














本發明是有關於一種雷達技術,且特別是有關於一種雷達裝置及其應用在陣列接收天線之訊號接收方法。The present invention relates to a radar technology, and more particularly, to a radar device and a signal receiving method applied to an array receiving antenna.
雷達技術已發展多年。按照發射信號種類,雷達可分成脈衝雷達和連續波雷達兩大類。常規脈衝雷達發射周期性的高頻脈衝。而連續波雷達發射連續波信號。隨著科技快速發展,近年來,調頻連續波(Frequency Modulated Continuous Wave, FMCW)雷達已廣泛應用在多種領域。Radar technology has evolved over the years. According to the type of transmitted signal, radar can be divided into two categories: pulse radar and continuous wave radar. Conventional pulse radar emits periodic high frequency pulses. The continuous wave radar transmits the continuous wave signal. With the rapid development of science and technology, in recent years, Frequency Modulated Continuous Wave (FMCW) radar has been widely used in various fields.
調頻連續波雷達在掃頻周期內發射頻率變化的連續波。而連續波受物體反射後的回波與發射信號有一定的頻率差,並可透過基於這頻率差判斷物體與雷達之間的距離。由於調頻連續波雷達能測量活動目標的距離和速度,因此調頻連續波雷達逐漸廣泛應用到諸如道路車輛監測記錄系統、汽車防撞雷達、車流量檢測器、自動駕駛等民用領域。FM continuous wave radar transmits a continuous wave of varying frequency within the frequency sweep period. The echo of the continuous wave reflected by the object has a certain frequency difference with the transmitted signal, and the distance between the object and the radar can be judged based on this frequency difference. Since FM CW radar can measure the distance and speed of moving targets, FM CW radar is gradually widely used in civil fields such as road vehicle monitoring and recording systems, automobile anti-collision radar, traffic flow detectors, and automatic driving.
值得注意的是,調頻連續波雷達系統可使用陣列天線估算反射信號的角度(又稱為到達角(Angle of Arrival, AoA))。當雷達系統與物體的距離有很小的變化時,會導致頻譜峰值處的相位發生較大的變化。因此,可利用物體與相鄰天線的距離差所對應的相位變化估測到達角。Notably, FM CW radar systems use an array antenna to estimate the angle of the reflected signal (also known as the Angle of Arrival (AoA)). Small changes in the radar system's distance from the object result in large changes in phase at the peaks of the spectrum. Therefore, the angle of arrival can be estimated by using the phase change corresponding to the distance difference between the object and the adjacent antenna.
然而,為了使用陣列天線,目前估測到達角的調頻連續波雷達系統使用多接收器的架構。圖1是習知使用多接收器的調頻連續波雷達系統的示意圖。請參照圖1,現有的調頻連續波的雷達系統1可包括傳送器Tx以及多個接收器Rx。傳送器Tx可藉由天線At發射傳送訊號,且那些接收器Rx可分別藉由多根接收天線At接收傳送訊號經物體反射的回波訊號。However, in order to use array antennas, current FM continuous wave radar systems for estimating the angle of arrival use a multi-receiver architecture. FIG. 1 is a schematic diagram of a conventional FM continuous wave radar system using multiple receivers. Referring to FIG. 1 , a conventional FM continuous
一般而言,在感測多個通道(分別對應於多根天線At)時,可採用分碼多工(code division multiplexing, CDM)、分頻多工(frequency-division multiplexing, FDM)或分時多工(time-division multiplexing, TDM)的方式。針對分碼多工,傳送訊號是對應於數個展頻碼(spread code)的展頻訊號(spread-spectrum signal)的總和。針對分頻多工,可將數個數位中頻訊號(digital-IF signal)調變至一個傳送訊號。無論是分碼多工或是分頻多工皆需要數個同步的接收器來同時處理多個解多工訊號(de-multiplexed signals)。然而,多個同步的接收器的硬體架構會造成龐大的硬體成本。Generally speaking, when sensing multiple channels (respectively corresponding to multiple antennas At), code division multiplexing (CDM), frequency-division multiplexing (FDM) or time division can be used Multiplexing (time-division multiplexing, TDM) method. For code division multiplexing, the transmitted signal is the sum of spread-spectrum signals corresponding to several spread codes. For frequency division multiplexing, several digital-IF signals can be modulated into one transmission signal. Both code division multiplexing and frequency division multiplexing require several synchronized receivers to process multiple de-multiplexed signals simultaneously. However, the hardware architecture of multiple simultaneous receivers can result in significant hardware costs.
本發明的實施例提供一種雷達裝置。雷達裝置包括發射類比前端電路、多個天線埠、切換控制器、切換電路及接收類比前端電路。發射類比前端電路用以根據載波訊號產生傳送訊號。載波訊號的頻率在載波訊號的掃頻週期內隨時間變化。多個天線埠分別用以接收對應於傳送訊號的回波訊號。切換控制器耦接發射類比前端電路。切換控制器用以依據載波訊號的掃頻週期產生控制訊號。切換電路耦接多個天線埠及切換控制器。切換電路用以依據控制訊號選擇多個天線埠中的一者來接收回波訊號。回波訊號是由傳送訊號經一物件反射而產生。接收類比前端電路耦接切換電路,並用以根據載波訊號接收射頻訊號。藉由多個天線埠共用接收器用以接收天線切換電路後的解多工(de-multiplexed)訊號。Embodiments of the present invention provide a radar apparatus. The radar device includes a transmitting analog front-end circuit, a plurality of antenna ports, a switching controller, a switching circuit and a receiving analog front-end circuit. The transmitting analog front-end circuit is used for generating the transmitting signal according to the carrier signal. The frequency of the carrier signal varies with time during the sweep period of the carrier signal. The plurality of antenna ports are respectively used for receiving echo signals corresponding to the transmitted signals. The switching controller is coupled to the transmit analog front-end circuit. The switching controller is used for generating the control signal according to the frequency sweep period of the carrier signal. The switching circuit is coupled to the plurality of antenna ports and the switching controller. The switching circuit is used for selecting one of the plurality of antenna ports to receive the echo signal according to the control signal. The echo signal is generated by the reflection of the transmitted signal by an object. The receiving analog front-end circuit is coupled to the switching circuit and used for receiving the radio frequency signal according to the carrier signal. The receiver is shared by a plurality of antenna ports for receiving the de-multiplexed signal after the antenna switching circuit.
另一方面,本發明的實施例提供一種訊號接收方法,其適用於具有多個天線埠的雷達裝置。訊號接收方法包括以下步驟:依據載波訊號的掃頻週期產生控制訊號,其中載波訊號的頻率在載波訊號的掃頻週期內隨時間變化。依據控制訊號選擇透過多個天線埠中的一者接收對應於傳送訊號的回波訊號。On the other hand, an embodiment of the present invention provides a signal receiving method, which is suitable for a radar device having a plurality of antenna ports. The signal receiving method includes the following steps: generating a control signal according to a frequency sweep period of a carrier signal, wherein the frequency of the carrier signal changes with time during the frequency sweep period of the carrier signal. According to the control signal, one of the plurality of antenna ports is selected to receive the echo signal corresponding to the transmission signal.
為讓本發明的上述特徵能更明顯易懂,下文特舉實施例,並配合所附圖式作詳細說明如下。In order to make the above-mentioned features of the present invention more obvious and easy to understand, the following specific embodiments are given and described in detail as follows in conjunction with the accompanying drawings.
圖2A、圖2B是依據本發明的實施例的一種雷達裝置100的示意圖。請參照圖2A,雷達裝置100包括(但不僅限於)發射類比前端電路110、多個天線埠130P、切換電路140、切換控制器160及接收類比前端電路170。請參照圖2B,在一實施例中,雷達裝置100更包括頻率合成器105、傳送天線120、天線陣列130及/或運算處理器150。天線陣列130包括多個接收天線1310~131L-1並分別耦接至對應的天線埠131P0~131PL-1。雷達裝置100例如可應用於氣象、測速、倒車、地形、軍事等領域。2A and 2B are schematic diagrams of a
發射類比前端電路110、切換控制器160及接收類比前端電路170用以根據載波訊號ST而產生對應的運作。頻率合成器105可用以產生載波訊號ST。頻率合成器105耦接發射類比前端電路110、切換控制器160及接收類比前端電路170。頻率合成器105可以設置於雷達裝置100的外部或是被整合在雷達裝置100中。The transmitting analog front-
發射類比前端電路110可用以根據載波訊號ST產生傳送訊號。由於載波訊號ST的頻率在載波訊號ST的掃頻週期內隨時間變化,因此傳送訊號的頻率亦會對應地在載波訊號ST的掃頻週期內隨時間變化。舉例而言,圖3A是依據本發明實施例中的載波訊號ST1的示意圖。請參照圖3A,在本實施例中,載波訊號ST1的瞬間頻率可以是如圖3A所示的鋸齒波。載波訊號ST1的頻率隨時間變化。例如,載波訊號ST1的頻率在波形週期T1內逐漸增加。每個鋸齒波的波形週期T1即為掃頻週期。The transmit analog front-
圖3B是依據本發明實施例中的載波訊號ST2的示意圖。請參照圖3B,在本實施例中,載波訊號ST2的瞬間頻率是三角波。載波訊號ST2的頻率可隨時間變化。例如,載波訊號ST2的頻率在波形週期T2的前半部分逐漸增加而在波形週期的後半部分逐漸減小。每個三角波的波形週期T2即為掃頻週期。FIG. 3B is a schematic diagram of the carrier signal ST2 according to an embodiment of the present invention. Referring to FIG. 3B , in this embodiment, the instantaneous frequency of the carrier signal ST2 is a triangular wave. The frequency of the carrier signal ST2 may vary with time. For example, the frequency of the carrier signal ST2 gradually increases in the first half of the waveform period T2 and gradually decreases in the second half of the waveform period. The waveform period T2 of each triangular wave is the frequency sweep period.
須說明的是,載波訊號ST的瞬間頻率不限於鋸齒波或三角波,且載波訊號ST也可能是其他應用於調頻連續波(Frequency Modulated Continuous Wave, FMCW)的載波訊號(例如,線性、幾何型或其他啁啾訊號(chirp signal))。It should be noted that the instantaneous frequency of the carrier signal ST is not limited to a sawtooth wave or a triangular wave, and the carrier signal ST may also be other carrier signals applied to Frequency Modulated Continuous Wave (FMCW) (for example, linear, geometric or other chirp signals).
傳送天線120耦接發射類比前端電路110。傳送天線120可用以發射由發射類比前端電路110所產生的傳送訊號。如前文所述,傳送訊號的頻率亦會對應地隨著載波訊號ST、ST1、ST2的頻率而變化。The transmit
天線陣列130包括多個接收天線1310~131L-1。這些接收天線1310~131L-1分別用以接收對應於傳送訊號的回波訊號並耦接到對應的天線埠131P0~131PL-1。L為正整數並代表接收天線1310~131L-1以及對應的天線埠131P0~131PL-1的數量。例如,L為2、4或8,但不以此為限。The
舉例而言,圖4是依據本發明的實施例描述接收天線1310~131L-1接收回波訊號的示意圖。請參照圖4,雷達裝置100可透過傳送天線120向外部物件O(又稱為目標)發射傳送訊號。假設天線陣列130包括2根接收天線1310~1311。雷達裝置100可透過接收天線1310~1311以及對應的2個天線埠131P0~131P1接收從外部物件O反射而來的回波訊號ES。For example, FIG. 4 is a schematic diagram illustrating the reception of echo signals by the receiving antennas 1310 - 131L-1 according to an embodiment of the present invention. Referring to FIG. 4 , the
切換電路140耦接接收天線1310~131L-1所對應的L個天線埠131P0~131PL-1。在一實施例中,切換電路140用以依據選擇那些接收天線1310~131L-1所對應的L個天線埠131P0~131PL-1中的一者來接收回波訊號。The
舉例而言,圖5是依據本發明的實施例的切換電路140的示意圖。請參照圖5,切換電路140可以是由一個或多個多工器(multiplexer)、開關(switch)等電性元件組合而成,本發明實施例不加以限制。在一實施例中,切換電路140可從L個接收天線1310~131L-1對應的L個天線埠131P0~131PL-1所分別收到的射頻訊號u0(t)~uL-1(t)之間進行切換。For example, FIG. 5 is a schematic diagram of the
運算處理器150可以是晶片、處理器、微控制器、特殊應用積體電路(Application-Specific Integrated Circuit,ASIC)、或任何類型的數位電路。運算處理器150耦接接收類比前端電路170。在一實施例中,運算處理器150用以決定外部物件的位置資訊。The
切換控制器160耦接頻率合成器105以及切換電路140,並用以依據載波訊號ST的掃頻週期產生控制訊號。在一實施例中,切換控制器160用以產生控制切換電路140的控制訊號。The switching
在一實施例中,接收類比前端電路170耦接頻率合成器105、切換電路140及運算處理器150。在一實施例中,接收類比前端電路170用以根據載波訊號ST接收並處理射頻訊號。以圖5為例,射頻訊號可以是從天線陣列130的接收天線1310~131L-1對應的L個天線埠131P0~131PL-1所收到的射頻訊號u0(t)~uL-1(t)中的一者。In one embodiment, the receiving analog front-
以下搭配圖6A及圖6B更具體地來說明發射類比前端電路110與接收類比前端電路170的詳細硬體架構。The detailed hardware structures of the transmit analog front-
圖6A是依據本發明實施例的發射類比前端電路110及接收類比前端電路170’的示意圖。請參照圖6A,發射類比前端電路110包括放大器PA。接收類比前端電路170’包括低雜訊放大器LNA、混波器MX、濾波器F以及類比至數位轉換器ADC。6A is a schematic diagram of a transmit analog
頻率合成器SYN用以產生載波訊號ST。放大器PA耦接頻率合成器SYN,並用以將射頻訊號放大輸出,並透過傳送天線120對外發射。低雜訊放大器LNA耦接切換電路140的輸出端,並用以接收切換電路140所輸出的射頻訊號(例如,圖5所示的接收天線1310~131L-1所收到的射頻訊號u0(t)~uL-1(t)中的一者)。混波器MX耦接低雜訊放大器LNA,並用以依據頻率合成器SYN所產生的載波訊號ST對射頻訊號混波,以產生中頻訊號。濾波器F耦接混波器MX,並用以分別過濾中頻訊號的同相位(in-phase)成分訊號以及轉相差(quadrature)成分。類比至數位轉換器ADC耦接混波器MX,並用以依據中頻訊號產生基頻訊號。The frequency synthesizer SYN is used to generate the carrier signal ST. The amplifier PA is coupled to the frequency synthesizer SYN, and is used to amplify and output the radio frequency signal, and transmit it to the outside through the
圖6B是依據本發明實施例的發射類比前端電路110及接收類比前端電路170”的示意圖。請參照圖6B,在本實施例中,發射類比前端電路110包括放大器PA。接收類比前端電路170”包括低雜訊放大器LNA、混波器MX、濾波器F以及類比至數位轉換器ADC。與圖6A不同之處在於,僅有一個混波器MX對射頻訊號混波,且僅有一個類比至數位轉換器ADC。6B is a schematic diagram of a transmit analog front-
下文中,將搭配雷達裝置100中的各項元件說明本發明實施例所述之方法。本方法的各個流程可依據實施情形而隨之調整,且並不僅限於此。Hereinafter, the method according to the embodiment of the present invention will be described in conjunction with various elements in the
圖7是依據本發明的實施例的訊號接收方法的流程圖。請參照圖7,切換控制器160 可依據載波訊號ST的掃頻週期產生控制訊號(步驟S710)。具體而言,載波訊號ST與傳送訊號的說明請參照前述針對發射類比前端電路110的介紹,於此不再贅述。值得注意的是,掃頻週期代表載波訊號ST的波形週期。而控制訊號用於輸入至切換電路140,並據以控制切換電路140的運作。由於本發明實施例針對天線陣列130採用共用接收器(例如,單一接收類比前端電路170),因此可透過分時多工(time-division multiplexing, TDM)接收不同接收天線1310~131L-1對應的L個天線埠131P0~131PL-1所收到的射頻訊號。FIG. 7 is a flowchart of a signal receiving method according to an embodiment of the present invention. Referring to FIG. 7 , the switching
在一實施例中,訊框(frame)時間包括多個接收週期。訊框時間代表一個訊框的持續期間。而後續的訊號解調變或解碼將以一個訊框為單位。另一方面,每個接收週期對應到任一個天線埠的接收期間。值得注意的是,同一時間,運算處理器150 可只選擇接收一根接收天線所接收的射頻訊號。因此,透過切換電路140切換接收天線1310~131L-1對應的L個天線埠131P0~131PL-1,可在不同時槽(time slot)分別接收到對應於不同通道的射頻訊號,以實現分時多工。接收天線切換時間所形成時槽與FMCW掃頻週期同步。In one embodiment, the frame time includes multiple reception periods. Frame time represents the duration of a frame. The subsequent signal demodulation or decoding will take one frame as a unit. On the other hand, each receiving period corresponds to the receiving period of any one of the antenna ports. It should be noted that, at the same time, the
舉例而言,圖8是依據本發明實施例中描述傳送訊號TS、控制訊號CS與射頻訊號u0(t+nT)、u1(t+(n+1)T)~ uL-1(t+(n+L-1)T)、u0(t+(n+L)T)、u1(t+(n+L+1)T)對應關係的示意圖(t為時間,T為掃頻週期,且n為正整數)。請參照圖8,假設一個訊框時間FT包括L個接收週期。控制訊號CS的切換時機同步於傳送訊號TS的每個掃頻週期。例如,控制訊號CS為「0」代表對應於傳送訊號TS在圖中位於左側的第一個chirp的掃頻週期;控制訊號CS為「1」代表僅對應於圖中位於左側的第二個chirp的掃頻週期;其餘依此類推。此外,這訊框週期FT結束之後,控制訊號CS返回為「0」,且依此類推。For example, FIG. 8 illustrates the transmission signal TS, the control signal CS, and the radio frequency signals u0 (t+nT), u1 (t+(n+1)T) ~ uL-1 (t+ (n+L-1)T), u0 (t+(n+L)T), u1 (t+(n+L+1)T) corresponding relationship diagram (t is time, T is the frequency sweep period, and n is a positive integer). Referring to FIG. 8 , it is assumed that one frame time FT includes L reception periods. The switching timing of the control signal CS is synchronized with each frequency sweep period of the transmission signal TS. For example, when the control signal CS is "0", it corresponds to the sweep period of the first chirp on the left of the transmission signal TS in the figure; when the control signal CS is "1", it corresponds to the second chirp on the left in the figure. frequency sweep period; the rest and so on. In addition, after the frame period FT ends, the control signal CS returns to "0", and so on.
圖9是依據本發明實施例描述接收週期RP及掃頻週期T1的示意圖。請參照圖9,假設天線陣列130包括兩根接收天線1310,1311(即,L為2),且載波訊號ST1的波形週期為掃頻週期T1。控制訊號包括高準位SH與低準位SL。訊框時間FT1包括兩個接收週期RP。其中,控制訊號持續為高準位SH的期間等於一個接收週期RP,並對應於一個chirp的掃頻週期T1;控制訊號持續為低準位SL的期間等於另一個接收週期RP,並對應於另一個chirp的掃頻週期T1。FIG. 9 is a schematic diagram illustrating a receiving period RP and a frequency sweeping period T1 according to an embodiment of the present invention. Referring to FIG. 9 , it is assumed that the
須說明的是,控制訊號的內容及順序不限於圖8及圖9的說明,且可視實際需求而變更。It should be noted that the content and sequence of the control signals are not limited to the descriptions in FIG. 8 and FIG. 9 , and can be changed according to actual needs.
值得注意的是,載波訊號ST、發射類比前端電路110產生的傳送訊號與切換控制器160 產生的控制訊號的同步時機可能存在誤差。在一實施例中,接收週期的起始點與掃頻週期的起始點之間可能有延遲。舉例而言,圖10是依據本發明實施例描述接收週期RP及掃頻週期T1的示意圖。請參照圖10,不同於圖9之處在於,控制訊號(例如是高準位SH)的接收週期RP的起始點與掃頻週期T1的起始點之間有延遲D。延遲D的長度遠小於掃頻週期T1。無論如何,部分的接收週期RP仍與掃頻週期T1重疊。It should be noted that there may be errors in the synchronization timing of the carrier signal ST, the transmission signal generated by the transmit analog front-
請參照圖2A,切換電路140可依據控制訊號選擇那些接收天線1310~131L-1所對應的L個天線埠131P0~131PL-1中的一者來接收回波訊號(步驟S730)。具體而言,為了實現透過多根接收天線1310~131L-1共用接收器,例如以單一接收器結合多根接收天線,在一實施例中,切換電路140可依據控制訊號在訊框時間中分別在每個接收週期僅選擇那些接收天線1310~131L-1所對應的L個天線埠131P0~131PL-1中的一者。Referring to FIG. 2A , the
以圖8為例,天線陣列包括L個接收天線1310~131L-1,訊框時間FT包括L個接收週期,且切換電路140可依據控制訊號在訊框時間FT中分別在第n接收週期僅選擇那些接收天線1310~131L-1中的第n0接收天線所對應的天線埠。n0可對應於切換控制器160產生之控制訊號CS,以圖8為例,控制訊號CS 可對應於n0,且n0為n除於L的餘數(即n0=nmodulo L),其為小於或等於L的正整數。也就是說,切換天線埠的順序與接收週期的排序相關。例如,控制訊號CS為「0」代表這接收週期對應於接收天線1310(例如僅選擇第一個接收天線)所對應的天線埠131P0,並據以接收射頻訊號u0(t+nT);控制訊號CS為「1」代表僅對應於接收天線1311(例如僅選擇第二個接收天線)所對應的天線埠131P1,並據以接收射頻訊號u1(t+(n+1)T);其餘依此類推。Taking FIG. 8 as an example, the antenna array includes L receiving antennas 1310 to 131L-1 , the frame time FT includes L receiving periods, and the
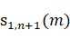
此外,接收類比前端電路170可依據接收天線1310對應的天線埠131P0所接收的射頻訊號u0(t+nT)產生基頻訊號xn(m),定義為s0,n(m) (m為取樣數並為正整數)。例如,圖6A的類比至數位轉換器ADC依據中頻訊號產生基頻訊號xn(m)),亦可依據接收天線1311對應的天線埠131P1所接收的射頻訊號u1(t+(n+1)T)產生基頻訊號xn+1(m),定義為s1,n(m) 。又例如,圖6A的類比至數位轉換器ADC依據中頻訊號產生基頻訊號xn+1(m)),更可依據天線131L-1對應的天線埠131PL-1所接收的射頻訊號uL-1(t+(n+L-1)T)產生基頻訊號xn+L-1(m)。其餘依此類推,並據以產生基頻訊號xn(m),…, xn+L-1(m),即為s0,n(m),…, sL-1,n+L-1(m)。In addition, the receiving analog front-
另以圖9為例,控制訊號CS為高準位SH代表這接收週期僅對應於接收天線1310所對應的天線埠131P0,且控制訊號CS為低準位SL代表僅對應於接收天線1311所對應的天線埠131P1。Taking FIG. 9 as an example, the control signal CS being at the high level SH means that the receiving period corresponds only to the antenna port 131P0 corresponding to the receiving antenna 1310 , and the control signal CS being at the low level SL means only corresponding to the receiving antenna 1311 corresponds to the antenna port 131P1 .
在一實施例中,天線陣列130包括L根接收天線1310~131L-1,且訊框時間包括N個接收週期。N為正整數,且NL。即,訊框時間所包括的那些接收週期RP的數量並不限於所有接收天線1310~131L-1的數量。舉例而言,圖11是依據本發明實施例描述接收週期RP及掃頻週期T1的示意圖。請參照圖11,訊框時間FT2包括4個接收週期RP(即,N為4並對應到4個chirp的掃頻週期),且L為2。在第一個接收週期RP中,控制訊號為高準位SH。而在其餘的接收週期RP中,控制訊號為低準位SL。由此可知,切換電路140依據控制訊號在訊框時間FT中在那些接收週期RP中的一者僅選擇天線1310所對應的天線埠131P0,且在那些接收週期RP中的其他者僅選擇天線1311所對應的天線埠131P1。In one embodiment, the
需說明的是,L及N不限於圖11所示的範例。舉例而言, L為4且N為8、或L為6且N為12。It should be noted that L and N are not limited to the example shown in FIG. 11 . For example, L is 4 and N is 8, or L is 6 and N is 12.
在一具單一混波器及單一類比至數位轉換器ADC之接收類比前端實施例中,如圖6B所示,運算處理器150 可依據那些接收天線1310~131L-1所對應的多個基頻訊號決定外部物件的位置資訊。具體而言,在不考慮通道干擾與雜訊的情況下,第n根接收天線131n-1的基頻訊號的數學表示式如下(n為0至L-1中的正整數):, 0mM…(1) 變數與分別代表外部物件O在時間的距離(包括於位置資訊中)與相對速度,為掃頻週期。,為取樣率(sampling rate),為載波頻率,為頻寬,c為光速。為關聯於外部物件O的反射功率的振幅。相位關聯於頻率合成器(frequency synthesizer)(例如,圖1所繪示的頻率合成器105或是圖6A與圖6B所繪示的頻率合成器SYN)提供給發射類比前端電路110的載波訊號ST並用於產生傳送訊號的初始相位。相位也關聯於在類比與數位訊號路徑上累積的相位延遲。一般而言,相位對於每個傳送訊號是固定的,但不以此為限。於第n個掃頻週期內,有M個取樣訊號,即M=Tfs。In a receive-analog front-end embodiment with a single mixer and a single analog-to-digital converter ADC, as shown in FIG. 6B, the
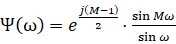
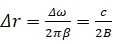
時域的基頻訊號經離散傅立葉轉換(discrete Fourier transform, DFT)後在頻域的數學表示如下:…(2) 函數可表示為且。在頻域中的每個拍音(beat)的頻寬B與函數的寬度成正比,函數的寬度又稱為在差頻的解析度(resolution)。差頻的解析度乘以所得之值可對應到距離差的解析度。即。baseband signal in time domain The mathematical representation in the frequency domain after discrete Fourier transform (DFT) is as follows: …(2) functions can be expressed as and . The bandwidth B and function of each beat in the frequency domain is proportional to the width, the function The width is also known as the difference frequency resolution. difference frequency the resolution multiplied by The resulting value corresponds to the resolution of the distance difference . which is .
在公式(2)中的為拍頻(beat frequency)且其數學表示式如下:…(3)in formula (2) is the beat frequency and its mathematical expression is as follows: …(3)
值得注意的是,拍頻可反映外部物件O的距離。運算處理器150 可依據基頻頻域訊號的頻譜峰(spectral peak)位置,推算外部物件O的位置資訊中的距離。It is worth noting that the beat frequency Can reflect the distance of external object O . The
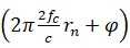
此外,以圖4為例,假設兩接收天線1310, 1311間隔距離d,其中接收天線1311相較於接收天線1310更遠離傳送天線120。接收天線1310與傳送天線120間隔距離B,且傳送天線120至外部物件O的距離為R。發射天線到外部物件O接收天線1310的往返(round-trip)距離可表示為,而發射天線到外部物件O接收天線1311的往返距離可表示為。發射天線到外部物件O的往返距離反映在基頻頻域訊號頻譜峰(spectral peak)的相位上,如式子(3)所示。運算處理器150 依據接收天線1310及接收天線1310所接收到的基頻頻域訊號頻譜峰的相位差,可使用到達角(AoA, Angle-of-Arrival)偵測演算法估算估測到達角,並據以決定外部物件O的位置資訊中的方向(即,外部物件O相對於雷達裝置100的角度)。常見的到達角(AoA)偵測演算法例如是多重訊號分類演算法(multiple signal classification algorithm, MUSIC)、根值多重訊號分類演算法(Root-MUSIC algorithm)或是旋轉不變技術訊號參數估測(Estimation of Signal Parameters via Rotational Invariance Techniques, ESPRIT)演算法。In addition, taking FIG. 4 as an example, it is assumed that the two receiving antennas 1310 and 1311 are separated by a distance d, wherein the receiving antenna 1311 is farther from the transmitting
在一實施例中,運算處理器150 可依據一個訊框時間內的那些基頻訊號決定位置資訊。一個訊框時間對應於連續且相同的一組接收週期,且每個該訊框時間所對應的那些接收週期的數量為偶數。以圖9為例,運算處理器150 可依據訊框時間FT(包括2個連續的接收週期RP)所接收的基頻訊號決定外部物件的位置資訊。又例如,運算處理器150可依據訊框時間FT2(包括4個連續的接收週期RP)所接收的基頻訊號決定外部物件的位置資訊。In one embodiment, the
在一實施例中,運算處理器150 可抑制基頻訊號(例如,圖8的基頻訊號s0,n(m)~sL-1,n+L-1(m),即xn(m)~xn+L-1(m))中包含受外部物件O的相對速度所影響的相位偏差成份。值得注意的是,在第(n+i)個週期,對應第i個接收天線,拍頻(beat frequency)所在頻率為頻譜峰位置,其相位資訊為,其中,相位資訊會因外部物件O的速度,而會隨著不同i值(對應於不同接收天線)造成偏差,進而使以不同接收天線基頻頻域訊號頻譜峰的相位差為運算依據之到達角(AoA)演算法的估測造成偏差(bias)。因此,需要抑制這相位偏差成份,以提升角度資訊估測的準確度。In one embodiment, the
在一實施例中,運算處理器150 對在頻域上的兩基頻訊號共軛運算,以抑制因偵測物件速度所造成的相位偏差成份。以圖4所示的兩根接收天線1310, 1311為例。圖12是依據本發明實施例描述抑制相位偏差成份的示意圖。請參照圖4及圖12,在步驟S121中,運算處理器150 分別將對應到不同接收週期的基頻訊號進行快速傅立葉轉換(Fast Fourier Transform, FFT),以取得頻域的基頻訊號。In one embodiment, the
在步驟S122中,運算處理器150 暫存對應於不同接收週期的基頻訊號於緩衝器中。In step S122, the
在步驟S123中,運算處理器150 讀取一個訊框時間內的那些基頻訊號。例如,圖9是兩個接收週期RP的基頻頻域訊號,且圖11是四個接收週期RP的基頻訊號。運算處理器150 對一個訊框時間內的這些暫存於緩衝器基頻頻域訊號進行共軛運算,再選擇部分週期的基頻頻域訊號做乘積並合計組合出及。例如,圖9是任一接收週期RP的基頻頻域訊號的共軛複數與另一接收週期RP的基頻頻域訊號的乘積。又例如,圖11是第一個接收週期RP的基頻頻域訊號的共軛複數與第三接收週期RP的基頻頻域訊號的乘積,但不以此為限。而共軛/選擇/線性合計組合運算的結果將可抑制受相對速度影響的相位偏差成分。In step S123, the
更具體而言,在第個接收週期中,外部物件O與天線陣列130距離可表示為Rn,從傳送天線120到天線1310的往返距離可表示為。在第個接收週期中且從傳送天線120到天線1311的往返距離可表示為,v為外部物件O的相對速度,T為掃頻週期。對應於接收天線1310的基頻訊號可表示為(即),且對應於天線1311的基頻訊號可表示為(即)。這些基頻訊號經過快速傅立葉轉換(FFT)後,在正頻率的部分()可表示為:…(4) 其中,且…(5) 其中,More specifically, in the In a receiving cycle, the distance between the external object O and the
其中,M為在一個接收週期內的取樣點數,為天線波束型(beam pattern)。基頻頻域訊號的頻譜峰的相位差,並未正確反應出該有的,而被偏差,因此造成達角(AoA)演算法的估測偏差(bias)。Among them, M is The number of sampling points in a receive cycle, is the antenna beam pattern. fundamental frequency domain signal The phase difference of the spectral peaks does not correctly reflect the , while being biased , thus causing the estimation bias of the Angle of Arrival (AoA) algorithm.
運算處理器150 可對不同接收週期所收到的基頻頻域訊號(即和)儲存在緩衝器中。The
運算處理器150 可對緩衝器中的那些基頻頻域訊號以其選擇性未共扼複數或共扼複數的乘積的線性組合運算得出以下基頻頻域訊號,其中,,且…(6)…(7) 其中,相位可能會或可能不會受外部物件O的相對速度影響,但相位在兩基頻頻域訊號中為相等的。The
值得注意的是,在拍頻下兩頻域訊號的頻譜峰之間的相位差為並僅相關於外部物件O相對於雷達裝置100的角度。因此,後續的到達角估測將不易受相對速度v影響。It is worth noting that the beat frequency The next two frequency domain signals The phase difference between the spectral peaks of and is only related to the angle of the external object O relative to the
須說明的是,前述實施例是假設外部物件O僅有一者。然而,本發明實施例亦可適用於偵測多個外部物件O。假設有K個外部物件O,其中K為大於一的正整數。以圖4所示的兩根接收天線1310, 1311為例,經共軛/選擇/線性合計組合的基頻頻域訊號,其中,,且…(8)..(9)及為雜訊且彼此與所欲的雷達訊號沒有相關性。第i外部物件位於角度且距離處。此外,為對應於距離的第i外部物件的拍頻。It should be noted that, the foregoing embodiment assumes that there is only one external object O. However, the embodiment of the present invention is also applicable to detecting a plurality of external objects O. Suppose there are K external objects O, where K is a positive integer greater than one. Taking the two receiving antennas 1310 and 1311 shown in FIG. 4 as an example, the fundamental frequency domain signal combined by the conjugate/select/linear summation ,in , ,and …(8) ..(9) and are noise and have no correlation with each other and the desired radar signal. The i external object is at the angle and distance place. also, to correspond to the distance The beat frequency of the ith external object.
綜上所述,本發明實施例所提供的雷達裝置及其訊號接收方法,藉由分時多工的方式,在多個天線埠之間切換,並據以在不同的接收週期接收各個通道的訊號。如此一來,本發明實施例可有效地節省類比前端電路的硬體。甚至,當有大量佈建雷達系統的需求時,本發明實施例可簡化接收端的硬體架構,而讓佈建雷達系統的成本大幅降低。To sum up, the radar device and the signal receiving method thereof provided by the embodiments of the present invention switch between multiple antenna ports in a time-division multiplexing manner, and receive the signal of each channel in different receiving cycles accordingly. signal. In this way, the embodiments of the present invention can effectively save the hardware of the analog front-end circuit. Even when there is a demand for deploying a large number of radar systems, the embodiment of the present invention can simplify the hardware architecture of the receiving end, thereby greatly reducing the cost of deploying the radar system.
雖然本發明已以實施例揭露如上,然其並非用以限定本發明,任何所屬技術領域中具有通常知識者,在不脫離本發明的精神和範圍內,當可作些許的更動與潤飾,故本發明的保護範圍當視後附的申請專利範圍所界定者為準。Although the present invention has been disclosed above by the embodiments, it is not intended to limit the present invention. Anyone with ordinary knowledge in the technical field can make some changes and modifications without departing from the spirit and scope of the present invention. Therefore, The protection scope of the present invention shall be determined by the scope of the appended patent application.
1:調頻連續波雷達系統 Tx:傳送器 Rx:接收器 At:天線 100:雷達裝置 110:發射類比前端電路 105:頻率合成器 120:傳送天線 130:天線陣列 130P,131P0~131PL-1:天線埠 140:切換電路 150:運算處理器 160:切換控制器 170、170’、170”:接收類比前端電路 1310~131L-1:接收天線 u0(t)~uL-1(t):射頻訊號 TS:傳送訊號 ST,ST1,ST2:載波訊號 T1,T2:掃頻週期 RP:接收週期 FT、FT1、FT2:訊框時間 SH:高準位 SL:低準位 D:延遲 O:外部物件 D、R、B:距離 θ:角度 PA:放大器 LNA:低雜訊放大器 MX:混波器 F:濾波器 FFT:傅立葉轉換 ADC:類比至數位轉換器 SYN:頻率合成器 S710~S730、S121~S123:步驟 L:數量、、:基頻頻域訊號,B:距離T:掃頻週期 u0(t+nT),u1(t+(n+1)T)~uL-1(t+(n+L-1)T),u0(t+(n+L)T),u1(t+(n+L+1)T):射頻訊號 xn(m),xn+1(m),xn+L-1(m),xn+L(m),xn+L+1(m):基頻訊號 s0,n(m),s1,n+1(m),sL-1,n+L-1(m),s0,n+L(m),s1,n+L+1(m):基頻訊號1: FM continuous wave radar system Tx: transmitter Rx: receiver At: antenna 100: radar device 110: transmit analog front-end circuit 105: frequency synthesizer 120: transmit antenna 130:
圖1是習知使用多接收器的調頻連續波雷達系統的示意圖。 圖2A、圖2B是依據本發明實施例的雷達裝置的示意圖。 圖3A、圖3B是依據本發明實施例中的載波訊號的示意圖。 圖4是依據本發明實施例描述接收天線接收回波訊號的示意圖。 圖5是依據本發明實施例的切換電路的示意圖。 圖6A是依據本發明實施例的發射類比前端電路及接收類比前端電路的示意圖。 圖6B是依據本發明實施例的發射類比前端電路及接收類比前端電路的示意圖。 圖7是依據本發明實施例的訊號接收方法的流程圖。 圖8是依據本發明實施例中描述傳送訊號、控制訊號與射頻訊號對應關係的示意圖。 圖9是依據本發明實施例描述接收週期及掃頻週期的示意圖。 圖10是依據本發明實施例描述接收週期及掃頻週期的示意圖。 圖11是依據本發明實施例描述接收週期及掃頻週期的示意圖。 圖12是依據本發明實施例描述抑制干擾成份的示意圖。FIG. 1 is a schematic diagram of a conventional FM continuous wave radar system using multiple receivers. 2A and 2B are schematic diagrams of a radar apparatus according to an embodiment of the present invention. 3A and 3B are schematic diagrams of carrier signals according to an embodiment of the present invention. FIG. 4 is a schematic diagram illustrating an echo signal received by a receiving antenna according to an embodiment of the present invention. FIG. 5 is a schematic diagram of a switching circuit according to an embodiment of the present invention. 6A is a schematic diagram of a transmit analog front-end circuit and a receive analog front-end circuit according to an embodiment of the present invention. 6B is a schematic diagram of a transmit analog front-end circuit and a receive analog front-end circuit according to an embodiment of the present invention. FIG. 7 is a flowchart of a signal receiving method according to an embodiment of the present invention. FIG. 8 is a schematic diagram illustrating a corresponding relationship between a transmission signal, a control signal and a radio frequency signal according to an embodiment of the present invention. FIG. 9 is a schematic diagram illustrating a receiving period and a frequency sweeping period according to an embodiment of the present invention. FIG. 10 is a schematic diagram illustrating a receiving period and a frequency sweeping period according to an embodiment of the present invention. FIG. 11 is a schematic diagram illustrating a receiving period and a frequency sweeping period according to an embodiment of the present invention. FIG. 12 is a schematic diagram illustrating suppression of interference components according to an embodiment of the present invention.
100:雷達裝置100: Radar device
110:發射類比前端電路110: Transmit analog front-end circuit
105:頻率合成器105: Frequency Synthesizer
120:傳送天線120: transmit antenna
130:天線陣列130: Antenna Array
140:切換電路140: switching circuit
150:運算處理器150: Computing processor
160:切換控制器160: Switch Controller
170:接收類比前端電路170: Receive analog front-end circuit
1310~131L-1:接收天線1310 ~131L-1 : Receiver antenna
| Application Number | Priority Date | Filing Date | Title |
|---|---|---|---|
| TW110125896ATWI771103B (en) | 2021-07-14 | 2021-07-14 | Radar apparatus and signal receiving method thereof |
| CN202111025530.8ACN115616499A (en) | 2021-07-14 | 2021-09-02 | Radar apparatus and signal processing method thereof |
| US17/472,679US12066516B2 (en) | 2021-07-14 | 2021-09-12 | Radar apparatus and signal processing method thereof |
| Application Number | Priority Date | Filing Date | Title |
|---|---|---|---|
| TW110125896ATWI771103B (en) | 2021-07-14 | 2021-07-14 | Radar apparatus and signal receiving method thereof |
| Publication Number | Publication Date |
|---|---|
| TWI771103Btrue TWI771103B (en) | 2022-07-11 |
| TW202304151A TW202304151A (en) | 2023-01-16 |
| Application Number | Title | Priority Date | Filing Date |
|---|---|---|---|
| TW110125896ATWI771103B (en) | 2021-07-14 | 2021-07-14 | Radar apparatus and signal receiving method thereof |
| Country | Link |
|---|---|
| US (1) | US12066516B2 (en) |
| CN (1) | CN115616499A (en) |
| TW (1) | TWI771103B (en) |
| Publication number | Priority date | Publication date | Assignee | Title |
|---|---|---|---|---|
| WO2003034087A2 (en)* | 2001-10-16 | 2003-04-24 | Abraham Jossef | Method and apparatus for signal detection and jamming |
| US20100085992A1 (en)* | 2008-10-08 | 2010-04-08 | George Rakuljic | Arbitrary Optical Waveform Generation Utilizing Optical Phase-Locked Loops |
| CN103728593A (en)* | 2014-01-13 | 2014-04-16 | 武汉大学 | Method for allowing ground wave over-the-horizon radar to achieve multifrequency transmission and reception simultaneously |
| TW201909552A (en)* | 2017-05-24 | 2019-03-01 | 英商安諾特克有限公司 | Apparatus and method for controlling a resonator |
| EP3745608A1 (en)* | 2019-05-31 | 2020-12-02 | INTEL Corporation | Radiation exposure control for beamforming technologies |
| Publication number | Priority date | Publication date | Assignee | Title |
|---|---|---|---|---|
| JPH0672920B2 (en)* | 1987-05-14 | 1994-09-14 | 日本電気株式会社 | Radar equipment |
| NL8702342A (en)* | 1987-10-01 | 1989-05-01 | Hollandse Signaalapparaten Bv | FM-CW RADAR DEVICE. |
| CA2116219C (en)* | 1991-08-23 | 1998-10-13 | Hiroshi Kobayashi | Radio information and communication system using multicarrier spread-spectrum transmission system |
| JPH07105740B2 (en)* | 1992-04-14 | 1995-11-13 | ユピテル工業株式会社 | Power saving microwave detector |
| US5608404A (en)* | 1993-06-23 | 1997-03-04 | The United States Of America As Represented By The United States Department Of Energy | Imaging synthetic aperture radar |
| US6930631B2 (en)* | 2001-11-28 | 2005-08-16 | M/A-Com, Inc. | Sensor front-end with phase coding capability |
| US6587072B1 (en)* | 2002-03-22 | 2003-07-01 | M/A-Com, Inc. | Pulse radar detection system |
| US8275071B2 (en)* | 2007-05-17 | 2012-09-25 | Harris Stratex Networks Operating Corporation | Compact dual receiver architecture for point to point radio |
| US8989837B2 (en)* | 2009-12-01 | 2015-03-24 | Kyma Medical Technologies Ltd. | Methods and systems for determining fluid content of tissue |
| US9265438B2 (en)* | 2008-05-27 | 2016-02-23 | Kyma Medical Technologies Ltd. | Locating features in the heart using radio frequency imaging |
| GB2465755A (en)* | 2008-11-26 | 2010-06-02 | Qinetiq Ltd | FMCW radar system employing a Direct Digital Synthesizer (DDS) |
| US9231680B2 (en)* | 2009-03-03 | 2016-01-05 | Rfaxis, Inc. | Multi-channel radio frequency front end circuit |
| US8705604B2 (en)* | 2010-12-08 | 2014-04-22 | Massachusetts Institute Of Technology | Method and apparatus for complex in-phase/quadrature polyphase nonlinear equalization |
| JP5712649B2 (en)* | 2011-02-07 | 2015-05-07 | 富士通株式会社 | Radar apparatus and target detection method |
| DE102012103085B4 (en)* | 2011-04-12 | 2023-02-02 | Electronics And Telecommunications Research Institute | radar device |
| CN103576140A (en)* | 2012-07-31 | 2014-02-12 | 国际商业机器公司 | Method and device for detecting abnormal driving conditions |
| DE102013212090A1 (en)* | 2013-06-25 | 2015-01-08 | Robert Bosch Gmbh | Angle-resolving FMCW radar sensor |
| US9838069B2 (en)* | 2013-10-30 | 2017-12-05 | Netgear, Inc. | Radio frequency front end module with high band selectivity |
| KR102204839B1 (en)* | 2014-02-11 | 2021-01-19 | 한국전자통신연구원 | Apparatus and method of detecting target using radar |
| US10627480B2 (en)* | 2014-07-17 | 2020-04-21 | Texas Instruments Incorporated | Distributed radar signal processing in a radar system |
| WO2016021993A2 (en)* | 2014-08-08 | 2016-02-11 | 엘지전자(주) | Method for performing measurement in wireless communication system and apparatus for same |
| US20160306034A1 (en)* | 2014-12-23 | 2016-10-20 | Infineon Technologies Ag | RF System with an RFIC and Antenna System |
| US10120064B2 (en)* | 2015-03-19 | 2018-11-06 | Nxp Usa, Inc. | Radar system and method with saturation detection and reset |
| US20170176573A1 (en)* | 2015-12-21 | 2017-06-22 | GM Global Technology Operations LLC | Aperture coding for a single aperture transmit receive system |
| CN108603928B (en)* | 2016-01-04 | 2022-08-26 | 西梅奥有限公司 | Method and system for reducing interference caused by phase noise in radar systems |
| WO2017175190A1 (en)* | 2016-04-07 | 2017-10-12 | Uhnder, Inc. | Adaptive transmission and interference cancellation for mimo radar |
| US9791564B1 (en)* | 2016-04-25 | 2017-10-17 | Uhnder, Inc. | Adaptive filtering for FMCW interference mitigation in PMCW radar systems |
| US9806914B1 (en)* | 2016-04-25 | 2017-10-31 | Uhnder, Inc. | Successive signal interference mitigation |
| US20180011181A1 (en)* | 2016-07-07 | 2018-01-11 | Infineon Technologies Ag | Radar systems and methods thereof |
| DE102017119212A1 (en)* | 2016-12-20 | 2018-06-21 | Infineon Technologies Ag | RF transceiver with test option |
| US10641884B2 (en)* | 2017-01-26 | 2020-05-05 | Mitsumi Electric Co., Ltd. | Radar transceiver |
| US10594358B2 (en)* | 2017-04-21 | 2020-03-17 | Futurewei Technologies, Inc. | Leakage signal cancellation |
| EP3428679B1 (en)* | 2017-07-11 | 2021-11-17 | Nxp B.V. | Radar system |
| JP7008088B2 (en)* | 2017-08-10 | 2022-01-25 | エルジー エレクトロニクス インコーポレイティド | How to measure RSRQ using the reference signal in BWP and the terminal that executes it |
| CN108199728B (en)* | 2018-03-16 | 2020-05-19 | Oppo广东移动通信有限公司 | Multiplexer switches, radio frequency systems and wireless communication equipment |
| US10955547B2 (en)* | 2018-05-24 | 2021-03-23 | The Boeing Company | Combined radar and communications system using common signal waveform |
| EP3637127B1 (en)* | 2018-10-12 | 2024-11-27 | Axis AB | Method, device, and system for interference reduction in a frequency-modulated continuous-wave radar unit |
| DE102018126034A1 (en)* | 2018-10-19 | 2020-04-23 | Infineon Technologies Ag | FMCW RADAR WITH INTERFERENCE CANCELLATION |
| TWI685669B (en)* | 2018-10-29 | 2020-02-21 | 立積電子股份有限公司 | Radar apparatus and leakage correction method |
| DE102018127947B3 (en)* | 2018-11-08 | 2020-03-19 | Infineon Technologies Ag | MIMO FMCW RADAR SYSTEM |
| US11018714B2 (en)* | 2018-11-27 | 2021-05-25 | Skyworks Solutions, Inc. | Radio front end module with reduced loss and increased linearity |
| US10735035B1 (en)* | 2019-03-11 | 2020-08-04 | Apple Inc. | Sensor circuit with tracking filter and leakage rejection |
| DE102019106529B4 (en)* | 2019-03-14 | 2024-10-31 | Infineon Technologies Ag | FMCW RADAR WITH INTERFERENCE SIGNAL SUPPRESSION USING AN ARTIFICIAL NEURAL NETWORK |
| DE102019208249B4 (en)* | 2019-06-06 | 2023-11-23 | Audi Ag | Transceiver device for a motor vehicle and motor vehicle with such a transceiver device |
| US11709244B2 (en)* | 2019-10-21 | 2023-07-25 | Banner Engineering Corp. | Near range radar |
| US11662427B2 (en)* | 2019-12-09 | 2023-05-30 | Nxp Usa, Inc. | Method and system for frequency offset modulation range division MIMO automotive radar |
| US11579280B2 (en)* | 2019-12-12 | 2023-02-14 | Infineon Technologies Ag | Phase, phase noise, and slave mode measurement for millimeter wave integrated circuits on automatic test equipment |
| US11601158B2 (en)* | 2019-12-13 | 2023-03-07 | Commscope Technologies Llc | Reduce, in a receive signal, interference caused by a simultaneous transmit signal in a same frequency band as the receive signal |
| US20210364616A1 (en)* | 2020-05-21 | 2021-11-25 | Hertzwell Pte. Ltd. | Radar system and computer-implemented method for radar target detection |
| CN114076941B (en)* | 2020-08-21 | 2025-04-22 | 上海禾赛科技有限公司 | Method, radar and computer-readable storage medium for detecting using frequency modulated continuous waves |
| US11644530B2 (en)* | 2020-10-02 | 2023-05-09 | Infineon Technologies Ag | Interference detection in radar receiver monitoring systems |
| US11914069B2 (en)* | 2020-12-21 | 2024-02-27 | Infineon Technologies Ag | System and MMIC architecture for coherent multi-chip phased array MIMO applications |
| EP4177633A1 (en)* | 2021-11-09 | 2023-05-10 | Nxp B.V. | A radar system and a radar method for compensating a carrier characteristic offset |
| Publication number | Priority date | Publication date | Assignee | Title |
|---|---|---|---|---|
| WO2003034087A2 (en)* | 2001-10-16 | 2003-04-24 | Abraham Jossef | Method and apparatus for signal detection and jamming |
| US20100085992A1 (en)* | 2008-10-08 | 2010-04-08 | George Rakuljic | Arbitrary Optical Waveform Generation Utilizing Optical Phase-Locked Loops |
| CN103728593A (en)* | 2014-01-13 | 2014-04-16 | 武汉大学 | Method for allowing ground wave over-the-horizon radar to achieve multifrequency transmission and reception simultaneously |
| TW201909552A (en)* | 2017-05-24 | 2019-03-01 | 英商安諾特克有限公司 | Apparatus and method for controlling a resonator |
| EP3745608A1 (en)* | 2019-05-31 | 2020-12-02 | INTEL Corporation | Radiation exposure control for beamforming technologies |
| Publication number | Publication date |
|---|---|
| US12066516B2 (en) | 2024-08-20 |
| US20230014043A1 (en) | 2023-01-19 |
| CN115616499A (en) | 2023-01-17 |
| TW202304151A (en) | 2023-01-16 |
| Publication | Publication Date | Title |
|---|---|---|
| CN111157981B (en) | MIMO FMCW radar system | |
| JP6818541B2 (en) | Radar device and positioning method | |
| US11662427B2 (en) | Method and system for frequency offset modulation range division MIMO automotive radar | |
| EP4009074B1 (en) | Co-prime coded (cpc) doppler division multiplexing (ddm) mimo radar method and system | |
| US11846696B2 (en) | Reduced complexity FFT-based correlation for automotive radar | |
| EP2045612B1 (en) | Detection and ranging apparatus and detection and ranging method | |
| US11525908B2 (en) | Radar apparatuses and methods involving determination of velocity of an object | |
| US10436890B2 (en) | Method for finding the position of objects using an FMCW radar | |
| WO2013080570A1 (en) | Radar device | |
| CN101430378A (en) | Vehicle-installation direction detection apparatus enabling accurate detection of target body directions | |
| US20250231284A1 (en) | Radar device | |
| US9568601B1 (en) | Successive-MFCW modulation for ultra-fast narrowband radar | |
| JP2016151424A (en) | Radar system | |
| EP3270180B1 (en) | Signal processing apparatus for generating a range-doppler map | |
| JP7266207B2 (en) | Radar device and radar method | |
| TWI771103B (en) | Radar apparatus and signal receiving method thereof | |
| TWI894701B (en) | Transceiving method of signals and radar apparatus | |
| TWI894700B (en) | Transceiving method of signals and radar apparatus | |
| EP4560350A1 (en) | Radar apparatus and method employing selection between multiple transmitting antennas and multiple receiving antennas | |
| EP4571359A1 (en) | Transceiving method of signals and radar apparatus | |
| TW202522031A (en) | Transceiving method of signals and radar apparatus | |
| US20250172680A1 (en) | Transceiving method of signals and radar apparatus | |
| CN119916356A (en) | Time-division duplex frequency modulation continuous wave radar system and method for time-division duplex frequency modulation continuous wave radar system |