









本發明係有關一種光學結構,特別是指一種具擴增實境之光學系統。The invention relates to an optical structure, in particular to an optical system with augmented reality.
穿戴式裝置被認為是繼智慧型手機後最具市場成長潛力的電子產品之一。穿戴式裝置依據不同穿戴類型可分成眼鏡型、手錶型、穿著型、配戴型及貼附型等。穿戴式裝置結合虛擬實境(Virtual Reality, VR)、混合實境(Mixed Reality, MR)或擴增實境(Augmented Reality, AR)的應用性逐漸提升。以AR眼鏡為例,如何將鏡片製作的輕薄,以在盡量不改變鏡框外型、眼鏡重量的前提下,使眼鏡同時具備擴增實境的效果,為此領域的一項重要課題。Wearable devices are considered to be one of the electronic products with the greatest market growth potential after smart phones. Wearable devices can be classified into glasses type, watch type, wearing type, wearable type and attachment type according to different wearing types. The application of wearable devices combined with virtual reality (Virtual Reality, VR), mixed reality (Mixed Reality, MR) or augmented reality (Augmented Reality, AR) is gradually increasing. Taking AR glasses as an example, how to make the lenses light and thin, so that the glasses can also have the effect of augmented reality without changing the shape of the frame and the weight of the glasses as much as possible, is an important issue in this field.
目前大多數的AR眼鏡都是將顯示屏放置在鏡片的兩側,便於安裝顯示屏,但從光線到達人眼直視的位置的距離就會增加,需要加厚的鏡片才能達到良好的像差修正。而為了切換鏡片的透明光學狀態(一般眼鏡使用)及擴增實境狀態(啟用顯示屏、發出影像光),目前多數採用繞射或光柵的方式將光線導入人眼,但如此一來會使光學系統更為複雜,無法達到輕薄的目的。At present, most AR glasses place the display screen on both sides of the lens, which is convenient for installing the display screen, but the distance from the light to the position where the human eye looks directly will increase, and thicker lenses are needed to achieve good aberration correction. . In order to switch the transparent optical state of the lens (used by general glasses) and the state of augmented reality (activate the display screen and emit image light), most of the current light is introduced into the human eye by means of diffraction or grating, but this will make The optical system is more complex and cannot achieve the purpose of thin and light.
因此,本發明針對上述習知技術之缺失及未來之需求,提出一種具擴增實境之光學系統,具體架構及其實施方式將詳述於下:Therefore, the present invention proposes an optical system with augmented reality in view of the lack of the above-mentioned conventional technology and the future demand. The specific structure and its implementation will be described in detail below:
本發明之主要目的在提供一種具擴增實境之光學系統,其透過光線在導光元件內三次反射,不需使用光柵或繞射、散射等光學原理,即可使鏡片同時具有矯正眼睛屈光度及擴增實境的效果。The main purpose of the present invention is to provide an optical system with augmented reality. The transmitted light is reflected three times in the light guide element without using optical principles such as grating, diffraction, and scattering, so that the lens can simultaneously correct the diopter of the eye and augmented reality effects.
本發明之另一目的在提供一種具擴增實境之光學系統,其將顯示屏設置在導光元件的上方,縮短入射面到第二反射面的距離,以達到鏡片輕薄化的效果。Another object of the present invention is to provide an augmented reality optical system, which arranges the display screen above the light guide element, shortens the distance from the incident surface to the second reflective surface, so as to achieve the effect of thinning the lens.
為達上述目的,本發明提供一種具擴增實境之光學系統,包括:一顯示屏,發出光線;以及一導光元件,包括一入射面及複數反射面,入射面設於導光元件之頂端且與反射面其中之一出射反射面相鄰,其中出射反射面為與一人眼相對之表面,入射面對應顯示屏設置,以讓光線從入射面進入導光元件,在導光元件內經過反射面三次反射後,自出射反射面將光線導入人眼。In order to achieve the above object, the present invention provides an optical system with augmented reality, including: a display screen emitting light; The top end is adjacent to one of the reflective surfaces, the outgoing reflective surface, where the outgoing reflective surface is the surface opposite to a human eye, and the incident surface is set corresponding to the display screen, so that light enters the light guide element from the incident surface and passes through the light guide element After being reflected three times by the reflective surface, the light is guided into human eyes from the outgoing reflective surface.
依據本發明之實施例,入射面為傾斜面。According to an embodiment of the present invention, the incident surface is an inclined surface.
依據本發明之實施例,反射面更包括一第一反射面以及一第二反射面,第一反射面與出射反射面相對設置,其中出射反射面為靠近人眼之表面,第一反射面為遠離人眼之表面,第二反射面設於導光元件之底部。According to an embodiment of the present invention, the reflective surface further includes a first reflective surface and a second reflective surface, the first reflective surface is opposite to the outgoing reflective surface, wherein the outgoing reflective surface is a surface close to the human eye, and the first reflective surface is The surface away from human eyes, the second reflective surface is arranged at the bottom of the light guide element.
依據本發明之實施例,光線穿透入射面後,依序被第一反射面、出射反射面及第二反射面反射後導入人眼。According to an embodiment of the present invention, after the light passes through the incident surface, it is reflected by the first reflective surface, the outgoing reflective surface and the second reflective surface in sequence, and then enters the human eye.
依據本發明之實施例,出射反射面之上半部用以將被第一反射面反射之光線反射到第二反射面,而第二反射面反射之光線則從出射反射面之下半部射出導光元件。According to an embodiment of the present invention, the upper half of the outgoing reflective surface is used to reflect the light reflected by the first reflective surface to the second reflective surface, and the light reflected by the second reflective surface is emitted from the lower half of the outgoing reflective surface light guide element.
依據本發明之實施例,光線被第一反射面全反射至出射反射面,出射反射面將被第一反射面全反射之光線再次進行全反射。According to an embodiment of the present invention, the light is totally reflected by the first reflective surface to the outgoing reflective surface, and the outgoing reflective surface completely reflects the light totally reflected by the first reflective surface again.
依據本發明之實施例,第二反射面設有一部分穿透部分反射之鍍膜,出射反射面所反射之光線經過第二反射面進行部分穿透部分反射,其中,被第二反射面部分反射的光線會穿透出射反射面到達人眼。According to an embodiment of the present invention, the second reflective surface is provided with a partially penetrating and partially reflective coating, and the light reflected from the outgoing reflective surface is partially penetrating and partially reflected through the second reflective surface, wherein the partially reflected light from the second reflective surface The light will pass through the exit reflective surface to reach the human eye.
依據本發明之實施例,第二反射面為傾斜面。According to an embodiment of the present invention, the second reflective surface is an inclined surface.
依據本發明之實施例,第一反射面及出射反射面為軸對稱曲面,第一反射面及出射反射面之對稱軸為同軸設置。According to an embodiment of the present invention, the first reflective surface and the outgoing reflective surface are axisymmetric curved surfaces, and the symmetry axes of the first reflective surface and the outgoing reflective surface are arranged coaxially.
依據本發明之實施例,入射面及反射面為球面、非球面或平面其中之一。According to an embodiment of the present invention, the incident surface and the reflective surface are one of spherical, aspheric or flat.
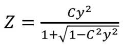
依據本發明之實施例,入射面及反射面為球面時,,其中C為曲率半徑的倒數。According to an embodiment of the present invention, when the incident surface and the reflecting surface are spherical, , where C is the reciprocal of the radius of curvature.
依據本發明之實施例,入射面及反射面為非球面時,,其中A、B、C、D、E等為非球面公式中之參數,C為曲率半徑的倒數,K為圓錐係數。According to an embodiment of the present invention, when the incident surface and the reflective surface are aspherical, , where A, B, C, D, E, etc. are the parameters in the aspheric formula, C is the reciprocal of the radius of curvature, and K is the conical coefficient.
依據本發明之實施例,入射面及反射面為平面時,Z=0。According to an embodiment of the present invention, when the incident surface and the reflective surface are planes, Z=0.
依據本發明之實施例,第一反射面與出射反射面曲率的搭配使該導光元件具有屈光度,屈光度的範圍在正負8度之間。According to the embodiment of the present invention, the matching of the curvature of the first reflective surface and the outgoing reflective surface makes the light guide element have a diopter, and the range of the diopter is between plus and minus 8 degrees.
依據本發明之實施例,顯示屏與一Y軸的夾角為,從顯示屏的中心入射第一反射面的光線的入射角為,光學系統符合。According to an embodiment of the present invention, the angle between the display screen and a Y axis is , the incident angle of the light incident on the first reflective surface from the center of the display screen is , the optical system complies with .
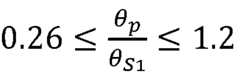
依據本發明之實施例,導光元件之折射率為n1,第一反射面之曲率半徑為RS1,出射反射面之曲率半徑為RS2,光學系統符合。According to the embodiment of the present invention, the refractive index of the light guide element is n1 , the radius of curvature of the first reflective surface is RS1 , the radius of curvature of the outgoing reflective surface is RS2 , and the optical system conforms to .
依據本發明之實施例,顯示屏之中心入射第一反射面之光線高度為HS1,第一反射面之曲率半徑為RS1,光學系統符合。According to the embodiment of the present invention, the height of light incident on the first reflective surface at the center of the display screen is HS1 , the radius of curvature of the first reflective surface is RS1 , and the optical system conforms to .
依據本發明之實施例,導光元件和一輔助鏡片組合成一鏡片,第二反射面與輔助鏡片鄰接。According to an embodiment of the present invention, the light guide element and an auxiliary lens are combined into a lens, and the second reflective surface is adjacent to the auxiliary lens.
依據本發明之實施例,鏡片之形狀與一AR眼鏡之鏡框相符。According to an embodiment of the present invention, the shape of the lens conforms to the frame of an AR glasses.
本發明提供一種具擴增實境之光學系統,其可應用在近視眼鏡、平光眼鏡或遠視眼鏡,使這三種眼鏡兼具擴增實境的效果,讓使用者方便配戴。此外,更藉由將顯示屏設置在鏡片上方的設計,使導光元件的厚度輕薄仍可達到擴增實境的效果,讓整體光學系統更為輕薄。The present invention provides an optical system with augmented reality, which can be applied to myopia glasses, plano glasses or hyperopia glasses, so that these three kinds of glasses can also have the effect of augmented reality, allowing users to wear them conveniently. In addition, through the design of setting the display screen above the lens, the thickness of the light guide element can still achieve the effect of augmented reality, making the overall optical system thinner and lighter.
請同時參考第1A圖、第1B圖、第2A圖及第2B圖,其中第1A圖及第1B圖為本發明具擴增實境之光學系統10之鏡片14之立體圖,第2A圖及第2B圖為本發明具擴增實境之光學系統10之光學路徑及角度之示意圖。本發明之具擴增實境之光學系統10包括一顯示屏12及一導光元件142,其中顯示屏12用以發出光線,特別是包含影像的影像光;導光元件142為片狀,包括一入射面162及複數反射面,入射面162設於導光元件142之頂端,顯示屏12與入射面162相對設置,從入射面162之上方發出光線,光線向下從入射面162進入導光元件142。光線在導光元件142內經過三次反射後,被導光元件142導入人眼18。Please also refer to FIG. 1A, FIG. 1B, FIG. 2A and FIG. 2B, wherein FIG. 1A and FIG. 1B are perspective views of the
更具體來說,入射面162為傾斜面,顯示屏12與入射面162平行。反射面包括一第一反射面164、一出射反射面166及一第二反射面168。其中,第一反射面164與出射反射面166相對設置,出射反射面166為靠近人眼18之表面,第一反射面164則為遠離人眼18之表面。入射面162與第一反射面164及出射反射面166相鄰。更進一步來說,第一反射面164及出射反射面166為軸對稱曲面,第一反射面164及出射反射面166之對稱軸為同軸設置。出射反射面166分為兩個部分,上半部為反射面,下半部則為出射面。第二反射面168設於導光元件142之底部,為一傾斜面。當光線穿透入射面162後,依序被第一反射面164、出射反射面166及第二反射面168反射後導入人眼18。More specifically, the
本發明設置三個反射面的原因在於,若只有兩次反射,則導光元件142的厚度需要更厚才能達到良好的像差修正。若反射三次,則導光元件142可更薄而達到好的像差修正效果。The reason why the present invention provides three reflective surfaces is that if there are only two reflections, the thickness of the
第二反射面168設有一部分穿透部分反射之鍍膜(圖中未示),因此第二反射面168具有部分穿透部分反射的效果。當顯示屏12發出光線時,到達第二反射面168的光線會部分穿透第二反射面168射向前方,部分則反射向人眼18。當顯示屏12沒有啟動時,則人眼18可直接透過第一反射面164或第二反射面168看到外界影像。The second
光線的詳細路徑如下:光線穿透入射面162後,被第一反射面164全反射至出射反射面166的上半部。由於出射反射面166的上半部為反射面,因此被第一反射面164全反射之光線會再次被出射反射面166的上半部進行全反射,反射到第二反射面168。當出射反射面166之上半部所反射之光線經過第二反射面168後,會進行部分穿透部分反射,其中,被第二反射面168部分反射的光線會穿透出射反射面166的下半部,到達人眼18,讓人眼18看到顯示屏12所顯示的影像、同時看到外界影像,達到擴增實境的目的。The detailed path of the light is as follows: after the light passes through the
導光元件142和一輔助鏡片144組合成一鏡片14,導光元件142底部的第二反射面168與輔助鏡片144鄰接,通過與導光元件142的底部貼合、黏合或其它方式組合在一起。設置輔助鏡片144的目的是為了使鏡片14之形狀與一AR眼鏡之鏡框相符。且由於使用者也會透過輔助鏡片144看到外部影像,因此,在材質選擇上,輔助鏡片144會與導光元件142一致。因為若輔助鏡片144與導光元件142的材質不一致,則折射率也不同,使用者透過鏡片看到外界景像會因為鏡片光程差的差異而造成景象不連續。使用者可直接配戴包含本發明之具擴增實境之光學系統10的眼鏡,無須在原有的近視眼鏡或遠視眼鏡及AR眼鏡之間切換配戴。The
本發明中,入射面162、第一反射面164、出射反射面166及第二反射面168為球面、非球面或平面其中之一。當入射面162、第一反射面164、出射反射面166及第二反射面168為球面時,具擴增實境之光學系統10符合公式,其中C為曲率半徑的倒數。當入射面162、第一反射面164、出射反射面166及第二反射面168為非球面時,具擴增實境之光學系統10符合公式,其中A、B、C、D、E等為非球面公式中之參數,C為曲率半徑的倒數,K為圓錐係數。當入射面162、第一反射面164、出射反射面166及第二反射面168為平面時,具擴增實境之光學系統10符合公式Z=0。In the present invention, the
本發明中為了使人眼18可透過導光元件142看到外界影像,也就是外界光會先通過第一反射面164再通過出射反射面166到達人眼18,進而使具擴增實境之光學系統10的眼鏡兼具AR眼鏡及近視眼鏡、遠視眼鏡或平光眼鏡的效果。因此,利用第一反射面164與出射反射面166間的曲率搭配,使導光元件142具有屈光度,屈光度的範圍在正負8度之間。In the present invention, in order to allow the
此外,由於顯示屏12為傾斜的,因此還需定義顯示屏12的傾斜角及其入射到第一反射面164的夾角。假設顯示屏12與Y軸的夾角為,從顯示屏12的中心入射第一反射面164的光線的入射角為,則具擴增實境之光學系統10符合,可達到良好的像差畸變修正。In addition, since the
此外,由於光線在導光元件142內部經過折射與反射,因此需要定義導光元件142的折射率及第一反射面164、出射反射面166的曲率半徑之間的關係。假設導光元件142之折射率為n1,第一反射面164之曲率半徑為RS1,出射反射面166之曲率半徑為RS2,則具擴增實境之光學系統10符合,可達到良好的屈光度矯正。In addition, since light is refracted and reflected inside the
再者,光線進入導光元件142後觸及的第一個面,也就是觸及到第一反射面164的位置與人眼18之間的距離(高度)也是一個重要的參數,其代表導光元件142的縱向長度是否夠短,不會超過一般眼鏡片的縱向長度。而要調整顯示屏12之中心入射第一反射面164之光線高度HS1,還需要配合調整第一反射面之曲率半徑為RS1,在本發明中,當具擴增實境之光學系統10符合時,為可達到較大視角及輕薄化的較佳範圍。Furthermore, the distance (height) between the first surface that the light touches after entering the
第3圖為本發明具擴增實境之光學系統應用在眼鏡上之示意圖。如圖所示,鏡片14為導光元件142及輔助鏡片144的組合,且組合後之尺寸符合鏡框20之大小。鏡框20的左右兩邊分別設置有一顯示屏12。將第3圖之眼鏡配戴在人臉上,如第4A圖及第4B圖所示。使用者配戴此眼鏡時,若顯示屏12未啟用,一般情況可當作平光眼鏡、近視眼鏡或遠視眼鏡使用。當顯示屏12發出影像光時,使用者便可看到擴增實境的影像。Fig. 3 is a schematic diagram of the application of the optical system with augmented reality of the present invention on glasses. As shown in the figure, the
第5A圖至第5D圖為不同鏡片14之實施例,其中第5A圖為第一實施例,其鏡片14為平光眼鏡的鏡片。第5B圖為第二實施例,其鏡片14也是平光眼鏡的鏡片。第5C圖為第三實施例,其鏡片14為-2.25度的近視眼鏡的鏡片。第5D圖為第四實施例,其鏡片14為+2.75度的遠視眼鏡的鏡片。各實施例之參數如下表一,對應公式的最佳數值如下表二:
綜上所述,本發明所提供之具擴增實境之光學系統可應用在近視眼鏡、平光眼鏡或遠視眼鏡,使這三種眼鏡兼具擴增實境的效果,讓使用者方便配戴。此外,由於一般顯示屏水平較長垂直較短,因此本發明將顯示屏設置在鏡片上方的設計,縮短導光元件的高度,使導光元件的高度及厚度皆輕薄仍可達到擴增實境的效果,使AR眼鏡更輕薄。再者, 此光學系統中無任何繞射、干涉元件與自由曲面,只用非球面與球面或平面,因此結構單純並能達到良好的像差修正,且製造性較高。在功能性上,使用本發明之光學系統的AR眼鏡能同時達到屈光矯正的要求。To sum up, the optical system with augmented reality provided by the present invention can be applied to myopia glasses, plain vision glasses or hyperopia glasses, so that these three kinds of glasses can also have the effect of augmented reality, making it easy for users to wear them. In addition, since the display screen is generally longer horizontally and shorter vertically, the design of the present invention arranges the display screen above the lens to shorten the height of the light guide element, so that the height and thickness of the light guide element are both light and thin to achieve augmented reality. The effect makes AR glasses thinner and lighter. Furthermore, the optical system does not have any diffraction or interference elements or free-form surfaces, and only uses aspherical surfaces, spherical surfaces or flat surfaces. Therefore, the structure is simple and can achieve good aberration correction, and the manufacturability is high. In terms of functionality, the AR glasses using the optical system of the present invention can meet the requirements of refractive correction at the same time.
唯以上所述者,僅為本發明之較佳實施例而已,並非用來限定本發明實施之範圍。故即凡依本發明申請範圍所述之特徵及精神所為之均等變化或修飾,均應包括於本發明之申請專利範圍內。The above descriptions are only preferred embodiments of the present invention, and are not intended to limit the scope of the present invention. Therefore, all equivalent changes or modifications based on the features and spirit described in the scope of the application of the present invention shall be included in the scope of the patent application of the present invention.
10:具擴增實境之光學系統 12:顯示屏 14:鏡片 142:導光元件 144:輔助鏡片 162:入射面 164:第一反射面 166:出射反射面 168:第二反射面 18:人眼 20:鏡框10: Optical system with augmented reality 12: Display screen 14: Lens 142: Light guide element 144: Auxiliary lens 162: incident surface 164: the first reflective surface 166: Exit reflective surface 168: Second reflective surface 18: Human eye 20: frame
第1A圖及第1B圖為本發明具擴增實境之光學系統之鏡片之立體圖。 第2A圖及第2B圖為本發明具擴增實境之光學系統之光學路徑及角度之示意圖。 第3圖為本發明具擴增實境之光學系統應用在眼鏡上之示意圖。 第4A圖及第4B圖為將第3圖之眼鏡配戴在人臉上之示意圖。 第5A圖至第5D圖為本發明具擴增實境之光學系統之其他實施例之示意圖。FIG. 1A and FIG. 1B are perspective views of the lens of the optical system with augmented reality of the present invention. FIG. 2A and FIG. 2B are schematic diagrams of the optical paths and angles of the optical system with augmented reality of the present invention. Fig. 3 is a schematic diagram of the application of the optical system with augmented reality of the present invention on glasses. Fig. 4A and Fig. 4B are schematic diagrams of wearing the glasses in Fig. 3 on a human face. 5A to 5D are schematic diagrams of other embodiments of the optical system with augmented reality of the present invention.
10:具擴增實境之光學系統10: Optical system with augmented reality
12:顯示屏12: Display screen
142:導光元件142: Light guide element
144:輔助鏡片144: Auxiliary lens
162:入射面162: incident surface
164:第一反射面164: the first reflective surface
166:出射反射面166: Exit reflective surface
168:第二反射面168: Second reflective surface
18:人眼18: Human eye
| Application Number | Priority Date | Filing Date | Title |
|---|---|---|---|
| TW110130915ATWI779789B (en) | 2021-08-20 | 2021-08-20 | Optical system with augmented reality |
| Application Number | Priority Date | Filing Date | Title |
|---|---|---|---|
| TW110130915ATWI779789B (en) | 2021-08-20 | 2021-08-20 | Optical system with augmented reality |
| Publication Number | Publication Date |
|---|---|
| TWI779789Btrue TWI779789B (en) | 2022-10-01 |
| TW202309601A TW202309601A (en) | 2023-03-01 |
| Application Number | Title | Priority Date | Filing Date |
|---|---|---|---|
| TW110130915ATWI779789B (en) | 2021-08-20 | 2021-08-20 | Optical system with augmented reality |
| Country | Link |
|---|---|
| TW (1) | TWI779789B (en) |
| Publication number | Priority date | Publication date | Assignee | Title |
|---|---|---|---|---|
| US20160313973A1 (en)* | 2015-04-24 | 2016-10-27 | Seiko Epson Corporation | Display device, control method for display device, and computer program |
| TW201923419A (en)* | 2017-10-22 | 2019-06-16 | 以色列商鲁姆斯有限公司 | Head mounted augmented reality device with optical bench |
| CN112236716A (en)* | 2018-10-26 | 2021-01-15 | 谷歌有限责任公司 | Optical device comprising a light guide for a head-mounted display |
| TWM620253U (en)* | 2021-08-20 | 2021-11-21 | 雙瑩科技股份有限公司 | Augmentation real environment optical system |
| Publication number | Priority date | Publication date | Assignee | Title |
|---|---|---|---|---|
| US20160313973A1 (en)* | 2015-04-24 | 2016-10-27 | Seiko Epson Corporation | Display device, control method for display device, and computer program |
| TW201923419A (en)* | 2017-10-22 | 2019-06-16 | 以色列商鲁姆斯有限公司 | Head mounted augmented reality device with optical bench |
| CN112236716A (en)* | 2018-10-26 | 2021-01-15 | 谷歌有限责任公司 | Optical device comprising a light guide for a head-mounted display |
| TWM620253U (en)* | 2021-08-20 | 2021-11-21 | 雙瑩科技股份有限公司 | Augmentation real environment optical system |
| Publication number | Publication date |
|---|---|
| TW202309601A (en) | 2023-03-01 |
| Publication | Publication Date | Title |
|---|---|---|
| US12204109B2 (en) | Wide angle and high resolution tiled head-mounted display device | |
| CN104423044B (en) | virtual image display device | |
| US10782453B2 (en) | Display devices with reflectors | |
| JP6595619B2 (en) | Efficient thin curved eyepiece for see-through head wearable display | |
| USRE37169E1 (en) | Ocular optics system having at least four reflections occurring between curved surfaces | |
| JP3636240B2 (en) | Optical system | |
| CN102004317B (en) | Spectacles-type image display device | |
| US20170059869A1 (en) | Optical system for head mount display | |
| KR101421199B1 (en) | Lens system for head mounted display | |
| CN106461941B (en) | For that can be worn on user's head and generate the eyeglass of the display device of image | |
| JP2018528446A (en) | Addition of prescription correction to eyepiece for see-through head wearable display | |
| CN110161688B (en) | Refractive correction AR display device and wearable AR device | |
| CN108474949A (en) | Virtual reality head-mounted display | |
| CN214751111U (en) | Ultra-short-range eyepiece system | |
| CN111328380A (en) | Head-mounted display and method for designing wide-focus lens used in head-mounted display | |
| CN107247325A (en) | A kind of multi-functional magnified image device | |
| JP2015219405A (en) | Display device | |
| KR102438997B1 (en) | Optical device for augmented reality with vision correction function | |
| KR101362873B1 (en) | Lens system for head mounted display | |
| CN215494347U (en) | Projection type optical lens group and near-to-eye display device | |
| US12124047B2 (en) | Optical device for augmented reality capable of providing image for augmented reality having close distance | |
| CN215769212U (en) | Optical system with augmented reality | |
| TWM620253U (en) | Augmentation real environment optical system | |
| TWI779789B (en) | Optical system with augmented reality | |
| CN114207504A (en) | Augmented reality optical device with vision correction function |
| Date | Code | Title | Description |
|---|---|---|---|
| GD4A | Issue of patent certificate for granted invention patent |