1H), 2.57 (dd, J=15.6, 5.4 Hz, 1H), 2.43 (dd, J=15.6, 7.5 Hz, 1H), 1.41 (s, 9H).
Preparation of (S)-4-(tert-Butoxy)-3-(((S)-2-((tert-butoxycarbonyl)oxy)propanoyl)oxy)-4-oxobutanoic acid
Figure US10226456-20190312-C00731
A solution of (S)-4-(tert-butoxy)-3-hydroxy-4-oxobutanoic acid (955 mg, 5.02 mmol) in tetrahydrofuran (12 mL) was cooled in an ice bath under a nitrogen atmosphere and treated with a solution of (S)-1-(1H-benzo[d][1,2,3]triazol-1-yl)-1-oxopropan-2-yl tert-butyl carbonate (1.51 g, 5.20 mmol) in tetrahydrofuran (13 mL) followed by 4-dimethylaminopyridine (617 mg, 5.05 mmol). After 5 min, the ice bath was removed, and the mixture was stirred at ambient temperature for 48 h. After this time, the reaction mixture was concentrated under reduced pressure. The residue was dissolved in ethyl acetate (50 mL) and washed with aqueous 10% citric acid (2×25 mL), water (25 mL), and brine (25 mL). The organic layer was extracted with saturated aqueous sodium bicarbonate (2×25 mL). The combined aqueous bicarbonate layers were acidified to pH ˜3 with 6 N hydrochloric acid and extracted with ethyl acetate (4×25 mL). The combined organics were dried over sodium sulfate, filtered, and concentrated under reduced pressure. The crude residue was purified by column chromatography (silica gel, 0-10% methanol/methylene chloride) to provide (S)-4-(tert-butoxy)-3-(((S)-2-((tert-butoxycarbonyl)oxy)propanoyl)oxy)-4-oxobutanoic acid (507 mg, 28%) as a colorless oil:1H NMR (300 MHz, DMSO-d6) δ 12.79 (br s, 1H), 5.20 (dd, J=7.2, 4.8 Hz, 1H), 4.95 (q, J=7.2 Hz, 1H), 2.86-2.70 (m, 2H), 1.46-1.39 (m, 21H).
Preparation of (S)-1-tert-Butyl 4-(2,5-dioxopyrrolidin-1-yl) 2-(((S)-2-((tert-butoxycarbonyl)oxy)propanoyl)oxy)succinate
Figure US10226456-20190312-C00732
A solution of (S)-4-(tert-butoxy)-3-(((S)-2-((tert-butoxycarbonyl)oxy)propanoyl)oxy)-4-oxobutanoic acid (620 mg, 1.71 mmol) in tetrahydrofuran (15 mL) was treated with N-hydroxysuccinimide (213 mg, 1.85 mmol) and N,N′-dicyclohexylcarbodiimide (385 mg, 1.87 mmol) and stirred under a nitrogen atmosphere for 6.5 h. After this time, the reaction mixture was filtered to remove the solid dicyclohexylurea byproduct. The solid was washed with diethyl ether, and the combined filtrate and washings were concentrated under reduced pressure to provide (S)-1-tert-butyl 4-(2,5-dioxopyrrolidin-1-yl) 2-(((S)-2-((tert-butoxycarbonyl)oxy)propanoyl)oxy)succinate (813 mg, quantitative) as a white semi-solid:1H NMR (300 MHz, DMSO-d6) δ 5.40-5.29 (m, 1H), 4.98 (q, J=7.2 Hz, 1H), 3.36-3.32 (m, 2H, partially obscured by solvent peak), 2.82 (br s, 4H), 1.43-1.40 (m, 21H).
Preparation of (S)-1-tert-Butyl 4-((4R,4aS,7aR,12bS)-4a-hydroxy-9-methoxy-3-methyl-2,3,4,4a,5,7a-hexahydro-1H-4,12-methanobenzofuro[3,2-e]isoquinolin-7-yl) 2-(((S)-2-((tert-butoxycarbonyl)oxy)propanoyl)oxy)succinate
Figure US10226456-20190312-C00733
A suspension of oxycodone (253 mg, 0.802 mmol) in tetrahydrofuran (4 mL) was cooled in an ice bath and treated dropwise with a 1.0 M solution of lithium bis(trimethylsilyl)amide in tetrahydrofuran (0.9 mL, 0.9 mmol). After stirring at 0° C. for 45 min, the ice bath was replaced with a dry ice/acetonitrile bath (−45° C.). The mixture was treated dropwise with a solution of (S)-1-tert-butyl 4-(2,5-dioxopyrrolidin-1-yl) 2-(((S)-2-((tert-butoxycarbonyl)oxy)propanoyl)oxy)succinate (401 mg, 0.873 mmol) in tetrahydrofuran (4 mL) and stirred for 30 min. After this time, the dry ice/acetonitrile bath was replaced with a wet ice bath, and the reaction mixture was treated with chilled saturated aqueous ammonium chloride (25 mL) and extracted with ethyl acetate (2×25 mL). The combined organics were washed with water (25 mL) and brine (25 mL), dried over sodium sulfate, filtered, and concentrated under reduced pressure. The crude residue was purified by reversed phase column chromatography (50 g C18 column, 20-100% acetonitrile/water) and freeze dried to provide (S)-1-tert-butyl 4-((4R,4aS,7aR,12bS)-4a-hydroxy-9-methoxy-3-methyl-2,3,4,4a,5,7a-hexahydro-1H-4,12-methanobenzofuro[3,2-e]isoquinolin-7-yl) 2-(((S)-2-((tert-butoxycarbonyl)oxy)propanoyl)oxy)succinate (63 mg, 12%) as a fluffy white solid: ESI MS m/z 660 [C34H45NO12+H]+.
Preparation of (S)-4-(((4R,4aS,7aR,12bS)-4a-Hydroxy-9-methoxy-3-methyl-2,3,4,4a,5,7a-hexahydro-1H-4,12-methanobenzofuro[3,2-e]isoquinolin-7-yl)oxy)-2-(((S)-2-hydroxypropanoyl)oxy)-4-oxobutanoic acid trifluoroacetic acid salt and (S)-1-tert-Butyl 4-((4R,4aS,7aR,12bS)-4a-hydroxy-9-methoxy-3-methyl-2,3,4,4a,5,7a-hexahydro-1H-4,12-methanobenzofuro[3,2-e]isoquinolin-7-yl) 2-(((S)-2-hydroxypropanoyl)oxy)succinate trifluoroacetic acid salt
Figure US10226456-20190312-C00734
A solution of (S)-1-tert-butyl 4-((4R,4aS,7aR,12bS)-4a-hydroxy-9-methoxy-3-methyl-2,3,4,4a,5,7a-hexahydro-1H-4,12-methanobenzofuro[3,2-e]isoquinolin-7-yl) 2-(((S)-2-((tert-butoxycarbonyl)oxy)propanoyl)oxy)succinate (61 mg, 0.092 mmol) in methylene chloride (2 mL) was treated with trifluoroacetic acid (0.5 mL) and stirred under a nitrogen atmosphere at ambient temperature for 2 h. After this time, the reaction mixture was concentrated under reduced pressure. The residue was purified by reversed phase column chromatography (50 g C18 column, 10-70% acetonitrile/water with 0.1% trifluoroacetic acid) to provide two compounds. Each compound was freeze dried to afford(S)-4-(((4R,4aS,7aR,12bS)-4a-hydroxy-9-methoxy-3-methyl-2,3,4,4a,5,7a-hexahydro-1H-4,12-methanobenzofuro[3,2-e]isoquinolin-7-yl)oxy)-2-(((S)-2-hydroxypropanoyl)oxy)-4-oxobutanoic acid trifluoroacetic acid salt (20 mg, 35%) as a fluffy white solid:1H NMR (300 MHz, DMSO-d6) δ 13.42 (br s, 1H), 9.18 (br s, 1H), 6.86 (d, J=8.4 Hz, 1H), 6.75 (d, J=8.4 Hz, 1H), 6.29 (s, 1H), 5.56-5.55 (m, 1H), 5.46 (br s, 1H), 5.31 (dd, J=8.1, 4.2 Hz, 1H), 4.99 (s, 1H), 4.21 (q, J=6.9 Hz, 1H), 3.75 (s, 3H), 3.64 (d, J=6.3 Hz, 1H), 3.48-3.40 (m, 1H, partially obscured by water peak), 3.15-2.96 (m, 4H), 2.84 (apparent d, J=4.2 Hz, 3H), 2.66-2.58 (m, 1H), 2.49-2.42 (m, 1H, partially obscured by solvent peak), 2.32-2.24 (m, 1H), 2.07 (apparent d, J=18.0 Hz, 1H), 1.64 (d, J=11.7 Hz, 1H), 1.31 (d, J=6.9 Hz, 3H); ESI MS m/z 504 [C25H29NO10+H]+; HPLC (Method A) 95.0% (AUC), tR=7.36 min;and (S)-1-tert-butyl 4-((4R,4aS,7aR,12bS)-4a-hydroxy-9-methoxy-3-methyl-2,3,4,4a,5,7a-hexahydro-1H-4,12-methanobenzofuro[3,2-e]isoquinolin-7-yl) 2-(((S)-2-hydroxypropanoyl)oxy)succinate trifluoroacetic acid salt (10 mg, 15%) as a fluffy white solid:1H NMR (300 MHz, CDCl3) δ 9.18 (br s, 1H), 6.86 (d, J=8.4 Hz, 1H), 6.75 (d, J=8.4 Hz, 1H), 6.27 (s, 1H), 5.56-5.54 (m, 1H), 5.48 (br s, 1H), 5.24 (dd, J=7.5, 4.8 Hz, 1H), 4.99 (s, 1H), 4.21 (q, J=6.6 Hz, 1H), 3.74 (s, 3H), 3.64 (d, J=6.0 Hz, 1H), 3.46-3.40 (m, 1H, partially obscured by water peak), 3.15-2.97 (m, 4H), 2.85 (apparent d, J=4.8 Hz, 3H), 2.66-2.57 (m, 1H), 2.49-2.42 (m, 1H, partially obscured by solvent peak), 2.33-2.24 (m, 1H), 2.07 (apparent d, J=18.3 Hz, 1H), 1.64 (d, J=12.0 Hz, 1H), 1.41 (s, 9H), 1.32 (d, J=6.9 Hz, 3H); ESI MSm/z 560 [C29H37NO10+H]+; HPLC (Method A) 97.7% (AUC), tR=9.28 min.
Figure US10226456-20190312-C00735
Preparation of (R)-2,5-Dioxopyrrolidin-1-yl 2-(2,2-dimethyl-5-oxo-1,3-dioxolan-4-yl)acetate
Figure US10226456-20190312-C00736
A solution of (R)-2-(2,2-dimethyl-5-oxo-1,3-dioxolan-4-yl)acetic acid (696 mg, 4.00 mmol) in tetrahydrofuran (40 mL) was treated with N-hydroxysuccinimide (506 mg, 4.40 mmol) and N,N′-dicyclohexylcarbodiimide (906 mg, 4.40 mmol) and stirred under a nitrogen atmosphere for 5 h. After this time, the reaction mixture was filtered to remove the solid dicyclohexylurea byproduct. The solid was washed with diethyl ether (100 mL), and the combined filtrate and washings were concentrated under reduced pressure. The residue was triturated with diethyl ether to provide (R)-2,5-dioxopyrrolidin-1-yl 2-(2,2-dimethyl-5-oxo-1,3-dioxolan-4-yl)acetate (1.40 g, quantitative) as a yellow solid:1H NMR (300 MHz, CDCl3) δ 4.77 (dd, J=6.3, 3.6 Hz, 1H), 3.28 (dd, J=17.4, 3.9 Hz, 1H), 3.10 (dd, J=17.1, 6.3 Hz, 1H), 2.85 (s, 4H), 1.63 (s, 3H), 1.58 (s, 3H).
Preparation of (4R,4aS,7aR,12bS)-4a-Hydroxy-9-methoxy-3-methyl-2,3,4,4a,5,7a-hexahydro-1H-4,12-methanobenzofuro[3,2-e]isoquinolin-7-yl 2-((R)-2,2-dimethyl-5-oxo-1,3-dioxolan-4-yl)acetate
Figure US10226456-20190312-C00737
A suspension of oxycodone (500 mg, 1.59 mmol) in tetrahydrofuran (10 mL) was cooled to −50° C. and treated dropwise with a 1.0 M solution of lithium bis(trimethylsilyl)amide in tetrahydrofuran (1.8 mL, 1.8 mmol). After addition was complete, the mixture was stirred at −50° C. for 45 min. The mixture was treated dropwise with a solution of (R)-2,5-dioxopyrrolidin-1-yl 2-(2,2-dimethyl-5-oxo-1,3-dioxolan-4-yl)acetate (640 mg, 2.40 mmol) in tetrahydrofuran (8 mL). After addition was complete, the mixture was stirred at −50° C. for 30 min. After this time, the reaction mixture was treated with saturated aqueous ammonium chloride (15 mL) and extracted with ethyl acetate (3×15 mL). The combined organics were dried over sodium sulfate, filtered, and concentrated under reduced pressure. The crude residue was purified by reversed phase column chromatography (50 g C18 column, 10-100% acetonitrile/water) and freeze dried to provide (4R,4aS,7aR,12bS)-4a-hydroxy-9-methoxy-3-methyl-2,3,4,4a,5,7a-hexahydro-1H-4,12-methanobenzofuro[3,2-e]isoquinolin-7-yl 2-((R)-2,2-dimethyl-5-oxo-1,3-dioxolan-4-yl)acetate (43 mg, 6%) as a white solid: ESI MS m/z 472 [C25H29NO8+H]+.
Preparation of (R)-2-Hydroxy-4-(((4R,4aS,7aR,12bS)-4a-hydroxy-9-methoxy-3-methyl-2,3,4,4a,5,7a-hexahydro-1H-4,12-methanobenzofuro[3,2-e]isoquinolin-7-yl)oxy)-4-oxobutanoic acid trifluoroacetic acid salt
Figure US10226456-20190312-C00738
A solution of (4R,4aS,7aR,12bS)-4a-hydroxy-9-methoxy-3-methyl-2,3,4,4a,5,7a-hexahydro-1H-4,12-methanobenzofuro[3,2-e]isoquinolin-7-yl 2-((R)-2,2-dimethyl-5-oxo-1,3-dioxolan-4-yl)acetate (43 mg, 0.090 mmol) was treated with 1 M hydrogen chloride solution in 1,4-dioxanes (1 mL) and water (a few drops) and stirred under a nitrogen atmosphere at ambient temperature for 1 h. After this time, the reaction mixture was concentrated under reduced pressure. This material was purified by reversed phase column chromatography (50 g C18 column, 5-40% acetonitrile/water) and freeze dried to provide (R)-2-hydroxy-4-(((4R,4aS,7aR,12bS)-4a-hydroxy-9-methoxy-3-methyl-2,3,4,4a,5,7a-hexahydro-1H-4,12-methanobenzofuro[3,2-e]isoquinolin-7-yl)oxy)-4-oxobutanoic acid trifluoroacetic acid salt (28 mg, 71%) as a white solid:1H NMR (300 MHz, DMSO-d6) δ 12.7 (s, 1H), 9.19 (s, 1H), 6.86 (d, J=8.4 Hz, 1H), 6.75 (d, J=8.4 Hz, 1H), 6.28 (s, 1H), 5.63 (s, 1H), 5.53-5.51 (m, 1H), 4.98 (s, 1H), 4.34 (dd, J=7.8, 2.1 Hz, 1H), 3.76 (s, 3H), 3.64 (d, J=6.3 Hz, 1H), 3.43 (d, J=20.1 Hz, 1H), 3.15-3.07 (m, 2H), 2.89-2.82 (m, 4H), 2.72-2.61 (m, 2H), 2.46-2.42 (m, 1H), 2.33-2.26 (m, 1H), 2.05 (d, J=18.0 Hz, 1H), 1.64 (d, J=11.5 Hz, 1H); ESI MS m/z 432 [C22H25NO8+H]+, HPLC (Method A) 97.2% (AUC), tR=7.04 min.
Figure US10226456-20190312-C00739
Preparation of (S)-2-(((S)-5-(tert-Butoxy)-4-((tert-butoxycarbonyl)amino)-5-oxopentanoyl)oxy)propanoic acid
Figure US10226456-20190312-C00740
(S)-Lactic acid (270 mg, 3.00 mmol), (S)-1-tert-butyl 5-(2,5-dioxopyrrolidin-1-yl) 2-((tert-butoxycarbonyl)amino)pentanedioate (1.00 g, 2.50 mmol), 4-(dimethylamino)pyridine (31 mg, 0.250 mmol), and pyridine (237 mg, 3.00 mmol) were combined and heated at 60° C. under a nitrogen atmosphere for 48 h. After this time, the solvent was removed under reduced pressure, and the residue was participated between ethyl acetate (20 mL) and 10% aqueous citric acid. The organic layer was separated and extracted with saturated aqueous sodium bicarbonate (20 ml). The aqueous phase was collected and acidified to pH=3 with 6 N hydrochloric acid, and the mixture was extracted with ethyl acetate (2×20 mL). The combined organics were washed with brine (50 mL), dried over sodium sulfate, filtered, and concentrated under reduced pressure to provide (S)-2-(((S)-5-(tert-butoxy)-4-((tert-butoxycarbonyl)amino)-5-oxopentanoyl)oxy)propanoic acid (726 mg, 77%) as a colorless oil:1H NMR (300 MHz, CDCl3) δ 5.19-5.12 (m, 2H), 2.51-2.42 (m, 2H), 2.18 (m, 1H), 1.91 (m, 1H), 1.54 (d, J=7.2 Hz, 3H), 1.47 (s, 9H), 1.45 (s, 9H), CO2H and NH protons not observed.
Preparation of (S)-1-tert-Butyl 5-((S)-1-((2,5-dioxopyrrolidin-1-yl)oxy)-1-oxopropan-2-yl) 2-((tert-butoxycarbonyl)amino)pentanedioate
Figure US10226456-20190312-C00741
A solution of (S)-2-(((S)-5-(tert-butoxy)-4-((tert-butoxycarbonyl)amino)-5-oxopentanoyl)oxy)propanoic acid (726 mg, 1.93 mmol) in tetrahydrofuran (15 mL) was treated with N-hydroxysuccinimide (245 mg, 2.13 mmol) and N,N′-dicyclohexylcarbodiimide (439 mg, 2.13 mmol) and stirred under a nitrogen atmosphere for 5 h. After this time, the reaction mixture was filtered to remove the solid dicyclohexylurea byproduct. The solid was washed with diethyl ether (100 mL), and the combined filtrate and washings were concentrated under reduced pressure. The residue was triturated with diethyl ether to provide (S)-1-tert-butyl 5-((S)-1-((2,5-dioxopyrrolidin-1-yl)oxy)-1-oxopropan-2-yl) 2-((tert-butoxycarbonyl)amino)pentanedioate (1.03 g, quantitative) as a white solid:1H NMR (300 MHz, CDCl3) δ 5.42 (dd, J=14.1, 7.2 Hz, 1H), 5.08 (m, 1H), 2.84 (s, 4H), 2.53-2.46 (m, 2H), 2.20 (m, 1H), 1.91 (m, 1H), 1.67 (d, J=7.2 Hz, 3H), 1.47 (s, 9H), 1.45 (s, 9H), NH proton not observed.
Preparation of (S)-1-tert-Butyl 5-((S)-1-(((4R,4aS,7aR,12bS)-4a-hydroxy-9-methoxy-3-methyl-2,3,4,4a,5,7a-hexahydro-1H-4,12-methanobenzofuro[3,2-e]isoquinolin-7-yl)oxy)-1-oxopropan-2-yl) 2-((tert-butoxycarbonyl)amino)pentanedioate
Figure US10226456-20190312-C00742
A suspension of oxycodone (400 mg, 1.27 mmol) in tetrahydrofuran (10 mL) was cooled to −50° C. and treated dropwise with a 1.0 M solution of lithium bis(trimethylsilyl)amide in tetrahydrofuran (1.4 mL, 1.4 mmol). After addition was complete, the mixture was stirred at −50° C. for 45 min. The mixture was treated dropwise with a solution of (S)-1-tert-butyl 5-((S)-1-((2,5-dioxopyrrolidin-1-yl)oxy)-1-oxopropan-2-yl) 2-((tert-butoxycarbonyl)amino)pentanedioate (640 mg, 1.40 mmol) in tetrahydrofuran (8 mL). After addition was complete, the mixture was stirred at −50° C. for 30 min. After this time, the reaction mixture was treated with saturated aqueous ammonium chloride (15 mL) and extracted with ethyl acetate (3×15 mL). The combined organics were dried over sodium sulfate, filtered, and concentrated under reduced pressure. The crude residue was purified by reversed phase column chromatography (50 g C18 column, 10-100% acetonitrile/water) and freeze dried to provide (S)-1-tert-butyl 5-((S)-1-(((4R,4aS,7aR,12bS)-4a-hydroxy-9-methoxy-3-methyl-2,3,4,4a,5,7a-hexahydro-1H-4,12-methanobenzofuro[3,2-e]isoquinolin-7-yl)oxy)-1-oxopropan-2-yl) 2-((tert-butoxycarbonyl)amino)pentanedioate (240 mg, 28%) as a white solid: ESI MS m/z 673 [C35H48N2O11+H]+.
Preparation of (S)-2-Amino-5-(((S)-1-(((4R,4aS,7aR,12bS)-4a-hydroxy-9-methoxy-3-methyl-2,3,4,4a,5,7a-hexahydro-1H-4,12-methanobenzofuro[3,2-e]isoquinolin-7-yl)oxy)-1-oxopropan-2-yl)oxy)-5-oxopentanoic acid bis(trifluoroacetic acid salt)
Figure US10226456-20190312-C00743
A solution of (S)-1-tert-butyl 5-((S)-1-(((4R,4aS,7aR,12bS)-4a-hydroxy-9-methoxy-3-methyl-2,3,4,4a,5,7a-hexahydro-1H-4,12-methanobenzofuro[3,2-e]isoquinolin-7-yl)oxy)-1-oxopropan-2-yl) 2-((tert-butoxycarbonyl)amino)pentanedioate (0.18 g, 0.27 mmol) in methylene chloride (1 mL) was treated with trifluoroacetic acid (1 mL) and stirred under a nitrogen atmosphere at ambient temperature for 1 h. After this time, the reaction mixture was concentrated under reduced pressure. This material was purified by reversed phase column chromatography (50 g C18 column, 5-40% acetonitrile/water) and freeze dried to provide (S)-2-amino-5-(((S)-1-(((4R,4aS,7aR,12bS)-4a-hydroxy-9-methoxy-3-methyl-2,3,4,4a,5,7a-hexahydro-1H-4,12-methanobenzofuro[3,2-e]isoquinolin-7-yl)oxy)-1-oxopropan-2-yl)oxy)-5-oxopentanoic acid bis(trifluoroacetic acid salt) (100 mg, 72%) as a white solid:1H NMR (300 MHz, DMSO-d6) δ 9.20 (s, 1H), 8.29 (s, 3H), 6.86 (d, J=8.4 Hz, 1H), 6.76 (d, J=8.1 Hz, 1H), 6.34 (s, 1H), 5.60-5.58 (m, 1H), 5.14 (dd, J=13.8, 7.2 Hz, 1H), 5.00 (s, 1H), 3.76 (s, 3H), 3.66 (d, J=6.3 Hz, 1H), 3.43 (d, J=20.1 Hz, 1H), 3.16-3.07 (m, 2H), 2.85 (s, 3H), 2.72-2.61 (m, 3H), 2.46-2.42 (m, 1H), 2.33-2.26 (m, 1H), 2.15-1.99 (m, 3H), 2.07 (d, J=18.0 Hz, 1H), 1.64 (d, J=11.5 Hz, 1H), 1.51 (d, J=7.2 Hz, 3H), CO2H proton not observed; ESI MS m/z 517 [C26H32N2O9+H], HPLC (Method A) 97.8% (AUC), tR=7.13 min.
Figure US10226456-20190312-C00744
Preparation of (S)-2-(((S)-3-Acetoxy-4-(tert-butoxy)-4-oxobutanoyl)oxy)-2-phenylacetic acid
Figure US10226456-20190312-C00745
A solution of (S)-1-tert-butyl 4-(2,5-dioxopyrrolidin-1-yl) 2-acetoxysuccinate (1.66 g, 5.05 mmol), (S)-mandelic acid (861 mg, 5.66 mmol), and 4-dimethylaminopyridine (68 mg, 0.56 mmol) in tetrahydrofuran (30 mL) was treated with pyridine (0.82 mL, 10 mmol) and heated at 50° C. under a nitrogen atmosphere for 64 h. After this time, the reaction mixture was cooled to room temperature and concentrated under reduced pressure. The residue was dissolved in ethyl acetate (50 mL); washed with aqueous 10% citric acid (2×25 mL), water (25 mL), and brine (25 mL); dried over sodium sulfate; filtered; and concentrated under reduced pressure. The crude residue was purified by column chromatography (silica gel, 0-10% methanol/methylene chloride) to provide (S)-2-(((S)-3-acetoxy-4-(tert-butoxy)-4-oxobutanoyl)oxy)-2-phenylacetic acid (849 mg, 46%) as a colorless oil:1H NMR (300 MHz, DMSO-d6) δ 13.31 (s, 1H), 7.47-7.40 (m, 5H), 5.88 (s, 1H), 5.23 (dd, J=8.7, 4.2 Hz, 1H), 3.05 (dd, J=16.8, 4.2 Hz, 1H), 2.94 (dd, J=16.8, 8.7 Hz, 1H), 2.05 (s, 3H), 1.38 (s, 9H); ESI MS m/z 731 [(2×C18H22O8)−H].
Preparation of (S)-1-tert-Butyl 4-((S)-2-((2,5-dioxopyrrolidin-1-yl)oxy)-2-oxo-1-phenylethyl) 2-acetoxysuccinate
Figure US10226456-20190312-C00746
A solution of (S)-2-(((S)-3-acetoxy-4-(tert-butoxy)-2-phenylacetic acid (845 mg, 2.31 mmol) in tetrahydrofuran (23 mL) was treated with N-hydroxysuccinimide (292 mg, 2.54 mmol) and N,N′-dicyclohexylcarbodiimide (541 mg, 2.62 mmol) and stirred under a nitrogen atmosphere for 16 h. After this time, the reaction mixture was filtered to remove the solid dicyclohexylurea byproduct. The solid was washed with diethyl ether, and the combined filtrate and washings were concentrated under reduced pressure to provide (S)-1-tert-butyl 4-((S)-2-((2,5-dioxopyrrolidin-1-yl)oxy)-2-oxo-1-phenylethyl) 2-acetoxysuccinate (1.20 g, quantitative) as a white semi-solid:1H NMR (300 MHz, DMSO-d6) δ 7.59-7.56 (m, 2H), 7.50-7.47 (m, 3H), 6.57 (s, 1H), 5.22 (dd, J=8.1, 4.5 Hz, 1H), 3.10 (dd, J=16.8, 4.5 Hz, 1H), 3.00 (dd, J=16.8, 8.4 Hz, 1H), 2.78 (br s, 4H), 2.04 (s, 3H), 1.37 (s, 9H).
Preparation of (S)-1-tert-Butyl 4-((S)-2-(((4R,4aS,7aR,12bS)-4a-hydroxy-9-methoxy-3-methyl-2,3,4,4a,5,7a-hexahydro-1H-4,12-methanobenzofuro[3,2-e]isoquinolin-7-yl)oxy)-2-oxo-1-phenylethyl) 2-acetoxysuccinate
Figure US10226456-20190312-C00747
A suspension of oxycodone (335 mg, 1.06 mmol) in tetrahydrofuran (5 mL) was cooled in an ice bath and treated dropwise with a 1.0 M solution of potassium tert-butoxide in tetrahydrofuran (1.2 mL, 1.2 mmol). After stirring at 0° C. for 1 h, the ice bath was replaced with a dry ice/acetonitrile bath (−45° C.). The mixture was treated dropwise with a solution of (S)-1-tert-butyl 4-((S)-2-((2,5-dioxopyrrolidin-1-yl)oxy)-2-oxo-1-phenylethyl) 2-acetoxysuccinate (533 mg, 1.15 mmol) in tetrahydrofuran (5 mL). The dry ice was removed from the acetonitrile bath, and the bath temperature increased to −10° C. over 30 min. After this time, the reaction mixture was treated with saturated aqueous ammonium chloride (25 mL) and extracted with ethyl acetate (2×25 mL). The combined organics were washed with brine (25 mL), dried over sodium sulfate, filtered, and concentrated under reduced pressure. The crude residue was purified by reversed phase column chromatography (50 g C18 column, 10-100% acetonitrile/water) and freeze dried to provide (S)-1-tert-butyl 4-((S)-2-(((4R,4aS,7aR,12bS)-4a-hydroxy-9-methoxy-3-methyl-2,3,4,4a,5,7a-hexahydro-1H-4,12-methanobenzofuro[3,2-e]isoquinolin-7-yl)oxy)-2-oxo-1-phenylethyl) 2-acetoxysuccinate (71 mg, 10%) as a fluffy white solid: ESI MS m/z 664 [C36H41NO11+H]+.
Preparation of (S)-2-Acetoxy-4-((S)-2-(((4R,4aS,7aR,12bS)-4a-hydroxy-9-methoxy-3-methyl-2,3,4,4a,5,7a-hexahydro-1H-4,12-methanobenzofuro[3,2-e]isoquinolin-7-yl)oxy)-2-oxo-1-phenylethoxy)-4-oxobutanoic acid trifluoroacetic acid salt
Figure US10226456-20190312-C00748
A solution of (S)-1-tert-butyl 4-((S)-2-(((4R,4aS,7aR,12bS)-4a-hydroxy-9-methoxy-3-methyl-2,3,4,4a,5,7a-hexahydro-1H-4,12-methanobenzofuro[3,2-e]isoquinolin-7-yl)oxy)-2-oxo-1-phenylethyl) 2-acetoxysuccinate (70 mg, 0.11 mmol) in methylene chloride (2 mL) was treated with trifluoroacetic acid (0.5 mL) and stirred under a nitrogen atmosphere at ambient temperature for 3 h. After this time, the reaction mixture was concentrated under reduced pressure. The residue was purified by reversed phase column chromatography (50 g C18 column, 10-80% acetonitrile/water with 0.1% trifluoroacetic acid) and freeze dried to provide (S)-2-acetoxy-4-((S)-2-(((4R,4aS,7aR,12bS)-4a-hydroxy-9-methoxy-3-methyl-2,3,4,4a,5,7a-hexahydro-1H-4,12-methanobenzofuro[3,2-e]isoquinolin-7-yl)oxy)-2-oxo-1-phenylethoxy)-4-oxobutanoic acid trifluoroacetic acid salt (25 mg, 33%) as a fluffy white solid:1H NMR (300 MHz, DMSO-d6) δ 13.40 (br s, 1H), 9.16 (br s, 1H), 7.57-7.54 (m, 2H), 7.48-7.46 (m, 3H), 6.81 (d, J=8.4 Hz, 1H), 6.73 (d, J=8.4 Hz, 1H), 6.29 (s, 1H), 6.17 (s, 1H), 5.55 (dd, J=6.0, 2.1 Hz, 1H), 5.33 (dd, J=8.7, 3.9 Hz, 1H), 4.95 (s, 1H), 3.75 (br s, 4H), 3.44-3.38 (m, 1H, partially obscured by water peak), 3.14-2.97 (m, 4H), 2.83 (apparent d, J=4.2 Hz, 3H), 2.68-2.57 (m, 1H), 2.49-2.40 (m, 1H, partially obscured by solvent peak), 2.31-2.22 (m, 1H), 2.09-2.04 (m, 1H), 2.04 (s, 3H), 1.63 (d, J=12.0 Hz, 3H); ESI MS m/z 608 [C32H33NO11+H]+;HPLC (Method A) 98.0% (AUC), tR=9.62 min.
Figure US10226456-20190312-C00749
Preparation of (2R,3R)-2,3-Diacetoxy-4-(((S)-1,4-di-tert-butoxy-1,4-dioxobutan-2-yl)oxy)-4-oxobutanoic acid
Figure US10226456-20190312-C00750
(S)-Di-tert-butyl 2-hydroxysuccinate (968 mg, 3.93 mmol), (3R,4R)-2,5-dioxotetrahydrofuran-3,4-diyl diacetate (1.06 g, 4.91 mmol), pyridine (279 mg, 3.54 mmol), and N,N-dimethylformamide (2 mL) were combined and stirred at 0° C. under a nitrogen atmosphere for 2 h. After this time, saturated sodium bicarbonate (15 mL) was added, and the resulting aqueous solution was washed with ethyl acetate (10 mL). The aqueous phase was collected and acidified to pH=3 with 6 N hydrochloric acid, and the mixture was extracted with ethyl acetate (2×20 mL). The combined organics were washed with brine (50 mL), dried over sodium sulfate, filtered, and concentrated under reduced pressure to provide (2R,3R)-2,3-diacetoxy-4-(((S)-1,4-di-tert-butoxy-1,4-dioxobutan-2-yl)oxy)-4-oxobutanoic acid (1.74 g, 95%) as a yellow oil:1H NMR (300 MHz, CDCl3) δ 5.80 (d, J=3.0 Hz, 1H), 5.68 (d, J=3.0 Hz, 1H), 5.30 (dd, J=7.2, 5.1 Hz, 1H), 2.77-2.74 (m, 2H), 2.20 (s, 3H), 2.18 (s, 3H), 1.46 (s, 9H), 1.44 (s, 9H), CO2H proton not observed.
Preparation of (2R,3R)-1-((S)-1,4-Di-tert-butoxy-1,4-dioxobutan-2-yl) 4-(2,5-dioxopyrrolidin-1-yl) 2,3-diacetoxysuccinate
Figure US10226456-20190312-C00751
A solution of (2R,3R)-2,3-diacetoxy-4-(((S)-1,4-di-tert-butoxy-1,4-dioxobutan-2-yl)oxy)-4-oxobutanoic acid (1.74 g, 3.76 mmol) in tetrahydrofuran (25 mL) was treated with N-hydroxysuccinimide (476 mg, 4.14 mmol) and N,N′-dicyclohexylcarbodiimide (929 mg, 4.51 mmol) and stirred under a nitrogen atmosphere for 4 h. After this time, the reaction mixture was filtered to remove the solid dicyclohexylurea byproduct. The solid was washed with diethyl ether (100 mL), and the combined filtrate and washings were concentrated under reduced pressure. The residue was triturated with diethyl ether to provide (2R,3R)-1-((S)-1,4-di-tert-butoxy-1,4-dioxobutan-2-yl) 4-(2,5-dioxopyrrolidin-1-yl) 2,3-diacetoxysuccinate (2.06 g) as a yellow solid:1H NMR (300 MHz, CDCl3) δ 6.04 (d, J=3.0 Hz, 1H), 5.95 (d, J=2.7 Hz, 1H), 5.32 (dd, J=8.1, 4.2 Hz, 1H), 2.85-2.74 (m, 6H), 2.25 (s, 3H), 2.23 (s, 3H), 1.46 (s, 9H), 1.44 (s, 9H).
Preparation of (2R,3R)-1-((S)-1,4-di-tert-Dutoxy-1,4-dioxobutan-2-yl) 4-((4R,4aS,7aR,12bS)-4a-hydroxy-9-methoxy-3-methyl-2,3,4,4a,5,7a-hexahydro-1H-4,12-methanobenzofuro[3,2-e]isoquinolin-7-yl) 2,3-diacetoxysuccinate
Figure US10226456-20190312-C00752
A suspension of oxycodone (380 mg, 1.22 mmol) in tetrahydrofuran (10 mL) was cooled to −50° C. and treated dropwise with a 1.0 M solution of lithium bis(trimethylsilyl)amide in tetrahydrofuran (1.3 mL, 1.3 mmol). After addition was complete, the mixture was stirred at −50° C. for 45 min. The mixture was treated dropwise with a solution of (2R,3R)-1-((S)-1,4-di-tert-butoxy-1,4-dioxobutan-2-yl) 4-(2,5-dioxopyrrolidin-1-yl) 2,3-diacetoxysuccinate (750 mg, 1.30 mmol) in tetrahydrofuran (8 mL). After addition was complete, the mixture was stirred at −50° C. for 30 min. After this time, the reaction mixture was treated with saturated aqueous ammonium chloride (15 mL) and extracted with ethyl acetate (3×15 mL). The combined organics were dried over sodium sulfate, filtered, and concentrated under reduced pressure. The crude residue was purified by reversed phase column chromatography (50 g C18 column, 10-100% acetonitrile/water) and freeze dried to provide (2R,3R)-1-((S)-1,4-di-tert-butoxy-1,4-dioxobutan-2-yl) 4-((4R,4aS,7aR,12bS)-4a-hydroxy-9-methoxy-3-methyl-2,3,4,4a,5,7a-hexahydro-1H-4,12-methanobenzofuro[3,2-e]isoquinolin-7-yl) 2,3-diacetoxysuccinate (120 mg, 11%) as a white solid: ESI MS m/z 760 [CWH49NO15+H]+.
Preparation of (S)-2-(((2R,3R)-2,3-Diacetoxy-4-(((4R,4aS,7aR,12bS)-4a-hydroxy-9-methoxy-3-methyl-2,3,4,4a,5,7a-hexahydro-1H-4,12-methanobenzofuro[3,2-e]isoquinolin-7-yl)oxy)-4-oxobutanoyl)oxy)succinic acid trifluoroacetic acid salt
Figure US10226456-20190312-C00753
A solution of (2R,3R)-1-((S)-1,4-di-tert-butoxy-1,4-dioxobutan-2-yl) 4-((4R,4aS,7aR,12bS)-4a-hydroxy-9-methoxy-3-methyl-2,3,4,4a,5,7a-hexahydro-1H-4,12-methanobenzofuro[3,2-e]isoquinolin-7-yl) 2,3-diacetoxysuccinate (0.12 g, 0.16 mmol) in methylene chloride (1 mL) was treated with trifluoroacetic acid (1 mL) and stirred under a nitrogen atmosphere at ambient temperature for 1 h. After this time, the reaction mixture was concentrated under reduced pressure. This material was purified by reversed phase column chromatography (50 g C18 column, 5-40% acetonitrile/water) and freeze dried to provide (S)-2-(((2R,3R)-2,3-diacetoxy-4-(((4R,4aS,7aR,12bS)-4a-hydroxy-9-methoxy-3-methyl-2,3,4,4a,5,7a-hexahydro-1H-4,12-methanobenzofuro[3,2-e]isoquinolin-7-yl)oxy)-4-oxobutanoyl)oxy)succinic acid trifluoroacetic acid salt (66 mg, 65%) as a white solid:1H NMR (300 MHz, DMSO-d6) δ 13.5 (s, 1H), 12.6 (s, 1H), 9.18 (s, 1H), 6.88 (d, J=8.1 Hz, 1H), 6.77 (d, J=8.1 Hz, 1H), 6.34 (s, 1H), 5.85 (d, J=2.7 Hz, 1H), 5.78 (d, J=2.7 Hz, 1H), 5.55 (dd, J=6.0, 2.1 Hz, 1H), 5.30 (dd, J=8.4, 3.6 Hz, 1H), 4.88 (s, 1H), 3.75 (s, 3H), 3.65 (d, J=6.0 Hz, 1H), 3.43 (d, J=20.1 Hz, 1H), 3.16-3.07 (m, 2H), 2.90-2.80 (m, 5H), 2.64-2.61 (m, 1H), 2.41-2.32 (m, 1H), 2.32-2.27 (m, 1H), 2.20 (s, 3H), 2.12 (s, 3H), 2.08 (d, J=18.3 Hz, 1H), 1.64 (d, J=11.7 Hz, 1H); ESI MS m/z 648 [C30H33NO15+H]*, HPLC (Method A) 96.7% (AUC), tR=8.23 min.
Figure US10226456-20190312-C00754
Preparation of (S)-5-(2-(1H-Benzo[d][1,2,3]triazol-1-yl)-2-oxoethyl)-2,2-dimethyl-1,3-dioxolan-4-one
Figure US10226456-20190312-C00755
A solution of (S)-2-(2,2-dimethyl-5-oxo-1,3-dioxolan-4-yl)acetic acid (1.51 g, 8.66 mmol) in tetrahydrofuran (40 mL) was treated with benzotriazole (1.14 g, 9.60 mmol) and N,N′-dicyclohexylcarbodiimide (2.00 g, 9.69 mmol) and stirred under a nitrogen atmosphere for 16 h. After this time, the reaction mixture was filtered to remove the solid dicyclohexylurea byproduct. The solid was washed with diethyl ether, and the combined filtrate and washings were concentrated under reduced pressure to provide (S)-5-(2-(1H-benzo[d][1,2,3]triazol-1-yl)-2-oxoethyl)-2,2-dimethyl-1,3-dioxolan-4-one (2.99 g, quantitative) as a white solid:1H NMR (300 MHz, DMSO-d6) δ 8.30-8.23 (m, 2H), 7.84-7.79 (m, 1H), 7.67-7.61 (m, 1H), 5.19 (dd, J=6.0, 3.9 Hz, 1H), 4.17 (dd, J=18.0, 3.9 Hz, 1H),3.91 (dd, J=18.0, 6.0 Hz, 1H), 1.59 (s, 6H).
Preparation of (S)-4-(tert-Butoxy)-3-(2-((S)-2,2-dimethyl-5-oxo-1,3-dioxolan-4-yl)acetoxy)-4-oxobutanoic acid
Figure US10226456-20190312-C00756
A solution of (S)-4-(tert-butoxy)-3-hydroxy-4-oxobutanoic acid (1.46 g, 7.69 mmol) in tetrahydrofuran (15 mL) was cooled in an ice bath under a nitrogen atmosphere and treated with a solution of (S)-5-(2-(1H-benzo[d][1,2,3]triazol-1-yl)-2-oxoethyl)-2,2-dimethyl-1,3-dioxolan-4-one (2.38 g, 8.66 mmol) in tetrahydrofuran (15 mL) followed by 4-dimethylaminopyridine (953 mg, 7.80 mmol). After 10 min, the ice bath was removed, and the mixture was stirred at ambient temperature for 48 h. After this time, the reaction mixture was diluted with ethyl acetate (100 mL), washed with aqueous 10% citric acid (50 mL) and brine (25 mL), dried over sodium sulfate, filtered, and concentrated under reduced pressure. The crude residue was purified by column chromatography (silica gel, 0-10% methanol/methylene chloride) to provide (S)-4-(tert-butoxy)-3-(2-((S)-2,2-dimethyl-5-oxo-1,3-dioxolan-4-yl)acetoxy)-4-oxobutanoic acid (1.09 g, 41%) as a colorless oil:1H NMR (300 MHz, DMSO-d6) δ 12.62 (s, 1H), 5.14 (dd, J=7.8, 4.8 Hz, 1H), 4.85 (overlapping dd, J=4.5, 4.5 Hz, 1H), 2.84-2.67 (m, 4H), 1.53 (s, 6H), 1.40 (s, 9H).
Preparation of (S)-1-tert-Butyl 4-(2,5-dioxopyrrolidin-1-yl) 2-(2-((S)-2,2-dimethyl-5-oxo-1,3-dioxolan-4-yl)acetoxy)succinate
Figure US10226456-20190312-C00757
A solution of (S)-4-(tert-butoxy)-3-(2-((S)-2,2-dimethyl-5-oxo-1,3-dioxolan-4-yl)acetoxy)-4-oxobutanoic acid (1.04 g, 3.01 mmol) in tetrahydrofuran (30 mL) was treated with N-hydroxysuccinimide (383 mg, 3.33 mmol) and N,N′-dicyclohexylcarbodiimide (687 mg, 3.33 mmol) and stirred under a nitrogen atmosphere for 16 h. After this time, the reaction mixture was filtered to remove the solid dicyclohexylurea byproduct. The solid was washed with diethyl ether, and the combined filtrate and washings were concentrated under reduced pressure to provide (S)-1-tert-butyl 4-(2,5-dioxopyrrolidin-1-yl) 2-(2-((S)-2,2-dimethyl-5-oxo-1,3-dioxolan-4-yl)acetoxy)succinate (1.46 g, quantitative) as a white semi-solid. The material used without further purification.
Preparation of (S)-1-tert-Butyl 4-((4R,4aS,7aR,12bS)-4a-hydroxy-9-methoxy-3-methyl-2,3,4,4a,5,7a-hexahydro-1H-4,12-methanobenzofuro[3,2-e]isoquinolin-7-yl) 2-(2-((S)-2,2-dimethyl-5-oxo-1,3-dioxolan-4-yl)acetoxy)succinate
Figure US10226456-20190312-C00758
A suspension of oxycodone (493 mg, 1.56 mmol) in tetrahydrofuran (7 mL) was cooled in an ice bath and treated dropwise with a 1.0 M solution of lithium bis(trimethylsilyl)amide in tetrahydrofuran (1.8 mL, 1.8 mmol). After stirring at 0° C. for 30 min, the ice bath was replaced with a dry ice/acetonitrile bath (−45° C.). The mixture was treated dropwise with a solution of (S)-1-tert-butyl 4-(2,5-dioxopyrrolidin-1-yl) 2-(2-((S)-2,2-dimethyl-5-oxo-1,3-dioxolan-4-yl)acetoxy)succinate (745 mg, 1.68 mmol) in tetrahydrofuran (8 mL). The dry ice was removed from the acetonitrile bath, and the bath temperature increased to −10° C. over 30 min. After this time, the reaction mixture was treated with chilled saturated aqueous ammonium chloride (25 mL) and extracted with ethyl acetate (2×25 mL). The combined organics were washed with brine (25 mL), dried over sodium sulfate, filtered, and concentrated under reduced pressure. The crude residue was purified by reversed phase column chromatography (150 g C18 column, 10-100% acetonitrile/water) and freeze dried to provide (S)-1-tert-butyl 4-((4R,4aS,7aR,12bS)-4a-hydroxy-9-methoxy-3-methyl-2,3,4,4a,5,7a-hexahydro-1H-4,12-methanobenzofuro[3,2-e]isoquinolin-7-yl) 2-(2-((S)-2,2-dimethyl-5-oxo-1,3-dioxolan-4-yl)acetoxy)succinate (146 mg, 15%) as a fluffy white solid: ESI MS m/z 644 [C33H41NO12+H]+.
Preparation of (S)-4-((S)-1-Carboxy-3-(((4R,4aS,7aR,12bS)-4a-hydroxy-9-methoxy-3-methyl-2,3,4,4a,5,7a-hexahydro-1H-4,12-methanobenzofuro[3,2-e]isoquinolin-7-yl)oxy)-3-oxopropoxy)-2-hydroxy-4-butanoic acid trifluoroacetic acid salt
Figure US10226456-20190312-C00759
A solution of (S)-1-tert-butyl 4-((4R,4aS,7aR,12bS)-4a-hydroxy-9-methoxy-3-methyl-2,3,4,4a,5,7a-hexahydro-1H-4,12-methanobenzofuro[3,2-e]isoquinolin-7-yl) 2-(2-((S)-2,2-dimethyl-5-oxo-1,3-dioxolan-4-yl)acetoxy)succinate (145 mg, 0.225 mmol) in 1,4-dioxane (4 mL) was treated with a 4.0 M solution of hydrogen chloride in 1,4-dioxane (0.4 mL) followed by water (4 drops) and stirred under a nitrogen atmosphere at ambient temperature for 2 h. Additional hydrogen chloride solution (0.4 mL) was added, and the mixture was stirred for 1 h. After this time, the reaction mixture was partially concentrated under reduced pressure, diluted with acetonitrile and water, and freeze-dried. The residue was suspended in methylene chloride (3 mL) was treated with trifluoroacetic acid (1 mL) and stirred under a nitrogen atmosphere at ambient temperature for 2 h. After this time, the reaction mixture was concentrated under reduced pressure. The residue was purified by reversed phase column chromatography (50 g C18 column, 10-30% acetonitrile/water with 0.1% trifluoroacetic acid) and freeze dried to provide (S)-4-((S)-1-carboxy-3-(((4R,4aS,7aR,12bS)-4a-hydroxy-9-methoxy-3-methyl-2,3,4,4a,5,7a-hexahydro-1H-4,12-methanobenzofuro[3,2-e]isoquinolin-7-yl)oxy)-3-oxopropoxy)-2-hydroxy-4-oxobutanoic acid trifluoroacetic acid salt (88 mg, 59%) as a fluffy white solid:1H NMR (300 MHz, DMSO-d6) δ 13.41 (br s, 1H), 12.69 (br s, 1H), 9.19 (br s, 1H), 6.86 (d, J=8.4 Hz, 1H), 6.75 (d, J=8.1 Hz, 1H), 6.31 (br s, 1H), 5.57 (dd, J=5.7, 1.5 Hz, 1H), 5.55 (br s, 1H), 5.30 (dd, J=7.8, 4.5 Hz, 1H), 4.99 (s, 1H), 4.32 (dd, J=7.8, 4.2 Hz, 1H), 3.75 (s, 3H), 3.65 (d, J=6.3 Hz, 1H), 3.43 (d, J=20.1 Hz, 1H), 3.16-2.95 (m, 4H), 2.84 (s, 3H), 2.81-2.58 (m, 3H), 2.49-2.43 (m, 1H, partially obscured by solvent peak), 2.32-2.24 (m, 1H), 2.07 (apparent d, J=18.0 Hz, 1H), 1.64 (d, J=11.1 Hz, 1H); ESI MSm/z 548 [C26H29NO12+H]+;HPLC (Method A) 92.0% (AUC), tR=7.23 min.
Figure US10226456-20190312-C00760
Preparation of (S)-tert-Butyl 2-((3-(((S)-1-(((4R,4aS,7aR,12bS)-4a-hydroxy-9-methoxy-3-methyl-2,3,4,4a,5,7a-hexahydro-1H-4,12-methanobenzofuro[3,2-e]isoquinolin-7-yl)oxy)-1-oxopropan-2-yl)oxy)-3-oxopropyl)carbamoyl)pyrrolidine-1-carboxylate
Figure US10226456-20190312-C00761
A suspension (S)-(4R,4aS,7aR,12bS)-4a-hydroxy-9-methoxy-3-methyl-2,3,4,4a,5,7a-hexahydro-1H-4,12-methanobenzofuro[3,2-e]isoquinolin-7-yl 2-((3-aminopropanoyl)oxy)propanoate bis(2,2,2-trifluoroacetate) (125 mg, 0.182 mmol) and (S)-1-tert-butyl 2-(2,5-dioxopyrrolidin-1-yl) pyrrolidine-1,2-dicarboxylate (86 mg, 0.275 mmol) in methylene chloride (3 mL) was treated with N,N-diisopropylethylamine (0.13 mL, 0.75 mmol) and stirred under a nitrogen atmosphere for 30 min. After this time, the reaction mixture was diluted with methylene chloride (15 mL) and washed with saturated aqueous ammonium chloride (10 mL). The organic layer was dried over sodium sulfate, filtered, and concentrated under reduced pressure to provide (S)-tert-butyl 2-((3-(((S)-1-(((4R,4aS,7aR,12bS)-4a-hydroxy-9-methoxy-3-methyl-2,3,4,4a,5,7a-hexahydro-1H-4,12-methanobenzofuro[3,2-e]isoquinolin-7-yl)oxy)-1-oxopropan-2-yl)oxy)-3-oxopropyl)carbamoyl)pyrrolidine-1-carboxylate (127 mg, quantitative) as a colorless semi-solid: ESI MS m/z 656 [C34H45N3O10+H]+.
Preparation of (S)-(4R,4aS,7aR,12bS)-4a-Hydroxy-9-methoxy-3-methyl-2,3,4,4a,5,7a-hexahydro-1H-4,12-methanobenzofuro[3,2-e]isoquinolin-7-yl 2-((3-((S)-pyrrolidine-2-carboxamido)propanoyl)oxy)propanoate bis(trifluoroacetic acid salt)
Figure US10226456-20190312-C00762
A solution of (S)-tert-butyl 2-((3-(((S)-1-(((4R,4aS,7aR,12bS)-4a-hydroxy-9-methoxy-3-methyl-2,3,4,4a,5,7a-hexahydro-1H-4,12-methanobenzofuro[3,2-e]isoquinolin-7-yl)oxy)-1-oxopropan-2-yl)oxy)-3-oxopropyl)carbamoyl)pyrrolidine-1-carboxylate (119 mg, 0.182 mmol) in methylene chloride (2 mL) was treated with trifluoroacetic acid (1 mL) and stirred under a nitrogen atmosphere at ambient temperature for 30 min. After this time, the reaction mixture was concentrated under reduced pressure. The residue was purified by reversed phase column chromatography (50 g C18 column, 5-70% acetonitrile/water with 0.1% trifluoroacetic acid) and freeze dried to provide (S)-(4R,4aS,7aR,12bS)-4a-hydroxy-9-methoxy-3-methyl-2,3,4,4a,5,7a-hexahydro-1H-4,12-methanobenzofuro[3,2-e]isoquinolin-7-yl 2-((3-((S)-pyrrolidine-2-carboxamido)propanoyl)oxy)propanoate bis(trifluoroacetic acid salt)(67 mg, 47%) as a white solid:1H NMR (300 MHz, DMSO-d6) δ 9.20 (br s, 2H), 8.61 (t, J=5.7 Hz, 1H), 8.54 (br s, 1H), 6.86 (d, J=8.4 Hz, 1H), 6.76 (d, J=8.1 Hz, 1H), 6.31 (br s, 1H), 5.59 (dd, J=6.0, 2.1 Hz, 1H), 5.12 (q, J=7.2 Hz, 1H), 5.00 (s, 1H), 4.13-4.09 (m, 1H), 3.76 (s, 3H), 3.66 (d, J=6.0 Hz, 1H), 3.51-3.29 (m, 4H), 3.22-3.07 (m, 4H), 2.85 (apparent d, J=4.5 Hz, 3H), 2.70-2.58 (m, 2H), 2.49-2.41 (m, 1H, partially obscured by solvent peak), 2.34-2.19 (m, 2H), 2.06 (apparent d, J=18.0 Hz, 1H), 1.92-1.77 (m, 3H), 1.64 (d, J=11.1 Hz, 1H), 1.51 (d, J=6.9 Hz, 3H); ESI MS m/z 556 [C29H37N3O8+H]+; HPLC (Method A) 97.4% (AUC), tR=7.32 min.
Figure US10226456-20190312-C00763
Preparation of (S)-2,5-Dioxopyrrolidin-1-yl 2-acetamido-6-((tert-butoxycarbonyl)amino)hexanoate
Figure US10226456-20190312-C00764
A solution of (S)-2-acetamido-6-((tert-butoxycarbonyl)amino)hexanoic acid (1.00 g, 3.47 mmol) in tetrahydrofuran (20 mL) was treated with N-hydroxysuccinimide (439 mg, 3.81 mmol) and N,N′-dicyclohexylcarbodiimide (785 mg, 3.81 mmol) and stirred under a nitrogen atmosphere for 2 h. After this time, the reaction mixture was filtered to remove the solid dicyclohexylurea byproduct. The solid was washed with diethyl ether (100 mL), and the combined filtrate and washings were concentrated under reduced pressure. The residue was triturated with diethyl ether to provide (S)-2,5-dioxopyrrolidin-1-yl 2-acetamido-6-((tert-butoxycarbonyl)amino)hexanoate (1.49 mg) as a white solid:1H NMR (300 MHz, CDCl3) δ 6.27 (m, 1H), 4.94 (m, 1H), 4.69 (m, 1H), 3.15-3.13 (m, 2H), 2.87 (s, 4H), 2.08 (s, 3H), 2.02-1.83 (m, 2H), 1.55-1.22 (m, 4H), 1.45 (s, 9H).
Preparation of (S)-(4R,4aS,7aR,12bS)-4a-Hydroxy-9-methoxy-3-methyl-2,3,4,4a,5,7a-hexahydro-1H-4,12-methanobenzofuro[3,2-e]isoquinolin-7-yl 2-((3-((S)-2-acetamido-6-((tert-butoxycarbonyl)amino)hexanamido)propanoyl)oxy)propanoate
Figure US10226456-20190312-C00765
A suspension (S)-(4R,4aS,7aR,12bS)-4a-hydroxy-9-methoxy-3-methyl-2,3,4,4a,5,7a-hexahydro-1H-4,12-methanobenzofuro[3,2-e]isoquinolin-7-yl 2-((3-aminopropanoyl)oxy)propanoate bis(2,2,2-trifluoroacetate) (166 mg, 0.242 mmol) and (S)-2,5-dioxopyrrolidin-1-yl 2-acetamido-6-((tert-butoxycarbonyl)amino)hexanoate (141 mg, 0.366 mmol) in methylene chloride (3 mL) was treated with N,N-diisopropylethylamine (0.17 mL, 0.98 mmol) and stirred under a nitrogen atmosphere for 30 min. After this time, the reaction mixture was diluted with methylene chloride (15 mL) and washed with saturated aqueous ammonium chloride (10 mL). The organic layer was dried over sodium sulfate, filtered, and concentrated under reduced pressure to provide (S)-(4R,4aS,7aR,12bS)-4a-hydroxy-9-methoxy-3-methyl-2,3,4,4a,5,7a-hexahydro-1H-4,12-methanobenzofuro[3,2-e]isoquinolin-7-yl 2-((3-((S)-2-acetamido-6-((tert-butoxycarbonyl)amino)hexanamido)propanoyl)oxy)propanoate (181 mg, quantitative) as a colorless semi-solid: ESI MS m/z 729 [C37H52N4O11+H]+.
Preparation of (S)-(4R,4aS,7aR,12bS)-4a-Hydroxy-9-methoxy-3-methyl-2,3,4,4a,5,7a-hexahydro-H-4,12-methanobenzofuro[3,2-e]isoquinolin-7-yl 2-((3-((S)-2-acetamido-6-aminohexanamido)propanoyl)oxy)propanoate bis(trifluoroacetic acid salt)
Figure US10226456-20190312-C00766
A solution of (S)-(4R,4aS,7aR,12bS)-4a-hydroxy-9-methoxy-3-methyl-2,3,4,4a,5,7a-hexahydro-1H-4,12-methanobenzofuro[3,2-e]isoquinolin-7-yl 2-((3-((S)-2-acetamido-6-((tert-butoxycarbonyl)amino)hexanamido)propanoyl)oxy)propanoate (176 mg, 0.242 mmol) in methylene chloride (2 mL) was treated with trifluoroacetic acid (1 mL) and stirred under a nitrogen atmosphere at ambient temperature for 30 min. After this time, the reaction mixture was concentrated under reduced pressure. The residue was purified by reversed phase column chromatography (50 g C18 column, 5-70% acetonitrile/water with 0.1% trifluoroacetic acid) and freeze dried to provide (S)-(4R,4aS,7aR,12bS)-4a-hydroxy-9-methoxy-3-methyl-2,3,4,4a,5,7a-hexahydro-1H-4,12-methanobenzofuro[3,2-e]isoquinolin-7-yl 2-((3-((S)-2-acetamido-6-aminohexanamido)propanoyl)oxy)propanoate bis(trifluoroacetic acid salt)(94 mg, 44%) as a white solid:1H NMR (300 MHz, DMSO-d6) δ 9.19 (br s, 1H), 8.05-7.98 (m, 2H), 7.65 (br s, 3H), 6.86 (d, J=8.4 Hz, 1H), 6.76 (d, J=8.4 Hz, 1H), 6.32 (s, 1H), 5.59 (dd, J=5.7, 1.8 Hz, 1H), 5.10 (q, J=6.9 Hz, 1H), 5.00 (s, 1H), 4.19-4.12 (m, 1H), 3.75 (s, 3H), 3.66 (d, J=6.0 Hz, 1H), 3.43 (d, J=19.8 Hz, 1H), 3.35-3.25 (m, 2H), 3.16-3.07 (m, 2H), 2.85 (apparent d, J=4.5 Hz, 3H), 2.79-2.70 (m, 2H), 2.65-2.53 (m, 3H, partially obscured by solvent peak), 2.49-2.43 (m, 1H, partially obscured by solvent peak), 2.34-2.26 (m, 1H), 2.06 (apparent d, J=18.3 Hz, 1H), 1.84 (s, 3H), 1.67-1.40 (m, 8H), 1.33-1.20 (m, 2H);ESI MS m/z 629 [C32H44N4O9+H]+; HPLC (Method A)>99% (AUC), tR=7.16 min.
Figure US10226456-20190312-C00767
Preparation of (S)-2-((4-(tert-Butoxy)-4-oxobutanoyl)oxy)-4-ethoxy-4-oxobutanoic acid
Figure US10226456-20190312-C00768
A mixture of (S)-4-ethoxy-2-hydroxy-4-oxobutanoic acid (1.51 g, 9.32 mmol), tert-butyl (2,5-dioxopyrrolidin-1-yl) succinate (2.65 g, 9.78 mmol), pyridine (1.0 mL, 12 mmol), and 4-dimethylaminopyridine (150 mg, 1.23 mmol) in tetrahydrofuran (40 mL) was stirred at reflux for 24 h. After this time, the mixture was cooled to room temperature and concentrated under reduced pressure. The residue was dissolved in ethyl acetate, washed with 10% citric acid, and extracted with saturated sodium bicarbonate. The aqueous layer was collected, carefully treated with 6N hydrochloric acid until acidic by pH paper analysis, and then extracted with ethyl acetate. The organic extracts were dried over sodium sulfate, filtered, and concentrated to provide (S)-2-((4-(tert-butoxy)-4-oxobutanoyl)oxy)-4-ethoxy-4-oxobutanoic acid (1.47 g, 49%):1H NMR (300 MHz, CDCl3) δ 5.56 (t, J=6.0 Hz, 1H), 4.19 (q, J=7.1 Hz, 2H), 2.93 (d, J=6.0 Hz, 2H), 2.71-2.52 (m, 4H), 1.44 (s, 9H), 1.27 (t, J=7.1 Hz, 3H), CO2H proton not observed.
Preparation of (S)-1-(2,5-Dioxopyrrolidin-1-yl) 4-ethyl 2-((4-(tert-butoxy)-4-oxobutanoyl)oxy)succinate
Figure US10226456-20190312-C00769
A mixture of (S)-2-((4-(tert-butoxy)-4-oxobutanoyl)oxy)-4-ethoxy-4-oxobutanoic acid (1.40 g, 4.40 mmol) and N-hydroxysuccinimide (560 mg, 4.87 mmol) in tetrahydrofuran (25 mL) was treated with N,N′-dicyclohexylcarbodiimide (1.00 g, 4.85 mmol), and the reaction mixture was stirred at ambient temperature for 4 h. After this time, diethyl ether (20 mL) was added, and the mixture was filtered. The filtrate was concentrated under reduced pressure to provide (S)-1-(2,5-dioxopyrrolidin-1-yl) 4-ethyl 2-((4-(tert-butoxy)-4-oxobutanoyl)oxy)succinate (1.9 g) that was used without purification:1H NMR (300 MHz, CDCl3) δ 5.82 (dd, J=7.1, 5.2 Hz, 1H), 4.22 (dd, J=7.1 Hz, 2H), 3.05-3.03 (m, 2H), 2.84 (s, 4H), 2.72-2.65 (m, 2H), 2.60-2.53 (m, 2H), 1.44 (s, 9H), 2.28 (t, J=7.1 Hz, 3H).
Preparation of (S)-4-Ethyl 1-((4R,4aS,7aR,12bS)-4a-hydroxy-9-methoxy-3-methyl-2,3,4,4a,5,7a-hexahydro-1H-4,12-methanobenzofuro[3,2-e]isoquinolin-7-yl) 2-((4-(tert-butoxy)-4-oxobutanoyl)oxy)succinate
Figure US10226456-20190312-C00770
A suspension of oxycodone (984 mg, 3.12 mmol) in tetrahydrofuran (15 mL) was cooled in an ice bath and treated dropwise with a 1.0 M solution of lithium bis(trimethylsilyl)amide in tetrahydrofuran (3.7 mL, 3.7 mmol). After stirring at 0° C. for 30 min, the ice bath was replaced with a dry ice/acetonitrile bath (−45° C.). The mixture was treated dropwise with a solution of (S)-1-(2,5-dioxopyrrolidin-1-yl) 4-ethyl 2-((4-(tert-butoxy)-4-oxobutanoyl)oxy)succinate (1.55 g, 3.74 mmol) in tetrahydrofuran (15 mL). The dry ice was removed from the acetonitrile bath, and the bath temperature increased to −10° C. over 30 min. After this time, the reaction mixture was treated with chilled saturated aqueous ammonium chloride (50 mL) and extracted with ethyl acetate (2×50 mL). The combined organics were washed with brine (50 mL), dried over sodium sulfate, filtered, and concentrated under reduced pressure. The crude residue was purified by reversed phase column chromatography (150 g C18 column, 10-100% acetonitrile/water) and freeze dried to provide (S)-4-ethyl 1-((4R,4aS,7aR,12bS)-4a-hydroxy-9-methoxy-3-methyl-2,3,4,4a,5,7a-hexahydro-1H-4,12-methanobenzofuro[3,2-e]isoquinolin-7-yl) 2-((4-(tert-butoxy)-4-oxobutanoyl)oxy)succinate (177 mg, 9%) as a white solid: ESI MS m/z 616 [C32H41NO11+H]+.
Preparation of 4-(((S)-4-Ethoxy-1-(((4R,4aS,7aR,12bS)-4a-hydroxy-9-methoxy-3-methyl-2,3,4,4a,5,7a-hexahydro-1H-4,12-methanobenzofuro[3,2-e]isoquinolin-7-yl)oxy)-1,4-dioxobutan-2-yl)oxy)-4-oxobutanoic acid trifluoroacetic acid salt
Figure US10226456-20190312-C00771
A solution of (S)-4-ethyl 1-((4R,4aS,7aR,12bS)-4a-hydroxy-9-methoxy-3-methyl-2,3,4,4a,5,7a-hexahydro-1H-4,12-methanobenzofuro[3,2-e]isoquinolin-7-yl) 2-((4-(tert-butoxy)-4-oxobutanoyl)oxy)succinate (175 mg, 0.284 mmol) in methylene chloride (3 mL) was treated with trifluoroacetic acid (1 mL) and stirred under a nitrogen atmosphere at ambient temperature for 4 h. After this time, the reaction mixture was concentrated under reduced pressure. The residue was purified by reversed phase column chromatography (50 g C18 column, 10-80% acetonitrile/water with 0.1% trifluoroacetic acid) and freeze dried to provide 4-(((S)-4-ethoxy-1-(((4R,4aS,7aR,12bS)-4a-hydroxy-9-methoxy-3-methyl-2,3,4,4a,5,7a-hexahydro-1H-4,12-methanobenzofuro[3,2-e]isoquinolin-7-yl)oxy)-1,4-dioxobutan-2-yl)oxy)-4-oxobutanoic acid trifluoroacetic acid salt (124 mg, 65%) as a white solid:1H NMR (300 MHz, DMSO-d6) δ 12.28 (br s, 1H), 9.19 (br s, 1H), 6.85 (d, J=8.4 Hz, 1H), 6.75 (d, J=8.4 Hz, 1H), 6.31 (s, 1H), 5.61 (dd, J=5.7, 1.8 Hz, 1H), 5.47 (t, J=5.4 Hz, 1H), 4.96 (s, 1H), 4.13 (q, J=6.9 Hz, 2H), 3.74 (s, 3H), 3.65 (d, J=6.0 Hz, 1H), 3.43 (d, J=19.8 Hz, 1H), 3.16-3.07 (m, 2H), 2.98 (d, J=6.6 Hz, 2H), 2.84 (apparent d, J=4.8 Hz, 3H), 2.69-2.58 (m, 3H), 2.49-2.43 (m, 1H, partially obscured by solvent peak), 2.34-2.26 (m, 1H), 2.07 (apparent d, J=18.3 Hz, 1H), 1.65 (d, J=10.8 Hz, 1H), 1.21 (t, J=6.9 Hz, 3H), two protons obscured by the solvent peaks; ESI MS m/z 560 [C28H33NO11+H]+; HPLC (Method A)>99% (AUC), tR=8.78 min.
Figure US10226456-20190312-C00772
Preparation of (S)-(4R,4aS,7aR,12bS)-4a-Hydroxy-9-methoxy-3-methyl-2,3,4,4a,5,7a-hexahydro-1H-4,12-methanobenzofuro[3,2-e]isoquinolin-7-yl 2-((3-((S)-2-((tert-butoxycarbonyl)amino)-4-methylpentanamido)propanoyl)oxy)propanoate
Figure US10226456-20190312-C00773
A suspension (S)-(4R,4aS,7aR,12bS)-4a-hydroxy-9-methoxy-3-methyl-2,3,4,4a,5,7a-hexahydro-1H-4,12-methanobenzofuro[3,2-e]isoquinolin-7-yl 2-((3-aminopropanoyl)oxy)propanoate bis(2,2,2-trifluoroacetate) (104 mg, 0.152 mmol) and (S)-2,5-dioxopyrrolidin-1-yl 2-((tert-butoxycarbonyl)amino)-4-methylpentanoate (75 mg, 0.23 mmol) in methylene chloride (2 mL) was treated with N,N-diisopropylethylamine (0.11 mL, 0.63 mmol) and stirred under a nitrogen atmosphere for 30 min. After this time, the reaction mixture was diluted with methylene chloride (15 mL) and washed with saturated aqueous ammonium chloride (10 mL). The organic layer was dried over sodium sulfate, filtered, and concentrated under reduced pressure to provide (S)-(4R,4aS,7aR,12bS)-4a-hydroxy-9-methoxy-3-methyl-2,3,4,4a,5,7a-hexahydro-1H-4,12-methanobenzofuro[3,2-e]isoquinolin-7-yl 2-((3-((S)-2-((tert-butoxycarbonyl)amino)-4-methylpentanamido)propanoyl)oxy)propanoate (100 mg, 98%) as a colorless semi-solid: ESI MS m/z 672 [C35H49N3O10+H]+.
Preparation of (S)-(4R,4aS,7aR,12bS)-4a-Hydroxy-9-methoxy-3-methyl-2,3,4,4a,5,7a-hexahydro-1H-4,12-methanobenzofuro[3,2-e]isoquinolin-7-yl 2-((3-((S)-2-amino-4-methylpentanamido)propanoyl)oxy)propanoate bis(trifluoroacetic acid salt)
Figure US10226456-20190312-C00774
A solution of (S)-(4R,4aS,7aR,12bS)-4a-hydroxy-9-methoxy-3-methyl-2,3,4,4a,5,7a-hexahydro-1H-4,12-methanobenzofuro[3,2-e]isoquinolin-7-yl 2-((3-((S)-2-((tert-butoxycarbonyl)amino)-4-methylpentanamido)propanoyl)oxy)propanoate (100 mg, 0.149 mmol) in methylene chloride (2 mL) was treated with trifluoroacetic acid (1 mL) and stirred under a nitrogen atmosphere at ambient temperature for 45 min. After this time, the reaction mixture was concentrated under reduced pressure. The residue was purified by reversed phase column chromatography (50 g C18 column, 10-80% acetonitrile/water with 0.1% trifluoroacetic acid) and freeze dried to provide (S)-(4R,4aS,7aR,12bS)-4a-hydroxy-9-methoxy-3-methyl-2,3,4,4a,5,7a-hexahydro-1H-4,12-methanobenzofuro[3,2-e]isoquinolin-7-yl 2-((3-((S)-2-amino-4-methylpentanamido)propanoyl)oxy)propanoate bis(trifluoroacetic acid salt)(57 mg, 48%) as a white solid:1H NMR (300 MHz, DMSO-d6) δ 9.19 (br s, 1H), 8.63 (t, J=5.4 Hz, 1H), 8.11 (br s, 3H), 6.86 (d, J=8.4 Hz, 1H), 6.76 (d, J=8.4 Hz, 1H), 6.32 (br s, 1H), 5.59 (dd, J=5.7, 1.8 Hz, 1H), 5.13 (q, J=6.9 Hz, 1H), 5.00 (s, 1H), 3.76 (s, 3H), 3.67-3.65 (m, 2H), 3.53-3.40 (m, 2H), 3.35-3.24 (m, 1H), 3.16-3.07 (m, 2H), 2.85 (apparent d, J=4.5 Hz, 3H), 2.73-2.59 (m, 3H), 2.49-2.43 (m, 1H, partially obscured by solvent peak), 2.34-2.26 (m, 1H), 2.06 (apparent d, J=18.3 Hz, 1H), 1.66-1.50 (m, 7H), 0.90-0.87 (m, 6H); ESI MS m/z 572 [C30H41N3O8+H]+; HPLC (Method A) 95.1% (AUC), tR=7.76 min.
Figure US10226456-20190312-C00775
Figure US10226456-20190312-C00776
Preparation of (2R,3R)-2,3-Diacetoxy-4-methoxy-4-oxobutanoic acid
Figure US10226456-20190312-C00777
A mixture of (3R,4R)-2,5-dioxotetrahydrofuran-3,4-diyl diacetate (5.66 g, 26.2 mmol) in methanol (26 mL) was stirred at room temperature for 30 min. After this time, the mixture was concentrated to dryness to provide (2R,3R)-2,3-diacetoxy-4-methoxy-4-oxobutanoic acid (6.30 g, 97%):1H NMR (300 MHz, DMSO-d6) δ 5.63 (d, J=2.9 Hz, 1H), 5.52 (d, J=2.9 Hz, 1H), 3.70 (s, 3H), 2.12 (s, 3H), 2.10 (s, 3H), CO2H proton not observed.
Preparation of (2R,3R)-1-tert-Butyl 4-methyl 2,3-diacetoxysuccinate
Figure US10226456-20190312-C00778
A mixture of (2R,3R)-2,3-diacetoxy-4-methoxy-4-oxobutanoic acid (6.30 g, 25.4 mmol) and tert-butanol (6.5 mL, 68 mmol) in methylene chloride (50 mL) at 0° C. was treated with N,N′-dicyclohexylcarbodiimide (6.70 g, 32.5 mmol). After stirring for 1 h, the ice bath was removed and the reaction mixture was stirred at ambient temperature for 18 h. After this time, the mixture was filtered, and the filtrate was concentrated under reduced pressure. The residue was purified by column chromatography (120 g silica gel column, 5-70% ethyl acetate/heptane) to provide (2R,3R)-1-tert-butyl 4-methyl 2,3-diacetoxysuccinate (4.2 g, 54%):1H NMR (300 MHz, CDCl3) δ 5.73 (d, J=2.8 Hz, 1H), 5.60 (d, J=2.8 Hz, 1H), 3.78 (s, 3H), 2.18 (s, 3H), 2.16 (s, 3H), 1.45 (s, 9H).
Preparation of (2R,3R)-1-tert-Butyl 4-methyl 2,3-dihydroxysuccinate
Figure US10226456-20190312-C00779
A solution of (2R,3R)-1-tert-butyl 4-methyl 2,3-diacetoxysuccinate (4.15 g, 13.7 mmol) in methanol (28 mL) was treated with sodium methoxide (25% in methanol, 0.30 mL, 1.3 mmol), and the mixture was stirred at room temperature for 19 h. After this time, the reaction mixture was treated with a few drops of 2N hydrochloric acid, until neutral by pH paper analysis. The mixture was partially concentrated, and the residue was dissolved in ethyl acetate, washed with saturated ammonium chloride and brine, dried over sodium sulfate, filtered, and concentrated under reduced pressure to provide (2R,3R)-1-tert-butyl 4-methyl 2,3-dihydroxysuccinate (2.62 g, 87%):1H NMR (300 MHz, CDCl3) δ 4.51 (dd, J=7.5, 1.7 Hz, 1H), 4.41 (d, J=6.3, 1.7 Hz, 1H), 3.86 (s, 3H), 3.19 (d, J=6.3 Hz, 1H), 3.05 (d, J=7.5 Hz, 1H), 1.52 (s, 9H).
Preparation of (4R,5R)-4-tert-Butyl 5-methyl 2,2-dimethyl-1,3-dioxolane-4,5-dicarboxylate
Figure US10226456-20190312-C00780
A mixture of (2R,3R)-1-tert-butyl 4-methyl 2,3-dihydroxysuccinate (2.62 g, 11.9 mmol), 2,2-dimethoxypropane (2.2 mL, 18 mmol), and p-toluensulfonic acid (50 mg, 0.26 mmol) in benzene (30 mL) was stirred at reflux for 20 h. After this time, the mixture was cooled to room temperature, and saturated sodium bicarbonate was added. The mixture was stirred for 5 min and then extracted with ethyl acetate. The organic extracts were washed with water and brine and then concentrated. The residue was purified by column chromatography (80 g silica gel column, 5-70% ethyl acetate/heptane) to provide (4R,5R)-4-tert-butyl 5-methyl 2,2-dimethyl-1,3-dioxolane-4,5-dicarboxylate (1.63 g, 53%):1H NMR (300 MHz, CDCl3) δ 4.71 (d, J=5.9 Hz, 1H), 4.64 (d, J=5.9 Hz, 1H), 3.82 (s, 3H), 1.50 (s, 15H).
Preparation of (4R,5R)-5-(tert-Butoxycarbonyl)-2,2-dimethyl-1,3-dioxolane-4-carboxylic acid
Figure US10226456-20190312-C00781
A solution of (4R,5R)-4-tert-butyl 5-methyl 2,2-dimethyl-1,3-dioxolane-4,5-dicarboxylate (4.96 g, 19.1 mmol) in tetrahydrofuran (35 mL) was treated with a solution of lithium hydroxide (940 mg, 22.4 mmol) in water (15 mL), and the mixture was stirred at room temperature for 1 h. After this time, 2N hydrochloric acid was added until the mixture tested neutral by pH paper analysis. The mixture was partially concentrated and then extracted with ethyl acetate. The organic extracts were washed with 10% citric acid and brine, dried over sodium sulfate, filtered and concentrated to provide (4R,5R)-5-(tert-butoxycarbonyl)-2,2-dimethyl-1,3-dioxolane-4-carboxylic acid (2.00 g, 43%):1H NMR (300 MHz, CDCl3) δ 4.80 (d, J=5.7 Hz, 1H), 4.66 (d, J=5.7 Hz, 1H), 1.53 (s, 3H), 1.52 (s, 9H), 1.50 (s, 3H), CO2H proton not observed.
Preparation of (4R,5R)-4-tert-Butyl 5-(2,5-dioxopyrrolidin-1-yl) 2,2-dimethyl-1,3-dioxolane-4,5-dicarboxylate
Figure US10226456-20190312-C00782
A mixture of (4R,5R)-5-(tert-butoxycarbonyl)-2,2-dimethyl-1,3-dioxolane-4-carboxylic acid (410 mg, 1.67 mmol) and N-hydroxysuccinimide (210 mg, 1.82 mmol) in tetrahydrofuran (10 mL) was treated with N,N′-dicyclohexylcarbodiimide (380 mg, 1.84 mmol), and the reaction mixture was stirred at ambient temperature for 4 h. After this time, diethyl ether (20 mL) was added, and the mixture was filtered. The filtrate was concentrated under reduced pressure to provide (4R,5R)-4-tert-butyl 5-(2,5-dioxopyrrolidin-1-yl) 2,2-dimethyl-1,3-dioxolane-4,5-dicarboxylate (650 mg) that was used without purification:1H NMR (300 MHz, CDCl3) δ 5.09 (d, J=4.9 Hz, 1H), 4.87 (d, J=4.9 Hz, 1H), 2.87 (s, 4H), 1.54 (s, 3H), 1.52 (s, 3H), 1.51 (s, 9H).
Preparation of (4R,5R)-4-tert-Butyl 5-((4R,4aS,7aR,12bS)-4a-Hydroxy-9-methoxy-3-methyl-2,3,4,4a,5,7a-hexahydro-1H-4,12-methanobenzofuro[3,2-e]isoquinolin-7-yl) 2,2-dimethyl-1,3-dioxolane-4,5-dicarboxylate
Figure US10226456-20190312-C00783
A suspension of oxycodone (280 mg, 0.901 mmol) in tetrahydrofuran (8 mL) was cooled to −50° C. and treated dropwise with a 1.0 M solution of potassium tert-butoxide in tetrahydrofuran (1.0 mL, 1.0 mmol). After addition was complete, the mixture was stirred at −50° C. for 45 min. The mixture was treated dropwise with a solution of (4R,5R)-4-tert-butyl 5-(2,5-dioxopyrrolidin-1-yl) 2,2-dimethyl-1,3-dioxolane-4,5-dicarboxylate (330 mg, 1.0 mmol) in tetrahydrofuran (8 mL). After addition was complete, the mixture was stirred at −50° C. for 30 min. After this time, the reaction mixture was treated with saturated aqueous ammonium chloride (10 mL) and extracted with ethyl acetate (3×15 mL). The combined organics were dried over sodium sulfate, filtered, and concentrated under reduced pressure. The crude residue was purified by reversed phase column chromatography (50 g C18 column, 10-100% acetonitrile/water) and freeze dried to provide (4R,5R)-4-tert-butyl 5-((4R,4aS,7aR,12bS)-4a-hydroxy-9-methoxy-3-methyl-2,3,4,4a,5,7a-hexahydro-1H-4,12-methanobenzofuro[3,2-e]isoquinolin-7-yl) 2,2-dimethyl-1,3-dioxolane-4,5-dicarboxylate (120 mg, 25%) as a white solid: ESI MS m/z 544 [C29H37NO9+H]+.
Preparation of (2R,3R)-2,3-Dihydroxy-4-(((4R,4aS,7aR,12bS)-4a-hydroxy-9-methoxy-3-methyl-2,3,4,4a,5,7a-hexahydro-1H-4,12-methanobenzofuro[3,2-e]isoquinolin-7-yl)oxy)-4-oxobutanoic acid trifluoroacetic acid salt
Figure US10226456-20190312-C00784
A solution of (4R,5R)-4-tert-butyl 5-((4R,4aS,7aR,12bS)-4a-hydroxy-9-methoxy-3-methyl-2,3,4,4a,5,7a-hexahydro-1H-4,12-methanobenzofuro[3,2-e]isoquinolin-7-yl) 2,2-dimethyl-1,3-dioxolane-4,5-dicarboxylate (120 mg, 0.221 mmol) in methylene chloride (1 mL) was treated with trifluoroacetic acid (1 mL) and stirred under a nitrogen atmosphere at ambient temperature for 1 h. After this time, the reaction mixture was concentrated under reduced pressure. This material was purified by reversed phase column chromatography (50 g C18 column, 5-40% acetonitrile/water) and freeze dried to provide (2R,3R)-2,3-dihydroxy-4-(((4R,4aS,7aR,12bS)-4α-hydroxy-9-methoxy-3-methyl-2,3,4,4a,5,7a-hexahydro-1H-4,12-methanobenzofuro[3,2-e]isoquinolin-7-yl)oxy)-4-oxobutanoic acid trifluoroacetic acid salt (70 mg, 71%) as a fluffy white solid:1H NMR (300 MHz, DMSO-d6) δ 12.8 (s, 1H), 9.20 (s, 1H), 6.86 (d, J=8.4 Hz, 1H), 6.75 (d, J=8.4 Hz, 1H), 6.30 (s, 1H), 5.71 (s, 1H), 5.54 (dd, J=6.0, 2.1 Hz, 1H), 5.31 (s, 1H), 5.04 (s, 1H), 4.55 (s, 1H), 4.41 (s, 1H), 3.75 (s, 3H), 3.64 (d, J=6.3 Hz, 1H), 3.43 (d, J=19.8 Hz, 1H), 3.15-3.07 (m, 2H), 2.85 (d, J=3.3 Hz, 3H), 2.69-2.62 (in, 1H), 2.49-2.43 (in, 1H), 2.32-2.26 (in, 1H), 2.07 (d, J=18.3 Hz, 1H), 1.65 (d, J=11.1 Hz, 1H); ESI MS m/z 448 [C22H25NO9+H]+.
Figure US10226456-20190312-C00785
Figure US10226456-20190312-C00786
Preparation of (S)-(4R,4aS,7aR,12bS)-4a-Hydroxy-9-methoxy-3-methyl-2,3,4,4a,5,7a-hexahydro-1H-4,12-methanobenzofuro[3,2-e]isoquinolin-7-yl 2-(((S)-2-((tert-butoxycarbonyl)amino)propanoyl)oxy)propanoate
Figure US10226456-20190312-C00787
A suspension of oxycodone (810 mg, 2.54 mmol) in tetrahydrofuran (20 mL) was cooled to −50° C. and treated dropwise with a 1.0 M solution of lithium bis(trimethylsilyl)amide in tetrahydrofuran (2.8 mL, 2.8 mmol). After addition was complete, the mixture was stirred at −50° C. for 45 min. The mixture was treated dropwise with a solution of (S)-2,5-dioxopyrrolidin-1-yl 2-(((S)-2-((tert-butoxycarbonyl)amino)propanoyl)oxy)propanoate (1.0 g, 2.8 mmol) in tetrahydrofuran (15 mL). After addition was complete, the mixture was stirred at −50° C. for 30 min. After this time, the reaction mixture was treated with saturated aqueous ammonium chloride (30 mL) and extracted with ethyl acetate (3×30 mL). The combined organics were dried over sodium sulfate, filtered, and concentrated under reduced pressure. The crude residue was purified by reversed phase column chromatography (50 g C18 column, 10-100% acetonitrile/water) and freeze dried to provide (S)-(4R,4aS,7aR,12bS)-4a-hydroxy-9-methoxy-3-methyl-2,3,4,4a,5,7a-hexahydro-1H-4,12-methanobenzofuro[3,2-e]isoquinolin-7-yl 2-(((S)-2-((tert-butoxycarbonyl)amino)propanoyl)oxy)propanoate (270 mg, 19%) as a white solid: ESI MS m/z 559 [C29H38N2O9+H]+.
Preparation of (S)-(4R,4aS,7aR,12bS)-4a-Hydroxy-9-methoxy-3-methyl-2,3,4,4a,5,7a-hexahydro-1H-4,12-methanobenzofuro[3,2-e]isoquinolin-7-yl 2-(((S)-2-aminopropanoyl)oxy)propanoatetrifluoroacetic acid salt
Figure US10226456-20190312-C00788
A solution of (S)-(4R,4aS,7aR,12bS)-4a-hydroxy-9-methoxy-3-methyl-2,3,4,4a,5,7a-hexahydro-1H-4,12-methanobenzofuro[3,2-e]isoquinolin-7-yl 2-(((S)-2-((tert-butoxycarbonyl)amino)propanoyl)oxy)propanoate (100 mg, 0.181 mmol) in methylene chloride (1 mL) was treated with trifluoroacetic acid (1 mL) and stirred under a nitrogen atmosphere at ambient temperature for 1 h. After this time, the reaction mixture was concentrated under reduced pressure to provide (S)-(4R,4aS,7aR,12bS)-4a-hydroxy-9-methoxy-3-methyl-2,3,4,4a,5,7a-hexahydro-1H-4,12-methanobenzofuro[3,2-e]isoquinolin-7-yl 2-(((S)-2-aminopropanoyl)oxy)propanoatetrifluoroacetic acid salt (100 mg, quantitative) as a clear oil: ESI MS m/z 459 [C24H30N2O7+H]+.
Preparation of provide (S)-tert-Butyl 2-(((S)-1-(((S)-1-(((4R,4aS,7aR,12bS)-4a-Hydroxy-9-methoxy-3-methyl-2,3,4,4a,5,7a-hexahydro-1H-4,12-methanobenzofuro[3,2-e]isoquinolin-7-yl)oxy)-1-oxopropan-2-yl)oxy)-1-oxopropan-2-yl)carbamoyl)pyrrolidine-1-carboxylate
Figure US10226456-20190312-C00789
A solution of (S)-(4R,4aS,7aR,12bS)-4a-hydroxy-9-methoxy-3-methyl-2,3,4,4a,5,7a-hexahydro-1H-4,12-methanobenzofuro[3,2-e]isoquinolin-7-yl 2-(((S)-2-aminopropanoyl)oxy)propanoate (85 mg, 0.15 mmol) in methylene chloride (1 mL) was treated with (S)-1-tert-butyl 2-(2,5-dioxopyrrolidin-1-yl) pyrrolidine-1,2-dicarboxylate (51 mg, 0.17 mmol) and N,N-diisopropylethylamine (0.1 mL, 0.6 mmol) and stirred under a nitrogen atmosphere at ambient temperature for 15 min. After this time, the reaction mixture was concentrated under reduced pressure. This material was purified by reversed phase column chromatography (50 g C18 column, 5-40% acetonitrile/water) and freeze dried to provide (S)-tert-butyl 2-(((S)-1-(((S)-1-(((4R,4aS,7aR,12bS)-4a-hydroxy-9-methoxy-3-methyl-2,3,4,4a,5,7a-hexahydro-1H-4,12-methanobenzofuro[3,2-e]isoquinolin-7-yl)oxy)-1-oxopropan-2-yl)oxy)-1-oxopropan-2-yl)carbamoyl)pyrrolidine-1-carboxylate (84 mg, 85%) as a white solid: ESI MS m/z 656 [C34H45N3O10+H]+.
Preparation of (S)-(4R,4aS,7aR,12bS)-4a-Hydroxy-9-methoxy-3-methyl-2,3,4,4a,5,7a-hexahydro-1H-4,12-methanobenzofuro[3,2-e]isoquinolin-7-yl 2-(((S)-2-((S)-pyrrolidine-2-carboxamido)propanoyl)oxy)propanoate bis(trifluoroacetic acid salt)
Figure US10226456-20190312-C00790
A solution of (S)-tert-butyl 2-(((S)-1-(((S)-1-(((4R,4aS,7aR,12bS)-4α-hydroxy-9-methoxy-3-methyl-2,3,4,4a,5,7a-hexahydro-1H-4,12-methanobenzofuro[3,2-e]isoquinolin-7-yl)oxy)-1-oxopropan-2-yl)oxy)-1-oxopropan-2-yl)carbamoyl)pyrrolidine-1-carboxylate (84 mg, 0.13 mmol) in methylene chloride (1 mL) was treated with trifluoroacetic acid (1 mL) and stirred under a nitrogen atmosphere at ambient temperature for 1 h. After this time, the reaction mixture was concentrated under reduced pressure. This material was purified by reversed phase column chromatography (50 g C18 column, 5-40% acetonitrile/water) and freeze dried to provide (S)-(4R,4aS,7aR,12bS)-4a-hydroxy-9-methoxy-3-methyl-2,3,4,4a,5,7a-hexahydro-1H-4,12-methanobenzofuro[3,2-e]isoquinolin-7-yl 2-(((S)-2-((S)-pyrrolidine-2-carboxamido)propanoyl)oxy)propanoatebis(trifluoroacetic acid salt) (41 mg, 58%) as a white solid:1H NMR (300 MHz, DMSO-d6) δ 9.21 (s, 2H), 8.96 (d, J=6.6 Hz, 1H), 8.55 (s, 1H), 6.86 (d, J=8.1 Hz, 1H), 6.75 (d, J=8.1 Hz, 1H), 6.30 (s, 1H), 5.59 (dd, J=6.0, 2.1 Hz, 1H), 5.19 (dd, J=14, 7.2 Hz, 1H), 4.99 (s, 1H), 4.48-4.39 (m, 1H), 4.25-4.18 (m, 1H), 3.76 (s, 3H), 3.66 (d, J=6.0 Hz, 1H), 3.43 (d, J=19.8 Hz, 1H), 3.23-3.07 (m, 4H), 2.85 (d, J=4.5 Hz, 3H), 2.69-2.57 (m, 1H), 2.49-2.41 (m, 1H), 2.33-2.26 (m, 2H), 2.06 (d, J=18 Hz, 1H), 1.93-1.84 (m, 3H), 1.64 (d, J=11.1 Hz, 1H), 1.52 (d, J=6.9 Hz, 3H), 1.41 (d, J=7.2 Hz, 3H); ESI MS m/z 556 [C29H37N3O8+H]+.
Figure US10226456-20190312-C00791
Preparation of (2R,3R)-2,3-Diacetoxy-4-(((S)-1-(tert-butoxy)-1-oxopropan-2-yl)oxy)-4-oxobutanoic acid
Figure US10226456-20190312-C00792
A solution of (3R,4R)-2,5-dioxotetrahydrofuran-3,4-diyl diacetate (1.25 g, 5.78 mmol) in N,N-dimethylformamide (1.5 mL) at 0° C. was treated with (S)-tert-butyl 2-hydroxypropanoate (675 mg, 4.62 mmol) followed by pyridine (0.36 mL, 4.47 mmol), and the mixture was stirred at 0° C. for 1 h. After this time, the reaction mixture was diluted with ethyl acetate and extracted with saturated sodium bicarbonate. The aqueous extracts were acidified with 6N hydrochloric acid and then extracted with ethyl acetate. The organic extracts were dried over sodium sulfate, filtered, and concentrated to provide (2R,3R)-2,3-diacetoxy-4-(((S)-1-(tert-butoxy)-1-oxopropan-2-yl)oxy)-4-oxobutanoic acid (1.66 g, quantitative):1H NMR (300 MHz, CDCl3) δ 5.85 (d, J=2.6 Hz, 1H), 5.83 (d, J=2.6 Hz, 1H), 5.02 (q, J=7.0 Hz, 1H), 2.19 (s, 3H), 2.19 (s, 3H), 1.47-1.43 (m, 12H), CO2H proton not observed.
Preparation of (2R,3R)-1-((S)-1-(tert-Butoxy)-1-oxopropan-2-yl) 4-(2,5-dioxopyrrolidin-1-yl) 2,3-diacetoxysuccinate
Figure US10226456-20190312-C00793
A mixture of (2R,3R)-2,3-diacetoxy-4-(((S)-1-(tert-butoxy)-1-oxopropan-2-yl)oxy)-4-oxobutanoic acid (1.20 g, 3.31 mmol) and N-hydroxysuccinimide (410 mg, 3.56 mmol) in tetrahydrofuran (20 mL) was treated with N,N′-dicyclohexylcarbodiimide (740 mg, 3.58 mmol), and the reaction mixture was stirred at ambient temperature for 4 h. After this time, diethyl ether (20 mL) was added, and the mixture was filtered. The filtrate was concentrated under reduced pressure to provide (2R,3R)-1-((S)-1-(tert-butoxy)-1-oxopropan-2-yl) 4-(2,5-dioxopyrrolidin-1-yl) 2,3-diacetoxysuccinate (1.60 g) that was used without purification:1H NMR (300 MHz, CDCl3) δ 6.20 (d, J=2.7 Hz, 1H), 5.95 (d, J=2.7 Hz, 1H), 5.01 (q, J=7.0 Hz, 1H), 2.84 (s, 4H), 2.26 (s, 3H), 2.22 (s, 3H), 1.47-1.43 (m, 12H).
Preparation of (2R,3R)-1-((S)-1-(tert-Butoxy)-1-oxopropan-2-yl) 4-((4R,4aS,7aR,12bS)-4a-hydroxy-9-methoxy-3-methyl-2,3,4,4a,5,7a-hexahydro-1H-4,12-methanobenzofuro[3,2-e]isoquinolin-7-yl) 2,3-diacetoxysuccinate
Figure US10226456-20190312-C00794
A suspension of oxycodone (380 mg, 1.21 mmol) in tetrahydrofuran (10 mL) was cooled to −50° C. and treated dropwise with a 1.0 M solution of lithium bis(trimethylsilyl)amide in tetrahydrofuran (1.3 mL, 1.3 mmol). After addition was complete, the mixture was stirred at −50° C. for 45 min. The mixture was treated dropwise with a solution of (2S,3S)-1-((S)-1-(tert-butoxy)-1-oxopropan-2-yl) 4-(2,5-dioxopyrrolidin-1-yl) 2,3-diacetoxysuccinate (560 mg, 1.31 mmol) in tetrahydrofuran (8 mL). After addition was complete, the mixture was stirred at −50° C. for 30 min. After this time, the reaction mixture was treated with saturated aqueous ammonium chloride (15 mL) and extracted with ethyl acetate (3×15 mL). The combined organics were dried over sodium sulfate, filtered, and concentrated under reduced pressure. The crude residue was purified by reversed phase column chromatography (50 g C18 column, 10-100% acetonitrile/water) and freeze dried to provide (2R,3R)-1-((S)-1-(tert-butoxy)-1-oxopropan-2-yl) 4-((4R,4aS,7aR,12bS)-4a-hydroxy-9-methoxy-3-methyl-2,3,4,4a,5,7a-hexahydro-1H-4,12-methanobenzofuro[3,2-e]isoquinolin-7-yl) 2,3-diacetoxysuccinate (57 mg, 7%) as a white solid: ESI MS m/z 660 [C33H41NO13+H]+.
Preparation of (S)-2-(((2R,3R)-2,3-Diacetoxy-4-(((4R,4aS,7aR,12bS)-4a-hydroxy-9-methoxy-3-methyl-2,3,4,4a,5,7a-hexahydro-1H-4,12-methanobenzofuro[3,2-e]isoquinolin-7-yl)oxy)-4-oxobutanoyl)oxy)propanoic acid trifluoroacetic acid salt
Figure US10226456-20190312-C00795
A solution of (2S,3S)-1-((S)-1-(tert-butoxy)-1-oxopropan-2-yl) 4-((4R,4aS,7aR,12bS)-4a-hydroxy-9-methoxy-3-methyl-2,3,4,4a,5,7a-hexahydro-1H-4,12-methanobenzofuro[3,2-e]isoquinolin-7-yl) 2,3-diacetoxysuccinate (57 mg, 0.086 mmol) in methylene chloride (1 mL) was treated with trifluoroacetic acid (1 mL) and stirred under a nitrogen atmosphere at ambient temperature for 1 h. After this time, the reaction mixture was concentrated under reduced pressure. This material was purified by reversed phase column chromatography (50 g C18 column, 5-40% acetonitrile/water) and freeze dried to provide (S)-2-(((2R,3R)-2,3-diacetoxy-4-(((4R,4aS,7aR,12bS)-4a-hydroxy-9-methoxy-3-methyl-2,3,4,4a,5,7a-hexahydro-1H-4,12-methanobenzofuro[3,2-e]isoquinolin-7-yl)oxy)-4-oxobutanoyl)oxy)propanoic acid trifluoroacetic acid salt (45 mg, 86%) as a white solid:1H NMR (300 MHz, DMSO-d6) δ 13.2 (s, 1H), 9.17 (s, 1H), 6.88 (d, J=8.4 Hz, 1H), 6.77 (d, J=8.4 Hz, 1H), 6.35 (s, 1H), 5.87 (dd, J=13.5, 2.7 Hz, 2H), 5.57 (dd, J=6.3, 2.1 Hz, 1H), 5.04 (dd, J=13.8, 1.2 Hz, 1H), 4.88 (s, 1H), 3.76 (s, 3H), 3.65 (d, J=6.3 Hz, 1H), 3.41 (d, J=20.1 Hz, 1H), 3.16-3.07 (m, 2H), 2.84 (d, J=3.6 Hz, 3H), 2.64-2.61 (m, 1H), 2.46-2.42 (m, 1H), 2.33-2.26 (m, 1H), 2.21 (s, 3H), 2.15 (s, 3H), 2.08 (d, J=18.0 Hz, 1H), 1.64 (d, J=11.1 Hz, 1H), 1.38 (d, J=7.2 Hz, 3H); ESI MS m/z 604 [C29H33NO13+H]+.
Figure US10226456-20190312-C00796
Preparation of (S)-(4R,4aS,7aR,12bS)-4a-Hydroxy-9-methoxy-3-methyl-2,3,4,4a,5,7a-hexahydro-1H-4,12-methanobenzofuro[3,2-e]isoquinolin-7-yl 2-(((S)-2-((S)-2-acetamido-6-((tert-butoxycarbonyl)amino)hexanamido)propanoyl)oxy)propanoate
Figure US10226456-20190312-C00797
A solution of (S)-(4R,4aS,7aR,12bS)-4a-hydroxy-9-methoxy-3-methyl-2,3,4,4a,5,7a-hexahydro-1H-4,12-methanobenzofuro[3,2-e]isoquinolin-7-yl 2-(((S)-2-aminopropanoyl)oxy)propanoate (82 mg, 0.18 mmol) in methylene chloride (1 mL) was treated with (S)-2,5-dioxopyrrolidin-1-yl 2-acetamido-6-((tert-butoxycarbonyl)amino)hexanoate (76 mg, 0.20 mmol) and N-ethyl-N-isopropylpropan-2-amine (0.12 mL, 0.72 mmol) and stirred under a nitrogen atmosphere at ambient temperature for 15 min. After this time, the reaction mixture was concentrated under reduced pressure. This material was purified by reversed phase column chromatography (50 g C18 column, 5-40% acetonitrile/water) and freeze dried to provide (S)-(4R,4aS,7aR,12bS)-4a-hydroxy-9-methoxy-3-methyl-2,3,4,4a,5,7a-hexahydro-1H-4,12-methanobenzofuro[3,2-e]isoquinolin-7-yl 2-(((S)-2-((S)-2-acetamido-6-((tert-butoxycarbonyl)amino)hexanamido)propanoyl)oxy)propanoate (64 mg, 49%) as a white solid: ESI MS m/z 729 [C37H52N4O11+H]+.
Preparation of (S)-(4R,4aS,7aR,12bS)-4a-Hydroxy-9-methoxy-3-methyl-2,3,4,4a,5,7a-hexahydro-H-4,12-methanobenzofuro[3,2-e]isoquinolin-7-yl 2-(((S)-2-((S)-2-acetamido-6-aminohexanamido)propanoyl)oxy)propanoatebis(trifluoroacetic acid salt)
Figure US10226456-20190312-C00798
A solution of (S)-tert-butyl 2-(((S)-1-(((S)-1-(((4R,4aS,7aR,12bS)-4a-hydroxy-9-methoxy-3-methyl-2,3,4,4a,5,7a-hexahydro-1H-4,12-methanobenzofuro[3,2-e]isoquinolin-7-yl)oxy)-1-oxopropan-2-yl)oxy)-1-oxopropan-2-yl)carbamoyl)pyrrolidine-1-carboxylate (84 mg, 0.13 mmol) in methylene chloride (1 mL) was treated with trifluoroacetic acid (1 mL) and stirred under a nitrogen atmosphere at ambient temperature for 1 h. After this time, the reaction mixture was concentrated under reduced pressure. This material was purified by reversed phase column chromatography (50 g C18 column, 5-40% acetonitrile/water) and freeze dried to provide (S)-(4R,4aS,7aR,12bS)-4a-hydroxy-9-methoxy-3-methyl-2,3,4,4a,5,7a-hexahydro-1H-4,12-methanobenzofuro[3,2-e]isoquinolin-7-yl 2-(((S)-2-((S)-2-acetamido-6-aminohexanamido)propanoyl)oxy)propanoatebis(trifluoroacetic acid salt)(32 mg, 58%) as a white solid:1H NMR (300 MHz, DMSO-d6) δ 9.19 (s, 1H), 8.42 (d, J=6.6 Hz, 1H), 8.00 (d, J=8.4 Hz, 1H), 7.64 (s, 3H), 6.86 (d, J=8.4 Hz, 1H), 6.76 (d, J=8.4 Hz, 1H), 6.30 (s, 1H), 5.57 (dd, J=6.0, 2.1 Hz, 1H), 5.15 (dd, J=14, 6.9 Hz, 1H), 4.99 (s, 1H), 4.34-4.25 (m, 2H), 3.75 (s, 3H), 3.66 (d, J=6.0 Hz, 1H), 3.43 (d, J=19.8 Hz, 1H), 3.16-3.07 (m, 2H), 2.85 (d, J=4.5 Hz, 3H), 2.76-2.62 (m, 2H), 2.33-2.26 (m, 2H), 2.06 (d, J=18 Hz, 1H), 1.84 (s, 3H), 1.66-1.34 (m, 14H); ESI MS m/z 629 [C32H44N4O9+H]+.
Figure US10226456-20190312-C00799
Figure US10226456-20190312-C00800
Preparation of (S)-tert-Butyl 2-hydroxypropanoate
Figure US10226456-20190312-C00801
A solution of (S)-2-hydroxypropanoic acid (5.0 g, 55 mmol) and acetic acid (1 mL) in dichloromethane (40 mL) was cooled in an ice bath and treated dropwise with acetyl chloride (4.5 mL, 61 mmol). After addition was complete, the mixture was stirred at ambient temperature for 16 h. After this time, the mixture was diluted with water (50 mL) and extracted with methylene chloride (2×50 mL). The combined organics were washed with brine (50 mL), dried over sodium sulfate, filtered, and concentrated under reduced pressure to provide (S)-2-acetoxypropanoic acid (6.0 g) as a colorless oil.
(S)-2-acetoxypropanoic acid (6.0 g, 55 mmol), tert-butyl alcohol (8.10 g, 110 mmol),N,N-dimethylpyridin-4-amine (2.0 g, 16 mmol) and N,N′-dicyclohexylcarbodiimide (14.7 g, 71.5 mmol) were combined and stirred at ambient temperature for 16 h. After this time, the mixture was filtered and concentrated under reduced pressure to provide (S)-tert-butyl 2-acetoxypropanoate (12 g) as a colorless oil.
A solution of (S)-tert-butyl 2-acetoxypropanoate (12 g, 55 mmol) in methanol (40 mL) was cooled in an ice bath and treated with a solution of potassium carbonate (22.8 g, 165 mmol) in water (40 mL). After addition was complete, the mixture was stirred in an ice bath for 5 h. After this time, the mixture was diluted with water (50 mL) and extracted with ethyl acetate (3×50 mL). The combined organics were washed with brine (50 mL), dried over sodium sulfate, filtered, and concentrated under reduced pressure. The crude residue was purified by column chromatography (silica gel, 0-30% ethyl acetate/heptanes) to provide (S)-tert-butyl 2-hydroxypropanoate (1.14 g, 15% in three steps) as a white solid:1H NMR (300 MHz, CDCl3) δ 4.13 (dd, J=6.9, 5.4 Hz, 1H), 2.82 (d, J=5.4 Hz, 1H), 1.49 (s, 9H), 1.37 (d, J=6.9 Hz, 3H).
Preparation of (S)-tert-Butyl 2-(2-((S)-2,2-dimethyl-5-oxo-1,3-dioxolan-4-yl)acetoxy)propanoate
Figure US10226456-20190312-C00802
A solution of (S)-2-(2,2-dimethyl-5-oxo-1,3-dioxolan-4-yl)acetic acid (0.66 g, 3.8 mmol) in dichloromethane (20 mL) was treated with (S)-tert-butyl 2-hydroxypropanoate (0.50 g, 3.4 mmol),N,N-dimethylpyridin-4-amine (0.13 g, 1.0 mmol) and N,N′-dicyclohexylcarbodiimide (0.85 g, 4.1 mmol). The mixture was stirred at ambient temperature for 16 h. After this time, the mixture was filtered and concentrated under reduced pressure. The crude residue was purified by column chromatography (silica gel, 0-30% ethyl acetate/heptanes) to provide (S)-tert-butyl 2-(2-((S)-2,2-dimethyl-5-oxo-1,3-dioxolan-4-yl)acetoxy)propanoate (0.22 g, 21%) as a colorless oil:1H NMR (300 MHz, CDCl3) δ 4.99 (dd, J=14.1, 8.4 Hz, 1H), 4.74 (dd, J=6.6, 3.6 Hz, 1H), 3.04 (dd, J=14.1, 3.6 Hz, 1H), 2.85 (dd, J=17.4, 8.4 Hz, 1H), 1.62 (s, 3H), 1.55 (s, 3H), 1.47 (d, J=6.2 Hz, 3H), 1.46 (s, 9H).
Preparation of (S)-4-(((S)-1-(tert-Butoxy)-1-oxopropan-2-yl)oxy)-2-hydroxy-4-oxobutanoic acid
Figure US10226456-20190312-C00803
A solution of (S)-tert-butyl 2-(2-((S)-2,2-dimethyl-5-oxo-1,3-dioxolan-4-yl)acetoxy)propanoate (3.07 g, 10.2 mmol), acetic acid (35 mL), and water (15 mL) was heated at 60° C. for 1 h. After this time, the mixture was concentrated under reduced pressure. The residue was diluted with toluene and concentrated under reduced pressure to provide of (S)-4-(((S)-1-(tert-butoxy)-1-oxopropan-2-yl)oxy)-2-hydroxy-4-oxobutanoic acid (2.99 g, 99%) as a colorless oil:1H NMR (300 MHz, DMSO-d6) δ 12.6 (s, 1H), 5.51 (s, 1H), 4.82 (dd, J=14.1, 6.9 Hz, 1H), 4.31-4.30 (m, 1H), 2.72 (dd, J=15.9, 4.5 Hz, 1H), 2.60 (dd, J=15.9, 7.8 Hz, 1H), 1.40 (s, 9H), 1.36 (d, J=7.2 Hz, 3H).
Preparation of (S)-1-Benzyl 4-((S)-1-(tert-butoxy)-1-oxopropan-2-yl) 2-((tert-butoxycarbonyl)oxy)succinate
Figure US10226456-20190312-C00804
(S)-4-(((S)-1-(tert-Butoxy)-1-oxopropan-2-yl)oxy)-2-hydroxy-4-oxobutanoic acid (0.26 g, 1.0 mmol), benzylalcohol (0.15 g, 1.2 mmol),N,N-dimethylpyridin-4-amine (44 mg, 0.30 mmol), and N,N′-dicyclohexylcarbodiimide (0.30 g, 1.2 mmol) were combined and stirred in methylene chloride (10 mL) at ambient temperature for 16 h. After this time, the mixture was filtered and concentrated under reduced pressure to provide to provide (S)-1-benzyl 4-((S)-1-(tert-butoxy)-1-oxopropan-2-yl) 2-hydroxysuccinate (0.32 g) as a colorless oil.
(S)-1-Benzyl 4-((S)-1-(tert-butoxy)-1-oxopropan-2-yl) 2-hydroxysuccinate (0.32 g, 0.91 mmol), di-tert-butyl dicarbonate (0.22 g, 1.0 mmol), and 4-dimethylaminopyridine (12 mg, 0.098 mmol) were combined and stirred in methylene chloride (10 mL) at ambient temperature for 3 h. After this time, the mixture was concentrated under reduced pressure. The crude residue was purified by column chromatography (silica gel, 0-30% ethyl acetate/heptanes) to provide (S)-1-benzyl 4-((S)-1-(tert-butoxy)-1-oxopropan-2-yl) 2-((tert-butoxycarbonyl)oxy)succinate (0.21 g, 46% in two steps) as a colorless oil:1H NMR (300 MHz, CDCl3) δ 7.34-7.32 (m, 5H), 5.41 (dd, J=8.1, 4.5 Hz, 1H), 5.26 (d, J=12 Hz, 1H), 5.14 (d, J=12 Hz, 1H), 4.96 (dd, J=14.1, 7.2 Hz, 1H), 2.98-2.94 (m, 2H), 1.46 (s, 9H), 1.45 (s, 9H), 1.42 (d, J=7.2 Hz, 3H).
Preparation of (S)-4-((S)-1-(tert-Butoxy)-1-oxopropan-2-yl) 1-(2,5-dioxopyrrolidin-1-yl) 2-((tert-butoxycarbonyl)oxy)succinate
Figure US10226456-20190312-C00805
A solution of (S)-1-benzyl 4-((S)-1-(tert-butoxy)-1-oxopropan-2-yl) 2-((tert-butoxycarbonyl)oxy)succinate (0.54 g, 1.2 mmol) in ethyl alcohol (8 mL) was treated with palladium on carbon (10%, 0.1 g). The mixture was stirred under a hydrogen atmosphere at ambient temperature for 2 h. After this time, the reaction mixture was filtered and concentrated under reduced pressure to provide (S)-4-(((S)-1-(tert-butoxy)-1-oxopropan-2-yl)oxy)-2-((tert-butoxycarbonyl)oxy)-4-oxobutanoic acid (0.5 g) as a colorless oil.
(S)-4-(((S)-1-(tert-Butoxy)-1-oxopropan-2-yl)oxy)-2-((tert-butoxycarbonyl)oxy)-4-oxobutanoic acid (0.50 g, 1.2 mmol), 1-hydroxypyrrolidine-2,5-dione (0.16 g, 1.4 mmol) and N,N′-dicyclohexylcarbodiimide (0.27 g, 1.3 mmol) were combined and stirred in tetrahydrofuran (10 mL) at ambient temperature for 4 h. After this time, the mixture was filtered and concentrated under reduced pressure to provide (S)-4-((S)-1-(tert-butoxy)-1-oxopropan-2-yl) 1-(2,5-dioxopyrrolidin-1-yl) 2-((tert-butoxycarbonyl)oxy)succinate (0.8 g) as a sticky solid, which was used without purification.
Preparation of (S)-4-((S)-1-(tert-Butoxy)-1-oxopropan-2-yl) 1-((4R,4aS,7aR,12bS)-4a-hydroxy-9-methoxy-3-methyl-2,3,4,4a,5,7a-hexahydro-1H-4,12-methanobenzofuro[3,2-e]isoquinolin-7-yl) 2-((tert-butoxycarbonyl)oxy)succinate
Figure US10226456-20190312-C00806
A suspension of oxycodone (380 mg, 1.21 mmol) in tetrahydrofuran (10 mL) was cooled to −50° C. and treated dropwise with a 1.0 M solution of lithium bis(trimethylsilyl)amide in tetrahydrofuran (1.4 mL, 1.4 mmol). After addition was complete, the mixture was stirred at −50° C. for 45 min. The mixture was treated dropwise with a solution of (S)-4-((S)-1-(tert-butoxy)-1-oxopropan-2-yl) 1-(2,5-dioxopyrrolidin-1-yl) 2-((tert-butoxycarbonyl)oxy)succinate (610 mg, 1.4 mmol) in tetrahydrofuran (8 mL). After addition was complete, the mixture was stirred at −50° C. for 30 min. After this time, the reaction mixture was treated with saturated aqueous ammonium chloride (20 mL) and extracted with ethyl acetate (3×20 mL). The combined organics were dried over sodium sulfate, filtered, and concentrated under reduced pressure. The crude residue was purified by reversed phase column chromatography (50 g C18 column, 10-100% acetonitrile/water) and freeze dried to provide (S)-4-((S)-1-(tert-butoxy)-1-oxopropan-2-yl) 1-((4R,4aS,7aR,12bS)-4α-hydroxy-9-methoxy-3-methyl-2,3,4,4a,5,7a-hexahydro-1H-4,12-methanobenzofuro[3,2-e]isoquinolin-7-yl) 2-((tert-butoxycarbonyl)oxy)succinate (48 mg, 6%) as a white solid: ESI MS m/z 660 [C34H45NO12+H]+.
Preparation of (S)-2-(((S)-3-Hydroxy-4-(((4R,4aS,7aR,12bS)-4a-hydroxy-9-methoxy-3-methyl-2,3,4,4a,5,7a-hexahydro-1H-4,12-methanobenzofuro[3,2-e]isoquinolin-7-yl)oxy)-4-oxobutanoyl)oxy)propanoic acid trifluoroacetic acid salt
Figure US10226456-20190312-C00807
A solution of (S)-4-((S)-1-(tert-butoxy)-1-oxopropan-2-yl) 4-((4R,4aS,7aR,12bS)-4a-hydroxy-9-methoxy-3-methyl-2,3,4,4a,5,7a-hexahydro-1H-4,12-methanobenzofuro[3,2-e]isoquinolin-7-yl) 2-((tert-butoxycarbonyl)oxy)succinate (48 mg, 0.071 mmol) in methylene chloride (1 mL) was treated with trifluoroacetic acid (1 mL) and stirred under a nitrogen atmosphere at ambient temperature for 1 h. After this time, the reaction mixture was concentrated under reduced pressure. This material was purified by reversed phase column chromatography (50 g C18 column, 5-40% acetonitrile/water) and freeze dried to provide (S)-2-(((S)-3-hydroxy-4-(((4R,4aS,7aR,12bS)-4a-hydroxy-9-methoxy-3-methyl-2,3,4,4a,5,7a-hexahydro-1H-4,12-methanobenzofuro[3,2-e]isoquinolin-7-yl)oxy)-4-oxobutanoyl)oxy)propanoic acid trifluoroacetic acid salt (28 mg, 76%) as a white solid:1H NMR (300 MHz, DMSO-d6) δ 13.1 (s, 1H), 9.17 (s, 1H), 6.87 (d, J=8.4 Hz, 1H), 6.76 (d, J=8.4 Hz, 1H), 6.29 (s, 1H), 6.00 (s, 1H), 5.57 (dd, J=6.0, 1.8 Hz, 1H), 4.98 (d, J=4.5 Hz, 1H), 4.96 (dd, J=14.1, 6.9 Hz, 1H), 4.54-4.50 (m, 1H), 3.76 (s, 3H), 3.64 (d, J=5.7 Hz, 1H), 3.43 (d, J=20.1 Hz, 1H), 3.16-3.07 (m, 2H), 2.85-2.78 (m, 5H), 2.65-2.61 (m, 1H), 2.46-2.42 (in, 1H), 2.33-2.25 (in, 1H), 2.07 (d, J=18.0 Hz, 1H), 1.64 (d, J=11.1 Hz, 1H), 1.40 (d, J=6.9 Hz, 3H); ESI MS m/z 504 [C25H29NO10+H]+.
Figure US10226456-20190312-C00808
Figure US10226456-20190312-C00809
Preparation of (2R,3R)-2,3-Diacetoxy-4-(((S)-1-(benzyloxy)-1-oxopropan-2-yl)oxy)-4-oxobutanoic acid
Figure US10226456-20190312-C00810
A solution of (3R,4R)-2,5-dioxotetrahydrofuran-3,4-diyl diacetate (1.85 g, 8.56 mmol) in N,N-dimethylformamide (2.2 mL) at 0° C. was treated with (S)-benzyl 2-hydroxypropanoate (1.30 g, 7.21 mmol) followed by pyridine (0.53 mL, 6.58 mmol), and the mixture was stirred at 0° C. for 1 h. After this time, the reaction mixture was diluted with ethyl acetate and extracted with saturated sodium bicarbonate. The aqueous layer was collected, carefully treated with 6N hydrochloric acid until acidic by pH paper analysis, and then extracted with ethyl acetate. The organic extracts were dried over sodium sulfate, filtered and concentrated to give (2R,3R)-2,3-diacetoxy-4-(((S)-1-(benzyloxy)-1-oxopropan-2-yl)oxy)-4-oxobutanoic acid (2.80 g, 98%):1H NMR (300 MHz, CDCl3) δ 7.38-7.33 (m, 5H), 5.84-5.83 (m, 2H), 5.23-5.13 (m, 3H), 2.18 (s, 3H), 2.17 (s, 3H), 1.49 (d, J=7.1 Hz, 3H), CO2H proton not observed.
Preparation of (2R,3R)-1-((S)-1-(Benzyloxy)-1-oxopropan-2-yl) 4-tert-butyl 2,3-diacetoxysuccinate
Figure US10226456-20190312-C00811
A mixture of (2R,3R)-2,3-diacetoxy-4-(((S)-1-(benzyloxy)-1-oxopropan-2-yl)oxy)-4-oxobutanoic acid (2.80 g, 7.07 mmol), tert-butanol (1.8 mL, 19 mmol), and 4-dimethylaminopyridine (280 mg, 2.29 mmol) in methylene chloride (16 mL) at 0° C. was treated with N,N′-dicyclohexylcarbodiimide (1.70 g, 8.24 mmol). The ice bath was removed, and the reaction mixture was stirred at ambient temperature for 4 h. After this time, the mixture was filtered, and the filtrate was concentrated under reduced pressure. The residue was purified by column chromatography (80 g silica gel column, 0-70% ethyl acetate/heptane) to provide (2R,3R)-1-((S)-1-(benzyloxy)-1-oxopropan-2-yl) 4-tert-butyl 2,3-diacetoxysuccinate (1.38 g, 43%):1H NMR (300 MHz, CDCl3) δ 7.38-7.31 (m, 5H), 5.85 (d, J=2.7 Hz, 1H), 5.69 (d, J=2.7 Hz, 1H), 5.23-5.13 (m, 3H), 2.17 (s, 3H), 2.16 (s, 3H), 1.49 (d, J=7.1 Hz, 3H), 1.45 (s, 9H).
Preparation of (S)-2-(((2R,3R)-2,3-Diacetoxy-4-(tert-butoxy)-4-oxobutanoyl)oxy)propanoic acid
Figure US10226456-20190312-C00812
A mixture of (2R,3R)-1-((S)-1-(benzyloxy)-1-oxopropan-2-yl) 4-tert-butyl 2,3-diacetoxysuccinate (1.35 g, 2.99 mmol) and palladium (5% on carbon, 180 mg) in ethanol (15 mL) was stirred at room temperature under balloon pressure hydrogen for 2 h. After this time, the reaction mixture was purged with nitrogen and filtered through diatomaceous earth. The filtrate was concentrated under reduced pressure to provide (S)-2-(((2R,3R)-2,3-diacetoxy-4-(tert-butoxy)-4-oxobutanoyl)oxy)propanoic acid (1.01 g, 93%):1H NMR (300 MHz, CDCl3) δ 5.80 (d, J=2.7 Hz, 1H), 5.69 (d, J=2.7 Hz, 1H), 5.16 (q, J=7.1 Hz, 1H), 2.18 (s, 3H), 2.17 (s, 3H), 1.53 (d, J=7.1 Hz, 3H), 1.46 (s, 9H), CO2H proton not observed.
Preparation of (2R,3R)-1-tert-Butyl 4-((S)-1-((2,5-dioxopyrrolidin-1-yl)oxy)-1-oxopropan-2-yl) 2,3-diacetoxysuccinate
Figure US10226456-20190312-C00813
A mixture of (S)-2-(((2R,3R)-2,3-diacetoxy-4-(tert-butoxy)-4-oxobutanoyl)oxy)propanoic acid (1.00 g, 2.76 mmol) and N-hydroxysuccinimide (350 mg, 3.04 mmol) in tetrahydrofuran (20 mL) was treated with N,N′-dicyclohexylcarbodiimide (627 mg, 3.04 mmol), and the reaction mixture was stirred at ambient temperature for 4 h. After this time, diethyl ether (20 mL) was added, and the mixture was filtered. The filtrate was concentrated under reduced pressure to provide (2R,3R)-1-tert-butyl 4-((S)-1-((2,5-dioxopyrrolidin-1-yl)oxy)-1-oxopropan-2-yl) 2,3-diacetoxysuccinate (960 mg, 76%) that was used without purification:1H NMR (300 MHz, CDCl3) δ 5.82 (d, J=2.7 Hz, 1H), 5.66 (d, J=2.7 Hz, 1H), 5.49 (q, J=7.1 Hz, 1H), 2.85 (s, 4H), 2.18 (s, 3H), 2.16 (s, 3H), 1.67 (d, J=7.1 Hz, 3H), 1.46 (s, 9H).
Preparation of (2R,3R)-1-tert-Butyl 4-((S)-1-(((4R,4aS,7aR,12bS)-4a-hydroxy-9-methoxy-3-methyl-2,3,4,4a,5,7a-hexahydro-1H-4,12-methanobenzofuro[3,2-e]isoquinolin-7-yl)oxy)-1-oxopropan-2-yl) 2,3-diacetoxysuccinate
Figure US10226456-20190312-C00814
A suspension of oxycodone (380 mg, 1.21 mmol) in tetrahydrofuran (10 mL) was cooled to −50° C. and treated dropwise with a 1.0 M solution of lithium bis(trimethylsilyl)amide in tetrahydrofuran (1.3 mL, 1.3 mmol). After addition was complete, the mixture was stirred at −50° C. for 45 min. The mixture was treated dropwise with a solution of (2R,3R)-1-tert-butyl 4-((S)-1-((2,5-dioxopyrrolidin-1-yl)oxy)-1-oxopropan-2-yl) 2,3-diacetoxysuccinate (560 mg, 1.32 mmol) in tetrahydrofuran (8 mL). After addition was complete, the mixture was stirred at −50° C. for 30 min. After this time, the reaction mixture was treated with saturated aqueous ammonium chloride (15 mL) and extracted with ethyl acetate (3×15 mL). The combined organics were dried over sodium sulfate, filtered, and concentrated under reduced pressure. The crude residue was purified by reversed phase column chromatography (50 g C18 column, 10-100% acetonitrile/water) and freeze dried to provide (2R,3R)-1-tert-butyl 4-((S)-1-(((4R,4aS,7aR,12bS)-4a-hydroxy-9-methoxy-3-methyl-2,3,4,4a,5,7a-hexahydro-1H-4,12-methanobenzofuro[3,2-e]isoquinolin-7-yl)oxy)-1-oxopropan-2-yl) 2,3-diacetoxysuccinate (103 mg, 13%) as a white solid: ESI MS m/z 660 [C33H41NO13+H]+.
Preparation of (2R,3R)-2,3-Diacetoxy-4-(((S)-1-(((4R,4aS,7aR,12bS)-4a-hydroxy-9-methoxy-3-methyl-2,3,4,4a,5,7a-hexahydro-1H-4,12-methanobenzofuro[3,2-e]isoquinolin-7-yl)oxy)-1-oxopropan-2-yl)oxy)-4-oxobutanoic acid trifluoroacetic acid salt
Figure US10226456-20190312-C00815
A solution of (2S,3S)-1-((S)-1-(tert-butoxy)-1-oxopropan-2-yl) 4-((4R,4aS,7aR,12bS)-4a-hydroxy-9-methoxy-3-methyl-2,3,4,4a,5,7a-hexahydro-1H-4,12-methanobenzofuro[3,2-e]isoquinolin-7-yl) 2,3-diacetoxysuccinate (57 mg, 0.091 mmol) in methylene chloride (1 mL) was treated with trifluoroacetic acid (1 mL) and stirred under a nitrogen atmosphere at ambient temperature for 1 h. After this time, the reaction mixture was concentrated under reduced pressure. This material was purified by reversed phase column chromatography (50 g C18 column, 5-40% acetonitrile/water) and freeze dried to provide (2R,3R)-2,3-diacetoxy-4-(((S)-1-(((4R,4aS,7aR,12bS)-4a-hydroxy-9-methoxy-3-methyl-2,3,4,4a,5,7a-hexahydro-1H-4,12-methanobenzofuro[3,2-e]isoquinolin-7-yl)oxy)-1-oxopropan-2-yl)oxy)-4-oxobutanoic acid trifluoroacetic acid salt (68 mg, 72%) as a white solid:1H NMR (300 MHz, DMSO-d6) δ 13.9 (s, 1H), 9.19 (s, 1H), 6.85 (d, J=8.1 Hz, 1H), 6.75 (d, J=8.1 Hz, 1H), 6.32 (s, 1H), 5.72 (d, J=3.0 Hz, 1H), 5.66-5.60 (m, 2H), 5.29 (dd, J=13.8, 6.9 Hz, 1H), 5.03 (s, 1H), 3.74 (s, 3H), 3.65 (d, J=6.3 Hz, 1H), 3.41 (d, J=20.1 Hz, 1H), 3.16-3.07 (m, 2H), 2.84 (d, J=3.6 Hz, 3H), 2.64-2.61 (m, 1H), 2.46-2.42 (m, 1H), 2.33-2.26 (m, 1H), 2.13 (s, 3H), 2.11 (s, 3H), 2.06 (d, J=18.0 Hz, 1H), 1.65 (d, J=11.1 Hz, 1H), 1.48 (d, J=6.9 Hz, 3H); ESI MS m/z 604 [C29H33NO13+H]+.
Figure US10226456-20190312-C00816
Figure US10226456-20190312-C00817
Preparation of (2R,3R)-2,3-Diacetoxy-4-(((R)-1,4-di-tert-butoxy-1,4-dioxobutan-2-yl)oxy)-4-oxobutanoic acid
Figure US10226456-20190312-C00818
(R)-Di-tert-butyl 2-hydroxysuccinate (1.60 g, 6.50 mmol), (3R,4R)-2,5-dioxotetrahydrofuran-3,4-diyl diacetate (1.76 g, 8.12 mmol), pyridine (462 mg, 5.85 mmol), and N,N-dimethylformamide (4 mL) were combined and stirred at 0° C. under a nitrogen atmosphere for 3 h. After this time, saturated sodium bicarbonate (15 mL) was added, and the resulting aqueous solution was washed with ethyl acetate (10 mL). The aqueous phase was collected and acidified to pH=3 with 6 N hydrochloric acid, and the mixture was extracted with ethyl acetate (2×20 mL). The combined organics were washed with brine (50 mL), dried over sodium sulfate, filtered, and concentrated under reduced pressure to provide (2R,3R)-2,3-diacetoxy-4-(((R)-1,4-di-tert-butoxy-1,4-dioxobutan-2-yl)oxy)-4-oxobutanoic acid (2.28 g, 75%) as a yellow oil:1H NMR (300 MHz, CDCl3) δ 5.80 (d, J=2.7 Hz, 1H), 5.75 (d, J=2.4 Hz, 1H), 5.36 (dd, J=7.8, 5.1 Hz, 1H), 2.78-2.74 (m, 2H), 2.21 (s, 3H), 2.19 (s, 3H), 1.46 (s, 9H), 1.44 (s, 9H), CO2H proton not observed.
Preparation of (2R,3R)-1-((R)-1,4-Di-tert-butoxy-1,4-dioxobutan-2-yl) 4-(2,5-dioxopyrrolidin-1-yl) 2,3-diacetoxysuccinate
Figure US10226456-20190312-C00819
A solution of (2R,3R)-2,3-diacetoxy-4-(((R)-1,4-di-tert-butoxy-1,4-dioxobutan-2-yl)oxy)-4-oxobutanoic acid (2.28 g, 4.93 mmol) in tetrahydrofuran (40 mL) was treated with N-hydroxysuccinimide (624 mg, 5.42 mmol) and N,N′-dicyclohexylcarbodiimide (1.12 g, 5.42 mmol) and stirred under a nitrogen atmosphere for 4 h. After this time, the reaction mixture was filtered to remove the solid dicyclohexylurea byproduct. The solid was washed with diethyl ether (100 mL), and the combined filtrate and washings were concentrated under reduced pressure. The residue was triturated with diethyl ether to provide (2R,3R)-1-((R)-1,4-di-tert-butoxy-1,4-dioxobutan-2-yl) 4-(2,5-dioxopyrrolidin-1-yl) 2,3-diacetoxysuccinate (3.39 g, quantitative) as a yellow solid:1H NMR (300 MHz, CDCl3) δ 6.14 (d, J=3.0 Hz, 1H), 5.88 (d, J=3.0 Hz, 1H), 5.38 (dd, J=8.1, 3.3 Hz, 1H), 2.88-2.68 (m, 6H), 2.24 (s, 3H), 2.23 (s, 3H), 1.46 (s, 9H), 1.44 (s, 9H).
Preparation of (2R,3R)-1-((R)-1,4-Di-tert-butoxy-1,4-dioxobutan-2-yl) 4-((4R,4aS,7aR,12bS)-4a-hydroxy-9-methoxy-3-methyl-2,3,4,4a,5,7a-hexahydro-1H-4,12-methanobenzofuro[3,2-e]isoquinolin-7-yl) 2,3-diacetoxysuccinate
Figure US10226456-20190312-C00820
A suspension of oxycodone (400 mg, 1.27 mmol) in tetrahydrofuran (10 mL) was cooled to −50° C. and treated dropwise with a 1.0 M solution of lithium bis(trimethylsilyl)amide in tetrahydrofuran (1.4 mL, 1.4 mmol). After addition was complete, the mixture was stirred at −50° C. for 45 min. The mixture was treated dropwise with a solution of (2R,3R)-1-((R)-1,4-di-tert-butoxy-1,4-dioxobutan-2-yl) 4-(2,5-dioxopyrrolidin-1-yl) 2,3-diacetoxysuccinate (800 mg, 1.4 mmol) in tetrahydrofuran (8 mL). After addition was complete, the mixture was stirred at −50° C. for 30 min. After this time, the reaction mixture was treated with saturated aqueous ammonium chloride (15 mL) and extracted with ethyl acetate (3×15 mL). The combined organics were dried over sodium sulfate, filtered, and concentrated under reduced pressure. The crude residue was purified by reversed phase column chromatography (50 g C18 column, 10-100% acetonitrile/water) and freeze dried to provide (2R,3R)-1-((R)-1,4-di-tert-butoxy-1,4-dioxobutan-2-yl) 4-((4R,4aS,7aR,12bS)-4a-hydroxy-9-methoxy-3-methyl-2,3,4,4a,5,7a-hexahydro-1H-4,12-methanobenzofuro[3,2-e]isoquinolin-7-yl) 2,3-diacetoxysuccinate (128 mg, 13%) as a white solid: ESI MS m/z 760 [C38H49NO15+H]+.
Preparation of (R)-2-(((2R,3R)-2,3-Diacetoxy-4-((4R,4aS,7aR,12bS)-4a-hydroxy-9-methoxy-3-methyl-2,3,4,4a,5,7a-hexahydro-1H-4,12-methanobenzofuro[3,2-e]isoquinolin-7-yl)oxy)-4-oxobutanoyl)oxy)succinic acid trifluoroacetic acid salt
Figure US10226456-20190312-C00821
A solution of (2R,3R)-1-((R)-1,4-di-tert-butoxy-1,4-dioxobutan-2-yl) 4-((4R,4aS,7aR,12bS)-4a-hydroxy-9-methoxy-3-methyl-2,3,4,4a,5,7a-hexahydro-1H-4,12-methanobenzofuro[3,2-e]isoquinolin-7-yl) 2,3-diacetoxysuccinate (128 mg, 0.171 mmol) in methylene chloride (1 mL) was treated with trifluoroacetic acid (1 mL) and stirred under a nitrogen atmosphere at ambient temperature for 1 h. After this time, the reaction mixture was concentrated under reduced pressure. This material was purified by reversed phase column chromatography (50 g C18 column, 5-40% acetonitrile/water) and freeze dried to provide (R)-2-(((2R,3R)-2,3-diacetoxy-4-((4R,4aS,7aR,12bS)-4a-hydroxy-9-methoxy-3-methyl-2,3,4,4a,5,7a-hexahydro-1H-4,12-methanobenzofuro[3,2-e]isoquinolin-7-yl)oxy)-4-oxobutanoyl)oxy)succinic acid trifluoroacetic acid salt (65 mg, 59%) as a white solid:1H NMR (300 MHz, DMSO-d6) δ 13.5 (s, 1H), 12.7 (s, 1H), 9.17 (s, 1H), 6.88 (d, J=8.4 Hz, 1H), 6.77 (d, J=8.4 Hz, 1H), 6.33 (s, 1H), 5.80 (dd, J=9.6, 2.7 Hz, 2H), 5.57 (dd, J=6.0, 2.1 Hz, 1H), 5.35 (dd, J=7.8, 1.2 Hz, 1H), 4.89 (s, 1H), 3.75 (s, 3H), 3.65 (d, J=6.3 Hz, 1H), 3.41 (d, J=20.1 Hz, 1H), 3.15-3.07 (m, 2H), 2.93-2.80 (m, 5H), 2.64-2.61 (m, 1H), 2.41-2.32 (m, 1H), 2.32-2.26 (m, 1H), 2.27 (s, 3H), 2.07 (s, 3H), 2.06 (d, J=18.3 Hz, 1H), 1.64 (d, J=11.4 Hz, 1H); ESI MS m/z 648 [C30H33NO15+H]+.
Figure US10226456-20190312-C00822
Preparation of (S)-2-(((S)-4-(tert-Butoxy)-2-((tert-butoxycarbonyl)amino)-4-oxobutanoyl)oxy)propanoic acid
Figure US10226456-20190312-C00823
(S)-Lactic acid (280 mg, 3.11 mmol), (S)-4-tert-butyl 1-(2,5-dioxopyrrolidin-1-yl) 2-((tert-butoxycarbonyl)amino)succinate (1.00 g, 2.59 mmol), 4-(dimethylamino)pyridine (32 mg, 0.259 mmol), pyridine (248 mg, 3.11 mmol), and tetrahydrofuran (17 mL) were combined and heated at 60° C. under a nitrogen atmosphere for 24 h. After this time, the solvent was removed under reduced pressure, and the residue was participated between ethyl acetate (30 mL) and 10% aqueous citric acid. The organic layer was separated and washed with water (50 mL), dried over sodium sulfate, filtered, and concentrated under reduced pressure to provide (S)-2-(((S)-4-(tert-butoxy)-2-((tert-butoxycarbonyl)amino)-4-oxobutanoyl)oxy)propanoic acid (858 mg, 91%) as a colorless oil:1H NMR (300 MHz, CDCl3) δ 5.51 (m, 1H), 4.58 (m, 1H), 2.96-2.69 (m, 2H), 1.55 (m, 3H), 1.45 (s, 18H), CO2H and NH protons not observed.
Preparation of (S)-4-tert-Butyl 1-((S)-1-((2,5-dioxopyrrolidin-1-yl)oxy)-1-oxopropan-2-yl) 2-((tert-butoxycarbonyl)amino)succinate
Figure US10226456-20190312-C00824
A solution of (S)-2-(((S)-4-(tert-butoxy)-2-((tert-butoxycarbonyl)amino)-4-oxobutanoyl)oxy)propanoic acid (858 mg, 2.37 mmol) in tetrahydrofuran (30 mL) was treated with N-hydroxysuccinimide (300 mg, 2.61 mmol) and N,N′-dicyclohexylcarbodiimide (538 mg, 2.61 mmol) and stirred at room temperature under a nitrogen atmosphere for 5 h. After this time, the reaction mixture was filtered to remove the solid dicyclohexylurea byproduct. The solid was washed with diethyl ether (50 mL), and the combined filtrate and washings were concentrated under reduced pressure. The residue was triturated with diethyl ether to provide (S)-4-tert-butyl 1-((S)-1-((2,5-dioxopyrrolidin-1-yl)oxy)-1-oxopropan-2-yl) 2-((tert-butoxycarbonyl)amino)succinate (1.24 g, quantitative) as a white solid:1H NMR (300 MHz, CDCl3) δ 5.52 (m, 1H), 4.63 (m, 1H), 2.97-2.73 (m, 6H), 1.68 (m, 3H), 1.45 (s, 18H), NH proton not observed.
Preparation of (S)-4-tert-Butyl 1-((S)-1-(((4R,4aS,7aR,12bS)-4a-hydroxy-9-methoxy-3-methyl-2,3,4,4a,5,7a-hexahydro-1H-4,12-methanobenzofuro[3,2-e]isoquinolin-7-yl)oxy)-1-oxopropan-2-yl) 2-((tert-butoxycarbonyl)amino)succinate
Figure US10226456-20190312-C00825
A suspension of oxycodone (380 mg, 1.21 mmol) in tetrahydrofuran (10 mL) was cooled to −50° C. and treated dropwise with a 1.0 M solution of lithium bis(trimethylsilyl)amide in tetrahydrofuran (1.3 mL, 1.3 mmol). After addition was complete, the mixture was stirred at −50° C. for 45 min. The mixture was treated dropwise with a solution of (S)-4-tert-butyl 1-((S)-1-((2,5-dioxopyrrolidin-1-yl)oxy)-1-oxopropan-2-yl) 2-((tert-butoxycarbonyl)amino)succinate (560 mg, 1.31 mmol) in tetrahydrofuran (8 mL). After addition was complete, the mixture was stirred at −50° C. for 30 min. After this time, the reaction mixture was treated with saturated aqueous ammonium chloride (15 mL) and extracted with ethyl acetate (3×15 mL). The combined organics were dried over sodium sulfate, filtered, and concentrated under reduced pressure. The crude residue was purified by reversed phase column chromatography (50 g C18 column, 10-100% acetonitrile/water) and freeze dried to provide (S)-4-tert-butyl 1-((S)-1-(((4R,4aS,7aR,12bS)-4a-hydroxy-9-methoxy-3-methyl-2,3,4,4a,5,7a-hexahydro-1H-4,12-methanobenzofuro[3,2-e]isoquinolin-7-yl)oxy)-1-oxopropan-2-yl) 2-((tert-butoxycarbonyl)amino)succinate (65 mg, 8%) as a white solid: ESI MS m/z 659 [C34H46N2O11+H]+.
Preparation of (S)-3-Amino-4-(((S)-1-(((4R,4aS,7aR,12bS)-4a-hydroxy-9-methoxy-3-methyl-2,3,4,4a,5,7a-hexahydro-1H-4,12-methanobenzofuro[3,2-e]isoquinolin-7-yl)oxy)-1-oxopropan-2-yl)oxy)-4-oxobutanoic acid bis(trifluoroacetic acid salt)
Figure US10226456-20190312-C00826
A solution of (S)-4-tert-butyl 1-((S)-1-(((4R,4aS,7aR,12bS)-4a-hydroxy-9-methoxy-3-methyl-2,3,4,4a,5,7a-hexahydro-1H-4,12-methanobenzofuro[3,2-e]isoquinolin-7-yl)oxy)-1-oxopropan-2-yl) 2-((tert-butoxycarbonyl)amino)succinate (65 mg, 0.10 mmol) in methylene chloride (1 mL) was treated with trifluoroacetic acid (1 mL) and stirred under a nitrogen atmosphere at ambient temperature for 1 h. After this time, the reaction mixture was concentrated under reduced pressure. This material was purified by reversed phase column chromatography (50 g C18 column, 5-40% acetonitrile/water) and freeze dried to provide (S)-3-amino-4-(((S)-1-(((4R,4aS,7aR,12bS)-4a-hydroxy-9-methoxy-3-methyl-2,3,4,4a,5,7a-hexahydro-1H-4,12-methanobenzofuro[3,2-e]isoquinolin-7-yl)oxy)-1-oxopropan-2-yl)oxy)-4-oxobutanoic acid bis(trifluoroacetic acid salt)(46 mg, 90%) as a white solid:1H NMR (300 MHz, DMSO-d6) δ 13.2 (s, 1H), 9.20 (s, 1H), 8.48 (s, 3H), 6.87 (d, J=8.4 Hz, 1H), 6.76 (d, J=8.4 Hz, 1H), 6.32 (s, 1H), 5.62-5.59 (m, 1H), 5.39-5.30 (m, 1H), 5.00 (d, J=7.5 Hz, 1H), 4.48-4.45 (m, 1H), 3.76 (s, 3H), 3.66 (d, J=6.3 Hz, 1H), 3.44 (d, J=20.1 Hz, 1H), 3.16-3.07 (m, 2H), 2.96-2.85 (m, 5H), 2.64-2.61 (m, 1H), 2.46-2.42 (m, 1H), 2.33-2.26 (m, 1H), 2.07 (d, J=18.0 Hz, 1H), 1.64 (d, J=12.6 Hz, 1H), 1.55 (d, J=7.2 Hz, 3H); ESI MS m/z 503 [C25H30N2O9+H]+.
Figure US10226456-20190312-C00827
Preparation of (S)-tert-Butyl 4-((tert-butoxycarbonyl)amino)-5-((3-(((S)-1-(((4R,4aS,7aR,12bS)-4a-hydroxy-9-methoxy-3-methyl-2,3,4,4a,5,7a-hexahydro-1H-4,12-methanobenzofuro[3,2-e]isoquinolin-7-yl)oxy)-1-oxopropan-2-yl)oxy)-3-oxopropyl)amino)-5-oxopentanoate
Figure US10226456-20190312-C00828
A solution of (S)-(4R,4aS,7aR,12bS)-4a-hydroxy-9-methoxy-3-methyl-2,3,4,4a,5,7a-hexahydro-1H-4,12-methanobenzofuro[3,2-e]isoquinolin-7-yl 2-((3-aminopropanoyl)oxy)propanoate bis(2,2,2-trifluoroacetate) (121 mg, 0.176 mmol) and (S)-5-tert-butyl 1-(2,5-dioxopyrrolidin-1-yl) 2-((tert-butoxycarbonyl)amino)pentanedioate (108 mg, 0.269 mmol) in methylene chloride (3 mL) was treated with N,N-diisopropylethylamine (0.13 mL, 0.75 mmol) and stirred under a nitrogen atmosphere for 45 min. After this time, the reaction mixture was diluted with methylene chloride (15 mL) and washed with saturated aqueous ammonium chloride (10 mL). The organic layer was dried over sodium sulfate, filtered, and concentrated under reduced pressure to provide (S)-tert-butyl 4-((tert-butoxycarbonyl)amino)-5-((3-(((S)-1-(((4R,4aS,7aR,12bS)-4a-hydroxy-9-methoxy-3-methyl-2,3,4,4a,5,7a-hexahydro-1H-4,12-methanobenzofuro[3,2-e]isoquinolin-7-yl)oxy)-1-oxopropan-2-yl)oxy)-3-oxopropyl)amino)-5-oxopentanoate (155 mg, quantitative) as a colorless semi-solid: ESI MS m/z 744 [C38H53N3O12+H]+.
Preparation of (S)-4-Amino-5-((3-(((S)-1-(((4R,4aS,7aR,12bS)-4a-hydroxy-9-methoxy-3-methyl-2,3,4,4a,5,7a-hexahydro-1H-4,12-methanobenzofuro[3,2-e]isoquinolin-7-yl)oxy)-1-oxopropan-2-yl)oxy)-3-oxopropyl)amino)-5-oxopentanoic acid bis(trifluoroacetic acid salt)
Figure US10226456-20190312-C00829
A solution of (S)-tert-butyl 4-((tert-butoxycarbonyl)amino)-5-((3-(((S)-1-(((4R,4aS,7aR,12bS)-4a-hydroxy-9-methoxy-3-methyl-2,3,4,4a,5,7a-hexahydro-1H-4,12-methanobenzofuro[3,2-e]isoquinolin-7-yl)oxy)-1-oxopropan-2-yl)oxy)-3-oxopropyl)amino)-5-oxopentanoate (130 mg, 0.176 mmol) in methylene chloride (2 mL) was treated with trifluoroacetic acid (1 mL) and stirred under a nitrogen atmosphere at ambient temperature for 30 min. After this time, the reaction mixture was concentrated under reduced pressure. The residue was purified by reversed phase column chromatography (50 g C18 column, 5-70% acetonitrile/water with 0.1% trifluoroacetic acid) and freeze dried to provide (S)-4-Amino-5-((3-(((S)-1-(((4R,4aS,7aR,12bS)-4a-hydroxy-9-methoxy-3-methyl-2,3,4,4a,5,7a-hexahydro-1H-4,12-methanobenzofuro[3,2-e]isoquinolin-7-yl)oxy)-1-oxopropan-2-yl)oxy)-3-oxopropyl)amino)-5-oxopentanoic acid bis(trifluoroacetic acid salt)(73 mg, 51%) as a white solid:1H NMR (300 MHz, DMSO-d6) δ 12.35 (br s, 1H), 9.19 (br s, 1H), 8.61 (t, J=5.4 Hz, 1H), 8.13 (br s, 3H), 6.86 (d, J=8.4 Hz, 1H), 6.76 (d, J=8.4 Hz, 1H), 6.31 (br s, 1H), 5.59 (dd, J=5.7, 1.8 Hz, 1H), 5.12 (q, J=7.2 Hz, 1H), 5.00 (s, 1H), 3.76 (s, 3H), 3.75-3.71 (m, 1H), 3.66 (d, J=6.3 Hz, 1H), 3.53-3.40 (m, 3H), 3.35-3.25 (m, 1H), 3.16-3.07 (m, 2H), 2.85 (apparent d, J=3.6 Hz, 3H), 2.67-2.55 (m, 2H), 2.49-2.42 (m, 1H, partially obscured by solvent peak), 2.35-2.26 (m, 3H), 2.09-2.03 (m, 1H), 1.95-1.89 (m, 2H), 1.64 (d, J=11.1 Hz, 1H), 1.51 (d, J=7.2 Hz, 3H); ESI MS m/z 588 [C29H37N3O10+H]+; HPLC (Method A)>99% (AUC), tR=7.16 min.
Figure US10226456-20190312-C00830
Preparation of (S)-tert-Butyl 2-((tert-butoxycarbonyl)amino)-5-((3-(((S)-1-(((4R,4aS,7aR,12bS)-4a-hydroxy-9-methoxy-3-methyl-2,3,4,4a,5,7a-hexahydro-1H-4,12-methanobenzofuro[3,2-e]isoquinolin-7-yl)oxy)-1-oxopropan-2-yl)oxy)-3-oxopropyl)amino)-5-oxopentanoate
Figure US10226456-20190312-C00831
A solution of (S)-(4R,4aS,7aR,12bS)-4a-hydroxy-9-methoxy-3-methyl-2,3,4,4a,5,7a-hexahydro-1H-4,12-methanobenzofuro[3,2-e]isoquinolin-7-yl 2-((3-aminopropanoyl)oxy)propanoate bis(2,2,2-trifluoroacetate) (123 mg, 0.179 mmol) and (S)-1-tert-butyl 5-(2,5-dioxopyrrolidin-1-yl) 2-((tert-butoxycarbonyl)amino)pentanedioate (108 mg, 0.269 mmol) in methylene chloride (3 mL) was treated with N,N-diisopropylethylamine (0.13 mL, 0.75 mmol) and stirred under a nitrogen atmosphere for 30 min. After this time, the reaction mixture was diluted with methylene chloride (15 mL) and washed with saturated aqueous ammonium chloride (10 mL). The organic layer was dried over sodium sulfate, filtered, and concentrated under reduced pressure to provide (S)-tert-butyl 2-((tert-butoxycarbonyl)amino)-5-((3-(((S)-1-(((4R,4aS,7aR,12bS)-4a-hydroxy-9-methoxy-3-methyl-2,3,4,4a,5,7a-hexahydro-1H-4,12-methanobenzofuro[3,2-e]isoquinolin-7-yl)oxy)-1-oxopropan-2-yl)oxy)-3-oxopropyl)amino)-5-oxopentanoate (151 mg, quantitative) as a colorless semi-solid: ESI MS m/z 744 [C38H53N3O12+H]+.
Preparation of (S)-2-Amino-5-((3-(((S)-1-(((4R,4aS,7aR,12bS)-4a-hydroxy-9-methoxy-3-methyl-2,3,4,4a,5,7a-hexahydro-1H-4,12-methanobenzofuro[3,2-e]isoquinolin-7-yl)oxy)-1-oxopropan-2-yl)oxy)-3-oxopropyl)amino)-5-oxopentanoic acid bis(trifluoroacetic acid salt)
Figure US10226456-20190312-C00832
A solution of (S)-tert-butyl 2-((tert-butoxycarbonyl)amino)-5-((3-(((S)-1-(((4R,4aS,7aR,12bS)-4a-hydroxy-9-methoxy-3-methyl-2,3,4,4a,5,7a-hexahydro-1H-4,12-methanobenzofuro[3,2-e]isoquinolin-7-yl)oxy)-1-oxopropan-2-yl)oxy)-3-oxopropyl)amino)-5-oxopentanoate (133 mg, 0.179 mmol) in methylene chloride (2 mL) was treated with trifluoroacetic acid (1 mL) and stirred under a nitrogen atmosphere at ambient temperature for 30 min. After this time, the reaction mixture was concentrated under reduced pressure. The residue was purified by reversed phase column chromatography (50 g C18 column, 5-70% acetonitrile/water with 0.1% trifluoroacetic acid) and freeze dried to provide (S)-2-amino-5-((3-(((S)-1-(((4R,4aS,7aR,12bS)-4a-hydroxy-9-methoxy-3-methyl-2,3,4,4a,5,7a-hexahydro-1H-4,12-methanobenzofuro[3,2-e]isoquinolin-7-yl)oxy)-1-oxopropan-2-yl)oxy)-3-oxopropyl)amino)-5-oxopentanoic acid bis(trifluoroacetic acid salt)(77 mg, 53%) as a white solid:1H NMR (300 MHz, DMSO-d6) δ 9.19 (br s, 1H), 8.26 (br s, 3H), 8.10 (t, J=5.7 Hz, 1H), 6.86 (d, J=8.4 Hz, 1H), 6.76 (d, J=8.4 Hz, 1H), 6.32 (br s, 1H), 5.58 (dd, J=5.7, 1.8 Hz, 1H), 5.11 (q, J=7.2 Hz, 1H), 5.00 (s, 1H), 3.93 (br s, 1H), 3.75 (s, 3H), 3.66 (d, J=6.3 Hz, 1H), 3.47-3.40 (m, 2H, partially obscured by water peak), 3.36-3.27 (m, 2H), 3.16-3.07 (m, 2H), 2.85 (s, 3H), 2.63-2.55 (m, 2H), 2.49-2.43 (m, 1H, partially obscured by solvent peak), 2.34-2.17 (m, 3H), 2.09-1.93 (m, 3H), 1.64 (d, J=11.1 Hz, 1H), 1.50 (d, J=7.2 Hz, 3H), CO2H proton not observed; ESI MS m/z 588 [C29H37N3O10+H]+;HPLC (Method A)>99% (AUC), tR=7.23 min.
Figure US10226456-20190312-C00833
Preparation of (S)-(4R,4aS,7aR,12bS)-4a-Hydroxy-9-methoxy-3-methyl-2,3,4,4a,5,7a-hexahydro-1H-4,12-methanobenzofuro[3,2-e]isoquinolin-7-yl 2-((3-((S)-2-((tert-butoxycarbonyl)amino)-3-phenylpropanamido)propanoyl)oxy)propanoate
Figure US10226456-20190312-C00834
A solution of (S)-(4R,4aS,7aR,12bS)-4a-hydroxy-9-methoxy-3-methyl-2,3,4,4a,5,7a-hexahydro-1H-4,12-methanobenzofuro[3,2-e]isoquinolin-7-yl 2-((3-aminopropanoyl)oxy)propanoate bis(2,2,2-trifluoroacetate) (134 mg, 0.195 mmol) and (S)-2,5-dioxopyrrolidin-1-yl 2-((tert-butoxycarbonyl)amino)-3-phenylpropanoate (109 mg, 0.301 mmol) in methylene chloride (3 mL) was treated with N,N-diisopropylethylamine (0.14 mL, 0.80 mmol) and stirred under a nitrogen atmosphere for 15 min. After this time, the reaction mixture was diluted with methylene chloride (15 mL) and washed with saturated aqueous ammonium chloride (10 mL). The organic layer was dried over sodium sulfate, filtered, and concentrated under reduced pressure to provide (S)-(4R,4aS,7aR,12bS)-4a-hydroxy-9-methoxy-3-methyl-2,3,4,4a,5,7a-hexahydro-1H-4,12-methanobenzofuro[3,2-e]isoquinolin-7-yl 2-((3-((S)-2-((tert-butoxycarbonyl)amino)-3-phenylpropanamido)propanoyl)oxy)propanoate (156 mg, quantitative) as a colorless semi-solid: ESI MS m/z 706 [C38H47N3O10+H]+.
Preparation of (S)-(4R,4aS,7aR,12bS)-4a-Hydroxy-9-methoxy-3-methyl-2,3,4,4a,5,7a-hexahydro-1H-4,12-methanobenzofuro[3,2-e]isoquinolin-7-yl 2-((3-((S)-2-amino-3-phenylpropanamido)propanoyl)oxy)propanoate bis(trifluoroacetic acid salt)
Figure US10226456-20190312-C00835
A solution of (S)-(4R,4aS,7aR,12bS)-4a-hydroxy-9-methoxy-3-methyl-2,3,4,4a,5,7a-hexahydro-1H-4,12-methanobenzofuro[3,2-e]isoquinolin-7-yl 2-((3-((S)-2-((tert-butoxycarbonyl)amino)-3-phenylpropanamido)propanoyl)oxy)propanoate (137 mg, 0.195 mmol) in methylene chloride (2 mL) was treated with trifluoroacetic acid (1 mL) and stirred under a nitrogen atmosphere at ambient temperature for 30 min. After this time, the reaction mixture was concentrated under reduced pressure. The residue was purified by reversed phase column chromatography (50 g C18 column, 5-70% acetonitrile/water with 0.1% trifluoroacetic acid) and freeze dried to provide (S)-(4R,4aS,7aR,12bS)-4a-Hydroxy-9-methoxy-3-methyl-2,3,4,4a,5,7a-hexahydro-1H-4,12-methanobenzofuro[3,2-e]isoquinolin-7-yl 2-((3-((S)-2-amino-3-phenylpropanamido)propanoyl)oxy)propanoate bis(trifluoroacetic acid salt)(80 mg, 49%) as a white solid:1H NMR (300 MHz, DMSO-d6) δ 9.18 (br s, 1H), 8.48 (t, J=5.7 Hz, 1H), 8.17 (br s, 3H), 7.37-7.26 (m, 3H), 7.23-7.20 (m, 2H), 6.86 (d, J=8.4 Hz, 1H), 6.76 (d, J=8.4 Hz, 1H), 6.29 (br s, 1H), 5.58 (dd, J=6.0, 2.1 Hz, 1H), 5.09 (q, J=7.2 Hz, 1H), 4.99 (s, 1H), 3.94 (br s, 1H), 3.75 (s, 3H), 3.65 (d, J=6.3 Hz, 1H), 3.45-3.40 (m, 3H, partially obscured by water peak), 3.24-3.07 (m, 4H), 2.99-2.96 (m, 2H), 2.85 (apparent d, J=4.2 Hz, 3H), 2.68-2.55 (m, 1H), 2.49-2.41 (m, 1H, partially obscured by solvent peak), 2.37-2.25 (m, 1H), 2.05 (apparent d, J=17.7 Hz, 1H), 1.64 (d, J=13.2 Hz, 1H), 1.52 (d, J=6.9 Hz, 3H);ESI MS m/z 606 [C33H39N3O8+H]+; HPLC (Method A) 99.0% (AUC), tR=7.94 min.
Figure US10226456-20190312-C00836
Figure US10226456-20190312-C00837
Preparation of (S)-Methyl 2-((tert-butoxycarbonyl)oxy)-2-phenylacetate
Figure US10226456-20190312-C00838
(S)-Methyl 2-hydroxy-2-phenylacetate (30.0 g, 180 mmol), di-tert-butyl dicarbonate (43.3 g, 198 mmol), and zinc acetate (3.96 g, 18.0 mmol) were combined and heated at 55° C. under a nitrogen atmosphere for 48 h. After this time, the reaction mixture was cooled to ambient temperature. The mixture was diluted with water (400 mL) and extracted with methylene chloride (3×200 mL). The combined organics were washed with brine (200 mL), dried over sodium sulfate, filtered, and concentrated under reduced pressure to provide (S)-methyl 2-((tert-butoxycarbonyl)oxy)-2-phenylacetate (39.2 g, 82%) as a colorless oil:1H NMR (500 MHz, CDCl3) δ 7.37-7.32 (m, 5H), 5.80 (s, 1H), 3.74 (s, 3H), 1.51 (s, 9H).
Preparation of (S)-2-((tert-Butoxycarbonyl)oxy)-2-phenylacetic acid
Figure US10226456-20190312-C00839
A solution of (S)-methyl 2-((tert-butoxycarbonyl)oxy)-2-phenylacetate (9.06 g, 34.0 mmol) in a mixture of tetrahydrofuran (106 mL) and water (53 mL) was treated with lithium hydroxide hydrate (4.30 g, 102 mmol) and stirred at ambient temperature for 3 h. After this time, the volatiles were removed under reduced pressure. The aqueous mixture was diluted with water (50 mL) and extracted with diethyl ether (100 mL). The aqueous layer was cooled in an ice bath, acidified to pH ˜3 with 1 M hydrochloric acid, and extracted with ethyl acetate (3×100 mL). The combined organics were dried over sodium sulfate, filtered, and concentrated under reduced pressure to provide (S)-2-((tert-butoxycarbonyl)oxy)-2-phenylacetic acid (8.40 g, 98%) as a white solid:1H NMR (500 MHz, CDCl3) δ 7.50 (7.47 (m, 2H), 7.48-7.37 (m, 3H), 5.82 (s, 1H), 1.50 (s, 9H), CO2H proton not observed.
Preparation of (S)-2,5-Dioxopyrrolidin-1-yl 2-((tert-butoxycarbonyl)oxy)-2-phenylacetate
Figure US10226456-20190312-C00840
A solution of (S)-2-((tert-butoxycarbonyl)oxy)-2-phenylacetic acid (8.02 g, 31.8 mmol) in tetrahydrofuran (107 mL) was treated with N-hydroxysuccinimide (4.03 g, 35.0 mmol) and N,N′-dicyclohexylcarbodiimide (7.22 g, 16.4 mmol) and stirred under a nitrogen atmosphere for 3 h. After this time, the reaction mixture was filtered to remove the solid dicyclohexylurea byproduct. The solid was washed with diethyl ether (100 mL), and the combined filtrate and washings were concentrated under reduced pressure. The residue was triturated with diethyl ether to provide (S)-2,5-dioxopyrrolidin-1-yl 2-((tert-butoxycarbonyl)oxy)-2-phenylacetate (8.20 g, 74%) as a white powder:1H NMR (500 MHz, DMSO) δ 7.58-7.56 (m, 2H), 7.49-7.45 (m, 3H), 6.39 (s, 1H), 2.93-2.76 (m, 4H), 1.45 (s, 9H).
Preparation of (S)-(4R,4aS,7aR,12bS)-9-((tert-Butoxycarbonyl)oxy)-4a-hydroxy-3-methyl-2,3,4,4a,5,7a-hexahydro-1H-4,12-methanobenzofuro[3,2-e]isoquinolin-7-yl 2-((tert-butoxycarbonyl)oxy)-2-phenylacetate
Figure US10226456-20190312-C00841
A suspension of tert-butyl ((4R,4aS,7aR,12bS)-4a-hydroxy-3-methyl-7-oxo-2,3,4,4a,5,6,7,7a-octahydro-1H-4,12-methanobenzofuro[3,2-e]isoquinolin-9-yl) carbonate (340 mg, 0.85 mmol) in tetrahydrofuran (10 mL) was cooled in an ice bath and treated dropwise with a 1.0 M solution of lithium bis(trimethylsilyl)amide in tetrahydrofuran (1.7 mL, 1.7 mmol). After 30 min, the mixture was treated dropwise with a solution of (S)-2,5-dioxopyrrolidin-1-yl 2-((tert-butoxycarbonyl)oxy)-2-phenylacetate (592 mg, 1.69 mmol) in tetrahydrofuran (5 mL) and stirred at 0° C. for 16 h. After this time, the reaction mixture was poured into cold saturated aqueous ammonium chloride (50 mL) and extracted with ethyl acetate (2×). The combined organics were washed with saturated aqueous sodium bicarbonate and brine, dried over sodium sulfate, filtered, and concentrated under reduced pressure. The crude residue was purified by reversed phase column chromatography (50 g C18 column, 0-100% acetonitrile/water) and freeze dried to provide (S)-(4R,4aS,7aR,12bS)-9-((tert-butoxycarbonyl)oxy)-4a-hydroxy-3-methyl-2,3,4,4a,5,7a-hexahydro-1H-4,12-methanobenzofuro[3,2-e]isoquinolin-7-yl 2-((tert-butoxycarbonyl)oxy)-2-phenylacetate (173 mg, 32%) as a white solid and as a mixture of diastereomers:1H NMR (300 MHz, DMSO-d6) δ 7.54-7.51 (m, 2H), 7.46-7.44 (m, 3H), 6.90 (d, J=8.1 Hz, 0.14H), 6.87 (d, J=8.1 Hz, 0.86H), 6.72 (d, J=8.4 Hz, 0.14H), 6.71 (d, J=8.1 Hz, 0.86H), 5.98 (s, 0.14H), 5.97 (s, 0.86H), 5.57 (dd, J=5.4, 2.1 Hz, 0.86H), 5.42-5.41 (m, 0.14H), 4.86 (s, 0.86H), 4.83 (s, 0.14H), 4.76 (br s, 1H), 3.14 (d, J=19.2 Hz, 1H), 2.86-2.84 (m, 1H), 2.69-2.61 (m, 1H), 2.43-2.41 (m, 1H), 2.31 (s, 3H), 2.27-2.23 (m, 1H), 2.11-1.94 (m, 3H), 1.47 (s, 1.26H), 1.46 (s, 7.74H), 1.43 (s, 9H), 1.39-1.33 (m, 1H); ESI MS m/z 636 [C35H41NO10+H]+.
Preparation of (S)-(4R,4aS,7aR,12bS)-4a,9-Dihydroxy-3-methyl-2,3,4,4a,5,7a-hexahydro-1H-4,12-methanobenzofuro[3,2-e]isoquinolin-7-yl 2-hydroxy-2-phenylacetate hydrochloride
Figure US10226456-20190312-C00842
A solution of (S)-(4R,4aS,7aR,12bS)-9-((tert-butoxycarbonyl)oxy)-4a-hydroxy-3-methyl-2,3,4,4a,5,7a-hexahydro-1H-4,12-methanobenzofuro[3,2-e]isoquinolin-7-yl 2-((tert-butoxycarbonyl)oxy)-2-phenylacetate (250 mg, 0.574 mmol) in methylene chloride (1 mL) was treated with trifluoroacetic acid (1 mL) and stirred under a nitrogen atmosphere at ambient temperature for 1 h. After this time, the reaction mixture was concentrated under reduced pressure. The residue was purified by reversed phase column chromatography (50 g C18 column, 0-100% acetonitrile/water) and freeze dried. The product was converted to the hydrochloride salt by dissolving in ethyl acetate and treating with an excess of a 4 M solution of hydrogen chloride in 1,4-dioxane. The resulting solid was collected by filtration to provide (S)-(4R,4aS,7aR,12bS)-4a,9-dihydroxy-3-methyl-2,3,4,4a,5,7a-hexahydro-1H-4,12-methanobenzofuro[3,2-e]isoquinolin-7-yl 2-hydroxy-2-phenylacetate hydrochloride (15 mg, 6%) as a white solid:1H NMR (300 MHz, DMSO-d6) δ 9.30 (s, 1H), 9.12 (br s, 1H), 7.50-7.47 (m, 2H), 7.42-7.31 (m, 3H), 6.68 (d, J=8.1 Hz, 1H), 6.62 (d, J=8.1 Hz, 1H), 6.26 (d, J=5.7 Hz, 1H), 6.24 (s, 1H), 5.48-5.45 (m, 1H), 5.27 (d, J=5.4 Hz, 1H), 4.87 (s, 1H), 3.61-3.60 (m, 1H), 3.40-3.34 (m, 1H), 3.07-3.01 (m, 2H), 2.82 (d, J=4.5 Hz, 3H), 2.64-2.57 (m, 1H), 2.43-2.38 (m, 1H), 2.28-2.18 (m, 1H), 2.09-2.03 (m, 1H), 1.62-1.58 (m, 1H); ESI MS m/z 436 [C25H25NO6+H]+.
Figure US10226456-20190312-C00843
Preparation of (S)-Methyl 2-((tert-butoxycarbonyl)oxy)propanoate
Figure US10226456-20190312-C00844
(S)-Methyl 2-hydroxypropanoate (5.01 g, 48.2 mmol), di-tert-butyl dicarbonate (11.63 g, 53.29 mmol), and zinc acetate (1.05 g, 4.78 mmol) were combined and heated at 55° C. under a nitrogen atmosphere for 48 h. After this time, the reaction mixture was cooled to room temperature. The mixture was diluted with water (50 mL) and extracted with methylene chloride (2×50 mL). The combined organics were washed with brine (50 mL), dried over sodium sulfate, filtered, and concentrated under reduced pressure to provide (S)-methyl 2-((tert-butoxycarbonyl)oxy)propanoate (8.03 g, 82%) as a colorless oil:1H NMR (500 MHz, CDCl3) δ 4.96 (q, J=7.0 Hz, 1H), 3.77 (s, 3H), 1.52 (d, J=6.5 Hz, 3H), 1.50 (s, 9H).
Preparation of (S)-2-((tert-Butoxycarbonyl)oxy)propanoic acid
Figure US10226456-20190312-C00845
A solution of (S)-methyl 2-((tert-butoxycarbonyl)oxy)propanoate (7.00 g, 34.3 mmol) in tetrahydrofuran (100 mL) and water (50 mL) was treated with lithium hydroxide hydrate (1.45 g, 34.5 mmol) and stirred at ambient temperature for 16 h. After this time, the volatiles were removed under reduced pressure. The aqueous mixture was diluted with water (50 mL) and extracted with diethyl ether (100 mL). The aqueous layer was cooled in an ice bath, acidified to pH ˜3 with 0.5 M hydrochloric acid, and extracted with diethyl ether (3×100 mL). The combined organics were dried over sodium sulfate, filtered, and concentrated under reduced pressure to provide of (S)-2-((tert-butoxycarbonyl)oxy)propanoic acid (2.83 g, 43%) as a white solid:1H NMR (500 MHz, CDCl3) δ 4.99 (q, J=7.0 Hz, 1H), 1.56 (d, J=7.5 Hz, 3H), 1.50 (s, 9H).
Preparation of (S)-2,5-Dioxopyrrolidin-1-yl 2-((tert-butoxycarbonyl)oxy)propanoate
Figure US10226456-20190312-C00846
A solution of (S)-2-((tert-butoxycarbonyl)oxy)propanoic acid (2.83 g, 14.9 mmol) in tetrahydrofuran (50 mL) was treated with N-hydroxysuccinimide (1.88 g, 16.3 mmol) and N,N′-dicyclohexylcarbodiimide (3.38 g, 16.4 mmol) and stirred under a nitrogen atmosphere for 3 h. After this time, the reaction mixture was filtered to remove the solid dicyclohexylurea byproduct. The solid was washed with diethyl ether (100 mL), and the combined filtrate and washings were concentrated under reduced pressure. The residue was triturated with diethyl ether to provide (S)-2,5-dioxopyrrolidin-1-yl 2-((tert-butoxycarbonyl)oxy)propanoate (3.54 g, 83%) as a white powder:1H NMR (500 MHz, CDCl3) δ 5.24 (q, J=7.0 Hz, 1H), 2.84 (s, 4H), 1.69 (d, J=7.0 Hz, 3H), 1.51 (s, 9H).
Preparation of tert-Butyl ((4R,4aS,7aR,12bS)-4a-hydroxy-3-methyl-7-oxo-2,3,4,4a,5,6,7,7a-octahydro-1H-4,12-methanobenzofuro[3,2-e]isoquinolin-9-yl) carbonate
Figure US10226456-20190312-C00847
A mixture of oxymorphone hydrochloride (10.0 g, 29.6 mmol), triethylamine (15.0 g, 148 mmol), and pyridine (2.34 g, 29.6 mmol) in tetrahydrofuran (100 mL) was treated with di-tert-butyl dicarbonate (12.9 g, 59.2 mmol) and stirred under nitrogen for 16 h. After this time, the reaction mixture was concentrated under reduced pressure. The crude residue was purified by column chromatography (330 g silica column, 20% methanol/methylene chloride) to provide tert-butyl ((4R,4aS,7aR,12bS)-4a-hydroxy-3-methyl-7-oxo-2,3,4,4a,5,6,7,7a-octahydro-1H-4,12-methanobenzofuro[3,2-e]isoquinolin-9-yl) carbonate (8.00 g, 67%) as a white solid: ESI MS m/z 402 [C22H27NO6+H]+.
Preparation of (S)-(4R,4aS,7aR,12bS)-9-((tert-Butoxycarbonyl)oxy)-4a-hydroxy-3-methyl-2,3,4,4a,5,7a-hexahydro-1H-4,12-methanobenzofuro[3,2-e]isoquinolin-7-yl 2-((tert-butoxycarbonyl)oxy)propanoate
Figure US10226456-20190312-C00848
A solution of tert-butyl ((4R,4aS,7aR,12bS)-4a-hydroxy-3-methyl-7-oxo-2,3,4,4a,5,6,7,7a-octahydro-1H-4,12-methanobenzofuro[3,2-e]isoquinolin-9-yl) carbonate (500 mg, 1.25 mmol) in tetrahydrofuran (10 mL) was cooled in an ice bath and treated dropwise with a 1.0 M solution of lithium bis(trimethylsilyl)amide in tetrahydrofuran (2.49 mL, 2.49 mmol). After 30 min, the mixture was treated dropwise with a solution of (S)-2,5-dioxopyrrolidin-1-yl 2-((tert-butoxycarbonyl)oxy)propanoate (716 mg, 2.49 mmol) in tetrahydrofuran (5 mL) and stirred at 0° C. for 1 h. After this time, the reaction mixture was poured into cold saturated aqueous ammonium chloride (10 mL) and extracted with ethyl acetate (2×25 mL). The combined organics were dried over sodium sulfate, filtered, and concentrated under reduced pressure. The crude residue was purified by reversed phase column chromatography (50 g C18 column, 10-100% acetonitrile/water) and freeze dried to provide (S)-(4R,4aS,7aR,12bS)-9-((tert-butoxycarbonyl)oxy)-4a-hydroxy-3-methyl-2,3,4,4a,5,7a-hexahydro-1H-4,12-methanobenzofuro[3,2-e]isoquinolin-7-yl 2-((tert-butoxycarbonyl)oxy)propanoate (199 mg, 28%) as a white solid:1H NMR (300 MHz, DMSO-d6) δ 6.88 (d, J=8.4 Hz, 1H), 6.72 (d, J=8.4 Hz, 1H), 5.58 (dd, J=5.7, 2.4 Hz, 1H), 4.99-4.92 (m, 2H), 4.78 (s, 1H), 3.15 (d, J=18.9 Hz, 1H), 2.87-2.86 (m, 1H), 2.73-2.62 (m, 1H), 2.49-2.41 (m, 1H), 2.32 (s, 3H), 2.29-2.23 (m, 1H), 2.12-1.95 (m, 2H), 1.47-1.22 (m, 23H); ESI MS m/z 574 [C30H39NO10+H]+.
Preparation of (S)-(4R,4aS,7aR,12bS)-4a,9-Dihydroxy-3-methyl-2,3,4,4a,5,7a-hexahydro-1H-4,12-methanobenzofuro[3,2-e]isoquinolin-7-yl 2-hydroxypropanoate trifluoroacetic acid salt
Figure US10226456-20190312-C00849
A solution of (S)-(4R,4aS,7aR,12bS)-9-((tert-butoxycarbonyl)oxy)-4a-hydroxy-3-methyl-2,3,4,4a,5,7a-hexahydro-1H-4,12-methanobenzofuro[3,2-e]isoquinolin-7-yl 2-((tert-butoxycarbonyl)oxy)propanoate (110 mg, 0.192 mmol) in methylene chloride (2 mL) was treated with trifluoroacetic acid (1 mL) and stirred under a nitrogen atmosphere at ambient temperature for 1 h. After this time, the reaction mixture was concentrated under reduced pressure. The residue was purified by column chromatography (24 g silica column, 0-20% methanol/ethyl acetate) to provide (S)-(4R,4aS,7aR,12bS)-4a,9-dihydroxy-3-methyl-2,3,4,4a,5,7a-hexahydro-1H-4,12-methanobenzofuro[3,2-e]isoquinolin-7-yl 2-hydroxypropanoate trifluoroacetic acid salt (9 mg, 10%) as an off-white solid:1H NMR (300 MHz, DMSO-d6) δ 9.29 (s, 1H), 9.19 (br s, 1H), 6.67 (d, J=8.1 Hz, 1H), 6.61 (d, J=8.1 Hz, 1H), 6.21 (br s, 1H), 5.60-5.53 (m, 2H), 4.94 (s, 1H), 4.30-4.25 (m, 1H), 3.57 (br s, 1H), 3.04-2.99 (m, 2H), 2.79 (s, 3H), 2.65-2.35 (m, 2H), 2.29-2.22 (m, 1H), 2.09-2.02 (m, 1H), 1.62-1.57 (m, 1H), 1.36 (d, J=6.9 Hz, 3H), one proton obscured by solvent peaks; ESI MS m/z 374 [C20H23NO6+H]+.
Figure US10226456-20190312-C00850
Preparation 2,5-Dioxopyrrolidin-1-yl oleate
Figure US10226456-20190312-C00851
A solution of oleic acid (1.00 g, 3.54 mmol) and N-hydroxysuccinimide (407 mg, 3.54 mmol) in tetrahydrofuran (10 mL) was treated dropwise with a solution of N,N′-dicyclohexylcarbodiimide (730 mg, 3.54 mmol) in tetrahydrofuran (10 mL). The mixture was heated at 50° C. under a nitrogen atmosphere for 2 h. After this time, the reaction mixture was cooled to room temperature and filtered to remove the solid dicyclohexylurea byproduct. The filtrate was concentrated under reduced pressure and dried under vacuum overnight to provide 2,5-dioxopyrrolidin-1-yl oleate (3.54 g, 83%) as a white semi-solid:1H NMR (300 MHz, DMSO-d6) δ 5.32 (m, 2H), 2.81 (s, 4H), 2.65 (t, J=7.2 Hz, 2H), 1.99-1.95 (m, 4H), 1.63-1.95 (m, 3H), 1.24-1.18 (m, 19H), 0.85 (t, J=6.3 Hz, 3H).
Preparation of (4R,4aS,7aR,12bS)-9-((tert-Butoxycarbonyl)oxy)-4a-hydroxy-3-methyl-2,3,4,4a,5,7a-hexahydro-1H-4,12-methanobenzofuro[3,2-e]isoquinolin-7-yl oleate
Figure US10226456-20190312-C00852
A solution of tert-butyl ((4R,4aS,7aR,12bS)-4a-hydroxy-3-methyl-7-oxo-2,3,4,4a,5,6,7,7a-octahydro-1H-4,12-methanobenzofuro[3,2-e]isoquinolin-9-yl) carbonate (300 mg, 0.747 mmol) in tetrahydrofuran (10 mL) was cooled in an ice bath and treated dropwise with a 1.0 M solution of lithium bis(trimethylsilyl)amide in tetrahydrofuran (2.24 mL, 2.24 mmol). After 30 min, the mixture was treated dropwise with a solution of 2,5-dioxopyrrolidin-1-yl oleate (312 mg, 0.821 mmol) in tetrahydrofuran (5 mL) and stirred at 0° C. for 1 h. After this time, the reaction mixture was poured into cold saturated aqueous ammonium chloride (10 mL) and extracted with ethyl acetate (2×25 mL). The combined organics were dried over sodium sulfate, filtered, and concentrated under reduced pressure. The crude residue was purified by reversed phase column chromatography (50 g C18 column, 10-100% acetonitrile/water) and freeze dried to provide (4R,4aS,7aR,12bS)-9-((tert-Butoxycarbonyl)oxy)-4a-hydroxy-3-methyl-2,3,4,4a,5,7a-hexahydro-1H-4,12-methanobenzofuro[3,2-e]isoquinolin-7-yl oleate (50 mg, 10%) as a white solid: ESI LC/MS m/z 666 [C40H59NO7+H]+.
Preparation of (4R,4aS,7aR,12bS)-4a,9-Dihydroxy-3-methyl-2,3,4,4a,5,7a-hexahydro-1H-4,12-methanobenzofuro[3,2-e]isoquinolin-7-yl oleate trifluoroacetic acid salt
Figure US10226456-20190312-C00853
A solution of (4R,4aS,7aR,12bS)-9-((tert-butoxycarbonyl)oxy)-4a-hydroxy-3-methyl-2,3,4,4a,5,7a-hexahydro-1H-4,12-methanobenzofuro[3,2-e]isoquinolin-7-yl oleate (50 mg, 0.075 mmol) in methylene chloride (1 mL) was treated with trifluoroacetic acid (0.5 mL) and stirred under a nitrogen atmosphere at ambient temperature for 75 min. After this time, the reaction mixture was concentrated under reduced pressure. The residue was dissolved in acetonitrile/water and freeze-dried to provide (4R,4aS,7aR,12bS)-4a,9-dihydroxy-3-methyl-2,3,4,4a,5,7a-hexahydro-1H-4,12-methanobenzofuro[3,2-e]isoquinolin-7-yl oleate trifluoroacetic acid salt (61 mg, quantitative) as an off-white, sticky solid:1H NMR (300 MHz, DMSO-d6) δ 9.29 (s, 1H), 9.15 (br s, 1H), 6.67 (d, J=8.1 Hz, 1H), 6.62 (d, J=8.1 Hz, 1H), 6.22 (s, 1H), 5.51-5.49 (m, 1H), 5.34-5.31 (m, 2H), 4.95 (s, 1H), 3.62-3.60 (m, 1H), 3.37 (d, J=19.8 Hz, 1H), 3.11-3.02 (m, 2H), 2.84 (d, J=4.8 Hz, 3H), 2.78-2.56 (m, 1H), 2.45-2.40 (m, 3H), 3.37 (dd, J=18.0, 6.0 Hz, 1H), 2.08-1.98 (m, 5H), 1.63-1.52 (m, 3H), 1.28-1.24 (br m, 20H), 0.85 (t, J=6.3 Hz, 3H); ESI MS m/z 566 [C35H51NO5+H]+.
Figure US10226456-20190312-C00854
Preparation 2,5-Dioxopyrrolidin-1-yl stearate
Figure US10226456-20190312-C00855
A solution of stearic acid (1.00 g, 3.52 mmol) and N-hydroxysuccinimide (405 mg, 3.52 mmol) in tetrahydrofuran (15 mL) was treated dropwise with a solution of N,N′-dicyclohexylcarbodiimide (725 mg, 3.52 mmol) in tetrahydrofuran (10 mL). The mixture was heated at 50° C. under a nitrogen atmosphere for 2 h. After this time, the reaction mixture was cooled to room temperature and filtered to remove the solid dicyclohexylurea byproduct. The filtrate was concentrated under reduced pressure and dried under vacuum overnight to provide 2,5-dioxopyrrolidin-1-yl stearate (1.45 g) as a white solid:1H NMR (300 MHz, CDCl3) δ 2.84 (s, 4H), 2.60 (t, J=7.5 Hz, 2H), 1.79-1.08 (m, 30H), 0.88 (t, J=6.6 Hz, 3H).
Preparation of (4R,4aS,7aR,12bS)-9-((tert-Butoxycarbonyl)oxy)-4a-hydroxy-3-methyl-2,3,4,4a,5,7a-hexahydro-1H-4,12-methanobenzofuro[3,2-e]isoquinolin-7-yl stearate
Figure US10226456-20190312-C00856
A solution of tert-butyl ((4R,4aS,7aR,12bS)-4a-hydroxy-3-methyl-7-oxo-2,3,4,4a,5,6,7,7a-octahydro-1H-4,12-methanobenzofuro[3,2-e]isoquinolin-9-yl) carbonate (300 mg, 0.748 mmol) in tetrahydrofuran (10 mL) was cooled in an ice bath and treated dropwise with a 1.0 M solution of lithium bis(trimethylsilyl)amide in tetrahydrofuran (1.90 mL, 1.90 mmol). After 30 min, the mixture was treated dropwise with a solution of 2,5-dioxopyrrolidin-1-yl stearate (314 mg, 0.822 mmol) in tetrahydrofuran (5 mL) and stirred at 0° C. for 1 h. After this time, the reaction mixture was poured into cold saturated aqueous ammonium chloride (10 mL) and extracted with ethyl acetate (2×25 mL). The combined organics were dried over sodium sulfate, filtered, and concentrated under reduced pressure. The crude residue was purified by reversed phase column chromatography (50 g C18 column, 10-100% acetonitrile/water) and freeze dried to provide (4R,4aS,7aR,12bS)-9-((tert-Butoxycarbonyl)oxy)-4a-hydroxy-3-methyl-2,3,4,4a,5,7a-hexahydro-1H-4,12-methanobenzofuro[3,2-e]isoquinolin-7-yl stearate (42 mg, 8%) as a white solid: ESI LC/MS m/z 668 [C40H61NO7+H]+.
Preparation of (4R,4aS,7aR,12bS)-4a,9-Dihydroxy-3-methyl-2,3,4,4a,5,7a-hexahydro-1H-4,12-methanobenzofuro[3,2-e]isoquinolin-7-yl stearate trifluoroacetic acid salt
Figure US10226456-20190312-C00857
A solution of (4R,4aS,7aR,12bS)-9-((tert-butoxycarbonyl)oxy)-4a-hydroxy-3-methyl-2,3,4,4a,5,7a-hexahydro-1H-4,12-methanobenzofuro[3,2-e]isoquinolin-7-yl stearate (42 mg, 0.063 mmol) in methylene chloride (1 mL) was treated with trifluoroacetic acid (0.5 mL) and stirred under a nitrogen atmosphere at ambient temperature for 45 min. After this time, the reaction mixture was concentrated under reduced pressure. The residue was dissolved in acetonitrile/water and freeze-dried to provide (4R,4aS,7aR,12bS)-4a,9-dihydroxy-3-methyl-2,3,4,4a,5,7a-hexahydro-1H-4,12-methanobenzofuro[3,2-e]isoquinolin-7-yl stearate trifluoroacetic acid salt (41 mg, 92%) as a white solid:1H NMR (300 MHz, DMSO-d6) δ 9.28 (s, 1H), 9.14 (br s, 1H), 6.67 (d, J=8.1 Hz, 1H), 6.61 (d, J=8.1 Hz, 1H), 6.21 (s, 1H), 5.52-5.49 (m, 1H), 4.95 (s, 1H), 3.62-3.60 (m, 1H), 3.41-3.33 (m, 1H), 3.11-3.02 (m, 2H), 2.84 (d, J=4.8 Hz, 3H), 2.73-2.63 (m, 1H), 2.45-2.40 (m, 3H), 2.30-2.22 (m, 1H), 2.08-2.03 (m, 1H), 1.63-1.54 (m, 3H), 1.33-1.24 (br m, 28H), 0.85 (t, J=6.3 Hz, 3H); ESI MS m/z 568 [C35H53NO5+H]+.
Figure US10226456-20190312-C00858
Preparation of (S)-2-(2,2-Dimethyl-5-oxo-1,3-dioxolan-4-yl)acetic acid
Figure US10226456-20190312-C00859
A solution of (S)-2-hydroxysuccinic acid (25.0 g, 186 mmol) and 2-methoxypropene (71.4 mL, 746 mmol) in acetone (400 mL) at 0° C. was slowly treated with pyridinium p-toluenesulfonate (4.68 g, 18.6 mmol). The reaction mixture was warmed to ambient temperature then heated at 35° C. for overnight. After this time, the volatiles were removed under reduced pressure. The residue was triturated in heptane/ethyl acetate (150 mL, 1:1) and filtered. The filtrate was diluted with ethyl acetate (300 mL) and washed with water (150 mL). The organic layer was dried over sodium sulfate, filtered and concentrated at reduced pressure to give (S)-2-(2,2-dimethyl-5-oxo-1,3-dioxolan-4-yl)acetic acid (27.9 g, 86%) as a light brown solid:1H NMR (500 MHz, CDCl3) δ 4.72 (apparent t, J=3.5 Hz, 1H), 3.00 (dd, J=17.0, 3.5 Hz, 1H), 2.56 (dd, J=17.0, 6.5 Hz, 1H), 1.57 (s, 3H), 1.50 (s, 3H).
Preparation of (S)-2,5-Dioxopyrrolidin-1-yl 2-(2,2-dimethyl-5-oxo-1,3-dioxolan-4-yl)aceate
Figure US10226456-20190312-C00860
The combined organics were washed with brine (50 mL), dried over sodium sulfate, filtered, and concentrated under reduced pressure to provide (S)-methyl 2-((tert-butoxycarbonyl)oxy)propanoate (18.5 g, quantitative) as a colorless oil:1H NMR (300 MHz, DMSO-d6) δ 4.98 (apparent t, J=4.5 Hz, 1H), 3.34-3.32 (m, 2H), 2.81 (s, 4H), 1.55 (s, 3H), 1.53 (s, 3H).
Preparation of (4R,4aS,7aR,12bS)-9-((tert-Butoxycarbonyl)oxy)-4a-hydroxy-3-methyl-2,3,4,4a,5,7a-hexahydro-1H-4,12-methanobenzofuro[3,2-e]isoquinolin-7-yl 2-((S)-2,2-dimethyl-5-oxo-1,3-dioxolan-4-yl)acetate and (S)-(4R,4aS,7aR,12bS)-9-((tert-Butoxycarbonyl)oxy)-3-methyl-2,3,4,4a,5,7a-hexahydro-1H-4,12-methanobenzofuro[3,2-e]isoquinoline-4a,7-diyl bis(2-((S)-2,2-dimethyl-5-oxo-1,3-dioxolan-4-yl)acetate)
Figure US10226456-20190312-C00861
A solution of tert-butyl ((4R,4aS,7aR,12bS)-4a-hydroxy-3-methyl-7-oxo-2,3,4,4a,5,6,7,7a-octahydro-1H-4,12-methanobenzofuro[3,2-e]isoquinolin-9-yl) carbonate (1.00 g, 2.49 mmol) in tetrahydrofuran (15 mL) was cooled to 0° C. and treated dropwise with a 1.0 M solution of lithium bis(trimethylsilyl)amidein tetrahydrofuran (2.75 mL, 2.75 mmol). After addition was complete, the mixture was stirred at 0° C. for 25 min and then at ambient temperature for 25 min. The mixture was re-cooled to −78° C. and (S)-2,5-dioxopyrrolidin-1-yl 2-(2,2-dimethyl-5-oxo-1,3-dioxolan-4-yl)acetate (900 mg, 3.32 mmol) was added. The mixture was allowed to warm to 0° C. over 2 h. After this time, the mixture was treated with saturated aqueous ammonium chloride, and extracted with ethyl acetate. The combined organics were dried over sodium sulfate, filtered, and concentrated under reduced pressure. The residue was purified by reversed phase column chromatography (150 g C18 column, 5-100% acetonitrile/water) to provide (4R,4aS,7aR,12bS)-9-((tert-butoxycarbonyl)oxy)-4a-hydroxy-3-methyl-2,3,4,4a,5,7a-hexahydro-1H-4,12-methanobenzofuro[3,2-e]isoquinolin-7-yl 2-((S)-2,2-dimethyl-5-oxo-1,3-dioxolan-4-yl)acetate (425 mg, 31%): ESI MS m/z 558 [C29H35NO10+H]+ and (S)-(4R,4aS,7aR,12bS)-9-((tert-butoxycarbonyl)oxy)-3-methyl-2,3,4,4a,5,7a-hexahydro-1H-4,12-methanobenzofuro[3,2-e]isoquinoline-4a,7-diyl bis(2-((S)-2,2-dimethyl-5-oxo-1,3-dioxolan-4-yl)acetate) (197 mg, 11%): ESI MS m/z 714 [C36H43NO14+H]+.
Preparation of (S)-4-(((4R,4aS,7aR,12bS)-4a,9-Dihydroxy-3-methyl-2,3,4,4a,5,7a-hexahydro-1H-4,12-methanobenzofuro[3,2-e]isoquinolin-7-yl)oxy)-2-hydroxy-4-oxobutanoic acid trifluoroacetic acid salt
Figure US10226456-20190312-C00862
A solution of (4R,4aS,7aR,12bS)-9-((tert-butoxycarbonyl)oxy)-4a-hydroxy-3-methyl-2,3,4,4a,5,7a-hexahydro-1H-4,12-methanobenzofuro[3,2-e]isoquinolin-7-yl 2-((S)-2,2-dimethyl-5-oxo-1,3-dioxolan-4-yl)acetate (100 mg, 0.18 mmol) in 1,4-dioxane (2.5 mL) and water (0.1 mL) was treated with hydrogen chloride (4N in 1,4-dioxane, 0.4 mL, 1.6 mmol) and stirred at ambient temperature for 2.5 h. After this time, the reaction mixture was concentrated under reduced pressure. The residue was purified by reversed phase column chromatography (15.5 g C18 column, 3-25% acetonitrile/water, with 0.1% trifluoracetic acid) and freeze dried to provide (S)-4-(((4R,4aS,7aR,12bS)-4a,9-dihydroxy-3-methyl-2,3,4,4a,5,7a-hexahydro-1H-4,12-methanobenzofuro[3,2-e]isoquinolin-7-yl)oxy)-2-hydroxy-4-oxobutanoic acid trifluoroacetic acid salt (50 mg, 46%):1H NMR (300 MHz, DMSO-d6) δ 12.7 (br s, 1H), 9.32 (s, 1H), 9.16 (s, 1H), 6.67 (d, J=8.1 Hz, 1H), 6.62 (d, J=8.1 Hz, 1H), 6.24 (s, 1H), 5.52 (dd, J=5.9, 1.9 Hz, 1H), 4.95 (s, 1H), 4.35 (dd, J=7.4, 5.0 Hz, 1H), 3.61 (d, J=8.4 Hz, 1H), 3.13-3.00 (m, 2H), 2.90-2.80 (m, 4H), 2.74-2.59 (m, 2H), 2.50-2.40 (m, 1H), 2.27 (dd, J=17.9, 6.1 Hz, 1H), 2.05 (d, J=17.9 Hz, 1H), 1.62 (d, J=10.9 Hz, 1H), one proton obscured by solvent peaks; ESI MS m/z 418 [C21H23NO8+H]+; HPLC (Method A) 98.4% (AUC), tR=6.13 min.
Figure US10226456-20190312-C00863
Preparation (4R,4aS,7aR,12bS)-9-((tert-Butyldimethylsilyl)oxy)-4a-hydroxy-3-methyl-2,3,4,4a,5,6-hexahydro-1H-4,12-methanobenzofuro[3,2-e]isoquinolin-7(7aH)-one
Figure US10226456-20190312-C00864
A solution of (4R,4aS,7aR,12bS)-4a,9-dihydroxy-3-methyl-2,3,4,4a,5,6-hexahydro-1H-4,12-methanobenzofuro[3,2-e]isoquinolin-7(7aH)-one hydrochloride (10.0 g, 29.6 mmol) in N,N-dimethylformamide (15 mL) was treated with imidazole (11.0 g, 163 mmol) and tert-butyldimethylsilyl chloride (11.0 g, 74.0 mmol) at room temperature. After 30 min, the mixture was partitioned between diethyl ether and water. The organic phase was separated and the aqueous phase was extracted with diethyl ether. The combined organics were dried over sodium sulfate, filtered, and concentrated under reduced pressure. The crude residue was purified by recrystallization in ethanol to provide (4R,4aS,7aR,12bS)-9-((tert-butyldimethylsilyl)oxy)-4a-hydroxy-3-methyl-2,3,4,4a,5,6-hexahydro-1H-4,12-methanobenzofuro[3,2-e]isoquinolin-7(7aH)-one (9.81 g, 79%) as a white solid: ESI MS m/z 416 [C23H33NO4Si+H]+.
Preparation of (S)-(4R,4aS,7aR,12bS)-9-((tert-Butyldimethylsilyl)oxy)-4a-hydroxy-3-methyl-2,3,4,4a,5,7a-hexahydro-1H-4,12-methanobenzofuro[3,2-e]isoquinolin-7-yl 2-((tert-butoxycarbonyl)amino)propanoate
Figure US10226456-20190312-C00865
A suspension of tert-butyl ((4R,4aS,7aR,12bS)-4a-hydroxy-3-methyl-7-oxo-2,3,4,4a,5,6,7,7a-octahydro-1H-4,12-methanobenzofuro[3,2-e]isoquinolin-9-yl) carbonate (5.09 g, 12.2 mmol) in tetrahydrofuran (60 mL) was cooled in an ice bath and treated dropwise with a 1.0 M solution of lithium bis(trimethylsilyl)amide in tetrahydrofuran (24.5 mL, 24.5 mmol). After 30 min, the mixture was treated dropwise with a solution of (S)-2,5-dioxopyrrolidin-1-yl 2-((tert-butoxycarbonyl)amino)propanoate (7.00 g, 24.5 mmol) in tetrahydrofuran (25 mL) and stirred at 0° C. for 16 h. After this time, the reaction mixture was poured into cold saturated aqueous ammonium chloride and extracted with ethyl acetate. The combined organics were washed with saturated aqueous sodium bicarbonate and brine, dried over sodium sulfate, filtered, and concentrated under reduced pressure. The crude residue was purified by reversed phase column chromatography (50 g C18 column, 0-100% acetonitrile/water) and freeze dried to provide (S)-(4R,4aS,7aR,12bS)-9-((tert-butyldimethylsilyl)oxy)-4a-hydroxy-3-methyl-2,3,4,4a,5,7a-hexahydro-1H-4,12-methanobenzofuro[3,2-e]isoquinolin-7-yl 2-((tert-butoxycarbonyl)amino)propanoate (3.52 g, 49%): ESI MS m/z 587 [C31H46N2O7Si+H]+.
Preparation of (S)-(4R,4aS,7aR,12bS)-9-((tert-Butyldimethylsilyl)oxy)-4a-hydroxy-3-methyl-2,3,4,4a,5,7a-hexahydro-1H-4,12-methanobenzofuro[3,2-e]isoquinolin-7-yl 2-((S)-2-((tert-butoxycarbonyl)oxy)propanamido)propanoate
Figure US10226456-20190312-C00866
A solution (S)-(4R,4aS,7aR,12bS)-9-((tert-butyldimethylsilyl)oxy)-4a-hydroxy-3-methyl-2,3,4,4a,5,7a-hexahydro-1H-4,12-methanobenzofuro[3,2-e]isoquinolin-7-yl 2-((tert-butoxycarbonyl)amino)propanoate (300 mg, 0.51 mmol), in methylene chloride (5 mL) was treated with trifluoroacetic acid (1.5 mL) and the mixture was stirred at room temperature for 1 h. After this time, N,N-diisopropylethylamine was added slowly until the reaction mixture tested basic by pH paper analysis. The mixture was treated with a solution of (S)-2,5-dioxopyrrolidin-1-yl 2-((tert-butoxycarbonyl)amino)propanoate (220 mg, 0.76 mmol) in methylene chloride (1.5 mL) and stirred at room temperature for 1 h. After this time, the mixture was concentrated under reduced pressure. The residue was diluted with ethyl acetate and washed with 10% citric acid, saturated aqueous sodium bicarbonate, and brine. The organic extracts were dried over sodium sulfate, filtered and concentrated to provide (S)-(4R,4aS,7aR,12bS)-9-((tert-butyldimethylsilyl)oxy)-4a-hydroxy-3-methyl-2,3,4,4a,5,7a-hexahydro-1H-4,12-methanobenzofuro[3,2-e]isoquinolin-7-yl 2-((S)-2-((tert-butoxycarbonyl)oxy)propanamido)propanoate (330 mg, 98%): ESI MS m/z 659 [C34H50N2O9Si+H]+.
Preparation of (S)-(4R,4aS,7aR,12bS)-4a,9-Dihydroxy-3-methyl-2,3,4,4a,5,7a-hexahydro-1H-4,12-methanobenzofuro[3,2-e]isoquinolin-7-yl 2-((S)-2-hydroxypropanamido)propanoate trifluoroacetic acid salt
Figure US10226456-20190312-C00867
A solution of (S)-(4R,4aS,7aR,12bS)-9-((tert-butyldimethylsilyl)oxy)-4a-hydroxy-3-methyl-2,3,4,4a,5,7a-hexahydro-1H-4,12-methanobenzofuro[3,2-e]isoquinolin-7-yl 2-((S)-2-((tert-butoxycarbonyl)oxy)propanamido)propanoate (150 mg) in methylene chloride (1 mL) was treated with trifluoroacetic acid (0.5 mL) and stirred at ambient temperature for 30 min. After this time, the reaction mixture was concentrated under reduced pressure. The residue was dissolved in water (3 mL), treated with trifluoroacetic acid (0.5 mL) for 1 h and then freeze dried. The crude product was purified by reversed phase column chromatography (15.5 g C18 column, 5-100% acetonitrile/water) and freeze dried to provide (S)-(4R,4aS,7aR,12bS)-4a,9-dihydroxy-3-methyl-2,3,4,4a,5,7a-hexahydro-1H-4,12-methanobenzofuro[3,2-e]isoquinolin-7-yl 2-((S)-2-hydroxypropanamido)propanoate trifluoroacetic acid salt (31 mg, 24%):1H NMR (300 MHz, DMSO-d6) δ 9.28 (s, 1H), 9.16 (br s, 1H), 8.10 (d, J=7.1 Hz, 1H), 6.68 (d, J=8.1 Hz, 1H), 6.62 (d, J=8.1 Hz, 1H), 6.24 (s, 1H), 5.57-5.49 (m, 2H), 4.96 (s, 1H), 4.41-4.31 (m, 1H), 4.06-4.97 (m, 1H), 3.61 (d, J=6.1 Hz, 1H), 3.36 (d, partially obscured by solvent peak, 1H), 3.11-3.01 (m, 2H), 2.84 (apparent d, J=3.9 Hz, 3H), 2.69-2.60 (m, 1H), 2.43 (dd, J=13.1, 5.0 Hz, 1H), 2.27 (dd, J=18.0, 6.0 Hz, 1H), 2.05 (d, J=18.0 Hz, 1H), 1.62 (d, J=10.7 Hz, 1H), 1.41 (d, J=7.2 Hz, 3H), 1.22 (d, J=6.8 Hz, 3H); ESI MS m/z 445 [C23H28N2O7+H]+; HPLC (Method B) 97.7% (AUC), tR=11.6 min.
Figure US10226456-20190312-C00868
Preparation of (S)-(4R,4aS,7aR,12bS)-9-((tert-Butyldimethylsilyl)oxy)-4a-hydroxy-3-methyl-2,3,4,4a,5,7a-hexahydro-1H-4,12-methanobenzofuro[3,2-e]isoquinolin-7-yl 2-(2-((S)-2,2-dimethyl-5-oxo-1,3-dioxolan-4-yl)acetamido)propanoate
Figure US10226456-20190312-C00869
A solution (S)-(4R,4aS,7aR,12bS)-9-((tert-butyldimethylsilyl)oxy)-4a-hydroxy-3-methyl-2,3,4,4a,5,7a-hexahydro-1H-4,12-methanobenzofuro[3,2-e]isoquinolin-7-yl 2-((tert-butoxycarbonyl)amino)propanoate (300 mg, 0.51 mmol), in methylene chloride (5 mL) was treated with trifluoroacetic acid (1.5 mL) and the mixture was stirred at room temperature for 1 h. After this time, N,N-diisopropylethylamine was added slowly until the reaction mixture tested basic by pH paper analysis. The mixture was treated with a solution of (S)-2,5-dioxopyrrolidin-1-yl 2-(2,2-dimethyl-5-oxo-1,3-dioxolan-4-yl)acetate (208 mg, 0.77 mmol) in methylene chloride (1.5 mL) and stirred at room temperature for 1 h. After this time, the mixture was concentrated under reduced pressure. The residue was diluted with ethyl acetate and washed with 10% citric acid, saturated aqueous sodium bicarbonate, and brine, dried over sodium sulfate, filtered and concentrated. The crude product was purified by column chromatography (12 g silica, 0-100% ethyl acetate/methylene chloride) to provide (S)-(4R,4aS,7aR,12bS)-9-((tert-butyldimethylsilyl)oxy)-4a-hydroxy-3-methyl-2,3,4,4a,5,7a-hexahydro-1H-4,12-methanobenzofuro[3,2-e]isoquinolin-7-yl 2-(2-((S)-2,2-dimethyl-5-oxo-1,3-dioxolan-4-yl)acetamido)propanoate (184 mg, 56%): ESI MS m/z 643 [C33H46N2O9Si+H]+.
Preparation of (S)-4-(((S)-1-(((4R,4aS,7aR,12bS)-4a,9-Dihydroxy-3-methyl-2,3,4,4a,5,7a-hexahydro-1H-4,12-methanobenzofuro[3,2-e]isoquinolin-7-yl)oxy)-1-oxopropan-2-yl)amino)-2-hydroxy-4-oxobutanoic acid
Figure US10226456-20190312-C00870
A mixture of (S)-(4R,4aS,7aR,12bS)-9-((tert-butyldimethylsilyl)oxy)-4a-hydroxy-3-methyl-2,3,4,4a,5,7a-hexahydro-1H-4,12-methanobenzofuro[3,2-e]isoquinolin-7-yl 2-(2-((S)-2,2-dimethyl-5-oxo-1,3-dioxolan-4-yl)acetamido)propanoate (183 mg, 0.285 mmol), trifluoroacetic acid (0.8 mL), water (0.8 mL) and methylene chloride (0.8 mL) was vigorously stirred at ambient temperature for 2 h. After this time, the reaction mixture was concentrated under reduced pressure. The residue was purified by reversed phase column chromatography (50 g C18 column, 5-30% acetonitrile/water) and freeze dried to provide (S)-4-(((S)-1-(((4R,4aS,7aR,12bS)-4a,9-dihydroxy-3-methyl-2,3,4,4a,5,7a-hexahydro-1H-4,12-methanobenzofuro[3,2-e]isoquinolin-7-yl)oxy)-1-oxopropan-2-yl)amino)-2-hydroxy-4-oxobutanoic acid (33 mg, 24%):1H NMR (300 MHz, DMSO-d6) δ 8.54 (d, J=6.8 Hz, 1H), 6.58 (d, J=8.1 Hz, 1H), 6.53 (d, J=8.1 Hz, 1H), 5.51 (dd, J=5.6, 2.5 Hz, 1H), 4.83 (s, 1H), 4.37-4.27 (m, 1H), 4.22 (dd, J=8.4, 4.3 Hz, 1H), 3.10 (d, J=18.9 Hz, 1H), 2.93 (d, J=5.6 Hz, 1H), 2.64 (dd, J=18.9, 5.9 Hz, 1H), 2.48-2.40 (m, 2H), 2.39 (s, 3H), 2.34-1.93 (m, 5H), 1.45-1.33 (m, 4H), CO2H and three OH protons not observed; ESI MS m/z 489 [C24H28N2O9+H]+; HPLC (Method B) 95.3% (AUC), tR=10.96 min.
Figure US10226456-20190312-C00871
Preparation of (R)-Methyl 2-((tert-butoxycarbonyl)oxy)-2-phenylacetate
Figure US10226456-20190312-C00872
(R)-Methyl 2-hydroxy-2-phenylacetate (20.0 g, 120 mmol), di-tert-butyl dicarbonate (34.1 g, 156 mmol), and zinc acetate (3.96 g, 18.0 mmol) were combined and heated at 55° C. overnight under a nitrogen atmosphere. After this time, the reaction mixture was cooled to room temperature. The mixture was diluted with water (300 mL) and extracted with methylene chloride (3×150 mL). The combined organics were washed with brine (150 mL), dried over sodium sulfate, filtered, and concentrated under reduced pressure to provide (R)-methyl 2-((tert-butoxycarbonyl)oxy)-2-phenylacetate (31.4 g, 98%) as a colorless oil:1H NMR (500 MHz, CDCl3) δ 7.49-7.46 (m, 2H), 7.40-7.36 (m, 3H), 5.80 (s, 1H), 3.74 (s, 3H), 1.51 (s, 9H).
Preparation of (R)-2-((tert-Butoxycarbonyl)oxy)-2-phenylacetic acid
Figure US10226456-20190312-C00873
A solution of (R)-methyl 2-((tert-butoxycarbonyl)oxy)-2-phenylacetate (30.0 g, 110 mmol) in a mixture of tetrahydrofuran (300 mL) and water (150 mL) was treated with lithium hydroxide hydrate (9.45 g, 220 mmol) and stirred at ambient temperature for 3 h. After this time, the volatiles were removed under reduced pressure. The aqueous mixture was diluted with water (50 mL) and extracted with diethyl ether (150 mL). The aqueous layer was cooled in an ice bath, acidified to pH ˜3 with 1.0 M hydrochloric acid, and extracted with ethyl acetate (3×150 mL). The combined organics were dried over sodium sulfate, filtered, and concentrated under reduced pressure to provide (R)-2-((tert-butoxycarbonyl)oxy)-2-phenylacetic acid (16.8 g, 61%) as a white solid:1H NMR (300 MHz, CDCl3) δ 7.51-7.44 (m, 2H), 7.41-7.36 (m, 3H), 5.25 (s, 1H), 1.51 (s, 9H), CO2H proton not observed.
Preparation of (R)-2,5-Dioxopyrrolidin-1-yl 2-((tert-butoxycarbonyl)oxy)-2-phenylacetate
Figure US10226456-20190312-C00874
A solution of (R)-2-((tert-butoxycarbonyl)oxy)-2-phenylacetic acid (7.78 g, 30.8 mmol) in tetrahydrofuran (110 mL) was treated with N-hydroxysuccinimide (3.90 g, 34.0 mmol) and N,N′-dicyclohexylcarbodiimide (7.00 g, 34.0 mmol) and stirred under a nitrogen atmosphere for 3 h. After this time, the reaction mixture was filtered to remove the solid dicyclohexylurea byproduct. The solid was washed with diethyl ether (100 mL), and the combined filtrate and washings were concentrated under reduced pressure. The residue was triturated with diethyl ether to provide (R)-2,5-dioxopyrrolidin-1-yl 2-((tert-butoxycarbonyl)oxy)-2-phenylacetate (8.50 g, 79%) as a white solid:1H NMR (300 MHz, CDCl3) δ 7.57-7.55 (m, 2H), 7.44-7.42 (m, 3H), 6.15 (s, 1H), 2.80 (m, 4H), 1.52 (s, 9H).
Preparation of (R)-(4R,4aS,7aR,12bS)-4a-Hydroxy-9-methoxy-3-methyl-2,3,4,4a,5,7a-hexahydro-1H-4,12-methanobenzofuro[3,2-e]isoquinolin-7-yl 2-((tert-butoxycarbonyl)oxy)-2-phenylacetate
Figure US10226456-20190312-C00875
A suspension of oxycodone (0.500 g, 1.24 mmol) in tetrahydrofuran (10 mL) was cooled in an ice bath and treated dropwise with a 1.0 M solution of lithium bis(trimethylsilyl)amide in tetrahydrofuran (1.50 mL, 1.50 mmol). The mixture was stirred at 0° C. for 15 min and then treated dropwise with a solution of (S)-2,5-dioxopyrrolidin-1-yl 2-((tert-butoxycarbonyl)oxy)-2-phenylacetate (0.522 g, 1.49 mmol) in tetrahydrofuran (10 mL). The mixture was stirred at 0° C. for 1 h. After this time, the reaction mixture was treated with saturated aqueous ammonium chloride (50 mL) and extracted with ethyl acetate (3×75 mL). The combined organics were dried over sodium sulfate, filtered, and concentrated under reduced pressure. The crude residue was purified by column chromatography (silica gel, 0-6% methanol/methylene chloride) to provide (R)-(4R,4aS,7aR,12bS)-4a-Hydroxy-9-methoxy-3-methyl-2,3,4,4a,5,7a-hexahydro-1H-4,12-methanobenzofuro[3,2-e]isoquinolin-7-yl 2-((tert-butoxycarbonyl)oxy)-2-phenylacetate (0.290 g, 37%) as a colorless oil: ESI MS m/z 636 [C35H41NO10+H]+.
Preparation of (R)-(4R,4aS,7aR,12bS)-4a,9-Dihydroxy-3-methyl-2,3,4,4a,5,7a-hexahydro-1H-4,12-methanobenzofuro[3,2-e]isoquinolin-7-yl 2-hydroxy-2-phenylacetate trifluoroacetic acid salt
Figure US10226456-20190312-C00876
A solution of (R)-(4R,4aS,7aR,12bS)-4a-hydroxy-9-methoxy-3-methyl-2,3,4,4a,5,7a-hexahydro-1H-4,12-methanobenzofuro[3,2-e]isoquinolin-7-yl 2-((tert-butoxycarbonyl)oxy)-2-phenylacetate (0.100 g, 0.157 mmol) in methylene chloride (4 mL) was treated with trifluoroacetic acid (2 mL) and stirred under a nitrogen atmosphere at ambient temperature for 1 h. After this time, the reaction mixture was concentrated under reduced pressure. The residue was triturated with diethyl ether and then freeze dried from water to give (R)-(4R,4aS,7aR,12bS)-4a,9-dihydroxy-3-methyl-2,3,4,4a,5,7a-hexahydro-1H-4,12-methanobenzofuro[3,2-e]isoquinolin-7-yl 2-hydroxy-2-phenylacetate trifluoroacetic acid salt (0.066 g, 96%) as a white powder:1H NMR (300 MHz, DMSO-d6) δ 9.34 (s, 1H), 9.14 (br s, 1H), 7.50-7.41 9 m, 2H), 7.40-7.30 9 m, 3H), 6.68 (d, J=8.1 Hz, 1H), 6.61 (d, J=8.1 Hz, 1H), 6.25 (d, J=5.4 Hz 1H), 6.21 (s, 1H), 5.32 (dd, J=23.7, 3.9 Hz, 1H), 4.97 (s, 1H), 3.60 (d, J=6.0 Hz, 1H), 3.09-3.00 (m, 2H), 2.83 (d, J=4.2 Hz, 3H), 2.72-2.52 (m, 1H), 2.22 (dd, J=18.3, 6.3 Hz, 1H), 2.01 (d, J=17.7 Hz, 1H), 1.62 (d, J=11.1 Hz, 1H); ESI MS m/z 436 [C25H25NO6+H]+; HPLC (Method A) 96.6% (AUC), tR=7.84 min.
Figure US10226456-20190312-C00877
Figure US10226456-20190312-C00878
Preparation of (S)-tert-Butyl 2-(2,2-dimethyl-5-oxo-1,3-dioxolan-4-yl)acetate
Figure US10226456-20190312-C00879
A solution of (S)-2-(2,2-dimethyl-5-oxo-1,3-dioxolan-4-yl)acetic acid (7.50 g, 43.1 mmol) in methylene chloride (150 mL) was treated with N,N′-dicyclohexylcarbodiimide (10.7 g, 51.7 mmol), 4-dimethylaminopyridine (1.60 g, 12.9 mmol), and tert-butyl alcohol (6.2 mL, 64.7 mmol) and stirred under a nitrogen atmosphere for 2 h. After this time, the reaction mixture was filtered to remove the solid dicyclohexylurea byproduct. The filtrate was concentrated under reduced pressure. The crude residue was purified by column chromatography (silica gel, 0-10% ethyl acetate/heptanes) to provide (S)-tert-butyl 2-(2,2-dimethyl-5-oxo-1,3-dioxolan-4-yl)acetate (7.2 g, 73%) as an off-white solid:1H NMR (300 MHz, CDCl3) δ 4.66 (dd, J=6.3, 3.9 Hz, 1H), 2.84 (dd, J=16.8, 3.9 Hz, 1H), 2.72 (dd, J=16.8, 6.3 Hz, 1H), 1.63 (s, 3H), 1.56 (s, 3H), 1.47 (s, 9H).
Preparation of (S)-4-tert-Butyl 1-methyl 2-hydroxysuccinate
Figure US10226456-20190312-C00880
A solution of (S)-tert-butyl 2-(2,2-dimethyl-5-oxo-1,3-dioxolan-4-yl)acetate (6.80 g, 29.6 mmol) in methanol (100 mL) was cooled in an ice bath and treated portion-wise over 10 min with anhydrous sodium methoxide (1.76 g, 32.5 mmol). After addition was complete, the mixture was stirred at 0° C. for 1.5 h. After this time, the reaction mixture was treated with saturated aqueous ammonium chloride (100 mL) and extracted with ethyl acetate (3×100 mL). The combined organics were dried over sodium sulfate, filtered, concentrated under reduced pressure, and dried under vacuum to provide (S)-4-tert-butyl 1-methyl 2-hydroxysuccinate (5.2 g, 86%) as a yellow oil:1H NMR (300 MHz, CDCl3) δ 4.44 (dd, J=10.5, 5.4 Hz, 1H), 3.81 (s, 3H), 3.22 (d, J=5.4 Hz, 1H), 2.87-2.64 (m, 2H), 1.45 (s, 9H).
Preparation of (S)-4-tert-Butyl 1-methyl 2-((tert-butoxycarbonyl)oxy)succinate
Figure US10226456-20190312-C00881
A solution of (S)-4-tert-butyl 1-methyl 2-hydroxysuccinate (5.30 g, 26.0 mmol) in methylene chloride (150 mL) was cooled in an ice bath under a nitrogen atmosphere and treated with 4-dimethylaminopyridine (0.317 g, 2.60 mmol) followed by di-tert-butyl dicarbonate (8.50 g, 40.0 mmol). After 2-3 min, the ice bath was removed, and the mixture was stirred at ambient temperature for 2 h. After this time, the reaction mixture was concentrated under reduced pressure and purified by column chromatography (silica gel, 0-5% ethyl acetate/heptanes) to provide (S)-4-tert-butyl 1-methyl 2-((tert-butoxycarbonyl)oxy)succinate (6.6 g, 83%) as a light yellow oil:1H NMR (300 MHz, CDCl3) δ 5.32 (dd, J=6.9, 6.0 Hz, 1H), 3.78 (s, 3H), 2.81-2.79 (m, 2H), 1.50 (s, 9H), 1.45 (s, 9H).
Preparation of (S)-4-(tert-Butoxy)-2-((tert-butoxycarbonyl)oxy)-4-oxobutanoic acid
Figure US10226456-20190312-C00882
A solution of (S)-4-tert-butyl 1-methyl 2-((tert-butoxycarbonyl)oxy)succinate (6.60 g, 21.7 mmol) in tetrahydrofuran (74 mL) and water (37 mL) was cooled in an ice bath, treated with lithium hydroxide hydrate (1.09 g, 26.1 mmol), and stirred at 0° C. for 3 h. After this time, the reaction mixture was concentrated to remove the volatiles, acidified at 0° C. to pH ˜3, and extracted with ethyl acetate (3×100 mL). The combined organics were dried over sodium sulfate, filtered, concentrated under reduced pressure, and dried under vacuum to provide (S)-4-(tert-butoxy)-2-((tert-butoxycarbonyl)oxy)-4-oxobutanoic acid (5.7 g, 90%):1H NMR (300 MHz, CDCl3) δ 5.32 (apparent t, J=6.0 Hz, 1H), 2.85 (apparent d, J=6.0 Hz, 2H), 1.50 (s, 9H), 1.46 (s, 9H), CO2H proton not observed.
Preparation of (S)-4-tert-Butyl 1-(2,5-dioxopyrrolidin-1-yl) 2-((tert-butoxycarbonyl)oxy)succinate
Figure US10226456-20190312-C00883
A solution of (S)-4-(tert-butoxy)-2-((tert-butoxycarbonyl)oxy)-4-oxobutanoic acid (525 mg, 1.81 mmol) in tetrahydrofuran (10 mL) was treated with N-hydroxysuccinimide (292 mg, 2.53 mmol) and N,N′-dicyclohexylcarbodiimide (523 mg, 2.53 mmol) and stirred under a nitrogen atmosphere for 1 h. After this time, the reaction mixture was filtered to remove the solid dicyclohexylurea byproduct. The solid was washed with tetrahydrofuran (25 mL), and the combined filtrate and washings were concentrated under reduced pressure. The residue was triturated with tetrahydrofuran (25 mL) and filtered to remove the solids. The filtrate was concentrated under reduced pressure. The residue was triturated with diethyl ether and filtered to remove the solids. The filtrate was concentrated under reduced pressure and dried under vacuum to provide (S)-4-tert-butyl 1-(2,5-dioxopyrrolidin-1-yl) 2-((tert-butoxycarbonyl)oxy)succinate (702 mg, quantitative) as a light yellow oil:1H NMR (300 MHz, CDCl3) δ 5.61 (dd, J=8.1, 4.8 Hz, 1H), 2.98-2.94 (m, 2H), 2.84 (s, 4H), 1.51 (s, 9H), 1.47 (s, 9H).
Preparation of (S)-1-((4R,4aS,7aR,12bS)-9-((tert-Butoxycarbonyl)oxy)-4a-hydroxy-3-methyl-2,3,4,4a,5,7a-hexahydro-1H-4,12-methanobenzofuro[3,2-e]isoquinolin-7-yl) 4-tert-butyl 2-((tert-butoxycarbonyl)oxy)succinate
Figure US10226456-20190312-C00884
A suspension of oxycodone (0.402 g, 1.00 mmol) in tetrahydrofuran (8 mL) was cooled in an ice bath and treated dropwise with a 1.0 M solution of lithium bis(trimethylsilyl)amide in tetrahydrofuran (2.00 mL, 2.00 mmol). The mixture was stirred at 0° C. for 15 min and then treated dropwise with a solution of (S)-4-tert-butyl 1-(2,5-dioxopyrrolidin-1-yl) 2-((tert-butoxycarbonyl)oxy)succinate (0.465 g, 1.20 mmol) in tetrahydrofuran (8 mL). The reaction mixture was stirred at 0° C. for 1 h. After this time, the mixture was poured into saturated aqueous ammonium chloride (100 mL) and extracted with ethyl acetate (2×100 mL). The combined organics were dried over sodium sulfate, filtered, and concentrated under reduced pressure. The crude residue was purified by reversed phase chromatography (150 g C18 column, 10-100% acetonitrile/water) and freeze dried to provide (S)-1-((4R,4aS,7aR,12bS)-9-((tert-butoxycarbonyl)oxy)-4a-hydroxy-3-methyl-2,3,4,4a,5,7a-hexahydro-1H-4,12-methanobenzofuro[3,2-e]isoquinolin-7-yl) 4-tert-butyl 2-((tert-butoxycarbonyl)oxy)succinate (0.078 g, 11%) as a white solid: ESI MS m/z 674[C35H47NO12+H]+.
Preparation of (S)-4-(((4R,4aS,7aR,12bS)-4a,9-Dihydroxy-3-methyl-2,3,4,4a,5,7a-hexahydro-1H-4,12-methanobenzofuro[3,2-e]isoquinolin-7-yl)oxy)-3-hydroxy-4-oxobutanoic acid trifluoroacetic acid salt
Figure US10226456-20190312-C00885
A solution of (S)-1-((4R,4aS,7aR,12bS)-9-((tert-butoxycarbonyl)oxy)-4a-hydroxy-3-methyl-2,3,4,4a,5,7a-hexahydro-1H-4,12-methanobenzofuro[3,2-e]isoquinolin-7-yl) 4-tert-butyl 2-((tert-butoxycarbonyl)oxy)succinate (0.060 g, 0.089 mmol) in methylene chloride (8 mL) was treated with trifluoroacetic acid (2.5 mL) and stirred under a nitrogen atmosphere at ambient temperature for 1 h. After this time, the reaction mixture was concentrated under reduced pressure. The residue obtained was triturated with diethyl ether then freeze dried from water to provide (S)-4-(((4R,4aS,7aR,12bS)-4a,9-dihydroxy-3-methyl-2,3,4,4a,5,7a-hexahydro-1H-4,12-methanobenzofuro[3,2-e]isoquinolin-7-yl)oxy)-3-hydroxy-4-oxobutanoic acid trifluoroacetic acid salt (0.044 g, quantitative) as a white solid:1H NMR (300 MHz, DMSO-d6) δ 12.43 (br s, 1H), 9.30 (s, 1H), 9.16 (br s, 1H), 6.69-6.64 (m, 2H), 6.25 (s, 1H), 5.90 (s, 1H), 5.55 (s, 1H), 4.93 (s, 1H), 4.49 (s, 1H), 3.62 (s, 1H), 3.18-3.00 (m, 2H), 2.83 (s, 3H), 2.80-2.58 (m, 3H), 2.29-2.26 (m, 1H), 2.07 (d, J=18.0 Hz, 1H), 1.62 (d, J=13.2 Hz, 1H), two protons obscured by solvent peaks; ESI MS m/z 418[C21H23NO8+H]+.
Figure US10226456-20190312-C00886
Figure US10226456-20190312-C00887
Preparation of (S)-tert-Butyl 2-(2,2-dimethyl-5-oxo-1,3-dioxolan-4-yl)acetate
Figure US10226456-20190312-C00888
A solution of (S)-2-(2,2-dimethyl-5-oxo-1,3-dioxolan-4-yl)acetic acid (7.50 g, 43.1 mmol) in methylene chloride (150 mL) was treated with N,N′-dicyclohexylcarbodiimide (10.7 g, 51.7 mmol), 4-dimethylaminopyridine (1.60 g, 12.9 mmol), and tert-butyl alcohol (6.2 mL, 64.7 mmol) and stirred under a nitrogen atmosphere for 2 h. After this time, the reaction mixture was filtered to remove the solid dicyclohexylurea byproduct. The filtrate was concentrated under reduced pressure. The crude residue was purified by column chromatography (silica gel, 0-10% ethyl acetate/heptanes) to provide (S)-tert-butyl 2-(2,2-dimethyl-5-oxo-1,3-dioxolan-4-yl)acetate (7.2 g, 73%) as an off-white solid:1H NMR (300 MHz, CDCl3) δ 4.66 (dd, J=6.3, 3.9 Hz, 1H), 2.84 (dd, J=16.8, 3.9 Hz, 1H), 2.72 (dd, J=16.8, 6.3 Hz, 1H), 1.63 (s, 3H), 1.56 (s, 3H), 1.47 (s, 9H).
Preparation of (S)-4-tert-Butyl 1-methyl 2-hydroxysuccinate
Figure US10226456-20190312-C00889
A solution of (S)-tert-butyl 2-(2,2-dimethyl-5-oxo-1,3-dioxolan-4-yl)acetate (6.80 g, 29.6 mmol) in methanol (100 mL) was cooled in an ice bath and treated portion-wise over 10 min with anhydrous sodium methoxide (1.76 g, 32.5 mmol). After addition was complete, the mixture was stirred at 0° C. for 1.5 h. After this time, the reaction mixture was treated with saturated aqueous ammonium chloride (100 mL) and extracted with ethyl acetate (3×100 mL). The combined organics were dried over sodium sulfate, filtered, concentrated under reduced pressure, and dried under vacuum to provide (S)-4-tert-butyl 1-methyl 2-hydroxysuccinate (5.2 g, 86%) as a yellow oil:1H NMR (300 MHz, CDCl3) δ 4.44 (dd, J=10.5, 5.4 Hz, 1H), 3.81 (s, 3H), 3.22 (d, J=5.4 Hz, 1H), 2.87-2.64 (m, 2H), 1.45 (s, 9H).
Preparation of (S)-4-tert-Butyl 1-methyl 2-((tert-butoxycarbonyl)oxy)succinate
Figure US10226456-20190312-C00890
A solution of (S)-4-tert-butyl 1-methyl 2-hydroxysuccinate (5.30 g, 26.0 mmol) in methylene chloride (150 mL) was cooled in an ice bath under a nitrogen atmosphere and treated with 4-dimethylaminopyridine (0.317 g, 2.60 mmol) followed by di-tert-butyl dicarbonate (8.50 g, 40.0 mmol). After 2-3 min, the ice bath was removed, and the mixture was stirred at ambient temperature for 2 h. After this time, the reaction mixture was concentrated under reduced pressure and purified by column chromatography (silica gel, 0-5% ethyl acetate/heptanes) to provide (S)-4-tert-butyl 1-methyl 2-((tert-butoxycarbonyl)oxy)succinate (6.6 g, 83%) as a light yellow oil:1H NMR (300 MHz, CDCl3) δ 5.32 (dd, J=6.9, 6.0 Hz, 1H), 3.78 (s, 3H), 2.81-2.79 (m, 2H), 1.50 (s, 9H), 1.45 (s, 9H).
Preparation of (S)-4-(tert-Butoxy)-2-((tert-butoxycarbonyl)oxy)-4-oxobutanoic acid
Figure US10226456-20190312-C00891
A solution of (S)-4-tert-butyl 1-methyl 2-((tert-butoxycarbonyl)oxy)succinate (6.60 g, 21.7 mmol) in tetrahydrofuran (74 mL) and water (37 mL) was cooled in an ice bath, treated with lithium hydroxide hydrate (1.09 g, 26.1 mmol), and stirred at 0° C. for 3 h. After this time, the reaction mixture was concentrated to remove the volatiles, acidified at 0° C. to pH ˜3, and extracted with ethyl acetate (3×100 mL). The combined organics were dried over sodium sulfate, filtered, concentrated under reduced pressure, and dried under vacuum to provide (S)-4-(tert-butoxy)-2-((tert-butoxycarbonyl)oxy)-4-oxobutanoic acid (5.7 g, 90%):1H NMR (300 MHz, CDCl3) δ 5.32 (apparent t, J=6.0 Hz, 1H), 2.85 (apparent d, J=6.0 Hz, 2H), 1.50 (s, 9H), 1.46 (s, 9H), CO2H proton not observed.
Preparation of (S)-4-tert-Butyl 1-(2,5-dioxopyrrolidin-1-yl) 2-((tert-butoxycarbonyl)oxy)succinate
Figure US10226456-20190312-C00892
A solution of (S)-4-(tert-butoxy)-2-((tert-butoxycarbonyl)oxy)-4-oxobutanoic acid (525 mg, 1.81 mmol) in tetrahydrofuran (10 mL) was treated with N-hydroxysuccinimide (292 mg, 2.53 mmol) and N,N′-dicyclohexylcarbodiimide (523 mg, 2.53 mmol) and stirred under a nitrogen atmosphere for 1 h. After this time, the reaction mixture was filtered to remove the solid dicyclohexylurea byproduct. The solid was washed with tetrahydrofuran (25 mL), and the combined filtrate and washings were concentrated under reduced pressure. The residue was triturated with tetrahydrofuran (25 mL) and filtered to remove the solids. The filtrate was concentrated under reduced pressure. The residue was triturated with diethyl ether and filtered to remove the solids. The filtrate was concentrated under reduced pressure and dried under vacuum to provide (S)-4-tert-butyl 1-(2,5-dioxopyrrolidin-1-yl) 2-((tert-butoxycarbonyl)oxy)succinate (702 mg, quantitative) as a light yellow oil:1H NMR (300 MHz, CDCl3) δ 5.61 (dd, J=8.1, 4.8 Hz, 1H), 2.98-2.94 (m, 2H), 2.84 (s, 4H), 1.51 (s, 9H), 1.47 (s, 9H).
Preparation of (S)-tert-Butyl 3-((tert-butoxycarbonyl)oxy)-4-(((S)-1-(((4R,4aS,7aR,12bS)-9-((tert-butyldimethylsilyl)oxy)-4a-hydroxy-3-methyl-2,3,4,4a,5,7a-hexahydro-1H-4,12-methanobenzofuro[3,2-e]isoquinolin-7-yl)oxy)-1-oxopropan-2-yl)amino)-4-oxobutanoate
Figure US10226456-20190312-C00893
A solution (S)-(4R,4aS,7aR,12bS)-9-((tert-butyldimethylsilyl)oxy)-4a-hydroxy-3-methyl-2,3,4,4a,5,7a-hexahydro-1H-4,12-methanobenzofuro[3,2-e]isoquinolin-7-yl 2-((tert-butoxycarbonyl)amino)propanoate (500 mg, 0.85 mmol) in methylene chloride (8 mL) was treated with trifluoroacetic acid (1.5 mL), and the mixture was stirred at room temperature for 1 h. After this time, N,N-diisopropylethylamine was added slowly until the reaction mixture tested basic by pH paper analysis. The mixture was treated with a solution of (S)-4-tert-butyl 1-(2,5-dioxopyrrolidin-1-yl) 2-((tert-butoxycarbonyl)oxy)succinate (495 mg, 1.28 mmol) in methylene chloride (3 mL) and stirred at room temperature for 1 h. After this time, the mixture was concentrated under reduced pressure. The residue was diluted with ethyl acetate and washed with 10% citric acid, saturated aqueous sodium bicarbonate, and brine, dried over sodium sulfate, filtered, and concentrated. The crude product was purified by column chromatography (24 g silica, 0-100% ethyl acetate/methylene chloride) to provide (S)-tert-butyl 3-((tert-butoxycarbonyl)oxy)-4-(((S)-1-(((4R,4aS,7aR,12bS)-9-((tert-butyldimethylsilyl)oxy)-4a-hydroxy-3-methyl-2,3,4,4a,5,7a-hexahydro-1H-4,12-methanobenzofuro[3,2-e]isoquinolin-7-yl)oxy)-1-oxopropan-2-yl)amino)-4-oxobutanoate (410 mg, 63%): ESI MS m/z 759 [C39H58N2O11Si+H]+.
Preparation of (S)-4-(((S)-1-(((4R,4aS,7aR,12bS)-4a,9-Dihydroxy-3-methyl-2,3,4,4a,5,7a-hexahydro-1H-4,12-methanobenzofuro[3,2-e]isoquinolin-7-yl)oxy)-1-oxopropan-2-yl)amino)-3-hydroxy-4-oxobutanoic acid trifluoroacetic acid salt
Figure US10226456-20190312-C00894
A mixture of (S)-tert-butyl 3-((tert-butoxycarbonyl)oxy)-4-(((S)-1-(((4R,4aS,7aR,12bS)-9-((tert-butyldimethylsilyl)oxy)-4a-hydroxy-3-methyl-2,3,4,4a,5,7a-hexahydro-1H-4,12-methanobenzofuro[3,2-e]isoquinolin-7-yl)oxy)-1-oxopropan-2-yl)amino)-4-oxobutanoate (250 mg, 0.33 mmol), trifluoroacetic acid (0.8 mL), water (0.8 mL) and methylene chloride (0.8 mL) was vigorously stirred at ambient temperature for 3 h. After this time, the reaction mixture was concentrated under reduced pressure. The residue was purified by reversed phase column chromatography (50 g C18 column, 5-30% acetonitrile/water) and freeze dried to provide (S)-4-(((S)-1-(((4R,4aS,7aR,12bS)-4a,9-dihydroxy-3-methyl-2,3,4,4a,5,7a-hexahydro-1H-4,12-methanobenzofuro[3,2-e]isoquinolin-7-yl)oxy)-1-oxopropan-2-yl)amino)-3-hydroxy-4-oxobutanoic acid trifluoroacetic acid salt (44 mg, 27%):1H NMR (300 MHz, DMSO-d6) δ 8.21 (d, J=7.3 Hz, 1H), 6.57 (d, J=8.1 Hz, 1H), 6.52 (d, J=8.1 Hz, 1H), 5.51 (dd, J=4.4, 2.8 Hz, 1H), 4.83 (s, 1H), 4.43-4.32 (m, 1H), 4.27 (dd, J=8.8, 3.7 Hz, 1H), 3.08 (d, J=18.6 Hz, 1H), 2.85 (d, J=5.8 Hz, 1H), 2.65-2.54 (m, 2H), 2.48-2.38 (m, 1H), 2.34 (s, 3H), 2.30-2.17 (m, 2H), 2.10 (d, J=8.7 Hz, 1H), 2.07-1.98 (m, 2H), 1.43-1.34 (m, 4H), CO2H, CF3CO2H, and three OH protons not observed; ESI MS m/z 489 [C24H28N2O9+H]+.
Figure US10226456-20190312-C00895
Preparation of (4R,4aS,7aR,12bS)-9-((tert-Butyldimethyisilyl)oxy)-3-methyl-4a-((trimethylsilyl)oxy)-2,3,4,4a,5,6-hexahydro-1H-4,12-methanobenzofuro[3,2-e]isoquinolin-7(7aH)-one
Figure US10226456-20190312-C00896
A suspension of (4R,4aS,7aR,12bS)-9-((tert-butyldimethylsilyl)oxy)-4a-hydroxy-3-methyl-2,3,4,4a, 5,6-hexahydro-1H-4,12-methanobenzofuro[3,2-e]isoquinolin-7(7aH)-one (1.20 g, 2.89 mmol) and ammonium sulfate (8 mg, 0.06 mmol) in bis(trimethylsilyl)amine (4 mL) was heated to 110° C. to obtain a clear solution that was stirred for 6 h. After this time, the mixture was cooled to room temperature and concentrated under reduced pressure. The residue was suspended in 1:1 acetonitrile/water (10 mL) and acidified by dropwise addition of 2 N hydrochloric acid to obtain a clear solution that was stirred at room temperature for 10 min. The mixture was diluted with ethyl acetate and washed with a saturated solution of sodium bicarbonate and brine. The organic layer was dried over sodium sulfate, filtered, and concentrated under reduced pressure to provide (4R,4aS,7aR,12bS)-9-((tert-butyldimethylsilyl)oxy)-3-methyl-4a-((trimethylsilyl)oxy)-2,3,4,4a,5,6-hexahydro-1H-4,12-methanobenzofuro[3,2-e]isoquinolin-7(7aH)-one (1.23 g, 87%):1H NMR (300 MHz, CDCl3) δ 6.61 (d, J=8.1 Hz, 1H), 6.52 (d, J=8.1 Hz, 1H), 4.50 (s, 1H), 3.17 (d, J 18.4 Hz, 1H), 3.02-2.89 (m, 2H), 2.46-2.35 (m, 3H), 2.31 (s, 3H), 2.23-2.05 (m, 2H), 1.75-1.69 (m, 2H), 1.41-1.35 (m, 1H), 0.99 (s, 9H), 0.27 (s, 3H), 0.18 (s, 12H).
Preparation of (4R,4aS,7aR,12bS)-9-((tert-Butyldimethylsilyl)oxy)-4a-hydroxy-3-methyl-2,3,4,4a,5,7a-hexahydro-1H-4,12-methanobenzofuro[3,2-e]isoquinolin-7-yl 3-((tert-butoxycarbonyl)amino)propanoate
Figure US10226456-20190312-C00897
A suspension of (4R,4aS,7aR,12bS)-9-((tert-butyldimethylsilyl)oxy)-3-methyl-4a-((trimethylsilyl)oxy)-2,3,4,4a,5,6-hexahydro-1H-4,12-methanobenzofuro[3,2-e]isoquinolin-7(7aH)-one (0.26 g, 0.53 mmol) in tetrahydrofuran (8 mL) was cooled in an ice bath and treated dropwise with a 1.0 M solution of lithium bis(trimethylsilyl)amidein tetrahydrofuran (0.7 mL, 0.7 mmol). After addition was complete, the mixture was stirred at ambient temperature for 10 min. The mixture was re-cooled in the ice bath and treated dropwise with a solution of 2,5-dioxopyrrolidin-1-yl 3-((tert-butoxycarbonyl)amino)propanoate (0.26 g, 0.91 mmol) in tetrahydrofuran (4 mL). After addition was complete, the mixture was stirred at ambient temperature for 45 min. After this time, the reaction mixture was cooled in an ice bath, treated with saturated aqueous ammonium chloride, and extracted with ethyl acetate. The combined organics were dried over sodium sulfate, filtered, and concentrated under reduced pressure. The residue was purified by column chromatography (silica gel, 0-10% methanol/methylene chloride) to provide (4R,4aS,7aR,12bS)-9-((tert-butyldimethylsilyl)oxy)-4a-hydroxy-3-methyl-2,3,4,4a,5,7a-hexahydro-1H-4,12-methanobenzofuro[3,2-e]isoquinolin-7-yl 3-((tert-butoxycarbonyl)amino)propanoate (0.20 g, 57%):1H NMR (300 MHz, CDCl3) δ 6.65 (d, J=8.1 Hz, 1H), 6.55 (d, J=8.1 Hz, 1H), 5.61 (dd, J=5.6, 2.8 Hz, 1H), 5.02 (s, 1H), 3.42-3.39 (m, 2H), 3.16 (d, J=18.7 Hz, 1H), 2.72-2.60 (m, 6H), 2.43 (s. 3H), 2.42-2.15 (m, 4H), 1.65-1.55 (m, 1H), 1.44 (s, 9H), 9.67 (s, 9H), 0.17 (s, 3H), 0.14 (s, 3H), NH proton not observed.
Preparation of (4R,4aS,7aR,12bS)-9-((tert-Butyldimethylsilyl)oxy)-4a-hydroxy-3-methyl-2,3,4,4a,5,7a-hexahydro-1H-4,12-methanobenzofuro[3,2-e]isoquinolin-7-yl 3-(2-((S)-2,2-dimethyl-5-oxo-1,3-dioxolan-4-yl)acetamido)propanoate
Figure US10226456-20190312-C00898
A solution (4R,4aS,7aR,12bS)-9-((tert-butyldimethylsilyl)oxy)-4a-hydroxy-3-methyl-2,3,4,4a,5,7a-hexahydro-1H-4,12-methanobenzofuro[3,2-e]isoquinolin-7-yl 3-((tert-butoxycarbonyl)amino)propanoate (300 mg, 0.51 mmol), in methylene chloride (5 mL) was treated with trifluoroacetic acid (1.5 mL) and the mixture was stirred at room temperature for 1 h. After this time, N,N-diisopropylethylamine was added slowly until the reaction mixture tested basic by pH paper analysis. The mixture was treated with a solution of (S)-2,5-dioxopyrrolidin-1-yl 2-(2,2-dimethyl-5-oxo-1,3-dioxolan-4-yl)acetate (208 mg, 0.767 mmol) in methylene chloride (1.5 mL) and stirred at room temperature for 1 h. After this time, the mixture was concentrated under reduced pressure. The residue was diluted with ethyl acetate and washed with 10% citric acid, saturated aqueous sodium bicarbonate, and brine, dried over sodium sulfate, filtered and concentrated to provide (4R,4aS,7aR,12bS)-9-((tert-butyldimethylsilyl)oxy)-4a-hydroxy-3-methyl-2,3,4,4a,5,7a-hexahydro-1H-4,12-methanobenzofuro[3,2-e]isoquinolin-7-yl 3-(2-((S)-2,2-dimethyl-5-oxo-1,3-dioxolan-4-yl)acetamido)propanoate (372 mg): ESI MS m/z 643 [C33H46N2O9Si+H]+.
Preparation of (S)-4-((3-(((4R,4aS,7aR,12bS)-4a,9-Dihydroxy-3-methyl-2,3,4,4a,5,7a-hexahydro-1H-4,12-methanobenzofuro[3,2-e]isoquinolin-7-yl)oxy)-3-oxopropyl)amino)-2-hydroxy-4-oxobutanoic acid trifluoroacetic acid salt
Figure US10226456-20190312-C00899
A mixture of (4R,4aS,7aR,12bS)-9-((tert-butyldimethylsilyl)oxy)-4a-hydroxy-3-methyl-2,3,4,4a,5,7a-hexahydro-1H-4,12-methanobenzofuro[3,2-e]isoquinolin-7-yl 3-(2-((S)-2,2-dimethyl-5-oxo-1,3-dioxolan-4-yl)acetamido)propanoate (365 mg, 0.568 mmol), trifluoroacetic acid (1 mL), water (1 mL) and methylene chloride (1 mL) was vigorously stirred at ambient temperature for 3 h. After this time, the reaction mixture was concentrated under reduced pressure. The residue was purified by reversed phase column chromatography (150 g C18 column, 5-30% acetonitrile/water) and freeze dried to provide (S)-4-((3-(((4R,4aS,7aR,12bS)-4a,9-dihydroxy-3-methyl-2,3,4,4a,5,7a-hexahydro-1H-4,12-methanobenzofuro[3,2-e]isoquinolin-7-yl)oxy)-3-oxopropyl)amino)-2-hydroxy-4-oxobutanoic acid trifluoroacetic acid salt (120 mg, 48%):1H NMR (300 MHz, DMSO-d6) δ 8.08 (t, J=5.6 Hz, 1H), 6.58 (d, J=8.1 Hz, 1H), 6.53 (d, J=8.1 Hz, 1H), 5.53 (dd, J=5.5, 2.6 Hz, 1H), 4.85 (s, 1H), 4.22 (dd, J=8.1, 4.5 Hz, 1H), 3.41-3.24 (m, 2H), 3.12 (d, J=18.8 Hz, 1H), 2.95 (d, J=6.0 Hz, 1H), 2.70-2.51 (m, 4H), 2.49-4.22 (m, 1H), 2.40 (s, 3H), 2.35-1.95 (m, 5H), 1.41 (d, J=12.2 Hz, 1H), CO2H and three OH protons not observed; ESI MS m/z 489 [C24H28N2O9+H]+; HPLC (Method B) 97.6% (AUC), tR=10.71 min.
Figure US10226456-20190312-C00900
Preparation of (S)-1-tert-Butyl 2-((4R,4aS,7aR,12bS)-9-((tert-butyldimethylsilyl)oxy)-4a-hydroxy-3-methyl-2,3,4,4a,5,7a-hexahydro-1H-4,12-methanobenzofuro[3,2-e]isoquinolin-7-yl) pyrrolidine-1,2-dicarboxylate
Figure US10226456-20190312-C00901
A suspension of tert-butyl ((4R,4aS,7aR,12bS)-4a-hydroxy-3-methyl-7-oxo-2,3,4,4a,5,6,7,7a-octahydro-1H-4,12-methanobenzofuro[3,2-e]isoquinolin-9-yl) carbonate (1.02 g, 2.45 mmol) in tetrahydrofuran (12 mL) was cooled in an ice bath and treated dropwise with a 1.0 M solution of lithium bis(trimethylsilyl)amide in tetrahydrofuran (4.9 mL, 4.9 mmol). After 30 min, the mixture was treated dropwise with a solution of (S)-1-tert-butyl 2-(2,5-dioxopyrrolidin-1-yl) pyrrolidine-1,2-dicarboxylate (1.5 g, 4.9 mmol) in tetrahydrofuran (6 mL) and stirred at 0° C. for 16 h. After this time, the reaction mixture was poured into cold saturated aqueous ammonium chloride and extracted with ethyl acetate. The combined organics were washed with saturated aqueous sodium bicarbonate and brine, dried over sodium sulfate, filtered, and concentrated under reduced pressure. The crude residue was purified by reversed phase column chromatography (50 g C18 column, 0-100% acetonitrile/water) and freeze dried to provide (S)-1-tert-butyl 2-((4R,4aS,7aR,12bS)-9-((tert-butyldimethylsilyl)oxy)-4a-hydroxy-3-methyl-2,3,4,4a,5,7a-hexahydro-1H-4,12-methanobenzofuro[3,2-e]isoquinolin-7-yl) pyrrolidine-1,2-dicarboxylate (294 mg, 20%): ESI MS m/z 613 [C33H48N2O7Si+H]+.
Preparation of (S)-(4R,4aS,7aR,12bS)-9-((tert-Butyldimethylsilyl)oxy)-4a-hydroxy-3-methyl-2,3,4,4a,5,7a-hexahydro-1H-4,12-methanobenzofuro[3,2-e]isoquinolin-7-yl 1-(2-((S)-2,2-dimethyl-5-oxo-1,3-dioxolan-4-yl)acetyl)pyrrolidine-2-carboxylate
Figure US10226456-20190312-C00902
A solution (S)-1-tert-butyl 2-((4R,4aS,7aR,12bS)-9-((tert-butyldimethylsilyl)oxy)-4a-hydroxy-3-methyl-2,3,4,4a,5,7a-hexahydro-1H-4,12-methanobenzofuro[3,2-e]isoquinolin-7-yl) pyrrolidine-1,2-dicarboxylate (280 mg, 0.46 mmol) in methylene chloride (5 mL) was treated with trifluoroacetic acid (1.5 mL), and the mixture was stirred at room temperature for 1 h. After this time, N,N-diisopropylethylamine was added slowly until the reaction mixture tested basic by pH paper analysis. The mixture was treated with a solution of (S)-2,5-dioxopyrrolidin-1-yl 2-(2,2-dimethyl-5-oxo-1,3-dioxolan-4-yl)acetate (186 mg, 0.69 mmol) in methylene chloride (1.5 mL) and stirred at room temperature for 1 h. After this time, the mixture was concentrated under reduced pressure. The residue was diluted with ethyl acetate and washed with 10% citric acid, saturated aqueous sodium bicarbonate, and brine, dried over sodium sulfate, filtered and concentrated to provide (S)-(4R,4aS,7aR,12bS)-9-((tert-butyldimethylsilyl)oxy)-4a-hydroxy-3-methyl-2,3,4,4a,5,7a-hexahydro-1H-4,12-methanobenzofuro[3,2-e]isoquinolin-7-yl 1-(2-((S)-2,2-dimethyl-5-oxo-1,3-dioxolan-4-yl)acetyl)pyrrolidine-2-carboxylate (430 mg): ESI MS m/z 669 [C35H48N2O9Si+H]+.
Preparation of (S)-4-((S)-2-((((4R,4aS,7aR,12bS)-4a,9-Dihydroxy-3-methyl-2,3,4,4a,5,7a-hexahydro-1H-4,12-methanobenzofuro[3,2-e]isoquinolin-7-yl)oxy)carbonyl)pyrrol din-1-yl)-2-hydroxy-4-oxobutanoic acid trifluoroacetic acid salt
Figure US10226456-20190312-C00903
A mixture of (S)-(4R,4aS,7aR,12bS)-9-((tert-butyldimethylsilyl)oxy)-4a-hydroxy-3-methyl-2,3,4,4a,5,7a-hexahydro-1H-4,12-methanobenzofuro[3,2-e]isoquinolin-7-yl 1-(2-((S)-2,2-dimethyl-5-oxo-1,3-dioxolan-4-yl)acetyl)pyrrolidine-2-carboxylate (200 mg, 0.30 mmol), trifluoroacetic acid (0.5 mL), water (0.5 mL) and methylene chloride (0.5 mL) was vigorously stirred at ambient temperature for 3 h. After this time, the reaction mixture was concentrated under reduced pressure. The residue was purified by reversed phase column chromatography (150 g C18 column, 5-30% acetonitrile/water) and freeze dried to provide (S)-4-((S)-2-((((4R,4aS,7aR,12bS)-4a,9-dihydroxy-3-methyl-2,3,4,4a,5,7a-hexahydro-1H-4,12-methanobenzofuro[3,2-e]isoquinolin-7-yl)oxy)carbonyl)pyrrolidin-1-yl)-2-hydroxy-4-oxobutanoic acid trifluoroacetic acid salt (69 mg, 36%):1H NMR (300 MHz, DMSO-d6) δ 6.58 (d, J=8.1 Hz, 1H), 6.53 (d, J=8.1 Hz, 1H), 5.51 (dd, J=5.5, 2.5 Hz, 1H), 4.86-4.83 (m, 1H), 4.39 (dd, J=8.7, 3.5 Hz, 1H), 4.29-4.24 (m, 1H), 3.65-3.54 (m, 2H), 3.10 (d, J=18.8 Hz, 1H), 2.93 (d, J=5.9 Hz, 1H), 2.69-2.60 (m, 3H), 2.39 (s, 3H), 2.30-2.20 (m, 2H), 2.15 (d, J=13.4 Hz, 1H), 2.10-1.92 (m, 5H), 1.40 (d, J=11.1 Hz, 1H), five protons not observed; ESI MS m/z 515 [C26H30N2O9+H]4; HPLC (Method B) 95.0% (AUC), tR=11.86 min.
Figure US10226456-20190312-C00904
Preparation of (2E,4E)-2,5-Dioxopyrrolidin-1-yl hexa-2,4-dienoate
Figure US10226456-20190312-C00905
A solution of (2E,4E)-hexa-2,4-dienoic acid (2.00 g, 17.8 mmol) in tetrahydrofuran (50 mL) was treated with N-hydroxysuccinimide (2.26 g, 19.6 mmol) and N,N′-dicyclohexylcarbodiimide (4.04 g, 19.6 mmol) and stirred under a nitrogen atmosphere for 2.5 h. After this time, the reaction mixture was filtered to remove the solid dicyclohexylurea byproduct. The solid was washed with diethyl ether, and the combined filtrate and washings were concentrated under reduced pressure to provide (2E,4E)-2,5-dioxopyrrolidin-1-yl hexa-2,4-dienoate (5.14 g, quantitative) as a white solid:1H NMR (300 MHz, CDCl3) δ 7.53-5.44 (m, 1H), 6.31-6.27 (m, 2H), 5.93 (d, J=15.3 Hz, 1H), 2.85 (s, 4H), 1.91 (d, J=5.4 Hz, 3H).
Preparation of (2E,4E)-(4R,4aS,7aR,12bS)-9-((tert-Butoxycarbonyl)oxy)-4a-hydroxy-3-methyl-2,3,4,4a,5,7a-hexahydro-1H-4,12-methanobenzofuro[3,2-e]isoquinolin-7-yl hexa-2,4-dienoate
Figure US10226456-20190312-C00906
A solution of tert-butyl ((4R,4aS,7aR,12bS)-4a-hydroxy-3-methyl-7-oxo-2,3,4,4a,5,6,7,7a-octahydro-1H-4,12-methanobenzofuro[3,2-e]isoquinolin-9-yl) carbonate (500 mg, 1.25 mmol) in tetrahydrofuran (10 mL) was cooled in an ice bath and treated dropwise with a 1.0 M solution of lithium bis(trimethylsilyl)amide in tetrahydrofuran (1.50 mL, 1.50 mmol). After 30 min, the mixture was treated dropwise with a solution of (2E,4E)-2,5-dioxopyrrolidin-1-yl hexa-2,4-dienoate (313 mg, 1.50 mmol) in tetrahydrofuran (5 mL) and stirred at 0° C. for 1 h. After this time, the reaction mixture was poured into cold saturated aqueous ammonium chloride (10 mL) and extracted with ethyl acetate (2×25 mL). The combined organics were dried over sodium sulfate, filtered, and concentrated under reduced pressure. The crude residue was purified by reversed phase column chromatography (50 g C18 column, 10-100% acetonitrile/water) and freeze dried to provide (2E,4E)-(4R,4aS,7aR,12bS)-9-((tert-Butoxycarbonyl)oxy)-4a-hydroxy-3-methyl-2,3,4,4a,5,7a-hexahydro-1H-4,12-methanobenzofuro[3,2-e]isoquinolin-7-yl hexa-2,4-dienoate (93 mg, 15%) as a white solid: ESI LC/MS m/z 496 [C28H3NO7+H]+.
Preparation of (2E,4E)-(4R,4aS,7aR,12bS)-4a,9-Dihydroxy-3-methyl-2,3,4,4a,5,7a-hexahydro-1H-4,12-methanobenzofuro[3,2-e]isoquinolin-7-yl hexa-2,4-dienoate trifluoroacetic acid salt
Figure US10226456-20190312-C00907
A solution of (2E,4E)-(4R,4aS,7aR,12bS)-9-((tert-butoxycarbonyl)oxy)-4a-hydroxy-3-methyl-2,3,4,4a,5,7a-hexahydro-1H-4,12-methanobenzofuro[3,2-e]isoquinolin-7-yl hexa-2,4-dienoate (90 mg, 0.18 mmol) in methylene chloride (0.25 mL) was treated with trifluoroacetic acid (0.25 mL) and stirred under a nitrogen atmosphere at ambient temperature for 1 h. After this time, the reaction mixture was concentrated under reduced pressure. The residue was purified by reversed phase column chromatography (15 g C18 column, 10-100% acetonitrile/water) and freeze dried to provide (2E,4E)-(4R,4aS,7aR,12bS)-4a,9-dihydroxy-3-methyl-2,3,4,4a,5,7a-hexahydro-1H-4,12-methanobenzofuro[3,2-e]isoquinolin-7-yl hexa-2,4-dienoate trifluoroacetic acid salt (51 mg, 55%) as an off-white solid:1H NMR (300 MHz, DMSO-d6) δ 9.32 (s, 1H), 9.15 (br s, 1H), 7.37-7.28 (m, 1H), 6.67 (d, J=8.1 Hz, 1H), 6.62 (d, J=8.1 Hz, 1H), 6.38-6.35 (m, 2H), 6.24 (s, 1H), 5.98 (d, J=15.0 Hz, 1H), 5.59-5.57 (m, 1H), 5.03 (s, 1H), 3.63-3.61 (m, 1H), 3.41-3.33 (m, 1H), 3.09-3.05 (m, 2H), 2.84 (d, J=4.5 Hz, 3H), 2.67-2.60 (m, 1H), 2.49-2.41 (m, 1H), 2.31-2.23 (m, 1H), 2.11-2.05 (m, 1H), 1.85 (d, J=4.5 Hz, 3H), 1.65-1.60 (m, 1H); ESI MS m/z 396 [C23H25NO5+H]+.
Figure US10226456-20190312-C00908
Preparation (S)-2-(((S)-2-((tert-Butoxycarbonyl)oxy)propanoyl)oxy)propanoic acid
Figure US10226456-20190312-C00909
A solution of (S)-2,5-dioxopyrrolidin-1-yl 2-((tert-butoxycarbonyl)oxy)propanoate (1.00 g, 3.48 mmol), lactic acid (376 mg, 4.17 mmol), and 4-dimethylaminopyridine (53 mg, 0.43 mmol) in tetrahydrofuran (17 mL) was treated with pyridine (0.33 g, 4.2 mmol) and heated at 50° C. under a nitrogen atmosphere for 48 h. After this time, the reaction mixture was cooled to room temperature and concentrated under reduced pressure. The residue was dissolved in ethyl acetate (50 mL) and washed with aqueous 10% citric acid (2×25 mL) and water (25 mL). The organic layer was extracted with saturated aqueous sodium bicarbonate (2×25 mL). The combined aqueous bicarbonate layers were acidified to pH ˜2 with 6 N hydrochloric acid and extracted with ethyl acetate (4×25 mL). The combined organics were dried over sodium sulfate, filtered, and concentrated under reduced pressure to provide (S)-2-(((S)-2-((tert-butoxycarbonyl)oxy)propanoyl)oxy)propanoic acid (659 mg, 72%) as a colorless oil:1H NMR (300 MHz, CDCl3) δ 5.27-5.17 (m, 1H), 4.98 (q, J=7.2 Hz, 1H), 1.60-1.55 (m, 6H), 1.50 (s, 9H), CO2H proton not observed; ESI MS m/z 261 [C11H18O7−H].
Preparation of (S)-2,5-Dioxopyrrolidin-1-yl 2-(((S)-2-((tert-butoxycarbonyl)oxy)propanoyl)oxy)propanoate
Figure US10226456-20190312-C00910
A solution of (S)-2-(((S)-2-((tert-butoxycarbonyl)oxy)propanoyl)oxy)propanoic acid (659 mg, 2.51 mmol) in tetrahydrofuran (10 mL) was treated with N-hydroxysuccinimide (323 mg, 2.81 mmol) and N,N′-dicyclohexylcarbodiimide (573 mg, 2.78 mmol) and stirred under a nitrogen atmosphere for 3 h. After this time, the reaction mixture was filtered to remove the solid dicyclohexylurea byproduct. The solid was washed with diethyl ether, and the combined filtrate and washings were concentrated under reduced pressure to provide (S)-2,5-dioxopyrrolidin-1-yl 2-(((S)-2-((tert-butoxycarbonyl)oxy)propanoyl)oxy)propanoate (813 g, 90%) as an off-white solid:1H NMR (300 MHz, CDCl3) δ 5.54 (q, J=6.9 Hz, 1H), 4.99 (q, J=7.2 Hz, 1H), 2.84 (s, 4H), 1.72 (d, J=7.2 Hz, 3H), 1.56 (d, J=6.9 Hz, 3H), 1.48 (s, 9H).
Preparation of (S)-(4R,4aS,7aR,12bS)-9-((tert-Butoxycarbonyl)oxy)-4a-hydroxy-3-methyl-2,3,4,4a,5,7a-hexahydro-1H-4,12-methanobenzofuro[3,2-e]isoquinolin-7-yl 2-(((S)-2-((tert-butoxycarbonyl)oxy)propanoyl)oxy)propanoate
Figure US10226456-20190312-C00911
A solution of tert-butyl ((4R,4aS,7aR,12bS)-4a-hydroxy-3-methyl-7-oxo-2,3,4,4a,5,6,7,7a-octahydro-1H-4,12-methanobenzofuro[3,2-e]isoquinolin-9-yl) carbonate (1.50 g, 3.79 mmol) in tetrahydrofuran (30 mL) was cooled in an ice bath and treated dropwise with a 1.0 M solution of lithium bis(trimethylsilyl)amide in tetrahydrofuran (7.60 mL, 7.60 mmol). After 30 min, the mixture was treated dropwise with a solution of 2(S)-2,5-dioxopyrrolidin-1-yl 2-(((S)-2-((tert-butoxycarbonyl)oxy)propanoyl)oxy)propanoate (1.50 g, 4.17 mmol) in tetrahydrofuran (15 mL) and stirred at 0° C. for 25 min. After this time, the reaction mixture was poured into cold saturated aqueous ammonium chloride (10 mL) and extracted with ethyl acetate (2×25 mL). The combined organics were dried over sodium sulfate, filtered, and concentrated under reduced pressure. The crude residue was purified by reversed phase column chromatography (50 g C18 column, 10-100% acetonitrile/water) and freeze dried to provide (S)-(4R,4aS,7aR,12bS)-9-((tert-Butoxycarbonyl)oxy)-4a-hydroxy-3-methyl-2,3,4,4a,5,7a-hexahydro-1H-4,12-methanobenzofuro[3,2-e]isoquinolin-7-yl 2-(((S)-2-((tert-butoxycarbonyl)oxy)propanoyl)oxy)propanoate (55 mg, 2%) as a white solid: ESI LC/MS m/z 646 [C33H43NO12+H]+.
Preparation of (S)-(4R,4aS,7aR,12bS)-4a,9-Dihydroxy-3-methyl-2,3,4,4a,5,7a-hexahydro-1H-4,12-methanobenzofuro[3,2-e]isoquinolin-7-yl 2-(((S)-2-hydroxypropanoyl)oxy)propanoate trifluoroacetic acid salt
Figure US10226456-20190312-C00912
A solution of (S)-(4R,4aS,7aR,12bS)-9-((tert-butoxycarbonyl)oxy)-4a-hydroxy-3-methyl-2,3,4,4a,5,7a-hexahydro-1H-4,12-methanobenzofuro[3,2-e]isoquinolin-7-yl 2-(((S)-2-((tert-butoxycarbonyl)oxy)propanoyl)oxy)propanoate (55 mg, 0.085 mmol) in methylene chloride (0.25 mL) was treated with trifluoroacetic acid (0.25 mL) and stirred under a nitrogen atmosphere at ambient temperature for 30 min. After this time, the reaction mixture was concentrated under reduced pressure. The residue was purified by reversed phase column chromatography (15.5 g C18 column, 10-100% acetonitrile/water) and freeze dried to provide (S)-(4R,4aS,7aR,12bS)-4a,9-dihydroxy-3-methyl-2,3,4,4a,5,7a-hexahydro-1H-4,12-methanobenzofuro[3,2-e]isoquinolin-7-yl 2-(((S)-2-hydroxypropanoyl)oxy)propanoate trifluoroacetic acid salt (47 mg, 99%) as an off-white solid:1H NMR (300 MHz, DMSO-d6) δ 9.29 (s, 1H), 9.15 (br s, 1H), 6.68 (d, J=8.4 Hz, 1H), 6.62 (d, J=8.1 Hz, 1H), 6.25 (br s, 1H), 5.59-5.55 (m, 1H), 5.50 (d, J=5.7 Hz, 1H), 5.15 (q, J=6.9 Hz, 1H), 4.96 (s, 1H), 4.29-4.20 (m, 1H), 3.62 (br s, 1H), 3.41-3.33 (m, 1H), 3.10-3.03 (m, 2H), 2.83 (s, 3H), 2.68-2.56 (m, 1H), 2.46-2.41 (m, 1H), 2.33-2.25 (m, 1H), 2.09-2.03 (m, 1H), 1.64-1.60 (m, 1H), 1.53 (d, J=6.9 Hz, 3H), 1.32 (d, J=6.6 Hz, 3H); ESI MS m/z 446 [C23H27NO8+H]+.
Figure US10226456-20190312-C00913
Preparation of (S)-3-(1-(tert-Butoxycarboyl)-1H-imidazol-4-yl)-2-(3-((tert-butoxycarbonyl)amino)propanamido)propanoic acid
Figure US10226456-20190312-C00914
A suspension of (S)-2-(3-aminopropanamido)-3-(1H-imidazol-4-yl)propanoic acid (3.00 g, 13.3 mmol) in a mixture of 1,4-dioxane/water (13.5 mL, 2:1) was stirred at ambient temperature until a clear solution was obtained (˜10 minutes). The mixture was treated dropwise with a solution of 1 M aqueous NaOH (4.40 mL, 4.42 mmol). The reaction mixture was cooled to 0° C. and treated with di-tert-butyl dicarbonate (2.12 g, 9.72 mmol). The ice bath was removed and stirring continued at ambient temperature for 2 h. After this time, the volatiles were removed under reduced pressure. The residue was diluted with water (40 mL) and ethyl acetate (60 mL), acidified to pH ˜3 with 1.0 M potassium bisulfate and extracted with ethyl acetate (3×100 mL). The combined organics were dried over sodium sulfate, filtered, and concentrated under reduced pressure to provide (S)-3-(1-(tert-butoxycarboyl)-1H-imidazol-4-yl)-2-(3-((tert-butoxycarbonyl)amino)propanamido)propanoic acid (1.70 g, 90%) as a white solid:1H NMR (300 MHz, CDCl3) δ 8.15 (s, 1H), 7.21 (s, 1H), 6.69-6.67 (br s, 1H), 5.28 (s, 1H), 4.72-4.66 (m, 1H), 3.46-3.40 (m, 2H), 3.26 (dd, J=11.7, 5.7 Hz, 1H), 3.13 (dd, J=15.0, 6.3 Hz, 1H), 2.46 (t, J=26.3 Hz, 2H), 1.61 (s, 9H), 1.44 (s, 9H), CO2H proton not observed.
Preparation of (S)-tert-Butyl 4-(2-(3-((tert-butoxycarbonyl)amino)propanamido)-3-((2,5-dioxopyrrolidin-1-yl)oxy)-3-oxopropyl)-1H-imidazole-1-carboxylate
Figure US10226456-20190312-C00915
A solution of (S)-3-(1-(tert-butoxycarboyl)-1H-imidazol-4-yl)-2-(3-((tert-butoxycarbonyl)amino)propanamido)propanoic acid (4.90 g, 11.5 mmol) in tetrahydrofuran (60 mL) was treated with N-hydroxysuccinimide (1.70 g, 14.9 mmol) and N,N′-dicyclohexylcarbodiimide (3.08 g, 14.9 mmol) and stirred under a nitrogen atmosphere for 3 h. After this time, the reaction mixture was filtered to remove the solid dicyclohexylurea byproduct. The solid was washed with diethyl ether (100 mL), and the combined filtrate and washings were concentrated under reduced pressure. The residue was triturated with diethyl ether to provide (S)-tert-butyl 4-(2-(3-((tert-butoxycarbonyl)amino)propanamido)-3-((2,5-dioxopyrrolidin-1-yl)oxy)-3-oxopropyl)-1H-imidazole-1-carboxylate (7.20 g, quantitative) as a white foam:1H NMR (300 MHz, CDCl3) δ 8.02 (s, 1H), 7.41 (s, 1H), 5.72 (br s, 1H), 5.17-5.11 (m, 1H), 3.51-3.3.41 (m, 2H), 3.21 (d, J=4.8 Hz, 2H), 2.82 (m, 5H), 2.49-2.44 (m, 2H), 1.61 (s, 9H), 1.42 (s, 9H).
Preparation of tert-Butyl 4-((S)-2-(3-((tert-butoxycarbonyl)amino)propanamido)-3-(((4R,4aS,7aR,12bS)-9-((tert-butoxycarbonyl)oxy)-4a-hydroxy-3-methyl-2,3,4,4a,5,7a-hexahydro-1H-4,12-methanobenzofuro[3,2-e]isoquinolin-7-yl)oxy)-3-oxopropyl)-1H-imidazole-1-carboxylate
Figure US10226456-20190312-C00916
A solution of tert-butyl ((4R,4aS,7aR,12bS)-4a-hydroxy-3-methyl-7-oxo-2,3,4,4a,5,6,7,7a-octahydro-1H-4,12-methanobenzofuro[3,2-e]isoquinolin-9-yl) carbonate (0.400 g, 0.996 mmol) in tetrahydrofuran (8 mL) was cooled in an ice bath and treated dropwise with a 1.0 M solution of lithium bis(trimethylsilyl)amide in tetrahydrofuran (2.0 mL, 2.0 mmol). The mixture was stirred at 0° C. for 20 min and then treated dropwise with a solution of (S)-tert-butyl 4-(2-(3-((tert-butoxycarbonyl)amino)propanamido)-3-((2,5-dioxopyrrolidin-1-yl)oxy)-3-oxopropyl)-1H-imidazole-1-carboxylate (1.04 g, 1.99 mmol) in tetrahydrofuran (8 mL). The reaction mixture was stirred at 0° C. for 1.5 h. After this time, the mixture was poured into saturated aqueous ammonium chloride (75 mL) and extracted with ethyl acetate (2×100 mL). The combined organics were dried over sodium sulfate, filtered, and concentrated under reduced pressure. The crude residue was purified by reversed phase chromatography (150 g C18 column, 10-75% acetonitrile/water) followed by regular phase chromatography (silica, 0-4% methanol/methylene chloride) to provide tert-butyl 4-((S)-2-(3-((tert-butoxycarbonyl)amino)propanamido)-3-(((4R,4aS,7aR,12bS)-9-((tert-butoxycarbonyl)oxy)-4a-hydroxy-3-methyl-2,3,4,4a,5,7a-hexahydro-1H-4,12-methanobenzofuro[3,2-e]isoquinolin-7-yl)oxy)-3-oxopropyl)-1H-imidazole-1-carboxylate (0.025 g, 3%) as a white solid. This material was used without further purification.
Preparation of (S)-(4R,4aS,7aR,12bS)-4a,9-Dihydroxy-3-methyl-2,3,4,4a,5,7a-hexahydro-1H-4,12-methanobenzofuro[3,2-e]isoquinolin-7-yl 2-(3-aminopropanamido)-3-(1H-imidazol-4-yl)propanoate trifluoroacetic acid salt
Figure US10226456-20190312-C00917
A solution of tert-butyl 4-((S)-2-(3-((tert-butoxycarbonyl)amino)propanamido)-3-(((4R,4aS,7aR,12bS)-9-((tert-butoxycarbonyl)oxy)-4a-hydroxy-3-methyl-2,3,4,4a,5,7a-hexahydro-1H-4,12-methanobenzofuro[3,2-e]isoquinolin-7-yl)oxy)-3-oxopropyl)-1H-imidazole-1-carboxylate (0.025 g, 0.03 mmol) in methylene chloride (3 mL) was treated with trifluoroacetic acid (1.5 mL) and stirred under a nitrogen atmosphere at ambient temperature for 1 h. After this time, the reaction mixture was concentrated under reduced pressure. The residue was triturated with diethyl ether then freeze dried from water to provide (S)-(4R,4aS,7aR,12bS)-4a,9-dihydroxy-3-methyl-2,3,4,4a,5,7a-hexahydro-1H-4,12-methanobenzofuro[3,2-e]isoquinolin-7-yl 2-(3-aminopropanamido)-3-(1H-imidazol-4-yl)propanoate trifluoroacetic acid salt (0.026 g, quantitative) as an off-white solid:1H NMR (300 MHz, DMSO-d6) δ 9.40 (br s, 1H), 9.18 (br s, 1H), 8.94 (br s, 1H), 8.82 (d, J=7.2 Hz, 1H), 7.73 (br s, 3H), 7.47 (s, 1H), 6.70 (d, J=8.1 Hz, 1H), 6.63 (d, J=8.1 Hz, 1H), 6.27 (s, 1H), 5.53-5.51 (m, 1H), 4.91 (s, 1H), 4.69 (q, J=7.2 Hz, 1H), 3.63 (d, J=4.8 Hz, 1H), 3.39 (d, J=19.8 Hz, 1H), 3.28-2.93 (m, 7H), 2.85 (s, 3H), 2.74-2.55 (m, 1H), 2.29 (dd, J=17.7, 6.0 Hz, 1H), 2.04 (d, J=18.0 Hz, 1H), three protons not observed; ESI MS m/z 510[C26H31N5O6+H]+.
Figure US10226456-20190312-C00918
Preparation (4R,4aS,7aR,12bS)-9-((tert-Butyldimethylsilyl)oxy)-4a-hydroxy-3-methyl-2,3,4,4a,5,6-hexahydro-1H-4,12-methanobenzofuro[3,2-e]isoquinolin-7(7aH)-one
Figure US10226456-20190312-C00919
A solution of oxymorphone hydrochloride (10.0 g, 29.6 mmol) in N,N-dimethylformamide (15 mL) was treated with imidazole (11.0 g, 163 mmol) and tert-butyldimethylsilyl chloride (11.0 g, 74.0 mmol) at room temperature. After 30 min, the mixture was partitioned between diethyl ether and water. The organic phase was separated and the aqueous phase was extracted with diethyl ether. The combined organics were dried over sodium sulfate, filtered, and concentrated under reduced pressure. The crude residue was purified by recrystallization in ethanol to provide (4R,4aS,7aR,12bS)-9-((tert-butyldimethylsilyl)oxy)-4a-hydroxy-3-methyl-2,3,4,4a,5,6-hexahydro-1H-4,12-methanobenzofuro[3,2-e]isoquinolin-7(7aH)-one (9.81 g, 79%) as a white solid: ESI MS m/z 416 [C23H33NO4Si+H]+.
Preparation (S)-(4R,4aS,7aR,12bS)-9-((tert-Butyldimethylsilyl)oxy)-4a-hydroxy-3-methyl-2,3,4,4a,5,7a-hexahydro-1H-4,12-methanobenzofuro[3,2-e]isoquinolin-7-yl 2-((tert-butoxycarbonyl)amino)propanoate
Figure US10226456-20190312-C00920
A solution of (4R,4aS,7aR,12bS)-9-((tert-butyldimethylsilyl)oxy)-4a-hydroxy-3-methyl-2,3,4,4a,5,6-hexahydro-1H-4,12-methanobenzofuro[3,2-e]isoquinolin-7(7aH)-one (5.09 g, 12.2 mmol) in tetrahydrofuran (60 mL) was cooled in an ice bath and treated dropwise with a 1.0 M solution of lithium bis(trimethylsilyl)amide in tetrahydrofuran (24.5 mL, 24.5 mmol). After 30 min, the mixture was treated dropwise with a solution of (S)-2,5-dioxopyrrolidin-1-yl 2-((tert-butoxycarbonyl)amino)propanoate (7.00 g, 24.5 mmol) in tetrahydrofuran (25 mL) and stirred at 0° C. for 16 h. After this time, the reaction mixture was poured into cold saturated aqueous ammonium chloride and extracted with ethyl acetate. The combined organics were dried over sodium sulfate, filtered, and concentrated under reduced pressure. The crude residue was purified by reversed phase column chromatography (50 g C18 column, 0-100% acetonitrile/water) and freeze dried to provide (S)-(4R,4aS,7aR,12bS)-9-((tert-Butyldimethylsilyl)oxy)-4a-hydroxy-3-methyl-2,3,4,4a,5,7a-hexahydro-1H-4,12-methanobenzofuro[3,2-e]isoquinolin-7-yl 2-((tert-butoxycarbonyl)amino)propanoate (3.52 g, 49%) as a white solid:1H NMR (300 MHz, CDCl3) δ 6.65 (d, J=8.1 Hz, 1H), 6.56 (d, J=7.8 Hz, 1H), 5.64 (dd, J=5.7, 2.4 Hz, 1H), 5.08 (m, 1H), 4.98 (s, 1H), 4.43 (m, 1H), 3.49 (m, 1H), 3.17 (d, J=19.2 Hz, 1H), 2.73-2.10 (m, 9H), 1.67-1.58 (m, 2H), 1.48 (d, J=7.2 Hz, 3H), 1.45 (s, 9H), 0.97 (s, 9H), 0.16 (s, 3H), 0.14 (s, 3H).
Preparation of (S)-(4R,4aS,7aR,12bS)-9-((tert-Butyldimethylsilyl)oxy)-4a-hydroxy-3-methyl-2,3,4,4a,5,7a-hexahydro-1H-4,12-methanobenzofuro[3,2-e]isoquinolin-7-yl 2-((S)-2-((tert-butoxycarbonyl)oxy)-2-phenylacetamido)propanoate
Figure US10226456-20190312-C00921
A solution of (S)-(4R,4aS,7aR,12bS)-9-((tert-Butyldimethylsilyl)oxy)-4a-hydroxy-3-methyl-2,3,4,4a,5,7a-hexahydro-1H-4,12-methanobenzofuro[3,2-e]isoquinolin-7-yl 2-((tert-butoxycarbonyl)amino)propanoate (300 mg, 0.511 mmol) in methylene chloride (2 mL) was treated with trifluoroacetic acid (0.5 mL) and stirred under a nitrogen atmosphere at ambient temperature for 1 h. The reaction mixture was then basified to pH 8-9 with N,N-diisopropylethylamine and treated with a solution of (S)-2,5-dioxopyrrolidin-1-yl 2-((tert-butoxycarbonyl)oxy)-2-phenylacetate (268 mg, 0.767 mmol) in methylene chloride (1 mL). After stirring at room temperature for 2 h, the reaction mixture was washed with 10% aqueous citric acid and saturated sodium bicarbonate. The organic phase were separated, dried over sodium sulfate, filtered, and concentrated under reduced pressure. The crude residue was purified by chromatography to provide (S)-(4R,4aS,7aR,12bS)-9-((tert-butyldimethylsilyl)oxy)-4a-hydroxy-3-methyl-2,3,4,4a,5,7a-hexahydro-1H-4,12-methanobenzofuro[3,2-e]isoquinolin-7-yl 2-((S)-2-((tert-butoxycarbonyl)oxy)-2-phenylacetamido)propanoate (100 mg, 27%) as a white solid:1H NMR (300 MHz, CDCl3) δ 7.48-7.43 (m, 2H), 7.40-7.34 (m, 3H), 6.64 (d, J=8.1 Hz, 1H), 6.55 (d, J=8.1 Hz, 1H), 5.89 (s, 1H), 5.64 (m, 1H), 4.96 (s, 1H), 4.72 (m, 1H), 3.19-3.13 (m, 1H), 2.85 (d, J=6.3 Hz, 1H), 2.65-2.57 (m, 1H), 2.46-2.15 (m, 8H), 1.60-1.47 (m, 13H), 0.96 (s, 9H), 0.13 (s, 3H), 0.10 (s, 3H), NH and OH protons not observed.
Preparation of (S)-(4R,4aS,7aR,12bS)-4a,9-Dihydroxy-3-methyl-2,3,4,4a,5,7a-hexahydro-1H-4,12-methanobenzofuro[3,2-e]isoquinolin-7-yl 2-((S)-2-hydroxy-2-phenylacetamido)propanoate trifluoroacetic acid salt
Figure US10226456-20190312-C00922
A solution of (S)-(4R,4aS,7aR,12bS)-9-((tert-butyldimethylsilyl)oxy)-4a-hydroxy-3-methyl-2,3,4,4a,5,7a-hexahydro-1H-4,12-methanobenzofuro[3,2-e]isoquinolin-7-yl 2-((S)-2-((tert-butoxycarbonyl)oxy)-2-phenylacetamido)propanoate (100 mg, 0.139 mmol) in methylene chloride (400 μL) was treated with trifluoroacetic acid (400 μL) and stirred under a nitrogen atmosphere at ambient temperature for 10 min. Water (400 μL) was added, and the mixture was stirred for 21 h. After this time, the reaction mixture was directly purified by reversed phase column chromatography (50 g C18 column, 10-100% acetonitrile/water) and freeze dried to provide (S)-(4R,4aS,7aR,12bS)-4a,9-dihydroxy-3-methyl-2,3,4,4a,5,7a-hexahydro-1H-4,12-methanobenzofuro[3,2-e]isoquinolin-7-yl 2-((S)-2-hydroxy-2-phenylacetamido)propanoate trifluoroacetic acid salt (18 mg, 21%) as an off-white solid:1H NMR (300 MHz, DMSO-d6) δ 9.29 (s, 1H), 9.17 (br s, 1H), 8.43 (d, J=7.2 Hz, 1H), 7.47-7.10 (m, 5H), 6.65 (q, J=8.1 Hz, 2H), 6.27-6.23 (m, 2H), 5.48 (dd, J=6.0, 2.1 Hz, 1H), 4.95 (d, J=4.5 Hz, 1H), 4.91 (s, 1H), 4.36 (m, 1H), 3.59 (m, 1H), 3.09-3.00 (m, 2H), 2.82 (s, 3H), 2.72-2.38 (m, 3H), 2.28-2.20 (m, 1H), 2.06-2.00 (m, 1H), 1.63-1.60 (m, 1H), 1.41 (d, J=7.2 Hz, 3H); ESI MS m/z 507 [C28H30N2O7+H]+.
Figure US10226456-20190312-C00923
Figure US10226456-20190312-C00924
Preparation of (4R,4aS,7aR,12bS)-9-((tert-Butyldimethylsilyl)oxy)-3-methyl-4a-((trimethylsilyl)oxy)-2,3,4,4a,5,6-hexahydro-1H-4, 12-methanobenzofuro[3,2-e]isoquinolin-7(7aH)-one
Figure US10226456-20190312-C00925
A suspension of (4R,4aS,7aR,12bS)-9-((tert-butyldimethylsilyl)oxy)-4a-hydroxy-3-methyl-2,3,4,4a,5,6-hexahydro-1H-4,12-methanobenzofuro[3,2-e]isoquinolin-7(7aH)-one (1.20 g, 2.89 mmol) and ammonium sulfate (8 mg, 0.06 mmol) in bis(trimethylsilyl)amine (4 mL) was heated to 110° C. to obtain a clear solution that was stirred for 6 h. After this time, the mixture was cooled to room temperature and concentrated under reduced pressure. The residue was suspended in 1:1 acetonitrile/water (10 mL) and acidified by dropwise addition of 2 N hydrochloric acid to obtain a clear solution that was stirred at room temperature for 10 min. The mixture was diluted with ethyl acetate and washed with a saturated solution of sodium bicarbonate and brine. The organic layer was dried over sodium sulfate, filtered, and concentrated under reduced pressure to provide (4R,4aS,7aR,12bS)-9-((tert-butyldimethylsilyl)oxy)-3-methyl-4a-((trimethylsilyl)oxy)-2,3,4,4a,5,6-hexahydro-1H-4,12-methanobenzofuro[3,2-e]isoquinolin-7(7aH)-one (1.23 g, 87%):1H NMR (300 MHz, CDCl3) δ 6.61 (d, J=8.1 Hz, 1H), 6.52 (d, J=8.1 Hz, 1H), 4.50 (s, 1H), 3.17 (d, J 18.4 Hz, 1H), 3.02-2.89 (m, 2H), 2.46-2.35 (m, 3H), 2.31 (s, 3H), 2.23-2.05 (m, 2H), 1.75-1.69 (m, 2H), 1.41-1.35 (m, 1H), 0.99 (s, 9H), 0.27 (s, 3H), 0.18 (s, 12H).
Preparation of (4R,4aS,7aR,12bS)-9-((tert-Butyldimethylsilyl)oxy)-4a-hydroxy-3-methyl-2,3,4,4a,5,7a-hexahydro-1H-4,12-methanobenzofuro[3,2-e]isoquinolin-7-yl 3-((tert-butoxycarbonyl)amino)propanoate
Figure US10226456-20190312-C00926
A suspension of (4R,4aS,7aR,12bS)-9-((tert-butyldimethylsilyl)oxy)-3-methyl-4a-((trimethylsilyl)oxy)-2,3,4,4a,5,6-hexahydro-1H-4,12-methanobenzofuro[3,2-e]isoquinolin-7(7aH)-one (0.26 g, 0.53 mmol) in tetrahydrofuran (8 mL) was cooled in an ice bath and treated dropwise with a 1.0 M solution of lithium bis(trimethylsilyl)amidein tetrahydrofuran (0.7 mL, 0.7 mmol). After addition was complete, the mixture was stirred at ambient temperature for 10 min. The mixture was re-cooled in the ice bath and treated dropwise with a solution of 2,5-dioxopyrrolidin-1-yl 3-((tert-butoxycarbonyl)amino)propanoate (0.26 g, 0.91 mmol) in tetrahydrofuran (4 mL). After addition was complete, the mixture was stirred at ambient temperature for 45 min. After this time, the reaction mixture was cooled in an ice bath, treated with saturated aqueous ammonium chloride, and extracted with ethyl acetate. The combined organics were dried over sodium sulfate, filtered, and concentrated under reduced pressure. The residue was purified by column chromatography (silica gel, 0-10% methanol/methylene chloride) to provide (4R,4aS,7aR,12bS)-9-((tert-butyldimethylsilyl)oxy)-4a-hydroxy-3-methyl-2,3,4,4a,5,7a-hexahydro-1H-4,12-methanobenzofuro[3,2-e]isoquinolin-7-yl 3-((tert-butoxycarbonyl)amino)propanoate (0.20 g, 57%):1H NMR (300 MHz, CDCl3) δ 6.65 (d, J=8.1 Hz, 1H), 6.55 (d, J=8.1 Hz, 1H), 5.61 (dd, J=5.6, 2.8 Hz, 1H), 5.02 (s, 1H), 3.42-3.39 (m, 2H), 3.16 (d, J=18.7 Hz, 1H), 2.72-2.60 (m, 6H), 2.43 (s, 3H), 2.42-2.15 (m, 4H), 1.65-1.55 (m, 1H), 1.44 (s, 9H), 9.67 (s, 9H), 0.17 (s, 3H), 0.14 (s, 3H), NH proton not observed.
Preparation of (4R,4aS,7aR,12bS)-9-((tert-Butyldimethylsilyl)oxy)-4a-hydroxy-3-methyl-2,3,4,4a,5,7a-hexahydro-1H-4,12-methanobenzofuro[3,2-e]isoquinolin-7-yl 3-((S)-2-((tert-butoxycarbonyl)oxy)-2-phenylacetamido)propanoate
Figure US10226456-20190312-C00927
A solution of (4R,4aS,7aR,12bS)-9-((tert-butyldimethylsilyl)oxy)-4a-hydroxy-3-methyl-2,3,4,4a,5,7a-hexahydro-1H-4,12-methanobenzofuro[3,2-e]isoquinolin-7-yl 3-((tert-butoxycarbonyl)amino)propanoate (115 mg, 0.196 mmol) in methylene chloride (2.5 mL) was treated with trifluoroacetic acid (0.3 mL), and the mixture was stirred at room temperature for 10 min. After this time, LC-MS analysis of the reaction mixture showed cleavage of the Boc protecting group. N,N-Diisopropylethylamine was added slowly until the reaction mixture tested basic by pH paper analysis (0.4 mL of base added), followed by addition of (S)-2,5-dioxopyrrolidin-1-yl 2-((tert-butoxycarbonyl)oxy)-2-phenylacetate (80 mg, 0.23 mmol) in one portion. The reaction mixture was stirred at room temperature for 1.5 h, and then diluted with ethyl acetate; washed successively with 10% citric acid, saturated sodium bicarbonate, and brine; dried over sodium sulfate; filtered; and concentrated. The residue was purified by column chromatography (12 g silica, 0-10% methanol/methylene chloride) to provide (4R,4aS,7aR,12bS)-9-((tert-butyldimethylsilyl)oxy)-4a-hydroxy-3-methyl-2,3,4,4a,5,7a-hexahydro-1H-4,12-methanobenzofuro[3,2-e]isoquinolin-7-yl 3-((S)-2-((tert-butoxycarbonyl)oxy)-2-phenylacetamido)propanoate (50 mg, 35%): ESI MS m/z 721 [C39H52N2O9Si+H]+.
Preparation of (4R,4aS,7aR,12bS)-4a,9-Dihydroxy-3-methyl-2,3,4,4a,5,7a-hexahydro-1H-4,12-methanobenzofuro[3,2-e]isoquinolin-7-yl 3-((S)-2-((tert-butoxycarbonyl)oxy)-2-phenylacetamido)propanoate
Figure US10226456-20190312-C00928
A solution of (4R,4aS,7aR,12bS)-9-((tert-butyldimethylsilyl)oxy)-4a-hydroxy-3-methyl-2,3,4,4a,5,7a-hexahydro-1H-4,12-methanobenzofuro[3,2-e]isoquinolin-7-yl 3-((S)-2-((tert-butoxycarbonyl)oxy)-2-phenylacetamido)propanoate (50 mg, 0.07 mmol) in tetrahydrofuran (2 mL) was treated with water (1 mL), followed by trifluoroacetic acid (1 mL), and the mixture was stirred at room temperature for 4 h. After this time, the mixture was concentrated, and the residue was azeotroped with toluene to provide (4R,4aS,7aR,12bS)-4a,9-dihydroxy-3-methyl-2,3,4,4a,5,7a-hexahydro-1H-4,12-methanobenzofuro[3,2-e]isoquinolin-7-yl 3-((S)-2-((tert-butoxycarbonyl)oxy)-2-phenylacetamido)propanoate (50 mg, crude) that was used without purification: ESI MS m/z 607 [C33H38N2O9+H]+.
Preparation of (4R,4aS,7aR,12bS)-4a,9-Dihydroxy-3-methyl-2,3,4,4a,5,7a-hexahydro-1H-4,12-methanobenzofuro[3,2-e]isoquinolin-7-yl 3-((S)-2-hydroxy-2-phenylacetamido)propanoate trifluoroacetic acid salt
Figure US10226456-20190312-C00929
A solution of (4R,4aS,7aR,12bS)-4a,9-dihydroxy-3-methyl-2,3,4,4a,5,7a-hexahydro-1H-4,12-methanobenzofuro[3,2-e]isoquinolin-7-yl 3-((S)-2-((tert-butoxycarbonyl)oxy)-2-phenylacetamido)propanoate (50 mg) in methylene chloride (1.5 mL) was treated with trifluoroacetic acid (1 mL) and stirred at ambient temperature for 1 h. After this time, the reaction mixture was concentrated under reduced pressure. The residue was purified by reversed phase column chromatography (15.5 g C18 column, 5-50% acetonitrile/water) and freeze dried to provide (4R,4aS,7aR,12bS)-4a,9-dihydroxy-3-methyl-2,3,4,4a,5,7a-hexahydro-1H-4,12-methanobenzofuro[3,2-e]isoquinolin-7-yl 3-((S)-2-hydroxy-2-phenylacetamido)propanoate trifluoroacetic acid salt (21 mg, 58% over two steps) as a fluffy white solid:1H NMR (300 MHz, DMSO-d6) δ 9.31 (s, 1H), 9.15 (s, 1H), 8.15 (t, J=5.8 Hz, 1H), 7.41-7.37 (m, 2H), 7.33-7.23 (m, 3H), 6.65 (q, J=7.9 Hz, 2H), 6.22-6.20 (m, 2H), 5.46 (dd, J=5.8, 1.9 Hz, 1H), 4.94 (s, 1H), 4.90 (d, J=4.5 Hz, 1H), 3.60 (s, 1H), 3.40-3.32 (m, 2H), 3.13-3.00 (m, 2H), 2.83 (s, 3H), 2.62 (t, J=7.0 Hz, 3H), 2.50-2.38 (m, 1H), 2.28-2.19 (m, 1H), 2.03 (d, J=18.0 Hz, 1H), 1.61 (d, J=12.3 Hz, 1H); ESI MS m/z 507 [C30H30F3N2O8+H]+; HPLC (Method A) 94.9% (AUC), tR=7.47 min.
Figure US10226456-20190312-C00930
Preparation of (S)-2-((3-((tert-Butoxycarbonyl)amino)propanoyl)oxy)propanoic acid
Figure US10226456-20190312-C00931
(S)-Lactic acid (755 mg, 8.38 mmol), 2,5-dioxopyrrolidin-1-yl 3-((tert-butoxycarbonyl)amino)propanoate (2.00 g, 6.99 mmol), 4-(dimethylamino)pyridine (85 mg, 0.70 mmol), pyridine (663 mg, 8.38 mmol) and tetrahydrofuran (34 mL) were combined and heated at 80° C. under a nitrogen atmosphere for 24 h. After this time, the solvent was removed under reduced pressure, and the residue was partitioned between ethyl acetate (20 mL) and 10% aqueous citric acid. The organic layer was separated and extracted with saturated aqueous sodium bicarbonate (20 ml). The aqueous phase was collected and acidified to pH=3 with 6 N hydrochloric acid, and the mixture was extracted with ethyl acetate (2×20 mL). The combined organics were washed with brine (50 mL), dried over sodium sulfate, filtered, and concentrated under reduced pressure to provide (S)-2-((3-((tert-butoxycarbonyl)amino)propanoyl)oxy)propanoic acid (1.67 g, 91%) as a white solid:1H NMR (300 MHz, CDCl3) δ 5.17 (q, J=6.9 Hz, 1H), 3.45 (m, 2H), 2.60 (m, 2H), 1.54 (d, J=6.9 Hz, 3H), 1.44 (s, 9H).
Preparation of (S)-2,5-Dioxopyrrolidin-1-yl 2-((3-((tert-butoxycarbonyl)amino)propanoyl)oxy)propanoate
Figure US10226456-20190312-C00932
A solution of (S)-2-((3-((tert-butoxycarbonyl)amino)propanoyl)oxy)propanoic acid (1.67 g, 6.40 mmol) in tetrahydrofuran (30 mL) was treated with N-hydroxysuccinimide (810 mg, 7.04 mmol) and N,N′-dicyclohexylcarbodiimide (1.45 g, 7.04 mmol) and stirred under a nitrogen atmosphere for 16 h. After this time, the reaction mixture was filtered to remove the solid dicyclohexylurea byproduct. The solid was washed with diethyl ether (100 mL), and the combined filtrate and washings were concentrated under reduced pressure. The residue was triturated with diethyl ether to provide (S)-2,5-dioxopyrrolidin-1-yl 2-((3-((tert-butoxycarbonyl)amino)propanoyl)oxy)propanoate (2.73 g) as a white powder:1H NMR (300 MHz, CDCl3) δ 5.41 (q, J=6.9 Hz, 1H), 3.46 (m, 2H), 2.85 (s, 4H), 2.64 (m, 2H), 1.69 (d, J=6.9 Hz, 3H), 1.43 (s, 9H).
Preparation of (S)-(4R,4aS,7aR,12bS)-9-((tert-Butoxycarbonyl)oxy)-4a-hydroxy-3-methyl-2,3,4,4a,5,7a-hexahydro-1H-4,12-methanobenzofuro[3,2-e]isoquinolin-7-yl 2-((3-((tert-butoxycarbonyl)amino)propanoyl)oxy)propanoate
Figure US10226456-20190312-C00933
A solution of tert-butyl ((4R,4aS,7aR,12bS)-4a-hydroxy-3-methyl-7-oxo-2,3,4,4a,5,6,7,7a-octahydro-1H-4,12-methanobenzofuro[3,2-e]isoquinolin-9-yl) carbonate (500 mg, 1.25 mmol) in tetrahydrofuran (10 mL) was cooled to 0° C. and treated dropwise with a 1.0 M solution of lithium bis(trimethylsilyl)amide in tetrahydrofuran (1.5 mL, 1.5 mmol). After addition was complete, the mixture was stirred at 0° C. for 25 min and then at ambient temperature for 25 min. The mixture was re-cooled to −78° C. and a solution of (S)-2,5-dioxopyrrolidin-1-yl 2-((3-((tert-butoxycarbonyl)amino)propanoyl)oxy)propanoate (490 mg, 1.37 mmol) in tetrahydrofuran (5 mL) was added. The mixture was allowed to warm to 0° C. over 2 h and then treated with saturated aqueous ammonium chloride (10 mL), and extracted with ethyl acetate (2×25 mL). The combined organics were dried over sodium sulfate, filtered, and concentrated under reduced pressure. The crude residue was purified by column chromatography (40 g, silica gel, 0-20% methanol/methylene chloride, then 50 g, C18, 10-100% acetonitrile/water) to provide (S)-(4R,4aS,7aR,12bS)-9-((tert-butoxycarbonyl)oxy)-4a-hydroxy-3-methyl-2,3,4,4a,5,7a-hexahydro-1H-4,12-methanobenzofuro[3,2-e]isoquinolin-7-yl 2-((3-((tert-butoxycarbonyl)amino)propanoyl)oxy)propanoate (188 mg, 23%) as a white solid:1H NMR (300 MHz, CDCl3) δ 6.91 (d, J=8.1 Hz, 1H), 6.66 (d, J=8.4 Hz, 1H), 5.63 (dd, J=5.7, 2.7 Hz, 1H), 5.17 (q, J=7.2 Hz, 1H), 5.05 (s, 1H), 3.45 (m, 2H), 3.18 (d, J=18.9 Hz, 1H), 2.87 (d, J=6.3 Hz, 1H), 2.59-2.69 (m, 3H), 2.47-2.01 (m, 5H), 2.38 (s, 3H), 1.53-1.67 (m, 13H), 1.42 (s, 9H).
Preparation of (S)-(4R,4aS,7aR,12bS)-4a,9-Dihydroxy-3-methyl-2,3,4,4a,5,7a-hexahydro-1H-4,12-methanobenzofuro[3,2-e]isoquinolin-7-yl 2-((3-aminopropanoyl)oxy)propanoate bis(trifluoroacetic acid salt)
Figure US10226456-20190312-C00934
A solution of (S)-(4R,4aS,7aR,12bS)-9-((tert-butoxycarbonyl)oxy)-4a-hydroxy-3-methyl-2,3,4,4a,5,7a-hexahydro-1H-4,12-methanobenzofuro[3,2-e]isoquinolin-7-yl 2-((3-((tert-butoxycarbonyl)amino)propanoyl)oxy)propanoate (45 mg, 0.070 mmol) in methylene chloride (0.8 mL) was treated with trifluoroacetic acid (0.8 mL) and stirred under a nitrogen atmosphere at ambient temperature for 15 min. After this time, the reaction mixture was concentrated under reduced pressure. The residue was purified by reversed phase column chromatography (50 g C18 column, 0-100% acetonitrile/water) and freeze dried to provide (S)-(4R,4aS,7aR,12bS)-4a,9-dihydroxy-3-methyl-2,3,4,4a,5,7a-hexahydro-1H-4,12-methanobenzofuro[3,2-e]isoquinolin-7-yl 2-((3-aminopropanoyl)oxy)propanoate bis(trifluoroacetic acid salt) (32.2 mg, 68%) as a fluffy white solid:1H NMR (300 MHz, DMSO-d6) δ 9.32 (s, 1H), 9.16 (s, 1H), 7.78 (s, 3H), 6.66 (q, J=10.5 Hz, 2H), 6.23 (s, 1H), 5.59 (dd, J=6.0, 4.2 Hz, 1H), 5.17 (q, J=6.9 Hz, 1H), 3.62 (m, 1H), 3.08 (m, 4H), 2.63-2.84 (m, 6H), 2.45-2.49 (m, 4H), 2.05 (d, J=18.3 Hz, 1H), 1.61 (d, J=12.3 Hz, 1H), 1.54 (d, J=6.9 Hz, 3H); ESI MS m/z 459 [C23H28N2O7+H]+.
Figure US10226456-20190312-C00935
Preparation of (S)-2-(((S)-2-((tert-Butoxycarbonyl)amino)-4-methylpentanoyl)oxy)propanoic acid
Figure US10226456-20190312-C00936
(S)-Lactic acid (658 mg, 7.31 mmol), (S)-2,5-dioxopyrrolidin-1-yl 2-((tert-butoxycarbonyl)amino)-4-methylpentanoate (2.00 g, 6.09 mmol), 4-(dimethylamino)pyridine (74 mg, 0.61 mmol), pyridine (578 mg, 7.31 mmol), and tetrahydrofuran (35 mL) were combined and heated at 80° C. under a nitrogen atmosphere for 24 h. After this time, the solvent was removed under reduced pressure, and the residue was partitioned between ethyl acetate (20 mL) and 10% aqueous citric acid. The organic layer was separated and extracted with saturated aqueous sodium bicarbonate (20 ml). The aqueous phase was collected and acidified to pH=3 with 6 N hydrochloric acid, and the mixture was extracted with ethyl acetate (2×20 mL). The combined organics were washed with brine (50 mL), dried over sodium sulfate, filtered, and concentrated under reduced pressure to provide (S)-2-(((S)-2-((tert-butoxycarbonyl)amino)-4-methylpentanoyl)oxy)propanoic acid (1.83 g, 99%) as a white solid:1H NMR (300 MHz, CDCl3) δ 5.20-5.14 (m, 1H), 4.88 (m, 1H), 4.32 (m, 1H), 1.81-1.65 (m, 2H), 1.59-1.51 (m, 4H), 1.45 (s, 9H), 0.96 (d, J=6.3 Hz, 6H), CO2H proton not observed.
Preparation of (S)-(S)-1-((2,5-Dioxopyrrolidin-1-yl)oxy)-1-oxopropan-2-yl 2-((tert-butoxycarbonyl)amino)-4-methylpentanoate
Figure US10226456-20190312-C00937
A solution of (S)-2-(((S)-2-((tert-butoxycarbonyl)amino)-4-methylpentanoyl)oxy)propanoic acid (1.83 g, 6.04 mmol) in tetrahydrofuran (40 mL) was treated with N-hydroxysuccinimide (765 mg, 6.64 mmol) and N,N′-dicyclohexylcarbodiimide (1.37 g, 6.64 mmol) and stirred under a nitrogen atmosphere for 5 h. After this time, the reaction mixture was filtered to remove the solid dicyclohexylurea byproduct. The solid was washed with diethyl ether (100 mL), and the combined filtrate and washings were concentrated under reduced pressure. The residue was triturated with diethyl ether to provide (S)-(S)-1-((2,5-dioxopyrrolidin-1-yl)oxy)-1-oxopropan-2-yl 2-((tert-butoxycarbonyl)amino)-4-methylpentanoate (3.03 g) as a white semi-solid:1H NMR (300 MHz, CDCl3) δ 5.48-5.43 (m, 1H), 4.86 (m, 1H), 4.38-4.33 (m, 1H), 2.84 (s, 4H), 1.91-1.48 (m, 2H), 1.72-1.70 (m, 4H), 1.44 (s, 9H), 0.95 (m, 6H).
Preparation of (S)-(S)-1-(((4R,4aS,7aR,12bS)-9-((tert-Butoxycarbonyl)oxy)-4a-hydroxy-3-methyl-2,3,4,4a,5,7a-hexahydro-1H-4,12-methanobenzofuro[3,2-e]isoquinolin-7-yl)oxy)-1-oxopropan-2-yl 2-((tert-butoxycarbonyl)amino)-4-methylpentanoate
Figure US10226456-20190312-C00938
A solution of tert-butyl ((4R,4aS,7aR,12bS)-4a-hydroxy-3-methyl-7-oxo-2,3,4,4a,5,6,7,7a-octahydro-1H-4,12-methanobenzofuro[3,2-e]isoquinolin-9-yl) carbonate (500 mg, 1.25 mmol) in tetrahydrofuran (10 mL) was cooled to 0° C. and treated dropwise with a 1.0 M solution of lithium bis(trimethylsilyl)amide in tetrahydrofuran (1.5 mL, 1.5 mmol). After addition was complete, the mixture was stirred at 0° C. for 25 min and then at ambient temperature for 25 min. The mixture was re-cooled to −78° C., and a solution of (S)-(S)-1-((2,5-dioxopyrrolidin-1-yl)oxy)-1-oxopropan-2-yl 2-((tert-butoxycarbonyl)amino)-4-methylpentanoate (550 mg, 1.37 mmol) in tetrahydrofuran (5 mL) was added. The mixture was allowed to warm to 0° C. over 2 h. After this time, the mixture was treated with saturated aqueous ammonium chloride (10 mL) and extracted with ethyl acetate (2×25 mL). The combined organics were dried over sodium sulfate, filtered, and concentrated under reduced pressure. The crude residue was purified by column chromatography (40 g silica gel column, 0-20% methanol/methylene chloride, then 50 g C18 column, 10-100% acetonitrile/water) to provide (S)-(S)-1-(((4R,4aS,7aR,12bS)-9-((tert-butoxycarbonyl)oxy)-4a-hydroxy-3-methyl-2,3,4,4a,5,7a-hexahydro-1H-4,12-methanobenzofuro[3,2-e]isoquinolin-7-yl)oxy)-1-oxopropan-2-yl 2-((tert-butoxycarbonyl)amino)-4-methylpentanoate (338 mg, 39%) as a white solid:1H NMR (300 MHz, CDCl3) δ 6.89 (d, J=8.1 Hz, 1H), 6.65 (d, J=8.4 Hz, 1H), 5.61-5.60 (m, 1H), 5.20-5.16 (m, 1H), 3.19 (d, J=18.9 Hz, 1H), 2.86 (d, J=6.3 Hz, 1H), 2.64 (dd, J=18.9, 6.3 Hz, 1H), 2.48-2.07 (m, 5H), 2.38 (s, 3H), 1.83-1.53 (m, 6H), 1.59 (d, J=7.2 Hz, 3H), 1.54 (s, 9H), 1.44 (s, 9H), 0.99-0.94 (m, 6H), OH, NH protons not observed.
Preparation of (S)-(S)-1-(((4R,4aS,7aR,12bS)-4a,9-Dihydroxy-3-methyl-2,3,4,4a,5,7a-hexahydro-1H-4,12-methanobenzofuro[3,2-e]isoquinolin-7-yl)oxy)-1-oxopropan-2-yl 2-amino-4-methylpentanoate bis(trifluoroacetic acid salt)
Figure US10226456-20190312-C00939
A solution of (S)-(S)-1-(((4R,4aS,7aR,12bS)-9-((tert-butoxycarbonyl)oxy)-4a-hydroxy-3-methyl-2,3,4,4a,5,7a-hexahydro-1H-4,12-methanobenzofuro[3,2-e]isoquinolin-7-yl)oxy)-1-oxopropan-2-yl 2-((tert-butoxycarbonyl)amino)-4-methylpentanoate (45 mg, 0.066 mmol) in methylene chloride (0.8 mL) was treated with trifluoroacetic acid (0.8 mL) and stirred under a nitrogen atmosphere at ambient temperature for 1 h. After this time, the reaction mixture was concentrated under reduced pressure. The residue was purified by reversed phase column chromatography (50 g C18 column, 0-100% acetonitrile/water) and freeze dried to provide (S)-(S)-1-(((4R,4aS,7aR,12bS)-4a,9-dihydroxy-3-methyl-2,3,4,4a,5,7a-hexahydro-1H-4,12-methanobenzofuro[3,2-e]isoquinolin-7-yl)oxy)-1-oxopropan-2-yl 2-amino-4-methylpentanoate bis(trifluoroacetic acid salt) (27 mg, 58%) as a fluffy white solid:1H NMR (300 MHz, DMSO-d6) δ 9.31 (s, 1H), 9.13 (br s, 1H), 8.32 (br s, 3H), 6.66 (apparent q, J=9.6 Hz, 2H), 6.21 (br s, 1H), 5.60 (dd, J=6.0, 2.1 Hz, 1H), 5.34 (q, J=7.2 Hz, 1H), 4.96 (s, 1H), 4.11 (t, J=6.6 Hz, 1H), 3.71-3.53 (m, 1H, partially obscured by water peak), 3.07-3.04 (m, 2H), 2.83 (s, 3H), 2.63-2.41 (m, 3H), 2.33-2.25 (m, 1H), 2.06 (d, J=18.0 Hz, 1H), 1.91-1.57 (m, 4H), 1.58 (d, J=7.2 Hz, 3H), 0.93 (t, J=6.3 Hz, 6H); ESI MS m/z 487 [C26H34N2O7+H]+.
Figure US10226456-20190312-C00940
Preparation of (4R,4aS,7aR,12bS)-9-((tert-Butyldimethylsilyl)oxy)-4a-hydroxy-3-methyl-2,3,4,4a,5,7a-hexahydro-1H-4,12-methanobenzofuro[3,2-e]isoquinolin-7-yl 3-((S)-2-((tert-butoxycarbonyl)oxy)propanamido)propanoate
Figure US10226456-20190312-C00941
A solution of (4R,4aS,7aR,12bS)-9-((tert-butyldimethylsilyl)oxy)-4a-hydroxy-3-methyl-2,3,4,4a,5,7a-hexahydro-1H-4,12-methanobenzofuro[3,2-e]isoquinolin-7-yl 3-((tert-butoxycarbonyl)amino)propanoate (120 mg, 0.20 mmol) in methylene chloride (2.5 mL) was treated with trifluoroacetic acid (0.3 mL), and the mixture was stirred at room temperature for 15 min. After this time, LC-MS analysis of the reaction mixture showed cleavage of the Boc protecting group. N,N-Diisopropylethylamine was added slowly until the reaction mixture tested basic by pH paper analysis (0.4 mL of base added). The mixture was treated with (S)-2,5-dioxopyrrolidin-1-yl 2-((tert-butoxycarbonyl)oxy)propanoate (60 mg, 0.21 mmol) in one portion and stirred at room temperature for 2.5 h. After this time, the mixture was diluted with ethyl acetate and washed successively with 10% citric acid, saturated sodium bicarbonate, and brine. The organic extracts were dried over sodium sulfate, filtered and concentrated. The residue was purified by column chromatography (12 g silica, 0-10% methanol/methylene chloride) to provide (4R,4aS,7aR,12bS)-9-((tert-butyldimethylsilyl)oxy)-4a-hydroxy-3-methyl-2,3,4,4a,5,7a-hexahydro-1H-4,12-methanobenzofuro[3,2-e]isoquinolin-7-yl 3-((S)-2-((tert-butoxycarbonyl)oxy)propanamido)propanoate (60 mg, 46%): ESI MS m/z 659 [C34H50N2O9Si+H]+.
Preparation of (4R,4aS,7aR,12bS)-4a,9-Dihydroxy-3-methyl-2,3,4,4a,5,7a-hexahydro-1H-4,12-methanobenzofuro[3,2-e]isoquinolin-7-yl 3-((S)-2-((tert-butoxycarbonyl)oxy)propanamido)propanoate trifluoroacetic acid salt
Figure US10226456-20190312-C00942
A solution of (4R,4aS,7aR,12bS)-9-((tert-butyldimethylsilyl)oxy)-4a-hydroxy-3-methyl-2,3,4,4a,5,7a-hexahydro-1H-4,12-methanobenzofuro[3,2-e]isoquinolin-7-yl 3-((S)-2-((tert-butoxycarbonyl)oxy)propanamido)propanoate (58 mg, 0.088 mmol) in tetrahydrofuran (2 mL) was treated with water (1 mL) followed by trifluoroacetic acid (1 mL), and the mixture was stirred at room temperature for 3 h. After this time, the mixture was concentrated, and the residue was azeotroped with toluene to provide (4R,4aS,7aR,12bS)-4a,9-dihydroxy-3-methyl-2,3,4,4a,5,7a-hexahydro-1H-4,12-methanobenzofuro[3,2-e]isoquinolin-7-yl 3-((S)-2-((tert-butoxycarbonyl)oxy)propanamido)propanoate trifluoroacetic acid salt (60 mg, crude) that was used without purification: ESI MS m/z 445 [C28H36N2O9+H]+.
Preparation of (4R,4aS,7aR,12bS)-4a,9-Dihydroxy-3-methyl-2,3,4,4a,5,7a-hexahydro-1H-4,12-methanobenzofuro[3,2-e]isoquinolin-7-yl 3-((S)-2-hydroxypropanamido)propanoate trifluoroacetic acid salt
Figure US10226456-20190312-C00943
A solution of (4R,4aS,7aR,12bS)-4a,9-dihydroxy-3-methyl-2,3,4,4a,5,7a-hexahydro-1H-4,12-methanobenzofuro[3,2-e]isoquinolin-7-yl 3-((S)-2-((tert-butoxycarbonyl)oxy)propanamido)propanoate (60 mg) in methylene chloride (2 mL) was treated with trifluoroacetic acid (1 mL) and stirred at ambient temperature for 0.5 h. After this time, the reaction mixture was concentrated under reduced pressure. The residue was purified by reversed phase column chromatography (15.5 g C18 column, 5-40% acetonitrile/water) and freeze dried to provide (4R,4aS,7aR,12bS)-4a,9-dihydroxy-3-methyl-2,3,4,4a,5,7a-hexahydro-1H-4,12-methanobenzofuro[3,2-e]isoquinolin-7-yl 3-((S)-2-hydroxypropanamido)propanoate trifluoroacetic acid salt (26 mg, 53% over two steps) as a fluffy white solid:1H NMR (300 MHz, DMSO-d6) δ 9.30 (s, 1H), 9.15 (s, 1H), 7.84 (t, J=5.9 Hz, 1H), 6.67 (d, J=8.1 Hz, 1H), 6.62 (d, J=8.1 Hz, 1H), 6.23 (s, 1H), 5.56-5.51 (m, 2H), 4.96 (s, 1H), 4.00-3.91 (m, 1H), 3.61 (d, J=5.4 Hz, 1H), 3.42-3.31 (m, 3H), 3.12-3.00 (m, 2H), 2.83 (s, 3H), 2.62 (t, J=6.9 Hz, 3H), 2.50-2.39 (m, 1H), 2.26 (dd, J=17.7, 6.0 Hz, 1H), 2.06 (d, J=17.7 Hz, 1H), 1.62 (d, J=11.6 Hz, 1H), 1.20 (d, J 6.8 Hz, 3H); ESI MS m/z 445 [C23H28N2O7+H]+; HPLC (Method A) 97.7% (AUC), tR=6.33 min.
Figure US10226456-20190312-C00944
Preparation of (S)-2-((3-((tert-Butoxycarbonyl)amino)propanoyl)oxy)-2-phenylacetic acid
Figure US10226456-20190312-C00945
(S)-Mandelic acid (1.28 g, 8.38 mmol), 2,5-dioxopyrrolidin-1-yl 3-((tert-butoxycarbonyl)amino)propanoate (2.50 g, 8.73 mmol), 4-(dimethylamino)pyridine (85 mg, 0.70 mmol), pyridine (663 mg, 8.38 mmol), and tetrahydrofuran (34 mL) were combined and heated at 80° C. under a nitrogen atmosphere for 24 h. After this time, the solvent was removed under reduced pressure, and the residue was partitioned between ethyl acetate (20 mL) and 10% aqueous citric acid. The organic layer was separated and extracted with saturated aqueous sodium bicarbonate (20 ml). The aqueous phase was collected and acidified to pH=3 with 6 N hydrochloric acid, and the mixture was extracted with ethyl acetate (2×20 mL). The combined organics were washed with brine (50 mL), dried over sodium sulfate, filtered, and concentrated under reduced pressure to provide (S)-2-((3-((tert-butoxycarbonyl)amino)propanoyl)oxy)-2-phenylacetic acid (2.51 g, 92%) as a white solid:1H NMR (300 MHz, CDCl3) δ 7.50-7.45 (m, 2H), 7.40-7.33 (m, 3H), 6.00 (s, 1H), 3.46-3.38 (m, 2H), 2.73-2.59 (m, 2H), 1.43 (s, 9H); CO2H and NH protons not observed.
Preparation of (S)-2-((2,5-Dioxopyrrolidin-1-yl)oxy)-2-oxo-1-phenylethyl 3-((tert-butoxycarbonyl)amino)propanoate
Figure US10226456-20190312-C00946
A solution of (S)-2-((3-((tert-butoxycarbonyl)amino)propanoyl)oxy)-2-phenylacetic acid (2.51 g, 7.77 mmol) in tetrahydrofuran (40 mL) was treated with N-hydroxysuccinimide (984 mg, 8.55 mmol) and N,N′-dicyclohexylcarbodiimide (1.76 g, 8.55 mmol) and stirred under a nitrogen atmosphere for 5 h. After this time, the reaction mixture was filtered to remove the solid dicyclohexylurea byproduct. The solid was washed with diethyl ether (100 mL), and the combined filtrate and washings were concentrated under reduced pressure. The residue was triturated with diethyl ether to provide (S)-2-((2,5-dioxopyrrolidin-1-yl)oxy)-2-oxo-1-phenylethyl 3-((tert-butoxycarbonyl)amino)propanoate (3.51 g) as a white powder:1H NMR (300 MHz, CDCl3) δ 7.54-7.53 (m, 2H), 7.46-7.44 (m, 3H), 6.32 (s, 1H), 3.49-3.42 (m, 2H), 2.82 (s, 4H), 2.74-2.68 (m, 2H), 1.43 (s, 9H); NH proton not observed.
Preparation of (S)-2-(((4R,4aS,7aR,12bS)-9-((tert-Butoxycarbonyl)oxy)-4a-hydroxy-3-methyl-2,3,4,4a,5,7a-hexahydro-1H-4,12-methanobenzofuro[3,2-e]isoquinolin-7-yl)oxy)-2-oxo-1-phenylethyl 3-((tert-butoxycarbonyl)amino)propanoate
Figure US10226456-20190312-C00947
A solution of tert-butyl ((4R,4aS,7aR,12bS)-4a-hydroxy-3-methyl-7-oxo-2,3,4,4a,5,6,7,7a-octahydro-1H-4,12-methanobenzofuro[3,2-e]isoquinolin-9-yl) carbonate (500 mg, 1.25 mmol) in tetrahydrofuran (10 mL) was cooled to 0° C. and treated dropwise with a 1.0 M solution of lithium bis(trimethylsilyl)amide in tetrahydrofuran (1.5 mL, 1.5 mmol). After addition was complete, the mixture was stirred at 0° C. for 25 min and then at ambient temperature for 25 min. The mixture was re-cooled to −78° C., and a solution of (S)-2-((2,5-dioxopyrrolidin-1-yl)oxy)-2-oxo-1-phenylethyl 3-((tert-butoxycarbonyl)amino)propanoate (580 mg, 1.37 mmol) in tetrahydrofuran (5 mL) was added. The mixture was allowed to warm to 0° C. over 2 h. After this time, the mixture was treated with saturated aqueous ammonium chloride (10 mL) and extracted with ethyl acetate (2×25 mL). The combined organics were dried over sodium sulfate, filtered, and concentrated under reduced pressure. The crude residue was purified by column chromatography (40 g silica gel column, 0-20% methanol/methylene chloride, then 50 g C18 column, 10-100% acetonitrile/water) to provide (S)-2-(((4R,4aS,7aR,12bS)-9-((tert-butoxycarbonyl)oxy)-4a-hydroxy-3-methyl-2,3,4,4a,5,7a-hexahydro-1H-4,12-methanobenzofuro[3,2-e]isoquinolin-7-yl)oxy)-2-oxo-1-phenylethyl 3-((tert-butoxycarbonyl)amino)propanoate (176 mg, 20%) as a white solid:1H NMR (300 MHz, CDCl3) δ 7.54-7.51 (m, 2H), 7.45-7.36 (m, 3H), 6.91 (d, J=8.4 Hz, 1H), 6.65 (d, J=8.1 Hz, 1H), 6.04 (s, 1H), 5.60 (dd, J=5.7, 2.7 Hz, 1H), 4.96 (s, 1H), 3.51-3.46 (m, 2H), 3.17 (d, J=18.9 Hz, 1H), 2.86-2.59 (m, 4H), 2.46-2.05 (m, 5H), 2.37 (s, 3H), 1.64-1.56 (m, 3H), 1.55 (s, 9H), 1.42 (s, 9H).
Preparation of (S)-2-(((4R,4aS,7aR,12bS)-4a,9-Dihydroxy-3-methyl-2,3,4,4a,5,7a-hexahydro-1H-4,12-methanobenzofuro[3,2-e]isoquinolin-7-yl)oxy)-2-oxo-1-phenylethyl 3-aminopropanoate bis(trifluoroacetic acid salt)
Figure US10226456-20190312-C00948
A solution of (S)-2-(((4R,4aS,7aR,12bS)-9-((tert-butoxycarbonyl)oxy)-4a-hydroxy-3-methyl-2,3,4,4a,5,7a-hexahydro-1H-4,12-methanobenzofuro[3,2-e]isoquinolin-7-yl)oxy)-2-oxo-1-phenylethyl 3-((tert-butoxycarbonyl)amino)propanoate (45 mg, 0.064 mmol) in methylene chloride (0.8 mL) was treated with trifluoroacetic acid (0.8 mL) and stirred under a nitrogen atmosphere at ambient temperature for 1 h. After this time, the reaction mixture was concentrated under reduced pressure. The residue was purified by reversed phase column chromatography (50 g C18 column, 0-100% acetonitrile/water) and freeze dried to provide (S)-2-(((4R,4aS,7aR,12bS)-4a,9-dihydroxy-3-methyl-2,3,4,4a,5,7a-hexahydro-1H-4,12-methanobenzofuro[3,2-e]isoquinolin-7-yl)oxy)-2-oxo-1-phenylethyl 3-aminopropanoate bis(trifluoroacetic acid salt) (33 mg, 71%) as a fluffy white solid:1H NMR (300 MHz, DMSO-d6) δ 9.31 (s, 1H), 9.13 (s, 1H), 7.79 (s, 3H), 7.59-7.56 (m, 2H), 7.49-7.47 (m, 3H), 6.64 (q, J=11.4 Hz, 2H), 6.23 (s, 1H), 6.15 (s, 1H), 5.59 (dd, J=6.0, 2.1 Hz, 1H), 4.87 (s, 1H), 3.61 (m, 1H), 3.10 (m, 4H), 2.85-2.83 (m, 5H), 2.65-2.43 (m, 3H), 2.29-2.21 (m, 1H), 2.06 (d, J=18.3 Hz, 1H), 1.62-1.58 (m, 1H); ESI MS m/z 507 [C28H30N2O7+H]+; HPLC (Method A) 98.2% (AUC), tR=7.30 min.
Figure US10226456-20190312-C00949
Preparation of (S)-2-(((S)-2-((tert-Butoxycarbonyl)amino)-3-phenylpropanoyl)oxy)propanoic acid
Figure US10226456-20190312-C00950
(S)-Lactic acid (597 mg, 6.62 mmol), (S)-2,5-dioxopyrrolidin-1-yl 2-((tert-butoxycarbonyl)amino)-3-phenylpropanoate (2.00 g, 5.52 mmol), 4-(dimethylamino)pyridine (67 mg, 0.552 mmol), pyridine (437 mg, 5.52 mmol), and tetrahydrofuran (35 mL) were combined and heated at 80° C. under a nitrogen atmosphere for 24 h. After this time, the solvent was removed under reduced pressure, and the residue was partitioned between ethyl acetate (20 mL) and 10% aqueous citric acid. The organic layer was separated and extracted with saturated aqueous sodium bicarbonate (20 ml). The aqueous phase was collected and acidified to pH=3 with 6 N hydrochloric acid, and the mixture was extracted with ethyl acetate (2×20 mL). The combined organics were washed with brine (50 mL), dried over sodium sulfate, filtered, and concentrated under reduced pressure to provide (S)-2-(((S)-2-((tert-butoxycarbonyl)amino)-3-phenylpropanoyl)oxy)propanoic acid (2.02 g, quantitative) as a colorless semi-solid:1H NMR (300 MHz, CDCl3) δ 7.34-7.18 (m, 5H), 5.24-5.19 (m, 1H), 4.90 (m, 1H), 4.61 (m, 1H), 3.25 (dd, J=14.1, 8.7 Hz, 1H), 3.07 (m, 1H), 1.55 (d, J=8.7 Hz, 3H), 1.39 (s, 9H), CO2H proton not observed.
Preparation of (S)-(S)-1-((2,5-Dioxopyrrolidin-1-yl)oxy)-1-oxopropan-2-yl 2-((tert-butoxycarbonyl)amino)-3-phenylpropanoate
Figure US10226456-20190312-C00951
A solution of (S)-2-(((S)-2-((tert-butoxycarbonyl)amino)-3-phenylpropanoyl)oxy)propanoic acid (2.02 g, 5.99 mmol) in tetrahydrofuran (40 mL) was treated with N-hydroxysuccinimide (759 mg, 6.59 mmol) and N,N′-dicyclohexylcarbodiimide (1.36 g, 6.59 mmol) and stirred under a nitrogen atmosphere for 6 h. After this time, the reaction mixture was filtered to remove the solid dicyclohexylurea byproduct. The solid was washed with diethyl ether (100 mL), and the combined filtrate and washings were concentrated under reduced pressure. The residue was triturated with diethyl ether to provide (S)-(S)-1-((2,5-dioxopyrrolidin-1-yl)oxy)-1-oxopropan-2-yl 2-((tert-butoxycarbonyl)amino)-3-phenylpropanoate (2.36 g) as a white powder:1H NMR (300 MHz, CDCl3) δ 7.33-7.18 (m, 5H), 5.50 (q, J=6.9 Hz, 1H), 4.89 (m, 1H), 4.74 (m, 1H), 3.25 (dd, J=14.4, 5.4 Hz, 1H), 3.03 (m, 1H), 2.84 (s, 4H), 1.69 (d, J=7.2 Hz, 3H), 1.41 (s, 9H).
Preparation of (S)-(S)-1-(((4R,4aS,7aR,12bS)-9-((tert-Butoxycarbonyl)oxy)-4a-hydroxy-3-methyl-2,3,4,4a,5,7a-hexahydro-1H-4,12-methanobenzofuro[3,2-e]isoquinolin-7-yl)oxy)-1-oxopropan-2-yl 2-((tert-butoxycarbonyl)amino)-3-phenylpropanoate
Figure US10226456-20190312-C00952
A solution of tert-butyl ((4R,4aS,7aR,12bS)-4a-hydroxy-3-methyl-7-oxo-2,3,4,4a,5,6,7,7a-octahydro-1H-4,12-methanobenzofuro[3,2-e]isoquinolin-9-yl) carbonate (500 mg, 1.25 mmol) in tetrahydrofuran (10 mL) was cooled in an ice bath and treated dropwise with a 1.0 M solution of lithium bis(trimethylsilyl)amide in tetrahydrofuran (1.5 mL, 1.5 mmol). After addition was complete, the mixture was stirred at ambient temperature for 15 min. The mixture was re-cooled to −45° C. and treated dropwise with a solution of (S)-(S)-1-((2,5-dioxopyrrolidin-1-yl)oxy)-1-oxopropan-2-yl 2-((tert-butoxycarbonyl)amino)-3-phenylpropanoate (543 mg, 1.37 mmol) in tetrahydrofuran (5 mL). After addition was complete, the mixture was warmed to 0° C. After this time, the reaction mixture was treated with saturated aqueous ammonium chloride (10 mL) and extracted with ethyl acetate (2×25 mL). The combined organics were dried over sodium sulfate, filtered, and concentrated under reduced pressure. The crude residue was purified by column chromatography (40 g silica gel column, 0-20% methanol/methylene chloride, then 50 g C18 column, 10-100% acetonitrile/water) to provide (S)-(S)-1-(((4R,4aS,7aR,12bS)-9-((tert-butoxycarbonyl)oxy)-4a-hydroxy-3-methyl-2,3,4,4a,5,7a-hexahydro-1H-4,12-methanobenzofuro[3,2-e]isoquinolin-7-yl)oxy)-1-oxopropan-2-yl 2-((tert-butoxycarbonyl)amino)-3-phenylpropanoate (223 mg, 24%) as a white solid:1H NMR (300 MHz, CDCl3) δ 7.33-7.24 (m, 5H), 6.91 (d, J=8.1 Hz, 1H), 6.66 (d, J=8.4 Hz, 1H), 5.62 (m, 1H), 5.60 (q, J=6.9 Hz, 1H), 5.10 (s, 1H), 5.05-4.96 (m, 1H), 4.62 (m, 1H), 3.32-3.23 (m, 1H), 3.19 (d, J=19.2 Hz, 1H), 3.01 (m, 1H), 2.87 (d, J=6.3 Hz, 1H), 2.65 (dd, J=18.9, 6.0 Hz, 1H), 2.47-2.09 (m, 4H), 2.38 (s, 3H), 1.74-1.58 (m, 4H), 1.53 (s, 9H), 1.38 (s, 9H), OH, NH protons not observed.
Preparation of (S)-(S)-1-(((4R,4aS,7aR,12bS)-4a,9-Dihydroxy-3-methyl-2,3,4,4a,5,7a-hexahydro-1H-4,12-methanobenzofuro[3,2-e]isoquinolin-7-yl)oxy)-1-oxopropan-2-yl 2-amino-3-phenylpropanoate bis(trifluoroacetic acid salt)
Figure US10226456-20190312-C00953
A solution of (S)-2-(((4R,4aS,7aR,12bS)-9-((tert-butoxycarbonyl)oxy)-4a-hydroxy-3-methyl-2,3,4,4a,5,7a-hexahydro-1H-4,12-methanobenzofuro[3,2-e]isoquinolin-7-yl)oxy)-2-oxo-1-phenylethyl 3-((tert-butoxycarbonyl)amino)propanoate (50 mg, 0.069 mmol) in methylene chloride (0.8 mL) was treated with trifluoroacetic acid (0.8 mL) and stirred under a nitrogen atmosphere at ambient temperature for 2 h. After this time, the reaction mixture was concentrated under reduced pressure. The residue was purified by reversed phase column chromatography (50 g C18 column, 0-100% acetonitrile/water) and freeze dried to provide (S)-(S)-1-(((4R,4aS,7aR,12bS)-4a,9-dihydroxy-3-methyl-2,3,4,4a,5,7a-hexahydro-1H-4,12-methanobenzofuro[3,2-e]isoquinolin-7-yl)oxy)-1-oxopropan-2-yl 2-amino-3-phenylpropanoate bis(trifluoroacetic acid salt) (27 mg, 48%) as a fluffy white solid:1H NMR (300 MHz, DMSO-d6) δ 9.31 (s, 1H), 9.15 (s, 1H), 8.35 (s, 3H), 7.35-7.27 (m, 5H), 6.66 (apparent q, J=9.6 Hz, 2H), 6.24 (s, 1H), 5.59 (dd, J=6.0, 2.1 Hz, 1H), 5.30 (q, J=7.2 Hz, 1H), 4.97 (s, 1H), 4.44 (t, J=6.6 Hz, 1H), 3.62 (m, 1H), 3.25-3.05 (m, 5H), 2.84 (s, 3H), 2.64 (m, 1H), 2.29-2.26 (m, 1H), 2.07 (d, J=18.3 Hz, 1H), 1.64-1.61 (m, 1H), 1.51 (d, J=6.9 Hz, 3H), one proton obscured by solvent peaks; ESI MS m/z 521 [C29H32N2O7+H]+.
Figure US10226456-20190312-C00954
Preparation of (S)-(4R,4aS,7aR,12bS)-4a,9-Dihydroxy-3-methyl-2,3,4,4a,5,7a-hexahydro-1H-4,12-methanobenzofuro[3,2-e]isoquinolin-7-yl 2-((3-aminopropanoyl)oxy)propanoate dihydrochloride
Figure US10226456-20190312-C00955
A solution of (S)-(4R,4aS,7aR,12bS)-9-((tert-butoxycarbonyl)oxy)-4a-hydroxy-3-methyl-2,3,4,4a,5,7a-hexahydro-1H-4,12-methanobenzofuro[3,2-e]isoquinolin-7-yl 2-((3-((tert-butoxycarbonyl)amino)propanoyl)oxy)propanoate (45 mg, 0.070 mmol) in ethyl acetate (0.8 mL) was treated with a 4.0 M solution of hydrogen chloride in 1,4-dioxane (0.5 mL) and stirred under a nitrogen atmosphere at ambient temperature for 30 min. After this time, the reaction mixture was filtered and the filter cake was collected and dried under vacuum to provide (S)-(4R,4aS,7aR,12bS)-4a,9-dihydroxy-3-methyl-2,3,4,4a,5,7a-hexahydro-1H-4,12-methanobenzofuro[3,2-e]isoquinolin-7-yl 2-((3-aminopropanoyl)oxy)propanoate dihydrochloride (47 mg, 100%) as a white solid:1H NMR (300 MHz, DMSO-d6) δ 9.32 (s, 1H), 9.20 (s, 1H), 7.91 (s, 3H), 6.66 (apparent q, J=8.1 Hz, 2H), 6.27 (s, 1H), 5.59 (m, 1H), 5.17 (q, J=7.5 Hz, 1H), 4.96 (s, 1H), 3.11-3.03 (m, 2H), 2.85-2.76 (m, 6H), 2.46-2.27 (m, 2H), 2.06 (m, 1H), 1.60-1.46 (m, 8H).
Preparation of (S)-(4R,4aS,7aR,12bS)-4a,9-Dihydroxy-3-methyl-2,3,4,4a,5,7a-hexahydro-1H-4,12-methanobenzofuro[3,2-e]isoquinolin-7-yl 2-((3-((S)-2-((tert-butoxycarbonyl)oxy)propanamido)propanoyl)oxy)propanoate
Figure US10226456-20190312-C00956
A solution of (S)-(4R,4aS,7aR,12bS)-4a,9-dihydroxy-3-methyl-2,3,4,4a,5,7a-hexahydro-1H-4,12-methanobenzofuro[3,2-e]isoquinolin-7-yl 2-((3-aminopropanoyl)oxy)propanoate dihydrochloride (47 mg, 0.070 mmol) in tetrahydrofuran (2 mL) was treated with (S)-2,5-dioxopyrrolidin-1-yl 2-((tert-butoxycarbonyl)oxy)propanoate (20 mg, 0.070 mmol) and N,N-diisopropylethylamine (18 mg, 0.024 mmol) at 0° C. and stirred under a nitrogen atmosphere for 1 h. After this time the reaction mixture was concentrated under reduced pressure. The residue was purified by column chromatography (40 g silica gel column, 0-20% methanol/methylene chloride) to provide (S)-(4R,4aS,7aR,12bS)-4a,9-dihydroxy-3-methyl-2,3,4,4a,5,7a-hexahydro-1H-4,12-methanobenzofuro[3,2-e]isoquinolin-7-yl 2-((3-((S)-2-((tert-butoxycarbonyl)oxy)propanamido)propanoyl)oxy)propanoate (52 mg) as a white solid. ESI MS m/z 617 [C31H40N2O11+H]+.
Preparation of (S)-(4R,4aS,7aR,12bS)-4a,9-Dihydroxy-3-methyl-2,3,4,4a,5,7a-hexahydro-H-4,12-methanobenzofuro[3,2-e]isoquinolin-7-yl 2-((3-((S)-2-hydroxypropanamido)propanoyl)oxy)propanoate trifluoroacetic acid salt
Figure US10226456-20190312-C00957
A solution of (S)-(4R,4aS,7aR,12bS)-4a,9-dihydroxy-3-methyl-2,3,4,4a,5,7a-hexahydro-1H-4,12-methanobenzofuro[3,2-e]isoquinolin-7-yl 2-((3-((S)-2-((tert-butoxycarbonyl)oxy)propanamido)propanoyl)oxy)propanoate (52 mg, 0.084 mmol) in methylene chloride (0.8 mL) was treated with trifluoroacetic acid (0.8 mL) and stirred under a nitrogen atmosphere at ambient temperature for 2 h. After this time, the reaction mixture was concentrated under reduced pressure. The residue was purified by reversed phase column chromatography (50 g C18 column, 0-100% acetonitrile/water) and freeze dried to provide (S)-(4R,4aS,7aR,12bS)-4a,9-dihydroxy-3-methyl-2,3,4,4a,5,7a-hexahydro-1H-4,12-methanobenzofuro[3,2-e]isoquinolin-7-yl 2-((3-((S)-2-hydroxypropanamido)propanoyl)oxy)propanoate trifluoroacetic acid salt (22 mg, 49%) as a fluffy white solid:1H NMR (300 MHz, DMSO-d6) δ 9.28 (s, 1H), 9.15 (s, 1H), 7.79 (t, J=6.0 Hz, 1H), 6.65 (apparent q, J=8.4 Hz, 1H), 6.25 (s, 1H), 5.58 (dd, J=6.0, 2.1 Hz, 1H), 5.11 (q, J=7.2 Hz, 1H), 4.96 (s, 1H), 3.94 (m, 1H), 3.62 (m, 1H), 3.38 (m, 4H), 3.05 (m, 2H), 2.83 (s, 3H), 2.64 (m, 1H), 2.57 (t, J=6.9 Hz, 2H), 2.42 (m, 2H), 2.29 (m, 1H), 2.06 (d, J=18.0 Hz, 1H), 1.63 (d, J=11.4 Hz, 1H), 1.52 (d, J=9.6 Hz, 3H), 1.19 (d, J=9.6 Hz, 3H); ESI MS m/z 517 [C26H32N2O9+H]+.
Figure US10226456-20190312-C00958
Preparation of (4R,4aS,7aR,12bS)-9-((tert-Butyldimethylsilyl)oxy)-3-methyl-2,3,4,4a,5,7a-hexahydro-1H-4,12-methanobenzofuro[3,2-e]isoquinoline-4a,7-diyl bis(3-((tert-butoxycarbonyl)amino)propanoate)
Figure US10226456-20190312-C00959
A solution of (4R,4aS,7aR,12bS)-9-((tert-butyldimethylsilyl)oxy)-4a-hydroxy-3-methyl-2,3,4,4a,5,6-hexahydro-1H-4,12-methanobenzofuro[3,2-e]isoquinolin-7(7aH)-one (1.07 g, 2.57 mmol) in tetrahydrofuran (15 mL) was cooled in an ice bath and treated dropwise with a 1.0 M solution of lithium bis(trimethylsilyl)amidein tetrahydrofuran (4.6 mL, 4.6 mmol). After addition was complete, the mixture was stirred at ambient temperature for 10 min. The mixture was re-cooled to −40° C. and treated dropwise with a solution of 2,5-dioxopyrrolidin-1-yl 3-((tert-butoxycarbonyl)amino)propanoate (1.30 g, 4.54 mmol) in tetrahydrofuran (6 mL). After addition was complete, the mixture was stirred at −40° C. for 20 min and then at ambient temperature for 40 min. After this time, the reaction mixture was cooled in an ice bath, treated with saturated aqueous ammonium chloride, and extracted with ethyl acetate. The combined organics were dried over sodium sulfate, filtered, and concentrated under reduced pressure. The residue was purified by column chromatography (silica gel, 0-10% methanol/methylene chloride) to provide (4R,4aS,7aR,12bS)-9-((tert-butyldimethylsilyl)oxy)-3-methyl-2,3,4,4a,5,7a-hexahydro-1H-4,12-methanobenzofuro[3,2-e]isoquinoline-4a,7-diyl bis(3-((tert-butoxycarbonyl)amino)propanoate) (1.0 g, 66%): ESI MS m/z 758 [C39H59N3O10Si+H]+.
Preparation of (S)-(4R,4aS,7aR,12bS)-9-((tert-Butyldimethylsilyl)oxy)-3-methyl-2,3,4,4a,5,7a-hexahydro-1H-4,12-methanobenzofuro[3,2-e]isoquinoline-4a,7-diyl bis(3-((S)-2-((tert-butoxycarbonyl)oxy)-2-phenylacetamido)propanoate)
Figure US10226456-20190312-C00960
A solution of (4R,4aS,7aR,12bS)-9-((tert-butyldimethylsilyl)oxy)-3-methyl-2,3,4,4a,5,7a-hexahydro-1H-4,12-methanobenzofuro[3,2-e]isoquinoline-4a,7-diyl bis(3-((tert-butoxycarbonyl)amino)propanoate) (255 mg, 0.336 mmol) in methylene chloride (5 mL) was treated with trifluoroacetic acid (0.5 mL), and the mixture was stirred at room temperature for 30 min. After this time, LC-MS analysis of the reaction mixture showed cleavage of the Boc protecting groups. N,N-Diisopropylethylamine was added slowly until the reaction mixture tested basic by pH paper analysis (1 mL of base added). The mixture was treated with (S)-2,5-dioxopyrrolidin-1-yl 2-((tert-butoxycarbonyl)oxy)-2-phenylacetate (330 mg, 1.32 mmol) in one portion and stirred at room temperature for 2 h. After this time, the mixture was diluted with ethyl acetate and washed water. The organic extracts were dried over sodium sulfate, filtered, and concentrated. The residue was purified by reversed phase column chromatography (50 g C18 column, 5-100% acetonitrile/water) to provide (S)-(4R,4aS,7aR,12bS)-9-((tert-butyldimethylsilyl)oxy)-3-methyl-2,3,4,4a,5,7a-hexahydro-1H-4,12-methanobenzofuro[3,2-e]isoquinoline-4a,7-diyl bis(3-((S)-2-((tert-butoxycarbonyl)oxy)-2-phenylacetamido)propanoate) (254 mg, 73%): ESI MS m/z 1026 [C55H71N3O14Si+H]+.
Preparation of (S)-(4R,4aS,7aR,12bS)-9-Hydroxy-3-methyl-2,3,4,4a,5,7a-hexahydro-1H-4,12-methanobenzofuro[3,2-e]isoquinoline-4a,7-diyl bis(3-((S)-2-((tert-butoxycarbonyl)oxy)-2-phenylacetamido)propanoate) trifluoroacetic acid salt
Figure US10226456-20190312-C00961
A solution of (S)-(4R,4aS,7aR,12bS)-9-((tert-butyldimethylsilyl)oxy)-3-methyl-2,3,4,4a,5,7a-hexahydro-1H-4,12-methanobenzofuro[3,2-e]isoquinoline-4a,7-diyl bis(3-((S)-2-((tert-butoxycarbonyl)oxy)-2-phenylacetamido)propanoate) (250 mg, 0.24 mmol) in tetrahydrofuran (6 mL) was treated with water (4 mL) followed by trifluoroacetic acid (3 mL), and the mixture was stirred at room temperature for 3 h. After this time, the mixture was concentrated, and the residue was azeotroped with toluene to provide (S)-(4R,4aS,7aR,12bS)-9-hydroxy-3-methyl-2,3,4,4a,5,7a-hexahydro-1H-4,12-methanobenzofuro[3,2-e]isoquinoline-4a,7-diyl bis(3-((S)-2-((tert-butoxycarbonyl)oxy)-2-phenylacetamido)propanoate) trifluoroacetic acid salt (270 mg, crude) that was used without purification: ESI MS m/z 912 [C49H57N3O14+H]+.
Preparation of (S)-(4R,4aS,7aR,12bS)-9-Hydroxy-3-methyl-2,3,4,4a,5,7a-hexahydro-1H-4,12-methanobenzofuro[3,2-e]isoquinoline-4a,7-diyl bis(3-((S)-2-hydroxy-2-phenylacetamido)propanoate) trifluoroacetic acid salt
Figure US10226456-20190312-C00962
A solution of (S)-(4R,4aS,7aR,12bS)-9-hydroxy-3-methyl-2,3,4,4a,5,7a-hexahydro-1H-4,12-methanobenzofuro[3,2-e]isoquinoline-4a,7-diyl bis(3-((S)-2-((tert-butoxycarbonyl)oxy)-2-phenylacetamido)propanoate) (270 mg) in methylene chloride (6 mL) was treated with trifluoroacetic acid (2 mL) and stirred at ambient temperature for 40 min. After this time, the reaction mixture was concentrated under reduced pressure. The residue was purified by reversed phase column chromatography (50 g C18 column, 5-30% acetonitrile/water, with 0.1% trifluoroacetic acid) and freeze dried to provide (S)-(4R,4aS,7aR,12bS)-9-hydroxy-3-methyl-2,3,4,4a,5,7a-hexahydro-1H-4,12-methanobenzofuro[3,2-e]isoquinoline-4a,7-diyl bis(3-((S)-2-hydroxy-2-phenylacetamido)propanoate) trifluoroacetic acid salt (147 mg, 69% over two steps) as a fluffy white solid:1H NMR (300 MHz, DMSO-d6) δ 9.46 (broad s, 1.5H), 8.24-8.15 (m, 2H), 7.41-7.20 (m, 10H), 6.72 (d, J=8.2 Hz, 1H), 6.66 (d, J=8.2 Hz, 1H), 5.36 (dd, J=6.3, 1.8 Hz, 1H), 5.03 (s, 1H), 4.92-4.90 (m, 2H), 4.68 (d, J=6.3 Hz, 1H), 3.46-3.10 (m, 8H), 3.00-2.71 (m, 5H), 2.69-2.51 (m, 4H), 2.43-2.35 (m, 1H), 2.05 (d, J=18.6 Hz, 1H), 1.76 (d, J=12.6 Hz, 1H); ESI MS m/z 712 [C39H41N3O10+H]+; HPLC (Method A) 98.9% (AUC), tR=8.66 min.
Figure US10226456-20190312-C00963
Preparation of (S)-2-(((S)-4-(tert-Butoxy)-3-((tert-butoxycarbonyl)amino)-4-oxobutanoyl)oxy)propanoic acid
Figure US10226456-20190312-C00964
A solution of (S)-1-tert-butyl 4-(2,5-dioxopyrrolidin-1-yl) 2-((tert-butoxycarbonyl)amino)succinate (3.42 g, 8.84 mmol), (S)-lactic acid (963 mg, 10.7 mmol), and 4-dimethylaminopyridine (104 mg, 0.85 mmol) in tetrahydrofuran (40 mL) was treated with pyridine (0.85 mL, 10.6 mmol) and heated at 50° C. under a nitrogen atmosphere for 16 h. After this time, the reaction mixture was cooled to room temperature and concentrated under reduced pressure. The residue was dissolved in ethyl acetate (100 mL) and washed with aqueous 10% citric acid (2×50 mL) and water (50 mL). The organic layer was extracted with saturated aqueous sodium bicarbonate (2×50 mL). The combined aqueous bicarbonate layers were acidified to pH ˜2 with 6 N hydrochloric acid and extracted with ethyl acetate (4×50 mL). The combined organics were dried over sodium sulfate, filtered, and concentrated under reduced pressure to provide (S)-2-(((S)-4-(tert-butoxy)-3-((tert-butoxycarbonyl)amino)-4-oxobutanoyl)oxy)propanoic acid (1.47 mg, 46%) as a white semi-solid:1H NMR (300 MHz, CDCl3) δ 5.51-5.48 (m, 1H), 5.17 (q, J=7.2 Hz, 1H), 4.55-4.45 (br m, 1H), 2.92-2.89 (m, 2H), 1.54 (d, J=7.2 Hz, 3H), 1.46 (s, 9H), 1.44 (s, 9H), CO2H proton not observed.
Preparation of (S)-1-tert-Butyl 4-((S)-1-((2,5-dioxopyrrolidin-1-yl)oxy)-1-oxopropan-2-yl) 2-((tert-butoxycarbonyl)amino)succinate
Figure US10226456-20190312-C00965
A solution of (S)-2-(((S)-4-(tert-butoxy)-3-((tert-butoxycarbonyl)amino)-4-oxobutanoyl)oxy)propanoic acid (1.47 g, 4.05 mmol) in tetrahydrofuran (20 mL) was treated with N-hydroxysuccinimide (513 mg, 4.46 mmol) and N,N′-dicyclohexylcarbodiimide (921 mg, 4.46 mmol) and stirred under a nitrogen atmosphere for 4 h. After this time, the reaction mixture was filtered to remove the solid dicyclohexylurea byproduct. The solid was washed with diethyl ether, and the combined filtrate and washings were concentrated under reduced pressure to provide (S)-1-tert-butyl 4-((S)-1-((2,5-dioxopyrrolidin-1-yl)oxy)-1-oxopropan-2-yl) 2-((tert-butoxycarbonyl)amino)succinate (2.04 g, quantitative) as a white foam:1H NMR (300 MHz, CDCl3) δ 5.54-5.48 (m, 1H), 5.42 (q, J=7.2 Hz, 1H), 4.51-4.45 (m, 1H), 3.08-2.82 (m, 6H), 1.68 (d, J=7.2 Hz, 3H), 1.46 (s, 9H), 1.44 (s, 9H).
Preparation of (S)-4-((S)-1-(((4R,4aS,7aR,12bS)-9-((tert-Butoxycarbonyl)oxy)-4a-hydroxy-3-methyl-2,3,4,4a,5,7a-hexahydro-1H-4,12-methanobenzofuro[3,2-e]isoquinolin-7-yl)oxy)-1-oxopropan-2-yl) 1-tert-butyl 2-((tert-butoxycarbonyl)amino)succinate
Figure US10226456-20190312-C00966
A solution of tert-butyl ((4R,4aS,7aR,12bS)-4a-hydroxy-3-methyl-7-oxo-2,3,4,4a,5,6,7,7a-octahydro-1H-4,12-methanobenzofuro[3,2-e]isoquinolin-9-yl) carbonate (500 mg, 1.25 mmol) in tetrahydrofuran (10 mL) was cooled in an ice bath and treated dropwise with a 1.0 M solution of lithium bis(trimethylsilyl)amide in tetrahydrofuran (1.5 mL, 1.5 mmol). After addition was complete, the mixture was stirred at ambient temperature for 15 min. The mixture was re-cooled to −45° C. and treated dropwise with a solution of (S)-1-tert-butyl 4-((S)-1-((2,5-dioxopyrrolidin-1-yl)oxy)-1-oxopropan-2-yl) 2-((tert-butoxycarbonyl)amino)succinate (630 mg, 1.37 mmol) in tetrahydrofuran (5 mL). After addition was complete, the mixture was warmed to 0° C. After this time, the reaction mixture was treated with saturated aqueous ammonium chloride (10 mL) and extracted with ethyl acetate (2×25 mL). The combined organics were dried over sodium sulfate, filtered, and concentrated under reduced pressure. The crude residue was purified by column chromatography (40 g silica gel column, 0-20% methanol/methylene chloride, then 50 g C18 column, 10-100% acetonitrile/water) to provide (S)-4-((S)-1-(((4R,4aS,7aR,12bS)-9-((tert-butoxycarbonyl)oxy)-4a-hydroxy-3-methyl-2,3,4,4a,5,7a-hexahydro-1H-4,12-methanobenzofuro[3,2-e]isoquinolin-7-yl)oxy)-1-oxopropan-2-yl) 1-tert-butyl 2-((tert-butoxycarbonyl)amino)succinate (235 mg, 25%) as a white solid: ESI MS m/z 745 [C36H52N2O13+H]+.
Preparation of (S)-2-Amino-4-(((S)-1-(((4R,4aS,7aR,12bS)-4a,9-Dihydroxy-3-methyl-2,3,4,4a,5,7a-hexahydro-1H-4,12-methanobenzofuro[3,2-e]isoquinolin-7-yl)oxy)-1-oxopropan-2-yl)oxy)-4-oxobutanoic acid bis(trifluoroacetic acid salt)
Figure US10226456-20190312-C00967
A solution of (S)-4-((S)-1-(((4R,4aS,7aR,12bS)-9-((tert-butoxycarbonyl)oxy)-4a-hydroxy-3-methyl-2,3,4,4a,5,7a-hexahydro-1H-4,12-methanobenzofuro[3,2-e]isoquinolin-7-yl)oxy)-1-oxopropan-2-yl) 1-tert-butyl 2-((tert-butoxycarbonyl)amino)succinate (90 mg, 0.12 mmol) in methylene chloride (0.8 mL) was treated with trifluoroacetic acid (0.8 mL) and stirred under a nitrogen atmosphere at ambient temperature for 2 h. After this time, the reaction mixture was concentrated under reduced pressure. The residue was purified by reversed phase column chromatography (50 g C18 column, 0-100% acetonitrile/water) and freeze dried to provide (S)-2-amino-4-(((S)-1-(((4R,4aS,7aR,12bS)-4a,9-dihydroxy-3-methyl-2,3,4,4a,5,7a-hexahydro-1H-4,12-methanobenzofuro[3,2-e]isoquinolin-7-yl)oxy)-1-oxopropan-2-yl)oxy)-4-oxobutanoic acid bis(trifluoroacetic acid salt) (30.2 mg, 41%) as a fluffy white solid:1H NMR (300 MHz, DMSO-d6) δ 8.33 (br s, 3H), 6.63 (apparent q, J=8.1 Hz, 2H), 5.58 (dd, J=6.0, 2.1 Hz, 1H), 5.01 (q, J=6.9 Hz, 1H), 4.88 (s, 1H), 3.71 (m, 1H), 3.55 (m, 1H), 3.04-2.97 (m, 4H), 2.79-2.72 (m, 4H), 2.63-2.40 (m, 2H), 2.28-2.22 (m, 1H), 2.04 (d, J=18.3 Hz, 1H), 1.60 (d, J=12.6 Hz, 1H), 1.52 (d, J=6.9 Hz, 3H), CO2H and two OH protons not observed; ESI MS m/z 489 [C24H28N2O9+H]+.
Figure US10226456-20190312-C00968
Preparation of (S)-(4R,4aS,7aR,12bS)-9-((tert-Butyldimethylsilyl)oxy)-3-methyl-2,3,4,4a,5,7a-hexahydro-1H-4,12-methanobenzofuro[3,2-e]isoquinoline-4a,7-diyl bis(3-((S)-2-((tert-butoxycarbonyl)oxy)propanamido)propanoate)
Figure US10226456-20190312-C00969
A solution of (4R,4aS,7aR,12bS)-9-((tert-butyldimethylsilyl)oxy)-3-methyl-2,3,4,4a,5,7a-hexahydro-1H-4,12-methanobenzofuro[3,2-e]isoquinoline-4a,7-diyl bis(3-((tert-butoxycarbonyl)amino)propanoate) (233 mg, 0.307 mmol) in methylene chloride (5 mL) was treated with trifluoroacetic acid (0.5 mL), and the mixture was stirred at room temperature for 40 min. After this time, LC-MS analysis of the reaction mixture showed cleavage of the Boc protecting groups. N,N-Diisopropylethylamine was added slowly until the reaction mixture tested basic by pH paper analysis (1.4 mL of base added). The mixture was treated with (S)-2,5-dioxopyrrolidin-1-yl 2-((tert-butoxycarbonyl)oxy)propanoate (270 mg, 0.94 mmol) in one portion and stirred at room temperature for 30 min. After this time, the mixture was diluted with ethyl acetate and washed water and brine. The organic extracts were dried over sodium sulfate, filtered, and concentrated. The residue was purified by reversed phase column chromatography (50 g C18 column, 10-100% acetonitrile/water) to provide (S)-(4R,4aS,7aR,12bS)-9-((tert-butyldimethylsilyl)oxy)-3-methyl-2,3,4,4a,5,7a-hexahydro-1H-4,12-methanobenzofuro[3,2-e]isoquinoline-4a,7-diyl bis(3-((S)-2-((tert-butoxycarbonyl)oxy)propanamido)propanoate) (236 mg, 84%): ESI MS m/z 902 [C45H67N3O14Si+H]+.
Preparation of (S)-(4R,4aS,7aR,12bS)-9-Hydroxy-3-methyl-2,3,4,4a,5,7a-hexahydro-1H-4,12-methanobenzofuro[3,2-e]isoquinoline-4a,7-diyl bis(3-((S)-2-((tert-butoxycarbonyl)oxy)propanamido)propanoate) trifluoroacetic acid salt
Figure US10226456-20190312-C00970
A solution of (S)-(4R,4aS,7aR,12bS)-9-((tert-butyldimethylsilyl)oxy)-3-methyl-2,3,4,4a,5,7a-hexahydro-1H-4,12-methanobenzofuro[3,2-e]isoquinoline-4a,7-diyl bis(3-((S)-2-((tert-butoxycarbonyl)oxy)propanamido)propanoate) (235 mg, 0.26 mmol) in tetrahydrofuran (5 mL) was treated with water (4 mL) followed by trifluoroacetic acid (3 mL), and the mixture was stirred at room temperature for 2 h. After this time, the mixture was concentrated, and the residue was azeotroped with toluene to provide (S)-(4R,4aS,7aR,12bS)-9-Hydroxy-3-methyl-2,3,4,4a,5,7a-hexahydro-1H-4,12-methanobenzofuro[3,2-e]isoquinoline-4a,7-diyl bis(3-((S)-2-((tert-butoxycarbonyl)oxy)propanamido)propanoate) trifluoroacetic acid salt (240 mg, crude) that was used without purification: ESI MS m/z 788 [C36H53N3O14+H]+.
Preparation of (S)-(4R,4aS,7aR,12bS)-9-Hydroxy-3-methyl-2,3,4,4a,5,7a-hexahydro-1H-4,12-methanobenzofuro[3,2-e]isoquinoline-4a,7-diyl bis(3-((S)-2-hydroxypropanamido)propanoate) trifluoroacetic acid salt
Figure US10226456-20190312-C00971
A solution of (S)-(4R,4aS,7aR,12bS)-9-hydroxy-3-methyl-2,3,4,4a,5,7a-hexahydro-1H-4,12-methanobenzofuro[3,2-e]isoquinoline-4a,7-diyl bis(3-((S)-2-((tert-butoxycarbonyl)oxy)propanamido)propanoate) (240 mg) in methylene chloride (5 mL) was treated with trifluoroacetic acid (0.5 mL) and stirred at ambient temperature for 1 h. After this time, the reaction mixture was concentrated under reduced pressure. The residue was purified by reversed phase column chromatography (50 g C18 column, 5-30% acetonitrile/water, with 0.1% trifluoroacetic acid) and freeze dried to provide (S)-(4R,4aS,7aR,12bS)-9-hydroxy-3-methyl-2,3,4,4a,5,7a-hexahydro-1H-4,12-methanobenzofuro[3,2-e]isoquinoline-4a,7-diyl bis(3-((S)-2-hydroxypropanamido)propanoate) trifluoroacetic acid salt (81 mg, 39% over two steps) as a fluffy white solid:1H NMR (300 MHz, DMSO-d6) δ 9.70-9.40 (m, 1.6H), 7.92-7.84 (m, 2H), 6.73 (d, J=8.2 Hz, 1H), 6.67 (d, J=8.2 Hz, 1H), 5.50 (dd, J=6.3, 1.6 Hz, 1H), 5.06 (s, 1H), 4.73 (d, J=5.7 Hz, 1H), 4.01-3.91 (m, 2H), 3.45-3.13 (m, 10H), 3.17-2.89 (m, 4H), 2.87-2.70 (m, 1H), 2.69-2.52 (m, 4H), 2.47-2.36 (m, 1H), 2.09 (d, J=18.6 Hz, 1H), 1.78 (d, J=12.7 Hz, 1H), 1.21 (d, J=2.7 Hz, 3H), 1.19 (d, J=2.7 Hz, 3H); ESI MS m/z 588 [C29H37N3O10+H]+; HPLC (Method A)>99% (AUC), tR=6.65 min.
Figure US10226456-20190312-C00972
Preparation of (S)-(S)-1-(((4R,4aS,7aR,12bS)-4a,9-Dihydroxy-3-methyl-2,3,4,4a,5,7a-hexahydro-1H-4,12-methanobonzofuro[3,2-e]isoquinolin-7-yl)oxy)-1-oxopropan-2-yl 2-((S)-2-((tert-butoxycarbonyl)oxy)propanamido)-4-methylpentanoate
Figure US10226456-20190312-C00973
A solution of (S)-(S)-1-(((4R,4aS,7aR,12bS)-4a,9-dihydroxy-3-methyl-2,3,4,4a,5,7a-hexahydro-1H-4,12-methanobenzofuro[3,2-e]isoquinolin-7-y)oxy)-1-oxopropan-2-yl 2-amino-4-methylpentanoate bis(trifluoroacetic acid salt) (83 mg, 0.12 mmol) in tetrahydrofuran (2 mL) was treated with (S)-2,5-dioxopyrrolidin-1-yl 2-((tert-butoxycarbonyl)oxy)propanoate (22 mg, 0.12 mmol) and N, N-diisopropylethylamine (30 mg, 0.039 mmol) at 0° C. and stirred under a nitrogen atmosphere for 1 h. After this time the reaction mixture was concentrated under reduced pressure. The residue was purified by column chromatography (40 g silica gel column, 0-20% methanol/methylene chloride) to provide (S)-(S)-1-(((4R,4aS,7aR,12bS)-4a,9-dihydroxy-3-methyl-2,3,4,4a,5,7a-hexahydro-1H-4,12-methanobenzofuro[3,2-e]isoquinolin-7-yl)oxy)-1-oxopropan-2-yl 2-((S)-2-((tert-butoxycarbonyl)oxy)propanamido)-4-methylpentanoate (54 mg, 70%) as a white solid: ESI MS m/z 659 [C34H46N2O11+H]+.
Preparation of (S)-(S)-1-(((4R,4aS,7aR,12bS)-4a,9-Dihydroxy-3-methyl-2,3,4,4a,5,7a-hexahydro-1H-4,12-methanobenzofuro[3,2-e]isoquinolin-7-yl)oxy)-1-oxopropan-2-yl 2-((S)-2-hydroxypropanamido)-4-methylpentanoate trifluoroacetic acid salt
Figure US10226456-20190312-C00974
A solution of (S)-(S)-1-(((4R,4aS,7aR,12bS)-4a,9-dihydroxy-3-methyl-2,3,4,4a,5,7a-hexahydro-1H-4,12-methanobenzofuro[3,2-e]isoquinolin-7-yl)oxy)-1-oxopropan-2-yl 2-((S)-2-((tert-butoxycarbonyl)oxy)propanamido)-4-methylpentanoate (54 mg, 0.082 mmol) in methylene chloride (1.0 mL) was treated with trifluoroacetic acid (1.0 mL) and stirred under a nitrogen atmosphere at ambient temperature for 2 h. After this time, the reaction mixture was concentrated under reduced pressure. The residue was purified by reversed phase column chromatography (50 g C18 column, 0-100% acetonitrile/water) and freeze dried to provide (S)-(S)-1-(((4R,4aS,7aR,12bS)-4a,9-dihydroxy-3-methyl-2,3,4,4a,5,7a-hexahydro-1H-4,12-methanobenzofuro[3,2-e]isoquinolin-7-yl)oxy)-1-oxopropan-2-yl 2-((S)-2-hydroxypropanamido)-4-methylpentanoate trifluoroacetic acid salt (19 mg, 32%) as a fluffy white solid:1H NMR (300 MHz, DMSO-d6) δ 9.30 (s, 1H), 9.14 (br s, 1H), 7.89 (d, J=8.1 Hz, 1H), 6.66 (apparent q, J=8.1 Hz, 1H), 6.23 (s, 1H), 5.58 (dd, J=6.0, 2.1 Hz, 1H), 5.53 (br s, 1H), 5.15 (q, J=6.9 Hz, 1H), 4.96 (s, 1H), 4.40 (m, 1H), 4.01 (m, 1H), 3.62 (m, 1H), 3.11-3.03 (m, 2H), 2.84 (d, J=4.5 Hz, 3H), 2.65 (m, 1H), 2.43 (m, 2H), 2.27 (m, 1H), 2.06 (d, J=17.7 Hz, 1H), 1.75-1.61 (m, 4H), 1.53 (d, J=6.9 Hz, 3H), 1.21 (d, J=6.9 Hz, 3H), 0.91 (d, J=6.0 Hz, 3H), 0.86 (d, J=5.7 Hz, 3H), one proton obscured by solvent peaks; ESI MS m/z 559 [C29H38N2O9+H]+.
Figure US10226456-20190312-C00975
Preparation of (S)-1-tert-Butyl 4-((4R,4aS,7aR,12bS)-4a,9-dihydroxy-3-methyl-2,3,4,4a,5,7a-hexahydro-1H-4,12-methanobenzofuro[3,2-e]isoquinolin-7-yl) 2-((S)-2-((tert-butoxycarbonyl)oxy)propanamido)succinate
Figure US10226456-20190312-C00976
A mixture of (S)-1-tert-butyl 4-((4R,4aS,7aR,12bS)-4a,9-dihydroxy-3-methyl-2,3,4,4a,5,7a-hexahydro-1H-4,12-methanobenzofuro[3,2-e]isoquinolin-7-yl) 2-aminosuccinate trifluoroacetic acid salt (530 mg, 0.90 mmol) and (S)-2,5-dioxopyrrolidin-1-yl 2-((tert-butoxycarbonyl)oxy)propanoate (300 mg, 1.05 mmol) in tetrahydrofuran (6 mL) was treated with N,N-diisopropylethylamine (0.60 mL, 3.4 mmol) and stirred at room temperature for 1 h. After this time, the mixture was diluted with ethyl acetate and washed with water and brine. The organic extracts were dried over sodium sulfate, filtered, and concentrated. The residue was purified by reversed phase column chromatography (50 g C18 column, 5-100% acetonitrile/water) to provide (S)-1-tert-butyl 4-((4R,4aS,7aR,12bS)-4a,9-dihydroxy-3-methyl-2,3,4,4a,5,7a-hexahydro-1H-4,12-methanobenzofuro[3,2-e]isoquinolin-7-yl) 2-((S)-2-((tert-butoxycarbonyl)oxy)propanamido)succinate (120 mg, 19%): ESI MS m/z 645 [C33H44N2O11+H]+.
Preparation of (S)-4-(((4R,4aS,7aR,12bS)-4a,9-Dihydroxy-3-methyl-2,3,4,4a,5,7a-hexahydro-1H-4,12-methanobenzofuro[3,2-e]isoquinolin-7-yl)oxy)-2-((S)-2-hydroxypropanamido)-4-oxobutanoic acid trifluoroacetic acid salt
Figure US10226456-20190312-C00977
A solution of (S)-1-tert-butyl 4-((4R,4aS,7aR,12bS)-4a,9-dihydroxy-3-methyl-2,3,4,4a,5,7a-hexahydro-1H-4,12-methanobenzofuro[3,2-e]isoquinolin-7-yl) 2-((S)-2-((tert-butoxycarbonyl)oxy)propanamido)succinate (312 mg, 0.484 mmol) in methylene chloride (5 mL) was treated with trifluoroacetic acid (0.8 mL) and stirred at ambient temperature for 1 h. After this time, the reaction mixture was concentrated under reduced pressure. The residue was purified by reversed phase column chromatography (50 g C18 column, 3-20% acetonitrile/water, with 0.1% trifluoracetic acid) and freeze dried to provide (S)-4-(((4R,4aS,7aR,12bS)-4a,9-dihydroxy-3-methyl-2,3,4,4a,5,7a-hexahydro-1H-4,12-methanobenzofuro[3,2-e]isoquinolin-7-yl)oxy)-2-((S)-2-hydroxypropanamido)-4-oxobutanoic acid trifluoroacetic acid salt (29 mg, 10% over three steps) as a fluffy white solid:1H NMR (300 MHz, DMSO-d6) δ 12.99 (br s, 1H), 9.29 (s, 1H), 9.16 (s, 1H), 8.05 (d, J=8.4 Hz, 1H), 6.67 (d, J=8.2 Hz, 1H), 6.63 (d, J=8.2 Hz, 1H), 6.23 (s, 1H), 5.69 (br s, 1H), 5.52-5.49 (m, 1H), 4.94 (s, 1H), 4.72-4.64 (m, 1H), 4.02 (q, J=6.8 Hz, 1H), 3.61 (d, J=6.1 Hz, 1H), 3.13-3.00 (m, 3H), 3.00-2.87 (m, 2H), 2.87-2.78 (m, 3H), 2.78-2.55 (m, 1H), 2.48-2.38 (m, 1H), 2.27 (dd, J=17.8, 6.1 Hz, 1H), 2.05 (d, J=17.8 Hz, 1H), 1.62 (d, J=12.0 Hz, 1H), 1.22 (d, J=6.8 Hz, 1H), two protons obscured by solvent peaks; ESI MS m/z 489 [C24H28N2O9+H]+; HPLC (Method A) 94.8% (AUC), tR=6.33 min.
Figure US10226456-20190312-C00978
Preparation of (S)-2-(2-((S)-2,2-Dimethyl-5-oxo-1,3-dioxolan-4-yl)acetoxy)propanoic acid
Figure US10226456-20190312-C00979
(S)-Lactic acid (399 mg, 4.43 mmol), (S)-2,5-dioxopyrrolidin-1-yl 2-(2,2-dimethyl-5-oxo-1,3-dioxolan-4-yl)acetate (1.00 g, 3.69 mmol), 4-(dimethylamino)pyridine (45 mg, 0.37 mmol), pyridine (350 mg, 4.43 mmol), and tetrahydrofuran (15 mL) were combined and heated at 50° C. under a nitrogen atmosphere for 48 h. After this time, the solvent was removed under reduced pressure, and the residue was partitioned between ethyl acetate (20 mL) and 10% aqueous citric acid. The organic layer was separated and washed with water (50 mL), dried over sodium sulfate, filtered, and concentrated under reduced pressure to provide (S)-2-(2-((S)-2,2-dimethyl-5-oxo-1,3-dioxolan-4-yl)acetoxy)propanoic acid (810 mg, 89%) as a yellow oil:1H NMR (300 MHz, CDCl3) δ 5.19 (m, 1H), 4.74 (m, 1H), 3.03 (td, J=17.1, 3.6 Hz, 1H), 2.88 (m, 1H), 1.69-1.55 (m, 9H), CO2H proton not observed.
Preparation of (S)-2,5-Dioxopyrrolidin-1-yl 2-(2-((S)-2,2-dimethyl-5-oxo-1,3-dioxolan-4-yl)acetoxy)propanoate
Figure US10226456-20190312-C00980
A solution of (S)-2-(2-((S)-2,2-dimethyl-5-oxo-1,3-dioxolan-4-yl)acetoxy)propanoic acid (810 mg, 3.29 mmol) in tetrahydrofuran (12 mL) was treated with N-hydroxysuccinimide (417 mg, 3.62 mmol) and N,N′-dicyclohexylcarbodiimide (746 mg, 3.62 mmol) and stirred under a nitrogen atmosphere for 5 h. After this time, the reaction mixture was filtered to remove the solid dicyclohexylurea byproduct. The solid was washed with diethyl ether (50 mL), and the combined filtrate and washings were concentrated under reduced pressure. The residue was triturated with diethyl ether to provide (S)-2,5-dioxopyrrolidin-1-yl 2-(2-((S)-2,2-dimethyl-5-oxo-1,3-dioxolan-4-yl)acetoxy)propanoate (1.20 g) as a yellow solid:1H NMR (300 MHz, CDCl3) δ 5.49 (q, J=6.6 Hz, 1H), 4.76 (m, 1H), 3.11 (m, 1H), 3.05 (q, J=3.0 Hz, 1H), 2.85 (s, 4H), 1.73-1.57 (m, 9H).
Preparation of (S)-(4R,4aS,7aR,12bS)-9-((tert-Butoxycarbonyl)oxy)-4a-hydroxy-3-methyl-2,3,4,4a,5,7a-hexahydro-1H-4,12-methanobenzofuro[3,2-e]isoquinolin-7-yl 2-(2-((S)-2,2-dimethyl-5-oxo-1,3-dioxolan-4-yl)acetoxy)propanoate
Figure US10226456-20190312-C00981
A solution of tert-butyl ((4R,4aS,7aR,12bS)-4a-hydroxy-3-methyl-7-oxo-2,3,4,4a,5,6,7,7a-octahydro-1H-4,12-methanobenzofuro[3,2-e]isoquinolin-9-yl) carbonate (425 mg, 1.06 mmol) in tetrahydrofuran (10 mL) was cooled in an ice bath and treated dropwise with a 1.0 M solution of lithium bis(trimethylsilyl)amide in tetrahydrofuran (1.3 mL, 1.3 mmol). After addition was complete, the mixture was stirred at ambient temperature for 15 min. The mixture was re-cooled to −45° C. and treated dropwise with a solution of (S)-2,5-dioxopyrrolidin-1-yl 2-(2-((S)-2,2-dimethyl-5-oxo-1,3-dioxolan-4-yl)acetoxy)propanoate (400 mg, 1.17 mmol) in tetrahydrofuran (5 mL). After addition was complete, the mixture was warmed to 0° C. After this time, the reaction mixture was treated with saturated aqueous ammonium chloride (10 mL) and extracted with ethyl acetate (2×25 mL). The combined organics were dried over sodium sulfate, filtered, and concentrated under reduced pressure. The crude residue was purified by column chromatography (40 g silica gel column, 0-20% methanol/methylene chloride, then 50 g C18 column, 10-100% acetonitrile/water) to provide (S)-(4R,4aS,7aR,12bS)-9-((tert-butoxycarbonyl)oxy)-4a-hydroxy-3-methyl-2,3,4,4a,5,7a-hexahydro-1H-4,12-methanobenzofuro[3,2-e]isoquinolin-7-yl 2-(2-((S)-2,2-dimethyl-5-oxo-1,3-dioxolan-4-yl)acetoxy)propanoate (159 mg, 23%) as a white solid:1H NMR (300 MHz, CDCl3) δ 6.90 (d, J=8.1 Hz, 1H), 6.66 (d, J=8.4 Hz, 1H), 5.63 (m, 1H), 5.22 (m, 1H), 5.04 (d, J=9.9 Hz, 1H), 4.75 (dd, J=6.9, 3.3 Hz, 1H), 3.19 (d, J=18.6 Hz, 1H), 3.06 (m, 1H), 2.89 (m, 2H), 2.65 (dd, J=18.9, 6.3 Hz, 1H), 2.48-2.08 (m, 4H), 2.39 (s, 3H), 1.62-1.51 (m, 20H), OH proton not observed.
Preparation of (S)-4-(((S)-1-(((4R,4aS,7aR,12bS)-4a,9-Dihydroxy-3-methyl-2,3,4,4a,5,7a-hexahydro-1H-4,12-methanobenzofuro[3,2-e]isoquinolin-7-yl)oxy)-1-oxopropan-2-yl)oxy)-2-hydroxy-4-oxobutanoic acid hydrochloride
Figure US10226456-20190312-C00982
A solution of (S)-(4R,4aS,7aR,12bS)-9-((tert-butoxycarbonyl)oxy)-4a-hydroxy-3-methyl-2,3,4,4a,5,7a-hexahydro-1H-4,12-methanobenzofuro[3,2-e]isoquinolin-7-yl 2-(2-((S)-2,2-dimethyl-5-oxo-1,3-dioxolan-4-yl)acetoxy)propanoate (159 mg, 0.253 mmol) was treated with a 4.0 M solution of hydrochloric acid in 1,4-dioxane (5 mL, 20.0 mmol) and water (0.2 mL). The reaction mixture was stirred under a nitrogen atmosphere at ambient temperature for 2 h. After this time, the reaction mixture was concentrated under reduced pressure. The residue was purified by reversed phase column chromatography (50 g C18 column, 0-100% acetonitrile/water) and freeze dried to provide (S)-4-(((S)-1-(((4R,4aS,7aR,12bS)-4a,9-dihydroxy-3-methyl-2,3,4,4a,5,7a-hexahydro-1H-4,12-methanobenzofuro[3,2-e]isoquinolin-7-yl)oxy)-1-oxopropan-2-yl)oxy)-2-hydroxy-4-oxobutanoic acid hydrochloride (52.3 mg, 39%) as a fluffy white solid:1H NMR (300 MHz, DMSO-d6) δ 6.57 (apparent q, J=7.8 Hz, 2H), 5.56 (dd, J=5.7, 2.4 Hz, 1H), 5.10 (q, J=6.9 Hz, 1H), 4.84 (s, 1H), 4.24 (dd, J=8.1, 4.2 Hz, 1H), 3.14 (d, J=18.9 Hz, 1H), 3.01 (m, 1H), 2.79 (dd, J=15.6, 4.2 Hz, 1H), 2.75-2.54 (m, 3H), 2.44 (s, 3H), 2.33-2.13 (m, 2H), 2.09-1.96 (m, 2H), 1.50 (d, J=6.9 Hz, 3H), 1.42 (m, 1H), CO2H, HCl, and OH protons not observed; ESI MS m/z 490 [C24H27NO10+H]+.
Figure US10226456-20190312-C00983
Preparation of (S)-2-(((S)-2-((tert-Butoxycarbonyl)oxy)propanoyl)oxy)-2-phenylacetic acid
Figure US10226456-20190312-C00984
A solution of (S)-2,5-dioxopyrrolidin-1-yl 2-((tert-butoxycarbonyl)oxy)propanoate (2.00 g, 6.96 mmol), mandelic acid (1.28 g, 8.41 mmol), and 4-dimethylaminopyridine (87 mg, 0.71 mmol) in tetrahydrofuran (30 mL) was treated with pyridine (0.67 mL, 8.3 mmol) and heated at 50° C. under a nitrogen atmosphere for 20 h. After this time, the reaction mixture was cooled to room temperature and concentrated under reduced pressure. The residue was dissolved in ethyl acetate (50 mL) and washed with aqueous 10% citric acid (2×25 mL) and water (25 mL). The organic layer was extracted with saturated aqueous sodium bicarbonate (2×25 mL). The combined aqueous bicarbonate layers were acidified to pH ˜2 with 6 N hydrochloric acid and extracted with ethyl acetate (4×25 mL). The combined organics were dried over sodium sulfate, filtered, and concentrated under reduced pressure to provide (S)-2-(((S)-2-((tert-butoxycarbonyl)oxy)propanoyl)oxy)-2-phenylacetic acid (1.71 g, 76%) as a colorless oil:1H NMR (300 MHz, CDCl3) δ 7.48-7.36 (m, 5H), 6.00 (s, 1H), 5.06 (q, J=6.9 Hz, 1H), 1.62 (d, J=6.9 Hz, 3H), 1.48 (s, 9H), CO2H proton not observed; ESI MS m/z 647 [(2×C16H20O7)−H].
Preparation of (S)-(S)-2-((2,5-Dioxopyrrolidin-1-yl)oxy)-2-oxo-1-phenylethyl 2-((tert-butoxycarbonyl)oxy)propanoate
Figure US10226456-20190312-C00985
A solution of (S)-2-(((S)-2-((tert-butoxycarbonyl)oxy)propanoyl)oxy)-2-phenylacetic acid (1.71 g, 5.27 mmol) in tetrahydrofuran (20 mL) was treated with N-hydroxysuccinimide (667 mg, 5.80 mmol) and N,N′-dicyclohexylcarbodiimide (1.21 g, 5.86 mmol) and stirred under a nitrogen atmosphere for 2.5 h. After this time, the reaction mixture was filtered to remove the solid dicyclohexylurea byproduct. The solid was washed with diethyl ether, and the combined filtrate and washings were concentrated under reduced pressure to provide (S)-(S)-2-((2,5-dioxopyrrolidin-1-yl)oxy)-2-oxo-1-phenylethyl 2-((tert-butoxycarbonyl)oxy)propanoate (2.21 g, 99%) as an white crushable foam:1H NMR (300 MHz, CDCl3) δ 7.55-7.51 (m, 2H), 7.47-7.42 (m, 3H), 6.39 (s, 1H), 5.05 (q, J=7.2 Hz, 1H), 2.80 (s, 4H), 1.61 (d, J=7.2 Hz, 3H), 1.48 (s, 9H).
Preparation of (S)-(S)-2-(((4R,4aS,7aR,12bS)-9-((tert-Butoxycarbonyl)oxy)-4a-hydroxy-3-methyl-2,3,4,4a,5,7a-hexahydro-1H-4,12-methanobenzofuro[3,2-e]isoquinolin-7-yl)oxy)-2-oxo-1-phenylethyl 2-((tert-butoxycarbonyl)oxy)propanoate
Figure US10226456-20190312-C00986
A solution of tert-butyl ((4R,4aS,7aR,12bS)-4a-hydroxy-3-methyl-7-oxo-2,3,4,4a,5,6,7,7a-octahydro-1H-4,12-methanobenzofuro[3,2-e]isoquinolin-9-yl) carbonate (800 mg, 1.99 mmol) in tetrahydrofuran (8 mL) was cooled to 0° C. and treated dropwise with a 1.0 M solution of lithium bis(trimethylsilyl)amide in tetrahydrofuran (2.4 mL, 2.4 mmol). After addition was complete, the mixture was stirred at 0° C. for 25 min and then at ambient temperature for 25 min. The mixture was re-cooled to −78° C., and a solution of (S)-(S)-2-((2,5-dioxopyrrolidin-1-yl)oxy)-2-oxo-1-phenylethyl 2-((tert-butoxycarbonyl)oxy)propanoate (1.10 g, 2.59 mmol) in tetrahydrofuran (10 mL) was added. The mixture was allowed to warm to 0° C. over 2 h. After this time, the mixture was treated with saturated aqueous ammonium chloride (10 mL) and extracted with ethyl acetate (2×25 mL). The combined organics were dried over sodium sulfate, filtered, and concentrated under reduced pressure. The crude residue was purified by column chromatography (40 g silica gel column, 0-20% methanol/methylene chloride, then 50 g C18 column, 10-100% acetonitrile/water) to provide (S)-(S)-2-(((4R,4aS,7aR,12bS)-9-((tert-butoxycarbonyl)oxy)-4a-hydroxy-3-methyl-2,3,4,4a,5,7a-hexahydro-1H-4,12-methanobenzofuro[3,2-e]isoquinolin-7-yl)oxy)-2-oxo-1-phenylethyl 2-((tert-butoxycarbonyl)oxy)propanoate (685 mg, 56%) as a white solid: ESI MS m/z 708 [C38H45NO12+H]+.
Preparation of (S)-(S)-2-(((4R,4aS,7aR,12bS)-4a,9-Dihydroxy-3-methyl-2,3,4,4a,5,7a-hexahydro-1H-4,12-methanobenzofuro[3,2-e]isoquinolin-7-yl)oxy)-2-oxo-1-phenylethyl 2-hydroxypropanoate trifluoroacetic acid salt
Figure US10226456-20190312-C00987
A solution of (S)-(S)-2-(((4R,4aS,7aR,12bS)-9-((tert-butoxycarbonyl)oxy)-4a-hydroxy-3-methyl-2,3,4,4a,5,7a-hexahydro-1H-4,12-methanobenzofuro[3,2-e]isoquinolin-7-yl)oxy)-2-oxo-1-phenylethyl 2-((tert-butoxycarbonyl)oxy)propanoate (100 mg, 0.141 mmol) in methylene chloride (2 mL) was treated with trifluoroacetic acid (2 mL) and stirred under a nitrogen atmosphere at ambient temperature for 2 h. After this time, the reaction mixture was concentrated under reduced pressure. The residue was purified by reversed phase column chromatography (50 g C18 column, 0-100% acetonitrile/water) and freeze dried to provide (S)-(S)-2-(((4R,4aS,7aR,12bS)-4a,9-dihydroxy-3-methyl-2,3,4,4a,5,7a-hexahydro-1H-4,12-methanobenzofuro[3,2-e]isoquinolin-7-yl)oxy)-2-oxo-1-phenylethyl 2-hydroxypropanoate trifluoroacetic acid salt (52 mg, 59%) as a fluffy white solid:1H NMR (300 MHz, DMSO-d6) δ 9.26 (s, 1H), 9.13 (s, 1H), 7.60-7.56 (m, 2H), 7.49-7.46 (m, 3H), 6.64 (apparent q, J=8.1 Hz, 2H), 6.24 (s, 1H), 6.14 (s, 1H), 5.60-5.54 (m, 2H), 4.87 (s, 1H), 4.31 (m, 1H), 3.03 (m, 1H), 2.82 (m, 3H), 2.64-2.39 (m, 3H), 2.30-2.22 (m, 1H), 2.05 (d, J=18.0 Hz, 1H), 1.59 (d, J=11.4 Hz, 3H), 1.38 (d, J=6.9 Hz, 3H); ESI MS m/z 508 [C28H29NO8+H]+.
Figure US10226456-20190312-C00988
Preparation of (S)-2-Phenyl-2-(stearoyloxy)acetic acid
Figure US10226456-20190312-C00989
A solution of stearoyl chloride (364 mg, 1.20 mmol) in methylene chloride (5 mL) was cooled in an ice bath and treated with (S)-mandelic acid (182 mg, 1.20 mmol) and N,N-diisopropylethylamine (465 mg, 3.60 mmol) and stirred under a nitrogen atmosphere for 16 h. After this time, 10% aqueous citric acid (10 mL) was added, and the resulting mixture was extracted with ethyl acetate (2×20 mL). The combined organics were washed with brine (50 mL), dried over sodium sulfate, filtered, and concentrated under reduced pressure. The residue was purified by column chromatography (40 g silica gel column, 0-100% ethyl acetate/heptane) to provide of (S)-2-phenyl-2-(stearoyloxy)acetic acid (140 mg, 28%) as a white solid:1H NMR (300 MHz, DMSO-d6) δ 7.51-7.47 (m, 2H), 7.42-7.39 (m, 3H), 5.97 (s, 1H), 2.45 (m, 2H), 1.68 (m, 3H), 1.27 (m, 28H), 0.88 (t, J=6.6 Hz, 3H).
Preparation of (S)-2-((2,5-Dioxopyrrolidin-1-yl)oxy)-2-oxo-1-phenylethyl stearate
Figure US10226456-20190312-C00990
A solution of (S)-2-phenyl-2-(stearoyloxy)acetic acid (140 mg, 0.334 mmol) in tetrahydrofuran (3 mL) was treated with N-hydroxysuccinimide (42 mg, 0.368 mmol) and N,N′-dicyclohexylcarbodiimide (76 mg, 0.368 mmol) and stirred under a nitrogen atmosphere for 5 h. After this time, the reaction mixture was filtered to remove the solid dicyclohexylurea byproduct. The solid was washed with diethyl ether (100 mL), and the combined filtrate and washings were concentrated under reduced pressure. The residue was triturated with diethyl ether to provide (S)-2-((2,5-dioxopyrrolidin-1-yl)oxy)-2-oxo-1-phenylethyl stearate (191 mg) as a white powder:1H NMR (300 MHz, CDCl3) δ 7.56-7.53 (m, 2H), 7.46-7.43 (m, 3H), 6.34 (s, 1H), 2.81 (s, 4H), 2.46 (m, 2H), 1.68 (m, 2H), 1.24 (m, 28H), 0.88 (t, J=6.6 Hz, 3H).
Preparation of (S)-2-(((4R,4aS,7aR,12bS)-9-((tert-Butoxycarbonyl)oxy)-4a-hydroxy-3-methyl-2,3,4,4a,5,7a-hexahydro-1H-4,12-methanobenzofuro[3,2-e]isoquinolin-7-yl)oxy)-2-oxo-1-phenylethyl stearate
Figure US10226456-20190312-C00991
A solution of tert-butyl ((4R,4aS,7aR,12bS)-4a-hydroxy-3-methyl-7-oxo-2,3,4,4a,5,6,7,7a-octahydro-1H-4,12-methanobenzofuro[3,2-e]isoquinolin-9-yl) carbonate (122 mg, 0.304 mmol) in tetrahydrofuran (5 mL) was cooled in an ice bath and treated dropwise with a 1.0 M solution of lithium bis(trimethylsilyl)amide in tetrahydrofuran (0.37 mL, 0.37 mmol). After addition was complete, the mixture was stirred at ambient temperature for 15 min. The mixture was re-cooled to −45° C. and treated dropwise with a solution of (S)-2-((2,5-dioxopyrrolidin-1-yl)oxy)-2-oxo-1-phenylethyl stearate (172 mg, 0.334 mmol) in tetrahydrofuran (2 mL). After addition was complete, the mixture was warmed to 0° C. After this time, the reaction mixture was treated with saturated aqueous ammonium chloride (10 mL) and extracted with ethyl acetate (2×25 mL). The combined organics were dried over sodium sulfate, filtered, and concentrated under reduced pressure. The crude residue was purified by column chromatography (40 g, silica gel, 0-20% methanol/methylene chloride) to provide (S)-2-(((4R,4aS,7aR,12bS)-9-((tert-butoxycarbonyl)oxy)-4a-hydroxy-3-methyl-2,3,4,4a,5,7a-hexahydro-1H-4,12-methanobenzofuro[3,2-e]isoquinolin-7-yl)oxy)-2-oxo-1-phenylethyl stearate (101 mg, 41%) as a white solid: ESI MS m/z 802 [C4H67NO9+H]+.
Preparation of (S)-2-(((4R,4aS,7aR,12bS)-4a,9-Dihydroxy-3-methyl-2,3,4,4a,5,7a-hexahydro-1H-4,12-methanobenzofuro[3,2-e]isoquinolin-7-yl)oxy)-2-oxo-1-phenylethyl stearate trifluoroacetic acid salt
Figure US10226456-20190312-C00992
A solution of (S)-2-(((4R,4aS,7aR,12bS)-9-((tert-butoxycarbonyl)oxy)-4a-hydroxy-3-methyl-2,3,4,4a,5,7a-hexahydro-1H-4,12-methanobenzofuro[3,2-e]isoquinolin-7-yl)oxy)-2-oxo-1-phenylethyl stearate (100 mg, 0.126 mmol) in methylene chloride (0.8 mL) was treated with trifluoroacetic acid (0.8 mL) and stirred under a nitrogen atmosphere at ambient temperature for 1 h. After this time, the reaction mixture was concentrated under reduced pressure. The residue was purified by reversed phase column chromatography (50 g C18 column, 0-100% acetonitrile/water) and freeze dried to provide (S)-2-(((4R,4aS,7aR,12bS)-4a,9-dihydroxy-3-methyl-2,3,4,4a,5,7a-hexahydro-1H-4,12-methanobenzofuro[3,2-e]isoquinolin-7-yl)oxy)-2-oxo-1-phenylethyl stearate trifluoroacetic acid salt (37 mg, 34%) as a fluffy white solid:1H NMR (300 MHz, DMSO-d6) δ 9.25 (s, 1H), 9.13 (s, 1H), 7.58-7.55 (m, 2H), 7.47-7.44 (m, 3H), 6.63 (q, J=8.1 Hz, 2H), 6.23 (s, 1H), 6.09 (s, 1H), 5.58 (dd, J=6.3, 2.1 Hz, 1H), 4.86 (s, 1H), 3.06 (m, 1H), 2.82 (d, J=4.8 Hz, 3H), 2.64-2.22 (m, 6H), 2.05 (m, 1H), 2.58 (m, 3H), 1.23 (m, 30H), 0.85 (t, J=6.9 Hz, 3H); ESI MS m/z 702 [C43H59NO7+H]+; HPLC (Method A) 98.7% (AUC), tR=16.14 min.
Figure US10226456-20190312-C00993
Preparation of (2S,2′S)-4,4′-(((4R,4aS,7aR,12bS)-9-((tert-Butyldimethylsilyl)oxy)-3-methyl-2,3,4,4a,5,7a-hexahydro-1H-4,12-methanobenzofuro[3,2-e]isoquinoline-4a,7-diyl)bis(oxy))bis(2-amino-4-oxobutanoic acid) trifluoroacetic acid salt
Figure US10226456-20190312-C00994
A solution of (2S,2′S)-1-di-tert-butyl O′4, O4-((4R,4aS,7aR,12bS)-9-((tert-butyldimethylsilyl)oxy)-3-methyl-2,3,4,4a,5,7a-hexahydro-1H-4,12-methanobenzofuro[3,2-e]isoquinoline-4a,7-diyl) bis(2-((tert-butoxycarbonyl)amino)succinate)(155 mg, 0.162 mmol) in methylene chloride (6 mL) was treated with trifluoroacetic acid (0.6 mL) and stirred at ambient temperature for 18 h. After this time, the reaction mixture was concentrated under reduced pressure to obtain (2S,2′S)-4,4′-(((4R,4aS,7aR,12bS)-9-((tert-butyldimethylsilyl)oxy)-3-methyl-2,3,4,4a,5,7a-hexahydro-1H-4,12-methanobenzofuro[3,2-e]isoquinoline-4a,7-diyl)bis(oxy))bis(2-amino-4-oxobutanoic acid) trifluoroacetic acid salt (150 mg, quantitative) that was used without purification: ESI MS m/z 646 [C31H43N3O10Si+H]+.
Preparation of (S,2S,2′S)-4,4′-(((4R,4aS,7aR,12bS)-9-((tert-Butyldimethylsilyl)oxy)-3-methyl-2,3,4,4a,5,7a-hexahydro-1H-4,12-methanobenzofuro[3,2-e]isoquinoline-4a,7-diyl)bis(oxy))bis(2-((S)-2-((tert-butoxycarbonyl)oxy)propanamido)-4-oxobutanoic acid)
Figure US10226456-20190312-C00995
A mixture of (2S,2′S)-4,4′-(((4R,4aS,7aR,12bS)-9-((tert-butyldimethylsilyl)oxy)-3-methyl-2,3,4,4a,5,7a-hexahydro-1H-4,12-methanobenzofuro[3,2-e]isoquinoline-4a,7-diyl)bis(oxy))bis(2-amino-4-oxobutanoic acid) trifluoroacetic acid salt (150 mg, 0.16 mmol) and (S)-2,5-dioxopyrrolidin-1-yl 2-((tert-butoxycarbonyl)oxy)propanoate (105 mg, 0.366 mmol) in methylene chloride (6 mL) was treated with N,N-diisopropylethylamine (0.20 mL, 1.2 mmol) and stirred at room temperature for 1 h. After this time, the reaction mixture was diluted with ethyl acetate and washed with water and brine. The organic extracts were dried over sodium sulfate, filtered, and concentrated to provide (S,2S,2′S)-4,4′-(((4R,4aS,7aR,12bS)-9-((tert-butyldimethylsilyl)oxy)-3-methyl-2,3,4,4a,5,7a-hexahydro-1H-4,12-methanobenzofuro[3,2-e]isoquinoline-4a,7-diyl)bis(oxy))bis(2-((S)-2-((tert-butoxycarbonyl)oxy)propanamido)-4-oxobutanoic acid) (130 mg) that was used without purification: ESI MS m/z 990 [C47H67N3O18Si+H]+.
Preparation of (S,2S,2′S)-4,4′-(((4R,4aS,7aR,12bS)-9-((tert-Butyldimethylsilyl)oxy)-3-methyl-2,3,4,4a,5,7a-hexahydro-1H-4,12-methanobenzofuro[3,2-e]isoquinoline-4a,7-diyl)bis(oxy))bis(2-((S)-2-hydroxypropanamido)-4-oxobutanoic acid) trifluoroacetic acid salt
Figure US10226456-20190312-C00996
A solution of (S,2S,2′S)-4,4′-(((4R,4aS,7aR,12bS)-9-((tert-butyldimethylsilyl)oxy)-3-methyl-2,3,4,4a,5,7a-hexahydro-1H-4,12-methanobenzofuro[3,2-e]isoquinoline-4a,7-diyl)bis(oxy))bis(2-((S)-2-((tert-butoxycarbonyl)oxy)propanamido)-4-oxobutanoic acid) (130 mg) in methylene chloride (6 mL) was treated with trifluoroacetic acid (2 mL) and stirred at ambient temperature for 30 min. After this time, the reaction mixture was concentrated under reduced pressure to provide (S,2S,2′S)-4,4′-(((4R,4aS,7aR,12bS)-9-((tert-butyldimethylsilyl)oxy)-3-methyl-2,3,4,4a,5,7a-hexahydro-1H-4,12-methanobenzofuro[3,2-e]isoquinoline-4a,7-diyl)bis(oxy))bis(2-((S)-2-hydroxypropanamido)-4-oxobutanoic acid) trifluoroacetic acid salt (130 mg) that was used without purification: ESI MS m/z 790 [C37H51N3O14Si+H]+.
Preparation of (S,2S,2′S)-4,4′-(((4R,4aS,7aR,12bS)-9-Hydroxy-3-methyl-2,3,4,4a,5,7a-hexahydro-1H-4,12-methanobenzofuro[3,2-e]isoquinoline-4a,7-diyl)bis(oxy))bis(2-((S)-2-hydroxypropanamido)-4-oxobutanoic acid) trifluoroacetic acid salt
Figure US10226456-20190312-C00997
A solution of (S,2S,2′S)-4,4′-(((4R,4aS,7aR,12bS)-9-((tert-butyldimethylsilyl)oxy)-3-methyl-2,3,4,4a,5,7a-hexahydro-1H-4,12-methanobenzofuro[3,2-e]isoquinoline-4a,7-diyl)bis(oxy))bis(2-((S)-2-hydroxypropanamido)-4-oxobutanoic acid) (130 mg) in tetrahydrofuran (4 mL) and water (3 mL) was treated with trifluoroacetic acid (3 mL) and stirred at room temperature for 1.5 h. After this time, the mixture was concentrated. The residue was purified by reversed phase column chromatography (50 g C18 column, 3-20% acetonitrile/water, with 0.1% trifluoracetic acid) and freeze dried to provide (S,2S,2′S)-4,4′-(((4R,4aS,7aR,12bS)-9-hydroxy-3-methyl-2,3,4,4a,5,7a-hexahydro-1H-4,12-methanobenzofuro[3,2-e]isoquinoline-4a,7-diyl)bis(oxy))bis(2-((S)-2-hydroxypropanamido)-4-oxobutanoic acid) trifluoroacetic acid salt (40 mg, 27% over three steps) as a fluffy white solid:1H NMR (300 MHz, DMSO-d6) δ 12.97 (br s, 1H), 9.40 (br s, 2H), 8.10 (d, J=8.4 Hz, 1H), 7.95 (d, J=8.0 Hz, 1H), 6.72 (d, J=8.2 Hz, 1H), 6.66 (d, J=8.2 Hz, 1H), 5.42 (dd, J=6.1, 1.7 Hz, 1H), 5.01 (s, 1H), 4.76-4.60 (m, 3H), 4.06-3.98 (m, 2H), 2.30-3.10 (m, 4H), 3.09-2.56 (m, 10H), 2.48-2.33 (m, 2H), 2.11 (d, J=19.0 Hz, 1H), 1.78 (d, J=12.8 Hz, 1H), 1.21 (d, J=6.8 Hz, 6H); ESI MS m/z 676 [C31H37N3O14+H]+.
Figure US10226456-20190312-C00998
Preparation of (S)-2-((S)-2-((tert-Butoxycarbonyl)oxy)-2-phenylacetoxy)propanoic acid
Figure US10226456-20190312-C00999
A solution of (S)-2,5-dioxopyrrolidin-1-yl 2-((tert-butoxycarbonyl)oxy)-2-phenylacetate (2.00 g, 5.73 mmol), lactic acid (627 mg, 6.96 mmol), and 4-dimethylaminopyridine (68 mg, 0.56 mmol) in tetrahydrofuran (25 mL) was treated with pyridine (0.56 g, 7.0 mmol) and heated at 50° C. under a nitrogen atmosphere for 16 h. After this time, the reaction mixture was cooled to room temperature and concentrated under reduced pressure. The residue was dissolved in ethyl acetate (50 mL) and washed with aqueous 10% citric acid (2×25 mL) and water (25 mL). The organic layer was extracted with saturated aqueous sodium bicarbonate (2×25 mL). The combined aqueous bicarbonate layers were acidified to pH ˜2 with 6 N hydrochloric acid and extracted with ethyl acetate (4×25 mL). The combined organics were dried over sodium sulfate, filtered, and concentrated under reduced pressure to provide (S)-2-((S)-2-((tert-butoxycarbonyl)oxy)-2-phenylacetoxy)propanoic acid (1.42 g, 76%) as a colorless oil:1H NMR (300 MHz, CDCl3) δ 7.52-7.48 (m, 2H), 7.40-7.37 (m, 3H), 5.85 (s, 1H), 5.23 (q, J=6.9 Hz, 1H), 1.56-1.44 (m, 12H), CO2H proton not observed; ESI MS m/z 647 [(2×C16H20O7)−H].
Preparation of (S)-2,5-Dioxopyrrolidin-1-yl 2-((S)-2-((tert-butoxycarbonyl)oxy)-2-phenylacetoxy)propanoate
Figure US10226456-20190312-C01000
A solution of (S)-2-((S)-2-((tert-butoxycarbonyl)oxy)-2-phenylacetoxy)propanoic acid (1.42 g, 4.36 mmol) in tetrahydrofuran (20 mL) was treated with N-hydroxysuccinimide (558 mg, 4.85 mmol) and N,N′-dicyclohexylcarbodiimide (997 mg, 4.83 mmol) and stirred under a nitrogen atmosphere for 2.5 h. After this time, the reaction mixture was filtered to remove the solid dicyclohexylurea byproduct. The solid was washed with diethyl ether, and the combined filtrate and washings were concentrated under reduced pressure to provide (S)-2,5-dioxopyrrolidin-1-yl 2-((S)-2-((tert-butoxycarbonyl)oxy)-2-phenylacetoxy)propanoate (2.02 g, quantitative) as a white crushable foam:1H NMR (300 MHz, CDCl3) δ 7.51-7.45 (m, 2H), 7.40-7.34 (m, 3H), 5.85 (s, 1H), 5.53 (q, J=6.9 Hz, 1H), 2.82 (br s, 4H), 1.69 (d, J=6.9 Hz, 3H), 1.51 (s, 9H).
Preparation of (S)-(4R,4aS,7aR,12bS)-9-((tert-Butoxycarbonyl)oxy)-4a-hydroxy-3-methyl-2,3,4,4a,5,7a-hexahydro-1H-4,12-methanobenzofuro[3,2-e]isoquinolin-7-yl 2-((S)-2-((tert-butoxycarbonyl)oxy)-2-phenylacetoxy)propanoate
Figure US10226456-20190312-C01001
A solution of tert-butyl ((4R,4aS,7aR,12bS)-4a-hydroxy-3-methyl-7-oxo-2,3,4,4a,5,6,7,7a-octahydro-1H-4,12-methanobenzofuro[3,2-e]isoquinolin-9-yl) carbonate (500 mg, 1.25 mmol) in tetrahydrofuran (10 mL) was cooled in an ice bath and treated dropwise with a 1.0 M solution of lithium bis(trimethylsilyl)amide in tetrahydrofuran (1.5 mL, 1.5 mmol). After addition was complete, the mixture was stirred at ambient temperature for 15 min. The mixture was re-cooled to −45° C. and treated dropwise with a solution of (S)-2,5-dioxopyrrolidin-1-yl 2-((S)-2-((tert-butoxycarbonyl)oxy)-2-phenylacetoxy)propanoate (577 mg, 1.37 mmol) in tetrahydrofuran (2 mL). After addition was complete, the mixture was warmed to 0° C. After this time, the reaction mixture was treated with saturated aqueous ammonium chloride (10 mL) and extracted with ethyl acetate (2×25 mL). The combined organics were dried over sodium sulfate, filtered, and concentrated under reduced pressure. The crude residue was purified by column chromatography (40 g silica gel column, 0-20% methanol/methylene chloride, then 50 g C18 column, 10-100% acetonitrile/water) to provide (S)-(4R,4aS,7aR,12bS)-9-((tert-butoxycarbonyl)oxy)-4a-hydroxy-3-methyl-2,3,4,4a,5,7a-hexahydro-1H-4,12-methanobenzofuro[3,2-e]isoquinolin-7-yl 2-((S)-2-((tert-butoxycarbonyl)oxy)-2-phenylacetoxy)propanoate (301 mg, 34%) as a white solid: ESI MS m/z 708 [C38H45NO12+H]+.
Preparation of (S)-(4R,4aS,7aR,12bS)-4a,9-Dihydroxy-3-methyl-2,3,4,4a,5,7a-hexahydro-1H-4,12-methanobenzofuro[3,2-e]isoquinolin-7-yl 2-((S)-2-hydroxy-2-phenylacetoxy)propanoate trifluoroacetic acid salt
Figure US10226456-20190312-C01002
A solution of (S)-(4R,4aS,7aR,12bS)-9-((tert-butoxycarbonyl)oxy)-4a-hydroxy-3-methyl-2,3,4,4a,5,7a-hexahydro-1H-4,12-methanobenzofuro[3,2-e]isoquinolin-7-yl 2-((S)-2-((tert-butoxycarbonyl)oxy)-2-phenylacetoxy)propanoate (150 mg, 0.212 mmol) in methylene chloride (2.0 mL) was treated with trifluoroacetic acid (2.0 mL) and stirred under a nitrogen atmosphere at ambient temperature for 2 h. After this time, the reaction mixture was concentrated under reduced pressure. The residue was purified by reversed phase column chromatography (50 g C18 column, 0-100% acetonitrile/water) and freeze dried to provide (S)-(4R,4aS,7aR,12bS)-4a,9-dihydroxy-3-methyl-2,3,4,4a,5,7a-hexahydro-1H-4,12-methanobenzofuro[3,2-e]isoquinolin-7-yl 2-((S)-2-hydroxy-2-phenylacetoxy)propanoate trifluoroacetic acid salt (49.6 mg, 37%) as a fluffy white solid:1H NMR (300 MHz, DMSO-d6) δ 9.29 (s, 1H), 9.14 (s, 1H), 7.46-7.43 (m, 2H), 7.38-7.27 (m, 3H), 6.64 (apparent q, J=8.1 Hz, 2H), 6.21 (s, 1H), 6.16 (d, J=5.7 Hz, 1H), 5.49 (dd, J=5.7, 2.1 Hz, 1H), 5.24-5.15 (m, 2H), 4.82 (s, 1H), 3.06 (m, 1H), 2.83 (d, J=4.2 Hz, 3H), 2.63-2.22 (m, 6H), 2.03 (d, J=18.0 Hz, 1H), 1.60 (d, J=10.2 Hz, 1H), 1.50 (d, J=6.9 Hz, 3H); ESI MS m/z 508 [C28H29NO8+H]+.
Figure US10226456-20190312-C01003
Preparation of tert-Butyl (2,5-dioxopyrrolidin-1-yl) succinate
Figure US10226456-20190312-C01004
A mixture of 4-(tert-butoxy)-4-oxobutanoic acid (9.75 g, 56.0 mmol) and N-hydroxysuccinimide (7.00 g, 60.8 mmol) in tetrahydrofuran (280 mL) at 0° C. was treated with N,N′-dicyclohexylcarbodiimide (12.5 g, 60.8 mmol). The ice bath was removed, and the reaction mixture was stirred at ambient temperature for 4 h. After this time, diethyl ether (100 mL) was added, and the mixture was filtered. The filtrate was concentrated under reduced pressure to provide tert-butyl (2,5-dioxopyrrolidin-1-yl) succinate (15.0 g) that was used without purification:1H NMR (300 MHz, CDCl3) δ 2.91 (t, J=7.2 Hz, 2H), 2.83 (s, 4H), 2.66 (t, J=7.2 Hz, 2H), 1.46 (s, 9H).
Preparation of (S)-2-((4-(tert-Butoxy)-4-oxobutanoyl)oxy)propanoic acid
Figure US10226456-20190312-C01005
A mixture of tert-butyl (2,5-dioxopyrrolidin-1-yl) succinate (7.60 g, 28.0 mmol), (S)-2-hydroxypropanoic acid (3.00 g, 33.3 mmol), pyridine (2.7 mL, 33.5 mmol), and 4-dimethylaminopyridine (200 mg, 1.6 mmol) in tetrahydrofuran (120 mL) was stirred at reflux for 24 h. After this time, the mixture was cooled to room temperature, partially concentrated under reduced pressure, diluted with ethyl acetate, and washed with 10% citric acid. The organic layer was extracted with saturated sodium bicarbonate. The aqueous extract was carefully treated with 2 N hydrochloric acid until acidic by pH paper analysis, and then extracted with ethyl acetate. The organic extracts were dried over sodium sulfate, filtered, and concentrated to give (S)-2-((4-(tert-butoxy)-4-oxobutanoyl)oxy)propanoic acid (4.84 g, 70%): ESI MS m/z 245 [C11H18O6−H]
Preparation of (S)-tert-Butyl (1-((2,5-dioxopyrrolidin-1-yl)oxy)-1-oxopropan-2-yl) succinate
Figure US10226456-20190312-C01006
A mixture of (S)-2-((4-(tert-butoxy)-4-oxobutanoyl)oxy)propanoic acid (4.80 g, 19.5 mmol) and N-hydroxysuccinimide (2.50 g, 21.7 mmol) in tetrahydrofuran (100 mL) at 0° C. was treated with N,N′-dicyclohexylcarbodiimide (4.45 g, 21.6 mmol). The ice bath was removed, and the reaction mixture was stirred at ambient temperature for 4 h. After this time, diethyl ether (100 mL) was added, and the mixture was filtered. The filtrate was concentrated under reduced pressure to provide (S)-tert-butyl (1-((2,5-dioxopyrrolidin-1-yl)oxy)-1-oxopropan-2-yl) succinate (6.85 g) that was used without purification:1H NMR (300 MHz, CDCl3) δ 5.44 (q, J=7.1 Hz, 1H), 2.84 (s, 4H), 2.72-2.52 (m, 4H), 1.68 (d, J=7.1 Hz, 3H), 1.44 (s, 9H).
Preparation of (S)-1-(((4R,4aS,7aR,12bS)-9-((tert-Butoxycarbonyl)oxy)-4a-hydroxy-3-methyl-2,3,4,4a,5,7a-hexahydro-1H-4,12-methanobenzofuro[3,2-e]isoquinolin-7-yl)oxy)-1-oxopropan-2-yl tert-butyl succinate
Figure US10226456-20190312-C01007
A solution of tert-butyl ((4R,4aS,7aR,12bS)-4a-hydroxy-3-methyl-7-oxo-2,3,4,4a,5,6,7,7a-octahydro-1H-4,12-methanobenzofuro[3,2-e]isoquinolin-9-yl) carbonate (500 mg, 1.24 mmol) in tetrahydrofuran (10 mL) was cooled to −10° C. and treated dropwise with a 1.0 M solution of lithium bis(trimethylsilyl)amidein tetrahydrofuran (1.4 mL, 1.4 mmol). After addition was complete, the mixture was stirred at ambient temperature for 10 min. The mixture was re-cooled to −10° C., and a solution of (S)-tert-butyl (1-((2,5-dioxopyrrolidin-1-yl)oxy)-1-oxopropan-2-yl) succinate (480 mg, 1.4 mmol) in tetrahydrofuran (5 mL) was added. The mixture was stirred at −10° C. to ambient temperature over 1 h. After this time, the reaction mixture was cooled in an ice bath, treated with saturated aqueous ammonium chloride, and extracted with ethyl acetate. The combined organics were dried over sodium sulfate, filtered, and concentrated under reduced pressure. The residue was purified by reverse phase column chromatography (50 g C18 column, 5-100% acetonitrile/water) to provide (S)-1-(((4R,4aS,7aR,12bS)-9-((tert-butoxycarbonyl)oxy)-4a-hydroxy-3-methyl-2,3,4,4a,5,7a-hexahydro-1H-4,12-methanobenzofuro[3,2-e]isoquinolin-7-yl)oxy)-1-oxopropan-2-yl tert-butyl succinate (420 mg, 53%): ESI MS m/z 630 [C33H43NO11+H]+.
Preparation of 4-(((S)-1-(((4R,4aS,7aR,12bS)-4a,9-Dihydroxy-3-methyl-2,3,4,4a,5,7a-hexahydro-1H-4,12-methanobenzofuro[3,2-e]isoquinolin-7-yl)oxy)-1-oxopropan-2-yl)oxy)-4-oxobutanoic acid trifluoroacetic acid salt
Figure US10226456-20190312-C01008
A solution of (S)-1-(((4R,4aS,7aR,12bS)-9-((tert-butoxycarbonyl)oxy)-4a-hydroxy-3-methyl-2,3,4,4a,5,7a-hexahydro-1H-4,12-methanobenzofuro[3,2-e]isoquinolin-7-yl)oxy)-1-oxopropan-2-yl tert-butyl succinate (420 mg, 0.67 mmol) in methylene chloride (10 mL) was treated with trifluoroacetic acid (4 mL) and stirred at ambient temperature for 2 h. After this time, the reaction mixture was concentrated under reduced pressure. The residue was purified by reversed phase column chromatography (50 g C18 column, 5-25% acetonitrile/water) and freeze dried to provide 4-(((S)-1-(((4R,4aS,7aR,12bS)-4a,9-dihydroxy-3-methyl-2,3,4,4a,5,7a-hexahydro-1H-4,12-methanobenzofuro[3,2-e]isoquinolin-7-yl)oxy)-1-oxopropan-2-yl)oxy)-4-oxobutanoic acid trifluoroacetic acid salt (210 mg, 54%) as a fluffy white solid:1H NMR (300 MHz, DMSO-d6) δ 9.26 (br s, 1H), 6.66 (d, J=8.2 Hz, 1H), 6.60 (d, J=8.2 Hz, 1H), 5.57 (dd, J=5.8, 2.0 Hz, 1H), 5.11 (q, J=7.0 Hz, 1H), 4.92 (s, 1H), 3.02-2.78 (m, 2H), 2.8-2.58 (m, 5H), 2.50-2.31 (m, 1H), 2.24 (dd, J=17.8, 5.4 Hz, 1H), 2.04 (d, J=19.9 Hz, 1H), 1.57 (d, J=11.3 Hz, 1H), 1.51 (d, J=7.0 Hz, 3H), CO2H and OH protons not observed, five protons obscured by solvent peaks; ESI MS m/z 474 [C24H27NO9+H]+; HPLC (Method A) 96.8% (AUC), tR=7.36 min.
Figure US10226456-20190312-C01009
Preparation of (S)-2-((4-(tert-Butoxy)-4-oxobutanoyl)oxy)-2-phenylacetic acid
Figure US10226456-20190312-C01010
A mixture of tert-butyl (2,5-dioxopyrrolidin-1-yl) succinate (7.60 g, 28.0 mmol), (S)-2-hydroxy-2-phenylacetic acid (4.26 g, 28.0 mmol), pyridine (2.7 mL, 33.5 mmol), and 4-dimethylaminopyridine (200 mg, 1.6 mmol) in tetrahydrofuran (120 mL) was stirred at reflux for 48 h. After this time, the mixture was cooled to room temperature, partially concentrated under reduced pressure, diluted with ethyl acetate, and washed with 10% citric acid. The organic layer was extracted with saturated sodium bicarbonate. The aqueous extract was carefully treated with 2 N hydrochloric acid until acidic by pH paper analysis, and then extracted with ethyl acetate. The organic extracts were dried over sodium sulfate, filtered, and concentrated to give (S)-2-((4-(tert-butoxy)-4-oxobutanoyl)oxy)-2-phenylacetic acid (6.00 g, 70%):1H NMR (300 MHz, CDCl3) δ 7.51-7.45 (m, 2H), 7.42-7.35 (m, 3H), 5.97 (s, 1H), 2.76-2.69 (m, 2H), 2.63-2.55 (m, 2H), 1.41 (s, 9H), CO2H proton not observed.
Preparation of (S)-tert-Butyl (2-((2,5-dioxopyrrolidin-1-yl)oxy)-2-oxo-1-phenylethyl) succinate
Figure US10226456-20190312-C01011
A mixture of (S)-2-((4-(tert-butoxy)-4-oxobutanoyl)oxy)-2-phenylacetic acid (6.00 g, 19.5 mmol) and N-hydroxysuccinimide (2.50 g, 21.7 mmol) in tetrahydrofuran (100 mL) at 0° C. was treated with N,N′-dicyclohexylcarbodiimide (4.45 g, 21.6 mmol). The ice bath was removed, and the reaction mixture was stirred at ambient temperature for 4 h. After this time, diethyl ether (100 mL) was added, and the mixture was filtered. The filtrate was concentrated under reduced pressure to provide (S)-tert-butyl (2-((2,5-dioxopyrrolidin-1-yl)oxy)-2-oxo-1-phenylethyl) succinate (8.33 g) that was used without purification:1H NMR (300 MHz, CDCl3) δ 7.57-7.51 (m, 2H), 7.46-7.40 (m, 3H), 6.35 (s, 1H), 2.80 (s, 4H), 2.77-2.71 (m, 2H), 2.63-2.56 (m, 2H), 1.41 (s, 9H).
Preparation of (S)-2-(((4R,4aS,7aR,12bS)-9-((tert-Butoxycarbonyl)oxy)-4a-hydroxy-3-methyl-2,3,4,4a,5,7a-hexahydro-1H-4,12-methanobenzofuro[3,2-e]isoquinolin-7-yl)oxy)-2-oxo-1-phenylethyl tert-butyl succinate
Figure US10226456-20190312-C01012
A solution of tert-butyl ((4R,4aS,7aR,12bS)-4a-hydroxy-3-methyl-7-oxo-2,3,4,4a,5,6,7,7a-octahydro-1H-4,12-methanobenzofuro[3,2-e]isoquinolin-9-yl) carbonate (505 mg, 1.26 mmol) in tetrahydrofuran (10 mL) was cooled to −10° C. and treated dropwise with a 1.0 M solution of lithium bis(trimethylsilyl)amidein tetrahydrofuran (1.4 mL, 1.4 mmol). After addition was complete, the mixture was stirred at ambient temperature for 10 min. The mixture was re-cooled to −10° C., and (S)-tert-butyl (2-((2,5-dioxopyrrolidin-1-yl)oxy)-2-oxo-1-phenylethyl) succinate (670 mg, 1.65 mmol) was added in one portion. The mixture was stirred at −10° C. to ambient temperature over 1 h. After this time, the reaction mixture was cooled in an ice bath, treated with saturated aqueous ammonium chloride, and extracted with ethyl acetate. The combined organics were dried over sodium sulfate, filtered, and concentrated under reduced pressure. The residue was purified by reversed phase column chromatography (50 g C18 column, 5-100% acetonitrile/water) to provide (S)-2-(((4R,4aS,7aR,12bS)-9-((tert-butoxycarbonyl)oxy)-4a-hydroxy-3-methyl-2,3,4,4a,5,7a-hexahydro-1H-4,12-methanobenzofuro[3,2-e]isoquinolin-7-yl)oxy)-2-oxo-1-phenylethyl tert-butyl succinate (420 mg, 48%): ESI MS m/z 692 [C38H45NO11+H]+.
Preparation of 4-((S)-2-(((4R,4aS,7aR,12bS)-4a,9-Dihydroxy-3-methyl-2,3,4,4a,5,7a-hexahydro-1H-4,12-methanobenzofuro[3,2-e]isoquinolin-7-yl)oxy)-2-oxo-1-phenylethoxy)-4-oxobutanoic acid trifluoracetic acid salt
Figure US10226456-20190312-C01013
A solution of (S)-2-(((4R,4aS,7aR,12bS)-9-((tert-butoxycarbonyl)oxy)-4a-hydroxy-3-methyl-2,3,4,4a,5,7a-hexahydro-1H-4,12-methanobenzofuro[3,2-e]isoquinolin-7-yl)oxy)-2-oxo-1-phenylethyl tert-butyl succinate (420 mg, 0.60 mmol) in methylene chloride (10 mL) was treated with trifluoroacetic acid (4 mL) and stirred at ambient temperature for 2 h. After this time, the reaction mixture was concentrated under reduced pressure. The residue was purified by reversed phase column chromatography (50 g C18 column, 5-30% acetonitrile/water) and freeze dried to provide 4-((S)-2-(((4R,4aS,7aR,12bS)-4a,9-dihydroxy-3-methyl-2,3,4,4a,5,7a-hexahydro-1H-4,12-methanobenzofuro[3,2-e]isoquinolin-7-yl)oxy)-2-oxo-1-phenylethoxy)-4-oxobutanoic acid trifluoracetic acid salt (210 mg, 54%) as a fluffy white solid:1H NMR (300 MHz, DMSO-d6) δ 7.59-7.51 (m, 2H), 7.50-7.40 (m, 3H), 6.57 (d. J=8.1 Hz, 1H), 6.51 (d, J=8.1 Hz, 1H), 6.07 (s, 1H), 5.55 (dd, J=5.5, 2.6 Hz, 1H), 4.70 (s, 1H), 3.20-3.03 (m, 2H), 3.84 (d, J=6.0 Hz, 1H), 2.74-2.63 (m, 2H), 2.62-2.54 (m, 3H), 2.43 (dd, J=10.9, 3.6 Hz, 1H), 2.32 (s, 3H), 2.19 (dd, J=12.3, 4.5 Hz, 1H), 2.13-1.93 (m, 3H), 1.36 (d, J=10.8 Hz, 1H), CO2H and OH protons not observed; ESI MS m/z 536 [C29H29NO9+H]+; HPLC (Method A) 96.7% (AUC), tR=8.58 min.
Figure US10226456-20190312-C01014
Preparation of (2S,2′S)-4,4′-(((4R,4aS,7aR,12bS)-9-Hydroxy-3-methyl-2,3,4,4a,5,7a-hexahydro-1H-4,12-methanobenzofuro[3,2-e]isoquinoline-4a,7-diyl)bis(oxy))bis(2-hydroxy-4-oxobutanoic acid)
Figure US10226456-20190312-C01015
A solution of (S)-(4R,4aS,7aR,12bS)-9-((tert-butoxycarbonyl)oxy)-3-methyl-2,3,4,4a,5,7a-hexahydro-1H-4,12-methanobenzofuro[3,2-e]isoquinoline-4a,7-diyl bis(2-((S)-2,2-dimethyl-5-oxo-1,3-dioxolan-4-yl)acetate) (93 mg, 0.13 mmol) in 1,4-dioxane (2.5 mL) and water (0.1 mL) was treated with a 4 N solution of hydrogen chloride in 1,4-dioxane (0.4 mL, 1.6 mmol) and stirred at ambient temperature for 2.5 h. After this time, the reaction mixture was concentrated under reduced pressure. The residue was purified by reversed phase column chromatography (50 g C18 column, 0-10% acetonitrile/water, with 0.1% trifluoracetic acid) and freeze dried to provide (2S,2′S)-4,4′-(((4R,4aS,7aR,12bS)-9-hydroxy-3-methyl-2,3,4,4a,5,7a-hexahydro-1H-4,12-methanobenzofuro[3,2-e]isoquinoline-4a,7-diyl)bis(oxy))bis(2-hydroxy-4-oxobutanoic acid) (26 mg, 38%):1H NMR (300 MHz, DMSO-d6) δ 9.44 (br s, 1H), 9.31 (br s, 1H), 9.15 (br s, 1H), 6.75-6.58 (m, 3H), 5.46-5.41 (m, 2H), 5.02 (s, 1H), 4.69 (d, J=5.9 Hz, 1H), 4.25-4.33 (m, 3H), 3.60-2.60 (m, 11H), 2.47-2.37 (m, 1H), 2.10 (d, J=19.3 Hz, 1H), 1.77 (d, J=11.4 Hz, 1H); ESI MS m/z 534 [C25H27NO12+H]+.
Figure US10226456-20190312-C01016
Preparation of (S)-2-(2-((S)-2,2-Dimethyl-5-oxo-1,3-dioxolan-4-yl)acetoxy)-2-phenylacetic acid
Figure US10226456-20190312-C01017
(S)-Mandelic acid (935 mg, 6.15 mmol), (S)-2,5-dioxopyrrolidin-1-yl 2-(2,2-dimethyl-5-oxo-1,3-dioxolan-4-yl)acetate (2.00 g, 7.37 mmol), 4-(dimethylamino)pyridine (75 mg, 0.62 mmol), pyridine (582 mg, 7.37 mmol), and tetrahydrofuran (30 mL) were combined and heated at 50° C. under a nitrogen atmosphere for 48 h. After this time, the solvent was removed under reduced pressure, and the residue was partitioned between ethyl acetate (30 mL) and 10% aqueous citric acid. The organic layer was separated and washed with water (50 mL), dried over sodium sulfate, filtered, and concentrated under reduced pressure to provide (S)-2-(2-((S)-2,2-dimethyl-5-oxo-1,3-dioxolan-4-yl)acetoxy)-2-phenylacetic acid (2.54 g, quantitative) as a yellow oil:1H NMR (300 MHz, CDCl3) δ 7.50-7.32 (m, 5H), 6.01 (s, 1H), 4.77 (m, 1H), 3.14 (dd, J=17.1, 3.9 Hz, 1H), 2.88 (m, 1H), 1.54 (m, 6H), CO2H proton not observed.
Preparation of (S)-2,5-Dioxopyrrolidin-1-yl 2-(2-((S)-2,2-dimethyl-5-oxo-1,3-dioxolan-4-yl)acetoxy)-2-phenylacetate
Figure US10226456-20190312-C01018
A solution of (S)-2-(2-((S)-2,2-dimethyl-5-oxo-1,3-dioxolan-4-yl)acetoxy)-2-phenylacetic acid (2.27 g, 7.37 mmol) in tetrahydrofuran (60 mL) was treated with N-hydroxysuccinimide (932 mg, 8.11 mmol) and N,N′-dicyclohexylcarbodiimide (1.67 g, 8.11 mmol) and stirred under a nitrogen atmosphere for 4 h. After this time, the reaction mixture was filtered to remove the solid dicyclohexylurea byproduct. The solid was washed with diethyl ether (50 mL), and the combined filtrate and washings were concentrated under reduced pressure. The residue was triturated with diethyl ether to provide (S)-2,5-dioxopyrrolidin-1-yl 2-(2-((S)-2,2-dimethyl-5-oxo-1,3-dioxolan-4-yl)acetoxy)-2-phenylacetate (3.52 g) as a yellow solid that was used without purification.
Preparation of (S)-(4R,4aS,7aR,12bS)-9-((tert-Butoxycarbonyl)oxy)-4a-hydroxy-3-methyl-2,3,4,4a,5,7a-hexahydro-1H-4,12-methanobenzofuro[3,2-e]isoquinolin-7-yl 2-(2-((S)-2,2-dimethyl-5-oxo-1,3-dioxolan-4-yl)acetoxy)-2-phenylacetate
Figure US10226456-20190312-C01019
A solution of tert-butyl ((4R,4aS,7aR,12bS)-4a-hydroxy-3-methyl-7-oxo-2,3,4,4a,5,6,7,7a-octahydro-1H-4,12-methanobenzofuro[3,2-e]isoquinolin-9-yl) carbonate (500 mg, 1.25 mmol) in tetrahydrofuran (10 mL) was cooled in an ice bath and treated dropwise with a 1.0 M solution of lithium bis(trimethylsilyl)amide in tetrahydrofuran (1.5 mL, 1.5 mmol). After addition was complete, the mixture was stirred at ambient temperature for 15 min. The mixture was re-cooled to −45° C. and treated dropwise with a solution of (S)-2,5-dioxopyrrolidin-1-yl 2-(2-((S)-2,2-dimethyl-5-oxo-1,3-dioxolan-4-yl)acetoxy)-2-phenylacetate (555 mg, 1.37 mmol) in tetrahydrofuran (5 mL). After addition was complete, the mixture was warmed to 0° C. After this time, the reaction mixture was treated with saturated aqueous ammonium chloride (10 mL) and extracted with ethyl acetate (2×25 mL). The combined organics were dried over sodium sulfate, filtered, and concentrated under reduced pressure. The crude residue was purified by column chromatography (40 g silica gel column, 0-20% methanol/methylene chloride, then 50 g C18 column, 10-100% acetonitrile/water) to provide (S)-(4R,4aS,7aR,12bS)-9-((tert-butoxycarbonyl)oxy)-4a-hydroxy-3-methyl-2,3,4,4a,5,7a-hexahydro-1H-4,12-methanobenzofuro[3,2-e]isoquinolin-7-yl 2-(2-((S)-2,2-dimethyl-5-oxo-1,3-dioxolan-4-yl)acetoxy)-2-phenylacetate (160 mg, 18%) as a white solid: ESI MS m/z 692 [C37H41NO12+H]+.
Preparation of (S)-4-((S)-2-(((4R,4aS,7aR,12bS)-4a,9-Dihydroxy-3-methyl-2,3,4,4a,5,7a-hexahydro-1H-4,12-methanobenzofuro[3,2-e]isoquinolin-7-yl)oxy)-2-oxo-1-phenylethoxy)-2-hydroxy-4-oxobutanoic acid hydrochloride
Figure US10226456-20190312-C01020
A solution of (S)-(4R,4aS,7aR,12bS)-9-((tert-butoxycarbonyl)oxy)-4a-hydroxy-3-methyl-2,3,4,4a,5,7a-hexahydro-1H-4,12-methanobenzofuro[3,2-e]isoquinolin-7-yl 2-(2-((S)-2,2-dimethyl-5-oxo-1,3-dioxolan-4-yl)acetoxy)-2-phenylacetate (160 mg, 0.231 mmol) was treated with a 4.0 M solution of hydrochloric acid in 1,4-dioxane (5 mL) and water (0.2 mL). The reaction mixture was stirred under a nitrogen atmosphere at ambient temperature for 2 h. After this time, the reaction mixture was concentrated under reduced pressure. The residue was purified by reversed phase column chromatography (50 g C18 column, 0-100% acetonitrile/water) and freeze dried to provide (S)-4-((S)-2-(((4R,4aS,7aR,12bS)-4a,9-dihydroxy-3-methyl-2,3,4,4a,5,7a-hexahydro-1H-4,12-methanobenzofuro[3,2-e]isoquinolin-7-yl)oxy)-2-oxo-1-phenylethoxy)-2-hydroxy-4-oxobutanoic acid hydrochloride (63.2 mg, 46%) as a fluffy white solid:1H NMR (300 MHz, DMSO-d6) δ 7.59-7.54 (m, 2H), 7.48-7.44 (m, 3H), 6.55 (apparent q, J=7.8 Hz, 2H), 6.08 (s, 1H), 5.56 (dd, J=5.7, 2.4 Hz, 1H), 4.74 (s, 1H), 4.26 (dd, J=8.4, 4.2 Hz, 1H), 3.15 (s, 1H), 3.09 (s, 1H), 2.97 (d, J=5.7 Hz, 1H), 2.88 (dd, J=15.9, 4.2 Hz, 1H), 2.73-1.95 (m, 6H), 2.41 (s, 3H), 1.40 (d, J=11.1 Hz, 1H), CO2H, HCl, and three OH protons not observed; ESI MS m/z 552 [C29H29NO10+H]+.
Figure US10226456-20190312-C01021
Preparation of (S)-2-(Stearoyloxy)propanoic acid
Figure US10226456-20190312-C01022
A solution of stearic acid (5.02 g, 17.6 mmol) and benzotriazole (2.31 g, 19.4 mmol) in tetrahydrofuran (80 mL) was treated with N,N′-dicyclohexylcarbodiimide (4.00 g, 19.4 mmol) and stirred under a nitrogen atmosphere for 5.5 h. After this time, the reaction mixture was filtered to remove the solid dicyclohexylurea byproduct, and the solids were washed with diethyl ether. The combined filtrate and washings were concentrated. The residue was dissolved in tetrahydrofuran (90 mL) and cooled in an ice bath. The mixture was treated with lactic acid (1.61 g, 17.9 mmol) and 4-dimethylaminopyridine (2.18 g, 17.8 mmol), and the ice bath was removed. The mixture was stirred at ambient temperature under a nitrogen atmosphere for 40 h. After this time, the reaction mixture was concentrated under reduced pressure. The residue was dissolved in ethyl acetate (250 mL) and washed with aqueous 10% citric acid (2×100 mL) and water (100 mL). The organic layer was extracted with saturated aqueous sodium bicarbonate (2×100 mL). The combined aqueous bicarbonate layers were acidified to pH ˜1 with 6 N hydrochloric acid and extracted with ethyl acetate (2×100 mL). The combined organics were dried over sodium sulfate, filtered, and concentrated under reduced pressure. The residue was dissolved/suspended in heptanes (100 mL), filtered to remove undissolved solids, washed with aqueous 10% citric acid (50 mL), dried over sodium sulfate, filtered, and concentrated under reduced pressure to provide (S)-2-(stearoyloxy)propanoic acid (4.86 g, 77%) as a colorless oil:1H NMR (300 MHz, CDCl3) δ 5.12 (q, J=7.2 Hz, 1H), 2.41-2.32 (m, 2H), 1.67-1.52 (m, 5H), 1.31-1.27 (m, 28H), 0.88 (t, J=6.3 Hz, 3H), CO2H proton not observed.
Preparation of (S)-1-((2,5-Dioxopyrrolidin-1-yl)oxy)-1-oxopropan-2-yl stearate
Figure US10226456-20190312-C01023
A solution of (S)-2-(stearoyloxy)propanoic acid (4.85 g, 13.6 mmol) in tetrahydrofuran (80 mL) was treated with N-hydroxysuccinimide (1.57 mg, 13.6 mmol) and N,N′-dicyclohexylcarbodiimide (2.80 g, 13.6 mmol) and stirred under a nitrogen atmosphere for 1.5 h. After this time, the reaction mixture was filtered to remove the solid dicyclohexylurea byproduct. The solid was washed with diethyl ether, and the combined filtrate and washings were concentrated under reduced pressure to provide (S)-1-((2,5-dioxopyrrolidin-1-yl)oxy)-1-oxopropan-2-yl stearate (6.69 g, quantitative) as a white crushable foam:1H NMR (300 MHz, CDCl3) δ 5.42 (q, J=7.2 Hz, 1H), 2.84 (br s, 4H), 2.42-2.37 (m, 2H), 1.73-1.53 (m, 5H), 1.31-1.27 (m, 28H), 0.88 (t, J=6.3 Hz, 3H).
Preparation of (S)-1-(((4R,4aS,7aR,12bS)-9-((tert-Butoxycarbonyl)oxy)-4a-hydroxy-3-methyl-2,3,4,4a,5,7a-hexahydro-1H-4,12-methanobenzofuro[3,2-e]isoquinolin-7-yl)oxy)-1-oxopropan-2-yl stearate
Figure US10226456-20190312-C01024
A solution of tert-butyl ((4R,4aS,7aR,12bS)-4a-hydroxy-3-methyl-7-oxo-2,3,4,4a,5,6,7,7a-octahydro-1H-4,12-methanobenzofuro[3,2-e]isoquinolin-9-yl) carbonate (500 mg, 1.25 mmol) in tetrahydrofuran (10 mL) was cooled in an ice bath and treated dropwise with a 1.0 M solution of lithium bis(trimethylsilyl)amide in tetrahydrofuran (1.5 mL, 1.5 mmol). After addition was complete, the mixture was stirred at ambient temperature for 15 min. The mixture was re-cooled to −45° C. and treated dropwise with a solution of (S)-1-((2,5-dioxopyrrolidin-1-yl)oxy)-1-oxopropan-2-yl stearate (621 mg, 1.37 mmol) in tetrahydrofuran (5 mL). After addition was complete, the mixture was warmed to 0° C. After this time, the reaction mixture was treated with saturated aqueous ammonium chloride (20 mL) and extracted with ethyl acetate (2×25 mL). The combined organics were dried over sodium sulfate, filtered, and concentrated under reduced pressure. The crude residue was purified by column chromatography (40 g silica gel column, 0-20% methanol/methylene chloride) to provide (S)-1-(((4R,4aS,7aR,12bS)-9-((tert-butoxycarbonyl)oxy)-4a-hydroxy-3-methyl-2,3,4,4a,5,7a-hexahydro-1H-4,12-methanobenzofuro[3,2-e]isoquinolin-7-yl)oxy)-1-oxopropan-2-yl stearate (600 mg, 25%) as a white solid: ESI MS m/z 740 [C43H65NO9+H]+.
Preparation of (S)-1-(((4R,4aS,7aR,12bS)-4a,9-Dihydroxy-3-methyl-2,3,4,4a,5,7a-hexahydro-1H-4,12-methanobenzofuro[3,2-e]isoquinolin-7-yl)oxy)-1-oxopropan-2-yl stearate trifluoroacetic acid salt
Figure US10226456-20190312-C01025
A solution of (S)-1-(((4R,4aS,7aR,12bS)-9-((tert-butoxycarbonyl)oxy)-4a-hydroxy-3-methyl-2,3,4,4a,5,7a-hexahydro-1H-4,12-methanobenzofuro[3,2-e]isoquinolin-7-yl)oxy)-1-oxopropan-2-yl stearate (300 mg, 0.405 mmol) in methylene chloride (3.0 mL) was treated with trifluoroacetic acid (3.0 mL) and stirred under a nitrogen atmosphere at ambient temperature for 1 h. After this time, the reaction mixture was concentrated under reduced pressure. The residue was purified by reversed phase column chromatography (150 g C18 column, 0-100% acetonitrile/water) and freeze dried to provide (S)-1-(((4R,4aS,7aR,12bS)-4a,9-dihydroxy-3-methyl-2,3,4,4a,5,7a-hexahydro-1H-4,12-methanobenzofuro[3,2-e]isoquinolin-7-yl)oxy)-1-oxopropan-2-yl stearate trifluoroacetic acid salt (47.5 mg, 15%) as a fluffy white solid:1H NMR (300 MHz, DMSO-d6) δ 9.27 (s, 1H), 9.13 (s, 1H), 6.65 (apparent q, J=8.1 Hz, 2H), 6.23 (s, 1H), 5.57 (dd, J=6.3, 2.1 Hz, 1H), 5.09 (q, J=6.9 Hz, 1H), 4.95 (s, 1H), 3.09 (m, 1H), 2.84 (d, J=3.9 Hz, 3H), 2.63-2.26 (m, 5H), 2.05 (d, J=18.0 Hz, 1H), 1.64-1.49 (m, 7H), 1.23 (m, 30H), 0.85 (t, J=6.6 Hz, 3H); ESI MS m/z 640 [C36H57NO7+H]+.
Figure US10226456-20190312-C01026
Figure US10226456-20190312-C01027
Preparation of (S,Z)-2-(Oleoyloxy)-2-phenylacetic acid
Figure US10226456-20190312-C01028
A solution of oleoyl chloride (2.13 g, 7.08 mmol) in methylene chloride (35 mL) was cooled in an ice bath and treated with (S)-mandelic acid (1.08 g, 7.08 mmol) and N,N-diisopropylethylamine (2.75 g, 21.2 mmol) and stirred under a nitrogen for 5 h. After this time, 10% aqueous citric acid (100 mL) was added, and the resulting mixture was extracted with ethyl acetate (2×100 mL). The combined organics were washed with brine (100 mL), dried over sodium sulfate, filtered, and concentrated under reduced pressure. The residue was purified by column chromatography (80 g silica gel column, 0-50% ethyl acetate/heptane) to provide of (S,Z)-2-(oleoyloxy)-2-phenylacetic acid (1.26 g, 42%) as a white solid:1H NMR (300 MHz, DMSO-d6) δ 7.50-7.46 (m, 2H), 7.41-7.37 (m, 3H), 5.95 (s, 1H), 5.36-5.32 (m, 2H), 2.47 (m, 2H), 1.99 (m, 4H), 1.66 (m, 2H), 1.27 (m, 20H), 0.87 (t, J=6.6 Hz, 3H), CO2H proton not observed.
Preparation of (S)-2-((2,5-Dioxopyrrolidin-1-yl)oxy)-2-oxo-1-phenylethyl oleate
Figure US10226456-20190312-C01029
A solution of (S,Z)-2-(oleoyloxy)-2-phenylacetic acid (1.26 g, 3.02 mmol) in tetrahydrofuran (30 mL) was treated with N-hydroxysuccinimide (383 mg, 3.33 mmol) and N,N′-dicyclohexylcarbodiimide (686 mg, 3.33 mmol) and stirred under a nitrogen atmosphere for 5 h. After this time, the reaction mixture was filtered to remove the solid dicyclohexylurea byproduct. The solid was washed with diethyl ether (100 mL), and the combined filtrate and washings were concentrated under reduced pressure. The residue was triturated with diethyl ether to provide (S)-2-((2,5-dioxopyrrolidin-1-yl)oxy)-2-oxo-1-phenylethyl oleate (1.68 g) as a white solid:1H NMR (300 MHz, CDCl3) δ 7.61-7.53 (m, 2H), 7.46-7.42 (m, 3H), 6.34 (s, 1H), 5.36-5.32 (m, 2H), 2.87 (s, 4H), 2.45 (m, 2H), 1.99 (m, 4H), 1.66 (m, 2H), 1.27 (m, 20H), 0.88 (t, J=6.6 Hz, 3H).
Preparation of (S)-2-(((4R,4aS,7aR,12bS)-9-((tert-Butoxycarbonyl)oxy)-4a-hydroxy-3-methyl-2,3,4,4a,5,7a-hexahydro-1H-4,12-methanobenzofuro[3,2-e]isoquinolin-7-yl)oxy)-2-oxo-1-phenylethyl oleate
Figure US10226456-20190312-C01030
A solution of tert-butyl ((4R,4aS,7aR,12bS)-4a-hydroxy-3-methyl-7-oxo-2,3,4,4a,5,6,7,7a-octahydro-1H-4,12-methanobenzofuro[3,2-e]isoquinolin-9-yl) carbonate (500 mg, 1.25 mmol) in tetrahydrofuran (10 mL) was cooled in an ice bath and treated dropwise with a 1.0 M solution of lithium bis(trimethylsilyl)amide in tetrahydrofuran (1.5 mL, 1.5 mmol). After addition was complete, the mixture was stirred at 0° C. for 1 h. The mixture was re-cooled to −45° C. and treated dropwise with a solution of (S)-2-((2,5-dioxopyrrolidin-1-yl)oxy)-2-oxo-1-phenylethyl oleate (703 mg, 1.37 mmol) in tetrahydrofuran (5 mL). After addition was complete, the mixture was warmed to 0° C. After this time, the reaction mixture was treated with saturated aqueous ammonium chloride (20 mL) and extracted with ethyl acetate (2×50 mL). The combined organics were dried over sodium sulfate, filtered, and concentrated under reduced pressure. The crude residue was purified by column chromatography (40 g, silica gel, 0-20% methanol/methylene chloride) to provide (S)-2-(((4R,4aS,7aR,12bS)-9-((tert-butoxycarbonyl)oxy)-4a-hydroxy-3-methyl-2,3,4,4a,5,7a-hexahydro-1H-4,12-methanobenzofuro[3,2-e]isoquinolin-7-yl)oxy)-2-oxo-1-phenylethyl oleate (900 mg, 90%) as a white solid: ESI MS m/z 800 [C48H65NO9+H]+.
Preparation of (S)-2-(((4R,4aS,7aR,12bS)-4a,9-Dihydroxy-3-methyl-2,3,4,4a,5,7a-hexahydro-1H-4,12-methanobenzofuro[3,2-e]isoquinolin-7-yl)oxy)-2-oxo-1-phenylethyl oleate trifluoroacetic acid salt
Figure US10226456-20190312-C01031
A solution of (S)-2-(((4R,4aS,7aR,12bS)-9-((tert-butoxycarbonyl)oxy)-4a-hydroxy-3-methyl-2,3,4,4a,5,7a-hexahydro-1H-4,12-methanobenzofuro[3,2-e]isoquinolin-7-yl)oxy)-2-oxo-1-phenylethyl oleate (450 mg, 0.625 mmol) in methylene chloride (3.0 mL) was treated with trifluoroacetic acid (3.0 mL) and stirred under a nitrogen atmosphere at ambient temperature for 2 h. After this time, the reaction mixture was concentrated under reduced pressure. The residue was purified by reversed phase column chromatography (150 g C18 column, 0-100% acetonitrile/water) and freeze dried to provide (S)-2-(((4R,4aS,7aR,12bS)-4a,9-dihydroxy-3-methyl-2,3,4,4a,5,7a-hexahydro-1H-4,12-methanobenzofuro[3,2-e]isoquinolin-7-yl)oxy)-2-oxo-1-phenylethyl oleate trifluoroacetic acid salt (31 mg, 6%) as a fluffy white solid:1H NMR (300 MHz, DMSO-d6) δ 9.25 (s, 1H), 9.12 (s, 1H), 7.58-7.54 (m, 2H), 7.48-7.45 (m, 3H), 6.64 (q, J=8.1 Hz, 2H), 6.23 (s, 1H), 6.09 (s, 1H), 5.58 (dd, J=6.3, 2.1 Hz, 1H), 5.32 (t, J=4.8 Hz, 2H), 4.86 (s, 1H), 3.04 (m, 1H), 2.82 (d, J=4.8 Hz, 3H), 2.64-2.22 (m, 3H), 2.08-1.96 (m, 5H), 1.60-1.40 (m, 4H), 1.23 (m, 24H), 0.85 (t, J=6.9 Hz, 3H); ESI MS m/z 700 [C43H57NO7+H]+; HPLC (Method A) 95.1% (AUC), tR=15.51 min.
Figure US10226456-20190312-C01032
Preparation of (S)-4-tert-Butyl 1-(2,5-dioxopyrrolidin-1-yl) 2-((tert-butoxycarbonyl)oxy)succinate
Figure US10226456-20190312-C01033
A mixture of (S)-4-(tert-butoxy)-2-((tert-butoxycarbonyl)oxy)-4-oxobutanoic acid (2.70 g, 9.31 mmol) and N-hydroxysuccinimide (1.25 g, 10.9 mmol) in tetrahydrofuran (50 mL) at 0° C. was treated with N,N′-dicyclohexylcarbodiimide (2.20 g, 10.7 mmol). The ice bath was removed, and the reaction mixture was stirred at ambient temperature for 4 h. After this time, diethyl ether (100 mL) was added, and the mixture was filtered. The filtrate was concentrated under reduced pressure to provide (S)-4-tert-butyl 1-(2,5-dioxopyrrolidin-1-yl) 2-((tert-butoxycarbonyl)oxy)succinate (3.78 g) that was used without purification:1H NMR (300 MHz, CDCl3) δ 5.61 (dd, J=8.0, 4.8 Hz, 1H), 2.98-2.93 (m, 2H), 2.84 (s, 4H), 1.51 (s, 9H), 1.47 (s, 9H).
Preparation of (S)-2-(((S)-4-(tert-Butoxy)-2-((tert-butoxycarbonyl)oxy)-4-oxobutanoyl)oxy)propanoic acid
Figure US10226456-20190312-C01034
A mixture of (S)-4-tert-butyl 1-(2,5-dioxopyrrolidin-1-yl) 2-((tert-butoxycarbonyl)oxy)succinate (3.38 g, 8.73 mmol), (S)-2-hydroxypropanoic acid (1.20 g, 13.3 mmol), pyridine (1.1 mL, 14 mmol), and 4-dimethylaminopyridine (100 mg, 0.8 mmol) in tetrahydrofuran (40 mL) was stirred at reflux for 18 h. After this time, the mixture was cooled to room temperature, partially concentrated under reduced pressure, diluted with ethyl acetate, and washed with 10% citric acid. The organic layer was extracted with saturated sodium bicarbonate. The aqueous extract was carefully treated with 2 N hydrochloric acid until acidic by pH paper analysis, and then extracted with ethyl acetate. The organic extracts were dried over sodium sulfate, filtered, and concentrated under reduced pressure to give (S)-2-(((S)-4-(tert-butoxy)-2-((tert-butoxycarbonyl)oxy)-4-oxobutanoyl)oxy)propanoic acid (1.58 g, 50%):1H NMR (300 MHz, CDCl3) δ 5.37-5.22 (m, 2H), 2.96-2.82 (m, 2H), 1.57 (d, J=7.1 Hz, 3H), 1.49 (s, 9H), 1.46 (s, 9H), CO2H proton not observed.
Preparation of (S)-4-tert-Butyl 1-((S)-1-((2,5-dioxopyrrolidin-1-yl)oxy)-1-oxopropan-2-yl) 2-((tert-butoxycarbonyl)oxy)succinate
Figure US10226456-20190312-C01035
A mixture of (S)-2-(((S)-4-(tert-butoxy)-2-((tert-butoxycarbonyl)oxy)-4-oxobutanoyl)oxy)propanoic acid (1.58 g, 4.36 mmol) and N-hydroxysuccinimide (550 mg, 4.78 mmol) in tetrahydrofuran (30 mL) at 0° C. was treated with N,N′-dicyclohexylcarbodiimide (990 mg, 4.80 mmol). The ice bath was removed, and the reaction mixture was stirred at ambient temperature for 4 h. After this time, diethyl ether (30 mL) was added, and the mixture was filtered. The filtrate was concentrated under reduced pressure to provide (S)-4-tert-butyl 1-((S)-1-((2,5-dioxopyrrolidin-1-yl)oxy)-1-oxopropan-2-yl) 2-((tert-butoxycarbonyl)oxy)succinate (2.2 g) that was used without purification:1H NMR (300 MHz, CDCl3) δ 5.56 (q, J=7.1 Hz, 1H), 3.37 (dd, J=8.8, 3.9 Hz, 1H), 2.98-2.93 (m, 2H), 2.84 (s, 4H), 1.72 (d, J=7.1 Hz, 3H), 1.50 (s, 9H), 1.46 (s, 9H).
Preparation of (S)-1-((S)-1-(((4R,4aS,7aR,12bS)-9-((tert-Butoxycarbonyl)oxy)-4a-hydroxy-3-methyl-2,3,4,4a,5,7a-hexahydro-1H-4,12-methanobenzofuro[3,2-e]isoquinolin-7-yl)oxy)-1-oxopropan-2-yl) 4-tert-butyl 2-((tert-butoxycarbonyl)oxy)succinate
Figure US10226456-20190312-C01036
A solution of tert-butyl ((4R,4aS,7aR,12bS)-4a-hydroxy-3-methyl-7-oxo-2,3,4,4a,5,6,7,7a-octahydro-1H-4,12-methanobenzofuro[3,2-e]isoquinolin-9-yl) carbonate (700 mg, 1.74 mmol) in tetrahydrofuran (15 mL) was cooled to 0° C. and treated dropwise with a 1.0 M solution of lithium bis(trimethylsilyl)amidein tetrahydrofuran (1.95 mL, 1.95 mmol). After addition was complete, the mixture was stirred at 0° C. for 25 min and then at ambient temperature for 25 min. The mixture was re-cooled to −78° C., and (S)-4-tert-butyl 1-((S)-1-((2,5-dioxopyrrolidin-1-yl)oxy)-1-oxopropan-2-yl) 2-((tert-butoxycarbonyl)oxy)succinate (900 mg, 1.96 mmol) was added. The mixture was allowed to warm to 0° C. over 2 h. After this time, the mixture was treated with saturated aqueous ammonium chloride, and extracted with ethyl acetate. The combined organics were dried over sodium sulfate, filtered, and concentrated under reduced pressure. The residue was purified by reversed phase column chromatography (150 g C18 column, 5-100% acetonitrile/water) to provide (S)-1-((S)-1-(((4R,4aS,7aR,12bS)-9-((tert-butoxycarbonyl)oxy)-4a-hydroxy-3-methyl-2,3,4,4a,5,7a-hexahydro-1H-4,12-methanobenzofuro[3,2-e]isoquinolin-7-yl)oxy)-1-oxopropan-2-yl) 4-tert-butyl 2-((tert-butoxycarbonyl)oxy)succinate (260 mg, 20%): ESI MS m/z 746 [C38H51NO14+H]+.
Preparation of (S)-4-(((S)-1-(((4R,4aS,7aR,12bS)-4a,9-Dihydroxy-3-methyl-2,3,4,4a,5,7a-hexahydro-1H-4,12-methanobenzofuro[3,2-e]isoquinolin-7-yl)oxy)-1-oxopropan-2-yl)oxy)-3-hydroxy-4-oxobutanoic acid trifluoroacetic acid salt
Figure US10226456-20190312-C01037
A solution of (S)-1-((S)-1-(((4R,4aS,7aR,12bS)-9-((tert-butoxycarbonyl)oxy)-4a-hydroxy-3-methyl-2,3,4,4a,5,7a-hexahydro-1H-4,12-methanobenzofuro[3,2-e]isoquinolin-7-yl)oxy)-1-oxopropan-2-yl) 4-tert-butyl 2-((tert-butoxycarbonyl)oxy)succinate (260 mg, 0.35 mmol) in methylene chloride (6 mL) was treated with trifluoroacetic acid (3 mL) and stirred at ambient temperature for 1.5 h. After this time, the reaction mixture was concentrated under reduced pressure. The residue was purified by reversed phase column chromatography (50 g C18 column, 3-20% acetonitrile/water, with 0.1% trifluoracetic acid) and freeze dried to provide (S)-4-(((S)-1-(((4R,4aS,7aR,12bS)-4a,9-dihydroxy-3-methyl-2,3,4,4a,5,7a-hexahydro-1H-4,12-methanobenzofuro[3,2-e]isoquinolin-7-yl)oxy)-1-oxopropan-2-yl)oxy)-3-hydroxy-4-oxobutanoic acid trifluoroacetic acid salt (89 mg, 39%) as a fluffy white solid:1H NMR (300 MHz, DMSO-d6) δ 12.39 (br s, 1H), 9.30 (s, 1H), 9.17 (s, 1H), 6.69 (d, J=8.1 Hz, 1H), 6.62 (d, J=8.1 Hz, 1H), 6.28 (s, 1H), 5.84 (br s, 1H), 5.59 (dd, J=5.9, 2.0 Hz, 1H), 5.17 (q, J=7.0 Hz, 1H), 4.97 (s, 1H), 4.47 (dd, J=8.6, 4.0 Hz, 1H), 3.63 (d, J=6.2 Hz, 1H), 3.13-3.00 (m, 2H), 2.84 (d, J=3.3 Hz, 3H), 2.72 (dd, J=16.0, 4.2 Hz, 1H), 2.69-2.57 (m, 1H), 2.50-2.40 (m, 1H), 2.29 (dd, J=18.0, 6.0 Hz, 1H), 2.06 (d, J=18.0 Hz, 1H), 1.62 (d, J=11.2 Hz, 1H), 1.53 (d, J=7.0 Hz, 3H), two protons obscured by solvent peaks; ESI MS m/z 490 [C24H27NO10+H]+; HPLC (Method A) 97.9% (AUC), tR=6.68 min.
Figure US10226456-20190312-C01038
Preparation of (S)-2-(((S)-2-(Stearoyloxy)propanoyl)oxy)propanoic acid
Figure US10226456-20190312-C01039
(S)-Lactic acid (238 mg, 2.65 mmol), (S)-1-((2,5-dioxopyrrolidin-1-yl)oxy)-1-oxopropan-2-yl stearate (1.00 g, 2.20 mmol), 4-(dimethylamino)pyridine (27 mg, 0.220 mmol), pyridine (210 mg, 7.65 mmol), and tetrahydrofuran (10 mL) were combined and heated at 60° C. under a nitrogen atmosphere for 24 h. After this time, the solvent was removed under reduced pressure, and the residue was participated between ethyl acetate (30 mL) and 10% aqueous citric acid. The organic layer was separated and washed with water (50 mL), dried over sodium sulfate, filtered, and concentrated under reduced pressure to provide (S)-2-(((S)-2-(stearoyloxy)propanoyl)oxy)propanoic acid (608 mg, 64%) as a white solid:1H NMR (300 MHz, CDCl3) δ 5.22 (dd, J=14.4, 7.2 Hz, 1H), 5.11 (dd, J=14.4, 7.2 Hz, 1H), 2.38 (m, 2H), 1.58-1.54 (m, 6H), 1.28 (m, 30H), 0.86 (t, J=11.4 Hz, 3H), CO2H proton not observed.
Preparation of (S)-1-(((S)-1-((2,5-Dioxopyrrolidin-1-yl)oxy)-1-oxopropan-2-yl)oxy)-1-oxopropan-2-yl stearate
Figure US10226456-20190312-C01040
A solution of (S)-2-(((S)-2-(stearoyloxy)propanoyl)oxy)propanoic acid (608 mg, 1.42 mmol) in tetrahydrofuran (15 mL) was treated with N-hydroxysuccinimide (179 mg, 1.56 mmol) and N,N′-dicyclohexylcarbodiimide (321 mg, 1.56 mmol) and stirred at room temperature under a nitrogen atmosphere for 4 h. After this time, the reaction mixture was filtered to remove the solid dicyclohexylurea byproduct. The solid was washed with diethyl ether (50 mL), and the combined filtrate and washings were concentrated under reduced pressure. The residue was triturated with diethyl ether to provide (S)-1-(((S)-1-((2,5-dioxopyrrolidin-1-yl)oxy)-1-oxopropan-2-yl)oxy)-1-oxopropan-2-yl stearate (803 mg) as a white solid that was used without purification.
Preparation of (S)-1-(((S)-1-(((4R,4aS,7aR,12bS)-9-((tert-Butoxycarbonyl)oxy)-4a-hydroxy-3-methyl-2,3,4,4a,5,7a-hexahydro-1H-4,12-methanobenzofuro[3,2-e]isoquinolin-7-yl)oxy)-1-oxopropan-2-yl)oxy)-1-oxopropan-2-yl stearate
Figure US10226456-20190312-C01041
A solution of tert-butyl ((4R,4aS,7aR,12bS)-4a-hydroxy-3-methyl-7-oxo-2,3,4,4a,5,6,7,7a-octahydro-1H-4,12-methanobenzofuro[3,2-e]isoquinolin-9-yl) carbonate (208 mg, 0.519 mmol) in tetrahydrofuran (5 mL) was cooled in an ice bath and treated dropwise with a 1.0 M solution of lithium bis(trimethylsilyl)amide in tetrahydrofuran (0.62 mL, 0.62 mmol). After addition was complete, the mixture was stirred at 0° C. for 1 h. The mixture was re-cooled to −45° C. and treated dropwise with a solution of (S)-1-(((S)-1-((2,5-dioxopyrrolidin-1-yl)oxy)-1-oxopropan-2-yl)oxy)-1-oxopropan-2-yl stearate (300 mg, 0.571 mmol) in tetrahydrofuran (2.5 mL). After addition was complete, the mixture was warmed to 0° C. After this time, the reaction mixture was treated with saturated aqueous ammonium chloride (10 mL) and extracted with ethyl acetate (2×25 mL). The combined organics were dried over sodium sulfate, filtered, and concentrated under reduced pressure. The crude residue was purified by column chromatography (40 g silica gel column, 0-20% methanol/methylene chloride) to provide (S)-1-(((S)-1-(((4R,4aS,7aR,12bS)-9-((tert-butoxycarbonyl)oxy)-4a-hydroxy-3-methyl-2,3,4,4a,5,7a-hexahydro-1H-4,12-methanobenzofuro[3,2-e]isoquinolin-7-yl)oxy)-1-oxopropan-2-yl)oxy)-1-oxopropan-2-yl stearate (320 mg, 75%) as a white solid: ESI MS m/z 812 [C46H69NO11+H]+.
Preparation of (S)-1-(((S)-1-(((4R,4aS,7aR,12bS)-4a,9-Dihydroxy-3-methyl-2,3,4,4a,5,7a-hexahydro-1H-4,12-methanobenzofuro[3,2-e]isoquinolin-7-yl)oxy)-1-oxopropan-2-yl)oxy)-1-oxopropan-2-yl stearate trifluoroacetic acid salt
Figure US10226456-20190312-C01042
A solution of (S)-1-(((S)-1-(((4R,4aS,7aR,12bS)-9-((tert-butoxycarbonyl)oxy)-4a-hydroxy-3-methyl-2,3,4,4a,5,7a-hexahydro-1H-4,12-methanobenzofuro[3,2-e]isoquinolin-7-yl)oxy)-1-oxopropan-2-yl)oxy)-1-oxopropan-2-yl stearate (320 mg, 0.394 mmol) in methylene chloride (3 mL) was treated with trifluoroacetic acid (3 mL) and stirred under a nitrogen atmosphere at ambient temperature for 2 h. After this time, the reaction mixture was concentrated under reduced pressure. The residue was purified by reversed phase column chromatography (150 g C18 column, 0-100% acetonitrile/water) and freeze dried to provide (S)-1-(((S)-1-(((4R,4aS,7aR,12bS)-4a,9-dihydroxy-3-methyl-2,3,4,4a,5,7a-hexahydro-1H-4,12-methanobenzofuro[3,2-e]isoquinolin-7-yl)oxy)-1-oxopropan-2-yl)oxy)-1-oxopropan-2-yl stearate trifluoroacetic acid salt (70.3 mg, 20%) as a fluffy white solid:1H NMR (300 MHz, DMSO-d6) δ 9.27 (s, 1H), 9.13 (s, 1H), 6.65 (apparent q, J=8.1 Hz, 2H), 6.23 (s, 1H), 5.58 (dd, J=6.3, 2.1 Hz, 1H), 5.23 (q, J=6.9 Hz, 1H), 5.08 (q, J=7.2 Hz, 1H), 4.95 (s, 1H), 3.06 (m, 1H), 2.83 (d, J=4.8 Hz, 3H), 2.63-2.25 (m, 5H), 2.06 (d, J=17.4 Hz, 1H), 1.64-1.46 (m, 10H), 1.23 (m, 30H), 0.85 (t, J=6.9 Hz, 3H); ESI MS m/z 712 [C41H61NO9+H]+.
Figure US10226456-20190312-C01043
Preparation of (S,Z)-2-(Oleoyloxy)propanoic acid
Figure US10226456-20190312-C01044
A solution of oleic acid (5.04 g, 17.9 mmol) and 1H-benzo[d][1,2,3]triazole (2.35 g, 19.8 mmol) in tetrahydrofuran (80 mL) was treated with N,N′-dicyclohexylcarbodiimide (4.13 g, 20.0 mmol) and stirred under a nitrogen atmosphere for 16 h. After this time, the reaction mixture was filtered to remove the solid dicyclohexylurea byproduct, and the solids were washed with diethyl ether. The combined filtrate and washings were concentrated. The residue was dissolved in tetrahydrofuran (75 mL) and cooled in an ice bath. The mixture was treated with (S)-lactic acid (1.62 g, 18.0 mmol) and 4-dimethylaminopyridine (2.20 g, 18.0 mmol), and the ice bath was removed. The mixture was stirred at ambient temperature under a nitrogen atmosphere for 40 h. After this time, the reaction mixture was concentrated under reduced pressure. The residue was dissolved in ethyl acetate (250 mL) and washed with aqueous 10% citric acid (2×100 mL), water (100 mL), and brine (100 mL). The organic layer was extracted with saturated aqueous sodium bicarbonate (2×100 mL). The combined aqueous bicarbonate layers were acidified to pH ˜1 with 6 N hydrochloric acid and extracted with ethyl acetate (2×100 mL). The combined organics were dried over sodium sulfate, filtered, and concentrated under reduced pressure. The residue was dissolved/suspended in heptanes (100 mL), washed with aqueous 10% citric acid (50 mL) and brine (50 mL), dried over sodium sulfate, filtered, and concentrated under reduced pressure to provide (S,Z)-2-(oleoyloxy)propanoic acid (4.50 g, 71%) as a colorless oil:1H NMR (300 MHz, CDCl3) δ 5.36-5.30 (m, 2H), 5.10 (q, J=5.4 Hz, 1H), 2.41-2.32 (m, 2H), 2.02-1.98 (m, 4H), 1.67-1.52 (m, 5H), 1.31-1.27 (m, 20H), 0.88 (t, J=6.3 Hz, 3H), CO2H proton not observed.
Preparation of (S)-1-((2,5-Dioxopyrrolidin-1-yl)oxy)-1-oxopropan-2-yl oleate
Figure US10226456-20190312-C01045
A solution of (S,Z)-2-(oleoyloxy)propanoic acid (4.50 g, 12.7 mmol) in tetrahydrofuran (60 mL) was treated with N-hydroxysuccinimide (1.58 mg, 13.8 mmol) and N,N′-dicyclohexylcarbodiimide (2.91 g, 14.1 mmol) and stirred under a nitrogen atmosphere for 1.5 h. After this time, the reaction mixture was filtered to remove the solid dicyclohexylurea byproduct. The solid was washed with diethyl ether, and the combined filtrate and washings were concentrated under reduced pressure to provide (S)-1-((2,5-dioxopyrrolidin-1-yl)oxy)-1-oxopropan-2-yl oleate (6.20 g, quantitative) as an amber semi-solid:1H NMR (300 MHz, CDCl3) δ 5.42 (q, J=7.2 Hz, 1H), 5.36-5.32 (m, 2H), 2.84 (br s, 4H), 2.42-2.37 (m, 2H), 2.02-1.98 (m, 4H), 1.72-1.53 (m, 5H), 1.30-1.27 (m, 20H), 0.88 (t, J=6.3 Hz, 3H).
Preparation of (S)-1-(((4R,4aS,7aR,12bS)-9-((tert-Butoxycarbonyl)oxy)-4a-hydroxy-3-methyl-2,3,4,4a,5,7a-hexahydro-1H-4,12-methanobenzofuro[3,2-e]isoquinolin-7-yl)oxy)-1-oxopropan-2-yl oleate
Figure US10226456-20190312-C01046
A solution of tert-butyl ((4R,4aS,7aR,12bS)-4a-hydroxy-3-methyl-7-oxo-2,3,4,4a,5,6,7,7a-octahydro-1H-4,12-methanobenzofuro[3,2-e]isoquinolin-9-yl) carbonate (640 mg, 1.59 mmol) in tetrahydrofuran (10 mL) was cooled to 0° C. and treated dropwise with a 1.0 M solution of lithium bis(trimethylsilyl)amide in tetrahydrofuran (1.75 mL, 1.75 mmol). After addition was complete, the mixture was stirred at 0° C. for 25 min and then at ambient temperature for 25 min. The mixture was re-cooled to −78° C., and a solution of (S)-1-((2,5-dioxopyrrolidin-1-yl)oxy)-1-oxopropan-2-yl oleate (830 mg, 1.83 mmol) in tetrahydrofuran (5 mL) was added. The mixture was allowed to warm to 0° C. over 2 h. After this time, the mixture was treated with saturated aqueous ammonium chloride (10 mL) and extracted with ethyl acetate (2×25 mL). The combined organics were dried over sodium sulfate, filtered, and concentrated under reduced pressure. The crude residue was purified by column chromatography (40 g silica gel column, 0-20% methanol/methylene chloride) to provide (S)-1-(((4R,4aS,7aR,12bS)-9-((tert-butoxycarbonyl)oxy)-4a-hydroxy-3-methyl-2,3,4,4a,5,7a-hexahydro-1H-4,12-methanobenzofuro[3,2-e]isoquinolin-7-yl)oxy)-1-oxopropan-2-yl oleate (820 mg, 69%) as a yellow solid: ESI MS m/z 738 [C43H63NO9+H]+.
Preparation of (S)-1-(((4R,4aS,7aR,12bS)-4a,9-Dihydroxy-3-methyl-2,3,4,4a,5,7a-hexahydro-1H-4,12-methanobenzofuro[3,2-e]isoquinolin-7-yl)oxy)-1-oxopropan-2-yl oleate trifluoroacetic acid salt
Figure US10226456-20190312-C01047
A solution of (S)-1-(((4R,4aS,7aR,12bS)-9-((tert-butoxycarbonyl)oxy)-4a-hydroxy-3-methyl-2,3,4,4a,5,7a-hexahydro-1H-4,12-methanobenzofuro[3,2-e]isoquinolin-7-yl)oxy)-1-oxopropan-2-yl oleate (410 mg, 0.556 mmol) in methylene chloride (3 mL) was treated with trifluoroacetic acid (3 mL) and stirred under a nitrogen atmosphere at ambient temperature for 1 h. After this time, the reaction mixture was concentrated under reduced pressure. The residue was purified by reversed phase column chromatography (150 g C18 column, 0-100% acetonitrile/water) and freeze dried to provide (S)-1-(((4R,4aS,7aR,12bS)-4a,9-dihydroxy-3-methyl-2,3,4,4a,5,7a-hexahydro-1H-4,12-methanobenzofuro[3,2-e]isoquinolin-7-yl)oxy)-1-oxopropan-2-yl oleate trifluoroacetic acid salt (121 mg, 28%) as a fluffy white solid:1H NMR (300 MHz, DMSO-d6) δ 9.27 (s, 1H), 9.14 (s, 1H), 6.65 (apparent q, J=8.1 Hz, 2H), 6.23 (s, 1H), 5.57 (dd, J=5.7, 2.1 Hz, 1H), 5.32 (t, J=4.5 Hz, 2H), 5.09 (q, J=7.2 Hz, 1H), 4.95 (s, 1H), 3.09 (m, 1H), 2.83 (d, J=4.5 Hz, 3H), 2.67-2.24 (m, 7H), 2.09-1.95 (m, 5H), 1.64-1.49 (m, 6H), 1.25 (m, 21H), 0.85 (t, J=6.3 Hz, 3H); ESI MS m/z 638 [C38H53NO7+H]+.
Figure US10226456-20190312-C01048
Figure US10226456-20190312-C01049
Figure US10226456-20190312-C01050
Preparation of (4R,4aS,7aR,12bS)-9-((tert-Butoxycarbonyl)oxy)-4a-hydroxy-3-methyl-2,3,4,4a,5,7a-hexahydro-1H-4,12-methanobenzofuro[3,2-e]isoquinolin-7-yl 3-((tert-butoxycarbonyl)amino)propanoate and (4R,4aS,7aR,12bS)-9-((tert-Butoxycarbonyl)oxy)-3-methyl-2,3,4,4a,5,7a-hexahydro-1H-4,12-methanobenzofuro[3,2-e]isoquinoline-4a,7-diyl bis(3-((tert-butoxycarbonyl)amino)propanoate)
Figure US10226456-20190312-C01051
A solution of tert-butyl ((4R,4aS,7aR,12bS)-4a-hydroxy-3-methyl-7-oxo-2,3,4,4a,5,6,7,7a-octahydro-1H-4,12-methanobenzofuro[3,2-e]isoquinolin-9-yl) carbonate (1.00 g, 2.49 mmol) in tetrahydrofuran (15 mL) was cooled to 0° C. and treated dropwise with a 3.1 M solution of lithium tert-amylate in heptanes (0.90 mL, 2.80 mmol). After addition was complete, the mixture was stirred at 0° C. for 25 min and then at ambient temperature for 25 min. The mixture was re-cooled to −78° C., and 2,5-dioxopyrrolidin-1-yl 3-((tert-butoxycarbonyl)amino)propanoate (900 mg, 3.32 mmol) was added. The mixture was allowed to warm to 0° C. over 2 h. After this time, the mixture was treated with saturated aqueous ammonium chloride and extracted with ethyl acetate. The combined organics were dried over sodium sulfate, filtered, and concentrated under reduced pressure. The residue was purified by reversed phase column chromatography (150 g C18 column, 5-100% acetonitrile/water) to provide (4R,4aS,7aR,12bS)-9-((tert-butoxycarbonyl)oxy)-4a-hydroxy-3-methyl-2,3,4,4a,5,7a-hexahydro-1H-4,12-methanobenzofuro[3,2-e]isoquinolin-7-yl 3-((tert-butoxycarbonyl)amino)propanoate (520 mg, 36%): ESI MS m/z 573 [C30H40N2O9+H]+ and (4R,4aS,7aR,12bS)-9-((tert-butoxycarbonyl)oxy)-3-methyl-2,3,4,4a,5,7a-hexahydro-1H-4,12-methanobenzofuro[3,2-e]isoquinoline-4a,7-diyl bis(3-((tert-butoxycarbonyl)amino)propanoate): ESI MS m/z 744 [C38H53N3O12+H]+.
Preparation of (4R,4aS,7aR,12bS)-4a,9-Dihydroxy-3-methyl-2,3,4,4a,5,7a-hexahydro-1H-4,12-methanobenzofuro[3,2-e]isoquinolin-7-yl 3-aminopropanoate trifluoroacetic acid salt
Figure US10226456-20190312-C01052
A solution of (4R,4aS,7aR,12bS)-9-((tert-butoxycarbonyl)oxy)-4a-hydroxy-3-methyl-2,3,4,4a,5,7a-hexahydro-1H-4,12-methanobenzofuro[3,2-e]isoquinolin-7-yl 3-((tert-butoxycarbonyl)amino)propanoate (520 mg, 0.91 mmol) in methylene chloride (8 mL) was treated with trifluoroacetic acid (4 mL), and the mixture was stirred at room temperature for 1 h. After this time, the reaction mixture was concentrated to provide (4R,4aS,7aR,12bS)-4a,9-dihydroxy-3-methyl-2,3,4,4a,5,7a-hexahydro-1H-4,12-methanobenzofuro[3,2-e]isoquinolin-7-yl 3-aminopropanoate trifluoroacetic acid salt (500 mg, crude) that was without purification: ESI MS m/z 373 [C20H24N2O5+H]+.
Preparation of (S)-tert-Butyl 3-((tert-butoxycarbonyl)oxy)-4-((3-(((4R,4aS,7aR,12bS)-4a,9-dihydroxy-3-methyl-2,3,4,4a,5,7a-hexahydro-1H-4,12-methanobenzofuro[3,2-e]isoquinolin-7-yl)oxy)-3-oxopropyl)amino)-4-oxobutanoate
Figure US10226456-20190312-C01053
A mixture of (4R,4aS,7aR,12bS)-4a,9-dihydroxy-3-methyl-2,3,4,4a,5,7a-hexahydro-1H-4,12-methanobenzofuro[3,2-e]isoquinolin-7-yl 3-aminopropanoate trifluoroacetic acid salt (500 mg, 0.83 mmol) and (S)-4-tert-butyl 1-(2,5-dioxopyrrolidin-1-yl) 2-((tert-butoxycarbonyl)oxy)succinate (390 mg, 1.01 mmol) in tetrahydrofuran (5 mL) at 0° C. was treated with N,N-diisopropylethylamine (0.4 mL) and stirred for 1.5 h. After this time, the mixture was diluted with ethyl acetate and washed with water and brine. The organic extracts were dried over sodium sulfate, filtered, and concentrated under reduced pressure. The residue was purified by column chromatography (50 g C18 column, 5-100% acetonitrile/water) to provide (S)-tert-butyl 3-((tert-butoxycarbonyl)oxy)-4-((3-(((4R,4aS,7aR,12bS)-4a,9-dihydroxy-3-methyl-2,3,4,4a,5,7a-hexahydro-1H-4,12-methanobenzofuro[3,2-e]isoquinolin-7-yl)oxy)-3-oxopropyl)amino)-4-oxobutanoate (240 mg, 41% over two steps): ESI MS m/z 645 [C33H44N2O11+H]+.
Preparation of (S)-4-((3-(((4R,4aS,7aR,12bS)-4a,9-Dihydroxy-3-methyl-2,3,4,4a,5,7a-hexahydro-1H-4,12-methanobenzofuro[3,2-e]isoquinolin-7-yl)oxy)-3-oxopropyl)amino)-3-hydroxy-4-oxobutanoic acid trifluoroacetic acid salt
Figure US10226456-20190312-C01054
A solution of (S)-tert-butyl 3-((tert-butoxycarbonyl)oxy)-4-((3-(((4R,4aS,7aR,12bS)-4a,9-dihydroxy-3-methyl-2,3,4,4a,5,7a-hexahydro-1H-4,12-methanobenzofuro[3,2-e]isoquinolin-7-yl)oxy)-3-oxopropyl)amino)-4-oxobutanoate (240 mg, 0.37 mmol) in methylene chloride (6 mL) was treated with trifluoroacetic acid (3 mL) and stirred at ambient temperature for 1 h. After this time, the reaction mixture was concentrated under reduced pressure. The residue was purified by reversed phase column chromatography (50 g C18 column, 3-20% acetonitrile/water, with 0.1% trifluoracetic acid) and freeze dried to provide (S)-4-((3-(((4R,4aS,7aR,12bS)-4a,9-dihydroxy-3-methyl-2,3,4,4a,5,7a-hexahydro-1H-4,12-methanobenzofuro[3,2-e]isoquinolin-7-yl)oxy)-3-oxopropyl)amino)-3-hydroxy-4-oxobutanoic acid trifluoroacetic acid salt (118 mg, 53%):1H NMR (300 MHz, DMSO-d6) δ 12.23 (br s, 1H), 9.30 (s, 1H), 9.15 (s, 1H), 7.97 (t, J=6.0 Hz, 1H), 6.64 (apparent q, J=8.1 Hz, 2H), 6.22 (s, 1H), 5.85 (s, 1H), 5.55 (dd, J=6.0, 2.1 Hz, 1H), 4.96 (s, 1H), 4.22 (dd, J=8.7, 3.6 Hz, 1H), 3.62-3.43 (m, 5H), 3.11-3.02 (m, 1H), 2.84 (d, J=4.8 Hz, 3H), 2.66-2.60 (m, 4H), 2.49-2.23 (m, 3H), 2.05 (d, J=17.7 Hz, 1H), 1.62 (d, J=10.5 Hz, 1H); ESI MS m/z 508 [C24H28N2O9+H]+.
Preparation of (E)-4-((3-(((4R,4aS,7aR,12bS)-4a,9-Dihydroxy-3-methyl-2,3,4,4a,5,7a-hexahydro-1H-4,12-methanobenzofuro[3,2-e]isoquinolin-7-yl)oxy)-3-oxopropyl)amino)-4-oxobut-2-enoic acid trifluoroacetic acid salt
Figure US10226456-20190312-C01055
(E)-4-((3-(((4R,4aS,7aR,12bS)-4a,9-Dihydroxy-3-methyl-2,3,4,4a,5,7a-hexahydro-1H-4,12-methanobenzofuro[3,2-e]isoquinolin-7-yl)oxy)-3-oxopropyl)amino)-4-oxobut-2-enoic acid trifluoroacetic acid salt (10 mg, 4%) was isolated as a byproduct from the deprotection step of (S)-tert-butyl 3-((tert-butoxycarbonyl)oxy)-4-((3-(((4R,4aS,7aR,12bS)-4a,9-dihydroxy-3-methyl-2,3,4,4a,5,7a-hexahydro-1H-4,12-methanobenzofuro[3,2-e]isoquinolin-7-yl)oxy)-3-oxopropyl)amino)-4-oxobutanoate with trifluoroacetic acid in methylene chloride:1H NMR (300 MHz, DMSO-d6) δ 12.86 (br s, 1H), 9.30 (s, 1H), 9.15 (s, 1H), 8.65 (t, J=5.5 Hz, 1H), 6.92 (d, J=15.5 Hz, 1H), 6.68 (d, J=8.1 Hz, 1H), 6.62 (d, J=8.1 Hz, 1H), 6.53 (d, J=15.5 Hz, 1H), 6.21 (s, 1H), 5.55 (dd, J=6.0, 2.0 Hz, 1H), 4.96 (s, 1H), 3.61 (d, J=6.3 Hz, 1H), 3.50-3.42 (m, 2H), 3.13-3.01 (m, 3H), 2.84 (d, J=4.7 Hz, 3H), 2.70-2.62 (m, 3H), 2.50-2.40 (m, 1H), 2.32-2.22 (m, 1H), 2.06 (d, J=17.5 Hz, 1H), 1.62 (d, J=11.3 Hz, 1H); ESI MS m/z 471 [C24H26N2O8+H]+; HPLC (Method A) 98.9% (AUC), tR=6.64 min.
Figure US10226456-20190312-C01056
Preparation of (S)-4-(tert-Butoxy)-2-hydroxy-4-oxobutanoic acid
Figure US10226456-20190312-C01057
A solution of (S)-tert-butyl 2-(2,2-dimethyl-5-oxo-1,3-dioxolan-4-yl)acetate (4.58 g, 19.9 mmol) in acetic acid (31.5 mL) and water (13.5, mL) was stirred at 60° C. for 4 h. After this time, the solvent was removed under reduced pressure. The residue was dried under vacuum to provide (S)-4-(tert-butoxy)-2-hydroxy-4-oxobutanoic acid (3.37 g, 89%) as a white solid:1H NMR (300 MHz, DMSO-d6) δ 4.48 (t, J=5.7 Hz, 1H), 3.72 (br s, 1H), 2.83 (m, 2H), 1.48 (m, 9H), CO2H proton not observed.
Preparation of (Z)-1-(1H-Benzo[d][1,2,3]triazol-1-yl)octadec-9-en-1-one
Figure US10226456-20190312-C01058
A solution of oleic acid (2.00 g, 7.08 mmol) in tetrahydrofuran (30 mL) was treated with 1H-benzo[d][1,2,3]triazole (928 mg, 7.79 mmol) and N,N′-dicyclohexylcarbodiimide (1.61 g, 7.79 mmol) and stirred under a nitrogen atmosphere for 3 h. After this time, the reaction mixture was filtered to remove the solid dicyclohexylurea byproduct. The solid was washed with diethyl ether (100 mL), and the combined filtrate and washings were concentrated under reduced pressure. The residue was triturated with diethyl ether to provide (Z)-1-(1H-benzo[d][1,2,3]triazol-1-yl)octadec-9-en-1-one (3.13 g) as a white solid that was used without purification.
Preparation of (S,Z)-4-(tert-Butoxy)-2-(oleoyloxy)-4-oxobutanoic acid
Figure US10226456-20190312-C01059
(S)-4-(tert-Butoxy)-2-hydroxy-4-oxobutanoic acid (992 mg, 5.22 mmol), (Z)-1-(1H-benzo[d][1,2,3]triazol-1-yl)octadec-9-en-1-one (2.00 g, 5.22 mmol), 4-(dimethylamino)pyridine (638 mg, 5.22 mmol), and tetrahydrofuran (40 mL) were combined and stirred at room temperature under a nitrogen atmosphere for 48 h. After this time, the solvent was removed under reduced pressure, and the residue was partitioned between ethyl acetate (30 mL) and 10% aqueous citric acid. The organic layer was separated and washed with water (50 mL), dried over sodium sulfate, filtered, and concentrated under reduced pressure. The crude residue was purified by column chromatography (40 g silica gel column, 0-50% ethyl acetate/heptane) to provide (S,Z)-4-(tert-butoxy)-2-(oleoyloxy)-4-oxobutanoic acid (850 mg, 36%) as a colorless oil:1H NMR (300 MHz, CDCl3) δ 5.47 (t, J=5.7 Hz, 1H), 5.36-5.32 (m, 2H), 2.84 (d, J=0.9 Hz, 2H), 2.38 (m, 2H), 2.00 (m, 4H), 1.64 (m, 2H), 1.45 (s, 9H), 1.35-1.27 (m, 20H), 0.85 (m, 3H), CO2H proton not observed.
Preparation of (S,Z)-4-tert-Butyl 1-(2,5-dioxopyrrolidin-1-yl) 2-(oleoyloxy)succinate
Figure US10226456-20190312-C01060
A solution of (S,Z)-4-(tert-butoxy)-2-(oleoyloxy)-4-oxobutanoic acid (820 mg, 1.80 mmol) in tetrahydrofuran (20 mL) was treated with N-hydroxysuccinimide (228 mg, 1.98 mmol) and N,N′-dicyclohexylcarbodiimide (408 mg, 1.98 mmol) and stirred under a nitrogen atmosphere for 4 h. After this time, the reaction mixture was filtered to remove the solid dicyclohexylurea byproduct. The solid was washed with diethyl ether (100 mL), and the combined filtrate and washings were concentrated under reduced pressure. The residue was triturated with diethyl ether to provide (S,Z)-4-tert-butyl 1-(2,5-dioxopyrrolidin-1-yl) 2-(oleoyloxy)succinate (1.06 g) as a white solid:1H NMR (300 MHz, CDCl3) δ 5.76 (dd, J=8.1, 1.8 Hz, 1H), 5.36-5.32 (m, 2H), 2.97 (m, 2H), 2.84 (s, 4H), 2.38 (m, 2H), 2.00 (m, 4H), 2.48 (m, 2H), 1.44 (s, 9H), 1.29-1.27 (m, 20H), 0.88 (t, J=6.3 Hz, 3H).
Preparation of (S)-1-((4R,4aS,7aR,12bS)-9-((tert-Butoxycarbonyl)oxy)-4a-hydroxy-3-methyl-2,3,4,4a,5,7a-hexahydro-1H-4,12-methanobenzofuro[3,2-e]isoquinolin-7-yl) 4-tert-butyl 2-((Z)-2-oxononadec-10-en-1-yl)succinate
Figure US10226456-20190312-C01061
A solution of tert-butyl ((4R,4aS,7aR,12bS)-4a-hydroxy-3-methyl-7-oxo-2,3,4,4a,5,6,7,7a-octahydro-1H-4,12-methanobenzofuro[3,2-e]isoquinolin-9-yl) carbonate (328 mg, 0.818 mmol) in tetrahydrofuran (10 mL) was cooled in an ice bath and treated dropwise with a 1.0 M solution of lithium bis(trimethylsilyl)amide in tetrahydrofuran (0.98 mL, 0.98 mmol). After addition was complete, the mixture was stirred at 0° C. for 1 h. The mixture was re-cooled to −45° C. and treated dropwise with a solution of (S,Z)-4-tert-butyl 1-(2,5-dioxopyrrolidin-1-yl) 2-(oleoyloxy)succinate (496 mg, 0.900 mmol) in tetrahydrofuran (5 mL). After addition was complete, the mixture was warmed to 0° C. After this time, the reaction mixture was treated with saturated aqueous ammonium chloride (20 mL) and extracted with ethyl acetate (2×50 mL). The combined organics were dried over sodium sulfate, filtered, and concentrated under reduced pressure. The crude residue was purified by column chromatography (40 g silica gel column, 0-20% methanol/methylene chloride) to provide (S)-1-((4R,4aS,7aR,12bS)-9-((tert butoxycarbonyl)oxy)-4a-hydroxy-3-methyl-2,3,4,4a,5,7a-hexahydro-1H-4,12-methanobenzofuro[3,2-e]isoquinolin-7-yl) 4-tert-butyl 2-((Z)-2-oxononadec-10-en-1-yl)succinate (548 mg, 80%) as a white solid: ESI MS m/z 838 [C48H71NO11+H]+.
Preparation of (S,Z)-3-((((4R,4aS,7aR,12bS)-4a,9-Dihydroxy-3-methyl-2,3,4,4a,5,7a-hexahydro-1H-4,12-methanobenzofuro[3,2-e]isoquinolin-7-yl)oxy)carbonyl)-5-oxodocos-13-enoic acid trifluoroacetic acid salt
Figure US10226456-20190312-C01062
A solution of (S)-1-((4R,4aS,7aR,12bS)-9-((tert-butoxycarbonyl)oxy)-4a-hydroxy-3-methyl-2,3,4,4a,5,7a-hexahydro-1H-4,12-methanobenzofuro[3,2-e]isoquinolin-7-yl) 4-tert-butyl 2-((Z)-2-oxononadec-10-en-1-yl)succinate (270 mg, 0.396 mmol) in methylene chloride (3 mL) was treated with trifluoroacetic acid (3 mL) and stirred under a nitrogen atmosphere at ambient temperature for 1 h. After this time, the reaction mixture was concentrated under reduced pressure. The residue was purified by reversed phase column chromatography (150 g C18 column, 0-100% acetonitrile/water) and freeze dried to provide (S,Z)-3-((((4R,4aS,7aR,12bS)-4a,9-dihydroxy-3-methyl-2,3,4,4a,5,7a-hexahydro-1H-4,12-methanobenzofuro[3,2-e]isoquinolin-7-yl)oxy)carbonyl)-5-oxodocos-13-enoic acid trifluoroacetic acid salt (52.2 mg, 16%) as a fluffy white solid:1H NMR (300 MHz, DMSO-d6) δ 12.75 (br s, 1H), 9.26 (s, 1H), 9.13 (s, 1H), 6.64 (apparent q, J=8.1 Hz, 2H), 6.23 (s, 1H), 5.59 (dd, J=6.0, 2.1 Hz, 1H), 5.40 (dd, J=7.8, 4.2 Hz, 1H), 5.32 (t, J=4.5 Hz, 2H), 4.93 (s, 1H), 3.62-3.41 (m, 1H), 3.04-2.88 (m, 4H), 2.84 (d, J=4.5 Hz, 3H), 2.66-2.24 (m, 6H), 2.09-1.97 (m, 4H), 1.64-1.52 (m, 3H), 1.25 (m, 23H), 0.85 (t, J=6.9 Hz, 3H); ESI MS m/z 680 [C40H57NO8+H]+.
Figure US10226456-20190312-C01063
Preparation of 1-(1H-Benzo[d][1,2,3]triazol-1-yl)octadecan-1-one
Figure US10226456-20190312-C01064
A solution of stearic acid (2.00 g, 7.03 mmol) in tetrahydrofuran (30 mL) was treated with 1H-benzo[d][1,2,3]triazole (921 mg, 7.73 mmol) and N,N′-dicyclohexylcarbodiimide (1.59 g, 7.73 mmol) and stirred under a nitrogen atmosphere for 5 h. After this time, the reaction mixture was filtered to remove the solid dicyclohexylurea byproduct. The solid was washed with diethyl ether (100 mL), and the combined filtrate and washings were concentrated under reduced pressure. The residue was triturated with diethyl ether to provide 1-(1H-benzo[d][1,2,3]triazol-1-yl)octadecan-1-one (3.02 g) as a white solid, which was used without purification.
Preparation of (S)-4-(tert-Butoxy)-4-oxo-2-(stearoyloxy)butanoic acid
Figure US10226456-20190312-C01065
(S)-4-(tert-Butoxy)-2-hydroxy-4-oxobutanoic acid (247 mg, 1.30 mmol), 1-(1H-benzo[d][1,2,3]triazol-1-yl)octadecan-1-one (500 mg, 1.30 mmol), 4-(dimethylamino)pyridine (159 mg, 1.30 mmol), and tetrahydrofuran (10 mL) were combined and stirred at room temperature under a nitrogen atmosphere for 48 h. After this time, the solvent was removed under reduced pressure, and the residue was partitioned between ethyl acetate (30 mL) and 10% aqueous citric acid. The organic layer was separated and washed with water (50 mL), dried over sodium sulfate, filtered, and concentrated under reduced pressure. The crude residue was purified by column chromatography (40 g silica gel column, 0-50% ethyl acetate/heptane) to provide of (S)-4-(tert-butoxy)-4-oxo-2-(stearoyloxy)butanoic acid (430 mg, 72%) as a white solid:1H NMR (300 MHz, CDCl3) δ 5.47 (t, J=5.7 Hz, 1H), 2.84 (d, J=0.9 Hz, 2H), 2.38 (m, 2H), 1.62 (m, 2H), 1.45 (s, 9H), 1.25 (m, 28H), 0.88 (t, J=6.6 Hz, 3H), CO2H proton not observed.
Preparation of (S)-4-tert-Butyl 1-(2,5-dioxopyrrolidin-1-yl) 2-(stearoyloxy)succinate
Figure US10226456-20190312-C01066
A solution of (S)-4-(tert-butoxy)-4-oxo-2-(stearoyloxy)butanoic acid (430 mg, 0.942 mmol) in tetrahydrofuran (10 mL) was treated with N-hydroxysuccinimide (119 mg, 1.04 mmol) and N,N′-dicyclohexylcarbodiimide (214 mg, 1.04 mmol) and stirred under a nitrogen atmosphere for 4 h. After this time, the reaction mixture was filtered to remove the solid dicyclohexylurea byproduct. The solid was washed with diethyl ether (100 mL), and the combined filtrate and washings were concentrated under reduced pressure. The residue was triturated with diethyl ether to provide (S)-4-tert-butyl 1-(2,5-dioxopyrrolidin-1-yl) 2-(stearoyloxy)succinate (610 mg) as a white solid:1H NMR (300 MHz, CDCl3) δ 5.76 (dd, J=8.1, 1.8 Hz, 1H), 2.96 (m, 2H), 2.84 (s, 4H), 2.38 (m, 2H), 1.67 (m, 2H), 1.46 (s, 9H), 1.25 (m, 28H), 0.88 (t, J=6.3 Hz, 3H).
Preparation of (S)-1-((4R,4aS,7aR,12bS)-9-((tert-Butoxycarbonyl)oxy)-4a-hydroxy-3-methyl-2,3,4,4a,5,7a-hexahydro-1H-4,12-methanobenzofuro[3,2-e]isoquinolin-7-yl) 4-tert-butyl 2-(2-oxononadecyl)succinate
Figure US10226456-20190312-C01067
A solution of tert-butyl ((4R,4aS,7aR,12bS)-4a-hydroxy-3-methyl-7-oxo-2,3,4,4a,5,6,7,7a-octahydro-1H-4,12-methanobenzofuro[3,2-e]isoquinolin-9-yl) carbonate (500 mg, 1.25 mmol) in tetrahydrofuran (20 mL) was cooled in an ice bath and treated dropwise with a 1.0 M solution of lithium bis(trimethylsilyl)amide in tetrahydrofuran (1.5 mL, 1.5 mmol). After addition was complete, the mixture was stirred at 0° C. for 1 h. The mixture was re-cooled to −45° C. and treated dropwise with a solution of (S)-4-tert-butyl 1-(2,5-dioxopyrrolidin-1-yl) 2-(stearoyloxy)succinate (759 mg, 1.37 mmol) in tetrahydrofuran (5 mL). After addition was complete, the mixture was warmed to 0° C. After this time, the reaction mixture was treated with saturated aqueous ammonium chloride (20 mL) and extracted with ethyl acetate (2×50 mL). The combined organics were dried over sodium sulfate, filtered, and concentrated under reduced pressure. The crude residue was purified by column chromatography (40 g silica gel column, 0-20% methanol/methylene chloride) to provide (S)-1-((4R,4aS,7aR,12bS)-9-((tert-butoxycarbonyl)oxy)-4a-hydroxy-3-methyl-2,3,4,4a,5,7a-hexahydro-1H-4,12-methanobenzofuro[3,2-e]isoquinolin-7-yl) 4-tert-butyl 2-(2-oxononadecyl)succinate (782 mg, 74%) as a white solid: ESI MS m/z 840 [C48H73NO11+H]+.
Preparation of (S)-3-((((4R,4aS,7aR,12bS)-4a,9-Dihydroxy-3-methyl-2,3,4,4a,5,7a-hexahydro-1H-4,12-methanobenzofuro[3,2-e]isoquinolin-7-yl)oxy)carbonyl)-5-oxodocosanoic acid trifluoroacetic acid salt
Figure US10226456-20190312-C01068
A solution of (S)-1-((4R,4aS,7aR,12bS)-9-((tert-butoxycarbonyl)oxy)-4a-hydroxy-3-methyl-2,3,4,4a,5,7a-hexahydro-1H-4,12-methanobenzofuro[3,2-e]isoquinolin-7-yl) 4-tert-butyl 2-(2-oxononadecyl)succinate (390 mg, 0.464 mmol) in methylene chloride (3 mL) was treated with trifluoroacetic acid (3 mL) and stirred under a nitrogen atmosphere at ambient temperature for 1 h. After this time, the reaction mixture was concentrated under reduced pressure. The residue was purified by reversed phase column chromatography (150 g C18 column, 0-100% acetonitrile/water) and freeze dried to provide (S)-3-((((4R,4aS,7aR,12bS)-4a,9-dihydroxy-3-methyl-2,3,4,4a,5,7a-hexahydro-1H-4,12-methanobenzofuro[3,2-e]isoquinolin-7-yl)oxy)carbonyl)-5-oxodocosanoic acid trifluoroacetic acid salt (69 mg, 13%) as a fluffy white solid:1H NMR (300 MHz, DMSO-d6) δ 12.77 (s, 1H), 9.26 (s, 1H), 9.14 (s, 1H), 6.65 (q, J=8.1 Hz, 2H), 6.24 (s, 1H), 5.59 (dd, J=6.0, 2.1 Hz, 1H), 5.40 (dd, J=7.8, 4.2 Hz, 1H), 4.92 (s, 1H), 3.04-2.83 (m, 6H), 2.63-2.24 (m, 6H), 2.06 (d, J=18.0 Hz, 1H), 1.64-1.52 (m, 3H), 1.25 (m, 31H), 0.85 (t, J=6.9 Hz, 3H); ESI MS m/z 682 [C40H59NO8+H]+.
Figure US10226456-20190312-C01069
Preparation of (S)-2,5-Dioxopyrrolidin-1-yl 2-acetoxypropanoate
Figure US10226456-20190312-C01070
A solution of (S)-2-acetoxypropanoic acid (10.06 g, 76.15 mmol) in tetrahydrofuran (300 mL) was treated with N-hydroxysuccinimide (9.71 g, 84.4 mmol) and N,N′-dicyclohexylcarbodiimide (17.36 g, 84.14 mmol) and stirred under a nitrogen atmosphere for 4.5 h. After this time, the reaction mixture was filtered to remove the solid dicyclohexylurea byproduct. The solid was washed with diethyl ether, and the combined filtrate and washings were concentrated under reduced pressure. The crude residue was triturated with 5:1 diethyl ether/methylene chloride (120 mL). The resulting solid was isolated by filtration and washed with diethyl ether. The combined filtrate and washings were concentrated under reduced pressure to provide (S)-2,5-dioxopyrrolidin-1-yl 2-acetoxypropanoate (18.24 g, quantitative) as an off-white foam:1H NMR (300 MHz, CDCl3) δ 5.41 (t, J=7.2 Hz, 1H), 2.81 (s, 4H), 2.16 (s, 3H), 1.67 (d, J=7.2 Hz, 3H).
Preparation of (S)-(4R,4aS,7aR,12bS)-9-((tert-Butoxycarbonyl)oxy)-4a-hydroxy-3-methyl-2,3,4,4a,5,7a-hexahydro-1H-4,12-methanobenzofuro[3,2-e]isoquinolin-7-yl 2-acetoxypropanoate
Figure US10226456-20190312-C01071
A solution of tert-butyl ((4R,4aS,7aR,12bS)-4a-hydroxy-3-methyl-7-oxo-2,3,4,4a,5,6,7,7a-octahydro-1H-4,12-methanobenzofuro[3,2-e]isoquinolin-9-yl) carbonate (500 mg, 1.25 mmol) in tetrahydrofuran (10 mL) was cooled in an ice bath and treated dropwise with a 1.0 M solution of lithium bis(trimethylsilyl)amide in tetrahydrofuran (1.5 mL, 1.5 mmol). After addition was complete, the mixture was stirred at 0° C. for 1 h. The mixture was re-cooled to −45° C. and treated dropwise with a solution of (S)-2,5-dioxopyrrolidin-1-yl 2-acetoxypropanoate (314 mg, 1.37 mmol) in tetrahydrofuran (5 mL). After addition was complete, the mixture was warmed to 0° C. After this time, the reaction mixture was treated with saturated aqueous ammonium chloride (20 mL) and extracted with ethyl acetate (2×25 mL). The combined organics were dried over sodium sulfate, filtered, and concentrated under reduced pressure. The crude residue was purified by column chromatography (40 g silica gel column, 0-20% methanol/methylene chloride, then 50 g C18 column, 10-100% acetonitrile/water) to provide (S)-(4R,4aS,7aR,12bS)-9-((tert-butoxycarbonyl)oxy)-4a-hydroxy-3-methyl-2,3,4,4a,5,7a-hexahydro-1H-4,12-methanobenzofuro[3,2-e]isoquinolin-7-yl 2-acetoxypropanoate (131 mg, 20%) as a white solid: ESI MS m/z 516 [C27H33NO9+H]+.
Preparation of (S)-(4R,4aS,7aR,12bS)-4a,9-Dihydroxy-3-methyl-2,3,4,4a,5,7a-hexahydro-1H-4,12-methanobenzofuro[3,2-e]isoquinolin-7-yl 2-acetoxypropanoate trifluoroacetic acid salt
Figure US10226456-20190312-C01072
A solution of (S)-(4R,4aS,7aR,12bS)-9-((tert-butoxycarbonyl)oxy)-4a-hydroxy-3-methyl-2,3,4,4a,5,7a-hexahydro-1H-4,12-methanobenzofuro[3,2-e]isoquinolin-7-yl 2-acetoxypropanoate (131 mg, 0.254 mmol) in methylene chloride (5.0 mL) was treated with trifluoroacetic acid (3.0 mL) and stirred under a nitrogen atmosphere at ambient temperature for 2 h. After this time, the reaction mixture was concentrated under reduced pressure. The residue was purified by reversed phase column chromatography (50 g C18 column, 0-100% acetonitrile/water) and freeze dried to provide (S)-(4R,4aS,7aR,12bS)-4a,9-dihydroxy-3-methyl-2,3,4,4a,5,7a-hexahydro-1H-4,12-methanobenzofuro[3,2-e]isoquinolin-7-yl 2-acetoxypropanoate trifluoroacetic acid salt (99 mg, 67%) as a fluffy white solid:1H NMR (300 MHz, DMSO-d6) δ 9.28 (s, 1H), 9.14 (s, 1H), 6.65 (q, J=8.1 Hz, 2H), 6.25 (s, 1H), 5.58 (dd, J=6.0, 2.1 Hz, 1H), 5.08 (q, J=6.9 Hz, 1H), 4.95 (s, 1H), 3.05 (m, 1H), 2.83 (d, J=4.2 Hz, 3H), 2.67-2.24 (m, 6H), 2.11-2.03 (m, 4H), 1.62 (d, J=12.6 Hz, 1H), 1.51 (d, J=7.2 Hz, 3H); ESI MS m/z 416 [C22H25NO7+H]+.
Figure US10226456-20190312-C01073
Preparation of (S)-2-(((S)-2-Acetoxypropanoyl)oxy)propanoic acid
Figure US10226456-20190312-C01074
(S)-Lactic acid (472 mg, 5.24 mmol), (S)-2,5-dioxopyrrolidin-1-yl 2-acetoxypropanoate (1.00 g, 4.36 mmol), 4-(dimethylamino)pyridine (53 mg, 0.44 mmol), pyridine (414 mg, 5.24 mmol) and tetrahydrofuran (17 mL) were combined and heated at 80° C. under a nitrogen atmosphere for 24 h. After this time, the solvent was removed under reduced pressure, and the residue was partitioned between ethyl acetate (20 mL) and 10% aqueous citric acid. The organic layer was separated and extracted with saturated aqueous sodium bicarbonate (20 ml). The aqueous phase was collected and acidified to pH=3 with 6 N hydrochloric acid, and the mixture was extracted with ethyl acetate (2×20 mL). The combined organics were washed with brine (50 mL), dried over sodium sulfate, filtered, and concentrated under reduced pressure to provide (S)-2-(((S)-2-acetoxypropanoyl)oxy)propanoic acid (323 mg, 36%) as a colorless oil:1H NMR (300 MHz, CDCl3) δ 5.23-5.08 (m, 2H), 2.14 (s, 3H), 1.60-1.48 (m, 6H), CO2H proton not observed.
Preparation of (S)-2,5-Dioxopyrrolidin-1-yl 2-(((S)-2-acetoxypropanoyl)oxy)propanoate
Figure US10226456-20190312-C01075
A solution of (S)-2-(((S)-2-acetoxypropanoyl)oxy)propanoic acid (323 mg, 1.58 mmol) in tetrahydrofuran (15 mL) was treated with N-hydroxysuccinimide (200 mg, 1.74 mmol) and N,N′-dicyclohexylcarbodiimide (358 mg, 1.74 mmol) and stirred under a nitrogen atmosphere for 5 h. After this time, the reaction mixture was filtered to remove the solid dicyclohexylurea byproduct. The solid was washed with diethyl ether (100 mL), and the combined filtrate and washings were concentrated under reduced pressure. The residue was triturated with diethyl ether to provide (S)-2,5-dioxopyrrolidin-1-yl 2-(((S)-2-acetoxypropanoyl)oxy)propanoate (543 mg) as a colorless oil:1H NMR (300 MHz, CDCl3) δ 5.53 (q, J=5.4 Hz, 1H), 5.13 (q, J=5.4 Hz, 1H), 2.85 (s, 4H), 2.13 (s, 3H), 1.72 (m, 3H), 1.57 (m, 3H).
Preparation of (S)-(4R,4aS,7aR,12bS)-9-((tert-Butoxycarbonyl)oxy)-4a-hydroxy-3-methyl-2,3,4,4a,5,7a-hexahydro-1H-4,12-methanobenzofuro[3,2-e]isoquinolin-7-yl 2-(((S)-2-acetoxypropanoyl)oxy)propanoate
Figure US10226456-20190312-C01076
A solution of tert-butyl ((4R,4aS,7aR,12bS)-4a-hydroxy-3-methyl-7-oxo-2,3,4,4a,5,6,7,7a-octahydro-1H-4,12-methanobenzofuro[3,2-e]isoquinolin-9-yl) carbonate (577 mg, 1.44 mmol) in tetrahydrofuran (10 mL) was cooled in an ice bath and treated dropwise with a 1.0 M solution of lithium bis(trimethylsilyl)amide in tetrahydrofuran (1.7 mL, 1.7 mmol). After addition was complete, the mixture was stirred at 0° C. for 1 h. The mixture was re-cooled to −45° C. and treated dropwise with a solution of (S)-2,5-dioxopyrrolidin-1-yl 2-(((S)-2-acetoxypropanoyl)oxy)propanoate (476 mg, 1.58 mmol) in tetrahydrofuran (5 mL). After addition was complete, the mixture was warmed to 0° C. After this time, the reaction mixture was treated with saturated aqueous ammonium chloride (20 mL) and extracted with ethyl acetate (2×50 mL). The combined organics were dried over sodium sulfate, filtered, and concentrated under reduced pressure. The crude residue was purified by column chromatography (40 g silica gel column, 0-20% methanol/methylene chloride, then 50 g C18 column, 10-100% acetonitrile/water) to provide (S)-(4R,4aS,7aR,12bS)-9-((tert-butoxycarbonyl)oxy)-4a-hydroxy-3-methyl-2,3,4,4a,5,7a-hexahydro-1H-4,12-methanobenzofuro[3,2-e]isoquinolin-7-yl 2-(((S)-2-acetoxypropanoyl)oxy)propanoate (236 mg, 28%) as a white solid: ESI MS m/z 588 [C30H37NO11+H]+.
Preparation of (S)-(4R,4aS,7aR,12bS)-4a,9-Dihydroxy-3-methyl-2,3,4,4a,5,7a-hexahydro-1H-4,12-methanobenzofuro[3,2-e]isoquinolin-7-yl 2-(((S)-2-acetoxypropanoyl)oxy)propanoate trifluoroacetic acid salt
Figure US10226456-20190312-C01077
A solution of (S)-(4R,4aS,7aR,12bS)-9-((tert-butoxycarbonyl)oxy)-4a-hydroxy-3-methyl-2,3,4,4a,5,7a-hexahydro-1H-4,12-methanobenzofuro[3,2-e]isoquinolin-7-yl 2-(((S)-2-acetoxypropanoyl)oxy)propanoate (118 mg, 0.201 mmol) in methylene chloride (3.0 mL) was treated with trifluoroacetic acid (3.0 mL) and stirred under a nitrogen atmosphere at ambient temperature for 2 h. After this time, the reaction mixture was concentrated under reduced pressure. The residue was purified by reversed phase column chromatography (50 g C18 column, 0-100% acetonitrile/water) and freeze dried to provide (S)-(4R,4aS,7aR,12bS)-4a,9-dihydroxy-3-methyl-2,3,4,4a,5,7a-hexahydro-1H-4,12-methanobenzofuro[3,2-e]isoquinolin-7-yl 2-(((S)-2-acetoxypropanoyl)oxy)propanoate trifluoroacetic acid salt (68.4 mg, 54%) as a fluffy white solid:1H NMR (300 MHz, DMSO-d6) δ 9.27 (s, 1H), 9.14 (s, 1H), 6.65 (q, J=8.1 Hz, 2H), 6.24 (s, 1H), 5.58 (dd, J=5.7, 1.8 Hz, 1H), 5.23 (q, J=6.9 Hz, 1H), 5.07 (q, J=7.2 Hz, 1H), 4.95 (s, 1H), 3.05 (m, 1H), 2.82 (s, 3H), 2.63-2.24 (m, 6H), 2.08-2.03 (m, 4H), 1.62 (d, J=12.3 Hz, 1H), 1.54 (d, J=7.2 Hz, 3H), 1.47 (d, J=7.2 Hz, 3H); ESI MS m/z 488 [C25H29NO9+H]+.
Figure US10226456-20190312-C01078
Preparation of (S)-2-(((S)-2-Acetoxypropanoyl)oxy)-2-phenylacetic acid
Figure US10226456-20190312-C01079
(S)-Mandelic acid (553 mg, 3.63 mmol), (S)-2,5-dioxopyrrolidin-1-yl 2-acetoxypropanoate (1.00 g, 4.36 mmol), 4-(dimethylamino)pyridine (44 mg, 0.363 mmol), pyridine (345 mg, 4.36 mmol) and tetrahydrofuran (15 mL) were combined and heated at 60° C. under a nitrogen atmosphere for 48 h. After this time, the solvent was removed under reduced pressure, and the residue was partitioned between ethyl acetate (20 mL) and 10% aqueous citric acid. The organic layer was separated and extracted with saturated aqueous sodium bicarbonate (20 ml). The aqueous phase was collected and acidified to pH=3 with 6 N hydrochloric acid, and the mixture was extracted with ethyl acetate (2×20 mL). The combined organics were washed with brine (50 mL), dried over sodium sulfate, filtered, and concentrated under reduced pressure to provide (S)-2-(((S)-2-acetoxypropanoyl)oxy)-2-phenylacetic acid (1.02 g, 87%) as a colorless oil:1H NMR (300 MHz, CDCl3) δ 7.46-7.37 (m, 5H), 5.99 (s, 1H), 5.19 (q, J=7.2 Hz, 1H), 2.12 (s, 3H), 1.61 (d, J=6.9 Hz, 3H), CO2H proton not observed.
Preparation of (S)-(S)-2-((2,5-Dioxopyrrolidin-1-yl)oxy)-2-oxo-1-phenylethyl 2-acetoxypropanoate
Figure US10226456-20190312-C01080
A solution of (S)-2-(((S)-2-acetoxypropanoyl)oxy)-2-phenylacetic acid (1.02 g, 3.83 mmol) in tetrahydrofuran (40 mL) was treated with N-hydroxysuccinimide (485 mg, 4.21 mmol) and N,N′-dicyclohexylcarbodiimide (867 mg, 4.21 mmol) and stirred under a nitrogen atmosphere for 5 h. After this time, the reaction mixture was filtered to remove the solid dicyclohexylurea byproduct. The solid was washed with diethyl ether (100 mL), and the combined filtrate and washings were concentrated under reduced pressure. The residue was triturated with diethyl ether to provide (S)-(S)-2-((2,5-dioxopyrrolidin-1-yl)oxy)-2-oxo-1-phenylethyl 2-acetoxypropanoate (1.65 g) as a white solid:1H NMR (300 MHz, CDCl3) δ 7.56-7.51 (m, 5H), 6.38 (s, 1H), 5.17 (q, J=7.2 Hz, 1H), 2.82 (s, 4H), 2.12 (s, 3H), 1.59 (d, J=6.9 Hz, 3H).
Preparation of (S)-(S)-2-(((4R,4aS,7aR,12bS)-9-((tert-Butoxycarbonyl)oxy)-4a-hydroxy-3-methyl-2,3,4,4a,5,7a-hexahydro-1H-4,12-methanobenzofuro[3,2-e]isoquinolin-7-yl)oxy)-2-oxo-1-phenylethyl 2-acetoxypropanoate
Figure US10226456-20190312-C01081
A solution of tert-butyl ((4R,4aS,7aR,12bS)-4a-hydroxy-3-methyl-7-oxo-2,3,4,4a,5,6,7,7a-octahydro-1H-4,12-methanobenzofuro[3,2-e]isoquinolin-9-yl) carbonate (500 mg, 1.25 mmol) in tetrahydrofuran (10 mL) was cooled in an ice bath and treated dropwise with a 1.0 M solution of lithium bis(trimethylsilyl)amide in tetrahydrofuran (1.5 mL, 1.5 mmol). After addition was complete, the mixture was stirred at 0° C. for 1 h. The mixture was re-cooled to −45° C. and treated dropwise with a solution of (S)-(S)-2-((2,5-dioxopyrrolidin-1-yl)oxy)-2-oxo-1-phenylethyl 2-acetoxypropanoate (498 mg, 1.37 mmol) in tetrahydrofuran (5 mL). After addition was complete, the mixture was warmed to 0° C. After this time, the reaction mixture was treated with saturated aqueous ammonium chloride (20 mL) and extracted with ethyl acetate (2×50 mL). The combined organics were dried over sodium sulfate, filtered, and concentrated under reduced pressure. The crude residue was purified by column chromatography (40 g silica gel column, 0-20% methanol/methylene chloride, then 50 g C18 column, 10-100% acetonitrile/water) to provide (S)-(S)-2-(((4R,4aS,7aR,12bS)-9-((tert-butoxycarbonyl)oxy)-4a-hydroxy-3-methyl-2,3,4,4a,5,7a-hexahydro-1H-4,12-methanobenzofuro[3,2-e]isoquinolin-7-yl)oxy)-2-oxo-1-phenylethyl 2-acetoxypropanoate (318 mg, 39%) as a white solid: ESI MS m/z 650 [C35H39NO11+H]+.
Preparation of (S)-(S)-2-(((4R,4aS,7aR,12bS)-4a,9-Dihydroxy-3-methyl-2,3,4,4a,5,7a-hexahydro-1H-4,12-methanobenzofuro[3,2-e]isoquinolin-7-yl)oxy)-2-oxo-1-phenylethyl 2-acetoxypropanoate trifluoroacetic acid salt
Figure US10226456-20190312-C01082
A solution of (S)-(S)-2-(((4R,4aS,7aR,12bS)-9-((tert-butoxycarbonyl)oxy)-4a-hydroxy-3-methyl-2,3,4,4a,5,7a-hexahydro-1H-4,12-methanobenzofuro[3,2-e]isoquinolin-7-yl)oxy)-2-oxo-1-phenylethyl 2-acetoxypropanoate (159 mg, 0.245 mmol) in methylene chloride (5.0 mL) was treated with trifluoroacetic acid (3.0 mL) and stirred under a nitrogen atmosphere at ambient temperature for 1 h. After this time, the reaction mixture was concentrated under reduced pressure. The residue was purified by reversed phase column chromatography (50 g C18 column, 0-100% acetonitrile/water) and freeze dried to provide (S)-(S)-2-(((4R,4aS,7aR,12bS)-4a,9-dihydroxy-3-methyl-2,3,4,4a,5,7a-hexahydro-1H-4,12-methanobenzofuro[3,2-e]isoquinolin-7-yl)oxy)-2-oxo-1-phenylethyl 2-acetoxypropanoate trifluoroacetic acid salt (90 mg, 52%) as a fluffy white solid:1H NMR (300 MHz, DMSO-d6) δ 9.25 (s, 1H), 9.12 (s, 1H), 7.60-7.55 (m, 2H), 7.52-7.46 (m, 3H), 6.65 (q, J=8.1 Hz, 2H), 6.24 (s, 1H), 6.21 (s, 1H), 5.58 (dd, J=6.0, 2.1 Hz, 1H), 5.15 (q, J=6.9 Hz, 1H), 4.86 (s, 1H), 3.03 (m, 1H), 2.82 (s, 3H), 2.63-2.22 (m, 6H), 2.08-2.02 (m, 4H), 1.62 (d, J=13.5 Hz, 1H), 1.54 (d, J=7.2 Hz, 3H); ESI MS m/z 550 [C30H31NO9+H]+.
Figure US10226456-20190312-C01083
Preparation of (S)-2-(((S)-2-Acetoxypropanoyl)oxy)-4-(tert-butoxy)-4-oxobutanoic acid
Figure US10226456-20190312-C01084
(S)-4-(tert-Butoxy)-2-hydroxy-4-oxobutanoic acid (692 mg, 3.64 mmol), (S)-2,5-dioxopyrrolidin-1-yl 2-acetoxypropanoate (1.00 g, 4.36 mmol), 4-(dimethylamino)pyridine (44 mg, 0.36 mmol), pyridine (345 mg, 4.36 mmol), and tetrahydrofuran (17 mL) were combined and heated at 80° C. under a nitrogen atmosphere for 24 h. After this time, the solvent was removed under reduced pressure, and the residue was partitioned between ethyl acetate (20 mL) and 10% aqueous citric acid. The organic layer was separated and extracted with saturated aqueous sodium bicarbonate (20 ml). The aqueous phase was collected and acidified to pH=3 with 6 N hydrochloric acid, and the mixture was extracted with ethyl acetate (2×20 mL). The combined organics were washed with brine (50 mL), dried over sodium sulfate, filtered, and concentrated under reduced pressure to provide (S)-2-(((S)-2-acetoxypropanoyl)oxy)-4-(tert-butoxy)-4-oxobutanoic acid (1.05 g, 79%) as a brown oil:1H NMR (300 MHz, CDCl3) δ 5.52 (t, J=5.7 Hz, 1H), 5.12 (q, J=7.2 Hz, 1H), 2.90-2.76 (m, 2H), 2.13 (s, 3H), 1.55 (d, J=7.2 Hz, 3H), 1.46 (s, 9H), CO2H proton not observed.
Preparation of (S)-4-tert-Butyl 1-(2,5-dioxopyrrolidin-1-yl) 2-(((S)-2-acetoxypropanoyl)oxy)succinate
Figure US10226456-20190312-C01085
A solution of (S)-2-(((S)-2-acetoxypropanoyl)oxy)-4-(tert-butoxy)-4-oxobutanoic acid (1.05 g, 3.45 mmol) in tetrahydrofuran (40 mL) was treated with N-hydroxysuccinimide (436 mg, 3.80 mmol) and N,N′-dicyclohexylcarbodiimide (783 mg, 3.80 mmol) and stirred under a nitrogen atmosphere for 5 h. After this time, the reaction mixture was filtered to remove the solid dicyclohexylurea byproduct. The solid was washed with diethyl ether (100 mL), and the combined filtrate and washings were concentrated under reduced pressure. The residue was triturated with diethyl ether to provide (S)-4-tert-butyl 1-(2,5-dioxopyrrolidin-1-yl) 2-(((S)-2-acetoxypropanoyl)oxy)succinate (1.80 g) as a white solid:1H NMR (300 MHz, CDCl3) δ 5.84 (dd, J=7.2, 5.1 Hz, 1H), 5.12 (q, J=7.2 Hz, 1H), 3.02-2.92 (m, 2H), 2.84 (s, 4H), 2.13 (s, 3H), 1.54 (d, J=7.2 Hz, 3H), 1.45 (s, 9H).
Preparation of (S)-1-((4R,4aS,7aR,12bS)-9-((tert-Butoxycarbonyl)oxy)-4a-hydroxy-3-methyl-2,3,4,4a,5,7a-hexahydro-1H-4,12-methanobenzofuro[3,2-e]isoquinolin-7-yl) 4-tert-butyl 2-((S)-3-acetoxy-2-oxobutyl)succinate
Figure US10226456-20190312-C01086
A solution of tert-butyl ((4R,4aS,7aR,12bS)-4a-hydroxy-3-methyl-7-oxo-2,3,4,4a,5,6,7,7a-octahydro-1H-4,12-methanobenzofuro[3,2-e]isoquinolin-9-yl) carbonate (500 mg, 1.25 mmol) in tetrahydrofuran (10 mL) was cooled in an ice bath and treated dropwise with a 1.0 M solution of lithium bis(trimethylsilyl)amide in tetrahydrofuran (1.5 mL, 1.5 mmol). After addition was complete, the mixture was stirred at 0° C. for 1 h. The mixture was re-cooled to −45° C. and treated dropwise with a solution of (S)-4-tert-butyl 1-(2,5-dioxopyrrolidin-1-yl) 2-(((S)-2-acetoxypropanoyl)oxy)succinate (550 mg, 1.37 mmol) in tetrahydrofuran (5 mL). After addition was complete, the mixture was warmed to 0° C. After this time, the reaction mixture was treated with saturated aqueous ammonium chloride (20 mL) and extracted with ethyl acetate (2×50 mL). The combined organics were dried over sodium sulfate, filtered, and concentrated under reduced pressure. The crude residue was purified by column chromatography (40 g silica gel column, 0-20% methanol/methylene chloride, then 50 g C18 column, 10-100% acetonitrile/water) to provide (S)-1-((4R,4aS,7aR,12bS)-9-((tert-butoxycarbonyl)oxy)-4a-hydroxy-3-methyl-2,3,4,4a,5,7a-hexahydro-1H-4,12-methanobenzofuro[3,2-e]isoquinolin-7-yl) 4-tert-butyl 2-((S)-3-acetoxy-2-oxobutyl)succinate (318 mg, 39%) as a white solid: ESI MS m/z 688 [C35H45NO13+H]+.
Preparation of (3S,6S)-6-Acetoxy-3-((((4R,4aS,7aR,12bS)-4a,9-dihydroxy-3-methyl-2,3,4,4a,5,7a-hexahydro-1H-4,12-methanobenzofuro[3,2-e]isoquinolin-7-yl)oxy)carbonyl)-5-oxoheptanoic acid trifluoroacetic acid salt
Figure US10226456-20190312-C01087
A solution of (S)-1-((4R,4aS,7aR,12bS)-9-((tert-butoxycarbonyl)oxy)-4a-hydroxy-3-methyl-2,3,4,4a,5,7a-hexahydro-1H-4,12-methanobenzofuro[3,2-e]isoquinolin-7-yl) 4-tert-butyl 2-((S)-3-acetoxy-2-oxobutyl)succinate (126 mg, 0.183 mmol) in methylene chloride (3 mL) was treated with trifluoroacetic acid (3 mL) and stirred under a nitrogen atmosphere at ambient temperature for 3 h. After this time, the reaction mixture was concentrated under reduced pressure. The residue was purified by reversed phase column chromatography (50 g C18 column, 0-100% acetonitrile/water with 0.1% trifluoroacetic acid) and freeze dried to provide (3S,6S)-6-acetoxy-3-((((4R,4aS,7aR,12bS)-4a,9-dihydroxy-3-methyl-2,3,4,4a,5,7a-hexahydro-1H-4,12-methanobenzofuro[3,2-e]isoquinolin-7-yl)oxy)carbonyl)-5-oxoheptanoic acid trifluoroacetic acid salt (73 mg, 56%) as a fluffy white solid:1H NMR (300 MHz, DMSO-d6) δ 12.82 (s, 1H), 9.27 (s, 1H), 9.15 (s, 1H), 6.65 (apparent q, J=8.1 Hz, 2H), 6.25 (s, 1H), 5.59 (dd, J=6.0, 2.1 Hz, 1H), 5.50 (t, J=5.4 Hz, 1H), 5.08 (q, J=7.2 Hz, 1H), 4.91 (s, 1H), 3.04 (m, 1H), 2.95 (d, J=6.0 Hz, 2H), 2.84 (d, J=4.5 Hz, 3H), 2.67-2.25 (m, 8H), 2.08-2.03 (m, 4H), 1.62 (d, J=11.7 Hz, 1H), 1.46 (d, J=6.9 Hz, 3H); ESI MS m/z 530 [C27H31NO10+H]+.
Figure US10226456-20190312-C01088
Preparation of (S)-2-(((S)-2-(Oleoyloxy)propanoyl)oxy)propanoic acid
Figure US10226456-20190312-C01089
A solution of (S)-1-((2,5-dioxopyrrolidin-1-yl)oxy)-1-oxopropan-2-yl oleate (3.49 g, 7.73 mmol), (S)-lactic acid (764 mg, 8.48 mmol), and 4-dimethylaminopyridine (100 mg, 0.819 mmol) in tetrahydrofuran (35 mL) was treated with pyridine (0.69 g, 8.6 mmol) and heated at 50° C. under a nitrogen atmosphere for 64 h. After this time, the reaction mixture was cooled to room temperature and concentrated under reduced pressure. The residue was dissolved in methylene chloride (100 mL) and washed with aqueous 10% citric acid (2×50 mL). The organic layer was dried over sodium sulfate, filtered, and concentrated. The crude residue was purified by column chromatography (silica gel, 0-10% methanol/methylene chloride) to provide (S)-2-(((S)-2-(oleoyloxy)propanoyl)oxy)propanoic acid (835 mg, 25%) as a colorless oil:1H NMR (300 MHz, CDCl3) δ 5.36-5.29 (m, 2H), 5.24-5.08 (m, 2H), 2.41-2.35 (m, 2H), 2.02-1.98 (m, 4H), 1.67-1.60 (m, 2H), 1.58-1.52 (m, 6H), 1.30-1.27 (m, 20H), 0.88 (t, J=6.6 Hz, 3H), CO2H proton not observed.
Preparation of (S)-1-(((S)-1-((2,5-Dioxopyrrolidin-1-yl)oxy)-1-oxopropan-2-yl)oxy)-1-oxopropan-2-yl oleate
Figure US10226456-20190312-C01090
A solution of (S)-2-(((S)-2-(oleoyloxy)propanoyl)oxy)propanoic acid (0.83 g, 2.0 mmol) in tetrahydrofuran (10 mL) was treated with N-hydroxysuccinimide (262 mg, 2.28 mmol) and N,N′-dicyclohexylcarbodiimide (446 mg, 2.16 mmol) and stirred under a nitrogen atmosphere for 3 h. After this time, the reaction mixture was filtered to remove the solid dicyclohexylurea byproduct. The solid was washed with diethyl ether, and the combined filtrate and washings were concentrated under reduced pressure to provide (S)-1-(((S)-1-((2,5-dioxopyrrolidin-1-yl)oxy)-1-oxopropan-2-yl)oxy)-1-oxopropan-2-yl oleate (1.07 g, quantitative) as a white semi-solid:1H NMR (300 MHz, CDCl3) δ 5.52 (q, J=7.2 Hz, 1H), 5.38-5.33 (m, 2H), 5.11 (q, J=7.2 Hz, 1H), 2.84 (br s, 4H), 2.42-2.35 (m, 2H), 2.02-1.98 (m, 4H), 1.72-1.53 (m, 8H), 1.30-1.27 (m, 20H), 0.88 (t, J=6.6 Hz, 3H).
Preparation of (S)-1-(((S)-1-(((4R,4aS,7aR,12bS)-9-((tert-butoxycarbonyl)oxy)-4a-hydroxy-3-methyl-2,3,4,4a,5,7a-hexahydro-1H-4,12-methanobenzofuro[3,2-e]isoquinolin-7-yl)oxy)-1-oxopropan-2-yl)oxy)-1-oxopropan-2-yl oleate
Figure US10226456-20190312-C01091
A solution of tert-butyl ((4R,4aS,7aR,12bS)-4a-hydroxy-3-methyl-7-oxo-2,3,4,4a,5,6,7,7a-octahydro-1H-4,12-methanobenzofuro[3,2-e]isoquinolin-9-yl) carbonate (350 mg, 0.872 mmol) in tetrahydrofuran (10 mL) was cooled to 0° C. and treated dropwise with a 1.0 M solution of lithium bis(trimethylsilyl)amide in tetrahydrofuran (0.95 mL, 0.95 mmol). After addition was complete, the mixture was stirred at 0° C. for 25 min and then at ambient temperature for 25 min. The mixture was re-cooled to −78° C., and a solution of (S)-1-(((S)-1-((2,5-dioxopyrrolidin-1-yl)oxy)-1-oxopropan-2-yl)oxy)-1-oxopropan-2-yl oleate (500 mg, 0.956 mmol) in tetrahydrofuran (5 mL) was added. The mixture was allowed to warm to 0° C. over 2 h. After this time, the mixture was treated with saturated aqueous ammonium chloride (10 mL) and extracted with ethyl acetate (2×25 mL). The combined organics were dried over sodium sulfate, filtered, and concentrated under reduced pressure. The crude residue was purified by column chromatography (40 g silica gel column, 0-20% methanol/methylene chloride) to provide (S)-1-(((S)-1-(((4R,4aS,7aR,12bS)-9-((tert-butoxycarbonyl)oxy)-4a-hydroxy-3-methyl-2,3,4,4a,5,7a-hexahydro-1H-4,12-methanobenzofuro[3,2-e]isoquinolin-7-yl)oxy)-1-oxopropan-2-yl)oxy)-1-oxopropan-2-yl oleate (628 mg, 88%) as a white solid: ESI MS m/z 810 [C46H67NO11+H]+.
Preparation of (S)-1-(((S)-1-(((4R,4aS,7aR,12bS)-4a,9-Dihydroxy-3-methyl-2,3,4,4a,5,7a-hexahydro-1H-4,12-methanobenzofuro[3,2-e]isoquinolin-7-yl)oxy)-1-oxopropan-2-yl)oxy)-1-oxopropan-2-yl oleate trifluoroacetic acid salt
Figure US10226456-20190312-C01092
A solution of (S)-1-(((S)-1-(((4R,4aS,7aR,12bS)-9-((tert-butoxycarbonyl)oxy)-4a-hydroxy-3-methyl-2,3,4,4a,5,7a-hexahydro-1H-4,12-methanobenzofuro[3,2-e]isoquinolin-7-yl)oxy)-1-oxopropan-2-yl)oxy)-1-oxopropan-2-yl oleate (314 mg, 0.388 mmol) in methylene chloride (5.0 mL) was treated with trifluoroacetic acid (5.0 mL) and stirred under a nitrogen atmosphere at ambient temperature for 3 h. After this time, the reaction mixture was concentrated under reduced pressure. The residue was purified by reversed phase column chromatography (150 g C18 column, 0-100% acetonitrile/water with 0.1% trifluoroacetic acid) and freeze dried to provide (S)-1-(((S)-1-(((4R,4aS,7aR,12bS)-4a,9-dihydroxy-3-methyl-2,3,4,4a,5,7a-hexahydro-1H-4,12-methanobenzofuro[3,2-e]isoquinolin-7-yl)oxy)-1-oxopropan-2-yl)oxy)-1-oxopropan-2-yl oleate trifluoroacetic acid salt (63 mg, 18%) as a fluffy white solid:1H NMR (300 MHz, DMSO-d6) δ 9.27 (s, 1H), 9.14 (s, 1H), 6.65 (apparent q, J=8.1 Hz, 2H), 6.23 (s, 1H), 5.57 (dd, J=6.3, 2.1 Hz, 1H), 5.32 (t, J=4.5 Hz, 1H), 5.22 (q, J=6.9 Hz, 1H), 5.08 (q, J=7.2 Hz, 1H), 4.95 (s, 1H), 3.06 (m, 1H), 2.84 (d, J=4.5 Hz, 3H), 2.63-2.25 (m, 8H), 2.09-1.95 (m, 4H), 1.64-1.46 (m, 10H), 1.23 (m, 21H), 0.85 (t, J=6.6 Hz, 3H); ESI MS m/z 710 [C41H59NO9+H]+.
Figure US10226456-20190312-C01093
Preparation of (S)-tert-Butyl 2-acetoxy-2-phenylacetate
Figure US10226456-20190312-C01094
A mixture of (S)-2-acetoxy-2-phenylacetic acid (22.0 g, 104 mmol) and tert-butanol (19.0 g, 257 mmol) in methylene chloride (150 mL) at 0° C. was treated with N,N′-dicyclohexylcarbodiimide (28.0 g, 136 mmol). After stirring for 1 h, the ice bath was removed and the reaction mixture was stirred at ambient temperature for 18 h. After this time, the mixture was filtered and the filtrate was concentrated under reduced pressure. The residue was purified by column chromatography (330 g silica gel column, 5-20% ethyl acetate/heptane) to provide (S)-tert-butyl 2-acetoxy-2-phenylacetate (14.4 g, 52%):1H NMR (300 MHz, CDCl3) δ 7.48-7.43 (m, 2H), 7.40-7.35 (m, 3H), 5.80 (s, 1H), 2.18 (s, 3H), 1.40 (s, 9H).
Preparation of (S)-tert-Butyl 2-hydroxy-2-phenylacetate
Figure US10226456-20190312-C01095
A solution of (S)-tert-butyl 2-acetoxy-2-phenylacetate (14.4 g, 54.1 mmol) in methanol (15 mL) was cooled to 0° C. and treated with a solution of sodium bicarbonate (22.5 g, 163 mmol) in water/methanol (3:2, 145 mL). The reaction mixture was stirred at 0° C. for 2 h, and then neutralized by addition of citric acid (10 g, 52 mmol). The mixture was partially concentrated under reduced pressure and then extracted with methylene chloride. The organic layer was washed with water and brine, dried over sodium sulfate, filtered, and concentrated under reduced pressure to provide (S)-tert-butyl 2-hydroxy-2-phenylacetate (11.2 g), which was used without purification:1H NMR (300 MHz, CDCl3) δ 7.43-7.29 (m, 5H), 5.03 (d, J=6.0 Hz, 1H), 3.50 (d, J=6.0 Hz, 1H), 1.41 (s, 9H).
Preparation of (S)-4-(2-(tert-Butoxy)-2-oxo-1-phenylethoxy)-4-oxobutanoic acid
Figure US10226456-20190312-C01096
A solution of (S)-tert-butyl 2-hydroxy-2-phenylacetate (3.15 g, 15.1 mmol) in tetrahydrofuran (35 mL) at 0° C. was treated with a 1.0 M solution of lithium bis(trimethylsilyl)amide in tetrahydrofuran (16 mL, 16 mmol), and the mixture was stirred for 10 min. After this time, a solution of succinic anhydride (1.33 g, 16.6 mmol) in tetrahydrofuran (25 mL) was added, and the mixture was stirred at 0° C. for 1.5 h. After this time, the mixture was poured into a saturated solution of ammonium chloride and extracted with ethyl acetate. The organic extract was dried over sodium sulfate, filtered, and concentrated under reduced pressure to provide (S)-4-(2-(tert-butoxy)-2-oxo-1-phenylethoxy)-4-oxobutanoic acid (4.60 g): ESI MS m/z 634 [C16H20O6+NH4]+.
Preparation of (S)-2-(tert-Butoxy)-2-oxo-1-phenylethyl (2,5-dioxopyrrolidin-1-yl) succinate
Figure US10226456-20190312-C01097
A mixture of (S)-4-(2-(tert-butoxy)-2-oxo-1-phenylethoxy)-4-oxobutanoic acid (4.60 g, 15.0 mmol) and N-hydroxysuccinimide (1.90 g, 16.5 mmol) in tetrahydrofuran (75 mL) at 0° C. was treated with N,N′-dicyclohexylcarbodiimide (3.40 g, 16.5 mmol). The ice bath was removed, and the reaction mixture was stirred at ambient temperature for 4 h. After this time, diethyl ether (75 mL) was added, and the mixture was filtered. The filtrate was concentrated under reduced pressure to provide (S)-2-(tert-butoxy)-2-oxo-1-phenylethyl (2,5-dioxopyrrolidin-1-yl) succinate (10.0 g) that was used without purification:1H NMR (300 MHz, CDCl3) δ 7.47-7.42 (m, 2H), 7.42-7.35 (m, 3H), 5.84 (s, 1H), 3.06-2.98 (m, 2H), 2.93-2.88 (m, 2H), 2.83 (s, 4H), 1.39 (s, 9H).
Preparation of (S)-2-(tert-Butoxy)-2-oxo-1-phenylethyl ((4R,4aS,7aR,12bS)-9-((tert-butoxycarbonyl)oxy)-4a-hydroxy-3-methyl-2,3,4,4a,5,7a-hexahydro-1H-4,12-methanobenzofuro[3,2-e]isoquinolin-7-yl) succinate
Figure US10226456-20190312-C01098
A solution of tert-butyl ((4R,4aS,7aR,12bS)-4a-hydroxy-3-methyl-7-oxo-2,3,4,4a,5,6,7,7a-octahydro-1H-4,12-methanobenzofuro[3,2-e]isoquinolin-9-yl) carbonate (490 mg, 1.22 mmol) in tetrahydrofuran (10 mL) was cooled to −10° C. and treated dropwise with a 1.0 M solution of lithium bis(trimethylsilyl)amidein tetrahydrofuran (1.4 mL, 1.4 mmol). After addition was complete, the mixture was stirred at ambient temperature for 10 min. The mixture was re-cooled to −10° C. and (S)-2-(tert-butoxy)-2-oxo-1-phenylethyl (2,5-dioxopyrrolidin-1-yl) succinate (650 mg, 1.6 mmol) was added in one portion. The mixture was stirred at −10° C. to ambient temperature over 1.5 h. After this time, the reaction mixture was cooled in an ice bath, treated with saturated aqueous ammonium chloride, and extracted with ethyl acetate. The combined organics were dried over sodium sulfate, filtered, and concentrated under reduced pressure. The residue was purified by reversed phase column chromatography (50 g C18 column, 5-100% acetonitrile/water) to provide (S)-2-(tert-butoxy)-2-oxo-1-phenylethyl ((4R,4aS,7aR,12bS)-9-((tert-butoxycarbonyl)oxy)-4a-hydroxy-3-methyl-2,3,4,4a,5,7a-hexahydro-1H-4,12-methanobenzofuro[3,2-e]isoquinolin-7-yl) succinate (530 mg, 62%): ESI MS m/z 692 [C3H45NO11+H]+.
Preparation of (S)-2-((4-(((4R,4aS,7aR,12bS)-4a,9-Dihydroxy-3-methyl-2,3,4,4a,5,7a-hexahydro-1H-4,12-methanobenzofuro[3,2-e]isoquinolin-7-yl)oxy)-4-oxobutanoyl)oxy)-2-phenylacetic acid trifluoroacetic acid salt
Figure US10226456-20190312-C01099
A solution of (S)-2-(tert-butoxy)-2-oxo-1-phenylethyl ((4R,4aS,7aR,12bS)-9-((tert-butoxycarbonyl)oxy)-4a-hydroxy-3-methyl-2,3,4,4a,5,7a-hexahydro-1H-4,12-methanobenzofuro[3,2-e]isoquinolin-7-yl) succinate (530 mg, 0.77 mmol) in methylene chloride (10 mL) was treated with trifluoroacetic acid (4 mL) and stirred at ambient temperature for 2.5 h. After this time, the reaction mixture was concentrated under reduced pressure. The residue was purified by reversed phase column chromatography (50 g C18 column, 3-20% acetonitrile/water, with 0.1% trifluoracetic acid) and freeze dried to provide (S)-2-((4-(((4R,4aS,7aR,12bS)-4a,9-dihydroxy-3-methyl-2,3,4,4a,5,7a-hexahydro-1H-4,12-methanobenzofuro[3,2-e]isoquinolin-7-yl)oxy)-4-oxobutanoyl)oxy)-2-phenylacetic acid trifluoroacetic acid salt (121 mg, 23%) as a fluffy white solid:1H NMR (300 MHz, DMSO-d6) δ 9.30 (s, 1H), 9.15 (br s, 1H), 7.50-7.44 (m, 2H), 7.44-7.40 (m, 3H), 6.68 (d, J=8.2 Hz, 1H), 6.62 (d, J=8.2 Hz, 1H), 6.22 (s, 1H), 5.85 (s, 1H), 5.49 (dd, J=6.0, 1.9 Hz, 1H), 4.93 (s, 1H), 3.61 (d, J=6.3 Hz, 1H), 3.12-3.01 (m, 2H), 2.84 (s, 3H), 2.79-2.70 (m, 4H), 2.70-2.58 (m, 1H), 2.42 (dd, J=13.3, 4.7 Hz, 1H), 2.25 (dd, J=17.1, 7.1 Hz, 1H), 2.04 (d, J=17.1 Hz, 1H), 1.61 (d, J=11.2 Hz, 1H), CO2H proton not observed, one proton obscured by solvent peaks; ESI MS m/z 536 [C29H29NO9+H]+; HPLC (Method A) 98.9% (AUC), tR=8.55 min.
Figure US10226456-20190312-C01100
Preparation of (S)-(4R,4aS,7aR,12bS)-9-((tert-Butoxycarbonyl)oxy)-4a-hydroxy-3-methyl-2,3,4,4a,5,7a-hexahydro-1H-4,12-methanobenzofuro[3,2-e]isoquinolin-7-yl 2-acetoxy-2-phenylacetate
Figure US10226456-20190312-C01101
A solution of tert-butyl ((4R,4aS,7aR,12bS)-4a-hydroxy-3-methyl-7-oxo-2,3,4,4a,5,6,7,7a-octahydro-1H-4,12-methanobenzofuro[3,2-e]isoquinolin-9-yl) carbonate (360 mg, 0.90 mmol) in tetrahydrofuran (8 mL) was cooled to 0° C. and treated dropwise with a 1.0 M solution of lithium bis(trimethylsilyl)amidein tetrahydrofuran (1.0 mL, 1.0 mmol). After addition was complete, the mixture was stirred at ambient temperature for 10 min. The mixture was re-cooled to 0° C., and(S)-2,5-dioxopyrrolidin-1-yl 2-acetoxy-2-phenylacetate (340 mg, 1.1 mmol) was added in one portion. The mixture was stirred at 0° C. to ambient temperature over 1 h. After this time, the reaction mixture was cooled in an ice bath, treated with saturated aqueous ammonium chloride, and extracted with ethyl acetate. The combined organics were dried over sodium sulfate, filtered, and concentrated under reduced pressure. The residue was purified by reversed phase column chromatography (50 g C18 column, 5-100% acetonitrile/water) to provide (S)-(4R,4aS,7aR,12bS)-9-((tert-butoxycarbonyl)oxy)-4a-hydroxy-3-methyl-2,3,4,4a,5,7a-hexahydro-1H-4,12-methanobenzofuro[3,2-e]isoquinolin-7-yl 2-acetoxy-2-phenylacetate (235 mg, 45%): ESI MS m/z 578 [C32H35NO9+H]+.
Preparation of (S)-(4R,4aS,7aR,12bS)-4a,9-Dihydroxy-3-methyl-2,3,4,4a,5,7a-hexahydro-1H-4,12-methanobenzofuro[3,2-e]isoquinolin-7-yl 2-acetoxy-2-phenylacetate trifluoroacetic acid salt
Figure US10226456-20190312-C01102
A solution of (S)-(4R,4aS,7aR,12bS)-9-((tert-butoxycarbonyl)oxy)-4a-hydroxy-3-methyl-2,3,4,4a,5,7a-hexahydro-1H-4,12-methanobenzofuro[3,2-e]isoquinolin-7-yl 2-acetoxy-2-phenylacetate (230 mg, 0.40 mmol) in methylene chloride (6 mL) was treated with trifluoroacetic acid (2.5 mL) and stirred at ambient temperature for 2 h. After this time, the reaction mixture was concentrated under reduced pressure. The residue was purified by reversed phase column chromatography (50 g C18 column, 5-20% acetonitrile/water, with 0.1% trifluoracetic acid) and freeze dried to provide (S)-(4R,4aS,7aR,12bS)-4a,9-dihydroxy-3-methyl-2,3,4,4a,5,7a-hexahydro-1H-4,12-methanobenzofuro[3,2-e]isoquinolin-7-yl 2-acetoxy-2-phenylacetate trifluoroacetic acid salt (121 mg, 23%) as a fluffy white solid:1H NMR (300 MHz, DMSO-d6) δ 9.29 (s, 1H), 9.15 (br s, 1H), 7.60-7.51 (m, 2H), 7.51-7.43 (m, 3H), 6.68 (d, J=8.1 Hz, 1H), 6.61 (d, J=8.1 Hz, 1H), 6.27 (s, 1H), 6.08 (s, 1H), 5.58 (dd, J=6.0, 1.9 Hz, 1H), 4.87 (s, 1H), 3.61 (d, J=6.1 Hz, 1H), 3.11-3.00 (m, 2H), 2.83 (d, J=4.6 Hz, 3H), 2.70-2.55 (m, 1H), 2.42 (dd, J=12.8, 4.2 Hz, 1H), 2.26 (dd, J=18.0, 6.1 Hz, 1H), 2.17 (s, 3H), 2.05 (d, J=18.0 Hz, 1H), 1.60 (d, J=11.1 Hz, 1H), one proton obscured by solvent peaks; ESI MS m/z 478 [C27H27NO7+H]+; HPLC (Method A) 98.7% (AUC), tR=9.03 min.
Figure US10226456-20190312-C01103
Preparation of (3S,3′S)-Di-tert-butyl 4,4′-(((((4R,4aS,7aR,12bS) H-9-((tert-butyldimethylsilyl)oxy)-3-methyl-2,3,4,4a,5,7a-hexahydro-1H-4,12-methanobenzofuro[3,2-e]isoquinoline-4a,7-diyl)bis(oxy))bis(3-oxopropane-3,1-diyl))bis(azanediyl))bis(3-((tert-butoxycarbonyl)oxy)-4-oxobutanoate)
Figure US10226456-20190312-C01104
A solution of (4R,4aS,7aR,12bS)-9-((tert-butyldimethylsilyl)oxy)-3-methyl-2,3,4,4a,5,7a-hexahydro-1H-4,12-methanobenzofuro[3,2-e]isoquinoline-4a,7-diyl bis(3-((tert-butoxycarbonyl)amino)propanoate) (800 mg, 1.06 mmol) in methylene chloride (12 mL) was treated with trifluoroacetic acid (1.2 mL), and the mixture was stirred at room temperature for 2 h. After this time, LC-MS analysis of the reaction mixture showed cleavage of the Boc protecting groups. N,N-Diisopropylethylamine was added slowly until the reaction mixture tested basic by pH paper analysis (3 mL of base added). The mixture was treated with (S)-4-tert-butyl 1-(2,5-dioxopyrrolidin-1-yl) 2-((tert-butoxycarbonyl)oxy)succinate (900 mg, 2.32 mmol) in one portion and stirred at room temperature for 2 h. After this time, the mixture was diluted with ethyl acetate and washed water and brine. The organic extracts were dried over sodium sulfate, filtered, and concentrated. The residue was purified by reversed phase column chromatography (50 g C18 column, 5-100% acetonitrile/water) to provide (3S,3′S)-di-tert-butyl 4,4′-(((((4R,4aS,7aR,12bS)-9-((tert-butyldimethylsilyl)oxy)-3-methyl-2,3,4,4a,5,7a-hexahydro-1H-4,12-methanobenzofuro[3,2-e]isoquinoline-4a,7-diyl)bis(oxy))bis(3-oxopropane-3,1-diyl))bis(azanediyl))bis(3-((tert-butoxycarbonyl)oxy)-4-oxobutanoate) (470 mg, 40%): ESI MS m/z 1102 [C55H83N3O18Si+H]+.
Preparation of (3S,3′S)-Di-tert-butyl 4,4′-(((((4R,4aS,7aR,12bS)-9-hydroxy-3-methyl-2,3,4,4a,5,7a-hexahydro-1H-4,12-methanobenzofuro[3,2-e]isoquinoline-4a,7-diyl)bis(oxy))bis(3-oxopropane-3,1-diyl))bis(azanediyl))bis(3-((tert-butoxycarbonyl)oxy)-4-oxobutanoate) trifluoroacetic acid salt
Figure US10226456-20190312-C01105
A solution of (3S,3′S)-di-tert-butyl 4,4′-(((((4R,4aS,7aR,12bS)-9-((tert-butyldimethylsilyl)oxy)-3-methyl-2,3,4,4a,5,7a-hexahydro-1H-4,12-methanobenzofuro[3,2-e]isoquinoline-4a,7-diyl)bis(oxy))bis(3-oxopropane-3,1-diyl))bis(azanediyl))bis(3-((tert-butoxycarbonyl)oxy)-4-oxobutanoate) (470 mg, 0.43 mmol) in tetrahydrofuran (8 mL) was treated with water (5 mL) followed by trifluoroacetic acid (3 mL), and the mixture was stirred at room temperature for 3 h. After this time, the mixture was concentrated, and the residue was azeotroped with toluene to provide (3S,3′S)-di-tert-butyl 4,4′-(((((4R,4aS,7aR,12bS)-9-hydroxy-3-methyl-2,3,4,4a,5,7a-hexahydro-1H-4,12-methanobenzofuro[3,2-e]isoquinoline-4a,7-diyl)bis(oxy))bis(3-oxopropane-3,1-diyl))bis(azanediyl))bis(3-((tert-butoxycarbonyl)oxy)-4-oxobutanoate) trifluoroacetic acid salt (440 mg, crude) that was used without purification: ESI MS m/z 988 [C49H69N3O18+H]+.
Preparation of (3S,3′S)-4,4′-(((((4R,4aS,7aR,12bS)-9-Hydroxy-3-methyl-2,3,4,4a,5,7a-hexahydro-1H-4,12-methanobenzofuro[3,2-e]isoquinoline-4a,7-diyl)bis(oxy))bis(3-oxopropane-3,1-diyl))bis(azanediyl))bis(3-hydroxy-4-oxobutanoic acid) trifluoroacetic acid salt
Figure US10226456-20190312-C01106
A solution of (3S,3′S)-di-tert-butyl 4,4′-(((((4R,4aS,7aR,12bS)-9-hydroxy-3-methyl-2,3,4,4a,5,7a-hexahydro-1H-4,12-methanobenzofuro[3,2-e]isoquinoline-4a,7-diyl)bis(oxy))bis(3-oxopropane-3,1-diyl))bis(azanediyl))bis(3-((tert-butoxycarbonyl)oxy)-4-oxobutanoate) (440 mg) in methylene chloride (6 mL) was treated with trifluoroacetic acid (2.5 mL) and stirred at ambient temperature for 2 h. After this time, the reaction mixture was concentrated under reduced pressure. The residue was purified by reversed phase column chromatography (50 g C18 column, 5-20% acetonitrile/water, with 0.1% trifluoracetic acid) and freeze dried to provide (3S,3′S)-4,4′-(((((4R,4aS,7aR,12bS)-9-hydroxy-3-methyl-2,3,4,4a,5,7a-hexahydro-1H-4,12-methanobenzofuro[3,2-e]isoquinoline-4a,7-diyl)bis(oxy))bis(3-oxopropane-3,1-diyl))bis(azanediyl))bis(3-hydroxy-4-oxobutanoic acid) trifluoroacetic acid salt (167 mg, 53% over two steps) as a fluffy white solid:1H NMR (300 MHz, DMSO-d6) δ 9.55 (br s, 2H), 8.03-7.97 (m, 2H), 6.73 (d, J=8.2 Hz, 1H), 6.66 (d, J=8.2 Hz, 1H), 5.50 (dd, J=6.7, 1.8 Hz, 1H), 5.06 (s, 1H), 4.73 (d, J=6.0 Hz, 1H), 4.26-4.21 (m, 2H), 3.45-3.13 (m, 10H), 3.08-2.90 (m, 4H), 2.86-2.70 (m, 1H), 2.70-2.53 (m, 5H), 2.45-2.25 (m, 3H), 2.09 (d, J=18.6 Hz, 1H), 1.78 (d, J=13.5 Hz, 1H), CO2H protons not observed; ESI MS m/z 676 [C31H37N3O14+H]+; HPLC (Method A) 98.6% (AUC), tR=6.42 min.
Figure US10226456-20190312-C01107
Figure US10226456-20190312-C01108
Preparation of (S)-2-Acetoxy-4-(tert-butoxy)-4-oxobutanoic acid
Figure US10226456-20190312-C01109
(S)-4-(tert-Butoxy)-2-hydroxy-4-oxobutanoic acid (4.88 g, 25.7 mmol), acetyl chloride (2.22 g, 28.2 mmol), N,N-diisopropylethylamine (3.99 g, 30.8 mmol), and methylene chloride (200 mL) were combined at 0° C. and stirred at room temperature under a nitrogen atmosphere for 16 h. After this time, 10% aqueous citric acid (100 mL) was added. The organic layer was separated and extracted with methylene chloride (2×100 mL). The combined organics were washed with brine (50 mL), dried over sodium sulfate, filtered, and concentrated under reduced pressure to provide (S)-2-acetoxy-4-(tert-butoxy)-4-oxobutanoic acid (4.59 g, 76%) as a light yellow oil:1H NMR (300 MHz, CDCl3) δ 5.46 (m, 1H), 2.83 (m, 2H), 2.14 (s, 3H), 1.46 (s, 9H), CO2H proton not observed.
Preparation of (S)-Di-tert-butyl 2-acetoxysuccinate
Figure US10226456-20190312-C01110
A solution of (S)-2-acetoxy-4-(tert-butoxy)-4-oxobutanoic acid (4.59 g, 19.8 mmol) and tert-butanol (3.22 g, 43.5 mmol) in methylene chloride (70 mL) was treated with N,N′-dicyclohexylcarbodiimide (5.31 g, 25.7 mmol) and 4-(dimethylamino)pyridine (798 mg, 6.53 mmol) at 0° C. and stirred at room temperature under a nitrogen atmosphere for 16 h. After this time, the reaction mixture was filtered to remove the solid dicyclohexylurea byproduct. The solid was washed with diethyl ether (100 mL), and the combined filtrate and washings were concentrated under reduced pressure. The crude residue was purified by column chromatography (80 g silica gel column, 0-30% ethyl acetate/heptane) to provide (S)-di-tert-butyl 2-acetoxysuccinate (3.44 g, 60%) as a colorless oil:1H NMR (300 MHz, CDCl3) δ 5.30 (dd, J=7.5, 5.4 Hz, 1H), 2.75 (m, 2H), 2.13 (s, 3H), 1.46 (s, 18H).
Preparation of (S)-Di-tert-butyl 2-hydroxysuccinate
Figure US10226456-20190312-C01111
(S)-Di-tert-butyl 2-acetoxysuccinate (3.44 g, 11.9 mmol), potassium carbonate (4.94 g, 35.8 mmol), methanol (240 mL) and water (40 mL) were combined and stirred at 0° C. for 4 h. After this time, water (200 mL) was added, and the aqueous solution was extracted with methylene chloride (2×200 mL). The combined organics were washed with brine (50 mL), dried over sodium sulfate, filtered, and concentrated under reduced pressure to provide (S)-di-tert-butyl 2-hydroxysuccinate (2.71 g, 92%) as a colorless oil:1H NMR (300 MHz, CDCl3) δ 4.30 (dd, J=10.2, 5.7 Hz, 1H), 3.21 (d, J=5.4 Hz, 1H), 2.77-2.60 (m, 2H), 1.45 (s, 9H), 1.42 (s, 9H).
Preparation of (S)-4-((1,4-Di-tert-butoxy-1,4-dioxobutan-2-yl)oxy)-4-oxobutanoic acid
Figure US10226456-20190312-C01112
(S)-Di-tert-butyl 2-hydroxysuccinate (428 mg, 1.74 mmol), dihydrofuran-2,5-dione (414 mg, 4.14 mmol), N,N-diisopropylethylamine (535 mg, 4.14 mmol), and methylene chloride (10 mL) were combined and stirred at room temperature under a nitrogen atmosphere for 16 h. After this time, 10% aqueous citric acid (100 mL) was added. The organic layer was separated and extracted with methylene chloride (2×50 mL). The combined organics were washed with brine (50 mL), dried over sodium sulfate, filtered, and concentrated under reduced pressure to provide (S)-4-((1,4-di-tert-butoxy-1,4-dioxobutan-2-yl)oxy)-4-oxobutanoic acid (534 mg, 95%) as a brown oil:1H NMR (300 MHz, CDCl3) δ 5.32 (dd, J=7.5, 5.1 Hz, 1H), 2.77-2.66 (m, 6H), 1.46 (s, 18H), CO2H proton not observed.
Preparation of (S)-Di-tert-butyl 2-((4-((2,5-dioxopyrrolidin-1-yl)oxy)-4-oxobutanoyl)oxy)succinate
Figure US10226456-20190312-C01113
A solution of (S)-4-((1,4-di-tert-butoxy-1,4-dioxobutan-2-yl)oxy)-4-oxobutanoic acid (534 mg, 1.38 mmol) in tetrahydrofuran (15 mL) was treated with N-hydroxysuccinimide (159 mg, 1.38 mmol) and N,N′-dicydohexylcarbodiimide (284 mg, 1.38 mmol) and stirred under a nitrogen atmosphere for 3 h. After this time, the reaction mixture was filtered to remove the solid dicyclohexylurea byproduct. The solid was washed with diethyl ether (100 mL), and the combined filtrate and washings were concentrated under reduced pressure. The residue was triturated with diethyl ether to provide (S)-di-tert-butyl 2-((4-((2,5-dioxopyrrolidin-1-yl)oxy)-4-oxobutanoyl)oxy)succinate (684 mg) as a brown oil:1H NMR (300 MHz, CDCl3) δ 5.34 (dd, J=6.9, 5.7 Hz, 1H), 3.01-2.96 (m, 2H), 2.87-2.70 (m, 8H), 1.44 (s, 18H).
Preparation (S)-Di-tert-butyl 2-((4-(((4R,4aS,7aR,12bS)-9-((tert-butoxycarbonyl)oxy)-4a-hydroxy-3-methyl-2,3,4,4a,5,7a-hexahydro-1H-4,12-methanobenzofuro[3,2-e]isoquinolin-7-yl)oxy)-4-oxobutanoyl)oxy)succinate
Figure US10226456-20190312-C01114
A solution of tert-butyl ((4R,4aS,7aR,12bS)-4a-hydroxy-3-methyl-7-oxo-2,3,4,4a,5,6,7,7a-octahydro-1H-4,12-methanobenzofuro[3,2-e]isoquinolin-9-yl) carbonate (280 mg, 0.698 mmol) in tetrahydrofuran (5 mL) was cooled to 0° C. and treated dropwise with a 1.0 M solution of lithium bis(trimethylsilyl)amide in tetrahydrofuran (0.78 mL, 0.78 mmol). After addition was complete, the mixture was stirred at 0° C. for 25 min and then at ambient temperature for 25 min. The mixture was re-cooled to −78° C. and a solution of (S)-di-tert-butyl 2-((4-((2,5-dioxopyrrolidin-1-yl)oxy)-4-oxobutanoyl)oxy)succinate (340 mg, 0.767 mmol) in tetrahydrofuran (3 mL) was added. The mixture was allowed to warm to 0° C. over 2 h and then treated with saturated aqueous ammonium chloride (10 mL) and extracted with ethyl acetate (2×25 mL). The combined organics were dried over sodium sulfate, filtered, and concentrated under reduced pressure. The crude residue was purified by column chromatography (40 g, silica gel, 0-20% methanol/methylene chloride, then 50 g, C18, 10-100% acetonitrile/water) to provide (S)-di-tert-butyl 2-((4-(((4R,4aS,7aR,12bS)-9-((tert-butoxycarbonyl)oxy)-4a-hydroxy-3-methyl-2,3,4,4a,5,7a-hexahydro-1H-4,12-methanobenzofuro[3,2-e]isoquinolin-7-yl)oxy)-4-oxobutanoyl)oxy)succinate (137 mg, 26%) as a colorless oil: ESI MS m/z 730 [C38H51NO13+H]+.
Preparation of (S)-2-((4-(((4R,4aS,7aR,12bS)-4a,9-Dihydroxy-3-methyl-2,3,4,4a,5,7a-hexahydro-1H-4,12-methanobenzofuro[3,2-e]isoquinolin-7-yl)oxy)-4-oxobutanoyl)oxy)succinic acid trifluoroacetic acid salt
Figure US10226456-20190312-C01115
A solution of (S)-di-tert-butyl 2-((4-(((4R,4aS,7aR,12bS)-9-((tert-butoxycarbonyl)oxy)-4a-hydroxy-3-methyl-2,3,4,4a,5,7a-hexahydro-1H-4,12-methanobenzofuro[3,2-e]isoquinolin-7-yl)oxy)-4-oxobutanoyl)oxy)succinate (137 mg, 0.188 mmol) in methylene chloride (3 mL) was treated with trifluoroacetic acid (3 mL) and stirred under a nitrogen atmosphere at ambient temperature for 1 h. After this time, the reaction mixture was concentrated under reduced pressure. The residue was purified by reversed phase column chromatography (50 g C18 column, 0-100% acetonitrile/water with 0.1% trifluoroacetic acid) and freeze dried to provide (S)-2-((4-(((4R,4aS,7aR,12bS)-4a,9-dihydroxy-3-methyl-2,3,4,4a,5,7a-hexahydro-1H-4,12-methanobenzofuro[3,2-e]isoquinolin-7-yl)oxy)-4-oxobutanoyl)oxy)succinic acid trifluoroacetic acid salt (85 mg, 76%) as a fluffy white solid:1H NMR (300 MHz, DMSO-d6) δ 12.3 (s, 1H), 12.6 (s, 1H), 9.30 (s, 1H), 9.14 (s, 1H), 6.65 (apparent q, J=8.1 Hz, 2H), 6.22 (s, 1H), 5.53 (dd, J=6.3, 2.1 Hz, 1H), 5.23 (dd, J=7.8, 4.5 Hz, 1H), 4.95 (s, 1H), 3.06 (m, 1H), 2.91-2.66 (m, 11H), 2.47 (m, 3H), 2.27 (m, 1H), 2.06 (d, J=18.0 Hz, 1H), 1.63 (d, J=11.7 Hz, 1H); ESI MS m/z 518 [C25H27NO11+H]+; HPLC (Method A)>99% (AUC), tR=6.80 min.
Figure US10226456-20190312-C01116
Figure US10226456-20190312-C01117
Preparation of (S)-2-(2,2-Dimethyl-5-oxo-1,3-dioxolan-4-yl)acetic acid
Figure US10226456-20190312-C01118
A solution of (S)-malic acid (30.28 g, 225.8 mmol) and pyridinium p-toluenesulfonate (5.16 g, 20.5 mmol) in acetone (17 mL) was cooled in an ice bath and treated with 2-methoxyprop-1-ene (85.0 mL, 888 mmol) under a nitrogen atmosphere. After 30 min, the ice bath was removed, and the mixture was heated at 35° C. for 16 h. After this time, the reaction mixture was cooled to room temperature and concentrated under reduced pressure. The residue was dissolved in ethyl acetate (500 mL), washed with 1:1 brine/water (4×200 mL), dried over sodium sulfate, filtered, and partially concentrated under reduced pressure to a volume of approximately 200 mL. The solution was treated with heptanes (200 mL) and cooled in an ice bath for 1 h. The resulting solids were isolated by filtration and washed with heptanes to provide (S)-2-(2,2-dimethyl-5-oxo-1,3-dioxolan-4-yl)acetic acid (23.14 g, 59%) as a white solid:1H NMR (300 MHz, DMSO-d6) δ 12.61 (s, 1H), 4.79 (dd, J=5.1, 4.8 Hz, 1H), 2.83-2.68 (m, 2H), 1.53 (s, 3H), 1.52 (s, 3H).
Preparation of (S)-Benzyl 2-(2,2-dimethyl-5-oxo-1,3-dioxolan-4-yl)acetate
Figure US10226456-20190312-C01119
A solution of (S)-2-(2,2-dimethyl-5-oxo-1,3-dioxolan-4-yl)acetic acid (10.08 g, 57.88 mmol) in methylene chloride (290 mL) was treated with benzyl alcohol (9.0 mL, 87 mmol), N,N′-dicyclohexylcarbodiimide (14.3 g, 69.2 mmol), and 4-dimethylaminopyridine (2.12 g, 17.4 mmol) and stirred under a nitrogen atmosphere for 1.5 h. After this time, the reaction mixture was filtered to remove the solid dicyclohexylurea byproduct. The solid was washed with methylene chloride, and the combined filtrate and washings were concentrated under reduced pressure. The crude residue was purified by column chromatography (silica gel, 0-20% ethyl acetate/heptanes) to provide (S)-benzyl 2-(2,2-dimethyl-5-oxo-1,3-dioxolan-4-yl)acetate (8.63 g, 56%) as a white solid:1H NMR (300 MHz, DMSO-d6) δ 7.41-7.30 (m, 5H), 5.13 (dd, J=14.4, 12.3 Hz, 2H), 4.87 (t, J=4.8 Hz, 1H), 3.02-2.89 (m, 2H), 1.52 (s, 3H), 1.49 (s, 3H).
Preparation of (S)-4-(Benzyloxy)-2-hydroxy-4-oxobutanoic acid
Figure US10226456-20190312-C01120
A solution of (S)-benzyl 2-(2,2-dimethyl-5-oxo-1,3-dioxolan-4-yl)acetate (8.63 g, 32.7 mmol) in acetic acid (50 mL) and water (25 mL) was heated at 60° C. for 1.5 h. After this time, the reaction mixture was concentrated under reduced pressure. The residue was dissolved in water and freeze dried to provide (S)-4-(benzyloxy)-2-hydroxy-4-oxobutanoic acid (7.32 g, quantitative) as a white solid:1H NMR (300 MHz, DMSO-d6) δ 12.57 (br s, 1H), 7.40-7.29 (m, 5H), 5.57 (br s, 1H), 5.11 (s, 2H), 4.33 (dd, J=7.8, 4.8 Hz, 1H), 2.77 (dd, J=15.6, 4.8 Hz, 1H), 2.61 (dd, J=15.6, 7.8 Hz, 1H); ESI MS m/z 223 [C11H12O5−H].
Preparation of (S)-2-Acetoxy-4-(benzyloxy)-4-oxobutanoic acid
Figure US10226456-20190312-C01121
A solution of (S)-4-(benzyloxy)-2-hydroxy-4-oxobutanoic acid (3.00 g, 13.4 mmol) in methylene chloride (15 mL) was treated with acetic acid (3 mL) and cooled in an ice bath under a nitrogen atmosphere. The solution was treated dropwise with acetyl chloride (1.05 mL, 14.8 mmol). After 15 min, the ice bath was removed, and the mixture was stirred at ambient temperature for 16 h. After this time, the reaction mixture was concentrated under reduced pressure and dried under vacuum to provide (S)-2-acetoxy-4-(benzyloxy)-4-oxobutanoic acid (4.12 g, quantitative) as a colorless oil:1H NMR (300 MHz, DMSO-d6) δ 7.39-7.33 (m, 5H), 5.25 (dd, J=8.1, 4.5 Hz, 1H), 5.14 (dd, J=14.4, 12.6 Hz, 2H), 3.00 (dd, J=16.5, 4.5 Hz, 1H), 2.89 (dd, J=16.5, 8.1 Hz, 1H), 2.02 (s, 3H), CO2H proton not observed.
Preparation of (S)-4-Benzyl 1-tert-butyl 2-acetoxysuccinate
Figure US10226456-20190312-C01122
A solution of (S)-2-acetoxy-4-(benzyloxy)-4-oxobutanoic acid (3.57 g, 13.4 mmol) in methylene chloride (60 mL) was treated with tert-butanol (4.5 mL, 47 mmol), N,N′-dicyclohexylcarbodiimide (4.30 g, 20.8 mmol), and 4-dimethylaminopyridine (462 mg, 3.78 mmol) and stirred under a nitrogen atmosphere for 5 h. After this time, the reaction mixture was filtered to remove the solid dicyclohexylurea byproduct. The solid was washed with diethyl ether, and the combined filtrate and washings were concentrated under reduced pressure. The crude residue was purified by column chromatography (silica gel, 0-20% ethyl acetate/heptanes) to provide (S)-4-benzyl 1-tert-butyl 2-acetoxysuccinate (2.78 g, 64%) as a colorless oil:1H NMR (300 MHz, DMSO-d6) δ 7.42-7.30 (m, 5H), 5.19-5.14 (m, 3H), 3.00-2.85 (m, 2H), 2.03 (s, 3H), 1.37 (s, 9H).
Preparation of (S)-3-Acetoxy-4-(tert-butoxy)-4-oxobutanoic acid
Figure US10226456-20190312-C01123
A solution of (S)-4-benzyl 1-tert-butyl 2-acetoxysuccinate (1.02 g, 3.16 mmol) in ethanol (30 mL) was sparged with nitrogen gas for 30 min. The solution was treated with 5% palladium on carbon (214 mg) and sparged with hydrogen gas for 5 min. The mixture was stirred under a hydrogen atmosphere for 2 h. After this time, the reaction mixture was sparged with nitrogen gas for 5 min and filtered through diatomaceous earth. The filtrate was concentrated under reduced pressure to provide (S)-3-acetoxy-4-(tert-butoxy)-4-oxobutanoic acid (731 mg, 99%) as a colorless oil:1H NMR (300 MHz, DMSO-d6) δ 12.74 (br s, 1H), 5.10 (dd, J=8.1, 4.8 Hz, 1H), 2.81-2.64 (m, 2H), 2.06 (s, 3H), 1.40 (s, 9H).
Preparation of (S)-1-tert-Butyl 4-(2,5-dioxopyrrolidin-1-yl) 2-acetoxysuccinate
Figure US10226456-20190312-C01124
A solution of (S)-3-acetoxy-4-(tert-butoxy)-4-oxobutanoic acid (725 mg, 3.12 mmol) in tetrahydrofuran (15 mL) was treated with N-hydroxysuccinimide (396 mg, 3.44 mmol) and N,N′-dicyclohexylcarbodiimide (709 mg, 3.44 mmol) and stirred under a nitrogen atmosphere for 6 h. After this time, the reaction mixture was filtered to remove the solid dicyclohexylurea byproduct. The solid was washed with diethyl ether, and the combined filtrate and washings were concentrated under reduced pressure to provide (S)-1-tert-butyl 4-(2,5-dioxopyrrolidin-1-yl) 2-acetoxysuccinate (1.25 g, quantitative) as an off-white solid:1H NMR (300 MHz, DMSO-d6) δ 5.28 (dd, J=7.5, 4.8 Hz, 1H), 3.39-3.22 (m, 2H), 2.82 (s, 4H), 2.08 (s, 3H), 1.41 (s, 9H).
Preparation of (S)-4-((4R,4aS,7aR,12bS)-9-((tert-Butoxycarbonyl)oxy)-4a-hydroxy-3-methyl-2,3,4,4a,5,7a-hexahydro-1H-4,12-methanobenzofuro[3,2-e]isoquinolin-7-yl) 1-tert-butyl 2-acetoxysuccinate
Figure US10226456-20190312-C01125
A solution of tert-butyl ((4R,4aS,7aR,12bS)-4a-hydroxy-3-methyl-7-oxo-2,3,4,4a,5,6,7,7a-octahydro-1H-4,12-methanobenzofuro[3,2-e]isoquinolin-9-yl) carbonate (660 mg, 1.64 mmol) in tetrahydrofuran (10 mL) was cooled to 0° C. and treated dropwise with a 1.0 M solution of lithium bis(trimethylsilyl)amide in tetrahydrofuran (1.8 mL, 1.8 mmol). After addition was complete, the mixture was stirred at 0° C. for 25 min and then at ambient temperature for 25 min. The mixture was re-cooled to −78° C., and a solution of (S)-1-tert-butyl 4-(2,5-dioxopyrrolidin-1-yl) 2-acetoxysuccinate (600 mg, 1.82 mmol) in tetrahydrofuran (5 mL) was added. The mixture was allowed to warm to 0° C. over 2 h. After this time, the mixture was treated with saturated aqueous ammonium chloride (10 mL) and extracted with ethyl acetate (2×25 mL). The combined organics were dried over sodium sulfate, filtered, and concentrated under reduced pressure. The crude residue was purified by column chromatography (40 g silica gel column, 0-20% methanol/methylene chloride, then 50 g C18 column, 10-100% acetonitrile/water) to provide (S)-4-((4R,4aS,7aR,12bS)-9-((tert-butoxycarbonyl)oxy)-4a-hydroxy-3-methyl-2,3,4,4a,5,7a-hexahydro-1H-4,12-methanobenzofuro[3,2-e]isoquinolin-7-yl) 1-tert-butyl 2-acetoxysuccinate (332 mg, 32%) as a white solid: ESI MS m/z 616 [C32H41NO11+H]+.
Preparation of (S)-2-Acetoxy-4-(((4R,4aS,7aR,12bS)-4a,9-dihydroxy-3-methyl-2,3,4,4a,5,7a-hexahydro-1H-4,12-methanobenzofuro[3,2-e]isoquinolin-7-yl)oxy)-4-oxobutanoic acid trifluoroacetic acid salt
Figure US10226456-20190312-C01126
A solution of (S)-4-((4R,4aS,7aR,12bS)-9-((tert-butoxycarbonyl)oxy)-4a-hydroxy-3-methyl-2,3,4,4a,5,7a-hexahydro-1H-4,12-methanobenzofuro[3,2-e]isoquinolin-7-yl) 1-tert-butyl 2-acetoxysuccinate (166 mg, 0.270 mmol) in methylene chloride (3 mL) was treated with trifluoroacetic acid (3 mL) and stirred under a nitrogen atmosphere at ambient temperature for 1 h. After this time, the reaction mixture was concentrated under reduced pressure. The residue was purified by reversed phase column chromatography (50 g C18 column, 0-100% acetonitrile/water with 0.1% trifluoroacetic acid) and freeze dried to provide (S)-2-acetoxy-4-(((4R,4aS,7aR,12bS)-4a,9-dihydroxy-3-methyl-2,3,4,4a,5,7a-hexahydro-1H-4,12-methanobenzofuro[3,2-e]isoquinolin-7-yl)oxy)-4-oxobutanoic acid trifluoroacetic acid salt (100 mg, 60%) as a fluffy white solid:1H NMR (300 MHz, DMSO-d6) δ 13.4 (br s, 1H), 9.29 (s, 1H), 9.14 (br s, 1H), 6.65 (apparent q, J=8.1 Hz, 2H), 6.24 (s, 1H), 5.55 (dd, J=5.7, 2.1 Hz, 1H), 5.28 (dd, J=8.4, 4.5 Hz, 1H), 4.96 (s, 1H), 3.12-2.94 (m, 4H), 2.84 (d, J=3.6 Hz, 3H), 2.67-2.42 (m, 4H), 2.27 (dd, J=17.7, 6.0 Hz, 1H), 2.09-2.03 (m, 4H), 1.63 (d, J=11.7 Hz, 1H); ESI MS m/z 460 [C23H25NO9+H]+; HPLC (Method A) 96.8% (AUC), tR=6.88 min.
Figure US10226456-20190312-C01127
Preparation of (S)-2-Acetoxy-2-phenylacetic acid
Figure US10226456-20190312-C01128
A solution of (S)-2-hydroxy-2-phenylacetic acid (16.4 g, 108 mmol) in acetic acid (30 mL) and water (1.3 mL) at 0° C. was treated dropwise with acetyl chloride (23.0 mL, 32.4 mmol). The reaction mixture was stirred at 0° C. for 1 h and then at room temperature for 18 h. After this time, the mixture was concentrated under reduced pressure, and the residue was dissolved in ethyl acetate, washed with water and brine, dried over sodium sulfate, filtered, and concentrated under reduced pressure to provide (S)-2-acetoxy-2-phenylacetic acid (22.0 g, 97%):1H NMR (300 MHz, CDCl3) δ 7.50-7.45 (m, 2H), 7.42-7.37 (m, 3H), 5.94 (s, 1H), 2.20 (s, 3H), CO2H proton not observed.
Preparation of (S)-2,5-Dioxopyrrolidin-1-yl 2-acetoxy-2-phenylacetate
Figure US10226456-20190312-C01129
A mixture of (S)-2-acetoxy-2-phenylacetic acid (6.50 g, 31.0 mmol) and N-hydroxysuccinimide (4.00 g, 34.8 mmol) in tetrahydrofuran (150 mL) at 0° C. was added N,N-dicyclohexylcarbodiimide (7.00 g, 33.9 mmol). The ice bath was removed, and the reaction mixture was stirred at ambient temperature for 4 h. After this time, diethyl ether (100 mL) was added, and the mixture was filtered. The filtrate was concentrated under reduced pressure to provide (S)-2,5-dioxopyrrolidin-1-yl 2-acetoxy-2-phenylacetate (10.0 g) that was used without purification:1H NMR (300 MHz, CDCl3) δ 7.57-7.52 (m, 2H), 7.46-7.43 (m, 3H), 6.33 (s, 1H), 2.80 (s, 4H), 2.20 (s, 3H).
Preparation of (S)-2-((S)-2-Acetoxy-2-phenylacetoxy)propanoic acid
Figure US10226456-20190312-C01130
A mixture of (S)-2,5-dioxopyrrolidin-1-yl 2-acetoxy-2-phenylacetate (3.40 g, 11.6 mmol), (S)-2-hydroxypropanoic acid (1.30 g, 14.4 mmol), pyridine (1.1 mL, 13.6 mmol), and 4-dimethylaminopyridine (100 mg, 0.8 mmol) in tetrahydrofuran (50 mL) was stirred at reflux for 18 h. After this time, the mixture was cooled to room temperature, partially concentrated under reduced pressure, diluted with ethyl acetate, and washed with 10% citric acid. The organic layer was extracted with saturated sodium bicarbonate. The aqueous extract was carefully treated with 2 N hydrochloric acid until acidic by pH paper analysis, and then extracted with ethyl acetate. The organic extracts were dried over sodium carbonate, filtered and concentrated. The residue was purified by reversed phase column chromatography (150 g C18 column, 5-100% acetonitrile/water) to provide (S)-2-((S)-2-acetoxy-2-phenylacetoxy)propanoic acid (1.15 g, 37%): ESI MS m/z 531 [2×(C13H14O6)−H].
Preparation of (S)-2,5-Dioxopyrrolidin-1-yl 2-((S)-2-acetoxy-2-phenylacetoxy)propanoate
Figure US10226456-20190312-C01131
A mixture of (S)-2-((S)-2-acetoxy-2-phenylacetoxy)propanoic acid (1.15 g, 4.32 mmol) and N-hydroxysuccinimide (545 mg, 4.74 mmol) in tetrahydrofuran (20 mL) was treated with N,N′-dicyclohexylcarbodiimide (975 mg, 4.74 mmol), and the reaction mixture was stirred at ambient temperature for 4 h. After this time, diethyl ether (20 mL) was added, and the mixture was filtered. The filtrate was concentrated under reduced pressure to provide (S)-2,5-dioxopyrrolidin-1-yl 2-((S)-2-acetoxy-2-phenylacetoxy)propanoate (1.64 g) that was used without purification:1H NMR (300 MHz, CDCl3) δ 7.50-7.46 (m, 2H), 7.42-7.35 (m, 3H), 5.99 (s, 1H), 5.49 (q, J=7.1 Hz, 1H), 2.79 (s, 4H), 2.19 (s, 3H), 1.68 (d, J=7.1 Hz, 3H).
Preparation of (S)-(4R,4aS,7aR,12bS)-9-((tert-Butoxycarbonyl)oxy)-4a-hydroxy-3-methyl-2,3,4,4a,5,7a-hexahydro-1H-4,12-methanobenzofuro[3,2-e]isoquinolin-7-yl 2-((S)-2-acetoxy-2-phenylacetoxy)propanoate
Figure US10226456-20190312-C01132
A solution of tert-butyl ((4R,4aS,7aR,12bS)-4a-hydroxy-3-methyl-7-oxo-2,3,4,4a,5,6,7,7a-octahydro-1H-4,12-methanobenzofuro[3,2-e]isoquinolin-9-yl) carbonate (400 mg, 1.00 mmol) in tetrahydrofuran (8 mL) was cooled to −10° C. and treated dropwise with a 1.0 M solution of lithium bis(trimethylsilyl)amidein tetrahydrofuran (1.1 mL, 1.1 mmol). After addition was complete, the mixture was stirred at ambient temperature for 10 min. The mixture was re-cooled to −10° C. and (S)-2,5-dioxopyrrolidin-1-yl 2-((S)-2-acetoxy-2-phenylacetoxy)propanoate (400 mg, 1.1 mmol) was added in one portion. The mixture was stirred at −10° C. to ambient temperature over 45 min. After this time, the reaction mixture was cooled in an ice bath, treated with saturated aqueous ammonium chloride, and extracted with ethyl acetate. The combined organics were dried over sodium sulfate, filtered, and concentrated under reduced pressure. The residue was purified by reverse phase column chromatography (50 g C18 column, 5-100% acetonitrile/water) to provide (S)-(4R,4aS,7aR,12bS)-9-((tert-butoxycarbonyl)oxy)-4a-hydroxy-3-methyl-2,3,4,4a,5,7a-hexahydro-1H-4,12-methanobenzofuro[3,2-e]isoquinolin-7-yl 2-((S)-2-acetoxy-2-phenylacetoxy)propanoate (257 mg, 40%): ESI MS m/z 650 [C35H3NO11+H]+.
Preparation of (S)-(4R,4aS,7aR,12bS)-4a,9-Dihydroxy-3-methyl-2,3,4,4a,5,7a-hexahydro-1H-4,12-methanobenzofuro[3,2-e]isoquinolin-7-yl 2-((S)-2-acetoxy-2-phenylacetoxy)propanoate trifluoroacetic acid salt
Figure US10226456-20190312-C01133
A solution of (S)-(4R,4aS,7aR,12bS)-9-((tert-butoxycarbonyl)oxy)-4a-hydroxy-3-methyl-2,3,4,4a,5,7a-hexahydro-1H-4,12-methanobenzofuro[3,2-e]isoquinolin-7-yl 2-((S)-2-acetoxy-2-phenylacetoxy)propanoate (250 mg, 0.38 mmol) in methylene chloride (6 mL) was treated with trifluoroacetic acid (2 mL) and stirred at ambient temperature for 2 h. After this time, the reaction mixture was concentrated under reduced pressure. The residue was purified by reversed phase column chromatography (50 g C18 column, 5-30% acetonitrile/water, with 0.1% trifluoracetic acid) and freeze dried to provide (S)-(4R,4aS,7aR,12bS)-4a,9-dihydroxy-3-methyl-2,3,4,4a,5,7a-hexahydro-1H-4,12-methanobenzofuro[3,2-e]isoquinolin-7-yl 2-((S)-2-acetoxy-2-phenylacetoxy)propanoate trifluoroacetic acid salt (95 mg, 35% over two steps) as a fluffy white solid:1H NMR (300 MHz, DMSO-d6) δ 9.30 (br s, 1H), 9.16 (br s, 1H), 7.53-7.49 (m, 2H), 7.42-7.39 (m, 3H), 6.68 (d, J=8.2 Hz, 1H), 6.63 (d, J=8.2 Hz, 1H), 6.25 (s, 1H), 6.06 (s, 1H), 5.46 (dd, J=5.9, 2.0 Hz, 1H), 5.26 (q, J=7.1 Hz, 1H), 4.79 (s, 1H), 6.61 (d, J=6.1 Hz, 1H), 3.36 (d, J=20.0 Hz, 1H), 3.12-3.01 (m, 2H), 2.87-2.82 (m, 3H), 2.69-2.57 (m, 1H), 2.41 (dd, J=13.2, 4.7 Hz, 1H), 2.26 (dd, J=18.0, 6.2 Hz, 1H), 2.13 (s, 3H), 2.03 (d, J=18.0 Hz, 1H), 1.59 (d, J=10.9 Hz, 1H), 1.50 (d, J=7.1 Hz, 3H); ESI MS m/z 550 [C30H31NO9+H]+; HPLC (Method A) 97.4% (AUC), tR=9.46 min.
Figure US10226456-20190312-C01134
Preparation of (S)-4-((1-(tert-Butoxy)-1-oxopropan-2-yl)oxy)-4-oxobutanoic acid
Figure US10226456-20190312-C01135
A solution of (S)-tert-butyl 2-hydroxypropanoate (3.40 g, 23.3 mmol) in tetrahydrofuran (50 mL) was cooled in an ice bath and treated with a 1.0 M solution of lithium bis(trimethylsilyl)amide in tetrahydrofuran (30.3 mL, 30.3 mmol) under a nitrogen atmosphere. After 10 min, the mixture was treated dropwise with a solution of succinic anhydride (2.80 g, 27.9 mmol) in tetrahydrofuran (25 mL) and stirred at 0° C. for 45 min. After this time, the reaction mixture was poured into saturated aqueous ammonium chloride and extracted with ethyl acetate. The combined organics were dried over sodium sulfate, filtered, and concentrated under reduced pressure. The crude residue was purified by column chromatography (silica gel, 0-20% methanol/methylene chloride) and triturated with ether, filtered, and concentrated under reduced pressure to provide (S)-4-((1-(tert-butoxy)-1-oxopropan-2-yl)oxy)-4-oxobutanoic acid (0.600 g, 10%) as a colorless oil:1H NMR (300 MHz, DMSO-d6) δ 12.18 (br s, 1H), 4.81 (q, J=7.2 Hz, 1H), 2.51-2.49 (m, 4H, partially obscured by solvent peak), 1.40 (s, 9H), 1.36 (d, J=7.2 Hz, 3H).
Preparation of (S)-1-(tert-Butoxy)-1-oxopropan-2-yl (2,5-dioxopyrrolidin-1-yl) succinate
Figure US10226456-20190312-C01136
A solution of (S)-4-((1-(tert-butoxy)-1-oxopropan-2-yl)oxy)-4-oxobutanoic acid (0.700 mg, 2.84 mmol) in tetrahydrofuran (12 mL) was treated with N-hydroxysuccinimide (0.459 mg, 3.98 mmol) and N,N′-dicyclohexylcarbodiimide (0.822 mg, 3.98 mmol) and stirred under a nitrogen atmosphere for 5 h. After this time, the reaction mixture was filtered to remove the solid dicyclohexylurea byproduct. The solid was washed with diethyl ether, and the combined filtrate and washings were concentrated under reduced pressure. The crude residue was triturated with diethyl ether. The resulting solid was isolated by filtration and washed with diethyl ether. The combined filtrate and washings were concentrated under reduced pressure to provide (S)-1-(tert-butoxy)-1-oxopropan-2-yl (2,5-dioxopyrrolidin-1-yl) succinate (0.900 g, 92%) as a yellow oil:1H NMR (300 MHz, CDCl3) δ 5.00 (q, J=7.2 Hz, 1H), 2.99-2.96 (m, 2H), 2.85-2.80 (m, 6H), 1.48-1.45 (m, 12H).
Preparation of (S)-1-(tert-Butoxy)-1-oxopropan-2-yl ((4R,4aS,7aR,12bS)-9-((tert-butoxycarbonyl)oxy)-4a-hydroxy-3-methyl-2,3,4,4a,5,7a-hexahydro-1H-4,12-methanobenzofuro[3,2-e]isoquinolin-7-yl) succinate
Figure US10226456-20190312-C01137
A solution of tert-butyl ((4R,4aS,7aR,12bS)-4a-hydroxy-3-methyl-7-oxo-2,3,4,4a,5,6,7,7a-octahydro-1H-4,12-methanobenzofuro[3,2-e]isoquinolin-9-yl) carbonate (500 mg, 1.25 mmol) in tetrahydrofuran (12 mL) was cooled to 0° C. and treated dropwise with a 1.0 M solution of lithium bis(trimethylsilyl)amidein tetrahydrofuran (1.46 mL, 1.46 mmol). After addition was complete, the mixture was stirred at 0° C. for 25 min and then at ambient temperature for 25 min. The mixture was re-cooled to −78° C., and (S)-1-(tert-butoxy)-1-oxopropan-2-yl (2,5-dioxopyrrolidin-1-yl) succinate (500 mg, 1.46 mmol) was added. The mixture was allowed to warm to 0° C. over 2 h. After this time, the mixture was treated with saturated aqueous ammonium chloride and extracted with ethyl acetate. The combined organics were dried over sodium sulfate, filtered, and concentrated under reduced pressure. The residue was purified by reversed phase column chromatography (150 g C18 column, 5-100% acetonitrile/water) to provide (S)-1-(tert-butoxy)-1-oxopropan-2-yl ((4R,4aS,7aR,12bS)-9-((tert-butoxycarbonyl)oxy)-4a-hydroxy-3-methyl-2,3,4,4a,5,7a-hexahydro-1H-4,12-methanobenzofuro[3,2-e]isoquinolin-7-yl) succinate (356 mg, 45%): ESI MS m/z 630 [C33H43NO11+H]+.
Preparation of (S)-2-((4-(((4R,4aS,7aR,12bS)-4a,9-Dihydroxy-3-methyl-2,3,4,4a,5,7a-hexahydro-1H-4,12-methanobenzofuro[3,2-e]isoquinolin-7-yl)oxy)-4-oxobutanoyl)oxy)propanoic acid trifluoroacetic acid salt
Figure US10226456-20190312-C01138
A solution of (S)-1-(tert-butoxy)-1-oxopropan-2-yl ((4R,4aS,7aR,12bS)-9-((tert-butoxycarbonyl)oxy)-4a-hydroxy-3-methyl-2,3,4,4a,5,7a-hexahydro-1H-4,12-methanobenzofuro[3,2-e]isoquinolin-7-yl) succinate (350 mg, 0.56 mmol) in methylene chloride (6 mL) was treated with trifluoroacetic acid (3 mL) and stirred at ambient temperature for 2 h. After this time, the reaction mixture was concentrated under reduced pressure. The residue was purified by reversed phase column chromatography (50 g C18 column, 5-30% acetonitrile/water, with 0.1% trifluoracetic acid) and freeze dried to provide (S)-2-((4-(((4R,4aS,7aR,12bS)-4a,9-dihydroxy-3-methyl-2,3,4,4a,5,7a-hexahydro-1H-4,12-methanobenzofuro[3,2-e]isoquinolin-7-yl)oxy)-4-oxobutanoyl)oxy)propanoic acid trifluoroacetic acid salt (186 mg, 52% over two steps) as a fluffy white solid:1H NMR (300 MHz, DMSO-d6) δ 13.05 (br s, 1H), 9.33 (br s, 1H), 9.18 (br s, 1H), 6.68 (d, J=8.2 Hz, 1H), 6.62 (d, J=8.2 Hz, 1H), 6.28 (s, 1H), 5.52 (dd, J=5.7, 1.8 Hz, 1H), 4.98-4.89 (m, 2H), 3.63 (d, J=6.2 Hz, 1H), 3.37 (d, J=19.9 Hz, 1H), 3.13-3.00 (m, 2H), 3.84 (s, 3H), 2.76-2.55 (m, 5H), 2.43 (dd, J=13.2, 4.6 Hz, 1H), 2.27 (dd, J=17.9, 6.1 Hz, 1H), 2.05 (d, J=16.2 Hz, 1H), 1.62 (d, J=11.0 Hz, 1H), 1.40 (d, J=7.1 Hz, 3H); ESI MS m/z 474 [C24H27NO9+H]+; HPLC (Method A) 96.8% (AUC), tR=7.28 min.
Figure US10226456-20190312-C01139
Preparation of (S)-4-((4R,4aS,7aR,12bS)-9-((tert-Butoxycarbonyl)oxy)-4a-hydroxy-3-methyl-2,3,4,4a,5,7a-hexahydro-1H-4,12-methanobenzofuro[3,2-e]isoquinolin-7-yl) 1-tert-butyl 2-((tert-butoxycarbonyl)amino)succinate
Figure US10226456-20190312-C01140
A solution of tert-butyl ((4R,4aS,7aR,12bS)-4a-hydroxy-3-methyl-7-oxo-2,3,4,4a,5,6,7,7a-octahydro-1H-4,12-methanobenzofuro[3,2-e]isoquinolin-9-yl) carbonate (870 g, 2.17 mmol) in tetrahydrofuran (15 mL) was cooled to 0° C. and treated dropwise with a 1.0 M solution of lithium bis(trimethylsilyl)amidein tetrahydrofuran (2.37 mL, 2.37 mmol). After addition was complete, the mixture was stirred at 0° C. for 25 min and then at ambient temperature for 25 min. The mixture was re-cooled to −78° C. and (S)-1-tert-butyl 4-(2,5-dioxopyrrolidin-1-yl) 2-((tert-butoxycarbonyl)amino)succinate (870 mg, 2.25 mmol) was added. The mixture was allowed to warm to 0° C. over 2 h. After this time, the mixture was treated with saturated aqueous ammonium chloride, and extracted with ethyl acetate. The combined organics were dried over sodium sulfate, filtered, and concentrated under reduced pressure. The residue was purified by reversed phase column chromatography (150 g C18 column, 5-100% acetonitrile/water) to provide (S)-4-((4R,4aS,7aR,12bS)-9-((tert-butoxycarbonyl)oxy)-4a-hydroxy-3-methyl-2,3,4,4a,5,7a-hexahydro-1H-4,12-methanobenzofuro[3,2-e]isoquinolin-7-yl) 1-tert-butyl 2-((tert-butoxycarbonyl)amino)succinate (610 mg, 38%): ESI MS m/z 673 [C35H48N2O11+H]+.
Preparation of (S)-1-tert-Butyl 4-((4R,4aS,7aR,12bS)-4a,9-dihydroxy-3-methyl-2,3,4,4a,5,7a-hexahydro-1H-4,12-methanobenzofuro[3,2-e]isoquinolin-7-yl) 2-aminosuccinate trifluoroacetic acid salt
Figure US10226456-20190312-C01141
A solution (S)-4-((4R,4aS,7aR,12bS)-9-((tert-butoxycarbonyl)oxy)-4a-hydroxy-3-methyl-2,3,4,4a,5,7a-hexahydro-1H-4,12-methanobenzofuro[3,2-e]isoquinolin-7-yl) 1-tert-butyl 2-((tert-butoxycarbonyl)amino)succinate (610 mg, 0.91 mmol) in methylene chloride (7 mL) was treated with trifluoroacetic acid (1 mL) and stirred at ambient temperature for 2 h. After this time, the reaction mixture was concentrated under reduced pressure to obtain (S)-1-tert-butyl 4-((4R,4aS,7aR,12bS)-4a,9-dihydroxy-3-methyl-2,3,4,4a,5,7a-hexahydro-1H-4,12-methanobenzofuro[3,2-e]isoquinolin-7-yl) 2-aminosuccinate trifluoroacetic acid salt (600 mg) that was used in the next step without purification: ESI MS m/z 473 [C25H32N2O7+H]+.
Preparation of (S)-1-tert-Butyl 4-((4R,4aS,7aR,12bS)-4a,9-dihydroxy-3-methyl-2,3,4,4a,5,7a-hexahydro-1H-4,12-methanobenzofuro[3,2-e]isoquinolin-7-yl) 2-((S)-2-acetoxypropanamido)succinate
Figure US10226456-20190312-C01142
A mixture of (S)-1-tert-butyl 4-((4R,4aS,7aR,12bS)-4a,9-dihydroxy-3-methyl-2,3,4,4a,5,7a-hexahydro-1H-4,12-methanobenzofuro[3,2-e]isoquinolin-7-yl) 2-aminosuccinate trifluoroacetic acid salt (600 mg) and (S)-2,5-dioxopyrrolidin-1-yl 2-acetoxypropanoate (230 mg, 1.00 mmol) in tetrahydrofuran (8 mL) was treated with N,N-diisopropylethylamine (0.6 mL, 3.44 mmol). The reaction mixture was stirred at room temperature for 1 h. After this time, the mixture was diluted with ethyl acetate and washed with water and brine. The organic extracts were dried over sodium sulfate, filtered, and concentrated. The residue was purified by reversed phase column chromatography (15.5 g C18 column, 5-100% acetonitrile/water) to provide (S)-1-tert-butyl 4-((4R,4aS,7aR,12bS)-4a,9-dihydroxy-3-methyl-2,3,4,4a,5,7a-hexahydro-1H-4,12-methanobenzofuro[3,2-e]isoquinolin-7-yl) 2-((S)-2-acetoxypropanamido)succinate (135 mg, 26%): ESI MS m/z 587 [C30H36N2O10+H]+.
Preparation of (S)-2-((S)-2-Acetoxypropanamido)-4-(((4R,4aS,7aR,12bS)-4a,9-dihydroxy-3-methyl-2,3,4,4a,5,7a-hexahydro-1H-4,12-methanobenzofuro[3,2-e]isoquinolin-7-yl)oxy)-4-oxobutanoic acid trifluoroacetic acid salt
Figure US10226456-20190312-C01143
A solution of (S)-1-tert-butyl 4-((4R,4aS,7aR,12bS)-4a,9-dihydroxy-3-methyl-2,3,4,4a,5,7a-hexahydro-1H-4,12-methanobenzofuro[3,2-e]isoquinolin-7-yl) 2-((S)-2-acetoxypropanamido)succinate (135 mg, 0.230 mmol) in methylene chloride (5 mL) was treated with trifluoroacetic acid (1.5 mL) and stirred at room temperature for 3 h. After this time, the mixture was concentrated. The residue was purified by reversed phase column chromatography (15.5 g C18 column, 3-25% acetonitrile/water, with 0.1% trifluoracetic acid) and freeze dried to provide (S)-2-((S)-2-acetoxypropanamido)-4-(((4R,4aS,7aR,12bS)-4a,9-dihydroxy-3-methyl-2,3,4,4a,5,7a-hexahydro-1H-4,12-methanobenzofuro[3,2-e]isoquinolin-7-yl)oxy)-4-oxobutanoic acid trifluoroacetic acid salt (92 mg, 62%):1H NMR (300 MHz, DMSO-d6) δ 9.28 (br s, 1H), 9.16 (br s, 1H), 8.45 (d, J=8.3 Hz, 1H), 6.68 (d, J=8.2 Hz, 1H), 6.63 (d, J=8.2 Hz, 1H), 6.24 (s, 1H), 5.52 (dd, J=5.9, 1.9 Hz, 1H), 4.98 (q, J=6.8 Hz, 1H), 4.93 (s, 1H), 4.65 (q, J=6.9 Hz, 1H), 3.61 (d, J=6.3 Hz, 1H), 3.11-2.93 (m, 3H), 2.91-2.74 (m, 4H), 2.70-2.58 (m, 1H), 2.48-2.39 (m, 1H), 2.28 (dd, J=17.7, 6.2 Hz, 1H), 2.06 (d, J=14.0 Hz, 1H), 1.62 (d, J=11.0 Hz, 1H), 1.33 (d, J=6.9 Hz, 3H), CO2H proton not observed, four protons obscured by solvent peaks; ESI MS m/z 531 [C26H30N2O10+H]+; HPLC (Method A) 95.2% (AUC), tR=7.00 min.
Figure US10226456-20190312-C01144
Figure US10226456-20190312-C01145
Preparation of (2S,2′S)-O′4, O4-((4R,4aS,7aR,12bS)-9-((tert-Butoxycarbonyl)oxy)-3-methyl-2,3,4,4a,5,7a-hexahydro-1H-4, 12-methanobenzofuro[3,2-e]isoquinolin-4a,7-diyl) 1-di-tert-butyl bis(2-((tert butoxycarbonyl)amino)succinate)
Figure US10226456-20190312-C01146
A solution of tert-butyl ((4R,4aS,7aR,12bS)-4a-hydroxy-3-methyl-7-oxo-2,3,4,4a,5,6,7,7a-octahydro-1H-4,12-methanobenzofuro[3,2-e]isoquinolin-9-y) carbonate (1.60 g, 3.99 mmol) in tetrahydrofuran (25 mL) was cooled in an ice bath and treated dropwise with a 1.0 M solution of lithium bis(trimethylsilyl)amidein tetrahydrofuran (8.5 mL, 8.5 mmol). After addition was complete, the mixture was stirred at ambient temperature for 10 min. The mixture was re-cooled to 0° C., and (S)-1-tert-butyl 4-(2,5-dioxopyrrolidin-1-yl) 2-((tert-butoxycarbonyl)amino)succinate (3.10 g, 8.0 mmol) was added in one portion. The mixture was stirred at 0° C. for 30 min and then at ambient temperature for 30 min. After this time, the reaction mixture was cooled in an ice bath, treated with saturated aqueous ammonium chloride, and extracted with ethyl acetate. The combined organics were dried over sodium sulfate, filtered, and concentrated under reduced pressure. The residue was purified by reverse phase column chromatography (150 g C18 column, 5-100% acetonitrile/water) to provide (2S,2′S)-O′4, O4-((4R,4aS,7aR,12bS)-9-((tert-butoxycarbonyl)oxy)-3-methyl-2,3,4,4a,5,7a-hexahydro-1H-4,12-methanobenzofuro[3,2-e]isoquinoline-4a,7-diyl) 1-di-tert-butyl bis(2-((tert-butoxycarbonyl)amino)succinate) (1.95 g, 52%): ESI MS m/z 944 [C4H69N3O16+H]+.
Preparation of (2S,2′S)-1-di-tert-Butyl O′4,O′-((4R,4aS,7aR,12bS)-9-Hydroxy-3-methyl-2,3,4,4a,5,7a-hexahydro-1H-4,12-methanobenzofuro[3,2-e]isoquinoline-4a,7-diyl) bis(2-aminosuccinate) trifluoroacetic acid salt
Figure US10226456-20190312-C01147
A solution of (2S,2′S)-O′4,O4-((4R,4aS,7aR,12bS)-9-((tert-butoxycarbonyl)oxy)-3-methyl-2,3,4,4a,5,7a-hexahydro-1H-4,12-methanobenzofuro[3,2-e]isoquinoline-4a,7-diyl) 1-di-tert-butyl bis(2-((tert-butoxycarbonyl)amino)succinate) (1.22 g, 1.29 mmol) in methylene chloride (15 mL) was treated with trifluoroacetic acid (2.5 mL) and stirred at ambient temperature for 2.5 h. After this time, the reaction mixture was concentrated under reduced pressure to provide (2S,2′S)-1-di-tert-butyl O′4,O4-((4R,4aS,7aR,12bS)-9-hydroxy-3-methyl-2,3,4,4a,5,7a-hexahydro-1H-4,12-methanobenzofuro[3,2-e]isoquinoline-4a,7-diyl) bis(2-aminosuccinate) trifluoroacetic acid salt (900 mg) that was used without purification: ESI MS m/z 644 [C33H45N3O10+H]+.
Preparation of (S,2S,2′S)-1-Di-tert-butyl O′,O′4-((4R,4aS,7aR,12bS)-9-Hydroxy-3-methyl-2,3,4,4a,5,7a-hexahydro-1H-4,12-methanobenzofuro[3,2-e]isoquinoline-4a,7-diyl) bis(2-((S)-2-((tert-butoxycarbonyl)oxy)-2-phenylacetamido)succinate)
Figure US10226456-20190312-C01148
A mixture of (2S,2′S)-1-di-tert-butyl O′4,O4-((4R,4aS,7aR,12bS)-9-hydroxy-3-methyl-2,3,4,4a,5,7a-hexahydro-1H-4,12-methanobenzofuro[3,2-e]isoquinoline-4a,7-diyl) bis(2-aminosuccinate) trifluoroacetic acid salt (590 mg, 0.60 mmol) and (S)-2,5-dioxopyrrolidin-1-yl 2-((tert-butoxycarbonyl)oxy)-2-phenylacetate (560 mg, 1.59 mmol) in tetrahydrofuran (7 mL) was treated with N,N-diisopropylethylamine (0.90 mL, 5.2 mmol) and stirred at room temperature for 2.5 h. After this time, the reaction mixture was diluted with ethyl acetate and washed with water and brine. The organic extracts were dried over sodium sulfate, filtered, and concentrated under reduced pressure. The residue was purified by reversed phase column chromatography (50 g C18 column, 5-100% acetonitrile/water) to provide (S,2S,2′S)-1-di-tert-butyl O′4,O4-((4R,4aS,7aR,12bS)-9-hydroxy-3-methyl-2,3,4,4a,5,7a-hexahydro-1H-4,12-methanobenzofuro[3,2-e]isoquinoline-4a,7-diyl) bis(2-((S)-2-((tert-butoxycarbonyl)oxy)-2-phenylacetamido)succinate) (100 mg, 15%): ESI MS m/z 1112 [C59H73N3O18+H]+.
Preparation of (S,2S,2′S)-4,4′-(((4R,4aS,7aR,12bS)-9-Hydroxy-3-methyl-2,3,4,4a,5,7a-hexahydro-1H-4,12-methanobenzofuro[3,2-e]isoquinoline-4a,7-diyl)bis(oxy))bis(2-((S)-2-hydroxy-2-phenylacetamido)-4-oxobutanoic acid) trifluoroacetic acid salt
Figure US10226456-20190312-C01149
A solution of (S,2S,2′S)-1-di-tert-butyl O′4,O4-((4R,4aS,7aR,12bS)-9-hydroxy-3-methyl-2,3,4,4a,5,7a-hexahydro-1H-4,12-methanobenzofuro[3,2-e]isoquinoline-4a,7-diyl) bis(2-((S)-2-((tert-butoxycarbonyl)oxy)-2-phenylacetamido)succinate) (100 mg, 0.09 mmol) in methylene chloride (5 mL) was treated with trifluoroacetic acid (1.5 mL) and stirred at ambient temperature for 4 h. After this time, the reaction mixture was concentrated under reduced pressure. The residue was purified by reversed phase column chromatography (15.5 g C18 column, 3-30% acetonitrile/water, with 0.1% trifluoracetic acid) and freeze dried to provide (S,2S,2′S)-4,4′-(((4R,4aS,7aR,12bS)-9-hydroxy-3-methyl-2,3,4,4a,5,7a-hexahydro-1H-4,12-methanobenzofuro[3,2-e]isoquinoline-4a,7-diyl)bis(oxy))bis(2-((S)-2-hydroxy-2-phenylacetamido)-4-oxobutanoic acid) trifluoroacetic acid salt (18 mg, 22%):1H NMR (300 MHz, DMSO-d6, Mixture of diastereomers) δ 9.35 (s, 1H), 8.48 (d, J=8.4 Hz, 0.18H), 8.43 (d, J=8.3 Hz, 0.82H), 8.25 (d, J=7.2 Hz, 1H), 7.44-7.17 (m, 10H), 6.69 (d, J=8.2 Hz, 1H), 6.63 (d, J=8.2 Hz, 1H), 6.41-6.30 (m, 2H), 5.34 (d, J=5.9 Hz, 0.18H), 5.25 (d, J=4.5 Hz, 0.82H), 5.00-4.89 (m, 3H), 4.74-4.47 (m, 3H), 3.18-2.94 (m, 4H), 2.93-2.67 (m, 8H), 2.45-2.43 (m, 2H), 2.09-1.98 (m, 1H), 1.73-1.61 (m, 1H), CO2H protons not observed; ESI MS m/z 800 [C41H41N3O14+H]+; HPLC (Method A) 94.4% (AUC), tR=8.52 min.
Figure US10226456-20190312-C01150
Figure US10226456-20190312-C01151
Preparation of (R)-2-(2,2-Dimethyl-5-oxo-1,3-dioxolan-4-yl)acetic acid
Figure US10226456-20190312-C01152
A solution of (R)-malic acid (4.50 g, 33.6 mmol), 2-methoxyprop-1-ene (9.68 g, 134 mmol) and pyridinium p-toluenesulfonate (844 mg, 3.36 mmol) in acetone (50 mL) was stirred at 35° C. for 16 h. After this time, water (200 mL) was added, and the aqueous solution was extracted with ethyl acetate (2×200 mL). The combined organics were dried over sodium sulfate, filtered, and concentrated under reduced pressure. The residue was recrystallized from ethyl acetate/heptane to provide (R)-2-(2,2-dimethyl-5-oxo-1,3-dioxolan-4-yl)acetic acid (2.92 g, 50%) as an off-white solid:1H NMR (300 MHz, DMSO-d6) δ 4.72 (dd, J=6.6, 3.9 Hz, 1H), 3.01 (dd, J=17.4, 3.9 Hz, 1H), 2.86 (dd, J=17.4, 6.6 Hz, 1H), 1.63 (s, 3H), 1.58 (s, 3H), CO2H proton not observed.
Preparation of (R)-tert-Butyl 2-(2,2-dimethyl-5-oxo-1,3-dioxolan-4-yl)acetate
Figure US10226456-20190312-C01153
A solution of (R)-2-(2,2-dimethyl-5-oxo-1,3-dioxolan-4-yl)acetic acid (2.92 g, 16.8 mmol) and tert-butanol (1.86 g, 25.2 mmol) in methylene chloride (40 mL) was treated with N,N′-dicyclohexylcarbodiimide (4.16 g, 20.2 mmol) and 4-(dimethylamino)pyridine (616 mg, 5.04 mmol) and stirred at room temperature under a nitrogen atmosphere for 4 h. After this time, the reaction mixture was filtered to remove the solid dicyclohexylurea byproduct. The solid was washed with diethyl ether (100 mL), and the combined filtrate and washings were concentrated under reduced pressure. The crude residue was purified by column chromatography (80 g silica gel column, 0-30% ethyl acetate/heptane) to provide (R)-tert-butyl 2-(2,2-dimethyl-5-oxo-1,3-dioxolan-4-yl)acetate (3.19 g, 82%) as a white solid:1H NMR (300 MHz, CDCl3) δ 4.66 (dd, J=6.0, 3.9 Hz, 1H), 2.84 (dd, J=17.1, 4.2 Hz, 1H), 2.72 (dd, J=16.8, 6.3 Hz, 1H), 1.63 (s, 3H), 1.56 (s, 3H), 1.47 (s, 9H).
Preparation of (R)-4-(tert-Butoxy)-2-hydroxy-4-oxobutanoic acid
Figure US10226456-20190312-C01154
A solution of (R)-tert-butyl 2-(2,2-dimethyl-5-oxo-1,3-dioxolan-4-yl)acetate (3.19 g, 13.9 mmol) in acetic acid (21 mL) and water (9 mL) was stirred at 60° C. for 4 h. After this time, the solvent was removed under reduced pressure. The residue was dried under vacuum to provide (R)-4-(tert-butoxy)-2-hydroxy-4-oxobutanoic acid (2.81 g) as a colorless oil:1H NMR (300 MHz, DMSO-d6) δ 4.48 (dd, J=5.7, 5.4 Hz, 1H), 2.83 (m, 2H), 1.48 (m, 9H), CO2H and OH protons not observed.
Preparation of (R)-2-Acetoxy-4-(tert-butoxy)-4-oxobutanoic acid
Figure US10226456-20190312-C01155
(R)-4-(tert-Butoxy)-2-hydroxy-4-oxobutanoic acid (2.81 g, 14.8 mmol), acetyl chloride (1.28 g, 16.3 mmol), N,N-diisopropylethylamine (5.74 g, 44.4 mmol), and methylene chloride (150 mL) were combined at 0° C. and then stirred at room temperature under a nitrogen atmosphere for 4 h. After this time, 10% aqueous citric acid (100 mL) was added. The organic layer was separated and extracted with methylene chloride (2×100 mL). The combined organics were washed with brine (50 mL), dried over sodium sulfate, filtered, and concentrated under reduced pressure to provide (R)-2-acetoxy-4-(tert-butoxy)-4-oxobutanoic acid (3.44 g) as a black oil, which was used without purification.
Preparation of (R)-Di-tert-butyl 2-acetoxysuccinate
Figure US10226456-20190312-C01156
A solution of (R)-2-acetoxy-4-(tert-butoxy)-4-oxobutanoic acid (3.44 g, 14.8 mmol) and tert-butanol (2.41 g, 32.6 mmol) in methylene chloride (70 mL) was treated with N,N′-dicyclohexylcarbodiimide (3.69 g, 19.2 mmol) and 4-(dimethylamino)pyridine (597 mg, 4.88 mmol) and stirred at room temperature under a nitrogen atmosphere for 16 h. After this time, the reaction mixture was filtered to remove the solid dicyclohexylurea byproduct. The solid was washed with diethyl ether (100 mL), and the combined filtrate and washings were concentrated under reduced pressure. The crude residue was purified by column chromatography (80 g silica gel column, 0-30% ethyl acetate/heptane) to provide (R)-di-tert-butyl 2-acetoxysuccinate (1.70 g, 40%) as a colorless oil:1H NMR (300 MHz, CDCl3) δ 5.30 (dd, J=7.5, 5.4 Hz, 1H), 2.75 (m, 2H), 2.12 (s, 3H), 1.46 (s, 18H).
Preparation of (R)-Di-tert-butyl 2-hydroxysuccinate
Figure US10226456-20190312-C01157
(R)-Di-tert-butyl 2-acetoxysuccinate (1.70 g, 5.90 mmol), potassium carbonate (2.44 g, 17.7 mmol), methanol (90 mL) and water (15 mL) were combined and stirred at 0° C. for 3 h. After this time, water (200 mL) was added, and the aqueous solution was extracted with methylene chloride (2×200 mL). The combined organics were washed with brine (50 mL), dried over sodium sulfate, filtered, and concentrated under reduced pressure to provide (R)-di-tert-butyl 2-hydroxysuccinate (1.16 g, 80%) as a white solid:1H NMR (300 MHz, CDCl3) δ 4.30 (dd, J=10.2, 5.7 Hz, 1H), 3.19 (d, J=5.4 Hz, 1H), 2.75-2.66 (m, 2H), 1.47 (s, 9H), 1.45 (s, 9H).
Preparation of (R)-4-((1,4-Di-tert-butoxy-1,4-dioxobutan-2-yl)oxy)-4-oxobutanoic acid
Figure US10226456-20190312-C01158
(R)-Di-tert-butyl 2-hydroxysuccinate (1.16 g, 4.71 mmol), dihydrofuran-2,5-dione (1.41 g, 14.1 mmol), N,N-diisopropylethylamine (1.82 g, 14.1 mmol), and methylene chloride (30 mL) were combined and stirred at room temperature under a nitrogen atmosphere for 16 h. After this time, 10% aqueous citric acid (100 mL) was added. The organic layer was separated and extracted with methylene chloride (2×50 mL). The combined organics were washed with brine (50 mL), dried over sodium sulfate, filtered, and concentrated under reduced pressure to provide (R)-4-((1,4-di-tert-butoxy-1,4-dioxobutan-2-yl)oxy)-4-oxobutanoic acid (2.05 g) as a brown oil:1H NMR (300 MHz, CDCl3) δ 5.32 (dd, J=7.5, 5.1 Hz, 1H), 2.77-2.66 (m, 6H), 1.45 (s, 18H), CO2H proton not observed.
Preparation of (R)-Di-tert-butyl 2-((4-((2,5-dioxopyrrolidin-1-yl)oxy)-4-oxobutanoyl)oxy)succinate
Figure US10226456-20190312-C01159
A solution of (R)-4-((1,4-di-tert-butoxy-1,4-dioxobutan-2-yl)oxy)-4-oxobutanoic acid (2.05 g, 5.92 mmol) in tetrahydrofuran (60 mL) was treated with N-hydroxysuccinimide (681 mg, 5.92 mmol) and N,N′-dicyclohexylcarbodiimide (1.22 g, 5.92 mmol) and stirred under a nitrogen atmosphere for 5 h. After this time, the reaction mixture was filtered to remove the solid dicyclohexylurea byproduct. The solid was washed with diethyl ether (100 mL), and the combined filtrate and washings were concentrated under reduced pressure. The residue was triturated with diethyl ether to provide (R)-di-tert-butyl 2-((4-((2,5-dioxopyrrolidin-1-yl)oxy)-4-oxobutanoyl)oxy)succinate (2.75 g) as a brown oil:1H NMR (300 MHz, CDCl3) δ 5.34 (dd, J=6.9, 5.7 Hz, 1H), 3.01-2.96 (m, 2H), 2.87-2.70 (m, 8H), 1.45 (s, 18H).
Preparation (R)-Di-tert-butyl 2-((4-(((4R,4aS,7aR,12bS)-9-((tert-butoxycarbonyl)oxy)-4a-hydroxy-3-methyl-2,3,4,4a,5,7a-hexahydro-1H-4,12-methanobenzofuro[3,2-e]isoquinolin-7-yl)oxy)-4-oxobutanoyl)oxy)succinate
Figure US10226456-20190312-C01160
A solution of tert-butyl ((4R,4aS,7aR,12bS)-4a-hydroxy-3-methyl-7-oxo-2,3,4,4a,5,6,7,7a-octahydro-1H-4,12-methanobenzofuro[3,2-e]isoquinolin-9-yl) carbonate (500 mg, 1.25 mmol) in tetrahydrofuran (10 mL) was cooled in an ice bath and treated dropwise with a 1.0 M solution of lithium bis(trimethylsilyl)amide in tetrahydrofuran (1.5 mL, 1.5 mmol). After addition was complete, the mixture was stirred at ambient temperature for 15 min. The mixture was re-cooled to −45° C. and treated dropwise with a solution of (R)-di-tert-butyl 2-((4-((2,5-dioxopyrrolidin-1-yl)oxy)-4-oxobutanoyl)oxy)succinate (608 mg, 1.37 mmol) in tetrahydrofuran (5 mL). After addition was complete, the mixture was warmed to 0° C. After this time, the reaction mixture was treated with saturated aqueous ammonium chloride (20 mL) and extracted with ethyl acetate (2×25 mL). The combined organics were dried over sodium sulfate, filtered, and concentrated under reduced pressure. The crude residue was purified by column chromatography (40 g silica gel column, 0-20% methanol/methylene chloride, then 50 g C18 column, 10-100% acetonitrile/water) to provide (R)-di-tert-butyl 2-((4-(((4R,4aS,7aR,12bS)-9-((tert-butoxycarbonyl)oxy)-4a-hydroxy-3-methyl-2,3,4,4a,5,7a-hexahydro-1H-4,12-methanobenzofuro[3,2-e]isoquinolin-7-yl)oxy)-4-oxobutanoyl)oxy)succinate (100 mg, 11%) as a white solid: ESI MS m/z 730 [C36H51NO13+H]+.
Preparation of (R)-2-((4-(((4R,4aS,7aR,12bS)-4a,9-Dihydroxy-3-methyl-2,3,4,4a,5,7a-hexahydro-1H-4,12-methanobenzofuro[3,2-e]isoquinolin-7-yl)oxy)-4-oxobutanoyl)oxy)succinic acid trifluoroacetic acid salt
Figure US10226456-20190312-C01161
A solution of (R)-di-tert-butyl 2-((4-(((4R,4aS,7aR,12bS)-9-((tert-butoxycarbonyl)oxy)-4a-hydroxy-3-methyl-2,3,4,4a,5,7a-hexahydro-1H-4,12-methanobenzofuro[3,2-e]isoquinolin-7-yl)oxy)-4-oxobutanoyl)oxy)succinate (100 mg, 0.137 mmol) in methylene chloride (2 mL) was treated with trifluoroacetic acid (1 mL) and stirred under a nitrogen atmosphere at ambient temperature for 1 h. After this time, the reaction mixture was concentrated under reduced pressure. The residue was purified by reversed phase column chromatography (50 g C18 column, 0-100% acetonitrile/water with 0.1% trifluoroacetic acid) and freeze dried to provide (R)-2-((4-(((4R,4aS,7aR,12bS)-4a,9-dihydroxy-3-methyl-2,3,4,4a,5,7a-hexahydro-1H-4,12-methanobenzofuro[3,2-e]isoquinolin-7-yl)oxy)-4-oxobutanoyl)oxy)succinic acid trifluoroacetic acid salt (48 mg, 55%) as a fluffy white solid:1H NMR (300 MHz, DMSO-d6) δ 13.2 (br s, 1H), 12.6 (br s, 1H), 9.30 (s, 1H), 9.17 (br s, 1H), 6.64 (q, J=8.1 Hz, 2H), 6.24 (br s, 1H), 5.53 (dd, J=6.3, 2.1 Hz, 1H), 5.22 (dd, J=7.8, 4.5 Hz, 1H), 4.95 (s, 1H), 3.41-3.32 (m, 1H), 3.04 (m, 1H), 2.86-2.61 (m, 10H), 2.51-2.42 (m, 3H), 2.26 (m, 1H), 2.06 (d, J=18.0 Hz, 1H), 1.62 (d, J=10.8 Hz, 1H); ESI MS m/z 518 [C25H27NO11+H]+; HPLC (Method A) 95.3% (AUC), tR=6.81 min.
Figure US10226456-20190312-C01162
Preparation of (S)-1-tert-Butyl 4-((4R,4aS,7aR,12bS)-4a,9-dihydroxy-3-methyl-2,3,4,4a,5,7a-hexahydro-1H-4,12-methanobenzofuro[3,2-e]isoquinolin-7-yl) 2-((S)-2-((tert-butoxycarbonyl)oxy)-2-phenylacetamido)succinate
Figure US10226456-20190312-C01163
A mixture of (S)-1-tert-butyl 4-((4R,4aS,7aR,12bS)-4a,9-dihydroxy-3-methyl-2,3,4,4a,5,7a-hexahydro-1H-4,12-methanobenzofuro[3,2-e]isoquinolin-7-yl) 2-aminosuccinate trifluoroacetic acid salt (490 mg, 0.70 mmol) and (S)-2,5-dioxopyrrolidin-1-yl 2-((tert-butoxycarbonyl)oxy)-2-phenylacetate (315 mg, 0.901 mmol) in tetrahydrofuran (8 mL) was treated with N,N-diisopropylethylamine (0.60 mL, 3.4 mmol) and stirred at room temperature for 1 h. After this time, the reaction mixture was diluted with ethyl acetate and washed with water and brine. The organic extracts were dried over sodium sulfate, filtered, and concentrated. The residue was purified by reversed phase column chromatography (50 g C18 column, 5-100% acetonitrile/water) to provide (S)-1-tert-butyl 4-((4R,4aS,7aR,12bS)-4a,9-dihydroxy-3-methyl-2,3,4,4a,5,7a-hexahydro-1H-4,12-methanobenzofuro[3,2-e]isoquinolin-7-yl) 2-((S)-2-((tert-butoxycarbonyl)oxy)-2-phenylacetamido)succinate (160 mg, 30%): ESI MS m/z 707 [C36H46N2O11+H]+.
Preparation of (S)-4-(((4R,4aS,7aR,12bS)-4a,9-Dihydroxy-3-methyl-2,3,4,4a,5,7a-hexahydro-1H-4,12-methanobenzofuro[3,2-e]isoquinolin-7-yl)oxy)-2-((S)-2-hydroxy-2-phenylacetamido)-4-oxobutanoic acid trifluoroacetic acid salt and (S)-1-tert-Butyl 4-((4R,4aS,7aR,12bS)-4a,9-dihydroxy-3-methyl-2,3,4,4a,5,7a-hexahydro-1H-4,12-methanobenzofuro[3,2-e]isoquinolin-7-yl) 2-((S)-2-hydroxy-2-phenylacetamido)succinate trifluoroacetic acid salt
Figure US10226456-20190312-C01164
A solution of (S)-1-tert-butyl 4-((4R,4aS,7aR,12bS)-4a,9-dihydroxy-3-methyl-2,3,4,4a,5,7a-hexahydro-1H-4,12-methanobenzofuro[3,2-e]isoquinolin-7-yl) 2-((S)-2-((tert-butoxycarbonyl)oxy)-2-phenylacetamido)succinate (160 mg, 0.23 mmol) in methylene chloride (7 mL) was treated with trifluoroacetic acid (1 mL) and stirred at room temperature for 1.5 h. After this time, the mixture was concentrated. The residue was purified by reversed phase column chromatography (15.5 g C18 column, 3-30% acetonitrile/water, with 0.1% trifluoracetic acid) and freeze dried to provide (S)-4-(((4R,4aS,7aR,12bS)-4a,9-dihydroxy-3-methyl-2,3,4,4a,5,7a-hexahydro-1H-4,12-methanobenzofuro[3,2-e]isoquinolin-7-yl)oxy)-2-((S)-2-hydroxy-2-phenylacetamido)-4-oxobutanoic acid trifluoroacetic acid salt (33 mg, 20%) as a white solid:1H NMR (300 MHz, DMSO-d6) δ 13.01 (br s, 1H), 9.30 (br s, 1H), 9.15 (br s, 1H), 8.37 (d, J=8.3 Hz, 1H), 7.46-7.18 (m, 5H), 6.68 (d, J=8.1 Hz, 1H), 6.62 (d, J=8.1 Hz, 1H), 6.38 (br s, 1H), 6.21 (s, 1H), 5.35 (d, J=4.2 Hz, 1H), 4.96 (s, 1H), 4.89 (s, 1H), 4.67 (q, J=6.3 Hz, 1H), 3.64-3.58 (m, 1H), 3.18-2.79 (m, 8H), 2.77-2.60 (m, 2H), 2.30-2.18 (dd, J=17.6, 6.1 Hz, 1H), 2.03 (d, J=18.32 Hz, 1H), 1.62 (d, J=12.2 Hz, 1H);ESI MS m/z 551 [C29H30N2O9+H]+; HPLC (Method A) 89.8% (AUC), tR=7.45 min; and (S)-1-tert-butyl 4-((4R,4aS,7aR,12bS)-4a,9-dihydroxy-3-methyl-2,3,4,4a,5,7a-hexahydro-1H-4,12-methanobenzofuro[3,2-e]isoquinolin-7-yl) 2-((S)-2-hydroxy-2-phenylacetamido)succinate trifluoroacetic acid salt (23 mg, 13%) as a white solid:1H NMR (300 MHz, DMSO-d6) δ 9.29 (br s, 1H), 9.14 (br s, 1H), 8.41 (d, J=8.1 Hz, 1H), 7.43-7.38 (m, 2H), 7.34-7.24 (m, 3H), 6.68 (d, J=8.1 Hz, 1H), 6.63 (d, J=8.1 Hz, 1H), 6.32 (br s, 1H), 6.22 (s, 1H), 5.41-5.39 (m, 1H), 4.96 (s, 1H), 4.90 (s, 1H), 4.61-4.52 (m, 1H), 3.63-3.59 (m, 1H), 3.12-2.95 (m, 3H), 2.88-2.78 (m, 4H), 2.70-2.59 (m, 1H), 2.45-2.40 (m, 1H), 2.25 (dd, J=17.5, 6.3 Hz, 1H), 2.04 (d, J=18.6 Hz, 1H), 1.62 (d, J=11.6 Hz, 1H), 1.33 (s, 9H), one proton obscured by solvent peaks; ESI MS m/z 607 [C33H38N2O9+H]+; HPLC (Method A) 97.0% (AUC), tR=9.05 min.
Figure US10226456-20190312-C01165
Preparation of (S)-2-(((S)-2-Acetoxy-4-(tert-butoxy)-4-oxobutanoyl)oxy)propanoic acid
Figure US10226456-20190312-C01166
(S)-Lactic acid (109 mg, 1.21 mmol), (S)-4-tert-butyl 1-(2,5-dioxopyrrolidin-1-yl) 2-acetoxysuccinate (400 mg, 1.21 mmol), 4-(dimethylamino)pyridine (15 mg, 0.121 mmol), pyridine (115 mg, 1.45 mmol) and tetrahydrofuran (8 mL) were combined and heated at 60° C. under a nitrogen atmosphere for 24 h. After this time, the solvent was removed under reduced pressure, and the residue was partitioned between ethyl acetate (20 mL) and 10% aqueous citric acid. The organic layer was separated and extracted with saturated aqueous sodium bicarbonate (20 ml). The aqueous phase was collected and acidified to pH=3 with 6 N hydrochloric acid, and the mixture was extracted with ethyl acetate (2×20 mL). The combined organics were washed with brine (50 mL), dried over sodium sulfate, filtered, and concentrated under reduced pressure to provide (S)-2-(((S)-2-acetoxy-4-(tert-butoxy)-4-oxobutanoyl)oxy)propanoic acid (247 mg, 67%) as a colorless oil:1H NMR (300 MHz, CDCl3) δ 5.47 (m, 1H), 5.21 (m, 1H), 2.95-2.77 (m, 2H), 2.13 (s, 3H), 1.56 (d, J=6.9 Hz, 3H), 1.45 (s, 9H), CO2H proton not observed.
Preparation of (S)-4-tert-Butyl 1-((S)-1-((2,5-dioxopyrrolidin-1-yl)oxy)-1-oxopropan-2-yl) 2-acetoxysuccinate
Figure US10226456-20190312-C01167
A solution of (S)-2-(((S)-2-acetoxy-4-(tert-butoxy)-4-oxobutanoyl)oxy)propanoic acid (247 mg, 0.812 mmol) in tetrahydrofuran (10 mL) was treated with N-hydroxysuccinimide (103 mg, 0.893 mmol) and N,N′-dicyclohexylcarbodiimide (184 mg, 0.893 mmol) and stirred under a nitrogen atmosphere for 5 h. After this time, the reaction mixture was filtered to remove the solid dicyclohexylurea byproduct. The solid was washed with diethyl ether (100 mL), and the combined filtrate and washings were concentrated under reduced pressure. The residue was triturated with diethyl ether to provide (S)-4-tert-butyl 1-((S)-1-((2,5-dioxopyrrolidin-1-yl)oxy)-1-oxopropan-2-yl) 2-acetoxysuccinate (384 mg) as a white solid:1H NMR (300 MHz, CDCl3) δ 5.38-5.45 (m, 2H), 2.97-2.81 (m, 6H), 2.12 (s, 3H), 1.71 (q, J=6.9 Hz, 3H), 1.46 (s, 9H).
Preparation of (S)-1-((S)-1-(((4R,4aS,7aR,12bS)-9-((tert-Butoxycarbonyl)oxy)-4a-hydroxy-3-methyl-2,3,4,4a,5,7a-hexahydro-1H-4,12-methanobenzofuro[3,2-e]isoquinolin-7-yl)oxy)-1-oxopropan-2-yl) 4-tert-butyl 2-acetoxysuccinate
Figure US10226456-20190312-C01168
A solution of tert-butyl ((4R,4aS,7aR,12bS)-4a-hydroxy-3-methyl-7-oxo-2,3,4,4a,5,6,7,7a-octahydro-1H-4,12-methanobenzofuro[3,2-e]isoquinolin-9-yl) carbonate (349 mg, 0.870 mmol) in tetrahydrofuran (8 mL) was cooled in an ice bath and treated dropwise with a 1.0 M solution of lithium bis(trimethylsilyl)amide in tetrahydrofuran (1.0 mL, 1.0 mmol). After addition was complete, the mixture was stirred at 0° C. for 1 h. The mixture was re-cooled to −45° C. and treated dropwise with a solution of (S)-4-tert-butyl 1-((S)-1-((2,5-dioxopyrrolidin-1-yl)oxy)-1-oxopropan-2-yl) 2-acetoxysuccinate (384 mg, 0.957 mmol) in tetrahydrofuran (5 mL). After addition was complete, the mixture was warmed to 0° C. After this time, the reaction mixture was treated with saturated aqueous ammonium chloride (20 mL) and extracted with ethyl acetate (2×50 mL). The combined organics were dried over sodium sulfate, filtered, and concentrated under reduced pressure. The crude residue was purified by column chromatography (40 g silica gel column, 0-20% methanol/methylene chloride, then 50 g C18 column, 10-100% acetonitrile/water) to provide (S)-1-((S)-1-(((4R,4aS,7aR,12bS)-9-((tert-butoxycarbonyl)oxy)-4a-hydroxy-3-methyl-2,3,4,4a,5,7a-hexahydro-1H-4,12-methanobenzofuro[3,2-e]isoquinolin-7-yl)oxy)-1-oxopropan-2-yl) 4-tert-butyl 2-acetoxysuccinate (182 mg, 30%) as a white solid: ESI MS m/z 688 [C35H45NO13+H]+.
Preparation of (S)-3-Acetoxy-4-(((S)-1-(((4R,4aS,7aR,12bS)-4a,9-dihydroxy-3-methyl-2,3,4,4a,5,7a-hexahydro-1H-4,12-methanobenzofuro[3,2-e]isoquinolin-7-yl)oxy)-1-oxopropan-2-yl)oxy)-4-oxobutanoic acid
Figure US10226456-20190312-C01169
A solution of (S)-1-((S)-1-(((4R,4aS,7aR,12bS)-9-((tert-butoxycarbonyl)oxy)-4a-hydroxy-3-methyl-2,3,4,4a,5,7a-hexahydro-1H-4,12-methanobenzofuro[3,2-e]isoquinolin-7-yl)oxy)-1-oxopropan-2-yl) 4-tert-butyl 2-acetoxysuccinate (182 mg, 0.265 mmol) in methylene chloride (3 mL) was treated with trifluoroacetic acid (3 mL) and stirred under a nitrogen atmosphere at ambient temperature for 1 h. After this time, the reaction mixture was concentrated under reduced pressure. The residue was purified by reversed phase column chromatography (50 g C18 column, 0-100% acetonitrile/water with 0.1% trifluoroacetic acid) and freeze dried to provide (S)-3-acetoxy-4-(((S)-1-(((4R,4aS,7aR,12bS)-4a,9-dihydroxy-3-methyl-2,3,4,4a,5,7a-hexahydro-1H-4,12-methanobenzofuro[3,2-e]isoquinolin-7-yl)oxy)-1-oxopropan-2-yl)oxy)-4-oxobutanoic acid (84.2 mg, 60%) as a fluffy white solid:1H NMR (300 MHz, DMSO-d6) δ 6.55 (apparent q, J=8.1 Hz, 2H), 5.56 (dd, J=5.7, 2.4 Hz, 1H), 5.35 (dd, J=9.0, 3.6 Hz, 1H), 5.23 (q, J=8.1 Hz, 1H), 3.09 (d, J=18.6 Hz, 1H), 2.94-2.72 (m, 3H), 2.60 (dd, J=18.6, 6.3 Hz, 1H), 2.51-2.44 (m, 4H), 2.35 (s, 3H), 2.27 (m, 1H), 2.13-2.00 (m, 6H), 1.53 (d, J=6.9 Hz, 3H), 1.39 (d, J=10.8 Hz, 1H), CO2H proton not observed; ESI MS m/z 532 [C26H29NO11+H]+; HPLC (Method A) 96.8% (AUC), tR=7.73 min.
Figure US10226456-20190312-C01170
Preparation of (R)-2,5-Dioxopyrrolidin-1-yl 2-(2,2-dimethyl-5-oxo-1,3-dioxolan-4-yl)acetate
Figure US10226456-20190312-C01171
A solution of (R)-2-(2,2-dimethyl-5-oxo-1,3-dioxolan-4-yl)acetic acid (696 mg, 4.00 mmol) in tetrahydrofuran (40 mL) was treated with N-hydroxysuccinimide (506 mg, 4.40 mmol) and N,N′-dicyclohexylcarbodiimide (906 mg, 4.40 mmol) and stirred under a nitrogen atmosphere for 5 h. After this time, the reaction mixture was filtered to remove the solid dicyclohexylurea byproduct. The solid was washed with diethyl ether (100 mL), and the combined filtrate and washings were concentrated under reduced pressure. The residue was triturated with diethyl ether to provide (R)-2,5-dioxopyrrolidin-1-yl 2-(2,2-dimethyl-5-oxo-1,3-dioxolan-4-yl)acetate (1.40 g, quantitative) as a yellow solid:1H NMR (300 MHz, CDCl3) δ 4.77 (dd, J=6.3, 3.6 Hz, 1H), 3.28 (dd, J=17.4, 3.9 Hz, 1H), 3.10 (dd, J=17.1, 6.3 Hz, 1H), 2.85 (s, 4H), 1.63 (s, 3H), 1.58 (s, 3H).
Preparation (4R,4aS,7aR,12bS)-9-((tert-Butoxycarbonyl)oxy)-4a-hydroxy-3-methyl-2,3,4,4a,5,7a-hexahydro-1H-4,12-methanobenzofuro[3,2-e]isoquinolin-7-yl 2-((R)-2,2-dimethyl-5-oxo-1,3-dioxolan-4-yl)acetate
Figure US10226456-20190312-C01172
A solution of tert-butyl ((4R,4aS,7aR,12bS)-4a-hydroxy-3-methyl-7-oxo-2,3,4,4a,5,6,7,7a-octahydro-1H-4,12-methanobenzofuro[3,2-e]isoquinolin-9-yl) carbonate (500 mg, 1.25 mmol) in tetrahydrofuran (10 mL) was cooled in an ice bath and treated dropwise with a 1.0 M solution of lithium bis(trimethylsilyl)amide in tetrahydrofuran (1.5 mL, 1.5 mmol). After addition was complete, the mixture was stirred at ambient temperature for 15 min. The mixture was re-cooled to −45° C. and treated dropwise with a solution of (R)-2,5-dioxopyrrolidin-1-yl 2-(2,2-dimethyl-5-oxo-1,3-dioxolan-4-yl)acetate (372 mg, 1.37 mmol) in tetrahydrofuran (5 mL). After addition was complete, the mixture was warmed to 0° C. After this time, the reaction mixture was treated with saturated aqueous ammonium chloride (20 mL) and extracted with ethyl acetate (2×25 mL). The combined organics were dried over sodium sulfate, filtered, and concentrated under reduced pressure. The crude residue was purified by column chromatography (40 g silica gel column, 0-20% methanol/methylene chloride, then 50 g C18 column, 10-100% acetonitrile/water) to provide (4R,4aS,7aR,12bS)-9-((tert-butoxycarbonyl)oxy)-4a-hydroxy-3-methyl-2,3,4,4a,5,7a-hexahydro-1H-4,12-methanobenzofuro[3,2-e]isoquinolin-7-yl 2-((R)-2,2-dimethyl-5-oxo-1,3-dioxolan-4-yl)acetate (270 mg, 38%) as a white solid: ESI MS m/z 558 [C29H35NO10+H]+.
Preparation of (R)-4-(((4R,4aS,7aR,12bS)-4a,9-Dihydroxy-3-methyl-2,3,4,4a,5,7a-hexahydro-1H-4,12-methanobenzofuro[3,2-e]isoquinolin-7-yl)oxy)-2-hydroxy-4-oxobutanoic acid trifluoroacetic acid salt
Figure US10226456-20190312-C01173
A solution of (4R,4aS,7aR,12bS)-9-((tert-butoxycarbonyl)oxy)-4a-hydroxy-3-methyl-2,3,4,4a,5,7a-hexahydro-1H-4,12-methanobenzofuro[3,2-e]isoquinolin-7-yl 2-((R)-2,2-dimethyl-5-oxo-1,3-dioxolan-4-yl)acetate (270 mg, 0.484 mmol) was treated with a 4.0 M solution of hydrochloric acid in 1,4-dioxane (5 mL, 20.0 mmol) and water (0.2 mL). The reaction mixture was stirred under a nitrogen atmosphere at ambient temperature for 2 h. After this time, the reaction mixture was concentrated under reduced pressure. The residue was purified by reversed phase column chromatography (50 g C18 column, 0-100% acetonitrile/water with 0.1% trifluoroacetic acid) and freeze dried to provide (R)-4-(((4R,4aS,7aR,12bS)-4a,9-dihydroxy-3-methyl-2,3,4,4a,5,7a-hexahydro-1H-4,12-methanobenzofuro[3,2-e]isoquinolin-7-yl)oxy)-2-hydroxy-4-oxobutanoic acid trifluoroacetic acid salt (75 mg, 29%) as a fluffy white solid:1H NMR (300 MHz, DMSO-d6) δ 12.7 (s, 1H), 9.31 (s, 1H), 9.15 (br s, 1H), 6.65 (apparent q, J=7.8 Hz, 2H), 6.22 (s, 1H), 5.64 (s, 1H), 5.52 (dd, J=6.0, 2.1 Hz, 1H), 4.95 (s, 1H), 4.35 (m, 1H), 3.41-3.33 (m, 2H), 3.03 (m, 1H), 2.89 (d, J=4.5 Hz, 1H), 2.83 (s, 3H), 2.72-2.61 (m, 1H), 2.44-2.42 (m, 1H), 2.27 (m, 1H), 2.06 (d, J=17.7 Hz, 3H), 1.63 (d, J=10.8 Hz, 1H); ESI MS m/z 418 [C21H23NO8+H]+; HPLC (Method A)>99% (AUC), tR=6.16 min.
Figure US10226456-20190312-C01174
Preparation of (S)-2-(((S)-5-(tert-Butoxy)-2-((tert-butoxycarbonyl)amino)-5-oxopentanoyl)oxy)propanoic acid
Figure US10226456-20190312-C01175
(S)-Lactic acid (135 mg, 1.50 mmol), (S)-5-tert-butyl 1-(2,5-dioxopyrrolidin-1-yl) 2-((tert-butoxycarbonyl)amino)pentanedioate (500 mg, 1.25 mmol), 4-(dimethylamino)pyridine (15 mg, 0.125 mmol), and pyridine (119 mg, 1.50 mmol) were combined and heated at 60° C. under a nitrogen atmosphere for 48 h. After this time, the solvent was removed under reduced pressure, and the residue was participated between ethyl acetate (20 mL) and 10% aqueous citric acid. The organic layer was separated and extracted with saturated aqueous sodium bicarbonate (20 ml). The aqueous phase was collected and acidified to pH=3 with 6 N hydrochloric acid, and the mixture was extracted with ethyl acetate (2×20 mL). The combined organics were washed with brine (50 mL), dried over sodium sulfate, filtered, and concentrated under reduced pressure to provide (S)-2-(((S)-5-(tert-butoxy)-2-((tert-butoxycarbonyl)amino)-5-oxopentanoyl)oxy)propanoic acid (385 mg, 82%) as a colorless oil:1H NMR (300 MHz, CDCl3) δ 5.24 (m, 2H), 4.32 (m, 1H), 2.40 (m, 2H), 2.20 (m, 1H), 1.99 (m, 1H), 1.56 (d, J=6.9 Hz, 3H), 1.45 (s, 18H), CO2H proton not observed.
Preparation of (S)-5-tert-Butyl 1-((S)-1-((2,5-dioxopyrrolidin-1-yl)oxy)-1-oxopropan-2-yl) 2-((tert-butoxycarbonyl)amino)pentanedioate
Figure US10226456-20190312-C01176
A solution of (S)-2-(((S)-5-(tert-butoxy)-2-((tert-butoxycarbonyl)amino)-5-oxopentanoyl)oxy)propanoic acid (385 mg, 1.03 mmol) in tetrahydrofuran (8 mL) was treated with N-hydroxysuccinimide (130 mg, 1.13 mmol) and N,N′-dicyclohexylcarbodiimide (233 mg, 1.13 mmol) and stirred under a nitrogen atmosphere for 5 h. After this time, the reaction mixture was filtered to remove the solid dicyclohexylurea byproduct. The solid was washed with diethyl ether (100 mL), and the combined filtrate and washings were concentrated under reduced pressure. The residue was triturated with diethyl ether to provide (S)-5-tert-butyl 1-((S)-1-((2,5-dioxopyrrolidin-1-yl)oxy)-1-oxopropan-2-yl) 2-((tert-butoxycarbonyl)amino)pentanedioate (542 mg) as a white solid that was used without purification.
Preparation of (S)-1-((S)-1-(((4R,4aS,7aR,12bS)-9-((tert-Butoxycarbonyl)oxy)-4a-hydroxy-3-methyl-2,3,4,4a,5,7a-hexahydro-1H-4,12-methanobenzofuro[3,2-e]isoquinolin-7-yl)oxy)-1-oxopropan-2-yl) 5-tert-butyl 2-((tert-butoxycarbonyl)amino)pentanedioate
Figure US10226456-20190312-C01177
A solution of tert-butyl ((4R,4aS,7aR,12bS)-4a-hydroxy-3-methyl-7-oxo-2,3,4,4a,5,6,7,7a-octahydro-1H-4,12-methanobenzofuro[3,2-e]isoquinolin-9-yl) carbonate (500 mg, 1.25 mmol) in tetrahydrofuran (10 mL) was cooled in an ice bath and treated dropwise with a 1.0 M solution of lithium bis(trimethylsilyl)amide in tetrahydrofuran (1.5 mL, 1.5 mmol). After addition was complete, the mixture was stirred at 0° C. for 1 h. The mixture was re-cooled to −45° C. and treated dropwise with a solution of (S)-5-tert-butyl 1-((S)-1-((2,5-dioxopyrrolidin-1-yl)oxy)-1-oxopropan-2-yl) 2-((tert-butoxycarbonyl)amino)pentanedioate (647 mg, 1.37 mmol) in tetrahydrofuran (5 mL). After addition was complete, the mixture was warmed to 0° C. After this time, the reaction mixture was treated with saturated aqueous ammonium chloride (20 mL) and extracted with ethyl acetate (2×50 mL). The combined organics were dried over sodium sulfate, filtered, and concentrated under reduced pressure. The crude residue was purified by column chromatography (40 g silica gel column, 0-20% methanol/methylene chloride, then 50 g C18 column, 10-100% acetonitrile/water) to provide (S)-1-((S)-1-(((4R,4aS,7aR,12bS)-9-((tert-butoxycarbonyl)oxy)-4a-hydroxy-3-methyl-2,3,4,4a,5,7a-hexahydro-1H-4,12-methanobenzofuro[3,2-e]isoquinolin-7-yl)oxy)-1-oxopropan-2-yl) 5-tert-butyl 2-((tert-butoxycarbonyl)amino)pentanedioate (402 mg, 42%) as a white solid: ESI MS m/z 759 [C39H54N2O13+H]+.
Preparation of (S)-4-Amino-5-(((S)-1-(((4R,4aS,7aR,12bS)-4a,9-dihydroxy-3-methyl-2,3,4,4a,5,7a-hexahydro-1H-4,12-methanobenzofuro[3,2-e]isoquinolin-7-yl)oxy)-1-oxopropan-2-yl)oxy)-5-oxopentanoic acid bis(trifluoroacetic acid salt)
Figure US10226456-20190312-C01178
A solution of (S)-1-((S)-1-(((4R,4aS,7aR,12bS)-9-((tert-butoxycarbonyl)oxy)-4a-hydroxy-3-methyl-2,3,4,4a,5,7a-hexahydro-1H-4,12-methanobenzofuro[3,2-e]isoquinolin-7-yl)oxy)-1-oxopropan-2-yl) 5-tert-butyl 2-((tert-butoxycarbonyl)amino)pentanedioate (210 mg, 0.277 mmol) in methylene chloride (3 mL) was treated with trifluoroacetic acid (3 mL) and stirred under a nitrogen atmosphere at ambient temperature for 1 h. After this time, the reaction mixture was concentrated under reduced pressure. The residue was purified by reversed phase column chromatography (50 g C18 column, 0-100% acetonitrile/water with 0.1% trifluoroacetic acid) and freeze dried to provide (S)-4-amino-5-(((S)-1-(((4R,4aS,7aR,12bS)-4a,9-dihydroxy-3-methyl-2,3,4,4a,5,7a-hexahydro-1H-4,12-methanobenzofuro[3,2-e]isoquinolin-7-yl)oxy)-1-oxopropan-2-yl)oxy)-5-oxopentanoic acid bis(trifluoroacetic acid salt) (95 mg, 46%) as a fluffy white solid:1H NMR (300 MHz, DMSO-d6) δ 12.3 (br s, 1H), 9.32 (br s, 1H), 9.16 (br s, 1H), 8.44 (br s, 3H), 6.66 (apparent q, J=8.1 Hz, 2H), 6.25 (s, 1H), 5.61 (dd, J=6.0, 2.1 Hz, 1H), 5.34 (q, J=7.2 Hz, 1H), 4.99 (s, 1H), 4.23 (m, 1H), 3.62 (m, 3H), 3.08 (m, 1H), 2.84 (s, 3H), 2.63-2.26 (m, 4H), 2.11-2.05 (m, 3H), 1.76 (m, 1H), 1.63-1.58 (m, 4H); ESI MS m/z 503 [C25H30N2O9+H]+.
Figure US10226456-20190312-C01179
Preparation of (S)-2-(((S)-2-Acetoxy-4-(tert-butoxy)-4-oxobutanoyl)oxy)-4-(tert-butoxy)-4-oxobutanoic acid
Figure US10226456-20190312-C01180
(S)-4-(tert-Butoxy)-2-hydroxy-4-oxobutanoic acid (762 mg, 4.01 mmol), (S)-4-tert-butyl 1-(2,5-dioxopyrrolidin-1-yl) 2-acetoxysuccinate (1.32 g, 4.01 mmol), 4-(dimethylamino)pyridine (49 mg, 0.40 mmol), pyridine (381 mg, 4.81 mmol), and tetrahydrofuran (20 mL) were combined and heated at 60° C. under a nitrogen atmosphere for 72 h. After this time, the solvent was removed under reduced pressure, and the residue was partitioned between ethyl acetate (20 mL) and 10% aqueous citric acid. The organic layer was separated and extracted with ethyl acetate (2×20 mL). The combined organics were washed with brine (50 mL), dried over sodium sulfate, filtered, and concentrated under reduced pressure to provide (S)-2-(((S)-2-acetoxy-4-(tert-butoxy)-4-oxobutanoyl)oxy)-4-(tert-butoxy)-4-oxobutanoic acid (1.62 g) as a yellow oil:1H NMR (300 MHz, CDCl3) δ 5.49-5.45 (m, 2H), 2.92-2.72 (m, 4H), 2.13 (s, 3H), 1.46 (s, 18H), CO2H proton not observed.
Preparation of (S)-1-((S)-4-(tert-Butoxy)-1-((2,5-dioxopyrrolidin-1-yl)oxy)-1,4-dioxobutan-2-yl) 4-tert-butyl 2-acetoxysuccinate
Figure US10226456-20190312-C01181
A solution of (S)-2-(((S)-2-acetoxy-4-(tert-butoxy)-4-oxobutanoyl)oxy)-4-(tert-butoxy)-4-oxobutanoic acid (1.62 g, 4.15 mmol) in tetrahydrofuran (30 mL) was treated with N-hydroxysuccinimide (477 mg, 4.15 mmol) and N,N′-dicyclohexylcarbodiimide (855 mg, 4.15 mmol) and stirred under a nitrogen atmosphere for 5 h. After this time, the reaction mixture was filtered to remove the solid dicyclohexylurea byproduct. The solid was washed with diethyl ether (100 mL), and the combined filtrate and washings were concentrated under reduced pressure. The residue was triturated with diethyl ether to provide (S)-1-((S)-4-(tert-butoxy)-1-((2,5-dioxopyrrolidin-1-yl)oxy)-1,4-dioxobutan-2-yl) 4-tert-butyl 2-acetoxysuccinate (2.01 g) as a white solid:1H NMR (300 MHz, CDCl3) δ 5.84 (m, 1H), 5.47 (m, 1H), 2.98-2.75 (m, 8H), 2.12 (s, 3H), 1.46 (s, 9H), 1.45 (s, 9H).
Preparation of (S)-1-((S)-4-(tert-Butoxy)-1-(((4R,4aS,7aR,12bS)-9-((tert-butoxycarbonyl)oxy)-4a-hydroxy-3-methyl-2,3,4,4a,5,7a-hexahydro-1H-4,12-methanobenzofuro[3,2-e]isoquinolin-7-yl)oxy)-1,4-dioxobutan-2-yl) 4-tert-butyl 2-acetoxysuccinate
Figure US10226456-20190312-C01182
A solution of tert-butyl ((4R,4aS,7aR,12bS)-4a-hydroxy-3-methyl-7-oxo-2,3,4,4a,5,6,7,7a-octahydro-1H-4,12-methanobenzofuro[3,2-e]isoquinolin-9-yl) carbonate (500 mg, 1.25 mmol) in tetrahydrofuran (10 mL) was cooled in an ice bath and treated dropwise with a 1.0 M solution of lithium bis(trimethylsilyl)amide in tetrahydrofuran (1.5 mL, 1.5 mmol). After addition was complete, the mixture was stirred at 0° C. for 1 h. The mixture was re-cooled to −45° C. and treated dropwise with a solution of (S)-1-((S)-4-(tert-butoxy)-1-((2,5-dioxopyrrolidin-1-yl)oxy)-1,4-dioxobutan-2-yl) 4-tert-butyl 2-acetoxysuccinate (668 mg, 1.37 mmol) in tetrahydrofuran (5 mL). After addition was complete, the mixture was warmed to 0° C. After this time, the reaction mixture was treated with saturated aqueous ammonium chloride (20 mL) and extracted with ethyl acetate (2×50 mL). The combined organics were dried over sodium sulfate, filtered, and concentrated under reduced pressure. The crude residue was purified by column chromatography (40 g silica gel column, 0-20% methanol/methylene chloride, then 50 g C18 column, 10-100% acetonitrile/water) to provide (S)-1-((S)-4-(tert-butoxy)-1-(((4R,4aS,7aR,12bS)-9-((tert-butoxycarbonyl)oxy)-4a-hydroxy-3-methyl-2,3,4,4a,5,7a-hexahydro-1H-4,12-methanobenzofuro[3,2-e]isoquinolin-7-yl)oxy)-1,4-dioxobutan-2-yl) 4-tert-butyl 2-acetoxysuccinate (83 mg, 11%) as a white solid: ESI MS m/z 788 [C40H53NO15+H]+.
Preparation of (S)-1-((S)-4-(tert-Butoxy)-1-(((4R,4aS,7aR,12bS)-4a,9-dihydroxy-3-methyl-2,3,4,4a,5,7a-hexahydro-1H-4,12-methanobenzofuro[3,2-e]isoquinolin-7-yl)oxy)-1,4-dioxobutan-2-yl) 4-tert-butyl 2-acetoxysuccinate trifluoroacetic acid salt
Figure US10226456-20190312-C01183
A solution of (S)-1-((S)-4-(tert-butoxy)-1-(((4R,4aS,7aR,12bS)-9-((tert-butoxycarbonyl)oxy)-4a-hydroxy-3-methyl-2,3,4,4a,5,7a-hexahydro-1H-4,12-methanobenzofuro[3,2-e]isoquinolin-7-yl)oxy)-1,4-dioxobutan-2-yl) 4-tert-butyl 2-acetoxysuccinate (80 mg, 0.102 mmol) in methylene chloride (5.0 mL) was treated with trifluoroacetic acid (0.25 mL) and stirred under a nitrogen atmosphere at ambient temperature for 30 min. After this time, the reaction mixture was concentrated under reduced pressure. The residue was purified by reversed phase column chromatography (50 g C18 column, 0-100% acetonitrile/water with 0.1% trifluoroacetic acid) and freeze dried to provide (S)-1-((S)-4-(tert-butoxy)-1-(((4R,4aS,7aR,12bS)-4a,9-dihydroxy-3-methyl-2,3,4,4a,5,7a-hexahydro-1H-4,12-methanobenzofuro[3,2-e]isoquinolin-7-yl)oxy)-1,4-dioxobutan-2-yl) 4-tert-butyl 2-acetoxysuccinate trifluoroacetic acid salt (22 mg, 25%) as a fluffy white solid:1H NMR (300 MHz, DMSO-d6) δ 9.26 (s, 1H), 9.14 (br s, 1H), 6.65 (apparent q, J=8.1 Hz, 2H), 6.23 (s, 1H), 5.62 (dd, J=6.0, 2.4 Hz, 1H), 5.52 (dd, J=7.2, 4.5 Hz, 1H), 5.36 (dd, J=8.7, 3.9 Hz, 1H), 4.92 (s, 1H), 3.62-3.31 (m, 1H), 3.11-3.01 (m, 2H), 2.97-2.63 (m, 8H), 2.47-2.27 (m, 2H), 2.08-2.03 (m, 4H), 1.63 (m, 1H), 1.44 (s, 9H), 1.39 (s, 9H), one proton obscured by solvent peaks; ESI MS m/z 688 [C3H45NO13+H]+; HPLC (Method A) 95.3% (AUC), tR=11.03 min.
Figure US10226456-20190312-C01184
Preparation of (2R,3R)-2,3-Diacetoxy-4-(((4R,4aS,7aR,12bS)-9-((tert-butoxycarbonyl)oxy)-4a-hydroxy-3-methyl-2,3,4,4a,5,7a-hexahydro-1H-4,12-methanobenzofuro[3,2-e]isoquinolin-7-yl)oxy)-4-oxobutanoic acid
Figure US10226456-20190312-C01185
A solution of tert-butyl ((4R,4aS,7aR,12bS)-4a-hydroxy-3-methyl-7-oxo-2,3,4,4a,5,6,7,7a-octahydro-1H-4,12-methanobenzofuro[3,2-e]isoquinolin-9-yl) carbonate (110 mg, 0.27 mmol) in tetrahydrofuran (2.5 mL) at 0° C. was treated with a 1.0 M solution of lithium bis(trimethylsilyl)amide in tetrahydrofuran (0.3 mL, 0.3 mmol), and the mixture was stirred for 5 min at 0° C. and 10 min at room temperature. The reaction mixture was cooled to 0° C., and (3R,4R)-2,5-dioxotetrahydrofuran-3,4-diyl diacetate (89 mg, 0.41 mmol) was added in one portion. The mixture was stirred at 0° C. for 20 min and then at room temperature for 30 min. After this time, the mixture was poured into a saturated solution of ammonium chloride and extracted with ethyl acetate. The organic extract was dried over sodium sulfate, filtered, and concentrated under reduced pressure to provide (2R,3R)-2,3-diacetoxy-4-(((4R,4aS,7aR,12bS)-9-((tert-butoxycarbonyl)oxy)-4a-hydroxy-3-methyl-2,3,4,4a,5,7a-hexahydro-1H-4,12-methanobenzofuro[3,2-e]isoquinolin-7-yl)oxy)-4-oxobutanoic acid (100 mg): ESI MS m/z 618 [C30H35NO13+H]+.
Preparation of (2R,3R)-2,3-Diacetoxy-4-(((4R,4aS,7aR,12bS)-4a,9-dihydroxy-3-methyl-2,3,4,4a,5,7a-hexahydro-1H-4,12-methanobenzofuro[3,2-e]isoquinolin-7-yl)oxy)-4-oxobutanoic acid trifluoroacetic acid salt
Figure US10226456-20190312-C01186
A solution of (2R,3R)-2,3-diacetoxy-4-(((4R,4aS,7aR,12bS)-9-((tert-butoxycarbonyl)oxy)-4a-hydroxy-3-methyl-2,3,4,4a,5,7a-hexahydro-1H-4,12-methanobenzofuro[3,2-e]isoquinolin-7-yl)oxy)-4-oxobutanoic acid (100 mg) in methylene chloride (4 mL) was treated with trifluoroacetic acid (0.8 mL) and stirred at ambient temperature for 1.5 h. After this time, the reaction mixture was concentrated under reduced pressure. The residue was purified by reversed phase column chromatography (50 g C18 column, 3-25% acetonitrile/water, with 0.1% trifluoracetic acid) and freeze dried to provide (2R,3R)-2,3-diacetoxy-4-(((4R,4aS,7aR,12bS)-4a,9-dihydroxy-3-methyl-2,3,4,4a,5,7a-hexahydro-1H-4,12-methanobenzofuro[3,2-e]isoquinolin-7-yl)oxy)-4-oxobutanoic acid trifluoroacetic acid salt (28 mg, 20% over two steps):1H NMR (300 MHz, DMSO-d6) δ 9.34 (s, 1H), 9.15 (br s, 1H), 6.68 (d, J=8.1 Hz, 1H), 6.63 (d, J=8.1 Hz, 1H), 6.29 (br s, 1H), 5.77 (d, J=2.8 Hz, 1H), 5.68 (d, J=2.8 Hz, 1H), 5.52 (d, J=4.1 Hz, 1H), 4.83 (s, 1H), 3.62 (d, J=6.0 Hz, 1H), 3.12-3.01 (m, 3H), 2.83 (s, 3H), 2.70-2.56 (m, 1H), 2.46-2.39 (m, 1H), 2.28 (dd, J=17.7, 6.0 Hz, 1H), 2.19 (s, 3H), 2.15 (s, 3H), 2.07 (d, J=16.4 Hz, 1H), 1.62 (d, J=11.2 Hz, 1H), CO2H proton not observed; ESI MS m/z 518 [C25H27NO11+H]+; HPLC (Method A) 83.9% (AUC), tR=6.99 min.
Figure US10226456-20190312-C01187
Figure US10226456-20190312-C01188
Preparation of (S)-tert-Butyl 2-(2-((S)-2,2-dimethyl-5-oxo-1,3-dioxolan-4-yl)acetoxy)-2-phenylacetate
Figure US10226456-20190312-C01189
A mixture of (S)-2,5-dioxopyrrolidin-1-yl 2-(2,2-dimethyl-5-oxo-1,3-dioxolan-4-yl)acetate (2.0 g, 7.3 mmol), (S)-tert-butyl 2-hydroxy-2-phenylacetate (1.5 g, 7.3 mmol), pyridine (0.6 mL, 7.4 mmol), and 4-dimethylaminopyridine (80 mg, 0.65 mmol) in tetrahydrofuran (30 mL) was stirred at reflux for 36 h. After this time, the mixture was cooled to room temperature, concentrated under reduced pressure, and purified by column chromatography (80 g silica gel column, 5-80% ethyl acetate/heptane) to provide (S)-tert-butyl 2-(2-((S)-2,2-dimethyl-5-oxo-1,3-dioxolan-4-yl)acetoxy)-2-phenylacetate (1.18, 44%) as a 7:3 mixture of epimers:1H NMR (300 MHz, CDCl3) δ 7.47-7.41 (m, 2H), 7.41-7.36 (m, 3H), 5.87 (s, 0.3H), 5.82 (s, 0.7H), 4.78-4.73 (m, 1H), 3.17-3.03 (m, 1H), 2.99-2.87 (m, 1H), 1.55 (s, 6H), 1.40 (s, 2.7H), 1.39 (s, 6.3H).
Preparation of (S)-4-((S)-2-(tert-Butoxy)-2-oxo-1-phenylethoxy)-2-hydroxy-4-oxobutanoic acid
Figure US10226456-20190312-C01190
A mixture of (S)-tert-butyl 2-(2-((S)-2,2-dimethyl-5-oxo-1,3-dioxolan-4-yl)acetoxy)-2-phenylacetate (1.15 g, 3.16 mmol) in acetic acid (13 mL) and water (8 mL) was stirred at 60° C. for 4 h. After this time the mixture was concentrated to dryness to provide (S)-4-((S)-2-(tert-butoxy)-2-oxo-1-phenylethoxy)-2-hydroxy-4-oxobutanoic acid (1.09 g, quantitative, 7:3 mixture of epimers): ESI MS m/z 647 [2×(C16H20O7)−H].
Preparation of (S)-2-Acetoxy-4-((S)-2-(tert-butoxy)-2-oxo-1-phenylethoxy)-4-oxobutanoic acid
Figure US10226456-20190312-C01191
A solution of (S)-4-((S)-2-(tert-butoxy)-2-oxo-1-phenylethoxy)-2-hydroxy-4-oxobutanoic acid (1.09 g, 3.36 mmol) and N,N-diisopropylethylamine (1.7 mL, 9.8 mmol) in methylene chloride (30 mL) at 0° C. was treated dropwise with acetyl chloride (0.29 mL, 4.1 mmol). The reaction mixture was stirred at 0° C. for 10 min and then at room temperature for 40 min. After this time, the mixture was diluted with methylene chloride and washed with saturated ammonium chloride and brine. The organic layer was dried over sodium sulfate, filtered, and concentrated to provide (S)-2-acetoxy-4-((S)-2-(tert-butoxy)-2-oxo-1-phenylethoxy)-4-oxobutanoic acid (1.15 g, 92%): ESI MS m/z 384 [C18H22O8+NH4]+.
Preparation of (S)-4-((S)-2-(tert-Butoxy)-2-oxo-1-phenylethyl) 1-(2,5-dioxopyrrolidin-1-yl) 2-acetoxysuccinate
Figure US10226456-20190312-C01192
A mixture of (S)-2-acetoxy-4-((S)-2-(tert-butoxy)-2-oxo-1-phenylethoxy)-4-oxobutanoic acid (1.1 g, 3.0 mmol) and N-hydroxysuccinimide (380 mg, 3.30 mmol) in tetrahydrofuran (15 mL) was treated with N,N′-dicyclohexylcarbodiimide (680 mg, 3.30 mmol), and the reaction mixture was stirred at ambient temperature for 4 h. After this time, diethyl ether (20 mL) was added, and the mixture was filtered. The filtrate was concentrated under reduced pressure to provide (S)-4-((S)-2-(tert-butoxy)-2-oxo-1-phenylethyl) 1-(2,5-dioxopyrrolidin-1-yl) 2-acetoxysuccinate (1.4 g) that was used without purification.
Preparation of (S)-4-((S)-2-(tert-Butoxy)-2-oxo-1-phenylethyl) 1-((4R,4aS,7aR,12bS)-9-((tert-butoxycarbonyl)oxy)-4a-hydroxy-3-methyl-2,3,4,4a,5,7a-hexahydro-1H-4,12-methanobenzofuro[3,2-e]isoquinolin-7-yl) 2-acetoxysuccinate
Figure US10226456-20190312-C01193
A solution of tert-butyl ((4R,4aS,7aR,12bS)-4a-hydroxy-3-methyl-7-oxo-2,3,4,4a,5,6,7,7a-octahydro-1H-4,12-methanobenzofuro[3,2-e]isoquinolin-9-yl) carbonate (420 mg, 1.05 mmol) in tetrahydrofuran (8 mL) was cooled to 0° C. and treated dropwise with a 1.0 M solution of lithium bis(trimethylsilyl)amidein tetrahydrofuran (1.1 mL, 1.1 mmol). After addition was complete, the mixture was stirred at ambient temperature for 10 min. The mixture was re-cooled to 0° C., and (S)-4-((S)-2-(tert-butoxy)-2-oxo-1-phenylethyl) 1-(2,5-dioxopyrrolidin-1-yl) 2-acetoxysuccinate (500 mg, 1.08 mmol) was added. The mixture was stirred at 0° C. for 1 h. After this time, the mixture was treated with saturated aqueous ammonium chloride and extracted with ethyl acetate. The combined organics were dried over sodium sulfate, filtered, and concentrated under reduced pressure. The residue was purified by reversed phase column chromatography (50 g C18 column, 5-100% acetonitrile/water) to provide (S)-4-((S)-2-(tert-butoxy)-2-oxo-1-phenylethyl) 1-((4R,4aS,7aR,12bS)-9-((tert-butoxycarbonyl)oxy)-4a-hydroxy-3-methyl-2,3,4,4a,5,7a-hexahydro-1H-4,12-methanobenzofuro[3,2-e]isoquinolin-7-yl) 2-acetoxysuccinate (140 mg, 18%, 7:3 mixture of epimers): ESI MS m/z 750 [C40H47NO13+H]+.
Preparation of (S)-2-(((S)-3-Acetoxy-4-(((4R,4aS,7aR,12bS)-4a,9-dihydroxy-3-methyl-2,3,4,4a,5,7a-hexahydro-1H-4,12-methanobenzofuro[3,2-e]isoquinolin-7-yl)oxy)-4-oxobutanoyl)oxy)-2-phenylacetic acid trifluoroacetic acid salt
Figure US10226456-20190312-C01194
A solution of (S)-4-((S)-2-(tert-butoxy)-2-oxo-1-phenylethyl) 1-((4R,4aS,7aR,12bS)-9-((tert-butoxycarbonyl)oxy)-4a-hydroxy-3-methyl-2,3,4,4a,5,7a-hexahydro-1H-4,12-methanobenzofuro[3,2-e]isoquinolin-7-yl) 2-acetoxysuccinate (140 mg, 0.18 mmol) in methylene chloride (6 mL) was treated with trifluoroacetic acid (1 mL) and stirred at ambient temperature for 4 h. After this time, the reaction mixture was concentrated under reduced pressure. The residue was purified by reversed phase column chromatography (15.5 g C18 column, 3-30% acetonitrile/water, with 0.1% trifluoracetic acid) and freeze dried to provide (S)-2-(((S)-3-acetoxy-4-(((4R,4aS,7aR,12bS)-4a,9-dihydroxy-3-methyl-2,3,4,4a,5,7a-hexahydro-1H-4,12-methanobenzofuro[3,2-e]isoquinolin-7-yl)oxy)-4-oxobutanoyl)oxy)-2-phenylacetic acid trifluoroacetic acid salt (43 mg, 32%) as a 7:3 mixture of epimers:1H NMR (300 MHz, DMSO-d6) δ 9.30 (s, 1H), 9.15 (s, 1H), 7.51-7.39 (m, 5H), 6.68 (d, J=8.1 Hz, 1H), 6.63 (d, J=8.1 Hz, 1H), 6.27 (s, 1H), 5.92-5.87 (m, 1H), 5.61-5.47 (m, 2H), 4.94 (m, 0.7H), 4.90 (s, 0.3H), 3.62 (d, J=6.4 Hz, 1H), 3.24-3.01 (m, 5H), 2.83 (s, 3H), 2.71-2.56 (m, 1H), 2.48-2.36 (m, 1H), 2.33-2.21 (m, 1H), 2.12-2.02 (m, 4H), 1.66-1.57 (m, 1H), CO2H proton not observed; ESI MS m/z 594 [C31H31NO11+H]+; HPLC (Method A) 91.0% (AUC), tR=8.91 min.
Figure US10226456-20190312-C01195
Preparation of (S)-4-Benzyl 1-((S)-1-(tert-butoxy)-1-oxopropan-2-yl) 2-hydroxysuccinate
Figure US10226456-20190312-C01196
A solution of (S)-tert-butyl 2-hydroxypropanoate (1.11 g, 7.61 mmol) in tetrahydrofuran (15 mL) was cooled in an ice bath and treated dropwise with a 1.0 M solution of lithium bis(trimethylsilyl)amide in tetrahydrofuran (7.6 mL, 7.6 mmol). After addition was complete, the mixture was stirred at ambient temperature for 15 min. The mixture was re-cooled in the ice bath and treated dropwise with a solution of (S)-benzyl 2-(2,2-dimethyl-5-oxo-1,3-dioxolan-4-yl)acetate (2.01 g, 7.61 mmol) in tetrahydrofuran (10 mL). After addition was complete, the mixture was stirred at 0° C. for 4 h. After this time, the reaction mixture was treated with saturated aqueous ammonium chloride (10 mL) and extracted with ethyl acetate (2×25 mL). The combined organics were dried over sodium sulfate, filtered, and concentrated under reduced pressure. The crude residue was purified by column chromatography (silica gel, 0-30% ethyl acetate/heptanes) to provide (S)-4-benzyl 1-((S)-1-(tert-butoxy)-1-oxopropan-2-yl) 2-hydroxysuccinate (0.89, 33%) as a colorless oil:1H NMR (300 MHz, CDCl3) δ 7.38-7.35 (m, 5H), 5.17 (d, J=1.0 Hz, 1H), 5.05 (dd, J=14.1, 8.4 Hz, 1H), 4.69-4.53 (m, 1H), 3.15 (dd, J=18.0, 6.0 Hz, 1H), 3.02 (dd, J=15.9, 3.9 Hz, 1H), 2.90-2.80 (m, 1H), 1.46 (d, J=8.1 Hz, 3H), 1.45 (s, 9H), OH proton not observed.
Preparation of (S)-4-Benzyl 1-((S)-1-(tert-butoxy)-1-oxopropan-2-yl) 2-((tert-butoxycarbonyl)oxy)succinate
Figure US10226456-20190312-C01197
(S)-4-Benzyl 1-((S)-1-(tert-butoxy)-1-oxopropan-2-yl) 2-hydroxysuccinate (1.86 g, 5.28 mmol), di-tert-butyl dicarbonate (1.38 g, 6.34 mmol), and N,N-dimethylpyridin-4-amine (64 mg, 0.53 mmol) were combined and stirred in methylene chloride (60 mL) at ambient temperature for 3 h. After this time, the mixture was concentrated under reduced pressure. The crude residue was purified by column chromatography (silica gel, 0-30% ethyl acetate/heptanes) to provide (S)-4-benzyl 1-((S)-1-(tert-butoxy)-1-oxopropan-2-yl) 2-((tert-butoxycarbonyl)oxy)succinate (1.91 g, 80%) as a colorless oil:1H NMR (300 MHz, CDCl3) δ 7.38-7.33 (m, 5H), 5.41 (dd, J=9.6, 3.3 Hz, 1H), 5.21 (d, J=12.3 Hz, 1H), 5.13 (d, J=12.3 Hz, 1H), 5.02 (dd, J=14.1, 3.6 Hz, 1H), 3.12 (dd, J=17.8, 3.6 Hz, 1H), 2.95 (dd, J=18.1, 8.1 Hz, 1H), 1.49 (s, 9H), 1.45 (d, J=6.2 Hz, 3H), 1.44 (s, 9H).
Preparation of (S)-4-(((S)-1-(tert-Butoxy)-1-oxopropan-2-yl)oxy)-3-((tert-butoxycarbonyl)oxy)-4-oxobutanoic acid
Figure US10226456-20190312-C01198
A solution of (S)-4-benzyl 1-((S)-1-(tert-butoxy)-1-oxopropan-2-yl) 2-((tert-butoxycarbonyl)oxy)succinate (0.27 g, 0.60 mmol) in ethyl alcohol (5 mL) was treated with palladium on carbon (10%, 30 mg). The mixture was stirred with under a hydrogen atmosphere at ambient temperature for 2 h. After this time, the reaction mixture was filtered and concentrated under reduced pressure to provide (S)-4-(((S)-1-(tert-butoxy)-1-oxopropan-2-yl)oxy)-3-((tert-butoxycarbonyl)oxy)-4-oxobutanoic acid (0.22 g, 99%) as a colorless oil:1H NMR (300 MHz, CDCl3) δ 5.38 (dd, J=9.3, 3.6 Hz, 1H), 5.05 (dd, J=14.1, 6.9 Hz, 1H), 3.13 (dd, J=17.1, 3.3 Hz, 1H), 2.95 (dd, J=17.1, 9.3 Hz, 1H), 1.50 (s, 9H), 1.47 (d, J=6.2 Hz, 3H), 1.46 (s, 9H), CO2H proton not observed.
Preparation of (S)-1-((S)-1-(tert-Butoxy)-1-oxopropan-2-yl) 4-(2,5-dioxopyrrolidin-1-yl) 2-((tert-butoxycarbonyl)oxy)succinate
Figure US10226456-20190312-C01199
(S)-4-(((S)-1-(tert-Butoxy)-1-oxopropan-2-yl)oxy)-3-((tert-butoxycarbonyl)oxy)-4-oxobutanoic acid (0.21 g, 0.58 mmol), 1-hydroxypyrrolidine-2,5-dione (77 mg, 0.67 mmol) and dicyclohexylcarbodiimide (0.13 g, 0.64 mmol) were combined and stirred in tetrahydrofuran (4 mL) at ambient temperature for 4 h. After this time, the mixture was filtered and concentrated under reduced pressure to provide (S)-1-((S)-1-(tert-butoxy)-1-oxopropan-2-yl) 4-(2,5-dioxopyrrolidin-1-yl) 2-((tert-butoxycarbonyl)oxy)succinate (0.3 g, 99%) as a sticky solid:1H NMR (300 MHz, CDCl3) δ 5.45 (dd, J=9.6, 3.3 Hz, 1H), 5.05 (dd, J=14.1, 6.9 Hz, 1H), 3.46 (dd, J=17.1, 3.3 Hz, 1H), 3.18 (dd, J=17.1, 9.3 Hz, 1H), 2.87-2.82 (m, 4H), 1.50 (s, 9H), 1.47 (d, J=6.2 Hz, 3H), 1.46 (s, 9H).
Preparation of (S)-1-((S)-1-(tert-Butoxy)-1-oxopropan-2-yl) 4-((4R,4aS,7aR,12bS)-9-((tert-butoxycarbonyl)oxy)-4a-hydroxy-3-methyl-2,3,4,4a,5,7a-hexahydro-1H-4,12-methanobenzofuro[3,2-e]isoquinolin-7-yl) 2-((tert-butoxycarbonyl)oxy)succinate
Figure US10226456-20190312-C01200
A solution of tert-butyl ((4R,4aS,7aR,12bS)-4a-hydroxy-3-methyl-7-oxo-2,3,4,4a,5,6,7,7a-octahydro-1H-4,12-methanobenzofuro[3,2-e]isoquinolin-9-yl) carbonate (650 mg, 1.62 mmol) in tetrahydrofuran (10 mL) was cooled in an ice bath and treated dropwise with a 1.0 M solution of lithium bis(trimethylsilyl)amide in tetrahydrofuran (1.9 mL, 1.9 mmol). After addition was complete, the mixture was stirred at 0° C. for 1 h. The mixture was re-cooled to −45° C. and treated dropwise with a solution of (S)-1-((S)-1-(tert-butoxy)-1-oxopropan-2-yl) 4-(2,5-dioxopyrrolidin-1-yl) 2-((tert-butoxycarbonyl)oxy)succinate (818 mg, 1.78 mmol) in tetrahydrofuran (5 mL). After addition was complete, the mixture was warmed to 0° C. After this time, the reaction mixture was treated with saturated aqueous ammonium chloride (20 mL) and extracted with ethyl acetate (2×50 mL). The combined organics were dried over sodium sulfate, filtered, and concentrated under reduced pressure. The crude residue was purified by column chromatography (40 g silica gel column, 0-20% methanol/methylene chloride, then 50 g C18 column, 10-100% acetonitrile/water) to provide (S)-1-((S)-1-(tert-butoxy)-1-oxopropan-2-yl) 4-((4R,4aS,7aR,12bS)-9-((tert-butoxycarbonyl)oxy)-4a-hydroxy-3-methyl-2,3,4,4a,5,7a-hexahydro-1H-4,12-methanobenzofuro[3,2-e]isoquinolin-7-yl) 2-((tert-butoxycarbonyl)oxy)succinate (235 mg, 19%) as a white solid: ESI MS m/z 746 [C38H51NO14+H]+.
Preparation of (S)-2-(((S)-4-(((4R,4aS,7aR,12bS)-4a,9-Dihydroxy-3-methyl-2,3,4,4a,5,7a-hexahydro-1H-4,12-methanobenzofuro[3,2-e]isoquinolin-7-yl)oxy)-2-hydroxy-4-oxobutanoyl)oxy)propanoic acid trifluoroacetic acid salt
Figure US10226456-20190312-C01201
A solution of (S)-1-((S)-1-(tert-butoxy)-1-oxopropan-2-yl) 4-((4R,4aS,7aR,12bS)-9-((tert-butoxycarbonyl)oxy)-4a-hydroxy-3-methyl-2,3,4,4a,5,7a-hexahydro-1H-4,12-methanobenzofuro[3,2-e]isoquinolin-7-yl) 2-((tert-butoxycarbonyl)oxy)succinate (157 mg, 0.210 mmol) in methylene chloride (4 mL) was treated with trifluoroacetic acid (3 mL) and stirred under a nitrogen atmosphere at ambient temperature for 2 h. After this time, the reaction mixture was concentrated under reduced pressure. The residue was purified by reversed phase column chromatography (50 g C18 column, 0-100% acetonitrile/water with 0.1% trifluoroacetic acid) and freeze dried to provide (S)-2-(((S)-4-(((4R,4aS,7aR,12bS)-4a,9-dihydroxy-3-methyl-2,3,4,4a,5,7a-hexahydro-1H-4,12-methanobenzofuro[3,2-e]isoquinolin-7-yl)oxy)-2-hydroxy-4-oxobutanoyl)oxy)propanoic acid trifluoroacetic acid salt (54 mg, 42%) as a fluffy white solid:1H NMR (300 MHz, DMSO-d6) δ 13.1 (br s, 1H), 9.30 (s, 1H), 9.14 (br s, 1H), 6.64 (apparent q, J=8.1 Hz, 2H), 6.22 (s, 1H), 5.96 (d, J=6.3 Hz, 1H), 5.55 (dd, J=6.0, 1.8 Hz, 1H), 5.03-4.97 (m, 2H), 4.52 (m, 1H), 3.41-3.33 (m, 1H), 3.04 (m, 1H), 2.95 (dd, J=15.9, 4.2 Hz, 1H), 2.84 (s, 3H), 2.73-2.64 (m, 2H), 2.51-2.42 (m, 3H), 2.27 (m, 1H), 2.05 (d, J=17.7 Hz, 1H), 1.63 (m, 1H), 1.42 (d, J=6.9 Hz, 3H); ESI MS m/z 490 [C24H27NO10+H]+; HPLC (Method A) 97.7% (AUC), tR=6.92 min.
Figure US10226456-20190312-C01202
Preparation of (S)-3-Acetoxy-4-((S)-2-(tert-butoxy)-2-oxo-1-phenylethoxy)-4-oxobutanoic acid
Figure US10226456-20190312-C01203
A solution of (S)-2,5-dioxotetrahydrofuran-3-yl acetate (720 mg, 4.56 mmol) in N,N-dimethylformamide (4 mL) at 0° C. was treated with (S)-tert-butyl 2-hydroxy-2-phenylacetate (1.10 g, 5.29 mmol) followed by pyridine (0.37 mL, 4.59 mmol), and the mixture was allowed to warm to room temperature and stirred for 18 h. After this time, the reaction mixture was diluted with ethyl acetate and extracted with saturated sodium bicarbonate. The aqueous layer was collected, carefully treated with 6 N hydrochloric acid until acidic by pH paper analysis, and then extracted with ethyl acetate. The organic extracts were dried over sodium sulfate, filtered, and concentrated to provide (S)-3-acetoxy-4-((S)-2-(tert-butoxy)-2-oxo-1-phenylethoxy)-4-oxobutanoic acid (810 mg, 49%): ESI MS m/z 750 [2×(C18H22O8)+NH4]+.
Preparation of (S)-1-((S)-2-(tert-Butoxy)-2-oxo-1-phenylethyl) 4-(2,5-dioxopyrrolidin-1-yl) 2-acetoxysuccinate
Figure US10226456-20190312-C01204
A mixture of (S)-3-acetoxy-4-((S)-2-(tert-butoxy)-2-oxo-1-phenylethoxy)-4-oxobutanoic acid (1.03 g, 2.73 mmol) and N-hydroxysuccinimide (340 mg, 2.95 mmol) in tetrahydrofuran (15 mL) was treated with N,N′-dicyclohexylcarbodiimide (610 mg, 2.95 mmol), and the reaction mixture was stirred at ambient temperature for 4 h. After this time, diethyl ether (20 mL) was added, and the mixture was filtered. The filtrate was concentrated under reduced pressure to provide (S)-1-((S)-2-(tert-butoxy)-2-oxo-1-phenylethyl) 4-(2,5-dioxopyrrolidin-1-yl) 2-acetoxysuccinate (1.3 g) that was used without purification.
Preparation of (S)-1-((S)-2-(tert-Butoxy)-2-oxo-1-phenylethyl) 4-((4R,4aS,7aR,12bS)-9-((tert-butoxycarbonyl)oxy)-4a-hydroxy-3-methyl-2,3,4,4a,5,7a-hexahydro-1H-4,12-methanobenzofuro[3,2-e]isoquinolin-7-yl) 2-acetoxysuccinate
Figure US10226456-20190312-C01205
A solution of tert-butyl ((4R,4aS,7aR,12bS)-4a-hydroxy-3-methyl-7-oxo-2,3,4,4a,5,6,7,7a-octahydro-1H-4,12-methanobenzofuro[3,2-e]isoquinolin-9-yl) carbonate (400 mg, 1.00 mmol) in tetrahydrofuran (8 mL) was cooled to 0° C. and treated dropwise with a 1.0 M solution of lithium bis(trimethylsilyl)amidein tetrahydrofuran (1.1 mL, 1.1 mmol). After addition was complete, the mixture was stirred at ambient temperature for 10 min. The mixture was re-cooled to 0° C., and (S)-1-((S)-2-(tert-butoxy)-2-oxo-1-phenylethyl) 4-(2,5-dioxopyrrolidin-1-yl) 2-acetoxysuccinate (500 mg, 1.09 mmol) was added in one portion. The mixture was stirred at 0° C. for 1 h. After this time, the mixture was treated with saturated aqueous ammonium chloride, and extracted with ethyl acetate. The combined organics were dried over sodium sulfate, filtered, and concentrated under reduced pressure. The residue was purified by reversed phase column chromatography (50 g C18 column, 5-100% acetonitrile/water) to provide (S)-1-((S)-2-(tert-butoxy)-2-oxo-1-phenylethyl) 4-((4R,4aS,7aR,12bS)-9-((tert-butoxycarbonyl)oxy)-4a-hydroxy-3-methyl-2,3,4,4a,5,7a-hexahydro-1H-4,12-methanobenzofuro[3,2-e]isoquinolin-7-yl) 2-acetoxysuccinate (230 mg, 33%): ESI MS m/z 750 [C40H47NO13+H]+.
Preparation of (S)-2-(((S)-2-Acetoxy-4-(((4R,4aS,7aR,12bS)-4a,9-dihydroxy-3-methyl-2,3,4,4a,5,7a-hexahydro-1H-4,12-methanobenzofuro[3,2-e]isoquinolin-7-yl)oxy)-4-oxobutanoyl)oxy)-2-phenylacetic acid trifluoroacetic acid salt
Figure US10226456-20190312-C01206
A solution of (S)-1-((S)-2-(tert-butoxy)-2-oxo-1-phenylethyl) 4-((4R,4aS,7aR,12bS)-9-((tert-butoxycarbonyl)oxy)-4a-hydroxy-3-methyl-2,3,4,4a,5,7a-hexahydro-1H-4,12-methanobenzofuro[3,2-e]isoquinolin-7-yl) 2-acetoxysuccinate (225 mg, 0.300 mmol) in methylene chloride (7 mL) was treated with trifluoroacetic acid (1 mL) and stirred at ambient temperature for 3 h. After this time, the reaction mixture was concentrated under reduced pressure. The residue was purified by reversed phase column chromatography (50 g C18 column, 3-30% acetonitrile/water, with 0.1% trifluoracetic acid) and freeze dried to provide (S)-2-(((S)-2-acetoxy-4-(((4R,4aS,7aR,12bS)-4a,9-dihydroxy-3-methyl-2,3,4,4a,5,7a-hexahydro-1H-4,12-methanobenzofuro[3,2-e]isoquinolin-7-yl)oxy)-4-oxobutanoyl)oxy)-2-phenylacetic acid trifluoroacetic acid salt (100 mg, 45%):1H NMR (300 MHz, DMSO-d6) δ 9.30 (br s, 1H), 9.15 (br s, 1H), 7.52-7.39 (m, 5H), 6.68 (d, J=8.2 Hz, 1H), 6.63 (d, J=8.2 Hz, 1H), 6.23 (s, 1H), 5.97 (s, 1H), 5.57-5.47 (m, 2H), 4.96 (s, 1H), 6.31 (d, J=6.0 Hz, 1H), 3.12-3.00 (m, 4H), 2.84 (s, 3H), 2.71-2.49 (m, 1H), 2.50-2.40 (m, 1H), 2.34-2.21 (m, 1H), 2.15-2.00 (m, 4H), 1.63 (d, J=11.8 Hz, 1H), CO2H proton not observed; ESI MS m/z 594 [C31H31NO11+H]+; HPLC (Method A) 99.5% (AUC), tR=8.96 min.
Figure US10226456-20190312-C01207
Preparation of (S)-2-(((S)-3-Acetoxy-4-(tert-butoxy)-4-oxobutanoyl)oxy)propanoic acid
Figure US10226456-20190312-C01208
A solution of (S)-1-tert-butyl 4-(2,5-dioxopyrrolidin-1-yl) 2-acetoxysuccinate (1.46 g, 4.44 mmol), lactic acid (447 mg, 4.96 mmol), and 4-dimethylaminopyridine (57 mg, 0.47 mmol) in tetrahydrofuran (30 mL) was treated with pyridine (0.72 g, 8.9 mmol) and heated at 50° C. under a nitrogen atmosphere for 48 h. After this time, the reaction mixture was cooled to room temperature and concentrated under reduced pressure. The residue was dissolved in ethyl acetate (50 mL) and washed with aqueous 10% citric acid (2×25 mL) and water (25 mL), dried over sodium sulfate, filtered, and concentrated under reduced pressure. The crude residue was purified by column chromatography (silica gel, 0-10% methanol/methylene chloride) to (S)-2-(((S)-3-acetoxy-4-(tert-butoxy)-4-oxobutanoyl)oxy)propanoic (455 mg, 34%) as a colorless oil:1H NMR (300 MHz, DMSO-d6) δ 13.07 (br s, 1H), 5.17 (dd, J=7.8, 4.8 Hz, 1H), 4.96 (q, J=6.9 Hz, 1H), 2.98-2.83 (m, 2H), 2.05 (s, 3H), 1.41 (s, 9H), 1.39 (d, J=6.9 Hz, 3H).
Preparation of (S)-1-tert-Butyl 4-((S)-1-((2,5-dioxopyrrolidin-1-yl)oxy)-1-oxopropan-2-yl) 2-acetoxysuccinate
Figure US10226456-20190312-C01209
A solution of (S)-2-(((S)-3-acetoxy-4-(tert-butoxy)-4-oxobutanoyl)oxy)propanoic (450 mg, 1.48 mmol) in tetrahydrofuran (15 mL) was treated with N-hydroxysuccinimide (185 mg, 1.61 mmol) and N,N′-dicyclohexylcarbodiimide (338 mg, 1.64 mmol) and stirred under a nitrogen atmosphere for 7 h. After this time, the reaction mixture was filtered to remove the solid dicyclohexylurea byproduct. The solid was washed with diethyl ether, and the combined filtrate and washings were concentrated under reduced pressure to provide (S)-1-tert-butyl 4-((S)-1-((2,5-dioxopyrrolidin-1-yl)oxy)-1-oxopropan-2-yl) 2-acetoxysuccinate (703 mg, quantitative) as an off-white solid:1H NMR (300 MHz, DMSO-d6) δ 5.52 (q, J=6.9 Hz, 1H), 5.18 (dd, J=7.5, 5.1 Hz, 1H), 3.05-2.91 (m, 2H), 2.82 (br s, 4H), 2.05 (s, 3H), 1.56 (d, J=6.9 Hz, 3H), 1.41 (s, 9H).
Preparation of (S)-4-((S)-1-(((4R,4aS,7aR,12bS)-9-((tert-Butoxycarbonyl)oxy)-4a-hydroxy-3-methyl-2,3,4,4a,5,7a-hexahydro-1H-4,12-methanobenzofuro[3,2-e]isoquinolin-7-yl)oxy)-1-oxopropan-2-yl) 1-tert-butyl 2-acetoxysuccinate
Figure US10226456-20190312-C01210
A solution of tert-butyl ((4R,4aS,7aR,12bS)-4a-hydroxy-3-methyl-7-oxo-2,3,4,4a,5,6,7,7a-octahydro-1H-4,12-methanobenzofuro[3,2-e]isoquinolin-9-yl) carbonate (387 mg, 0.964 mmol) in tetrahydrofuran (8 mL) was cooled in an ice bath and treated dropwise with a 1.0 M solution of lithium bis(trimethylsilyl)amide in tetrahydrofuran (1.2 mL, 1.2 mmol). After addition was complete, the mixture was stirred at 0° C. for 1 h. The mixture was re-cooled to −45° C. and treated dropwise with a solution of (S)-1-tert-butyl 4-((S)-1-((2,5-dioxopyrrolidin-1-yl)oxy)-1-oxopropan-2-yl) 2-acetoxysuccinate (425 mg, 1.06 mmol) in tetrahydrofuran (4 mL). After addition was complete, the mixture was warmed to 0° C. After this time, the reaction mixture was treated with saturated aqueous ammonium chloride (20 mL) and extracted with ethyl acetate (2×50 mL). The combined organics were dried over sodium sulfate, filtered, and concentrated under reduced pressure. The crude residue was purified by column chromatography (40 g silica gel column, 0-20% methanol/methylene chloride, then 50 g C18 column, 10-100% acetonitrile/water) to provide (S)-4-((S)-1-(((4R,4aS,7aR,12bS)-9-((tert-butoxycarbonyl)oxy)-4a-hydroxy-3-methyl-2,3,4,4a,5,7a-hexahydro-1H-4,12-methanobenzofuro[3,2-e]isoquinolin-7-yl)oxy)-1-oxopropan-2-yl) 1-tert-butyl 2-acetoxysuccinate (271 mg, 40%) as a white solid: ESI MS m/z 688 [C35H45NO13+H]+.
Preparation of (S)-2-Acetoxy-4-(((S)-1-(((4R,4aS,7aR,12bS)-4a,9-dihydroxy-3-methyl-2,3,4,4a,5,7a-hexahydro-1H-4,12-methanobenzofuro[3,2-e]isoquinolin-7-yl)oxy)-1-oxopropan-2-yl)oxy)-4-oxobutanoic acid trifluoroacetic acid salt
Figure US10226456-20190312-C01211
A solution of (S)-4-((S)-1-(((4R,4aS,7aR,12bS)-9-((tert-butoxycarbonyl)oxy)-4a-hydroxy-3-methyl-2,3,4,4a,5,7a-hexahydro-1H-4,12-methanobenzofuro[3,2-e]isoquinolin-7-yl)oxy)-1-oxopropan-2-yl) 1-tert-butyl 2-acetoxysuccinate (170 mg, 0.247 mmol) in methylene chloride (5.0 mL) was treated with trifluoroacetic acid (3.0 mL) and stirred under a nitrogen atmosphere at ambient temperature for 2 h. After this time, the reaction mixture was concentrated under reduced pressure. The residue was purified by reversed phase column chromatography (50 g C18 column, 0-100% acetonitrile/water with 0.1% trifluoroacetic acid) and freeze dried to provide (S)-2-acetoxy-4-(((S)-1-(((4R,4aS,7aR,12bS)-4a,9-dihydroxy-3-methyl-2,3,4,4a,5,7a-hexahydro-1H-4,12-methanobenzofuro[3,2-e]isoquinolin-7-yl)oxy)-1-oxopropan-2-yl)oxy)-4-oxobutanoic acid trifluoroacetic acid salt (50 mg, 30%) as a fluffy white solid:1H NMR (300 MHz, DMSO-d6) δ 13.3 (br s, 1H), 9.29 (s, 1H), 9.15 (br s, 1H), 6.65 (apparent q, J=8.1 Hz, 2H), 6.24 (s, 1H), 5.58 (dd, J=5.7, 2.1 Hz, 1H), 5.27 (dd, J=8.4, 4.5 Hz, 1H), 5.18 (q, J=6.9 Hz, 1H), 4.97 (s, 1H), 3.11-2.96 (m, 4H), 2.83 (d, J=3.9 Hz, 3H), 2.73-2.41 (m, 4H), 2.29 (m, 1H), 2.09-2.04 (m, 4H), 1.63 (m, 1H), 1.52 (d, J=7.2 Hz, 3H); ESI MS m/z 532 [C26H29NO11+H]+; HPLC (Method A) 95.1% (AUC), tR=7.64 min.
Figure US10226456-20190312-C01212
Preparation of (S)-4-tert-Butyl 1-(2,5-dioxopyrrolidin-1-yl) 2-acetoxysuccinate
Figure US10226456-20190312-C01213
A solution of (S)-2-acetoxy-4-(tert-butoxy)-4-oxobutanoic acid (2.00 g, 8.61 mmol) in tetrahydrofuran (60 mL) was treated with N-hydroxysuccinimide (1.09 g, 9.47 mmol) and N,N′-dicyclohexylcarbodiimide (1.95 g, 9.47 mmol) and stirred under a nitrogen atmosphere for 4 h. After this time, the reaction mixture was filtered to remove the solid dicyclohexylurea byproduct. The solid was washed with diethyl ether (100 mL), and the combined filtrate and washings were concentrated under reduced pressure. The residue was triturated with diethyl ether to provide (S)-4-tert-butyl 1-(2,5-dioxopyrrolidin-1-yl) 2-acetoxysuccinate (3.37 g) as a brown oil:1H NMR (300 MHz, CDCl3) δ 5.76 (dd, J=8.1, 4.8 Hz, 1H), 3.01-2.88 (m, 2H), 2.84 (s, 4H), 2.14 (s, 3H), 1.46 (s, 9H).
Preparation of (S)-1-((4R,4aS,7aR,12bS)-9-((tert-Butoxycarbonyl)oxy)-4a-hydroxy-3-methyl-2,3,4,4a,5,7a-hexahydro-1H-4,12-methanobenzofuro[3,2-e]isoquinolin-7-yl) 4-tert-butyl 2-acetoxysuccinate
Figure US10226456-20190312-C01214
A solution of tert-butyl ((4R,4aS,7aR,12bS)-4a-hydroxy-3-methyl-7-oxo-2,3,4,4a,5,6,7,7a-octahydro-1H-4,12-methanobenzofuro[3,2-e]isoquinolin-9-yl) carbonate (500 mg, 1.25 mmol) in tetrahydrofuran (10 mL) was cooled in an ice bath and treated dropwise with a 1.0 M solution of lithium bis(trimethylsilyl)amide in tetrahydrofuran (1.5 mL, 1.5 mmol). After addition was complete, the mixture was stirred at 0° C. for 1 h. The mixture was re-cooled to −45° C. and treated dropwise with a solution of (S)-4-tert-butyl 1-(2,5-dioxopyrrolidin-1-yl) 2-acetoxysuccinate (451 mg, 1.37 mmol) in tetrahydrofuran (5 mL). After addition was complete, the mixture was warmed to 0° C. After this time, the reaction mixture was treated with saturated aqueous ammonium chloride (20 mL) and extracted with ethyl acetate (2×50 mL). The combined organics were dried over sodium sulfate, filtered, and concentrated under reduced pressure. The crude residue was purified by column chromatography (40 g silica gel column, 0-20% methanol/methylene chloride, then 50 g C18 column, 10-100% acetonitrile/water) to provide (S)-1-((4R,4aS,7aR,12bS)-9-((tert-butoxycarbonyl)oxy)-4a-hydroxy-3-methyl-2,3,4,4a,5,7a-hexahydro-1H-4,12-methanobenzofuro[3,2-e]isoquinolin-7-yl) 4-tert-butyl 2-acetoxysuccinate (278 mg, 36%) as a white solid: ESI MS m/z 616 [C32H41NO11+H]+.
Preparation of (S)-3-Acetoxy-4-(((4R,4aS,7aR,12bS)-4a,9-dihydroxy-3-methyl-2,3,4,4a,5,7a-hexahydro-1H-4,12-methanobenzofuro[3,2-e]isoquinolin-7-yl)oxy)-4-oxobutanoic acid trifluoroacetic acid salt
Figure US10226456-20190312-C01215
A solution of (S)-1-((4R,4aS,7aR,12bS)-9-((tert-butoxycarbonyl)oxy)-4a-hydroxy-3-methyl-2,3,4,4a,5,7a-hexahydro-1H-4,12-methanobenzofuro[3,2-e]isoquinolin-7-yl) 4-tert-butyl 2-acetoxysuccinate (139 mg, 0.226 mmol) in methylene chloride (3 mL) was treated with trifluoroacetic acid (3 mL) and stirred under a nitrogen atmosphere at ambient temperature for 1 h. After this time, the reaction mixture was concentrated under reduced pressure. The residue was purified by reversed phase column chromatography (50 g C18 column, 0-100% acetonitrile/water with 0.1% trifluoroacetic acid) and freeze dried to provide (S)-3-acetoxy-4-(((4R,4aS,7aR,12bS)-4a,9-dihydroxy-3-methyl-2,3,4,4a,5,7a-hexahydro-1H-4,12-methanobenzofuro[3,2-e]isoquinolin-7-yl)oxy)-4-oxobutanoic acid trifluoroacetic acid salt (38 mg, 28%) as a fluffy white solid:1H NMR (300 MHz, DMSO-d6) δ 12.8 (br s, 1H), 9.29 (s, 1H), 9.16 (br s, 1H), 6.65 (apparent q, J=8.1 Hz, 2H), 6.26 (s, 1H), 5.60 (dd, J=5.7, 2.1 Hz, 1H), 5.39 (dd, J=7.2, 4.2 Hz, 1H), 4.92 (s, 1H), 3.62-3.34 (m, 1H), 3.11-2.83 (m, 7H), 2.73-2.39 (m, 3H), 2.29 (m, 1H), 2.11 (s, 3H), 2.06 (m, 1H), 1.62 (m, 1H); ESI MS m/z 460 [C23H25NO9+H]+.
Figure US10226456-20190312-C01216
Preparation of (S)-2-(((S)-2-Acetoxy-4-(tert-butoxy)-4-oxobutanoyl)oxy)-2-phenylacetic acid
Figure US10226456-20190312-C01217
(S)-Mandelic acid (770 mg, 5.06 mmol), (S)-4-tert-butyl 1-(2,5-dioxopyrrolidin-1-yl) 2-acetoxysuccinate (2.00 g, 6.07 mmol), 4-(dimethylamino)pyridine (62 mg, 0.506 mmol), pyridine (480 mg, 6.07 mmol) and tetrahydrofuran (34 mL) were combined and heated at 60° C. under a nitrogen atmosphere for 24 h. After this time, the solvent was removed under reduced pressure, and the residue was participated between ethyl acetate (20 mL) and 10% aqueous citric acid. The organic layer was separated and extracted with saturated aqueous sodium bicarbonate (20 ml). The aqueous phase was collected and acidified to pH=3 with 6 N hydrochloric acid, and the mixture was extracted with ethyl acetate (2×20 mL). The combined organics were washed with brine (50 mL), dried over sodium sulfate, filtered, and concentrated under reduced pressure to provide (S)-2-(((S)-2-acetoxy-4-(tert-butoxy)-4-oxobutanoyl)oxy)-2-phenylacetic acid (754 mg, 41%) as a colorless oil:1H NMR (300 MHz, CDCl3) δ 7.48-7.39 (m, 5H), 6.03 (s, 1H), 5.54 (m, 1H), 3.01-2.76 (m, 2H), 2.13 (s, 3H), 1.45 (s, 9H), CO2H proton not observed.
Preparation of (S)-4-tert-Butyl 1-((S)-2-((2,5-dioxopyrrolidin-1-yl)oxy)-2-oxo-1-phenylethyl) 2-acetoxysuccinate
Figure US10226456-20190312-C01218
A solution of (S)-2-(((S)-2-acetoxy-4-(tert-butoxy)-4-oxobutanoyl)oxy)-2-phenylacetic acid (754 mg, 2.06 mmol) in tetrahydrofuran (15 mL) was treated with N-hydroxysuccinimide (260 mg, 2.26 mmol) and N,N′-dicydohexylcarbodiimide (466 mg, 2.26 mmol) and stirred under a nitrogen atmosphere for 5 h. After this time, the reaction mixture was filtered to remove the solid dicyclohexylurea byproduct. The solid was washed with diethyl ether (100 mL), and the combined filtrate and washings were concentrated under reduced pressure. The residue was triturated with diethyl ether to provide (S)-4-tert-butyl 1-((S)-2-((2,5-dioxopyrrolidin-1-yl)oxy)-2-oxo-1-phenylethyl) 2-acetoxysuccinate (930 mg) as a yellow oil:1H NMR (300 MHz, CDCl3) δ 7.55-7.43 (m, 5H), 6.39 (s, 1H), 5.53 (m, 1H), 2.98-2.76 (m, 6H), 2.15 (s, 3H), 1.46 (s, 9H).
Preparation of (S)-1-((S)-2-(((4R,4aS,7aR,12bS)-9-((tert-Butoxycarbonyl)oxy)-4a-hydroxy-3-methyl-2,3,4,4a,5,7a-hexahydro-1H-4,12-methanobenzofuro[3,2-e]isoquinolin-7-yl)oxy)-2-oxo-1-phenylethyl) 4-tert-butyl 2-acetoxysuccinate
Figure US10226456-20190312-C01219
A solution of tert-butyl ((4R,4aS,7aR,12bS)-4a-hydroxy-3-methyl-7-oxo-2,3,4,4a,5,6,7,7a-octahydro-1H-4,12-methanobenzofuro[3,2-e]isoquinolin-9-yl) carbonate (400 mg, 0.996 mmol) in tetrahydrofuran (8 mL) was cooled in an ice bath and treated dropwise with a 1.0 M solution of lithium bis(trimethylsilyl)amide in tetrahydrofuran (1.2 mL, 1.2 mmol). After addition was complete, the mixture was stirred at 0° C. for 1 h. The mixture was re-cooled to −45° C. and treated dropwise with a solution of (S)-4-tert-butyl 1-((S)-2-((2,5-dioxopyrrolidin-1-yl)oxy)-2-oxo-1-phenylethyl) 2-acetoxysuccinate (508 mg, 1.10 mmol) in tetrahydrofuran (5 mL). After addition was complete, the mixture was warmed to 0° C. After this time, the reaction mixture was treated with saturated aqueous ammonium chloride (20 mL) and extracted with ethyl acetate (2×50 mL). The combined organics were dried over sodium sulfate, filtered, and concentrated under reduced pressure. The crude residue was purified by column chromatography (40 g silica gel column, 0-20% methanol/methylene chloride, then 50 g C18 column, 10-100% acetonitrile/water) to provide (S)-1-((S)-2-(((4R,4aS,7aR,12bS)-9-((tert-butoxycarbonyl)oxy)-4a-hydroxy-3-methyl-2,3,4,4a,5,7a-hexahydro-1H-4,12-methanobenzofuro[3,2-e]isoquinolin-7-yl)oxy)-2-oxo-1-phenylethyl) 4-tert-butyl 2-acetoxysuccinate (160 mg, 21%) as a white solid: ESI MS m/z 750 [C40H47NO13+H]+.
Preparation of (S)-3-Acetoxy-4-((S)-2-(((4R,4aS,7aR,12bS)-4a,9-dihydroxy-3-methyl-2,3,4,4a,5,7a-hexahydro-1H-4,12-methanobenzofuro[3,2-e]isoquinolin-7-yl)oxy)-2-oxo-1-phenylethoxy)-4-oxobutanoic acid trifluoroacetic acid salt
Figure US10226456-20190312-C01220
A solution of (S)-1-((S)-2-(((4R,4aS,7aR,12bS)-9-((tert-butoxycarbonyl)oxy)-4a-hydroxy-3-methyl-2,3,4,4a,5,7a-hexahydro-1H-4,12-methanobenzofuro[3,2-e]isoquinolin-7-yl)oxy)-2-oxo-1-phenylethyl) 4-tert-butyl 2-acetoxysuccinate (160 mg, 0.213 mmol) in methylene chloride (3 mL) was treated with trifluoroacetic acid (3 mL) and stirred under a nitrogen atmosphere at ambient temperature for 2 h. After this time, the reaction mixture was concentrated under reduced pressure. The residue was purified by reversed phase column chromatography (50 g C18 column, 0-100% acetonitrile/water with 0.1% trifluoroacetic acid) and freeze dried to provide (S)-3-acetoxy-4-((S)-2-(((4R,4aS,7aR,12bS)-4a,9-dihydroxy-3-methyl-2,3,4,4a,5,7a-hexahydro-1H-4,12-methanobenzofuro[3,2-e]isoquinolin-7-yl)oxy)-2-oxo-1-phenylethoxy)-4-oxobutanoic acid trifluoroacetic acid salt (86 mg, 57%) as a fluffy white solid:1H NMR (300 MHz, DMSO-d6) δ 12.8 (br s, 1H), 9.34 (s, 1H), 9.27 (br s, 1H), 7.60-7.54 (m, 2H), 7.49-7.45 (m, 3H), 6.68 (d, J=8.1 Hz, 1H), 6.66 (d, J=8.1 Hz, 1H), 6.24 (s, 2H), 5.58 (dd, J=5.7, 2.1 Hz, 1H), 5.44 (dd, J=9.0, 3.6 Hz, 1H), 4.86 (s, 1H), 3.40-3.33 (m, 2H), 3.07-2.99 (m, 2H), 2.89-2.82 (m, 4H), 2.63-2.39 (m, 4H), 2.25 (m, 1H), 2.09-2.02 (m, 3H), 1.59 (m, 1H); ESI MS m/z 594 [C31H31NO11+H]+; HPLC (Method A) 98.9% (AUC), tR=8.92 min.
Figure US10226456-20190312-C01221
Preparation of (2R,3R)-2,3-Diacetoxy-4-((S)-2-(tert-butoxy)-2-oxo-1-phenylethoxy)-4-oxobutanoic acid and (2R,3R)-2,3-Diacetoxy-4-((R)-2-(tert-butoxy)-2-oxo-1-phenylethoxy)-4-oxobutanoic acid
Figure US10226456-20190312-C01222
A solution of (3R,4R)-2,5-dioxotetrahydrofuran-3,4-diyl diacetate (1.35 g, 6.25 mmol) in N,N-dimethylformamide (1.5 mL) at 0° C. was treated with (S)-tert-butyl 2-hydroxy-2-phenylacetate (˜7:3 S/R mixture, 1.02 g, 4.90 mmol) followed by pyridine (0.36 mL, 4.47 mmol), and the mixture was stirred at 0° C. for 1 h. After this time, the reaction mixture was diluted with ethyl acetate; washed with 10% citric acid, water, and brine; filtered; and concentrated. The residue was purified by reversed phase column chromatography (150 g C18 column, 3-20% acetonitrile/water) to provide (2R,3R)-2,3-diacetoxy-4-((S)-2-(tert-butoxy)-2-oxo-1-phenylethoxy)-4-oxobutanoic acid (dr 95:5, 1.47 g, 54%) and (2R,3R)-2,3-diacetoxy-4-((R)-2-(tert-butoxy)-2-oxo-1-phenylethoxy)-4-oxobutanoic acid (dr 85:15, 0.55 g, 18%). (2R,3R)-2,3-Diacetoxy-4-((S)-2-(tert-butoxy)-2-oxo-1-phenylethoxy)-4-oxobutanoic acid:1H NMR (300 MHz, CDCl3) δ 7.26 (s, 5H), 5.94 (s, 1H), 5.90 (d, J=2.6 Hz, 1H), 5.81 (s, J=2.6 Hz, 1H), 2.17 (s, 3H), 1.92 (s, 3H), 1.40 (s, 9H), CO2H proton not observed.
Preparation of (2R,3R)-1-((S)-2-(tert-Butoxy)-2-oxo-1-phenylethyl) 4-(2,5-dioxopyrrolidin-1-yl) 2,3-diacetoxysuccinate
Figure US10226456-20190312-C01223
A mixture of (2R,3R)-2,3-diacetoxy-4-((S)-2-(tert-butoxy)-2-oxo-1-phenylethoxy)-4-oxobutanoic acid (1.07 g, 2.52 mmol) and N-hydroxysuccinimide (320 mg, 2.78 mmol) in tetrahydrofuran (14 mL) was treated with N,N′-dicyclohexylcarbodiimide (570 mg, 2.76 mmol), and the reaction mixture was stirred at ambient temperature for 4 h. After this time, diethyl ether (20 mL) was added, and the mixture was filtered. The filtrate was concentrated under reduced pressure to provide (2R,3R)-1-((S)-2-(tert-butoxy)-2-oxo-1-phenylethyl) 4-(2,5-dioxopyrrolidin-1-yl) 2,3-diacetoxysuccinate (1.41 g, 80%) that was used without purification:1H NMR (300 MHz, CDCl3) δ 7.38 (s, 5H), 6.14 (d, J=2.8 Hz, 1H), 6.02 (d, J=2.8 Hz, 1H), 5.92 (s, 1H), 2.83 (s, 4H), 2.24 (s, 3H), 1.97 (s, 3H), 1.41 (s, 9H).
Preparation of (2R,3R)-1-((S)-2-(tert-Butoxy)-2-oxo-1-phenylethyl) 4-((4R,4aS,7aR,12bS)-9-((tert-butoxycarbonyl)oxy)-4a-hydroxy-3-methyl-2,3,4,4a,5,7a-hexahydro-1H-4,12-methanobenzofuro[3,2-e]isoquinolin-7-yl) 2,3-diacetoxysuccinate
Figure US10226456-20190312-C01224
A solution of tert-butyl ((4R,4aS,7aR,12bS)-4a-hydroxy-3-methyl-7-oxo-2,3,4,4a,5,6,7,7a-octahydro-1H-4,12-methanobenzofuro[3,2-e]isoquinolin-9-yl) carbonate (400 mg, 1.00 mmol) in tetrahydrofuran (8 mL) was cooled to 0° C. and treated dropwise with a 1.0 M solution of lithium bis(trimethylsilyl)amidein tetrahydrofuran (1.1 mL, 1.1 mmol). After addition was complete, the mixture was stirred at ambient temperature for 10 min. The mixture was re-cooled to 0° C., and (2R,3R)-1-((S)-2-(tert-butoxy)-2-oxo-1-phenylethyl) 4-(2,5-dioxopyrrolidin-1-yl) 2,3-diacetoxysuccinate (550 mg, 1.06 mmol) was added in one portion. The mixture was stirred at 0° C. for 45 min. After this time, the mixture was treated with saturated aqueous ammonium chloride and extracted with ethyl acetate. The combined organics were dried over sodium sulfate, filtered, and concentrated under reduced pressure. The residue was purified by reversed phase column chromatography (50 g C18 column, 10-100% acetonitrile/water) to provide (2R,3R)-1-((S)-2-(tert-butoxy)-2-oxo-1-phenylethyl) 4-((4R,4aS,7aR,12bS)-9-((tert-butoxycarbonyl)oxy)-4a-hydroxy-3-methyl-2,3,4,4a,5,7a-hexahydro-1H-4,12-methanobenzofuro[3,2-e]isoquinolin-7-yl) 2,3-diacetoxysuccinate (270 mg, 33%): ESI MS m/z 808 [C42H49NO15+H]+.
Preparation of (S)-2-(((2R,3R)-2,3-Diacetoxy-4-(((4R,4aS,7aR,12bS)-4a,9-dihydroxy-3-methyl-2,3,4,4a,5,7a-hexahydro-1H-4,12-methanobenzofuro[3,2-e]isoquinolin-7-yl)oxy)-4-oxobutanoyl)oxy)-2-phenylacetic acid trifluoroacetic acid salt
Figure US10226456-20190312-C01225
A solution of (2R,3R)-1-((S)-2-(tert-butoxy)-2-oxo-1-phenylethyl) 4-((4R,4aS,7aR,12bS)-9-((tert-butoxycarbonyl)oxy)-4a-hydroxy-3-methyl-2,3,4,4a,5,7a-hexahydro-1H-4,12-methanobenzofuro[3,2-e]isoquinolin-7-yl) 2,3-diacetoxysuccinate (270 mg, 0.33 mmol) in methylene chloride (6 mL) was treated with trifluoroacetic acid (1 mL) and stirred at ambient temperature for 4 h. After this time, the reaction mixture was concentrated under reduced pressure. The residue was purified by reversed phase column chromatography (50 g C18 column, 3-30% acetonitrile/water, with 0.1% trifluoracetic acid) and freeze dried to provide (S)-2-(((2R,3R)-2,3-diacetoxy-4-(((4R,4aS,7aR,12bS)-4a,9-dihydroxy-3-methyl-2,3,4,4a,5,7a-hexahydro-1H-4,12-methanobenzofuro[3,2-e]isoquinolin-7-yl)oxy)-4-oxobutanoyl)oxy)-2-phenylacetic acid trifluoroacetic acid salt (42 mg, 20%):1H NMR (300 MHz, DMSO-d6) δ 9.35 (s, 1H), 9.15 (br s, 1H), 7.46-7.40 (m, 5H), 6.68 (d, J=8.2 Hz, 1H), 6.63 (d, J=8.2 Hz, 1H), 6.30 (s, 1H), 6.01 (s, 1H), 5.96 (d, J=2.7 Hz, 1H), 5.86 (d, J=2.7 Hz, 1H), 5.56-5.51 (m, 1H), 4.83 (s, 1H), 3.62 (d, J=6.2 Hz, 1H), 3.11-3.01 (m, 1H), 3.83 (s, 3H), 2.70-2.54 (m, 1H), 2.49-2.39 (m, 1H), 2.32-2.16 (m, 5H), 2.07 (d, J=18.0 Hz, 1H), 2.01 (s, 3H), 1.62 (d, J=12.0 Hz, 1H), CO2H proton not observed; ESI MS m/z 652 [C33H33NO13+H]+; HPLC (Method A) 98.7% (AUC), tR=9.12 min.
Figure US10226456-20190312-C01226
Preparation of (S)-2-(((S)-5-(tert-Butoxy)-4-((tert-butoxycarbonyl)amino)-5-oxopentanoyl)oxy)propanoic acid
Figure US10226456-20190312-C01227
(S)-Lactic acid (270 mg, 3.00 mmol), (S)-1-tert-butyl 5-(2,5-dioxopyrrolidin-1-yl) 2-((tert-butoxycarbonyl)amino)pentanedioate (1.00 g, 2.50 mmol), 4-(dimethylamino)pyridine (31 mg, 0.250 mmol), and pyridine (237 mg, 3.00 mmol) were combined and heated at 60° C. under a nitrogen atmosphere for 48 h. After this time, the solvent was removed under reduced pressure, and the residue was participated between ethyl acetate (20 mL) and 10% aqueous citric acid. The organic layer was separated and extracted with saturated aqueous sodium bicarbonate (20 ml). The aqueous phase was collected and acidified to pH=3 with 6 N hydrochloric acid, and the mixture was extracted with ethyl acetate (2×20 mL). The combined organics were washed with brine (50 mL), dried over sodium sulfate, filtered, and concentrated under reduced pressure to provide (S)-2-(((S)-5-(tert-butoxy)-4-((tert-butoxycarbonyl)amino)-5-oxopentanoyl)oxy)propanoic acid (726 mg, 77%) as a colorless oil:1H NMR (300 MHz, CDCl3) δ 5.19-5.12 (m, 2H), 2.51-2.42 (m, 2H), 2.18 (m, 1H), 1.91 (m, 1H), 1.54 (d, J=7.2 Hz, 3H), 1.47 (s, 9H), 1.45 (s, 9H), CO2H and NH protons not observed.
Preparation of (S)-1-tert-Butyl 5-((S)-1-((2,5-dioxopyrrolidin-1-yl)oxy)-1-oxopropan-2-yl) 2-((tert-butoxycarbonyl)amino)pentanedioate
Figure US10226456-20190312-C01228
A solution of (S)-2-(((S)-5-(tert-butoxy)-4-((tert-butoxycarbonyl)amino)-5-oxopentanoyl)oxy)propanoic acid (726 mg, 1.93 mmol) in tetrahydrofuran (15 mL) was treated with N-hydroxysuccinimide (245 mg, 2.13 mmol) and N,N′-dicyclohexylcarbodiimide (439 mg, 2.13 mmol) and stirred under a nitrogen atmosphere for 5 h. After this time, the reaction mixture was filtered to remove the solid dicyclohexylurea byproduct. The solid was washed with diethyl ether (100 mL), and the combined filtrate and washings were concentrated under reduced pressure. The residue was triturated with diethyl ether to provide (S)-1-tert-butyl 5-((S)-1-((2,5-dioxopyrrolidin-1-yl)oxy)-1-oxopropan-2-yl) 2-((tert-butoxycarbonyl)amino)pentanedioate (1.03 g, quantitative) as a white solid:1H NMR (300 MHz, CDCl3) δ 5.42 (dd, J=14.1, 7.2 Hz, 1H), 5.08 (m, 1H), 2.84 (s, 4H), 2.53-2.46 (m, 2H), 2.20 (m, 1H), 1.91 (m, 1H), 1.67 (d, J=7.2 Hz, 3H), 1.47 (s, 9H), 1.45 (s, 9H), NH proton not observed.
Preparation of (S)-5-((S)-1-(((4R,4aS,7aR,12bS)-9-((tert-Butoxycarbonyl)oxy)-4a-hydroxy-3-methyl-2,3,4,4a,5,7a-hexahydro-1H-4,12-methanobenzofuro[3,2-e]isoquinolin-7-yl)oxy)-1-oxopropan-2-yl) 1-tert-butyl 2-((tert-butoxycarbonyl)amino)pentanedioate
Figure US10226456-20190312-C01229
A solution of tert-butyl ((4R,4aS,7aR,12bS)-4a-hydroxy-3-methyl-7-oxo-2,3,4,4a,5,6,7,7a-octahydro-1H-4,12-methanobenzofuro[3,2-e]isoquinolin-9-yl) carbonate (400 mg, 0.996 mmol) in tetrahydrofuran (8 mL) was cooled in an ice bath and treated dropwise with a 1.0 M solution of lithium bis(trimethylsilyl)amide in tetrahydrofuran (1.2 mL, 1.2 mmol). After addition was complete, the mixture was stirred at 0° C. for 1 h. The mixture was re-cooled to −45° C. and treated dropwise with a solution of (S)-1-tert-butyl 5-((S)-1-((2,5-dioxopyrrolidin-1-yl)oxy)-1-oxopropan-2-yl) 2-((tert-butoxycarbonyl)amino)pentanedioate (518 mg, 1.10 mmol) in tetrahydrofuran (5 mL). After addition was complete, the mixture was warmed to 0° C. After this time, the reaction mixture was treated with saturated aqueous ammonium chloride (20 mL) and extracted with ethyl acetate (2×50 mL). The combined organics were dried over sodium sulfate, filtered, and concentrated under reduced pressure. The crude residue was purified by column chromatography (40 g silica gel column, 0-20% methanol/methylene chloride, then 50 g C18 column, 10-100% acetonitrile/water) to provide (S)-5-((S)-1-(((4R,4aS,7aR,12bS)-9-((tert-butoxycarbonyl)oxy)-4a-hydroxy-3-methyl-2,3,4,4a,5,7a-hexahydro-1H-4,12-methanobenzofuro[3,2-e]isoquinolin-7-yl)oxy)-1-oxopropan-2-yl) 1-tert-butyl 2-((tert-butoxycarbonyl)amino)pentanedioate (264 mg, 35%) as a white solid: ESI MS m/z 759 [C39H54N2O13+H]+.
Preparation of (S)-2-Amino-5-(((S)-1-(((4R,4aS,7aR,12bS)-4a,9-dihydroxy-3-methyl-2,3,4,4a,5,7a-hexahydro-1H-4,12-methanobenzofuro[3,2-e]isoquinolin-7-yl)oxy)-1-oxopropan-2-yl)oxy)-5-oxopentanoic acid bis(trifluoroacetic acid salt)
Figure US10226456-20190312-C01230
A solution of (S)-5-((S)-1-(((4R,4aS,7aR,12bS)-9-((tert-butoxycarbonyl)oxy)-4a-hydroxy-3-methyl-2,3,4,4a,5,7a-hexahydro-1H-4,12-methanobenzofuro[3,2-e]isoquinolin-7-yl)oxy)-1-oxopropan-2-yl) 1-tert-butyl 2-((tert-butoxycarbonyl)amino)pentanedioate (160 mg, 0.211 mmol) in methylene chloride (3 mL) was treated with trifluoroacetic acid (3 mL) and stirred under a nitrogen atmosphere at ambient temperature for 3 h. After this time, the reaction mixture was concentrated under reduced pressure. The residue was purified by reversed phase column chromatography (50 g C18 column, 0-100% acetonitrile/water with 0.1% trifluoroacetic acid) and freeze dried to provide (S)-2-amino-5-(((S)-1-(((4R,4aS,7aR,12bS)-4a,9-dihydroxy-3-methyl-2,3,4,4a,5,7a-hexahydro-1H-4,12-methanobenzofuro[3,2-e]isoquinolin-7-yl)oxy)-1-oxopropan-2-yl)oxy)-5-oxopentanoic acid bis(trifluoroacetic acid salt) (76 mg, 47%) as a fluffy white solid:1H NMR (300 MHz, DMSO-d6) δ 9.30 (br s, 1H), 9.16 (br s, 1H), 8.27 (br s, 3H), 6.66 (apparent q, J=8.1 Hz, 2H), 6.26 (s, 1H), 5.58 (dd, J=6.0, 2.1 Hz, 1H), 5.13 (q, J=4.2 Hz, 1H), 4.96 (s, 1H), 3.96 (m, 1H), 3.44 (m, 2H), 3.05 (m, 1H), 2.84 (s, 3H), 2.73-2.41 (m, 5H), 2.28 (m, 1H), 2.18-2.00 (m, 3H), 1.62 (m, 1H), 1.53 (d, J=7.2 Hz, 3H), CO2H proton not observed; ESI MS m/z 503 [C25H30N2O9+H]4; HPLC (Method A) 95.0% (AUC), tR=6.38 min.
Figure US10226456-20190312-C01231
Preparation of (S)-3-Acetoxy-4-(((S)-1-(tert-butoxy)-1-oxopropan-2-yl)oxy)-4-oxobutanoic acid
Figure US10226456-20190312-C01232
A solution of (S)-2,5-dioxotetrahydrofuran-3-yl acetate (0.70 g, 3.4 mmol) and (S)-tert-butyl 2-hydroxypropanoate (0.50 g, 3.4 mmol) in N,N-dimethylformamide (4 mL) was cooled in an ice bath and treated with pyridine (0.36 mL, 4.4 mmol). After addition was complete, the mixture was stirred at ambient temperature for 16 h. After this time, the mixture was diluted with water (20 mL) and extracted with ethyl acetate (2×20 mL). The combined organics were washed with brine (50 mL), dried over sodium sulfate, filtered, and concentrated under reduced pressure to provide (S)-3-acetoxy-4-(((S)-1-(tert-butoxy)-1-oxopropan-2-yl)oxy)-4-oxobutanoic acid (0.6 g, 58%) as a brown oil:1H NMR (300 MHz, CDCl3)1H NMR (300 MHz, CDCl3) δ 5.49 (dd, J=9.3, 3.3 Hz, 1H), 5.03 (dd, J=14.1, 6.9 Hz, 1H), 3.13 (dd, J=17.1, 3.3 Hz, 1H), 2.95 (dd, J=17.1, 9.3 Hz, 1H), 2.13 (s, 3H), 1.48 (d, J=7.2 Hz, 3H), 1.46 (s, 9H), CO2H proton not observed.
Preparation of (S)-1-((S)-1-(tert-Butoxy)-1-oxopropan-2-yl) 4-(2,5-dioxopyrrolidin-1-yl) 2-acetoxysuccinate
Figure US10226456-20190312-C01233
(S)-3-Acetoxy-4-(((S)-1-(tert-butoxy)-1-oxopropan-2-yl)oxy)-4-oxobutanoic acid (1.8 g, 6.01 mmol), 1-hydroxypyrrolidine-2,5-dione (0.81 g, 7.0 mmol) and dicyclohexylcarbodiimide (1.36 g, 6.61 mmol) were combined and stirred in tetrahydrofuran (40 mL) at ambient temperature for 4 h. After this time, the mixture was filtered and concentrated under reduced pressure to provide (S)-1-((S)-1-(tert-butoxy)-1-oxopropan-2-yl) 4-(2,5-dioxopyrrolidin-1-yl) 2-acetoxysuccinate (2.64 g, 99%) as a sticky solid:1H NMR (300 MHz, DMSO-d6) δ 5.50 (dd, J=8.7, 4.2 Hz, 1H), 5.00 (dd, J=14.1, 6.9 Hz, 1H), 3.40 (dd, J=17.1, 3.3 Hz, 1H), 3.30 (dd, J=17.1, 9.3 Hz, 1H), 2.77 (s, 4H), 2.10 (s, 3H), 1.46 (d, J=6.9 Hz, 3H), 1.41 (s, 9H).
Preparation of (S)-1-((S)-1-(tert-Butoxy)-1-oxopropan-2-yl) 4-((4R,4aS,7aR,12bS)-9-((tert-butoxycarbonyl)oxy)-4a-hydroxy-3-methyl-2,3,4,4a,5,7a-hexahydro-1H-4,12-methanobenzofuro[3,2-e]isoquinolin-7-yl) 2-acetoxysuccinate
Figure US10226456-20190312-C01234
A solution of tert-butyl ((4R,4aS,7aR,12bS)-4a-hydroxy-3-methyl-7-oxo-2,3,4,4a,5,6,7,7a-octahydro-1H-4,12-methanobenzofuro[3,2-e]isoquinolin-9-yl) carbonate (500 mg, 1.25 mmol) in tetrahydrofuran (10 mL) was cooled in an ice bath and treated dropwise with a 1.0 M solution of lithium bis(trimethylsilyl)amide in tetrahydrofuran (1.5 mL, 1.5 mmol). After addition was complete, the mixture was stirred at 0° C. for 1 h. The mixture was re-cooled to −45° C. and treated dropwise with a solution of (S)-1-((S)-1-(tert-butoxy)-1-oxopropan-2-yl) 4-(2,5-dioxopyrrolidin-1-yl) 2-acetoxysuccinate (550 mg, 1.37 mmol) in tetrahydrofuran (5 mL). After addition was complete, the mixture was warmed to 0° C. After this time, the reaction mixture was treated with saturated aqueous ammonium chloride (20 mL) and extracted with ethyl acetate (2×50 mL). The combined organics were dried over sodium sulfate, filtered, and concentrated under reduced pressure. The crude residue was purified by column chromatography (40 g silica gel column, 0-20% methanol/methylene chloride, then 50 g C18 column, 10-100% acetonitrile/water) to provide (S)-1-((S)-1-(tert-butoxy)-1-oxopropan-2-yl) 4-((4R,4aS,7aR,12bS)-9-((tert-butoxycarbonyl)oxy)-4a-hydroxy-3-methyl-2,3,4,4a,5,7a-hexahydro-1H-4,12-methanobenzofuro[3,2-e]isoquinolin-7-yl) 2-acetoxysuccinate (293 mg, 34%) as a white solid: ESI MS m/z 688 [C35H45NO13+H]+.
Preparation of (S)-2-(((S)-2-Acetoxy-4-(((4R,4aS,7aR,12bS)-4a,9-dihydroxy-3-methyl-2,3,4,4a,5,7a-hexahydro-1H-4,12-methanobenzofuro[3,2-e]isoquinolin-7-yl)oxy)-4-oxobutanoyl)oxy)propanoic acid trifluoroacetic acid salt
Figure US10226456-20190312-C01235
A solution of (S)-1-((S)-1-(tert-butoxy)-1-oxopropan-2-yl) 4-((4R,4aS,7aR,12bS)-9-((tert-butoxycarbonyl)oxy)-4a-hydroxy-3-methyl-2,3,4,4a,5,7a-hexahydro-1H-4,12-methanobenzofuro[3,2-e]isoquinolin-7-yl) 2-acetoxysuccinate (150 mg, 0.218 mmol) in methylene chloride (3 mL) was treated with trifluoroacetic acid (3 mL) and stirred under a nitrogen atmosphere at ambient temperature for 1 h. After this time, the reaction mixture was concentrated under reduced pressure. The residue was purified by reversed phase column chromatography (50 g C18 column, 0-100% acetonitrile/water with 0.1% trifluoroacetic acid) and freeze dried to provide (S)-2-(((S)-2-acetoxy-4-(((4R,4aS,7aR,12bS)-4a,9-dihydroxy-3-methyl-2,3,4,4a,5,7a-hexahydro-1H-4,12-methanobenzofuro[3,2-e]isoquinolin-7-yl)oxy)-4-oxobutanoyl)oxy)propanoic acid trifluoroacetic acid salt (55 mg, 37%) as a fluffy white solid:1H NMR (300 MHz, DMSO-d6) δ 13.2 (br s, 1H), 9.29 (s, 1H), 9.15 (br s, 1H), 6.65 (apparent q, J=8.1 Hz, 2H), 6.23 (s, 1H), 5.58 (dd, J=6.3, 2.1 Hz, 1H), 5.42 (dd, J=9.3, 3.6 Hz, 1H), 5.09-4.97 (m, 2H), 3.43-3.33 (m, 1H), 3.18 (dd, J=17.1, 3.6 Hz, 1H), 3.11-2.93 (m, 3H), 2.84 (s, 3H), 2.73-2.42 (m, 3H), 2.28 (m, 1H), 2.13-2.04 (m, 4H), 1.63 (m, 1H), 1.43 (d, J=7.2 Hz, 3H); ESI MS m/z 532 [C26H29NO11+H]+.
Figure US10226456-20190312-C01236
Preparation of (2R,3R)-1-((R)-2-(tert-Butoxy)-2-oxo-1-phenylethyl) 4-(2,5-dioxopyrrolidin-1-yl) 2,3-diacetoxysuccinate
Figure US10226456-20190312-C01237
A mixture of (2R,3R)-2,3-diacetoxy-4-((R)-2-(tert-butoxy)-2-oxo-1-phenylethoxy)-4-oxobutanoic acid (550 mg, 1.30 mmol) and N-hydroxysuccinimide (165 mg, 1.43 mmol) in tetrahydrofuran (8 mL) was treated with N,N′-dicyclohexylcarbodiimide (295 mg, 1.43 mmol), and the reaction mixture was stirred at ambient temperature for 4 h. After this time, diethyl ether (10 mL) was added and the mixture was filtered. The filtrate was concentrated under reduced pressure to provide (2R,3R)-1-((R)-2-(tert-butoxy)-2-oxo-1-phenylethyl) 4-(2,5-dioxopyrrolidin-1-yl) 2,3-diacetoxysuccinate (1.41 g, 80%) that was used without purification:1H NMR (300 MHz, CDCl3) δ 7.41-7.38 (m, 5H), 6.33 (d, J=2.8 Hz, 1H), 5.95 (d, J=2.8 Hz, 1H), 5.79 (s, 1H), 2.83 (s, 4H), 2.29 (s, 3H), 2.28 (s, 3H), 1.35 (s, 9H).
Preparation of (2R,3R)-1-((R)-2-(tert-Butoxy)-2-oxo-1-phenylethyl) 4-((4R,4aS,7aR,12bS)-9-((tert-butoxycarbonyl)oxy)-4a-hydroxy-3-methyl-2,3,4,4a,5,7a-hexahydro-1H-4,12-methanobenzofuro[3,2-e]isoquinolin-7-yl) 2,3-diacetoxysuccinate
Figure US10226456-20190312-C01238
A solution of tert-butyl ((4R,4aS,7aR,12bS)-4a-hydroxy-3-methyl-7-oxo-2,3,4,4a,5,6,7,7a-octahydro-1H-4,12-methanobenzofuro[3,2-e]isoquinolin-9-yl) carbonate (300 mg, 0.75 mmol) in tetrahydrofuran (6 mL) was cooled to 0° C. and treated dropwise with a 1.0 M solution of lithium bis(trimethylsilyl)amidein tetrahydrofuran (0.75 mL, 0.75 mmol). After addition was complete, the mixture was stirred at ambient temperature for 10 min. The mixture was re-cooled to 0° C., and (2R,3R)-1-((R)-2-(tert-butoxy)-2-oxo-1-phenylethyl) 4-(2,5-dioxopyrrolidin-1-yl) 2,3-diacetoxysuccinate (355 mg, 0.681 mmol) was added in one portion. The mixture was stirred at 0° C. for 45 min. After this time, the mixture was treated with saturated aqueous ammonium chloride and extracted with ethyl acetate. The combined organics were dried over sodium sulfate, filtered, and concentrated under reduced pressure. The residue was purified by reversed phase column chromatography (50 g C18 column, 10-100% acetonitrile/water) to provide (2R,3R)-1-((R)-2-(tert-butoxy)-2-oxo-1-phenylethyl) 4-((4R,4aS,7aR,12bS)-9-((tert-butoxycarbonyl)oxy)-4a-hydroxy-3-methyl-2,3,4,4a,5,7a-hexahydro-1H-4,12-methanobenzofuro[3,2-e]isoquinolin-7-yl) 2,3-diacetoxysuccinate (260 mg, 47%): ESI MS m/z 808 [C42H49NO15+H]+.
Preparation of (R)-2-(((2R,3R)-2,3-Diacetoxy-4-(((4R,4aS,7aR,12bS)-4a,9-dihydroxy-3-methyl-2,3,4,4a,5,7a-hexahydro-1H-4,12-methanobenzofuro[3,2-e]isoquinolin-7-yl)oxy)-4-oxobutanoyl)oxy)-2-phenylacetic acid trifluoroacetic acid salt
Figure US10226456-20190312-C01239
A solution of (2R,3R)-1-((R)-2-(tert-butoxy)-2-oxo-1-phenylethyl) 4-((4R,4aS,7aR,12bS)-9-((tert-butoxycarbonyl)oxy)-4a-hydroxy-3-methyl-2,3,4,4a,5,7a-hexahydro-1H-4,12-methanobenzofuro[3,2-e]isoquinolin-7-yl) 2,3-diacetoxysuccinate (260 mg, 0.32 mmol) in methylene chloride (6 mL) was treated with trifluoroacetic acid (1 mL) and stirred at ambient temperature for 3 h. After this time, the reaction mixture was concentrated under reduced pressure. The residue was purified by reversed phase column chromatography (50 g C18 column, 3-30% acetonitrile/water, with 0.1% trifluoracetic acid) and freeze dried to provide (R)-2-(((2R,3R)-2,3-diacetoxy-4-(((4R,4aS,7aR,12bS)-4a,9-dihydroxy-3-methyl-2,3,4,4a,5,7a-hexahydro-1H-4,12-methanobenzofuro[3,2-e]isoquinolin-7-yl)oxy)-4-oxobutanoyl)oxy)-2-phenylacetic acid trifluoroacetic acid salt (74 mg, 36%):1H NMR (300 MHz, DMSO-d6) δ 13.51 (br s, 1H), 9.33 (s, 1H), 9.15 (br s, 1H), 7.51-7.40 (m, 5H), 6.67 (d, J=8.2 Hz, 1H), 6.62 (d, J=8.2 Hz, 1H), 6.30 (s, 1H), 6.03 (d, J=2.7 Hz, 1H), 5.98-5.94 (m, 2H), 5.56-5.53 (m, 1H), 4.83 (s, 1H), 3.62 (d, J=6.0 Hz, 1H), 3.40-3.33 (m, 1H), 3.12-3.02 (m, 2H), 3.83 (apparent d, J=3.5 Hz, 3H), 2.67-2.56 (m, 1H), 2.47-2.38 (m, 1H), 2.31-2.21 (m, 4H), 2.11 (s, 3H), 2.08 (d, J=17.7 Hz, 1H), 1.63 (d, J=11.1 Hz, 1H); ESI MS m/z 652 [C33H33NO13+H]+; HPLC (Method A) 98.0% (AUC), tR=9.16 min.
Figure US10226456-20190312-C01240
Figure US10226456-20190312-C01241
Preparation of (2R,3R)-2,3-Diacetoxy-4-methoxy-4-oxobutanoic acid
Figure US10226456-20190312-C01242
A mixture of (3R,4R)-2,5-dioxotetrahydrofuran-3,4-diyl diacetate (5.66 g, 26.2 mmol) in methanol (26 mL) was stirred at room temperature for 30 min. After this time, the mixture was concentrated to dryness to provide (2R,3R)-2,3-diacetoxy-4-methoxy-4-oxobutanoic acid (6.30 g, 97%):1H NMR (300 MHz, DMSO-d6) δ 5.63 (d, J=2.9 Hz, 1H), 5.52 (d, J=2.9 Hz, 1H), 3.70 (s, 3H), 2.12 (s, 3H), 2.10 (s, 3H), CO2H proton not observed.
Preparation of (2R,3R)-1-tert-Butyl 4-methyl 2,3-diacetoxysuccinate
Figure US10226456-20190312-C01243
A mixture of (2R,3R)-2,3-diacetoxy-4-methoxy-4-oxobutanoic acid (6.30 g, 25.4 mmol) and tert-butanol (6.5 mL, 68 mmol) in methylene chloride (50 mL) at 0° C. was treated with N,N′-dicyclohexylcarbodiimide (6.70 g, 32.5 mmol). After stirring for 1 h, the ice bath was removed and the reaction mixture was stirred at ambient temperature for 18 h. After this time, the mixture was filtered, and the filtrate was concentrated under reduced pressure. The residue was purified by column chromatography (120 g silica gel column, 5-70% ethyl acetate/heptane) to provide (2R,3R)-1-tert-butyl 4-methyl 2,3-diacetoxysuccinate (4.2 g, 54%):1H NMR (300 MHz, CDCl3) δ 5.73 (d, J=2.8 Hz, 1H), 5.60 (d, J=2.8 Hz, 1H), 3.78 (s, 3H), 2.18 (s, 3H), 2.16 (s, 3H), 1.45 (s, 9H).
Preparation of (2R,3R)-1-tert-Butyl 4-methyl 2,3-dihydroxysuccinate
Figure US10226456-20190312-C01244
A solution of (2R,3R)-1-tert-butyl 4-methyl 2,3-diacetoxysuccinate (4.15 g, 13.7 mmol) in methanol (28 mL) was treated with sodium methoxide (25% in methanol, 0.30 mL, 1.3 mmol), and the mixture was stirred at room temperature for 19 h. After this time, the reaction mixture was treated with a few drops of 2 N hydrochloric acid, until neutral by pH paper analysis. The mixture was partially concentrated, and the residue was dissolved in ethyl acetate, washed with saturated ammonium chloride and brine, dried over sodium sulfate, filtered, and concentrated under reduced pressure to provide (2R,3R)-1-tert-butyl 4-methyl 2,3-dihydroxysuccinate (2.62 g, 87%):1H NMR (300 MHz, CDCl3) δ 4.51 (dd, J=7.5, 1.7 Hz, 1H), 4.41 (d, J=6.3, 1.7 Hz, 1H), 3.86 (s, 3H), 3.19 (d, J=6.3 Hz, 1H), 3.05 (d, J=7.5 Hz, 1H), 1.52 (s, 9H).
Preparation of (4R,5R)-4-tert-Butyl 5-methyl 2,2-dimethyl-1,3-dioxolane-4,5-dicarboxylate
Figure US10226456-20190312-C01245
A mixture of (2R,3R)-1-tert-butyl 4-methyl 2,3-dihydroxysuccinate (2.62 g, 11.9 mmol), 2,2-dimethoxypropane (2.2 mL, 18 mmol), and p-toluensulfonic acid (50 mg, 0.26 mmol) in benzene (30 mL) was stirred at reflux for 20 h. After this time, the mixture was cooled to room temperature, and saturated sodium bicarbonate was added. The mixture was stirred for 5 min and then extracted with ethyl acetate. The organic extracts were washed with water and brine and then concentrated. The residue was purified by column chromatography (80 g silica gel column, 5-70% ethyl acetate/heptane) to provide (4R,5R)-4-tert-butyl 5-methyl 2,2-dimethyl-1,3-dioxolane-4,5-dicarboxylate (1.63 g, 53%):1H NMR (300 MHz, CDCl3) δ 4.71 (d, J=5.9 Hz, 1H), 4.64 (d, J=5.9 Hz, 1H), 3.82 (s, 3H), 1.50 (s, 15H).
Preparation of (4R,5R)-5-(tert-Butoxycarbonyl)-2,2-dimethyl-1,3-dioxolane-4-carboxylic acid
Figure US10226456-20190312-C01246
A solution of (4R,5R)-4-tert-butyl 5-methyl 2,2-dimethyl-1,3-dioxolane-4,5-dicarboxylate (4.96 g, 19.1 mmol) in tetrahydrofuran (35 mL) was treated with a solution of lithium hydroxide (940 mg, 22.4 mmol) in water (15 mL), and the mixture was stirred at room temperature for 1 h. After this time, 2 N hydrochloric acid was added until the mixture tested neutral by pH paper analysis. The mixture was partially concentrated and then extracted with ethyl acetate. The organic extracts were washed with 10% citric acid and brine, dried over sodium sulfate, filtered and concentrated to provide (4R,5R)-5-(tert-butoxycarbonyl)-2,2-dimethyl-1,3-dioxolane-4-carboxylic acid (2.00 g, 43%):1H NMR (300 MHz, CDCl3) δ 4.80 (d, J=5.7 Hz, 1H), 4.66 (d, J=5.7 Hz, 1H), 1.53 (s, 3H), 1.52 (s, 9H), 1.50 (s, 3H), CO2H proton not observed.
Preparation of (4R,5R)-4-tert-Butyl 5-(2,5-dioxopyrrolidin-1-yl) 2,2-dimethyl-1,3-dioxolane-4,5-dicarboxylate
Figure US10226456-20190312-C01247
A mixture of (4R,5R)-5-(tert-butoxycarbonyl)-2,2-dimethyl-1,3-dioxolane-4-carboxylic acid (410 mg, 1.67 mmol) and N-hydroxysuccinimide (210 mg, 1.82 mmol) in tetrahydrofuran (10 mL) was treated with N,N′-dicyclohexylcarbodiimide (380 mg, 1.84 mmol), and the reaction mixture was stirred at ambient temperature for 4 h. After this time, diethyl ether (20 mL) was added, and the mixture was filtered. The filtrate was concentrated under reduced pressure to provide (4R,5R)-4-tert-butyl 5-(2,5-dioxopyrrolidin-1-yl) 2,2-dimethyl-1,3-dioxolane-4,5-dicarboxylate (650 mg) that was used without purification:1H NMR (300 MHz, CDCl3) δ 5.09 (d, J=4.9 Hz, 1H), 4.87 (d, J=4.9 Hz, 1H), 2.87 (s, 4H), 1.54 (s, 3H), 1.52 (s, 3H), 1.51 (s, 9H).
Preparation of (4R,5R)-4-((4R,4aS,7aR,12bS)-9-((tert-Butoxycarbonyl)oxy)-4a-hydroxy-3-methyl-2,3,4,4a,5,7a-hexahydro-1H-4,12-methanobenzofuro[3,2-e]isoquinolin-7-yl) 5-tert-butyl 2,2-dimethyl-1,3-dioxolane-4,5-dicarboxylate
Figure US10226456-20190312-C01248
A solution of tert-butyl ((4R,4aS,7aR,12bS)-4a-hydroxy-3-methyl-7-oxo-2,3,4,4a,5,6,7,7a-octahydro-1H-4,12-methanobenzofuro[3,2-e]isoquinolin-9-yl) carbonate (400 mg, 1.00 mmol) in tetrahydrofuran (8 mL) was cooled to 0° C. and treated dropwise with a 1.0 M solution of lithium bis(trimethylsilyl)amidein tetrahydrofuran (1.1 mL, 1.1 mmol). After addition was complete, the mixture was stirred at ambient temperature for 10 min. The mixture was re-cooled to 0° C. and (4R,5R)-4-tert-butyl 5-(2,5-dioxopyrrolidin-1-yl) 2,2-dimethyl-1,3-dioxolane-4,5-dicarboxylate (500 mg, 1.09 mmol) was added in one portion. The mixture was stirred at 0° C. for 1 h. After this time, the mixture was treated with saturated aqueous ammonium chloride and extracted with ethyl acetate. The combined organics were dried over sodium sulfate, filtered, and concentrated under reduced pressure. The residue was purified by reversed phase column chromatography (50 g C18 column, 5-100% acetonitrile/water) to provide (4R,5R)-4-((4R,4aS,7aR,12bS)-9-((tert-butoxycarbonyl)oxy)-4a-hydroxy-3-methyl-2,3,4,4a,5,7a-hexahydro-1H-4,12-methanobenzofuro[3,2-e]isoquinolin-7-yl) 5-tert-butyl 2,2-dimethyl-1,3-dioxolane-4,5-dicarboxylate (254 mg, 40%): ESI MS m/z 630 [C33H43NO11+H]+.
Preparation of (2R,3R)-1-((4R,4aS,7aR,12bS)-9-((tert-Butoxycarbonyl)oxy)-4a-hydroxy-3-methyl-2,3,4,4a,5,7a-hexahydro-1H-4,12-methanobenzofuro[3,2-e]isoquinolin-7-yl) 4-tert-butyl 2,3-dihydroxysuccinate
Figure US10226456-20190312-C01249
A solution of (4R,5R)-4-((4R,4aS,7aR,12bS)-9-((tert-butoxycarbonyl)oxy)-4a-hydroxy-3-methyl-2,3,4,4a,5,7a-hexahydro-1H-4,12-methanobenzofuro[3,2-e]isoquinolin-7-yl) 5-tert-butyl 2,2-dimethyl-1,3-dioxolane-4,5-dicarboxylate (245 mg, 0.390 mmol) in 1,4-dioxane (2 mL) and water (0.1 mL) was treated with a 1 N solution of hydrogen chloride in 1,4-dioxane (2 mL, 8 mmol) and stirred at ambient temperature for 3 h. After this time, the reaction mixture was concentrated under reduced pressure to provide (2R,3R)-1-((4R,4aS,7aR,12bS)-9-((tert-butoxycarbonyl)oxy)-4a-hydroxy-3-methyl-2,3,4,4a,5,7a-hexahydro-1H-4,12-methanobenzofuro[3,2-e]isoquinolin-7-yl) 4-tert-butyl 2,3-dihydroxysuccinate (240 mg): ESI MS m/z 590 [C30H39NO11+H]+.
Preparation of (2R,3R)-4-(((4R,4aS,7aR,12bS)-4a,9-Dihydroxy-3-methyl-2,3,4,4a,5,7a-hexahydro-1H-4,12-methanobenzofuro[3,2-e]isoquinolin-7-yl)oxy)-2,3-dihydroxy-4-oxobutanoic acid trifluoroacetic acid salt
Figure US10226456-20190312-C01250
A solution of (2R,3R)-1-((4R,4aS,7aR,12bS)-9-((tert-butoxycarbonyl)oxy)-4a-hydroxy-3-methyl-2,3,4,4a,5,7a-hexahydro-1H-4,12-methanobenzofuro[3,2-e]isoquinolin-7-yl) 4-tert-butyl 2,3-dihydroxysuccinate (240 mg) in methylene chloride (5 mL) was treated with trifluoroacetic acid (1.5 mL) and stirred at ambient temperature for 1 h. After this time, the reaction mixture was concentrated under reduced pressure. The residue was purified by reversed phase column chromatography (50 g C18 column, 3-10% acetonitrile/water, with 0.1% trifluoracetic acid) and freeze dried to provide (2R,3R)-4-(((4R,4aS,7aR,12bS)-4a,9-dihydroxy-3-methyl-2,3,4,4a,5,7a-hexahydro-1H-4,12-methanobenzofuro[3,2-e]isoquinolin-7-yl)oxy)-2,3-dihydroxy-4-oxobutanoic acid trifluoroacetic acid salt (7 mg, 3% over two steps):1H NMR (300 MHz, CD3OD) δ 6.65-6.57 (m, 2H), 5.55 (dd, J=5.4, 2.8 Hz, 1H), 4.99 (s, 1H), 4.65 (d, J=2.2 Hz, 1H), 4.53 (d, J=2.2 Hz, 1H), 3.56 (d, J=6.5 Hz, 1H), 3.35 (d, J=20.0 Hz, 1H), 3.13-3.03 (m, 2H), 2.83 (s, 3H), 2.82-2.74 (m, 1H), 2.57 (dt, J=13.4, 4.9 Hz, 1H), 2.25-2.17 (m, 2H), 1.71 (dd, J=13.5, 3.0 Hz, 1H), CO2H, CF3CO2H, and four OH protons not observed; ESI MS m/z 434 [C21H23NO9+H]+; HPLC (Method A) 93.3% (AUC), tR=5.83 min.
Figure US10226456-20190312-C01251
Preparation of (2S,3S)-2,3-Diacetoxy-4-(((4R,4aS,7aR,12bS)-9-((tert-butoxycarbonyl)oxy)-4a-hydroxy-3-methyl-2,3,4,4a,5,7a-hexahydro-1H-4,12-methanobenzofuro[3,2-e]isoquinolin-7-yl)oxy)-4-oxobutanoic acid
Figure US10226456-20190312-C01252
A solution of tert-butyl ((4R,4aS,7aR,12bS)-4a-hydroxy-3-methyl-7-oxo-2,3,4,4a,5,6,7,7a-octahydro-1H-4,12-methanobenzofuro[3,2-e]isoquinolin-9-yl) carbonate (370 mg, 0.92 mmol) in tetrahydrofuran (8 mL) at 0° C. was treated with a 1.0 M solution of lithium bis(trimethylsilyl)amide in tetrahydrofuran (0.95 mL, 0.95 mmol), and the mixture was stirred for 5 min at 0° C. and 10 min at room temperature. The reaction mixture was cooled to 0° C. and (3S,4S)-2,5-dioxotetrahydrofuran-3,4-diyl diacetate (89 mg, 0.41 mmol) was added in one portion. The mixture was stirred at 0° C. for 20 min and then at room temperature for 30 min. After this time, the mixture was poured into a saturated solution of ammonium chloride and extracted with ethyl acetate. The organic extract was dried over sodium sulfate, filtered, and concentrated under reduced pressure. The residue was purified by reversed phase column chromatography (50 g C18 column, 5-80% acetonitrile/water) and freeze dried to provide (2S,3S)-2,3-diacetoxy-4-(((4R,4aS,7aR,12bS)-9-((tert-butoxycarbonyl)oxy)-4a-hydroxy-3-methyl-2,3,4,4a,5,7a-hexahydro-1H-4,12-methanobenzofuro[3,2-e]isoquinolin-7-yl)oxy)-4-oxobutanoic acid (50 mg, 9%): ESI MS m/z 618 [C30H35NO13+H]+.
Preparation of (2S,3S)-2,3-Diacetoxy-4-(((4R,4aS,7aR,12bS)-4a,9-dihydroxy-3-methyl-2,3,4,4a,5,7a-hexahydro-1H-4,12-methanobenzofuro[3,2-e]isoquinolin-7-yl)oxy)-4-oxobutanoic acid trifluoroacetic acid salt
Figure US10226456-20190312-C01253
A solution of (2S,3S)-2,3-diacetoxy-4-(((4R,4aS,7aR,12bS)-9-((tert-butoxycarbonyl)oxy)-4a-hydroxy-3-methyl-2,3,4,4a,5,7a-hexahydro-1H-4,12-methanobenzofuro[3,2-e]isoquinolin-7-yl)oxy)-4-oxobutanoic acid (45 mg, 0.073 mmol) in methylene chloride (2 mL) was treated with trifluoroacetic acid (0.8 mL) and stirred at ambient temperature for 45 min. After this time, the reaction mixture was concentrated under reduced pressure. The residue was purified by reversed phase column chromatography (15.5 g C18 column, 3-30% acetonitrile/water, with 0.1% trifluoracetic acid) and freeze dried to provide (2S,3S)-2,3-diacetoxy-4-(((4R,4aS,7aR,12bS)-4a,9-dihydroxy-3-methyl-2,3,4,4a,5,7a-hexahydro-1H-4,12-methanobenzofuro[3,2-e]isoquinolin-7-yl)oxy)-4-oxobutanoic acid trifluoroacetic acid salt (30 mg, 62%):1H NMR (300 MHz, DMSO-d6) δ 9.24 (br s, 1H), 9.16 (br s, 1H), 6.87 (d, J=8.2 Hz, 1H), 6.62 (d, J=8.2 Hz, 1H), 6.30 (s, 1H), 5.82 (d, J=2.9 Hz, 1H), 5.60 (dd, J=6.0, 1.9 Hz, 1H), 5.56 (d, J=2.9 Hz, 1H), 4.94 (s, 1H), 3.63 (d, J=6.0 Hz, 1H), 3.42-3.30 (m, 1H), 3.11-3.02 (m, 2H), 2.84 (apparent d, J=3.8 Hz, 3H), 2.70-2.56 (m, 1H), 2.48-2.39 (m, 1H), 2.28 (d, J=18.0, 6.1 Hz, 1H), 2.18 (s, 3H), 2.15 (s, 3H), 2.11-2.02 (m, 1H), 1.63 (d, J=11.3 Hz, 1H), CO2H proton not observed; ESI MS m/z 518 [C25H27NO11+H]+; HPLC (Method A) 96.8% (AUC), tR=7.19 min.
Figure US10226456-20190312-C01254
Preparation of (2R,3R)-2,3-Diacetoxy-4-(((S)-1,4-di-tert-butoxy-1,4-dioxobutan-2-yl)oxy)-4-oxobutanoic acid
Figure US10226456-20190312-C01255
(S)-Di-tert-butyl 2-hydroxysuccinate (968 mg, 3.93 mmol), (3R,4R)-2,5-dioxotetrahydrofuran-3,4-diyl diacetate (1.06 g, 4.91 mmol), pyridine (279 mg, 3.54 mmol), and N,N-dimethylformamide (2 mL) were combined and stirred at 0° C. under a nitrogen atmosphere for 2 h. After this time, saturated sodium bicarbonate (15 mL) was added, and the resulting aqueous solution was washed with ethyl acetate (10 mL). The aqueous phase was collected and acidified to pH=3 with 6 N hydrochloric acid, and the mixture was extracted with ethyl acetate (2×20 mL). The combined organics were washed with brine (50 mL), dried over sodium sulfate, filtered, and concentrated under reduced pressure to provide (2R,3R)-2,3-diacetoxy-4-(((S)-1,4-di-tert-butoxy-1,4-dioxobutan-2-yl)oxy)-4-oxobutanoic acid (1.74 g, 95%) as a yellow oil:1H NMR (300 MHz, CDCl3) δ 5.80 (d, J=3.0 Hz, 1H), 5.68 (d, J=3.0 Hz, 1H), 5.30 (dd, J=7.2, 5.1 Hz, 1H), 2.77-2.74 (m, 2H), 2.20 (s, 3H), 2.18 (s, 3H), 1.46 (s, 9H), 1.44 (s, 9H), CO2H proton not observed.
Preparation of (2R,3R)-1-((S)-1,4-Di-tert-butoxy-1,4-dioxobutan-2-yl) 4-(2,5-dioxopyrrolidin-1-yl) 2,3-diacetoxysuccinate
Figure US10226456-20190312-C01256
A solution of (2R,3R)-2,3-diacetoxy-4-(((S)-1,4-di-tert-butoxy-1,4-dioxobutan-2-yl)oxy)-4-oxobutanoic acid (1.74 g, 3.76 mmol) in tetrahydrofuran (25 mL) was treated with N-hydroxysuccinimide (476 mg, 4.14 mmol) and N,N′-dicyclohexylcarbodiimide (929 mg, 4.51 mmol) and stirred under a nitrogen atmosphere for 4 h. After this time, the reaction mixture was filtered to remove the solid dicyclohexylurea byproduct. The solid was washed with diethyl ether (100 mL), and the combined filtrate and washings were concentrated under reduced pressure. The residue was triturated with diethyl ether to provide (2R,3R)-1-((S)-1,4-di-tert-butoxy-1,4-dioxobutan-2-yl) 4-(2,5-dioxopyrrolidin-1-yl) 2,3-diacetoxysuccinate (2.06 g) as a yellow solid:1H NMR (300 MHz, CDCl3) δ 6.04 (d, J=3.0 Hz, 1H), 5.95 (d, J=2.7 Hz, 1H), 5.32 (dd, J=8.1, 4.2 Hz, 1H), 2.85-2.74 (m, 6H), 2.25 (s, 3H), 2.23 (s, 3H), 1.46 (s, 9H), 1.44 (s, 9H).
Preparation (2R,3R)-1-((4R,4aS,7aR,12bS)-9-((tert-Butoxycarbonyl)oxy)-4a-hydroxy-3-methyl-2,3,4,4a,5,7a-hexahydro-1H-4,12-methanobenzofuro[3,2-e]isoquinolin-7-yl) 4-((S)-1,4-di-tert-butoxy-1,4-dioxobutan-2-yl) 2,3-diacetoxysuccinate
Figure US10226456-20190312-C01257
A solution of tert-butyl ((4R,4aS,7aR,12bS)-4a-hydroxy-3-methyl-7-oxo-2,3,4,4a,5,6,7,7a-octahydro-1H-4,12-methanobenzofuro[3,2-e]isoquinolin-9-yl) carbonate (500 mg, 1.25 mmol) in tetrahydrofuran (10 mL) was cooled in an ice bath and treated dropwise with a 1.0 M solution of lithium bis(trimethylsilyl)amide in tetrahydrofuran (1.5 mL, 1.5 mmol). After addition was complete, the mixture was stirred at ambient temperature for 15 min. The mixture was re-cooled to −45° C. and treated dropwise with a solution of (2R,3R)-1-((S)-1,4-di-tert-butoxy-1,4-dioxobutan-2-yl) 4-(2,5-dioxopyrrolidin-1-yl) 2,3-diacetoxysuccinate (766 mg, 1.37 mmol) in tetrahydrofuran (5 mL). After addition was complete, the mixture was warmed to 0° C. After this time, the reaction mixture was treated with saturated aqueous ammonium chloride (20 mL) and extracted with ethyl acetate (2×25 mL). The combined organics were dried over sodium sulfate, filtered, and concentrated under reduced pressure. The crude residue was purified by column chromatography (40 g silica gel column, 0-20% methanol/methylene chloride, then 50 g C18 column, 10-100% acetonitrile/water) to provide (2R,3R)-1-((4R,4aS,7aR,12bS)-9-((tert-butoxycarbonyl)oxy)-4a-hydroxy-3-methyl-2,3,4,4a,5,7a-hexahydro-1H-4,12-methanobenzofuro[3,2-e]isoquinolin-7-yl) 4-((S)-1,4-di-tert-butoxy-1,4-dioxobutan-2-yl) 2,3-diacetoxysuccinate (290 mg, 27%) as a white solid: ESI MS m/z 846 [C42H55NO17+H]+.
Preparation of (S)-2-(((2R,3R)-2,3-Diacetoxy-4-(((4R,4aS,7aR,12bS)-4a,9-dihydroxy-3-methyl-2,3,4,4a,5,7a-hexahydro-1H-4,12-methanobenzofuro[3,2-e]isoquinolin-7-yl)oxy)-4-oxobutanoyl)oxy)succinic acid trifluoroacetic acid salt
Figure US10226456-20190312-C01258
A solution of (2R,3R)-1-((4R,4aS,7aR,12bS)-9-((tert-butoxycarbonyl)oxy)-4a-hydroxy-3-methyl-2,3,4,4a,5,7a-hexahydro-1H-4,12-methanobenzofuro[3,2-e]isoquinolin-7-yl) 4-((S)-1,4-di-tert-butoxy-1,4-dioxobutan-2-yl) 2,3-diacetoxysuccinate (290 mg, 0.343 mmol) in methylene chloride (5.0 mL) was treated with trifluoroacetic acid (5.0 mL) and stirred under a nitrogen atmosphere at ambient temperature for 1 h. After this time, the reaction mixture was concentrated under reduced pressure. The residue was purified by reversed phase column chromatography (50 g C18 column, 0-100% acetonitrile/water with 0.1% trifluoroacetic acid) and freeze dried to provide (S)-2-(((2R,3R)-2,3-diacetoxy-4-(((4R,4aS,7aR,12bS)-4a,9-dihydroxy-3-methyl-2,3,4,4a,5,7a-hexahydro-1H-4,12-methanobenzofuro[3,2-e]isoquinolin-7-yl)oxy)-4-oxobutanoyl)oxy)succinic acid trifluoroacetic acid salt (189 mg, 73%) as a fluffy white solid:1H NMR (300 MHz, DMSO-d6) δ 9.35 (s, 1H), 9.15 (br s, 1H), 6.64 (apparent q, J=8.1 Hz, 2H), 6.27 (br s, 1H), 5.85 (d, J=2.7 Hz, 1H), 5.77 (d, J=2.7 Hz, 1H), 5.53 (dd, J=5.7, 1.8 Hz, 1H), 5.29 (dd, J=8.4, 3.9 Hz, 1H), 4.83 (s, 1H), 3.32 (m, 1H), 3.03 (m, 1H), 2.90-2.63 (m, 6H), 2.51-2.41 (m, 3H), 2.27 (m, 1H), 2.21 (s, 3H), 2.13 (s, 3H), 2.04 (m, 1H), 1.62 (m, 1H), CO2H protons not observed; ESI MS m/z 634 [C29H31NO15+H]+.
Figure US10226456-20190312-C01259
Preparation of (S)-2-((4-(tert-Butoxy)-4-oxobutanoyl)oxy)-4-ethoxy-4-oxobutanoic acid
Figure US10226456-20190312-C01260
A mixture of (S)-4-ethoxy-2-hydroxy-4-oxobutanoic acid (1.51 g, 9.32 mmol), tert-butyl (2,5-dioxopyrrolidin-1-yl) succinate (2.65 g, 9.78 mmol), pyridine (1.0 mL, 12 mmol), and 4-dimethylaminopyridine (150 mg, 1.23 mmol) in tetrahydrofuran (40 mL) was stirred at reflux for 24 h. After this time, the mixture was cooled to room temperature and concentrated under reduced pressure. The residue was dissolved in ethyl acetate, washed with 10% citric acid, and extracted with saturated sodium bicarbonate. The aqueous layer was collected, carefully treated with 6 N hydrochloric acid until acidic by pH paper analysis, and then extracted with ethyl acetate. The organic extracts were dried over sodium sulfate, filtered, and concentrated to provide (S)-2-((4-(tert-butoxy)-4-oxobutanoyl)oxy)-4-ethoxy-4-oxobutanoic acid (1.47 g, 49%):1H NMR (300 MHz, CDCl3) δ 5.56 (t, J=6.0 Hz, 1H), 4.19 (q, J=7.1 Hz, 2H), 2.93 (d, J=6.0 Hz, 2H), 2.71-2.52 (m, 4H), 1.44 (s, 9H), 1.27 (t, J=7.1 Hz, 3H), CO2H proton not observed.
Preparation of (S)-1-(2,5-Dioxopyrrolidin-1-yl) 4-ethyl 2-((4-(tert-butoxy)-4-oxobutanoyl)oxy)succinate
Figure US10226456-20190312-C01261
A mixture of (S)-2-((4-(tert-butoxy)-4-oxobutanoyl)oxy)-4-ethoxy-4-oxobutanoic acid (1.40 g, 4.40 mmol) and N-hydroxysuccinimide (560 mg, 4.87 mmol) in tetrahydrofuran (25 mL) was treated with N,N′-dicyclohexylcarbodiimide (1.00 g, 4.85 mmol), and the reaction mixture was stirred at ambient temperature for 4 h. After this time, diethyl ether (20 mL) was added, and the mixture was filtered. The filtrate was concentrated under reduced pressure to provide (S)-1-(2,5-dioxopyrrolidin-1-yl) 4-ethyl 2-((4-(tert-butoxy)-4-oxobutanoyl)oxy)succinate (1.9 g) that was used without purification:1H NMR (300 MHz, CDCl3) δ 5.82 (dd, J=7.1, 5.2 Hz, 1H), 4.22 (dd, J=7.1 Hz, 2H), 3.05-3.03 (m, 2H), 2.84 (s, 4H), 2.72-2.65 (m, 2H), 2.60-2.53 (m, 2H), 1.44 (s, 9H), 2.28 (t, J=7.1 Hz, 3H).
Preparation of (S)-1-((4R,4aS,7aR,12bS)-9-((tert-Butoxycarbonyl)oxy)-4a-hydroxy-3-methyl-2,3,4,4a,5,7a-hexahydro-1H-4,12-methanobenzofuro[3,2-e]isoquinolin-7-yl) 4-ethyl 2-((4-(tert-butoxy)-4-oxobutanoyl)oxy)succinate
Figure US10226456-20190312-C01262
A solution of tert-butyl ((4R,4aS,7aR,12bS)-4a-hydroxy-3-methyl-7-oxo-2,3,4,4a,5,6,7,7a-octahydro-1H-4,12-methanobenzofuro[3,2-e]isoquinolin-9-yl) carbonate (500 mg, 1.25 mmol) in tetrahydrofuran (10 mL) was cooled to 0° C. and treated dropwise with a 1.0 M solution of lithium bis(trimethylsilyl)amidein tetrahydrofuran (1.35 mL, 1.35 mmol). After addition was complete, the mixture was stirred at ambient temperature for 10 min. The mixture was re-cooled to 0° C. and (S)-1-(2,5-dioxopyrrolidin-1-yl) 4-ethyl 2-((4-(tert-butoxy)-4-oxobutanoyl)oxy)succinate (570 mg, 1.37 mmol) was added in one portion. The mixture was stirred at 0° C. for 1 h. After this time, the mixture was treated with saturated aqueous ammonium chloride and extracted with ethyl acetate. The combined organics were dried over sodium sulfate, filtered, and concentrated under reduced pressure. The residue was purified by reversed phase column chromatography (50 g C18 column, 5-100% acetonitrile/water) to provide (S)-1-((4R,4aS,7aR,12bS)-9-((tert-butoxycarbonyl)oxy)-4a-hydroxy-3-methyl-2,3,4,4a,5,7a-hexahydro-1H-4,12-methanobenzofuro[3,2-e]isoquinolin-7-yl) 4-ethyl 2-((4-(tert-butoxy)-4-oxobutanoyl)oxy)succinate (384 mg, 44%): ESI MS m/z 702 [C36H47NO13+H]+.
Preparation of 4-(((S)-1-(((4R,4aS,7aR,12bS)-4a,9-Dihydroxy-3-methyl-2,3,4,4a,5,7a-hexahydro-1H-4,12-methanobenzofuro[3,2-e]isoquinolin-7-yl)oxy)-4-ethoxy-1,4-dioxobutan-2-yl)oxy)-4-oxobutanoic acid trifluoroacetic acid salt
Figure US10226456-20190312-C01263
A solution of (S)-1-((4R,4aS,7aR,12bS)-9-((tert-butoxycarbonyl)oxy)-4a-hydroxy-3-methyl-2,3,4,4a,5,7a-hexahydro-1H-4,12-methanobenzofuro[3,2-e]isoquinolin-7-yl) 4-ethyl 2-((4-(tert-butoxy)-4-oxobutanoyl)oxy)succinate (380 mg, 0.54 mmol) in methylene chloride (6 mL) was treated with trifluoroacetic acid (1.2 mL) and stirred at ambient temperature for 1.5 h. After this time, the reaction mixture was concentrated under reduced pressure. The residue was purified by reversed phase column chromatography (50 g C18 column, 3-20% acetonitrile/water, with 0.1% trifluoracetic acid) and freeze dried to provide 4-(((S)-1-(((4R,4aS,7aR,12bS)-4a,9-dihydroxy-3-methyl-2,3,4,4a,5,7a-hexahydro-1H-4,12-methanobenzofuro[3,2-e]isoquinolin-7-yl)oxy)-4-ethoxy-1,4-dioxobutan-2-yl)oxy)-4-oxobutanoic acid trifluoroacetic acid salt (128 mg, 34%):1H NMR (300 MHz, DMSO-d6) δ 12.30 (br s, 1H), 9.30 (br s, 1H), 9.17 (br s, 1H), 6.68 (d, J=8.2 Hz, 1H), 6.63 (d, J=8.2 Hz, 1H), 6.27 (s, 1H), 5.60 (dd, J=6.0, 1.9 Hz, 1H), 5.45 (t, J=5.9 Hz, 1H), 4.93 (s, 1H), 4.14 (q, J=7.1 Hz, 2H), 3.62 (d, J=6.0 Hz, 1H), 3.14-2.98 (m, 4H), 2.84 (apparent d, J=4.7 Hz, 3H), 2.70-2.57 (m, 3H), 2.43 (dd, J=13.3, 4.5 Hz, 1H), 2.28 (dd, J=17.9, 6.0 Hz, 1H), 2.05 (d, J=17.9 Hz, 1H), 1.63 (d, J=11.1 Hz, 1H), 1.21 (t, J=7.1 Hz, 3H), three protons obscured by solvent peaks; ESI MS m/z 546 [C27H31NO11+H]+; HPLC (Method A) 97.4% (AUC), tR=7.94 min.
Figure US10226456-20190312-C01264
Preparation of (2R,3R)-2,3-Diacetoxy-4-(((S)-1-(tert-butoxy)-1-oxopropan-2-yl)oxy)-4-oxobutanoic acid
Figure US10226456-20190312-C01265
A solution of (3R,4R)-2,5-dioxotetrahydrofuran-3,4-diyl diacetate (1.25 g, 5.78 mmol) in N,N-dimethylformamide (1.5 mL) at 0° C. was treated with (S)-tert-butyl 2-hydroxypropanoate (675 mg, 4.62 mmol) followed by pyridine (0.36 mL, 4.47 mmol), and the mixture was stirred at 0° C. for 1 h. After this time, the reaction mixture was diluted with ethyl acetate and extracted with saturated sodium bicarbonate. The aqueous extracts were acidified with 6 N hydrochloric acid and then extracted with ethyl acetate. The organic extracts were dried over sodium sulfate, filtered, and concentrated to provide (2R,3R)-2,3-diacetoxy-4-(((S)-1-(tert-butoxy)-1-oxopropan-2-yl)oxy)-4-oxobutanoic acid (1.66 g, quantitative):1H NMR (300 MHz, CDCl3) δ 5.85 (d, J=2.6 Hz, 1H), 5.83 (d, J=2.6 Hz, 1H), 5.02 (q, J=7.0 Hz, 1H), 2.19 (s, 3H), 2.19 (s, 3H), 1.47-1.43 (m, 12H), CO2H proton not observed.
Preparation of (2R,3R)-1-((S)-1-(tert-Butoxy)-1-oxopropan-2-yl) 4-(2,5-dioxopyrrolidin-1-yl) 2,3-diacetoxysuccinate
Figure US10226456-20190312-C01266
A mixture of (2R,3R)-2,3-diacetoxy-4-(((S)-1-(tert-butoxy)-1-oxopropan-2-yl)oxy)-4-oxobutanoic acid (1.20 g, 3.31 mmol) and N-hydroxysuccinimide (410 mg, 3.56 mmol) in tetrahydrofuran (20 mL) was treated with N,N′-dicyclohexylcarbodiimide (740 mg, 3.58 mmol), and the reaction mixture was stirred at ambient temperature for 4 h. After this time, diethyl ether (20 mL) was added, and the mixture was filtered. The filtrate was concentrated under reduced pressure to provide (2R,3R)-1-((S)-1-(tert-butoxy)-1-oxopropan-2-yl) 4-(2,5-dioxopyrrolidin-1-yl) 2,3-diacetoxysuccinate (1.60 g) that was used without purification:1H NMR (300 MHz, CDCl3) δ 6.20 (d, J=2.7 Hz, 1H), 5.95 (d, J=2.7 Hz, 1H), 5.01 (q, J=7.0 Hz, 1H), 2.84 (s, 4H), 2.26 (s, 3H), 2.22 (s, 3H), 1.47-1.43 (m, 12H).
Preparation of (2R,3R)-1-((S)-1-(tert-Butoxy)-1-oxopropan-2-yl) 4-((4R,4aS,7aR,12bS)-9-((tert-butoxycarbonyl)oxy)-4a-hydroxy-3-methyl-2,3,4,4a,5,7a-hexahydro-1H-4,12-methanobenzofuro[3,2-e]isoquinolin-7-yl) 2,3-diacetoxysuccinate
Figure US10226456-20190312-C01267
A solution of tert-butyl ((4R,4aS,7aR,12bS)-4a-hydroxy-3-methyl-7-oxo-2,3,4,4a,5,6,7,7a-octahydro-1H-4,12-methanobenzofuro[3,2-e]isoquinolin-9-yl) carbonate (500 mg, 1.25 mmol) in tetrahydrofuran (10 mL) was cooled to 0° C. and treated dropwise with a 1.0 M solution of lithium bis(trimethylsilyl)amidein tetrahydrofuran (1.1 mL, 1.1 mmol). After addition was complete, the mixture was stirred at ambient temperature for 10 min. The mixture was re-cooled to 0° C., and (2R,3R)-1-((S)-1-(tert-butoxy)-1-oxopropan-2-yl) 4-(2,5-dioxopyrrolidin-1-yl) 2,3-diacetoxysuccinate (550 mg, 1.06 mmol) was added in one portion. The mixture was stirred at 0° C. for 45 min. After this time, the mixture was treated with saturated aqueous ammonium chloride, and extracted with ethyl acetate. The combined organics were dried over sodium sulfate, filtered, and concentrated under reduced pressure. The residue was purified by reversed phase column chromatography (50 g C18 column, 5-100% acetonitrile/water) to provide (2R,3R)-1-((S)-1-(tert-butoxy)-1-oxopropan-2-yl) 4-((4R,4aS,7aR,12bS)-9-((tert-butoxycarbonyl)oxy)-4a-hydroxy-3-methyl-2,3,4,4a,5,7a-hexahydro-1H-4,12-methanobenzofuro[3,2-e]isoquinolin-7-yl) 2,3-diacetoxysuccinate (324 mg, 35%): ESI MS m/z 746 [C37H47NO15+H]r.
Preparation of (S)-2-(((2R,3R)-2,3-Diacetoxy-4-(((4R,4aS,7aR,12bS)-4a,9-dihydroxy-3-methyl-2,3,4,4a,5,7a-hexahydro-1H-4,12-methanobenzofuro[3,2-e]isoquinolin-7-yl)oxy)-4-oxobutanoyl)oxy)propanoic acid trifluoroacetic acid salt
Figure US10226456-20190312-C01268
A solution of (2R,3R)-1-((S)-1-(tert-butoxy)-1-oxopropan-2-yl) 4-((4R,4aS,7aR,12bS)-9-((tert-butoxycarbonyl)oxy)-4a-hydroxy-3-methyl-2,3,4,4a,5,7a-hexahydro-1H-4,12-methanobenzofuro[3,2-e]isoquinolin-7-yl) 2,3-diacetoxysuccinate (320 mg, 0.43 mmol) in methylene chloride (6 mL) was treated with trifluoroacetic acid (1.5 mL) and stirred at ambient temperature for 4 h. After this time, the reaction mixture was concentrated under reduced pressure. The residue was purified by reversed phase column chromatography (50 g C18 column, 3-20% acetonitrile/water, with 0.1% trifluoracetic acid) and freeze dried to provide (S)-2-(((2R,3R)-2,3-diacetoxy-4-(((4R,4aS,7aR,12bS)-4a,9-dihydroxy-3-methyl-2,3,4,4a,5,7a-hexahydro-1H-4,12-methanobenzofuro[3,2-e]isoquinolin-7-yl)oxy)-4-oxobutanoyl)oxy)propanoic acid trifluoroacetic acid salt (154 mg, 49%):1H NMR (300 MHz, DMSO-d6) δ 9.37 (br s, 1H), 9.17 (br s, 1H), 6.68 (d, J=8.2 Hz, 1H), 6.63 (d, J=8.2 Hz, 1H), 6.33 (br s, 1H), 5.89 (d, J=2.7 Hz, 1H), 5.85 (d, J=2.7 Hz, 1H), 5.55-5.53 (m, 1H), 5.05 (q, J=7.0 Hz, 1H), 4.84 (s, 1H), 3.63 (d, J=6.2 Hz, 1H), 3.11-3.03 (m, 2H), 3.83 (apparent d, J=1.8 Hz, 3H), 2.71-2.57 (m, 1H), 2.47-2.39 (m, 1H), 2.43 (dd, J=18.0, 6.3 Hz, 1H), 2.22 (s, 3H), 2.15 (s, 3H), 2.07 (d, J=18.0 Hz, 1H), 1.62 (d, J=11.2 Hz, 1H), 1.39 (d, J=7.0 Hz, 3H), CO2H proton not observed; ESI MS m/z 590 [C28H31NO13+H]+; HPLC (Method A) 98.5% (AUC), tR=8.04 min.
Figure US10226456-20190312-C01269
Preparation of (2R,3R)-2,3-Diacetoxy-4-(((S)-1-(benzyloxy)-1-oxopropan-2-yl)oxy)-4-oxobutanoic acid
Figure US10226456-20190312-C01270
A solution of (3R,4R)-2,5-dioxotetrahydrofuran-3,4-diyl diacetate (1.85 g, 8.56 mmol) in N,N-dimethylformamide (2.2 mL) at 0° C. was treated with (S)-benzyl 2-hydroxypropanoate (1.30 g, 7.21 mmol) followed by pyridine (0.53 mL, 6.58 mmol), and the mixture was stirred at 0° C. for 1 h. After this time, the reaction mixture was diluted with ethyl acetate and extracted with saturated sodium bicarbonate. The aqueous layer was collected, carefully treated with 6 N hydrochloric acid until acidic by pH paper analysis, and then extracted with ethyl acetate. The organic extracts were dried over sodium sulfate, filtered and concentrated to give (2R,3R)-2,3-diacetoxy-4-(((S)-1-(benzyloxy)-1-oxopropan-2-yl)oxy)-4-oxobutanoic acid (2.80 g, 98%):1H NMR (300 MHz, CDCl3) δ 7.38-7.33 (m, 5H), 5.84-5.83 (m, 2H), 5.23-5.13 (m, 3H), 2.18 (s, 3H), 2.17 (s, 3H), 1.49 (d, J=7.1 Hz, 3H), CO2H proton not observed.
Preparation of (2R,3R)-1-((S)-1-(Benzyloxy)-1-oxopropan-2-yl) 4-tert-butyl 2,3-diacetoxysuccinate
Figure US10226456-20190312-C01271
A mixture of (2R,3R)-2,3-diacetoxy-4-(((S)-1-(benzyloxy)-1-oxopropan-2-yl)oxy)-4-oxobutanoic acid (2.80 g, 7.07 mmol), tert-butanol (1.8 mL, 19 mmol), and 4-dimethylaminopyridine (280 mg, 2.29 mmol) in methylene chloride (16 mL) at 0° C. was treated with N,N′-dicyclohexylcarbodiimide (1.70 g, 8.24 mmol). The ice bath was removed, and the reaction mixture was stirred at ambient temperature for 4 h. After this time, the mixture was filtered, and the filtrate was concentrated under reduced pressure. The residue was purified by column chromatography (80 g silica gel column, 0-70% ethyl acetate/heptane) to provide (2R,3R)-1-((S)-1-(benzyloxy)-1-oxopropan-2-yl) 4-tert-butyl 2,3-diacetoxysuccinate (1.38 g, 43%):1H NMR (300 MHz, CDCl3) δ 7.38-7.31 (m, 5H), 5.85 (d, J=2.7 Hz, 1H), 5.69 (d, J=2.7 Hz, 1H), 5.23-5.13 (m, 3H), 2.17 (s, 3H), 2.16 (s, 3H), 1.49 (d, J=7.1 Hz, 3H), 1.45 (s, 9H).
Preparation of (S)-2-(((2R,3R)-2,3-Diacetoxy-4-(tert-butoxy)-4-oxobutanoyl)oxy)propanoic acid
Figure US10226456-20190312-C01272
A mixture of (2R,3R)-1-((S)-1-(benzyloxy)-1-oxopropan-2-yl) 4-tert-butyl 2,3-diacetoxysuccinate (1.35 g, 2.99 mmol) and palladium (5% on carbon, 180 mg) in ethanol (15 mL) was stirred at room temperature under balloon pressure hydrogen for 2 h. After this time, the reaction mixture was purged with nitrogen and filtered through diatomaceous earth. The filtrate was concentrated under reduced pressure to provide (S)-2-(((2R,3R)-2,3-diacetoxy-4-(tert-butoxy)-4-oxobutanoyl)oxy)propanoic acid (1.01 g, 93%):1H NMR (300 MHz, CDCl3) δ 5.80 (d, J=2.7 Hz, 1H), 5.69 (d, J=2.7 Hz, 1H), 5.16 (q, J=7.1 Hz, 1H), 2.18 (s, 3H), 2.17 (s, 3H), 1.53 (d, J=7.1 Hz, 3H), 1.46 (s, 9H), CO2H proton not observed.
Preparation of (2R,3R)-1-tert-Butyl 4-((S)-1-((2,5-dioxopyrrolidin-1-yl)oxy)-1-oxopropan-2-yl) 2,3-diacetoxysuccinate
Figure US10226456-20190312-C01273
A mixture of (S)-2-(((2R,3R)-2,3-diacetoxy-4-(tert-butoxy)-4-oxobutanoyl)oxy)propanoic acid (1.00 g, 2.76 mmol) and N-hydroxysuccinimide (350 mg, 3.04 mmol) in tetrahydrofuran (20 mL) was treated with N,N′-dicyclohexylcarbodiimide (627 mg, 3.04 mmol), and the reaction mixture was stirred at ambient temperature for 4 h. After this time, diethyl ether (20 mL) was added, and the mixture was filtered. The filtrate was concentrated under reduced pressure to provide (2R,3R)-1-tert-butyl 4-((S)-1-((2,5-dioxopyrrolidin-1-yl)oxy)-1-oxopropan-2-yl) 2,3-diacetoxysuccinate (960 mg, 76%) that was used without purification:1H NMR (300 MHz, CDCl3) δ 5.82 (d, J=2.7 Hz, 1H), 5.66 (d, J=2.7 Hz, 1H), 5.49 (q, J=7.1 Hz, 1H), 2.85 (s, 4H), 2.18 (s, 3H), 2.16 (s, 3H), 1.67 (d, J=7.1 Hz, 3H), 1.46 (s, 9H).
Preparation of (2R,3R)-1-((S)-1-(((4R,4aS,7aR,12bS)-9-((tert-Butoxycarbonyl)oxy)-4a-hydroxy-3-methyl-2,3,4,4a,5,7a-hexahydro-1H-4,12-methanobenzofuro[3,2-e]isoquinolin-7-yl)oxy)-1-oxopropan-2-yl) 4-tert-butyl 2,3-diacetoxysuccinate
Figure US10226456-20190312-C01274
A solution of tert-butyl ((4R,4aS,7aR,12bS)-4a-hydroxy-3-methyl-7-oxo-2,3,4,4a,5,6,7,7a-octahydro-1H-4,12-methanobenzofuro[3,2-e]isoquinolin-9-yl) carbonate (400 mg, 1.00 mmol) in tetrahydrofuran (8 mL) was cooled to 0° C. and treated dropwise with a 1.0 M solution of lithium bis(trimethylsilyl)amidein tetrahydrofuran (1.1 mL, 1.1 mmol). After addition was complete, the mixture was stirred at ambient temperature for 10 min. The mixture was re-cooled to 0° C., and (2R,3R)-1-tert-butyl 4-((S)-1-((2,5-dioxopyrrolidin-1-yl)oxy)-1-oxopropan-2-yl) 2,3-diacetoxysuccinate (500 mg, 1.09 mmol) was added in one portion. The mixture was stirred at 0° C. for 45 min. After this time, the mixture was treated with saturated aqueous ammonium chloride, and extracted with ethyl acetate. The combined organics were dried over sodium sulfate, filtered, and concentrated under reduced pressure. The residue was purified by reversed phase column chromatography (50 g C18 column, 5-100% acetonitrile/water) to provide (2R,3R)-1-((S)-1-(((4R,4aS,7aR,12bS)-9-((tert-butoxycarbonyl)oxy)-4a-hydroxy-3-methyl-2,3,4,4a,5,7a-hexahydro-1H-4,12-methanobenzofuro[3,2-e]isoquinolin-7-yl)oxy)-1-oxopropan-2-yl) 4-tert-butyl 2,3-diacetoxysuccinate (280 mg, 38%): ESI MS m/z 746 [C37H47NO15+H]+.
Preparation of (2R,3R)-2,3-Diacetoxy-4-(((S)-1-(((4R,4aS,7aR,12bS)-4a,9-dihydroxy-3-methyl-2,3,4,4a,5,7a-hexahydro-1H-4,12-methanobenzofuro[3,2-e]isoquinolin-7-yl)oxy)-1-oxopropan-2-yl)oxy)-4-oxobutanoic acid trifluoroacetic acid salt
Figure US10226456-20190312-C01275
A solution of (2R,3R)-1-((S)-1-(((4R,4aS,7aR,12bS)-9-((tert-butoxycarbonyl)oxy)-4a-hydroxy-3-methyl-2,3,4,4a,5,7a-hexahydro-1H-4,12-methanobenzofuro[3,2-e]isoquinolin-7-yl)oxy)-1-oxopropan-2-yl) 4-tert-butyl 2,3-diacetoxysuccinate (280 mg, 0.38 mmol) in methylene chloride (5 mL) was treated with trifluoroacetic acid (1 mL) and stirred at ambient temperature for 5 h. After this time, the reaction mixture was concentrated under reduced pressure. The residue was purified by reversed phase column chromatography (50 g C18 column, 3-20% acetonitrile/water, with 0.1% trifluoracetic acid) and freeze dried to provide (2R,3R)-2,3-diacetoxy-4-(((S)-1-(((4R,4aS,7aR,12bS)-4a,9-dihydroxy-3-methyl-2,3,4,4a,5,7a-hexahydro-1H-4,12-methanobenzofuro[3,2-e]isoquinolin-7-yl)oxy)-1-oxopropan-2-yl)oxy)-4-oxobutanoic acid trifluoroacetic acid salt (86 mg, 30%):1H NMR (300 MHz, DMSO-d6) δ 13.9 (br s, 1H), 9.29 (br s, 1H), 9.17 (br s 1H), 6.68 (d, J=8.2 Hz, 1H), 6.63 (d, J=8.2 Hz, 1H), 6.26 (s, 1H), 5.72 (d, J=2.8 Hz, 1H), 5.62 (d, J=2.8 Hz, 1H), 5.59 (dd, J=6.0, 2.2 Hz, 1H), 5.28 (q, J=7.0 Hz, 1H), 5.00 (s, 1H), 3.62 (d, J=6.3 Hz, 1H), 3.37 (d, J=20.0 Hz, 1H), 3.13-3.01 (m, 2H), 2.83 (apparent d, J=4.6 Hz, 3H), 2.70-2.57 (m, 1H), 2.43 (dd, J=14.5, 4.7 Hz, 1H), 2.29 (dd, J=17.9, 6.4 Hz, 1H), 2.14 (s, 3H), 2.11-2.02 (m, 4H), 1.63 (d, J=10.8 Hz, 1H), 1.50 (d, J=7.0 Hz, 3H); ESI MS m/z 590 [C28H31NO13+H]+; HPLC (Method A) 96.8% (AUC), tR=7.82 min.
Figure US10226456-20190312-C01276
Preparation of (S)-2-(((S)-4-(tert-Butoxy)-2-((tert-butoxycarbonyl)amino)-4-oxobutanoyl)oxy)propanoic acid
Figure US10226456-20190312-C01277
(S)-Lactic acid (280 mg, 3.11 mmol), (S)-4-tert-butyl 1-(2,5-dioxopyrrolidin-1-yl) 2-((tert-butoxycarbonyl)amino)succinate (1.00 g, 2.59 mmol), 4-(dimethylamino)pyridine (32 mg, 0.259 mmol), pyridine (248 mg, 3.11 mmol), and tetrahydrofuran (17 mL) were combined and heated at 60° C. under a nitrogen atmosphere for 24 h. After this time, the solvent was removed under reduced pressure, and the residue was participated between ethyl acetate (30 mL) and 10% aqueous citric acid. The organic layer was separated and washed with water (50 mL), dried over sodium sulfate, filtered, and concentrated under reduced pressure to provide (S)-2-(((S)-4-(tert-butoxy)-2-((tert-butoxycarbonyl)amino)-4-oxobutanoyl)oxy)propanoic acid (858 mg, 91%) as a colorless oil:1H NMR (300 MHz, CDCl3) δ 5.51 (m, 1H), 4.58 (m, 1H), 2.96-2.69 (m, 2H), 1.55 (m, 3H), 1.45 (s, 18H), CO2H and NH protons not observed.
Preparation of (S)-4-tert-Butyl 1-((S)-1-((2,5-dioxopyrrolidin-1-yl)oxy)-1-oxopropan-2-yl) 2-((tert-butoxycarbonyl)amino)succinate
Figure US10226456-20190312-C01278
A solution of (S)-2-(((S)-4-(tert-butoxy)-2-((tert-butoxycarbonyl)amino)-4-oxobutanoyl)oxy)propanoic acid (858 mg, 2.37 mmol) in tetrahydrofuran (30 mL) was treated with N-hydroxysuccinimide (300 mg, 2.61 mmol) and N,N′-dicyclohexylcarbodiimide (538 mg, 2.61 mmol) and stirred at room temperature under a nitrogen atmosphere for 5 h. After this time, the reaction mixture was filtered to remove the solid dicyclohexylurea byproduct. The solid was washed with diethyl ether (50 mL), and the combined filtrate and washings were concentrated under reduced pressure. The residue was triturated with diethyl ether to provide (S)-4-tert-butyl 1-((S)-1-((2,5-dioxopyrrolidin-1-yl)oxy)-1-oxopropan-2-yl) 2-((tert-butoxycarbonyl)amino)succinate (1.24 g, quantitative) as a white solid:1H NMR (300 MHz, CDCl3) δ 5.52 (m, 1H), 4.63 (m, 1H), 2.97-2.73 (m, 6H), 1.68 (m, 3H), 1.45 (s, 18H); NH proton not observed.
Preparation of (S)-1-((S)-1-(((4R,4aS,7aR,12bS)-9-((tert-Butoxycarbonyl)oxy)-4a-hydroxy-3-methyl-2,3,4,4a,5,7a-hexahydro-1H-4,12-methanobenzofuro[3,2-e]isoquinolin-7-yl)oxy)-1-oxopropan-2-yl) 4-tert-butyl 2-((tert-butoxycarbonyl)amino)succinate
Figure US10226456-20190312-C01279
A solution of tert-butyl ((4R,4aS,7aR,12bS)-4a-hydroxy-3-methyl-7-oxo-2,3,4,4a,5,6,7,7a-octahydro-1H-4,12-methanobenzofuro[3,2-e]isoquinolin-9-yl) carbonate (500 mg, 1.25 mmol) in tetrahydrofuran (10 mL) was cooled in an ice bath and treated dropwise with a 1.0 M solution of lithium bis(trimethylsilyl)amide in tetrahydrofuran (1.5 mL, 1.5 mmol). After addition was complete, the mixture was stirred at 0° C. for 1 h. The mixture was re-cooled to −45° C. and treated dropwise with a solution of (S)-4-tert-butyl 1-((S)-1-((2,5-dioxopyrrolidin-1-yl)oxy)-1-oxopropan-2-yl) 2-((tert-butoxycarbonyl)amino)succinate (628 mg, 1.37 mmol) in tetrahydrofuran (2.5 mL). After addition was complete, the mixture was warmed to 0° C. After this time, the reaction mixture was treated with saturated aqueous ammonium chloride (10 mL) and extracted with ethyl acetate (2×25 mL). The combined organics were dried over sodium sulfate, filtered, and concentrated under reduced pressure. The crude residue was purified by column chromatography (40 g silica gel column, 0-20% methanol/methylene chloride, then 50 g C18 column, 10-100% acetonitrile/water) to provide (S)-1-((S)-1-(((4R,4aS,7aR,12bS)-9-((tert-butoxycarbonyl)oxy)-4a-hydroxy-3-methyl-2,3,4,4a,5,7a-hexahydro-1H-4,12-methanobenzofuro[3,2-e]isoquinolin-7-yl)oxy)-1-oxopropan-2-yl) 4-tert-butyl 2-((tert-butoxycarbonyl)amino)succinate (304 mg, 32%) as a white solid: ESI MS m/z 745 [C36H52N2O13+H]+.
Preparation of (S)-3-Amino-4-(((S)-1-(((4R,4aS,7aR,12bS)-4a,9-dihydroxy-3-methyl-2,3,4,4a,5,7a-hexahydro-1H-4,12-methanobenzofuro[3,2-e]isoquinolin-7-yl)oxy)-1-oxopropan-2-yl)oxy)-4-oxobutanoic acid trifluoroacetic acid salt
Figure US10226456-20190312-C01280
A solution of (S)-1-((S)-1-(((4R,4aS,7aR,12bS)-9-((tert-butoxycarbonyl)oxy)-4a-hydroxy-3-methyl-2,3,4,4a,5,7a-hexahydro-1H-4,12-methanobenzofuro[3,2-e]isoquinolin-7-yl)oxy)-1-oxopropan-2-yl) 4-tert-butyl 2-((tert-butoxycarbonyl)amino)succinate (300 mg, 0.403 mmol) in methylene chloride (5.0 mL) was treated with trifluoroacetic acid (3.0 mL) and stirred under a nitrogen atmosphere at ambient temperature for 3 h. After this time, the reaction mixture was concentrated under reduced pressure. The residue was purified by reversed phase column chromatography (50 g C18 column, 0-100% acetonitrile/water with 0.1% trifluoroacetic acid) and freeze dried to provide (S)-3-amino-4-(((S)-1-(((4R,4aS,7aR,12bS)-4a,9-dihydroxy-3-methyl-2,3,4,4a,5,7a-hexahydro-1H-4,12-methanobenzofuro[3,2-e]isoquinolin-7-yl)oxy)-1-oxopropan-2-yl)oxy)-4-oxobutanoic acid trifluoroacetic acid salt (170 mg, 58%) as a fluffy white solid:1H NMR (300 MHz, DMSO-d6) δ 9.15 (br s, 2H), 8.44 (br s, 2H), 6.66 (apparent q, J=8.1 Hz, 2H), 6.26 (s, 2H), 5.59 (m, 1H), 5.33 (q, J=7.2 Hz, 1H), 4.98 (s, 1H), 4.45 (m, 1H), 3.35 (m, 2H), 3.11-2.88 (m, 4H), 2.84 (s, 3H), 2.73-2.42 (m, 3H), 2.29 (m, 1H), 2.06 (m, 1H), 1.64-1.53 (m, 4H); ESI MS m/z 489 [C24H28N2O9+H]+.
Figure US10226456-20190312-C01281
Preparation of (S)-(4R,4aS,7aR,12bS)-9-((tert-Butyldimethylsilyl)oxy)-3-methyl-2,3,4,4a,5,7a-hexahydro-1H-4,12-methanobenzofuro[3,2-e]isoquinoline-4a,7-d yl bis(3-(2-((S)-2,2-dimethyl-5-oxo-1,3-dioxolan-4-yl)acetamido)propanoate)
Figure US10226456-20190312-C01282
A solution of (4R,4aS,7aR,12bS)-9-((tert-butyldimethylsilyl)oxy)-3-methyl-2,3,4,4a,5,7a-hexahydro-1H-4,12-methanobenzofuro[3,2-e]isoquinoline-4a,7-diyl bis(3-((tert-butoxycarbonyl)amino)propanoate) (2.05 g, 2.70 mmol), in methylene chloride (30 mL) was treated with trifluoroacetic acid (3 mL) and the mixture was stirred at room temperature for 2 h. After this time, LC-MS analysis of the reaction mixture showed cleavage of the Boc protecting groups. N,N-Diisopropylethylamine was added slowly until the reaction mixture tested basic by pH paper analysis (˜5 mL of base added). The mixture was treated with (S)-2,5-dioxopyrrolidin-1-yl 2-(2,2-dimethyl-5-oxo-1,3-dioxolan-4-yl)acetate (2.15 g, 7.93 mmol) in one portion and stirred at room temperature for 2 h. After this time, the mixture was diluted with ethyl acetate and washed with water and brine. The organic extracts were dried over sodium sulfate, filtered, and concentrated. The residue was purified by reversed phase column chromatography (150 g C18 column, 5-100% acetonitrile/water) to provide (S)-(4R,4aS,7aR,12bS)-9-((tert-butyldimethylsilyl)oxy)-3-methyl-2,3,4,4a,5,7a-hexahydro-1H-4,12-methanobenzofuro[3,2-e]isoquinoline-4a,7-diyl bis(3-(2-((S)-2,2-dimethyl-5-oxo-1,3-dioxolan-4-yl)acetamido)propanoate) (1.20 g, 51%): ESI MS m/z 870 [C43H59N3O14Si+H]+.
Preparation of (2S,2′S)-4,4′-(((((4R,4aS,7aR,12bS)-9-Hydroxy-3-methyl-2,3,4,4a,5,7a-hexahydro-1H-4,12-methanobenzofuro[3,2-e]isoquinoline-4a,7-diyl)bis(oxy))bis(3-oxopropane-3,1-diyl))bis(azanediyl))bis(2-hydroxy-4-oxobutanoic acid) trifluoroacetic acid salt
Figure US10226456-20190312-C01283
A solution of (S)-(4R,4aS,7aR,12bS)-9-((tert-butyldimethylsilyl)oxy)-3-methyl-2,3,4,4a,5,7a-hexahydro-1H-4,12-methanobenzofuro[3,2-e]isoquinoline-4a,7-diyl bis(3-(2-((S)-2,2-dimethyl-5-oxo-1,3-dioxolan-4-yl)acetamido)propanoate) (1.10 g, 1.26 mmol) in tetrahydrofuran (25 mL) was treated with water (12 mL) followed by trifluoroacetic acid (8 mL), and the mixture was stirred at room temperature for 3 h. After this time, the mixture was concentrated, and the residue was purified by reversed phase column chromatography (150 g C18 column, 3-20% acetonitrile/water, with 0.1% trifluoracetic acid) and freeze dried to provide (2S,2′S)-4,4′-(((((4R,4aS,7aR,12bS)-9-hydroxy-3-methyl-2,3,4,4a,5,7a-hexahydro-1H-4,12-methanobenzofuro[3,2-e]isoquinoline-4a,7-diyl)bis(oxy))bis(3-oxopropane-3,1-diyl))bis(azanediyl))bis(2-hydroxy-4-oxobutanoic acid) trifluoroacetic acid salt (277 mg, 26%):1H NMR (300 MHz, DMSO-d6) δ 12.5 (br s, 2H), 9.51-9.28 (m, 2H), 8.13 (t, J=5.7 Hz, 1H), 8.02 (t, J=5.5 Hz, 1H), 6.72 (d, J=8.2 Hz, 1H), 6.66 (d, J=8.2 Hz, 1H), 5.50 (dd, J=6.6, 1.7 Hz, 1H), 5.06 (s, 1H), 4.78-4.65 (m, 1H), 4.32-4.27 (m, 2H), 3.56-3.43 (m, 2H), 3.40-3.15 (m, 6H), 3.08-2.88 (m, 4H), 2.87-2.69 (m, 2H), 2.67-2.57 (m, 3H), 2.48-2.30 (m, 4H), 2.08 (d, J=18.8 Hz, 1H), 1.78 (d, J=12.9 Hz, 1H), two protons obscured by solvent peaks; ESI MS m/z 676 [C31H37N3O14+H]+; HPLC (Method A) 97.2% (AUC), tR=6.32 min.
Figure US10226456-20190312-C01284
Preparation of (S)-2-(((S)-3-Acetoxy-4-(tert-butoxy)-4-oxobutanoyl)oxy)-2-phenylacetic acid
Figure US10226456-20190312-C01285
A solution of (S)-1-tert-butyl 4-(2,5-dioxopyrrolidin-1-yl) 2-acetoxysuccinate (1.66 g, 5.05 mmol), (S)-mandelic acid (861 mg, 5.66 mmol), and 4-dimethylaminopyridine (68 mg, 0.56 mmol) in tetrahydrofuran (30 mL) was treated with pyridine (0.82 mL, 10 mmol) and heated at 50° C. under a nitrogen atmosphere for 64 h. After this time, the reaction mixture was cooled to room temperature and concentrated under reduced pressure. The residue was dissolved in ethyl acetate (50 mL); washed with aqueous 10% citric acid (2×25 mL), water (25 mL), and brine (25 mL); dried over sodium sulfate; filtered; and concentrated under reduced pressure. The crude residue was purified by column chromatography (silica gel, 0-10% methanol/methylene chloride) to provide (S)-2-(((S)-3-acetoxy-4-(tert-butoxy)-4-oxobutanoyl)oxy)-2-phenylacetic acid (849 mg, 46%) as a colorless oil:1H NMR (300 MHz, DMSO-d6) δ 13.31 (s, 1H), 7.47-7.40 (m, 5H), 5.88 (s, 1H), 5.23 (dd, J=8.7, 4.2 Hz, 1H), 3.05 (dd, J=16.8, 4.2 Hz, 1H), 2.94 (dd, J=16.8, 8.7 Hz, 1H), 2.05 (s, 3H), 1.38 (s, 9H); ESI MS m/z 731 [(2×C18H22O8)−H].
Preparation of (S)-1-tert-Butyl 4-((S)-2-((2,5-dioxopyrrolidin-1-yl)oxy)-2-oxo-1-phenylethyl) 2-acetoxysuccinate
Figure US10226456-20190312-C01286
A solution of (S)-2-(((S)-3-acetoxy-4-(tert-butoxy)-4-oxobutanoyl)oxy)-2-phenylacetic acid (845 mg, 2.31 mmol) in tetrahydrofuran (23 mL) was treated with N-hydroxysuccinimide (292 mg, 2.54 mmol) and N,N′-dicydohexylcarbodiimide (541 mg, 2.62 mmol) and stirred under a nitrogen atmosphere for 16 h. After this time, the reaction mixture was filtered to remove the solid dicyclohexylurea byproduct. The solid was washed with diethyl ether, and the combined filtrate and washings were concentrated under reduced pressure to provide (S)-1-tert-butyl 4-((S)-2-((2,5-dioxopyrrolidin-1-yl)oxy)-2-oxo-1-phenylethyl) 2-acetoxysuccinate (1.20 g, quantitative) as a white semi-solid:1H NMR (300 MHz, DMSO-d6) δ 7.59-7.56 (m, 2H), 7.50-7.47 (m, 3H), 6.57 (s, 1H), 5.22 (dd, J=8.1, 4.5 Hz, 1H), 3.10 (dd, J=16.8, 4.5 Hz, 1H), 3.00 (dd, J=16.8, 8.4 Hz, 1H), 2.78 (br s, 4H), 2.04 (s, 3H), 1.37 (s, 9H).
Preparation of (S)-4-((S)-2-(((4R,4aS,7aR,12bS)-9-((tert-Butoxycarbonyl)oxy)-4a-hydroxy-3-methyl-2,3,4,4a,5,7a-hexahydro-1H-4,12-methanobenzofuro[3,2-e]isoquinolin-7-yl)oxy)-2-oxo-1-phenylethyl) 1-tert-butyl 2-acetoxysuccinate
Figure US10226456-20190312-C01287
A solution of tert-butyl ((4R,4aS,7aR,12bS)-4a-hydroxy-3-methyl-7-oxo-2,3,4,4a,5,6,7,7a-octahydro-1H-4,12-methanobenzofuro[3,2-e]isoquinolin-9-yl) carbonate (510 mg, 1.27 mmol) in tetrahydrofuran (10 mL) was cooled in an ice bath and treated dropwise with a 1.0 M solution of lithium bis(trimethylsilyl)amide in tetrahydrofuran (1.5 mL, 1.5 mmol). After addition was complete, the mixture was stirred at 0° C. for 1 h. The mixture was re-cooled to −45° C. and treated dropwise with a solution of (S)-1-tert-butyl 4-((S)-2-((2,5-dioxopyrrolidin-1-yl)oxy)-2-oxo-1-phenylethyl) 2-acetoxysuccinate (648 mg, 1.40 mmol) in tetrahydrofuran (5 mL). After addition was complete, the mixture was warmed to 0° C. After this time, the reaction mixture was treated with saturated aqueous ammonium chloride (20 mL) and extracted with ethyl acetate (2×50 mL). The combined organics were dried over sodium sulfate, filtered, and concentrated under reduced pressure. The crude residue was purified by column chromatography (40 g silica gel column, 0-20% methanol/methylene chloride, then 50 g C18 column, 10-100% acetonitrile/water) to provide (S)-4-((S)-2-(((4R,4aS,7aR,12bS)-9-((tert-butoxycarbonyl)oxy)-4a-hydroxy-3-methyl-2,3,4,4a,5,7a-hexahydro-1H-4,12-methanobenzofuro[3,2-e]isoquinolin-7-yl)oxy)-2-oxo-1-phenylethyl) 1-tert-butyl 2-acetoxysuccinate (382 mg, 40%) as a white solid: ESI MS m/z 750 [C40H47NO13+H]+.
Preparation of (S)-2-Acetoxy-4-((S)-2-(((4R,4aS,7aR,12bS)-4a,9-dihydroxy-3-methyl-2,3,4,4a,5,7a-hexahydro-1H-4,12-methanobenzofuro[3,2-e]isoquinolin-7-yl)oxy)-2-oxo-1-phenylethoxy)-4-oxobutanoic acid trifluoroacetic acid salt
Figure US10226456-20190312-C01288
A solution of (S)-4-((S)-2-(((4R,4aS,7aR,12bS)-9-((tert-butoxycarbonyl)oxy)-4a-hydroxy-3-methyl-2,3,4,4a, 5,7a-hexahydro-1H-4,12-methanobenzofuro[3,2-e]isoquinolin-7-yl)oxy)-2-oxo-1-phenylethyl) 1-tert-butyl 2-acetoxysuccinate (190 mg, 0.253 mmol) in methylene chloride (5 mL) was treated with trifluoroacetic acid (3 mL) and stirred under a nitrogen atmosphere at ambient temperature for 2 h. After this time, the reaction mixture was concentrated under reduced pressure. The residue was purified by reversed phase column chromatography (50 g C18 column, 0-100% acetonitrile/water with 0.1% trifluoroacetic acid) and freeze dried to provide (S)-2-acetoxy-4-((S)-2-(((4R,4aS,7aR,12bS)-4a,9-dihydroxy-3-methyl-2,3,4,4a,5,7a-hexahydro-1H-4,12-methanobenzofuro[3,2-e]isoquinolin-7-yl)oxy)-2-oxo-1-phenylethoxy)-4-oxobutanoic acid trifluoroacetic acid salt (124 mg, 67%) as a fluffy white solid:1H NMR (300 MHz, DMSO-d6) δ 13.4 (br s, 1H), 9.28 (s, 1H), 9.14 (br s, 1H), 7.59-7.54 (m, 2H), 7.52-7.45 (m, 3H), 6.64 (apparent q, J=8.1 Hz, 2H), 6.25 (s, 1H), 6.17 (s, 1H), 5.60 (dd, J=5.7, 2.1 Hz, 1H), 5.31 (dd, J=8.7, 3.9 Hz, 1H), 4.87 (s, 1H), 3.62-3.33 (m, 2H), 3.14-2.96 (m, 4H), 2.82 (d, J=4.2 Hz, 3H), 2.64-2.38 (m, 2H), 2.25 (m, 1H), 2.09-2.02 (m, 4H), 1.60 (m, 1H); ESI MS m/z 594 [C31H31NO11+H]+.
Figure US10226456-20190312-C01289
Preparation of (2R,3R)-2,3-Diacetoxy-4-(((R)-1,4-di-tert-butoxy-1,4-dioxobutan-2-yl)oxy)-4-oxobutanoic acid
Figure US10226456-20190312-C01290
(R)-Di-tert-butyl 2-hydroxysuccinate (1.60 g, 6.50 mmol), (3R,4R)-2,5-dioxotetrahydrofuran-3,4-diyl diacetate (1.76 g, 8.12 mmol), pyridine (462 mg, 5.85 mmol), and N,N-dimethylformamide (4 mL) were combined and stirred at 0° C. under a nitrogen atmosphere for 3 h. After this time, saturated sodium bicarbonate (15 mL) was added, and the resulting aqueous solution was washed with ethyl acetate (10 mL). The aqueous phase was collected and acidified to pH=3 with 6 N hydrochloric acid, and the mixture was extracted with ethyl acetate (2×20 mL). The combined organics were washed with brine (50 mL), dried over sodium sulfate, filtered, and concentrated under reduced pressure to provide (2R,3R)-2,3-diacetoxy-4-(((R)-1,4-di-tert-butoxy-1,4-dioxobutan-2-yl)oxy)-4-oxobutanoic acid (2.28 g, 75%) as a yellow oil:1H NMR (300 MHz, CDCl3) δ 5.80 (d, J=2.7 Hz, 1H), 5.75 (d, J=2.4 Hz, 1H), 5.36 (dd, J=7.8, 5.1 Hz, 1H), 2.78-2.74 (m, 2H), 2.21 (s, 3H), 2.19 (s, 3H), 1.46 (s, 9H), 1.44 (s, 9H), CO2H proton not observed.
Preparation of (2R,3R)-1-((R)-1,4-Di-tert-butoxy-1,4-dioxobutan-2-yl) 4-(2,5-dioxopyrrolidin-1-yl) 2,3-diacetoxysuccinate
Figure US10226456-20190312-C01291
A solution of (2R,3R)-2,3-diacetoxy-4-(((R)-1,4-di-tert-butoxy-1,4-dioxobutan-2-yl)oxy)-4-oxobutanoic acid (2.28 g, 4.93 mmol) in tetrahydrofuran (40 mL) was treated with N-hydroxysuccinimide (624 mg, 5.42 mmol) and N,N′-dicyclohexylcarbodiimide (1.12 g, 5.42 mmol) and stirred under a nitrogen atmosphere for 4 h. After this time, the reaction mixture was filtered to remove the solid dicyclohexylurea byproduct. The solid was washed with diethyl ether (100 mL), and the combined filtrate and washings were concentrated under reduced pressure. The residue was triturated with diethyl ether to provide (2R,3R)-1-((R)-1,4-di-tert-butoxy-1,4-dioxobutan-2-yl) 4-(2,5-dioxopyrrolidin-1-yl) 2,3-diacetoxysuccinate (3.39 g, quantitative) as a yellow solid:1H NMR (300 MHz, CDCl3) δ 6.14 (d, J=3.0 Hz, 1H), 5.88 (d, J=3.0 Hz, 1H), 5.38 (dd, J=8.1, 3.3 Hz, 1H), 2.88-2.68 (m, 6H), 2.24 (s, 3H), 2.23 (s, 3H), 1.46 (s, 9H), 1.44 (s, 9H).
Preparation (2R,3R)-1-((4R,4aS,7aR,12bS)-9-((tert-Butoxycarbonyl)oxy)-4a-hydroxy-3-methyl-2,3,4,4a,5,7a-hexahydro-1H-4,12-methanobenzofuro[3,2-e]isoquinolin-7-yl) 4-((R)-1,4-di-tert-butoxy-1,4-dioxobutan-2-yl) 2,3-diacetoxysuccinate
Figure US10226456-20190312-C01292
A solution of tert-butyl ((4R,4aS,7aR,12bS)-4a-hydroxy-3-methyl-7-oxo-2,3,4,4a,5,6,7,7a-octahydro-1H-4,12-methanobenzofuro[3,2-e]isoquinolin-9-yl) carbonate (500 mg, 1.25 mmol) in tetrahydrofuran (10 mL) was cooled in an ice bath and treated dropwise with a 1.0 M solution of lithium bis(trimethylsilyl)amide in tetrahydrofuran (1.5 mL, 1.5 mmol). After addition was complete, the mixture was stirred at ambient temperature for 15 min. The mixture was re-cooled to −45° C. and treated dropwise with a solution of (2R,3R)-1-((R)-1,4-di-tert-butoxy-1,4-dioxobutan-2-yl) 4-(2,5-dioxopyrrolidin-1-yl) 2,3-diacetoxysuccinate (766 mg, 1.37 mmol) in tetrahydrofuran (5 mL). After addition was complete, the mixture was warmed to 0° C. After this time, the reaction mixture was treated with saturated aqueous ammonium chloride (20 mL) and extracted with ethyl acetate (2×25 mL). The combined organics were dried over sodium sulfate, filtered, and concentrated under reduced pressure. The crude residue was purified by column chromatography (40 g silica gel column, 0-20% methanol/methylene chloride, then 50 g C18 column, 10-100% acetonitrile/water) to provide (2R,3R)-1-((4R,4aS,7aR,12bS)-9-((tert-butoxycarbonyl)oxy)-4a-hydroxy-3-methyl-2,3,4,4a,5,7a-hexahydro-1H-4,12-methanobenzofuro[3,2-e]isoquinolin-7-yl) 4-((S)-1,4-di-tert-butoxy-1,4-dioxobutan-2-yl) 2,3-diacetoxysuccinate (288 mg, 27%) as a white solid: ESI MS m/z 846 [C42H55NO17+H]+.
Preparation of (R)-2-(((2R,3R)-2,3-Diacetoxy-4-(((4R,4aS,7aR,12bS)-4a,9-dihydroxy-3-methyl-2,3,4,4a,5,7a-hexahydro-1H-4,12-methanobenzofuro[3,2-e]isoquinolin-7-yl)oxy)-4-oxobutanoyl)oxy)succinlc acid trifluoroacetic acid salt
Figure US10226456-20190312-C01293
A solution of (2R,3R)-1-((4R,4aS,7aR,12bS)-9-((tert-butoxycarbonyl)oxy)-4a-hydroxy-3-methyl-2,3,4,4a,5,7a-hexahydro-1H-4,12-methanobenzofuro[3,2-e]isoquinolin-7-yl) 4-((R)-1,4-di-tert-butoxy-1,4-dioxobutan-2-yl) 2,3-diacetoxysuccinate (288 mg, 0.340 mmol) in methylene chloride (5.0 mL) was treated with trifluoroacetic acid (5.0 mL) and stirred under a nitrogen atmosphere at ambient temperature for 1 h. After this time, the reaction mixture was concentrated under reduced pressure. The residue was purified by reversed phase column chromatography (50 g C18 column, 0-100% acetonitrile/water with 0.1% trifluoroacetic acid) and freeze dried to provide (R)-2-(((2R,3R)-2,3-diacetoxy-4-(((4R,4aS,7aR,12bS)-4a,9-dihydroxy-3-methyl-2,3,4,4a,5,7a-hexahydro-1H-4,12-methanobenzofuro[3,2-e]isoquinolin-7-yl)oxy)-4-oxobutanoyl)oxy)succinic acid trifluoroacetic acid salt (175 mg, 68%) as a fluffy white solid:1H NMR (300 MHz, DMSO-d6) δ 13.5 (br s, 1H), 12.8 (br s, 1H), 9.36 (s, 1H), 9.16 (br s, 1H), 6.65 (apparent q, J=8.1 Hz, 2H), 6.28 (br s, 1H), 5.82 (d, J=2.4 Hz, 1H), 5.78 (d, J=2.4 Hz, 1H), 5.54 (dd, J=6.0, 1.8 Hz, 1H), 5.35 (dd, J=7.5, 3.9 Hz, 1H), 4.84 (s, 1H), 3.62-3.34 (m, 2H), 3.02 (m, 1H), 2.93-2.72 (m, 5H), 2.63-2.40 (m, 3H), 2.27 (m, 1H), 2.22 (s, 3H), 2.11 (s, 3H), 2.07 (m, 1H), 1.62 (m, 1H); ESI MS m/z 634 [C29H31NO15+H]+.
Figure US10226456-20190312-C01294
Preparation of (S)-2,5-Dioxopyrrolidin-1-yl 2-acetamido-6-((tert-butoxycarbonyl)amino)hexanoate
Figure US10226456-20190312-C01295
A solution of (S)-2-acetamido-6-((tert-butoxycarbonyl)amino)hexanoic acid (1.00 g, 3.47 mmol) in tetrahydrofuran (20 mL) was treated with N-hydroxysuccinimide (439 mg, 3.81 mmol) and N,N′-dicyclohexylcarbodiimide (785 mg, 3.81 mmol) and stirred under a nitrogen atmosphere for 2 h. After this time, the reaction mixture was filtered to remove the solid dicyclohexylurea byproduct. The solid was washed with diethyl ether (100 mL), and the combined filtrate and washings were concentrated under reduced pressure. The residue was triturated with diethyl ether to provide (S)-2,5-dioxopyrrolidin-1-yl 2-acetamido-6-((tert-butoxycarbonyl)amino)hexanoate (1.49 mg) as a white solid:1H NMR (300 MHz, CDCl3) δ 6.27 (m, 1H), 4.94 (m, 1H), 4.69 (m, 1H), 3.15-3.13 (m, 2H), 2.87 (s, 4H), 2.08 (s, 3H), 2.02-1.83 (m, 2H), 1.55-1.22 (m, 4H), 1.45 (s, 9H).
Preparation of (S)-(4R,4aS,7aR,12bS)-4a,9-Dihydroxy-3-methyl-2,3,4,4a,5,7a-hexahydro-1H-4,12-methanobenzofuro[3,2-e]isoquinolin-7-yl 2-((3-((S)-2-acetamido-6-((tert-butoxycarbonyl)amino)hexanamido)propanoyl)oxy)propanoate
Figure US10226456-20190312-C01296
A solution of (S)-(4R,4aS,7aR,12bS)-4a,9-dihydroxy-3-methyl-2,3,4,4a,5,7a-hexahydro-1H-4,12-methanobenzofuro[3,2-e]isoquinolin-7-yl 2-((3-aminopropanoyl)oxy)propanoate hydrochloride (121 mg, 0.233 mmol) in tetrahydrofuran (6 mL) was treated with (S)-2,5-dioxopyrrolidin-1-yl 2-acetamido-6-((tert-butoxycarbonyl)amino)hexanoate (90 mg, 0.23 mmol) and N,N-diisopropylethylamine (60 mg, 0.47 mmol) at 0° C. and stirred under a nitrogen atmosphere for 1 h. After this time the reaction mixture was concentrated under reduced pressure. The residue was purified by column chromatography (40 g silica gel column, 0-20% methanol/methylene chloride) to provide (S)-(4R,4aS,7aR,12bS)-4a,9-dihydroxy-3-methyl-2,3,4,4a,5,7a-hexahydro-1H-4,12-methanobenzofuro[3,2-e]isoquinolin-7-yl 2-((3-((S)-2-acetamido-6-((tert-butoxycarbonyl)amino)hexanamido)propanoyl)oxy)propanoate (126 mg, 75%) as a white solid: ESI MS m/z 715 [C36H50N4O11+H]+.
Preparation of (S)-(4R,4aS,7aR,12bS)-4a,9-Dihydroxy-3-methyl-2,3,4,4a,5,7a-hexahydro-1H-4,12-methanobenzofuro[3,2-e]isoquinolin-7-yl 2-((3-((S)-2-acetamido-6-aminohexanamido)propanoyl)oxy)propanoatetrifluoroacetic acid salt
Figure US10226456-20190312-C01297
A solution of (S)-(4R,4aS,7aR,12bS)-4a,9-dihydroxy-3-methyl-2,3,4,4a,5,7a-hexahydro-1H-4,12-methanobenzofuro[3,2-e]isoquinolin-7-yl 2-((3-((S)-2-acetamido-6-((tert-butoxycarbonyl)amino)hexanamido)propanoyl)oxy)propanoate (126 mg, 0.176 mmol) in methylene chloride (3 mL) was treated with trifluoroacetic acid (3 mL) and stirred under a nitrogen atmosphere at ambient temperature for 1 h. After this time, the reaction mixture was concentrated under reduced pressure. The residue was purified by reversed phase column chromatography (50 g C18 column, 0-100% acetonitrile/water with 0.1% trifluoroacetic acid) and freeze dried to provide (S)-(4R,4aS,7aR,12bS)-4a,9-dihydroxy-3-methyl-2,3,4,4a,5,7a-hexahydro-1H-4,12-methanobenzofuro[3,2-e]isoquinolin-7-yl 2-((3-((S)-2-acetamido-6-aminohexanamido)propanoyl)oxy)propanoate trifluoroacetic acid salt (51 mg, 32%) as a fluffy white solid:1H NMR (300 MHz, DMSO-d6) δ 9.30 (s, 1H), 9.16 (br s, 1H), 8.05-7.98 (m, 2H), 7.64 (br s, 3H), 6.65 (apparent q, J=8.1 Hz, 2H), 6.25 (s, 2H), 5.58 (dd, J=5.7, 1.8 Hz, 1H), 5.10 (q, J=7.2 Hz, 1H), 4.96 (s, 1H), 4.15 (m, 1H), 3.67-3.27 (m, 4H), 3.11-3.03 (m, 2H), 2.84 (d, J=4.8 Hz, 3H), 2.78-2.72 (m, 2H), 2.67-2.46 (m, 2H), 2.29 (m, 1H), 2.06 (m, 1H), 1.84 (s, 3H), 1.65-1.25 (m, 11H); ESI MS m/z 615 [C31H42N4O9+H]+.
Figure US10226456-20190312-C01298
Figure US10226456-20190312-C01299
Preparation of (4R,5R)-4-((S)-1-(Benzyloxy)-1-oxopropan-2-yl) 5-tert-butyl 2,2-dimethyl-1,3-dioxolane-4,5-dicarboxylate
Figure US10226456-20190312-C01300
A mixture of (4S,5S)-5-(tert-butoxycarbonyl)-2,2-dimethyl-1,3-dioxolane-4-carboxylic acid (1.00 g, 4.07 mmol), (S)-benzyl 2-hydroxypropanoate (1.20 g, 6.66 mmol), and 4-dimethylaminopyridine (150 mg, 1.23 mmol) in methylene chloride (10 mL) was treated with N,N′-dicyclohexylcarbodiimide (1.10 g, 5.33 mmol), and the reaction mixture was stirred at ambient temperature for 18 h. After this time, the mixture was filtered, and the filtrate was concentrated under reduced pressure. The residue was purified by column chromatography (40 g silica gel column, 0-50% ethyl acetate/heptane) to provide (4S,5S)-4-((S)-1-(benzyloxy)-1-oxopropan-2-yl) 5-tert-butyl 2,2-dimethyl-1,3-dioxolane-4,5-dicarboxylate (780 mg, 47%):1H NMR (300 MHz, CDCl3) δ 7.39-7.32 (m, 5H), 5.23 (q, J=7.1 Hz, 1H), 5.18 (s, 2H), 4.77 (d, J=5.7 Hz, 1H), 4.65 (d, J=5.7 Hz, 1H), 1.56 (d, J=7.1 Hz, 3H), 1.52-1.49 (m, 15H).
Preparation of (S)-2-(((4R,5R)-5-(tert-Butoxycarbonyl)-2,2-d methyl-1,3-dioxolane-4-carbonyl)oxy)propanoic acid
Figure US10226456-20190312-C01301
A mixture of (4S,5S)-4-((S)-1-(benzyloxy)-1-oxopropan-2-yl) 5-tert-butyl 2,2-dimethyl-1,3-dioxolane-4,5-dicarboxylate (770 mg, 1.89 mmol) and palladium (10% on carbon, 200 mg) in ethanol (25 mL) was stirred at room temperature under balloon pressure hydrogen for 2 h. After this time, the reaction mixture was purged with nitrogen and filtered through diatomaceous earth. The filtrate was concentrated under reduced pressure to provide (S)-2-(((4S,5S)-5-(tert-butoxycarbonyl)-2,2-dimethyl-1,3-dioxolane-4-carbonyl)oxy)propanoic acid:1H NMR (300 MHz, CDCl3) δ 5.20 (q, J=7.0 Hz, 1H), 4.77 (d, J=5.7 Hz, 1H), 4.67 (d, J=5.7 Hz, 1H), 1.59 (d, J=7.0 Hz, 3H), 1.53-1.48 (m, 15H), CO2H proton not observed.
Preparation of (4R,5R)-4-tert-Butyl 5-((S)-1-((2,5-dioxopyrrolidin-1-yl)oxy)-1-oxopropan-2-yl) 2,2-dimethyl-1,3-dioxolane-4,5-dicarboxylate
Figure US10226456-20190312-C01302
A mixture of (S)-2-(((4S,5S)-5-(tert-butoxycarbonyl)-2,2-dimethyl-1,3-dioxolane-4-carbonyl)oxy)propanoic acid (580 mg, 1.82 mmol) and N-hydroxysuccinimide (230 mg, 2.00 mmol) in tetrahydrofuran (15 mL) was treated with N,N′-dicyclohexylcarbodiimide (413 mg, 2.00 mmol), and the reaction mixture was stirred at ambient temperature for 4 h. After this time, diethyl ether (15 mL) was added, and the mixture was filtered. The filtrate was concentrated under reduced pressure to provide (4S,5S)-4-tert-butyl 5-((S)-1-((2,5-dioxopyrrolidin-1-yl)oxy)-1-oxopropan-2-yl) 2,2-dimethyl-1,3-dioxolane-4,5-dicarboxylate (960 mg, 76%) that was used without purification:1H NMR (300 MHz, CDCl3) δ 5.53 (q, J=7.1 Hz, 1H), 4.80 (d, J=5.6 Hz, 1H), 4.70 (d, J=5.6 Hz, 1H), 2.85 (s, 4H), 1.75 (d, J=7.1 Hz, 3H), 1.52-1.49 (m, 15H).
Preparation of (4R,5R)-4-((S)-1-(((4R,4aS,7aR,12bS)-9-((tert-Butoxycarbonyl)oxy)-4a-hydroxy-3-methyl-2,3,4,4a,5,7a-hexahydro-1H-4,12-methanobenzofuro[3,2-e]isoquinolin-7-yl)oxy)-1-oxopropan-2-yl) 5-tert-butyl 2,2-dimethyl-1,3-dioxolane-4,5-d carboxylate
Figure US10226456-20190312-C01303
A solution of tert-butyl ((4R,4aS,7aR,12bS)-4a-hydroxy-3-methyl-7-oxo-2,3,4,4a,5,6,7,7a-octahydro-1H-4,12-methanobenzofuro[3,2-e]isoquinolin-9-yl) carbonate (600 mg, 1.50 mmol) in tetrahydrofuran (8 mL) was cooled to 0° C. and treated dropwise with a 1.0 M solution of lithium bis(trimethylsilyl)amidein tetrahydrofuran (1.6 mL, 1.6 mmol). After addition was complete, the mixture was stirred at ambient temperature for 10 min. The mixture was re-cooled to 0° C. and (4S,5S)-4-tert-butyl 5-((S)-1-((2,5-dioxopyrrolidin-1-yl)oxy)-1-oxopropan-2-yl) 2,2-dimethyl-1,3-dioxolane-4,5-dicarboxylate (600 mg, 1.45 mmol) was added in one portion. The mixture was stirred at 0° C. for 45 min. After this time, the mixture was treated with saturated aqueous ammonium chloride and extracted with ethyl acetate. The combined organics were dried over sodium sulfate, filtered, and concentrated under reduced pressure. The residue was purified by reverse phase column chromatography (50 g C18 column, 5-100% acetonitrile/water) to provide (4R,5R)-4-((S)-1-(((4R,4aS,7aR,12bS)-9-((tert-butoxycarbonyl)oxy)-4a-hydroxy-3-methyl-2,3,4,4a,5,7a-hexahydro-1H-4,12-methanobenzofuro[3,2-e]isoquinolin-7-yl)oxy)-1-oxopropan-2-yl) 5-tert-butyl 2,2-dimethyl-1,3-dioxolane-4,5-dicarboxylate (495 mg, 49%): ESI MS m/z 702 [C36H47NO13+H]+.
Preparation of (2R,3R)-4-(((S)-1-(((4R,4aS,7aR,12bS)-4a,9-Dihydroxy-3-methyl-2,3,4,4a,5,7a-hexahydro-1H-4,12-methanobenzofuro[3,2-e]isoquinolin-7-yl)oxy)-1-oxopropan-2-yl)oxy)-2,3-dihydroxy-4-oxobutanoic acid trifluoroacetic acid salt
Figure US10226456-20190312-C01304
A solution of (4R,5R)-4-((S)-1-(((4R,4aS,7aR,12bS)-9-((tert-butoxycarbonyl)oxy)-4a-hydroxy-3-methyl-2,3,4,4a,5,7a-hexahydro-1H-4,12-methanobenzofuro[3,2-e]isoquinolin-7-yl)oxy)-1-oxopropan-2-yl) 5-tert-butyl 2,2-dimethyl-1,3-dioxolane-4,5-dicarboxylate (495 mg, 0.706 mmol) in methylene chloride (10 mL) was treated with trifluoroacetic acid (2 mL), and the mixture was stirred at room temperature for 1 h. LC-MS analysis of the reaction mixture indicated cleavage of the Boc and tert-butyl protecting groups. Water (0.1 mL) was added, and the mixture was stirred at ambient temperature for 6 h. After this time, the reaction mixture was concentrated under reduced pressure. The residue was purified by reversed phase column chromatography (50 g C18 column, 3-20% acetonitrile/water, with 0.1% trifluoracetic acid) and freeze dried to provide (2R,3R)-4-(((S)-1-(((4R,4aS,7aR,12bS)-4a,9-dihydroxy-3-methyl-2,3,4,4a,5,7a-hexahydro-1H-4,12-methanobenzofuro[3,2-e]isoquinolin-7-yl)oxy)-1-oxopropan-2-yl)oxy)-2,3-dihydroxy-4-oxobutanoic acid trifluoroacetic acid salt (163 mg, 41%):1H NMR (300 MHz, DMSO-d6) δ 12.83 (br s, 1H), 9.30 (br s, 1H), 9.17 (br s, 1H), 6.69 (d, J=8.1 Hz, 1H), 6.63 (d, J=8.1 Hz, 1H), 6.27 (s, 1H), 5.60 (dd, J=6.0, 2.0 Hz, 1H), 5.18 (q, J=7.0 Hz, 1H), 4.99 (s, 1H), 4.48 (d, J=2.2 Hz, 1H), 4.39 (d. J=2.1 Hz, 1H), 3.63 (d, J=6.3 Hz, 1H), 3.38 (d, J=20.0 Hz, 1H), 3.14-3.00 (m, 2H), 2.84 (apparent d, J=4.2 Hz, 3H), 2.70-2.57 (m, 1H), 2.44 (dd, J=13.6, 4.9 Hz, 1H), 2.29 (dd, J=17.9, 6.1 Hz, 1H), 2.07 (d, J=17.9 Hz, 1H), 1.63 (d, J=11.3 Hz, 1H), 1.53 (d, J=7.0 Hz, 3H), two protons obscured by solvent peaks; ESI MS m/z 506 [C24H27NO11+H]+; HPLC (Method A) 94.4% (AUC), tR=6.71 min.
Figure US10226456-20190312-C01305
Figure US10226456-20190312-C01306
Preparation of (S)-tert-Butyl 2-hydroxypropanoate
Figure US10226456-20190312-C01307
A solution of (S)-2-hydroxypropanoic acid (5.0 g, 55 mmol) and acetic acid (1 mL) in dichloromethane (40 mL) was cooled in an ice bath and treated dropwise with acetyl chloride (4.5 mL, 61 mmol). After addition was complete, the mixture was stirred at ambient temperature for 16 h. After this time, the mixture was diluted with water (50 mL) and extracted with methylene chloride (2×50 mL). The combined organics were washed with brine (50 mL), dried over sodium sulfate, filtered, and concentrated under reduced pressure to provide (S)-2-acetoxypropanoic acid (6.0 g) as a colorless oil.
(S)-2-acetoxypropanoic acid (6.0 g, 55 mmol), tert-butyl alcohol (8.10 g, 110 mmol),N,N-dimethylpyridin-4-amine (2.0 g, 16 mmol) and N,N′-dicyclohexylcarbodiimide (14.7 g, 71.5 mmol) were combined and stirred at ambient temperature for 16 h. After this time, the mixture was filtered and concentrated under reduced pressure to provide (S)-tert-butyl 2-acetoxypropanoate (12 g) as a colorless oil.
A solution of (S)-tert-butyl 2-acetoxypropanoate (12 g, 55 mmol) in methanol (40 mL) was cooled in an ice bath and treated with a solution of potassium carbonate (22.8 g, 165 mmol) in water (40 mL). After addition was complete, the mixture was stirred in an ice bath for 5 h. After this time, the mixture was diluted with water (50 mL) and extracted with ethyl acetate (3×50 mL). The combined organics were washed with brine (50 mL), dried over sodium sulfate, filtered, and concentrated under reduced pressure. The crude residue was purified by column chromatography (silica gel, 0-30% ethyl acetate/heptanes) to provide (S)-tert-butyl 2-hydroxypropanoate (1.14 g, 15% in three steps) as a white solid:1H NMR (300 MHz, CDCl3) δ 4.13 (dd, J=6.9, 5.4 Hz, 1H), 2.82 (d, J=5.4 Hz, 1H), 1.49 (s, 9H), 1.37 (d, J=6.9 Hz, 3H).
Preparation of (S)-tert-Butyl 2-(2-((S)-2,2-dimethyl-5-oxo-1,3-dioxolan-4-yl)acetoxy)propanoate
Figure US10226456-20190312-C01308
A solution of (S)-2-(2,2-dimethyl-5-oxo-1,3-dioxolan-4-yl)acetic acid (0.66 g, 3.8 mmol) in dichloromethane (20 mL) was treated with (S)-tert-butyl 2-hydroxypropanoate (0.50 g, 3.4 mmol),N,N-dimethylpyridin-4-amine (0.13 g, 1.0 mmol) and N,N′-dicyclohexylcarbodiimide (0.85 g, 4.1 mmol). The mixture was stirred at ambient temperature for 16 h. After this time, the mixture was filtered and concentrated under reduced pressure. The crude residue was purified by column chromatography (silica gel, 0-30% ethyl acetate/heptanes) to provide (S)-tert-butyl 2-(2-((S)-2,2-dimethyl-5-oxo-1,3-dioxolan-4-yl)acetoxy)propanoate (0.22 g, 21%) as a colorless oil:1H NMR (300 MHz, CDCl3) δ 4.99 (dd, J=14.1, 8.4 Hz, 1H), 4.74 (dd, J=6.6, 3.6 Hz, 1H), 3.04 (dd, J=14.1, 3.6 Hz, 1H), 2.85 (dd, J=17.4, 8.4 Hz, 1H), 1.62 (s, 3H), 1.55 (s, 3H), 1.47 (d, J=6.2 Hz, 3H), 1.46 (s, 9H).
Preparation of (S)-4-(((S)-1-(tert-Butoxy)-1-oxopropan-2-yl)oxy)-2-hydroxy-4-oxobutanoic acid
Figure US10226456-20190312-C01309
A solution of (S)-tert-butyl 2-(2-((S)-2,2-dimethyl-5-oxo-1,3-dioxolan-4-yl)acetoxy)propanoate (3.07 g, 10.2 mmol), acetic acid (35 mL), and water (15 mL) was heated at 60° C. for 1 h. After this time, the mixture was concentrated under reduced pressure. The residue was diluted with toluene and concentrated under reduced pressure to provide of (S)-4-(((S)-1-(tert-butoxy)-1-oxopropan-2-yl)oxy)-2-hydroxy-4-oxobutanoic acid (2.99 g, 99%) as a colorless oil:1H NMR (300 MHz, DMSO-d6) δ 12.6 (s, 1H), 5.51 (s, 1H), 4.82 (dd, J=14.1, 6.9 Hz, 1H), 4.31-4.30 (m, 1H), 2.72 (dd, J=15.9, 4.5 Hz, 1H), 2.60 (dd, J=15.9, 7.8 Hz, 1H), 1.40 (s, 9H), 1.36 (d, J=7.2 Hz, 3H).
Preparation of (S)-1-Benzyl 4-((S)-1-(tert-butoxy)-1-oxopropan-2-yl) 2-((tert-butoxycarbonyl)oxy)succinate
Figure US10226456-20190312-C01310
(S)-4-(((S)-1-(tert-Butoxy)-1-oxopropan-2-yl)oxy)-2-hydroxy-4-oxobutanoic acid (0.26 g, 1.0 mmol), benzylalcohol (0.15 g, 1.2 mmol),N,N-dimethylpyridin-4-amine (44 mg, 0.30 mmol), and N,N′-dicyclohexylcarbodiimide (0.30 g, 1.2 mmol) were combined and stirred in methylene chloride (10 mL) at ambient temperature for 16 h. After this time, the mixture was filtered and concentrated under reduced pressure to provide to provide (S)-1-benzyl 4-((S)-1-(tert-butoxy)-1-oxopropan-2-yl) 2-hydroxysuccinate (0.32 g) as a colorless oil.
(S)-1-Benzyl 4-((S)-1-(tert-butoxy)-1-oxopropan-2-yl) 2-hydroxysuccinate (0.32 g, 0.91 mmol), di-tert-butyl dicarbonate (0.22 g, 1.0 mmol), and 4-dimethylaminopyridine (12 mg, 0.098 mmol) were combined and stirred in methylene chloride (10 mL) at ambient temperature for 3 h. After this time, the mixture was concentrated under reduced pressure. The crude residue was purified by column chromatography (silica gel, 0-30% ethyl acetate/heptanes) to provide (S)-1-benzyl 4-((S)-1-(tert-butoxy)-1-oxopropan-2-yl) 2-((tert-butoxycarbonyl)oxy)succinate (0.21 g, 46% in two steps) as a colorless oil:1H NMR (300 MHz, CDCl3) δ 7.34-7.32 (m, 5H), 5.41 (dd, J=8.1, 4.5 Hz, 1H), 5.26 (d, J=12 Hz, 1H), 5.14 (d, J=12 Hz, 1H), 4.96 (dd, J=14.1, 7.2 Hz, 1H), 2.98-2.94 (m, 2H), 1.46 (s, 9H), 1.45 (s, 9H), 1.42 (d, J=7.2 Hz, 3H).
Preparation of (S)-4-((S)-1-(tert-Butoxy)-1-oxopropan-2-yl) 1-(2,5-dioxopyrrolidin-1-yl) 2-((tert-butoxycarbonyl)oxy)succinate
Figure US10226456-20190312-C01311
A solution of (S)-1-benzyl 4-((S)-1-(tert-butoxy)-1-oxopropan-2-yl) 2-((tert-butoxycarbonyl)oxy)succinate (0.54 g, 1.2 mmol) in ethyl alcohol (8 mL) was treated with palladium on carbon (10%, 0.1 g). The mixture was stirred under a hydrogen atmosphere at ambient temperature for 2 h. After this time, the reaction mixture was filtered and concentrated under reduced pressure to provide (S)-4-(((S)-1-(tert-butoxy)-1-oxopropan-2-yl)oxy)-2-((tert-butoxycarbonyl)oxy)-4-oxobutanoic acid (0.5 g) as a colorless oil.
(S)-4-(((S)-1-(tert-Butoxy)-1-oxopropan-2-yl)oxy)-2-((tert-butoxycarbonyl)oxy)-4-oxobutanoic acid (0.50 g, 1.2 mmol), 1-hydroxypyrrolidine-2,5-dione (0.16 g, 1.4 mmol) and N,N′-dicyclohexylcarbodiimide (0.27 g, 1.3 mmol) were combined and stirred in tetrahydrofuran (10 mL) at ambient temperature for 4 h. After this time, the mixture was filtered and concentrated under reduced pressure to provide (S)-4-((S)-1-(tert-butoxy)-1-oxopropan-2-yl) 1-(2,5-dioxopyrrolidin-1-yl) 2-((tert-butoxycarbonyl)oxy)succinate (0.8 g) as a sticky solid, which was used without purification.
Preparation of (S)-4-((S)-1-(tert-Butoxy)-1-oxopropan-2-yl) 1-((4R,4aS,7aR,12bS)-9-((tert-butoxycarbonyl)oxy)-4a-hydroxy-3-methyl-2,3,4,4a,5,7a-hexahydro-1H-4,12-methanobenzofuro[3,2-e]isoquinolin-7-yl) 2-((tert-butoxycarbonyl)oxy)succinate
Figure US10226456-20190312-C01312
A solution of tert-butyl ((4R,4aS,7aR,12bS)-4a-hydroxy-3-methyl-7-oxo-2,3,4,4a,5,6,7,7a-octahydro-1H-4,12-methanobenzofuro[3,2-e]isoquinolin-9-yl) carbonate (400 mg, 0.996 mmol) in tetrahydrofuran (10 mL) was cooled in an ice bath and treated dropwise with a 1.0 M solution of lithium bis(trimethylsilyl)amide in tetrahydrofuran (1.2 mL, 1.2 mmol). After addition was complete, the mixture was stirred at 0° C. for 1 h. The mixture was re-cooled to −45° C. and treated dropwise with a solution of (S)-4-((S)-1-(tert-butoxy)-1-oxopropan-2-yl) 1-(2,5-dioxopyrrolidin-1-yl) 2-((tert-butoxycarbonyl)oxy)succinate (504 mg, 1.10 mmol) in tetrahydrofuran (5 mL). After addition was complete, the mixture was warmed to 0° C. After this time, the reaction mixture was treated with saturated aqueous ammonium chloride (20 mL) and extracted with ethyl acetate (2×50 mL). The combined organics were dried over sodium sulfate, filtered, and concentrated under reduced pressure. The crude residue was purified by column chromatography (40 g silica gel column, 0-20% methanol/methylene chloride, then 50 g C18 column, 10-100% acetonitrile/water) to provide (S)-4-((S)-1-(tert-butoxy)-1-oxopropan-2-yl) 1-((4R,4aS,7aR,12bS)-9-((tert-butoxycarbonyl)oxy)-4a-hydroxy-3-methyl-2,3,4,4a,5,7a-hexahydro-1H-4,12-methanobenzofuro[3,2-e]isoquinolin-7-yl) 2-((tert-butoxycarbonyl)oxy)succinate (37 mg, 5%) as a white solid: ESI MS m/z 746 [C38H51NO14+H]+.
Preparation of (S)-2-(((S)-4-(((4R,4aS,7aR,12bS)-4a,9-Dihydroxy-3-methyl-2,3,4,4a,5,7a-hexahydro-1H-4,12-methanobenzofuro[3,2-e]isoquinolin-7-yl)oxy)-3-hydroxy-4-oxobutanoyl)oxy)propanoic acid trifluoroacetic acid salt
Figure US10226456-20190312-C01313
A solution of (S)-4-((S)-1-(tert-butoxy)-1-oxopropan-2-yl) 1-((4R,4aS,7aR,12bS)-9-((tert-butoxycarbonyl)oxy)-4a-hydroxy-3-methyl-2,3,4,4a,5,7a-hexahydro-1H-4,12-methanobenzofuro[3,2-e]isoquinolin-7-yl) 2-((tert-butoxycarbonyl)oxy)succinate (37 mg, 0.050 mmol) in methylene chloride (3 mL) was treated with trifluoroacetic acid (1 mL) and stirred under a nitrogen atmosphere at ambient temperature for 1 h. After this time, the reaction mixture was concentrated under reduced pressure. The residue was purified by reversed phase column chromatography (50 g C18 column, 0-100% acetonitrile/water with 0.1% trifluoroacetic acid) and freeze dried to provide (S)-2-(((S)-4-(((4R,4aS,7aR,12bS)-4a,9-dihydroxy-3-methyl-2,3,4,4a,5,7a-hexahydro-1H-4,12-methanobenzofuro[3,2-e]isoquinolin-7-yl)oxy)-3-hydroxy-4-oxobutanoyl)oxy)propanoic acid trifluoroacetic acid salt (27 mg, 90%) as a fluffy white solid:1H NMR (300 MHz, DMSO-d6) δ9.30 (s, 1H), 9.14 (br s, 1H), 6.64 (apparent q, J=8.4 Hz, 2H), 6.24 (br s, 1H), 5.97 (d, J=6.0 Hz, 1H), 5.57 (d, J=3.9 Hz, 1H), 5.00-4.93 (m, 2H), 4.53 (m, 1H), 3.41-3.33 (m, 2H), 3.05 (m, 1H), 2.89-2.72 (m, 6H), 2.63-2.41 (m, 3H), 2.27 (m, 1H), 2.07 (m, 1H), 1.62 (m, 1H), 1.40 (d, J=7.2 Hz, 3H); ESI MS m/z 490 [C24H27NO10+H]+.
Figure US10226456-20190312-C01314
Preparation of (S)-(4R,4aS,7aR,12bS)-4a,9-Dihydroxy-3-methyl-2,3,4,4a,5,7a-hexahydro-1H-4,12-methanobenzofuro[3,2-e]isoquinolin-7-yl 2-((3-((S)-2-((tert-butoxycarbonyl)amino)-4-methylpentanamido)propanoyl)oxy)propanoate
Figure US10226456-20190312-C01315
A solution of (S)-(4R,4aS,7aR,12bS)-4a,9-dihydroxy-3-methyl-2,3,4,4a,5,7a-hexahydro-1H-4,12-methanobenzofuro[3,2-e]isoquinolin-7-yl 2-((3-aminopropanoyl)oxy)propanoate dihydrochloride (121 mg, 0.233 mmol) in tetrahydrofuran (6 mL) was treated with (S)-2,5-dioxopyrrolidin-1-yl 2-((tert-butoxycarbonyl)amino)-4-methylpentanoate (63 mg, 0.23 mmol) and N,N-diisopropylethylamine (60 mg, 0.47 mmol) at 0° C. and stirred under a nitrogen atmosphere for 1 h. After this time, the reaction mixture was concentrated under reduced pressure. The residue was purified by column chromatography (40 g silica gel column, 0-20% methanol/methylene chloride) to provide (S)-(4R,4aS,7aR,12bS)-4a,9-dihydroxy-3-methyl-2,3,4,4a,5,7a-hexahydro-1H-4,12-methanobenzofuro[3,2-e]isoquinolin-7-yl 2-((3-((S)-2-((tert-butoxycarbonyl)amino)-4-methylpentanamido)propanoyl)oxy)propanoate (76 mg, 54%) as a white solid: ESI MS m/z 658 [C34H47N3O10+H]+.
Preparation of (S)-(4R,4aS,7aR,12bS)-4a,9-Dihydroxy-3-methyl-2,3,4,4a,5,7a-hexahydro-H-4,12-methanobenzofuro[3,2-e]isoquinolin-7-yl 2-((3-((S)-2-amino-4-methylpentanamido)propanoyl)oxy)propanoatebis(trifluoroacetic acid salt)
Figure US10226456-20190312-C01316
A solution of (S)-(4R,4aS,7aR,12bS)-4a,9-dihydroxy-3-methyl-2,3,4,4a,5,7a-hexahydro-1H-4,12-methanobenzofuro[3,2-e]isoquinolin-7-yl 2-((3-((S)-2-((tert-butoxycarbonyl)amino)-4-methylpentanamido)propanoyl)oxy)propanoate (76 mg, 0.12 mmol) in methylene chloride (2 mL) was treated with trifluoroacetic acid (2 mL) and stirred under a nitrogen atmosphere at ambient temperature for 1 h. After this time, the reaction mixture was concentrated under reduced pressure. The residue was purified by reversed phase column chromatography (50 g C18 column, 0-100% acetonitrile/water with 0.1% trifluoroacetic acid) and freeze dried to provide (S)-(4R,4aS,7aR,12bS)-4a,9-dihydroxy-3-methyl-2,3,4,4a,5,7a-hexahydro-1H-4,12-methanobenzofuro[3,2-e]isoquinolin-7-yl 2-((3-((S)-2-amino-4-methylpentanamido)propanoyl)oxy)propanoate bis(trifluoroacetic acid salt) (50 mg, 50%) as a fluffy white solid:1H NMR (300 MHz, DMSO-d6) δ 9.31 (s, 1H), 9.16 (br s, 1H), 8.62 (t, J=5.4 Hz, 1H), 8.09 (br s, 3H), 6.65 (apparent q, J=8.1 Hz, 2H), 6.24 (s, 1H), 5.58 (dd, J=6.0, 2.1 Hz, 1H), 5.12 (q, J=6.9 Hz, 1H), 4.96 (s, 1H), 3.67-3.27 (m, 4H), 3.05 (m, 1H), 2.84 (d, J=4.8 Hz, 3H), 2.63-2.41 (m, 6H), 2.28 (m, 1H), 2.05 (m, 1H), 1.64-1.52 (m, 7H), 0.89 (dd, J=6.0, 2.1 Hz, 6H); ESI MS m/z 558 [C29H39N3O8+H]+.
Figure US10226456-20190312-C01317
Figure US10226456-20190312-C01318
Preparation of (S)-2-(((S)-2-((tert-Butoxycarbonyl)amino)propanoyl)oxy)propanoic acid
Figure US10226456-20190312-C01319
(S)-Lactic acid (944 mg, 10.5 mmol), (S)-2,5-dioxopyrrolidin-1-yl 2-((tert-butoxycarbonyl)amino)propanoate (2.50 g, 8.73 mmol), 4-(dimethylamino)pyridine (107 mg, 0.873 mmol), pyridine (831 mg, 10.5 mmol), and tetrahydrofuran (40 mL) were combined and heated at 75° C. under a nitrogen atmosphere for 24 h. After this time, the solvent was removed under reduced pressure, and the residue was partitioned between ethyl acetate (20 mL) and 10% aqueous citric acid. The organic layer was separated and extracted with saturated aqueous sodium bicarbonate (20 ml). The aqueous phase was collected and acidified to pH=2 with 6 N hydrochloric acid, and the mixture was extracted with ethyl acetate (2×20 mL). The combined organics were washed with brine (50 mL), dried over sodium sulfate, filtered, and concentrated under reduced pressure to provide (S)-2-(((S)-2-((tert-butoxycarbonyl)amino)propanoyl)oxy)propanoic acid (2.10 g, 92%) as a colorless oil:1H NMR (300 MHz, CDCl3) δ 5.19 (t, J=6.9 Hz, 1H), 5.01 (m, 1H), 4.35 (m, 1H), 1.56 (d, J=7.2 Hz, 3H), 1.46-1.43 (s, 12H), CO2H proton not observed.
Preparation of (S)-2,5-Dioxopyrrolidin-1-yl 2-(((S)-2-((tert-butoxycarbonyl)amino)propanoyl)oxy)propanoate
Figure US10226456-20190312-C01320
A solution of (S)-2-(((S)-2-((tert-butoxycarbonyl)amino)propanoyl)oxy)propanoic acid (2.10 g, 8.04 mmol) in tetrahydrofuran (40 mL) was treated with N-hydroxysuccinimide (1.02 g, 8.84 mmol) and N,N′-dicyclohexylcarbodiimide (1.82 g, 8.84 mmol) and stirred under a nitrogen atmosphere for 5 h. After this time, the reaction mixture was filtered to remove the solid dicyclohexylurea byproduct. The solid was washed with diethyl ether (100 mL), and the combined filtrate and washings were concentrated under reduced pressure. The residue was triturated with diethyl ether to provide (S)-2,5-dioxopyrrolidin-1-yl 2-(((S)-2-((tert-butoxycarbonyl)amino)propanoyl)oxy)propanoate (2.73 g) as a white powder:1H NMR (300 MHz, CDCl3) δ 5.46 (m, 1H), 5.02 (m, 1H), 4.38 (m, 1H), 2.82 (s, 4H), 1.69 (d, J=6.6 Hz, 3H), 1.46-1.42 (s, 12H).
Preparation of (S)-(4R,4aS,7aR,12bS)-9-((tert-Butoxycarbonyl)oxy)-4a-hydroxy-3-methyl-2,3,4,4a,5,7a-hexahydro-1H-4,12-methanobenzofuro[3,2-e]isoquinolin-7-yl 2-(((S)-2-((tert-butoxycarbonyl)amino)propanoyl)oxy)propanoate
Figure US10226456-20190312-C01321
A solution of tert-butyl ((4R,4aS,7aR,12bS)-4a-hydroxy-3-methyl-7-oxo-2,3,4,4a,5,6,7,7a-octahydro-1H-4,12-methanobenzofuro[3,2-e]isoquinolin-9-yl) carbonate (1.50 g, 3.74 mmol) in tetrahydrofuran (30 mL) was cooled in an ice bath and treated dropwise with a 1.0 M solution of lithium bis(trimethylsilyl)amide in tetrahydrofuran (4.5 mL, 4.5 mmol). After addition was complete, the mixture was stirred at 0° C. for 1 h. The mixture was re-cooled to −45° C. and treated dropwise with a solution of (S)-2,5-dioxopyrrolidin-1-yl 2-(((S)-2-((tert-butoxycarbonyl)amino)propanoyl)oxy)propanoate (1.47 g, 4.11 mmol) in tetrahydrofuran (15 mL). After addition was complete, the mixture was warmed to 0° C. After this time, the reaction mixture was treated with saturated aqueous ammonium chloride (20 mL) and extracted with ethyl acetate (2×50 mL). The combined organics were dried over sodium sulfate, filtered, and concentrated under reduced pressure. The crude residue was purified by column chromatography (40 g, silica gel, 0-20% methanol/methylene chloride, then 50 g, C18, 10-100% acetonitrile/water) to provide (S)-(4R,4aS,7aR,12bS)-9-((tert-butoxycarbonyl)oxy)-4a-hydroxy-3-methyl-2,3,4,4a,5, 7a-hexahydro-1H-4,12-methanobenzofuro[3,2-e]isoquinolin-7-yl 2-(((S)-2-((tert-butoxycarbonyl)amino)propanoyl)oxy)propanoate (1.04 g, 43%) as a white solid: ESI MS m/z 645 [C33H44N2O11+H]+.
Preparation of (S)-(4R,4aS,7aR,12bS)-4a,9-Dihydroxy-3-methyl-2,3,4,4a,5,7a-hexahydro-1H-4,12-methanobenzofuro[3,2-e]isoquinolin-7-yl 2-(((S)-2-aminopropanoyl)oxy)propanoate dihydrochloride
Figure US10226456-20190312-C01322
A solution of (S)-(4R,4aS,7aR,12bS)-9-((tert-butoxycarbonyl)oxy)-4a-hydroxy-3-methyl-2,3,4,4a,5,7a-hexahydro-1H-4,12-methanobenzofuro[3,2-e]isoquinolin-7-yl 2-(((S)-2-((tert-butoxycarbonyl)amino)propanoyl)oxy)propanoate (150 mg, 0.233 mmol) was treated with a 4.0 M solution of hydrogen chloride in 1,4-dioxane (5 mL) and stirred under a nitrogen atmosphere at ambient temperature for 1 h. After this time, the reaction mixture concentrated under vacuum to provide (S)-(4R,4aS,7aR,12bS)-4a,9-dihydroxy-3-methyl-2,3,4,4a,5,7a-hexahydro-1H-4,12-methanobenzofuro[3,2-e]isoquinolin-7-yl 2-(((S)-2-aminopropanoyl)oxy)propanoatedihydrochloride (121 mg, 100%) as a white solid: ESI MS m/z 445 [C23H28N2O7+H]+.
Preparation of (S)-(4R,4aS,7aR,12bS)-4a,9-Dihydroxy-3-methyl-2,3,4,4a,5,7a-hexahydro-1H-4,12-methanobenzofuro[3,2-e]isoquinolin-7-yl 2-(((S)-2-((S)-2-acetamido-6-((tert-butoxycarbonyl)amino)hexanamido)propanoyl)oxy)propanoate
Figure US10226456-20190312-C01323
A solution of (S)-(4R,4aS,7aR,12bS)-4a,9-dihydroxy-3-methyl-2,3,4,4a,5,7a-hexahydro-1H-4,12-methanobenzofuro[3,2-e]isoquinolin-7-yl 2-(((S)-2-aminopropanoyl)oxy)propanoate hydrochloride (121 mg, 0.233 mmol) in tetrahydrofuran (6 mL) was treated with (S)-2,5-dioxopyrrolidin-1-yl 2-acetamido-6-((tert-butoxycarbonyl)amino)hexanoate (90 mg, 0.23 mmol) and N,N-diisopropylethylamine (60 mg, 0.47 mmol) at 0° C. and stirred under a nitrogen atmosphere for 1 h. After this time, the reaction mixture was concentrated under reduced pressure. The residue was purified by reversed phase column chromatography (50 g C18 column, 10-100% acetonitrile/water) to provide (S)-(4R,4aS,7aR,12bS)-4a,9-dihydroxy-3-methyl-2,3,4,4a,5,7a-hexahydro-1H-4,12-methanobenzofuro[3,2-e]isoquinolin-7-yl 2-(((S)-2-((S)-2-acetamido-6-((tert-butoxycarbonyl)amino)hexanamido)propanoyl)oxy)propanoate (34 mg, 20%) as a white solid: ESI MS m/z 715 [C36H50N4O11+H]+.
Preparation of (S)-(4R,4aS,7aR,12bS)-4a,9-Dihydroxy-3-methyl-2,3,4,4a,5,7a-hexahydro-1H-4,12-methanobenzofuro[3,2-e]isoquinolin-7-yl 2-(((S)-2-((S)-2-acetamido-6-aminohexanamido)propanoyl)oxy)propanoatebis(trifluoroacetic acid salt)
Figure US10226456-20190312-C01324
A solution of (S)-(4R,4aS,7aR,12bS)-4a,9-dihydroxy-3-methyl-2,3,4,4a,5,7a-hexahydro-1H-4,12-methanobenzofuro[3,2-e]isoquinolin-7-yl 2-(((S)-2-((S)-2-acetamido-6-((tert-butoxycarbonyl)amino)hexanamido)propanoyl)oxy)propanoate (34 mg, 0.048 mmol) in methylene chloride (2 mL) was treated with trifluoroacetic acid (1 mL) and stirred under a nitrogen atmosphere at ambient temperature for 1 h. After this time, the reaction mixture was concentrated under reduced pressure. The residue was purified by reversed phase column chromatography (50 g C18 column, 0-100% acetonitrile/water with 0.1% trifluoroacetic acid) and freeze dried to provide (S)-(4R,4aS,7aR,12bS)-4a,9-dihydroxy-3-methyl-2,3,4,4a,5,7a-hexahydro-1H-4,12-methanobenzofuro[3,2-e]isoquinolin-7-yl 2-(((S)-2-((S)-2-acetamido-6-aminohexanamido)propanoyl)oxy)propanoate bis(trifluoroacetic acid salt)(12 mg, 24%) as a fluffy white solid:1H NMR (300 MHz, DMSO-d6) δ 9.30 (s, 1H), 9.16 (br s, 1H), 8.43 (d, J=6.3 Hz, 1H), 7.99 (d, J=7.8 Hz, 1H), 7.61 (br s, 3H), 6.65 (apparent q, J=8.1 Hz, 2H), 6.22 (s, 1H), 5.57 (dd, J=6.0, 2.1 Hz, 1H), 5.14 (q, J=6.9 Hz, 1H), 4.35-4.30 (m, 3H), 3.46-3.33 (m, 2H), 3.11 (m, 1H), 2.84 (d, J=5.1 Hz, 3H), 2.74-2.41 (m, 3H), 2.27 (in, 1H), 2.07 (in, 1H), 1.84 (s, 3H), 1.64-1.32 (in, 14H); ESI MS m/z 615 [C31H42N4O9+H]+.
Figure US10226456-20190312-C01325
Preparation of (S)-2-(((4R,5R)-5-(tert-Butoxycarbonyl)-2,2-d methyl-1,3-dioxolane-4-carbonyl)oxy)-2-phenylacetic acid
Figure US10226456-20190312-C01326
A mixture of (4R,5R)-4-tert-butyl 5-(2,5-dioxopyrrolidin-1-yl) 2,2-dimethyl-1,3-dioxolane-4,5-dicarboxylate (1.42 g, 4.15 mmol), (S)-2-hydroxy-2-phenylacetic acid (900 mg, 5.92 mmol), pyridine (0.45 mL, 5.60 mmol), and 4-dimethylaminopyridine (60 mg, 0.49 mmol) in tetrahydrofuran (25 mL) was stirred at reflux for 18 h. After this time, the mixture was cooled to room temperature, partially concentrated under reduced pressure, diluted with ethyl acetate, washed with 10% citric acid and brine, and concentrated under reduced pressure. The residue was purified by reversed phase column chromatography (50 g C18 column, 5-100% acetonitrile/water) and freeze dried to provide (S)-2-(((4R,5R)-5-(tert-butoxycarbonyl)-2,2-dimethyl-1,3-dioxolane-4-carbonyl)oxy)-2-phenylacetic acid (425 mg, 27%):1H NMR (300 MHz, CDCl3) δ 7.53-7.46 (m, 2H), 7.43-7.35 (m, 3H), 6.02 (s, 1H), 4.85 (d, J=5.8 Hz, 1H), 4.67 (d, J=5.8 Hz, 1H), 1.52 (s, 3H), 1.51 (s, 3H), 1.42 (s, 9H), CO2H proton not observed.
Preparation of (4R,5R)-4-tert-Butyl 5-((S)-2-((2,5-dioxopyrrolidin-1-yl)oxy)-2-oxo-1-phenylethyl) 2,2-dimethyl-1,3-dioxolane-4,5-dicarboxylate
Figure US10226456-20190312-C01327
A mixture of (S)-2-(((4R,5R)-5-(tert-butoxycarbonyl)-2,2-dimethyl-1,3-dioxolane-4-carbonyl)oxy)-2-phenylacetic acid (425 mg, 1.12 mmol) and N-hydroxysuccinimide (142 mg, 1.23 mmol) in tetrahydrofuran (10 mL) was treated with N,N′-dicyclohexylcarbodiimide (255 mg, 1.23 mmol), and the reaction mixture was stirred at ambient temperature for 4 h. After this time, diethyl ether (10 mL) was added, and the mixture was filtered. The filtrate was concentrated under reduced pressure to provide (4R,5R)-4-tert-butyl 5-((S)-2-((2,5-dioxopyrrolidin-1-yl)oxy)-2-oxo-1-phenylethyl) 2,2-dimethyl-1,3-dioxolane-4,5-dicarboxylate (600 mg) that was used without purification:1H NMR (300 MHz, CDCl3) δ 7.58-7.52 (m, 2H), 7.48-7.43 (m, 3H), 6.43 (s, 1H), 4.86 (d, J=5.6 Hz, 1H), 4.67 (d, J=5.6 Hz, 1H), 2.81 (s, 4H), 1.50 (s, 6H), 1.43 (s, 9H).
Preparation of (4R,5R)-4-((S)-2-(((4R,4aS,7aR,12bS)-9-((tert-Butoxycarbonyl)oxy)-4a-hydroxy-3-methyl-2,3,4,4a,5,7a-hexahydro-1H-4,12-methanobenzofuro[3,2-e]isoquinolin-7-yl)oxy)-2-oxo-1-phenylethyl) 5-tert-butyl 2,2-dimethyl-1,3-dioxolane-4,5-dicarboxylate
Figure US10226456-20190312-C01328
A solution of tert-butyl ((4R,4aS,7aR,12bS)-4a-hydroxy-3-methyl-7-oxo-2,3,4,4a,5,6,7,7a-octahydro-1H-4,12-methanobenzofuro[3,2-e]isoquinolin-9-yl) carbonate (450 mg, 1.12 mmol) in tetrahydrofuran (8 mL) was cooled to 0° C. and treated dropwise with a 1.0 M solution of lithium bis(trimethylsilyl)amidein tetrahydrofuran (1.2 mL, 1.2 mmol). After addition was complete, the mixture was stirred at ambient temperature for 10 min. The mixture was re-cooled to 0° C., and (4R,5R)-4-tert-butyl 5-((S)-2-((2,5-dioxopyrrolidin-1-yl)oxy)-2-oxo-1-phenylethyl) 2,2-dimethyl-1,3-dioxolane-4,5-dicarboxylate (535 mg, 1.12 mmol) was added in one portion. The mixture was stirred at 0° C. for 45 min. After this time, the mixture was treated with saturated aqueous ammonium chloride and extracted with ethyl acetate. The combined organics were dried over sodium sulfate, filtered, and concentrated under reduced pressure. The residue was purified by reversed phase column chromatography (50 g C18 column, 5-100% acetonitrile/water) to provide (4R,5R)-4-((S)-2-(((4R,4aS,7aR,12bS)-9-((tert-butoxycarbonyl)oxy)-4a-hydroxy-3-methyl-2, 3,4,4a,5,7a-hexahydro-1H-4,12-methanobenzofuro[3,2-e]isoquinolin-7-yl)oxy)-2-oxo-1-phenylethyl) 5-tert-butyl 2,2-dimethyl-1,3-dioxolane-4,5-dicarboxylate (425 mg, 51%): ESI MS m/z 764 [C41H49NO13+H]4.
Preparation of (2R,3R)-4-((S)-2-(((4R,4aS,7aR,12bS)-4a,9-Dihydroxy-3-methyl-2,3,4,4a,5,7a-hexahydro-1H-4,12-methanobenzofuro[3,2-e]isoquinolin-7-yl)oxy)-2-oxo-1-phenylethoxy)-2,3-dihydroxy-4-oxobutanoic acid trifluoroacetic acid salt
Figure US10226456-20190312-C01329
A solution of (4R,5R)-4-((S)-2-(((4R,4aS,7aR,12bS)-9-((tert-butoxycarbonyl)oxy)-4a-hydroxy-3-methyl-2,3,4,4a,5,7a-hexahydro-1H-4,12-methanobenzofuro[3,2-e]isoquinolin-7-yl)oxy)-2-oxo-1-phenylethyl) 5-tert-butyl 2,2-dimethyl-1,3-dioxolane-4,5-dicarboxylate (425 mg, 0.556 mmol), in methylene chloride (10 mL) was treated with trifluoroacetic acid (2 mL), and the mixture was stirred at room temperature for 1 h. LC-MS analysis of the reaction mixture indicated cleavage of the Boc and tert-butyl protecting groups. Water (0.1 mL) was added, and the mixture was stirred at ambient temperature for 7 h. After this time, the reaction mixture was concentrated under reduced pressure. The residue was purified by reversed phase column chromatography (50 g C18 column, 3-20% acetonitrile/water, with 0.1% trifluoracetic acid) and freeze dried to provide (2R,3R)-4-((S)-2-(((4R,4aS,7aR,12bS)-4a,9-dihydroxy-3-methyl-2,3,4,4a,5,7a-hexahydro-1H-4,12-methanobenzofuro[3,2-e]isoquinolin-7-yl)oxy)-2-oxo-1-phenylethoxy)-2,3-dihydroxy-4-oxobutanoic acid trifluoroacetic acid salt (186 mg, 47%):1H NMR (300 MHz, DMSO-d6) δ 12.86 (br s, 1H), 9.30 (br s, 1H), 9.14 (br s, 1H), 7.62-7.56 (m, 2H), 7.50-7.43 (d, 3H), 6.68 (d, J=8.1 Hz, 1H), 6.62 (d, J=8.1 Hz, 1H), 6.27 (s, 1H), 6.16 (s, 1H), 5.61 (dd, J=6.0, 2.0 Hz, 1H), 4.90 (s, 1H), 4.58 (d, J=2.0 Hz, 1H), 4.38 (d, J=2.3 Hz, 1H), 3.61 (d, J=6.2 Hz, 1H), 3.37 (d, J=19.8 Hz, 1H), 3.13-3.00 (m, 2H), 2.83 (d, J=4.3 Hz, 3H), 2.68-2.56 (m, 1H), 2.41 (dd, J=13.0, 4.7 Hz, 1H), 2.26 (dd, J=18.0, 6.2 Hz, 1H), 2.07 (d, J=18.0 Hz, 1H), 1.60 (d, J=10.8 Hz, 1H),two protons obscured by solvent peaks; ESI MS m/z 568 [C29H29NO11+H]+; HPLC (Method A) 98.9% (AUC), tR=7.65 min.
Figure US10226456-20190312-C01330
Preparation of (4R,5R)-5-(((S)-1-(tert-Butoxy)-1-oxopropan-2-yl)oxy)carbonyl)-2,2-dimethyl-1,3-dioxolane-4-carboxylic acid
Figure US10226456-20190312-C01331
A mixture of (4R,5R)-2,2-dimethyl-1,3-dioxolane-4,5-dicarboxylic acid (770 mg, 4.05 mmol), (S)-tert-butyl 2-hydroxypropanoate (595 mg, 4.08 mmol), and 4-dimethylaminopyridine (150 mg, 1.23 mmol) in methylene chloride (12 mL) was treated with N,N′-dicyclohexylcarbodiimide (920 mg, 4.46 mmol), and the reaction mixture was stirred at ambient temperature for 18 h. After this time, the mixture was filtered, and the filtrate was concentrated under reduced pressure. The residue was dissolved in ethyl acetate, washed with 2 N hydrochloric acid, and then extracted with saturated sodium bicarbonate. The aqueous layer was collected, carefully treated with 6N hydrochloric acid until acidic by pH paper analysis, and then extracted with ethyl acetate. The organic extracts were dried over sodium sulfate, filtered, and concentrated to provide (4R,5R)-5-((((S)-1-(tert-butoxy)-1-oxopropan-2-yl)oxy)carbonyl)-2,2-dimethyl-1,3-dioxolane-4-carboxylic acid (780 mg, 61%):1H NMR (300 MHz, CDCl3) δ 5.05 (q, J=7.1 Hz, 1H), 4.91 (d, J=5.4 Hz, 1H), 4.87 (d, J=5.4 Hz, 1H), 1.54 (s, 6H), 1.53 (d, J=7.1 Hz, 3H), 1.47 (s, 9H), CO2H proton not observed.
Preparation of (4R,5R)-4-((S)-1-(tert-Butoxy)-1-oxopropan-2-yl) 5-(2,5-dioxopyrrolidin-1-yl) 2,2-dimethyl-1,3-dioxolane-4,5-dicarboxylate
Figure US10226456-20190312-C01332
A mixture of (4R,5R)-5-((((S)-1-(tert-butoxy)-1-oxopropan-2-yl)oxy)carbonyl)-2,2-dimethyl-1,3-dioxolane-4-carboxylic acid (780 mg, 2.45 mmol) and N-hydroxysuccinimide (310 mg, 2.69 mmol) in tetrahydrofuran (20 mL) was treated with N,N′-dicyclohexylcarbodiimide (555 mg, 2.69 mmol), and the reaction mixture was stirred at ambient temperature for 4 h. After this time, diethyl ether (15 mL) was added, and the mixture was filtered. The filtrate was concentrated under reduced pressure to provide (4R,5R)-4-((S)-1-(tert-butoxy)-1-oxopropan-2-yl) 5-(2,5-dioxopyrrolidin-1-yl) 2,2-dimethyl-1,3-dioxolane-4,5-dicarboxylate (1.0 g) that was used without purification:1H NMR (300 MHz, CDCl3) δ 5.22 (d, J=4.7 Hz, 1H), 5.08 (d, J=4.7 Hz, 1H), 5.03 (q, J=7.1 Hz, 1H), 2.87 (s, 4H), 1.57 (s, 3H), 1.56 (s, 3H), 1.53 (d, J=7.1 Hz, 3H), 1.47 (s, 9H).
Preparation of (4R,5R)-4-((S)-1-(tert-Butoxy)-1-oxopropan-2-yl) 5-((4R,4aS,7aR,12bS)-9-((tert-butoxycarbonyl)oxy)-4a-hydroxy-3-methyl-2,3,4,4a,5,7a-hexahydro-1H-4,12-methanobenzofuro[3,2-e]isoquinolin-7-yl) 2,2-dimethyl-1,3-dioxolane-4,5-dicarboxylate
Figure US10226456-20190312-C01333
A solution of tert-butyl ((4R,4aS,7aR,12bS)-4a-hydroxy-3-methyl-7-oxo-2,3,4,4a,5,6,7,7a-octahydro-1H-4,12-methanobenzofuro[3,2-e]isoquinolin-9-yl) carbonate (480 mg, 1.19 mmol) in tetrahydrofuran (8 mL) was cooled to 0° C. and treated dropwise with a 1.0 M solution of lithium bis(trimethylsilyl)amidein tetrahydrofuran (1.3 mL, 1.3 mmol). After addition was complete, the mixture was stirred at ambient temperature for 10 min. The mixture was re-cooled to 0° C., and (4R,5R)-4-((S)-1-(tert-butoxy)-1-oxopropan-2-yl) 5-(2,5-dioxopyrrolidin-1-yl) 2,2-dimethyl-1,3-dioxolane-4,5-dicarboxylate (500 mg, 1.20 mmol) was added in one portion. The mixture was stirred at 0° C. for 45 min. After this time, the mixture was treated with saturated aqueous ammonium chloride and extracted with ethyl acetate. The combined organics were dried over sodium sulfate, filtered, and concentrated under reduced pressure. The residue was purified by reversed phase column chromatography (50 g C18 column, 5-100% acetonitrile/water) to provide (4R,5R)-4-((S)-1-(tert-butoxy)-1-oxopropan-2-yl) 5-((4R,4aS,7aR,12bS)-9-((tert-butoxycarbonyl)oxy)-4a-hydroxy-3-methyl-2,3,4,4a,5,7a-hexahydro-1H-4,12-methanobenzofuro[3,2-e]isoquinolin-7-yl) 2,2-dimethyl-1,3-dioxolane-4,5-dicarboxylate (289 mg, 35%): ESI MS m/z 702 [C36H47NO13+H]+.
Preparation of (S)-2-(((2R,3R)-4-(((4R,4aS,7aR,12bS)-4a,9-Dihydroxy-3-methyl-2,3,4,4a,5,7a-hexahydro-1H-4,12-methanobenzofuro[3,2-e]isoquinolin-7-yl)oxy)-2,3-dihydroxy-4-oxobutanoyl)oxy)propanoic acid trifluoroacetic acid salt
Figure US10226456-20190312-C01334
A solution of (4R,5R)-4-((S)-1-(tert-butoxy)-1-oxopropan-2-yl) 5-((4R,4aS,7aR,12bS)-9-((tert-butoxycarbonyl)oxy)-4a-hydroxy-3-methyl-2,3,4,4a,5,7a-hexahydro-1H-4,12-methanobenzofuro[3,2-e]isoquinolin-7-yl) 2,2-dimethyl-1,3-dioxolane-4,5-dicarboxylate (288 mg, 0.410 mmol) in methylene chloride (8 mL) was treated with trifluoroacetic acid (1.5 mL), and the mixture was stirred at room temperature for 1 h. LC-MS analysis of the reaction mixture indicated cleavage of the Boc and t-butyl protecting groups. Water (0.1 mL) was added, and the mixture was stirred at ambient temperature for 6 h. After this time, the reaction mixture was concentrated under reduced pressure. The residue was purified by reversed phase column chromatography (50 g C18 column, 3-20% acetonitrile/water, with 0.1% trifluoracetic acid) and freeze dried to provide (S)-2-(((2R,3R)-4-(((4R,4aS,7aR,12bS)-4a,9-dihydroxy-3-methyl-2,3,4,4a,5,7a-hexahydro-1H-4,12-methanobenzofuro[3,2-e]isoquinolin-7-yl)oxy)-2,3-dihydroxy-4-oxobutanoyl)oxy)propanoic acid trifluoroacetic acid salt (160 mg, 61%):1H NMR (300 MHz, DMSO-d6) δ 13.4 (br s, 1H), 9.32 (s, 1H), 9.17 (br s, 1H), 6.69 (d, J=8.2 Hz, 1H), 6.63 (d, J=8.2 Hz, 1H), 6.26 (s, 1H), 5.83 (br s, 2H), 5.56 (dd, J=5.9, 1.9 Hz, 1H), 5.03 (s, 1H), 4.99 (q, J=7.1 Hz, 1H), 4.62 (s, 1H), 4.56 (s, 1H), 3.62 (d, J=6.1 Hz, 1H), 3.38 (d, J=20.0 Hz, 1H), 3.13-3.01 (m, 2H), 2.84 (apparent d, J=4.1 Hz, 3H), 2.71-2.58 (m, 1H), 2.45 (dd, J=14.1, 5.6 Hz, 1H), 2.30 (dd, J=18.0, 6.1 Hz, 1H), 2.06 (d, J=18.0 Hz, 1H), 1.64 (d, J=10.7 Hz, 1H), 1.43 (d, J=7.1 Hz, 3H); ESI MS m/z 506 [C24H27NO11+H]+; HPLC (Method A) 98.7% (AUC), tR=6.42 min.
Figure US10226456-20190312-C01335
Preparation of (S)-tert-Butyl 2-((3-(((S)-1-(((4R,4aS,7aR,12bS)-4a,9-dihydroxy-3-methyl-2,3,4,4a,5,7a-hexahydro-1H-4,12-methanobenzofuro[3,2-e]isoquinolin-7-yl)oxy)-1-oxopropan-2-yl)oxy)-3-oxopropyl)carbamoyl)pyrrolidine-1-carboxylate
Figure US10226456-20190312-C01336
A solution of (S)-(4R,4aS,7aR,12bS)-4a,9-dihydroxy-3-methyl-2,3,4,4a,5,7a-hexahydro-1H-4,12-methanobenzofuro[3,2-e]isoquinolin-7-yl 2-((3-aminopropanoyl)oxy)propanoate dihydrochloride (121 mg, 0.233 mmol) in tetrahydrofuran (6 mL) was treated with (S)-1-tert-butyl 2-(2,5-dioxopyrrolidin-1-yl) pyrrolidine-1,2-dicarboxylate (87 mg, 0.28 mmol) and N,N-diisopropylethylamine (60 mg, 0.47 mmol) at 0° C. and stirred under a nitrogen atmosphere for 1 h. After this time, the reaction mixture was concentrated under reduced pressure. The residue was purified by column chromatography (40 g silica gel column, 0-20% methanol/methylene chloride) to provide (S)-tert-butyl 2-((3-(((S)-1-(((4R,4aS,7aR,12bS)-4a,9-dihydroxy-3-methyl-2,3,4,4a,5,7a-hexahydro-1H-4,12-methanobenzofuro[3,2-e]isoquinolin-7-yl)oxy)-1-oxopropan-2-yl)oxy)-3-oxopropyl)carbamoyl)pyrrolidine-1-carboxylate (81 mg, 54%) as a white solid: ESI MS m/z 642 [C33H43N3O10+H]+.
Preparation of (S)-(4R,4aS,7aR,12bS)-4a,9-Dihydroxy-3-methyl-2,3,4,4a,5,7a-hexahydro-1H-4,12-methanobenzofuro[3,2-e]isoquinolin-7-yl 2-((3-((S)-pyrrolidine-2-carboxamido)propanoyl)oxy)propanoatebis(trifluoroacetic acid salt)
Figure US10226456-20190312-C01337
A solution of (S)-tert-butyl 2-((3-(((S)-1-(((4R,4aS,7aR,12bS)-4a,9-dihydroxy-3-methyl-2,3,4,4a,5,7a-hexahydro-1H-4,12-methanobenzofuro[3,2-e]isoquinolin-7-yl)oxy)-1-oxopropan-2-yl)oxy)-3-oxopropyl)carbamoyl)pyrrolidine-1-carboxylate (81 mg, 0.13 mmol) in methylene chloride (2 mL) was treated with trifluoroacetic acid (1 mL) and stirred under a nitrogen atmosphere at ambient temperature for 1 h. After this time, the reaction mixture was concentrated under reduced pressure. The residue was purified by reversed phase column chromatography (50 g C18 column, 0-100% acetonitrile/water with 0.1% trifluoroacetic acid) and freeze dried to provide (S)-(4R,4aS,7aR,12bS)-4a,9-dihydroxy-3-methyl-2,3,4,4a,5,7a-hexahydro-1H-4,12-methanobenzofuro[3,2-e]isoquinolin-7-yl 2-((3-((S)-pyrrolidine-2-carboxamido)propanoyl)oxy)propanoate bis(trifluoroacetic acid salt) (55 mg, 53%) as a fluffy white solid:1H NMR (300 MHz, DMSO-d6) δ 9.31 (s, 1H), 9.19 (br s, 2H), 8.61 (t, J=5.7 Hz, 1H), 8.54 (br s, 1H), 6.66 (apparent q, J=8.1 Hz, 2H), 6.25 (s, 1H), 5.58 (dd, J=6.0, 2.1 Hz, 1H), 5.12 (q, J=6.9 Hz, 1H), 4.96 (s, 1H), 4.13-3.03 (m, 10H), 2.84 (d, J=4.5 Hz, 3H), 2.64-2.19 (m, 5H), 2.05 (m, 1H), 1.92-1.77 (m, 3H), 1.62 (m, 1H), 1.53 (d, J=7.2 Hz, 3H); ESI MS m/z 542 [C28H35N3O8+H]+.
Figure US10226456-20190312-C01338
Preparation of (4R,5R)-5-(((S)-2-(tert-Butoxy)-2-oxo-1-phenylethoxy)carbonyl)-2,2-dimethyl-1,3-dioxolane-4-carboxylic acid
Figure US10226456-20190312-C01339
A mixture of (4R,5R)-2,2-dimethyl-1,3-dioxolane-4,5-dicarboxylic acid (765 mg, 4.03 mmol), (S)-tert-butyl 2-hydroxy-2-phenylacetate (enantiomeric ratio=˜6:4, 843 mg, 4.05 mmol), and 4-dimethylaminopyridine (150 mg, 1.23 mmol) in methylene chloride (12 mL) was treated with N,N′-dicyclohexylcarbodiimide (920 mg, 4.46 mmol), and the reaction mixture was stirred at ambient temperature for 18 h. After this time, the mixture was filtered, and the filtrate was concentrated under reduced pressure. The residue was dissolved in ethyl acetate, washed with 2 N hydrochloric acid, and then extracted with saturated sodium bicarbonate. The aqueous layer was collected, carefully treated with 6N hydrochloric acid until acidic by pH paper analysis, and then extracted with ethyl acetate. The organic extracts were dried over sodium sulfate, filtered, and concentrated to provide (4R,5R)-5-(((S)-2-(tert-butoxy)-2-oxo-1-phenylethoxy)carbonyl)-2,2-dimethyl-1,3-dioxolane-4-carboxylic acid (550 mg, 36%) as a ˜6:4 mixture of diastereomers:1H NMR (300 MHz, CDCl3) δ 7.50-7.42 (m, 2H), 7.42-7.34 (m, 3H), 5.92 (s, 0.4H), 5.89 (s, 0.6H), 5.08 (d, J=5.5 Hz, 0.4H), 4.98-4.91 (m, 1.6H), 1.58-1.51 (m, 6H), 1.40 (s, 9H), CO2H proton not observed.
Preparation of (4R,5R)-4-((S)-2-(tert-Butoxy)-2-oxo-1-phenylethyl) 5-(2,5-dioxopyrrolidin-1-yl) 2,2-dimethyl-1,3-dioxolane-4,5-dicarboxylate
Figure US10226456-20190312-C01340
A mixture of (4R,5R)-5-(((S)-2-(tert-butoxy)-2-oxo-1-phenylethoxy)carbonyl)-2,2-dimethyl-1,3-dioxolane-4-carboxylic acid (550 mg, 1.45 mmol) and N-hydroxysuccinimide (185 mg, 1.61 mmol) in tetrahydrofuran (10 mL) was treated with N,N′-dicyclohexylcarbodiimide (330 mg, 1.60 mmol), and the reaction mixture was stirred at ambient temperature for 4 h. After this time, diethyl ether (10 mL) was added, and the mixture was filtered. The filtrate was concentrated under reduced pressure to provide (4R,5R)-4-((S)-2-(tert-butoxy)-2-oxo-1-phenylethyl) 5-(2,5-dioxopyrrolidin-1-yl) 2,2-dimethyl-1,3-dioxolane-4,5-dicarboxylate (700 mg) that was used without purification:1H NMR (300 MHz, CDCl3, Mixture of diastereomers) δ 7.49-7.43 (m, 2H), 7.43-7.34 (m, 3H), 5.89 (s, 0.4H), 5.88 (s, 0.6H), 5.46 (d, J=4.3 Hz, 0.4H), 5.25 (d, J=4.3 Hz, 0.6H), 5.17 (d, J=4.3 Hz, 1H), 2.85 (s, 4H), 1.59-1.54 (m, 6H), 1.40 (s, 9H).
Preparation of (4R,5R)-4-((S)-2-(tert-Butoxy)-2-oxo-1-phenylethyl) 5-((4R,4aS,7aR,12bS)-9-((tert-butoxycarbonyl)oxy)-4a-hydroxy-3-methyl-2,3,4,4a,5,7a-hexahydro-1H-4,12-methanobenzofuro[3,2-e]isoquinolin-7-yl) 2,2-dimethyl-1,3-dioxolane-4,5-dicarboxylate
Figure US10226456-20190312-C01341
A solution of tert-butyl ((4R,4aS,7aR,12bS)-4a-hydroxy-3-methyl-7-oxo-2,3,4,4a,5,6,7,7a-octahydro-1H-4,12-methanobenzofuro[3,2-e]isoquinolin-9-yl) carbonate (310 mg, 0.77 mmol) in tetrahydrofuran (5 mL) was cooled to 0° C. and treated dropwise with a 1.0 M solution of lithium bis(trimethylsilyl)amidein tetrahydrofuran (0.8 mL, 0.8 mmol). After addition was complete, the mixture was stirred at ambient temperature for 10 min. The mixture was re-cooled to 0° C., and (4R,5R)-4-((S)-2-(tert-butoxy)-2-oxo-1-phenylethyl) 5-(2,5-dioxopyrrolidin-1-yl) 2,2-dimethyl-1,3-dioxolane-4,5-dicarboxylate (343 mg, 0.72 mmol) was added in one portion. The mixture was stirred at 0° C. for 45 min. After this time, the mixture was treated with saturated aqueous ammonium chloride and extracted with ethyl acetate. The combined organics were dried over sodium sulfate, filtered, and concentrated under reduced pressure. The residue was purified by reversed phase column chromatography (50 g C18 column, 5-100% acetonitrile/water) to provide (4R,5R)-4-((S)-2-(tert-butoxy)-2-oxo-1-phenylethyl) 5-((4R,4aS,7aR,12bS)-9-((tert-butoxycarbonyl)oxy)-4a-hydroxy-3-methyl-2,3,4,4a,5,7a-hexahydro-1H-4,12-methanobenzofuro[3,2-e]isoquinolin-7-yl) 2,2-dimethyl-1,3-dioxolane-4,5-dicarboxylate (270 mg, 49%, ˜6:4 mixture of diastereomers): ESI MS m/z 764 [C41H49NO13+H]+.
Preparation of (S)-2-(((2R,3R)-4-(((4R,4aS,7aR,12bS)-4a,9-Dihydroxy-3-methyl-2,3,4,4a,5,7a-hexahydro-1H-4,12-methanobenzofuro[3,2-e]isoquinolin-7-yl)oxy)-2,3-dihydroxy-4-oxobutanoyl)oxy)-2-phenylacetic acid trifluoroacetic acid salt and (R)-2-(((2R,3R)-4-(((4R,4aS,7aR,12bS)-4a,9-Dihydroxy-3-methyl-2,3,4,4a,5,7a-hexahydro-1H-4,12-methanobenzofuro[3,2-e]isoquinolin-7-yl)oxy)-2,3-dihydroxy-4-oxobutanoyl)oxy)-2-phenylacetic acid trifluoroacetic acid salt
Figure US10226456-20190312-C01342
A solution of (4R,5R)-4-((S)-2-(tert-butoxy)-2-oxo-1-phenylethyl) 5-((4R,4aS,7aR,12bS)-9-((tert-butoxycarbonyl)oxy)-4a-hydroxy-3-methyl-2,3,4,4a,5,7a-hexahydro-1H-4,12-methanobenzofuro[3,2-e]isoquinolin-7-yl) 2,2-dimethyl-1,3-dioxolane-4,5-dicarboxylate (270 mg, 0.35 mmol) in methylene chloride (8 mL) was treated with trifluoroacetic acid (1.5 mL), and the mixture was stirred at room temperature for 1 h. LC-MS analysis of the reaction mixture indicated cleavage of the Boc and tert-butyl protecting groups. Water (0.1 mL) was added, and the mixture was stirred at ambient temperature for 3 h. After this time, the reaction mixture was concentrated under reduced pressure. The residue was purified by reversed phase column chromatography (50 g C18 column, 3-20% acetonitrile/water, with 0.1% trifluoracetic acid) and freeze dried to provide of (S)-2-(((2R,3R)-4-(((4R,4aS,7aR,12bS)-4a,9-dihydroxy-3-methyl-2,3,4,4a,5,7a-hexahydro-1H-4,12-methanobenzofuro[3,2-e]isoquinolin-7-yl)oxy)-2,3-dihydroxy-4-oxobutanoyl)oxy)-2-phenylacetic acid trifluoroacetic acid salt and (R)-2-(((2R,3R)-4-(((4R,4aS,7aR,12bS)-4a,9-dihydroxy-3-methyl-2,3,4,4a,5,7a-hexahydro-1H-4,12-methanobenzofuro[3,2-e]isoquinolin-7-yl)oxy)-2,3-dihydroxy-4-oxobutanoyl)oxy)-2-phenylacetic acid trifluoroacetic acid salt.
Isomer A (86 mg, 33%):1H NMR (300 MHz, DMSO-d6) δ 13.38 (br s, 1H), 9.32 (s, 1H), 9.17 (br s, 1H), 7.54-7.47 (m, 2H), 7.47-7.39 (m, 3H), 6.69 (d, J=8.2 Hz, 1H), 6.63 (d, J=8.2 Hz, 1H), 6.26 (s, 1H), 5.99-5.80 (m, 3H), 5.54 (dd, J=6.1, 2.0 Hz, 1H), 5.02 (s, 1H), 4.67 (d, J=1.6 Hz, 1H), 4.59 (d, J=1.5 Hz, 1H), 3.62 (d, J=7.1 Hz, 1H), 3.38 (d, J=18.7 Hz, 1H), 3.13-3.00 (m, 2H), 2.84 (s, 3H), 2.70-2.57 (m, 1H), 2.43 (dd, J=14.2, 5.5 Hz, 1H), 2.28 (dd, J=17.5, 6.2 Hz, 1H), 2.05 (d, J=17.7 Hz, 1H), 1.63 (d, J=10.5 Hz, 1H); ESI MS m/z568 [C29H29NO11+H]+; HPLC (Method A) 95.2% (AUC), tR=7.79 min.
Isomer B (49 mg, 18%):1H NMR (300 MHz, DMSO-d6) δ 13.28 (br s, 1H), 9.32 (s, 1H), 9.15 (br s, 1H), 7.56-7.47 (m, 2H), 7.47-7.37 (m, 3H), 6.68 (d, J=8.2 Hz, 1H), 6.63 (d, J=8.2 Hz, 1H), 6.29 (br s, 1H), 5.94-5.89 (m, 3H), 5.56-5.35 (m, 1H), 5.03 (s, 1H), 4.70 (s, 1H), 4.64 (dd, J=8.0, 2.4 Hz, 1H), 3.61 (d, J=5.6 Hz, 1H), 3.41-3.38 (m, 1H), 3.14-2.99 (m, 2H), 2.83 (s, 3H), 2.71-2.58 (m, 1H), 2.47-2.38 (m, 1H), 2.27 (dd, J=17.4, 6.5 Hz, 1H), 2.05 (d, J=18.0 Hz, 1H), 1.63 (d, J=12.8 Hz, 1H); ESI MS m/z 568 [C29H29NO11+H]+; HPLC (Method A) 98.7% (AUC), tR=7.96 min.
Figure US10226456-20190312-C01343
Preparation of (S)-(4R,4aS,7aR,12bS)-4a,9-Dihydroxy-3-methyl-2,3,4,4a,5,7a-hexahydro-1H-4,12-methanobenzofuro[3,2-e]isoquinolin-7-yl 2-(((S)-2-((S)-2-((tert-butoxycarbonyl)amino)-4-methylpentanamido)propanoyl)oxy)propanoate
Figure US10226456-20190312-C01344
A solution of (S)-(4R,4aS,7aR,12bS)-4a,9-dihydroxy-3-methyl-2,3,4,4a,5,7a-hexahydro-1H-4,12-methanobenzofuro[3,2-e]isoquinolin-7-yl 2-(((S)-2-aminopropanoyl)oxy)propanoate hydrochloride (121 mg, 0.233 mmol) in tetrahydrofuran (6 mL) was treated with (S)-2,5-dioxopyrrolidin-1-yl 2-((tert-butoxycarbonyl)amino)-4-methylpentanoate (92 mg, 0.280 mmol) and diisopropylethylamine (75 mg, 0.583 mmol) at 0° C. and stirred under a nitrogen atmosphere for 1 h. After this time the reaction mixture was concentrated under reduced pressure. The residue was purified by column chromatography (50 g, C18, 10-100% acetonitrile/water) to provide (S)-(4R,4aS,7aR,12bS)-4a,9-dihydroxy-3-methyl-2,3,4,4a,5,7a-hexahydro-1H-4,12-methanobenzofuro[3,2-e]isoquinolin-7-yl 2-(((S)-2-((S)-2-((tert-butoxycarbonyl)amino)-4-methylpentanamido)propanoyl)oxy)propanoate (77 mg, 50%) as a white solid: ESI MS m/z 658 [C34H47N3O10+H]+.
Preparation of (S)-(4R,4aS,7aR,12bS)-4a,9-Dihydroxy-3-methyl-2,3,4,4a,5,7a-hexahydro-H-4,12-methanobenzofuro[3,2-e]isoquinolin-7-yl 2-(((S)-2-((S)-2-amino-4-methylpentanamido)propanoyl)oxy)propanoatebis(trifluoroacetic acid salt)
Figure US10226456-20190312-C01345
A solution of (S)-(4R,4aS,7aR,12bS)-4a,9-dihydroxy-3-methyl-2,3,4,4a,5,7a-hexahydro-1H-4,12-methanobenzofuro[3,2-e]isoquinolin-7-yl 2-(((S)-2-((S)-2-((tert-butoxycarbonyl)amino)-4-methylpentanamido)propanoyl)oxy)propanoate (77 mg, 0.117 mmol) in methylene chloride (3 mL) was treated with trifluoroacetic acid (2 mL) and stirred under a nitrogen atmosphere at ambient temperature for 1 h. After this time, the reaction mixture was concentrated under reduced pressure. The residue was purified by reversed phase column chromatography (50 g C18 column, 0-100% acetonitrile/water with 0.1% trifluoroacetic acid) and freeze dried to provide (S)-(4R,4aS,7aR,12bS)-4a,9-dihydroxy-3-methyl-2,3,4,4a,5,7a-hexahydro-1H-4,12-methanobenzofuro[3,2-e]isoquinolin-7-yl 2-(((S)-2-((S)-2-amino-4-methylpentanamido)propanoyl)oxy)propanoate bis(trifluoroacetic acid salt)(48 mg, 48%) as a fluffy white solid:1H NMR (300 MHz, DMSO-d6) δ 9.32 (s, 1H), 9.15 (br s, 1H), 8.93 (d, J=6.9 Hz, 1H), 8.13 (br s, 3H), 6.65 (apparent q, J=8.1 Hz, 2H), 6.24 (s, 1H), 5.58 (dd, J=6.0, 2.1 Hz, 1H), 5.19 (q, J=6.9 Hz, 1H), 4.95 (s, 1H), 4.47 (m, 1H), 3.75 (m, 1H), 3.64-3.52 (m, 2H), 3.05 (m, 1H), 2.84 (d, J=4.5 Hz, 3H), 2.73-2.41 (m, 3H), 2.27 (m, 1H), 2.07 (m, 1H), 1.73-1.51 (m, 7H), 1.41 (d, J=7.5 Hz, 3H), 0.91 (t, J=6.6 Hz, 6H); ESI MS m/z 558 [C29H39N3O8+H]+.
Figure US10226456-20190312-C01346
Preparation of (S)-tert-Butyl 4-((tert-butoxycarbonyl)amino)-5-((3-(((S)-1-(((4R,4aS,7aR,12bS)-4a,9-dihydroxy-3-methyl-2,3,4,4a,5,7a-hexahydro-1H-4,12-methanobenzofuro[3,2-e]isoquinolin-7-yl)oxy)-1-oxopropan-2-yl)oxy)-3-oxopropyl)amino)-5-oxopentanoate
Figure US10226456-20190312-C01347
A solution of (S)-(4R,4aS,7aR,12bS)-4a,9-dihydroxy-3-methyl-2,3,4,4a,5,7a-hexahydro-1H-4,12-methanobenzofuro[3,2-e]isoquinolin-7-yl 2-((3-aminopropanoyl)oxy)propanoate dihydrochloride (121 mg, 0.233 mmol) in tetrahydrofuran (6 mL) was treated with (S)-5-tert-butyl 1-(2,5-dioxopyrrolidin-1-yl) 2-((tert-butoxycarbonyl)amino)pentanedioate (112 mg, 0.280 mmol) and N,N-diisopropylethylamine (75 mg, 0.58 mmol) at 0° C. and stirred under a nitrogen atmosphere for 1 h. After this time the reaction mixture was concentrated under reduced pressure. The residue was purified by column chromatography (40 g, silica gel, 0-20% methanol/methylene chloride) to (S)-tert-butyl 4-((tert-butoxycarbonyl)amino)-5-((3-(((S)-1-(((4R,4aS,7aR,12bS)-4a,9-dihydroxy-3-methyl-2,3,4,4a,5,7a-hexahydro-1H-4,12-methanobenzofuro[3,2-e]isoquinolin-7-yl)oxy)-1-oxopropan-2-yl)oxy)-3-oxopropyl)amino)-5-oxopentanoate (91 mg, 53%) as a white solid: ESI MS m/z 730 [C37H51N3O12+H]+.
Preparation of (S)-4-Amino-5-((3-(((S)-1-(((4R,4aS,7aR,12bS)-4a,9-dihydroxy-3-methyl-2,3,4,4a,5,7a-hexahydro-1H-4,12-methanobenzofuro[3,2-e]isoquinolin-7-yl)oxy)-1-oxopropan-2-yl)oxy)-3-oxopropyl)amino)-5-oxopentanoic acidbis(trifluoroacetic acid salt)
Figure US10226456-20190312-C01348
A solution of (S)-tert-butyl 4-((tert-butoxycarbonyl)amino)-5-((3-(((S)-1-(((4R,4aS,7aR,12bS)-4a,9-dihydroxy-3-methyl-2,3,4,4a,5,7a-hexahydro-1H-4,12-methanobenzofuro[3,2-e]isoquinolin-7-yl)oxy)-1-oxopropan-2-yl)oxy)-3-oxopropyl)amino)-5-oxopentanoate (91 mg, 0.13 mmol) in methylene chloride (3 mL) was treated with trifluoroacetic acid (2 mL) and stirred under a nitrogen atmosphere at ambient temperature for 1 h. After this time, the reaction mixture was concentrated under reduced pressure. The residue was purified by reversed phase column chromatography (50 g C18 column, 0-100% acetonitrile/water with 0.1% trifluoroacetic acid) and freeze dried to provide (S)-4-amino-5-((3-(((S)-1-(((4R,4aS,7aR,12bS)-4a,9-dihydroxy-3-methyl-2,3,4,4a,5,7a-hexahydro-1H-4,12-methanobenzofuro[3,2-e]isoquinolin-7-yl)oxy)-1-oxopropan-2-yl)oxy)-3-oxopropyl)amino)-5-oxopentanoic acid bis(trifluoroacetic acid salt)(44 mg, 42%) as a fluffy white solid:1H NMR (300 MHz, DMSO-d6) δ 12.35 (br s, 1H), 9.32 (s, 1H), 9.17 (br s, 1H), 8.61 (t, J=5.4 Hz, 1H), 8.14 (br s, 3H), 6.66 (apparent q, J=8.1 Hz, 2H), 6.26 (s, 1H), 5.58 (dd, J=6.0, 2.1 Hz, 1H), 5.11 (q, J=7.2 Hz, 1H), 4.96 (s, 1H), 3.74 (m, 1H), 3.67-3.27 (m, 4H), 3.06 (m, 1H), 2.84 (s, 3H), 2.63-2.41 (m, 5H), 2.32-2.26 (m, 3H), 2.05 (m, 1H), 1.96-1.88 (m, 2H), 1.62 (m, 1H), 1.53 (d, J=7.2 Hz, 3H); ESI MS m/z 574 [C28H35N3O10+H]+.
Figure US10226456-20190312-C01349
Preparation of (S)-tert-Butyl 2-(((S)-1-(((S)-1-(((4R,4aS,7aR,12bS)-4a,9-dihydroxy-3-methyl-2,3,4,4a,5,7a-hexahydro-1H-4,12-methanobenzofuro[3,2-e]isoquinolin-7-yl)oxy)-1-oxopropan-2-y)oxy)-1-oxopropan-2-yl)carbamoyl)pyrrolidine-1-carboxylate
Figure US10226456-20190312-C01350
A solution of (S)-(4R,4aS,7aR,12bS)-4a,9-dihydroxy-3-methyl-2,3,4,4a,5,7a-hexahydro-1H-4,12-methanobenzofuro[3,2-e]isoquinolin-7-yl 2-(((S)-2-aminopropanoyl)oxy)propanoate hydrochloride (121 mg, 0.233 mmol) in tetrahydrofuran (6 mL) was treated with (S)-1-tert-butyl 2-(2,5-dioxopyrrolidin-1-yl) pyrrolidine-1,2-dicarboxylate (87 mg, 0.28 mmol) and diisopropylethylamine (75 mg, 0.58 mmol) at 0° C. and stirred under a nitrogen atmosphere for 1 h. After this time the reaction mixture was concentrated under reduced pressure. The residue was purified by column chromatography (50 g, C18, 10-100% acetonitrile/water) to provide (S)-tert-butyl 2-(((S)-1-(((S)-1-(((4R,4aS,7aR,12bS)-4a,9-dihydroxy-3-methyl-2,3,4,4a,5,7a-hexahydro-1H-4,12-methanobenzofuro[3,2-e]isoquinolin-7-yl)oxy)-1-oxopropan-2-yl)oxy)-1-oxopropan-2-yl)carbamoyl)pyrrolidine-1-carboxylate (59 mg, 39%) as a white solid: ESI MS m/z 642 [C33H43N3O10+H]+.
Preparation of (S)-(4R,4aS,7aR,12bS)-4a,9-Dihydroxy-3-methyl-2,3,4,4a,5,7a-hexahydro-1H-4,12-methanobenzofuro[3,2-e]isoquinolin-7-yl 2-(((S)-2-((S)-pyrrolidine-2-carboxamido)propanoyl)oxy)propanoatebis(trifluoroacetic acid salt)
Figure US10226456-20190312-C01351
A solution of (S)-tert-butyl 2-(((S)-1-(((S)-1-(((4R,4aS,7aR,12bS)-4a,9-dihydroxy-3-methyl-2,3,4,4a,5,7a-hexahydro-1H-4,12-methanobenzofuro[3,2-e]isoquinolin-7-yl)oxy)-1-oxopropan-2-yl)oxy)-1-oxopropan-2-yl)carbamoyl)pyrrolidine-1-carboxylate (59 mg, 0.092 mmol) in methylene chloride (3 mL) was treated with trifluoroacetic acid (1 mL) and stirred under a nitrogen atmosphere at ambient temperature for 1 h. After this time, the reaction mixture was concentrated under reduced pressure. The residue was purified by reversed phase column chromatography (50 g C18 column, 0-100% acetonitrile/water with 0.1% trifluoroacetic acid) and freeze dried to provide (S)-(4R,4aS,7aR,12bS)-4a,9-dihydroxy-3-methyl-2,3,4,4a,5,7a-hexahydro-1H-4,12-methanobenzofuro[3,2-e]isoquinolin-7-yl 2-(((S)-2-((S)-pyrrolidine-2-carboxamido)propanoyl)oxy)propanoate bis(trifluoroacetic acid salt)(25 mg, 32%) as a fluffy white solid:1H NMR (300 MHz, DMSO-d6) δ 9.32 (s, 1H), 9.25 (br s, 1H), 9.17 (br s, 1H), 8.97 (d, J=6.6 Hz, 1H), 8.56 (br s, 1H), 6.66 (apparent q, J=8.1 Hz, 2H), 6.25 (s, 1H), 5.58 (dd, J=6.0, 2.4 Hz, 1H), 5.18 (q, J=6.9 Hz, 1H), 4.95 (s, 1H), 4.44 (m, 1H), 4.21 (m, 1H), 3.67-3.03 (m, 4H), 2.84 (d, J=4.5 Hz, 3H), 2.72-2.41 (m, 3H), 2.31-2.27 (m, 2H), 2.07 (m, 1H), 1.91-1.84 (m, 3H), 1.62 (m, 1H), 1.54 (d, J=7.2 Hz, 3H), 1.41 (d, J=7.2 Hz, 3H); ESI MS m/z 542 [C28H35N3O8+H]+.
Figure US10226456-20190312-C01352
Preparation of (S)-(4R,4aS,7aR,12bS)-4a,9-Dihydroxy-3-methyl-2,3,4,4a,5,7a-hexahydro-1H-4,12-methanobonzofuro[3,2-e]isoquinolin-7-yl 2-((3-((S)-2((tert-butoxycarbonyl)amino-3-phenylpropanamido)propanoyl)oxy)propanoate
Figure US10226456-20190312-C01353
A solution of (S)-(4R,4aS,7aR,12bS)-4a,9-dihydroxy-3-methyl-2,3,4,4a,5,7a-hexahydro-1H-4,12-methanobenzofuro[3,2-e]isoquinolin-7-yl 2-((3-aminopropanoyl)oxy)propanoate dihydrochloride (121 mg, 0.233 mmol) in tetrahydrofuran (6 mL) was treated with (S)-2,5-dioxopyrrolidin-1-yl 2-((tert-butoxycarbonyl)amino)-3-phenylpropanoate (98 mg, 0.28 mmol) and N,N-diisopropylethylamine (75 mg, 0.58 mmol) at 0° C. and stirred under a nitrogen atmosphere for 1 h. After this time, the reaction mixture was concentrated under reduced pressure. The residue was purified by column chromatography (40 g silica gel column, 0-20% methanol/methylene chloride) to provide (S)-(4R,4aS,7aR,12bS)-4a,9-dihydroxy-3-methyl-2,3,4,4a,5,7a-hexahydro-1H-4,12-methanobenzofuro[3,2-e]isoquinolin-7-yl 2-((3-((S)-2-((tert-butoxycarbonyl)amino)-3-phenylpropanamido)propanoyl)oxy)propanoate (45 mg, 28%) as a white solid: ESI MS m/z 692 [C37H45N3O10+H]+.
Preparation of (S)-(4R,4aS,7aR,12bS)-4a,9-Dihydroxy-3-methyl-2,3,4,4a,5,7a-hexahydro-1H-4,12-methanobenzofuro[3,2-e]isoquinolin-7-yl 2-((3-((S)-2-amino-3-phenylpropanamido)propanoyl)oxy)propanoatebis(trifluoroacetic acid salt)
Figure US10226456-20190312-C01354
A solution of (S)-(4R,4aS,7aR,12bS)-4a,9-dihydroxy-3-methyl-2,3,4,4a,5,7a-hexahydro-1H-4,12-methanobenzofuro[3,2-e]isoquinolin-7-yl 2-((3-((S)-2-((tert-butoxycarbonyl)amino)-3-phenylpropanamido)propanoyl)oxy)propanoate (45 mg, 0.066 mmol) in methylene chloride (3 mL) was treated with trifluoroacetic acid (1 mL) and stirred under a nitrogen atmosphere at ambient temperature for 1 h. After this time, the reaction mixture was concentrated under reduced pressure. The residue was purified by reversed phase column chromatography (50 g C18 column, 0-100% acetonitrile/water with 0.1% trifluoroacetic acid) and freeze dried to provide (S)-(4R,4aS,7aR,12bS)-4a,9-dihydroxy-3-methyl-2,3,4,4a,5,7a-hexahydro-1H-4,12-methanobenzofuro[3,2-e]isoquinolin-7-yl 2-((3-((S)-2-amino-3-phenylpropanamido)propanoyl)oxy)propanoate bis(trifluoroacetic acid salt)(40 mg, 70%) as a fluffy white solid:1H NMR (300 MHz, DMSO-d6) δ 9.32 (s, 1H), 9.16 (br s, 1H), 8.49 (t, J=5.4 Hz, 1H), 8.19 (br s, 3H), 7.37-7.24 (m, 5H), 6.65 (apparent q, J=8.1 Hz, 2H), 6.25 (s, 1H), 5.57 (dd, J=5.7, 1.8 Hz, 1H), 5.08 (q, J=6.9 Hz, 1H), 3.94 (m, 1H), 3.64-3.16 (m, 6H), 3.11-2.92 (m, 4H), 2.84 (d, J=3.3 Hz, 3H), 2.73-2.24 (m, 3H), 2.28 (m, 1H), 2.05 (m, 1H), 1.61 (m, 1H), 1.53 (d, J=7.2 Hz, 3H); ESI MS m/z 592 [C32H37N3O8+H]+.
Test Preparation, Procedures, and Analysis
Animal studies were conducted onRattus norvegicus, specifically of the Sprague Dawley strain. Three male Sprague Dawley rats per test article were jugular vein cannulated (JVC) for blood collection. The rats weighed approximately 225-250 g at treatment. The rats were allowed a minimum of 2 day acclimation period and were fasted approximately 16-20 hours before dosing. Fasting continued until 4 hours post-dose.
The dosing formulations were prepared on the day of dosing. The test article concentration was equivalent to 2 mg/mL oxymorphone HCl or 10 mg/mL oxycodone HCl. For test articles that were provided as salt forms, the dosing vehicle was 0.5% methylcellulose in water. For test articles that were provided as free base forms, the dosing vehicle was 0.5% methylcellulose in dilute HCl. Each dosing formulation was prepared by weighing the test article into the formulation container, followed by addition of the appropriate volume of vehicle based on the weighed amount. If the test article appeared undissolved, the dosing formulation was sonicated to aid dissolution. The dosing formulations were mixed well and continuously stirred until filling the dosing syringes. Following dosing, any remaining formulation was stored at approximately −20° C.
Each animal was administered a single oral gavage (PO) dose. Any obviously mis-dosed animals were replaced. The volume of dosing formulation that was administered to each animal was calculated based on the pre-dose body weight obtained on the day of dosing.
Samples were collected at 15 min., 30 min., 1 h, 2 h, 3 h, 4, h, and 6 h post-dose. K2EDTA was used as an anticoagulant. At each non-terminal sample time, a 0.5 mL blood sample was collected from the JVC. After each non-terminal sample removal, 0.4 mL strain-matched donor blood was transfused via the JVC to replace removed blood, followed by a flush of the cannula with heparinized saline. If the cannula failed, retroorbital or tail bleeding was used. The terminal sample was collected by cardiac puncture and was approximately 0.5 mL volume.
Blood collection tubes were placed on ice immediately and centrifuged within 30 minutes at 4° C. to separate plasma. Samples were centrifuged at approximately 6000 rpm for 3 minutes at 4° C. Plasma was removed, placed into labeled polypropylene tubes, and quick frozen over dry ice. The plasma tubes were labeled with the study number, animal number, and sample time. Plasma specimens were stored at −70° C. until analysis.
Plasma samples were analyzed for oxymorphone/oxycodone concentrations using LC-MS/MS methods using the following steps: (1) Quantitation by LC-MS/MS with internal standard; (2) Determine anticipated calibration curve range; (3) Prepare calibration curve before and after sample analysis (N=2) in blank plasma using the following standards: (a) Minimum of 6 standard concentration; and (b) Acceptance criteria: Five standard concentrations minimum within the curve, must contain at least one standard at both bottom and top of the range back calculated to ±20% of their nominal concentrations. It is acceptable to remove the upper or lower standards to bring the curve into ±20% nominal. Each batch also contained at least double blank, single blank, and carryover blank controls.
Example 1
Three Sprague Dawley rats were administered a dose of 1.77 mg/kg Oxymorphone HCl Oral. The plasma concentrations of oxymorphone in each rat, the mean plasma concentration of oxymorphone, and the standard deviation at the seven time points are summarized in Table 2:
TABLE 2
Group 1: 1.77 mg/kg Oxymorphone HCl Oral
Plasma oxymorphone (ng/mL)
Time (h)Rat 1Rat 2Rat 3MeanSD
0.250.3790.8621.1440.7950.387
0.50.3430.9250.7990.6890.306
10.5451.5571.1101.0710.507
20.7281.8260.6211.0580.667
30.4570.676BQL0.3780.345
40.5080.429BQL0.3120.273
6BQL1.800BQL0.6001.039
Cmax(ng/mL)0.7281.8261.1441.2330.554
Tmax(h)2.002.000.251.4171.010
AUClast(h*ng/mL)
BQL: <0.200 ng/mL
Example 2
Three Sprague Dawley rats were administered a dose of 3.54 mg/kg Oxymorphone HCl Oral. The plasma concentrations of oxymorphone in each rat, the mean plasma concentration of oxymorphone, and the standard deviation at the seven time points are summarized in Table 3:
TABLE 3
Group 2: 3.54 mg/kg Oxymorphone HCl Oral
Plasma oxymorphone (ng/mL)
Time (h)Rat 4Rat 5Rat 6MeanSD
0.254.9583.2461.7673.3241.597
0.54.7162.4692.0953.0931.418
13.4232.1460.9132.1611.255
21.2732.4341.6391.7820.594
30.5771.6351.2761.1630.538
40.3350.5450.6180.4990.147
60.4530.7960.7740.6740.192
Cmax(ng/mL)
Tmax(h)
AUClast(h*ng/mL)
BQL: <0.200 ng/mL
Example 3
Three Sprague Dawley rats were administered a dose of 7.12 mg/kg Oxymorphone Oleate (Ex No. B3) Oral. The plasma concentrations of oxymorphone in each rat, the mean plasma concentration of oxymorphone, and the standard deviation at the seven time points are summarized in Table 4:
TABLE 4
Group 3: 7.12 mg/kg Oxymorphone Oleate Oral
Plasma oxymorphone (ng/mL)
Time (h)Rat 7Rat 8Rat 9MeanSD
0.251.7180.256BQL0.987ND
0.5BQL0.203BQL0.068ND
10.2420.2450.4480.3120.118
2BQLBQL0.2390.080ND
30.4240.6620.4620.5160.128
40.2900.6430.5140.4820.179
61.8280.6141.1671.2030.608
Cmax(ng/mL)
Tmax(h)
AUClast(h*ng/mL)
BQL: <0.200 ng/mL
ND: Not determined (N < 3)
Example 4
Three Sprague Dawley rats were administered a dose of 5.56 mg/kg Oxymorphone Malate (Ex No. B5) Oral. The plasma concentrations of oxymorphone in each rat, the mean plasma concentration of oxymorphone, and the standard deviation at the seven time points are summarized in Table 5:
TABLE 5
Group 4: 5.56 mg/kg Oxymorphone Malate Oral
Plasma oxymorphone (ng/mL)
Time (h)Rat 10Rat 11Rat 12MeanSD
0.253.3091.4692.2892.3560.922
0.56.1312.2682.8213.7402.089
17.4973.5724.1225.0642.125
25.0382.6962.6053.4461.379
34.1532.8082.1733.0451.011
42.4801.8842.0942.1530.302
60.8611.5530.9261.1130.382
Cmax(ng/mL)
Tmax(h)
AUClast(h*ng/mL)
BQL: <0.200 ng/mL
Example 5
Three Sprague Dawley rats were administered a dose of 6.72 mg/kg Oxymorphone Mandelate (Ex No. B1a) Oral. The plasma concentrations of oxymorphone in each rat, the mean plasma concentration of oxymorphone, and the standard deviation at the seven time points are summarized in Table 6:
TABLE 6
Group 5: 6.72 mg/kg Oxymorphone Mandelate
Oral (not completely soluble)
Plasma oxymorphone (ng/mL)
Time (h)Rat 13Rat 14Rat 15MeanSD
0.250.6490.8890.8240.7870.124
0.50.6601.0170.7050.7940.194
10.5001.4340.6120.8490.510
20.5431.4450.6910.8930.484
30.5460.8700.7180.7110.162
40.6670.7990.4770.6480.162
60.3541.4820.8360.8910.566
Cmax(ng/mL)
Tmax(h)
AUClast(h*ng/mL)
BQL: <0.200 ng/mL
Example 6
Three Sprague Dawley rats were administered a dose of 5.48 mg/kg Oxymorphone Mandelate (Ex No. B1b) Oral. The plasma concentrations of oxymorphone in each rat, the mean plasma concentration of oxymorphone, and the standard deviation at the seven time points are summarized in Table 7:
TABLE 7
Group 6: 5.48 mg/kg Oxymorphone Mandelate Oral
Plasma oxymorphone (ng/mL)
Time (h)Rat 16Rat 17Rat 18MeanSD
0.250.9762.7813.3772.3781.250
0.51.1622.2293.8982.4301.379
11.3202.3854.9512.8851.866
21.2731.6072.6151.8320.699
30.8840.8210.6230.7760.136
40.4650.4710.2230.3860.141
60.5940.3212.8961.2701.414
Cmax(ng/mL)
Tmax(h)
AUClast(h*ng/mL)
BQL: <0.200 ng/mL
Example 7
Three Sprague Dawley rats were administered a dose of 6.01 mg/kg Oxymorphone Lactate (Ex No. B2a) Oral. The plasma concentrations of oxymorphone in each rat, the mean plasma concentration of oxymorphone, and the standard deviation at the seven time points are summarized in Table 8:
TABLE 8
Group 7: 6.01 mg/kg Oxymorphone Lactate Oral
Plasma oxymorphone (ng/mL)
Time (h)Rat 19Rat 20Rat 21MeanSD
0.253.6891.7821.8362.4361.086
0.54.3772.7111.5142.8671.438
12.4852.3471.9892.2740.256
21.3512.0220.9951.4560.521
30.5011.4220.4080.7770.561
40.2180.9980.4510.5560.400
61.1281.7840.4661.1260.659
Cmax(ng/mL)
Tmax(h)
AUClast(h*ng/mL)
BQL: <0.200 ng/mL
Example 8
Three Sprague Dawley rats were administered a dose of 4.93 mg/kg Oxymorphone Lactate (Ex No. B2a) Oral. The plasma concentrations of oxymorphone in each rat, the mean plasma concentration of oxymorphone, and the standard deviation at the seven time points are summarized in Table 9:
TABLE 9
Group 8: 4.93 mg/kg Oxymorphone Lactate Oral
Plasma oxymorphone (ng/mL)
Time (h)Rat 22Rat 23Rat 24MeanSD
0.254.7600.7403.4882.9962.055
0.53.4702.3472.5142.7770.606
13.7492.8391.8462.8110.952
21.6982.2792.0622.0130.294
31.3251.3061.1991.2770.068
41.5040.7280.6420.9580.475
61.3230.9151.9151.3840.503
Cmax(ng/mL)
Tmax(h)
AUClast(h*ng/mL)
BQL: <0.200 ng/mL
Example 9
Three Sprague Dawley rats were administered a dose of 7.4 mg/kg Oxymorphone Stearate (Ex No. B4) Oral. The plasma concentrations of oxymorphone in each rat, the mean plasma concentration of oxymorphone, and the standard deviation at the seven time points are summarized in Table 10:
TABLE 10
Group 9: 7.4 mg/kg Oxymorphone Stearate
Oral (not completely soluble)
Plasma oxymorphone (ng/mL)
Time (h)Rat 25Rat 26Rat 27MeanSD
0.250.3721.0472.3691.2631.016
0.50.9381.5603.3321.9431.242
10.6401.4843.2301.7851.321
20.7451.0312.2081.3280.775
30.7320.7631.9271.1410.681
40.6800.9860.8450.8370.153
66.2203.1761.0773.4912.586
Cmax(ng/mL)
Tmax(h)
AUClast(h*ng/mL)
BQL: <0.200 ng/mL
Example 10
Three Sprague Dawley rats were administered a dose of 6.16 mg/kg Oxymorphone Alanine (Ex No. B6) Oral. The plasma concentrations of oxymorphone in each rat, the mean plasma concentration of oxymorphone, and the standard deviation at the seven time points are summarized in Table 11:
TABLE 11
Group 10: 6.16 mg/kg Oxymorphone Alanine Oral
Plasma oxymorphone (ng/mL)
Time (h)Rat 28Rat 29Rat 30MeanSD
0.254.5941.8412.0082.8141.543
0.53.1066.2273.8774.4031.626
12.7942.9013.4093.0350.329
21.8633.2121.6882.2540.834
30.9971.2470.6830.9760.283
40.6420.6000.7720.6710.090
60.3941.0420.2590.5650.419
Cmax(ng/mL)
Tmax(h)
AUClast(h*ng/mL)
BQL: <0.200 ng/mL
Example 11
Three Sprague Dawley rats were administered a dose of 5.41 mg/kg Oxymorphone Alanine (Ex No. B6) Oral. The plasma concentrations of oxymorphone in each rat, the mean plasma concentration of oxymorphone, and the standard deviation at the seven time points are summarized in Table 12:
TABLE 12
Group 11: 5.41 mg/kg Oxymorphone Alanine Oral
Plasma oxymorphone (ng/mL)
Time (h)Rat 31Rat 32Rat 33MeanSD
0.257.1623.7008.7706.5442.591
0.55.3822.8355.0584.4251.386
15.6302.8468.6615.7122.908
22.5363.0745.1793.5961.397
31.497No Sample2.0291.763ND
40.3481.4960.7220.8550.585
60.5160.442BQL0.3190.279
Cmax(ng/mL)
Tmax(h)
AUClast(h*ng/mL)
BQL: <0.200 ng/mL
Example 12
Three Sprague Dawley rats were administered a dose of 6.01 mg/kg Oxymorphone Mandelate (Ex No. B8) Oral. The plasma concentrations of oxymorphone in each rat, the mean plasma concentration of oxymorphone, and the standard deviation at the seven time points are summarized in Table 13:
TABLE 13
Group 12: 6.01 mg/kg Oxymorphone Mandelate Oral
Plasma oxymorphone (ng/mL)
Time (h)Rat 34Rat 35Rat 36MeanSD
0.255.2941.3911.9092.8652.120
0.52.7361.5301.4291.8980.727
13.0832.1042.4362.5410.498
21.4231.5621.7861.5900.183
30.3511.1461.0500.8490.434
40.3830.9690.4360.5960.324
60.3551.4260.4210.7340.600
Cmax(ng/mL)
Tmax(h)
AUClast(h*ng/mL)
BQL: <0.200 ng/mL
Example 13
Three Sprague Dawley rats were administered a dose of 6.02 mg/kg Oxymorphone Malate (Ex No. B9) Oral. The plasma concentrations of oxymorphone in each rat, the mean plasma concentration of oxymorphone, and the standard deviation at the seven time points are summarized in Table 14:
TABLE 14
Group 13: 6.02 mg/kg Oxymorphone Malate Oral
Plasma oxymorphone (ng/mL)
Time (h)Rat 37Rat 38Rat 39MeanSD
0.254.1154.8296.0965.0131.003
0.52.8054.3862.2003.1301.129
12.3793.9552.9993.1110.794
23.0281.6152.5402.3940.718
31.0591.4101.1281.1990.186
40.4560.8560.7550.6890.208
60.4900.3102.4931.0981.212
Cmax(ng/mL)
Tmax(h)
AUClast(h*ng/mL)
BQL: <0.200 ng/mL
Example 14
Three Sprague Dawley rats per group were administered a 0.89 mg/kg dose of an oxycodone compound. The plasma concentrations of oxycodone in each rat, the mean plasma concentration of oxymorphone, and the standard deviation at the seven time points are summarized in Table 15:
TABLE 15
TestDoseaTimePlasma Concentration (ng/mL) by Subject
GroupArticle(mg/kg)(h)1M0011M0021M003MeanSDN
1Oxycodone0.890.252.391.191.261.610.673
HCl Oral0.51.970.6821.041.230.663
11.40BLQ0.6781.040.512
2BLQBLQBLQBLQ0
3BLQBLQBLQBLQ0
4BLQBLQBLQBLQ0
6BLQBLQBLQBLQ0
TestDoseTimePlasma Concentration (ng/mL) by Subject
GroupArticle(mg/kg)(h)2M0012M0022M003MeanSDN
2Oxycodone0.890.253.071.533.312.640.973
Mandelate0.53.291.732.982.670.833
Oral11.48BLQ2.371.930.632
20.908BLQ0.5960.7520.2212
30.671BLQBLQ0.671n = 11
4BLQBLQBLQBLQ0
6BLQBLQBLQBLQ0
TestDoseTimePlasma Concentration (ng/mL) by Subject
GroupArticle(mg/kg)(h)3M0013M0023M003MeanSDN
3Oxycodone0.890.250.7421.141.090.9910.2173
Malate0.50.6961.061.361.040.333
Oral10.7671.141.621.180.433
20.9550.7821.220.9860.2213
3BLQBLQ0.7920.792n = 11
4BLQBLQ0.7880.788n = 11
6BLQBLQBLQBLQ0
TestDoseTimePlasma Concentration (ng/mL) by Subject
GroupArticle(mg/kg)(h)4M0014M0024M003MeanSDN
4Oxycodone0.890.25BLQBLQBLQBLQ0
Dimalate0.5BLQBLQBLQBLQ0
Oral10.933BLQBLQ0.933n = 11
2BLQBLQBLQBLQ0
3BLQBLQBLQBLQ0
4BLQBLQBLQBLQ0
6BLQBLQBLQBLQ0
TestDoseTimePlasma Concentration (ng/mL) by Subject
GroupArticle(mg/kg)(h)5M0015M0025M003MeanSDN
5Oxycodone0.890.255.597.273.095.322.103
Lactate0.55.198.714.326.072.323
Oral13.616.312.124.012.123
20.7902.11BLQ1.450.932
3BLQ1.24BLQ1.24n = 11
4BLQ1.69BLQ1.69n = 11
6BLQBLQBLQBLQ0
TestDoseTimePlasma Concentration (ng/mL) by Subject
GroupArticle(mg/kg)(h)6M0016M0026M003MeanSDN
6Oxycodone0.890.25BLQ4.921.903.412.142
Stearate0.52.837.574.735.042.393
Oral11.924.864.743.841.663
21.412.131.931.820.373
31.141.311.751.400.313
41.021.441.391.280.233
60.914BLQ1.481.200.402
TestDoseTimePlasma Concentration (ng/mL) by Subject
GroupArticle(mg/kg)(h)7M0017M0027M003MeanSDN
7Oxycodone0.890.250.9123.12BLQ2.021.562
Palmitate0.52.796.171.873.612.263
Oral13.454.491.653.201.443
21.842.021.171.680.453
32.111.51BLQ1.810.422
41.931.75BLQ1.840.132
61.44BLQBLQ1.44n = 11
TestDoseTimePlasma Concentration (ng/mL) by Subject
GroupArticle(mg/kg)(h)8M0018M0028M003MeanSDN
8Oxycodone0.890.252.34BLQ2.312.330.022
Oleate0.53.401.823.022.750.823
Oral12.352.032.202.190.163
21.031.211.341.190.163
3BLQBLQ1.011.01n = 11
4BLQBLQBLQBLQ0
6BLQBLQ0.9000.900n = 11
These and other modifications and variations to the invention may be practiced by those of ordinary skill in the art without departing from the spirit and scope of the invention, which is more particularly set forth in the appended claims. In addition, it should be understood that aspects of the various embodiments may be interchanged in whole or in part. Furthermore, those of ordinary skill in the art will appreciate that the foregoing description is by way of example only, and it is not intended to limit the invention as further described in such appended claims. Therefore, the spirit and scope of the appended claims should not be limited to the exemplary description of the versions contained herein.

Claims (5)

What is claimed is:
1. An abuse-resistant opioid compound represented by Formula I:

O-Xn.•Tc  (I)
wherein,
O is an opioid selected from the group consisting of oxycodone and oxymorphone;
each X is an independent chemical moiety that is safe for human consumption having a hydrolyzable point of linkage to O though oxygen of an enol tautomer of O, such that hydrolysis releases activated opioid, and X consists of α-hydroxy acid;
T is a pharmaceutically acceptable salt;
c is from 0 to 5; and
n is from 1 to 10.
2. The abuse-resistant opioid compound ofclaim 1, wherein X consists of lactic acid, mandelic acid, malic acid, or tartaric acid.
3. A pharmaceutical composition, comprising:
an abuse-resistant opioid compound; and
at least one pharmaceutical additive,
wherein the abuse-resistant opioid compound is represented by Formula I:

O-Xn.•Tc  (I)
wherein,
O is an opioid selected from the group consisting of oxycodone and oxymorphone;
each X is an independent chemical moiety that is safe for human consumption having a hydrolyzable point of linkage to O though oxygen of an enol tautomer of O such that hydrolysis releases activated opioid, and X consists of α-hydroxy acid;
T is a pharmaceutically acceptable salt;
c is from 0 to 5; and
n is from 1 to 10.
4. The pharmaceutical composition ofclaim 3, wherein X consists of lactic acid, mandelic acid, malic acid, or tartaric acid.
US15/139,8362015-04-272016-04-27Methods and compositions for preventing opioid abuseActiveUS10226456B2 (en)

Priority Applications (3)

Application NumberPriority DateFiling DateTitle
US15/139,836US10226456B2 (en)2015-04-272016-04-27Methods and compositions for preventing opioid abuse
US15/431,572US10695342B2 (en)2015-04-272017-02-13Methods and compositions for preventing opioid abuse
US15/431,624US11020386B2 (en)2015-04-272017-02-13Methods and compositions for preventing opioid abuse

Applications Claiming Priority (2)

Application NumberPriority DateFiling DateTitle
US201562153157P2015-04-272015-04-27
US15/139,836US10226456B2 (en)2015-04-272016-04-27Methods and compositions for preventing opioid abuse

Related Child Applications (2)

Application NumberTitlePriority DateFiling Date
US15/431,624ContinuationUS11020386B2 (en)2015-04-272017-02-13Methods and compositions for preventing opioid abuse
US15/431,572ContinuationUS10695342B2 (en)2015-04-272017-02-13Methods and compositions for preventing opioid abuse

Publications (2)

Publication NumberPublication Date
US20160326182A1 US20160326182A1 (en)2016-11-10
US10226456B2true US10226456B2 (en)2019-03-12

Family

ID=57222389

Family Applications (3)

Application NumberTitlePriority DateFiling Date
US15/139,836ActiveUS10226456B2 (en)2015-04-272016-04-27Methods and compositions for preventing opioid abuse
US15/431,624ActiveUS11020386B2 (en)2015-04-272017-02-13Methods and compositions for preventing opioid abuse
US15/431,572ActiveUS10695342B2 (en)2015-04-272017-02-13Methods and compositions for preventing opioid abuse

Family Applications After (2)

Application NumberTitlePriority DateFiling Date
US15/431,624ActiveUS11020386B2 (en)2015-04-272017-02-13Methods and compositions for preventing opioid abuse
US15/431,572ActiveUS10695342B2 (en)2015-04-272017-02-13Methods and compositions for preventing opioid abuse

Country Status (1)

CountryLink
US (3)US10226456B2 (en)

Cited By (3)

* Cited by examiner, † Cited by third party
Publication numberPriority datePublication dateAssigneeTitle
US20170196851A1 (en)*2015-04-272017-07-13John K. ThottathilNovel Alpha-Hydroxy Carboxylic Acid And Derivatives And Other Gras- Based Prodrugs Of Opioids And Uses Thereof
US10696683B2 (en)2015-04-272020-06-303St Research LlcAlpha-hydroxy carboxylic acid and derivatives and other GRAS based prodrugs of oxycodone and uses thereof
US10695342B2 (en)2015-04-272020-06-30Albany Molecular Research, Inc.Methods and compositions for preventing opioid abuse

Families Citing this family (3)

* Cited by examiner, † Cited by third party
Publication numberPriority datePublication dateAssigneeTitle
US9987269B2 (en)2015-04-272018-06-053St Research LlcAlpha-hydroxy carboxylic acid and derivatives and other GRAS-based prodrugs of oxymorphone and uses thereof
WO2018183264A1 (en)*2017-03-292018-10-04Thottathil John KNovel alpha-hydroxy carboxylic acid and derivatives and other gras- based prodrugs of opioids and uses thereof
US11845759B2 (en)2018-02-232023-12-19Rhodes TechnologiesOpioid compounds and uses thereof

Citations (15)

* Cited by examiner, † Cited by third party
Publication numberPriority datePublication dateAssigneeTitle
US4673679A (en)1986-05-141987-06-16E. I. Du Pont De Nemours And CompanyUse of prodrugs of 3-hydroxymorphinans to prevent bitter taste upon buccal, nasal or sublingual administration
WO2003032990A2 (en)*2001-10-182003-04-24Nektar Therapeutics Al, CorporationPolymer conjugates of opioid antagonists
US20040058946A1 (en)2002-07-052004-03-25Buchwald Stephen L.Abuse-resistant prodrugs of oxycodone and other pharmaceuticals
US20050075361A1 (en)2002-11-122005-04-07Chi Mei Foundation Medical CenterNovel ester derivatives of buprenorphine and their preparation processes, and long acting analgestic pharmaceutical compositions
US20050080012A1 (en)2002-02-222005-04-14New River Pharmaceuticals Inc.Sustained release pharmaceutical compounds to prevent abuse of controlled substances
US7375083B2 (en)2003-09-302008-05-20Shire LlcPharmaceutical compositions for prevention of overdose or abuse
US20100286186A1 (en)*2009-04-022010-11-11Shire LlcNovel dicarboxylic acid linked amino acid and peptide prodrugs of opioids and uses thereof
US20110040072A1 (en)*2006-04-102011-02-17Shire LlcMono and di-substituted oxycodone compounds and compositions
US20110053971A1 (en)2008-04-242011-03-03Janssen Pharmaceutica NvNalmefene di-ester prodrugs
US20140200235A1 (en)2007-03-122014-07-17Nektar TherapeuticsOligomer-opioid agonist conjugates
US8816083B2 (en)2011-10-262014-08-26Kempharm, Inc.Benzoic acid, benzoic acid derivatives and heteroaryl carboxylic acid conjugates of hydromorphone, prodrugs, methods of making and use thereof
US20160326182A1 (en)2015-04-272016-11-10Waterville Valley Technologies, Inc.Methods and compositions for preventing opioid abuse
US20170151228A1 (en)2015-04-272017-06-01John K. ThottathilNovel Alpha-Hydroxy Carboxylic Acid and Derivatives and Other GRAS-Based Prodrugs of Oxymorphone and Uses Thereof
US20170152266A1 (en)2015-04-272017-06-01John K. ThottathilNovel Alpha-Hydroxy Carboxylic Acid and Derivatives and Other GRAS Based Prodrugs of Oxycodone and Uses thereof
US20170196851A1 (en)2015-04-272017-07-13John K. ThottathilNovel Alpha-Hydroxy Carboxylic Acid And Derivatives And Other Gras- Based Prodrugs Of Opioids And Uses Thereof

Family Cites Families (8)

* Cited by examiner, † Cited by third party
Publication numberPriority datePublication dateAssigneeTitle
US20070066537A1 (en)2002-02-222007-03-22New River Pharmaceuticals Inc.Compounds and compositions for prevention of overdose of oxycodone
DE602004024963D1 (en)2003-03-132010-02-25Controlled Chemicals Inc OXYCODON CONJUGATES WITH LOWER ABUSE POTENTIAL AND EXTENDED ACTIVITY
US20100144645A1 (en)2006-04-142010-06-10Shire LlcCompositions and methods for enhancing analgesic potency of covalently bound-compounds, attenuating its adverse side effects, and preventing their abuse
US20080207668A1 (en)2006-10-062008-08-28New River Pharmaceuticals Inc.Pharmaceutical compositions of hydromorphone for prevention of overdose or abuse
US20080090771A1 (en)2006-10-062008-04-17Shire LlcAbuse-resistant hydrocodone compounds, compositions and methods of using the same
UA102916C2 (en)2009-07-022013-08-27Кемфарм, Інк.Composition based on conjugates of hydrocodone with benzoic acid, benzoic acid or heteroaryl carboxylic acid derivatives, prodrugs and method for treatment of abuses
WO2011133346A1 (en)2010-04-212011-10-27Pharmacofore, Inc.Peripheral opioid agonists and peripheral opioid antagonists
WO2018183264A1 (en)2017-03-292018-10-04Thottathil John KNovel alpha-hydroxy carboxylic acid and derivatives and other gras- based prodrugs of opioids and uses thereof

Patent Citations (15)

* Cited by examiner, † Cited by third party
Publication numberPriority datePublication dateAssigneeTitle
US4673679A (en)1986-05-141987-06-16E. I. Du Pont De Nemours And CompanyUse of prodrugs of 3-hydroxymorphinans to prevent bitter taste upon buccal, nasal or sublingual administration
WO2003032990A2 (en)*2001-10-182003-04-24Nektar Therapeutics Al, CorporationPolymer conjugates of opioid antagonists
US20050080012A1 (en)2002-02-222005-04-14New River Pharmaceuticals Inc.Sustained release pharmaceutical compounds to prevent abuse of controlled substances
US20040058946A1 (en)2002-07-052004-03-25Buchwald Stephen L.Abuse-resistant prodrugs of oxycodone and other pharmaceuticals
US20050075361A1 (en)2002-11-122005-04-07Chi Mei Foundation Medical CenterNovel ester derivatives of buprenorphine and their preparation processes, and long acting analgestic pharmaceutical compositions
US7375083B2 (en)2003-09-302008-05-20Shire LlcPharmaceutical compositions for prevention of overdose or abuse
US20110040072A1 (en)*2006-04-102011-02-17Shire LlcMono and di-substituted oxycodone compounds and compositions
US20140200235A1 (en)2007-03-122014-07-17Nektar TherapeuticsOligomer-opioid agonist conjugates
US20110053971A1 (en)2008-04-242011-03-03Janssen Pharmaceutica NvNalmefene di-ester prodrugs
US20100286186A1 (en)*2009-04-022010-11-11Shire LlcNovel dicarboxylic acid linked amino acid and peptide prodrugs of opioids and uses thereof
US8816083B2 (en)2011-10-262014-08-26Kempharm, Inc.Benzoic acid, benzoic acid derivatives and heteroaryl carboxylic acid conjugates of hydromorphone, prodrugs, methods of making and use thereof
US20160326182A1 (en)2015-04-272016-11-10Waterville Valley Technologies, Inc.Methods and compositions for preventing opioid abuse
US20170151228A1 (en)2015-04-272017-06-01John K. ThottathilNovel Alpha-Hydroxy Carboxylic Acid and Derivatives and Other GRAS-Based Prodrugs of Oxymorphone and Uses Thereof
US20170152266A1 (en)2015-04-272017-06-01John K. ThottathilNovel Alpha-Hydroxy Carboxylic Acid and Derivatives and Other GRAS Based Prodrugs of Oxycodone and Uses thereof
US20170196851A1 (en)2015-04-272017-07-13John K. ThottathilNovel Alpha-Hydroxy Carboxylic Acid And Derivatives And Other Gras- Based Prodrugs Of Opioids And Uses Thereof

Non-Patent Citations (8)

* Cited by examiner, † Cited by third party
Title
Aquina, et al., "OxyContin Abuse and Overdose", Postgrad Med. vol. 121, Issue 2, Mar. 2009, 163-67, Abstract.
Final Office Action in U.S. Appl. No. 14/953,392, dated Oct. 19, 2017, 14 pages.
Final Office Action in U.S. Appl. No. 14/956,143, dated Jul. 17, 2017, 18 pages.
Non-Final Office Action in U.S. Appl. No. 14/953,392 dated Jan. 13, 2017, 15 pages.
Non-Final Office Action in U.S. Appl. No. 14/956,143 dated Dec. 28, 2016, 12 pages.
PCT International Search Report and Written Opinion in PCT/US16/63834 dated Jan. 31, 2017, 17 pages.
PCT International Search Report and Written Opinion in PCT/US16/63836 dated Jan. 24, 2017, 17 pages.
PCT International Search Report and Written Opinion in PCT/US18/24476 dated May 17, 2018, 24 pages.

Cited By (5)

* Cited by examiner, † Cited by third party
Publication numberPriority datePublication dateAssigneeTitle
US20170196851A1 (en)*2015-04-272017-07-13John K. ThottathilNovel Alpha-Hydroxy Carboxylic Acid And Derivatives And Other Gras- Based Prodrugs Of Opioids And Uses Thereof
US10449190B2 (en)*2015-04-272019-10-22John K. ThottathilAlpha-hydroxy carboxylic acid and derivatives and other GRAS-based prodrugs of opioids and uses thereof
US10696683B2 (en)2015-04-272020-06-303St Research LlcAlpha-hydroxy carboxylic acid and derivatives and other GRAS based prodrugs of oxycodone and uses thereof
US10695342B2 (en)2015-04-272020-06-30Albany Molecular Research, Inc.Methods and compositions for preventing opioid abuse
US11020386B2 (en)2015-04-272021-06-01Albany Molecular Research, Inc.Methods and compositions for preventing opioid abuse

Also Published As

Publication numberPublication date
US20160326182A1 (en)2016-11-10
US20170151232A1 (en)2017-06-01
US20170157116A1 (en)2017-06-08
US10695342B2 (en)2020-06-30
US11020386B2 (en)2021-06-01

Similar Documents

PublicationPublication DateTitle
US10695342B2 (en)Methods and compositions for preventing opioid abuse
US8461171B2 (en)Hybrid opioid compounds and compositions
US20200383970A1 (en)Morphinan Derivatives with High Oral Bioavailability
TWI553009B (en)Peripheral opioid receptor antagonists and uses thereof
US10696683B2 (en)Alpha-hydroxy carboxylic acid and derivatives and other GRAS based prodrugs of oxycodone and uses thereof
JP2013527124A (en) Novel carbamate amino acid and peptide prodrugs of opioids and uses thereof
CA2648659A1 (en)Compositions and methods for enhancing analgesic potency of covalently bound compounds, attenuating its adverse side effects, and preventing their abuse
WO2011083304A1 (en)Prodrugs of opioids and uses thereof
US20180250288A1 (en)Novel Alpha-Hydroxy Carboxylic Acid And Derivatives And Other GRAS-Based Prodrugs Of Oxymorphone And Uses Thereof
CN102649795B (en)10-methoxyl camptothecin derivative, preparation method and application
US20110112129A2 (en)Peripheral Phenolic Opioid Antagonist
EP3883918B1 (en)Rip1 inhibitors
CN112714760A (en)Edaravone prodrug compound and medical application thereof in treating or improving neurodegenerative or motor neuron diseases
US11084836B2 (en)Compositions useful in therapy of autophagy-related pathologies, and methods of making and using the same
KR20200096588A (en) Salt of phenylpropionamide derivative and method for preparing the same
US20170217976A1 (en)6-(amino acid)-morphinan derivatives in combination with permeation enhancers for use as an orally, rectally, transdermally or nasally administered medicament
WO2016132378A2 (en)Novel process for the preparation of 1,3-thiazol-5-ylmethyl [(2r,5r)-5-{[(2s)-2- [(methyl{[2-(propan-2-yl)- 1,3-thiazol-4-yl] methyl} carbamoyl) amino] -4-(morpholin-4-yl)butanoyl]amino}-1,6-diphenylhexan-2-yl] carbamate
US20210369684A1 (en)Rapamycin analog for prevention and/or treatment of neurodegnerative conditions
EP1882692A1 (en)Dimethano-[1,3]dioxocino[6,5-D]pyrimidine-spiro derivatives of tetrodotoxin, process for their synthesis and uses thereof in the treatment of pain
JP2021066690A (en)Opioid peptide derivatives and pharmaceutical compositions containing same

Legal Events

DateCodeTitleDescription
ASAssignment

Owner name:ALBANY MOLECULAR RESEARCH, INC., NEW YORK

Free format text:ASSIGNMENT OF ASSIGNORS INTEREST;ASSIGNORS:SURMAN, MATTHEW;GOLDEN, KATHRYN;PASETTO, PAOLO;AND OTHERS;REEL/FRAME:041092/0686

Effective date:20170126

Owner name:WATERVILLE VALLEY TECHNOLOGIES, INC., RHODE ISLAND

Free format text:RESCISSION OF ASSIGNMENT;ASSIGNORS:SURMAN, MATTHEW;GOLDEN, KATHRYN;PASETTO, PAOLO;AND OTHERS;REEL/FRAME:041502/0904

Effective date:20170126

ASAssignment

Owner name:THOTTATHIL, JOHN K., ILLINOIS

Free format text:ASSIGNMENT OF ASSIGNORS INTEREST;ASSIGNOR:WATERVILLE VALLEY TECHNOLOGIES;REEL/FRAME:042630/0620

Effective date:20170519

Owner name:THOTTATHIL, JOHN K., ILLINOIS

Free format text:ASSIGNMENT OF ASSIGNORS INTEREST;ASSIGNOR:PELTIER, JAMES;REEL/FRAME:042630/0617

Effective date:20170519

ASAssignment

Owner name:3ST RESEARCH LLC, NEW JERSEY

Free format text:ASSIGNMENT OF ASSIGNORS INTEREST;ASSIGNOR:THOTTATHIL, JOHN K.;REEL/FRAME:042969/0834

Effective date:20170707

FEPPFee payment procedure

Free format text:ENTITY STATUS SET TO SMALL (ORIGINAL EVENT CODE: SMAL); ENTITY STATUS OF PATENT OWNER: SMALL ENTITY

STCFInformation on status: patent grant

Free format text:PATENTED CASE

CCCertificate of correction
MAFPMaintenance fee payment

Free format text:PAYMENT OF MAINTENANCE FEE, 4TH YR, SMALL ENTITY (ORIGINAL EVENT CODE: M2551); ENTITY STATUS OF PATENT OWNER: SMALL ENTITY

Year of fee payment:4

ASAssignment

Owner name:APOLLO ADMINISTRATIVE AGENCY, LLC, NEW YORK

Free format text:SECURITY INTEREST;ASSIGNORS:CURIA MISSOURI, INC.;CURIA GLOBAL, INC.;CURIA IP HOLDINGS, LLC;REEL/FRAME:071629/0239

Effective date:20250630

ASAssignment

Owner name:WILMINGTON TRUST, NATIONAL ASSOCIATION, AS COLLATERAL AGENT, DELAWARE

Free format text:SECOND LIEN INTELLECTUAL PROPERTY AGREEMENT SUPPLEMENT;ASSIGNORS:CURIA MISSOURI, INC.;CURIA GLOBAL, INC.;CURIA IP HOLDINGS, LLC;REEL/FRAME:072050/0001

Effective date:20250630


[8]ページ先頭

©2009-2025 Movatter.jp