

















一種微機電系統麥克風結構,尤其是指一種提供微機電系統晶粒形成閉合腔室結構的微機電系統麥克風結構。A micro-electro-mechanical system microphone structure, especially a micro-electro-mechanical system microphone structure that provides a closed-cavity structure formed by micro-electro-mechanical system crystal grains.
微機電系統晶粒是一種採用氮化鋁(Aluminum Nitride,AlN)為壓電材料的傳感器或者執行器,不斷朝小型化積體化的方向發展,在要求縮小尺寸、增加性能的同時,還必須降低成本。採用氮化鋁材料不僅有好的導熱能力,較高的介電常數,還能與互補式金屬氧化物半導體(Complementary Metal-Oxide-Semiconductor,CMOS)製程兼容;氮化鋁微機電系統晶粒不僅具有較高的電學特性、較好的機械性能和光學傳輸特性,製作製程簡單且成本較低,從而廣泛應用於工業、醫學等。目前產業化商業化應用包括薄膜體聲波諧振器、超聲波傳感器、壓電換能器等。MEMS die is a sensor or actuator that uses aluminum nitride (Aluminum Nitride, AlN) as a piezoelectric material, and is constantly developing in the direction of miniaturization and integration. lower the cost. The use of aluminum nitride material not only has good thermal conductivity, high dielectric constant, but also is compatible with complementary metal-oxide-semiconductor (Complementary Metal-Oxide-Semiconductor, CMOS) process; It has high electrical properties, good mechanical properties and optical transmission properties, simple manufacturing process and low cost, so it is widely used in industry, medicine and the like. The current industrialized commercial applications include thin-film bulk acoustic resonators, ultrasonic sensors, piezoelectric transducers, etc.
對於緊密複雜的氮化鋁微機電系統晶粒,需要保護晶粒內部的可動部件,保證晶粒的高性能指標。為了避免長時間接觸複雜的工作環境,後續的積體封裝也顯得格外重要。目前主要的積體封裝技術方案有:美國InvenSense公司提出了一種MEMS-IC單片積體式的微機電系統晶圓級真空封裝的技術方案,採用薄膜體聲波晶粒、超聲波傳感器等作為襯底,特定應用積體電路(Application Specific Integrated Circuit,ASIC)信號處理積體電路(Integrated Circuit,IC)堆疊其上並且通過其體內的矽晶穿孔(Through-Silicon Via,TSV)技術互連實現信號引出。近年來企業以及研究機構多數採用的是Post-CMOS單片積體技術,廣泛用於後續的量產化製造,在正常的積體電路製程流程結束後,通過微機電系統微機械加工進行微機電系統晶粒的製作,實現單片積體微機電系統。1960年IBM公司開發了倒裝晶片封裝技術,一般是在晶片的正面製作焊點陣列作為輸入、輸出端子並以倒扣方式焊接於封裝基板上,採用下填充有機物穩固焊接鍵合過程。For the compact and complex aluminum nitride MEMS die, it is necessary to protect the moving parts inside the die to ensure the high performance index of the die. In order to avoid prolonged exposure to complex working environments, subsequent integrated packaging is also particularly important. At present, the main integrated packaging technology solutions are: InvenSense Company of the United States proposed a MEMS-IC monolithic integrated micro-electromechanical system wafer-level vacuum packaging technical solution, using thin-film bulk acoustic wave grains, ultrasonic sensors, etc. as the substrate, Application Specific Integrated Circuit (ASIC) signal processing integrated circuit (Integrated)Circuit, IC) is stacked on it, and the signal is led out by interconnecting through the through-silicon via (TSV) technology in its body. In recent years, most enterprises and research institutions have adopted Post-CMOS monolithic integrated technology, which is widely used in subsequent mass production manufacturing. The production of system grains realizes monolithic integrated MEMS. In 1960, IBM developed flip-chip packaging technology. Generally, a solder joint array is fabricated on the front side of the wafer as input and output terminals and soldered to the package substrate in an inverted manner, and the underfill organic material is used to stabilize the soldering and bonding process.
然而,基於矽晶穿孔技術的晶圓級真空封裝技術複雜度高、對積體電路設計影響大,特定應用積體電路與微機電系統晶粒的面積需要保持一致,而積體電路技術按比例縮小的速度要遠超過微機電系統技術,要求兩者的晶粒面積保持一致會導致晶粒面積浪費以及成本提高。Post-CMOS單片積體技術雖然對CMOS製程要求低,但在高溫加工氮化鋁微機電系統晶粒時會對CMOS電路產生較大的影響。倒裝晶片技術無法將氮化鋁微機電系統晶粒形成閉合腔室結構。However, the wafer-level vacuum packaging technology based on TSV technology is highly complex and has a great impact on IC design. The area of the specific application IC and MEMS die needs to be consistent, and the IC technology is proportional The rate of shrinkage is much faster than that of MEMS technology, requiring the die area to be consistent between the two, resulting in wasted die area and increased cost. Although the Post-CMOS monolithic integrated technology has low requirements on the CMOS process, it will have a greater impact on the CMOS circuit when processing the aluminum nitride MEMS die at high temperature. Flip-chip technology cannot form aluminum nitride MEMS dice into closed-cell structures.
綜上所述,可知先前技術中長期以來一直存在倒裝晶片技術無法將微機電系統晶粒形成閉合腔室結構的問題,因此有必要提出改進的技術手段,來解決此一問題。To sum up, it can be seen that in the prior art, there has been a problem that the flip-chip technology cannot form the MEMS die into a closed cavity structure for a long time. Therefore, it is necessary to propose an improved technical means to solve this problem.
有鑒於先前技術存在倒裝晶片技術無法將微機電系統晶粒形成閉合腔室結構的問題,本創作遂揭露一種分隔式微機電系統麥克風結構,其中:In view of the problem that the flip-chip technology cannot form the MEMS die into a closed cavity structure in the prior art, the present invention discloses a separated MEMS microphone structure, wherein:
本創作所揭露第一實施態樣的隔離式微機電系統麥克風結構,其包含:基板、隔離層、特定應用積體電路(Application Specific Integrated Circuit,ASIC)晶粒、微機電系統(Micro Electro Mechanical Systems,MEMS)晶粒以及外蓋,基板更包含:底板、第一側板、第二側板以及蓋板。The isolated MEMS microphone structure of the first embodiment disclosed in the present invention includes: a substrate, an isolation layer, an Application Specific Integrated Circuit (ASIC) die, a Micro Electro Mechanical Systems (Micro Electro Mechanical Systems, MEMS) die and outer cover, the substrate further includes: a bottom plate, a first side plate, a second side plate and a cover plate.
底板內嵌有電源線路以及接地線路,且電源線路以及接地線路外露於底板底面為電源外接點以及接地外接點;第一側板堆疊於底板上的一端,第一側板內嵌有電源線路與接地線路;第二側板堆疊於底板上的另一端,第二側板內嵌有電源線路與接地線路;及蓋板堆疊於第一側板以及第二側板上,底板、第一側板、第二側板以及蓋板之間形成內部空間,蓋板介於第一側板以及第二側板之間開設有第一通孔以及第二通孔,內部空間藉由第一通孔以及第二通孔與外部空間互通,蓋板分別內嵌有電源線路以及接地線路,電源線路以及接地線路外露於蓋板頂面為電源接點以及接地接點。A power supply circuit and a grounding circuit are embedded in the bottom plate, and the power supply circuit and the grounding circuit are exposed on the bottom surface of the bottom plate as the power external connection point and the grounding external connection point; the first side plate is stacked on one end of the bottom plate, and the power supply circuit and the grounding circuit are embedded in the first side plate The second side plate is stacked on the other end of the bottom plate, the second side plate is embedded with a power circuit and a ground circuit; and the cover plate is stacked on the first side plate and the second side plate, the bottom plate, the first side plate, the second side plate and the cover plate An inner space is formed therebetween, the cover plate is provided with a first through hole and a second through hole between the first side plate and the second side plate, the inner space communicates with the outer space through the first through hole and the second through hole, and the cover The board is respectively embedded with a power supply line and a grounding line, and the power supply line and the grounding line are exposed on the top surface of the cover plate as a power supply contact and a grounding contact.
隔離層在第一通孔以及第二通孔之間於基板上堆疊形成,將隔離層一側的空間定義為第一隔離空間以及將隔離層另一側的空間定義為第二隔離空間;特定應用積體電路晶粒透過點膠方式設置於蓋板上且位於第一隔離空間,特定應用積體電路晶粒透過打線技術分別電性連接於電源接點以及接地接點;微機電系統晶粒透過點膠方式設置於第二通孔處,微機電系統晶粒透過打線技術電性連接於電源接點以及接地接點;及外蓋覆蓋於蓋板以及隔離層上,外蓋與接地接點形成電性連接,外蓋相對於微機電系統晶粒處開設有開孔,由基板、隔離層、外蓋以及微機電系統晶粒包圍封閉的空間形成閉合腔室,由基板、隔離層、外蓋以及微機電系統晶粒包圍開放的空間形成開放腔室。The isolation layer is formed by stacking on the substrate between the first through hole and the second through hole, and the space on one side of the isolation layer is defined as the first isolation space and the space on the other side of the isolation layer is defined as the second isolation space; specific The application integrated circuit die is disposed on the cover plate through glue dispensing and is located in the first isolation space, and the specific application integrated circuit die is electrically connected to the power supply contact and the ground contact through wire bonding technology; MEMS die The MEMS die is electrically connected to the power contact and the ground contact by means of glue dispensing; and the outer cover is covered on the cover plate and the isolation layer, and the outer cover and the ground contact To form an electrical connection, the outer cover is provided with an opening relative to the MEMS die, and a closed space is formed by the substrate, the isolation layer, the outer cover and the MEMS die to form a closed chamber, which is composed of the substrate, the isolation layer, the outer The lid and the MEMS die surround the open space to form an open cavity.
本創作所揭露第二實施態樣的隔離式微機電系統麥克風結構,其包含:基板、隔離層、特定應用積體電路晶粒、微機電系統晶粒以及外蓋,基板更包含:底板、第一側板、第二側板以及蓋板。The isolated MEMS microphone structure of the second embodiment disclosed in the present invention includes a substrate, an isolation layer, an application-specific integrated circuit die, a MEMS die, and an outer cover. The substrate further includes: a bottom plate, a first A side panel, a second side panel and a cover panel.
底板內嵌有電源線路以及接地線路,且電源線路以及接地線路外露於底板底面為電源外接點以及接地外接點;第一側板堆疊於底板上的一端,第一側板內嵌有電源線路與接地線路;第二側板堆疊於底板上的另一端,第二側板內嵌有電源線路與接地線路;及蓋板堆疊於第一側板以及第二側板上,底板、第一側板、第二側板以及蓋板之間形成內部空間,蓋板介於第一側板以及第二側板之間開設有第一通孔以及第二通孔,內部空間藉由第一通孔以及第二通孔與外部空間互通,蓋板分別內嵌有電源線路以及接地線路,電源線路以及接地線路外露於蓋板頂面為電源接點以及接地接點。A power supply circuit and a grounding circuit are embedded in the bottom plate, and the power supply circuit and the grounding circuit are exposed on the bottom surface of the bottom plate as the power external connection point and the grounding external connection point; the first side plate is stacked on one end of the bottom plate, and the power supply circuit and the grounding circuit are embedded in the first side plate The second side plate is stacked on the other end of the bottom plate, the second side plate is embedded with a power circuit and a ground circuit; and the cover plate is stacked on the first side plate and the second side plate, the bottom plate, the first side plate, the second side plate and the cover plate An inner space is formed therebetween, the cover plate is provided with a first through hole and a second through hole between the first side plate and the second side plate, the inner space communicates with the outer space through the first through hole and the second through hole, and the cover The board is respectively embedded with a power supply line and a grounding line, and the power supply line and the grounding line are exposed on the top surface of the cover plate as a power supply contact and a grounding contact.
特定應用積體電路晶粒透過點膠方式設置於蓋板上,特定應用積體電路晶粒透過打線技術分別電性連接於電源接點以及接地接點;微機電系統晶粒透過點膠方式設置於第二通孔處,微機電系統晶粒透過打線技術電性連接於電源接點以及接地接點;隔離層堆疊且貼合於微機電系統晶粒上,隔離層呈現中空環狀;及外蓋覆蓋於蓋板以及隔離層上,外蓋與隔離層彼此相互貼合,外蓋與接地接點形成電性連接,外蓋相對於隔離層處開設有開孔,由基板、隔離層、外蓋以及微機電系統晶粒包圍封閉的空間形成閉合腔室,隔離層中空環狀與開孔形成開放腔室。The specific application integrated circuit die is placed on the cover plate by means of dispensing, and the specific application integrated circuit die is electrically connected to the power contact and the ground contact respectively through wire bonding; the MEMS die is set by dispensing At the second through hole, the MEMS die is electrically connected to the power contact and the ground contact through a wire bonding technique; the isolation layer is stacked and attached to the MEMS die, and the isolation layer presents a hollow ring; and the outer The cover is covered on the cover plate and the isolation layer, the outer cover and the isolation layer are attached to each other, the outer cover and the ground contact are electrically connected, the outer cover is provided with an opening relative to the isolation layer, and the substrate, the isolation layer, the outer The cover and the MEMS die surround the closed space to form a closed cavity, and the hollow ring and the opening of the isolation layer form an open cavity.
本創作所揭露第三實施態樣的隔離式微機電系統麥克風結構,其包含:基板、特定應用積體電路晶粒、微機電系統晶粒、隔離層以及外蓋。The isolated MEMS microphone structure of the third embodiment disclosed in the present invention includes a substrate, an application-specific integrated circuit die, a MEMS die, an isolation layer, and an outer cover.
基板設置有導通槽,基板內嵌有電源線路以及接地線路,且電源線路以及接地線路外露於基板底面為電源外接點以及接地外接點,電源線路以及接地線路外露於基板頂面為電源接點以及接地接點;特定應用積體電路晶粒透過點膠方式設置於基板上,特定應用積體電路晶粒透過打線技術分別電性連接於電源接點以及接地接點;微機電系統晶粒透過點膠方式設置於導通槽處,微機電系統晶粒透過打線技術電性連接於電源接點以及接地接點;隔離層堆疊且貼合於微機電系統晶粒上,隔離層呈現中空環狀;及外蓋覆蓋於基板以及隔離層上,外蓋與隔離層彼此相互貼合,外蓋與接地接點形成電性連接,外蓋相對於隔離層處開設有開孔,由基板、隔離層、外蓋以及微機電系統晶粒包圍封閉的空間形成閉合腔室,隔離層中空環狀與開孔形成開放腔室。The substrate is provided with a conduction groove, the substrate is embedded with a power supply circuit and a grounding circuit, and the power supply circuit and the grounding circuit are exposed on the bottom surface of the substrate as a power supply external connection point and a grounding external connection point, and the power supply circuit and the grounding circuit exposed on the top surface of the substrate are power supply contact points and Ground contact; the specific application integrated circuit die is placed on the substrate by dispensing, and the specific application integrated circuit die is electrically connected to the power contact and the ground contact respectively through wire bonding; MEMS die through point The glue is arranged at the conductive groove, and the MEMS die is electrically connected to the power contact and the ground contact through a wire bonding technique; the isolation layer is stacked and attached to the MEMS die, and the isolation layer presents a hollow ring; and The outer cover covers the substrate and the isolation layer, the outer cover and the isolation layer are attached to each other, the outer cover and the ground contact are electrically connected, and the outer cover is provided with an opening relative to the isolation layer, and the substrate, the isolation layer, and the outer cover are formed. The cover and the MEMS die surround the closed space to form a closed cavity, and the hollow ring and the opening of the isolation layer form an open cavity.
本創作所揭露的結構如上,與先前技術之間的差異在於透過接合、開孔、壓膜、蝕銅、防焊以及成型的製程組合以製成基板,隔離層設置於基板上,特定應用積體電路晶粒透過點膠方式設置於基板上,微機電系統晶粒透過點膠方式設置於基板的第二通孔處,由基板、隔離層、外蓋以及微機電系統晶粒包圍封閉的空間形成閉合腔室。The structure disclosed in this creation is as above, and the difference between it and the prior art lies in that the substrate is formed by a combination of processes of bonding, opening, lamination, copper etching, solder masking and forming. The isolation layer is arranged on the substrate. The bulk circuit die is arranged on the substrate by means of dispensing, and the MEMS die is arranged at the second through hole of the substrate by means of dispensing, and the enclosed space is surrounded by the substrate, the isolation layer, the outer cover and the MEMS die. Form a closed chamber.
透過上述的技術手段,本創作可以達成提供微機電系統晶粒形成閉合腔室結構的技術功效。Through the above-mentioned technical means, the present invention can achieve the technical effect of providing the MEMS die to form a closed cavity structure.
10:基板10: Substrate
101:內部空間101: Interior Space
102:電源外接點102: Power external point
103:接地外接點103: Ground external point
104:電源接點104: Power contacts
105:接地接點105: Ground Contact
11:底板11: Bottom plate
111:電源外接點111: Power external point
112:接地外接點112: Ground external point
12:第一側板12: The first side panel
13:第二側板13: Second side panel
14:蓋板14: Cover
141:電源接點141: Power contact
142:接地接點142: ground contact
143:第一通孔143: first through hole
144:第二通孔144: second through hole
15:導通槽15: Conduction slot
20:隔離層20: isolation layer
201:第一隔離空間201: First Isolation Space
202:第二隔離空間202: Second Isolation Space
30:特定應用積體電路晶粒30: Application specific integrated circuit die
40:微機電系統晶粒40: MEMS die
50:外蓋50: Outer cover
51:開孔51: Opening
61:閉合腔室61: Close the chamber
62:開放腔室62: Open Chamber
步驟701:透過接合、開孔、壓膜、蝕銅、防焊以及成型的製程組合以製成基板,基板由底板、第一側板、第二側板以及蓋板堆疊而成Step 701: A substrate is formed by combining the processes of bonding, hole opening, lamination, copper etching, solder masking and forming. The substrate is formed by stacking a bottom plate, a first side plate, a second side plate and a cover plate
步驟702:第一側板堆疊於底板上的一端,第二側板堆疊於底板上的另一端Step 702: the first side plate is stacked on one end of the bottom plate, and the second side plate is stacked on the other end of the bottom plate
步驟703:蓋板堆疊於第一側板以及第二側板上,底板、第一側板、第二側板以及蓋板之間形成內部空間,蓋板介於第一側板以及第二側板之間開設有第一通孔以及第二通孔,內部空間藉由第一通孔以及第二通孔與外部空間互通Step 703: The cover plate is stacked on the first side plate and the second side plate, an internal space is formed between the bottom plate, the first side plate, the second side plate and the cover plate, and the cover plate is interposed between the first side plate and the second side plate. A through hole and a second through hole, the inner space communicates with the outer space through the first through hole and the second through hole
步驟704:底板內嵌有電源線路以及接地線路,且電源線路以及接地線路外露於底板底面為電源外接點以及接地外接點Step 704 : a power supply circuit and a grounding circuit are embedded in the bottom plate, and the power supply circuit and the grounding circuit are exposed on the bottom surface of the bottom plate as the power external connection point and the ground external connection point
步驟705:第一側板內嵌有電源線路與接地線路,以及第二側板內嵌有電源線路與接地線路Step 705 : the first side plate is embedded with power lines and ground lines, and the second side plate is embedded with power lines and ground lines
步驟706:蓋板分別內嵌有電源線路以及接地線路,電源線路外露於蓋板頂面為電源接點以及接地線路外露於蓋板頂面為接地接點Step 706: The cover plate is respectively embedded with a power supply circuit and a grounding circuit, the power supply circuit exposed on the top surface of the cover plate is a power supply contact, and the grounding circuit exposed on the top surface of the cover plate is a grounding contact
步驟707:在第一通孔以及第二通孔之間於基板上堆疊形成隔離層,將隔離層一側的空間定義為第一隔離空間以及將隔離層另一側的空間定義為第二隔離空間Step 707: Stacking and forming an isolation layer on the substrate between the first through hole and the second through hole, defining the space on one side of the isolation layer as the first isolation space and defining the space on the other side of the isolation layer as the second isolation space
步驟708:特定應用積體電路晶粒透過點膠方式設置於蓋板上且位於第一隔離空間,特定應用積體電路晶粒透過打線技術分別電性連接於電源接點以及接地接點Step 708 : the application-specific integrated circuit die is disposed on the cover plate through glue dispensing and is located in the first isolation space, and the application-specific integrated circuit die is electrically connected to the power contact and the ground contact respectively through wire bonding technology
步驟709:微機電系統晶粒透過點膠方式設置於第二通孔處,微機電系統晶粒透過打線技術電性連接於電源接點以及接地接點Step 709 : the MEMS die is disposed at the second through hole by dispensing, and the MEMS die is electrically connected to the power contact and the ground contact by wire bonding
步驟710:外蓋覆蓋於蓋板以及隔離層上,外蓋與接地接點形成電性連接,外蓋相對於微機電系統晶粒處開設有開孔Step 710 : the outer cover is covered on the cover plate and the isolation layer, the outer cover is electrically connected to the ground contact, and the outer cover is provided with openings relative to the MEMS die
步驟711:由基板、隔離層、外蓋以及微機電系統晶粒包圍封閉的空間形成閉合腔室,由基板、隔離層、外蓋以及微機電系統晶粒包圍開放的空間形成開放腔室Step 711: A closed chamber is formed by the substrate, the isolation layer, the outer cover and the MEMS die surrounded by the closed space, and the open space is formed by the substrate, the isolation layer, the outer cover and the MEMS die to form an open chamber
步驟801:透過接合、開孔、壓膜、蝕銅、防焊以及成型的製程組合以製成基板,基板由底板、第一側板、第二側板以及蓋板堆疊而成Step 801: A substrate is formed by combining the processes of bonding, opening, laminating, copper etching, solder masking and forming. The substrate is formed by stacking a bottom plate, a first side plate, a second side plate and a cover plate
步驟802:第一側板堆疊於底板上的一端,第二側板堆疊於底板上的另一端Step 802: the first side plate is stacked on one end of the bottom plate, and the second side plate is stacked on the other end of the bottom plate
步驟803:蓋板堆疊於第一側板以及第二側板上,底板、第一側板、第二側板以及蓋板之間形成內部空間,蓋板介於第一側板以及第二側板之間開設有第一通孔以及第二通孔,內部空間藉由第一通孔以及第二通孔與外部空間互通Step 803: The cover plate is stacked on the first side plate and the second side plate, an inner space is formed between the bottom plate, the first side plate, the second side plate and the cover plate, and the cover plate is interposed between the first side plate and the second side plate. A through hole and a second through hole, the inner space communicates with the outer space through the first through hole and the second through hole
步驟804:底板內嵌有電源線路以及接地線路,且電源線路以及接地線路外露於底板底面為電源外接點以及接地外接點Step 804: The bottom plate is embedded with a power supply circuit and a grounding circuit, and the power supply circuit and the grounding circuit are exposed on the bottom surface of the bottom plate as a power supply external connection point and a grounding external connection point
步驟805:第一側板內嵌有電源線路與接地線路,以及第二側板內嵌有電源線路與接地線路Step 805: The first side plate is embedded with power lines and ground lines, and the second side plate is embedded with power lines and ground lines
步驟806:蓋板分別內嵌有電源線路以及接地線路,電源線路外露於蓋板頂面為電源接點以及接地線路外露於蓋板頂面為接地接點Step 806: The cover plate is respectively embedded with a power supply circuit and a grounding circuit, the power supply circuit exposed on the top surface of the cover plate is a power supply contact, and the grounding circuit exposed on the top surface of the cover plate is a grounding contact
步驟807:特定應用積體電路晶粒透過點膠方式設置於蓋板上,特定應用積體電路晶粒透過打線技術分別電性連接於電源接點以及接地接點Step 807 : the application-specific integrated circuit die is disposed on the cover plate by means of glue dispensing, and the application-specific integrated circuit die is electrically connected to the power supply contact and the ground contact respectively through wire bonding technology
步驟808:微機電系統晶粒透過點膠方式設置於第二通孔處,微機電系統晶粒透過打線技術電性連接於電源接點以及接地接點Step 808 : the MEMS die is disposed at the second through hole by dispensing, and the MEMS die is electrically connected to the power contact and the ground contact by wire bonding
步驟809:隔離層堆疊且貼合於微機電系統晶粒上,隔離層呈現中空環狀Step 809: The isolation layer is stacked and attached to the MEMS die, and the isolation layer presents a hollow ring shape
步驟810:外蓋覆蓋於蓋板以及隔離層上,外蓋與隔離層彼此相互貼合,外蓋與接地接點形成電性連接,外蓋相對於隔離層處開設有開孔Step 810: the outer cover is covered on the cover plate and the isolation layer, the outer cover and the isolation layer are attached to each other, the outer cover and the ground contact are electrically connected, and the outer cover is provided with an opening relative to the isolation layer
步驟811:由基板、隔離層、外蓋以及微機電系統晶粒包圍封閉的空間形成閉合腔室,隔離層中空環狀與開孔形成開放腔室Step 811: A closed space is formed by the substrate, the isolation layer, the outer cover and the MEMS die to form a closed chamber, and the isolation layer is hollow and annular and has holes to form an open chamber
步驟901:透過接合、開孔、壓膜、蝕銅、防焊以及成型的製程組合以製成設置有導通槽的基板,基板內嵌有電源線路以及接地線路,且電源線路以及接地線路外露於基板底面為電源外接點以及接地外接點,電源線路以及接地線路外露於基板頂面為電源接點以及接地接點Step 901: A substrate with conductive grooves is formed by combining the processes of bonding, drilling, lamination, copper etching, solder masking, and molding. The substrate is embedded with power lines and ground lines, and the power lines and ground lines are exposed. The bottom surface of the base plate is the power supply connection point and the ground connection point.
步驟902:特定應用積體電路晶粒透過點膠方式設置於基板上,特定應用積體電路晶粒透過打線技術分別電性連接於電源接點以及接地接點Step 902 : the application-specific integrated circuit die is disposed on the substrate through glue dispensing, and the application-specific integrated circuit die is electrically connected to the power supply contact and the ground contact respectively through wire bonding technology
步驟903:微機電系統晶粒透過點膠方式設置於導通槽處,微機電系統晶粒透過打線技術電性連接於電源接點以及接地接點Step 903 : the MEMS die is disposed at the conductive groove by means of glue dispensing, and the MEMS die is electrically connected to the power contact and the ground contact by wire bonding technology
步驟904:隔離層堆疊且貼合於微機電系統晶粒上,隔離層呈現中空環狀Step 904: The isolation layer is stacked and attached to the MEMS die, and the isolation layer presents a hollow ring shape
步驟905:外蓋覆蓋於基板以及隔離層上,外蓋與隔離層彼此相互貼合,外蓋與接地接點形成電性連接,外蓋相對於隔離層處開設有開孔Step 905: the outer cover is covered on the substrate and the isolation layer, the outer cover and the isolation layer are attached to each other, the outer cover and the ground contact are electrically connected, and the outer cover is provided with an opening relative to the isolation layer
步驟906:由基板、隔離層、外蓋以及微機電系統晶粒包圍封閉的空間形成閉合腔室,隔離層中空環狀與開孔形成開放腔室Step 906: The closed space is surrounded by the substrate, the isolation layer, the outer cover and the MEMS die to form a closed chamber, and the isolation layer has a hollow ring and openings to form an open chamber
第1圖繪示為本創作分隔式微機電系統麥克風結構的第一實施態樣剖視圖。FIG. 1 is a cross-sectional view of the first embodiment of the structure of the separated MEMS microphone according to the present invention.
第2圖繪示為本創作分隔式微機電系統麥克風結構的第二實施態樣剖視圖。FIG. 2 is a cross-sectional view of a second embodiment of the split MEMS microphone structure of the present invention.
第3圖繪示為本創作分隔式微機電系統麥克風結構的第三實施態樣剖視圖。FIG. 3 is a cross-sectional view of a third embodiment of the structure of the discrete MEMS microphone of the present invention.
第4A圖至第4I圖繪示為本創作分隔式微機電系統麥克風結構的導通槽平面示意圖。FIG. 4A to FIG. 4I are schematic plan views of the conduction grooves of the separated MEMS microphone structure of the present invention.
第5圖」繪示為本創作分隔式微機電系統麥克風結構的共振圖。Figure 5" shows the resonance diagram of the split MEMS microphone structure for this creation.
第6A圖以及第6B圖繪示為本創作微機電系統麥克風結構的製造方法的第一實施態樣方法流程圖。FIG. 6A and FIG. 6B are flow charts of the method of the first embodiment of the method for manufacturing the MEMS microphone structure according to the present invention.
第7A圖以及第7B圖繪示為本創作微機電系統麥克風結構的製造方法的第二實施態樣方法流程圖。FIG. 7A and FIG. 7B are flowcharts of a method of a second embodiment of the method for manufacturing the MEMS microphone structure of the present invention.
第8繪示為本創作微機電系統麥克風結構的製造方法的第三實施態樣方法流程圖。FIG. 8 is a flow chart of the method of the third embodiment of the manufacturing method of the MEMS microphone structure of the present invention.
以下將配合圖式及實施例來詳細說明本創作的實施方式,藉此對本創作如何應用技術手段來解決技術問題並達成技術功效的實現過程能充分理解並據以實施。The following will describe the implementation of the present creation in detail with the drawings and examples, so as to fully understand and implement the implementation process of how the present creation applies technical means to solve technical problems and achieve technical effects.
以下首先要說明本創作所揭露第一實施態樣的分隔式微機電系統麥克風結構,並請參考「第1圖」所示,「第1圖」繪示為本創作分隔式微機電系統麥克風結構的第一實施態樣剖視圖。The following first describes the structure of the split-type MEMS microphone according to the first embodiment disclosed in the present invention, and please refer to "Fig. 1". A cross-sectional view of an embodiment.
本創作所揭露第一實施態樣的分隔式微機電系統麥克風結構,其包含:基板10、隔離層20、特定應用積體電路晶粒(Application Specific Integrated Circuit,ASIC)30、微機電系統(Micro Electro Mechanical Systems,MEMS)晶粒40以及外蓋50,基板10更包含:底板11、第一側板12、第二側板13以及蓋板14。The split MEMS microphone structure of the first embodiment disclosed in the present invention includes: a
基板10是透過將底板11、第一側板12、第二側板13以及蓋板14以接合(包含有分子接合、陽極接合、金屬接合、玻璃漿料接合、黏合劑接合…等)、開孔(包含有陶瓷微開孔、微雷射開孔、超音波開孔…等)、壓膜(包含有原子層沉積、化學汽像沉積…等)、蝕銅(包含有等向性化學蝕刻、非等向性化學蝕刻、光學蝕刻…等)、防焊以及成型的製程組合以使底板11、第一側板12、第二側板13以及蓋板14內嵌有電源線路以及接地線路,電源線路以及接地線路外露於底板11底面為電源外接點111以及接地外接點112,電源線路以及接地線路外露於蓋板14頂面為電源接點141以及接地接點142,上述的製程僅為舉例說明之,並不以此侷限本創作的應用範疇。The
具體而言,底板11可以透過壓模、光化學反應、蝕刻以於底板11中形成有電路空間,於電路空間中沉積有電源線路以及/或是接地線路,底板11上再於一端接合第一側板12並於另一端接合第二側板13後,再透過壓模、光化學反應、蝕刻以於第一側板12以及第二側板13中形成有接續的電路空間,於接續的電路空間中沉積有電源線路以及/或是接地線路,且與底板11的電路空間中沉積有電源線路以及/或是接地線路彼此形成電性連接,蓋板14分別接合於第一側板12以及第二側板13,再透過壓模、光化學反應、蝕刻以於蓋板中形成有接續的電路空間,於接續的電路空間中沉積有電源線路以及/或是接地線路,且與第一側板12以及第二側板13的接續的電路空間中沉積有電源線路以及/或是接地線路彼此形成電性連接,即可於底板11、第一側板12、第二側板13以及蓋板14內嵌有電源線路以及接地線路以製成基板10,在此僅為舉例說明之,並不以此侷限本創作的應用範疇。Specifically, the
值得注意的是,第一側板12以及第二側板13可以是分開的兩個不同的側板,第一側板12以及第二側板13也可以是整體的一個側板,在側板中透過蝕刻、開孔…等方式以形成通槽,而使剖面呈現為第一側板12以及第二側板13,在此僅為舉例說明之,並不以此侷限本創作的應用範疇。It is worth noting that the
底板11、第一側板12、第二側板13以及蓋板14之間形成內部空間101,蓋板14介於第一側板12以及第二側板13之間開設有第一通孔143以及第二通孔144(即透過開孔方式),內部空間101藉由第一通孔143以及第二通孔144與外部空間互通。An
隔離層20在第一通孔143以及第二通孔144於基板10(即蓋板14)上堆疊形成,將隔離層20一側的空間定義為第一隔離空間201以及將隔離層20另一側的空間定義為第二隔離空間202,隔離層20可以是透過沉積方式製成或是透過點膠方式將隔離層20設置於蓋板14(即基板10)上,在此僅為舉例說明之,並不以此侷限本創作的應用範疇。The
特定應用積體電路晶粒30透過點膠方式設置於蓋板14(即基板10)上且位於第一隔離空間201,特定應用積體電路晶粒30透過打線技術分別電性連接於電源接點141以及接地接點142,微機電系統晶粒40透過點膠方式設置於第二通孔144處,微機電系統晶粒40透過打線技術電性連接於電源接點141以及接地接點142。The application-specific integrated circuit die 30 is disposed on the cover plate 14 (ie, the substrate 10 ) and located in the
外蓋50覆蓋於蓋板14(即基板10)以及隔離層20上,外蓋50與接地接點142形成電性連接,外蓋50相對於微機電系統晶粒40處開設有開孔51,一般來說,外蓋50上所開設的開孔51與微機電系統晶粒40的位置相對應,但本創作並不以此為限制。The
由基板10、隔離層20、外蓋50以及微機電系統晶粒40包圍封閉的空間形成閉合腔室61,由基板10、隔離層20、外蓋50以及微機電系統晶粒40包圍開放的空間形成開放腔室62。A
接著要說明本創作所揭露第二實施態樣的分隔式微機電系統麥克風結構,並請參考「第2圖」所示,「第2圖」繪示為本創作分隔式微機電系統麥克風結構的第二實施態樣剖視圖。Next, the structure of the split MEMS microphone according to the second embodiment disclosed in the present invention will be described, and please refer to "Fig. 2". "Fig. 2" shows the second structure of the split MEMS microphone of the present invention. Cross-sectional view of the implementation.
本創作所揭露第二實施態樣的分隔式微機電系統麥克風結構,其包含:基板10、隔離層20、特定應用積體電路晶粒30、微機電系統晶粒40以及外蓋50,基板10更包含:底板11、第一側板12、第二側板13以及蓋板14。The split MEMS microphone structure of the second embodiment disclosed in the present invention includes a
基板10是透過將底板11、第一側板12、第二側板13以及蓋板14以接合(包含有分子接合、陽極接合、金屬接合、玻璃漿料接合、黏合劑接合…等)、開孔(包含有陶瓷微開孔、微雷射開孔、超音波開孔…等)、壓膜(包含有原子層沉積、化學汽像沉積…等)、蝕銅(包含有等向性化學蝕刻、非等向性化學蝕刻、光學蝕刻…等)、防焊以及成型的製程組合以使底板11、第一側板12、第二側板13以及蓋板14內嵌有電源線路以及接地線路,電源線路以及接地線路外露於底板11底面為電源外接點111以及接地外接點112,電源線路以及接地線路外露於蓋板14頂面為電源接點141以及接地接點142,上述的製程僅為舉例說明之,並不以此侷限本創作的應用範疇。The
值得注意的是,第一側板12以及第二側板13可以是分開的兩個不同的側板,第一側板12以及第二側板13也可以是整體的一個側板,在側板中透過蝕刻、開孔…等方式以形成通槽,而使剖面呈現為第一側板12以及第二側板13,在此僅為舉例說明之,並不以此侷限本創作的應用範疇。It is worth noting that the
具體而言,底板11可以透過壓模、光化學反應、蝕刻以於底板11中形成有電路空間,於電路空間中沉積有電源線路以及/或是接地線路,底板11上再於一端接合第一側板12並於另一端接合第二側板13後,再透過壓模、光化學反應、蝕刻以於第一側板12以及第二側板13中形成有接續的電路空間,於接續的電路空間中沉積有電源線路以及/或是接地線路,且與底板11的電路空間中沉積有電源線路以及/或是接地線路彼此形成電性連接,蓋板14分別接合於第一側板12以及第二側板13,再透過壓模、光化學反應、蝕刻以於蓋板中形成有接續的電路空間,於接續的電路空間中沉積有電源線路以及/或是接地線路,且與第一側板12以及第二側板13的接續的電路空間中沉積有電源線路以及/或是接地線路彼此形成電性連接,即可於底板11、第一側板12、第二側板13以及蓋板14內嵌有電源線路以及接地線路以製成基板10,在此僅為舉例說明之,並不以此侷限本創作的應用範疇。Specifically, the
底板11、第一側板12、第二側板13以及蓋板14之間形成內部空間101,蓋板14介於第一側板12以及第二側板13之間開設有第一通孔143以及第二通孔144(即透過開孔方式),內部空間101藉由第一通孔143以及第二通孔144與外部空間互通。An
特定應用積體電路晶粒30透過點膠方式設置於蓋板14(即基板10)上,特定應用積體電路晶粒30透過打線技術分別電性連接於電源接點141以及接地接點142,微機電系統晶粒40透過點膠方式設置於第二通孔144處,微機電系統晶粒40透過打線技術電性連接於電源接點141以及接地接點142。The application-specific integrated circuit die 30 is disposed on the cover plate 14 (ie, the substrate 10 ) by means of dispensing, and the application-specific integrated circuit die 30 is electrically connected to the
隔離層20可以是透過沉積方式與蝕刻方式製成或是透過點膠方式將隔離層20堆疊且貼合於微機電系統晶粒40上,隔離層20是呈現中空環狀,外蓋50覆蓋於蓋板14(即基板10)以及隔離層20上,外蓋50與隔離層20彼此相互貼合,外蓋50與接地接點142形成電性連接,外蓋50相對於微機電系統晶粒40處開設有開孔51,一般來說,外蓋50上所開設的開孔51與微機電系統晶粒40的位置相對應,但本創作並不以此為限制。The
由基板10、隔離層20、外蓋50以及微機電系統晶粒40包圍封閉的空間形成閉合腔室61,隔離層20中空環狀與開孔51形成開放腔室62。A
接著要說明本創作所揭露第三實施態樣的分隔式微機電系統麥克風結構,並請參考「第3圖」所示,「第3圖」繪示為本創作分隔式微機電系統麥克風結構的第三實施態樣剖視圖。Next, the structure of the separated MEMS microphone according to the third embodiment disclosed in the present invention will be described, and please refer to "Fig. 3", which shows the third embodiment of the separated MEMS microphone structure of the present invention. Cross-sectional view of the implementation.
本創作所揭露第三實施態樣的分隔式微機電系統麥克風結構,其包含:基板10、特定應用積體電路晶粒30、微機電系統晶粒40、隔離層20以及外蓋50。The separated MEMS microphone structure of the third embodiment disclosed in the present invention includes a
基板10上可以使用微雷射方式、超音波方式、蝕刻方式…等製成導通槽15,在此僅為舉例說明之,並不以此侷限本創作的應用範疇,基板10是透過將多個子基板以接合(包含有分子接合、陽極接合、金屬接合、玻璃漿料接合、黏合劑接合…等)、開孔(包含有陶瓷微開孔、微雷射開孔、超音波開孔…等)、壓膜(包含有原子層沉積、化學汽像沉積…等)、蝕銅(包含有等向性化學蝕刻、非等向性化學蝕刻、光學蝕刻…等)、防焊以及成型的製程組合以使基板10內嵌有電源線路以及接地線路,電源線路以及接地線路外露於基板10底面為電源外接點102以及接地外接點103,電源線路以及接地線路外露於基板10頂面為電源接點104以及接地接點105,上述的製程僅為舉例說明之,並不以此侷限本創作的應用範疇。The
具體而言,子基板可以透過壓模、光化學反應、蝕刻以於子基板中形成有電路空間,於電路空間中沉積有電源線路以及/或是接地線路,子基板上再接合另外的子基板後,再透過壓模、光化學反應、蝕刻以於子基板中形成有接續的電路空間,於接續的電路空間中沉積有電源線路以及/或是接地線路,且與電路空間中沉積有電源線路以及/或是接地線路彼此形成電性連接,依此類推,即可於基板10內嵌有電源線路以及接地線路,在此僅為舉例說明之,並不以此侷限本創作的應用範疇。Specifically, the sub-substrate can be formed with a circuit space in the sub-substrate through stamping, photochemical reaction, and etching, and a power circuit and/or a grounding circuit are deposited in the circuit space, and another sub-substrate is bonded to the sub-substrate. After that, a continuous circuit space is formed in the sub-substrate through stamping, photochemical reaction, and etching, and a power circuit and/or a ground circuit is deposited in the continuous circuit space, and a power circuit is deposited in the circuit space. And/or the ground lines are electrically connected to each other, and so on, the power supply lines and the ground lines are embedded in the
特定應用積體電路晶粒30透過點膠方式設置於基板10上,特定應用積體電路晶粒30透過打線技術分別電性連接於電源接點104以及接地接點105,微機電系統晶粒40透過點膠方式設置於導通槽15處,微機電系統晶粒40透過打線技術電性連接於電源接點104以及接地接點105。The application-specific integrated circuit die 30 is disposed on the
隔離層20可以是透過沉積方式與蝕刻方式製成或是透過點膠方式將隔離層20堆疊且貼合於微機電系統晶粒40上,隔離層20是呈現中空環狀,外蓋50覆蓋於基板10以及隔離層20上,外蓋50與隔離層20彼此相互貼合,外蓋50與接地接點142形成電性連接,外蓋50相對於微機電系統晶粒40處開設有開孔51,一般來說,外蓋50上所開設的開孔51與微機電系統晶粒40的位置相對應,但本創作並不以此為限制。The
由基板10、隔離層20、外蓋50以及微機電系統晶粒40包圍封閉的空間形成閉合腔室61,隔離層20中空環狀與開孔51形成開放腔室62。A
請參考「第4A圖」至「第4I圖」所示,「第4A圖」至「第4I圖」繪示為本創作分隔式微機電系統麥克風結構的導通槽平面示意圖。Please refer to “FIG. 4A” to “FIG. 4I”, “FIG. 4A” to “FIG. 4I” are schematic plan views of the conduction grooves of the separated MEMS microphone structure of the present invention.
在「第4A圖」至「第4I圖」中分別繪示導通槽15的多種態樣,以及微機電系統晶粒40設置於導通槽15的狀態,在「第4A圖」至「第4I圖」中虛線部分即為微機電系統晶粒40設置於導通槽15的位置,而至於導通槽15的多種態樣即可參考「第4A圖」至「第4I圖」所示。In "FIG. 4A" to "FIG. 4I", various aspects of the
請參考「第5圖」所示,「第5圖」繪示為本創作分隔式微機電系統麥克風結構的共振圖。Please refer to "Fig. 5". "Fig. 5" shows the resonance diagram of the split MEMS microphone structure of the present creation.
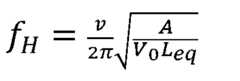
根據亥姆霍茲共振(Helmholtz resonance)提出下列公式:
其中,fH=共振頻率,v=聲速,V0=共振腔的靜態容積,Leq=瓶口的等效長度,A=開口的橫截面積,故而可以得知,較小的空氣體積會產生較高的共振頻率,較大的空氣體積會產生較低的共振頻率,亦即閉合腔室61體積與訊號雜訊比(Signal-to-Noise Ratio,SNR)有關。Where,fH = resonance frequency,v = speed of sound,V0 = static volume of the resonant cavity,Leq = equivalent length of the bottle mouth,A = cross-sectional area of the opening, so it can be known that a smaller air volume will A higher resonance frequency is generated, and a larger air volume results in a lower resonance frequency, that is, the volume of the
因此,在本創作中所建立的閉合腔室61能夠增加微機電系統晶粒40中薄膜移動能力,亦即能改善低頻響應,在聲音在透過開孔51進入時,由於閉合腔室61的體積會大於共振腔的體積,能提高共振頻率進而提高靈敏度。Therefore, the
接著,以下將說明本創作第一實施態樣的運作方法,並請參考「第6A圖」以及「第6B圖」所示,「第6A圖」以及「第6B圖」繪示為本創作微機電系統麥克風結構的製造方法的第一實施態樣方法流程圖。Next, the operation method of the first embodiment of the present creation will be described below, and please refer to "Fig. 6A" and "Fig. 6B", which are shown in "Fig. 6A" and "Fig. A method flow chart of a first embodiment of a method of manufacturing an electromechanical system microphone structure.
本創作所揭露第一實施態樣的分隔式微機電系統麥克風結構的製造方法,其包含下列步驟:The manufacturing method of the split MEMS microphone structure of the first embodiment disclosed in the present invention includes the following steps:
首先,透過接合、開孔、壓膜、蝕銅、防焊以及成型的製程組合以製成基板,基板由底板、第一側板、第二側板以及蓋板堆疊而成(步驟701);接著,第一側板堆疊於底板上的一端,第二側板堆疊於底板上的另一端(步驟702);接著,蓋板堆疊於第一側板以及第二側板上,底板、第一側板、第二側板以及蓋板之間形成內部空間,蓋板介於第一側板以及第二側板之間開設有第一通孔以及第二通孔,內部空間藉由第一通孔以及第二通孔與外部空間互通(步驟703);接著,底板內嵌有電源線路以及接地線路,且電源線路以及接地線路外露於底板底面為電源外接點以及接地外接點(步驟704);接著,第一側板內嵌有電源線路與接地線路,以及第二側板內嵌有電源線路與接地線路(步驟705);接著,蓋板分別內嵌有電源線路以及接地線路,電源線路外露於蓋板頂面為電源接點以及接地線路外露於蓋板頂面為接地接點(步驟706);接著,在第一通孔以及第二通孔之間於基板上堆疊形成隔離層,將隔離層一側的空間定義為第一隔離空間以及將隔離層另一側的空間定義為第二隔離空間(步驟707);接著,特定應用積體電路晶粒透過點膠方式設置於蓋板上且位於第一隔離空間,特定應用積體電路晶粒透過打線技術分別電性連接於電源接點以及接地接點(步驟708);接著,微機電系統晶粒透過點膠方式設置於第二通孔處,微機電系統晶粒透過打線技術電性連接於電源接點以及接地接點(步驟709);接著,外蓋覆蓋於蓋板以及隔離層上,外蓋與接地接點形成電性連接,外蓋相對於微機電系統晶粒處開設有開孔(步驟710);最後,由基板、隔離層、外蓋以及微機電系統晶粒包圍封閉的空間形成閉合腔室,由基板、隔離層、外蓋以及微機電系統晶粒包圍開放的空間形成開放腔室(步驟711)。First, a substrate is formed by combining the processes of bonding, drilling, lamination, copper etching, solder masking, and forming. The first side plate is stacked on one end of the bottom plate, and the second side plate is stacked on the other end of the bottom plate (step 702 ); then, the cover plate is stacked on the first side plate and the second side plate, the bottom plate, the first side plate, the second side plate and the An inner space is formed between the cover plates, the cover plate is provided with a first through hole and a second through hole between the first side plate and the second side plate, and the inner space communicates with the outer space through the first through hole and the second through hole (Step 703 ); Next, the power supply circuit and the grounding circuit are embedded in the bottom plate, and the power supply circuit and the grounding circuit are exposed on the bottom surface of the bottom plate as the power external connection point and the ground external connection point (step 704 ); Then, the first side plate is embedded with a power supply circuit and the grounding circuit, and the second side plate is embedded with a power circuit and a grounding circuit (step 705); then, the cover plate is respectively embedded with a power circuit and a grounding circuit, and the power circuit exposed on the top surface of the cover is a power contact and a grounding circuit A ground contact is exposed on the top surface of the cover plate (step 706 ); then, an isolation layer is stacked on the substrate between the first through hole and the second through hole, and the space on one side of the isolation layer is defined as the first isolation space and defining the space on the other side of the isolation layer as the second isolation space (step 707 ); then, the application-specific integrated circuit die is disposed on the cover plate and located in the first isolation space by means of dispensing, and the application-specific integrated circuit is located in the first isolation space. The die is electrically connected to the power supply contact and the ground contact respectively through wire bonding technology (step 708 ); then, the MEMS die is disposed at the second through hole by means of dispensing, and the MEMS die is electrically connected to the second through hole through the wire bonding technology. connected to the power supply contact and the ground contact (step 709); then, the outer cover is covered on the cover plate and the isolation layer, the outer cover and the ground contact are electrically connected, and the outer cover is opened relative to the MEMS die There are openings (step 710); finally, a closed space is formed by the substrate, the isolation layer, the outer cover, and the MEMS die to form a closed chamber, and the open cavity is surrounded by the substrate, the isolation layer, the outer cover, and the MEMS die. The space forms an open chamber (step 711).
接著,以下將說明本創作第二實施態樣的運作方法,並請參考「第7A圖」以及「第7B圖」所示,「第7A圖」以及「第7B圖」繪示為本創作微機電系統麥克風結構的製造方法的第二實施態樣方法流程圖。Next, the operation method of the second embodiment of the present creation will be described below, and please refer to "Fig. 7A" and "Fig. 7B". A method flow chart of a second embodiment of a method of manufacturing an electromechanical system microphone structure.
本創作所揭露第二實施態樣的分隔式微機電系統麥克風結構的製造方法,其包含下列步驟:The manufacturing method of the split MEMS microphone structure of the second embodiment disclosed in the present invention includes the following steps:
首先,透過接合、開孔、壓膜、蝕銅、防焊以及成型的製程組合以製成基板,基板由底板、第一側板、第二側板以及蓋板堆疊而成(步驟801);接著,第一側板堆疊於底板上的一端,第二側板堆疊於底板上的另一端(步驟802);接著,蓋板堆疊於第一側板以及第二側板上,底板、第一側板、第二側板以及蓋板之間形成內部空間,蓋板介於第一側板以及第二側板之間開設有第一通孔以及第二通孔,內部空間藉由第一通孔以及第二通孔與外部空間互通(步驟803);接著,底板內嵌有電源線路以及接地線路,且電源線路以及接地線路外露於底板底面為電源外接點以及接地外接點(步驟804);接著,第一側板內嵌有電源線路與接地線路,以及第二側板內嵌有電源線路與接地線路(步驟805);接著,蓋板分別內嵌有電源線路以及接地線路,電源線路外露於蓋板頂面為電源接點以及接地線路外露於蓋板頂面為接地接點(步驟806);接著,特定應用積體電路晶粒透過點膠方式設置於蓋板上,特定應用積體電路晶粒透過打線技術分別電性連接於電源接點以及接地接點(步驟807);接著,微機電系統晶粒透過點膠方式設置於第二通孔處,微機電系統晶粒透過打線技術電性連接於電源接點以及接地接點(步驟808);接著,隔離層堆疊且貼合於微機電系統晶粒上,隔離層呈現中空環狀(步驟800);接著,外蓋覆蓋於蓋板以及隔離層上,外蓋與隔離層彼此相互貼合,外蓋與接地接點形成電性連接,外蓋相對於隔離層處開設有開孔(步驟810);最後,由基板、隔離層、外蓋以及微機電系統晶粒包圍封閉的空間形成閉合腔室,隔離層中空環狀與開孔形成開放腔室(步驟811)。First, a substrate is formed by combining the processes of bonding, drilling, lamination, copper etching, solder masking and forming. The substrate is formed by stacking a bottom plate, a first side plate, a second side plate and a cover plate (step 801); The first side plate is stacked on one end of the bottom plate, and the second side plate is stacked on the other end of the bottom plate (step 802 ); then, the cover plate is stacked on the first side plate and the second side plate, the bottom plate, the first side plate, the second side plate and the An inner space is formed between the cover plates, the cover plate is provided with a first through hole and a second through hole between the first side plate and the second side plate, and the inner space communicates with the outer space through the first through hole and the second through hole (step 803); then, the power supply circuit and the grounding circuit are embedded in the bottom plate, and the power supply circuit and the grounding circuit are exposed on the bottom surface of the bottom plate as the power external connection point and the ground external connection point (step 804); then, the first side plate is embedded with a power supply circuit and the grounding circuit, and the second side plate is embedded with a power circuit and a grounding circuit (step 805); then, the cover plate is respectively embedded with a power circuit and a grounding circuit, and the power circuit exposed on the top surface of the cover is a power contact and a grounding circuit The exposed top surface of the cover plate is a ground contact (step 806 ); then, the application-specific integrated circuit chips are disposed on the cover plate by means of dispensing, and the application-specific integrated circuit chips are respectively electrically connected to the power supply through wire bonding technology. contact and ground contact (step 807 ); then, the MEMS die is disposed at the second through hole by means of dispensing, and the MEMS die is electrically connected to the power contact and the ground contact ( Step 808); then, the isolation layer is stacked and attached to the MEMS die, and the isolation layer presents a hollow ring (step 800); then, the outer cover is covered on the cover plate and the isolation layer, and the outer cover and the isolation layer are mutually Adhere to each other, the outer cover and the ground contact form an electrical connectionThen, the outer cover is opened with an opening relative to the isolation layer (step 810); finally, a closed space is formed by the substrate, the isolation layer, the outer cover and the MEMS die to form a closed space, and the isolation layer is hollow and annular and open. The holes form open chambers (step 811).
接著,以下將說明本創作第三實施態樣的運作方法,並請參考「第8圖」所示,「第8圖」繪示為本創作微機電系統麥克風結構的製造方法的第三實施態樣方法流程圖。Next, the operation method of the third embodiment of the present invention will be described below, and please refer to "Fig. 8". "Fig. 8" shows the third embodiment of the manufacturing method of the MEMS microphone structure of the present invention. Sample method flow chart.
本創作所揭露第三實施態樣的分隔式微機電系統麥克風結構的製造方法,其包含下列步驟:The third embodiment disclosed in the present invention discloses a method for manufacturing a split-type MEMS microphone structure, which includes the following steps:
首先,透過接合、開孔、壓膜、蝕銅、防焊以及成型的製程組合以製成設置有導通槽的基板,基板內嵌有電源線路以及接地線路,且電源線路以及接地線路外露於基板底面為電源外接點以及接地外接點,電源線路以及接地線路外露於基板頂面為電源接點以及接地接點(步驟901);接著,特定應用積體電路晶粒透過點膠方式設置於基板上,特定應用積體電路晶粒透過打線技術分別電性連接於電源接點以及接地接點(步驟902);接著,微機電系統晶粒透過點膠方式設置於導通槽處,微機電系統晶粒透過打線技術電性連接於電源接點以及接地接點(步驟903);接著,隔離層堆疊且貼合於微機電系統晶粒上,隔離層呈現中空環狀(步驟904);接著,外蓋覆蓋於基板以及隔離層上,外蓋與隔離層彼此相互貼合,外蓋與接地接點形成電性連接,外蓋相對於隔離層處開設有開孔(步驟905);最後,由基板、隔離層、外蓋以及微機電系統晶粒包圍封閉的空間形成閉合腔室,隔離層中空環狀與開孔形成開放腔室(步驟906)。First, a substrate with conductive grooves is formed by combining the processes of bonding, drilling, lamination, copper etching, solder masking, and forming. The substrate is embedded with power lines and ground lines, and the power lines and ground lines are exposed to the substrate. The bottom surface is the power supply connection point and the ground connection point, and the power supply line and the ground connection line are exposed on the top surface of the substrate to be the power supply connection point and the ground connection point (step 901 ); then, the specific application integrated circuit die is disposed on the substrate by dispensing. , the specific application integrated circuit die is electrically connected to the power contact and the ground contact respectively through the wire bonding technology (step 902 ); then, the MEMS die is disposed at the conduction groove by dispensing glue, and the MEMS die is The power contacts and the ground contacts are electrically connected by wire bonding technology (step 903 ); then, the isolation layer is stacked and attached to the MEMS die, and the isolation layer presents a hollow ring (step 904 ); then, the outer cover is Covering the substrate and the isolation layer, the outer cover and the isolation layer are attached to each other, the outer cover and the ground contact are electrically connected, and the outer cover is provided with an opening relative to the isolation layer (step 905); finally, the substrate, The isolation layer, the outer cover, and the MEMS die surround the closed space to form a closed cavity, and the isolation layer has a hollow ring and an opening to form an open cavity (step 906 ).
綜上所述,可知本創作與先前技術之間的差異在於透過接合、開孔、壓膜、蝕銅、防焊以及成型的製程組合以製成基板,隔離層設置於基板上,特定應用積體電路晶粒透過點膠方式設置於基板上,微機電系統晶粒透過點膠方式設置於基板的第二通孔處,由基板、隔離層、外蓋以及微機電系統晶粒包圍封閉的空間形成閉合腔室。To sum up, it can be seen that the difference between the present creation and the prior art lies in the combination of bonding, hole opening, film lamination, copper etching, solder masking and forming processes to form the substrate, the isolation layer is arranged on the substrate, and the specific application area is The bulk circuit die is arranged on the substrate by means of dispensing, and the MEMS die is arranged at the second through hole of the substrate by means of dispensing, and the enclosed space is surrounded by the substrate, the isolation layer, the outer cover and the MEMS die. Form a closed chamber.
藉由此一技術手段可以來解決先前技術所存在倒裝晶片技術無法將微機電系統晶粒形成閉合腔室結構的問題,進而達成提供微機電系統晶粒形成閉合腔室結構的技術功效。This technical means can solve the problem that the flip-chip technology in the prior art cannot form the MEMS die into a closed cavity structure, thereby achieving the technical effect of providing the MEMS die to form a closed cavity structure.
雖然本創作所揭露的實施方式如上,惟所述的內容並非用以直接限定本創作的專利保護範圍。任何本創作所屬技術領域中具有通常知識者,在不脫離本創作所揭露的精神和範圍的前提下,可以在實施的形式上及細節上作些許的更動。本創作的專利保護範圍,仍須以所附的申請專利範圍所界定者為準。Although the embodiments disclosed in this creation are as above, the content described is not used to directly limit the scope of patent protection of this creation. Anyone with ordinary knowledge in the technical field to which this creation belongs can make some changes in the form and details of the implementation without departing from the spirit and scope disclosed by this creation. The scope of patent protection for this creation is still subject to the scope of the appended patent application.
10:基板10: Substrate
11:底板11: Bottom plate
111:電源外接點111: Power external point
112:接地外接點112: Ground external point
12:第一側板12: The first side panel
13:第二側板13: Second side panel
14:蓋板14: Cover
141:電源接點141: Power contact
142:接地接點142: ground contact
143:第一通孔143: first through hole
144:第二通孔144: second through hole
20:隔離層20: isolation layer
201:第一隔離空間201: First Isolation Space
202:第二隔離空間202: Second Isolation Space
30:特定應用積體電路晶粒30: Application specific integrated circuit die
40:微機電系統晶粒40: MEMS die
50:外蓋50: Outer cover
51:開孔51: Opening
61:閉合腔室61: Close the chamber
62:開放腔室62: Open Chamber
| Application Number | Priority Date | Filing Date | Title |
|---|---|---|---|
| TW110212302UTWM622683U (en) | 2021-10-19 | 2021-10-19 | Isolated micro-electromechanical-systems microphone structure |
| Application Number | Priority Date | Filing Date | Title |
|---|---|---|---|
| TW110212302UTWM622683U (en) | 2021-10-19 | 2021-10-19 | Isolated micro-electromechanical-systems microphone structure |
| Publication Number | Publication Date |
|---|---|
| TWM622683Utrue TWM622683U (en) | 2022-01-21 |
| Application Number | Title | Priority Date | Filing Date |
|---|---|---|---|
| TW110212302UTWM622683U (en) | 2021-10-19 | 2021-10-19 | Isolated micro-electromechanical-systems microphone structure |
| Country | Link |
|---|---|
| TW (1) | TWM622683U (en) |
| Publication number | Priority date | Publication date | Assignee | Title |
|---|---|---|---|---|
| TWI804009B (en)* | 2021-10-19 | 2023-06-01 | 香港商睿克科技有限公司 | Separated microelectromechanical system microphone structure and manufacturing method thereof |
| Publication number | Priority date | Publication date | Assignee | Title |
|---|---|---|---|---|
| TWI804009B (en)* | 2021-10-19 | 2023-06-01 | 香港商睿克科技有限公司 | Separated microelectromechanical system microphone structure and manufacturing method thereof |
| Publication | Publication Date | Title |
|---|---|---|
| US11905164B2 (en) | Micro-electro-mechanical system acoustic sensor, micro-electro-mechanical system package structure and method for manufacturing the same | |
| CN100444422C (en) | Electronic component, electronic component module and method of manufacturing electronic component | |
| TWI711575B (en) | Mems devices and processes | |
| CN101346014B (en) | Micro electro-mechanical system microphone and preparation method thereof | |
| US8693711B2 (en) | Capacitive transducer and fabrication method | |
| JP4459498B2 (en) | Silicon-based sensor system | |
| CN203411319U (en) | Semiconductor integrated device assembly and electronic device | |
| CN104303262B (en) | Process for Hermetic MEMS Devices Parts of which Are Exposed to the Environment | |
| US11130674B2 (en) | Integrated package structure for MEMS element and ASIC chip and method for manufacturing the same | |
| US20180312399A1 (en) | Device arrangement | |
| US20180149538A1 (en) | Multi-transducer modulus, electronic apparatus including the multi-transducer modulus and method for manufacturing the multi-transducer modulus | |
| JP5040021B2 (en) | Hermetic package and method for manufacturing hermetic package | |
| CN109511023B (en) | A high-sensitivity piezoelectric microphone and method of making the same | |
| WO2012013027A1 (en) | Micro-electro-mechanical microphone and manufacturing method thereof | |
| CN102196345A (en) | Capacitive sensor and manufacturing method thereof | |
| WO2019227805A1 (en) | Mems microphone and air pressure sensor integrated structure and fabrication method therefor | |
| WO2020134668A1 (en) | Integrating method and integrating structure for control circuit and bulk acoustic wave filter | |
| CN110839199B (en) | Method for manufacturing air pulse generating element | |
| KR101877838B1 (en) | MEMS Microphone Device And MEMS Microphone Module Comprising The Same | |
| TWM622683U (en) | Isolated micro-electromechanical-systems microphone structure | |
| US20160229687A1 (en) | Chip package and fabrication method thereof | |
| WO2020133756A1 (en) | Mems device and method for manufacturing same | |
| TWM622682U (en) | Micro-electromechanical-systems microphone structure | |
| JP2008271424A (en) | Acoustic sensor | |
| TWI804009B (en) | Separated microelectromechanical system microphone structure and manufacturing method thereof |