



























一種動脈硬化風險評估系統,尤其是指一種將心率信號由時域轉成頻域,能消除重弦波留下重搏波,以計算動脈硬化指數的分析評估系統。An arteriosclerosis risk assessment system, especially an analysis and evaluation system that converts the heart rate signal from the time domain to the frequency domain, and can eliminate the heavy sine wave and leave the dicrotic wave to calculate the arteriosclerosis index.
動脈硬化是一個廣泛的名詞,包含了細小動脈、動脈中層、動脈粥樣性硬化(Atherosclerosis),最嚴重的是動脈粥樣性硬化發生在冠狀動脈、中動脈上,若沒有定期接受心血管檢查,患者可能不知自己罹患動脈硬化的疾病,最終引發突發性的心肌梗塞、中風。Arteriosclerosis is a broad term, including small arteries, arterial media, atherosclerosis (Atherosclerosis), the most serious is that atherosclerosis occurs in coronary arteries and middle arteries, if there is no regular cardiovascular examination , The patient may not know that he is suffering from arteriosclerosis, which eventually leads to sudden myocardial infarction and stroke.
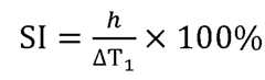
因此,現有一種量測裝置為穿戴式裝置。一般的穿戴裝置多以手環或手錶的形態配戴於受測者的手腕上,例如小米手環、Apple Watch等智慧型穿戴裝置。所述穿戴裝置可透過光體積描記圖法(Photoplethysmography,以下簡稱PPG)偵測該受測者的一心率信號(一般簡稱PPG信號),該心率信號所呈現的資訊包含心跳及血管內部的血液流動狀態。藉由PPG量測技術,可快速取得受測者的心跳及血液流動狀態,即可簡易量測受測者的動脈硬化指數(SI),來判斷受測者血管的硬化程度,其中動脈硬化指數的計算公式為:Therefore, an existing measuring device is a wearable device. Common wearable devices are mostly worn on the wrists of the subjects in the form of bracelets or watches, such as smart wearable devices such as Xiaomi bracelets and Apple Watches. The wearable device can detect a heart rate signal (generally referred to as PPG signal) of the subject through photoplethysmography (Photoplethysmography, hereinafter referred to as PPG). The information presented by the heart rate signal includes heartbeat and blood flow inside the blood vessel. state. With the PPG measurement technology, the heartbeat and blood flow status of the subject can be quickly obtained, and the subject's arteriosclerosis index (SI) can be easily measured to determine the degree of hardening of the subject's blood vessels. The arteriosclerosis index The calculation formula is:
SI=h/ΔT*100%;其中h為受測者的身高,ΔT為在該受測者的該PPG信號中,脈博的主波峰與重搏波之間的時間差。SI=h/ΔT*100%; where h is the height of the subject, and ΔT is the time difference between the main pulse peak and the dicrotic wave in the PPG signal of the subject.
請參見圖15,在一個心跳周期的PPG信號內含有兩個脈波,一個為脈波的主波峰MP,一個為重搏波40,重搏波40的形成原因為脈波傳至下半身後,反射(反彈)至主動脈瓣上再傳遞至感測部位所形成,故重搏波40的振幅大小可以表現出動脈管徑的擴張能力。能量測到重搏波40,就能進一步量測脈博的主波峰MP與重搏波40之間的時間差ΔT,即可根據上述公式計算動脈硬化指數。Please refer to Fig. 15, there are two pulse waves in the PPG signal of a heartbeat cycle, one is the main peak MP of the pulse wave, and the other is the
請參見圖16A,但在實際量測時,常常會發現受測者的PPG信號的重搏波不明顯,此波形稱為重弦波50,圖16A即為重弦波50的波形。請參見圖16B,對重弦波50執行一次微分後可得到波形501,但依然沒有顯示血管反彈血液的波段,無法找出重搏波確切位置,反而抓取到接近波谷的位置,而波谷發生的時間會晚於重搏波發生的時間,因此ΔT變大,導致動脈硬化指數過低。產生重弦波50的原因在於受測者的血管老化、硬化情況嚴重或者因血液循環不良,使心臟壓縮泵血後,血液雖流入血管,血管卻因硬化失去擴張能力,無法反彈血液,導致無法產生出重搏波。根據統計,年紀較大且有心血管病史的人,其PPG信號出現重弦波50的情況佔了50%以上,而此類患者才是動脈硬化指數追蹤的最重要族群。另外,市場上亦有宣稱能監測動脈硬化的技術,主要是透過全時監測HRV表現以推估心血管狀態,其HRV之參考指標為SDNN、SDANN、SDNNIndex等時域指標,但要利用時域指標做準確的判斷,需要一天24小時全時的PPG信號做統計,且必須排除因運動造成心率不規律或交互感神經因大量活動而過於活躍的干擾,僅適用於在醫院臥床治療之病患使用。因此,如何讓個人於日常生活中即可簡易評估自身罹患動脈硬化的可能性,成了心血管科技中重要的目標。Please refer to FIG. 16A , but in the actual measurement, it is often found that the dicrotic wave of the subject's PPG signal is not obvious. This waveform is called a
為能讓使用者於日常生活中自行簡易評估罹患動脈硬化的風險,本發明提出一種動脈硬化風險評估系統,藉由穿戴檢測裝置量測心率信號,並由行動監測裝置將心率信號換算成動脈硬化相關數據,提供使用者能自行檢測,以取得即時、快速的動脈硬化風險檢測結果。In order to allow users to easily assess the risk of suffering from arteriosclerosis in daily life, the present invention proposes an arteriosclerosis risk assessment system, which measures heart rate signals by wearing a detection device, and converts the heart rate signal into arteriosclerosis by a mobile monitoring device Relevant data provide users with self-detection to obtain instant and rapid detection results of arteriosclerosis risk.
為達成上述目的,本發明動脈硬化風險評估系統包含:一穿戴檢測裝置,其用以偵測一受測者的一心率信號;一行動監測裝置,其無線連接該穿戴檢測裝置,該行動監測裝置用以接收該心率信號,並跟據該心率信號運算得到一動脈硬化指數、一心率變異指標及重弦波的比例,並將該動脈硬化指數、該心率變異指標及重弦波的比例分別比較一動脈硬化指數上限值、一心率變異指標門檻值及一重弦波比例上限值,再根據比較後之結果換算成一危險指數;一雲端伺服器,其無線連接該行動監測裝置,且用以接收複數該受測者中每一個該受測者的該動脈硬化指數,並計算該動脈硬化指數上限值。In order to achieve the above object, the arteriosclerosis risk assessment system of the present invention includes:A wearing detection device, which is used to detect a heart rate signal of a subject;An action monitoring device, which is wirelessly connected to the wearable detection device, the action monitoring device is used to receive the heart rate signal, and calculate an arteriosclerosis index, a heart rate variation index and the ratio of the heavy sine wave according to the heart rate signal, and The arteriosclerosis index, the heart rate variability index and the ratio of the heavy sine wave are respectively compared with an upper limit value of the arteriosclerosis index, a threshold value of the heart rate variation index and a upper limit value of the heavy sine wave ratio, and then converted into a risk index according to the comparison result ;A cloud server, which is wirelessly connected to the action monitoring device, and is used to receive the arteriosclerosis index of each of the plurality of subjects, and calculate the upper limit of the arteriosclerosis index.
本發明將由光體積描記圖法取得的該心率信號後,根據該心率信號進一步計算出該動脈硬化指數、該心率變異指標及重弦波的比例,並比較一動脈硬化指數上限值、一心率變異指標門檻值及一重弦波比例風險值;根據比較後之結果,能給予使用者在生活當中即可對自身動脈血管硬化的可能性提供一種風險參考,以求能在突發狀況發生前能盡早就醫。After the heart rate signal obtained by the photoplethysmography method, the present invention further calculates the ratio of the arteriosclerosis index, the heart rate variation index and the heavy sine wave according to the heart rate signal, and compares an arteriosclerosis index upper limit, a heart rate The threshold value of the variation index and the proportional risk value of a double sine wave; according to the comparison results, it can provide users with a risk reference for the possibility of arteriosclerosis in their daily lives, so as to be able to prevent accidents before they occur. Seek medical attention early.
更進一步,本發明可進一步將能排除該心率信號中的重弦波,留下能計算動脈硬化指數的重搏波,即能排除使用重弦波計算的誤差,使用純重搏波來計算該動脈硬化指數,能求得更精準的動脈硬化指數。 本發明可進一步將多筆該動脈硬化指數加總後取平均,得到該受測者的該動脈硬化指數平均值,避免單一動脈硬化指數受到量測誤差影響,提高量測精確度。Furthermore, the present invention can further eliminate the heavy sine wave in the heart rate signal, leaving the dicrotic wave capable of calculating the arteriosclerosis index, that is, it can eliminate the error calculated by using the heavy sine wave, and use the pure dicrotic wave to calculate the The arteriosclerosis index can obtain a more accurate arteriosclerosis index. In the present invention, the average value of the arteriosclerosis index of the subject can be obtained by summing up multiple arteriosclerosis indices, so as to prevent a single arteriosclerosis index from being affected by measurement errors and improve measurement accuracy.
本發明揭露一種動脈硬化風險評估系統,能排除心率信號中的重弦波,留下供計算動脈硬化指數的重搏波,以提高計算動脈硬化指數的精準度。The present invention discloses an arteriosclerosis risk assessment system, which can eliminate heavy sine waves in heart rate signals, leaving dicrotic waves for calculating the arteriosclerosis index, so as to improve the accuracy of calculating the arteriosclerosis index.
請參見圖1,本發明的該動脈硬化風險評估系統包含:一穿戴檢測裝置10、一行動監測裝置20及一雲端伺服器30。Please refer to FIG. 1 , the arteriosclerosis risk assessment system of the present invention includes: a wearing
該穿戴檢測裝置10可穿戴於一受測者身上,用於偵測該受測者的一心率信號,其中該心率信號在時域中以振幅-時間的波形呈現。一般而言,該穿戴檢測裝置10可為一智慧型手環,該受測者可在手腕上配戴該智慧型手環。該穿戴檢測裝置10係透過光體積描記圖法(Photoplethysmography,以下簡稱PPG)取得該心率信號,該心率信號可包含心跳及血管內部的血液流動情形。具體來說,該穿戴檢測單元10可包含一控制單元11、一光發射單元13及一光接收單元15,該光發射單元13與該光接收單元15分別電性連接該穿戴檢測單元10。該控制單元11用以啟動該光發射單元13及該光接收單元15,且具有無線傳輸功能;該光發射單元13用以發射一連續的偵測光至該受測者的血管中的血液,血管中的血液反射該偵測光後形成一反射光;該光接收單元15接收該反射光並傳送至該控制單元11,由該控制單元11將該反射光轉換成該心率信號。由於該光發射單元13連續發射該偵測光至血管中的血液,因此該反射光亦為連續的,該控制單元11將連續的該反射光轉換成以振幅(反射光的強度)及時間的關係,即為該心率信號。The wearing
該行動監測裝置20無線連接該穿戴檢測裝置10,且同樣由該受測者持有,該行動監測裝置20可為一手機、平板,且可透過藍牙與該穿戴檢測裝置10連線。該行動監測裝置20用以接收該心率信號,以及根據該心率信號運算得到一動脈硬化指數、一心率變異指標及重弦波的比例,並將該動脈硬化指數、該心率變異指標及重弦波的比例分別比較一動脈硬化指數上限值、一心率變異指標門檻值及一重弦波比例上限值,再根據比較後之結果換算成一危險指數,其中該危險指數代表受測者罹患動脈硬化相關疾病的風險機率。該行動監測裝置20可根據該心率信號進一步長期分析及監測該受測者的脈搏、血壓、心率變異指標(例如TP、HF、LF),並將所監測到的脈搏、血壓、心率變異指標提供給該受測者,讓該受測者評估自身的健康情況。The
該雲端伺服器30無線連接該行動監測裝置20,用以接收並儲存該動脈硬化指數、該用者的脈搏、血壓、及心率變異指標。The
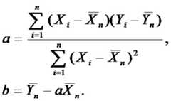
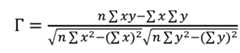
其中該雲端伺服器30亦可收集如衛生福利部等具公信力之衛生研究機關所提供之最新罹患動脈硬化相關疾病之確診人數,並對照內政部統計處等權威之機關所統計之當年總人口(複數受測者),計算出該複數受測者當中未罹患動脈硬化相關疾病的比例,將該複數受測者未罹患比例作為動脈硬化程度門檻,再透過所收集之動脈硬化指數的數據以線性回歸計算的方式,得出該複數受測者的該動脈硬化指數上限值、該心率變異指標門檻值及該重弦波比例上限值,將動脈硬化指數高於上限值的範圍作為罹患動脈硬化相關疾病之高危險群指標。在該複數受測者當中,可更進一步計算出各年齡層男女之未罹患動脈硬化相關疾病的比例,將男性、女性未罹患比例作為動脈硬化程度門檻,再透過所收集之動脈硬化指數的數據以線性回歸計算的方式,得出各年齡層、各性別的該複數受測者的該動脈硬化指數上限值、該心率變異指標門檻值及該重弦波比例上限值,將動脈硬化指數高於上限值的範圍作為罹患動脈硬化相關疾病之高危險群指標。其中線性回歸的公式為:Among them, the
,其中,; ,in, ;
雖然超出上限值則很有可能屬於罹患動脈硬化的高危險群,但依然無法得知其動脈硬化之位置。對此,心率變異相關實驗與研究指出,對於患有冠狀動脈疾病的患者,其心率變異度(HRV)中的總頻譜功率(TP)遠小於正常人,故在心率變異是否異常的參考值上,是利用心率變異建議參考值(如表1),將建議正常範圍的總頻譜功率(TP)減去三個標準差後,得到一個心率變異低於99.85%大眾的門檻。在表1中,3466-1018*3=412,由於健康的人再怎麼疲勞,總頻譜功率(TP)都不可能低於412,所以將412當作是下限門檻,低於412則代表身體有疾病產生。Although those who exceed the upper limit may belong to the high-risk group of suffering from arteriosclerosis, but it is still impossible to know the location of the arteriosclerosis. In this regard, heart rate variability related experiments and studies have pointed out that for patients with coronary artery disease, the total spectral power (TP) in the heart rate variability (HRV) is much smaller than that of normal people, so the reference value of whether the heart rate variability is abnormal , is to use the recommended reference value of heart rate variability (as shown in Table 1), and subtract three standard deviations from the total spectral power (TP) in the recommended normal range to obtain a threshold of heart rate variability lower than 99.85% of the public. In Table 1, 3466-1018*3=412, no matter how tired a healthy person is, the total spectral power (TP) cannot be lower than 412, so 412 is regarded as the lower limit threshold, and if it is lower than 412, it means that the body has Disease arises.
利用TP值與SI值兩個門檻建立高危險群、中危險群、低危險群,例如:一位民眾年齡為36歲,而SI值為9.7(受測者所有SI平均值)大於信賴區間,TP值亦小於心率變異下限值,則判定為高危險群;若TP值落在正常範圍內,則判定為中危險群並告知可能有動脈硬化的可能性,利用上述方式建議受測者是否應及早進行更深入冠狀動脈的檢查,判斷原則如表2。Use the two thresholds of TP value and SI value to establish high-risk groups, medium-risk groups, and low-risk groups. For example, a person is 36 years old, and the SI value is 9.7 (the average value of all SI of the subject) greater than the confidence interval. If the TP value is also less than the lower limit of heart rate variability, it is judged as a high-risk group; if the TP value falls within the normal range, it is judged as a medium-risk group and informed of the possibility of arteriosclerosis. A more in-depth coronary artery examination should be carried out as soon as possible, and the judgment principles are shown in Table 2.
根據表2的判斷原則,本發明可進一步應用於針對已確診罹患心血管疾病之各年齡、各性別的患者做PPG量測並統計重弦波發生比例,從而定出高風險比例(如55%),做為進一步判斷受測者是否為罹患動脈硬化相關疾病之高危險群之參考。最後根據受測者於受測時間內(例如100秒)SI超過上限之比例、TP值以及重弦波發生比例,定出其罹患動脈硬化相關疾病之風險等級,如下列表3,危險指數越高代表受測者罹患動脈硬化相關疾病之風險越高。According to the judging principle of Table 2, the present invention can be further applied to the patients of all ages and genders who have been diagnosed with cardiovascular disease to measure PPG and count the occurrence ratio of heavy sine waves, so as to determine the high risk ratio (such as 55%) ), as a reference for further judging whether the subject is a high-risk group suffering from arteriosclerosis-related diseases. Finally, according to the proportion of SI exceeding the upper limit, TP value and the proportion of heavy sine waves within the test time (for example, 100 seconds), determine the risk level of the subject suffering from arteriosclerosis-related diseases, as shown in Table 3, the higher the risk index It means that the subject has a higher risk of suffering from arteriosclerosis-related diseases.
在應用上,該穿戴檢測裝置10負責即時收集個人的相關生理資訊,並將生理資訊儲存在受測者的行動監測裝置20,且透過該雲端伺服器最新的大數據分析結果以做分析診斷,同時將個人的生理資訊經常性地提供至該雲端伺服器30做大數據分析。因此,該雲端伺服器30不僅能透過大量的受測者行動監測裝置20收集大數據資料,也能隨時接收各區域衛生保健單位的統計數據,隨時提供受測者最新且完整的參考指標。In terms of application, the wearing
而該行動監測裝置20在實際應用上,除了能由該穿戴檢測裝置10接收個人的生理資料,並透過計算處理以建立受測者體能狀況監測、心血管疾病罹患風險、長期憂鬱/躁鬱/過勞整狀分析外,更能透過該雲端伺服器30的更新資訊,即時地根據愈趨完整的大數據資料進行各項判斷函數的參數更新,產生更精準的監測判斷。In practical applications, the
藉由上述該動脈硬化指數分析系統,以下參考圖2到圖5說明本發明之動脈硬化指數分析方法。Based on the atherosclerosis index analysis system described above, the atherosclerosis index analysis method of the present invention will be described below with reference to FIG. 2 to FIG. 5 .
本發明之方法包含下列步驟:The method of the present invention comprises the following steps:
S11:將該心率信號HR區分成連續的複數子心率信號HR1,並對各子心率信號HR1透過傅立葉轉換產生一頻脈信號HF1;S11: Divide the heart rate signal HR into continuous complex sub-heart rate signals HR1, and generate a frequency pulse signal HF1 through Fourier transform for each sub-heart rate signal HR1;
S12:計算各子心率信號HR1的一S值,該S值代表:S12: Calculate an S value of each sub-heart rate signal HR1, the S value represents:
; ;
其中Afirst-f為該頻脈信號HF1在一倍頻率的強度值,Asecond-f為該頻脈信號HF1在兩倍頻率的強度值;若該S值大於等於一第一閾值,則去除該子心率信號HR1;若該S值小於該第一閾值,執行下一步驟;Wherein Afirst-f is the intensity value of the frequency pulse signal HF1 at one frequency, and Asecond-f is the intensity value of the frequency pulse signal HF1 at twice the frequency; if the S value is greater than or equal to a first threshold value, then remove The sub-heart rate signal HR1; if the S value is less than the first threshold, perform the next step;
S13:比較一時間比值與一第二閾值;其中,計算該子心率信號HR1的一第一時間差ΔT1及一第二時間差ΔT2,以及將該第一時間差ΔT1除以該第二時間差ΔT2得到該時間比值,其中該第一時間差ΔT1代表該子心率信號HR1的一心率主波峰MP1與一心率次波峰SP1的時間差,該第二時間差ΔT2代表該子心率信號HR1的該心率主波峰MP1與一主波谷MH1的時間差;若該時間比值小於一第二閾值,執行下一步驟;若該時間比值大於等於一第二閾值,則回到步驟S11;計算該第一時間差ΔT1及該第二時間差ΔT2的方式可透過對該子心率信號一次微分產生一微分信號,尋找該微分信號中斜率為0處,即為該心率主波峰MP1、該心率次波峰SP1及該主波谷MH1的發生時間,計算該心率主波峰MP1到該心率次波峰SP1所經過的時間即為該第一時間差ΔT1,計算該心率次波峰SP1到該主波谷MH1所經過的時間即為該第二時間差ΔT2。S13: Comparing a time ratio with a second threshold; wherein, calculating a first time difference ΔT1 and a second time difference ΔT2 of the sub-heart rate signal HR1, and dividing the first time difference ΔT1 by the second time difference ΔT2 Obtain the time ratio, wherein the first time difference ΔT1 represents the time difference between a main heart rate peak MP1 and a heart rate secondary peak SP1 of the sub-heart rate signal HR1, and the second time difference ΔT2 represents the main heart rate peak of the sub-heart rate signal HR1 The time difference between peak MP1 and a main valley MH1; if the time ratio is less than a second threshold, execute the next step; if the time ratio is greater than or equal to a second threshold, then return to step S11; calculate the first time difference ΔT1 and The method of the second time difference ΔT2 can generate a differential signal by differentiating the sub-heart rate signal once, and find the place where the slope of the differential signal is 0, which is the main peak MP1 of the heart rate, the sub-peak SP1 of the heart rate and the main valley MH1 Calculate the time elapsed from the main heart rate peak MP1 to the heart rate sub-peak SP1 as the first time difference ΔT1 , and calculate the time elapsed from the heart rate sub-peak SP1 to the main trough MH1 as the second time difference ΔT2 .
S14:計算該受測者的一動脈硬化指數平均值;若該時間比值小於該第二閾值,則根據該受測者的身高及該第一時間差ΔT1計算該動脈硬化指數(SI),計算出多筆該動脈硬化指數後,對多筆該動脈硬化指數取平均得到一動脈硬化指數平均值,其中該動脈硬化指數的計算公式為:S14: Calculate the average value of an arteriosclerosis index of the subject; if the time ratio is less than the second threshold, calculate the arteriosclerosis index (SI) according to the subject's height and the first time differenceΔT1 , and calculate After multiple entries of the arteriosclerosis index are obtained, an average value of the arteriosclerosis index is obtained from the plurality of entries of the arteriosclerosis index, wherein the calculation formula of the arteriosclerosis index is:
,其中h為該受測者的身高; , where h is the height of the subject;
S15:計算重弦波的比例;將屬性為重弦波的該子心率信號HR1的數量除以全部該子心率信號數量的總數,得到重弦波的比例。S15: Calculate the ratio of the heavy sine wave; divide the number of the sub-heart rate signals HR1 whose attribute is the heavy sine wave by the total number of all the sub-heart rate signals to obtain the ratio of the heavy sine wave.
請參見圖3A,在步驟S11中,該穿戴檢測裝置10偵測該受測者並將該心率信號HR發送至該行動監測裝置20,該行動監測裝置20將該心率信號HR區分成連續的複數子心率信號HR1,也就是說,該心率信號HR是由該複數子心率信號HR1組合而成。請進一步參見圖3B,該行動監測裝置20對每一子心率信號HR1執行一傅立葉轉換而得到該頻脈信號HF1,換句話說,每一子心率信號HR1都會對應一頻脈信號HF1。在此步驟中,係將屬於時域的該子心率信號HR1透過傅立葉轉換產生屬於頻域的該頻脈信號HF1。從圖3B可看到,該頻脈信號HF1具有兩個峰值(強度),其中一個峰值位於一倍頻率的發生處,另一峰值位於兩倍頻率的發生處。Please refer to FIG. 3A, in step S11, the wearing
在步驟S12中,該行動監測裝置20取出該頻脈信號HF1在一倍頻率的強度值,以及在兩倍頻率的強度值,並計算該頻脈信號HF1在一倍頻率的強度值與在兩倍頻率的強度值之間的比值得到該S值。該行動監測裝置20接著計算該S值與該第一閾值的大小關係,當該S值大於等於該第一閾值,該行動監測裝置20捨棄該S值對應的該子心率信號HR1;當該S值小於該第一閾值,該行動監測裝置20將該S值對應的該子心率信號HR1保留並執行下一步驟。捨棄大於等於該第一閾值的該S值的原因在於,大於等於該第一閾值的該S值代表該頻脈信號HF1在一倍頻率的強度值與在兩倍頻率的強度值差異過大,表示該頻脈信號HF1屬於重弦波,而重弦波無法用於計算該動脈硬化指數(SI),因此捨棄屬於重弦波的該頻脈信號HF1,有助於提升計算該動脈硬化指數(SI)的精確度。In step S12, the
以下以實際運算作為範例介紹。請參見圖3A及圖3B,在圖3A中呈現的是由該穿戴檢測裝置10利用PPG技術取得的該心率信號HR,檢測對象為血管功能正常的受測者,因此可在圖3A看到該心率信號多由重搏波組成。圖3B則為將其中一子心率信號HR1執行步驟S11後產生該頻脈信號HF1的頻域圖,可以看到一倍頻率為1.75Hz,在一倍頻率的峰值強度(Afirst-f)為2168;兩倍頻率大致落於3.375Hz,兩倍頻率的峰值強度(Asecond-f)為1590,該第一閾值預設為3.5,該S值為2168/1590=1.36,而1.36<3.5,這表示一倍頻率的強度值與兩倍強度值的差異不大,該頻脈信號HF1具有兩個明顯強度的波峰,代表該子心率信號HR1可能為重搏波,因此該心率信號HR具有一定程度的參考價值,能繼續執行下一步驟。The following uses the actual operation as an example to introduce. Please refer to FIG. 3A and FIG. 3B. In FIG. 3A, the heart rate signal HR obtained by the
請參見圖4A及圖4B,在圖4A中同樣呈現的是由該穿戴檢測裝置10利用PPG技術取得的該心率信號HR,檢測對象為血管功能異常的受測者,因此可在圖4A看到該心率信號HR多由屬於重弦波的子心率信號HR2組成,圖4B則為將其中一子心率信號HR2執行步驟S11後產生該頻脈信號HF2的頻域圖。在圖4B中可以看到,一倍頻率為1.25Hz,在一倍頻率的強度(Afirst-f)為3271;兩倍頻率大致落於2.5Hz,兩倍頻率的強度(Asecond-f)為791.6,該第一閾值預設為3.5,該S值為3271/791.6=4.13≧3.5,這表示一倍頻率的強度值與兩倍強度值的差異過大,該頻脈信號HF2僅具有一個明顯強度的波峰,代表該子心率信號HR2為重弦波,因此該子心率信號HR2不具有參考價值,該行動監測裝置20捨棄該子心率信號HR2。Please refer to FIG. 4A and FIG. 4B. In FIG. 4A, the heart rate signal HR obtained by the
該第一閾值設定為3.5是根據多次實驗的結果所得到的較佳值,在該第一閾值預設為3.5的前提下,能更準確地篩選出重弦波及重搏波的該子心率信號HR1、HR2,因此在實際應用中,該第一閾值較佳地會預設為3.5。Setting the first threshold to 3.5 is a better value based on the results of multiple experiments. On the premise that the first threshold is preset to 3.5, the sub-heart rate of the heavy sinusoid and dicrotic wave can be screened out more accurately. signals HR1 and HR2 , so in practical applications, the first threshold is preferably preset to be 3.5.
雖然在步驟S12中,找出並捨棄為重弦波的該子心率信號HR2,但未被捨棄的該複數子心率信號HR1亦有可能是比較不明顯的重弦波,因此必須取出未被捨棄的該複數子心率信號HR1執行步驟S13,才能更精準地篩選出真正是重搏波的該子心率信號HR1。Although in step S12, the sub-heart rate signal HR2 which is a heavy sine wave is found and discarded, the undiscarded complex sub-heart rate signal HR1 may also be a relatively inconspicuous heavy sine wave, so the undiscarded complex sub-heart rate signal HR1 must be taken out The complex sub-heart rate signal HR1 executes step S13 to more accurately screen out the sub-heart rate signal HR1 that is actually a dicrotic wave.
請參見圖5,在步驟S13中,該行動監測裝置20對每在經過步驟S12中保留的該子心率信號HR1進行一次微分,因此各子心率信號HR1會產生一微分信號。就波形而言,該子心率信號HR1會有該心率主波峰MP1、該心率次波峰SP1及該主波谷MH1。該行動監測裝置20計算從該心率主波峰MP1到該心率次波峰SP1之間的該第一時間差ΔT1,以及從該心率主波峰MP1到該主波谷MH1的該第二時間差ΔT2。該行動監測裝置20計算該第一時間差ΔT1及該第二時間差ΔT2的比值得到該時間比值,並比較該時間比值與該第二閾值的大小,若該時間比值小於該第二閾值,代表在該子心率信號HR1中,該心率主波峰MP1與該心率次波峰SP1之間的第一時間差ΔT1較長,相當於該子心率信號HR1具有較明顯的該心率主波峰MP1及該心率次波峰SP1,即可認定該子心率信號HR1屬於重搏波,該行動監測裝置20保留該子心率信號HR1;相反的,若該時間比值大於等於該第二閾值,代表在該子心率信號HR1中,該心率主波峰MP1與該心率次波峰SP1之間的第一時間差ΔT1較短,相當於該子心率信號HR1僅具有一個較明顯的波峰(無法分辨所述波峰為心率主波峰MP1或心率次波峰SP1),即可認定該子心率信號HR1屬於重弦波,該行動監測裝置20捨棄該子心率信號HR1。經多次實驗及計算後發現,該第二閾值在80%時,分辨重搏波及重弦波較為準確,因此在實際應用中,該第二閾值會預設為80%。Please refer to FIG. 5 , in step S13 , the
在步驟S14中,該行動監測裝置20取出所保留的該子心率信號HR1的該第一時間差ΔT1,並將該第一時間差ΔT1代入該動脈硬化指數的計算公式並對多筆該動脈硬化指數取平均,即能得到該受測者的該動脈硬化指數平均值。舉例來說,在步驟S11中,該穿戴檢測裝置10將該心率信號HR區分成10筆該子心率信號HR1、HR2,在步驟12中淘汰一筆屬性為重弦波的該子心率信號HR2,在步驟S13中再淘汰一筆屬性為重弦波的該子心率信號HR2,因此有八筆該子心率信號HR1被保留。該行動監測裝置20取出這八筆該子心率信號HR1的各別第一時間差ΔT1並代入該動脈硬化指數的計算公式,計算得到八筆動脈硬化指數。該行動監測裝置20計算這八筆動脈硬化指數的平均值,即得到該受測者的該動脈硬化指數平均值。In step S14, the
在步驟S15中,該由於在步驟S12及S13中分辨出了屬於重搏波的該子心率信號HR1及屬於重弦波的該子心率信號HR2,該行動監測裝置20進一步將屬於重弦波的該子心率信號HR2的數量與所有子心率信號HR1、HR2的總數進行比較,得到重弦波的比例。舉例來說,在步驟S11中,該穿戴檢測裝置10將該心率信號區分成10筆子心率信號HR1、HR2,在步驟12中淘汰一筆屬性為重弦波的該子心率信號HR2,在步驟S13中再淘汰一筆屬性為重弦波的該子心率信號HR2,因此總共有兩筆該子心率信號HR2屬於重弦波,即可得到重弦波的比例為20%()。In step S15, since the sub-heart rate signal HR1 belonging to the dicrotic wave and the sub-heart rate signal HR2 belonging to the heavy sine wave are distinguished in steps S12 and S13, the
利用上述步驟,本發明可對該心率信號HR進行過濾,辨識且排除重弦波的波段,留下重搏波的波段,利用重搏波的該第一時間差ΔT1計算該動脈硬化指數平均值,防止因重弦波而計算出不正確的該動脈硬化指數平均值。在步驟S12中,首先將各子心率信號HR1號由時域轉成頻域,並計算各子心率信號的該S值,再評估該S值的與該第一閾值的大小,淘汰強度過高的該S值,再對各子心率信號HR1進行一次微分而得出重搏波,計算重搏波中的該心率主波峰MP1與該心率次波峰SP1之的該第一時間差ΔT1,與該心率主波峰MP1與該主波谷MH1之間的該第二時間差ΔT2進行比較,以再次過濾掉重弦波的波形,如此可有效找出並捨棄重弦波,保留重搏波,最後利用重搏波計算出多筆較準確的動脈硬化指數,並對多筆動脈硬化指數加總後取平均以取得正確的該動脈硬化指數平均值。Utilizing the above steps, the present invention can filter the heart rate signal HR, identify and exclude the wave band of the dicrotic wave, leave the wave band of the dicrotic wave, and use the first time difference ΔT1 of the dicrotic wave to calculate the average value of the arteriosclerosis index , to prevent incorrect calculation of the average value of the arteriosclerosis index due to heavy sine waves. In step S12, first convert each sub-heart rate signal HR1 from the time domain to the frequency domain, and calculate the S value of each sub-heart rate signal, and then evaluate the size of the S value and the first threshold, and eliminate the strength that is too high The S value of each sub-heart rate signal HR1 is differentiated once to obtain the dicrotic wave, and the first time difference ΔT1 between the heart rate main peak MP1 and the heart rate sub-peak SP1 in the dicrotic wave is calculated, and the The second time difference ΔT2 between the heart rate main wave peak MP1 and the main wave trough MH1 is compared to filter out the heavy sine wave waveform again, so that the heavy sine wave can be effectively found and discarded, and the heavy beat wave can be retained. Bobo calculates multiple more accurate arteriosclerosis indices, and averages the sum of multiple arteriosclerosis indices to obtain the correct average value of the arteriosclerosis index.
除了上述的動脈硬化風險評估系統之外,本發明的該動脈硬化指數分析系統更可進行另一種去除重弦波的動脈硬化指數測量步驟,在該動脈硬化風險評估系統執行完畢後,再進一步執行所述步驟,能輔助去除重弦波的波段,確保保留下的波段皆為重搏波,在計算該動脈硬化指數(SI)及該動脈硬化指數平均值時更加準確。In addition to the above-mentioned arteriosclerosis risk assessment system, the arteriosclerosis index analysis system of the present invention can further perform another measurement step of the arteriosclerosis index that removes the heavy sine wave. After the arteriosclerosis risk assessment system is implemented, further execution Said steps can assist in removing the heavy sine wave bands to ensure that the remaining bands are all dicrotic waves, which is more accurate when calculating the arteriosclerosis index (SI) and the average value of the arteriosclerosis index.
請參見圖6到圖14B,本發明的另一種去除重弦波的動脈硬化指數測量方法包含下列步驟:Please refer to Fig. 6 to Fig. 14B, another kind of arteriosclerosis index measurement method that removes heavy sine wave of the present invention comprises the following steps:
請參見圖6及圖7A,S21:建立該子心率信號HR1的一輔助線SL,該輔助線SL由該子心率信號HR1的一心率主波峰MP2直線延伸至一心率主波谷MH2;其中該心率主波峰MP2代表該子心率信號HR1的振幅最大處,該心率主波谷MH2代表該子心率信號HR1的振幅最低處;Please refer to FIG. 6 and FIG. 7A, S21: establish an auxiliary line SL of the sub-heart rate signal HR1, and the auxiliary line SL extends linearly from a main heart rate peak MP2 of the sub-heart rate signal HR1 to a main heart rate valley MH2; wherein the heart rate The main peak MP2 represents the maximum amplitude of the sub-heart rate signal HR1, and the main heart rate valley MH2 represents the lowest amplitude of the sub-heart rate signal HR1;
S22:建立一輔助線距離信號SLS並計算該輔助線距離信號SLS的波谷數量;請參見圖7B,該行動監測裝置20對該子心率信號HR1一次微分得到該微分信號HD1,取該微分信號HD1的一第一時點t1及一第二時點t2,並計算在該第一時點t1及該第二時點t2間該輔助線SL到該子心率信號HR1的距離;其中該第一時點t1為該微分信號HD1沿時間軸正向的第一個波谷發生時間,該第二時點t2為該心率主波谷MH2的發生時間。請參見圖7C,該輔助線距離信號SLS代表在該第一時點t1到該第二時點t2的區間內,該輔助線SL到該子心率信號HR1之間所有的垂直距離所形成的距離函數。S22: Establish an auxiliary line distance signal SLS and calculate the number of troughs of the auxiliary line distance signal SLS; please refer to FIG. 7B , the
圖7A到圖7C呈現的是實際對屬於重搏波的該子心率信號HR1執行步驟S21、S22的過程,在圖7C中可發現該輔助線距離信號SLS有兩個明顯谷點H1、H2,代表該子心率信號HR1可能屬於重搏波。Fig. 7A to Fig. 7C present the process of actually performing steps S21 and S22 on the sub-heart rate signal HR1 belonging to the dicrotic wave. In Fig. 7C, it can be found that the auxiliary line distance signal SLS has two obvious valley points H1 and H2, It means that the sub-heart rate signal HR1 may belong to the dicrotic wave.
以下利用重弦波的該子心率信號HR2執行步驟S21、S22作為實際範例。請參見圖8A,在步驟S21中先建立該子心率信號HR2的該輔助線SL,該輔助線SL由該子心率信號HR2的該心率主波峰MP2直線延伸至該心率主波谷MH2。請參見圖8B,在步驟S22中,對該子心率信號HR2一次微分得到該微分信號HD2,取該微分信號HD2的一第一時點t1及一第二時點t2,並計算在該第一時點t1及該第二時點t2間該輔助線SL到該子心率信號HR2的距離。在圖8C中可發現,該輔助線距離信號SLS僅有一個明顯波谷,代表該子心率信號HR2屬於重弦波。In the following, the steps S21 and S22 are performed using the sub-heart rate signal HR2 of the heavy sine wave as a practical example. Please refer to FIG. 8A , in step S21 , the auxiliary line SL of the sub-heart rate signal HR2 is firstly established, and the auxiliary line SL extends linearly from the main peak MP2 of the sub-heart rate signal HR2 to the main valley MH2 of the heart rate. Please refer to Fig. 8B, in step S22, differentiate the sub-heart rate signal HR2 once to obtain the differential signal HD2, take a first time point t1 and a second time point t2 of the differential signal HD2, and calculate The distance between the auxiliary line SL and the sub-heart rate signal HR2 between the first time pointt1 and the second time pointt2 . It can be found in FIG. 8C that the auxiliary line distance signal SLS has only one obvious trough, which means that the sub-heart rate signal HR2 belongs to a heavy sine wave.
雖然在步驟S21、S22能分辨出該子心率信號HR1、HR2屬於重搏波或重弦波,但實際量測該子心率信號HR1、HR2的波形時會發現,該子心率信號HR1、HR2可能為重弦波或不明顯的重搏波(近似重弦波但實際上為重搏波的波形)。以實際的該子心率信號為例,請參見圖9A,該子心率信號HR3建立該輔助線SL後,得到如圖9B所示之該輔助線距離信號SLS,可以發現該輔助線距離信號SLS具有一明顯的谷點H4,以及一反曲點H5,該反曲點H5是否為谷點會影響該子心率信號HR3屬於何種波形的判斷,如此難以辨別該子心率信號HR3屬於重搏波或是重弦波。因此需要進一步引用該貝賽爾曲線的計算公式,並針對重搏波、不明顯的重搏波及重弦波採用不同的判斷及計算方法。在以下介紹中,步驟S23為計算貝賽爾曲線的方法,步驟S231為針對重搏波的計算流程,步驟S232為針對不明顯的重搏波及重弦波的計算流程。Although in steps S21 and S22 it can be determined that the sub-heart rate signals HR1 and HR2 belong to dicrotic waves or heavy sinusoidal waves, when actually measuring the waveforms of the sub-heart rate signals HR1 and HR2, it will be found that the sub-heart rate signals HR1 and HR2 may It is a heavy sine wave or an inconspicuous dicrotic wave (a waveform similar to a heavy sine wave but actually a dicrotic wave). Taking the actual sub-heart rate signal as an example, please refer to FIG. 9A. After the sub-heart rate signal HR3 establishes the auxiliary line SL, the auxiliary line distance signal SLS is obtained as shown in FIG. 9B. It can be found that the auxiliary line distance signal SLS has An obvious valley point H4, and an inflection point H5, whether the inflection point H5 is a valley point will affect the judgment of which waveform the sub-heart rate signal HR3 belongs to, so it is difficult to distinguish whether the sub-heart rate signal HR3 belongs to the dicrotic wave or is a heavy sine wave. Therefore, it is necessary to further quote the calculation formula of the Bezier curve, and adopt different judgment and calculation methods for the dicrotic wave, the inconspicuous dicrotic wave and the dicrotic wave. In the following introduction, step S23 is a method for calculating Bezier curves, step S231 is a calculation process for dicrotic waves, and step S232 is a calculation process for inconspicuous dicrotic waves and dicrosine waves.
請參見圖10A到圖10C,S23:計算一貝賽爾曲線,該貝賽爾曲線的計算公式為:Please refer to Fig. 10A to Fig. 10C, S23: calculate a Bezier curve, the calculation formula of the Bezier curve is:
; ;
並取該第一時點t1,即由該輔助線距離信號SLS沿時間軸正向的第一個波谷發生時間(t1),得到B(t1),並取該第二時點t2,即由該輔助線距離信號SLS沿時間軸正向的第二個波谷發生時間(t2)得到B(t2)。And take the first time point t1 , that is, the first trough occurrence time (t1 ) of the auxiliary line distance signal SLS along the time axis to obtain B(t1 ), and take the second time point t2 , that is, B(t2 ) is obtained from the second trough occurrence time (t2 ) of the auxiliary line distance signal SLS along the positive time axis.
其中,;in, ;
請參見圖10B,P0為該子心率信號HR1經一次微分後沿時間軸正向的第一個谷點;請參見圖10A,P3為在一第三時點t3的振幅,該第三時點t3為該心率主波谷發生之時間;P1為一第一控制點,由該輔助線距離信號SLS沿時間軸正向的第一個波谷發生時間(t1)代入該貝賽爾曲線的計算公式所得到(也就是B(t1));P2為一第二控制點,由該輔助線距離信號SLS沿時間軸正向的第二個波谷發生時間(t2)代入該貝賽爾曲線的計算公式所得到(也就是B(t2))。Please refer to Fig. 10B, P0 is the first valley point along the positive direction of the time axis after the sub-heart rate signal HR1 is differentiated once; please refer to Fig. 10A, P3 is the amplitude at a third time pointt3 , the third Time pointt3 is the time when the heart rate main trough occurs;P1 is a first control point, and the first trough occurrence time (t1 ) of the auxiliary line distance signal SLS along the positive time axis is substituted into the Bezier curve obtained from the calculation formula (that is, B(t1 )); P2 is a second control point, which is substituted by the second trough occurrence time (t2 ) of the auxiliary line distance signal SLS along the positive direction of the time axis into the It is obtained from the calculation formula of the Purcell curve (that is, B(t2 )).
S231:將P0、P3、B(t1)、B(t2)代入該貝賽爾曲線的計算公式並運算三次,求得P1、P2,即能根據P1、P2、P0、P3得到該子心率信號HR1的該貝賽爾曲線BC1(圖10A所示)。此方法適用於該輔助線距離信號SLS有兩個明顯波谷的該子心率信號HR1(圖10C所示),代表該子心率信號HR1為重搏波。S231: Substitute P0 , P3 , B(t1 ) and B(t2 ) into the calculation formula of the Bezier curve and calculate three times to obtain P1 and P2 , that is, according to P1 , P2 , P0 and P3 obtain the Bezier curve BC1 of the sub-heart rate signal HR1 (shown in FIG. 10A ). This method is applicable to the sub-heart rate signal HR1 (shown in FIG. 10C ) where the auxiliary line distance signal SLS has two obvious troughs, which means that the sub-heart rate signal HR1 is a dicrotic wave.
請參見圖11A到圖11C,S232:將P0、P3、B(t1)、B(t2)代入該貝賽爾曲線的計算公式並運算三次,求得P1、P2,即能根據P1、P2、P0、P3得到該子心率信號HR2的該貝賽爾曲線BC2(圖11A所示)。其中B(t2)的計算方式為:Please refer to Fig. 11A to Fig. 11C, S232: Substitute P0 , P3 , B(t1 ), B(t2 ) into the calculation formula of the Bezier curve and calculate three times to obtain P1 and P2 , namely The Bezier curve BC2 (shown in FIG. 11A ) of the sub-heart rate signal HR2 can be obtained according to P1 , P2 , P0 , and P3 . The calculation method of B(t2 ) is:
; ;
此方法適用於該輔助線距離信號SLS僅有一個明顯波谷的該子心率信號HR2(圖11C所示),代表該子心率信號HR2為重弦波或不明顯的重搏波。This method is applicable to the sub-heart rate signal HR2 (shown in FIG. 11C ) where the auxiliary line distance signal SLS has only one obvious trough, which means that the sub-heart rate signal HR2 is a heavy sine wave or an indistinct dicrotic wave.
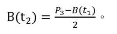
S24:比較該貝賽爾曲線與該心率信號的相關性,若該貝賽爾曲線與該子心率信號HR1的一相關係數小於一第三閾值,則計算該子心率信號HR1的該動脈硬化指數(SI);若該貝賽爾曲線與該子心率信號HR2的該相關係數大於等於一第三閾值,則捨棄該子心率信號HR2。該第三閾值可設為99.85%。S24: Comparing the correlation between the Bezier curve and the heart rate signal, if a correlation coefficient between the Bezier curve and the sub-heart rate signal HR1 is less than a third threshold, calculate the arteriosclerosis index of the sub-heart rate signal HR1 (SI); if the correlation coefficient between the Bezier curve and the sub-heart rate signal HR2 is greater than or equal to a third threshold, discard the sub-heart rate signal HR2. The third threshold may be set at 99.85%.
其中,該相關係數的計算方式為:Among them, the calculation method of the correlation coefficient is:
; ;
為相關係數,n為取樣個數,x代表該心率信號在相同時點下的y軸座標值;y代表該貝賽爾曲線在相同時點下的y軸座標值。 is the correlation coefficient, n is the number of samples, x represents the y-axis coordinate value of the heart rate signal at the same time point; y represents the y-axis coordinate value of the Bezier curve at the same time point.
請參見圖12A,在實際的應用中,實線表示某一受測者實際量測的該心率信號HR1,虛線為由該心率信號HR1推導的該貝賽爾曲線BC1,該心率信號HR1與該貝賽爾曲線BC1相關係數為99.49%,小於該第三閾值(預設為99.85%),代表該心率信號HR1與該貝賽爾曲線BC1不相關,且在圖12A中,該心率信號HR1的振幅大於該貝賽爾曲線BC1的振幅的區間(兩條一點鏈線之間的範圍)即為發生重搏波的範圍。請參見圖12B,即可對所述區間一次微分找出該重搏波的該心率次波峰SP1,代入步驟S13進一步計算該動脈硬化指數(SI)。由圖12A及圖12B可知,該心率次波峰SP1的位置確實落在該心率信號HR1的振幅大於該貝賽爾曲線BC1的振幅的區間。Please refer to FIG. 12A. In practical applications, the solid line represents the heart rate signal HR1 actually measured by a subject, and the dotted line represents the Bezier curve BC1 derived from the heart rate signal HR1. The heart rate signal HR1 is related to the heart rate signal HR1. The correlation coefficient of the Bezier curve BC1 is 99.49%, which is less than the third threshold (99.85% by default), which means that the heart rate signal HR1 is not correlated with the Bezier curve BC1, and in FIG. 12A, the heart rate signal HR1 The range in which the amplitude is greater than the amplitude of the Bezier curve BC1 (the range between the two dotted lines) is the range in which the dicrotic wave occurs. Please refer to FIG. 12B , the heart rate sub-peak SP1 of the dicrotic wave can be found by performing a differential on the interval, which is substituted into step S13 to further calculate the arteriosclerosis index (SI). It can be seen from FIG. 12A and FIG. 12B that the position of the heart rate sub-peak SP1 indeed falls in the interval where the amplitude of the heart rate signal HR1 is greater than the amplitude of the Bezier curve BC1 .
請參見圖13A,在另一實際應用中,同樣的,實線表示某一受測者實際量測的該心率信號HR2,虛線為由該心率信號HR2推導的該貝賽爾曲線BC2,該心率信號HR2與該貝賽爾曲線BC2相關係數為99.96%,大於該第三閾值(預設為99.85%),表示該心率信號HR2與該貝賽爾曲線BC2幾乎重疊,代表該心率信號HR2為重弦波,因此可捨棄與該貝賽爾曲線BC2的該相關係數太高的該心率信號HR2。若對該心率信號HR2一次微分,則會得到如圖13B中的未知點N,且該未知點N並非落在該心率信號HR2與該貝賽爾曲線BC2重疊區間(兩條一點鍊線之間的範圍),而是落在非貝賽爾曲線的位置,因此利用該貝塞爾曲線可以準確分辨出該心率信號HR1、HR2是否為重弦波。Please refer to Fig. 13A, in another practical application, also, the solid line represents the heart rate signal HR2 actually measured by a subject, the dotted line represents the Bezier curve BC2 derived from the heart rate signal HR2, the heart rate The correlation coefficient between the signal HR2 and the Bezier curve BC2 is 99.96%, which is greater than the third threshold (99.85% by default), indicating that the heart rate signal HR2 almost overlaps with the Bezier curve BC2, which means that the heart rate signal HR2 is a heavy string Wave, therefore, the heart rate signal HR2 whose correlation coefficient with the Bezier curve BC2 is too high can be discarded. If the heart rate signal HR2 is differentiated once, the unknown point N as shown in Figure 13B will be obtained, and the unknown point N does not fall in the overlapping interval between the heart rate signal HR2 and the Bezier curve BC2 (between two dot chain lines range), but falls on the position of the non-Bezier curve, so the Bezier curve can be used to accurately distinguish whether the heart rate signals HR1, HR2 are heavy sine waves.
計算該貝賽爾曲線的原因在於,該貝賽爾曲線可視為該子心率信號HR1、HR2的假想重弦波曲線,計算該相關係數可進一步得知該貝賽爾曲線與該子心率信號HR1、HR2的重疊率(相關性高低)。若該貝賽爾曲線與該子心率信號HR1重疊率低,該子心率信號HR1的該相關係數會小於該第三閾值,代表該貝賽爾曲線與該子心率信號HR1相關性低,該子心率信號HR1與假想的重弦波曲線並不完全相同,該子心率信號HR1即為重搏波。若該貝賽爾曲線與該子心率信號HR2重疊率高,該子心率信號HR2的該相關係數會大於等於該第三閾值,代表該貝賽爾曲線與該子心率信號HR2相關性高,該子心率信號HR2與假想的重弦波曲線並幾乎完全相同,該子心率信號HR2即為重弦波。The reason for calculating the Bezier curve is that the Bezier curve can be regarded as the hypothetical heavy sinusoidal curve of the sub-heart rate signals HR1 and HR2, and the calculation of the correlation coefficient can further determine the relationship between the Bezier curve and the sub-heart rate signal HR1. , HR2 overlap rate (correlation level). If the overlap rate between the Bezier curve and the sub-heart rate signal HR1 is low, the correlation coefficient of the sub-heart rate signal HR1 will be smaller than the third threshold, which means that the correlation between the Bezier curve and the sub-heart rate signal HR1 is low. The heart rate signal HR1 is not exactly the same as the imaginary heavy sinusoidal curve, and the sub-heart rate signal HR1 is the dicrotic wave. If the overlap rate between the Bezier curve and the sub-heart rate signal HR2 is high, the correlation coefficient of the sub-heart rate signal HR2 will be greater than or equal to the third threshold, which means that the Bezier curve has a high correlation with the sub-heart rate signal HR2. The sub-heart rate signal HR2 is almost identical to the hypothetical heavy sine wave curve, and the sub-heart rate signal HR2 is a heavy sine wave.
請參見圖14A,S25:取沿時間軸正向第一個該心率信號HR4的振幅大於該貝賽爾曲線BC4的振幅的區間,對區間內的該子心率信號HR4一次微分,該區間沿時間軸正向的第一個波峰為該微分次波峰,取該微分次波峰發生時間對應的一心率次波峰與該心率主波峰的時間差計算該動脈硬化指數。Please refer to Fig. 14A, S25: Take the first interval along the positive direction of the time axis where the amplitude of the heart rate signal HR4 is greater than the amplitude of the Bezier curve BC4, and differentiate the sub-heart rate signal HR4 in the interval once, and the interval along the time The first peak in the positive direction of the axis is the differential sub-peak, and the arteriosclerosis index is calculated by taking the time difference between a heart rate sub-peak corresponding to the occurrence time of the differential sub-peak and the heart rate main peak.
請參見圖14A及圖14B,該心率信號HR4包含一心率主波峰MP4、該心率次波峰SP4及一第三心率波峰TP4。該心率信號HR4一次微分後得到該頻脈信號HD4,該頻脈信號HD4包含一微分主波峰MP5、一微分次波峰SP5及一第三微分波峰TP5。由於該微分次波峰SP5相較於該第三微分波峰TP5更靠近該微分主波峰MP5,因此該微分次波峰SP5發生時間所對應的該心率次波峰SP4為真正的重搏波,取該心率次波峰SP4與該心率主波峰MP4的時間差(第一時間差ΔT1)計算該動脈硬化指數。Please refer to FIG. 14A and FIG. 14B , the heart rate signal HR4 includes a heart rate main peak MP4 , the heart rate secondary peak SP4 and a third heart rate peak TP4 . The pulse frequency signal HD4 is obtained after the heart rate signal HR4 is differentiated once. The pulse frequency signal HD4 includes a differential main peak MP5 , a differential secondary peak SP5 and a third differential peak TP5 . Since the differential sub-peak SP5 is closer to the differential main peak MP5 than the third differential peak TP5, the heart rate sub-peak SP4 corresponding to the occurrence time of the differential sub-peak SP5 is a real dicrotic wave. The arteriosclerosis index is calculated from the time difference (first time difference ΔT1 ) between the peak SP4 and the main heart rate peak MP4.
執行步驟S25的原因在於,有些該心率信號HR4的波形可能產生振盪,其原因可能為在量測時受到外力影響,例如圖14A的該心率信號HR4,使該貝塞爾曲線BC4具有兩個重搏波範圍(兩個該心率信號HR4的振幅大於該貝賽爾曲線BC4的振幅的範圍),而該心率信號HR4與該貝賽爾曲線BC4的該相關係數為99.73%,小於99.85%,確實為重搏波,因此必須取最靠近該微分主波峰MP5的波峰,也就是該微分次波峰SP5為重搏波位置,避免因波形振盪而找出錯誤的重搏波峰。The reason for performing step S25 is that some waveforms of the heart rate signal HR4 may oscillate, and the reason may be that the measurement is affected by an external force. For example, the heart rate signal HR4 in FIG. 14A makes the Bezier curve BC4 have two heavy Pulse wave range (the range where the amplitude of the two heart rate signals HR4 is greater than the amplitude of the Bezier curve BC4), and the correlation coefficient between the heart rate signal HR4 and the Bezier curve BC4 is 99.73%, less than 99.85%, indeed It is a dicrotic wave, so the peak closest to the differential main peak MP5 must be taken, that is, the differential secondary peak SP5 is the position of the dicrotic wave, so as to avoid finding the wrong dicrotic peak due to waveform oscillation.
本發明藉由該穿戴檢測裝置10取得受測者的該心率信號,再利用雲端數據計算出不同年齡層的該動脈硬化指數上限值,只要輸入年齡及身高,即可計算出該名受測者的該動脈硬化指數、該心率變異特徵值及重弦波的比例,並與該動脈硬化指數上限值、該心率變異指標門檻值及該重弦波比例上限值進行比較,以產生該受測者的該危險指數,可讓個人於日常生活中簡易評估自身動脈硬化的狀況,以利在發生突發狀況前及時就醫。更進一步,本發明的方法步驟可去除重弦波,避免在計算動脈硬化指數時,因人體產生重弦波導致動脈硬化指數計算產生誤差,所計算的動脈硬化指數更為精確。The present invention obtains the heart rate signal of the subject through the
10:穿戴檢測裝置11:控制單元13:光發射單元15:光接收單元20:行動監測裝置30:雲端伺服器40:重搏波50:重弦波501:一次微分的重弦波HR:心率信號HR1,HR2,HR3,HR4:子心率信號HF1,HF2:頻脈信號HD1,HD2:微分信號ΔT1:第一時間差ΔT2:第二時間差MP5:微分主波峰SP5:微分次波峰MH1:主波谷SL:輔助線MP1,MP2,MP4:心率主波峰SP1,SP2,SP4:心率次波峰TP4,TP5:第三心率波峰MH2:心率主波谷SLS:輔助線距離信號t1:第一時點t2:第二時點t3:第三時點H1,H2,H4:谷點H5:反曲點P0:第一時點的振幅P3:第三時點的振幅P1:第一控制點P2:第二控制點BC1,BC2:貝賽爾曲線N:未知點ΔT:脈博的主波峰與重搏波之間的時間差10: Wearing detection device 11: Control unit 13: Light emitting unit 15: Light receiving unit 20: Action monitoring device 30: Cloud server 40: Stretch wave 50: Heavy sine wave 501: Primary differential heavy sine wave HR: Heart rate Signals HR1, HR2, HR3, HR4: sub-heart rate signals HF1, HF2: pulse frequency signals HD1, HD2: differential signals ΔT1 : first time difference ΔT2 : second time difference MP5: differential main peak SP5: differential secondary peak MH1: main Valley SL: auxiliary line MP1, MP2, MP4: main heart rate peak SP1, SP2, SP4: second heart rate peak TP4, TP5: third heart rate peak MH2: main heart rate valley SLS: auxiliary line distance signal t1 : first time point t2 : the second time point t3 : the third time point H1, H2, H4: the valley point H5: the inflection point P0 : the amplitude of the first time point P3 : the amplitude of the third time point P1 : the first control point P2 : second control point BC1, BC2: Bezier curve N: unknown point ΔT: the time difference between the main peak of the pulse and the dicrotic wave
圖1:執行本發明之系統方塊示意圖。圖2:本發明之動脈硬化指數分析方法步驟流程圖。圖3A:屬於重搏波的心率信號波形圖。圖3B:屬於重搏波的心率信號經傅立葉轉換之波形圖。圖4A:屬於重弦波的心率信號波形圖。圖4B:屬於重弦波的心率信號經傅立葉轉換之波形圖。圖5:屬於重搏波的心率信號之波形圖。圖6:本發明之另一種去除重弦波的動脈硬化指數測量方法步驟流程圖。圖7A:屬於重搏波的心率信號建立輔助線之波形圖。圖7B:圖7A的心率信號經一次微分之波形圖。圖7C:根據圖7A的心率信號建立之輔助線距離信號波形圖。圖8A:屬於重弦波的心率信號建立輔助線之波形圖。圖8B:圖8A的心率信號經一次微分之波形圖。圖8C:根據圖8A的心率信號建立之輔助線距離信號波形圖。圖9A:不明顯重搏波的心率信號及輔助線波形圖。圖9B:根據圖9A的心率信號建立之輔助線距離信號波形圖。圖10A:屬於重搏波的心率信號與貝賽爾曲線波形圖。圖10B:圖10A的心率信號經一次微分之波形圖。圖10C:根據圖10A的心率信號建立之輔助線距離信號波形圖。圖11A:屬於重弦波的心率信號與貝賽爾曲線波形圖。圖11B:圖11A的心率信號經一次微分之波形圖。圖11C:根據圖11A的心率信號建立之輔助線距離信號波形圖。圖12A:屬於重搏波的心率信號與貝賽爾曲線重合區間波形圖。圖12B:屬於重搏波的心率信號與貝賽爾曲線重合區間一次微分波形圖。圖13A:屬於重弦波的心率信號與貝賽爾曲線重合區間波形圖。圖13B:屬於重弦波的心率信號與貝賽爾曲線重合區間一次微分波形圖。圖14A:具有兩重搏波之心率信號與貝賽爾曲線波形圖。圖14B:圖14A的心率信號之一次微分波形圖。圖15:屬於重搏波的心率信號之波形圖。圖16A:屬於重弦波的心率信號波形圖。圖16B:圖16A的心率信號經一次微分波形圖Figure 1: A schematic block diagram of a system for implementing the present invention.Fig. 2: a flow chart of the steps of the method for analyzing the arteriosclerosis index of the present invention.Fig. 3A: Waveform diagram of heart rate signal belonging to dicrotic wave.Fig. 3B: Waveform diagram of heart rate signal belonging to dicrotic wave after Fourier transform.Fig. 4A: Waveform diagram of a heart rate signal belonging to a heavy sine wave.Fig. 4B: Waveform diagram of heart rate signal belonging to heavy sine wave after Fourier transform.Figure 5: Waveform diagram of a heart rate signal belonging to a dicrotic wave.Fig. 6: A flow chart of the steps of another method for measuring the arteriosclerosis index without the heavy sine wave of the present invention.FIG. 7A : a waveform diagram of an auxiliary line for establishing a heart rate signal belonging to a dicrotic wave.Fig. 7B: Waveform diagram of the heart rate signal in Fig. 7A after primary differentiation.Fig. 7C: Waveform diagram of the distance signal of the auxiliary line established according to the heart rate signal in Fig. 7A.FIG. 8A : A waveform diagram of an auxiliary line for establishing a heart rate signal belonging to a heavy sine wave.Fig. 8B: Waveform diagram of the heart rate signal in Fig. 8A after primary differentiation.Fig. 8C: Waveform diagram of the auxiliary line distance signal established according to the heart rate signal in Fig. 8A.Fig. 9A: Heart rate signal and auxiliary line waveform diagram of inconspicuous dicrotic wave.Fig. 9B: Waveform diagram of the distance signal of the auxiliary line established according to the heart rate signal in Fig. 9A.FIG. 10A : a heart rate signal belonging to a dicrotic wave and a waveform diagram of a Bezier curve.Fig. 10B: Waveform diagram of the heart rate signal in Fig. 10A after primary differentiation.Fig. 10C: Waveform diagram of the auxiliary line distance signal established according to the heart rate signal in Fig. 10A.Fig. 11A: A heart rate signal belonging to a heavy sine wave and a waveform diagram of a Bezier curve.Fig. 11B: Waveform diagram of the heart rate signal in Fig. 11A after primary differentiation.Fig. 11C: Waveform diagram of the distance signal of the auxiliary line established according to the heart rate signal in Fig. 11A.FIG. 12A : Waveform diagram of the overlapping interval between the heart rate signal belonging to the dicrotic wave and the Bezier curve.FIG. 12B : a waveform diagram of the primary differential in the overlapping interval between the heart rate signal belonging to the dicrotic wave and the Bezier curve.FIG. 13A : a waveform diagram of the overlapping interval between the heart rate signal belonging to the heavy sine wave and the Bezier curve.FIG. 13B : a waveform diagram of the primary differential in the overlapping interval of the heart rate signal belonging to the heavy sine wave and the Bezier curve.FIG. 14A : Heart rate signal and Bezier curve waveform diagram with double beat waves.Fig. 14B: a first differential waveform diagram of the heart rate signal in Fig. 14A.Figure 15: Waveform diagram of a heart rate signal belonging to a dicrotic wave.Fig. 16A: A waveform diagram of a heart rate signal belonging to a heavy sine wave.Figure 16B: The waveform diagram of the heart rate signal in Figure 16A after primary differentiation
10:穿戴檢測裝置10: Wear detection device
11:控制單元11: Control unit
13:光發射單元13: Light emitting unit
15:光接收單元15: Light receiving unit
20:行動監測裝置20: Action monitoring device
30:雲端伺服器30: Cloud server
| Application Number | Priority Date | Filing Date | Title |
|---|---|---|---|
| TW109129399ATWI790472B (en) | 2020-08-27 | 2020-08-27 | Arteriosclerosis Risk Assessment System |
| Application Number | Priority Date | Filing Date | Title |
|---|---|---|---|
| TW109129399ATWI790472B (en) | 2020-08-27 | 2020-08-27 | Arteriosclerosis Risk Assessment System |
| Publication Number | Publication Date |
|---|---|
| TW202207871A TW202207871A (en) | 2022-03-01 |
| TWI790472Btrue TWI790472B (en) | 2023-01-21 |
| Application Number | Title | Priority Date | Filing Date |
|---|---|---|---|
| TW109129399ATWI790472B (en) | 2020-08-27 | 2020-08-27 | Arteriosclerosis Risk Assessment System |
| Country | Link |
|---|---|
| TW (1) | TWI790472B (en) |
| Publication number | Priority date | Publication date | Assignee | Title |
|---|---|---|---|---|
| US20160198963A1 (en)* | 2010-11-30 | 2016-07-14 | Nellcor Puritan Bennett Ireland | Methods and systems for recalibrating a blood pressure monitor with memory |
| TW201725559A (en)* | 2016-01-08 | 2017-07-16 | 心匠有限公司 | A wearable device for assessing the likelihood of the onset of cardiac arrest and a method thereof |
| CN107847156A (en)* | 2015-06-15 | 2018-03-27 | 维塔尔实验室公司 | Methods and systems for cardiovascular disease assessment and management |
| TWM578864U (en)* | 2019-02-13 | 2019-06-01 | 司博創意科技有限公司 | Health management system for wearable device |
| Publication number | Priority date | Publication date | Assignee | Title |
|---|---|---|---|---|
| US20160198963A1 (en)* | 2010-11-30 | 2016-07-14 | Nellcor Puritan Bennett Ireland | Methods and systems for recalibrating a blood pressure monitor with memory |
| CN107847156A (en)* | 2015-06-15 | 2018-03-27 | 维塔尔实验室公司 | Methods and systems for cardiovascular disease assessment and management |
| TW201725559A (en)* | 2016-01-08 | 2017-07-16 | 心匠有限公司 | A wearable device for assessing the likelihood of the onset of cardiac arrest and a method thereof |
| TWM578864U (en)* | 2019-02-13 | 2019-06-01 | 司博創意科技有限公司 | Health management system for wearable device |
| Publication number | Publication date |
|---|---|
| TW202207871A (en) | 2022-03-01 |
| Publication | Publication Date | Title |
|---|---|---|
| Charlton et al. | Wearable photoplethysmography for cardiovascular monitoring | |
| JP6737711B2 (en) | Resting heart rate monitor system | |
| US9801553B2 (en) | System, method, and computer program product for the real-time mobile evaluation of physiological stress | |
| JP6208372B2 (en) | Depression state determination method and depression state determination device | |
| JP5327458B2 (en) | Mental stress evaluation, device using it and its program | |
| US12097049B2 (en) | Methods, apparatus and systems for adaptable presentation of sensor data | |
| JP7676024B2 (en) | System, device and method for determining brain state from cranial movement due to cerebral blood flow | |
| AU2014233947A1 (en) | Method for detecting falls and a fall detector | |
| JP6513005B2 (en) | Fatigue meter | |
| KR20170109554A (en) | A method and apparatus for deriving a mental state of a subject | |
| JP6784368B2 (en) | Depression state determination method and depression state determination device | |
| JP6813837B2 (en) | Activity rhythm judgment method and activity rhythm judgment device | |
| JP2014193349A (en) | Device and method for monitoring physiological condition | |
| CN117045216B (en) | A non-invasive medical analysis system for blood indicators based on fuzzy control | |
| US20200359909A1 (en) | Monitoring device including vital signals to identify an infection and/or candidates for autonomic neuromodulation therapy | |
| US20180360323A1 (en) | Method for monitoring blood pressure, and a device thereof | |
| CN118592907A (en) | Method and system for user health monitoring based on smart ring | |
| TWI790472B (en) | Arteriosclerosis Risk Assessment System | |
| CN114098660B (en) | Atherosclerosis risk assessment system | |
| Mohammadzadeh et al. | Prediction of physiological response over varying forecast lengths with a wearable health monitoring platform | |
| JP6865438B2 (en) | Method and device for creating indicators to determine neuropsychiatric status | |
| JP6927492B2 (en) | Method and device for creating indicators to determine sleep disorders | |
| CHARLTON et al. | This article summarizes the key literature on wearable photoplethysmography and points to future directions in this field. | |
| Perumal et al. | Tool to Detect Seizure for the Intellectually Challenged Person | |
| EP4615323A1 (en) | Wearable devices for fetus physiological condition determination |