










本發明涉及車輛通信處理技術領域,尤其涉及一種基於V2X技術的路權分配方法、系統、設備及儲存介質。The present invention relates to the technical field of vehicle communication processing, in particular to a method, system, equipment and storage medium for assigning rights of way based on V2X technology.
隨著社會的發展,道路上行駛的車輛逐日增多,在車輛擁堵的情況越來越多的同時,車輛也會更多地遇到一些特殊的情況。例如,當車輛行駛到沒有紅綠燈指揮的十字路口時,由於路口路段由多個行進方向的車輛共用,如果車輛隨意行駛勢必會引起交通擁堵,甚至引起交通事故。或者,當雙向車道中有一個方向的車道出現故障,雙向車流都需要佔用一個方向車道行駛時,如果車輛隨意通行,也會容易引起交通擁堵,甚至引起交通事故。現有的車輛在行駛到這樣的特殊路段時,往往只能通過自車在可視範圍內的檢測來人工判斷或根據人工指揮來行駛,十分受限,大大影響了路段的通行效率。With the development of society, the number of vehicles on the roads is increasing day by day. While there are more and more traffic jams, vehicles will also encounter some special situations more and more. For example, when a vehicle travels to an intersection where there is no traffic light command, because the intersection is shared by vehicles in multiple directions, if the vehicle travels at will, it will inevitably cause traffic congestion and even cause a traffic accident. Or, when there is a fault in one direction of the two-way lanes, and the two-way traffic needs to occupy one direction lane, if the vehicles pass by at random, it will easily cause traffic congestion and even cause traffic accidents. When existing vehicles drive on such a special road section, they can often only be manually judged by the detection of the vehicle in the visible range or travel according to manual command, which is very limited and greatly affects the traffic efficiency of the road section.
針對現有技術中的問題,本發明的目的在於提供一種基於V2X技術的路權分配方法、系統、設備及儲存介質,基於V2X技術並結合路權共用路段的車輛狀態分配路權並廣播分配規則,從而提高路權共用路段的通行效率和通行安全。In view of the problems in the prior art, the purpose of the present invention is to provide a method, system, equipment and storage medium for the distribution of rights of way based on V2X technology. Based on the V2X technology and combined with the state of vehicles on shared roads, the purpose of the present invention is to allocate rights of way and broadcast distribution rules. Thereby improving the traffic efficiency and traffic safety of the right-of-way shared road section.
本發明實施例提供一種基於V2X技術的路權分配方法,用於路權共用路段的路權分配,所述路權共用路段由至少兩個行進方向的車輛共用;所述方法包括如下步驟:本車預通行路權共用路段,搜索預設距離範圍內是否存在指揮車;如果是,則本車接收指揮車廣播的路權分配規則;如果否,則本車切換成指揮車,根據預設距離範圍內各個行進方向的車輛狀態確定路權分配規則並廣播。The embodiment of the present invention provides a method for allocating the right of way based on V2X technology, which is used for the allocation of the right of way of a shared road section of the right of way, which is shared by vehicles in at least two directions of travel; the method includes the following steps: Vehicles pre-passing the shared road section of the right of way, search for whether there is a command vehicle within the preset distance; if it is, the vehicle will receive the right of way distribution rules broadcast by the command vehicle; if not, the vehicle will switch to the command vehicle based on the preset distance The state of the vehicles in each direction of travel within the range determines the right of way distribution rules and broadcasts them.
可選地,本車預通行路權共用路段時,還搜索預設距離範圍內是否存在路側單元,如果存在路側單元,則本車接收路側單元發送的路權分配規則。Optionally, when the vehicle pre-passes the shared road section of the right of way, it also searches whether there is a roadside unit within the preset distance. If there is a roadside unit, the vehicle receives the right of way allocation rule sent by the roadside unit.
可選地,如果本車搜索預設距離範圍內不存在指揮車時,在本車切換成指揮車之前,還包括如下步驟:本車搜索預設距離範圍內是否存在其他預通行路權共用路段的車輛;如果存在,則本車切換成指揮車。Optionally, if the vehicle searches for a command vehicle within the preset distance range, before the vehicle switches to the command vehicle, the following step is also included: the vehicle searches whether there are other pre-passed right-of-way shared road sections within the preset distance range If it exists, the vehicle will be switched to the command vehicle.
可選地,本車切換成指揮車,廣播確定的路權分配規則之後,還包括如下步驟:本車將指揮車的指揮權交接給另一預通行路權共用路段的車輛。Optionally, after the vehicle is switched to a command vehicle and after broadcasting the determined right-of-way distribution rules, the following steps are further included:This vehicle transfers the command authority of the command vehicle to another vehicle on the pre-passing right-of-way shared road section.
可選地,所述本車將指揮車的指揮權交接給另一預通行路權共用路段的車輛,包括如下步驟:本車根據路權分配規則確定當前允許通行方向;本車選擇一行進方向與當前允許通行方向不同、且距離預通行路段最近的車輛為交接物件;本車將指揮車的指揮權交接給所述交接物件。Optionally, the own vehicle transfers the command authority of the command vehicle to another vehicle on the pre-passage right-of-way shared road segment, including the following steps: the own vehicle determines the current permitted direction of passage according to the right-of-way allocation rules; the own vehicle selects the direction of travel The vehicle that is different from the current allowable passage direction and is closest to the pre-passage section is the handover object; the own vehicle transfers the command authority of the command vehicle to the handover object.
可選地,指揮車於當前允許通行方向與自車行進方向相同時,選擇下一交接物件,並將指揮車的指揮權交接給所述下一交接物件。Optionally, when the current allowed passage direction of the command vehicle is the same as the traveling direction of the self-vehicle, it selects the next transfer object, and transfers the command authority of the command vehicle to the next transfer object.
可選地,所述方法還包括如下步驟:本車檢測到前方出現預設特殊事件時,確定前方為路權共用路段,並將檢測到的預設特殊事件進行廣播。Optionally, the method further includes the following steps: when the vehicle detects that a preset special event occurs in front, it determines that the front is a right-of-way shared road section, and broadcasts the detected preset special event.
可選地,所述方法還包括如下步驟:本車接收到其他車輛廣播的前方路段的預設特殊事件或導航系統通知的前方路段的預設特殊事件時,確定前方為路權共用路段。Optionally, the method further includes the following step: when the vehicle receives a preset special event on the road section ahead broadcasted by other vehicles or a preset special event on the road section ahead notified by the navigation system, determining that the road ahead is the right-of-way shared road section.
可選地,所述根據預設距離範圍內各個行進方向的車輛狀態確定路權分配規則,包括如下步驟:根據預設距離範圍內各個行進方向的車輛狀態分配一個週期內各個行進方向的允許通行容量。Optionally, the determining the right of way allocation rule according to the state of the vehicle in each direction of travel within the preset distance range includes the following steps: allocating the allowable passage in each direction of travel within a period according to the state of the vehicle in each direction of travel within the preset distance range capacity.
可選地,所述允許通行容量包括一個週期內各個行進方向允許通過路權共用路段的車輛數量或時間。Optionally, the allowable traffic capacity includes the number or time of vehicles allowed to pass through the right-of-way shared road section in each direction of travel in one cycle.
可選地,所述車輛狀態包括車輛車型、車輛行進方向和車輛數量;所述分配一個週期內各個行進方向的允許通行順序和允許通行容量,包括如下步驟:根據各個行進方向的車輛車型和車輛數量,計算各個行進方向的所有車輛換算為直行小客車後,各個行進方向的直行小客車數量;根據各個行進方向的小客車數量的比例分配一個週期內各個行進方向的允許通行容量。Optionally, the vehicle status includes vehicle model, vehicle traveling direction, and vehicle quantity; the allocating the allowable pass sequence and allowable pass capacity of each traveling direction in a period includes the following steps: according to the vehicle type and vehicle type of each traveling direction Calculate the number of straight passenger cars in each direction after all vehicles in each direction of travel are converted into straight passenger cars; according to the proportion of the number of passenger cars in each direction of travel, the allowable capacity of each direction of travel in a cycle is allocated.
可選地,所述根據預設距離範圍內各個行進方向的車輛狀態確定路權分配規則,還包括如下步驟:根據如下公式計算一個週期的有效通行時間:
其中,Lt為預設的每個週期總損失時間,a為預設的放大係數,且a>1,b為預設的補償係數,且b>1;n為路權共用路段的行進方向總數,s為預設的飽和流量值,Yi為第i個行進方向的所有車輛換算為直行小客車後直行小客車的數量。Among them, Lt is the preset total loss time per cycle, a is the preset amplification factor, and a>1, b is the preset compensation factor, and b>1; n is the direction of travel of the right-of-way shared road section the total number, s is the saturation preset flow rate value, Yi is the i th all vehicles traveling direction in terms of the number of passenger cars straight straight passenger cars.
可選地,所述根據預設距離範圍內各個行進方向的車輛狀態確定路權分配規則,還包括如下步驟:將指揮車的行進方向確定為一個週期內優先允許通行的方向。Optionally, the determination of the right of way distribution rule according to the state of the vehicle in each direction of travel within the preset distance range further includes the following step: determining the direction of travel of the command vehicle as a direction that is preferentially allowed to pass in a cycle.
可選地,所述根據預設距離範圍內各個行進方向的車輛狀態確定路權分配規則,還包括如下步驟:根據各個行進方向的車輛總數的大小順序確定一個週期內各個行進方向的允許通行順序。Optionally, the determination of the right of way distribution rule based on the state of the vehicle in each direction of travel within a preset distance range further includes the following step: determining the allowable order of passage in each direction of travel in a cycle according to the total number of vehicles in each direction of travel .
本發明實施例還提供一種基於V2X技術的路權分配系統,應用於所述的基於V2X技術的路權分配方法,所述系統用於路權共用路段的路權分配,所述路權共用路段由至少兩個行進方向的車輛共用;所述系統包括:指揮車搜索模組,用於在預通行路權共用路段,搜索預設距離範圍內是否存在指揮車;規則接收模組,用於在預通行路權共用路段且搜索到指揮車時,接收指揮車廣播的路權分配規則;路段指揮模組,用於在預通行路權共用路段且未搜索到指揮車時,根據預設距離範圍內各個行進方向的車輛狀態確定路權分配規則並廣播。The embodiment of the present invention also provides a right-of-way distribution system based on V2X technology, which is applied to the right-of-way distribution method based on V2X technology. The system is used for right-of-way distribution of shared road sections. Shared by vehicles in at least two directions of travel; the system includes: a command vehicle search module, which is used to search for the presence of a command vehicle in a pre-traffic right-of-way shared road section; and a rule receiving module, which is used to When pre-passing the right-of-way shared road section and the command vehicle is found, receive the right-of-way allocation rules broadcast by the command vehicle; the section command module is used to pre-pass the right-of-way shared road section and the command vehicle is not searched, according to the preset distance range The status of vehicles in each direction of travel determines the right of way distribution rules and broadcasts them.
本發明實施例還提供一種基於V2X技術的路權分配設備,包括:處理器;記憶體,其中儲存有所述處理器的可執行指令;其中,所述處理器配置為經由執行所述可執行指令來執行所述的基於V2X技術的路權分配方法的步驟。The embodiment of the present invention also provides a right-of-way distribution device based on V2X technology, including:A processor; a memory in which executable instructions of the processor are stored; wherein the processor is configured to execute the steps of the method for assigning rights of way based on the V2X technology by executing the executable instructions.
本發明實施例還提供一種電腦可讀儲存介質,用於儲存程式,所述程式被執行時實現所述的基於V2X技術的路權分配方法的步驟。The embodiment of the present invention also provides a computer-readable storage medium for storing a program, and when the program is executed, the steps of the method for assigning the right of way based on the V2X technology are realized.
應當理解的是,以上的一般描述和後文的細節描述僅是示例性和解釋性的,並不能限制本公開。It should be understood that the above general description and the following detailed description are only exemplary and explanatory, and cannot limit the present disclosure.
本發明所提供的基於V2X技術的路權分配方法、系統、設備及儲存介質具有下列優點:The method, system, equipment and storage medium for the distribution of rights of way based on V2X technology provided by the present invention have the following advantages:
本發明設定指揮權,擁有指揮權的指揮車可以基於V2X技術並結合路權共用路段的車輛狀態分配路權並廣播分配規則,其他車輛在接收到路權分配規則之後依序通行;進一步地,本發明提出了指揮權交接的方法,以保障在路權共用路段中持續的車輛有序通行,從而大大提高了路權共用路段的通行效率和通行安全。The present invention sets the command authority, and the command vehicle with the command authority can allocate the right of way based on the V2X technology and combine with the vehicle status of the right-of-way shared section of the road and broadcast the distribution rules. Other vehicles pass in order after receiving the right-of-way distribution rules; further, The present invention proposes a method for handover of command rights to ensure the continuous orderly passage of vehicles on the right-of-way shared road section, thereby greatly improving the traffic efficiency and traffic safety of the right-of-way shared road section.
為了對本發明之上述及其他方面有更佳的瞭解,下文特舉實施例,並配合所附圖式詳細說明如下:In order to have a better understanding of the above and other aspects of the present invention, the following specific examples are given in conjunction with the accompanying drawings to describe in detail as follows:
A1、A2、A3、B1、B2、C1、C2、C3、C4、C5、D1、D2:車輛A1, A2, A3, B1, B2, C1, C2, C3, C4, C5, D1, D2: Vehicle
M100:指揮車搜索模組M100: Command vehicle search module
M200:規則接收模組M200: Rule receiving module
M300:路段指揮模組M300: Road section command module
M400:指揮權交接模組M400: Command transfer module
600:電子設備600: electronic equipment
610:處理單元610: Processing Unit
620:儲存單元620: storage unit
630:匯流排630: Bus
640:顯示單元640: display unit
6201:隨機存取儲存單元(RAM)6201: Random Access Storage Unit (RAM)
6202:快取記憶體儲存單元6202: Cache storage unit
6203:唯讀儲存單元(ROM)6203: Read-only storage unit (ROM)
6204:程式/實用工具6204: Programs/Utilities
6205:程式模組6205: program module
650:輸入/輸出(I/O)介面650: input/output (I/O) interface
660:網路介面卡660: network interface card
800:程式產品800: program products
第1圖是本發明一實施例的基於V2X技術的路權分配方法的流程圖。Figure 1 is a flowchart of a method for assigning rights of way based on V2X technology according to an embodiment of the present invention.
第2圖是本發明一實施例的增加指揮權交接後路權分配方法的流程圖。Figure 2 is a flow chart of a method for distribution of rights of way after the transfer of increased command rights according to an embodiment of the present invention.
第3圖~第5圖是本發明一實施例的路權分配方法應用於雙向車道中單向被佔用的情況的示意圖。Figures 3 to 5 are schematic diagrams of a method for assigning rights of way according to an embodiment of the present invention applied to a situation where a two-way lane is occupied in one direction.
第6圖~第8圖是本發明一實施例的路權分配方法應用於十字路口的示意圖。Figures 6 to 8 are schematic diagrams of the method for assigning rights of way according to an embodiment of the present invention applied to intersections.
第9圖是本發明一實施例的基於V2X技術的路權分配系統的結構示意圖。FIG. 9 is a schematic diagram of the structure of a right-of-way distribution system based on V2X technology according to an embodiment of the present invention.
第10圖是本發明一實施例的基於V2X技術的路權分配設備的結構示意圖。Fig. 10 is a schematic diagram of a structure of a right-of-way distribution device based on V2X technology according to an embodiment of the present invention.
第11圖是本發明一實施例的電腦可讀儲存介質的結構示意圖。Figure 11 is a schematic structural diagram of a computer-readable storage medium according to an embodiment of the present invention.
現在將參考附圖更全面地描述示例實施方式。然而,示例實施方式能夠以多種形式實施,且不應被理解為限於在此闡述的範例;相反,提供這些實施方式使得本公開將更加全面和完整,並將示例實施方式的構思全面地傳達給本領域的技術人員。所描述的特徵、結構或特性可以以任何合適的方式結合在一個或更多實施方式中。Example embodiments will now be described more fully with reference to the accompanying drawings. However, the example embodiments can be implemented in various forms, and should not be construed as being limited to the examples set forth herein; on the contrary, these embodiments are provided so that the present disclosure will be more comprehensive and complete, and the concept of the example embodiments will be fully conveyed to Those skilled in the art. The described features, structures or characteristics can be combined in one or more embodiments in any suitable way.
此外,附圖僅為本公開的示意性圖解,並非一定是按比例繪製。圖中相同的附圖標記表示相同或類似的部分,因而將省略對它們的重複描述。附圖中所示的一些方框圖是功能實體,不一定必須與物理或邏輯上獨立的實體相對應。可以採用軟體形式來實現這些功能實體,或在一個或多個硬體模組或積體電路中實現這些功能實體,或在不同網路和/或處理器裝置和/或微控制器裝置中實現這些功能實體。In addition, the drawings are only schematic illustrations of the present disclosure, and are not necessarily drawn to scale. The same reference numerals in the figures indicate the same or similar parts, soDuplicate descriptions of them will be omitted. Some of the block diagrams shown in the drawings are functional entities and do not necessarily correspond to physically or logically independent entities. These functional entities can be implemented in the form of software, or implemented in one or more hardware modules or integrated circuits, or implemented in different networks and/or processor devices and/or microcontroller devices These functional entities.
為了解決現有技術中的技術問題,本發明提出了一種基於V2X技術的路權分配方法,所述方法用於路權共用路段的路權分配;所述方法包括如下步驟:本車預通行路權共用路段,搜索預設距離範圍內是否存在指揮車;如果是,則本車接收指揮車廣播的路權分配規則;如果否,則本車切換成指揮車,根據預設距離範圍內各個行進方向的車輛狀態確定路權分配規則並廣播。In order to solve the technical problems in the prior art, the present invention proposes a right-of-way allocation method based on V2X technology. The method is used for right-of-way allocation of shared road sections; the method includes the following steps: the vehicle pre-travels the right of way On shared roads, search for whether there is a command vehicle within the preset distance range; if it is, the vehicle will receive the right of way distribution rules broadcast by the command vehicle; if not, the vehicle will switch to a command vehicle, according to each direction of travel within the preset distance range The state of the vehicle determines the right-of-way allocation rules and broadcasts it.
V2X技術指的是Vehicle to everything,即車對外界的資訊交換,它使得車與車之間、車與基站之間、基站與基站之間能夠通信,從而獲得即時路況、道路資訊等一系列交通資訊。V2X technology refers to Vehicle to everything, that is, information exchange between cars and the outside world. It enables communication between cars, cars and base stations, and base stations and base stations to obtain real-time road conditions, road information, and a series of traffic Information.
本發明中所指路權共用路段指的是由至少兩個行進方向的車輛共用的路段,例如在十字路口處,路口路段由至少兩個方向共用,如果轉彎與直行分開的話,則至少由三個方向共用;或者在雙向車道中有一個方向的車道被異物佔用而無法使用,兩個方向車輛都要佔用一個方向的車道時,該路段也成為路權共用路段。The right-of-way shared road section referred to in the present invention refers to a road section shared by vehicles in at least two directions of travel. For example, at an intersection, the intersection road section is shared by at least two directions. If turning and going straight are separated, at least three Shared by two directions; or the lane in one direction in the two-way lane is occupied by foreign objects and cannot be used,When vehicles in both directions occupy a lane in one direction, the road section also becomes a right-of-way shared road section.
因此,本發明設定指揮權,擁有指揮權的指揮車可以基於V2X技術並結合路權共用路段的車輛狀態分配路權並廣播分配規則,其他車輛在接收到路權分配規則之後依序通行,從而大大提高了路權共用路段的通行效率和通行安全。Therefore, the present invention sets the command authority, and the command vehicle with the command authority can allocate the right of way based on the V2X technology and combine with the vehicle status of the right-of-way shared section of the road and broadcast the distribution rules. Other vehicles pass in order after receiving the right-of-way distribution rules, thereby Greatly improve the traffic efficiency and traffic safety of the right-of-way shared road section.
如第1圖所示,本發明實施例提供一種基於V2X技術的路權分配方法,所述方法包括如下步驟:S100:本車預通行路權共用路段;S200:本車搜索預設距離範圍內是否存在指揮車;S300:如果是,則本車接收指揮車廣播的路權分配規則;S400:如果否,則本車切換成指揮車;S500:本車成為指揮車後,根據預設距離範圍內各個行進方向的車輛狀態確定路權分配規則並廣播。As shown in Figure 1, an embodiment of the present invention provides a method for allocating rights of way based on V2X technology. The method includes the following steps: S100: the vehicle pre-passes the shared road section of the right of way; S200: the vehicle searches within a preset distance range Whether there is a command vehicle; S300: If it is, the vehicle receives the right of way distribution rules broadcast by the command vehicle; S400: If not, the vehicle is switched to a command vehicle; S500: After the vehicle becomes a command vehicle, according to the preset distance range The status of vehicles in each direction of travel determines the right of way distribution rules and broadcasts them.
在該實施例中,本車預通行路權共用路段時,還搜索預設距離範圍內是否存在路側單元(RSU,Road Side Unit),如果存在路側單元,則本車接收路側單元發送的路權分配規則。In this embodiment, when the vehicle pre-passes the shared road section of the right of way, it also searches whether there is a road side unit (RSU, Road Side Unit) within the preset distance. If there is a road side unit, the vehicle receives the right of way sent by the road side unit Distribution rules.
在該實施例中,本車成為指揮車並且廣播了路權分配規則之後,還可以交接指揮權。具有指揮權的車輛與其他車輛通信時,通信資訊中可以添加指揮權標記,其他車輛即可以快速得知哪一輛車輛是指揮車。指揮權的交接也可以是指揮權標記的交接。In this embodiment, after the own vehicle becomes the command vehicle and broadcasts the right of way distribution rules, the command authority can also be handed over. When a vehicle with command authority communicates with other vehicles, the command authority mark can be added to the communication information, and other vehicles can quickly learn which vehicle is the command vehicle. The transfer of command authority can also be the transfer of command authority marks.
如第2圖所示,為該實施例中一增加了指揮權交接過程後,路權分配方法的詳細流程圖。圖中示出的路權分配方法具體包括如下步驟:As shown in Figure 2, a detailed flow chart of the right of way distribution method after the command right handover process is added to this embodiment. The right of way distribution method shown in the figure specifically includes the following steps:
S1:本車預通行路權共用路段;本車配備有定位系統和導航系統,定位系統例如可以是GNSS全球定位系統,導航系統例如可以是高精度導航系統,但本發明不限於此。本車接收到其他車輛廣播的前方路段的預設特殊事件或導航系統通知的前方路段的預設特殊事件時,確定前方為路權共用路段。前方路段的預設特殊事件例如可以是十字路口未設紅綠燈、雙向車道中有一個方向的車道塌方、道路施工、被大型異物佔用等等,即會出現路權共用情況的特殊事件。此外,本車在行駛過程中,如果通過攝像頭、雷射感測器、超音波感測器等本車配備的檢測設備檢測到前方出現預設特殊事件時,確定前方為路權共用路段,並將檢測到的預設特殊事件和路權共用路段的位置進行廣播。S1: The vehicle pre-passes the shared road section; the vehicle is equipped with a positioning system and a navigation system. The positioning system may be a GNSS global positioning system, for example, and the navigation system may be a high-precision navigation system, but the present invention is not limited to this. When the vehicle receives a preset special event on the road ahead broadcasted by other vehicles or a preset special event on the road ahead notified by the navigation system, it determines that the road ahead is a shared right-of-way road. The preset special events of the road section ahead may be, for example, no traffic lights at the intersection, lane collapse in one direction in the two-way lane, road construction, occupation by large foreign objects, etc., that is, special events where the right of way is shared. In addition, when the vehicle is driving, if a preset special event is detected in the front through the detection equipment equipped with the vehicle such as a camera, a laser sensor, an ultrasonic sensor, etc., it is determined that the road ahead is a shared road for the right of way, and Broadcast the location of the detected preset special event and the right-of-way shared road section.
此處,本車預通行路權共用路段指的是本車距離路權共用路段的距離在預設範圍之內,例如設定在距離路權共用路段的距離為2公尺以內時,啟動本發明的路權分配方法,或者1.5公尺以內時,啟動路權分配方法等等,此距離範圍可以根據需要選擇調整,均屬於本發明的保護範圍之內。Here, the pre-passage of the own vehicle's right-of-way shared road section means that the distance of the own vehicle from the right-of-way shared road section is within a preset range. The right of way distribution method, or when the distance is within 1.5 meters, the right of way distribution method is activated, etc. The distance range can be selected and adjusted according to needs, and both fall within the protection scope of the present invention.
S2:本車搜索預設距離範圍內是否存在指揮車或路側單元,如果是,則繼續步驟S3,否則繼續步驟S4;S3:本車接收指揮車或路側單元廣播的路權分配規則,駕駛員可以在看到指揮車或路側單元廣播的路權分配規則之後決定如何駕駛車輛通過路權共用路段,如果是自動駕駛車輛,則自動駕駛車輛的自動駕駛控制系統可以根據路權分配規則控制車輛停止、啟動、加速或減速等操作;S4:本車判斷是否有其他車輛預通行路權共用路段,如果是,則繼續步驟S6,否則繼續步驟S5;此處,可以根據路權共用路段的預設距離範圍內是否有其他車輛來判斷;S5:由於沒有其他車輛,本車無需進行路權分配,只需要生成緩慢行駛提醒即可,駕駛員可以根據提示進行減速操作,對於自動駕駛車輛,也可以根據提醒自動調整車速到預設值;S6:本車切換成指揮車;S7:根據預設距離範圍各個行進方向的車輛狀態確定路權分配規則並廣播;S8:本車將指揮權交接給另一預通行路權共用路段的車輛。指揮權交接的時間點可以是本車通過了路權共用路段的時候,或者是本車已經生成路權分配規則並進行了廣播的時候,當前預通行共用路段的所有車輛可以先按照本車生成的路權分配規則行駛一個週期,然後由下一個指揮車行駛指揮權,重新生成路權分配規則,或引導當前車輛繼續按照當前的路權分配規則行駛。S2: The vehicle searches for whether there is a command vehicle or a roadside unit within the preset distance range, if yes, proceed to step S3, otherwise proceed to step S4;S3: The vehicle receives the right-of-way allocation rules broadcast by the command vehicle or the roadside unit. The driver can decide how to drive the vehicle through the right-of-way shared road section after seeing the right-of-way allocation rules broadcast by the command vehicle or the roadside unit. If it is an autonomous vehicle , The automatic driving control system of the self-driving vehicle can control operations such as stopping, starting, accelerating or decelerating the vehicle according to the right-of-way allocation rules; S4: The vehicle judges whether there are other vehicles pre-passing the shared road section of the right-of-way, if yes, continue to step S6, otherwise continue to step S5; here, it can be judged based on whether there are other vehicles within the preset distance of the right-of-way shared road section; S5: because there are no other vehicles, the vehicle does not need to be assigned the right of way, only a slow driving reminder is generated That is, the driver can decelerate according to the prompts. For autonomous vehicles, the speed can also be automatically adjusted to the preset value according to the reminder; S6: the vehicle is switched to the command vehicle; S7: the vehicle in each direction of travel according to the preset distance range The state determines the right-of-way allocation rules and broadcasts it; S8: The vehicle transfers the command right to another vehicle on the pre-passing right-of-way shared road section. The time point for the transfer of command authority can be when the vehicle has passed the right-of-way shared section, or when the vehicle has generated the right-of-way allocation rule and broadcasted it, all vehicles on the current pre-passing shared section can be generated according to the own vehicle first. The right-of-way distribution rules of the vehicle will run for a cycle, and then the next command vehicle will drive the command right to regenerate the right-of-way distribution rules, or guide the current vehicle to continue to drive in accordance with the current right-of-way distribution rules.
在該實施例中,所述本車將指揮車的指揮權交接給另一預通行路權共用路段的車輛,包括如下步驟:本車根據路權分配規則確定當前允許通行方向;本車選擇一行進方向與當前允許通行方向不同、且距離預通行路段最近的車輛為交接物件;具體交接物件的選擇在下面的具體實例中進行了舉例說明;本車將指揮車的指揮權交接給所述交接物件。In this embodiment, the transfer of the command authority of the command vehicle to another vehicle on the pre-traffic right-of-way shared road section by the own vehicle includes the following steps:The vehicle determines the current allowable direction according to the right-of-way allocation rules; the vehicle that chooses the direction of travel that is different from the current allowable direction and is closest to the pre-passage section is the handover object; the specific handover object selection is carried out in the following specific examples An example is given; this vehicle transfers the command authority of the command vehicle to the transfer object.
進一步地,指揮車可以於當前允許通行方向與自車行進方向相同時,選擇下一交接物件,並將指揮車的指揮權交接給所述下一交接物件。在其他實施方式中,指揮車也可以在通行路權共用路段完成後交接指揮權。Further, the command vehicle may select the next handover object when the current allowed passage direction is the same as the traveling direction of the self-vehicle, and hand over the command authority of the command vehicle to the next handover object. In other embodiments, the command vehicle may also hand over the command authority after the completion of the common right-of-way section.
在該實施例中,所述根據預設距離範圍內各個行進方向的車輛狀態確定路權分配規則,包括如下步驟:根據預設距離範圍內各個行進方向的車輛狀態分配一個週期內各個行進方向的允許通行容量。In this embodiment, the determination of the right-of-way allocation rule based on the state of the vehicle in each direction of travel within the preset distance range includes the following steps: according to the state of the vehicle in each direction of travel within the preset distance range, allocating the state of the vehicle in each direction of travel within a period Allowable traffic capacity.
即對於車輛較多的行進方向,多分配一些允許通行容量,對於車輛較少的行進方向,則少分配一些允許通行容量,方便各個方向的車輛均衡且快速地通過路權共用路段,提高路權共用路段通行效率和安全性。That is to say, for the direction of travel with more vehicles, more allowable capacity is allocated, and for the direction of travel with fewer vehicles, less allowable capacity is allocated, so that vehicles in all directions can pass through the right-of-way shared road in a balanced and fast way, and improve the right of way. Traffic efficiency and safety of shared road sections.
本發明中的路權分配規則可以由指揮車採用各種方式進行分配,而不限於本發明舉例的路權分配規則,此處路權分配規則只是為了更清楚地說明本發明的路權分配方法,而不作為本發明的保護範圍的限制。The right-of-way distribution rules in the present invention can be distributed by the command vehicle in various ways, and are not limited to the right-of-way distribution rules exemplified in the present invention. Here, the right-of-way distribution rules are only used to more clearly illustrate the right-of-way distribution method of the present invention. It is not a limitation of the protection scope of the present invention.
在該實施例中,所述允許通行容量包括一個週期內各個行進方向允許通過路權共用路段的車輛數量或時間。例如,一個路權共用路段由兩個行進方向共用,第一行進方向的車輛多於第二行進方向的車輛,則分配一個週期內第一行進方向通行20秒,第二行進方向通行15秒,或者分配一個週期內第一行進方向通行5輛車,第二行進方向通行3輛車。在一個週期完成後,如果路權分配規則未變,則繼續第一行進方向通行20秒,第二行進方向通行15秒,或第一行進方向通行5輛車,第二行進方向通行3輛車。In this embodiment, the allowable traffic capacity includes the number or time of vehicles allowed to pass through the right-of-way shared road section in each direction of travel in one cycle. For example, a right-of-way shared road section is shared by two directions of travel, and there are more vehicles in the first direction of travel than vehicles in the second direction of travel, then a period of 20 seconds in the first direction of travel and 15 seconds in the second direction of travel are allocated. Or allocate 5 vehicles in the first direction of travel and 3 vehicles in the second direction of travel in a cycle. After a cycle is completed, if the right-of-way distribution rules remain unchanged, continue driving in the first direction of travel for 20 seconds, and the second direction of travel for 15 seconds, or 5 vehicles in the first direction of travel and 3 vehicles in the second direction of travel .
在該實施例中,所述車輛狀態包括車輛車型、車輛行進方向和車輛數量;所述分配一個週期內各個行進方向的允許通行順序和允許通行容量,包括如下步驟:根據各個行進方向的車輛車型和車輛數量,計算各個行進方向的所有車輛換算為直行小客車後,各個行進方向的直行小客車數量;換算的方式可以參照如下表1,可理解的是,表1中的換算係數僅為示例,可以根據需要調整。In this embodiment, the vehicle status includes vehicle model, vehicle travel direction, and vehicle quantity; the allocation of the allowable pass sequence and allowable pass capacity of each travel direction in a period includes the following steps: according to the vehicle type of each travel direction And the number of vehicles, calculate the number of straight passenger cars in each direction after all vehicles in each direction of travel are converted into straight passenger cars; the conversion method can refer to the following table 1. It is understandable that the conversion factor in table 1 is only an example , Can be adjusted as needed.
表1中左轉部分是考慮到在十字路口是否要區分左轉通行時間和直行通行時間。例如,在車輛不是特別多時,可以將左轉允許通行和直行允許通行合併,類似於紅綠燈只有直行的紅綠燈而無左轉的紅綠燈指示,即對應於表1中無左轉時向,在車輛比較多時,可以進一步將左轉通行和直行允許通行分開,類似於紅綠燈中除了直行的紅綠燈還有左轉的紅綠燈指示,即對應於表1中有左轉時向。The left-turn part in Table 1 considers whether to distinguish between the left-turn pass time and the straight pass time at an intersection. For example, when there are not too many vehicles, you can combine the left-turn permission and the straight-through permission. Similar to the traffic light, there are only straight traffic lights and no left turn traffic lights, which corresponds to the direction when there is no left turn in Table 1. When more often, you can further separate the left-turn traffic and the straight-forward traffic allowed. Similar to the traffic lights, in addition to the straight traffic lights, there are also left-turn traffic lights, which corresponds to the time when there is a left turn in Table 1.
根據各個行進方向的小客車數量的比例分配一個週期內各個行進方向的允許通行容量。例如,第一方向有5輛車要通過,第二方向有3輛車要通過,則可以分配一個週期內第一方向允許通過時間為20秒,第二方向允許通過時間為12秒。According to the proportion of the number of passenger cars in each direction of travel, the allowable capacity of each direction of travel in a period is allocated. For example, if there are 5 vehicles to pass in the first direction and 3 vehicles in the second direction, you can allocate a period of 20 seconds in the first direction and 12 seconds in the second direction.
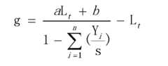
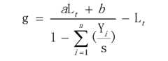
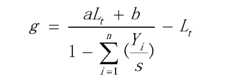
在該實施例中,所述根據預設距離範圍內各個行進方向的車輛狀態確定路權分配規則,還包括如下步驟:根據如下公式計算一個週期的有效通行時間:
其中,Lt為預設的每個週期總損失時間,a為預設的放大係數,且a>1,b為預設的補償係數,且b>1;n為路權共用路段的行進方向總數,s為預設的飽和流量值,Yi為第i個行進方向的所有車輛換算為直行小客車後直行小客車的數量。確定了一個週期的有效通行時間後,根據如下公式可以計算出第i個行進方向在一個週期內的允許通行時間gi:
例如,在一具體實例中,有兩個行進方向,預設的飽和流量值s=3600/H,H為飽和時間車距,起步損耗時間估計約2.2秒,清道損失時間約1秒,每週期總損失時間Lt為6.4秒。For example, in a specific example, there are two directions of travel, the preset saturation flow value s=3600/H, H is the vehicle distance at the saturation time, the starting loss time is estimated to be about 2.2 seconds, and the clearing loss time is about 1 second, each cycle The total loss time Lt is 6.4 seconds.
第一行進方向中車輛總數是X,大型車、小客車和機車的車輛比例分別是a、b、c,大型車、小客車和機車換算成小客車的係數分別是1.5、1、0.3,第二行進方向中車輛總數是Z,大型車、小客車和機車的車輛比例分別是d、e、f。則Y1和Y2滿足如下公式:
設a為1.5,b為5,一個週期內的有效通行時間g滿足如下公式:
在該實施例中,所述根據預設距離範圍內各個行進方向的車輛狀態確定路權分配規則,在確定每個行進方向的通行容量分配之外,還需要確定各個行進方向的前進順序,例如可以將指揮車的行進方向確定為一個週期內優先允許通行的方向,因為指揮車往往是當前時刻距離路權共用路段最近的車輛,可以優先通過。或者,可以根據各個行進方向的車輛總數的大小順序確定一個週期內各個行進方向的允許通行順序。例如一個行進方向的車輛特別多,可以使得該行進方向優先通過。例如,一路段有三個行進方向共用,第一行進方向車輛5個,分配的通行時間是20秒,第二行進方向車輛3個,分配的通行時間是12秒,第三行進方向車輛4個,分配的通行時間16秒,則可以設定首先第一行進方向允許通行20秒,然後第三行進方向允許通行16秒,然後第二行進方向允許通行12秒。In this embodiment, the right-of-way allocation rule is determined according to the state of the vehicle in each travel direction within the preset distance range. In addition to determining the capacity allocation for each travel direction, it is also necessary to determine the advance sequence of each travel direction, for example, The direction of travel of the command vehicle can be determined as the direction that is preferentially allowed to pass in a cycle, becauseThe command vehicle is often the vehicle closest to the right-of-way shared section at the current moment and can pass first. Alternatively, the allowable order of passage in each direction of travel in a cycle may be determined according to the order of the total number of vehicles in each direction of travel. For example, there are too many vehicles in one direction of travel, and this direction of travel can be given priority to pass through. For example, there are three directions of travel shared by one segment, 5 vehicles in the first direction of travel, the allocated time is 20 seconds, 3 vehicles in the second direction of travel, the allocated time of travel is 12 seconds, and 4 vehicles in the third direction. If the allocated travel time is 16 seconds, you can set the first travel direction to allow travel for 20 seconds, then the third travel direction to allow travel for 16 seconds, and then the second travel direction to allow travel for 12 seconds.
下面結合兩個具體實例來進一步介紹本發明的路權分配方法。In the following, two specific examples are combined to further introduce the method of right-of-way distribution of the present invention.
如第3~5圖示出了本發明的路權分配方法應用於雙向車道單個方向被佔用時的過程。As shown in Figures 3 to 5, the method for assigning the right of way of the present invention is applied to the process when a two-way lane is occupied in a single direction.
如第3圖所示,雙向車道中每個方向只有一個車道,且其中一個車道被異物佔用,導致異物所對應的位置的另一條車道暫時變成了路權共用路段。即第3圖中虛線框內的區域即為路權共用路段,其被兩個行進方向共用,即圖中自下而上的第一方向和自上而下的第二方向。As shown in Figure 3, there is only one lane in each direction in a two-way lane, and one of the lanes is occupied by a foreign object, causing the other lane at the location of the foreign object to temporarily become a right-of-way shared road section. That is, the area within the dashed frame in Figure 3 is the right-of-way shared road section, which is shared by two traveling directions, namely the first direction from bottom to top and the second direction from top to bottom in the figure.
其中,車輛A1首先到達路權共用路段,其搜索周圍沒有指揮車或路側單元,則切換至指揮車功能,分配一個週期內第一方向允許通行15秒,第二方向允許通行10秒。則車輛A1向前開到路權共用路段,如第4圖所示,並且車輛A1通知車輛B1停車等待,車輛A1通行後,如果15秒還有剩餘,則後續車輛A2繼續通過路權共用路段。如第5圖所示,車輛A1在通過路權共用路段後,將指揮權交接給第二方向的第一輛車B1,在第一方向允許通行時間結束後,車輛B1通知對面的車輛A3等待,而進入第二方向允許通行時間,車輛B1通過路權共用路段後,將指揮權交接給第一方向的第一輛車A3,兩個方向根據路權分配規則交替使用路權共用路段。Among them, the vehicle A1 first arrives at the right-of-way shared road section, and when there is no command vehicle or roadside unit around it, it switches to the command vehicle function and allocates a period of 15 seconds in the first direction and 10 seconds in the second direction. Then vehicle A1 drives forward to the right-of-way shared road section, as shown in Figure 4, and vehicle A1 informs the vehicleB1 parks and waits. After vehicle A1 passes, if there are 15 seconds remaining, the subsequent vehicle A2 continues to pass through the right-of-way shared road section. As shown in Figure 5, vehicle A1 transfers command to the first vehicle B1 in the second direction after passing through the shared road section of the right of way. After the permitted passage time in the first direction ends, vehicle B1 informs the opposite vehicle A3 to wait , And the time allowed to pass in the second direction. After vehicle B1 passes through the right-of-way shared section, it will transfer the command to the first vehicle A3 in the first direction. The two directions use the right-of-way shared section alternately according to the right-of-way allocation rules.
如第6~8圖示出了本發明的路權分配方法應用於十字路口時的示意圖。如第6圖所示,該十字路口部分即為路權共用路段,由圖中上下方向指示的第一方向和左右方向指示的第二方向共用,左轉和直行是共用同一個通行時間的。在該實例中,車輛C1、車輛C2需要左轉,車輛C3需要直行,車輛D1、車輛D2需要直行。車輛C1首先到達路權共用路段,搜索到周圍沒有指揮車或路側單元,則切換到指揮車功能。車輛C1分配第一方向通行時間為15秒,第二方向通行時間為12秒。車輛C1首先通知車輛D1停車等待,然後左轉行駛,行駛軌跡如第7圖所示。車輛C1經過路權共用路段之後,將指揮權交接給第二方向的第一輛車D1,在第一方向該週期內的通行時間結束後,車輛D1通知車輛C3停車等待,然後車輛D1沿第8圖中箭頭方向直行通過路權共用路段,然後車輛D1將指揮權交接給車輛C3。For example, Figures 6 to 8 show schematic diagrams when the method for assigning rights of way of the present invention is applied to an intersection. As shown in Figure 6, the intersection is the right-of-way shared road section. The first direction indicated by the up and down directions in the figure and the second direction indicated by the left and right directions are shared. Turning left and going straight share the same transit time. In this example, vehicle C1 and vehicle C2 need to turn left, vehicle C3 needs to go straight, and vehicle D1 and vehicle D2 need to go straight. The vehicle C1 first arrives at the right-of-way shared road section, and if there is no command vehicle or roadside unit around it, it switches to the command vehicle function. Vehicle C1 allocates 15 seconds in the first direction and 12 seconds in the second direction. The vehicle C1 first informs the vehicle D1 to stop and wait, and then turn left and drive. The driving track is shown in Figure 7. After the vehicle C1 passes through the shared road section, the command authority is transferred to the first vehicle D1 in the second direction. After the passing time in the cycle in the first direction ends, the vehicle D1 informs the vehicle C3 to stop and wait, and then the vehicle D1 moves along the first direction. 8 Go straight in the direction of the arrow in the figure and pass the shared road right-of-way section, and then vehicle D1 will transfer the command to vehicle C3.
如第9圖所示,本發明實施例還提供一種基於V2X技術的路權分配系統,應用於所述的基於V2X技術的路權分配方法,所述系統用於路權共用路段的路權分配,所述路權共用路段由至少兩個行進方向的車輛共用;所述系統包括:指揮車搜索模組M100,用於在預通行路權共用路段,搜索預設距離範圍內是否存在指揮車;規則接收模組M200,用於在預通行路權共用路段且搜索到指揮車時,接收指揮車廣播的路權分配規則;路段指揮模組M300,用於在預通行路權共用路段且未搜索到指揮車時,根據預設距離範圍內各個行進方向的車輛狀態確定路權分配規則並廣播。As shown in Figure 9, the embodiment of the present invention also provides a right-of-way distribution system based on V2X technology, which is applied to the right-of-way distribution party based on V2X technology.According to the method, the system is used for the distribution of the right of way on a shared road section, which is shared by vehicles in at least two directions of travel; the system includes: a command vehicle search module M100, which is used to Right-of-way sharing section, search whether there is a command vehicle within the preset distance; rule receiving module M200, used to receive the right-of-way allocation rules broadcast by the command vehicle when the pre-passing right-of-way shared section and the command vehicle are searched; road section command mode Group M300 is used to determine and broadcast the right of way distribution rules according to the state of vehicles in each direction of travel within the preset distance range when the pre-traffic right-of-way shared road section is not searched for.
車與車、車與路側單元之間、車與其他基站之間可以通過V2X技術在通訊範圍內持續交換基本資訊(類似ETSI規範CAM格式):基本資訊可分為幾種:重要資訊(更新率較快)、次要資訊(更新率較慢)、補充資訊,其中:重要資訊:速度、駕駛方向、車輛長度、縱向加速度、曲率、曲率計算模式、偏航率、加速度、車道位置、方向盤角度、橫向加速度、垂直加速度等;次要資訊:車輛用途(大眾運輸、運輸有害物質等)、車輛外部燈號狀況、歷史路徑等;補充資訊:大眾運輸、特殊運輸(超重、車寬較寬、車身較長等)、運輸有害物質、道路工程(修路、鏟雪等)、救援行動(車輛、員警辦案、醫療救援等)、救護車等。車輛在遇到預設特殊事件判斷前方為路權共用路段時,如果沒有接收到其他指揮車或路側單元的通知,則可以廣播預設特殊事件和路權共用路段的位置,並且切換到指揮車功能。V2X technology can be used to continuously exchange basic information (similar to ETSI standard CAM format) between cars, cars and roadside units, and between cars and other base stations: basic information can be divided into several types: important information (update rate Faster), secondary information (slower update rate), supplementary information, including: important information: speed, driving direction, vehicle length, longitudinal acceleration, curvature, curvature calculation mode, yaw rate, acceleration, lane position, steering wheel angle , Lateral acceleration, vertical acceleration, etc.; secondary information: vehicle use (public transportation, transportation of hazardous substances, etc.), vehicle external light status, historical path, etc.; supplementary information: public transportation, special transportation (overweight, wide vehicle width, Longer body, etc.), transportation of hazardous materials, road works (road repair, snow shovel, etc.), rescue operations(Vehicles, police handling cases, medical rescue, etc.), ambulances, etc. When a vehicle encounters a preset special event and determines that the road ahead is a right-of-way shared road section, if it does not receive notification from other command vehicles or roadside units, it can broadcast the location of the preset special event and the right-of-way shared road section, and switch to the command vehicle Features.
進一步地,在該實施例中,所述系統還包括:指揮權交接模組M400,用於將指揮權交接給另一預通行路權共用路段的車輛。Further, in this embodiment, the system further includes: a command authority handover module M400, which is used to transfer the command authority to another vehicle on the pre-traffic right-of-way shared road section.
本發明中各個功能模組實現對應功能的過程和技術效果已在上述路權分配方法的實施例中進行了詳細闡述,在此不予贅述。The process and technical effect of each functional module in the present invention to achieve corresponding functions have been described in detail in the above-mentioned embodiment of the right of way distribution method, and will not be repeated here.
本發明實施例還提供一種基於V2X技術的路權分配設備,包括處理器;記憶體,其中儲存有所述處理器的可執行指令;其中,所述處理器配置為經由執行所述可執行指令來執行所述的基於V2X技術的路權分配方法的步驟。The embodiment of the present invention also provides a right-of-way distribution device based on V2X technology, including a processor; a memory in which executable instructions of the processor are stored; wherein the processor is configured to execute the executable instructions To perform the steps of the method for assigning rights of way based on V2X technology.
所屬技術領域的技術人員能夠理解,本發明的各個方面可以實現為系統、方法或程式產品。因此,本發明的各個方面可以具體實現為以下形式,即:完全的硬體實施方式、完全的軟體實施方式(包括固件、微代碼等),或硬體和軟體方面結合的實施方式,這裡可以統稱為“電路”、“模組”或“平台”。Those skilled in the art can understand that various aspects of the present invention can be implemented as a system, a method, or a program product. Therefore, various aspects of the present invention can be specifically implemented in the following forms, namely: a complete hardware implementation, a complete software implementation (including firmware, microcode, etc.), or a combination of hardware and software. Collectively referred to as "circuits", "modules" or "platforms".
下面參照第10圖來描述根據本發明的這種實施方式的電子設備600。第10圖顯示的電子設備600僅僅是一個示例,不應對本發明實施例的功能和使用範圍帶來任何限制。The
如第10圖所示,電子設備600以通用計算設備的形式表現。電子設備600的元件可以包括但不限於:至少一個處理單元610、至少一個儲存單元620、連接不同平台元件(包括儲存單元620和處理單元610)的匯流排630、顯示單元640等。As shown in FIG. 10, the
其中,所述儲存單元儲存有程式碼,所述程式碼可以被所述處理單元610執行,使得所述處理單元610執行本說明書上述電子處方流轉處理方法部分中描述的根據本發明各種示例性實施方式的步驟。例如,所述處理單元610可以執行如第1圖中所示的步驟。Wherein, the storage unit stores program codes, and the program codes can be executed by the
所述儲存單元620可以包括易失性儲存單元形式的可讀介質,例如隨機存取儲存單元(RAM)6201和/或快取記憶體儲存單元6202,還可以進一步包括唯讀儲存單元(ROM)6203。The
所述儲存單元620還可以包括具有一組(至少一個)程式模組6205的程式/實用工具6204,這樣的程式模組6205包括但不限於:作業系統、一個或者多個應用程式、其它程式模組以及程式資料,這些示例中的每一個或某種組合中可能包括網路環境的實現。The
匯流排630可以為表示幾類匯流排結構中的一種或多種,包括儲存單元匯流排或者儲存單元控制器、週邊匯流排、圖形加速埠、處理單元或者使用多種匯流排結構中的任意匯流排結構的局域匯流排。The
電子設備600也可以與一個或多個外部設備700(例如鍵盤、指向設備、藍牙設備等)通信,還可與一個或者多個使得使用者能與該電子設備600交互的設備通信,和/或與使得該電子設備600能與一個或多個其它計算設備進行通信的任何設備(例如路由器、數據機等等)通信。這種通信可以通過輸入/輸出(I/O)介面650進行。並且,電子設備600還可以通過網路介面卡660與一個或者多個網路(例如局域網(LAN),廣域網路(WAN)和/或公共網路,例如網際網路)通信。網路介面卡660可以通過匯流排630與電子設備600的其它模組通信。應當明白,儘管圖中未示出,可以結合電子設備600使用其它硬體和/或軟體模組,包括但不限於:微代碼、裝置驅動程式、冗餘處理單元、外部磁片驅動陣列、RAID系統、磁帶驅動器以及資料備份儲存平台等。The
本發明實施例還提供一種電腦可讀儲存介質,用於儲存程式,所述程式被執行時實現所述的基於V2X技術的路權分配方法的步驟。在一些可能的實施方式中,本發明的各個方面還可以實現為一種程式產品的形式,其包括程式碼,當所述程式產品在終端設備上運行時,所述程式碼用於使所述終端設備執行本說明書上述電子處方流轉處理方法部分中描述的根據本發明各種示例性實施方式的步驟。The embodiment of the present invention also provides a computer-readable storage medium for storing a program, and when the program is executed, the steps of the method for assigning the right of way based on the V2X technology are realized. In some possible implementation manners, various aspects of the present invention can also be implemented in the form of a program product, which includes a program code. When the program product runs on a terminal device, the program code is used to make the terminal The device executes the steps according to various exemplary embodiments of the present invention described in the above-mentioned electronic prescription circulation processing method section of this specification.
參考第11圖所示,描述了根據本發明的實施方式的用於實現上述方法的程式產品800,其可以採用可攜式唯讀記憶體(CD-ROM)光碟並包括程式碼,並可以在終端設備,例如個人電腦上運行。然而,本發明的程式產品不限於此,在本檔中,可讀儲存介質可以是任何包含或儲存程式的有形介質,該程式可以被指令執行系統、裝置或者器件使用或者與其結合使用。With reference to Figure 11, a
所述程式產品可以採用一個或多個可讀介質的任意組合。可讀介質可以是可讀信號介質或者可讀儲存介質。可讀儲存介質例如可以為但不限於電、磁、光、電磁、紅外線、或半導體的系統、裝置或器件,或者任意以上的組合。可讀儲存介質的更具體的例子(非窮舉的列表)包括:具有一個或多個導線的電連接、可攜式光碟、硬碟、隨機存取記憶體(RAM)、唯讀記憶體(ROM)、可擦式可程式設計唯讀記憶體(EPROM或快閃記憶體)、光纖、可攜式唯讀記憶體(CD-ROM)光碟、光記憶體件、磁記憶體件、或者上述的任意合適的組合。The program product can use any combination of one or more readable media. The readable medium may be a readable signal medium or a readable storage medium. The readable storage medium may be, for example, but not limited to, an electrical, magnetic, optical, electromagnetic, infrared, or semiconductor system, device, or device, or a combination of any of the above. More specific examples (non-exhaustive list) of readable storage media include: electrical connections with one or more wires, portable optical discs, hard drives, random access memory (RAM), read-only memory ( ROM), erasable programmable read-only memory (EPROM or flash memory), optical fiber, portable read-only memory (CD-ROM) optical disc, optical memory device, magnetic memory device, or the above Any suitable combination of.
所述電腦可讀儲存介質可以包括在基帶中或者作為載波一部分傳播的資料信號,其中承載了可讀程式碼。這種傳播的資料信號可以採用多種形式,包括但不限於電磁信號、光信號或上述的任意合適的組合。可讀儲存介質還可以是可讀儲存介質以外的任何可讀介質,該可讀介質可以發送、傳播或者傳輸用於由指令執行系統、裝置或者器件使用或者與其結合使用的程式。可讀儲存介質上包含的程式碼可以用任何適當的介質傳輸,包括但不限於無線、有線、光纜、RF等等,或者上述的任意合適的組合。The computer-readable storage medium may include a data signal propagated in baseband or as a part of a carrier wave, which carries readable program codes. This propagated data signal can take many forms, including but not limited to electromagnetic signals, optical signals, or any suitable combination of the foregoing. The readable storage medium may also be any readable medium other than the readable storage medium, and the readable medium may send, propagate, or transmit a program for use by or in combination with the instruction execution system, apparatus, or device. The program code contained on the readable storage medium can be transmitted by any suitable medium, including but not limited to wireless, wired, optical cable, RF, etc., or any suitable combination of the above.
可以以一種或多種程式設計語言的任意組合來編寫用於執行本發明操作的程式碼,所述程式設計語言包括物件導向的程式設計語言-諸如Java、C++等,還包括常規的過程式程式設計語言-諸如“C”語言或類似的程式設計語言。程式碼可以完全地在使用者計算設備上執行、部分地在使用者設備上執行、作為一個獨立的套裝軟體執行、部分在使用者計算設備上部分在遠端計算設備上執行、或者完全在遠端計算設備或伺服器上執行。在涉及遠端計算設備的情形中,遠端計算設備可以通過任意種類的網路,包括局域網(LAN)或廣域網路(WAN),連接到使用者計算設備,或者,可以連接到外部計算設備(例如利用網際網路服務提供者來通過網際網路連接)。The programming code used to perform the operations of the present invention can be written in any combination of one or more programming languages. The programming languages include object-oriented programming languages-such as Java, C++, etc., as well as conventional procedural programming. Language-such as "C" language or similar programming language. The code can be executed entirely on the user's computing device, partly on the user's device, executed as a stand-alone software package, partly on the user's computing device and partly executed on the remote computing device, or completely remotely executed. On the end computing device or server. In the case of a remote computing device, the remote computing device can be connected to a user computing device through any kind of network, including a local area network (LAN) or a wide area network (WAN), or it can be connected to an external computing device ( For example, using an Internet service provider to connect via the Internet).
本發明所提供的基於V2X技術的路權分配方法、系統、設備及儲存介質具有下列優點:The method, system, equipment and storage medium for the distribution of rights of way based on V2X technology provided by the present invention have the following advantages:
本發明設定指揮權,擁有指揮權的指揮車可以基於V2X技術並結合路權共用路段的車輛狀態分配路權並廣播分配規則,其他車輛在接收到路權分配規則之後依序通行;進一步地,本發明提出了指揮權交接的方法,以保障在路權共用路段中持續的車輛有序通行,從而大大提高了路權共用路段的通行效率和通行安全。The present invention sets the command authority, and the command vehicle with the command authority can allocate the right of way based on the V2X technology and combine with the vehicle status of the right-of-way shared section of the road and broadcast the distribution rules. Other vehicles pass in order after receiving the right-of-way distribution rules; further, The present invention proposes a method for handover of command rights to ensure the continuous orderly passage of vehicles on the right-of-way shared road section, thereby greatly improving the traffic efficiency and traffic safety of the right-of-way shared road section.
綜上所述,雖然本發明已以實施例揭露如上,然其並非用以限定本發明。本發明所屬技術領域中具有通常知識者,在不脫離本發明之精神和範圍內,當可作各種之更動與潤飾。因此,本發明之保護範圍當視後附之申請專利範圍所界定者為準。In summary, although the present invention has been disclosed in the above embodiments, it is not intended to limit the present invention. Those with ordinary knowledge in the technical field of the present invention can make various changes and modifications without departing from the spirit and scope of the present invention. Therefore, the scope of protection of the present invention shall be subject to those defined by the attached patent scope.
S100-S400:步驟S100-S400: steps
| Application Number | Priority Date | Filing Date | Title |
|---|---|---|---|
| CN201811390108.0ACN109598927A (en) | 2018-11-21 | 2018-11-21 | Right of way distribution method, system, equipment and storage medium based on V2X technology |
| CN201811390108.0 | 2018-11-21 |
| Publication Number | Publication Date |
|---|---|
| TW202020823A TW202020823A (en) | 2020-06-01 |
| TWI746930Btrue TWI746930B (en) | 2021-11-21 |
| Application Number | Title | Priority Date | Filing Date |
|---|---|---|---|
| TW108104041ATWI746930B (en) | 2018-11-21 | 2019-02-01 | Road right allocation method, system, device and storage medium based on v2x technology |
| Country | Link |
|---|---|
| CN (1) | CN109598927A (en) |
| TW (1) | TWI746930B (en) |
| Publication number | Priority date | Publication date | Assignee | Title |
|---|---|---|---|---|
| US12283191B2 (en)* | 2022-09-21 | 2025-04-22 | Toyota Motor Engineering & Manufacturing North America, Inc. | Systems and methods to form knowledge hubs for safety guidelines |
| Publication number | Priority date | Publication date | Assignee | Title |
|---|---|---|---|---|
| US11462111B2 (en)* | 2019-04-29 | 2022-10-04 | Qualcomm Incorporated | Method and apparatus for vehicle maneuver planning and messaging |
| CN113115250B (en)* | 2019-12-24 | 2023-03-31 | 中兴通讯股份有限公司 | Automatic driving control method, device, electronic equipment and computer readable medium |
| CN111429741B (en)* | 2020-03-24 | 2022-04-01 | 江苏徐工工程机械研究院有限公司 | Traffic management method, device and system, server and storage medium |
| CN112700661B (en)* | 2020-12-17 | 2022-04-26 | 江苏大学 | Intelligent vehicle confluence method and system under heavy traffic flow |
| CN113793523B (en)* | 2021-08-06 | 2023-01-13 | 华为技术有限公司 | Traffic directing method and device, vehicle-mounted equipment and vehicle |
| Publication number | Priority date | Publication date | Assignee | Title |
|---|---|---|---|---|
| CN107833454A (en)* | 2016-09-16 | 2018-03-23 | 福特全球技术公司 | Vehicle for maintaining traffic order cooperates with to vehicle |
| Publication number | Priority date | Publication date | Assignee | Title |
|---|---|---|---|---|
| US20130278441A1 (en)* | 2012-04-24 | 2013-10-24 | Zetta Research and Development, LLC - ForC Series | Vehicle proxying |
| CN105139677B (en)* | 2015-07-28 | 2017-08-25 | 苏州大学 | The No-shell culture vehicle pass-through guiding system and its bootstrap technique cooperateed with based on bus or train route |
| CN105739534B (en)* | 2016-04-22 | 2020-02-21 | 百度在线网络技术(北京)有限公司 | Multi-vehicle cooperative driving method and device for unmanned vehicle based on Internet of vehicles |
| Publication number | Priority date | Publication date | Assignee | Title |
|---|---|---|---|---|
| CN107833454A (en)* | 2016-09-16 | 2018-03-23 | 福特全球技术公司 | Vehicle for maintaining traffic order cooperates with to vehicle |
| Title |
|---|
| ;陳通,主線分離式平面交叉通行能力研究,長安大學,2009年12月,https://big5.oversea.cnki.net/kcms/detail/detail.aspx?recid=&FileName=2009210428.nh&DbName=CMFD2009&DbCode=CMFD* |
| 王德,車聯網中虛擬智能交通燈的控制算法的研究,黑龍江大學,2018年10月,https://big5.oversea.cnki.net/kcms/detail/detail.aspx?recid=&F ileName=1018068712.nh&DbName=CMFD201802&DbCode=CMFD* |
| 王德,車聯網中虛擬智能交通燈的控制算法的研究,黑龍江大學,2018年10月,https://big5.oversea.cnki.net/kcms/detail/detail.aspx?recid=&F ileName=1018068712.nh&DbName=CMFD201802&DbCode=CMFD。 |
| 陳通,主線分離式平面交叉通行能力研究,長安大學,2009年12月,https://big5.oversea.cnki.net/kcms/detail/detail.aspx?recid=&FileName=2009210428.nh&DbName=CMFD2009&DbCode=CMFD |
| Publication number | Priority date | Publication date | Assignee | Title |
|---|---|---|---|---|
| US12283191B2 (en)* | 2022-09-21 | 2025-04-22 | Toyota Motor Engineering & Manufacturing North America, Inc. | Systems and methods to form knowledge hubs for safety guidelines |
| Publication number | Publication date |
|---|---|
| CN109598927A (en) | 2019-04-09 |
| TW202020823A (en) | 2020-06-01 |
| Publication | Publication Date | Title |
|---|---|---|
| TWI746930B (en) | Road right allocation method, system, device and storage medium based on v2x technology | |
| US11427191B2 (en) | Obstacle avoidance action | |
| KR102034009B1 (en) | Supervisory Control of Vehicles | |
| CN111397631A (en) | Navigation path planning method and device and navigation equipment | |
| EP4291457A1 (en) | System, method, and computer program product for topological planning in autonomous driving using bounds representations | |
| CN111694362B (en) | Driving path planning method and device, storage medium, electronic equipment | |
| US11884304B2 (en) | System, method, and computer program product for trajectory scoring during an autonomous driving operation implemented with constraint independent margins to actors in the roadway | |
| CN114139329A (en) | Virtual test scene construction method and device | |
| KR20210151723A (en) | Vehicle dispatching method and apparatus, electronic device and storage medium and computer program | |
| CN115447612A (en) | A method, device, equipment and storage medium for meeting vehicles on a narrow road | |
| WO2021086781A1 (en) | Obstacle avoidance action | |
| CN115547023A (en) | A vehicle control method, device and system | |
| RU2700301C2 (en) | Device for determining environment, equipment for facilitating movement and method for determining environment | |
| CN110599790B (en) | Method for intelligent driving vehicle to get on and stop, vehicle-mounted equipment and storage medium | |
| LU101055B1 (en) | Method and system for vehicle routing on a road segment | |
| CN114852079A (en) | Behavior decision information generation method, device, electronic device and storage medium | |
| CN114559962A (en) | Control method and control system for automatic driving vehicle and vehicle | |
| JP7501039B2 (en) | Driving assistance device and computer program | |
| WO2023123172A1 (en) | Driving assistance method and related device | |
| CN116373904A (en) | A vehicle intelligent control system based on environment perception and multi-vehicle coordination | |
| Ben-Edigbe et al. | Extent of delay and level of service at signalised roundabout | |
| CN115376333B (en) | Intersection vehicle scheduling method and device and electronic equipment | |
| US20200211371A1 (en) | Learned intersection map from long term sensor data | |
| CN114323059B (en) | Road characterization method, device and equipment | |
| CN115752499A (en) | Path planning method, device, terminal equipment and vehicle |