




本揭露有關於一種充電控制方法及其再生能源最大功率追蹤供電系統,特別是用於多個充電裝置並聯的一種主從充電控制方法及其再生能源最大功率供電系統。The present disclosure relates to a charging control method and a renewable energy maximum power tracking power supply system, in particular to a master-slave charging control method and a renewable energy maximum power supply system for multiple charging devices in parallel.
再生能源供電系統包含再生能源發電機組與充電裝置,其中再生能源發電機組可以是太陽能面板或風力發電機。一般而言,發電機組產生的直流電源可經由直流轉換器轉換為符合要求的直流電源後,傳送到近端負載或遠端電網,而一部分的電源可儲存於本地電池。Renewable energy power supply system includes renewable energy generator set and charging device, wherein the renewable energy generator set can be a solar panel or a wind turbine. Generally speaking, the DC power generated by the generator set can be converted into DC power that meets the requirements by a DC converter and then transmitted to the near-end load or the remote power grid, while part of the power can be stored in the local battery.
最大功率點追蹤(Maximum Power Point Tracking,簡稱MPPT)是常用在太陽能面板或風力發電機的技術,其目的是在各種情形下都可以得到最大的功率輸出。傳統上,一個充電裝置通常僅對一個發電機組進行MPPT。考量人員安全與產品可靠度,充電裝置的前端會設置保護裝置,例如阻抗偵測器(Impedance Detector,IMD)、主要電路斷路器(Main Circuit Breaker,MCB)、突波保護裝置(Surge Protection Device,SPD)等。在此架構下,當再生能源供電系統使用的充電裝置的數量越多,所需的元件數越多,成本也越高。此外,為了適應不同的發電功率瓦數,需要開發多種不同功率的充電裝置,如此不利於工程開發與維護。Maximum Power Point Tracking (MPPT) is a technology commonly used in solar panels or wind turbines. Its purpose is to obtain the maximum power output in various situations. Traditionally, a charging device usually only performs MPPT on one generator set. Considering personnel safety and product reliability, protection devices such as impedance detectors (IMD), main circuit breakers (MCB), surge protection devices (SPD), etc. are installed at the front end of the charging device. Under this architecture, the more charging devices used in the renewable energy power supply system, the more components are required and the higher the cost. In addition, in order to adapt to different power generation wattages, it is necessary to develop a variety of charging devices with different powers, which is not conducive to engineering development and maintenance.
有鑑於環保意識抬頭,再生能源的供電需求也隨之提高,如何提供一種充電控制方法及其再生能源供電系統,能夠不過度增加成本並且有利於開發與維護,實為本領域的重要課題。As environmental awareness rises, the demand for renewable energy power supply is also increasing. How to provide a charging control method and a renewable energy power supply system that can not increase the cost excessively and is conducive to development and maintenance is indeed an important topic in this field.
為了解決上述問題,本揭露提出一種控制方法,適用於包含多個充電裝置的再生能源供電系統,其中多個充電裝置的多個輸入端及多個輸出端互相並聯,多個充電裝置包含主充電裝置,其中控制方法包含以下步驟S31至S35。S31:通過多個充電裝置,收集多個當前功率,以計算當前系統總功率。S32:通過主充電裝置,收集當前系統總功率,進行最大功率追蹤(MPPT),以計算多個MPPT參數,並傳送到多個充電裝置。S33:通過多個充電裝置,分別依據多個當前功率,均分計算多個目標功率。S34:通過多個充電裝置,分別依據多個MPPT參數及多個目標功率,計算多個控制命令。S35:通過多個充電裝置,分別依據多個控制命令,控制多個輸出電流與多個輸出電壓。In order to solve the above problems, the present disclosure proposes a control method, which is applicable to a renewable energy power supply system including multiple charging devices, wherein multiple input terminals and multiple output terminals of the multiple charging devices are connected in parallel to each other, and the multiple charging devices include a main charging device, wherein the control method includes the following steps S31 to S35. S31: Collect multiple current powers through multiple charging devices to calculate the current system total power. S32: Collect the current system total power through the main charging device, perform maximum power tracking (MPPT) to calculate multiple MPPT parameters, and transmit them to multiple charging devices. S33: Calculate multiple target powers equally through multiple charging devices based on multiple current powers respectively. S34: Calculate multiple control commands through multiple charging devices based on multiple MPPT parameters and multiple target powers respectively. S35: Controlling a plurality of output currents and a plurality of output voltages through a plurality of charging devices according to a plurality of control commands respectively.
本揭露並提出一種再生能源供電系統,包含再生能源發電機組以及多個充電裝置。再生能源發電機組經配置來產生輸入電壓及輸入電流。多個充電裝置的多個輸入端及多個輸出端互相並聯,且多個充電裝置中的每一者包含控制電路,控制電路電連接多個充電裝置的多個輸入端及多個輸出端,經配置來執行如上所述的控制方法。The present invention discloses a renewable energy power supply system, including a renewable energy generator set and a plurality of charging devices. The renewable energy generator set is configured to generate an input voltage and an input current. The plurality of input terminals and the plurality of output terminals of the plurality of charging devices are connected in parallel, and each of the plurality of charging devices includes a control circuit, the control circuit is electrically connected to the plurality of input terminals and the plurality of output terminals of the plurality of charging devices, and is configured to execute the control method described above.
本揭露的主從充電控制方法及其再生能源供電系統具備了以下優勢:(1)將多個充電裝置互相並聯,可適應不同的發電功率瓦數,無須另外開發不同功率瓦數的充電裝置,可增加系統規劃彈性;(2)採用單一保護裝置的集中式保護,可節省系統成本;(3)多個充電裝置採用主從式控制方法,同時兼具MPPT、輸入與輸出功率調節的能力;以及(4)依據充電裝置的額定功率來分配輸出功率占比,可增加系統規劃彈性。The master-slave charging control method and renewable energy power supply system disclosed in the present invention have the following advantages: (1) multiple charging devices are connected in parallel to adapt to different power wattages, without the need to develop charging devices with different power wattages, which can increase system planning flexibility; (2) centralized protection using a single protection device can save system costs; (3) multiple charging devices adopt a master-slave control method, which simultaneously has the ability to adjust MPPT, input and output power; and (4) the output power ratio is allocated according to the rated power of the charging device, which can increase system planning flexibility.
應該理解的是,前述的一般性描述和下列具體說明僅僅是示例性和解釋性的,並旨在提供所要求的本揭露的進一步說明。It is to be understood that both the foregoing general description and the following detailed description are exemplary and explanatory only and are intended to provide further explanation of the disclosure as claimed.
請參照第1圖,第1圖是依據本發明實施例的再生能源供電系統10的示意圖。再生能源供電系統10電連接負載90,經配置以提供電能到負載90。於一實施例中,再生能源供電系統10電連接電池80,經配置以提供電能到電池80。於一實施例中,負載90是直流通訊電源設備。Please refer to FIG. 1, which is a schematic diagram of a renewable energy
在結構上,再生能源供電系統10包含再生能源發電機組13、保護裝置15以及多個充電裝置CG1~CGj,其中j是大於1的正整數。再生能源發電機組13經配置以產生總輸入電壓VIN及總輸入電流IIN。保護裝置15電連接於再生能源發電機組13與多個充電裝置CG1~CGj之間,經配置以傳遞總輸入電壓VIN及總輸入電流IIN,並保護多個充電裝置CG1~CGj免於過電流、過載及短路的損害。多個充電裝置CG1~CGj的輸入端與輸出端互相並聯,經配置以將多個輸入電壓VIN1~VINj及多個輸入電流IIN1~IINj分別轉換為輸出電壓V1~Vj及輸出電流I1~Ij,其中輸出電壓V1~Vj的總和為母線電壓VOUT且輸出電流I1~Ij的總和為母線電流IOUT。總輸入電壓VIN近似於多個充電裝置CG1~CGj的多個輸入電壓VIN1~VINj的每一者,且總輸入電流IIN等於多個充電裝置CG1~CGj的多個輸入電流IIN1~IINj的總和。Structurally, the renewable energy
於本實施例中,多個充電裝置CG1~CGj中的其中一者為主充電裝置,而其餘充電裝置為從屬充電裝置。舉例而言,充電裝置CG1為主充電裝置,而充電裝置CG2~CGj為從屬充電裝置,但不限於此。In this embodiment, one of the plurality of charging devices CG1-CGj is a master charging device, and the remaining charging devices are slave charging devices. For example, the charging device CG1 is a master charging device, and the charging devices CG2-CGj are slave charging devices, but not limited thereto.
請參閱第2圖,第2圖是依據本發明實施例的充電裝置CGi的示意圖。充電裝置CGi用以代表第1圖的充電裝置CG1~CGj中的一者,其中i是正整數且1≦i≦j。Please refer to Fig. 2, which is a schematic diagram of a charging device CGi according to an embodiment of the present invention. The charging device CGi is used to represent one of the charging devices CG1-CGj in Fig. 1, where i is a positive integer and 1≦i≦j.
在結構上,充電裝置CGi包含第一轉換電路21、中繼電容、第二轉換電路22以及控制電路23i。第一轉換電路21電連接圖1的保護裝置15、第二轉換電路22及控制電路23i,經配置來依據第一控制訊號C1i,將輸入電壓VINi及輸入電流IINi轉換為中繼電壓VMi及中繼電流IMi。中繼電容的一端電連接於第一轉換電路21與第二轉換電路22之間,中繼電容的另一端電連接接地端,中繼電容經配置以儲存中繼電壓VMi及中繼電流IMi的電能。第二轉換電路22電連接中繼電容、控制電路23i及圖1的負載90及電池80,經配置來依據第二控制訊號C2i,將中繼電壓VMi及中繼電流IMi轉換為輸出電壓Vi及輸出電流Ii。控制電路23i電連接第一轉換電路21的輸入端、第二轉換電路22的輸出端及負載90的輸入端,經配置來依據輸入電壓VINi、輸入電流IINi、母線電壓VOUT及母線電流IOUT,產生第一控制訊號C1i到第一轉換電路21以及產生第二控制訊號C2i到第二轉換電路22。本實施例的充電裝置CGi採用兩級轉換器,可同時達到充電裝置CGi的輸入端與輸出端的調節。Structurally, the charging device CGi includes a
請參照第3圖,第3圖是依據本發明實施例的控制方法30的流程圖。控制方法30適用於第1圖的再生能源供電系統10,控制方法30可編譯為程式碼,經配置來指示多個充電裝置CG1~CGj執行控制方法30包含的步驟S31至S34。Please refer to FIG. 3, which is a flow chart of a
步驟S31:通過全部的充電裝置,收集多個當前功率,以計算當前系統總功率。Step S31: Collect multiple current powers through all charging devices to calculate the current system total power.
步驟S32:通過主充電裝置,依據當前系統總功率,進行最大功率追蹤,以計算多個MPPT參數,並傳送到全部的充電裝置。Step S32: The main charging device performs maximum power tracking based on the current total system power to calculate multiple MPPT parameters and transmit them to all charging devices.
步驟S33:通過全部的充電裝置,分別依據多個當前功率,計算目標功率。Step S33: Calculate the target power through all charging devices according to the multiple current powers.
步驟S34:通過全部的充電裝置,分別依據多個MPPT參數、目標功率,計算擾動分量及控制命令。Step S34: Calculate disturbance components and control commands through all charging devices according to multiple MPPT parameters and target power.
步驟S35:過全部的充電裝置,分別依據控制命令,控制輸出電流與輸出電壓。回到步驟S31。Step S35: All charging devices are controlled to control the output current and output voltage according to the control command. Return to step S31.
於部分實施例中,第2圖的控制電路23i可以包含特殊應用積體電路(ASIC)、微控制電路(MCU)、伺服器或其他具有資料存取、資料計算、資料儲存、資料傳送與接收、或類似功能的運算電路或元件,並可用以執行控制方法30。In some embodiments, the
請同時參照第3圖及第4圖,第4圖是依據本發明實施例用的控制方法30的操作時序圖。於本實施中,假設充電裝置CG1是主充電裝置,其餘的充電裝置CG2~CGj是從屬充電裝置。Please refer to Figure 3 and Figure 4 at the same time. Figure 4 is an operation timing diagram of the
於步驟S31,主充電裝置CG1收集再生能源供電系統10中全部的充電裝置CG1~CGj的多個當前功率P1~Pj,以計算總當前功率。In step S31, the main charging device CG1 collects multiple current powers P1-Pj of all the charging devices CG1-CGj in the renewable energy
於步驟S32,主充電裝置CG1依據當前系統總功率,進行最大功率追蹤,以計算多個MPPT參數,並傳送到全部的充電裝置。In step S32, the master charging device CG1 performs maximum power tracking according to the current total system power to calculate multiple MPPT parameters and transmit them to all charging devices.
於步驟S33,全部的充電裝置CG1~CGj分別依據多個當前功率P1~Pj,計算目標功率P1_target~Pj_target。於第一實施例中,假設多個充電裝置CG1~CGj的額定功率(或最大操作功率)相同,那麼全部的充電裝置CG1~CGj 依據以下算式(1)計算目標功率。In step S33, all charging devices CG1-CGj calculate target powers P1_target-Pj_target according to the current powers P1-Pj. In the first embodiment, assuming that the rated powers (or maximum operating powers) of the charging devices CG1-CGj are the same, all charging devices CG1-CGj calculate the target powers according to the following formula (1).
算式(1)。Formula (1) .
於算式(1)中,Pi_target為第i個充電裝置CGi的目標功率,Pi=VINi╳IINi為第i個充電裝置CGi的當前功率,VINi為第i個充電裝置CGi的輸入電壓,IINi為第i個充電裝置CGi的輸入電流,j為充電裝置的數量, i、j是正整數且1≦i≦j。依據算式(1)可知,在額定功率相同的前提下,多個充電裝置CG1~CGj的目標功率P1_target~Pj_target是當前系統總功率的平均值。In formula (1), Pi_target is the target power of the i-th charging device CGi, Pi=VINi╳IINi is the current power of the i-th charging device CGi, VINi is the input voltage of the i-th charging device CGi, IINi is the input current of the i-th charging device CGi, j is the number of charging devices, i and j are positive integers and 1≦i≦j. According to formula (1), under the premise of the same rated power, the target powers P1_target~Pj_target of multiple charging devices CG1~CGj are the average value of the current system total power.
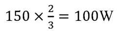
舉例而言,假設只有兩台充電裝置,主充電裝置CG1的當前功率為200W(瓦),從屬充電裝置CG2的當前功率為100W,且充電裝置CG1和CG2的額定功率均為200W。於此情況下,充電裝置CG1和CG2的目標功率為(200+100)/2=150W,以平均分配每個充電裝置的輸出功率。For example, assume that there are only two charging devices, the current power of the master charging device CG1 is 200W (watts), the current power of the slave charging device CG2 is 100W, and the rated power of charging devices CG1 and CG2 is 200W. In this case, the target power of charging devices CG1 and CG2 is (200+100)/2=150W to evenly distribute the output power of each charging device.
於第二實施例中,假設多個充電裝置CG1~CGj的額定功率(或最大操作功率)不盡相同,那麼全部的充電裝置CG1~CGj依據以下算式(2)計算目標功率。In the second embodiment, assuming that the rated powers (or maximum operating powers) of the plurality of charging devices CG1 -CGj are not the same, the target powers of all the charging devices CG1 -CGj are calculated according to the following formula (2).
算式(2)。Formula (2) .
於算式(2)中,Pi_target為第i個充電裝置CGi的目標功率,Pi為第i個充電裝置CGi的當前功率,Pi_rated為第i個充電裝置CGi的額定功率,j為充電裝置的數量。依據述算式(2)可知,主充電裝置CG1計算每一個充電裝置的額定功率在總額定功率中的比例,並且按比例來乘以總當前功率,以計算每一個充電裝置的目標功率。In formula (2), Pi_target is the target power of the i-th charging device CGi, Pi is the current power of the i-th charging device CGi, Pi_rated is the rated power of the i-th charging device CGi, and j is the number of charging devices. According to formula (2), the main charging device CG1 calculates the proportion of the rated power of each charging device in the total rated power, and multiplies the proportion by the total current power to calculate the target power of each charging device.
舉例而言,假設只有兩台充電裝置,主充電裝置CG1的當前功率為50W,從屬充電裝置CG2的當前功率為100W,那麼總當前功率為50+100=150W。假設主充電裝置CG1的額定功率為200W,而從屬充電裝置CG2的額定功率為100W,那麼主充電裝置CG1的額定功率比例為,而從屬充電裝置CG2的額定功率比例為。依據算式(2)可計算出主充電裝置CG1的目標功率P1_target為,而從屬充電裝置CG2的目標功率P2_target為,以按照額定功率的比例來分配每個充電裝置的輸出功率。For example, if there are only two charging devices, the current power of the master charging device CG1 is 50W, and the current power of the slave charging device CG2 is 100W, then the total current power is 50+100=150W. If the rated power of the master charging device CG1 is 200W, and the rated power of the slave charging device CG2 is 100W, then the rated power ratio of the master charging device CG1 is , and the rated power ratio of the slave charger CG2 is According to formula (2), the target power P1_target of the main charging device CG1 can be calculated as , and the target power P2_target of the slave charging device CG2 is , to distribute the output power of each charging device in proportion to the rated power.
於步驟S34,全部的充電裝置CG1~CGj,依據多個MPPT參數及目標功率,計算擾動分量及控制命令。於一實施例中,多個MPPT參數包含MPPT的擾動方向參數DIR、斜率參數SLP及擾動振幅ΔXsys_step。擾動振幅ΔXsys_step為每一MPPT調節周期的系統步長(system step size),並由主充電裝置所設置或分配。於另一實施例中,擾動振幅ΔXsys_step事先預設在每一個充電裝置內建的記憶體。In step S34, all charging devices CG1~CGj calculate disturbance components and control commands according to multiple MPPT parameters and target power. In one embodiment, multiple MPPT parameters include disturbance direction parameter DIR, slope parameter SLP and disturbance amplitude ΔXsys_step of MPPT. The disturbance amplitude ΔXsys_step is the system step size of each MPPT adjustment cycle and is set or allocated by the master charging device. In another embodiment, the disturbance amplitude ΔXsys_step is preset in the built-in memory of each charging device.
全部的充電裝置CG1~CGj依據以下算式(3)計算擾動分量。The disturbance components of all charging devices CG1 to CGj are calculated according to the following equation (3).
算式(3)。Formula (3) .
於算式(3)中,ΔXi是第i個充電裝置CGi的擾動分量,Pi_base是第i個充電裝置CGi的基礎功率;若每一個充電裝置的額定功率相同,那麼基礎功率Pi_base是當前系統總功率的平均值;若每一個充電裝置的額定功率不盡相同,那麼基礎功率Pi_base是額定功率Pi_rated。In formula (3), ΔXi is the disturbance component of the i-th charging device CGI, and Pi_base is the base power of the i-th charging device CGI. If the rated power of each charging device is the same, then the base power Pi_base is the average value of the current system total power. If the rated power of each charging device is different, then the base power Pi_base is the rated power Pi_rated.
接著,步驟S34更包含:全部的充電裝置CG1~CGj依據擾動分量、多個MPPT參數及先前控制命令Yi_prev,計算控制命令Yi。具體而言,全部的充電裝置CG1~CGj依據以下算式(4)計算控制命令Yi。Next, step S34 further includes: all charging devices CG1-CGj calculate the control command Yi according to the disturbance component, multiple MPPT parameters and the previous control command Yi_prev. Specifically, all charging devices CG1-CGj calculate the control command Yi according to the following formula (4).
算式(4)。Formula (4) .
於算式(4)中,Yi是第i個充電裝置CGi的控制命令,ΔXi是第i個充電裝置CGi的擾動分量,ΔXconst_step是固定振幅,DIR是方向參數,SLP是斜率參數,且Yi_prev是第i個充電裝置CGi在先前MPPT週期的先前控制命令。In formula (4), Yi is the control command of the i-th charging device CGi, ΔXi is the disturbance component of the i-th charging device CGi, ΔXconst_step is the fixed amplitude, DIR is the direction parameter, SLP is the slope parameter, and Yi_prev is the previous control command of the i-th charging device CGi in the previous MPPT cycle.
於一實施例中,當再生能源供電系統10是採用擾動觀察法來找到最大功率點(MPP)輸出時,擾動分量ΔXi、擾動振幅ΔXsys_step、固定振幅ΔXconst_step、控制命令Yi和先前控制命令Yi_prev皆為電壓訊號。In one embodiment, when the renewable energy
於一實施例中,進行最大功率追蹤時,若方向參數DIR為1,那麼充電裝置CGi增加控制命令Yi;若MPPT調節方向參數DIR為-1,那麼充電裝置CGi減少控制命令Yi。若主充電裝置CG1判斷在下一個MPPT週期需增加功率,那麼斜率參數SLP為1;若主充電裝置CG1判斷在下一個MPPT週期需降低功率,那麼斜率參數SLP為-1。此外,目前有各種MPPT控制方法被提出,例如擾動觀察法、增量電導法、電流掃描法等。本實施例以擾動觀察法為例,充電裝置的控制電路會於每次MPPT調節周期小幅地增加或減少電壓,並且量測充電裝置的當前功率。若當前功率增加,控制電路繼續依相同方向調節電壓,直到當前功率不增加為止。In one embodiment, when performing maximum power tracking, if the direction parameter DIR is 1, the charging device CGi increases the control command Yi; if the MPPT adjustment direction parameter DIR is -1, the charging device CGi decreases the control command Yi. If the main charging device CG1 determines that the power needs to be increased in the next MPPT cycle, the slope parameter SLP is 1; if the main charging device CG1 determines that the power needs to be reduced in the next MPPT cycle, the slope parameter SLP is -1. In addition, various MPPT control methods have been proposed, such as the perturbation observation method, the incremental conductivity method, the current scanning method, etc. This embodiment takes the perturbation observation method as an example. The control circuit of the charging device will slightly increase or decrease the voltage in each MPPT adjustment cycle and measure the current power of the charging device. If the current power increases, the control circuit continues to adjust the voltage in the same direction until the current power stops increasing.
最後,於步驟S35,全部的充電裝置CG1~CGj,分別依據控制命令Y1~Yj,控制輸出電流I1~Ij與輸出電壓V1~Vj。詳細來說,步驟S35更包含:全部的充電裝置CG1~CGj分別依據控制命令Y1~Yj、輸入電壓VIN1~VINj及輸入電流IIN1~IINj,產生第一控制訊號C11~C1j,以進行輸入端的功率調節;以及依據輸入穩壓命令Vstable、中繼電壓VM1~VMj、輸出電流I1~Ij及輸出電壓V1~Vj,產生第二控制訊號C21~C2j,以進行輸出端的功率調節。Finally, in step S35, all the charging devices CG1~CGj control the output currents I1~Ij and the output voltages V1~Vj according to the control commands Y1~Yj, respectively. In detail, step S35 further includes: all the charging devices CG1~CGj generate first control signals C11~C1j according to the control commands Y1~Yj, the input voltages VIN1~VINj and the input currents IIN1~IINj, respectively, to adjust the power at the input end; and generate second control signals C21~C2j according to the input voltage regulation command Vstable, the relay voltages VM1~VMj, the output currents I1~Ij and the output voltages V1~Vj, to adjust the power at the output end.
於一實施例中,步驟S32更包含:主充電裝置CG1傳送同步時序到全部的充電裝置CG1~CGj,因此在步驟S35中,全部的充電裝置CG1~CGj在同步時序下,分別控制多個輸出電流I1~Ij及多個輸出電壓V1~Vj,以同步調節功率。In one embodiment, step S32 further includes: the master charging device CG1 transmits the synchronization timing to all the charging devices CG1-CGj, so in step S35, all the charging devices CG1-CGj respectively control the multiple output currents I1-Ij and the multiple output voltages V1-Vj under the synchronization timing to synchronously adjust the power.
如此一來,控制方法30可適用於多個充電裝置CG1~CGj互相並聯的再生能源供電系統10,無須另外開發不同功率瓦數的充電裝置,可增加系統規劃彈性。並且,多個充電裝置CG1~CGj同時兼具MPPT、輸入端與輸出端功率調節的能力。In this way, the
請參閱第5圖,第5圖是依據本發明實施例的主控制電路與從屬控制電路並聯的功能方塊示意圖。於本實施例中,假設控制電路231為主充電裝置CG1中的主控制電路,而控制電路232~23j為從屬充電裝置CG2~CGj中的從屬控制電路,但不限於此。Please refer to FIG. 5, which is a functional block diagram of a master control circuit and a slave control circuit connected in parallel according to an embodiment of the present invention. In this embodiment, it is assumed that the
在結構上,主控制電路231包含MPPT單元50、功率偵測器501、第一運算單元51、第二運算單元52、PI(proportional–integral)控制電路53~57、暫存器58~59、乘法器M1以及減法器S1~S5。MPPT單元50電連接多個充電裝置CG1~CGj,經配置來向全部的充電裝置CG1~CGj收集多個當前功率P1~Pj,據以產生方向參數DIR、斜率參數SLP及擾動振幅ΔXsys_step。然後,MPPT單元50將方向參數DIR、斜率參數SLP及擾動振幅ΔXsys_step傳送到全部的第一運算單元51。此外,MPPT單元50傳送同步時序到全部的第一運算單元51,以同步進行功率調節。於一實施例中,只有主控制電路231設置MPPT單元50。於另一實施例中,全部的控制電路231~23j皆包含MPPT單元,但是僅有主控制電路231的MPPT單元50被致能,其餘的從屬控制電路232~23j的MPPT單元50被禁能;在此情況下,當主控制電路231故障時,致能一個從屬控制電路的MPPT單元50即可作為替代的主控制電路。Structurally, the
全部的控制電路231~23j都採用相同的電路結構來實現功率調節。以主控制電路231為例,功率偵測器501電連接多個充電裝置CG1~CGj的輸入端,經配置來偵測當前的輸入電壓VIN1及輸入電流IIN1。乘法器M1經配置來相乘輸入電壓VIN1和輸入電流IIN1,以計算當前功率P1。第一運算單元51電連接乘法器M1,經配置來向全部的第一運算單元51收集多個當前功率P1~Pj及多個額定功率P1_rated~Pj_rated。於部分實施例中,MPPT單元50和第一運算單元51通過數位訊號或類比訊號來傳輸多個MPPT參數、多個當前功率P1~Pj、多個額定功率P1_rated~Pj_rated 等資訊到其他充電裝置。All control circuits 231-23j use the same circuit structure to achieve power regulation. Taking the
若全部的充電裝置CG1~CGj的額定功率皆相同,那麼第一運算單元51經配置來依據算式(1),計算目標功率P1_target。若充電裝置CG1~CGj的額定功率不盡相同,那麼第一運算單元51經配置來依據算式(2),計算目標功率P1_target。接著,第一運算單元51經配置來依據當前功率P1、目標功率P1_target、方向參數DIR、斜率參數SLP、擾動振幅ΔXsys_step及算式(3),計算擾動分量ΔX1。If the rated powers of all the charging devices CG1 to CGj are the same, the first operation unit 51 is configured to calculate the target power P1_target according to equation (1). If the rated powers of the charging devices CG1 to CGj are not all the same, the first operation unit 51 is configured to calculate the target power P1_target according to equation (2). Then, the first operation unit 51 is configured to calculate the disturbance component ΔX1 according to the current power P1, the target power P1_target, the direction parameter DIR, the slope parameter SLP, the disturbance amplitude ΔXsys_step and equation (3).
暫存器58經配置來儲存固定振幅ΔXconst_step。第二運算單元52電連接第一運算單元51及暫存器58,經配置來依據擾動分量ΔX1、固定振幅ΔXconst_step、先前控制命令Y1_prev、方向參數DIR、斜率參數SLP及算式(4)計算控制命令Y1後,反饋控制命令Y1到自身以儲存為先前控制命令Y1_prev。減法器S1電連接充電裝置CG1的輸入端,經配置來將輸入電壓VIN1減去控制命令Y1,以產生第一電壓補償。PI控制器53電連接減法器S2,經配置來將第一電壓補償轉換為第一電流值。減法器S2電連接充電裝置CG1的輸入端,經配置來將第一電流值減去輸入電流IIN1,以產生第一電流補償。PI控制器54電連接減法器S2,經配置來將第一電流補償轉換為第一控制訊號C11,並輸入到第一轉換電路21。The
暫存器59經配置來儲存輸入穩壓命令Vstable。減法器S3電連接暫存器59、第一轉換電路21的輸出端及中繼電容,經配置來將輸入穩壓命令Vstable減去中繼電壓VM1來產生穩壓補償。PI控制器55電連接減法器S3,經配置來將穩壓補償轉換為第二電流值。減法器S4電連接PI控制器55,經配置來將第二電流值減去輸出電流I1,以產生第二電流補償。PI控制器56電連接減法器S4,經配置來將該第二電流補償轉換為第一電壓值。減法器S5電連接PI控制器56,經配置來將第一電壓值減去輸出電壓V1,以產生第二電壓補償。PI控制器57電連接減法器S5,經配置來將第二電壓補償轉換為第二控制訊號C21。The
因此,通過第5圖的控制電路並聯的電路架構,可執行第3圖的控制方法30。Therefore, the
綜上所述,本揭示實施例的主從充電控制方法及其再生能源供電系統具備了以下優勢:(1)將多個充電裝置互相並聯,可適應不同的發電功率瓦數,無須另外開發不同功率瓦數的充電裝置,可增加系統規劃彈性;(2)採用單一保護裝置的集中式保護,可節省系統成本;(3)多個充電裝置採用主從式控制方法,同時兼具MPPT、輸入與輸出功率調節的能力;及(4)依據充電裝置的額定功率來分配輸出功率占比,可增加系統規劃彈性。In summary, the master-slave charging control method and the renewable energy power supply system of the disclosed embodiment have the following advantages: (1) multiple charging devices are connected in parallel to adapt to different power wattages, without the need to develop charging devices with different power wattages, which can increase the flexibility of system planning; (2) centralized protection of a single protection device can be adopted to save system costs; (3) multiple charging devices adopt a master-slave control method, which has the ability of MPPT, input and output power regulation; and (4) the output power ratio is allocated according to the rated power of the charging device, which can increase the flexibility of system planning.
雖然本揭示的特定實施例已經揭露有關上述實施例,各種替代及改良可藉由相關領域中的一般技術人員在本揭示中執行而沒有從本揭示的原理及精神背離。因此,本揭示的保護範圍由所附申請專利範圍確定。Although specific embodiments of the present disclosure have been disclosed with respect to the above embodiments, various substitutions and improvements may be made by those skilled in the art in the present disclosure without departing from the principles and spirit of the present disclosure. Therefore, the scope of protection of the present disclosure is determined by the scope of the attached patent application.
10:再生能源供電系統10: Renewable energy power supply system
CG1~CGj,CGi:充電裝置CG1~CGj,CGi: Charging device
13:再生能源發電機組13: Renewable energy generator
15:保護裝置15: Protective device
90:負載90: Load
80:電池80:Battery
VIN:總輸入電壓VIN: Total input voltage
IIN:總輸入電流IIN: Total input current
VIN1~VINj,VINi:輸入電壓VIN1~VINj,VINi: Input voltage
IIN1~IINj,IINi:輸入電流IIN1~IINj,IINi: Input current
VOUT:母線電壓VOUT: Bus voltage
IOUT:母線電流IOUT: Bus current
V1~Vj,Vi:輸出電壓V1~Vj,Vi: output voltage
I1~Ij,Ii:輸出電流I1~Ij,Ii: output current
VM1~VMj,VMi:中繼電壓VM1~VMj,VMi: Relay voltage
IM1~IMj,IMi:中繼電流IM1~IMj,IMi: Relay current
231~23j,23i:控制電路231~23j,23i: Control circuit
21:第一轉換電路21: First conversion circuit
22:第二轉換電路22: Second conversion circuit
C1i,C11~C1j:第一控制訊號C1i, C11~C1j: first control signal
C2i,C21~C2j:第二控制訊號C2i, C21~C2j: second control signal
30:控制方法30: Control Methods
S31,S32,S33,S34,S35:步驟S31, S32, S33, S34, S35: Steps
231:主控制電路231: Main control circuit
232~23j:從屬控制電路232~23j: Slave control circuit
50:MPPT單元50:MPPT unit
DIR:方向參數DIR: Direction parameter
SLP:斜率參數SLP: Slope parameter
ΔXsys_step:擾動振幅ΔXsys_step: disturbance amplitude
M1:乘法器M1: Multiplier
P1~Pj:當前功率P1~Pj: Current power
51:第一運算單元51: First operation unit
52:第二運算單元52: Second operation unit
53,54,55,56,57:PI控制器53,54,55,56,57:PI controller
58,59:暫存器58,59: Register
ΔXconst_step:固定振幅ΔXconst_step: fixed amplitude
ΔX1~ΔXj:擾動分量ΔX1~ΔXj: disturbance component
Vstable:輸入穩壓命令Vstable: Enter the voltage stabilization command
S1,S2,S3,S4,S5:減法器S1,S2,S3,S4,S5: Subtractor
Y1_prev~Yj_prev:先前控制命令Y1_prev~Yj_prev: previous control command
Y1~Yj:控制命令Y1~Yj: control command
Pj_rated:額定功率Pj_rated: Rated power
為讓本揭露的上述和其他目的、特徵、優點與實施例能更明顯易懂,所附圖式的說明如下: 第1圖是依據本發明實施例的再生能源供電系統的示意圖; 第2圖是依據本發明實施例的充電裝置的示意圖; 第3圖是依據本發明實施例的控制方法的流程圖; 第4圖是依據本發明實施例的控制方法的操作時序圖;以及 第5圖是依據本發明實施例的主控制電路與從屬控制電路並聯的功能方塊示意圖。In order to make the above and other purposes, features, advantages and embodiments of the present disclosure more clearly understandable, the attached drawings are described as follows: FIG. 1 is a schematic diagram of a renewable energy power supply system according to an embodiment of the present invention; FIG. 2 is a schematic diagram of a charging device according to an embodiment of the present invention; FIG. 3 is a flow chart of a control method according to an embodiment of the present invention; FIG. 4 is an operation timing diagram of a control method according to an embodiment of the present invention; and FIG. 5 is a functional block schematic diagram of a master control circuit and a slave control circuit in parallel according to an embodiment of the present invention.
30:控制方法30: Control method
S31,S32,S33,S34,S35:步驟S31, S32, S33, S34, S35: Steps
| Application Number | Priority Date | Filing Date | Title |
|---|---|---|---|
| TW112144512ATWI860891B (en) | 2023-11-17 | 2023-11-17 | Master-slave charging control method and related renewable energy supply system with maximum power point tracking |
| Application Number | Priority Date | Filing Date | Title |
|---|---|---|---|
| TW112144512ATWI860891B (en) | 2023-11-17 | 2023-11-17 | Master-slave charging control method and related renewable energy supply system with maximum power point tracking |
| Publication Number | Publication Date |
|---|---|
| TWI860891Btrue TWI860891B (en) | 2024-11-01 |
| TW202522836A TW202522836A (en) | 2025-06-01 |
| Application Number | Title | Priority Date | Filing Date |
|---|---|---|---|
| TW112144512ATWI860891B (en) | 2023-11-17 | 2023-11-17 | Master-slave charging control method and related renewable energy supply system with maximum power point tracking |
| Country | Link |
|---|---|
| TW (1) | TWI860891B (en) |
| Publication number | Priority date | Publication date | Assignee | Title |
|---|---|---|---|---|
| TW201023472A (en)* | 2008-12-05 | 2010-06-16 | Ablerex Electronics Co Ltd | Battery-charging device for a stand-alone generator system having a MPPT function and method thereof |
| WO2010096682A2 (en)* | 2009-02-19 | 2010-08-26 | Xslent Energy Technologies, Llc | Power transfer management for local power sources of a grid-tied load |
| CN203225533U (en)* | 2013-03-06 | 2013-10-02 | 陈小莉 | MPPT charging circuit |
| TWI469471B (en)* | 2012-11-23 | 2015-01-11 | Univ Nat Sun Yat Sen | Method and circuit of the pulse charging with mppt |
| TWI487239B (en)* | 2012-08-15 | 2015-06-01 | Atomic Energy Council | Household power parallel converter applied to solar power generation system with maximum power tracking effect |
| TW201705641A (en)* | 2015-07-16 | 2017-02-01 | Nat Chung-Hsing Univ | Renewable energy control method and system for providing a dual-battery configuration to increase the battery lifetime and the overall energy utilization efficiency |
| TWM547776U (en)* | 2017-05-16 | 2017-08-21 | 國立成功大學 | Control device for renewable power system |
| TWI642251B (en)* | 2016-11-04 | 2018-11-21 | 朗天科技股份有限公司 | Energy system using maximum energy utilization point tracking technologies |
| CN109713714B (en)* | 2018-11-15 | 2020-12-25 | 华为技术有限公司 | Maximum power point tracking method and equipment |
| TWM628678U (en)* | 2022-02-11 | 2022-06-21 | 國立臺灣師範大學 | Intelligent multi-input and multi-output energy conversion system |
| Publication number | Priority date | Publication date | Assignee | Title |
|---|---|---|---|---|
| TW201023472A (en)* | 2008-12-05 | 2010-06-16 | Ablerex Electronics Co Ltd | Battery-charging device for a stand-alone generator system having a MPPT function and method thereof |
| WO2010096682A2 (en)* | 2009-02-19 | 2010-08-26 | Xslent Energy Technologies, Llc | Power transfer management for local power sources of a grid-tied load |
| TWI487239B (en)* | 2012-08-15 | 2015-06-01 | Atomic Energy Council | Household power parallel converter applied to solar power generation system with maximum power tracking effect |
| TWI469471B (en)* | 2012-11-23 | 2015-01-11 | Univ Nat Sun Yat Sen | Method and circuit of the pulse charging with mppt |
| CN203225533U (en)* | 2013-03-06 | 2013-10-02 | 陈小莉 | MPPT charging circuit |
| TW201705641A (en)* | 2015-07-16 | 2017-02-01 | Nat Chung-Hsing Univ | Renewable energy control method and system for providing a dual-battery configuration to increase the battery lifetime and the overall energy utilization efficiency |
| TWI642251B (en)* | 2016-11-04 | 2018-11-21 | 朗天科技股份有限公司 | Energy system using maximum energy utilization point tracking technologies |
| TWM547776U (en)* | 2017-05-16 | 2017-08-21 | 國立成功大學 | Control device for renewable power system |
| CN109713714B (en)* | 2018-11-15 | 2020-12-25 | 华为技术有限公司 | Maximum power point tracking method and equipment |
| TWM628678U (en)* | 2022-02-11 | 2022-06-21 | 國立臺灣師範大學 | Intelligent multi-input and multi-output energy conversion system |
| Publication number | Publication date |
|---|---|
| TW202522836A (en) | 2025-06-01 |
| Publication | Publication Date | Title |
|---|---|---|
| EP2290803B1 (en) | Systems, methods, and apparatus for operating a power converter | |
| CN110581565B (en) | Control method and device in photovoltaic power generation grid-connected system | |
| Wang et al. | Simulation and power quality analysis of a Loose-Coupled bipolar DC microgrid in an office building | |
| Sahoo et al. | A novel sensorless current shaping control approach for SVPWM inverter with voltage disturbance rejection in a dc grid–based wind power generation system | |
| CN110661274A (en) | Composite dynamic power support system and coordination control method thereof | |
| Zhou et al. | Static state power smoothing and transient power quality enhancement of a DC microgrid based on multi-function SMES/battery distributed hybrid energy storage system | |
| Zakaria et al. | A hybrid interleaved DC-DC converter based on buck-boost topologies for medium voltage applications | |
| Majji et al. | MPC‐based DC microgrid integrated series active power filter for voltage quality improvement in distribution system | |
| Baharudin et al. | Design and performance analysis of grid connected photovoltaic (GCPV) based DSTATCOM for power quality improvements | |
| CN114884122B (en) | Charging control method, device and equipment | |
| WO2021253257A1 (en) | Power energy storage system and energy storage power supply system | |
| CN111478368A (en) | A connection transformer input method, system and equipment for hot standby connection transformer circuit | |
| TWI860891B (en) | Master-slave charging control method and related renewable energy supply system with maximum power point tracking | |
| CN113097997B (en) | An optimization method for transient voltage safety preventive control considering a large number of expected faults | |
| TWI666852B (en) | Power storage system, voltage transformer and power storage power conditioner | |
| CN120021126A (en) | Master-slave charging control method and related renewable energy maximum power tracking power supply system | |
| Rajasree et al. | Unified Power Quality Conditioner for Voltage Compensation in Microgird | |
| CN112688298B (en) | A method for parallel circulation suppression of low-voltage management devices at the end of low-voltage distribution network | |
| Liu et al. | Research on distributed energy storage pinning coordinated control method of microgrid clusters | |
| CN111628491B (en) | Direct current micro-grid improved droop control method based on line impedance detection | |
| Thota et al. | The Voltage stability analysis for grid-connected PV system using optimized control tested by IEEE 14 & 30 bus system | |
| Sowmya Sree et al. | Design of Fuzzy Logic Controller-Based DPFC Device for Solar-Wind Hybrid System | |
| CN107086786A (en) | Interactive voltage stabilizing system and operation method for bidirectional energy flow | |
| Agarwal et al. | Dynamic droop gain adjustment for proportional power sharing in low voltage DC microgrid | |
| CN114268145A (en) | A charge-discharge regulator and regulation method based on droop control |