






本創作係有關一種光學元件、系統或儀器,特別是指一種微型頭戴式顯示器之光學系統。This creation relates to an optical element, system or instrument, especially an optical system of a miniature head-mounted display.
虛擬實境(virtual reality,VR)是指一種利用電腦技術產生一個三維空間的虛擬影像,並將其影像投射至使用者眼中,令使用者感受到身入其境的技術。目前用來實現虛擬實境之技術,多半是令使用者將虛擬實境裝置穿戴在頭部,使虛擬實境裝置中的顯示螢幕能貼近使用者的眼部,令使用者在一個短距離能看到屏寬超過90度的顯示影像。Virtual reality (VR) refers to a technology that uses computer technology to generate a virtual image in a three-dimensional space and project the image into the user's eyes, so that the user feels that he is in the environment. The current technology used to implement virtual reality is mostly to enable users to wear the virtual reality device on their heads, so that the display screen in the virtual reality device can be close to the user's eyes, so that the user can See the display image with a screen width exceeding 90 degrees.
請參照第一圖,以說明一般頭戴式顯示器之技術,習知頭戴式顯示器包括有顯示螢幕90以及一光學模組92,顯示螢幕90的影像可投射在光學模組92上,使光學模組92能調整影像的聚焦位置,將影像近距離投射在人眼94。顯示螢幕90所投射的影像會經過一段光程為d的光路後,再進入到光學模組92,舉例來說,若光程d為40公厘(mm),則頭戴顯示器中顯示螢幕90與光學模組92的距離就至少為40公厘(mm),除此之外加上光學模組92、適眼距以及戴式顯示器外殼,使得頭戴式顯示器後必然大於40mm。Please refer to the first figure to explain the general head-mounted display technology. The conventional head-mounted display includes a
因此,目前的頭戴式顯示器結構使得裝置相當笨重,當使用者穿戴在頭上時,可能因頭戴式顯示器體積過大或重量過重,造成穿戴上的不適,令使用者無法長時間穿戴等問題產生,故將頭戴顯示器的厚度縮小、便於使用者配戴使用為一項重要的課題。Therefore, the current head-mounted display structure makes the device quite bulky. When the user wears it on the head, the head-mounted display may be too bulky or heavy, which may cause discomfort in wearing and prevent the user from wearing for a long time. Therefore, it is an important issue to reduce the thickness of the head-mounted display and facilitate the user to wear and use it.
有鑑於此,本創作遂針對上述習知技術之缺失,提出一種,以有效克服上述之該等問題。In view of this, the author proposes a solution to the above-mentioned lack of conventional technology to effectively overcome the above-mentioned problems.
本創作之主要目的在提供一種微型頭戴式顯示器之光學系統,其透過雙透鏡的設置,能有效修正影像的像差,並擴大視場角的範圍。The main purpose of this creation is to provide an optical system for a miniature head-mounted display, which can effectively correct the aberration of the image and expand the range of the angle of view through the setting of the double lens.
本創作之另一目的在提供一種微型頭戴式顯示器之光學系統,其在頭戴顯示器的光學系統設置反射式偏振元件、相位延遲元件、部分反射部分穿透元件等光學元件,利用光線的相位延遲及多次反射達到近似長度的光程,藉以縮短顯示裝置和光學模系統之間的距離,以將頭戴顯示器微型化。Another purpose of this creation is to provide an optical system for a miniature head-mounted display. The optical system of the head-mounted display is provided with optical elements such as a reflective polarizing element, a phase delay element, a partially reflective partial penetrating element, etc. The delay and multiple reflections reach the optical path of approximate length, thereby shortening the distance between the display device and the optical mode system to miniaturize the head-mounted display.
為達上述之目的,本創作提供一種微型頭戴式顯示器之光學系統,其可接收顯示裝置之輸出影像及其偏振光,光學系統包括一部分反射部分穿透元件對應顯示裝置設置,部分反射部分穿透元件可將偏振光部分反射,部分穿透出部分反射部分穿透元件;一相位延遲元件對應部分反射部分穿透元件設置,相位延遲元件接收穿透部分反射部分穿透元件之偏振光,並對其進行相位延遲,成為另一偏振態之該偏振光;一第一透鏡對應部分反射部分穿透元件與相位延遲元件設置,以接收該偏振光,調節偏振光焦距;一反射式偏振元件對應相位延遲元件設置,以接收另一偏振態之偏振光並反射,使另一偏振態之偏振光經過相位延遲元件及部分反射部分穿透元件後,再反射回反射式偏振元件並穿透至一第二透鏡,第二透鏡對應反射式偏振元件設置,接收穿透反射式偏振元件之偏振光,並將其導入人眼中。To achieve the above purpose, the present invention provides an optical system for a micro head-mounted display, which can receive the output image of the display device and its polarized light. The optical system includes a part of the reflective part penetrating element corresponding to the display device, and a part of the reflective part The transmissive element can partially reflect polarized light and partially penetrate out of the partially reflective partially penetrating element; a phase delay element is provided corresponding to the partially reflective partially penetrating element, and the phase delay element receives polarized light penetrating the partially reflecting part penetrating element, and Phase-delay it to become the polarized light of another polarization state; a first lens corresponding to the partial reflection part penetrating element and the phase delay element are arranged to receive the polarized light and adjust the polarized light focal length; a reflective polarizing element corresponds to The phase delay element is set to connectReceive the polarized light of another polarization state and reflect it, so that the polarized light of another polarization state passes through the phase delay element and the partial reflection part penetrating element, then reflects back to the reflective polarizing element and penetrates to a second lens, the second The lens is arranged corresponding to the reflective polarizing element, receives polarized light penetrating the reflective polarizing element, and directs it into the human eye.
根據本創作之實施例,其中部分反射部分穿透元件係設置在第一透鏡上。According to an embodiment of the present invention, the partially reflecting and partially penetrating element is disposed on the first lens.
根據本創作之實施例,微型頭戴式顯示器之光學系統更包括一平面光學元件設置在第一透鏡與第二透鏡之間,令相位延遲元件及反射式偏振元件設置在平面光學元件上。According to the embodiment of the present invention, the optical system of the micro head-mounted display further includes a planar optical element disposed between the first lens and the second lens, so that the phase delay element and the reflective polarizing element are disposed on the planar optical element.
根據本創作之實施例,其中第二透鏡相鄰第一透鏡之一側設有一第二平面部,令相位延遲元件及反射式偏振元件設置於第二平面部。According to an embodiment of the present invention, a side of the second lens adjacent to the first lens is provided with a second plane portion, so that the phase delay element and the reflective polarizing element are disposed on the second plane portion.
根據本創作之實施例,其中反射式偏振元件係設置在第二透鏡上。According to an embodiment of the present invention, the reflective polarizing element is disposed on the second lens.
根據本創作之實施例,其中相位延遲元件係設置在一平面光學元件上。According to an embodiment of the present invention, the phase delay element is disposed on a planar optical element.
根據本創作之實施例,微型頭戴式顯示器之光學系統更包括一平面光學元件,設置於顯示裝置以及第一透鏡之間,部分反射部分穿透元件及相位延遲元件係設置在平面光學元件上。According to the embodiment of the present invention, the optical system of the micro head-mounted display further includes a planar optical element, which is disposed between the display device and the first lens, and the partially reflective partial transmissive element and the phase delay element are disposed on the planar optical element .
根據本創作之實施例,其中第一透鏡相鄰顯示裝置設置之一側具有一第一平面部,令部分反射部分穿透元件及相位延遲元件設置於第一平面部。According to an embodiment of the present invention, one side of the first lens adjacent to the display device has a first plane portion, so that the partially reflective partial transmission element and the phase delay element are arranged on the first plane portion.
茲為對本創作之結構特徵及所達成之功效更有進一步之瞭解與認識,謹佐以較佳之實施例圖及配合詳細之說明,說明如後。In order to have a further understanding and understanding of the structural characteristics and the achieved effect of this creation, I would like to use the preferred embodiment drawings and detailed descriptions to explain as follows.
10:部分反射部分穿透10: Partial reflection and partial penetration
12:第一透鏡12: the first lens
122:第一平面部122: The first plane
14:相位延遲元件14: Phase delay element
16:反射式偏振元件16: Reflective polarizing element
18:平面光學元件18: Flat optics
20:第二透鏡20: Second lens
202:第二平面部202: second plane
2:顯示裝置2: display device
90:顯示裝置90: display device
92:光學模組92: Optical module
94:人眼94: Human eye
A:偏振光A: polarized light
B:偏振光B: polarized light
C:偏振光C: polarized light
D:偏振光D: polarized light
第一圖係為先前技術中頭戴顯示器的顯示裝置與人眼之間的光程示意圖。The first figure is a schematic diagram of the optical path between the display device of the head-mounted display and the human eye in the prior art.
第二A圖係為本創作之第一實施例示意圖。The second figure A is a schematic diagram of the first embodiment of the creation.
第二B圖係為本創作之第一實施例偏振光之光路示意圖。The second figure B is a schematic diagram of the optical path of polarized light according to the first embodiment of the creation.
第三圖係為本創作之第二實施例示意圖。The third diagram is a schematic diagram of the second embodiment of the creation.
第四圖係為本創作之第三實施例示意圖。The fourth figure is a schematic diagram of the third embodiment of the creation.
第五圖係為本創作之第四實施例示意圖。The fifth figure is a schematic diagram of the fourth embodiment of the creation.
第六圖係為本創作之第五實施例示意圖。The sixth figure is a schematic diagram of the fifth embodiment of the creation.
本創作提供一種微型頭戴式顯示器之光學系統,其能有效修正影像的像差,並擴大視場角的範圍,且能利用光線的相位延遲及多次反射達到近似長度的光程,藉以縮短顯示裝置和光學系統之間的距離,將頭戴式顯示器微型化。This creation provides an optical system for a miniature head-mounted display, which can effectively correct the aberration of the image and expand the range of the field of view, and can use the phase delay of light and multiple reflections to achieve an optical path of approximate length, thereby shortening The distance between the display device and the optical system miniaturizes the head-mounted display.
為了能瞭解本創作的結構設計,在此先詳述微型頭戴式顯示器之光學系統的結構組成,本創作之光學系統可供安裝在微型頭戴式顯示器中,光學系統接收微型頭戴式顯示器中顯示裝置的輸出影像及其偏振光,以呈現屏寬超過90度的顯示影像供使用者觀賞。請參照第二A圖,本實施例之光學系統係設置在微型頭戴式顯示器內,且位於顯示裝置2前端,光學系統之結構由顯示裝置2依序互相對應設置有一部分反射部分穿透元件10、一第一透鏡12、一相位延遲元件14、一反射式偏振元件16、一平面光學元件18及一第二透鏡20。其中第一透鏡12及第二透鏡20可為非球面透鏡、菲涅爾透鏡或多片透鏡之組合。In order to understand the structural design of this creation, the structural composition of the optical system of the micro head-mounted display is described in detail first. The optical system of this creation can be installed in the micro head-mounted display, and the optical system receives the micro head-mounted display The output image of the middle display device and its polarizationLight to present a display image with a screen width exceeding 90 degrees for the user to watch. Please refer to FIG. 2A. The optical system of this embodiment is disposed in a micro head-mounted display and is located at the front end of the
由顯示裝置2輸出之偏振光之型態可為線偏振光、圓偏振光或其他偏振態,因此顯示裝置2及部分穿透部分反射元件10之間更可依據顯示裝置2之偏振情況增加一個或複數個偏振調整元件(圖中未示),偏振調整元件可為線偏振元件、圓偏振元件、相位延遲元件或反射式偏振元件以對應調整顯示裝置2之偏振態。偏振調整元件可為薄膜材料或光學鍍膜等以塗佈、鍍膜或黏合等的形式設置於顯示裝置2或部分穿透部分反射元件10上。The type of polarized light output by the
請持續參照第二A圖,部分反射部分穿透元件10對應顯示裝置2設置,本實施例之部分反射部分穿透元件10可透過黏貼或鍍膜的方式對應設置在第一透鏡12上。平面光學元件18可為平面玻璃對應設置在第一透鏡12與第二透鏡20之間,令相位延遲元件14及反射式偏振元件16透過黏貼或鍍膜的方式,設置在平面光學元件18上。Please continue to refer to FIG. 2A. The partially reflective partially penetrating
本實施例微型頭戴式顯示器之具體數據如下表一:
表一中F為光學系統之有效焦距,該光學系統之總長為TTL,ω為光學系統之半視場角,f1為第一透鏡組的有效焦距,f2為第二透鏡組的有效焦距,Nd為折射率,Vd為阿貝數。A、B、C、D、E、F等為非球面公式中之參數,K為圓錐係數,非球面公式為,其中C=1/R,R為曲率半徑。In Table 1, F is the effective focal length of the optical system, the total length of the optical system is TTL,ω is the half angle of view of the optical system, f1 is the effective focal length of the first lens group, and f2 is the effective focal length of the second lens group , Nd is the refractive index, and Vd is the Abbe number. A, B, C, D, E, F, etc. are the parameters in the aspheric formula, K is the conic coefficient, and the aspheric formula is , Where C=1/R, R is the radius of curvature.
接著說明顯示裝置2發出之偏振光進入光學系統時的傳遞狀態,請參照第二B圖,如圖所示,當顯示裝置2發射第一偏振態的偏振光A後,第一偏振態的偏振光A進入到第一透鏡12上的部分反射部分穿透元件10,以將顯示裝置2發射的第一偏振態的偏振光A部分反射,部分穿透出部分反射部分穿透元件10以進入第一透鏡12,接著第一偏振態的偏振光A會持續穿透出第一透鏡12,以進入到平面光學元件18上的相位延遲元件14,相位延遲元件14接收到第一偏振態的偏振光A,會對其進行相位延遲,成為第二偏振態之偏振光B後,第二偏振態之偏振光B進入到反射式偏振元件16,令反射式偏振元件16反射第二偏振態之偏振光B,使第二偏振態之偏振光B再進入過相位延遲元件14,產生一第三偏振態之偏振光C,第三偏振態之偏振光C反射回部分反射部分穿透元件10後,再反射回相位延遲元件14以產生第四偏振態之偏振光D至反射式偏振元件16並穿透,最後第四偏振態之偏振光D會進入到第二透鏡20,以將第四偏振態之偏振光D導入人眼中。Next, the transmission state of the polarized light emitted by the
請持續參照第二B圖,舉例來說,當顯示裝置2所發出之光線為圓偏振光,因此第一偏振光為相位差1/4波長的偏振光(亦即偏振光A為圓偏振光),而相位延遲元件14為產生1/4波長相位延遲之元件,相位延遲元件14接收到第一偏振光A,會對其進行相位延遲,成為第二偏振光B,第二偏振光為相位差1/2波長的偏振光(亦即偏振光B為線偏振光),二度經過相位延遲元件14後產生的第三偏振光為相位差3/4波長的偏振光(亦即偏振光C為圓偏振光),三度經過而相位延遲元件14後產生的第四偏振光為相位差1個波長的偏振光(亦即偏振光D為線振光)。在此實施例中,偏振光B與偏振光D偏振光的線偏振方向互相垂直,反射式偏振元件16僅提供偏振光D的線偏振方向進行穿透,對偏振光B的偏振方向進行反射,因此偏振光D可穿透反射式偏振元件。Please continue to refer to the second figure B. For example, when the light emitted by the
因此,本實施例透過第一透鏡12與第二透鏡20雙透鏡的設置,能有效修正影像的像差,並提升視場角的範圍,且在頭戴顯示器的顯示裝置2和光學模組之間設置反射式偏振元件16、相位延遲元件14、部分反射部分穿透元件10等光學元件,能利用光線的相位延遲及多次反射達到近似長度的光程,藉以縮短顯示裝置2和光學系統之間的距離,以將頭戴顯示器微型化。Therefore, this embodiment can effectively correct the aberration of the image and improve the range of the angle of view through the dual lens arrangement of the
除上述結構之外,本創作更提供第二實施例之結構,如第三圖所示,本實施例光學系統之結構由顯示裝置2之一側依序對應設置一部分反射部分穿透元件10、一第一透鏡12、一相位延遲元件14、一反射式偏振元件16以及一第二透鏡20。其中部分反射部分穿透元件10與上述第一實施例相同,以黏貼或鍍膜的方式對應設置在第一透鏡12上。第二透鏡20上且相鄰第一透鏡12之一側設有一第二平面部202,第二透鏡20之第二平面部202可供相位延遲元件14及反射式偏振元件14以黏貼或鍍膜的方式設置於第二平面部202上。此實施例微型頭戴式顯示器之具體數據如下表二:
表二中F為光學系統之有效焦距,該光學系統之總長為TTL,ω為光學系統之半視場角,f1為第一透鏡組的有效焦距,f2為第二透鏡組的有效焦距,Nd為折射率,Vd為阿貝數。A、B、C、D、E、F等為非球面公式中之參數,K為圓錐係數,非球面公式為,其中C=1/R,R為曲率半徑。In Table 2, F is the effective focal length of the optical system, the total length of the optical system is TTL,ω is the half angle of view of the optical system, f1 is the effective focal length of the first lens group, f2 is the effective focal length of the second lens group, Nd Is the refractive index and Vd is the Abbe number. A, B, C, D, E, F, etc. are the parameters in the aspheric formula, K is the conic coefficient, and the aspheric formula is , Where C=1/R, R is the radius of curvature.
本實施例偏振光進入光學系統時的傳遞狀態與上述第一實施例相同,顯示裝置2發出第一偏振態的偏振光後,穿透部分反射部分穿透元件10進入第一透鏡12,再進入到相位延遲元件14,成為第二偏振態之偏振光後進入反射式偏振元件16,再反射回相位延遲元件14產生第三偏振態之偏振光至部分反射部分穿透元件10後,再反射回相位延遲元件14以產生第四偏振態之偏振光至反射式偏振元件及第二透鏡20,以導入人眼中。因此第二實施例偏振光的傳遞狀態皆係透過進入相位延遲元件14,以改變偏振光的偏振態,且改變的狀態及折射方式與上述第一實施例相同,因此不再詳細贅述。The transmission state of the polarized light of this embodiment when entering the optical system is the same as that of the above-mentioned first embodiment. After the
請參照第四圖,以說明本創作第三實施例,本實施例光學系統之結構由顯示裝置2依序對應設置一第一透鏡12、一部分反射部分穿透元件10、一相位延遲元件14、一平面光學元件18、一反射式偏振元件16以及一第二透鏡20。其中部分反射部分穿透元件10以黏貼或鍍膜的方式設置在第一透鏡12上;相位延遲元件14以黏貼或鍍膜的方式設置在平面光學元件18上;反射式偏振元件16以黏貼或鍍膜的方式鍍膜設置在第二透鏡20的表面。此實施例之微型頭戴式顯示器具體數據如下表三:
表三中F為光學系統之有效焦距,該光學系統之總長為TTL,ω為光學系統之半視場角,f1為第一透鏡組的有效焦距,f2為第二透鏡組的有效焦距,Nd為折射率,Vd為阿貝數。A、B、C、D、E、F、G等為非球面公式中之參數,K為圓錐係數,非球面公式為,其中C=1/R,R為曲率半徑。In Table 3, F is the effective focal length of the optical system, the total length of the optical system is TTL,ω is the half angle of view of the optical system, f1 is the effective focal length of the first lens group, f2 is the effective focal length of the second lens group, Nd Is the refractive index and Vd is the Abbe number. A, B, C, D, E, F, G, etc. are the parameters in the aspheric formula, K is the conic coefficient, and the aspheric formula is , Where C=1/R, R is the radius of curvature.
本實施例偏振光進入光學系統時的傳遞狀態與上述第一實施例相同,顯示裝置2發出第一偏振態的偏振光後,穿透第一透鏡12及部分反射部分穿透元件10,再進入到相位延遲元件14,成為第二偏振態之偏振光後進入反射式偏振元件16,再反射回相位延遲元件14產生第三偏振態之偏振光至部分反射部分穿透元件10後,再反射回相位延遲元件14以產生第四偏振態之偏振光至反射式偏振元件及第二透鏡20,以導入人眼中。因此第三實施例偏振光的傳遞狀態皆係透過進入相位延遲元件14,以改變偏振光的偏振態,且改變的狀態及折射方式與上述第一實施例相同,因此不再詳細贅述。The transmission state of the polarized light of this embodiment when entering the optical system is the same as that of the above-mentioned first embodiment. After the
請參照第五圖,以說明本創作第四實施例,本實施例光學系統之結構由顯示裝置2依序對應設置一部分反射部分穿透元件10、一相位延遲元件14、一平面光學元件18、一第一透鏡12、一反射式偏振元件16以及一第二透鏡20。其中部分反射部分穿透元件10及相位延遲元件14係以黏貼或鍍膜的方式鍍膜設置在平面光學元件18表面;反射式偏振元件16以黏貼或鍍膜的方式鍍膜在第二透鏡20表面。此實施例之微型頭戴式顯示器具體數據如下表四:
表四中F為光學系統之有效焦距,該光學系統之總長為TTL,ω為光學系統之半視場角,f1為第一透鏡組的有效焦距,f2為第二透鏡組的有效焦距,Nd為折射率,Vd為阿貝數。A、B、C、D、E、F、G等為非球面公式中之參數,K為圓錐係數,非球面公式為,其中C=1/R,R為曲率半徑。In Table 4, F is the effective focal length of the optical system, the total length of the optical system is TTL,ω is the half angle of view of the optical system, f1 is the effective focal length of the first lens group, f2 is the effective focal length of the second lens group, Nd Is the refractive index and Vd is the Abbe number. A, B, C, D, E, F, G, etc. are the parameters in the aspheric formula, K is the conic coefficient, and the aspheric formula is , Where C=1/R, R is the radius of curvature.
本實施例偏振光進入光學系統時的傳遞狀態與上述第一實施例相同,顯示裝置2發出第一偏振態的偏振光後,穿透部分反射部分穿透元件10進入到相位延遲元件14,成為第二偏振態之偏振光後進入第一透鏡12及反射式偏振元件16,反射式偏振元件16再反射回相位延遲元件14產生第三偏振態之偏振光至部分反射部分穿透元件10後,再反射回相位延遲元件14以產生第四偏振態之偏振光至反射式偏振元件16及第二透鏡20,以導入人眼中。因此第四實施例偏振光的傳遞狀態皆係透過進入相位延遲元件14,以改變偏振光的偏振態,且改變的狀態及折射方式與上述第一實施例相同,因此不再詳細贅述。The transmission state of the polarized light of this embodiment when entering the optical system is the same as that of the first embodiment described above. After the
請參照第六圖,以說明本創作第五實施例,本實施例光學系統之結構由顯示裝置2依序對應設置一部分反射部分穿透元件10、一相位延遲元件14、一第一透鏡12、一反射式偏振元件16以及一第二透鏡20。其中第一透鏡12相鄰顯示裝置2之一側具有一第一平面部122,令部分反射部分穿透元件10及相位延遲元件14以黏貼或鍍膜的方式設置於第一平面部122上;反射式偏振元件16以黏貼或鍍膜的方式設置在第二透鏡20表面。此實施例之微型頭戴式顯示器具體數據如下表五:
表五中F為光學系統之有效焦距,該光學系統之總長為TTL,ω為光學系統之半視場角,f1為第一透鏡組的有效焦距,f2為第二透鏡組的有效焦距,Nd為折射率,Vd為阿貝數。A、B、C、D、E、F等為非球面公式中之參數,K為圓錐係數,非球面公式為,其中C=1/R,R為曲率半徑。In Table 5, F is the effective focal length of the optical system, the total length of the optical system is TTL,ω is the half angle of view of the optical system, f1 is the effective focal length of the first lens group, f2 is the effective focal length of the second lens group, Nd Is the refractive index and Vd is the Abbe number. A, B, C, D, E, F, etc. are the parameters in the aspheric formula, K is the conic coefficient, and the aspheric formula is , Where C=1/R, R is the radius of curvature.
本實施例偏振光進入光學系統時的傳遞狀態與上述第一實施例相同,顯示裝置2發出第一偏振態的偏振光後,穿透部分反射部分穿透元件10進入到相位延遲元件14,成為第二偏振態之偏振光後進入第一透鏡12及反射式偏振元件16,反射式偏振元件16再反射回相位延遲元件14產生第三偏振態之偏振光至部分反射部分穿透元件10後,再反射回相位延遲元件14以產生第四偏振態之偏振光至反射式偏振元件16及第二透鏡20,以導入人眼中。因此第五實施例偏振光的傳遞狀態皆係透過進入相位延遲元件14,以改變偏振光的偏振態,且改變的狀態及折射方式與上述第一實施例相同,因此不再詳細贅述。The transmission state of the polarized light of this embodiment when entering the optical system is the same as that of the first embodiment described above. After the
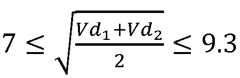
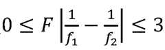
請參考第二A圖、第三圖至第六圖,本創作可達到較大視角、系統距離縮短及良好像差校正之效果,如下列公式所示:
下列表六為第二A圖、第一實施例至第五實施例套入上述公式(1)~(5)之計算結果。Table 6 below shows the calculation results of the second formula A and the first to fifth embodiments, which are embedded in the above formulas (1) to (5).
由上述表六可知,本創作實施例皆能滿足上述公式(1)至公式(5),故使用本創作之結構能令光路達到良好的折反射效果,有效縮短總長;有效增大視角,並達到良好的像差平衡;可增大視角並達到輕薄化;可達到良好的色差修正,並有效提高觀影對比度等功效。It can be seen from Table 6 above that all of the creative embodiments can satisfy the above formula (1) to formula (5), so the use of the structure of this creation can make the optical path achieve a good catadioptric effect, effectively shorten the total length; effectively increase the viewing angle, and Achieve a good balance of aberrations; can increase the viewing angle and achieve thinness; can achieve good chromatic aberration correction, and effectively improve the viewing contrast and other functions.
綜上所述,本創作透過第一透鏡與第二透鏡雙透鏡的設置,能有效修正影像的像差,並提升視場角的範圍,且在頭戴顯示器設置反射式偏振元件、相位延遲元件、部分反射部分穿透元件等光學元件,利用光線的相位延遲及多次反射達到近似長度的光程,藉以縮短顯示屏和光學系統之間的距離,以將頭戴顯示器微型化。In summary, the creation of the first lens and the second lens double lens can effectively correct the aberration of the image and increase the range of the angle of view, and the reflective polarizing element and phase delay element are provided on the head-mounted display , Partial reflection and partial penetration of optical elements such as components, using the phase delay of light and multiple reflections to achieve an approximate optical path length, thereby shortening the distance between the display and the optical system to miniaturize the head-mounted display.
唯以上所述者,僅為本創作之較佳實施例而已,並非用來限定本創作實施之範圍。故即凡依本創作申請範圍所述之特徵及精神所為之均等變化或修飾,均應包括於本創作之申請專利範圍內。The above are only preferred embodiments of this creation, and are not intended to limit the scope of this creation. Therefore, any changes or modifications based on the characteristics and spirit described in the scope of this creative application should be included in the scope of the patent application for this creative.
10:部分反射部分穿透10: Partial reflection and partial penetration
12:第一透鏡12: the first lens
14:相位延遲元件14: Phase delay element
16:反射式偏振元件16: Reflective polarizing element
18:平面光學元件18: Flat optics
20:第二透鏡20: Second lens
2:顯示裝置2: display device
| Application Number | Priority Date | Filing Date | Title |
|---|---|---|---|
| TW109202571UTWM596873U (en) | 2020-03-06 | 2020-03-06 | Optical system of miniature head-mounted display |
| Application Number | Priority Date | Filing Date | Title |
|---|---|---|---|
| TW109202571UTWM596873U (en) | 2020-03-06 | 2020-03-06 | Optical system of miniature head-mounted display |
| Publication Number | Publication Date |
|---|---|
| TWM596873Utrue TWM596873U (en) | 2020-06-11 |
| Application Number | Title | Priority Date | Filing Date |
|---|---|---|---|
| TW109202571UTWM596873U (en) | 2020-03-06 | 2020-03-06 | Optical system of miniature head-mounted display |
| Country | Link |
|---|---|
| TW (1) | TWM596873U (en) |
| Publication number | Priority date | Publication date | Assignee | Title |
|---|---|---|---|---|
| CN112305764A (en)* | 2020-10-26 | 2021-02-02 | 深圳惠牛科技有限公司 | Display optical system for correcting chromatic aberration and head-mounted display device |
| CN114935822A (en)* | 2022-06-15 | 2022-08-23 | 业成科技(成都)有限公司 | Optical system |
| CN115185081A (en)* | 2022-06-29 | 2022-10-14 | 北京理工大学 | Near-eye display device and contact lens based on short-focus catadioptric projection system |
| TWI791399B (en)* | 2022-04-21 | 2023-02-01 | 新鉅科技股份有限公司 | Optical lens assembly and head-mounted electronic device |
| TWI800711B (en)* | 2020-03-06 | 2023-05-01 | 廣達電腦股份有限公司 | Optical system of miniature head-mounted display |
| TWI823809B (en)* | 2023-04-13 | 2023-11-21 | 新鉅科技股份有限公司 | Optical lens assembly and head-mounted electronic device |
| Publication number | Priority date | Publication date | Assignee | Title |
|---|---|---|---|---|
| TWI800711B (en)* | 2020-03-06 | 2023-05-01 | 廣達電腦股份有限公司 | Optical system of miniature head-mounted display |
| CN112305764A (en)* | 2020-10-26 | 2021-02-02 | 深圳惠牛科技有限公司 | Display optical system for correcting chromatic aberration and head-mounted display device |
| TWI791399B (en)* | 2022-04-21 | 2023-02-01 | 新鉅科技股份有限公司 | Optical lens assembly and head-mounted electronic device |
| CN114935822A (en)* | 2022-06-15 | 2022-08-23 | 业成科技(成都)有限公司 | Optical system |
| CN115185081A (en)* | 2022-06-29 | 2022-10-14 | 北京理工大学 | Near-eye display device and contact lens based on short-focus catadioptric projection system |
| TWI823809B (en)* | 2023-04-13 | 2023-11-21 | 新鉅科技股份有限公司 | Optical lens assembly and head-mounted electronic device |
| Publication | Publication Date | Title |
|---|---|---|
| CN211826725U (en) | Optical system of micro head-mounted display | |
| TWM596873U (en) | Optical system of miniature head-mounted display | |
| CN104503087B (en) | Polarize guide-lighting planar waveguide optical display device | |
| CN104656258B (en) | The nearly optics of the eye display device of the adjustable curved surface waveguide of diopter | |
| CN104536138B (en) | Slab guide binocular optical display device with sawtooth sandwich | |
| US7616382B2 (en) | Image observation apparatus and image observation system | |
| CN104614858B (en) | Saw tooth structure plane waveguide visual optical display device for enhancing reality | |
| CN104536088B (en) | Tooth form inlays planar waveguide optical device | |
| CN113391447A (en) | Optical system of miniature head-mounted display | |
| US20210018955A1 (en) | Thin light optical system for a wearable virtual reality display device | |
| CN104678555B (en) | The tooth form of diopter correction inlays planar waveguide optical device | |
| KR20200118197A (en) | Augmented Reality Devices and Optical Systems Used in Augmented Reality Devices | |
| CN113219665B (en) | Optical lens group, optical system and head-mounted display device | |
| CN110515208A (en) | short distance optics | |
| CN114967135B (en) | Ultra-short throw eyepiece system | |
| CN104597565A (en) | Reality-augmented tooth form inlay planar waveguide optical device | |
| CN210776039U (en) | Miniaturized Short-Range Optical System | |
| TWM615839U (en) | Ultra short distance eyepiece system | |
| TWI797563B (en) | Ultra short distance eyepiece system | |
| TW202134734A (en) | Optical system of miniature head-mounted display achieving an optical distance with a similar length by virtue of the phase delay and multiple reflection of rays | |
| TWM591624U (en) | Short distance optical system | |
| TWM614817U (en) | Optical system for miniaturized head-mounted display device | |
| CN112505920A (en) | Miniaturized short-distance optical system | |
| TWM587756U (en) | Miniaturized short-distance optical system | |
| CN216561221U (en) | Optical system of miniaturized head-mounted display |