









本發明係有關一種光學系統,特別是指一種可應用於頭戴顯示器之短距離之光學系統。The present invention relates to an optical system, in particular to a short-distance optical system applicable to head mounted displays.
頭戴顯示器(Head-mounted display)是用於顯示圖像及色彩的設備,通常是用眼罩或頭盔的形式,將顯示屏貼近使用者的眼睛,通過光路調整焦距以在近距離中對眼睛投射畫面,產生虛擬實境的效果,增加配戴者的臨場感。Head-mounted display (Head-mounted display) is a device used to display images and colors, usually in the form of an eye mask or a helmet. The display is placed close to the user's eyes, and the focus is adjusted through the optical path to project the eyes at close range The screen produces the effect of virtual reality and increases the wearer’s sense of presence.
第1圖所示為虛擬實境的頭戴顯示器之光學系統示意圖,顯示屏10投射出影像,經過一段光程為d的光路後入射至透鏡組22,此透鏡組22為單一透鏡或多個透鏡之組合,用以將影像導入至使用者的人眼24中,假設光程d為40mm,而頭戴顯示器的長度為光程d 加上透鏡組的厚度、適眼距、外殼等,其總和對於戴在頭上的眼罩和頭盔而言略顯笨重,對使用者的鼻樑、頭頂、頸部都會造成負擔無法久戴,故而目前技術係致力於將頭戴顯示器中光學系統的長度縮短,以使頭戴顯示器的厚度縮小,便於使用者配戴使用。Figure 1 shows a schematic diagram of the optical system of a virtual reality head-mounted display. The
因此,本發明即提出一種短距離之光學系統,除了可將光學系統的距離縮短之外,更可擴大視場,有效解決上述該等問題,具體架構及其實施方式容後詳述。Therefore, the present invention proposes a short-distance optical system, which can not only shorten the distance of the optical system, but also expand the field of view, effectively solving the above-mentioned problems. The specific structure and implementation methods will be detailed later.
本發明之主要目的在提供一種短距離之光學系統,其在顯示屏和透鏡組之間設置反射式偏振片、相位延遲片、部分穿透部分反射元件等光學元件,利用光線的相位延遲及多次反射達到近似或相同長度的光程,藉以縮短顯示屏和透鏡組之間的距離,最終可用以將頭戴顯示器微型化。The main purpose of the present invention is to provide a short-distance optical system in which optical elements such as a reflective polarizer, a phase retarder, a partially penetrating and partially reflective element are arranged between the display screen and the lens group, and the phase retardation and multiplicity of light are used. The secondary reflection reaches an optical path of approximately or the same length, thereby shortening the distance between the display screen and the lens group, and finally can be used to miniaturize the head-mounted display.
本發明之另一目的在提供一種短距離之光學系統,其係將所有光學元件設在同軸上,依據顯示屏的偏振情況進行調整,以在縮短顯示屏和透鏡組之間的距離的前提下增加光學系統配置的變化性與靈活性。Another object of the present invention is to provide a short-distance optical system in which all optical elements are arranged on the same axis and adjusted according to the polarization of the display screen, so as to shorten the distance between the display screen and the lens group. Increase the variability and flexibility of the optical system configuration.
本發明之再一目的在提供一種短距離之光學系統,其可應用於頭戴顯示器、遊戲機等產品上之廣角鏡頭或廣角目鏡,利用二透鏡組進行焦距調節,短距離、視場大,可達到良好的像差校正。Another object of the present invention is to provide a short-distance optical system, which can be applied to wide-angle lenses or wide-angle eyepieces on head-mounted displays, game consoles, etc., using two lens groups for focal length adjustment, short distance, large field of view, and Achieve good aberration correction.
為達上述目的,本發明提供一種短距離之光學系統,包括:一顯示屏,輸出影像並發出光線;一光學模組,包括:一反射式偏振片,對應該顯示屏設置,使該光線中垂直偏振光穿透、水平偏振光反射;一第一相位延遲片,對應該反射式偏振片設置,接收穿透該反射式偏振片之該光線,並進行第一次相位延遲;一部分穿透部分反射元件,對應該第一相位延遲片設置,使經第一次相位延遲之該光線部分穿透該部分穿透部分反射元件,部分則反射回該第一相位延遲片進行第二次及第三次相位延遲;至少一光學元件,對應該部分穿透部分反射元件設置,接收部分穿透該部分穿透部分反射元件且經過該第二、第三次相位延遲之該光線,並進行第四次相位延遲;以及至少二透鏡組,分別設置於該光學模組中至少二者之任一側,以調節焦距並將影像導入至少一人眼中。In order to achieve the above objective, the present invention provides a short-distance optical system, including: a display screen, which outputs images and emits light; an optical module, including: a reflective polarizer set corresponding to the display screen so that the light Vertically polarized light penetrates and horizontally polarized light reflects; a first phase retarder is set corresponding to the reflective polarizer, receives the light that penetrates the reflective polarizer, and performs the first phase retardation; part of the penetrating part The reflective element is arranged corresponding to the first phase retarder, so that the light that has undergone the first phase retardation partly penetrates the partly through the partially reflective element, and part is reflected back to the first phase retarder for the second and third times Sub-phase retardation; at least one optical element is provided corresponding to the partially penetrating partially reflective element, receiving the light partially penetrating the partially penetrating partially reflective element and passing through the second and third phase delays, and performing the fourth time Phase delay; and at least two lens groups are respectively arranged on either side of at least two in the optical module to adjust the focal length and lead the image into at least one person's eye.
根據本發明之實施例,該光學元件包括:一第二相位延遲片,對應該部分穿透部分反射元件設置,接收部分穿透該部分穿透部分反射元件且經過該第二、第三次相位延遲之該偏振光,並進行第四次相位延遲;以及一線偏振片,對應第二相位延遲片設置,線偏振片係用以讓只經過兩次相位延遲的偏振光不要通過並只讓經過四次相位延遲之偏振光通過。According to an embodiment of the present invention, the optical element includes: a second phase retarder disposed corresponding to the partially penetrating partially reflective element, the receiving portion penetrating the partially penetrating partially reflective element and passing through the second and third phases The polarized light is retarded, and the fourth phase retardation is performed; and a linear polarizer is set corresponding to the second phase retarder. The linear polarizer is used to prevent the polarized light that has only undergone two phase delays from passing and only let it pass through four Polarized light with sub-phase retardation passes.
根據本發明之另一實施例,該光學元件為一圓偏振片。According to another embodiment of the present invention, the optical element is a circular polarizer.
根據本發明之實施例,該部分穿透部分反射元件所反射回該第一相位延遲片之光線經過該第一相位延遲片的第二次相位延遲後,通過該第一相位延遲片到達該反射式偏振片,並在該反射式偏振片上完成全反射,讓該光線再反射回該第一相位延遲片並進行第三次相位延遲,接著光線穿過該第一相位延遲片及該部分穿透部分反射元件到達該第二相位延遲片。According to an embodiment of the present invention, the partially penetrating partially reflective element and the light reflected back to the first phase retarder passes through the second phase retardation of the first phase retarder, and then reaches the reflection through the first phase retarder. Type polarizer, and complete total reflection on the reflective polarizer, so that the light is reflected back to the first phase retarder for a third phase retardation, and then the light passes through the first phase retarder and the partial penetration The partially reflective element reaches the second phase retarder.
根據本發明之實施例,該第一、第二、第三、第四次相位延遲皆增加1/4波長的奇數倍的相位延遲,使到達該透鏡組之光線共延遲1個波長的整數倍。According to an embodiment of the present invention, the first, second, third, and fourth phase retardation are all increased by an odd multiple of 1/4 wavelength, so that the light arriving at the lens group is delayed by an integer of 1 wavelength. Times.
根據本發明之實施例,該顯示屏送出並進入該反射式偏振片之該光線為線偏振光。該線偏振光經過該第一相位延遲片後轉換可為左圓偏振光或右圓偏振光。According to an embodiment of the present invention, the light emitted from the display screen and entering the reflective polarizer is linearly polarized light. The linearly polarized light can be converted into left circularly polarized light or right circularly polarized light after passing through the first phase retarder.
根據本發明之實施例,該第二相位延遲片及該人眼之間更包括一線偏振片,係用以讓只經過兩次相位延遲的光線不要通過並只讓經過四次相位延遲之光線通過。According to an embodiment of the present invention, a linear polarizer is further included between the second phase retardation film and the human eye, which is used to prevent light that has only undergone two phase retardation from passing through and only allow light that has undergone four phase retardation to pass through .
根據本發明之實施例,該人眼及至該透鏡組之間可放置至少一平板玻璃,該透鏡組至該顯示屏之間亦可放置至少一平板玻璃,並於該平板玻璃上設置對應的該光學模組中之至少一者,其材質可為薄膜材料或為光學鍍膜等以塗佈、鍍膜或黏合等的形式置於該平板玻璃上。According to the embodiment of the present invention, at least one plate glass can be placed between the human eye and the lens group, and at least one plate glass can also be placed between the lens group and the display screen, and the corresponding plate glass can be placed on the plate glass. At least one of the optical modules can be made of thin-film materials or optical coatings, which are placed on the flat glass in the form of coating, coating or bonding.
本發明提供一種短距離之光學系統,其應用於頭戴顯示器,特別是頭戴顯示器的虛擬實境系統,由於是戴在使用者的頭上,若體積太大、太長則難以固定在使用者的頭部而會受重力影響下墜,更會對使用者的頭部和頸部造成負擔,因此頭戴顯示器的大小愈小愈好,特別是長度必須縮短,而本發明之目的即在於利用複數透鏡將光線進行多次反射,在相同長度之光程下使整體光學系統縮短,以達到將頭戴顯示器微型化之目的。The present invention provides a short-distance optical system, which is applied to a head-mounted display, especially a virtual reality system of a head-mounted display. Since it is worn on the user's head, it is difficult to fix it on the user if the volume is too large and too long. The head of the head will fall under the influence of gravity, which will also burden the user’s head and neck. Therefore, the size of the head-mounted display is as small as possible, especially the length must be shortened. The purpose of the present invention is to use plural The lens reflects light multiple times, shortening the overall optical system under the same length of optical path, so as to achieve the purpose of miniaturizing the head-mounted display.
請參考第2圖,其為本發明短距離之光學系統之一實施例之示意圖,包括在一顯示屏10和至少人眼24之間依序包括一反射式偏振片12、一第一相位延遲片14、一部分穿透部分反射元件16、一第二相位延遲片18、一線偏振片20及二透鏡組22,其中,顯示屏10係輸出影像並發出光線,此光線為偏振光或非偏振光,在此實施例中,偏振光為線偏振光,進一步而言,此實施例中之線偏振光之偏振方向係與光路垂直;反射式偏振片12係對應顯示屏10設置,接收顯示屏10所發出之偏振光,並將該偏振光部分穿透、部分反射,特別是本發明所採用之反射式偏振片12包含與光路垂直和平行兩種偏振方向,垂直為穿透軸,水平為反射軸;第一相位延遲片14係對應反射式偏振片12設置,用以接收從反射式偏振片12部分穿透之偏振光,並進行第一次相位延遲;部分穿透部分反射元件16係對應該第一相位延遲片14設置,接收通過第一相位延遲片14之光線並將通過之光線部分反射、部分穿透;第二相位延遲片18係對應部分穿透部分反射元件16設置,接收部分穿透部分反射元件16之光線,並進行相位延遲;線偏振片20對應第二相位延遲片18設置,線偏振片20係用以讓只經過兩次相位延遲的偏振光不要通過並只讓經過四次相位延遲之偏振光通過,藉由透鏡組22將影像導入人眼24中。Please refer to Figure 2, which is a schematic diagram of an embodiment of the short-distance optical system of the present invention, including a
特別的是,本發明中第一相位延遲片14之快慢軸與反射式偏振片12之穿透軸夾45度角,可增加1/4波長的相位延遲。In particular, in the present invention, the fast and slow axis of the first retarder 14 and the transmission axis of the
此外,本發明中之至少二透鏡組,別設置於該光學模組中至少二元件之任一側,以第2圖之實施例為例,二透鏡組22分別設在第一相位延遲片14的兩側。每一透鏡組皆可為單片透鏡或多片透鏡,且透鏡可為非球面透鏡、菲涅爾透鏡(Fresnel lens)或多片透鏡之組合。In addition, the at least two lens groups in the present invention are not arranged on either side of the at least two elements in the optical module. Taking the embodiment in FIG. 2 as an example, the two
本發明中具體之步驟流程請參考第3A圖至第3C圖,首先於第3A圖中,顯示屏10輸出影像,並發出偏振光到反射式偏振片12,反射式偏振片12使該偏振光部分穿透至第一相位延遲片14、部分則反射回顯示屏10,而穿透反射式偏振片12的部分穿透之偏振光經過第一相位延遲片14之後,會進行第一次相位延遲,再到達部分穿透部分反射元件16;接著請參考第3B圖,經過第一次相位延遲的偏振光在部分穿透部分反射元件16處部分穿透,部分則反射回第一相位延遲片14進行第二次相位延遲,此處之部分穿透部分反射元件16的偏振光為能量損失,而經過第一次相位延遲的偏振光穿透第一相位延遲片14後到達反射式偏振片12;接著請再參考第3C圖,反射式偏振片12將經過第二次相位延遲的偏振光進行反射,反射回第一相位延遲片14,進行第三次相位延遲,再經過部分穿透部分反射元件16,其部分穿透的偏振光(經過第三次相位延遲)到達第二相位延遲片18,並進行第四次相位延遲;接著,經第四次相位延遲的偏振光穿透第二相位延遲片18,在線偏振片20進行篩選,只讓經過四次相位延遲之偏振光通過線偏振片20,並被透鏡組22導入至少一人眼24中。Please refer to Figures 3A to 3C for the specific steps of the present invention. First, in Figure 3A, the
由於本發明中第一相位延遲片14及第二相位延遲片18皆為1/4波長的奇數倍相位延遲,故經過四次相位延遲後共延遲1個波長的整數倍。Since the first phase retarder 14 and the second phase retarder 18 in the present invention both have a phase retardation of an odd multiple of 1/4 wavelength, a total of an integer multiple of 1 wavelength is retarded after four phase retardations.
線偏振光通過第一相位延遲片14後會轉變成圓偏振光,包括左圓偏振光或右圓偏振光兩種。但當部分圓偏振光被部分穿透部分反射元件16反射回第一相位延遲片14後,又會變為線偏振光,之後雖然還會再通過第一相位延遲片14並轉換成圓偏振光,然而通過第二相位延遲片18後,仍會轉換成回線偏振光。The linearly polarized light passes through the first phase retarder 14 and is converted into circularly polarized light, including left circularly polarized light or right circularly polarized light. However, when part of the circularly polarized light is reflected back to the first phase retarder 14 by the partially penetrating and partially
第4A圖至第4E圖中為二透鏡組之多種不同配置方法之實施例,此二透鏡組分別為第一透鏡組30及第二透鏡組32,但此實施例並非限制本發明中透鏡組之配置方法,只要是在反射式偏振片12、第一相位延遲片14、部分穿透部分反射元件16、第二相位延遲片18及線偏振片20中至少一者之任一側設置透鏡組、共至少兩組用以調焦的透鏡組便包含在本案之範圍中。Figures 4A to 4E show embodiments of multiple different arrangements of two lens groups. The two lens groups are the
進一步說明,反射式偏振片12、第一相位延遲片14、部分穿透部分反射元件16、第二相位延遲片18及線偏振片20等光學元件之材質可為薄膜材料或為光學鍍膜等,以塗佈、鍍膜或黏合等的形式置於至少一平板玻璃或透鏡上,舉例而言,反射式偏振片12及部分穿透部分反射元件16可為在透鏡上之鍍膜,或是本身具反射式偏振功能之鏡片或為薄膜形式的光學材料貼在透鏡上,因此,本發明可將反射式偏振片12及第一相位延遲片14設為一體,部分穿透部分反射元件16及第二相位延遲片18設為一體,舉例而言,如第4A圖所示,反射式偏振片12及第一相位延遲片14為同一透鏡組32(此實施例中第二透鏡組32為單片透鏡),例如在第一相位延遲片14靠近顯示屏10側設置反射式偏振膜或是利用特殊材料達到同一鏡片具有相位延遲及反射式偏振的功能,而在第一透鏡組30的左側,則依序設有部分穿透部分反射元件16(此實施例中為部分穿透部分反射膜)、第二相位延遲片18、線偏振片20及平板玻璃26。換言之,在第4A圖之實施例中,第一透鏡組30設在第一相位延遲片14和部分穿透部分反射元件16之間,第二透鏡組則設在反射式偏振片12和第一相位延遲片14之間。此實施例之具體數據如下表一:
上表中之A、B、C、D、E等為非球面公式中之參數,非球面公式為,其中C=1/R,R為曲率半徑。此外,表中f為光學系統之有效焦距,𝜔為光學系統之半視場角,H為顯示屏的可視範圍半徑,f1及f2分別為第一、第二透鏡組的有效焦距,Nd為折射率(Refractive index),Vd為阿貝數(Abbe number)或色散係數(V-number)。A, B, C, D, E, etc. in the above table are the parameters in the aspheric formula, the aspheric formula is , Where C=1/R, R is the radius of curvature. In addition, f in the table is the effective focal length of the optical system, 𝜔 is the half angle of view of the optical system, H is the visible range radius of the display screen, f1 and f2 are the effective focal lengths of the first and second lens groups, respectively, and Nd is the refraction Rate (Refractive index), Vd is Abbe number (Abbe number) or dispersion coefficient (V-number).
第4B圖所示為另一實施例,反射式偏振片12設在顯示屏10上,第一相位延遲片14設在反射式偏振片12之左側,部分穿透部分反射元件16亦可透過鍍膜或材料選擇而做在第二透鏡組32上,第二相位延遲片18及線偏振片20則分別在第一透鏡組30之右側。此實施例之具體數據如下表二:
第4C圖、第4D圖及第4E圖為另外三種第一透鏡組30及第二透鏡組32之配置方式,由於第一透鏡組30及第二透鏡組32可為單片透鏡或多片透鏡之組合,且可為凹透鏡、凸透鏡等,凹凸方向也可變化,因此會產生多種不同之組合。Figures 4C, 4D, and 4E show another three configurations of the
第4C圖之實施例中,第二透鏡組32設於第一相位延遲片14和部分穿透部分反射元件16之間,此實施例的部分穿透部分反射元件16為設於第二透鏡組32左側之鍍膜,而反射式偏振片12設在第二透鏡組32右側、第一相位延遲片之右側;第一透鏡組30則設在部分穿透部分反射元件16和第二相位延遲片18之間,此實施例之具體數據如下表三:
第4D圖之實施例中,第一透鏡組30和第二透鏡組32皆設於第一相位延遲片14和部分穿透部分反射元件16之間,其中反射式偏振片12和第一相位延遲片14皆設於第二透鏡組32之右側,反射式偏振片12設在第一相位延遲片14之右側,而部分穿透部分反射元件16、第二相位延遲片18、線偏振片20及平板玻璃26皆設於第一透鏡組30之左側,其中部分穿透部分反射元件16為設在第一透鏡組30上之鍍膜。此實施例之具體數據如下表四:
第4E圖之實施例中,從全反射之位置更可看出此配置係將反射式偏振片12設於顯示屏10之左側,第一透鏡組30和第二透鏡組32皆設於第一相位延遲片14與部分穿透部分反射元件16之間,在第一透鏡組30之左側依序為部分穿透部分反射元件16、第二相位延遲片18、線偏振片20及平板玻璃26。此實施例之具體數據如下表五:
進一步說明,本發明可將第二相位延遲片18與線偏振片20設為一體,舉例而言,如第4D圖所示,相位延遲片18與線偏振片20在同一透鏡30的同一側,可等效於圓偏振片之功能。Furthermore, in the present invention, the
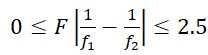
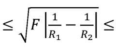
本發明可達到較大視角、系統距離縮短及良好像差校正之效果,請參考第4A圖,其中第一透鏡組30為L1,其有效焦距為f1,第二透鏡組32為L2,其有效焦距為f2,F為光學系統之有效焦距,𝜔為光學系統之半視場角,H為顯示屏的可視範圍半徑,R1~R4為圖中所示位置之曲率半徑,E為眼睛(光圈)到最近光學元件表面中心之距離,TTL為光學系統之總長,可得到以下公式:(1)(2)(3)(4)(5)(6) 上述公式(1)、(4)、(5)可達到良好的像差校正,而公式(2)、(3)、(6)則可達到較大視角、系統距離縮短(輕薄化)之優點。The present invention can achieve the effects of larger viewing angle, shorter system distance and good aberration correction. Please refer to Figure 4A, where the
本發明利用偏振原理將光路在光學系統內做內部折反射達到將顯示屏到人眼之間的距離縮短的效果,以第4A圖至第4E圖為例,圖中偏振光從顯示屏10發出後至人眼24前的光學元件之光學路徑經過多次的反射,假設第4A圖至第4E圖之實施例中,光線從顯示屏10到人眼24前的光學元件的每一次反射的長度加總後的光程為d,與第1圖之先前技術中顯示屏10到透鏡組22的光程d幾近相同,但由於在第4A圖至第4E圖實施例中,顯示屏10到人眼的光路是經過多次反射加總而得到的,因此實際上從顯示屏10到人眼的長度會遠小於第1圖中從顯示屏10到人眼24的長度,達到縮短光學系統之長度的目的。The present invention uses the principle of polarization to internally refract and reflect the light path in the optical system to achieve the effect of shortening the distance between the display screen and the human eye. Taking Figures 4A to 4E as examples, polarized light is emitted from the
綜上所述,本發明所提供之短距離之光學系統係在顯示屏後、人眼前依序擺放包含複數光學元件之一光學模組,利用光線多次反射達到光學系統的長度縮短之目的,且利用相位延遲片進行四次相位延遲,使偏振光的偏振態最後到達人眼時與一開始從顯示屏發射的偏振態相位延遲一個波長的整數倍。本發明更利用雙透鏡組之設計達到良好的像差校正的效果,適用於廣角鏡頭或廣角目鏡,視角可達50度以上,且由於光學系統之長度縮短,故應用光學系統之產品(如頭戴顯示器)可達到輕薄、微型化之目的。In summary, the short-distance optical system provided by the present invention is arranged behind the display screen and in front of the human eye in order to place an optical module containing a plurality of optical elements, which utilizes multiple reflections of light to shorten the length of the optical system , And use the phase retarder to carry out the phase delay four times, so that when the polarization state of the polarized light finally reaches the human eye, the phase of the polarization state emitted from the display screen is delayed by an integer multiple of a wavelength. The invention further utilizes the design of the double lens group to achieve a good aberration correction effect. It is suitable for wide-angle lenses or wide-angle eyepieces. The viewing angle can reach 50 degrees or more. Because the length of the optical system is shortened, products with optical systems (such as head-mounted Display) can achieve the purpose of lightness, thinness and miniaturization.
唯以上所述者,僅為本發明之較佳實施例而已,並非用來限定本發明實施之範圍。故即凡依本發明申請範圍所述之特徵及精神所為之均等變化或修飾,均應包括於本發明之申請專利範圍內。Only the above are merely preferred embodiments of the present invention, and are not used to limit the scope of the present invention. Therefore, all equivalent changes or modifications made in accordance with the characteristics and spirit of the application scope of the present invention shall be included in the patent application scope of the present invention.
10:顯示屏10: Display
12:反射式偏振片12: Reflective polarizer
14:一相位延遲片14: A phase retarder
16:部分穿透部分反射元件16: Partially penetrated partly reflective element
18:第二相位延遲片18: The second phase retarder
20:線偏振片20: Linear polarizer
22:透鏡組22: lens group
24:人眼24: Human Eye
26:平板玻璃26: flat glass
30:第一透鏡組30: The first lens group
32:第二透鏡組32: The second lens group
第1圖為先前技術中頭戴顯示器的顯示屏與人眼之間光程之示意圖。。 第2圖為本發明短距離之光學系統之一實施例之示意圖。 第3A圖至第3C圖為本發明短距離之光學系統之步驟流程圖。 第4A圖至第4E圖為本發明短距離之光學系統中二透鏡組之不同配置之示意圖。Figure 1 is a schematic diagram of the optical path between the display screen of the head mounted display and the human eye in the prior art. . Figure 2 is a schematic diagram of an embodiment of the short-distance optical system of the present invention. Figures 3A to 3C are flow charts of the steps of the short-distance optical system of the present invention. 4A to 4E are schematic diagrams of different configurations of two lens groups in the short-distance optical system of the present invention.
10:顯示屏10: Display
12:反射式偏振片12: Reflective polarizer
14:第一相位延遲片14: The first phase retarder
16:部分穿透部分反射元件16: Partially penetrated partly reflective element
18:第二相位延遲片18: The second phase retarder
20:線偏振片20: Linear polarizer
22:透鏡組22: lens group
24:人眼24: Human Eye
| Application Number | Priority Date | Filing Date | Title |
|---|---|---|---|
| TW108129621ATWI711838B (en) | 2019-08-20 | 2019-08-20 | Short distance optical system |
| Application Number | Priority Date | Filing Date | Title |
|---|---|---|---|
| TW108129621ATWI711838B (en) | 2019-08-20 | 2019-08-20 | Short distance optical system |
| Publication Number | Publication Date |
|---|---|
| TWI711838Btrue TWI711838B (en) | 2020-12-01 |
| TW202109129A TW202109129A (en) | 2021-03-01 |
| Application Number | Title | Priority Date | Filing Date |
|---|---|---|---|
| TW108129621ATWI711838B (en) | 2019-08-20 | 2019-08-20 | Short distance optical system |
| Country | Link |
|---|---|
| TW (1) | TWI711838B (en) |
| Publication number | Priority date | Publication date | Assignee | Title |
|---|---|---|---|---|
| CN112558287A (en)* | 2020-12-30 | 2021-03-26 | 深圳纳德光学有限公司 | Catadioptric eyepiece optical system and head-mounted display device |
| CN114967135A (en)* | 2021-02-25 | 2022-08-30 | 双莹科技股份有限公司 | Ultra-short-range eyepiece system |
| TWI798678B (en)* | 2021-04-13 | 2023-04-11 | 廣達電腦股份有限公司 | Optical system of miniaturized head-mounted display |
| Publication number | Priority date | Publication date | Assignee | Title |
|---|---|---|---|---|
| WO2016003746A1 (en)* | 2014-06-30 | 2016-01-07 | Microsoft Technology Licensing, Llc | Eyepiece for near eye display system |
| CN105572894A (en)* | 2016-01-28 | 2016-05-11 | 深圳多哚新技术有限责任公司 | Short-distance optical amplifier module, short-distance optical amplification method and short-distance optical amplification system |
| CN105629472A (en)* | 2016-01-28 | 2016-06-01 | 深圳多哚新技术有限责任公司 | Short-distance optical amplification module group, amplification method, and amplification system |
| CN108873334A (en)* | 2018-06-19 | 2018-11-23 | 平行现实(杭州)科技有限公司 | A kind of ultra thin optical amplification mould group and amplification system |
| Publication number | Priority date | Publication date | Assignee | Title |
|---|---|---|---|---|
| WO2016003746A1 (en)* | 2014-06-30 | 2016-01-07 | Microsoft Technology Licensing, Llc | Eyepiece for near eye display system |
| CN105572894A (en)* | 2016-01-28 | 2016-05-11 | 深圳多哚新技术有限责任公司 | Short-distance optical amplifier module, short-distance optical amplification method and short-distance optical amplification system |
| CN105629472A (en)* | 2016-01-28 | 2016-06-01 | 深圳多哚新技术有限责任公司 | Short-distance optical amplification module group, amplification method, and amplification system |
| CN108873334A (en)* | 2018-06-19 | 2018-11-23 | 平行现实(杭州)科技有限公司 | A kind of ultra thin optical amplification mould group and amplification system |
| Publication number | Priority date | Publication date | Assignee | Title |
|---|---|---|---|---|
| CN112558287A (en)* | 2020-12-30 | 2021-03-26 | 深圳纳德光学有限公司 | Catadioptric eyepiece optical system and head-mounted display device |
| CN112558287B (en)* | 2020-12-30 | 2024-06-04 | 深圳纳德光学有限公司 | Catadioptric eyepiece optical system and head-mounted display device |
| CN114967135A (en)* | 2021-02-25 | 2022-08-30 | 双莹科技股份有限公司 | Ultra-short-range eyepiece system |
| TWI798678B (en)* | 2021-04-13 | 2023-04-11 | 廣達電腦股份有限公司 | Optical system of miniaturized head-mounted display |
| Publication number | Publication date |
|---|---|
| TW202109129A (en) | 2021-03-01 |
| Publication | Publication Date | Title |
|---|---|---|
| CN110515208A (en) | short distance optics | |
| CN111694157B (en) | An optical imaging system | |
| CN104656258B (en) | The nearly optics of the eye display device of the adjustable curved surface waveguide of diopter | |
| CN104503087B (en) | Polarize guide-lighting planar waveguide optical display device | |
| CN210776039U (en) | Miniaturized Short-Range Optical System | |
| TWI797563B (en) | Ultra short distance eyepiece system | |
| US9013793B2 (en) | Lightweight eyepiece for head mounted display | |
| TWM615839U (en) | Ultra short distance eyepiece system | |
| CN114967135B (en) | Ultra-short throw eyepiece system | |
| CN100538437C (en) | A kind of optical system of Helmet Mounted Display | |
| KR20190133781A (en) | Compact near-eye optics system with refractive beam split convex lens | |
| CN211826725U (en) | Optical system of micro head-mounted display | |
| CN214751111U (en) | Ultra-short-range eyepiece system | |
| TWI711838B (en) | Short distance optical system | |
| CN107065181B (en) | Optical system of virtual reality equipment | |
| TWM591624U (en) | Short distance optical system | |
| CN113391447A (en) | Optical system of miniature head-mounted display | |
| TWM596873U (en) | Optical system of miniature head-mounted display | |
| US12105304B2 (en) | Augmented reality display device | |
| CN112415753A (en) | Near-to-eye display device and preparation method | |
| TWM587756U (en) | Miniaturized short-distance optical system | |
| CN112505920A (en) | Miniaturized short-distance optical system | |
| TWM614817U (en) | Optical system for miniaturized head-mounted display device | |
| TWI711839B (en) | Miniaturized short-distance optical system | |
| TW202134734A (en) | Optical system of miniature head-mounted display achieving an optical distance with a similar length by virtue of the phase delay and multiple reflection of rays |