



本發明是有關於一種聲音訊號處理,且特別是有關於一種聲音播放裝置及基於聲音的定位方法。The present invention relates to sound signal processing, and in particular, to a sound playing device and a sound-based positioning method.
筆記型電腦通常設有攝影機,並可透過影像辨識技術偵測使用者是否在附近。另一方面,體感控制也是近年來發展快速的技術之一。例如,使用者以特殊手勢(例如,向左揮手或向右揮手)控制筆記型電腦的功能。雖然基於影像辨識的物件偵測技術能提供較高的辨識準確度,但可能耗費較多的電。Laptop computers are usually equipped with cameras and can detect whether the user is nearby through image recognition technology. On the other hand, somatosensory control is also one of the technologies that has developed rapidly in recent years. For example, the user uses special gestures (eg, waving to the left or waving to the right) to control functions of the notebook computer. Although object detection technology based on image recognition can provide higher recognition accuracy, it may consume more power.
有鑑於此,本發明實施例提供一種聲音播放裝置及定位方法,可利用裝置上現有的收音器及揚聲器來偵測物體。In view of this, embodiments of the present invention provide a sound playback device and a positioning method that can use existing receivers and speakers on the device to detect objects.
本發明實施例的定位方法適用於聲音播放裝置。這聲音播放裝置包括二收音器及二揚聲器。定位方法包括(但不僅限於)下列步驟:依據第一檢測聲音訊號決定物體相對於聲音播放裝置的水平方向。第一檢測聲音訊號為固定頻率的高頻聲音訊號。第一檢測聲音訊號是透過二揚聲器中的第一揚聲器播放並透過二收音器錄音。決定第二檢測聲音訊號經物體反射的行徑距離。第二檢測聲音訊號為頻率線性變化的高頻聲音訊號。第二檢測聲音訊號是透過二揚聲器中的第二揚聲器播放並透過二收音器錄音。行徑距離是源自第二揚聲器並經過物體後到達二收音器。依據第二檢測聲音訊號分別至二收音器的行徑距離之間的距離差異決定物體相對於聲音播放裝置的垂直角度。依據水平方向、行徑距離及垂直角度決定物體相對於聲音播放裝置的分開距離。The positioning method according to the embodiment of the present invention is suitable for sound playback devices. The sound playback device includes two radios and two speakers. The positioning method includes (but is not limited to) the following steps: determining the horizontal direction of the object relative to the sound playback device based on the first detected sound signal. The first detection sound signal is a high-frequency sound signal with a fixed frequency. The first detection sound signal is played through the first speaker of the two speakers and recorded through the two radios. Determine the travel distance of the second detection sound signal reflected by the object. The second detection sound signal is a high-frequency sound signal whose frequency changes linearly. The second detection sound signal is played through the second speaker of the two speakers and recorded through the two radios. The travel distance is from the second speaker and passes through the object to the second radio. The vertical angle of the object relative to the sound playback device is determined based on the distance difference between the travel distances of the second detected sound signal to the two microphones respectively. The separation distance of the object relative to the sound playback device is determined based on the horizontal direction, travel distance and vertical angle.
本發明實施例的聲音播放裝置包括(但不僅限於)二收音器、二揚聲器及處理器。收音器用以收音。揚聲器用以播放聲音。處理器耦接二收音器及二揚聲器。處理器經配置用以依據第一檢測聲音訊號決定物體相對於聲音播放裝置的水平方向,決定第二檢測聲音訊號經物體反射的行徑距離,依據第二檢測聲音訊號分別至二收音器的行徑距離之間的距離差異決定物體相對應於聲音播放裝置的垂直角度,並依據水平方向、行徑距離及垂直角度決定物體相對於聲音播放裝置的分開距離。第一檢測聲音訊號為固定頻率的高頻聲音訊號。第一檢測聲音訊號是透過二揚聲器中的第一揚聲器播放並透過二收音器錄音。第二檢測聲音訊號為頻率線性變化的高頻聲音訊號。第二檢測聲音訊號是透過二揚聲器中的第二揚聲器播放並透過二收音器錄音。行徑距離是源自第二揚聲器並經過物體後到達二收音器。The sound playback device according to the embodiment of the present invention includes (but is not limited to) two receivers, two speakers and a processor. A radio is used to pick up sound. Speakers are used to play sounds. The processor is coupled to two radios and two speakers. The processor is configured to determine the horizontal direction of the object relative to the sound playback device based on the first detection sound signal, determine the travel distance of the second detection sound signal reflected by the object, and determine the travel distance of the second detection sound signal to the two receivers based on the second detection sound signal. The distance difference between them determines the vertical angle of the object relative to the sound playing device, and the separation distance of the object relative to the sound playing device is determined based on the horizontal direction, travel distance and vertical angle. The first detection sound signal is a high-frequency sound signal with a fixed frequency. The first detection sound signal is played through the first speaker of the two speakers and recorded through the two receivers. The second detection sound signal is a high-frequency sound signal whose frequency changes linearly. The second detection sound signal is played through the second speaker of the two speakers and recorded through the two radios. The travel distance is from the second speaker and passes through the object to the second radio.
基於上述,依據本發明實施例的聲音播放裝置及定位方法,透過揚聲器分別播放不同頻率設定的高頻檢測聲音訊號,並基於收音器錄音所得的聲音訊號對物體定位。藉此,可提供節能且方便的定位機制,且高頻訊號也不會影響使用者的一般聆聽使用情況。Based on the above, according to the sound playback device and the positioning method according to the embodiment of the present invention, high-frequency detection sound signals with different frequency settings are played through the speakers, and the object is located based on the sound signals recorded by the radio. In this way, an energy-saving and convenient positioning mechanism can be provided, and high-frequency signals will not affect the user's general listening usage.
為讓本發明的上述特徵和優點能更明顯易懂,下文特舉實施例,並配合所附圖式作詳細說明如下。In order to make the above-mentioned features and advantages of the present invention more obvious and easy to understand, embodiments are given below and described in detail with reference to the accompanying drawings.
圖1是依據本發明一實施例的聲音播放裝置10的元件方塊圖。請參照圖1,聲音播放裝置10包括(但不僅限於)收音器11,12、揚聲器13,14、記憶體17及處理器19。聲音播放裝置10可以是筆記型電腦、智慧型手機、平板電腦、桌上型電腦、智慧型電視、智慧型喇叭或其他電子裝置。FIG. 1 is a component block diagram of a
收音器11, 12可以是動圈式(dynamic)、電容式(Condenser)、或駐極體電容(Electret Condenser)等類型的麥克風,收音器11, 12也可以是其他可接收聲波(例如,人聲、環境聲、機器運作聲等)(即,收音或錄音)而轉換為聲音訊號的電子元件、類比至數位轉換器、濾波器、及音訊處理器之組合。在一些實施例中,收音器11,12可能是諸如智慧型手機、錄音筆或筆記型電腦的麥克風。在一實施例中,二收音器11,12或更多收音器形成麥克風陣列。The
揚聲器13,14可以是喇叭或擴音器。在一實施例中,揚聲器13,14中的一者或兩個內建於聲音播放裝置10的本體。在另一實施例中,揚聲器13,14中的一者或兩個未內建於聲音播放裝置10的本體。例如,桌上型主機外接喇叭。在一實施例中,揚聲器13,14用以播放聲音。The
記憶體17可以是任何型態的固定或可移動隨機存取記憶體(Radom Access Memory,RAM)、唯讀記憶體(Read Only Memory,ROM)、快閃記憶體(flash memory)、傳統硬碟(Hard Disk Drive,HDD)、固態硬碟(Solid-State Drive,SSD)或類似元件。在一實施例中,記憶體17用以儲存程式碼、軟體模組、組態配置、資料(例如,聲音訊號、距離、時間、頻率、角度或波束場型參數)或檔案,並待後續實施例詳述。The
處理器19耦接收音器11,12、揚聲器13,14及記憶體17。處理器19可以是中央處理單元(Central Processing Unit,CPU)、圖形處理單元(Graphic Processing unit,GPU),或是其他可程式化之一般用途或特殊用途的微處理器(Microprocessor)、數位信號處理器(Digital Signal Processor,DSP)、可程式化控制器、現場可程式化邏輯閘陣列(Field Programmable Gate Array,FPGA)、特殊應用積體電路(Application-Specific Integrated Circuit,ASIC)或其他類似元件或上述元件的組合。在一些實施例中,處理器19的功能可實現在軟體或積體電路上。在一實施例中,處理器19用以執行聲音播放裝置10的所有或部份作業,且可載入並執行記憶體17所儲存的各軟體模組、檔案及資料。The
圖2是依據本發明一實施例的聲音播放裝置10的示意圖。請參照圖2,聲音播放裝置10以筆記型電腦為例。收音器11,12位於聲音播放裝置10的B面頂側。揚聲器13,14位於聲音播放裝置10的C面與D面之間的前兩側。以收音器11,12之間的中點作為中心點/原點的座標系,其中座標(r,θ,φ)中的r為與中心點的相距,θ為水平面上相對於水平參考線(例如,穿過收音器11,12之間的中點的水平線)的角度,且φ為垂直面上相對於垂直參考線(例如,穿過收音器11,12之間的中點的垂直線)的角度(或稱傾仰角)。收音器11,12的座標分別為(dm/2,90∘,0∘)及(dm/2,90∘,0∘)。揚聲器13,14的座標分別為(r1,θ1,φ1)及(r2,θ2,φ2)。FIG. 2 is a schematic diagram of a
須說明的是,圖2所示的實施態樣及元件位置僅是作為範例說明,且本發明實施例不以此為限。It should be noted that the implementation manner and component locations shown in FIG. 2 are only used as examples, and the embodiments of the present invention are not limited thereto.
下文中,將搭配聲音播放裝置10中的各項裝置、元件及模組說明本發明實施例所述的方法。本方法的各個流程可依照實施情形而調整,且並不僅限於此。In the following, the method described in the embodiment of the present invention will be described with reference to various devices, components and modules in the
圖3是依據本發明一實施例的定位方法的流程圖。請參照圖3,處理器19依據第一檢測聲音訊號決定物體相對於聲音播放裝置10的水平方向(步驟S310)。具體而言,處理器19透過揚聲器13,14中的一者(以揚聲器13為例)播放第一檢測聲音訊號。這第一檢測聲音訊號為固定頻率的高頻聲音訊號。高頻可能是18千赫茲(kHz)以上的頻率。也就是說,第一檢測聲音訊號維持相同的高頻率。例如,固定18 kHz頻率的第一檢測聲音訊號。另一方面,在播放第一檢測聲音訊號的過程中,處理器19透過收音器11,12錄音/收音。Figure 3 is a flow chart of a positioning method according to an embodiment of the present invention. Referring to FIG. 3 , the
以圖2為例,假設有一個物體O(例如,臉或手)位於座標(r0,θO,φO),表示物體O相對於聲音播放裝置10的水平方向的角度為θO。須說明的是,下文皆以圖2中的收音器11,12之間的中心點作為聲音播放裝置10的代表點,但應用者仍可依據實際需求而改變代表點的位置。Taking FIG. 2 as an example, assume that there is an object O (for example, a face or a hand) located at coordinates (r0 , θO , φO ), which means that the angle of the object O relative to the horizontal direction of the
水平方向判定的方法有很多種。在一實施例中,處理器19透過收音器11,12分別形成多個指向角度的波束。收音器11,12是依據波束成型(beamforming)技術形成波束。波束成型可透過調整相位陣列的基本單元的參數(例如,相位及振幅),使得某些角度的信號獲得相長干涉,而另一些角度的信號獲得相消干涉。因此,不同參數將形成不同波束場型,且其主波束的指向角度可能不同。處理器19可預先定義或基於使用者輸入操作產生多個指向角度。例如,-90∘至90∘之間每間隔10∘作為指向角度。There are many ways to determine the horizontal direction. In one embodiment, the
在播放第一檢測聲音訊號的過程中,每切換至特定指向角度,處理器19透過收音器11,12量測當前指向角度的波束收音所得到的訊號功率。處理器19可依據透過那些指向角度的波束收音所得到的訊號功率決定水平方向,且水平方向相關於訊號功率越高者的指向角度。例如,處理器19定義功率門檻值,並判斷各指向角度對應的訊號功率是否大於功率門檻值。若這指向角度對應的訊號功率大於訊號門檻值,則處理器19可判斷這指向角度上有物體O,並將這指向角度作為物體O相對於聲音播放裝置10的水平角度。而若這指向角度對應的訊號功率未大於訊號門檻值,則處理器19可判斷這指向角度上未有物體O。又例如,處理器19挑選訊號功率最高的一個或特定數量的指向角度作為水平角度。須說明的是,訊號門檻值可事先依據實驗或預設資訊決定,並可能依據實際需求而變動。例如,播放第一檢測聲音訊號的揚聲器13所處的角度θ1所用的訊號門檻值不同於其他指向角度的訊號門檻值。During the process of playing the first detection sound signal, every time it switches to a specific pointing angle, the
在另一實施例中,可基於到達角(Angle Of Arrival,AOA 或Degree Of Arrival,DOA)定位技術估測物體O相對於聲音播放裝置10的水平方向。例如,處理器19可基於第一檢測聲音訊號經物體O反射後分別到達收音器11,12的兩個聲波的時間差及兩收音器11,12之間的距離dm決定水平方向。In another embodiment, the horizontal direction of the object O relative to the
處理器19可決定第二檢測聲音訊號經物體O反射的行徑距離(步驟S330)。具體而言,處理器19透過揚聲器13,14中的另一者(以揚聲器14為例)播放第二檢測聲音訊號。不同於第一檢測聲音訊號,第二檢測聲音訊號為頻率線性變化的高頻聲音訊號。例如,第二檢測聲音訊號為利用線性頻率調變(Linear Frequency Modulation,LFM)技術的chirp訊號。圖4是依據本發明一實施例的檢測聲音訊號的頻率-時間圖。請參照圖4,第一檢測聲音訊號DS1的頻率固定,且第二檢測聲音訊號DS2的頻率隨時間變化而改變。另一方面,在播放第二檢測聲音訊號的過程中,處理器19透過收音器11,12錄音/收音。The
關於行徑距離,圖5是依據本發明一實施例的行徑距離的示意圖。請參照圖5,行徑距離x1是源自揚聲器14並經過物體O後到達收音器11。由於第二檢測聲音訊號到達物體O將被反射,因此第二檢測聲音訊號的傳遞路徑可視為由虛擬揚聲器VS至收音器11的直線路徑,其中虛擬揚聲器VS與物體O之間的距離相同於揚聲器14與物體O之間的距離,且虛擬揚聲器VS位於物體O與收音器11所形成的直線的延伸處。也就是說,收音器11所錄到揚聲器14所播出並經物體O反射的聲音訊號就像是虛擬揚聲器VS所在處的聲源所發出的聲音訊號。Regarding the travel distance, FIG. 5 is a schematic diagram of the travel distance according to an embodiment of the present invention. Referring to FIG. 5 , the travel distance x1 originates from the
由於第二檢測聲音訊號的頻率隨時間線性變化,因此基於收音訊號及播放訊號之間的頻率差異可推估聲音訊號的行徑時間,並據以得知行徑路徑。在一實施例中,處理器19可比較收音器11/12收音所得到的第一收音訊號及第二檢測聲音訊號之間的第一頻率差異。這第一收音訊號對應於行徑距離的路徑。例如是圖4所示的行徑距離x1的路徑。即,第二檢測聲音訊號源自揚聲器14並經過物體O後到達收音器11。另一方面,圖4所示角度θO(表示對應於物體O)的線段是對應於第一收音訊號,處理器19並可得出第一頻率差異。Since the frequency of the second detected sound signal changes linearly with time, the travel time of the sound signal can be estimated based on the frequency difference between the radio signal and the broadcast signal, and the travel path can be known accordingly. In one embodiment, the
處理器19可依據第一頻率差異及第二檢測聲音訊號的調頻斜率決定行徑距離。這調頻斜率為第二檢測聲音訊號的頻率線性變化斜率。例如,行徑距離x1為:…(1) 其中,C為聲音速度,s為調頻斜率。同理,第二檢測聲音訊號源自揚聲器14並經過物體O後到達收音器12的行徑路徑x2可依據收音器12收音所得到的第一收音訊號及對應的第一頻率差異得出,故於此不再贅述。The
在一實施例中,考慮聲音播放的系統延遲。處理器19可比較收音器11/12收音所得到的第二收音訊號及第二檢測聲音訊號之間的第二頻率差異。第二收音訊號對應於揚聲器14直接到收音器11/12的路徑(例如,圖1或圖5中的距離r2且短於行徑距離x1),因此第一收音訊號相較於第二收音訊號更晚被收音器11/12收到。另一方面,圖4所示角度θ2(表示對應於揚聲器14)的線段是對應於第二收音訊號,處理器19並可得出第二頻率差異。In one embodiment, the system delay of sound playback is considered. The
基於調頻斜率,處理器19可依據第二頻率差異及揚聲器14與收音器11/12之間的距離r2決定系統延遲時間。例如,系統延遲時間為:…(2)Based on the frequency modulation slope, the
接著,處理器19可依據第二檢測聲音訊號的行徑時間決定行徑距離x1/x2。行徑時間為變化時間與系統延遲時間的時間差異,且變化時間是第一頻率差異在調頻斜率s下的時間。例如,第二檢測聲音訊號自揚聲器14到收音器11的行徑距離x1為:…(3) 其中行徑時間為,且變化時間為。同理,處理器19可決定第二檢測聲音訊號自揚聲器14到收音器12的行徑距離x2。Then, the
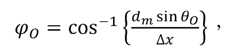
處理器19依據第二檢測聲音訊號分別至二收音器11,12的行徑距離之間的距離差異決定物體O相對於聲音播放裝置10的垂直角度(步驟S350)。具體而言,圖6是依據本發明一實施例的垂直角度的示意圖。請參照圖6,若僅有行徑距離及水平方向的角度,則僅能得知物體O在這水平方向上並與收音器11,12相距對應行徑距離所形成的圓弧C的任何位置。因此,需要進一步確定垂直角度φO。處理器19可依據距離差異決定垂直角度:…(4)The
處理器19依據水平方向、行徑距離及垂直角度決定物體O相對於聲音播放裝置10的分開距離(步驟S370)。具體而言,圖7是依據本發明一實施例的三角形的示意圖。請參照圖7,處理器19可依據(代表)行徑距離x0決定第一距離x0-r0及第二距離r0。第二檢測聲音訊號的代表行徑距離例如是第二檢測聲音訊號分別至收音器11,12的行徑距離x1, x2的平均值、最大值或其中一者。第一距離x0-r0為揚聲器14與物體O之間的距離,第二距離r0是物體O與聲音播放裝置10之間的分開距離,且第一距離x0-r0及第二距離r0之和為代表行徑距離x0。The
處理器19可依據第一距離x0-r0、第二距離r0及揚聲器14與收音器11/12之間的距離(例如,圖1的距離r1、r2或其平均值)所形成的三角形TRI決定分開距離(即,第二距離r0)。這三角形TRI中對應該第一距離x0-r0的角度α相關於水平方向θO及垂直角度φO。例如,處理器19利用三角形的餘弦定理可推算出:…(5)…(6)The
綜上所述,在本發明實施例的聲音播放裝置及定位方法,利用揚聲器分別播放固定頻率及線性變化頻率的檢測聲音訊號,並依據收音器錄音所得的聲音訊號的時間差異、頻率差異及訊號功率得出物體在空間中相對於聲音播放裝置的位置。藉此,可利用多數電子裝置均有裝載的揚聲器及收音器實現定位功能,且高頻聲音也不會影響使用者聆聽其他音訊檔案或聲音串流。To sum up, in the sound playback device and positioning method of the embodiment of the present invention, the speaker is used to play the detection sound signals of fixed frequency and linearly varying frequency respectively, and the time difference, frequency difference and signal of the sound signal recorded by the radio are The power gives the object's position in space relative to the sound player. In this way, the speakers and receivers installed in most electronic devices can be used to achieve the positioning function, and the high-frequency sound will not affect the user's listening to other audio files or sound streams.
雖然本發明已以實施例揭露如上,然其並非用以限定本發明,任何所屬技術領域中具有通常知識者,在不脫離本發明的精神和範圍內,當可作些許的更動與潤飾,故本發明的保護範圍當視後附的申請專利範圍所界定者為準。Although the present invention has been disclosed above through embodiments, they are not intended to limit the present invention. Anyone with ordinary knowledge in the technical field may make some modifications and modifications without departing from the spirit and scope of the present invention. Therefore, The protection scope of the present invention shall be determined by the appended patent application scope.
10:聲音播放裝置 11、12:收音器 13、14:揚聲器 17:記憶體 19:處理器 O:物體 dm、r2:距離 θ0、θ1、θ2、φ0、φ1、φ2:角度 S310~S370:步驟 DS1:第一檢測聲音訊號 DS2:第二檢測聲音訊號 x1:行徑距離 VS:虛擬揚聲器:第一頻率差異:第二頻率差異:距離差異 TRI:三角形 x0:行徑距離 x0-r0:第一距離 r0:第二距離10:
圖1是依據本發明一實施例的聲音播放裝置的元件方塊圖。 圖2是依據本發明一實施例的聲音播放裝置的示意圖。 圖3是依據本發明一實施例的定位方法的流程圖。 圖4是依據本發明一實施例的檢測聲音訊號的頻率-時間圖。 圖5是依據本發明一實施例的行徑距離的示意圖。 圖6是依據本發明一實施例的垂直角度的示意圖。 圖7是依據本發明一實施例的三角形的示意圖。FIG. 1 is a component block diagram of a sound playing device according to an embodiment of the present invention. FIG. 2 is a schematic diagram of a sound playing device according to an embodiment of the present invention. Figure 3 is a flow chart of a positioning method according to an embodiment of the present invention. FIG. 4 is a frequency-time diagram of a detected sound signal according to an embodiment of the present invention. FIG. 5 is a schematic diagram of travel distance according to an embodiment of the present invention. FIG. 6 is a schematic diagram of a vertical angle according to an embodiment of the present invention. Figure 7 is a schematic diagram of a triangle according to an embodiment of the present invention.
S310~S370:步驟S310~S370: steps
| Application Number | Priority Date | Filing Date | Title |
|---|---|---|---|
| TW110148851ATWI811919B (en) | 2021-12-27 | 2021-12-27 | Audio playback apparatus and positioning method |
| Application Number | Priority Date | Filing Date | Title |
|---|---|---|---|
| TW110148851ATWI811919B (en) | 2021-12-27 | 2021-12-27 | Audio playback apparatus and positioning method |
| Publication Number | Publication Date |
|---|---|
| TW202326705A TW202326705A (en) | 2023-07-01 |
| TWI811919Btrue TWI811919B (en) | 2023-08-11 |
| Application Number | Title | Priority Date | Filing Date |
|---|---|---|---|
| TW110148851ATWI811919B (en) | 2021-12-27 | 2021-12-27 | Audio playback apparatus and positioning method |
| Country | Link |
|---|---|
| TW (1) | TWI811919B (en) |
| Publication number | Priority date | Publication date | Assignee | Title |
|---|---|---|---|---|
| CN1147302A (en)* | 1994-04-14 | 1997-04-09 | 威尔·保尔 | 3D Displacement of Objects with Computer Interface |
| TW200529000A (en)* | 2003-11-25 | 2005-09-01 | Qualcomm Inc | High data rate interface with improved link synchronization |
| CN101594431A (en)* | 2008-05-29 | 2009-12-02 | Lg电子株式会社 | Transparent display and method of operation thereof |
| US20190361694A1 (en)* | 2011-12-19 | 2019-11-28 | Majen Tech, LLC | System, method, and computer program product for coordination among multiple devices |
| Publication number | Priority date | Publication date | Assignee | Title |
|---|---|---|---|---|
| CN1147302A (en)* | 1994-04-14 | 1997-04-09 | 威尔·保尔 | 3D Displacement of Objects with Computer Interface |
| TW200529000A (en)* | 2003-11-25 | 2005-09-01 | Qualcomm Inc | High data rate interface with improved link synchronization |
| CN101594431A (en)* | 2008-05-29 | 2009-12-02 | Lg电子株式会社 | Transparent display and method of operation thereof |
| US20190361694A1 (en)* | 2011-12-19 | 2019-11-28 | Majen Tech, LLC | System, method, and computer program product for coordination among multiple devices |
| Publication number | Publication date |
|---|---|
| TW202326705A (en) | 2023-07-01 |
| Publication | Publication Date | Title |
|---|---|---|
| JP7082126B2 (en) | Analysis of spatial metadata from multiple microphones in an asymmetric array in the device | |
| JP5710792B2 (en) | System, method, apparatus, and computer-readable medium for source identification using audible sound and ultrasound | |
| CN113014983B (en) | Video playing method and device, storage medium and electronic equipment | |
| US8755536B2 (en) | Stabilizing directional audio input from a moving microphone array | |
| JP2020500480A5 (en) | ||
| TWI230023B (en) | Sound-receiving method of microphone array associating positioning technology and system thereof | |
| US9794692B2 (en) | Multi-channel speaker output orientation detection | |
| CN109036448A (en) | A kind of sound processing method and device | |
| US10362409B1 (en) | Adjustable laser microphone | |
| RU2012155185A (en) | ESTIMATION OF THE DISTANCE USING AUDIO SIGNALS | |
| WO2013079782A1 (en) | An audio driver user interface | |
| CN106851011A (en) | A kind of DOA estimate network system realization based on smart mobile phone acoustic array | |
| TWI811919B (en) | Audio playback apparatus and positioning method | |
| CN115128544A (en) | A sound source localization method, device and medium based on a linear dual array of microphones | |
| CN108108144B (en) | Electronic equipment and information processing method | |
| CN114765031A (en) | Radio reception device, radio reception method, terminal and computer readable storage medium | |
| US12394428B2 (en) | Audio signal processing method and mobile apparatus | |
| CN113608167B (en) | Sound source positioning method, device and equipment | |
| JP2006304124A (en) | Sound source direction determining apparatus and sound source direction determining method | |
| CN113870877B (en) | Method for judging the operation status of electrical appliances, detection device, refrigerator and readable storage medium | |
| US20210272449A1 (en) | Detection device and indoor navigation system | |
| JP2023053670A (en) | Information processing device, information processing method, and program | |
| TWI878850B (en) | Pairing method of dual channel and mobile device | |
| JP7403778B2 (en) | Sound source direction identification device | |
| WO2023125534A1 (en) | Input detection apparatus, system, and related device thereof |