Movatterモバイル変換


[0]ホーム

URL:


TWI866910B - Lens element and method for determining a lens element adapted to slow down the progression of the abnormal refraction of the eye of a wearer - Google Patents

Lens element and method for determining a lens element adapted to slow down the progression of the abnormal refraction of the eye of a wearer
Download PDF

Info

Publication number
TWI866910B
TWI866910BTW108114819ATW108114819ATWI866910BTW I866910 BTWI866910 BTW I866910BTW 108114819 ATW108114819 ATW 108114819ATW 108114819 ATW108114819 ATW 108114819ATW I866910 BTWI866910 BTW I866910B
Authority
TW
Taiwan
Prior art keywords
optical
lens element
wearer
optical elements
lens
Prior art date
Application number
TW108114819A
Other languages
Chinese (zh)
Other versions
TW202001353A (en
Inventor
馬修 蓋爾拉特
希利爾 蓋爾洛世
Original Assignee
法商依視路國際公司
Priority date (The priority date is an assumption and is not a legal conclusion. Google has not performed a legal analysis and makes no representation as to the accuracy of the date listed.)
Filing date
Publication date
Priority claimed from EP18305526.8Aexternal-prioritypatent/EP3561578A1/en
Application filed by 法商依視路國際公司filedCritical法商依視路國際公司
Publication of TW202001353ApublicationCriticalpatent/TW202001353A/en
Application grantedgrantedCritical
Publication of TWI866910BpublicationCriticalpatent/TWI866910B/en

Links

Landscapes

Abstract

A lens element intended to be worn in front of an eye of a person comprising: - a prescription portion having a first refractive power based on a prescription for correcting an abnormal refraction of said eye of the person and a second refractive power different from the first refractive power; - a plurality of at least three optical elements, at least one optical element having an optical function of not focusing an image on the retina of the eye so as to slow down the progression of the abnormal refraction of the eye.

Description

Translated fromChinese
鏡片元件及用於確定適於減緩配戴者的眼睛的屈光異常的發展的鏡片元件的方法Lens element and method for determining a lens element suitable for slowing the progression of a refractive error in a wearer's eye

本發明涉及一種鏡片元件,該鏡片元件旨在配戴在人眼前方,以抑制眼睛的比如近視或遠視等屈光異常的發展。The invention relates to a lens element intended to be worn in front of a person's eye to inhibit the development of refractive abnormalities of the eye, such as myopia or hyperopia.

眼睛的近視的特徵為眼睛將遠處的物體聚焦在其視網膜前方。通常使用凹鏡片矯正近視,並且通常使用凸鏡片矯正遠視。Myopia of the eye is characterized by the eye focusing distant objects in front of its retina. Myopia is usually corrected using concave lenses, and hyperopia is usually corrected using convex lenses.

已經觀察到一些個人在使用常規單光光學鏡片矯正時、特別是兒童在其觀察位於近距離處的物體時(即,在視近條件下)聚焦不準確。因為針對視遠進行矯正的近視兒童的一部分的這種聚焦缺陷,其視網膜後面(甚至在中央凹區內)還形成附近物體的影像。It has been observed that some individuals, especially children, have inaccurate focusing when viewing objects at a close distance (i.e., under near vision conditions) when corrected with conventional single vision optical lenses. Because of this focusing defect in a portion of myopic children who are corrected for distance vision, images of nearby objects are formed behind their retina (even in the fovea).

這種聚焦缺陷可能對這類個體的近視發展有影響。可以觀察到,對於大多數所述個體,近視缺陷往往隨時間加重。This focusing defect may have an impact on the progression of myopia in these individuals. It was observed that myopia defects tended to worsen over time in most of these individuals.

中央凹視力對應於所觀看的物體的影像藉由眼睛形成在視網膜的被稱為中央凹區的中心區內的觀察狀況。Foveal vision corresponds to the perception that the image of the viewed object is formed by the eye in a central area of the retina called the fovea.

周邊視力對應於對相對於所觀看的物體側向偏移的場景要素的感覺,所述要素的影像形成在視網膜的周邊區域上,遠離中央凹區。Peripheral vision corresponds to the perception of scene elements that are offset laterally relative to the viewed object, the images of which are formed in the peripheral areas of the retina, away from the fovea.

為屈光不正受試者提供的眼科矯正通常適於他的中央凹視力。然而,眾所周知,相對於為中央凹視力確定的矯正,必須針對周邊視力減小矯正。特別是,對猴子進行的研究表明,遠離中央凹區域發生的視網膜後面的明顯光散焦可能導致眼睛的視網膜伸長,因此可能導致近視缺陷加重。The ophthalmic correction provided to a subject with refractive error is usually appropriate for his foveal vision. However, it is well known that the correction for peripheral vision must be reduced relative to the correction determined for foveal vision. In particular, studies conducted on monkeys have shown that significant light defocusing behind the retina occurring far from the foveal region may lead to elongation of the retina of the eye and may therefore lead to an increase in myopic defects.

因此,似乎需要一種能夠抑制或至少減緩眼睛的比如近視或遠視等屈光異常的發展的鏡片元件。Therefore, there seems to be a need for a lens element that can inhibit or at least slow down the development of refractive abnormalities of the eye, such as myopia or hyperopia.

為此,本發明提出了一種旨在在標準配戴條件下配戴在配戴者眼睛前方之鏡片元件,該鏡片元件包括:- 處方部分,該處方部分被配置用於基於該配戴者的用於矯正該配戴者的所述眼睛的屈光異常的處方針對中央凹視力向該配戴者提供第一光焦度;- 多個至少三個光學元件,至少一個光學元件具有針對周邊視力不將影像聚焦在該眼睛的視網膜上的光學功能,以便減緩該眼睛的屈光異常的發展。To this end, the present invention proposes a lens element intended to be worn in front of a wearer's eye under standard wearing conditions, the lens element comprising: - a prescription portion configured to provide the wearer with a first optical power for foveal vision based on the wearer's prescription for correcting ametropia of said eye of the wearer; - a plurality of at least three optical elements, at least one of which has an optical function of not focusing an image on the retina of the eye for peripheral vision, so as to slow down the development of the ametropia of the eye.

有利地,具有被配置用於針對周邊視力不將影像聚焦在配戴者的視網膜上的光學元件減少了眼睛的視網膜變形、特別是伸長的自然趨勢。因此,眼睛的屈光異常的發展減緩。Advantageously, having optical elements configured to not focus images on the wearer's retina for peripheral vision reduces the eye's natural tendency for the retina to deform, in particular to elongate. As a result, the development of refractive errors in the eye is slowed.

根據可以單獨考慮或組合考慮的另外的實施方式:- 至少一個、例如所有的該光學元件具有在標準配戴條件下並且針對周邊視力將影像聚焦在視網膜之外的位置上的光學功能;和/或- 至少一個光學元件在標準配戴條件下並且針對周邊視力具有非球面聚焦光學功能;和/或- 該等光學元件中的至少一者具有柱鏡度;和/或- 該等光學元件被配置成使得沿著該鏡片的至少一個區段,光學元件的平均球鏡從所述區段的點朝向所述區段的周邊部分增大;和/或- 該等光學元件被配置成使得沿著該鏡片的至少一個區段,光學元件的柱鏡從所述區段的點朝向所述區段的周邊部分增大;和/或- 該等光學元件被配置成使得沿著該鏡片的至少一個區段,光學元件的平均球鏡和/或柱鏡從所述區段的中心朝向所述區段的周邊部分增大;和/或- 該處方部分包括光學中心,並且該等光學元件被配置成使得沿著穿過該鏡片的光學中心的任何區段,該等光學元件的平均球鏡和/或柱鏡從該光學中心朝向該鏡片的周邊部分增大;和/或- 該處方部分包括視遠參考點、視近參考點、以及連接該等視遠參考點和近視參考點的子午線,該等光學元件被配置成使得在標準配戴條件下沿著該鏡片的任何水平區段,該等光學元件的平均球鏡和/或平均柱鏡從所述水平區段與該子午線的交叉點朝向該鏡片的周邊部分增大;和/或- 沿著該等區段的平均球鏡和/或柱鏡增大函數根據所述區段沿著該子午線的位置而不同;和/或- 沿著該等區段的平均球鏡和/或柱鏡增大函數係不對稱的;和/或- 該等光學元件被配置成使得在標準配戴條件下,該至少一個區段係水平區段;和/或- 光學元件的平均球鏡和/或柱鏡從所述區段的第一點朝向所述區段的周邊部分增大,並且從所述區段的第二點朝向所述區段的周邊部分減小,第二點比第一點更靠近所述區段的周邊部分;和/或- 沿著該至少一個區段的平均球鏡和/或柱鏡增大函數係高斯函數;和/或- 沿著該至少一個區段的平均球鏡和/或柱鏡增大函數係二次函數;和/或- 該等光學元件被配置成使得穿過每個光學元件的光線的平均焦點在距視網膜相同距離處;和/或- 該處方部分形成為除了形成為該多個光學元件的部分之外的部分;和/或- 對於半徑包含在2mm與4mm之間的每個圓形區包括位於距面向在標準配戴條件下筆直向前注視的使用者的瞳孔的參考係大於或等於所述半徑+5mm的距離處的幾何中心,位於所述圓形區內的光學元件部分的面積之和與所述圓形區的面積之間的比率在20%與70%之間;和/或- 該至少三個光學元件係不連續的;和/或- 至少一部分、例如所有的該等光學元件位於該眼科鏡片的前表面上;和/或- 至少一部分、例如所有的該等光學元件位於該眼科鏡片的後表面上;和/或- 至少一部分、例如所有的該等光學元件位於該眼科鏡片的前表面與後表面之間;和/或- 該等光學元件中的至少一者係多焦點屈光微鏡片;和/或- 該至少一個多焦點屈光微鏡片包括非球面表面,具有或不具有任何旋轉對稱性;和/或- 該等光學元件中的至少一者係複曲面屈光微鏡片;和/或- 該至少一個多焦點屈光微鏡片包括複曲面表面;和/或- 該至少一個多焦點屈光微鏡片包括柱鏡度;和/或- 該等光學元件中的至少一者由雙折射材料製成;和/或- 該等光學元件中的至少一者係衍射鏡片;和/或- 該至少一個衍射鏡片包括超穎表面(metasurface)結構;和/或- 至少一個光學元件的形狀被配置為在人眼的視網膜前方形成焦散點;和/或- 至少一個光學元件係多焦點二元部件;和/或- 至少一個光學元件係圖元化鏡片;和/或- 至少一個光學元件係π-菲涅耳鏡片;和/或- 至少一部分、例如所有的光學功能包括高階光學像差;和/或- 該鏡片元件包括承載處方部分的眼科鏡片和承載以下光學元件的夾片,該等光學元件適於在配戴鏡片元件時可移除地附接到眼科鏡片;和/或- 該等光學元件具有可內接在直徑大於或等於0.8mm且小於或等於3.0mm的圓內的外形形狀;和/或- 該處方部分進一步被配置為在標準配戴條件下並且針對中央凹視力為該配戴者提供與該第一光焦度不同的第二光焦度;和/或- 該第一光焦度與該第二光焦度之差大於或等於0.5D;和/或- 至少一個、例如至少70%、例如所有的光學元件係可以由光學鏡片控制器裝置激活的有源光學元件;和/或- 該有源光學元件包括具有可變折射率的材料,折射率的值由光學鏡片控制器裝置控制,和/或- 光學元件定位於網路上;和/或- 網路係結構化網路;和/或- 結構化網路係方形網路或六邊形網路或三角形網路或八邊形網路;和/或- 該鏡片元件進一步包括至少四個光學元件,該等光學元件被組織成至少兩組光學元件;和/或- 每組光學元件被組織成具有相同中心的至少兩個同心環,每組光學元件的同心環由對應於與所述組中的至少一者光學元件相切的最小圓的內徑以及對應於與所述組中的至少一者光學元件相切的最大圓的外徑限定;和/或- 至少一部分、例如所有光學元件的同心環以鏡片元件的表面的光學中心為中心,所述光學元件設置在該等鏡片元件上;和/或- 光學元件同心環的直徑在9.0mm與60mm之間;和/或- 兩個連續的光學元件同心環之間的距離大於或等於5.0mm,兩個連續同心環之間的距離由第一同心環的內徑與第二同心環的外徑之差限定,第二同心環更靠近鏡片元件的周邊。According to further embodiments that can be considered individually or in combination: - at least one, for example all, of the optical elements have an optical function of focusing an image on a position outside the retina under standard wearing conditions and for peripheral vision; and/or - at least one of the optical elements has an aspherical focusing optical function under standard wearing conditions and for peripheral vision; and/or - at least one of the optical elements has a cylindrical power; and/or - the optical elements are configured so that along at least one section of the lens, the average sphere of the optical element increases from a point of the section towards the peripheral part of the section; and/or - the optical elements are configured so that along at least one section of the lens, the cylinder of the optical element increases from a point of the section towards the peripheral part of the section; and/or - The optical elements are configured such that along at least one section of the lens, the average sphere and/or cylinder of the optical elements increases from the center of the section toward the peripheral portion of the section; and/or - the prescription portion includes an optical center, and the optical elements are configured such that along any section passing through the optical center of the lens, the average sphere and/or cylinder of the optical elements increases from the optical center toward the peripheral portion of the lens; and/or - The prescription portion includes a distance vision reference point, a near vision reference point, and a meridian connecting the distance vision reference points and the near vision reference points, and the optical elements are configured so that along any horizontal segment of the lens under standard wearing conditions, the average sphere and/or average cylinder of the optical elements increases from the intersection of the horizontal segment and the meridian toward the peripheral portion of the lens; and/or- the average sphere and/or cylinder increase function along the segments is different depending on the position of the segment along the meridian; and/or- the average sphere and/or cylinder increase function along the segments is asymmetric; and/or- the optical elements are configured so that under standard wearing conditions, at least one segment is a horizontal segment; and/or- The average sphere and/or cylinder of the optical element increases from a first point of the segment toward the peripheral portion of the segment and decreases from a second point of the segment toward the peripheral portion of the segment, the second point being closer to the peripheral portion of the segment than the first point; and/or- the average sphere and/or cylinder increase function along the at least one segment is a Gaussian function; and/or- the average sphere and/or cylinder increase function along the at least one segment is a quadratic function; and/or- the optical elements are configured so that the average focus of light passing through each optical element is at the same distance from the retina; and/or- the prescription portion is formed as a portion other than the portion formed as the plurality of optical elements; and/or- For each circular zone with a radius comprised between 2 mm and 4 mm, including a geometric center located at a distance greater than or equal to said radius + 5 mm from a reference to the pupil of a user looking straight ahead under standard wearing conditions, the ratio between the sum of the areas of the parts of the optical elements located within said circular zone and the area of said circular zone is between 20% and 70%; and/or- the at least three optical elements are discontinuous; and/or- at least a portion, for example all, of said optical elements are located on the front surface of the ophthalmic lens; and/or- at least a portion, for example all, of said optical elements are located on the back surface of the ophthalmic lens; and/or- at least a portion, for example all, of said optical elements are located between the front surface and the back surface of the ophthalmic lens; and/or- At least one of the optical elements is a multifocal refractive microlens; and/or- the at least one multifocal refractive microlens comprises an aspheric surface, with or without any rotational symmetry; and/or- at least one of the optical elements is a toric refractive microlens; and/or- the at least one multifocal refractive microlens comprises a toric surface; and/or- the at least one multifocal refractive microlens comprises cylindrical power; and/or- at least one of the optical elements is made of a birefringent material; and/or- at least one of the optical elements is a diffractive lens; and/or- the at least one diffractive lens comprises a metasurface structure; and/or- the shape of at least one optical element is configured to form a focal point in front of the retina of a human eye; and/or- At least one optical element is a multi-focal binary component; and/or- at least one optical element is a patterned lens; and/or- at least one optical element is a π-Fresnel lens; and/or- at least a portion, such as all, of the optical functions include higher-order optical aberrations; and/or- the lens element comprises an ophthalmic lens carrying a prescription portion and a clip carrying the following optical elements, which are suitable for being removably attached to the ophthalmic lens when the lens element is worn; and/or- the optical elements have an outer shape that can be inscribed in a circle with a diameter greater than or equal to 0.8 mm and less than or equal to 3.0 mm; and/or- the prescription portion is further configured to provide the wearer with a second optical power different from the first optical power under standard wearing conditions and for foveal vision; and/or- The difference between the first optical power and the second optical power is greater than or equal to 0.5D; and/or- at least one, for example at least 70%, for example all optical elements are active optical elements that can be activated by an optical lens controller device; and/or- the active optical element comprises a material with a variable refractive index, the value of which is controlled by the optical lens controller device, and/or- the optical elements are positioned on a network; and/or- the network is a structured network; and/or- the structured network is a square network or a hexagonal network or a triangular network or an octagonal network; and/or- the lens element further comprises at least four optical elements, which are organized into at least two groups of optical elements; and/or- Each group of optical elements is organized into at least two concentric rings having the same center, the concentric rings of each group of optical elements being defined by an inner diameter corresponding to the smallest circle tangent to at least one of the optical elements in the group and an outer diameter corresponding to the largest circle tangent to at least one of the optical elements in the group; and/or- at least a portion, for example all, of the concentric rings of the optical elements are centered on the optical center of the surface of the lens element on which the optical element is arranged; and/or- the diameter of the concentric rings of the optical elements is between 9.0 mm and 60 mm; and/or- The distance between two consecutive concentric rings of the optical element is greater than or equal to 5.0 mm, and the distance between the two consecutive concentric rings is defined by the difference between the inner diameter of the first concentric ring and the outer diameter of the second concentric ring, and the second concentric ring is closer to the periphery of the lens element.

本發明進一步涉及一種用於確定適於減緩配戴者眼睛的屈光異常的發展的鏡片元件的方法,該方法包括:- 配戴者處方數據提供步驟,在該步驟過程中,提供與該配戴者的處方相關的配戴者處方數據,- 配戴條件數據提供步驟,在該步驟過程中,與該配戴者配戴該鏡片元件的條件相關的配戴條件數據,- 配戴者視網膜數據提供步驟,在該步驟過程中,提供在與配戴條件相同的參考系中與配戴者視網膜的形狀相關的視網膜數據,- 鏡片元件確定步驟,在該步驟過程中,確定包括處方部分和多個至少三個光學元件的鏡片元件,使得該處方部分在與該配戴數據相對應的配戴條件下並且針對中央凹視力基於該配戴者的處方提供第一光焦度,並且至少一個光學元件具有針對周邊視力不將影像聚焦在該眼睛的視網膜上的光學功能。The invention further relates to a method for determining a lens element suitable for slowing down the development of a refractive error in a wearer's eye, the method comprising: - a wearer prescription data providing step, during which wearer prescription data related to the wearer's prescription are provided, - a wearing condition data providing step, during which wearing condition data related to the condition under which the wearer wears the lens element, - a wearer retinal data providing step, during which retinal data related to the shape of the wearer's retina in the same reference system as the wearing condition are provided, - A lens element determination step, during which a lens element including a prescription portion and a plurality of at least three optical elements is determined, so that the prescription portion provides a first optical power for foveal vision based on the wearer's prescription under a wearing condition corresponding to the wearing data, and at least one optical element has an optical function of not focusing an image on the retina of the eye for peripheral vision.

有利地,本發明的方法允許使用光線追蹤藉由光學元件控制周邊視力下的光的折射。因此,可以決定具有光學元件以便在配戴者的視網膜之前聚焦光線或者不聚焦光線。可以考慮標準或定製的條件,諸如配戴條件或視網膜的形狀。Advantageously, the method of the invention allows controlling the refraction of light in peripheral vision by means of optical elements using light tracking. Thus, a decision can be made to have an optical element to focus light or not focus light in front of the wearer's retina. Standard or customized conditions can be taken into account, such as wearing conditions or the shape of the retina.

此外,本發明的方法允許在特定配戴條件下藉由光學元件在距視網膜一定距離處控制平均聚焦或點或最小和最大範圍,並且考慮配戴者的視網膜並且取決於偏心率。Furthermore, the method of the invention allows controlling the average focus or point or the minimum and maximum range at a certain distance from the retina by the optical element under specific wearing conditions and taking into account the wearer's retina and depending on the eccentricity.

例如,對於球面光學元件,本發明的方法允許確定視網膜的、最佳焦點為2D的周邊散光影像。For example, for spherical optical elements, the method of the invention allows the determination of the peripheral astigmatism image of the retina with the best focus in 2D.

例如,對於複曲面光學元件,本發明的方法允許確定周邊點影像,無論光學元件的位置如何,其最佳焦點恒定為3 D。For example, for complex-curved optical elements, the method of the invention allows the determination of peripheral point images whose optimal focus is constant in 3D regardless of the position of the optical element.

根據可以單獨考慮或組合考慮的另外的實施方式:- 在鏡片元件確定步驟過程中,確定至少50%、例如至少80%的光學元件,以便將影像聚焦在距視網膜給定距離處;和/或- 在鏡片元件確定步驟過程中,確定至少50%、例如至少80%的光學元件,以便沿著連接每個光學元件的參考點和配戴者的瞳孔中心的軸線將影像聚焦在距視網膜相同距離處;和/或- 在配戴條件數據提供步驟過程中提供的配戴條件數據對應於標準配戴條件;和/或- 在配戴條件數據提供步驟過程中提供的配戴條件數據對應於在配戴者身上測量的配戴條件;和/或- 在配戴者視網膜數據提供步驟過程中提供的配戴者視網膜數據對應於標準視網膜形狀;和/或- 在配戴者視網膜數據提供步驟過程中提供的配戴者視網膜數據對應於在配戴者身上測量的視網膜的形狀;和/或- 該方法進一步包括前表面數據提供步驟,在該步驟過程中,提供表示該鏡片元件的前表面的前表面數據,並且其中,在該鏡片元件確定步驟過程中,確定後表面的形狀和要放置在該前表面上的光學元件,使得該處方部分在與該配戴數據相對應的配戴條件下並且針對中央凹視力基於該配戴者的處方提供第一光焦度,並且至少一個光學元件具有針對周邊視力不將影像聚焦在該眼睛的視網膜上的光學功能。According to further embodiments which may be considered individually or in combination: - during the lens element determination step, at least 50%, for example at least 80%, of the optical elements are determined so as to focus the image at a given distance from the retina; and/or - during the lens element determination step, at least 50%, for example at least 80% of the optical elements are determined so as to focus the image at the same distance from the retina along an axis connecting a reference point of each optical element and the pupil center of the wearer; and/or - the wearing condition data provided during the wearing condition data provision step correspond to a standard wearing condition; and/or - the wearing condition data provided during the wearing condition data provision step correspond to a wearing condition measured on the wearer; and/or - The wearer retinal data provided during the wearer retinal data providing step corresponds to a standard retinal shape; and/or- The wearer retinal data provided during the wearer retinal data providing step corresponds to the shape of the retina measured on the wearer; and/or- The method further comprises a front surface data providing step, during which front surface data representing the front surface of the lens element is provided, and wherein, during the lens element determining step, the shape of the rear surface and the optical element to be placed on the front surface are determined so that the prescription portion provides a first optical power based on the wearer's prescription for foveal vision under a wearing condition corresponding to the wearing data and for peripheral vision, and at least one optical element has an optical function of not focusing an image on the retina of the eye for peripheral vision.

10:鏡片元件10: Lens components

12:處方部分12: Prescription section

14:光學元件14: Optical components

16:中心區16: Central area

F1:物體側表面F1: side surface of the object

F2:眼睛側表面F2: Lateral surface of the eye

F':點F': point

J:點J: point

M:點M: point

O:點O: point

Q1:象限Q1: Quadrant

Q2:象限Q2: Quadrant

Q3:象限Q3: Quadrant

Q4:象限Q4: Quadrant

Q':中心Q': Center

q':半徑q': Radius

S:點S: point

S1:配戴者處方數據提供步驟S1: Steps for the wearer to provide prescription data

S2:配戴條件數據提供步驟S2: Step of providing wearing condition data

S3:配戴者視網膜數據提供步驟S3: Wearer retinal data provision step

S4:鏡片元件確定步驟S4: Lens component determination step

S40:前表面數據提供步驟S40: Front surface data providing step

T:點T: point

x:第二方向x: second direction

y:第一方向y: first direction

z:方向z: direction

α:參數/角α: parameter/angle

β:參數/角β: parameter/angle

現在將參照附圖來描述本發明的非限制性實施方式,在附圖中:o[圖1]係根據本發明的鏡片元件之平面視圖;o[圖2]係根據本發明的鏡片元件之總體輪廓視圖;o[圖3]表示菲涅耳鏡高度輪廓之實例;o[圖4]表示衍射鏡片徑向輪廓之實例;o[圖5]展示了π-菲涅耳鏡片輪廓;o[圖6a至圖6c]展示了本發明的二元鏡片實施方式;o[圖7a]展示了在TABO慣例中的鏡片之散光軸位γ;o[圖7b]展示了在用於表徵非球面表面的慣例中之柱鏡軸位γAX;o[圖8至圖10a]以圖解方式示出了眼睛和鏡片之光學系統;o[圖10b]展示了斜軸散光;o[圖11]係根據本發明的方法之流程圖。A non-limiting embodiment of the present invention will now be described with reference to the accompanying drawings, in which: o [FIG. 1] is a plan view of a lens element according to the present invention; o [FIG. 2] is a general outline view of a lens element according to the present invention; o [FIG. 3] shows an example of a Fresnel lens height profile; o [FIG. 4] shows an example of a diffractive lens radial profile; o [FIG. 5] shows a π-Fresnel lens profile; o [FIG. 6a to 6c] show a binary lens embodiment of the present invention; o [FIG. 7a] shows the astigmatism axis γ of the lens in the TABO convention; o [FIG. 7b] shows the cylindrical axis γAX in the convention for characterizing an aspherical surface ; o [Figures 8 to 10a] schematically show the optical system of the eye and the lens; o [Figure 10b] shows the oblique axis astigmatism; o [Figure 11] is a flow chart of the method according to the present invention.

o[圖12]係根據本發明的實施方式的鏡片元件之平面視圖;o[圖13至圖17]展示了根據本發明的不同實施方式的光學元件之不同組織;並且o[圖18a至圖19b]展示了根據本發明的光學元件之間的不同類型之接合。o [Figure 12] is a plan view of a lens element according to an embodiment of the present invention; o [Figures 13 to 17] show different organizations of optical elements according to different embodiments of the present invention; and o [Figures 18a to 19b] show different types of bonding between optical elements according to the present invention.

附圖中的元件僅為了簡潔和清晰而展示並且不一定按比例繪製。例如,圖中的某些元件的尺寸可以相對於其他元件被放大,以幫助提高對本發明的實施方式的理解。The elements in the accompanying figures are shown for simplicity and clarity only and are not necessarily drawn to scale. For example, the size of certain elements in the figures may be exaggerated relative to other elements to help improve the understanding of the implementation of the present invention.

本發明涉及一種鏡片元件,該鏡片元件旨在配戴在配戴者的眼睛前方。The invention relates to a lens element intended to be worn in front of the eye of a wearer.

在本說明書的剩餘部分,可以使用如《上》、《底》、《水平》、《豎直》、《上方》、《下方》、《前》、《後》等術語、或其他指示相對位置的單詞。在鏡片元件的配戴條件下理解該等術語。In the remainder of this manual, terms such as "upper", "bottom", "horizontal", "vertical", "above", "below", "front", "back", etc., or other words indicating relative positions may be used. These terms are to be understood in the context of the wearing conditions of the lens element.

在本發明的上下文中,術語「鏡片元件」可以指未切割的光學鏡片或被磨邊以配合特定眼鏡架的眼鏡光學鏡片或眼科鏡片以及適於定位在眼科鏡片上的光學裝置。光學裝置可以定位於眼科鏡片的前表面或後表面上。該光學裝置可以是光學貼片。光學裝置可以適於可移除地定位在眼科鏡片上,例如夾片(clip),該夾片被配置為夾在包括眼科鏡片的眼鏡架上。In the context of the present invention, the term "lens element" may refer to an uncut optical lens or an ophthalmic lens that is edged to fit a particular eyeglass frame and an optical device adapted to be positioned on an ophthalmic lens. The optical device may be positioned on the front surface or the back surface of the ophthalmic lens. The optical device may be an optical patch. The optical device may be adapted to be removably positioned on the ophthalmic lens, such as a clip configured to be clipped onto an eyeglass frame including the ophthalmic lens.

根據本發明的鏡片元件10適於配戴者並且旨在配戴在所述配戴者的眼睛前方。The lens element 10 according to the invention is adapted to a wearer and is intended to be worn in front of the eye of said wearer.

如圖1中所表示的,根據本發明的鏡片元件10包括:- 處方部分12,以及- 多個至少三個光學元件14。As shown in FIG. 1 , the lens element 10 according to the present invention comprises: - a prescription portion 12, and - a plurality of at least three optical elements 14.

處方部分12被配置用於基於配戴者的用於矯正配戴者的所述眼睛的屈光異常的處方在標準配戴條件下和針對中央凹視力向配戴者提供第一光焦度。The prescription portion 12 is configured to provide a first optical power to the wearer under standard wearing conditions and for foveal vision based on the wearer's prescription for correcting ametropia of the eye of the wearer.

配戴條件應被理解為鏡片元件相對於配戴者眼睛的位置,例如由前傾角、角膜到鏡片距離、瞳孔與角膜距離、眼睛轉動中心(CRE)到瞳孔距離、CRE到鏡片距離、以及包角來限定。The wearing condition is understood to be the position of the lens element relative to the wearer's eye, as defined by the angle of inclination, cornea-to-lens distance, pupil-to-cornea distance, center of rotation of the eye (CRE)-to-pupil distance, CRE-to-lens distance, and wrap angle.

角膜到鏡片距離係沿著處於第一眼位的眼睛的視軸(通常被視為係水平的)在角膜與鏡片的後表面之間的距離,例如等於12mm。The cornea-to-lens distance is the distance between the cornea and the posterior surface of the lens along the visual axis of the eye in position primum (usually considered horizontal), for example equal to 12 mm.

瞳孔與角膜距離係沿著眼睛的視軸在其瞳孔與角膜之間的距離,通常等於2mm。The pupil-corneal distance is the distance between the pupil and the cornea along the visual axis of the eye, usually equal to 2mm.

CRE到瞳孔距離係沿著眼睛的視軸在其轉動中心(CRE)與角膜之間的距離,例如等於11.5mm。The CRE-to-pupillary distance is the distance along the visual axis of the eye between its center of rotation (CRE) and the cornea, for example, equal to 11.5mm.

CRE到鏡片距離係沿著處於第一眼位的眼睛的視軸(通常被視為係水平的)在眼睛的CRE與鏡片的後表面之間的距離,例如等於25.5mm。The CRE-to-lens distance is the distance between the CRE of the eye and the posterior surface of the lens along the visual axis of the eye in position primum (usually considered to be horizontal), for example equal to 25.5 mm.

前傾角係在鏡片的後表面與處於第一眼位的眼睛的視軸(通常被視為係水平的)之間的相交處、在該鏡片的後表面的法線與處於第一眼位的眼睛的視軸之間在豎直平面上的角,例如等8°。The anterior tilt angle is the angle in the vertical plane between the normal to the back surface of the lens and the visual axis of the eye in primary position (usually considered to be horizontal), at the intersection between the back surface of the lens and the visual axis of the eye in primary position, for example 8°.

包角係在鏡片的後表面與處於第一眼位的眼睛的視軸(通常被視為係水平的)之間的相交處、在該鏡片的後表面的法線與處於第一眼位的眼睛的視軸之間、在水平平面上的角,例如等0°。The wrap angle is the angle in the horizontal plane between the normal to the back surface of the lens and the visual axis of the eye in primary position (usually considered to be horizontal), at the intersection between the back surface of the lens and the visual axis of the eye in primary position, e.g. 0°.

標準配戴者條件的實例可以由8°的前傾角、12mm的角膜到鏡片距離、2mm的瞳孔-角膜距離、11.5mm的CRE到瞳孔距離、25.5mm的CRE到鏡片距離、以及0°的包角來限定。An example of a standard wearer condition may be defined by an 8° anterior tilt angle, a 12mm cornea-to-lens distance, a 2mm pupil-cornea distance, a 11.5mm CRE-to-pupil distance, a 25.5mm CRE-to-lens distance, and a 0° wrap angle.

術語「處方」應當被理解為指光焦度、散光、棱鏡偏差的一組光學特性,該光學特性係由眼科醫師或驗光師確定的以便例如借助於定位於配戴者眼睛前方的鏡片矯正眼睛的視力缺陷。例如,近視眼的處方包括光焦度值和具有用於視遠的軸位的散光值。The term "prescription" should be understood to mean a set of optical properties of power, astigmatism, prismatic deviation, which are determined by an ophthalmologist or optometrist in order to correct the visual defect of the eye, for example with the aid of a lens positioned in front of the eye of the wearer. For example, a prescription for myopia includes a power value and an astigmatism value with an axis for far vision.

雖然本發明不涉及漸變鏡片,但是在文件WO 2016/146590的圖1至圖10中展示了針對漸變鏡片在本說明書中使用的措辭。技術人員可以針對單光鏡片調整該等定義。Although the present invention does not involve a gradient lens, the terms used in this specification for a gradient lens are shown in Figures 1 to 10 of document WO 2016/146590. A skilled person may adapt these definitions for a single vision lens.

一種漸變鏡片包括至少一個但較佳的是兩個非旋轉對稱的非球面表面,例如但不限於漸變表面、回歸表面、複曲面表面、或非複曲面表面。A gradient lens includes at least one but preferably two non-rotationally symmetric aspheric surfaces, such as but not limited to gradient surfaces, recursive surfaces, complex curved surfaces, or non-complex curved surfaces.

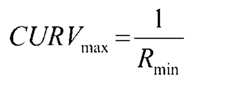
已知的是,非球面表面上的任一點處的最小曲率CURVmin由以下公式來定義:

Figure 108114819-A0305-02-0013-1
It is known that the minimum curvature CURVmin at any point on an aspherical surface is defined by the following formula:
Figure 108114819-A0305-02-0013-1

其中Rmax為局部最大曲率半徑,用米來表示,並且CURVmin用屈光度來表示。Where Rmax is the local maximum radius of curvature, expressed in meters, and CURVmin is expressed in diopters.

類似地,非球面表面上的任一點處的最大曲率CURVmax可以由以下公式來定義:

Figure 108114819-A0305-02-0014-2
Similarly, the maximum curvature CURVmax at any point on an aspherical surface can be defined by the following formula:
Figure 108114819-A0305-02-0014-2

其中Rmin為局部最小曲率半徑,用米來表示,並且CURVmax用屈光度來表示。Where Rmin is the local minimum radius of curvature, expressed in meters, and CURVmax is expressed in diopters.

可以注意到,當表面局部為球面時,局部最小曲率半徑Rmin和局部最大曲率半徑Rmax係相同的,並且相應地,最小和最大曲率CURVmin和CURVmax也是相同的。當表面係非球面時,局部最小曲率半徑Rmin和局部最大曲率半徑Rmax係不同的。It can be noted that when the surface is locally spherical, the local minimum radius of curvature Rmin and the local maximum radius of curvature Rmax are the same, and correspondingly, the minimum and maximum curvatures CURVmin and CURVmax are also the same. When the surface is aspherical, the local minimum radius of curvature Rmin and the local maximum radius of curvature Rmax are different.

根據最小曲率CURVmin和最大曲率CURVmax的該等運算式,標記為SPHmin和SPHmax的最小球鏡和最大球鏡可以根據所考慮的表面類型來推斷。From these calculations for the minimum curvature CURVmin and the maximum curvature CURVmax, the minimum and maximum spheres, denoted SPHmin and SPHmax, can be inferred depending on the type of surface under consideration.

當所考慮的表面係物體側表面(又稱為前表面)時,該等運算式如下:

Figure 108114819-A0305-02-0014-4
,以及
Figure 108114819-A0305-02-0014-5
When the surface under consideration is the side surface of an object (also called the front surface), the expressions are as follows:
Figure 108114819-A0305-02-0014-4
,as well as
Figure 108114819-A0305-02-0014-5

其中,n為鏡片的成分材料的折射率。Where n is the refractive index of the lens’ component material.

如果所考慮的表面係眼球側表面(又稱為後表面)時,該等運算式如下:

Figure 108114819-A0305-02-0014-17
以及
Figure 108114819-A0305-02-0014-7
If the surface under consideration is the lateral surface of the eyeball (also called the posterior surface), the equations are as follows:
Figure 108114819-A0305-02-0014-17
as well as
Figure 108114819-A0305-02-0014-7

其中,n為鏡片的成分材料的折射率。Where n is the refractive index of the lens’ component material.

如眾所周知的,在非球面表面上的任一點處的平均球鏡SPHmean也可以藉由如下公式定義:

Figure 108114819-A0305-02-0014-3
As is well known, the average spherical lens SPHmean at any point on the aspherical surface can also be defined by the following formula:
Figure 108114819-A0305-02-0014-3

因此,平均球鏡的運算式取決於所考慮的表面:如果所述表面係物體側表面,則

Figure 108114819-A0305-02-0015-9
Therefore, the equation for the mean sphere depends on the surface under consideration: if the surface is the side surface of an object, then
Figure 108114819-A0305-02-0015-9

如果所述表面係眼球側表面,則

Figure 108114819-A0305-02-0015-10
If the surface is the lateral surface of the eyeball, then
Figure 108114819-A0305-02-0015-10

還藉由公式CYL=|SPHmax-SPHmin|定義柱鏡CYL。The cylindrical lens CYL is also defined by the formulaCYL = |SPHmax -SPHmin |.

鏡片的任何非球面的特性可以借助於局部平均球鏡和柱鏡來表示。當柱鏡為至少0.25屈光度時,可以認為表面係局部非球面的。The properties of any aspheric surface of a lens can be characterized by means of the local average sphere and cylinder. When the cylinder is at least 0.25 diopters, the surface is considered to be locally aspheric.

對於非球面而言,局部柱鏡軸位γAX可以被進一步定義。圖7a展示了在TABO慣例中定義的散光軸位γ,而圖7b展示了在被定義用於表徵非球面表面的慣例中的柱鏡軸位γAX。For aspheric surfaces, the local cylindrical axis γAX can be further defined. Figure 7a shows the astigmatism axis γ defined in the TABO convention, while Figure 7b shows the cylindrical axis γAX in the convention defined to characterize an aspheric surface.

柱鏡軸位γAX為最大曲率CURVmax的取向相對於參考軸位並且在所選的旋轉方向上的角度。在上面定義的慣例中,參考軸位係水平的(該參考軸位的角度為0°)並且該旋轉方向在看向配戴者時對於每一隻眼來說係逆時針的(0°

Figure 108114819-A0305-02-0015-18
γAX
Figure 108114819-A0305-02-0015-19
180°)。因此,+45°的柱鏡軸位γAX的軸位值表示一條傾斜定向的軸線,在看向配戴者時該軸線從位於右上方的象限延伸到位於左下方的象限。The cylindrical axis γAX is the angle of the orientation of the maximum curvature CURVmax relative to the reference axis and in the selected rotational direction. In the example defined above, the reference axis is horizontal (the angle of the reference axis is 0°) and the rotational direction is counterclockwise for each eye when looking at the wearer (0°
Figure 108114819-A0305-02-0015-18
γAX
Figure 108114819-A0305-02-0015-19
180°). Thus, an axis value of the cylindrical axis γAX of +45° represents an obliquely oriented axis which extends from the quadrant located at the upper right to the quadrant located at the lower left when looking at the wearer.

此外,考慮到配戴著鏡片的人的狀況,漸變多焦點鏡片還可以由光學特性限定。In addition, the graduated multifocal lens can also be defined by optical properties taking into account the condition of the person wearing the lens.

圖8和圖9係眼睛和鏡片的光學系統的圖解展示,因此示出了在本說明書中使用的定義。更精確地,圖8表示這種系統的透視圖,展示了用於定義注視方向的參數α和β。圖9係平行於配戴者頭部的前後軸線的豎直平面圖,並且在參數β等於0時的情況下該豎直平面經過眼睛轉動中心。Figures 8 and 9 are diagrammatic representations of the optical system of the eye and the lens, and therefore illustrate the definitions used in this specification. More precisely, Figure 8 represents a perspective view of such a system, showing the parameters α and β used to define the gaze direction. Figure 9 is a view of a vertical plane parallel to the front-back axis of the wearer's head and passing through the eye's rotation center when the parameter β is equal to 0.

將眼睛轉動中心標記為Q’。圖9上以點劃線示出的軸線Q’F’係經過眼睛轉動中心並且在配戴者前方延伸的水平軸線,即對應於主注視視角的軸線Q’F’。此軸線在被稱為配鏡十字的點上切割鏡片的非球面表面,該點存在於鏡片上而使眼鏡師能夠將鏡片定位在鏡架中。鏡片的後表面與軸線Q’F’的相交點係點O。如果O位於後表面上,它可以是配鏡十字。具有中心Q’和半徑q’的頂球,在水平軸線的一點上與鏡片的後表面相切。作為實例,25.5mm的半徑q’的值對應於一個常用值,並且在配戴鏡片時提供令人滿意的結果。The center of eye rotation is marked as Q’. The axis Q’F’ shown as a dotted line in Figure 9 is a horizontal axis passing through the center of eye rotation and extending in front of the wearer, i.e., the axis Q’F’ corresponding to the primary visual angle. This axis cuts the aspherical surface of the lens at a point called the fitting cross, which exists on the lens to enable the optician to position the lens in the frame. The point where the back surface of the lens intersects the axis Q’F’ is point O. If O is located on the back surface, it can be the fitting cross. The apex sphere with center Q’ and radius q’ is tangent to the back surface of the lens at a point on the horizontal axis. As an example, a radius q' value of 25.5 mm corresponds to a commonly used value and provides satisfactory results when wearing the lens.

給定注視方向-圖8中的實線所表示-對應於眼睛繞著Q’轉動的位置和頂球的點J;角β係在軸線Q’F’與直線Q’J在包括軸線Q’F’的水平平面上的投影之間形成的角;這個角出現在圖3的示意圖上。角α係在軸線Q’J與直線Q’J在包括軸線Q’F’的水平平面上的投影之間形成的角;這個角出現在圖8和圖9的示意圖上。因此,給定的注視圖對應於頂球的點J或者對應於一對(α,β)。如果注視降低角的值在正向越大,則注視降低越多;並且如果該值在負向越大,則注視升高越多。A given gaze direction - represented by the solid line in Figure 8 - corresponds to the position of the eye rotating around Q' and to a point J of the vertex; the angle β is the angle formed between the axis Q'F' and the projection of the straight line Q'J on the horizontal plane including the axis Q'F'; this angle appears in the diagram of Figure 3. The angle α is the angle formed between the axis Q'J and the projection of the straight line Q'J on the horizontal plane including the axis Q'F'; this angle appears in the diagrams of Figures 8 and 9. Therefore, a given gaze diagram corresponds to a point J of the vertex or to a pair (α, β). If the value of the gaze reduction angle is larger in the positive direction, the gaze is reduced more; and if the value is larger in the negative direction, the gaze is raised more.

在給定的注視方向上,在物體空間中位於給定物距處的點M的影像形成在對應於最小距離JS和最大距離JT的兩個點S與T之間,該最小距離和最大距離將是矢狀局部焦距和切向局部焦距。在點F’處形成了物體空間中無窮遠處的點的影像。距離D對應於鏡片的後冠狀面。In a given direction of gaze, the image of a point M at a given object distance in object space is formed between two points S and T corresponding to a minimum distance JS and a maximum distance JT, which will be the sagittal and tangential local focal lengths. The image of a point at infinite distance in object space is formed at point F'. The distance D corresponds to the posterior coronal plane of the lens.

艾格瑪函數(Ergorama)係使物點的通常距離關聯於每一個注視方向的函數。典型地,在遵循主注視方向的視遠中,物點處於無窮遠處。在遵循基本上對應於在朝向鼻側的絕對值為約35°的角α和約5°的角β的注視方向的視近中,物距大約為30cm到50cm。為了瞭解關於艾格瑪函數的可能定義的更多細節,可以考慮美國專利US-A-6,318,859。該文件描述了艾格瑪函數、其定義及其建模方法。對於本發明的方法而言,點可以處於無窮遠處或不處於無窮遠處。艾格瑪函數可以是配戴者的屈光不正或配戴者的下加光的函數。Ergorama is a function that relates the general distance of an object point to each gaze direction. Typically, in far vision following the primary gaze direction, the object point is at infinite distance. In near vision following a gaze direction substantially corresponding to an angle α of about 35° absolute value toward the nasal side and an angle β of about 5°, the object distance is about 30 cm to 50 cm. For more details on possible definitions of the ergorama function, US patent US-A-6,318,859 may be considered. This document describes the ergorama function, its definition and its modeling method. For the method of the present invention, a point may be at infinite distance or not. The Egma function can be a function of the wearer's refractive error or the wearer's lower add.

使用該等要素可以在每一個注視方向上定義配戴者的光焦度和散光。針對注視方向(α,β)來考慮在由艾格瑪函數給定的物距處的物點M。在物體空間中針對對應光線上的點M將物體接近度ProxO定義為點M與頂球的點J之間的距離MJ的倒數:ProxO=1/MJUsing these factors, the wearer's optical power and astigmatism can be defined in each gaze direction. Consider an object point M at an object distance given by the Egma function for the gaze direction (α, β). Define the object proximity ProxO in object space for the point M on the corresponding ray as the reciprocal of the distance MJ between the point M and the point J on the vertex sphere: ProxO=1/MJ

這使得能夠在針對頂球的所有點的一種薄鏡片近似內計算物體接近度,該薄鏡片近似用於確定艾格瑪函數。對於真實鏡片而言,物體接近度可以被視為在對應光線上物點與鏡片的前表面之間的距離的倒數。This enables the object proximity to be computed within a thin lens approximation for all points of the apex sphere, which is used to determine the Egma function. For a real lens, the object proximity can be considered as the inverse of the distance between the object point and the front surface of the lens on the corresponding ray.

對於同一注視方向(α,β)而言,具有給定物體接近度的點M的影像形成於分別對應於最小焦距和最大焦距(其將是矢狀焦距和切向焦距)的兩個點S與T之間。量ProxI被稱為點M的影像接近度:

Figure 108114819-A0305-02-0017-11
For the same gaze direction (α, β), the image of a point M with a given object proximity is formed between two points S and T corresponding to the minimum and maximum focal lengths, respectively (which will be the sagittal and tangential focal lengths). The quantity ProxI is called the image proximity of the point M:
Figure 108114819-A0305-02-0017-11

藉由用薄鏡片的情況類推,因此針對給定注視方向和給定物體接近度,即,針對物體空間在對應光線上的一點,可以將光焦度Pui定義為影像接近度與物體接近度之和。By analogy with the case of thin lenses, the optical power Pui can be defined as the sum of the image proximity and the object proximity for a given gaze direction and a given object proximity, i.e. for a point in object space on the corresponding ray.

Pui=ProxO+ProxIPui =ProxO +ProxI

用相同的符號標記法,針對每個注視方向和給定物體接近度將散光Ast定義為:

Figure 108114819-A0305-02-0017-12
Using the same notation, the astigmatism Ast is defined for each gaze direction and given object proximity as:
Figure 108114819-A0305-02-0017-12

此定義對應於由鏡片產生的光束的散光。可以注意到,該定義在主注視方向上給出了散光的典型值。通常被稱為軸位的散光角係角γ。角γ係在與眼睛關聯的參考系{Q',xm,ym,zm}中測量的。它對應於藉以形成影像S或T的角,該角取決於結合平面{Q',zm,ym}中的方向zm所使用的慣例。This definition corresponds to the astigmatism of the beam generated by the lens. It can be noted that this definition gives typical values of astigmatism in the main direction of gaze. The angle of astigmatism, usually called the axis, is the angle γ. The angle γ is measured in the reference system {Q', xm, ym, zm} associated with the eye. It corresponds to the angle by which the image S or T is formed, depending on the convention used to combine the direction zm in the plane {Q', zm, ym}.

考慮到經過配戴者眼睛的轉動中心的光線,已經針對中央凹視力限定了光焦度和散光。Taking into account the light passing through the center of rotation of the wearer's eye, the optical power and astigmatism are already defined for foveal vision.

考慮到圖10a所示的經過配戴者瞳孔中心的光線,可以以類似的方式針對周邊視力限定光焦度和散光。Power and astigmatism can be defined in a similar manner for peripheral vision, taking into account the light passing through the center of the wearer's pupil as shown in Figure 10a.

在配戴條件下,鏡片的光焦度和散光的可能定義因此可以如B.Bourdoncle等人的論文中所闡釋那樣計算,該論文的題目為「藉由漸變眼科鏡片的光線追蹤[Ray tracing through progressive ophthalmic lenses]」(1990年國際鏡片設計會議,D.T.Moore編,英國光電光學儀器學會會議記錄)。The possible definitions of the power and astigmatism of the lens in the wearing condition can therefore be calculated as explained in the paper by B. Bourdoncle et al. entitled "Ray tracing through progressive ophthalmic lenses" (1990 International Conference on Lens Design, D. T. Moore, ed., Proceedings of the British Society for Optoelectronic Instrumentation).

處方部分12可以進一步被配置為針對中央凹視力基於配戴者的處方向配戴者提供針對中央凹視力的第二光焦度,該第二光焦度與第一光焦度不同。The prescription portion 12 can be further configured to provide a second optical power for foveal vision to the wearer based on the wearer's prescription for foveal vision, the second optical power being different from the first optical power.

在本發明的意義上,當兩個光焦度之間的差大於或等於0.5D時,認為兩個光焦度係不同的。For the purposes of the present invention, two optical powers are considered to be different when the difference between them is greater than or equal to 0.5D.

當人的眼睛的屈光異常對應於近視時,第二光焦度大於第一光焦度。When the refractive abnormality of a person's eye corresponds to myopia, the second optical power is greater than the first optical power.

當人的眼睛的屈光異常對應於遠視時,第二光焦度小於第一光焦度。When the refractive abnormality of a person's eye corresponds to hyperopia, the second optical power is smaller than the first optical power.

處方部分較佳的是形成為除了形成為多個光學元件的部分之外的部分。換言之,處方部分係與由多個光學元件形成的部分互補的部分。The prescription portion is preferably formed as a portion other than the portion formed as a plurality of optical elements. In other words, the prescription portion is a portion that complements the portion formed by the plurality of optical elements.

處方部分可以具有連續的光焦度變化。例如,處方部分可以具有漸變多焦點設計。The prescription portion can have a continuous optical power change. For example, the prescription portion can have a gradual multi-focal design.

處方部分的光學設計可以包括- 配鏡十字,在該配鏡十字處,光焦度為負;- 第一區,當配戴者戴著鏡片元件時,該第一區在處方部分的顳側延伸。在第一區中,當朝顳側延伸時,光焦度增大,並且在鏡片的鼻側,眼科鏡片的光焦度與在配鏡十字處的基本上相同。The optical design of the prescription part may include - a prescription cross at which the optical power is negative; - a first zone extending temporally of the prescription part when the wearer wears the lens element. In the first zone, the optical power increases as it extends temporally, and on the nasal side of the lens, the optical power of the ophthalmic lens is substantially the same as at the prescription cross.

在WO 2016/107919中更詳細地揭露了這種光學設計。This optical design is disclosed in more detail in WO 2016/107919.

替代性地,處方部分中的光焦度可以包括至少一種不連續性。Alternatively, the optical power in the prescription portion may include at least one discontinuity.

如圖1上所表示,鏡片元件可以分成五個互補區:中心區16,該中心區的光焦度等於第一屈光力;四個在45°處的象限Q1、Q2、Q3、Q4,至少一個象限至少具有光焦度等於第二光焦度的點。As shown in FIG. 1 , the lens element can be divided into five complementary zones: a central zone 16, the optical power of which is equal to the first refractive power; four quadrants Q1, Q2, Q3, Q4 at 45°, at least one of which has at least one point with an optical power equal to the second optical power.

在本發明的意義上,根據圖1上所示的TABO慣例,「在45°處的象限」應理解為朝45°/225°和135°/315°方向定向的90°的等角度象限。In the sense of the present invention, according to the TABO convention shown in Figure 1, "quadrant at 45°" should be understood as 90° equiangular quadrants oriented in the directions of 45°/225° and 135°/315°.

較佳的是,中心區16包括框架參考點並且具有大於或等於4mm且小於或等於22mm的直徑,該框架參考點面向在標準配戴條件下直視前方的配戴者的瞳孔。Preferably, the central region 16 includes a frame reference point that faces the pupil of a wearer looking straight ahead under standard wearing conditions and has a diameter greater than or equal to 4 mm and less than or equal to 22 mm.

根據本發明的實施方式,至少下部象限Q4具有針對中央視力的第二光焦度,該第二光焦度與符合用於矯正屈光異常的處方的第一光焦度不同。According to an embodiment of the present invention, at least the lower quadrant Q4 has a second optical power for central vision that is different from the first optical power that complies with the prescription for correcting refractive errors.

例如,處方部分具有漸變多焦點屈光函數。漸變多焦點屈光函數可以在上部象限Q2與下部象限Q4之間延伸。For example, the prescription portion has a gradient multifocal refractive function. The gradient multifocal refractive function may extend between an upper quadrant Q2 and a lower quadrant Q4.

有利地,這樣的配置允許補償由於添加鏡片而當人在例如視近距離觀看時的調節滯後。Advantageously, such a configuration allows compensation for accommodative lag due to the addition of the lens when a person is viewing at, for example, a near distance.

根據實施方式,顳側象限Q3和鼻側象限Q1中的至少一者具有第二光焦度。例如,顳側象限Q3具有隨鏡片偏心率變化的焦度變化。According to an embodiment, at least one of the temporal quadrant Q3 and the nasal quadrant Q1 has a second optical power. For example, the temporal quadrant Q3 has a power variation that varies with the eccentricity of the lens.

有利地,這種配置提高了周邊視力的屈光異常控制的效率,並且在水平軸線上具有更大的效果。Advantageously, this configuration improves the efficiency of refractive error control in peripheral vision and has a greater effect in the horizontal axis.

根據實施方式,四個象限Q1、Q2、Q3和Q4具有同心的焦度漸變。According to the implementation method, the four quadrants Q1, Q2, Q3 and Q4 have concentric focal gradients.

根據本發明的實施方式,鏡片的中心區對應於以鏡片元件的光學中心為中心的區,不包括光學元件。例如,鏡片元件可以包括以所述鏡片元件的光學中心為中心並且具有等於0.9mm的直徑的空區,該空區不包括光學元件。According to an embodiment of the present invention, the central area of the lens corresponds to an area centered on the optical center of the lens element, excluding the optical element. For example, the lens element may include an empty area centered on the optical center of the lens element and having a diameter equal to 0.9 mm, which does not include the optical element.

鏡片元件的光學中心可以對應於鏡片的配適點。The optical center of a lens element can correspond to the matching point of the lens.

替代性地,光學元件可以設置在鏡片元件的整個表面上。Alternatively, the optical element may be disposed over the entire surface of the lens element.

多個至少三個光學元件14中的至少一者光學元件具有不將影像聚焦在配戴者眼睛的視網膜上、用於周邊視力的光學功能。At least one of the plurality of at least three optical elements 14 has an optical function for peripheral vision without focusing the image on the retina of the wearer's eye.

在本發明的意義上,「聚焦」應理解為產生具有圓形截面的聚焦斑點,該圓形截面可以減小到焦平面中的一點。In the sense of the present invention, "focusing" is understood to mean producing a focused spot with a circular cross-section that can be reduced to a point in the focal plane.

有利地,光學元件的這種光學功能減小在周邊視力下配戴者眼睛的視網膜的變形,允許減緩配戴鏡片元件的人的眼睛的屈光異常的發展。Advantageously, this optical function of the optical element reduces deformations of the retina of the wearer's eye under peripheral vision, allowing to slow down the development of refractive anomalies in the eye of the person wearing the lens element.

光學元件可以如圖1所表示,係不連續的光學元件。The optical element can be represented as shown in Figure 1, which is a discontinuous optical element.

在本發明的意義上,如果沿著由鏡片元件的表面支撐、連接位於鏡片元件的所述表面上的兩個光學元件的所有路徑,則該兩個光學元件係不連續的,一個光學元件到達光學元件所位於的基礎數據表面。In the sense of the present invention, two optical elements are discontinuous if along all paths supported by the surface of a lens element, connecting two optical elements located on said surface, one optical element reaches the underlying data surface on which the optical element is located.

當至少兩個光學元件所位於的表面係球面時,基礎數據表面對應於所述球面表面。換言之,如果沿著連接位於球面表面上的兩個光學元件並且由所述球面表面支撐的所有路徑,則所述兩個光學元件係不連續的,一個光學元件到達所述球面表面。When the surface on which at least two optical elements are located is a spherical surface, the base data surface corresponds to the spherical surface. In other words, if along all paths connecting two optical elements located on the spherical surface and supported by the spherical surface, the two optical elements are discontinuous, one optical element reaches the spherical surface.

當至少兩個光學元件所位於的表面係非球面時,基礎數據表面對應於最適合所述非球面表面的局部球面表面。換言之,如果沿著連接位於非球面表面上的兩個光學元件並且由所述非球面表面支撐的所有路徑,則該兩個光學元件係不連續的,一個光學元件到達最適合非球面表面的球面表面。When the surface on which at least two optical elements are located is an aspherical surface, the basic data surface corresponds to a local spherical surface that best fits the aspherical surface. In other words, if along all paths connecting two optical elements located on an aspherical surface and supported by the aspherical surface, the two optical elements are discontinuous, one optical element reaches a spherical surface that best fits the aspherical surface.

如圖12所表示,多個光學元件14可以包括至少兩個連續的光學元件。As shown in FIG. 12 , the plurality of optical elements 14 may include at least two continuous optical elements.

在本發明的意義上,如果存在由鏡片元件的表面支撐、連接位於鏡片元件的所述表面上的兩個光學元件的所有路徑,則該兩個光學元件係連續的,並且如果沿著所述路徑,則一個光學元件沒有到達光學元件所位於的基礎數據表面。In the sense of the present invention, two optical elements are continuous if there are all paths supported by the surface of a lens element, connecting two optical elements located on said surface of the lens element, and if along said path one optical element does not reach the underlying data surface on which the optical element is located.

當至少兩個光學元件所位於的表面係球面時,基礎數據表面對應於所述球面表面。換言之,如果存在由球面表面支撐並且連接位於所述球面表面上的兩個光學元件的路徑,則所述兩個光學元件係連續的,並且如果沿著該路徑,則一個光學元件可能沒有到達該球面表面。When the surface on which at least two optical elements are located is a spherical surface, the basic data surface corresponds to the spherical surface. In other words, if there is a path supported by a spherical surface and connecting two optical elements located on the spherical surface, the two optical elements are continuous, and if along the path, one optical element may not reach the spherical surface.

當至少兩個光學元件所位於的表面係非球面時,基礎數據表面對應於最適合該非球面表面的局部球面表面。換言之,如果存在由非球面表面支撐並連接位於所述非球面表面上的兩個光學元件的路徑,則該兩個光學元件係連續的,並且如果沿著所述路徑,則一個光學元件可能沒有到達最適合非球面表面的球面表面。When the surface on which at least two optical elements are located is an aspherical surface, the basic data surface corresponds to a local spherical surface that best fits the aspherical surface. In other words, if there is a path supported by an aspherical surface and connecting two optical elements located on the aspherical surface, the two optical elements are continuous, and if along the path, one optical element may not reach the spherical surface that best fits the aspherical surface.

有利地,具有連續的光學元件有助於改善鏡片元件的美觀並且更容易製造。Advantageously, having continuous optical elements helps improve the aesthetics of the lens element and is easier to manufacture.

多個光學元件14中的至少一者、較佳的是所有光學元件具有不將影像聚焦在配戴者眼睛的視網膜上的光學功能,特別是針對周邊視力和較佳的是針對中央視力和周邊視力。At least one of the plurality of optical elements 14, preferably all of the optical elements, has an optical function of not focusing an image on the retina of the wearer's eye, particularly for peripheral vision and preferably for central and peripheral vision.

有利地,光學元件的這種光學功能減小在周邊視力下配戴者眼睛的視網膜的變形,允許減緩配戴鏡片元件的人的眼睛的屈光異常的發展。Advantageously, this optical function of the optical element reduces deformations of the retina of the wearer's eye under peripheral vision, allowing to slow down the development of refractive anomalies in the eye of the person wearing the lens element.

根據本發明的較佳的實施方式,至少兩個連續的光學元件係獨立的。According to a preferred embodiment of the present invention, at least two continuous optical elements are independent.

在本發明的意義上,如果產生獨立影像,則認為兩個光學元件係獨立的。In the sense of the present invention, two optical elements are considered independent if independent images are produced.

特別地,當「在中央視力下」被平行光束照射時,每個「獨立的連續光學元件」在影像空間中的平面上形成與其相關的斑點。換言之,當隱藏「光學元件」之一時,即使這個光學元件與另一光學元件連續,斑點也會消失。Specifically, each "independent continuous optical element" forms a spot associated with it on a plane in the image space when illuminated by a parallel beam "under central vision". In other words, when one of the "optical elements" is hidden, the spot disappears even if this optical element is continuous with another optical element.

對於US 7976158中揭露的經典菲涅耳環(具有單焦度),所述菲涅耳環產生單個斑點,如果隱藏環的一小部分,斑點位置不會改變。因此,菲涅耳環不能被認為係一系列「獨立的連續光學元件」。根據本發明的實施方式,光學元件具有特定尺寸。特別地,該等光學元件具有可內接在直徑大於或等於0.8mm且小於或等於3.0mm、較佳的是大於或等於1.0mm且小於2.0mm的圓內的外形形狀。For the classic Fresnel ring (with single focal power) disclosed in US 7976158, the Fresnel ring produces a single spot, and the spot position does not change if a small part of the ring is hidden. Therefore, the Fresnel ring cannot be considered as a series of "independent continuous optical elements". According to an embodiment of the present invention, the optical elements have a specific size. In particular, the optical elements have an outer shape that can be inscribed in a circle with a diameter greater than or equal to 0.8 mm and less than or equal to 3.0 mm, preferably greater than or equal to 1.0 mm and less than 2.0 mm.

根據本發明的實施方式,光學元件位於網路上。According to an embodiment of the present invention, the optical element is located on the network.

光學元件所位於的網路可以是結構化網路,如圖12至圖16所示。The network in which the optical element is located can be a structured network, as shown in Figures 12 to 16.

在圖12至圖15所示的實施方式中,光學元件沿多個同心環定位。In the embodiments shown in FIGS. 12 to 15 , the optical elements are positioned along a plurality of concentric rings.

光學元件的同心環可以是環形環。The concentric rings of the optical element may be annular rings.

根據本發明的實施方式,鏡片元件進一步包括至少四個光學元件。該至少四個光學元件被組織成至少兩組光學元件,每組光學元件被組織成具有相同中心的至少兩個同心環,每組光學元件的同心環由內徑和外徑限定。According to an embodiment of the present invention, the lens element further includes at least four optical elements. The at least four optical elements are organized into at least two groups of optical elements, each group of optical elements is organized into at least two concentric rings with the same center, and the concentric rings of each group of optical elements are defined by an inner diameter and an outer diameter.

根據本發明的實施方式,每組光學元件中的光學元件係連續的。According to an embodiment of the present invention, the optical elements in each set of optical elements are continuous.

每組光學元件的同心環的內徑對應於與該等組光學元件中的至少一者光學元件相切的最小圓。光學元件的同心環的外徑對應於與所述組中的至少一者光學元件相切的最大圓。The inner diameter of the concentric rings of each set of optical elements corresponds to the smallest circle tangent to at least one of the optical elements in the sets. The outer diameter of the concentric rings of the optical elements corresponds to the largest circle tangent to at least one of the optical elements in the sets.

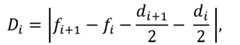
例如,鏡片元件可以包括n個光學元件環,f1指的是最靠近鏡片元件的光學中心的同心環的內徑,f1指的是最靠近鏡片元件的光學中心的同心環的外徑,f內n指的是最靠近鏡片元件的周邊的環的內徑,並且f外n指的是最接近鏡片元件的周邊的「同心環」的外徑。For example, a lens element may include n optical element rings,fin1 refers to the inner diameter of the concentric rings closest to the optical center of the lens element,fout1 refers to the outer diameter of the concentric rings closest to theoptical center of the lens element,finn refers to the inner diameter ofthe rings closest to the periphery of thelens element, andfoutn refers to theouter diameter of the "concentric rings" closest to the periphery of the lens element.

兩個連續光學元件同心環i和i+1之間的距離Di可以表示為:Di=|f內i+1-f外i|,其中,f外i指的是第一光學元件環i的外徑並且f內i+1指的是第二光學元件環i+1的內徑,其與第一光學元件環相連並且更靠近鏡片元件的周邊。The distanceDi between two consecutive optical element concentric rings i and i+1 can be expressed as:Di= |fi+ 1-fi| , wherefi refers to the outer diameter of the first optical element ring i andfi+1 refers to the inner diameter of the second optical element ring i+1, which is connected to the first optical element ring and closer to the periphery of the lens element.

根據本發明的另一個實施方式,光學元件被組織成以鏡片元件的表面的光學中心為中心的同心環,該鏡片元件的表面上設置有該等光學元件並連接每個光學元件的幾何中心。According to another embodiment of the present invention, the optical elements are organized into concentric rings centered on the optical center of the surface of the lens element on which the optical elements are arranged and the geometric center of each optical element is connected.

例如,鏡片元件可以包括n個光學元件環,f1指的是最靠近鏡片元件的光學中心的環的直徑,並且fn指的是最靠近鏡片元件的周邊的環的直徑。For example, a lens element may include n optical element rings,f1 refers to the diameter of the ring closest to the optical center of the lens element, andfn refers to the diameter of the ring closest tothe periphery of the lens element.

兩個連續光學元件同心環i和i+1之間的距離Di可以表示為:

Figure 108114819-A0305-02-0024-13
其中,fi指的是第一光學元件環i的直徑,並且fi+1指的是第二光學元件環i+1的直徑,其與第一光學元件環相連並且更靠近鏡片元件的周邊,並且其中,di指的是在第一光學元件環上的光學元件的直徑,並且di+1指的是在第二光學元件環上的光學元件的直徑,第二光學元件環與第一環相連並且更靠近鏡片元件的周邊。光學元件的直徑對應於內接光學元件的外形形狀的圓的直徑。The distance Di between two concentric rings i and i+1 of continuous optical elements can be expressed as:
Figure 108114819-A0305-02-0024-13
Wherein,firefers to the diameter of the first optical element ring i, andfi+ 1 refers to the diameter of the second optical element ring i+1, which is connected to the first optical element ring and is closer to the periphery of the lens element, and wherein,di refers to the diameter of the optical element on the first optical element ring, anddi +1 refers to the diameter of the optical element on the second optical element ring, which is connected to the first ring and is closer to the periphery of the lens element. The diameter of the optical element corresponds to the diameter of the circle in which the outer shape of the optical element is inscribed.

光學元件的同心環可以是環形環。The concentric rings of the optical element may be annular rings.

有利地,鏡片元件的光學中心和光學元件同心環的中心重合。例如,鏡片元件的幾何中心、鏡片元件的光學中心和光學元件同心環的中心重合。Advantageously, the optical center of the lens element and the centers of the concentric rings of the optical element coincide. For example, the geometric center of the lens element, the optical center of the lens element and the centers of the concentric rings of the optical element coincide.

在本發明的意義上,術語「重合」應理解為非常靠近在一起,例如相距小於1.0mm。In the sense of the present invention, the term "coincides" is to be understood as being very close together, for example less than 1.0 mm apart.

兩個連續同心環之間的距離Di可以根據i而變化。例如,兩個連續同心環之間的距離Di可以在2.0mm與5.0mm之間變化。The distance Di between two consecutive concentric rings can vary according to i. For example, the distance Di between two consecutive concentric rings can vary between 2.0 mm and 5.0 mm.

根據本發明的實施方式,兩個連續光學元件同心環之間的距離Di大於2.00mm、較佳的是3.0mm、更較佳的是5.0mm。According to an embodiment of the present invention, the distance Di between two concentric rings of continuous optical elements is greater than 2.00 mm, preferably 3.0 mm, and more preferably 5.0 mm.

有利地,在兩個連續光學元件同心環之間具有大於2.00mm的距離Di允許在該等光學元件環之間管理更大的折射面積,從而提供更好的視敏度。Advantageously, having a distance Di greater than 2.00 mm between two consecutive concentric rings of optical elements allows a larger refractive area to be managed between the optical element rings, thereby providing better visual acuity.

考慮到鏡片元件的環形區具有大於9mm的內徑和小於57mm的外徑,使幾何中心位於距鏡片元件的光學中心小於1mm的距離,位於所述圓形區內的光學元件部分的面積總和與所述圓形區的面積之間的比率在20%與70%之間、較佳的是在30%與60%之間、更較佳的是在40%與50%之間。Taking into account that the annular zone of the lens element has an inner diameter greater than 9 mm and an outer diameter less than 57 mm, the geometric center is located at a distance less than 1 mm from the optical center of the lens element, and the ratio between the sum of the areas of the optical element parts located in the circular zone and the area of the circular zone is between 20% and 70%, preferably between 30% and 60%, more preferably between 40% and 50%.

換言之,發明人已經觀察到,對於上述比率的給定值,光學元件的組織成同心環,其中該等環間隔大於2.0mm的距離,允許提供折射區域的環形區比當光學元件設置在六邊形網路中或隨機地設置在鏡片元件的表面上時管理的折射區域更容易製造,從而提供更好的眼睛屈光異常矯正,並因此提供更好的視敏度。In other words, the inventors have observed that, for a given value of the above ratio, the organization of the optical elements into concentric rings, wherein the rings are spaced apart by a distance greater than 2.0 mm, allows annular zones providing refractive zones that are easier to manufacture than those managed when the optical elements are arranged in a hexagonal network or randomly on the surface of the lens element, thus providing a better correction of the eye's refractive anomalies and, therefore, a better visual acuity.

根據本發明的實施方式,鏡片元件的所有光學元件的直徑di係相同的。According to an embodiment of the present invention, the diameters di of all optical elements of the lens element are the same.

根據本發明的實施方式,當i朝向鏡片元件的周邊增加時,兩個連續同心環i和i+1之間的距離Di可以增加。According to an embodiment of the present invention, the distance Di between two consecutive concentric rings i and i+1 can increase as i increases towards the periphery of the lens element.

光學元件同心環可以具有9mm與60mm之間的直徑。The optical element concentric rings can have a diameter between 9mm and 60mm.

根據本發明的實施方式,鏡片元件包括設置成至少2個同心環、較佳的是多於5個、更較佳的是多於10個同心環的光學元件。例如,光學元件可以設置成以鏡片的光學中心為中心的11個同心環。According to an embodiment of the present invention, the lens element includes an optical element arranged into at least 2 concentric rings, preferably more than 5, and more preferably more than 10 concentric rings. For example, the optical element can be arranged into 11 concentric rings centered on the optical center of the lens.

在圖12中,光學元件係沿一組5個同心環定位的微鏡片。微鏡片的光焦度和/或柱鏡可以根據它們沿同心環的位置而不同。In Figure 12, the optical elements are microlenses positioned along a set of 5 concentric rings. The optical power and/or cylinder of the microlenses can vary depending on their position along the concentric rings.

在圖13中,光學元件對應於同心圓的不同磁區。In Figure 13, the optical elements correspond to different magnetic regions of the concentric circles.

在圖14b中,光學元件對應於純圓柱形同心環的一部分,如圖14a所示。在該實例中,光學元件具有恒定的焦度但是具有可變的柱鏡軸位。In Figure 14b, the optical element corresponds to a portion of a pure cylindrical concentric ring, as shown in Figure 14a. In this example, the optical element has a constant focal power but a variable cylindrical axis.

根據本發明的實施方式,例如圖12所示,鏡片元件可以進一步包括徑向定位在兩個同心環之間的光學元件14。在圖12所示的實例中,在兩個同心環之間僅放置4個光學元件,然而,可以在兩個環之間放置更多光學元件。According to an embodiment of the present invention, as shown in FIG. 12, the lens element may further include an optical element 14 radially positioned between two concentric rings. In the example shown in FIG. 12, only four optical elements are placed between the two concentric rings, however, more optical elements may be placed between the two rings.

光學元件可以放置在結構化網路上,該結構化網路係方形網路或六邊形網路或三角形網路或八邊形網路。The optical elements can be placed on a structured network, which is a square network or a hexagonal network or a triangular network or an octagonal network.

在圖16中示出了本發明的這種實施方式,其中光學元件14放置在方形網路上。Such an embodiment of the invention is shown in FIG. 16 , in which the optical element 14 is placed on a square grid.

替代性地,光學元件可以放置在隨機結構網路上,諸如Voronoid網路,如圖17所示。Alternatively, the optical elements can be placed on a random structure network, such as a Voronoid network, as shown in Figure 17.

有利地,使光學元件放置在隨機結構上限制了光散射或衍射的風險。Advantageously, placing optical elements on a random structure limits the risk of light scattering or diffraction.

兩個連續光學元件之間的不同連接係可能的。Different connections between two consecutive optical elements are possible.

例如,如圖18a和圖18b所示,至少一部分、例如所有的光學元件在兩個連續光學元件之間具有恒定的光焦度和不連續的一階導數。在圖18a和圖18b所示的實例中,teta係極座標參考中的角座標。如在該實施方式中可以觀察到的,在沒有球鏡的連續光學元件之間沒有區域。For example, as shown in Figures 18a and 18b, at least a portion, for example all, of the optical elements have a constant optical power and a discontinuous first-order derivative between two consecutive optical elements. In the examples shown in Figures 18a and 18b, teta is an angular coordinate in a polar coordinate reference. As can be observed in this embodiment, there is no region between consecutive optical elements without a spherical lens.

替代性地,如圖19a和圖19b所示,至少一部分、例如所有的光學元件在兩個連續光學元件之間具有變化的光焦度和連續的一階導數。Alternatively, as shown in Figures 19a and 19b, at least a portion, for example all, of the optical elements have varying optical power and continuous first-order derivatives between two consecutive optical elements.

為了獲得這種變化,這裡可以使用兩個恒定焦度,一個係正的,一個係負的。負焦度的面積遠小於正焦度的面積,因此總體焦度具有正焦度效應。To achieve this variation, two constant powers can be used, one positive and one negative. The area of the negative power is much smaller than the area of the positive power, so the overall power has a positive power effect.

圖19a和圖19b所示的該實施方式中的一個重點係Z座標與折射區域相比總是正的。An important point in the implementation shown in Figures 19a and 19b is that the Z coordinate is always positive compared to the refractive area.

如圖2上所示,根據本發明的鏡片元件10包括形成為朝向物體側的凸曲面的物體側表面F1、以及形成為具有與物體側表面F1的曲率不同的曲率的凹面的眼睛側表面F2。As shown in FIG. 2 , the lens element 10 according to the present invention includes an object side surface F1 formed as a convex surface facing the object side, and an eye side surface F2 formed as a concave surface having a curvature different from the curvature of the object side surface F1.

根據本發明的實施方式,至少一部分、例如所有的光學元件位於鏡片元件的前表面上。According to an embodiment of the present invention, at least a portion, for example all, of the optical elements are located on the front surface of the lens element.

至少一部分、例如所有的光學元件可以位於鏡片元件的後表面上。At least a portion, for example all, of the optical elements may be located on the rear surface of the lens element.

至少一部分、例如所有的光學元件可以位於鏡片元件的前表面與後表面之間。例如,鏡片元件可以包括形成光學元件的具有不同折射率的區。At least a portion, for example all, of the optical element may be located between the front and rear surfaces of the lens element. For example, the lens element may include regions having different refractive indices forming the optical element.

根據本發明的實施方式,至少一個光學元件具有針對周邊視力將影像聚焦在除視網膜之外的位置上的光學功能。According to an embodiment of the present invention, at least one optical element has an optical function of focusing an image on a location other than the retina for peripheral vision.

較佳的是,至少50%、例如至少80%、例如所有的光學元件具有針對周邊視力將影像聚焦在除視網膜之外的位置上的光學功能。Preferably, at least 50%, such as at least 80%, such as all of the optical elements have the optical function of focusing an image at a location other than the retina for peripheral vision.

根據本發明的較佳的實施方式,至少針對周邊視力而言,所有的光學元件被配置成使得穿過每個光學元件的光線的平均焦點在距配戴者的視網膜相同的距離處。According to a preferred embodiment of the present invention, at least for peripheral vision, all optical elements are configured so that the average focus of light passing through each optical element is at the same distance from the wearer's retina.

可以優化每個光學元件的光學功能、特別是屈光功能,以便在配戴者眼睛的視網膜的恒定距離處提供焦點影像,特別是在周邊視力下。這種優化需要根據光學元件在鏡片元件上的位置來調整每個光學元件的屈光功能。The optical function, in particular the refractive function, of each optical element can be optimized to provide a focused image at a constant distance from the retina of the wearer's eye, in particular in peripheral vision. This optimization requires adjusting the refractive function of each optical element according to its position on the lens element.

特別地,發明人已經確定穿過在周邊視力(距瞳孔中心30°)下分析的球形3D形狀微鏡片的光束的點圖不是一個點。In particular, the inventors have determined that the spot diagram of a light beam passing through a spherical 3D shaped microlens analyzed under peripheral vision (30° from the center of the pupil) is not a single point.

為了獲得一個點,發明人已經確定光學元件應該具有柱鏡度,例如具有複曲面形狀。To achieve this, the inventors have determined that the optical element should have cylindrical power, for example, have a toric shape.

通常作為視覺缺陷遇到的散光類型係不同平面中不同鏡片曲率引起的。但即使係完全對稱的球面鏡片也表現出一種光散光,光從光軸外的一點開始接近鏡片。如圖10b上所示,斜軸散光係軸外光線的像差,其導致物平面中的徑向線和切線在影像空間中清晰聚焦在不同距離處。The types of astigmatism commonly encountered as visual defects are caused by different lens curvatures in different planes. But even perfectly symmetrical spherical lenses exhibit a type of astigmatism for light that approaches the lens from a point off the optical axis. As shown in Figure 10b, oblique astigmatism is an aberration of off-axis light that causes radial and tangential lines in the object plane to be sharply focused at different distances in image space.

因此,沿其光軸觀看球面鏡片不產生散光。如果看到光學元件使得光學元件的軸線穿過眼睛、特別是針對周邊視力穿過瞳孔的中心,則沒有散光。然而,在所有其他情況下,甚至當光學元件與注視方向相比偏心時更係如此,特別是對於周邊視力,人們具有斜軸散光。穿過光學元件的光在所有子午線上、即從光學元件的中心到邊緣「看不到」相同的焦度。Therefore, viewing a spherical lens along its optical axis does not produce astigmatism. If the optical element is viewed so that its axis passes through the eye, especially for peripheral vision through the center of the pupil, there is no astigmatism. However, in all other cases, even more so when the optical element is eccentric compared to the direction of gaze, especially for peripheral vision, people have oblique astigmatism. The light passing through the optical element "does not see" the same power on all meridians, i.e. from the center to the edge of the optical element.

根據本發明的實施方式,光學元件被配置成使得至少沿著鏡片的一個區段,光學元件的平均球鏡從所述區段的某個點朝向所述區段的周邊增大。According to an embodiment of the present invention, the optical element is configured such that, along at least one segment of the lens, the average spherical lens of the optical element increases from a certain point of the segment toward the periphery of the segment.

光學元件可以被進一步被配置成使得至少沿著鏡片的一個區段,例如至少與光學元件的平均球鏡增大所沿著的區段相同的區段,柱鏡從所述區段的某個點(例如,與平均球鏡相同的點)朝所述區段的周邊部分增大。The optical element may further be configured such that along at least a segment of the lens, e.g., at least the same segment along which the average sphere of the optical element increases, the cylinder increases from a certain point of the segment (e.g., the same point as the average sphere) toward a peripheral portion of the segment.

有利地,使光學元件配置成沿著鏡片的至少一個區段,光學元件的平均球鏡和/或平均柱鏡從所述區段的點朝向所述區段的周邊部分增大,允許在近視情況下增大光線在視網膜前方的散焦,或在遠視情況下增大光線在視網膜後面的散焦。Advantageously, the optical element is configured so that along at least one segment of the lens, the average sphere and/or average cylinder of the optical element increases from a point of said segment towards the peripheral portion of said segment, allowing to increase the defocus of the light in front of the retina in case of myopia or to increase the defocus of the light behind the retina in case of hyperopia.

換言之,發明人已經觀察到將光學元件配置成使得沿著該鏡片的至少一個區段,光學元件的平均球鏡從所述區段的點朝向所述區段的周邊部分增大,有助於減緩眼睛的比如近視或遠視等屈光異常的發展。In other words, the inventors have observed that configuring an optical element such that along at least one segment of the lens, the average sphere of the optical element increases from a point of the segment towards the peripheral portion of the segment, helps to slow the development of refractive abnormalities of the eye, such as myopia or hyperopia.

光學元件可以被配置成使得沿著鏡片的至少一個區段,光學元件的平均球鏡和/或柱鏡從所述區段的中心朝向所述區段的周邊部分增大。The optical element may be configured such that along at least one segment of the lens, the average spherical and/or cylindrical aspect of the optical element increases from the center of the segment toward a peripheral portion of the segment.

根據本發明的實施方式,光學元件被配置成使得在標準配戴條件下,至少一個區段係水平區段。According to an embodiment of the present invention, the optical element is configured so that under standard wearing conditions, at least one segment is a horizontal segment.

平均球鏡和/或柱鏡可以沿著至少一個水平區段根據增大函數而增大,增大函數係高斯函數。高斯函數在鏡片的鼻部與顳部之間可以是不同的,以便考慮人的視網膜的不對稱性。The average sphere and/or cylinder may increase along at least one horizontal segment according to an increase function, the increase function being a Gaussian function. The Gaussian function may be different between the nasal and temporal portions of the lens in order to account for the asymmetry of the human retina.

替代性地,平均球鏡和/或柱鏡可以沿著至少一個水平區段根據增大函數而增大,該增大函數係二次函數。該二次函數在鏡片的鼻部與顳部之間可以是不同的,以便考慮人的視網膜的不對稱性。Alternatively, the average sphere and/or cylinder may increase along at least one horizontal segment according to an increasing function, which is a quadratic function. The quadratic function may be different between the nasal and temporal portions of the lens in order to account for the asymmetry of the human retina.

根據本發明的實施方式,光學元件的平均球鏡和/或柱鏡從所述區段的第一點朝向所述區段的周邊部分增大,並且從所述區段的第二點朝向所述區段的周邊部分減小,第二點比第一點更靠近所述區段的周邊部分。According to an embodiment of the present invention, the average spherical and/or cylindrical lens of the optical element increases from a first point of the segment toward the peripheral portion of the segment, and decreases from a second point of the segment toward the peripheral portion of the segment, the second point being closer to the peripheral portion of the segment than the first point.

在表1中展示了這樣的實施方式,其根據它們到鏡片元件的光學中心的徑向距離來提供光學元件的平均球鏡。Such an implementation is shown in Table 1, which provides the average spherical mirror images of optical elements according to their radial distance from the optical center of the lens element.

在表1的實例中,光學元件係放置在具有329.5mm的曲率的球面前表面上的微鏡片,並且鏡片元件由具有1.591的折射率的光學材料製成,配戴者的處方光焦度為6 D。光學元件應在標準配戴條件下配戴,並且配戴者的視網膜被認為在30°的角度下具有0.8 D的散焦。確定光學元件具有2 D的周邊散焦。In the example of Table 1, the optical element is a microlens placed on a spherical front surface having a curvature of 329.5 mm, and the lens element is made of an optical material having a refractive index of 1.591, and the wearer's prescription power is 6 D. The optical element should be worn under standard wearing conditions, and the wearer's retina is considered to have a defocus of 0.8 D at an angle of 30°. The optical element is determined to have a peripheral defocus of 2 D.

Figure 108114819-A0305-02-0031-14
Figure 108114819-A0305-02-0031-14

如表1中所示,從靠近鏡片元件的光學中心開始,光學元件的平均球鏡朝向所述區段的周邊部分增大,然後朝向所述區段的周邊部分減小。As shown in Table 1, starting from near the optical center of the lens element, the average spherical lens of the optical element increases toward the peripheral portion of the segment and then decreases toward the peripheral portion of the segment.

根據本發明的實施方式,光學元件的平均柱鏡從所述區段的第一點朝向所述區段的周邊部分增大,並且從所述區段的第二點朝向所述區段的周邊部分減小,第二點比第一點更靠近所述區段的周邊部分。According to an embodiment of the present invention, the average cylindrical lens of the optical element increases from a first point of the segment toward a peripheral portion of the segment, and decreases from a second point of the segment toward the peripheral portion of the segment, the second point being closer to the peripheral portion of the segment than the first point.

在表2和表3中展示了這樣的實施方式,其提供了在對應於局部徑向的第一方向Y和與第一方向正交的第二方向X上投影的柱鏡向量的幅度。Such an implementation is shown in Tables 2 and 3, which provide the magnitude of the cylindrical mirror vector projected in a first direction Y corresponding to the local radial direction and a second direction X orthogonal to the first direction.

在表2的實例中,光學元件係放置在具有167.81mm的曲率的球面前表面上的微鏡片,並且鏡片元件由具有1.591的折射率的材料製成,配戴者的處方光焦度係-6 D。應在標準配戴條件下配戴鏡片元件,並且認為配戴者的視網膜在30°的角度下具有0.8 D的散焦。確定光學元件提供2 D的周邊散焦。In the example of Table 2, the optical element is a microlens placed on a spherical front surface having a curvature of 167.81 mm, and the lens element is made of a material having a refractive index of 1.591, and the wearer's prescription power is -6 D. The lens element should be worn under standard wearing conditions, and the wearer's retina is assumed to have a defocus of 0.8 D at an angle of 30°. It is determined that the optical element provides 2 D of peripheral defocus.

在表3的實例中,光學元件係放置在具有167.81mm的曲率的球面前表面上的微鏡片,並且鏡片元件由具有1.591的折射率的材料製成,配戴者的處方光焦度係-1 D。應在標準配戴條件下配戴鏡片元件,並且認為配戴者的視網膜在30°的角度具有0.8 Di的散焦。確定光學元件提供2 D的周邊散焦。In the example of Table 3, the optical element is a microlens placed on a spherical front surface having a curvature of 167.81 mm, and the lens element is made of a material having a refractive index of 1.591, and the wearer's prescription power is -1 D. The lens element should be worn under standard wearing conditions, and the wearer's retina is assumed to have a defocus of 0.8 Di at an angle of 30°. It is determined that the optical element provides 2 D of peripheral defocus.

Figure 108114819-A0305-02-0032-15
Figure 108114819-A0305-02-0032-15

Figure 108114819-A0305-02-0032-16
Figure 108114819-A0305-02-0032-16

如表2和3所示,從靠近鏡片元件的光學中心開始,光學元件的柱鏡朝向所述區段的周邊部分增大,然後朝向所述區段的周邊部分減小。As shown in Tables 2 and 3, starting from near the optical center of the lens element, the cylinder of the optical element increases toward the peripheral portion of the segment and then decreases toward the peripheral portion of the segment.

根據本發明的實施方式,處方部分包括光學中心,並且光學元件被配置成使得沿著穿過鏡片的光學中心的任何區段,光學元件的平均球鏡和/或柱鏡從光學元件朝向鏡片的周邊部分增大。According to an embodiment of the present invention, the prescription portion includes an optical center, and the optical element is configured such that along any segment passing through the optical center of the lens, the average spherical and/or cylindrical of the optical element increases from the optical element toward the peripheral portion of the lens.

例如,光學元件可以沿著以該部分的光學中心為中心的圓規則地分佈。For example, the optical elements may be regularly distributed along a circle centered at the optical center of the part.

在直徑為10mm且以處方部分的光學中心為中心的圓上的光學元件可以是具有2.75 D的平均球鏡的微鏡片。The optical element on a circle with a diameter of 10 mm and centered at the optical center of the prescription portion may be a microlens with a mean spherical lens of 2.75 D.

在直徑為20mm且以處方部分的光學中心為中心的圓上的光學元件可以是具有4.75 D的平均球鏡的微鏡片。The optical element on the circle with a diameter of 20 mm and centered at the optical center of the prescription part can be a microlens with a mean spherical lens of 4.75 D.

在直徑為30mm且以處方部分的光學中心為中心的圓上的光學元件可以是具有5.5 D的平均球鏡的微鏡片。The optical elements on the circle with a diameter of 30 mm and centered at the optical center of the prescription part can be microlenses with a mean spherical lens of 5.5 D.

在直徑為40mm且以處方部分的光學中心為中心的圓上的光學元件可以是具有5.75 D的平均球鏡的微鏡片。The optical elements on the circle having a diameter of 40 mm and centered at the optical center of the prescription portion may be microlenses having a mean spherical lens of 5.75 D.

可以基於人的視網膜的形狀來調整不同微鏡片的柱鏡。The cylinders of different microlenses can be adjusted based on the shape of the human retina.

根據本發明的實施方式,處方部分包括視遠參考點、視近參考點、以及連接視遠參考點和視近參考點的子午線。例如,處方部分可以包括漸變多焦點鏡片設計,其適於人的處方或適於減緩配戴鏡片元件的人的眼睛的屈光異常的發展。According to an embodiment of the present invention, the prescription portion includes a distance reference point, a near reference point, and a meridian connecting the distance reference point and the near reference point. For example, the prescription portion may include a progressive multifocal lens design that is suitable for a person's prescription or suitable for slowing the development of a refractive error in an eye of a person wearing the lens element.

較佳的是,根據這樣的實施方式,光學元件被配置成使得在標準配戴條件下沿著鏡片的任何水平區段,光學元件的平均球鏡和/或柱鏡從所述水平區段與子午線的交叉點朝向鏡片的周邊部分增大。Preferably, according to such an embodiment, the optical element is configured such that along any horizontal segment of the lens under standard wearing conditions, the average sphere and/or cylinder of the optical element increases from the intersection of said horizontal segment with the meridian towards the peripheral portion of the lens.

該子午線對應於主注視方向與鏡片表面的交叉點的軌跡。This meridian corresponds to the trajectory of the intersection of the principal gaze direction and the lens surface.

沿著該等區段的平均球鏡和/或平均柱鏡增大函數可以根據所述區段沿著子午線的位置而不同。The mean spherical and/or mean cylindrical magnification functions along the segments may differ depending on the location of the segments along the meridian.

特別地,沿著該等區段的平均球鏡和/或平均柱鏡增大函數係不對稱的。例如,在標準配戴條件下,平均球鏡和/或平均柱鏡增大函數沿著豎直和/或水平區段係不對稱的。In particular, the mean spherical and/or mean cylindrical gain functions along the segments are asymmetric. For example, under standard wearing conditions, the mean spherical and/or mean cylindrical gain functions are asymmetric along the vertical and/or horizontal segments.

根據本發明的實施方式,在標準配戴條件下並且針對周邊視力,該等光學元件中的至少一者具有非聚焦光學功能。According to an embodiment of the present invention, under standard wearing conditions and for peripheral vision, at least one of the optical elements has a non-focusing optical function.

較佳的是,在標準配戴條件下並且針對周邊視力,至少50%、例如至少80%、例如所有的光學元件14具有非聚焦光學功能。Preferably, under standard wearing conditions and for peripheral vision, at least 50%, for example at least 80%, for example all of the optical elements 14 have a non-focusing optical function.

在本發明的意義上,「非聚焦光學功能」應理解為在標準配戴條件下並且針對周邊視力不具有單個焦點。In the sense of the present invention, "non-focusing optical function" is understood to mean not having a single focus point under standard wearing conditions and for peripheral vision.

替代性地,光學元件的這種光學功能減小配戴者的眼睛視網膜的變形,允許減緩配戴該鏡片元件的人的眼睛的屈光異常的發展。Alternatively, this optical function of the optical element reduces deformation of the retina of the wearer's eye, allowing to slow down the development of refractive errors in the eye of the person wearing the lens element.

具有非聚焦光學功能的至少一個元件係透明的。有利地,非連續的光學元件在鏡片元件上不可見並且不影響鏡片元件的美觀。At least one element having a non-focusing optical function is transparent. Advantageously, the discontinuous optical element is not visible on the lens element and does not affect the aesthetics of the lens element.

根據本發明的實施方式,鏡片元件可以包括承載處方部分的眼科鏡片和承載多個至少三個光學元件的夾片,該等光學元件適於在配戴鏡片元件時可移除地附接到眼科鏡片。According to an embodiment of the present invention, a lens element may include an ophthalmic lens carrying a prescription portion and a clip carrying a plurality of at least three optical elements adapted to be removably attached to the ophthalmic lens when the lens element is worn.

有利地,當人處於遠距離環境中、例如室外時,人可以將夾片與眼科鏡片分開,並最終替換上沒有至少三個光學元件中的任何一個的第二夾片。例如,第二夾片可以包括防曬色調。人還可以使用眼科鏡片而無需任何額外的夾片。Advantageously, when the person is in a remote environment, such as outdoors, the person can separate the clip-on from the ophthalmic lens and eventually replace it with a second clip-on that does not have any of the at least three optical elements. For example, the second clip-on can include a sunscreen tint. The person can also use the ophthalmic lens without any additional clip-on.

光學元件可以獨立地添加到鏡片元件上,添加到鏡片元件的每個表面上。Optical elements can be added to the lens element independently and to each surface of the lens element.

可以將該等光學元件添加在定義的陣列上,如正方形或六邊形或隨機或其他。The optical elements can be added in a defined array, such as square or hexagonal or random or other.

光學元件可以覆蓋鏡片元件的特定區,如在中心或任何其他區域。The optical element may cover a specific area of the lens element, such as in the center or any other area.

可以根據鏡片元件的區來調整光學元件密度或焦度量。通常,光學元件可以定位於鏡片元件的周邊,以增加光學元件對近視控制的影響,從而補償由於例如視網膜的周邊形狀引起的周邊散焦。Optical element density or amount of focus may be adjusted based on the area of the lens element. Typically, optical elements may be positioned at the periphery of the lens element to increase the effect of the optical element on myopia control, thereby compensating for peripheral defocus due to, for example, the peripheral shape of the retina.

根據本發明的較佳的實施方式,半徑包含在2mm與4mm之間的每個圓形區包括位於距光學元件的光學中心一段距離處的幾何中心,所述距離大於或等於所述半徑+5mm,位於所述圓形區內的光學元件部分的面積之和與所述圓形區的面積之間的比率在20%與70%之間、較佳的是在30%與60%之間、更較佳的是在40%與50%之間。According to a preferred embodiment of the present invention, each circular area with a radius between 2 mm and 4 mm includes a geometric center located at a distance from the optical center of the optical element, the distance being greater than or equal to the radius + 5 mm, and the ratio between the sum of the areas of the optical element parts located in the circular area and the area of the circular area is between 20% and 70%, preferably between 30% and 60%, and more preferably between 40% and 50%.

光學元件可以使用不同的技術製造,如直接表面處理、成型、鑄造或注塑、壓花、成膜、或光刻法等......Optical components can be manufactured using different techniques such as direct surface treatment, forming, casting or injection molding, embossing, film forming, or photolithography...

根據本發明的實施方式,至少一個、例如所有的光學元件的形狀被配置為在人眼的視網膜前方形成焦散點。換言之,這樣的光學元件被配置成使得光通量集中的每個區段平面(如果有的話)位於人眼的視網膜前方。According to an embodiment of the present invention, the shape of at least one, for example all, optical elements is configured to form a focal point in front of the retina of the human eye. In other words, such optical elements are configured so that each segment plane (if any) where the light flux is concentrated is located in front of the retina of the human eye.

根據本發明的實施方式,至少一個、例如所有的具有非球面光學功能的光學元件係多焦點屈光微鏡片。According to an embodiment of the present invention, at least one, for example all, optical elements having aspherical optical functions are multi-focal refractive microlenses.

在本發明的意義上,光學元件係「多焦點屈光微鏡片」,包括雙焦點(具有兩個焦度)、三焦點(具有三個焦度)、漸變多焦點鏡片,具有連續變化的焦度,例如非球面漸變表面鏡片。In the sense of the present invention, the optical element is a "multifocal refractive microlens", including bifocal (having two focal powers), trifocal (having three focal powers), and gradient multifocal lenses with continuously changing focal powers, such as aspheric gradient surface lenses.

在本發明的意義上,「微鏡片」具有可內接在直徑大於或等於0.8mm且小於或等於3.0mm、較佳的是大於或等於1.0mm且小於2.0mm的圓內的外形形狀。In the sense of the present invention, a "microlens" has an outer shape that can be inscribed in a circle with a diameter greater than or equal to 0.8 mm and less than or equal to 3.0 mm, preferably greater than or equal to 1.0 mm and less than 2.0 mm.

根據本發明的實施方式,光學元件中的至少一者、較佳的是多於50%、更較佳的是多於80%的光學元件係非球面微鏡片。在本發明的意義上,非球面微鏡片在其表面上具有連續的焦度演變。According to an embodiment of the present invention, at least one of the optical elements, preferably more than 50%, and more preferably more than 80% of the optical elements are aspherical microlenses. In the sense of the present invention, an aspherical microlens has a continuous focal length evolution on its surface.

非球面微鏡片可以具有介於0.1 D與3 D之間的非球面性。非球面微鏡片的非球面性對應於在微鏡片中心測量的光焦度與在微鏡片周邊測量的光焦度之比。Aspherical microlenses can have an asphericity between 0.1 D and 3 D. The asphericity of an aspherical microlens corresponds to the ratio of the optical power measured at the center of the microlens to the optical power measured at the periphery of the microlens.

微鏡片的中心可以由以微鏡片的幾何中心為中心並且直徑在0.1mm與0.5mm之間、較佳的是等於2.0mm的球面區域限定。The center of the microlens can be defined by a spherical area centered at the geometric center of the microlens and having a diameter between 0.1 mm and 0.5 mm, preferably equal to 2.0 mm.

微鏡片的周邊可以由以微鏡片的幾何中心為中心並且內徑在0.5mm與0.7mm之間、外徑在0.70mm與0.80mm之間的環形區限定。The periphery of the microlens may be defined by an annular region centered at the geometric center of the microlens and having an inner diameter between 0.5 mm and 0.7 mm and an outer diameter between 0.70 mm and 0.80 mm.

根據本發明的實施方式,非球面微鏡片在其幾何中心的光焦度的絕對值在2.0 D與7.0 D之間,並且在其周邊的光焦度的絕對值在1.5 D與6.0 D之間。According to an embodiment of the present invention, the absolute value of the optical power of the aspherical microlens at its geometric center is between 2.0 D and 7.0 D, and the absolute value of the optical power at its periphery is between 1.5 D and 6.0 D.

在塗覆上面設置有光學元件的鏡片元件的表面之前,非球面微鏡片的非球面性可以根據距所述鏡片元件的光學中心的徑向距離而變化。Before coating the surface of a lens element on which an optical element is arranged, the asphericity of the aspheric microlens can vary depending on the radial distance from the optical center of the lens element.

另外,在塗覆上面設置有光學元件的鏡片元件的表面之後,非球面微鏡片的非球面性可以進一步根據距該鏡片元件的光學中心的徑向距離而變化。In addition, after coating the surface of a lens element on which an optical element is disposed, the asphericity of the aspheric microlens can be further varied depending on the radial distance from the optical center of the lens element.

根據本發明的實施方式,至少一個多焦點屈光微鏡片具有複曲面表面。複曲面表面係旋轉表面,其可以藉由圍繞旋轉軸線(最終定位在無窮遠處)旋轉一個圓或弧來產生,該旋轉軸線不穿過其曲率中心。According to an embodiment of the present invention, at least one multifocal refractive microlens has a complex curved surface. A complex curved surface is a surface of revolution that can be generated by rotating a circle or arc about an axis of rotation (ultimately located at infinity) that does not pass through its center of curvature.

複曲面鏡片具有彼此成直角的兩個不同的徑向輪廓,因此產生兩個不同的焦度。A toric lens has two different radial profiles at right angles to each other, thus producing two different focal powers.

複曲面鏡片的複曲面和球面部件產生像散光束,而不是單點焦點。The toric and spherical components of a toric lens produce an astigmatic beam rather than a single point of focus.

根據本發明的實施方式,至少一個、例如所有的具有非球面光學功能的光學元件係複曲面屈光微鏡片。例如,球鏡度值大於或等於0屈光度(δ)且小於或等於+5屈光度(δ)並且柱鏡度值大於或等於0.25屈光度(δ)的複曲面屈光微鏡片。According to an embodiment of the present invention, at least one, for example, all optical elements having aspheric optical functions are complex curved refractive microlenses. For example, complex curved refractive microlenses having a spherical power value greater than or equal to 0 diopters (δ) and less than or equal to +5 diopters (δ) and a cylindrical power value greater than or equal to 0.25 diopters (δ).

穿過球面微鏡片的周邊光線的傾斜效應產生斜軸散光,從而產生未聚焦的光束。The tilting effect of peripheral light rays passing through a spherical microlens produces oblique axial astigmatism, which results in an unfocused light beam.

有利地,具有複曲面微鏡片允許將穿過微鏡片的光線聚焦在距配戴者的視網膜給定距離處。Advantageously, having a complex curved microlens allows light passing through the microlens to be focused at a given distance from the wearer's retina.

作為具體實施方式,複曲面屈光微鏡片可以是純柱鏡,意味著子午線最小焦度為零,而子午線最大焦度嚴格為正,例如小於5屈光度。As a specific implementation, the complex refractive microlens can be a pure cylindrical lens, meaning that the meridian minimum focal length is zero and the meridian maximum focal length is strictly positive, for example, less than 5 diopters.

根據本發明的實施方式,至少一個、例如所有的光學元件由雙折射材料製成。換言之,光學元件由具有取決於光的偏振和傳播方向的折射率的材料製成。雙折射可以被量化為材料展現出的折射率之間的最大差異。According to an embodiment of the invention, at least one, for example all, optical elements are made of a birefringent material. In other words, the optical element is made of a material having a refractive index that depends on the polarization and propagation direction of the light. Birefringence can be quantified as the maximum difference between the refractive indices exhibited by the material.

根據本發明的實施方式,至少一個、例如所有的光學元件具有不連續性,比如不連續表面,例如菲涅耳表面和/或具有不連續的折射率分佈。According to an embodiment of the present invention, at least one, for example all, optical elements have discontinuities, such as discontinuous surfaces, such as Fresnel surfaces and/or have discontinuous refractive index distributions.

圖3表示可以用於本發明的光學元件的菲涅耳鏡高度輪廓的實例。FIG3 shows an example of a Fresnel mirror height profile that can be used in the optical element of the present invention.

根據本發明的實施方式,至少一個、例如所有的光學元件由衍射鏡片製成。According to an embodiment of the present invention, at least one, for example all, optical elements are made of diffractive lenses.

圖4表示可以用於本發明的光學元件的衍射鏡片徑向輪廓的實例。FIG4 shows an example of a radial profile of a diffractive lens that can be used in the optical element of the present invention.

至少一個、例如所有的衍射鏡片可以包括如WO2017/176921中揭露的超穎表面結構。At least one, for example all, of the diffractive lenses may include a super-slim surface structure as disclosed in WO2017/176921.

衍射鏡片可以是菲涅耳鏡片,其相位函數ψ(r)在標稱波長處具有π相位躍變,如圖5中所看到的。為了清晰起見,可以給該等結構命名為「π-菲涅耳鏡片」,因為它與相位躍變係2π的多個值的單焦點菲涅耳鏡片相反。相位函數在圖5中顯示的π-菲涅耳鏡片主要在與屈光度0δ和正屈光度P、例如3δ相關的兩個衍射級中衍射光。The diffractive lens may be a Fresnel lens whose phase function ψ(r) has a π phase jump at the nominal wavelength, as can be seen in Figure 5. For clarity, such structures may be named "π-Fresnel lenses" as opposed to monofocal Fresnel lenses whose phase jumps are multiple values of 2π. The π-Fresnel lens whose phase function is shown in Figure 5 diffracts light primarily in two diffraction orders associated with a refractive power of 0δ and a positive refractive power P, such as 3δ.

根據本發明的實施方式,至少一個、例如所有的光學元件係多焦點二元部件。According to an embodiment of the present invention, at least one, for example all, optical elements are multi-focal binary components.

例如,如圖6a中所示,二元結構主要顯示兩個屈光度,表示為-P/2和P/2。當與如圖6b中所示的屈光結構相關聯時,屈光度為P/2,圖6c中表示的最終結構具有屈光度0δ和P。所示的情況與P=3δ相關。For example, as shown in Figure 6a, the binary structure mainly shows two diopters, represented as -P/2 and P/2. When associated with the diopters structure as shown in Figure 6b, the diopters are P/2, and the final structure represented in Figure 6c has diopters 0δ and P. The case shown is associated with P=3δ.

根據本發明的實施方式,至少一個、例如所有的光學元件係圖元化鏡片。在Eyal Ben-Eliezer等人的「APPLIED OPTICS[應用光學],第44卷,第14期,2005年5月10日」中揭露了多焦點圖元化鏡片的實例。According to an embodiment of the present invention, at least one, for example all, optical elements are imaged lenses. An example of a multi-focal imaged lens is disclosed in "APPLIED OPTICS [Applied Optics], Vol. 44, No. 14, May 10, 2005" by Eyal Ben-Eliezer et al.

根據本發明的實施方式,至少一個、例如所有的光學元件具有帶高階光學像差的光學功能。例如,光學元件係由任尼克多項式定義的連續表面構成的微鏡片。According to an embodiment of the present invention, at least one, for example all, optical elements have an optical function with high-order optical aberrations. For example, the optical element is a microlens composed of a continuous surface defined by a Zernike polynomial.

根據本發明的實施方式,至少一個、例如至少70%、例如所有的光學元件係有源光學元件,其可以手動激活或由光學鏡片控制器裝置自動激活。According to an embodiment of the present invention, at least one, for example at least 70%, for example all of the optical elements are active optical elements, which can be manually activated or automatically activated by an optical lens controller device.

有源光學元件可以包括具有可變折射率的材料,折射率的值由光學鏡片控制器裝置控制。Active optical elements may include materials with variable refractive index, the value of which is controlled by an optical lens controller device.

本發明還涉及一種用於確定適於減緩配戴者眼睛的屈光異常發展的鏡片元件的方法。The invention also relates to a method for determining a lens element suitable for slowing down the progression of a refractive error in a wearer's eye.

如圖11上所展示的,本發明的方法至少包括:- 配戴者處方數據提供步驟S1,- 配戴條件數據提供步驟S2,- 配戴者視網膜數據提供步驟S3,以及- 鏡片元件確定步驟S4,在配戴者處方數據提供步驟S1過程中,提供與該配戴者的處方相關的配戴者處方數據。As shown in FIG. 11 , the method of the present invention at least includes: - a wearer prescription data providing step S1, - a wearing condition data providing step S2, - a wearer retina data providing step S3, and - a lens element determining step S4. During the wearer prescription data providing step S1, wearer prescription data related to the wearer's prescription is provided.

在配戴者條件數據提供步驟S2過程中,提供與配戴者配戴鏡片元件的條件有關的配戴條件數據。In the wearer condition data providing step S2, wearing condition data related to the condition under which the wearer wears the lens element is provided.

根據本發明的實施方式,在配戴條件數據提供步驟過程中提供的配戴條件數據對應於標準配戴條件。According to an embodiment of the present invention, the wearing condition data provided in the wearing condition data providing step corresponds to the standard wearing condition.

替代性地,在配戴條件數據提供步驟過程中提供的配戴條件數據對應於在配戴者身上測量的或者例如基於與配戴者有關的形態或姿勢數據而定製的配戴條件。Alternatively, the wearing condition data provided during the wearing condition data providing step correspond to wearing conditions measured on the wearer or customized, for example, based on morphological or posture data related to the wearer.

在配戴者視網膜數據提供步驟S3過程中,提供在與配戴條件相同的參考系中與配戴者視網膜的形狀相關的視網膜數據。In the wearer retinal data providing step S3, retinal data related to the shape of the wearer's retina in the same reference system as the wearing condition is provided.

根據本發明的實施方式,在配戴者視網膜數據提供步驟過程中提供的配戴者視網膜數據對應於標準視網膜形狀。According to an embodiment of the present invention, the wearer's retinal data provided in the wearer's retinal data providing step corresponds to a standard retinal shape.

標準視網膜形狀的實例在Mutti DO1、Hayes JR、Mitchell GL、Jones LA、Moeschberger ML、Cotter SA、Kleinstein RN、Manny RE、Twelker JD、Zadnik K的「Refractive error,axial length,and relative peripheral refractive error before and after the onset of myopia[屈光不正、軸向長度和近視發作前後的相對周邊屈光不正]」中進行了揭露;CLEERE研究組,Invest Ophthalmol Vis Sci.2007年6月;48(6):2510-9。Examples of standard retinal shapes are disclosed in Mutti DO1, Hayes JR,Mitchell GL, Jones LA, Moeschberger ML, Cotter SA, Kleinstein RN, Manny RE, Twelker JD, Zadnik K. "Refractive error, axial length, and relative peripheral refractive error before and after the onset of myopia." CLEERE Study Group, Invest Ophthalmol Vis Sci. 2007 Jun;48(6):2510-9.

標準視網膜形狀的其他實例在Atchison DA1、Pritchard N、Schmid KL的「Peripheral refraction along the horizontal and vertical visual fields in myopia[近視下沿著水平和豎直視野的周邊屈光]」中進行了揭露,Vision Res.2006年4月;46(8-9):1450-8。Other examples of standard retinal shapes are disclosed in Atchison DA1, Pritchard N, Schmid KL, "Peripheral refraction along the horizontal and vertical visual fields in myopia." Vision Res. 2006 Apr;46(8-9):1450-8.

標準視網膜形狀的其他實例在Donald O.Mutti、Robert I.Sholtz、Nina E.Friedman和Karla Zadnik,IOVS,2000年4月,第41卷,第5期的「Peripheral Refraction and Ocular Shape in Children[兒童的周邊屈光和眼形狀]」。Other examples of standard retinal shapes are in "Peripheral Refraction and Ocular Shape in Children," by Donald O. Mutti, Robert I. Sholtz, Nina E. Friedman, and Karla Zadnik, IOVS, Vol. 41, No. 5, April 2000.

替代性地,在配戴者視網膜數據提供步驟過程中提供的配戴者視網膜數據可以對應於在配戴者身上測量的或者例如基於配戴者的形態或處方而定製的視網膜的形狀。Alternatively, the wearer retinal data provided during the wearer retinal data providing step may correspond to the shape of the retina measured on the wearer or customized, for example, based on the wearer's morphology or prescription.

在鏡片元件確定步驟S4過程中,確定包括處方部分和多個至少三個光學元件的鏡片元件。In the lens element determination step S4, a lens element including a prescription portion and a plurality of at least three optical elements is determined.

確定鏡片元件,使得處方部分在與配戴數據相對應的配戴條件下並且針對中央凹視力基於配戴者的處方提供第一光焦度。The lens element is determined so that the prescription portion provides a first optical power under a wearing condition corresponding to the wearing data and based on the wearer's prescription for foveal vision.

此外,確定至少一個光學元件,例如至少50%、較佳的是至少80%的光學元件必須具有針對周邊視力不將影像聚焦在眼睛的視網膜上的光學功能。Furthermore, it is determined that at least one optical element, for example at least 50%, preferably at least 80%, of the optical elements must have an optical function that does not focus an image on the retina of the eye for peripheral vision.

有利地,提供所確定的鏡片元件用於對應於配戴者的處方的中央凹視力矯正,並且對於。Advantageously, the determined lens element is provided for foveal vision correction corresponding to the wearer's prescription, and for.

根據本發明的實施方式,在鏡片元件確定步驟過程中,確定至少50%、例如至少80%的光學元件以便將影像聚焦在距視網膜的給定距離處。沿著連接所述光學元件的參考點(例如鏡片元件的光學中心)和配戴者的瞳孔中心的軸線為每個光學元件限定所述距離。According to an embodiment of the present invention, during the lens element determination step, at least 50%, for example at least 80%, of the optical elements are determined so as to focus the image at a given distance from the retina. The distance is defined for each optical element along an axis connecting a reference point of the optical element (for example, the optical center of the lens element) and the center of the pupil of the wearer.

替代性地,確定至少50%、例如至少80%的光學元件以便沿著連接每個光學元件的參考點和配戴者的瞳孔中心的軸線將影像聚焦在視網膜的相同距離處。Alternatively, at least 50%, for example at least 80%, of the optical elements are determined so as to focus the image at the same distance from the retina along an axis connecting a reference point of each optical element and the center of the wearer's pupil.

如圖11上所示,本發明的方法可以進一步包括前表面數據提供步驟S40。As shown in FIG. 11 , the method of the present invention may further include a front surface data providing step S40.

在前表面數據提供步驟S40過程中,提供表示鏡片元件的前表面的前表面數據。In the front surface data providing step S40, front surface data representing the front surface of the lens element is provided.

根據這樣的實施方式,在鏡片元件確定步驟過程中,確定後表面的形狀和要放置在前表面上的光學元件,使得處方部分在與配戴數據相對應的配戴條件下並且針對中央凹視力基於配戴者的處方提供第一光焦度,並且至少一個光學元件具有針對周邊視力不將影像聚焦在眼睛的視網膜上的光學功能。According to such an implementation, during the lens element determination step, the shape of the rear surface and the optical elements to be placed on the front surface are determined so that the prescription portion provides a first optical power for foveal vision based on the wearer's prescription under a wearing condition corresponding to the wearing data, and at least one optical element has an optical function of not focusing an image on the retina of the eye for peripheral vision.

根據較佳的實施方式,在鏡片元件確定步驟過程中,確定後表面的形狀,使得處方部分在與配戴數據相對應的配戴條件下並且針對中央凹視力基於配戴者的處方提供第一光焦度。According to a preferred embodiment, during the lens element determination step, the shape of the rear surface is determined so that the prescription portion provides a first optical focal length based on the wearer's prescription under a wearing condition corresponding to the wearing data and for foveal vision.

確定光學元件以便將其放置在先前確定的鏡片的前表面或後表面上,並針對周邊視力將影像聚焦在眼睛的視網膜的給定距離處。Determine the optical element so that it can be placed on the front or back surface of the previously determined lens and focus the image at a given distance from the retina of the eye for peripheral vision.

如所看到的,可以優化光學元件本身,但是也可以優化相反的鏡片表面,或者將兩者結合,以針對周邊視力減少光學元件的像差。在這種情況下,它將是處方部分和光學元件的優化之間的折衷。這在光學元件大規模生產時(模具、嵌入鏡片中的薄膜)尤其相關。As seen, the optic itself can be optimized, but it is also possible to optimize the opposite lens surface, or a combination of both, to reduce the aberrations of the optic for peripheral vision. In this case it will be a compromise between the optimization of the prescription part and the optic. This is especially relevant when the optic is produced on a large scale (molds, films embedded in lenses).

以上已經借助於實施方式描述了本發明,而並不限制總體發明構思。The invention has been described above with the aid of implementation methods, but does not limit the overall inventive concept.

在參考前述說明性實施方式時,許多進一步的修改和變化將對熟悉該項技術者而言係明顯的,該等實施方式僅以舉例方式給出並且無意限制本發明的範圍,本發明的範圍僅是由所附申請專利範圍來確定的。Many further modifications and variations will be apparent to those skilled in the art upon reference to the foregoing illustrative embodiments, which are given by way of example only and are not intended to limit the scope of the invention, which is determined solely by the scope of the appended patent applications.

在申請專利範圍中,詞語「包括」並不排除其他元件或步驟,並且不定冠詞「一(a)或(an)」並不排除複數。在相互不同的從屬申請專利範圍中敘述不同的特徵這個單純的事實並不表示不能有利地使用該等特徵的組合。申請專利範圍中的任何附圖標記都不應被解釋為限制本發明的範圍。In the claims, the word "comprising" does not exclude other elements or steps and the indefinite article "a" or "an" does not exclude a plurality. The mere fact that different features are recited in mutually different dependent claims does not indicate that a combination of these features cannot be used to advantage. Any figure references in the claims should not be construed as limiting the scope of the invention.

10:鏡片元件10: Lens components

12:處方部分12: Prescription section

14:光學元件14: Optical components

16:中心區16: Central area

Q1:象限Q1: Quadrant

Q2:象限Q2: Quadrant

Q3:象限Q3: Quadrant

Q4:象限Q4: Quadrant

Claims (15)

Translated fromChinese
一種旨在配戴在一配戴者的一眼睛前方之眼鏡鏡片元件,該鏡片元件包括:一處方部分,該處方部分被配置用於基於該配戴者的用於矯正該配戴者的該眼睛的一屈光異常的處方在標準配戴條件下和針對中央凹視力向該配戴者提供一第一光焦度;多個至少三個光學元件,該光學元件為微鏡片之光學元件,具有可內接在直徑大於或等於0.8mm且小於或等於3.0mm的圓內的外形形狀,至少一個光學元件具有在標準配戴條件下並且針對周邊視力不將一影像聚焦在該眼睛的視網膜上的一光學功能,以便減緩該眼睛的該屈光異常的發展,其中所有光學元件被配置為使得穿過每個光學元件的光線的平均焦點與佩戴者的視網膜的距離相同,至少對於周邊視力而言。An ophthalmic lens element intended to be worn in front of an eye of a wearer, the lens element comprising: a prescription portion configured to provide a first optical power to the wearer under standard wearing conditions and for foveal vision based on a prescription of the wearer for correcting a refractive error of the eye of the wearer; a plurality of at least three optical elements, the optical elements being optical elements of a microlens having a diameter greater than or equal to 0.8 mm and less than or equal to 3.0 mm, at least one optical element having an optical function of not focusing an image on the retina of the eye under standard wearing conditions and for peripheral vision so as to slow the progression of the refractive disorder of the eye, wherein all optical elements are configured so that the average focus of light passing through each optical element is the same distance from the wearer's retina, at least for peripheral vision.如請求項1之眼鏡鏡片元件,其中,至少一個、例如所有的該光學元件具有在標準配戴條件下並且針對周邊視力將一影像聚焦在除視網膜之外的一位置上的一光學功能。An ophthalmic lens element as claimed in claim 1, wherein at least one, for example all, of the optical elements have an optical function of focusing an image at a location other than the retina under standard wearing conditions and for peripheral vision.如請求項1或2之眼鏡鏡片元件,其中,至少一個光學元件在標準配戴條件下並且針對周邊視力具有一非聚焦光學功能。An ophthalmic lens element as claimed in claim 1 or 2, wherein at least one optical element has a non-focusing optical function for peripheral vision under standard wearing conditions.如請求項1或2之眼鏡鏡片元件,其中,該等光學元件中的至少一者具有一柱鏡度。An ophthalmic lens element as claimed in claim 1 or 2, wherein at least one of the optical elements has a cylindrical degree.如請求項1或2之眼鏡鏡片元件,其中,該等光學元件被配置成使得沿著該眼鏡鏡片元件的至少一個區段,光學元件的平均球鏡從該區段的一點朝向該區段的周邊部分增大。An ophthalmic lens element as claimed in claim 1 or 2, wherein the optical elements are configured such that along at least one segment of the ophthalmic lens element, the average spherical lens of the optical element increases from a point of the segment toward a peripheral portion of the segment.如請求項1或2之眼鏡鏡片元件,其中,該等光學元件被配置成使得:沿著該眼鏡鏡片元件的至少一個區段中,光學元件的柱鏡從該區段的一點朝向該區段的周邊部分增大。An ophthalmic lens element as claimed in claim 1 or 2, wherein the optical elements are configured such that: along at least one section of the ophthalmic lens element, the cylinder of the optical element increases from a point of the section toward a peripheral portion of the section.如請求項1或2之眼鏡鏡片元件,其中,該等光學元件被配置成使得沿著該眼鏡鏡片元件的該至少一個區段,光學元件的平均球鏡和/或柱鏡從該區段的中心朝向該區段的周邊部分增大。An ophthalmic lens element as claimed in claim 1 or 2, wherein the optical elements are configured such that along at least one section of the ophthalmic lens element, the average sphere and/or cylinder of the optical element increases from the center of the section toward the peripheral portion of the section.如請求項1或2之眼鏡鏡片元件,其中,該處方部分包括一光學中心,並且該等光學元件被配置成使得沿著穿過該眼鏡鏡片元件的該光學中心的任何區段,該等光學元件的平均球鏡和/或柱鏡從該光學中心朝向該眼鏡鏡片元件的周邊部分增大。An ophthalmic lens element as claimed in claim 1 or 2, wherein the prescription portion includes an optical center, and the optical elements are configured such that along any section through the optical center of the ophthalmic lens element, the average sphere and/or cylinder of the optical elements increases from the optical center toward the peripheral portion of the ophthalmic lens element.如請求項1或2之眼鏡鏡片元件,其中,該處方部分形成為除了形成為該多個光學元件的部分之外的部分。An ophthalmic lens element as claimed in claim 1 or 2, wherein the prescription portion is formed as a portion other than a portion formed as the plurality of optical elements.如請求項1或2之眼鏡鏡片元件,其中,對於一半徑包含在2mm與4mm之間的每個圓形區包括位於距面向在標準配戴條件下筆直向前注視的使用者的瞳孔的參考系等於該半徑+5mm的一距離處的一幾何中心,位於該圓形區內的光學元件部分的面積之和與該圓形區的面積之間的比率包括在20%與70%之間。An ophthalmic lens element as claimed in claim 1 or 2, wherein for each circular zone having a radius comprised between 2 mm and 4 mm, including a geometric center located at a distance equal to the radius + 5 mm from a reference system facing the pupil of a user looking straight ahead under standard wearing conditions, the ratio between the sum of the areas of the parts of the optical element located within the circular zone and the area of the circular zone is comprised between 20% and 70%.如請求項1或2之眼鏡鏡片元件,其中,該至少三個光學元件係不連續的。An ophthalmic lens element as claimed in claim 1 or 2, wherein the at least three optical elements are discontinuous.如請求項1或2之眼鏡鏡片元件,其中,至少一部分、例如所有的該等光學元件位於該眼鏡鏡片元件的前表面上。An ophthalmic lens element as claimed in claim 1 or 2, wherein at least a portion, for example all, of the optical elements are located on the front surface of the ophthalmic lens element.一種用於確定適於減緩一配戴者的眼睛的屈光異常的發展的一鏡片元件的方法,該方法包括:一配戴者處方數據提供步驟,在該步驟過程中,提供與該配戴者的處方相關的配戴者處方數據,一配戴條件數據提供步驟,在該步驟過程中,與該配戴者配戴該鏡片元件的條件相關的配戴條件數據,一配戴者視網膜數據提供步驟,在該步驟過程中,與該配戴者的視網膜的形狀相關的配戴者視網膜數據,一鏡片元件確定步驟,在該步驟過程中,確定包括一處方部分和多個至少三個光學元件的一鏡片元件,使得該處方部分在與該配戴數據相對應的配戴條件下並且針對中央凹視力基於該配戴者的處方提供一第一光焦度,並且至少一個光學元件具有針對周邊視力不將一影像聚焦在該眼睛的視網膜上的一光學功能。A method for determining a lens element suitable for slowing down the progression of a refractive error in an eye of a wearer, the method comprising: a wearer prescription data providing step, during which wearer prescription data related to the wearer's prescription is provided, a wearing condition data providing step, during which wearing condition data related to the condition under which the wearer wears the lens element, a wearer retina data providing step, during which wearer prescription data related to the condition under which the wearer wears the lens element is provided, The invention relates to wearer retinal data related to the shape of the retina, and a lens element determination step, during which a lens element including a prescription portion and a plurality of at least three optical elements is determined, so that the prescription portion provides a first optical power for foveal vision under a wearing condition corresponding to the wearing data and based on the wearer's prescription, and at least one optical element has an optical function of not focusing an image on the retina of the eye for peripheral vision.如請求項13之方法,其中,在該鏡片元件確定步驟過程中,確定至少50%、例如至少80%的該等光學元件,以便將一影像聚焦在距視網膜一給定距離處。A method as claimed in claim 13, wherein, during the lens element determination step, at least 50%, for example at least 80%, of the optical elements are determined so as to focus an image at a given distance from the retina.如請求項13或14中任一項之方法,其中,該方法進一步包括一前表面數據提供步驟,在該步驟過程中,提供表示該鏡片元件的前表面的前表面數據,並且其中,在該鏡片元件確定步驟過程中,確定後表面的形狀和要放置在該前表面上的該等光學元件,使得該處方部分在與該配戴數據相對應的配戴條件下並且針對中央凹視力基於該配戴者的處方提供一第一光焦度,並且至少一個光學元件具有針對周邊視力不將一影像聚焦在該眼睛的視網膜上的一光學功能。A method as claimed in any one of claim 13 or 14, wherein the method further comprises a front surface data providing step, during which front surface data representing the front surface of the lens element is provided, and wherein, during the lens element determining step, the shape of the rear surface and the optical elements to be placed on the front surface are determined so that the prescription portion provides a first optical power for foveal vision based on the wearer's prescription under a wearing condition corresponding to the wearing data and for peripheral vision, and at least one optical element has an optical function of not focusing an image on the retina of the eye for peripheral vision.
TW108114819A2018-04-262019-04-26Lens element and method for determining a lens element adapted to slow down the progression of the abnormal refraction of the eye of a wearerTWI866910B (en)

Applications Claiming Priority (4)

Application NumberPriority DateFiling DateTitle
EP18305526.8AEP3561578A1 (en)2018-04-262018-04-26Lens element
EP183055272018-04-26
EP18305527.62018-04-26
EP18305526.82018-04-26

Publications (2)

Publication NumberPublication Date
TW202001353A TW202001353A (en)2020-01-01
TWI866910Btrue TWI866910B (en)2024-12-21

Family

ID=69942029

Family Applications (2)

Application NumberTitlePriority DateFiling Date
TW108114822ATWI871281B (en)2018-04-262019-04-26Lens element
TW108114819ATWI866910B (en)2018-04-262019-04-26Lens element and method for determining a lens element adapted to slow down the progression of the abnormal refraction of the eye of a wearer

Family Applications Before (1)

Application NumberTitlePriority DateFiling Date
TW108114822ATWI871281B (en)2018-04-262019-04-26Lens element

Country Status (1)

CountryLink
TW (2)TWI871281B (en)

Families Citing this family (2)

* Cited by examiner, † Cited by third party
Publication numberPriority datePublication dateAssigneeTitle
CN117031778A (en)*2020-03-312023-11-10依视路国际公司Lens element
EP4006624B1 (en)*2020-11-262024-04-24Carl Zeiss Vision International GmbHSpectacle lens design, method of manufacturing a spectacle lens and method of providing a spectacle lens for at least retarding myopia progression

Citations (7)

* Cited by examiner, † Cited by third party
Publication numberPriority datePublication dateAssigneeTitle
TW350922B (en)*1995-05-041999-01-21Johnson & Johnson Vision ProdConcentric aspheric multifocal lens designs
TW200422688A (en)*2003-01-212004-11-01Johnson & Johnson Vision CareHybrid multifocal contact lenses
CN102119350A (en)*2008-01-032011-07-06奥普林克通信公司Wavelength division multiplexing
TW201219842A (en)*2010-06-252012-05-16Pixeloptics IncHigh performance, low cost multifocal lens having dynamic progressive optical power region
CN102369099B (en)*2009-03-312014-12-03Hoya株式会社Method for producing progressive power eyeglass lens
US20160306192A1 (en)*2015-04-152016-10-20Vision Ease, LpOphthalmic Lens With Graded Microlenses
US20170131567A1 (en)*2015-11-062017-05-11Hoya Lens Thailand Ltd.Spectacle Lens

Family Cites Families (6)

* Cited by examiner, † Cited by third party
Publication numberPriority datePublication dateAssigneeTitle
US5652638A (en)*1995-05-041997-07-29Johnson & Johnson Vision Products, Inc.Concentric annular ring lens designs for astigmatism
FR2936879B1 (en)*2008-10-072011-03-11Essilor Int OPHTHALMIC GLASS CORRECTING FOVEAL VISION AND PERIPHERAL VISION.
TWI507763B (en)*2012-11-222015-11-11 Control the growth of the optical axis of the lens
EP2959337B1 (en)*2013-02-202017-06-21Essilor International (Compagnie Générale D'Optique)Method of manufacturing a pair of progressive ophthalmic lenses
SG10201400920RA (en)*2014-03-242015-10-29Menicon Singapore Pte LtdApparatus and methods for controlling axial growth with an ocular lens
US10877294B2 (en)*2015-06-232020-12-29Johnson & Johnson Vision Care, Inc.Contact lens comprising non-coaxial lenslets for preventing and/or slowing myopia progression

Patent Citations (7)

* Cited by examiner, † Cited by third party
Publication numberPriority datePublication dateAssigneeTitle
TW350922B (en)*1995-05-041999-01-21Johnson & Johnson Vision ProdConcentric aspheric multifocal lens designs
TW200422688A (en)*2003-01-212004-11-01Johnson & Johnson Vision CareHybrid multifocal contact lenses
CN102119350A (en)*2008-01-032011-07-06奥普林克通信公司Wavelength division multiplexing
CN102369099B (en)*2009-03-312014-12-03Hoya株式会社Method for producing progressive power eyeglass lens
TW201219842A (en)*2010-06-252012-05-16Pixeloptics IncHigh performance, low cost multifocal lens having dynamic progressive optical power region
US20160306192A1 (en)*2015-04-152016-10-20Vision Ease, LpOphthalmic Lens With Graded Microlenses
US20170131567A1 (en)*2015-11-062017-05-11Hoya Lens Thailand Ltd.Spectacle Lens

Also Published As

Publication numberPublication date
TWI871281B (en)2025-02-01
TW202518120A (en)2025-05-01
TW202001353A (en)2020-01-01
TW202004270A (en)2020-01-16

Similar Documents

PublicationPublication DateTitle
JP7472225B2 (en) Lens element
CN117031777A (en)Lens element
TWI890807B (en)Optical lens and associated molding elements
TWI889842B (en)Optical lens for vision correction and corresponding molding element
TWI866910B (en)Lens element and method for determining a lens element adapted to slow down the progression of the abnormal refraction of the eye of a wearer
TWI895204B (en)Spectacle lens element
JP7754826B2 (en) Lens element

[8]ページ先頭

©2009-2025 Movatter.jp