











本發明涉及半導體製造技術領域,具體地,涉及一種下電極組件及製程腔室。The present invention relates to the technical field of semiconductor manufacturing, in particular, to a lower electrode assembly and a process chamber.
電漿源按照產生方式的不同可以分為容性耦合電漿源(Capacitively Coupled Plasma ,CCP)、感應耦合電漿源(Inductive Coupled Plasma ,ICP)和微波電漿源(Microwave Plasma, MP)。在這三種電漿源中,一般都採用上、下雙電極組件,其中,上電極組件用於產生電漿,例如感應耦合電漿源中的線圈結構。下電極組件用於調節晶片表面的電漿分佈的均勻性和電場強度的大小,以保證沉積均勻性或者蝕刻速率、蝕刻選擇比等滿足製程要求。Plasma sources can be divided into capacitively coupled plasma sources (CCP), inductively coupled plasma sources (ICP) and microwave plasma sources (Microwave Plasma, MP) according to different generation methods. Among the three types of plasma sources, upper and lower double electrode assemblies are generally used, where the upper electrode assembly is used to generate plasma, such as the coil structure in the inductively coupled plasma source. The lower electrode assembly is used to adjust the uniformity of the plasma distribution on the surface of the wafer and the size of the electric field strength to ensure that the deposition uniformity or the etching rate, the etching selection ratio, etc. meet the process requirements.
隨著製程精度要求越來越高,在量產過程中,對型號相同的製程裝置的一致性要求越來越苛刻,其中,下電極組件對地電容就是影響製程結果的關鍵參數之一,型號相同的複數製程裝置的對地電容不一致會直接影響到製程結果不一致。As the process accuracy requirements become higher and higher, in the mass production process, the consistency requirements of the process devices of the same model are becoming more and more stringent. Among them, the capacitance of the bottom electrode assembly to the ground is one of the key parameters that affect the process results. The inconsistent ground capacitance of the same plural process devices will directly affect the inconsistent process results.
下電極組件對地電容主要是指在基座與位於其下方的製程腔室的腔室壁之間形成的等效電容。目前的下電極組件無法對該等效電容進行調節,這會產生如下問題:由於型號相同的複數製程裝置的生產批次不同,以及裝配過程中產生的誤差均會導致複數製程裝置中下電極組件對地電容不一致,而不同的接地電容會導致蝕刻速率、蝕刻均勻性分佈不一致等問題,從而造成型號相同的製程裝置的一致性無法達到要求,無法實現正常製程。The capacitance of the bottom electrode assembly to ground mainly refers to the equivalent capacitance formed between the base and the chamber wall of the process chamber located below it. The current bottom electrode assembly cannot adjust the equivalent capacitance, which will cause the following problems: due to the different production batches of the multiple process devices of the same model, and the errors generated during the assembly process, the bottom electrode components in the multiple process devices will be paired. The ground capacitance is inconsistent, and different ground capacitances will cause problems such as inconsistent etching rate and etching uniformity distribution, which will cause the consistency of the process devices of the same model to fail to meet the requirements, and the normal process cannot be realized.
本發明旨在至少解決先前技術中存在的技術問題之一,提出了一種下電極組件及製程腔室,其可以實現對下電極組件對地電容的調節,從而可以使型號相同的製程裝置的一致性滿足要求。The present invention aims to solve at least one of the technical problems existing in the prior art, and proposes a bottom electrode assembly and a process chamber, which can adjust the capacitance of the bottom electrode assembly to ground, so that the process devices of the same model can be consistent. Sex meets the requirements.
為實現本發明的目的而提供一種下電極組件,包括基座以及設置在該基座與腔室底壁之間的絕緣環,該絕緣環能夠使得該基座與該腔室底壁之間形成等效電容,該等效電容由至少兩種不同介電質填充形成的平行板電容並聯而成。In order to achieve the objective of the present invention, a lower electrode assembly is provided, which includes a base and an insulating ring disposed between the base and the bottom wall of the chamber. The insulating ring can make the base and the bottom wall of the chamber form The equivalent capacitance is formed by parallel plate capacitances filled with at least two different dielectric materials in parallel.
較佳的,該絕緣環包括對應一部分該基座的底面的邊緣區域的環體,且該環體的徑向寬度滿足使該等效電容達到期望值的條件。Preferably, the insulating ring includes a ring body corresponding to a part of the edge area of the bottom surface of the base, and the radial width of the ring body satisfies the condition that the equivalent capacitance reaches a desired value.
較佳的,該環體的數量為一個,且該環體的徑向寬度小於該邊緣區域的徑向寬度。Preferably, the number of the ring body is one, and the radial width of the ring body is smaller than the radial width of the edge area.
較佳的,該環體的徑向寬度滿足下述公式: L=(R-r)/4 其中,L為該環體的徑向寬度,R為該邊緣區域的外徑,r為該邊緣區域的內徑。Preferably, the radial width of the ring body satisfies the following formula: L=(Rr)/4 where L is the radial width of the ring body, R is the outer diameter of the edge region, and r is the edge region the inside diameter of.
較佳的,該環體的徑向寬度滿足下述公式: L=(R-r)/2 其中,L為該環體的徑向寬度,R為該邊緣區域的外徑,r為該邊緣區域的內徑。Preferably, the radial width of the ring body satisfies the following formula: L=(Rr)/2 where L is the radial width of the ring body, R is the outer diameter of the edge region, and r is the edge region the inside diameter of.
較佳的,該環體的徑向寬度滿足下述公式: L=3*(R-r)/4 其中,L為該環體的徑向寬度,R為該邊緣區域的外徑,r為該邊緣區域的內徑。Preferably, the radial width of the ring body satisfies the following formula: L=3*(Rr)/4 where L is the radial width of the ring body, R is the outer diameter of the edge region, and r is the edge The inner diameter of the area.
較佳的,該環體的數量為至少兩個,且互為同心環,並且在各個相鄰的兩個該環體中,位於外側的環體的內徑與位於內側的環體的外徑相等; 通過使其中一個該環體的徑向寬度不變,且調節其餘該環體的徑向寬度,來使該等效電容達到期望值。Preferably, the number of the ring bodies is at least two, and they are concentric rings with each other, and in each of the two adjacent ring bodies, the inner diameter of the ring body located on the outer side and the outer diameter of the ring body located on the inner side Equal; By making the radial width of one of the ring bodies constant, and adjusting the radial width of the other ring bodies, the equivalent capacitance can reach the desired value.
較佳的,該環體的數量為兩個,分別為第一環體和位於其外側的第二環體,其中, 該第一環體的內徑與該邊緣區域的內徑相等; 該第二環體的內徑與該第一環體的外徑相等; 通過設定該第二環體的外徑,來使該等效電容達到期望值。Preferably, the number of the ring body is two, respectively a first ring body and a second ring body located outside of the first ring body, wherein the inner diameter of the first ring body is equal to the inner diameter of the edge region; The inner diameter of the second ring body is equal to the outer diameter of the first ring body; by setting the outer diameter of the second ring body, the equivalent capacitance can reach a desired value.
較佳的,該環體的數量為兩個,分別為第一環體和位於其內側的第二環體,其中, 該第一環體的外徑與該邊緣區域的外徑相等; 該第二環體的外徑與該第一環體的內徑相等; 通過設定該第二環體的內徑,來使該等效電容達到期望值。Preferably, the number of the ring body is two, respectively a first ring body and a second ring body located inside the ring body, wherein the outer diameter of the first ring body is equal to the outer diameter of the edge region; The outer diameter of the second ring body is equal to the inner diameter of the first ring body; by setting the inner diameter of the second ring body, the equivalent capacitance can reach a desired value.
較佳的,該環體的數量為三個,分別為第一環體、第二環體和第三環體,其中, 該第一環體的中心線與該邊緣區域的中心線重合; 該第二環體位於該第一環體的外側,且該第二環體的內徑與該第一環體的外徑相等; 該第三環體位於該第一環體的內側,且該第三環體的外徑與該第一環體的內徑相等; 通過分別設定該第二環體的外徑和該第三環體的內徑,來使該等效電容達到期望值。Preferably, the number of the ring body is three, which are respectively a first ring body, a second ring body and a third ring body, wherein the center line of the first ring body coincides with the center line of the edge region; The second ring body is located on the outer side of the first ring body, and the inner diameter of the second ring body is equal to the outer diameter of the first ring body; the third ring body is located on the inner side of the first ring body, and the first ring body The outer diameter of the three-ring body is equal to the inner diameter of the first ring body; the equivalent capacitance can reach a desired value by setting the outer diameter of the second ring body and the inner diameter of the third ring body respectively.
較佳的,該絕緣環還包括上連接環和下連接環,其中, 該上連接環設置在該環體的頂面與該基座的底面之間;該上連接環分別與該基座和該環體固定連接; 該下連接環設置在該環體的底面與該腔室底壁的頂面之間;該下連接環分別與該腔室底壁和該環體固定連接。Preferably, the insulating ring further includes an upper connecting ring and a lower connecting ring, wherein the upper connecting ring is arranged between the top surface of the ring body and the bottom surface of the base; the upper connecting ring is connected to the base and the base respectively. The ring body is fixedly connected; the lower connecting ring is arranged between the bottom surface of the ring body and the top surface of the bottom wall of the chamber; the lower connecting ring is fixedly connected to the bottom wall of the chamber and the ring body respectively.
較佳的,在該上連接環與該基座之間、在該上連接環與該環體之間、在該下連接環與該腔室底壁之間以及在該下連接環與該環體之間均設置有密封圈。Preferably, between the upper connecting ring and the base, between the upper connecting ring and the ring body, between the lower connecting ring and the bottom wall of the chamber, and between the lower connecting ring and the ring Sealing rings are arranged between the bodies.
作為另一個技術方案,本發明還提供一種製程腔室,包括本發明提供的上述下電極組件。As another technical solution, the present invention also provides a process chamber, which includes the above-mentioned lower electrode assembly provided by the present invention.
本發明具有以下有益效果: 本發明提供的下電極組件,其在基座與腔室底壁之間設置有絕緣環,該絕緣環能夠在基座與腔室底壁之間形成等效電容,該等效電容由至少兩種不同介電質填充形成的平行板電容並聯而成,通過設定介電質的數量、介電常數(即介電質材料)和徑向寬度,可以實現對下電極組件對地電容的調節,以使型號相同的製程裝置的下電極組件對地電容一致,從而可以提高蝕刻速率、蝕刻均勻性分佈的一致性,從而可以使型號相同的製程裝置的一致性滿足要求。The present invention has the following beneficial effects: The lower electrode assembly provided by the present invention is provided with an insulating ring between the base and the bottom wall of the chamber, and the insulating ring can form an equivalent capacitance between the base and the bottom wall of the chamber, The equivalent capacitance is formed by connecting parallel plate capacitors filled with at least two different dielectrics in parallel. By setting the number of dielectrics, dielectric constant (ie, dielectric material) and radial width, the lower electrode can be The adjustment of the component-to-ground capacitance to make the bottom electrode components of the process device of the same model have the same ground capacitance, which can improve the uniformity of the etching rate and the uniformity of the etching, so that the uniformity of the process device of the same model can meet the requirements .
本發明提供的製程腔室,其通過採用本發明提供的上述下電極組件,可以提高蝕刻速率、蝕刻均勻性分佈的一致性,從而可以使型號相同的製程裝置的一致性滿足要求。The process chamber provided by the present invention can improve the uniformity of etching rate and uniformity distribution of etching by adopting the above-mentioned lower electrode assembly provided by the present invention, so that the uniformity of process devices of the same model can meet the requirements.
為使本領域的技術人員更好地理解本發明的技術方案,下面結合附圖來對本發明提供的下電極組件及製程腔室進行詳細描述。In order to enable those skilled in the art to better understand the technical solution of the present invention, the lower electrode assembly and the process chamber provided by the present invention will be described in detail below with reference to the accompanying drawings.
請一併參閱第1A圖和第1B圖,本發明第一實施例提供一種下電極組件,其包括基座1以及設置在該基座1與腔室底壁2之間的絕緣環3,該絕緣環3能夠使得基座1與腔室底壁2之間形成等效電容,該等效電容即為下電極組件對地電容。Please refer to FIGS. 1A and 1B together. The first embodiment of the present invention provides a lower electrode assembly, which includes a
並且,等效電容由至少兩種不同介電質填充形成的平行板電容並聯而成。通過設定介電質的數量、介電常數(即介電質材料)和徑向寬度,可以實現對下電極組件對地電容的調節,以使型號相同的製程裝置的下電極組件對地電容一致,從而可以提高蝕刻速率、蝕刻均勻性分佈的一致性,進而可以使型號相同的製程裝置的一致性滿足要求。In addition, the equivalent capacitance is formed by connecting parallel plate capacitors filled with at least two different dielectric materials in parallel. By setting the number of dielectrics, dielectric constant (ie, dielectric material), and radial width, the bottom electrode assembly's capacitance to ground can be adjusted to make the bottom electrode assembly's capacitance to ground of the same type of process device consistent Therefore, the uniformity of etching rate and uniformity distribution of etching can be improved, and the uniformity of process devices of the same model can meet the requirements.
在本實施例中,絕緣環3包括對應一部分基座1的底面的邊緣區域11的環體,也就是說,該環體在邊緣區域11所在平面的正投影落在邊緣區域11內。具體地,如第1B圖所示,環體的數量可以為一個,且該環體的徑向寬度L小於上述邊緣區域11的徑向寬度(R-r)/2,邊緣區域11除對應環體之外的其餘部分與腔室底壁2之間的空間,即腔室內的製程環境(通常是真空)。該環體不僅起到支撐基座1的作用,同時作為在基座1和腔室底壁2形成的平行板電容之間的介電質填充材料,以增大該平行板電容的電容值。由於環體僅對應一部分邊緣區域11,這使得環體所在區域填滿物為介電質的平行板電容,其餘區域形成了填充物為真空的平行板電容,這兩個平行板電容相互並聯。由此,通過設定環體的徑向寬度,可以實現對下電極組件對地電容的調節。In this embodiment, the
並且,上述環體的徑向寬度滿足使上述等效電容達到期望值的條件,即通過設定不同的環體的徑向寬度,可以實現對下電極組件對地電容的調節。In addition, the radial width of the ring body satisfies the condition for the equivalent capacitance to reach the desired value, that is, by setting different radial widths of the ring body, the ground capacitance of the lower electrode assembly can be adjusted.
如第1C圖所示,若環體的徑向寬度與邊緣區域11的徑向寬度一致,則形成填充物為絕緣介電質31的平行板電容C。該平行板電容C等於:其中,為絕緣介電質31的相對介電常數,例如陶瓷為9.8,為真空介電常數,R為邊緣區域11的外徑,r為邊緣區域11的內徑,d為平行板電容C的間距。As shown in FIG. 1C, if the radial width of the ring body is the same as the radial width of the
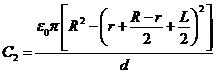
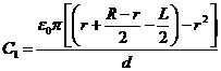
如第1D圖所示,若環體的徑向寬度L小於上述邊緣區域11的徑向寬度(R-r)/2,假設環體對應邊緣區域11的中間區域,則形成了相互並聯的兩個填充物為真空的平行板電容和一個填充物為絕緣介電質32的平行板電容。總平行板電容Cr等於:其中,C1和C3為兩個填充物為真空的平行板電容,C2為填充物為絕緣介電質32的平行板電容。As shown in Figure 1D, if the radial width L of the ring body is smaller than the radial width (Rr)/2 of the
其中一個填充物為真空的平行板電容C1等於:其中另一個填充物為真空的平行板電容C3等於:填充物為絕緣介電質32的平行板電容C2等於:由上可知,填充物只有絕緣介電質31的平行板電容C與填充物有真空和絕緣介電質32的平行板電容Cr的大小不同。因此,通過改變環體的徑向寬度,可以調節上述等效電容的大小。The parallel plate capacitance C 1 with one of the fillings being vacuum is equal to:The parallel plate capacitance C 3 of which the other filling is vacuum is equal to:The parallel plate capacitance C 2 where the filler is an insulating dielectric 32 is equal to: It can be seen from the above that only the parallel plate capacitor C with the insulating dielectric 31 and the parallel plate capacitor Cr with the vacuum and insulating dielectric 32 as the filler are different in size. Therefore, by changing the radial width of the ring body, the magnitude of the above-mentioned equivalent capacitance can be adjusted.
例如,環體的徑向寬度滿足下述公式: L=(R-r)/4 假設邊緣區域11的內徑r大約為其外徑R的3/4,可以估算出:填充物有真空和絕緣介電質32的平行板電容Cr是填充物只有絕緣介電質31的平行板電容C的28.23%。For example, the radial width of the ring satisfies the following formula: L=(Rr)/4 Assuming that the inner diameter r of the
又如,環體的徑向寬度滿足下述公式: L=(R-r)/2 假設邊緣區域11的內徑r大約為其外徑R的3/4,可以估算出:填充物有真空和絕緣介電質32的平行板電容Cr是填充物只有絕緣介電質31的平行板電容C的50.73%。For another example, the radial width of the ring body satisfies the following formula: L=(Rr)/2 Assuming that the inner diameter r of the
再如,環體的徑向寬度滿足下述公式: L=3*(R-r)/4 假設邊緣區域11的內徑r大約為其外徑R的3/4,可以估算出:填充物有真空和絕緣介電質32的平行板電容Cr是填充物只有絕緣介電質31的平行板電容C的77.06%。For another example, the radial width of the ring satisfies the following formula: L=3*(Rr)/4 Assuming that the inner diameter r of the
由此可知,環體的徑向寬度L越大,則平行板電容Cr越大;反之,環體的徑向寬度L越小,則平行板電容Cr越小。It can be seen that the larger the radial width L of the ring body, the larger the parallel plate capacitance Cr; conversely, the smaller the radial width L of the ring body, the smaller the parallel plate capacitance Cr.
需要說明的是,在本實施例中,環體對應邊緣區域11的中間區域,但是本發明並不侷限於此,在實際應用中,也可以使環體對應邊緣區域11的靠近外邊緣或者內邊緣的區域,或者環體的外徑等於邊緣區域11的外徑,或者環體的內徑等於邊緣區域11的內徑。It should be noted that in this embodiment, the ring body corresponds to the middle area of the
本發明第二實施例提供的下電極組件,其與上述第一實施例相比,其區別僅在於:環體的數量和設置方式不同。Compared with the above-mentioned first embodiment, the lower electrode assembly provided by the second embodiment of the present invention differs only in the number and arrangement of the ring bodies.
具體地,環體的數量還可以為至少兩個,且互為同心環,並且在各個相鄰的兩個環體中,位於外側的環體的內徑與位於內側的環體的外徑相等;通過使其中一個環體的徑向寬度不變,且調節其餘環體的徑向寬度,來使等效電容達到期望值,從而可以降低調節難度。Specifically, the number of ring bodies can also be at least two, and they are concentric rings, and in each of the two adjacent ring bodies, the inner diameter of the ring body located on the outer side is equal to the outer diameter of the ring body located on the inner side. ; By making the radial width of one of the ring bodies constant and adjusting the radial width of the remaining ring bodies, the equivalent capacitance can reach the desired value, thereby reducing the difficulty of adjustment.
在本實施例中,如第2A圖所示,環體的數量為兩個,分別為第一環體33和位於其外側的第二環體34,其中,第一環體33的內徑與邊緣區域11的內徑r相等。第二環體34的內徑與第一環體33的外徑相等。在這種情況下,可以採用下述方式調節等效電容的大小,即,通過設定第二環體34的外徑,來使等效電容達到期望值。進一步說,第一環體33的徑向寬度是固定不變的。在此基礎上,設定的第二環體34的外徑不同,則第二環體34的徑向寬度L1會改變,即,第二環體34的外徑越大,則第二環體34的徑向寬度L1越大,從而第一環體33和第二環體34的徑向寬度之和越大;反之,第二環體34的外徑越小,則第二環體34的徑向寬度L1越小,從而第一環體33和第二環體34的徑向寬度之和越小。因此,僅通過設定第二環體34的外徑,即可實現對等效電容的調節,從而可以降低調節難度。In this embodiment, as shown in Figure 2A, the number of ring bodies is two, namely the
與上述調節等效電容的大小的方式相類似的,如第2B圖所示,環體的數量為兩個,分別為第一環體33和位於其內側的第二環體34,其中,第一環體33的外徑與邊緣區域11的外徑R相等。第二環體34的外徑與第一環體33的內徑相等。在這種情況下,可以採用下述方式調節等效電容的大小,即,通過設定第二環體34的內徑,來使等效電容達到期望值。進一步說,第一環體33的徑向寬度是固定不變的。在此基礎上,設定的第二環體34的內徑不同,則第二環體34的徑向寬度L1會改變,即,第二環體34的內徑越小,則第二環體34的徑向寬度L1越大,從而第一環體33和第二環體34的徑向寬度之和越大;反之,第二環體34的內徑越大,則第二環體34的徑向寬度L1越小,從而第一環體33和第二環體34的徑向寬度之和越小。因此,僅通過設定第二環體34的內徑,即可實現對等效電容的調節,從而可以降低調節難度。Similar to the above-mentioned way of adjusting the size of the equivalent capacitance, as shown in Figure 2B, the number of ring bodies is two, namely the
與上述調節等效電容的大小的方式相類似的,如第2C圖所示,環體的數量還可以為三個,分別為第一環體33、第二環體34和第三環體35,其中,第一環體33的中心線與邊緣區域11的中心線重合;第二環體34位於第一環體33的外側,且第二環體34的內徑與第一環體33的外徑相等;第三環體35位於第一環體33的內側,且第三環體33的外徑與第一環體33的內徑相等。在這種情況下,可以採用下述方式調節等效電容的大小,即,通過分別設定第二環體34的外徑和第三環體35的內徑,來使等效電容達到期望值。進一步說,第一環體33的徑向寬度是固定不變的。在此基礎上,第二環體34的外徑越大,第三環體35的內徑越小,則第二環體34的徑向寬度L1越大,第三環體35的徑向寬度L2越大,從而第一環體33、第二環體34和第三環體35的徑向寬度之和越大;反之,第二環體34的外徑越小,第三環體35的內徑越大,則第二環體34的徑向寬度L1越小,第三環體35的徑向寬度L2越小,從而第一環體33、第二環體34和第三環體35的徑向寬度之和越小。因此,僅通過分別設定第二環體34的外徑和第三環體35的內徑,即可實現對等效電容的調節,從而可以降低調節難度。Similar to the above-mentioned way of adjusting the size of the equivalent capacitance, as shown in Figure 2C, the number of ring bodies can also be three, namely the
當然,在實際應用中,還可以採用其他任意方式改變環體的徑向寬度,以實現對等效電容的調節。Of course, in practical applications, any other method may be used to change the radial width of the ring body to achieve the adjustment of the equivalent capacitance.
請一併參閱第3A圖至第3D圖,本發明第三實施例提供的下電極組件,其在上述第一、第二實施例的基礎上,絕緣環3還包括上連接環4和下連接環5,以便於實現環體的安裝。Please refer to FIGS. 3A to 3D together. The bottom electrode assembly provided by the third embodiment of the present invention is based on the above-mentioned first and second embodiments. The insulating
具體地,上連接環4設置在環體的頂面與基座1的底面之間,並且上連接環4分別與基座1和環體固定連接。其中,在上連接環4的靠近外邊緣的位置處設置有複數連接孔41,用於通過螺釘將上連接環4與基座1固定連接。在上連接環4的與環體相對的適當位置處設置有複數連接孔42,並且在環體的與上連接環4相對的表面上設置有複數螺紋孔301,用於通過螺釘將上連接環4與環體固定連接。Specifically, the upper connecting
下連接環5設置在環體的底面與腔室底壁2的頂面之間,並且下連接環5分別與腔室底壁2和環體固定連接。其中,在下連接環5的靠近外邊緣的位置處設置有複數連接孔51,用於通過螺釘將下連接環5與腔室底壁2固定連接。在下連接環5的與環體相對的適當位置處設置有複數連接孔52,並且在環體的與下連接環5相對的表面上設置有複數螺紋孔301,用於通過螺釘將下連接環5與環體固定連接。The lower connecting
為了實現密封,在上連接環4與基座1之間、在上連接環4與環體之間、在下連接環5與腔室底壁2之間以及在下連接環5與環體之間均設置有密封圈。具體地,可以在環體分別與上連接環4和下連接環5相對的表面上設置用於安裝密封圈的環形凹道302;在上連接環4分別與基座1和環體相對的表面上設置用於安裝密封圈的環形凹道43;以及,在下連接環5分別與腔室底壁2和環體相對的表面上設置用於安裝密封圈的環形凹道53。In order to achieve sealing, between the upper connecting
作為另一個技術方案,如第4圖所示,本發明實施例還提供一種製程腔室100,其包括本發明上述各個實施例提供的下電極組件。As another technical solution, as shown in FIG. 4, an embodiment of the present invention also provides a
在本實施例中,下電極組件包括基座101,且在該基座101的周圍由上而下依次設置有聚焦環102、基環103、隔離環104和絕緣環105。而且,位於基座101的底面下方的腔室底壁,基座101的底面與該底部腔室壁之間形成等效電容。In this embodiment, the lower electrode assembly includes a
本發明實施例提供的製程腔室,其通過採用本發明上述各個實施例提供的上述下電極組件,可以提高蝕刻速率、蝕刻均勻性分佈的一致性,從而可以使型號相同的製程裝置的一致性滿足要求。The process chamber provided by the embodiment of the present invention can improve the uniformity of the etching rate and uniformity distribution of the etching by adopting the above-mentioned lower electrode assembly provided in the above-mentioned various embodiments of the present invention, so that the uniformity of the process devices of the same model can be achieved fulfil requirements.
可以理解的是,以上實施方式僅僅是為了說明本發明的原理而採用的示例性實施方式,然而本發明並不侷限於此。對於本領域內的普通技術人員而言,在不脫離本發明的精神和實質的情況下,可以做出各種變型和改進,這些變型和改進也視為本發明的保護範圍。It can be understood that the above implementations are merely exemplary implementations used to illustrate the principle of the present invention, but the present invention is not limited thereto. For those of ordinary skill in the art, various modifications and improvements can be made without departing from the spirit and essence of the present invention, and these modifications and improvements are also deemed to be within the protection scope of the present invention.
1、101‧‧‧基座2‧‧‧腔室底壁3、105‧‧‧絕緣環4‧‧‧上連接環5‧‧‧下連接環11‧‧‧邊緣區域31、32‧‧‧絕緣介電質33‧‧‧第一環體34‧‧‧第二環體35‧‧‧第三環體41、42、51、52‧‧‧連接孔43、53、302‧‧‧環形凹道100‧‧‧製程腔室102‧‧‧聚焦環103‧‧‧基環104‧‧‧隔離環301‧‧‧螺紋孔C、C1、C2、C3‧‧‧平行板電容I‧‧‧區域L、L1、L2‧‧‧徑向寬度r‧‧‧內徑R‧‧‧外徑1,101‧‧‧Base 2,‧‧‧Chamber bottom wall 3,105‧‧‧
第1A圖為本發明第一實施例提供的下電極組件的結構圖; 第1B圖為本發明第一實施例中環體的仰視圖; 第1C圖為一種環體的電容等效圖; 第1D圖為另一種環體的電容等效圖; 第2A圖為本發明第二實施例中一種環體的仰視圖; 第2B圖為本發明第二實施例中另一種環體的仰視圖; 第2C圖為本發明第二實施例中又一種環體的仰視圖; 第3A圖為本發明第三實施例提供的下電極組件的結構圖; 第3B圖為第3A圖中I區域的放大圖; 第3C圖為本發明第三實施例中環體的俯視圖; 第3D圖為本發明第三實施例中上連接環的俯視圖; 第4圖為本發明提供的製程腔室的剖視圖。Fig. 1A is a structural diagram of the lower electrode assembly provided by the first embodiment of the present invention; Fig. 1B is a bottom view of the ring body in the first embodiment of the present invention; Fig. 1C is a capacitance equivalent diagram of a ring body; Fig. 2A is a bottom view of a ring in the second embodiment of the present invention; Figure 2B is a bottom view of another ring in the second embodiment of the present invention; Figure 2C is a bottom view of yet another ring body in the second embodiment of the present invention; Figure 3A is a structural view of the lower electrode assembly provided by the third embodiment of the present invention; Figure 3B is an enlarged view of area I in Figure 3A Figure 3C is a top view of the ring body in the third embodiment of the present invention; Figure 3D is a top view of the upper connecting ring in the third embodiment of the present invention; Figure 4 is a cross-sectional view of the process chamber provided by the present invention.
3‧‧‧絕緣環3‧‧‧Insulation ring
11‧‧‧邊緣區域11‧‧‧Edge area
L‧‧‧徑向寬度L‧‧‧radial width
r‧‧‧內徑r‧‧‧Inner diameter
R‧‧‧外徑R‧‧‧Outer diameter
| Application Number | Priority Date | Filing Date | Title |
|---|---|---|---|
| ??201710749263.6 | 2017-08-28 | ||
| CN201710749263.6 | 2017-08-28 | ||
| CN201710749263.6ACN107610999B (en) | 2017-08-28 | 2017-08-28 | Lower electrode mechanism and reaction chamber |
| Publication Number | Publication Date |
|---|---|
| TW201913710A TW201913710A (en) | 2019-04-01 |
| TWI725336Btrue TWI725336B (en) | 2021-04-21 |
| Application Number | Title | Priority Date | Filing Date |
|---|---|---|---|
| TW107129024ATWI725336B (en) | 2017-08-28 | 2018-08-20 | Lower electrode assembly and process chamber |
| Country | Link |
|---|---|
| CN (1) | CN107610999B (en) |
| TW (1) | TWI725336B (en) |
| Publication number | Priority date | Publication date | Assignee | Title |
|---|---|---|---|---|
| WO2019042179A1 (en)* | 2017-08-28 | 2019-03-07 | 北京北方华创微电子装备有限公司 | Lower electrode assembly and process chamber |
| CN107610999B (en)* | 2017-08-28 | 2024-08-23 | 北京北方华创微电子装备有限公司 | Lower electrode mechanism and reaction chamber |
| KR102077974B1 (en)* | 2019-08-29 | 2020-02-14 | 주식회사 기가레인 | Plasma treatment device including a focus ring with improved plasma treatment vertical angle |
| CN114203514A (en)* | 2021-12-14 | 2022-03-18 | 拓荆科技股份有限公司 | Wafer support base and process chamber |
| Publication number | Priority date | Publication date | Assignee | Title |
|---|---|---|---|---|
| TW200830941A (en)* | 2007-01-15 | 2008-07-16 | Jehara Corp | Plasma generating apparatus |
| TW201119524A (en)* | 2009-03-27 | 2011-06-01 | Tokyo Electron Ltd | Plasma processing apparatus and plasma processing method |
| TWM423909U (en)* | 2010-06-30 | 2012-03-01 | Lam Res Corp | Confinement ring |
| CN203895409U (en)* | 2013-02-12 | 2014-10-22 | 应用材料公司 | Edge ring assembly |
| US20170053820A1 (en)* | 2015-08-18 | 2017-02-23 | Lam Research Corporation | Edge ring assembly for improving feature profile tilting at extreme edge of wafer |
| CN107610999A (en)* | 2017-08-28 | 2018-01-19 | 北京北方华创微电子装备有限公司 | Bottom electrode mechanism and reaction chamber |
| Publication number | Priority date | Publication date | Assignee | Title |
|---|---|---|---|---|
| CN100543944C (en)* | 2004-04-30 | 2009-09-23 | 东京毅力科创株式会社 | Plasma processing device and plasma processing method |
| US8012306B2 (en)* | 2006-02-15 | 2011-09-06 | Lam Research Corporation | Plasma processing reactor with multiple capacitive and inductive power sources |
| JP2009187673A (en)* | 2008-02-01 | 2009-08-20 | Nec Electronics Corp | Plasma treatment device and method |
| CN102387655B (en)* | 2010-09-06 | 2015-10-21 | 北京北方微电子基地设备工艺研究中心有限责任公司 | For bottom electrode and the plasma apparatus of plasma apparatus |
| US9396908B2 (en)* | 2011-11-22 | 2016-07-19 | Lam Research Corporation | Systems and methods for controlling a plasma edge region |
| CN104715996B (en)* | 2013-12-13 | 2018-04-06 | 北京北方华创微电子装备有限公司 | Lower electrode device and plasma processing device |
| CN106702335B (en)* | 2015-11-13 | 2019-08-23 | 北京北方华创微电子装备有限公司 | Lower electrode and semiconductor processing equipment |
| CN106816354B (en)* | 2015-12-02 | 2019-08-23 | 北京北方华创微电子装备有限公司 | A kind of lower electrode and reaction chamber |
| CN207542191U (en)* | 2017-08-28 | 2018-06-26 | 北京北方华创微电子装备有限公司 | Bottom electrode mechanism and reaction chamber |
| Publication number | Priority date | Publication date | Assignee | Title |
|---|---|---|---|---|
| TW200830941A (en)* | 2007-01-15 | 2008-07-16 | Jehara Corp | Plasma generating apparatus |
| TW201119524A (en)* | 2009-03-27 | 2011-06-01 | Tokyo Electron Ltd | Plasma processing apparatus and plasma processing method |
| TWM423909U (en)* | 2010-06-30 | 2012-03-01 | Lam Res Corp | Confinement ring |
| CN203895409U (en)* | 2013-02-12 | 2014-10-22 | 应用材料公司 | Edge ring assembly |
| US20170053820A1 (en)* | 2015-08-18 | 2017-02-23 | Lam Research Corporation | Edge ring assembly for improving feature profile tilting at extreme edge of wafer |
| CN107610999A (en)* | 2017-08-28 | 2018-01-19 | 北京北方华创微电子装备有限公司 | Bottom electrode mechanism and reaction chamber |
| Publication number | Publication date |
|---|---|
| CN107610999B (en) | 2024-08-23 |
| CN107610999A (en) | 2018-01-19 |
| TW201913710A (en) | 2019-04-01 |
| Publication | Publication Date | Title |
|---|---|---|
| TWI725336B (en) | Lower electrode assembly and process chamber | |
| US11764039B2 (en) | Wafer support | |
| JP5606565B2 (en) | Variable volume plasma processing chamber and method thereof | |
| CN107564793B (en) | Power deposition control in Inductively Coupled Plasma (ICP) reactors | |
| TWI578369B (en) | Plasma processing device and regulating method of plasma distribution | |
| KR20220087415A (en) | Plasma processing apparatus and focus ring | |
| WO2019062573A1 (en) | Process chamber and capacitively coupled plasma apparatus | |
| WO2015099892A1 (en) | Extreme edge and skew control in icp plasma reactor | |
| CN113939893B (en) | Panels with curved surfaces | |
| KR102430427B1 (en) | systems and methods for improving wafer etch non-uniformity when using transformer-coupled plasma | |
| CN107578975B (en) | Reaction chamber and semiconductor processing equipment | |
| WO2015085882A1 (en) | Bottom electrode apparatus and plasma processing device | |
| TW202139786A (en) | Apparatus and methods for manipulating power at an edge ring in a plasma processing device | |
| TWI755800B (en) | Semiconductor substrate supports with improved high temperature chucking | |
| JP2013168690A (en) | Plasma processing apparatus, focus ring, and focus ring component | |
| TW202112185A (en) | Semiconductor processing device and method | |
| JP5313375B2 (en) | Plasma processing apparatus and focus ring and focus ring component | |
| US20210047730A1 (en) | Chamber configurations for controlled deposition | |
| CN207542191U (en) | Bottom electrode mechanism and reaction chamber | |
| CN106548967A (en) | Bogey and semiconductor processing equipment | |
| TWI822355B (en) | Electrostatic chuck and plasma reaction device to improve etching uniformity | |
| TW202036649A (en) | Sensing coil assembly and reaction chamber | |
| CN207183210U (en) | Reaction chamber and semiconductor processing equipment | |
| TW201338090A (en) | Electrostatic sucking disc | |
| WO2019042179A1 (en) | Lower electrode assembly and process chamber |