


本發明是有關於一種音場控制技術,且特別是有關於一種電子裝置及其雙聲道音場平衡方法。The present invention relates to a sound field control technology, and in particular, to an electronic device and a method for balancing the two-channel sound field.
針對具有雙聲道的電子裝置(例如,筆記型電腦、一體機(All-in-One,AIO)電腦、或智慧型手機等),雖然其喇叭的出音孔在機體的對稱兩側,但因喇叭單體與機構內部設計的差異,使得左、右聲道訊號的頻率響應不一致。雖然可透過各自調整雙聲道等化(Equalization,EQ)的增益,使得麥克風接收到的訊號強度非常接近,但使用者實際位於電子裝置正前方所感受到的音場仍有偏移。此外,若僅針對各頻帶的相位偏移調整,則最終各頻帶的音壓差距的絕對值差距反而增加,且不利於後續的音效處理(例如,Dolby或DTS)。For electronic devices with two channels (for example, notebook computers, All-in-One (AIO) computers, or smart phones, etc.), although the sound outlets of the speakers are on the symmetrical sides of the body, the Due to the difference between the speaker unit and the internal design of the mechanism, the frequency responses of the left and right channel signals are inconsistent. Although the two-channel equalization (EQ) gain can be adjusted individually so that the signal strengths received by the microphones are very close, the sound field that the user actually feels in front of the electronic device is still offset. In addition, if only the phase offset of each frequency band is adjusted, the absolute value difference of the sound pressure difference of each frequency band will increase instead, which is not conducive to subsequent sound effect processing (eg, Dolby or DTS).
有鑑於此,本發明提供一種電子裝置及其雙聲道音場平衡方法,基於空間及系統內部兩者的延遲時間得出適當的整體延遲時間,能讓雙聲道的訊號音壓達到較為平衡的狀態。In view of this, the present invention provides an electronic device and a method for balancing the two-channel sound field, which can obtain an appropriate overall delay time based on the delay time of the space and the internal system, so that the sound pressure of the two-channel signal can be more balanced. status.
本發明實施例的雙聲道音場平衡方法適用於包括兩個揚聲器的電子裝置。雙聲道音場平衡方法包括(但不僅限於)下列步驟:決定兩揚聲器在空間上相差的第一延遲時間,決定兩揚聲器在電子裝置內部相差的第二延遲時間,並依據第一延遲時間及第二延遲時間決定整體延遲時間。第一延遲時間相關於兩揚聲器分別處於電子裝置的位置。第二延遲時間相關於對兩揚聲器收音所得出多個頻帶的相位偏移。整體延遲時間用於修正兩揚聲器播放聲音所相差的延遲時間。The two-channel sound field balancing method according to the embodiment of the present invention is applicable to an electronic device including two speakers. The two-channel sound field balance method includes (but is not limited to) the following steps: determining the first delay time of the spatial difference between the two speakers, determining the second delay time of the two speakers in the electronic device, and determining the first delay time and The second delay time determines the overall delay time. The first delay time is related to the positions of the two speakers respectively in the electronic device. The second delay time is related to the phase shift of the plurality of frequency bands obtained by collecting the two speakers. The overall delay time is used to correct the difference between the delay time of the sound played by the two speakers.
本發明實施例的電子裝置包括(但不僅限於)兩揚聲器及處理器。處理器耦接兩揚聲器,並載入且執行數個模組。這些模組包括空間延遲估測模組、內部延遲估測模組及整體延遲估測模組。空間延遲估測模組決定兩揚聲器在空間上相差的第一延遲時間,內部延遲估測模組決定兩揚聲器在電子裝置內部相差的第二延遲時間,並整體延遲估測模組依據第一延遲時間及第二延遲時間決定整體延遲時間。第一延遲時間相關於兩揚聲器分別處於電子裝置的位置。第二延遲時間相關於對兩揚聲器收音所得出多個頻帶的相位偏移。整體延遲時間用於修正兩揚聲器播放聲音所相差的延遲時間。The electronic device of the embodiment of the present invention includes (but is not limited to) two speakers and a processor. The processor is coupled to the two speakers, and loads and executes several modules. These modules include a spatial delay estimation module, an internal delay estimation module, and an overall delay estimation module. The spatial delay estimation module determines the first delay time of the spatial difference between the two speakers, the internal delay estimation module determines the second delay time of the two speakers within the electronic device, and the overall delay estimation module is based on the first delay The time and the second delay time determine the overall delay time. The first delay time is related to the positions of the two speakers respectively in the electronic device. The second delay time is related to the phase shift of the plurality of frequency bands obtained by collecting the two speakers. The overall delay time is used to correct the difference between the delay time of the sound played by the two speakers.
基於上述,本發明實施例的電子裝置及其雙聲道音場平衡方法,整合兩揚聲器所在位置及聲音在系統內部的傳輸所造成的延遲時間,以作為兩揚聲器在此電子裝置發聲所相差的整體延遲時間。藉此,本發明實施例可降低後續音效處理的影響,縮小綜合音壓差距,且能維持雙聲道音壓差距絕對值在各頻帶/頻率之間的平均結果,並進一步降低標準差。Based on the above, the electronic device and the two-channel sound field level of the embodiment of the present inventionThe balance method integrates the position of the two speakers and the delay time caused by the transmission of the sound in the system, as the overall delay time difference between the sound of the two speakers in the electronic device. In this way, the embodiment of the present invention can reduce the influence of subsequent sound effect processing, reduce the comprehensive sound pressure gap, maintain the average result of the absolute value of the binaural sound pressure gap between each frequency band/frequency, and further reduce the standard deviation.
為讓本發明的上述特徵和優點能更明顯易懂,下文特舉實施例,並配合所附圖式作詳細說明如下。In order to make the above-mentioned features and advantages of the present invention more obvious and easy to understand, the following embodiments are given and described in detail with the accompanying drawings as follows.
100:電子裝置100: Electronics
110、120:揚聲器110, 120: Speaker
130:儲存器130: Storage
131:空間延遲估測模組131: Spatial Delay Estimation Module
133:內部延遲估測模組133: Internal delay estimation module
135:整體延遲估測模組135: Overall delay estimation module
140:收音器140: Radio
150:處理器150: Processor
S210~S250、S410~S450、S510~S570:步驟S210~S250, S410~S450, S510~S570: Steps
x、y、z:軸x ,y ,z : axes
(xL,yL,zL)、(xR,yR,zR)、(xC,yC,zC)、(xm,ym,zm):座標(xL ,yL ,zL ), (xR ,yR ,zR ), (xC ,yC ,zC ), (xm ,ym ,zm ): coordinates
PU:參考位置PU: Reference position
PR:收音位置PR: Radio position
PSR、PSL:位置PSR, PSL: Location
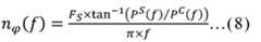
nφ(f):初始相位延遲nφ (f ): initial phase delay
:初始延遲時間 : initial delay time
:第二延遲時間 : Second delay time
圖1是依據本發明一實施例的電子裝置的方塊圖。FIG. 1 is a block diagram of an electronic device according to an embodiment of the present invention.
圖2是依據本發明一實施例的雙聲道音場平衡方法的流程圖。FIG. 2 is a flowchart of a method for balancing a two-channel sound field according to an embodiment of the present invention.
圖3是一範例說明位置關係。FIG. 3 is an example illustrating the positional relationship.
圖4是依據本發明一實施例的決定系統內部相關延遲時間的流程圖。FIG. 4 is a flow chart of determining the internal correlation delay time of the system according to an embodiment of the present invention.
圖5是依據本發明一實施例的決定比值最小值的流程圖。FIG. 5 is a flowchart of determining the minimum value of the ratio according to an embodiment of the present invention.
圖1是依據本發明一實施例的電子裝置100的方塊圖。請參照圖1,電子裝置100可以是筆記型電腦、AIO電腦、手機、平板電腦、智慧型喇叭、或智慧型電視等裝置。電子裝置包括但不僅限於揚聲器110,120、儲存器130、收音器140及處理器150。FIG. 1 is a block diagram of an
揚聲器110,120可以是喇叭或擴音器。在一實施例中,揚聲器110,120分別對應到左、右兩聲道,以形成雙聲道揚聲器。
儲存器130可以是任何型態的固定或可移動隨機存取記憶體(Radom Access Memory,RAM)、唯讀記憶體(Read Only Memory,ROM)、快閃記憶體(flash memory)、傳統硬碟(Hard Disk Drive,HDD)、固態硬碟(Solid-State Drive,SSD)或類似元件。在一實施例中,儲存器130用以記錄程式碼、軟體模組(例如,空間延遲估測模組131、內部延遲估測模組133及整體延遲估測模組135等)、聲音訊號、權重值、延遲時間、距離、位置偏移、相位偏移及其他資料或檔案,其詳細內容待後續實施例詳述。The
收音器140可以是動圈式(dynamic)、電容式(Condenser)、或駐極體電容(Electret Condenser)等類型的麥克風,收音器140也可以是其他可接收聲波(例如,人聲、環境聲、機器運作聲等)而轉換為聲音訊號的電子元件、類比至數位轉換器、濾波器、及音訊處理器之組合。The
處理器150耦接揚聲器110,120、儲存器130及收音器140,處理器150並可以是中央處理單元(Central Processing Unit,CPU),或是其他可程式化之一般用途或特殊用途的微處理器(Microprocessor)、數位信號處理器(Digital Signal Processor,DSP)、可程式化控制器、特殊應用積體電路(Application-Specific Integrated Circuit,ASIC)或其他類似元件或上述元件的組合。在一實施例中,處理器150用以執行電子裝置100的所有或部份作業,且可載入並執行儲存器130所記錄的各軟體模組、檔案及資料。The
下文中,將搭配電子裝置100中的各項裝置、元件及模組說明本發明實施例所述之方法。本方法的各個流程可依照實施情形而隨之調整,且並不僅限於此。Hereinafter, the method according to the embodiment of the present invention will be described in conjunction with various devices, components and modules in the
圖2是依據本發明一實施例的雙聲道音場平衡方法的流程圖。請參照圖2,空間延遲估測模組131決定兩揚聲器110,120在空間上相差的第一延遲時間(步驟S210)。具體而言,第一延遲時間相關於揚聲器110,120分別處於電子裝置100的位置所造成的延遲時間。若雙聲道的揚聲器110,120的位置並非完全左右對稱於電子裝置100的機體,其音場不平衡現象可透過時間延遲來修正。FIG. 2 is a flowchart of a method for balancing a two-channel sound field according to an embodiment of the present invention. Referring to FIG. 2 , the spatial delay estimation module 131 determines the first delay time of the spatial difference between the two
在一實施例中,空間延遲估測模組131決定兩揚聲器110,120與參考位置的位置偏移。此參考位置相關於使用者的聆聽位置,且假設使用者頭部對應到電子裝置100機體的中央。In one embodiment, the spatial delay estimation module 131 determines the position offset of the two
圖3是一範例說明位置關係。請參照圖3,假設電子裝置100所處空間形成三正交軸x、y、z的坐標系,揚聲器110的位置PSL的座標為(xL,yL,zL),揚聲器120的位置PSR的座標為(xR,yR,zR),且預估使用者頭部所在的參考位置PU的座標為(xC,yC,zC)(即,使用者的聆聽位置,或稱為中心點)。FIG. 3 is an example illustrating the positional relationship. Please refer to FIG. 3 , assuming that the space where the
在一實施例中,空間延遲估測模組131分別決定各揚聲器110,120在此空間對應坐標系的三軸x、y、z上與參考位置PU的相對距離,並依據這兩揚聲器110,120在三軸x、y、z上與參考位置PU的相對距離之間的距離差之總和決定位置偏移。以x軸為例,揚聲器110與參考位置PU的相對距離為,以此類推其他軸y、z及揚聲器120,以得出揚聲器110在y軸上與參考位置PU的相對距離為、揚聲器110在z軸上與參考位置PU的相對距離為、揚聲器120在x軸上與參考位置PU的相對距離為、揚聲器120在y軸上與參考位置PU的相對距離為及揚聲器120在z軸上與參考位置PU的相對距離為。接著,空間延遲估測模組131將兩揚聲器110,120在三軸x、y、z上與參考位置PU的相對距離的差異加總,並據以決定雙聲道揚聲器110,120所處位置的位置偏移DC,其數學式表示如下:
此外,空間延遲估測模組131可依據位置偏移DC決定時間取樣點的偏移,即第一時間延遲,且其數學式表示如下:
請返回圖2,內部延遲估測模組133決定兩揚聲器110,120在電子裝置100內部相差的第二延遲時間(步驟S230)。具體而言,聲音訊號經揚聲器110,120播放之前,可能經過一個或更多個電路(例如,DSP、或編解碼器等)傳遞或受電子裝置100的機構設計(統稱非空間外觀因素)影響,進而造成兩揚聲器110,120所播放訊號之間形成延遲時間。而在本發明實施例中,第二延遲時間相關於透過收音器140對兩揚聲器110,120收音所得出多個頻帶的相位偏移。Returning to FIG. 2 , the internal
為了得出系統內部造成的影響,內部延遲估測模組133需先得知揚聲器110,120與收音器140的相對位置所造成的時間偏移。在一實施例中,內部延遲估測模組133決定兩揚聲器110,120在空間上對應於收音器140相差的第三延遲時間。與第一延遲時間的實施例相似,但本實施例將參考位置(對應到使用者的聆聽位置)變更為收音器140的所處位置。In order to obtain the influence caused by the system, the internal
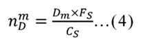
以圖3為例,收音器140的收音位置PR的座標為(xm,ym,zm),則雙聲道揚聲器110,120和收音器140在空間上所造成的位置偏移Dm的數學表示式為:
內部延遲估測模組133可依據此第三延遲時間校正兩聲道的延遲時間,並進行後續相位偏移的調整作業。圖4是依據本發明一實施例的決定系統內部相關延遲時間的流程圖。請參照圖4,內部延遲估測模組133決定各頻帶的初始相位偏移(步驟S410)。在一實施例中,內部延遲估測模組133依據第三延遲時間並透過兩揚聲器110,120播放兩測試訊號。測試訊號採用一般量測聲場的粉紅雜訊(Pink noise)(但也可能是白雜訊(white noise)或其他聲音訊號),且兩測試訊號分別受指定正向方向及環繞音效。The internal
原來分別透過揚聲器110,120播放的雙聲道訊號xL(n),xR(n)相同(即,xL(n)=xR(n)),而雙聲道訊號xL(n),xR(n)經過EQ增益修正後,左、右聲道的測試訊號變為(n)和(n)。若僅透過揚聲器110播放左聲道訊號,則收音器140所接收到的各頻率的音壓振幅為(f),其中f為頻率並代表某一頻帶的中心頻率。而若僅透過揚聲器120播放右聲道訊號,則收音器140所接收到的各頻率的音壓振幅為(f)。The two-channel signalsxL (n ),xR (n ) played through the
內部延遲估測模組133可依據第三延遲訊號來修正測試訊號。假設第三延遲時間(即,時間偏移)為負值,則正向方向的測試訊號(n)(對應到左聲道),(n)(對應到右聲道)為及xR(n)。若第三延遲時間為正值,則正向方向的測試訊號(n),(n)為xL(n)及。此外,環繞音效的測試訊號(n)(對應到左聲道),(n)(對應到右聲道)為(n)及-(n)。另一方面,假設揚聲器110,120播放正向方向的測試訊號,則收音器140所接收到的各頻率音壓振幅為PC(f)。假設揚聲器110,120播放環繞音效的測試訊號,則收音器140所接收到的各頻率音壓振幅為PS(f)。The internal
內部延遲估測模組133對依據第三延遲時間所播放的兩測試訊號(即,經校正的測試訊號)收音以決定那些頻帶的初始相位偏移。具體而言,假設完全理想的狀況是相位偏移φ(f)為零,當播放正向方向的測試訊號時,理論上雙聲道訊號會在中心點(如圖3的參考位置PU)相互疊加,如同雙聲道各自播放時的音壓振幅相加(f)+(f)。因此,正向方向對應的音壓振幅PC(f)的最大值為(f)+(f)並越接近理想狀態。而相位偏移φ(f)越小,則音壓振幅PC(f)會越大。因此,正向方向的相位偏移φC(f)的數學表示式為:
環繞音效與正向方向的關係正好相反,播放環繞音效的測試訊號時,理論上雙聲道訊號在中心點會相互抵消,則音壓振幅變為零。因此,環繞音效的相位偏移φS(f)為:
內部延遲模組133可依據正向方向及環繞音效對應的相位偏移決定各頻帶的初始相位延遲nφ(f),其數學表示式為:
接著,內部延遲估測模組133依據那些頻帶的初始相位偏移對應的權重決定初始延遲時間(步驟S430)。具體而言,那些頻帶的初始相位偏移對應的權重相關於人類聽覺特性。由於人類聽覺對不同頻率的敏感度不同(例如,2000赫茲(Hz)到4000Hz最高,其餘依不同比例衰減),因此內部延遲估測模組133給予各頻帶的相位偏移不同權重w(f),且讓此電子裝置100輸出功率P(f)較高的頻帶所對應到的相位偏移也能獲得較多比重。即,輸出功率越高,權重越高;輸出功率越低,權重越低。據此,初始延遲時間的數學表示式為:
接著,內部延遲估測模組133可依據功率狀態的偏移判斷第二延遲時間。在一實施例中,內部延遲估測模組133分別透過收音器140對兩測試訊號收音並分別取得兩測試訊號對應的接收功率。在一些實施例中,這些接收功率可經A加權(A-weighting)、感知噪音位準(Perceived Noise Level)、或加權等價連續感知噪音位準(Weighted Equivalent continuous Perceived Noise Level)等函數對各頻率賦予對應權重。Next, the internal
內部延遲估測模組133可依據兩測試訊號對應的接收功率的比值決定第二延遲時間。在一實施例中,此(功率)比值是將正向方向的測試訊號對應的接收功率作為分母且環繞音效的測試訊號對應的接收功率作為分子,且其數學表示式如下:
內部延遲估測模組133可依據初始延遲時間與一個或更多個相鄰延遲時間對應的接收功率的比值決定第二延遲時間(步驟S450)。具體而言,內部延遲估測模組133可將前述初始延遲時間作為中心,且分別依據那些相鄰延遲時間並透過兩揚聲器110,120播放兩測試訊號。相鄰延遲時間不同於初始延遲時間。例如,相鄰延遲時間為±1、…、±N,其中N是預設值(代表量測的範圍)並為正整數。也就是說,透過揚聲器110,120播放的雙聲道訊號可分別經初始延遲時間及相鄰延遲時間修正,且收音器140對不同延遲時間對應的兩測試訊號分別錄製,以取得兩測試訊號在這些延遲時間下的接收功率。The internal
接著,內部延遲估測模組133可依據初始延遲時間與那些相鄰延遲時間對應的接收功率的比值決定比值最小值。圖5是依據本發明一實施例的決定比值最小值的流程圖。請參照圖5,內部延遲估測模組133決定初始延遲時間與相鄰延遲時間對應的接收功率的比值(步驟S510)。以數學計算為例,初始延遲時間及相鄰延遲時間將分別被代入方程式(10)的延遲時間。Next, the internal
假設預設N值,則內部延遲估測模組133判斷比值最小值是否在預設的相鄰延遲時間外(步驟S530)。以初始延遲時間為中心依序增加或減少延遲時間,並判斷對應比值的變化趨勢。若變化趨勢有谷底值,則表示最小值在預設範圍內,內部延遲估測模組133並內插決定第二延遲時間(步驟S550)。Assuming the preset N value, the internal
在一實施例中,內部延遲估測模組133依據初始延遲時間與那些相鄰延遲時間對應的接收功率的比值中的最小值對應的待評估延遲時間(是初始延遲時間與那些相鄰延遲時間的其中一者)決定兩第二相鄰延遲時間±1。這兩第二相鄰延遲時間與該待評估延遲時間的相距時間相同(本實施例是一個取樣點,但也可能是兩個或其他個數的取樣點),且這兩第二相鄰延遲時間中的一者不同於另一者。In one embodiment, the internal
內部延遲估測模組133可對待評估延遲時間及兩第二相鄰延遲時間對應的接收功率的比值透過內插決定比值最小值。即,將比值、、透過內差方式求出比值最小值。接著,內部延遲估測模組133可依據此比值最小值對應的延遲時間決定第二延遲時間。The internal
在一些偏移比較極端的情況下,極值(最小值)可能超出預設的範圍(例如,前述N值)。若比值的變化趨勢未有谷底值,則表示最小值不在預設範圍內,內部延遲估測模組133並決定另一相鄰延遲時間(與步驟S510預設的相鄰延遲時間不同,例如,±(N+1)、或±(N+2)等)對應的接收功率的比值(步驟S570),直到得出最小值或到達遞迴上限(即,由初始延遲時間的中心往外擴展次數的上限)。最後,同樣透過內插求出合適的延遲時間。In some extreme cases of offset, the extreme value (minimum value) may exceed a preset range (eg, the aforementioned N value). If the change trend of the ratio does not have a bottom value, it means that the minimum value is not within the preset range, and the internal
須說明的是,在其他實施例中,內部延遲估測模組133也可直接透過其他最小化演算法來得出比值最小值,進而推算第二延遲時間。It should be noted that, in other embodiments, the internal
請返回圖2,整體延遲估測模組135可依據第一延遲時間及第二延遲時間決定整體延遲時間(步驟S250)。具體而言,本發明實施例綜合考慮空間及非空間所造成的延遲時間,而整合後電子裝置100所輸出聲音訊號的整體延遲時間即為兩延遲時間之和:
表(1)是雙聲道音壓特性比較表:表(1)
綜上所述,在本發明實施例的電子裝置及其雙聲道音場平衡方法中,為了得出系統整體合適的延遲時間並對雙聲道訊號的音壓達到較為平衡的狀態,本發明實施例考慮兩種延遲時間。其一是雙聲道揚聲器位置所造成的延遲時間,其二是電子裝置內部系統所造成的時間延遲。而將兩者整合後即可作為整體延遲時間。To sum up, in the electronic device and the method for balancing the two-channel sound field in the embodiment of the present invention, in order to obtain a suitable delay time for the whole system and achieve a relatively balanced state of the sound pressure of the two-channel signal, the present invention Embodiments consider two delay times. One is the delay time caused by the position of the binaural speakers, and the other is the time delay caused by the internal system of the electronic device. After the two are integrated, they can be used as the overall delay time.
雖然本發明已以實施例揭露如上,然其並非用以限定本發明,任何所屬技術領域中具有通常知識者,在不脫離本發明的精神和範圍內,當可作些許的更動與潤飾,故本發明的保護範圍當視後附的申請專利範圍所界定者為準。Although the present invention has been disclosed above by the embodiments, it is not intended to limit the present invention. Anyone with ordinary knowledge in the technical field can make some changes and modifications without departing from the spirit and scope of the present invention. Therefore, The protection scope of the present invention shall be determined by the scope of the appended patent application.
S210~S250:步驟S210~S250: Steps
| Application Number | Priority Date | Filing Date | Title |
|---|---|---|---|
| TW109119392ATWI757763B (en) | 2020-06-10 | 2020-06-10 | Electronic apparatus and sound field balancing method thereof for dual-channel |
| Application Number | Priority Date | Filing Date | Title |
|---|---|---|---|
| TW109119392ATWI757763B (en) | 2020-06-10 | 2020-06-10 | Electronic apparatus and sound field balancing method thereof for dual-channel |
| Publication Number | Publication Date |
|---|---|
| TW202147868A TW202147868A (en) | 2021-12-16 |
| TWI757763Btrue TWI757763B (en) | 2022-03-11 |
| Application Number | Title | Priority Date | Filing Date |
|---|---|---|---|
| TW109119392ATWI757763B (en) | 2020-06-10 | 2020-06-10 | Electronic apparatus and sound field balancing method thereof for dual-channel |
| Country | Link |
|---|---|
| TW (1) | TWI757763B (en) |
| Publication number | Priority date | Publication date | Assignee | Title |
|---|---|---|---|---|
| US20070086596A1 (en)* | 2005-10-19 | 2007-04-19 | Sony Corporation | Measuring apparatus, measuring method, and sound signal processing apparatus |
| WO2018202324A1 (en)* | 2017-05-03 | 2018-11-08 | Fraunhofer-Gesellschaft zur Förderung der angewandten Forschung e.V. | Audio processor, system, method and computer program for audio rendering |
| Publication number | Priority date | Publication date | Assignee | Title |
|---|---|---|---|---|
| US20070086596A1 (en)* | 2005-10-19 | 2007-04-19 | Sony Corporation | Measuring apparatus, measuring method, and sound signal processing apparatus |
| WO2018202324A1 (en)* | 2017-05-03 | 2018-11-08 | Fraunhofer-Gesellschaft zur Förderung der angewandten Forschung e.V. | Audio processor, system, method and computer program for audio rendering |
| Publication number | Publication date |
|---|---|
| TW202147868A (en) | 2021-12-16 |
| Publication | Publication Date | Title |
|---|---|---|
| US10231072B2 (en) | Information processing to measure viewing position of user | |
| CN106303836B (en) | A method and device for adjusting stereo playback | |
| US9538288B2 (en) | Sound field correction apparatus, control method thereof, and computer-readable storage medium | |
| JP5443469B2 (en) | Sound collecting device and sound collecting method | |
| US9264812B2 (en) | Apparatus and method for localizing a sound image, and a non-transitory computer readable medium | |
| JP6718748B2 (en) | Area reproduction system and area reproduction method | |
| US9966058B2 (en) | Area-sound reproduction system and area-sound reproduction method | |
| US20200296534A1 (en) | Sound playback device and output sound adjusting method thereof | |
| US20120275616A1 (en) | Sound signal processor and sound signal processing methods | |
| WO2021189309A1 (en) | Method and system for active noise reduction, electronic device, and chip | |
| US11627414B2 (en) | Microphone system | |
| WO2022007239A1 (en) | Sound quality adaptive adjustment method, related system and device, and storage medium | |
| WO2024037189A1 (en) | Acoustic image calibration method and apparatus | |
| US11740858B2 (en) | Ultrasound-based audio playback method and ultrasound-based electronic device | |
| TWI757763B (en) | Electronic apparatus and sound field balancing method thereof for dual-channel | |
| CN115866489A (en) | Method and system for context-sensitive automatic volume compensation | |
| CN113825086B (en) | Electronic device and dual-track sound field balancing method thereof | |
| WO2021129196A1 (en) | Voice signal processing method and device | |
| TWI757873B (en) | Electronic apparatus and sound field balancing method thereof for dual-channel | |
| CN117880693A (en) | Loudness adjustment method, device, storage medium and electronic device | |
| TW202009927A (en) | Sound reception processing apparatus and sound reception processing method thereof | |
| TWI740206B (en) | Correction system and correction method of signal measurement | |
| TW202147300A (en) | Head-mounted apparatus and stereo effect controlling method thereof | |
| TWI700004B (en) | Method for decreasing effect upon interference sound of and sound playback device | |
| TWI757729B (en) | Balance method for two-channel sounds and electronic device using the same |