







本申請要求申請日為2020年08月04日的中國專利申請CN202010772542.6、申請日為2021年03月05日的中國專利申請CN202110244977.8、申請日為2021年04月02日的中國專利申請CN202110361502.7和申請日為2021年05月21日的中國專利申請CN202110559411.4的優先權,本申請引用上述中國專利申請的原文。This application requires the Chinese patent application CN202010772542.6 with the filing date of August 04, 2020, the Chinese patent application CN202110244977.8 with the filing date of March 05, 2021, and the Chinese patent application with the filing date of April 2, 2021. CN202110361502.7 and Chinese patent application CN202110559411.4 with an application date of May 21, 2021 have priority rights, and this application cites the original text of the above Chinese patent application.
本公開屬生物醫藥領域,具體涉及抑制凝血因子XI表達的siRNA、組成物及其醫藥用途。The present disclosure belongs to the field of biomedicine, and in particular relates to siRNA for inhibiting the expression of coagulation factor XI, compositions and medical uses thereof.
本部分僅是提供與本公開有關的背景信息,而不必然構成現有技術。This section merely provides background information related to the present disclosure and does not necessarily constitute prior art.
血液循環系統既有防止失血的凝血機制,同時也有對抗不當的血管內栓塞的抗凝機制,兩者間的動態平衡是正常機體維持體內血液流動狀態和防止血液丟失的關鍵。凝血過程是一系列凝血因子被相繼酶解激活的過程,最終生成凝血酶,形成纖維蛋白凝塊。人體內存在有外源性和內源性兩種激活途徑。內源途徑包括:當血管壁發生損傷,內皮下組織暴露,帶負電荷的內皮下膠原纖維與凝血因子接觸,因子XII即與之結合,在HK和PK的參與下被活化為因子XIIa;在不依賴鈣離子的條件下,因子XIIa將因子XI激活為因子XIa;在鈣離子的存在下,活化的因子XIa又激活了因子IX;單獨的IXa激活因子X的效力相當低,它要與VIIIa結合形成1:1的複合物,又稱為因子X酶複合物;這一反應還必須有Ca2+和PL共同參與。外源途徑包括:組織損傷後釋放的組織因子(TF)與血漿中的鈣離子、因子VII(或因子VIIa)結合,形成TF-Ca2+-FVII/FVIIa複合物,該複合物將因子X激活為因子Xa。兩條途徑在激活因子X後匯合。經活化的因子Xa與因子V形成凝血酶原激活物,將凝血酶原水解為凝血酶,凝血酶將纖維蛋白原轉化為纖維蛋白,在血小板的作用下形成纖維蛋白凝塊。研究發現內源途徑中的因子XI與靜脈血栓的形成相關(JOOST C.M.MEIJERS et al.,The New England Journal of Medicine,2000,Vol.342,No.10,696-701)。人群中存在天然的功能缺失性突變,血栓風險降低而且無明顯出血風險。The blood circulatory system not only has a coagulation mechanism to prevent blood loss, but also has an anticoagulation mechanism to counteract improper intravascular embolism. The dynamic balance between the two is the key to the normal body to maintain the state of blood flow in the body and prevent blood loss. The coagulation process is a process in which a series of coagulation factors are activated by successive enzymatic hydrolysis, and finally thrombin is generated to form a fibrin clot. There are two activation pathways in the human body, exogenous and endogenous. Endogenous pathways include: when the blood vessel wall is damaged, the subendothelial tissue is exposed, the negatively charged subendothelial collagen fibers are in contact with coagulation factors, factor XII is bound to it, and it is activated to factor XIIa with the participation of HK and PK; Factor XIIa activates factor XI to factor XIa in the presence of calcium ions independent of calcium ions; in the presence of calcium ions, activated factor XIa activates factor IX; IXa alone is quite ineffective in activating factor X, and it is much more potent than VIIIa. Combine to form a 1:1 complex, also known as the factor X enzyme complex; this reaction must also involve Ca2+ and PL. Exogenous pathways include: tissue factor (TF) released after tissue injury combines with calcium ions, factor VII (or factor VIIa) in plasma to form a TF-Ca2+ -FVII/FVIIa complex, which binds factor X Activated as factor Xa. The two pathways converge upon activation of factor X. Activated factor Xa and factor V form a prothrombin activator, which hydrolyzes prothrombin into thrombin, which converts fibrinogen into fibrin, and forms a fibrin clot under the action of platelets. Studies have found that factor XI in the endogenous pathway is associated with the formation of venous thrombosis (JOOST CMMEIJERS et al., The New England Journal of Medicine, 2000, Vol. 342, No. 10, 696-701). There is a natural loss-of-function mutation in the population with reduced risk of thrombosis and no significant risk of bleeding.
血栓栓塞可能導致如深靜脈血栓、肺栓塞、心肌梗塞和中風等狀況。抗凝劑可以降低血栓栓塞的風險,目前的抗凝劑如華法林、肝素以及低分子量肝素(LMWH)、凝血因子X抑制劑等都有顯著的缺點,例如缺少可預測性和特異性,所以需要小心監測病人以防止出血併發症等不良副作用。目前還沒有僅針對內源通路或外源通路的抗凝劑藥物上市。Thromboembolism can lead to conditions such as deep vein thrombosis, pulmonary embolism, myocardial infarction, and stroke. Anticoagulants can reduce the risk of thromboembolism. Current anticoagulants such as warfarin, heparin and low molecular weight heparin (LMWH), coagulation factor X inhibitors, etc. have significant shortcomings, such as lack of predictability and specificity, Careful monitoring of patients is therefore required to prevent adverse side effects such as bleeding complications. At present, there are no anticoagulant drugs that only target the endogenous pathway or the exogenous pathway.
RNA干擾是一種有效的沉默基因表達的方式。據統計,在人體內的疾病相關蛋白中,大約超過80%的蛋白質不能被目前常規的小分子藥物以及生物大分子製劑所靶向,屬不可成藥蛋白。反義寡核苷酸(ASO)和小干擾RNA(siRNA)是已知的沉默基因表達的策略。CN102245186A描述了靶向凝血因子XI的ASO。目前尚未有關於針對凝血因子XI的siRNA的報導。雖然已知一些關於siRNA設計的算法,例如mFOLD,但這些算法僅考慮了mRNA的一級結構和粗略預測的二級結構,並未考慮mRNA三級結構以及mRNA與RNA結合蛋白的相互作用對siRNA活性和選擇性的影響,因此僅基於現有的算法不足以得到具有足夠的活性和選擇性的siRNA。RNA interference is an effective way to silence gene expression. According to statistics, among the disease-related proteins in the human body, about more than 80% of the proteins cannot be detected by the current conventional small molecules.The target of drugs and biological macromolecular preparations is a non-drugable protein. Antisense oligonucleotides (ASOs) and small interfering RNAs (siRNAs) are known strategies for silencing gene expression. CN102245186A describes ASO targeting coagulation factor XI. There are no reports on siRNA against coagulation factor XI. Although some algorithms for siRNA design are known, such as mFOLD, these algorithms only consider the primary structure and roughly predicted secondary structure of mRNA, and do not consider the tertiary structure of mRNA and the interaction of mRNA with RNA-binding proteins on siRNA activity and selectivity, so existing algorithms alone are not enough to obtain siRNAs with sufficient activity and selectivity.
基於此,本公開提供了能夠調節凝血因子XI的mRNA和/或蛋白水平化合物、組成物和方法。Based on this, the present disclosure provides mRNA and/or protein level compounds, compositions and methods capable of modulating factor XI.
本公開提供了一種siRNA,其包含正義鏈和反義鏈,其中,正義鏈含有一段核苷酸序列A,反義鏈含有一段核苷酸序列B,核苷酸序列A和核苷酸序列B至少部分地反向互補形成雙鏈區;The present disclosure provides an siRNA comprising a sense strand and an antisense strand, wherein the sense strand contains a segment of nucleotide sequence A, the antisense strand contains a segment of nucleotide sequence B, nucleotide sequence A and nucleotide sequence B at least partially reverse complementary to form a double-stranded region;
其中,核苷酸序列A與表1中提供的正義鏈核苷酸序列中的任一個長度相等,且相互之間不多於4個、不多於3個、不多於2個或不多於1個核苷酸差異;且核苷酸序列B與表1中提供的反義鏈核苷酸序列中的任一個長度相等,且相互之間不多於4個、不多於3個、不多於2個或不多於1個核苷酸差異。Wherein, nucleotide sequence A is equal to any one of the nucleotide sequences of the sense strand provided in Table 1, and there are no more than 4, no more than 3, no more than 2 or no more than each other. less than 1 nucleotide difference; and nucleotide sequence B is the same length as any of the antisense strand nucleotide sequences provided in Table 1, and there are no more than 4, no more than 3, No more than 2 or no more than 1 nucleotide difference.
本公開還提供了一種能夠抑制凝血因子XI表達的siRNA,其包含正義鏈和反義鏈,其中,正義鏈含有一段核苷酸序列A,反義鏈含有一段核苷酸序列B,核苷酸序列A和核苷酸序列B至少部分地反向互補形成雙鏈區;The present disclosure also provides an siRNA capable of inhibiting the expression of coagulation factor XI, comprising a sense strand and an antisense strand, wherein the sense strand contains a nucleotide sequence A, and the antisense strand contains a nucleotide sequence A.There is a segment of nucleotide sequence B, and nucleotide sequence A and nucleotide sequence B are at least partially reverse complementary to form a double-stranded region;
其中,核苷酸序列A與表1中提供的正義鏈核苷酸序列中的任一個長度相等,且相互之間不多於4個、不多於3個、不多於2個或不多於1個核苷酸差異;且核苷酸序列B與表1中提供的反義鏈核苷酸序列中的任一個長度相等,且相互之間不多於4個、不多於3個、不多於2個或不多於1個核苷酸差異。Wherein, nucleotide sequence A is equal to any one of the nucleotide sequences of the sense strand provided in Table 1, and there are no more than 4, no more than 3, no more than 2 or no more than each other. less than 1 nucleotide difference; and nucleotide sequence B is the same length as any of the antisense strand nucleotide sequences provided in Table 1, and there are no more than 4, no more than 3, No more than 2 or no more than 1 nucleotide difference.
在一些實施方案中,核苷酸序列A與表1中提供的正義鏈核苷酸序列中的任一個之間不多於1個核苷酸差異;和/或該核苷酸序列B與表1中提供的反義鏈核苷酸序列中的任一個之間不多於1個核苷酸差異。In some embodiments, there is no more than 1 nucleotide difference between nucleotide sequence A and any of the sense strand nucleotide sequences provided in Table 1; and/or the nucleotide sequence B differs from Table 1. There is no more than 1 nucleotide difference between any of the antisense strand nucleotide sequences provided in 1.
在一些實施方案中,核苷酸序列A和該核苷酸序列B之間存在不多於3個的鹼基錯配。在一些實施方案中,核苷酸序列A和該核苷酸序列B之間存在不多於2個的鹼基錯配。在一些實施方案中,核苷酸序列A和該核苷酸序列B之間存在不多於1個的鹼基錯配。In some embodiments, there is no more than 3 base mismatches between nucleotide sequence A and the nucleotide sequence B. In some embodiments, there is no more than 2 base mismatches between nucleotide sequence A and the nucleotide sequence B. In some embodiments, there is no more than 1 base mismatch between nucleotide sequence A and the nucleotide sequence B.
在一些實施方案中,核苷酸序列A和該核苷酸序列B之間沒有錯配。In some embodiments, there is no mismatch between nucleotide sequence A and the nucleotide sequence B.
在一些實施方案中,正義鏈和該反義鏈的長度各自小於30個、小於29個、小於28個、小於27個、小於26個、小於25個、小於24個、小於23個、小於22個、小於21個、或小於20個核苷酸。In some embodiments, the sense strand and the antisense strand are each less than 30, less than 29, less than 28, less than 27, less than 26, less than 25, less than 24, less than 23, less than 22 in length each , less than 21, or less than 20 nucleotides.
在一些實施方案中,核苷酸序列A為SEQ ID NO:1-23中任一個所示的核苷酸序列。In some embodiments, nucleotide sequence A is the nucleotide sequence set forth in any one of SEQ ID NOs: 1-23.
在一些實施方案中,核苷酸序列B為SEQ ID NO:24-46中任一個所示的核苷酸序列。In some embodiments, nucleotide sequence B is the nucleotide sequence set forth in any one of SEQ ID NOs: 24-46.
本公開還提供了一種siRNA,其為經修飾的上述siRNA,其中正義鏈和/或反義鏈中至少一個核苷酸為修飾的核苷酸。在一些實施方案中,全部核苷酸為修飾的核苷酸。The present disclosure also provides an siRNA, which is the modified siRNA described above, wherein at least one nucleotide in the sense strand and/or the antisense strand is a modified nucleotide. In some embodiments, all nucleotides are modified nucleotides.
在一些實施方案中,修飾的核苷酸相互獨立地選自脫氧-核苷酸、3’-末端脫氧-胸腺嘧啶核苷酸、2’-O-甲基修飾的核苷酸、2’-氟修飾的核苷酸、2’-脫氧-修飾的核苷酸、鎖核苷酸、非鎖核苷酸、構象限制性核苷酸、限制性乙基核苷酸、無鹼基核苷酸、2’-胺基-修飾的核苷酸、2’-O-烯丙基-修飾的核苷酸、2’-C-烷基-修飾的核苷酸、2’-羥基-修飾的核苷酸、2’-甲氧基乙基修飾的核苷酸、2’-O-烷基-修飾的核苷酸、嗎啉基核苷酸、胺基磷酸酯、包含非天然鹼基的核苷酸、四氫吡喃修飾的核苷酸、1,5-脫水己糖醇修飾的核苷酸、環己烯基修飾的核苷酸、包含硫代磷酸酯基的核苷酸、包含甲基膦酸酯基的核苷酸、包含5’-磷酸酯的核苷酸及包含5’-磷酸酯模擬物的核苷酸。In some embodiments, the modified nucleotides are independently selected from the group consisting of deoxy-nucleotides, 3'-terminal deoxy-thymidine nucleotides, 2'-O-methyl modified nucleotides, 2'- Fluorine modified nucleotides, 2'-deoxy-modified nucleotides, locked nucleotides, unlocked nucleotides, conformationally restricted nucleotides, restricted ethyl nucleotides, abasic nucleotides , 2'-amino-modified nucleotides, 2'-O-allyl-modified nucleotides, 2'-C-alkyl-modified nucleotides, 2'-hydroxy-modified nucleotides nucleotides, 2'-methoxyethyl modified nucleotides, 2'-O-alkyl-modified nucleotides, morpholino nucleotides, phosphoramidates, cores containing unnatural bases nucleotides, tetrahydropyran-modified nucleotides, 1,5-anhydrohexitol-modified nucleotides, cyclohexenyl-modified nucleotides, phosphorothioate-containing nucleotides, methyl-containing phosphonate-containing nucleotides, 5'-phosphate-containing nucleotides, and 5'-phosphate mimetic-containing nucleotides.
在一些實施方案中,修飾的核苷酸相互獨立地選自:2'-烷氧基修飾的核苷酸、2'-經取代的烷氧基修飾的核苷酸、2'-烷基修飾的核苷酸、2'-經取代的烷基修飾的核苷酸、2'-胺基修飾的核苷酸、2'-經取代的胺基修飾的核苷酸、2'-氟修飾的核苷酸、2'-脫氧核苷酸、2'-脫氧-2'-氟修飾的核苷酸、3'-脫氧-胸腺嘧啶核苷酸、異核苷酸、LNA、ENA、cET、UNA和GNA。In some embodiments, the modified nucleotides are independently selected from: 2'-alkoxy modified nucleotides, 2'-substituted alkoxy modified nucleotides, 2'-alkyl modified nucleotides nucleotides, 2'-substituted alkyl-modified nucleotides, 2'-amino-modified nucleotides, 2'-substituted amine-modified nucleotides, 2'-fluoro-modified nucleotides Nucleotides, 2'-deoxynucleotides, 2'-deoxy-2'-fluoromodified nucleotides, 3'-deoxy-thymidine nucleotides, isonucleotides, LNA, ENA, cET, UNA and GNA.
在一些實施方案中,修飾的核苷酸相互獨立地選自:2'-甲氧基修飾的核苷酸、2'-氟修飾的核苷酸和2'-脫氧-修飾的核苷酸。In some embodiments, the modified nucleotides are independently selected from the group consisting of: 2'-methoxy-modified nucleotides, 2'-fluoro-modified nucleotides, and 2'-deoxy-modified nucleotides.
在本公開的上下文中,氟修飾的核苷酸指核苷酸的核糖基2'位的羥基被氟取代形成的核苷酸。在一些實施方式中,2'-烷氧基修飾的核苷酸為甲氧基修飾的核苷酸(2'-OMe)。在一些實施方式中,2'-經取代的烷氧基修飾的核苷酸,例如可以是2'-O-甲氧基乙基修飾的核苷酸(2'-MOE)。在一些實施方式中,2'-胺基修飾的核苷酸(2'-NH2)。In the context of the present disclosure, a fluorine-modified nucleotide refers to a nucleotide formed by replacing the hydroxyl group at the 2' position of the ribosyl group of the nucleotide with a fluorine. In some embodiments, the 2'-alkoxy-modified nucleotide is a methoxy-modified nucleotide (2'-OMe). In some embodiments, a 2'-substituted alkoxy-modified nucleotide, eg, can be a 2'-O-methoxyethyl-modified nucleotide (2'-MOE). In some embodiments, 2'-amino modified nucleotides (2'-NH2 ).
在一些實施方案中,正義鏈和/或反義鏈中至少一個磷酸酯基為具有修飾基團的磷酸酯基,該修飾基團使得該siRNA在生物樣品或環境中具有增加的穩定性。In some embodiments, at least one phosphate group in the sense and/or antisense strand is a phosphate group with a modifying group that provides increased stability of the siRNA in a biological sample or environment.
在一些實施方案中,該具有修飾基團的磷酸酯基為硫代磷酸酯基。一些實施方案中,硫代磷酸酯基是指一個非橋接氧原子被硫原子替代而修飾的磷酸二酯基。In some embodiments, the phosphate group with the modifying group is a phosphorothioate group. In some embodiments, a phosphorothioate group refers to a phosphodiester group in which a non-bridging oxygen atom is replaced by a sulfur atom.
在一些實施方案中,按照5'末端到3'末端的方向,該核苷酸序列B的第2、6、9、12和14位的核苷酸各自獨立地為2'-脫氧核苷酸或2'-氟修飾的核苷酸。In some embodiments, the nucleotides at
在一些實施方案中,按照5'末端到3'末端的方向,該核苷酸序列B的第2、4、6、9、12、14和18位的核苷酸各自獨立地為2'-脫氧核苷酸或2'-氟修飾的核苷酸。In some embodiments, the nucleotides at
在一些實施方案中,按照5'末端到3'末端的方向,該核苷酸序列B的第2、4、6、9、12、14、16和18位的核苷酸各自獨立地為2'-脫氧核苷酸或2'-氟修飾的核苷酸。In some embodiments, the nucleotides at
在一些實施方案中,正義鏈和反義鏈長度相同或不同,該正義鏈的長度為19-23個核苷酸,反義鏈的長度為20-26個核苷酸。這樣,本公開提供的siRNA的正義鏈和反義鏈的長度比可以是19/20、19/21、19/22、19/23、19/24、19/25、19/26、20/20、20/21、20/22、20/23、20/24、20/25、20/26、21/20、21/21、21/22、21/23、21/24、21/25、21/26、22/20、22/21、22/22、22/23、22/24、22/25、22/26、23/20、23/21、23/22、23/23、23/24、23/25或23/26。在一些實施方式中,該siRNA的正義鏈和反義鏈的長度比為19/21、21/23或23/25。In some embodiments, the sense and antisense strands are the same or different in length, the sense strand is 19-23 nucleotides in length and the antisense strand is 20-26 nucleotides in length. In this way, the length ratio of the sense and antisense strands of the siRNA provided by the present disclosure can be 19/20, 19/21, 19/22, 19/23, 19/24, 19/25, 19/26, 20/20 , 20/21, 20/22, 20/23, 20/24, 20/25, 20/26, 21/20, 21/21, 21/22, 21/23, 21/24, 21/25, 21 /26, 22/20, 22/21, 22/22, 22/23, 22/24, 22/25, 22/26, 23/20, 23/21, 23/22, 23/23,23/24, 23/25 or 23/26. In some embodiments, the length ratio of the sense and antisense strands of the siRNA is 19/21, 21/23, or 23/25.
在一些實施方案中,硫代磷酸酯基存在於選自以下的位置中的至少一處:In some embodiments, the phosphorothioate group is present in at least one position selected from the group consisting of:
該正義鏈的5'-3’方向第1個核苷酸和第2個核苷酸之間;Between the first nucleotide and the second nucleotide in the 5'-3' direction of the sense strand;
該正義鏈的5'-3’方向第2個核苷酸和第3個核苷酸之間;Between the second nucleotide and the third nucleotide in the 5'-3' direction of the sense strand;
該正義鏈的3'-5’方向第1個核苷酸末端;The first nucleotide end in the 3'-5' direction of the sense strand;
該正義鏈的3'-5’方向第1個核苷酸和第2個核苷酸之間;Between the first nucleotide and the second nucleotide in the 3'-5' direction of the sense strand;
該正義鏈的3'-5’方向第2個核苷酸和第3個核苷酸之間;Between the second nucleotide and the third nucleotide in the 3'-5' direction of the sense strand;
該反義鏈的5'-3’方向第1個核苷酸和第2個核苷酸之間;Between the first nucleotide and the second nucleotide in the 5'-3' direction of the antisense strand;
該反義鏈的5'-3’方向第2個核苷酸和第3個核苷酸之間;Between the second nucleotide and the third nucleotide in the 5'-3' direction of the antisense strand;
該反義鏈的3'-5’方向第1個核苷酸末端;The first nucleotide end of the 3'-5' direction of the antisense strand;
該反義鏈的3'-5’方向第1個核苷酸和第2個核苷酸之間;或Between the first nucleotide and the second nucleotide in the 3'-5' direction of the antisense strand; or
該反義鏈的3'-5’方向第2個核苷酸和第3個核苷酸之間。Between the 2nd nucleotide and the 3rd nucleotide in the 3'-5' direction of the antisense strand.
在一些實施方案中,正義鏈與至少一個靶向配體結合。In some embodiments, the sense strand binds to at least one targeting ligand.
本公開還提供了一種siRNA,其包含正義鏈和反義鏈,其中,正義鏈含有一段核苷酸序列I,該反義鏈含有一段核苷酸序列II,該核苷酸序列I和核苷酸序列II至少部分地反向互補形成雙鏈區,該核苷酸序列II如下式所示:The present disclosure also provides an siRNA comprising a sense strand and an antisense strand, wherein the sense strand contains a segment of nucleotide sequence I, the antisense strand contains a segment of nucleotide sequence II, the nucleotide sequence I and nucleoside sequences The acid sequence II is at least partially reverse complementary to form a double-stranded region, and the nucleotide sequence II is represented by the formula:
5’-Na’Nb’Na’X’Na’Nb’Na’Na’Nb’Na’Na’Nb’Na’Nb’Na’Y’Na’X’Na’Na’Na’-3’(核苷酸序列II)5'-Na 'Nb 'Na 'X'Na 'Nb 'Na 'Na 'Nb 'Na 'Na 'Nb 'Na 'Nb 'Na 'Y'Na 'X'Na 'Na 'Na '-3' (nucleotide sequence II)
其中,每個Na’和Nb’獨立地表示修飾的核苷酸或者未修飾的核苷酸,其中Na’和Nb’上的修飾不同;每個X’獨立地為Na’或Nb’;Y’為Na,或Nb’。wherein eachNa ' andNb ' independently represents a modified nucleotide or an unmodified nucleotide, wherein the modifications on Na' andNb ' are different; eachX ' is independentlyNa ' orNb ';Y' isNa , orNb '.
本公開還提供了一種siRNA,其包含正義鏈和反義鏈,其中,正義鏈含有一段核苷酸序列I,該反義鏈含有一段核苷酸序列II,該核苷酸序列I和核苷酸序列II至少部分地反向互補形成雙鏈區,該核苷酸序列II如下式所示:The present disclosure also provides an siRNA comprising a sense strand and an antisense strand, wherein the sense strand contains a segment of nucleotide sequence I, the antisense strand contains a segment of nucleotide sequence II, the nucleotide sequence I and nucleoside sequences The acid sequence II is at least partially reverse complementary to form a double-stranded region, and the nucleotide sequence II is represented by the formula:
5’-Na’Nb’Na’X’Na’Nb’Na’Na’Nb’Na’Na’Nb’Na’Nb’Na’Y’Na’X’Na’Na’Na’-3’(核苷酸序列II)5'-Na 'Nb 'Na 'X'Na 'Nb 'Na 'Na 'Nb 'Na 'Na 'Nb 'Na 'Nb 'Na 'Y'Na 'X'Na 'Na 'Na '-3' (nucleotide sequence II)
其中,每個Na’獨立地表示修飾的核苷酸或者未修飾的核苷酸;每個Nb’獨立地為2'-氟修飾的核苷酸或2'-脫氧-修飾的核苷酸;每個X’獨立地為Na’或Nb’;Y’為Na’或Nb’。Wherein, each Na ' independently represents a modified nucleotide or an unmodified nucleotide; each Nb ' independently represents a 2'-fluoro-modified nucleotide or a 2'-deoxy-modified nucleoside acid; each X' is independentlyNa ' orNb ';Y' isNa ' orNb '.
在一些實施方案中,修飾的核苷酸相互獨立地選自:2'-烷氧基修飾的核苷酸、2'-經取代的烷氧基修飾的核苷酸、2'-烷基修飾的核苷酸、2'-經取代的烷基修飾的核苷酸、2'-胺基修飾的核苷酸、2'-經取代的胺基修飾的核苷酸、2'-氟修飾的核苷酸、2'-脫氧核苷酸、2'-脫氧-2'-氟修飾的核苷酸、3'-脫氧-胸腺嘧啶核苷酸、異核苷酸、LNA、ENA、cET、UNA和GNA。In some embodiments, the modified nucleotides are independently selected from the group consisting of: 2'-alkoxy modified nucleotides, 2'-substituted alkoxy modified nucleotides, 2'-alkyl modified nucleotides nucleotides, 2'-substituted alkyl-modified nucleotides, 2'-amino-modified nucleotides, 2'-substituted amine-modified nucleotides, 2'-fluoro-modified nucleotides Nucleotides, 2'-deoxynucleotides, 2'-deoxy-2'-fluoromodified nucleotides, 3'-deoxy-thymidine nucleotides, isonucleotides, LNA, ENA, cET, UNA and GNA.
在一些實施方案中,修飾的核苷酸相互獨立地為2'-甲氧基修飾的核苷酸。In some embodiments, the modified nucleotides are independently of each other 2'-methoxy modified nucleotides.
在本公開的上下文中,“未修飾(的)核苷酸”是指由天然存在的核苷鹼基、糖基和核苷內連接所組成的核苷酸。在一些實施方案中,未修飾(的)核苷酸是RNA核苷酸(也就是β-D-核糖核苷)或DNA核苷酸(也就是β-D-脫氧核糖核苷)。In the context of the present disclosure, "unmodified ()nucleotides" refer to nucleotides consisting of naturally occurring nucleoside bases, sugar groups, and intranucleoside linkages. In some embodiments,Unmodified nucleotides are RNA nucleotides (ie β-D-ribonucleosides) or DNA nucleotides (ie β-D-deoxyribonucleosides).
在一些實施方案中,X’為Nb’。In some embodiments, X' isNb '.
在一些實施方案中,Y’為Nb’。In some embodiments, Y' isNb '.
在一些實施方案中,Na’上的修飾不同於Nb’上的修飾;在一些實施方案中,Na’為2'-甲氧基修飾的核苷酸。In some embodiments, the modification on Na' is different from the modification onNb '; in some embodiments,Na ' isa 2'-methoxy-modified nucleotide.
在一些實施方案中,該核苷酸序列I如下式所示:In some embodiments, the nucleotide sequence I is represented by the formula:
5’-NaNaNaNaNbNaNbNbNbNaNaNaNaNaNaNaNaNaNa-3’(核苷酸序列I)5'-Na Na Na Na Nb Na Nb Nb Nb Na Na Na Na Na Na Na Na Na Na -3' (nucleotide sequence I )
其中,每個Na和Nb各自獨立地表示修飾的核苷酸或者未修飾的核苷酸,且Na和Nb上的修飾不同;Wherein, eachNa andNb independently represent modified nucleotides or unmodified nucleotides, and the modifications onNa andNb are different;
在一些實施方案中,該修飾的核苷酸相互獨立地選自:2'-烷氧基修飾的核苷酸、2'-經取代的烷氧基修飾的核苷酸、2'-烷基修飾的核苷酸、2'-經取代的烷基修飾的核苷酸、2'-胺基修飾的核苷酸、2'-經取代的胺基修飾的核苷酸、2'-氟修飾的核苷酸、2'-脫氧核苷酸、2'-脫氧-2'-氟修飾的核苷酸、3'-脫氧-胸腺嘧啶核苷酸、異核苷酸、LNA、ENA、cET、UNA和GNA;In some embodiments, the modified nucleotides are independently selected from the group consisting of: 2'-alkoxy-modified nucleotides, 2'-substituted alkoxy-modified nucleotides, 2'-alkyl Modified Nucleotides, 2'-Substituted Alkyl Modified Nucleotides, 2'-Amino Modified Nucleotides, 2'-Substituted Amino Modified Nucleotides, 2'-Fluoro Modified nucleotides, 2'-deoxynucleotides, 2'-deoxy-2'-fluoromodified nucleotides, 3'-deoxy-thymine nucleotides, isonucleotides, LNA, ENA, cET, UNA and GNA;
在一些實施方案中,該修飾的核苷酸相互獨立地選自:2'-甲氧基修飾的核苷酸、2'-氟修飾的核苷酸和2'-脫氧-修飾的核苷酸;In some embodiments, the modified nucleotides are independently selected from the group consisting of: 2'-methoxy-modified nucleotides, 2'-fluoro-modified nucleotides, and 2'-deoxy-modified nucleotides ;
在一些實施方案中,Na為2'-甲氧基修飾的核苷酸,Nb為2'-氟修飾的核苷酸或2'-脫氧-修飾的核苷酸。In some embodiments, Na isa 2'-methoxy-modified nucleotide andNb is a 2'-fluoro-modified nucleotide or a 2'-deoxy-modified nucleotide.
在一些實施方案中,核苷酸序列II如下式所示:In some embodiments, nucleotide sequence II is represented by the formula:
pMD-AS19:5’-NmNfNmNfNmNfNmNmNfNmNmNfNmNfNmNfNmNfNmNmNm-3’。pMD-AS19: 5'-NmNfNmNfNmNfNmNmNfNmNmNfNmNfNmNfNmNfNmNmNm-3'.
在一些實施方案中,核苷酸序列II如下式所示:In some embodiments, nucleotide sequence II is represented by the formula:
pMD-AS18:5’-NmNfNmNDNANmNfNmNmNDNANmNmNDNANmNfNmNfNmNmNmNmNm-3’,其中,NDNA表示該位置的核苷酸為2'-脫氧-修飾的核苷酸。pMD-AS18: 5'-NmNfNmNDNA NmNfNmNmNDNA NmNmNDNA NmNfNmNfNmNmNmNmNm-3', wherein NDNA indicates that the nucleotide at this position is a 2'-deoxy-modified nucleotide.
在一些實施方案中,核苷酸序列I如下式所示:In some embodiments, the nucleotide sequence I is represented by the formula:
pMD-SS3:5’-NmNmNmNmNfNmNfNfNfNmNmNmNmNmNmNmNmNmNm-3’。pMD-SS3: 5’-NmNmNmNmNfNmNfNfNfNmNmNmNmNmNmNmNmNmNm-3’.
在一些實施方案中,核苷酸序列I和該核苷酸序列II之間存在不多於3個的鹼基錯配;在一些實施方案中,核苷酸序列I和該核苷酸序列II之間存在不多於2個的鹼基錯配;在一些實施方案中,核苷酸序列I和該核苷酸序列II之間存在不多於1個的鹼基錯配;在一些實施方案中,核苷酸序列I和該核苷酸序列II之間沒有錯配。In some embodiments, there is no more than 3 base mismatches between nucleotide sequence I and the nucleotide sequence II; in some embodiments, the nucleotide sequence I and the nucleotide sequence II There is no more than 2 base mismatches between; in some embodiments, there is no more than 1 base mismatch between nucleotide sequence I and the nucleotide sequence II; in some embodiments , there is no mismatch between nucleotide sequence I and this nucleotide sequence II.
在一些實施方案中,正義鏈和/或反義鏈中至少一個磷酸酯基為具有修飾基團的磷酸酯基。In some embodiments, at least one phosphate group in the sense strand and/or antisense strand is a phosphate group with a modifying group.
在一些實施方案中,該具有修飾基團的磷酸酯基為硫代磷酸酯基。In some embodiments, the phosphate group with the modifying group is a phosphorothioate group.
在一些實施方案中,硫代磷酸酯基存在於選自以下的位置中的至少一處:In some embodiments, the phosphorothioate group is present in at least one position selected from the group consisting of:
該正義鏈的5'-3’方向第1個核苷酸和第2個核苷酸之間;Between the first nucleotide and the second nucleotide in the 5'-3' direction of the sense strand;
該正義鏈的5'-3’方向第2個核苷酸和第3個核苷酸之間;Between the second nucleotide and the third nucleotide in the 5'-3' direction of the sense strand;
該正義鏈的3'-5’方向第1個核苷酸末端;The first nucleotide end in the 3'-5' direction of the sense strand;
該正義鏈的3'-5’方向第1個核苷酸和第2個核苷酸之間;Between the first nucleotide and the second nucleotide in the 3'-5' direction of the sense strand;
該正義鏈的3'-5’方向第2個核苷酸和第3個核苷酸之間;Between the second nucleotide and the third nucleotide in the 3'-5' direction of the sense strand;
該反義鏈的5'-3’方向第1個核苷酸和第2個核苷酸之間;Between the first nucleotide and the second nucleotide in the 5'-3' direction of the antisense strand;
該反義鏈的5'-3’方向第2個核苷酸和第3個核苷酸之間;Between the second nucleotide and the third nucleotide in the 5'-3' direction of the antisense strand;
該反義鏈的3'-5’方向第1個核苷酸末端;The first nucleotide end of the 3'-5' direction of the antisense strand;
該反義鏈的3'-5’方向第1個核苷酸和第2個核苷酸之間;或Between the first nucleotide and the second nucleotide in the 3'-5' direction of the antisense strand; or
該反義鏈的3'-5’方向第2個核苷酸和第3個核苷酸之間。Between the 2nd nucleotide and the 3rd nucleotide in the 3'-5' direction of the antisense strand.
在一些實施方案中,核苷酸序列II如下式所示:In some embodiments, nucleotide sequence II is represented by the formula:
MD-AS19:5’-NmsNfsNmNfNmNfNmNmNfNmNmNfNmNfNmNfNmNfNmsNmsNm-3’。MD-AS19: 5'-NmsNfsNmNfNmNfNmNmNfNmNmNfNmNfNmNfNmNfNmsNmsNm-3'.
在一些實施方案中,核苷酸序列II如下式所示:In some embodiments, nucleotide sequence II is represented by the formula:
MD-AS18:5’-NmsNfsNmNDNANmNfNmNmNDNANmNmNDNANmNfNmNfNmNmNmsNmsNm-3’,其中NDNA表示該位置的核苷酸為2'-脫氧-修飾的核苷酸。MD-AS18: 5'-NmsNfsNmNDNA NmNfNmNmNDNA NmNmNDNA NmNfNmNfNmNmNmsNmsNm-3', where NDNA indicates that the nucleotide at this position is a 2'-deoxy-modified nucleotide.
在一些實施方案中,核苷酸序列I如下式所示:In some embodiments, the nucleotide sequence I is represented by the formula:
MD-SS3:5’-NmsNmsNmNmNfNmNfNfNfNmNmNmNmNmNmNmNmNmNm-3’。MD-SS3: 5'-NmsNmsNmNmNfNmNfNfNfNmNmNmNmNmNmNmNmNmNm-3'.
在一些實施方案中,siRNA包含一個或兩個平端。In some embodiments, the siRNA comprises one or two blunt ends.
術語“平端”或“平末端”可互換使用,是指在siRNA的給定的末端沒有非配對的核苷酸或核苷酸類似物,即,沒有核苷酸突出。大多數情況下,兩個末端都是平末端的siRNA將在其整個長度範圍內是雙鏈的。The terms "blunt end" or "blunt end" are used interchangeably and refer to the absence of unpaired nucleotides or nucleotide analogs at a given end of an siRNA, ie, no nucleotide overhang. In most cases, an siRNA that is blunt-ended at both ends will be double-stranded over its entire length.
在一些實施方案中,siRNA包含具有1至4個未配對核苷酸的突出端,例如2個或3個未配對核苷酸的突出端。In some embodiments, the siRNA comprises an overhang having 1 to 4 unpaired nucleotides, eg, an overhang of 2 or 3 unpaired nucleotides.
在一些實施方案中,siRNA包含位於該siRNA反義鏈3’-端的突出端。In some embodiments, the siRNA comprises an overhang located at the 3'-end of the antisense strand of the siRNA.
在一些實施方案中,正義鏈與至少一個靶向配體結合。In some embodiments, the sense strand binds to at least one targeting ligand.
在一些實施方案中,本公開提供了一種siRNA,其包含正義鏈和反義鏈,其中,正義鏈的序列如下式所示:In some embodiments, the present disclosure provides an siRNA comprising a sense strand and an antisense strand, wherein the sequence of the sense strand is shown in the formula:
MD-SS3:5’-NmsNmsNmNmNfNmNfNfNfNmNmNmNmNmNmNmNmNmNm-3’;MD-SS3: 5'-NmsNmsNmNmNfNmNfNfNfNmNmNmNmNmNmNmNmNmNm-3';
並且反義鏈的序列如下式所示:And the sequence of the antisense strand is shown in the following formula:
MD-AS19:5’-NmsNfsNmNfNmNfNmNmNfNmNmNfNmNfNmNfNmNfNmsNmsNm-3’。MD-AS19: 5'-NmsNfsNmNfNmNfNmNmNfNmNmNfNmNfNmNfNmNfNmsNmsNm-3'.
本公開還提供了一種能夠抑制靶基因表達的siRNA,其包含正義鏈和反義鏈,其中,正義鏈含有一段核苷酸序列I,該反義鏈含有一段核苷酸序列II,該核苷酸序列I和核苷酸序列II至少部分地反向互補形成雙鏈區,該核苷酸序列II如下式所示:The present disclosure also provides an siRNA capable of inhibiting the expression of a target gene, comprising a sense strand and an antisense strand, wherein the sense strand contains a segment of nucleotide sequence I, the antisense strand contains a segment of nucleotide sequence II, and the nucleoside sequence Acid sequence I and nucleotide sequence II are at least partially reverse complementary to form a double-stranded region, and the nucleotide sequence II is represented by the following formula:
5’-Na’Nb’Na’X’Na’Nb’Na’Na’Nb’Na’Na’Nb’Na’Nb’Na’Y’Na’X’Na’Na’Na’-3’(核苷酸序列II)5'-Na 'Nb 'Na 'X'Na 'Nb 'Na 'Na 'Nb 'Na 'Na 'Nb 'Na 'Nb 'Na 'Y'Na 'X'Na 'Na 'Na '-3' (nucleotide sequence II)
其中,每個Na’獨立地表示修飾的核苷酸或者未修飾的核苷酸;每個Nb’獨立地為2'-氟修飾的核苷酸或2'-脫氧-修飾的核苷酸;每個X’獨立地為Na’或Nb’;Y’為Na’或Nb’。Wherein, each Na ' independently represents a modified nucleotide or an unmodified nucleotide; each Nb ' independently represents a 2'-fluoro-modified nucleotide or a 2'-deoxy-modified nucleoside acid; each X' is independentlyNa ' orNb ';Y' isNa ' orNb '.
在一些實施方案中,該修飾的核苷酸相互獨立地選自:2'-烷氧基修飾的核苷酸、2'-經取代的烷氧基修飾的核苷酸、2'-烷基修飾的核苷酸、2'-經取代的烷基修飾的核苷酸、2'-胺基修飾的核苷酸、2'-經取代的胺基修飾的核苷酸、2'-氟修飾的核苷酸、2'-脫氧核苷酸、2'-脫氧-2'-氟修飾的核苷酸、3'-脫氧-胸腺嘧啶核苷酸、異核苷酸、LNA、ENA、cET、UNA和GNA。In some embodiments, the modified nucleotides are independently selected from the group consisting of: 2'-alkoxy-modified nucleotides, 2'-substituted alkoxy-modified nucleotides, 2'-alkyl Modified Nucleotides, 2'-Substituted Alkyl Modified Nucleotides, 2'-Amino Modified Nucleotides, 2'-Substituted Amino Modified Nucleotides, 2'-Fluoro Modified nucleotides, 2'-deoxynucleotides, 2'-deoxy-2'-fluoromodified nucleotides, 3'-deoxy-thymine nucleotides, isonucleotides, LNA, ENA, cET, UNA and GNA.
在一些實施方案中,該修飾的核苷酸相互獨立地為2'-甲氧基修飾的核苷酸。In some embodiments, the modified nucleotides are independently of each other a 2'-methoxy modified nucleotide.
本公開還提供了一種siRNA,其包含正義鏈和反義鏈,其中,正義鏈含有一段核苷酸序列III,反義鏈含有一段核苷酸序列IV,核苷酸序列III和核苷酸序列IV至少部分地反向互補形成雙鏈區,核苷酸序列IV選自以下序列:The present disclosure also provides an siRNA comprising a sense strand and an antisense strand, wherein the sense strand contains a nucleotide sequence III, the antisense strand contains a nucleotide sequence IV, a nucleotide sequence III and a nucleotide sequence IV is at least partially reverse complementary to form a double-stranded region, and the nucleotide sequence IV is selected from the following sequences:
pMD-AS1:5’-NmNfNmNfNmNfNmNfNmNmNmNfNmNfNmNfNmNfNmNfNm-3’;pMD-AS1: 5’-NmNfNmNfNmNfNmNfNmNmNmNfNmNfNmNfNmNfNmNfNm-3’;
pMD-AS2:5’-NmNfNmNfNmNfNmNfNmNfNmNfNmNfNmNfNmNfNmNmNm-3’;pMD-AS2: 5'-NmNfNmNfNmNfNmNfNmNfNmNfNmNfNmNfNmNfNmNmNm-3';
pMD-AS4:5’-NmNfNmNmNmNmNmNmNmNmNmNmNmNfNmNfNmNmNmNmNm-3’;pMD-AS4: 5'-NmNfNmNmNmNmNmNmNmNmNmNmNfNmNfNmNmNmNmNmNm-3';
pMD-AS5:5’-NmNfNmNmNmNfNmNmNmNmNmNmNmNfNmNmNmNmNmNmNm-3’;pMD-AS5: 5'-NmNfNmNmNmNfNmNmNmNmNmNmNmNfNmNmNmNmNmNmNm-3';
pMD-AS6:5’-NmNfNmNmNmNmNmNmNmNmNmNmNmNfNmNmNmNmNmNmNm-3’;pMD-AS6: 5’-NmNfNmNmNmNmNmNmNmNmNmNmNfNmNmNmNmNmNmNm-3’;
pMD-AS8:5’-NmNfNmNmNmNfNmNmNmNDNANmNDNANmNfNmNfNmNmNmNmNm-3’;pMD-AS8: 5'-NmNfNmNmNmNfNmNmNmNDNA NmNDNA NmNfNmNfNmNmNmNmNmNm-3';
pMD-AS9:5’-NmNfNmNmNmNfNmNDNANDNANmNmNmNmNfNmNfNmNmNmNmNm-3’;pMD-AS9: 5'-NmNfNmNmNmNfNmNDNA NDNA NmNmNmNmNfNmNfNmNmNmNmNm-3';
pMD-AS10:5’-NmNfNmNfNmNfNmNmNDNANmNmNDNANmNfNmNfNmNDNANmNmNm-3’;pMD-AS10: 5'-NmNfNmNfNmNfNmNmNDNA NmNmNDNA NmNfNmNfNmNDNA NmNmNm-3';
pMD-AS11:5’-NmNfNmNfNmNfNmNfNmNfNmNfNmNfNmNfNmNmNmNmNm-3’;pMD-AS11: 5’-NmNfNmNfNmNfNmNfNmNfNmNfNmNfNmNfNmNmNmNmNm-3’;
pMD-AS12:5’-NmNfNmNfNmNfNmNfNmNfNmNfNmNfNmNmNmNmNmNmNm-3’;pMD-AS12: 5'-NmNfNmNfNmNfNmNfNmNfNmNfNmNfNmNmNmNmNmNmNm-3';
pMD-AS17:5’-NmNfNmNmNfNmNmNfNmNmNfNmNmNfNmNmNfNmNmNfNm-3’;pMD-AS17: 5'-NmNfNmNmNfNmNmNfNmNmNfNmNmNfNmNmNfNmNmNfNm-3';
pMD-AS18:5’-NmNfNmNDNANmNfNmNmNDNANmNmNDNANmNfNmNfNmNmNmNmNm-3’;和pMD-AS18: 5'-NmNfNmNDNA NmNfNmNmNDNA NmNmNDNA NmNfNmNfNmNmNmNmNm-3'; and
pMD-AS19:5’-NmNfNmNfNmNfNmNmNfNmNmNfNmNfNmNfNmNfNmNmNm-3’。pMD-AS19: 5'-NmNfNmNfNmNfNmNmNfNmNmNfNmNfNmNfNmNfNmNmNm-3'.
在一些實施方案中,核苷酸序列III選自以下序列:In some embodiments, nucleotide sequence III is selected from the following sequences:
pMD-1:5’-NfNmNfNmNfNmNfNfNfNmNfNmNfNmNfNmNfNmNf-3’;pMD-1: 5'-NfNmNfNmNfNmNfNfNfNmNfNmNfNmNfNmNfNmNf-3';
pMD-2:5’-NmNmNmNmNmNmNfNfNfNmNmNmNmNmNmNmNmNmNm-3’;pMD-2: 5'-NmNmNmNmNmNmNfNfNfNmNmNmNmNmNmNmNmNmNm-3';
pMD-3:5’-NmNfNmNmNmNfNmNmNmNmNmNmNmNfNmNfNmNmNmNmNm-3’;pMD-3: 5'-NmNfNmNmNmNfNmNmNmNmNmNmNmNfNmNfNmNmNmNmNmNm-3';
pMD-4:5’-NmNmNfNmNfNmNfNfNfNmNmNmNmNmNmNmNmNmNm-3’;pMD-4: 5'-NmNmNfNmNfNmNfNfNfNmNmNmNmNmNmNmNmNmNm-3';
pMD-5:5’-NmNmNmNmNmNfNfNfNfNmNmNmNmNmNmNmNmNmNm-3’;pMD-5: 5'-NmNmNmNmNmNfNfNfNfNmNmNmNmNmNmNmNmNmNm-3';
pMD-6:5’-NmNmNmNmNfNmNfNfNDNANmNmNmNmNmNmNmNmNmNm-3’;pMD-6: 5'-NmNmNmNmNfNmNfNfNDNA NmNmNmNmNmNmNmNmNmNm-3';
pMD-7:5’-NmNmNmNmNfNmNDNANfNfNmNmNmNmNmNmNmNmNmNm-3’;pMD-7: 5'-NmNmNmNmNfNmNDNA NfNfNmNmNmNmNmNmNmNmNmNm-3';
pMD-8:5’-NmNmNmNmNfNmNfNDNANfNmNmNmNmNmNmNmNmNmNm-3’;pMD-8: 5'-NmNmNmNmNfNmNfNDNA NfNmNmNmNmNmNmNmNmNmNm-3';
pMD-9:5’-NmNmNmNmNfNmNDNANfNDNANmNmNmNmNmNmNmNmNmNm-3’;pMD-9: 5'-NmNmNmNmNfNmNDNA NfNDNA NmNmNmNmNmNmNmNmNmNm-3';
pMD-10:5’-NmNmNmNmNDNANmNfNfNfNmNmNmNmNmNmNmNmNmNm-3’;pMD-10: 5'-NmNmNmNmNDNA NmNfNfNfNmNmNmNmNmNmNmNmNmNm-3';
pMD-11:5’-NmNmNmNmNDNANmNfNfNDNANmNmNmNmNmNmNmNmNmNm-3’;pMD-11: 5'-NmNmNmNmNDNA NmNfNfNDNA NmNmNmNmNmNmNmNmNmNm-3';
pMD-12:5’-NmNmNmNmNmNmNDNANfNfNmNmNmNmNmNmNmNmNmNm-3’;pMD-12: 5'-NmNmNmNmNmNmNDNA NfNfNmNmNmNmNmNmNmNmNmNm-3';
和pMD-13:5’-NmNmNmNmNfNmNmNfNfNmNmNmNmNmNmNmNmNmNm-3’。and pMD-13: 5'-NmNmNmNmNfNmNmNfNfNmNmNmNmNmNmNmNmNm-3'.
在一些實施方案中,iRNA包含選自以下的正義鏈和反義鏈的組:In some embodiments, the iRNA comprises a sense strand and an antisense strand selected from the group consisting of:
(1)正義鏈:5’-NfNmNfNmNfNmNfNfNfNmNfNmNfNmNfNmNfNmNf-3’;(1) Sense strand: 5'-NfNmNfNmNfNmNfNfNfNmNfNmNfNmNfNmNfNmNf-3';
反義鏈:5’-NmNfNmNmNmNfNmNmNmNmNmNmNmNfNmNfNmNmNmNmNm-3’;Antisense strand: 5'-NmNfNmNmNmNfNmNmNmNmNmNmNmNfNmNfNmNmNmNmNm-3';
(2)正義鏈:5’-NmNmNmNmNmNmNfNfNfNmNmNmNmNmNmNmNmNmNm-3’;(2) Positive strand: 5'-NmNmNmNmNmNmNfNfNfNmNmNmNmNmNmNmNmNmNm-3';
反義鏈:5’-NmNfNmNmNmNfNmNmNmNmNmNmNmNfNmNfNmNmNmNmNm-3’;Antisense strand: 5'-NmNfNmNmNmNfNmNmNmNmNmNmNmNfNmNfNmNmNmNmNm-3';
(3)正義鏈:5’-NmNmNfNmNfNmNfNfNfNmNmNmNmNmNmNmNmNmNm-3’;(3) Positive strand: 5'-NmNmNfNmNfNmNfNfNfNmNmNmNmNmNmNmNmNmNm-3';
反義鏈:5’-NmNfNmNmNmNfNmNmNmNmNmNmNmNfNmNfNmNmNmNmNm-3’;Antisense strand: 5'-NmNfNmNmNmNfNmNmNmNmNmNmNmNfNmNfNmNmNmNmNm-3';
(4)正義鏈:5’-NmNmNmNmNmNfNfNfNfNmNmNmNmNmNmNmNmNmNm-3’;(4) Positive strand: 5'-NmNmNmNmNmNfNfNfNfNmNmNmNmNmNmNmNmNmNm-3';
反義鏈:5’-NmNfNmNmNmNfNmNmNmNmNmNmNmNfNmNfNmNmNmNmNm-3’;Antisense strand: 5'-NmNfNmNmNmNfNmNmNmNmNmNmNmNfNmNfNmNmNmNmNm-3';
(5)正義鏈:5’-NmNmNmNmNfNmNfNfNDNANmNmNmNmNmNmNmNmNmNm-3’;(5) Sense strand: 5'-NmNmNmNmNfNmNfNfNDNA NmNmNmNmNmNmNmNmNmNm-3';
反義鏈:5’-NmNfNmNmNmNfNmNmNmNmNmNmNmNfNmNfNmNmNmNmNm-3’;Antisense strand: 5'-NmNfNmNmNmNfNmNmNmNmNmNmNmNfNmNfNmNmNmNmNm-3';
(6)正義鏈:5’-NmNmNmNmNfNmNDNANfNfNmNmNmNmNmNmNmNmNmNm-3’;(6) Sense strand: 5'-NmNmNmNmNfNmNDNA NfNfNmNmNmNmNmNmNmNmNmNm-3';
反義鏈:5’-NmNfNmNmNmNfNmNmNmNmNmNmNmNfNmNfNmNmNmNmNm-3’;Antisense strand: 5'-NmNfNmNmNmNfNmNmNmNmNmNmNmNfNmNfNmNmNmNmNm-3';
(7)正義鏈:5’-NmNmNmNmNfNmNfNDNANfNmNmNmNmNmNmNmNmNmNm-3’;(7) Sense strand: 5'-NmNmNmNmNfNmNfNDNA NfNmNmNmNmNmNmNmNmNmNm-3';
反義鏈:5’-NmNfNmNmNmNfNmNmNmNmNmNmNmNfNmNfNmNmNmNmNm-3’;Antisense strand: 5'-NmNfNmNmNmNfNmNmNmNmNmNmNmNfNmNfNmNmNmNmNm-3';
(8)正義鏈:5’-NmNmNmNmNfNmNDNANfNDNANmNmNmNmNmNmNmNmNmNm-3’;(8) Sense strand: 5'-NmNmNmNmNfNmNDNA NfNDNA NmNmNmNmNmNmNmNmNmNm-3';
反義鏈:5’-NmNfNmNmNmNfNmNmNmNmNmNmNmNfNmNfNmNmNmNmNm-3’;Antisense strand: 5'-NmNfNmNmNmNfNmNmNmNmNmNmNmNfNmNfNmNmNmNmNm-3';
(9)正義鏈:5’-NmNmNmNmNDNANmNfNfNfNmNmNmNmNmNmNmNmNmNm-3’;(9) Sense strand: 5'-NmNmNmNmNDNA NmNfNfNfNmNmNmNmNmNmNmNmNmNm-3';
反義鏈:5’-NmNfNmNmNmNfNmNmNmNmNmNmNmNfNmNfNmNmNmNmNm-3’;Antisense strand: 5'-NmNfNmNmNmNfNmNmNmNmNmNmNmNfNmNfNmNmNmNmNm-3';
(10)正義鏈:5’-NmNmNmNmNDNANmNfNfNDNANmNmNmNmNmNmNmNmNmNm-3’;(10) Sense strand: 5'-NmNmNmNmNDNA NmNfNfNDNA NmNmNmNmNmNmNmNmNmNm-3';
反義鏈:5’-NmNfNmNmNmNfNmNmNmNmNmNmNmNfNmNfNmNmNmNmNm-3’;Antisense strand: 5'-NmNfNmNmNmNfNmNmNmNmNmNmNmNfNmNfNmNmNmNmNm-3';
(11)正義鏈:5’-NmNmNmNmNmNmNDNANfNfNmNmNmNmNmNmNmNmNmNm-3’;(11) Sense strand: 5'-NmNmNmNmNmNmNDNA NfNfNmNmNmNmNmNmNmNmNmNm-3';
反義鏈:5’-NmNfNmNmNmNfNmNmNmNmNmNmNmNfNmNfNmNmNmNmNm-3’;Antisense strand: 5'-NmNfNmNmNmNfNmNmNmNmNmNmNmNfNmNfNmNmNmNmNm-3';
(12)正義鏈:5’-NmNmNmNmNfNmNmNfNfNmNmNmNmNmNmNmNmNmNm-3’;(12) Positive strand: 5'-NmNmNmNmNfNmNmNfNfNmNmNmNmNmNmNmNmNmNm-3';
反義鏈:5’-NmNfNmNmNmNfNmNmNmNmNmNmNmNfNmNfNmNmNmNmNm-3’Antisense strand: 5'-NmNfNmNmNmNfNmNmNmNmNmNmNfNmNfNmNmNmNmNm-3'
(13)正義鏈:5’-NmNmNmNmNfNmNfNfNfNmNmNmNmNmNmNmNmNmNm-3’;(13) Positive strand: 5'-NmNmNmNmNfNmNfNfNfNmNmNmNmNmNmNmNmNmNm-3';
反義鏈:5’-NmNfNmNfNmNfNmNfNmNmNmNfNmNfNmNfNmNfNmNfNm-3’;Antisense strand: 5'-NmNfNmNfNmNfNmNfNmNmNmNfNmNfNmNfNmNfNmNfNm-3';
(14)正義鏈:5’-NmNmNmNmNfNmNfNfNfNmNmNmNmNmNmNmNmNmNm-3’;(14) Positive strand: 5'-NmNmNmNmNfNmNfNfNfNmNmNmNmNmNmNmNmNmNm-3';
反義鏈:5’-NmNfNmNfNmNfNmNfNmNfNmNfNmNfNmNfNmNfNmNmNm-3’;Antisense strand: 5'-NmNfNmNfNmNfNmNfNmNfNmNfNmNfNmNfNmNfNmNmNm-3';
(15)正義鏈:5’-NmNmNmNmNfNmNfNfNfNmNmNmNmNmNmNmNmNmNm-3’;(15) Positive strand: 5'-NmNmNmNmNfNmNfNfNfNmNmNmNmNmNmNmNmNmNm-3';
反義鏈:5’-NmNfNmNmNmNmNmNmNmNmNmNmNmNfNmNfNmNmNmNmNm-3’;Antisense strand: 5'-NmNfNmNmNmNmNmNmNmNmNmNmNfNmNfNmNmNmNmNm-3';
(16)正義鏈:5’-NmNmNmNmNfNmNfNfNfNmNmNmNmNmNmNmNmNmNm-3’;(16) Positive strand: 5'-NmNmNmNmNfNmNfNfNfNmNmNmNmNmNmNmNmNmNm-3';
反義鏈:5’-NmNfNmNmNmNfNmNmNmNmNmNmNmNfNmNmNmNmNmNmNm-3’;Antisense strand: 5'-NmNfNmNmNmNfNmNmNmNmNmNmNmNfNmNmNmNmNmNmNm-3';
(17)正義鏈:5’-NmNmNmNmNfNmNfNfNfNmNmNmNmNmNmNmNmNmNm-3’;(17) Positive strand: 5'-NmNmNmNmNfNmNfNfNfNmNmNmNmNmNmNmNmNmNm-3';
反義鏈:5’-NmNfNmNmNmNmNmNmNmNmNmNmNmNfNmNmNmNmNmNmNm-3’;Antisense strand: 5'-NmNfNmNmNmNmNmNmNmNmNmNmNfNmNmNmNmNmNmNm-3';
(18)正義鏈:5’-NmNmNmNmNfNmNfNfNfNmNmNmNmNmNmNmNmNmNm-3’;(18) Positive strand: 5'-NmNmNmNmNfNmNfNfNfNmNmNmNmNmNmNmNmNmNm-3';
反義鏈:5’-NmNfNmNmNmNfNmNmNmNDNANmNDNANmNfNmNfNmNmNmNmNm-3’;Antisense strand: 5'-NmNfNmNmNmNfNmNmNmNDNA NmNDNA NmNfNmNfNmNmNmNmNm-3';
(19)正義鏈:5’-NmNmNmNmNfNmNfNfNfNmNmNmNmNmNmNmNmNmNm-3’;(19) Positive strand: 5'-NmNmNmNmNfNmNfNfNfNmNmNmNmNmNmNmNmNmNm-3';
反義鏈:5’-NmNfNmNmNmNfNmNDNANDNANmNmNmNmNfNmNfNmNmNmNmNm-3’;Antisense strand: 5'-NmNfNmNmNmNfNmNDNA NDNA NmNmNmNmNfNmNfNmNmNmNmNm-3';
(20)正義鏈:5’-NmNmNmNmNfNmNfNfNfNmNmNmNmNmNmNmNmNmNm-3’;(20) Positive strand: 5'-NmNmNmNmNfNmNfNfNfNmNmNmNmNmNmNmNmNmNm-3';
反義鏈:5’-NmNfNmNfNmNfNmNmNDNANmNmNDNANmNfNmNfNmNDNANmNmNm-3’;Antisense strand: 5'-NmNfNmNfNmNfNmNmNDNA NmNmNDNA NmNfNmNfNmNDNA NmNmNm-3';
(21)正義鏈:5’-NmNmNmNmNfNmNfNfNfNmNmNmNmNmNmNmNmNmNm-3’;(21) Positive strand: 5'-NmNmNmNmNfNmNfNfNfNmNmNmNmNmNmNmNmNmNm-3';
反義鏈:5’-NmNfNmNfNmNfNmNfNmNfNmNfNmNfNmNfNmNmNmNmNm-3’;Antisense strand: 5'-NmNfNmNfNmNfNmNfNmNfNmNfNmNfNmNfNmNmNmNmNmNm-3';
(22)正義鏈:5’-NmNmNmNmNfNmNfNfNfNmNmNmNmNmNmNmNmNmNm-3’;(22) Positive strand: 5'-NmNmNmNmNfNmNfNfNfNmNmNmNmNmNmNmNmNmNm-3';
反義鏈:5’-NmNfNmNfNmNfNmNfNmNfNmNfNmNfNmNmNmNmNmNmNm-3’;Antisense strand: 5'-NmNfNmNfNmNfNmNfNmNfNmNfNmNfNmNmNmNmNmNmNm-3';
(23)正義鏈:5’-NmNmNmNmNfNmNfNfNfNmNmNmNmNmNmNmNmNmNm-3’;(23) Positive strand: 5'-NmNmNmNmNfNmNfNfNfNmNmNmNmNmNmNmNmNmNm-3';
反義鏈:5’-NmNfNmNmNfNmNmNfNmNmNfNmNmNfNmNmNfNmNmNfNm-3’;Antisense strand: 5'-NmNfNmNmNfNmNmNfNmNmNfNmNmNfNmNmNfNmNmNfNm-3';
(24)正義鏈:5’-NmNmNmNmNfNmNfNfNfNmNmNmNmNmNmNmNmNmNm-3’;(24) Positive strand: 5'-NmNmNmNmNfNmNfNfNfNmNmNmNmNmNmNmNmNmNm-3';
反義鏈:5’-NmNfNmNDNANmNfNmNmNDNANmNmNDNANmNfNmNfNmNmNmNmNm-3’;和Antisense strand: 5'-NmNfNmNDNA NmNfNmNmNDNA NmNmNDNA NmNfNmNfNmNmNmNmNm-3'; and
(25)正義鏈:5’-NmNmNmNmNfNmNfNfNfNmNmNmNmNmNmNmNmNmNm-3’;(25) Positive strand: 5'-NmNmNmNmNfNmNfNfNfNmNmNmNmNmNmNmNmNmNm-3';
反義鏈:5’-NmNfNmNfNmNfNmNmNfNmNmNfNmNfNmNfNmNfNmNmNm-3’。Antisense strand: 5'-NmNfNmNfNmNfNmNmNfNmNmNfNmNfNmNfNmNfNmNmNm-3'.
在一些實施方案中,正義鏈和/或反義鏈中至少一個磷酸酯基為具有修飾基團的磷酸酯基;In some embodiments, at least one phosphate group in the sense strand and/or antisense strand is a phosphate group with a modifying group;
在一些實施方案中,該具有修飾基團的磷酸酯基為硫代磷酸酯基。In some embodiments, the phosphate group with the modifying group is a phosphorothioate group.
在一些實施方案中,硫代磷酸酯基存在於選自以下的位置中的至少一處:In some embodiments, the phosphorothioate group is present in at least one position selected from the group consisting of:
該正義鏈的5'-3’方向第1個核苷酸和第2個核苷酸之間;Between the first nucleotide and the second nucleotide in the 5'-3' direction of the sense strand;
該正義鏈的5'-3’方向第2個核苷酸和第3個核苷酸之間;Between the second nucleotide and the third nucleotide in the 5'-3' direction of the sense strand;
該正義鏈的3'-5’方向第1個核苷酸末端;The first nucleotide end in the 3'-5' direction of the sense strand;
該正義鏈的3'-5’方向第1個核苷酸和第2個核苷酸之間;Between the first nucleotide and the second nucleotide in the 3'-5' direction of the sense strand;
該正義鏈的3'-5’方向第2個核苷酸和第3個核苷酸之間;Between the second nucleotide and the third nucleotide in the 3'-5' direction of the sense strand;
該反義鏈的5'-3’方向第1個核苷酸和第2個核苷酸之間;Between the first nucleotide and the second nucleotide in the 5'-3' direction of the antisense strand;
該反義鏈的5'-3’方向第2個核苷酸和第3個核苷酸之間;Between the second nucleotide and the third nucleotide in the 5'-3' direction of the antisense strand;
該反義鏈的3'-5’方向第1個核苷酸末端;The first nucleotide end of the 3'-5' direction of the antisense strand;
該反義鏈的3'-5’方向第1個核苷酸和第2個核苷酸之間;或Between the first nucleotide and the second nucleotide in the 3'-5' direction of the antisense strand; or
該反義鏈的3'-5’方向第2個核苷酸和第3個核苷酸之間。Between the 2nd nucleotide and the 3rd nucleotide in the 3'-5' direction of the antisense strand.
在一些實施方案中,核苷酸序列IV選自以下序列:In some embodiments, the nucleotide sequence IV is selected from the following sequences:
MD-AS1:5’-NmsNfsNmNfNmNfNmNfNmNmNmNfNmNfNmNfNmNfNmsNfsNm-3’;MD-AS1: 5'-NmsNfsNmNfNmNfNmNfNmNmNmNfNmNfNmNfNmNfNmsNfsNm-3';
MD-AS2:5’-NmsNfsNmNfNmNfNmNfNmNfNmNfNmNfNmNfNmNfNmsNmsNm-3’;MD-AS2: 5'-NmsNfsNmNfNmNfNmNfNmNfNmNfNmNfNmNfNmNfNmsNmsNm-3';
MD-AS3:5’-NmsNfsNmNmNmNfNmNmNmNmNmNmNmNfNmNfNmNmNmsNmsNm-3’;MD-AS3: 5’-NmsNfsNmNmNmNfNmNmNmNmNmNmNfNmNfNmNmNmsNmsNm-3’;
MD-AS4:5’-NmsNfsNmNmNmNmNmNmNmNmNmNmNmNfNmNfNmNmNmsNmsNm-3’;MD-AS4: 5'-NmsNfsNmNmNmNmNmNmNmNmNmNmNfNmNfNmNmNmsNmsNm-3';
MD-AS5:5’-NmsNfsNmNmNmNfNmNmNmNmNmNmNmNfNmNmNmNmNmsNmsNm-3’;MD-AS5: 5’-NmsNfsNmNmNmNfNmNmNmNmNmNmNfNmNmNmNmNmsNmsNm-3’;
MD-AS6:5’-NmsNfsNmNmNmNmNmNmNmNmNmNmNmNfNmNmNmNmNmsNmsNm-3’;MD-AS6: 5’-NmsNfsNmNmNmNmNmNmNmNmNmNmNfNmNmNmNmNmsNmsNm-3’;
MD-AS8:5’-NmsNfsNmNmNmNfNmNmNmNDNANmNDNANmNfNmNfNmNmNmsNmsNm-3’;MD-AS8: 5'-NmsNfsNmNmNmNfNmNmNmNDNA NmNDNA NmNfNmNfNmNmNmsNmsNm-3';
MD-AS9:5’-NmsNfsNmNmNmNfNmNDNANDNANmNmNmNmNfNmNfNmNmNmsNmsNm-3’;MD-AS9: 5'-NmsNfsNmNmNmNfNmNDNA NDNA NmNmNmNmNfNmNfNmNmNmsNmsNm-3';
MD-AS10:5’-NmsNfsNmNfNmNfNmNmNDNANmNmNDNANmNfNmNfNmNDNANmsNmsNm-3’;MD-AS10: 5'-NmsNfsNmNfNmNfNmNmNDNA NmNmNDNA NmNfNmNfNmNDNA NmsNmsNm-3';
MD-AS11:5’-NmsNfsNmNfNmNfNmNfNmNfNmNfNmNfNmNfNmNmNmsNmsNm-3’;MD-AS11: 5'-NmsNfsNmNfNmNfNmNfNmNfNmNfNmNfNmNfNmNmNmsNmsNm-3';
MD-AS12:5’-NmsNfsNmNfNmNfNmNfNmNfNmNfNmNfNmNmNmNmNmsNmsNm-3’;MD-AS12: 5'-NmsNfsNmNfNmNfNmNfNmNfNmNfNmNfNmNmNmNmNmsNmsNm-3';
MD-AS17:5’-NmsNfsNmNmNfNmNmNfNmNmNfNmNmNfNmNmNfNmNmsNfsNm-3’;MD-AS17: 5'-NmsNfsNmNmNfNmNmNfNmNmNfNmNmNfNmNmNfNmNmsNfsNm-3';
MD-AS18:5’-NmsNfsNmNDNANmNfNmNmNDNANmNmNDNANmNfNmNfNmNmNmsNmsNm-3’;MD-AS18: 5'-NmsNfsNmNDNA NmNfNmNmNDNA NmNmNDNA NmNfNmNfNmNmNmsNmsNm-3';
和MD-AS19:5’-NmsNfsNmNfNmNfNmNmNfNmNmNfNmNfNmNfNmNfNmsNmsNm-3’。and MD-AS19: 5'-NmsNfsNmNfNmNfNmNmNfNmNmNfNmNfNmNfNmNfNmsNmsNm-3'.
在一些實施方案中,核苷酸序列III選自以下序列:In some embodiments, nucleotide sequence III is selected from the following sequences:
MD-SS1:5’-NfsNmsNfNmNfNmNfNfNfNmNfNmNfNmNfNmNfsNmsNf-3’;MD-SS1: 5'-NfsNmsNfNmNfNmNfNfNfNmNfNmNfNmNfNmNfsNmsNf-3';
MD-SS2:5’-NmsNmsNmNmNmNmNfNfNfNmNmNmNmNmNmNmNmsNmsNm-3’;MD-SS2: 5’-NmsNmsNmNmNmNmNfNfNfNmNmNmNmNmNmNmsNmsNm-3’;
MD-SS3:5’-NmsNmsNmNmNfNmNfNfNfNmNmNmNmNmNmNmNmsNmsNm-3’;MD-SS3: 5'-NmsNmsNmNmNfNmNfNfNfNmNmNmNmNmNmNmsNmsNm-3';
MD-SS4:5’-NmsNmsNfNmNfNmNfNfNfNmNmNmNmNmNmNmNmsNmsNm-3’;MD-SS4: 5'-NmsNmsNfNmNfNmNfNfNfNmNmNmNmNmNmNmsNmsNm-3';
MD-SS5:5’-NmsNmsNmNmNmNfNfNfNfNmNmNmNmNmNmNmNmsNmsNm-3’;MD-SS5: 5'-NmsNmsNmNmNmNfNfNfNfNmNmNmNmNmNmNmnsNmsNm-3';
MD-SS6:5’-NmsNmsNmNmNfNmNfNfNDNANmNmNmNmNmNmNmNmsNmsNm-3’;MD-SS6: 5'-NmsNmsNmNmNfNmNfNfNDNA NmNmNmNmNmNmNmnsNmsNm-3';
MD-SS7:5’-NmsNmsNmNmNfNmNDNANfNfNmNmNmNmNmNmNmNmsNmsNm-3’;MD-SS7: 5'-NmsNmsNmNmNfNmNDNA NfNfNmNmNmNmNmNmNmnsNmsNm-3';
MD-SS8:5’-NmsNmsNmNmNfNmNfNDNANfNmNmNmNmNmNmNmNmsNmsNm-3’;MD-SS8: 5'-NmsNmsNmNmNfNmNfNDNA NfNmNmNmNmNmNmNmNmsNmsNm-3';
MD-SS9:5’-NmsNmsNmNmNfNmNDNANfNDNANmNmNmNmNmNmNmNmsNmsNm-3’;MD-SS9: 5'-NmsNmsNmNmNfNmNDNA NfNDNA NmNmNmNmNmNmNmnsNmsNm-3';
MD-SS10:5’-NmsNmsNmNmNDNANmNfNfNfNmNmNmNmNmNmNmNmsNmsNm-3’;MD-SS10: 5'-NmsNmsNmNmNDNA NmNfNfNfNmNmNmNmNmNmNmnsNmsNm-3';
MD-SS11:5’-NmsNmsNmNmNDNANmNfNfNDNANmNmNmNmNmNmNmNmsNmsNm-3’;MD-SS11: 5'-NmsNmsNmNmNDNA NmNfNfNDNA NmNmNmNmNmNmNmNmsNmsNm-3';
MD-SS12:5’-NmsNmsNmNmNmNmNDNANfNfNmNmNmNmNmNmNmNmsNmsNm-3’;MD-SS12: 5'-NmsNmsNmNmNmNmNDNA NfNfNmNmNmNmNmNmNmNmsNmsNm-3';
MD-SS13:5’-NmsNmsNmNmNfNmNmNfNfNmNmNmNmNmNmNmNmsNmsNm-3’。MD-SS13: 5’-NmsNmsNmNmNfNmNmNfNfNmNmNmNmNmNmNmNmsNmsNm-3’.
在一些實施方案中,siRNA包含選自以下的正義鏈和反義鏈的組:In some embodiments, the siRNA comprises a sense strand and an antisense strand selected from the group consisting of:
(1)正義鏈:5’-NfsNmsNfNmNfNmNfNfNfNmNfNmNfNmNfNmNfsNmsNf-3’;(1) Sense strand: 5'-NfsNmsNfNmNfNmNfNfNfNmNfNmNfNmNfNmNfsNmsNf-3';
反義鏈:5’-NmsNfsNmNmNmNfNmNmNmNmNmNmNmNfNmNfNmNmNmsNmsNm-3’;Antisense strand: 5'-NmsNfsNmNmNmNfNmNmNmNmNmNmNmNfNmNfNmNmNmsNmsNm-3';
(2)正義鏈:5’-NmsNmsNmNmNmNmNfNfNfNmNmNmNmNmNmNmNmsNmsNm-3’;(2) Positive strand: 5'-NmsNmsNmNmNmNmNfNfNfNmNmNmNmNmNmNmsNmsNm-3';
反義鏈:5’-NmsNfsNmNmNmNfNmNmNmNmNmNmNmNfNmNfNmNmNmsNmsNm-3’;Antisense strand: 5'-NmsNfsNmNmNmNfNmNmNmNmNmNmNmNfNmNfNmNmNmsNmsNm-3';
(3)正義鏈:5’-NmsNmsNfNmNfNmNfNfNfNmNmNmNmNmNmNmNmsNmsNm-3’;(3) Positive strand: 5’-NmsNmsNfNmNfNmNfNfNfNmNmNmNmNmNmNmNmsNmsNm-3’;
反義鏈:5’-NmsNfsNmNmNmNfNmNmNmNmNmNmNmNfNmNfNmNmNmsNmsNm-3’;Antisense strand: 5'-NmsNfsNmNmNmNfNmNmNmNmNmNmNmNfNmNfNmNmNmsNmsNm-3';
(4)正義鏈:5’-NmsNmsNmNmNmNfNfNfNfNmNmNmNmNmNmNmNmsNmsNm-3’;(4) Positive strand: 5'-NmsNmsNmNmNmNfNfNfNfNmNmNmNmNmNmNmnsNmsNm-3';
反義鏈:5’-NmsNfsNmNmNmNfNmNmNmNmNmNmNmNfNmNfNmNmNmsNmsNm-3’;Antisense strand: 5'-NmsNfsNmNmNmNfNmNmNmNmNmNmNmNfNmNfNmNmNmsNmsNm-3';
(5)正義鏈:5’-NmsNmsNmNmNfNmNfNfNDNANmNmNmNmNmNmNmNmsNmsNm-3’;(5) Sense strand: 5'-NmsNmsNmNmNfNmNfNfNDNA NmNmNmNmNmNmNmnsNmsNm-3';
反義鏈:5’-NmsNfsNmNmNmNfNmNmNmNmNmNmNmNfNmNfNmNmNmsNmsNm-3’;Antisense strand: 5'-NmsNfsNmNmNmNfNmNmNmNmNmNmNmNfNmNfNmNmNmsNmsNm-3';
(6)正義鏈:5’-NmsNmsNmNmNfNmNDNANfNfNmNmNmNmNmNmNmNmsNmsNm-3’;(6) Sense strand: 5'-NmsNmsNmNmNfNmNDNA NfNfNmNmNmNmNmNmNmsNmsNm-3';
反義鏈:5’-NmsNfsNmNmNmNfNmNmNmNmNmNmNmNfNmNfNmNmNmsNmsNm-3’;Antisense strand: 5'-NmsNfsNmNmNmNfNmNmNmNmNmNmNmNfNmNfNmNmNmsNmsNm-3';
(7)正義鏈:5’-NmsNmsNmNmNfNmNfNDNANfNmNmNmNmNmNmNmNmsNmsNm-3’;(7) Sense strand: 5'-NmsNmsNmNmNfNmNfNDNA NfNmNmNmNmNmNmNmnsNmsNm-3';
反義鏈:5’-NmsNfsNmNmNmNfNmNmNmNmNmNmNmNfNmNfNmNmNmsNmsNm-3’;Antisense strand: 5'-NmsNfsNmNmNmNfNmNmNmNmNmNmNmNfNmNfNmNmNmsNmsNm-3';
(8)正義鏈:5’-NmsNmsNmNmNfNmNDNANfNDNANmNmNmNmNmNmNmNmsNmsNm-3’;(8) Sense strand: 5'-NmsNmsNmNmNfNmNDNA NfNDNA NmNmNmNmNmNmNmnsNmsNm-3';
反義鏈:5’-NmsNfsNmNmNmNfNmNmNmNmNmNmNmNfNmNfNmNmNmsNmsNm-3’;Antisense strand: 5'-NmsNfsNmNmNmNfNmNmNmNmNmNmNmNfNmNfNmNmNmsNmsNm-3';
(9)正義鏈:5’-NmsNmsNmNmNDNANmNfNfNfNmNmNmNmNmNmNmNmsNmsNm-3’;(9) Sense strand: 5'-NmsNmsNmNmNDNA NmNfNfNfNmNmNmNmNmNmNmNmsNmsNm-3';
反義鏈:5’-NmsNfsNmNmNmNfNmNmNmNmNmNmNmNfNmNfNmNmNmsNmsNm-3’;Antisense strand: 5'-NmsNfsNmNmNmNfNmNmNmNmNmNmNmNfNmNfNmNmNmsNmsNm-3';
(10)正義鏈:5’-NmsNmsNmNmNDNANmNfNfNDNANmNmNmNmNmNmNmNmsNmsNm-3’;(10) Sense strand: 5'-NmsNmsNmNmNDNA NmNfNfNDNA NmNmNmNmNmNmNmNmsNmsNm-3';
反義鏈:5’-NmsNfsNmNmNmNfNmNmNmNmNmNmNmNfNmNfNmNmNmsNmsNm-3’;Antisense strand: 5'-NmsNfsNmNmNmNfNmNmNmNmNmNmNmNfNmNfNmNmNmsNmsNm-3';
(11)正義鏈:5’-NmsNmsNmNmNmNmNDNANfNfNmNmNmNmNmNmNmNmsNmsNm-3’;(11) Sense strand: 5'-NmsNmsNmNmNmNmNDNA NfNfNmNmNmNmNmNmNmNmsNmsNm-3';
反義鏈:5’-NmsNfsNmNmNmNfNmNmNmNmNmNmNmNfNmNfNmNmNmsNmsNm-3’;Antisense strand: 5'-NmsNfsNmNmNmNfNmNmNmNmNmNmNmNfNmNfNmNmNmsNmsNm-3';
(12)正義鏈:5’-NmsNmsNmNmNfNmNmNfNfNmNmNmNmNmNmNmNmsNmsNm-3’;(12) Positive strand: 5'-NmsNmsNmNmNfNmNmNfNfNmNmNmNmNmNmNmNmsNmsNm-3';
反義鏈:5’-NmsNfsNmNmNmNfNmNmNmNmNmNmNmNfNmNfNmNmNmsNmsNm-3’;Antisense strand: 5'-NmsNfsNmNmNmNfNmNmNmNmNmNmNmNfNmNfNmNmNmsNmsNm-3';
(13)正義鏈:5’-NmsNmsNmNmNfNmNfNfNfNmNmNmNmNmNmNmNmsNmsNm-3’;(13) Positive strand: 5’-NmsNmsNmNmNfNmNfNfNfNmNmNmNmNmNmNmNmsNmsNm-3’;
反義鏈:5’-NmsNfsNmNfNmNfNmNfNmNmNmNfNmNfNmNfNmNfNmsNfsNm-3’;Antisense strand: 5'-NmsNfsNmNfNmNfNmNfNmNmNmNfNmNfNmNfNmNfNmsNfsNm-3';
(14)正義鏈:5’-NmsNmsNmNmNfNmNfNfNfNmNmNmNmNmNmNmNmsNmsNm-3’;(14) Positive strand: 5'-NmsNmsNmNmNfNmNfNfNfNmNmNmNmNmNmNmNmsNmsNm-3';
反義鏈:5’-NmsNfsNmNfNmNfNmNfNmNfNmNfNmNfNmmNfNmNfNmsNmsNm-3’;Antisense strand: 5'-NmsNfsNmNfNmNfNmNfNmNfNmNfNmNfNmmNfNmNfNmsNmsNm-3';
(15)正義鏈:5’-NmsNmsNmNmNfNmNfNfNfNmNmNmNmNmNmNmNmsNmsNm-3’;(15) Positive strand: 5'-NmsNmsNmNmNfNmNfNfNfNmNmNmNmNmNmNmNmsNmsNm-3';
反義鏈:5’-NmsNfsNmNmNmNmNmNmNmNmNmNmNmNfNmNfNmNmNmsNmsNm-3’;Antisense strand: 5'-NmsNfsNmNmNmNmNmNmNmNmNmNmNfNmNfNmNmNmsNmsNm-3';
(16)正義鏈:5’-NmsNmsNmNmNfNmNfNfNfNmNmNmNmNmNmNmNmsNmsNm-3’;(16) Positive strand: 5’-NmsNmsNmNmNfNmNfNfNfNmNmNmNmNmNmNmNmsNmsNm-3’;
反義鏈:5’-NmsNfsNmNmNmNfNmNmNmNmNmNmNmNfNmNmNmNmNmsNmsNm-3’;Antisense strand: 5'-NmsNfsNmNmNmNfNmNmNmNmNmNmNmNfNmNmNmNmNmsNmsNm-3';
(17)正義鏈:5’-NmsNmsNmNmNfNmNfNfNfNmNmNmNmNmNmNmNmsNmsNm-3’;(17) Positive strand: 5'-NmsNmsNmNmNfNmNfNfNfNmNmNmNmNmNmNmNmsNmsNm-3';
反義鏈:5’-NmsNfsNmNmNmNmNmNmNmNmNmNmNmNfNmNmNmNmNmsNmsNm-3’;Antisense strand: 5'-NmsNfsNmNmNmNmNmNmNmNmNmNmNfNmNmNmNmNmsNmsNm-3';
(18)正義鏈:5’-NmsNmsNmNmNfNmNfNfNfNmNmNmNmNmNmNmNmsNmsNm-3’;(18) Positive strand: 5'-NmsNmsNmNmNfNmNfNfNfNmNmNmNmNmNmNmNmsNmsNm-3';
反義鏈:5’-NmsNfsNmNmNmNfNmNmNmNDNANmNDNANmNfNmNfNmNmNmsNmsNm-3’;Antisense strand: 5'-NmsNfsNmNmNmNfNmNmNmNDNA NmNDNA NmNfNmNfNmNmNmsNmsNm-3';
(19)正義鏈:5’-NmsNmsNmNmNfNmNfNfNfNmNmNmNmNmNmNmNmsNmsNm-3’;(19) Positive strand: 5'-NmsNmsNmNmNfNmNfNfNfNmNmNmNmNmNmNmNmsNmsNm-3';
反義鏈:5’-NmsNfsNmNmNmNfNmNDNANDNANmNmNmNmNfNmNfNmNmNmsNmsNm-3’;Antisense strand: 5'-NmsNfsNmNmNmNfNmNDNA NDNA NmNmNmNmNfNmNfNmNmNmsNmsNm-3';
(20)正義鏈:5’-NmsNmsNmNmNfNmNfNfNfNmNmNmNmNmNmNmNmsNmsNm-3’;(20) Positive strand: 5’-NmsNmsNmNmNfNmNfNfNfNmNmNmNmNmNmNmNmsNmsNm-3’;
反義鏈:5’-NmsNfsNmNfNmNfNmNmNDNANmNmNDNANmNfNmNfNmNDNANmsNmsNm-3’;Antisense strand: 5'-NmsNfsNmNfNmNfNmNmNDNA NmNmNDNA NmNfNmNfNmNDNA NmsNmsNm-3';
(21)正義鏈:5’-NmsNmsNmNmNfNmNfNfNfNmNmNmNmNmNmNmNmsNmsNm-3’;(21) Positive strand: 5'-NmsNmsNmNmNfNmNfNfNfNmNmNmNmNmNmNmNmsNmsNm-3';
反義鏈:5’-NmsNfsNmNfNmNfNmNfNmNfNmNfNmNfNmNfNmNmNmsNmsNm-3’;Antisense strand: 5'-NmsNfsNmNfNmNfNmNfNmNfNmNfNmNfNmNfNmNmNmsNmsNm-3';
(22)正義鏈:5’-NmsNmsNmNmNfNmNfNfNfNmNmNmNmNmNmNmNmsNmsNm-3’;(22) Positive strand: 5'-NmsNmsNmNmNfNmNfNfNfNmNmNmNmNmNmNmNmsNmsNm-3';
反義鏈:5’-NmsNfsNmNfNmNfNmNfNmNfNmNfNmNfNmNmNmNmNmsNmsNm-3’;Antisense strand: 5'-NmsNfsNmNfNmNfNmNfNmNfNmNfNmNfNmNmNmNmNmsNmsNm-3';
(23)正義鏈:5’-NmsNmsNmNmNfNmNfNfNfNmNmNmNmNmNmNmNmsNmsNm-3’;(23) Positive strand: 5'-NmsNmsNmNmNfNmNfNfNfNmNmNmNmNmNmNmNmsNmsNm-3';
反義鏈:5’-NmsNfsNmNmNfNmNmNfNmNmNfNmNmNfNmNmNfNmNmsNfsNm-3’;Antisense strand: 5'-NmsNfsNmNmNfNmNmNfNmNmNfNmNmNfNmNmNfNmNmsNfsNm-3';
(24)正義鏈:5’-NmsNmsNmNmNfNmNfNfNfNmNmNmNmNmNmNmNmsNmsNm-3’;(24) Positive strand: 5'-NmsNmsNmNmNfNmNfNfNfNmNmNmNmNmNmNmNmsNmsNm-3';
反義鏈:5’-NmsNfsNmNDNANmNfNmNmNDNANmNmNDNANmNfNmNfNmNmNmsNmsNm-3’;Antisense strand: 5'-NmsNfsNmNDNA NmNfNmNmNDNA NmNmNDNA NmNfNmNfNmNmNmsNmsNm-3';
和and
(25)正義鏈:5’-NmsNmsNmNmNfNmNfNfNfNmNmNmNmNmNmNmNmsNmsNm-3’;(25) Positive strand: 5'-NmsNmsNmNmNfNmNfNfNfNmNmNmNmNmNmNmNmsNmsNm-3';
反義鏈:5’-NmsNfsNmNfNmNfNmNmNfNmNmNfNmNfNmNfNmNfNmsNmsNm-3’。Antisense strand: 5'-NmsNfsNmNfNmNfNmNmNfNmNmNfNmNfNmNfNmNfNmsNmsNm-3'.
本公開還提供了一種siRNA綴合物,其包含上述siRNA以及連接至該siRNA的綴合基團。The present disclosure also provides an siRNA conjugate comprising the above-mentioned siRNA and a conjugation group attached to the siRNA.
在一些實施方案中,該綴合基團包含藥學上可接受的靶向配體和接頭,並且,該siRNA、該接頭和該靶向配體依次共價或非共價連接。In some embodiments, the conjugation group comprises a pharmaceutically acceptable targeting ligand and a linker, and the siRNA, the linker, and the targeting ligand are sequentially covalently or non-covalently linked.
在一些實施方案中,該接頭連接至該siRNA的正義鏈3’末端。In some embodiments, the linker is attached to the 3' end of the sense strand of the siRNA.
在一些實施方案中,為了促進siRNA進入細胞,可以在siRNA正義鏈的末端引入膽固醇等親脂性的基團,親脂性的基團包括以共價鍵與小干擾核酸結合,如末端引入膽固醇、脂蛋白、維生素E等,以利於藉由由脂質雙分子層構成的細胞膜與細胞內的mRNA發生作用。同時,siRNA也可以進行非共價鍵修飾,如藉由疏水鍵或離子鍵結合磷脂分子、多肽、陽離子聚合物等增加穩定性和生物學活性。In some embodiments, in order to promote the entry of siRNA into cells, a lipophilic group such as cholesterol can be introduced at the end of the sense strand of siRNA. Protein, vitamin E, etc., to facilitate the interaction with intracellular mRNA through the cell membrane composed of lipid bilayers. At the same time, siRNA can also be modified by non-covalent bonds, such as binding phospholipid molecules, polypeptides, cationic polymers, etc. through hydrophobic bonds or ionic bonds to increase stability and biological activity.
本公開還提供了一種製備前述siRNA或siRNA綴合物的方法,其包括:合成前述siRNA或siRNA綴合物;以及純化該siRNA或該siRNA綴合物。The present disclosure also provides a method for preparing the aforementioned siRNA or siRNA conjugate, comprising: synthesizing the aforementioned siRNA or siRNA conjugate; and purifying the siRNA or the siRNA conjugate.
在一些實施方案中,該方法包括以下步驟:(1)寡聚核糖核苷酸的合成;(2)脫保護;(3)純化分離;(4)退火。In some embodiments, the method comprises the steps of: (1) oligoribonucleotide synthesis; (2) deprotection; (3) purification isolation; (4) annealing.
在一些實施方案中,步驟(1)包括:使用固體支撐物介導的亞磷醯胺化學於RNA合成儀(例如Dr.Oligo48合成器(Biolytic))上分別合成正義鏈和反義鏈寡核糖核苷酸,合成規格可以是200奈米莫耳(nmol)規格;全部亞磷醯胺(50mM乙腈溶液)的偶合時間是6分鐘(min),採用5-乙基硫-1H-四唑(ETT)作為活化劑(0.6M乙腈溶液),使用0.22M的PADS溶於1:1體積比的乙腈和三甲基吡啶溶液作為硫化試劑,硫化反應時間是3分鐘(min),使用碘吡啶/水溶液作為氧化劑,氧化反應時間2分鐘(min);根據目標產物是否具有5’-硫代磷酸酯修飾的情況,選擇上述硫化反應條件或氧化反應條件;In some embodiments, step (1) comprises: synthesizing sense and antisense oligoribose, respectively, on an RNA synthesizer (eg, Dr. Oligo48 synthesizer (Biolytic)) using solid support-mediated phosphamidite chemistry Nucleotides can be synthesized on a scale of 200 nanomolar (nmol); the coupling time of all phosphamidites (50 mM in acetonitrile) is 6 minutes (min) using 5-ethylthio-1H-tetrazole ( ETT) as activator (0.6M acetonitrile solution), using 0.22M PADS dissolved in 1:1 volume ratio of acetonitrile and collidine solution as sulfurization reagent, sulfurization reaction time is 3 minutes (min), using iodopyridine/ The aqueous solution is used as an oxidant, and the oxidation reaction time is 2 minutes (min);According to whether the target product has 5'-phosphorothioate modification, select the above-mentioned vulcanization reaction conditions or oxidation reaction conditions;
步驟(2)包括:固相合成完成後,寡核糖核苷酸自固體支撐物裂解,採用體積比為3:1的28%氨水和乙醇溶液在50℃條件下浸泡16小時。然後高速離心,將上清液轉移到另一個離心管中,濃縮蒸發乾後,得到寡核苷酸粗產物;Step (2) includes: after the solid-phase synthesis is completed, the oligoribonucleotide is cleaved from the solid support, and soaked in 28% ammonia water and ethanol solution with a volume ratio of 3:1 at 50° C. for 16 hours. Then high-speed centrifugation, the supernatant was transferred to another centrifuge tube, concentrated and evaporated to dryness to obtain the crude oligonucleotide;
步驟(3)包括:將得到的寡核苷酸粗產物使用C18反向色譜純化,流動相為0.1M TEAA和乙腈,並使用3%三氟乙酸溶液脫出DMTr,收集目標產物後凍乾;Step (3) includes: purifying the obtained crude oligonucleotide using C18 reverse chromatography, the mobile phase is 0.1M TEAA and acetonitrile, and using 3% trifluoroacetic acid solution to remove DMTr, collecting the target product and lyophilizing;
步驟(4)包括:按照上述步驟分別合成的正義鏈和反義鏈,根據等莫耳比進行退火,使它們藉由氫鍵形成雙鏈結構,最後將所得到的雙鏈siRNA溶於1×PBS中,並調整至實驗所需濃度。Step (4) includes: the sense strand and antisense strand synthesized respectively according to the above steps, annealing according to equimolar ratio, so that they form a double-stranded structure by hydrogen bonding, and finally dissolving the obtained double-stranded siRNA in 1× PBS and adjusted to the desired concentration for the experiment.
另一方面,本公開提供了一種siRNA,其包含形成雙鏈區的正義鏈與反義鏈;該正義鏈包含與表1中任一正義鏈相差不超過3個核苷酸序列的至少15個連續核苷酸;該反義鏈包含與表1中任一反義鏈相差不超過3個核苷酸序列的至少15個連續核苷酸;該siRNA含有一個或多個修飾的核苷酸。In another aspect, the present disclosure provides a siRNA comprising a sense strand and an antisense strand forming a double-stranded region; the sense strand comprises at least 15 nucleotide sequences that differ from any one of the sense strands in Table 1 by no more than 3 nucleotide sequences Contiguous nucleotides; the antisense strand contains at least 15 contiguous nucleotides that differ by no more than 3 nucleotide sequences from any of the antisense strands in Table 1; the siRNA contains one or more modified nucleotides.
一些實施方案中,反義鏈與靶序列至少部分地反向互補以介導RNA干擾;在一些實施方案中,反義鏈與靶序列之間存在不多於5個、不多於4個、不多於3個、不多於2個、不多於1個錯配;在一些實施方案中,反義鏈與靶序列完全反向互補。In some embodiments, the antisense strand is at least partially reverse complementary to the target sequence to mediate RNA interference; in some embodiments, there are no more than 5, no more than 4, No more than 3, no more than 2, no more than 1 mismatch; in some embodiments, the antisense strand is fully reverse complementary to the target sequence.
一些實施方案中,正義鏈與反義鏈至少部分地反向互補以形成雙鏈區;在一些實施方案中,正義鏈與反義鏈之間存在不多於5個、不多於4個、不多於3個、不多於2個、不多於1個錯配;在一些實施方案中,正義鏈與反義鏈完全反向互補。In some embodiments, the sense and antisense strands are at least partially reverse complementary to form a double-stranded region;More than 4, no more than 3, no more than 2, no more than 1 mismatch; in some embodiments, the sense and antisense strands are fully reverse complementary.
在一些實施方案中,siRNA的正義鏈含有三個連續的核苷酸為2'-氟修飾的核苷酸。In some embodiments, the sense strand of the siRNA contains three consecutive nucleotides that are 2'-fluoro modified nucleotides.
在一些實施方案中,按照5'末端到3'末端的方向,本公開所述siRNA反義鏈的第2、6、14位的核苷酸各自獨立地為2'-脫氧核苷酸或2'-氟修飾的核苷酸。In some embodiments, the nucleotides at
在一些實施方案中,按照5'末端到3'末端的方向,反義鏈的第2、6、14和16位的核苷酸各自獨立地為2'-脫氧核苷酸或2'-氟修飾的核苷酸。In some embodiments, the nucleotides at
在一些實施方案中,按照5'末端到3'末端的方向,反義鏈的第2、6、9、12和14位的核苷酸各自獨立地為2'-脫氧核苷酸或2'-氟修飾的核苷酸。In some embodiments, the nucleotides at
在一些實施方案中,按照5'末端到3'末端的方向,反義鏈的第2、6、10、12和14位的核苷酸各自獨立地為2'-脫氧核苷酸或2'-氟修飾的核苷酸。In some embodiments, the nucleotides at
在一些實施方案中,按照5'末端到3'末端的方向,反義鏈的第2、4、6、9、12、14和18位的核苷酸各自獨立地為2'-脫氧核苷酸或2'-氟修飾的核苷酸。In some embodiments, the nucleotides at
在一些實施方案中,按照5'末端到3'末端的方向,反義鏈的第2、4、6、10、12、14和18位的核苷酸各自獨立地為2'-脫氧核苷酸或2'-氟修飾的核苷酸。In some embodiments, the nucleotides at
在一些實施方案中,按照5'末端到3'末端的方向,反義鏈的第2、4、6、9、12、14、16和18位的核苷酸各自獨立地為2'-脫氧核苷酸或2'-氟修飾的核苷酸。In some embodiments, the nucleotides at
在一些實施方案中,按照5'末端到3'末端的方向,反義鏈的第2、4、6、10、12、14、16和18位的核苷酸各自獨立地為2'-脫氧核苷酸或2'-氟修飾的核苷酸。In some embodiments, the nucleotides at
在一些實施方案中,按照5'末端到3'末端的方向,反義鏈的第2、4、6、9、10、12、14、16和18位的核苷酸各自獨立地為2'-脫氧核苷酸或2'-氟修飾的核苷酸。In some embodiments, the nucleotides at
在一些實施方案中,5'末端到3'末端的方向,反義鏈的第2、6和14的核苷酸各自獨立地為2'-氟修飾的核苷酸;In some embodiments,
在一些實施方案中,按照5'末端到3'末端的方向,反義鏈的第2、6、14和16位的核苷酸各自獨立地為2'-氟修飾的核苷酸;In some embodiments, the nucleotides at
在一些實施方案中,按照5'末端到3'末端的方向,反義鏈的第2、6、12和14位的核苷酸各自獨立地為2'-氟修飾的核苷酸;In some embodiments, the nucleotides at
在一些實施方案中,按照5'末端到3'末端的方向,反義鏈的第2、4、6、12、14、16和18位的核苷酸各自獨立地為2'-氟修飾的核苷酸;In some embodiments, the nucleotides at
在一些實施方案中,按照5'末端到3'末端的方向,反義鏈的第2、4、6、9、12、14、16和18位的核苷酸各自獨立地為2'-氟修飾的核苷酸;In some embodiments, the nucleotides at
在一些實施方案中,按照5'末端到3'末端的方向,反義鏈的第2、4、6、10、12、14、16和18位的核苷酸各自獨立地為2'-氟修飾的核苷酸。In some embodiments, the nucleotides at
一些實施方案中,正義鏈和反義鏈各自獨立地具有16至35個、16至34個、17至34個、17至33個、18至33個、18至32個、18至31個、18至30個、18至29個、18至28個、18至27個、18至26個、18至25個、18至24個、18至23個、19至25個、19至24個、或19至23個核苷酸。In some embodiments, the sense and antisense strands each independently have 16 to 35, 16 to 34, 17 to 34, 17 to 33, 18 to 33, 18 to 32, 18 to 31, 18 to 30, 18 to 29, 18 to 28, 18 to 27, 18 to 2618 to 25, 18 to 24, 18 to 23, 19 to 25, 19 to 24, or 19 to 23 nucleotides.
一些實施方案中'正義鏈和反義鏈長度相同或不同,該正義鏈的長度為19-23個核苷酸,反義鏈的長度為19-26個核苷酸。這樣,本公開提供的siRNA的正義鏈和反義鏈的長度比可以是19/20、19/21、19/22、19/23、19/24、19/25、19/26、20/20、20/21、20/22、20/23、20/24、20/25、20/26、21/20、21/21、21/22、21/23、21/24、21/25、21/26、22/20、22/21、22/22、22/23、22/24、22/25、22/26、23/20、23/21、23/22、23/23、23/24、23/25或23/26。在一些實施方式中,該siRNA的正義鏈和反義鏈的長度比為19/21、21/23或23/25。在一些實施方式中,該siRNA的正義鏈和反義鏈的長度比為19/21。In some embodiments, the sense and antisense strands are the same or different in length, the sense strand is 19-23 nucleotides in length and the antisense strand is 19-26 nucleotides in length. In this way, the length ratio of the sense and antisense strands of the siRNA provided by the present disclosure can be 19/20, 19/21, 19/22, 19/23, 19/24, 19/25, 19/26, 20/20 , 20/21, 20/22, 20/23, 20/24, 20/25, 20/26, 21/20, 21/21, 21/22, 21/23, 21/24, 21/25, 21 /26, 22/20, 22/21, 22/22, 22/23, 22/24, 22/25, 22/26, 23/20, 23/21, 23/22, 23/23, 23/24 , 23/25 or 23/26. In some embodiments, the length ratio of the sense and antisense strands of the siRNA is 19/21, 21/23, or 23/25. In some embodiments, the length ratio of the sense and antisense strands of the siRNA is 19/21.
一些實施方案中,siRNA包含一個或兩個平端。In some embodiments, the siRNA comprises one or two blunt ends.
一些具體的實施方案中,siRNA包含具有1至4個未配對核苷酸的突出端,例如1個、2個、3個、4個。In some specific embodiments, the siRNA comprises an overhang having 1 to 4 unpaired nucleotides, eg, 1, 2, 3, 4.
一些實施方案中,本公開siRNA包含位於該siRNA反義鏈3’端的突出端。In some embodiments, the siRNA of the present disclosure comprises an overhang located at the 3' end of the antisense strand of the siRNA.
一些實施方案中,正義鏈和/或反義鏈中至少一個另外的核苷酸為修飾的核苷酸。In some embodiments, at least one additional nucleotide in the sense and/or antisense strand is a modified nucleotide.
在一些實施方案中,修飾的核苷酸相互獨立地選自脫氧-核苷酸、3’-末端脫氧-胸腺嘧啶核苷酸、2’-O-甲基修飾的核苷酸、2’-氟修飾的核苷酸、2’-脫氧-修飾的核苷酸、鎖核苷酸、非鎖核苷酸、構象限制性核苷酸、限制性乙基核苷酸、無鹼基核苷酸、2’-胺基-修飾的核苷酸、2’-O-烯丙基-修飾的核苷酸、2’-C-烷基-修飾的核苷酸、2’-羥基-修飾的核苷酸、2’-甲氧基乙基修飾的核苷酸、2’-O-烷基-修飾的核苷酸、嗎啉基核苷酸、胺基磷酸酯、包含非天然鹼基的核苷酸、四氫吡喃修飾的核苷酸、1,5-脫水己糖醇修飾的核苷酸、環己烯基修飾的核苷酸、包含硫代磷酸酯基的核苷酸、包含甲基膦酸酯基的核苷酸、包含5’-磷酸酯的核苷酸及包含5’-磷酸酯模擬物的核苷酸、包含本公開式(I)所示的化學修飾或其互變異構體修飾的核苷酸。In some embodiments, the modified nucleotides are independently selected from the group consisting of deoxy-nucleotides, 3'-terminal deoxy-thymidine nucleotides, 2'-O-methyl modified nucleotides, 2'- Fluorine modified nucleotides, 2'-deoxy-modified nucleotides, locked nucleotides, unlocked nucleotides, conformationally restricted nucleotides, restricted ethyl nucleotides, abasic nucleotides , 2'-amino-modified nucleotides, 2'-O-allyl-modified nucleotides, 2'-C-alkyl-modified nucleotides, 2'-hydroxy-modified nucleotides nucleotides, 2'-methoxyethyl modified nucleotides, 2'-O-alkyl-modified nucleotides, morpholino nucleotides,Phosphoramidates, nucleotides containing unnatural bases, tetrahydropyran-modified nucleotides, 1,5-anhydrohexitol-modified nucleotides, cyclohexenyl-modified nucleotides, containing Phosphorothioate-containing nucleotides, methylphosphonate-containing nucleotides, 5'-phosphate-containing nucleotides, and 5'-phosphate mimetic-containing nucleotides, comprising the formula of the present disclosure The chemically modified nucleotide shown in (I) or its tautomer modified.
在一些實施方案中,修飾的核苷酸相互獨立地選自:2'-烷氧基修飾的核苷酸、2'-經取代的烷氧基修飾的核苷酸、2'-烷基修飾的核苷酸、2'-經取代的烷基修飾的核苷酸、2'-胺基修飾的核苷酸、2'-經取代的胺基修飾的核苷酸、2'-氟修飾的核苷酸、2'-脫氧核苷酸、2'-脫氧-2'-氟修飾的核苷酸、3'-脫氧-胸腺嘧啶核苷酸、異核苷酸、LNA、ENA、cET、UNA、GNA或包含本公開式(I)的化學修飾或其互變異構體修飾的核苷酸。In some embodiments, the modified nucleotides are independently selected from the group consisting of: 2'-alkoxy modified nucleotides, 2'-substituted alkoxy modified nucleotides, 2'-alkyl modified nucleotides nucleotides, 2'-substituted alkyl-modified nucleotides, 2'-amino-modified nucleotides, 2'-substituted amine-modified nucleotides, 2'-fluoro-modified nucleotides Nucleotides, 2'-deoxynucleotides, 2'-deoxy-2'-fluoromodified nucleotides, 3'-deoxy-thymidine nucleotides, isonucleotides, LNA, ENA, cET, UNA , GNA, or a nucleotide comprising a chemical modification of formula (I) of the present disclosure or a tautomer modification thereof.
在本公開的上下文中,2’-氟修飾的核苷酸指核苷酸的核糖基2'位的羥基被氟取代形成的核苷酸。在一些實施方式中,2'-烷氧基修飾的核苷酸為2’-甲氧基修飾的核苷酸(2'-OMe)。在一些實施方式中,2'-經取代的烷氧基修飾的核苷酸,例如可以是2'-O-甲氧基乙基修飾的核苷酸(2'-MOE)或2'-胺基修飾的核苷酸(2'-NH2)。In the context of the present disclosure, a 2'-fluoro modified nucleotide refers to a nucleotide formed by substituting the hydroxyl group at the 2' position of the ribosyl group of the nucleotide with fluorine. In some embodiments, the 2'-alkoxy-modified nucleotide is a 2'-methoxy-modified nucleotide (2'-OMe). In some embodiments, a 2'-substituted alkoxy-modified nucleotide, for example, can be a 2'-O-methoxyethyl-modified nucleotide (2'-MOE) or a 2'-amine base-modified nucleotides (2'-NH2 ).
在一些實施方案中,修飾的核苷酸相互獨立地選自:2'-甲氧基修飾的核苷酸、2'-氟修飾的核苷酸、2'-脫氧-修飾的核苷酸或包含本公開式(I)所示的化學修飾或其互變異構體修飾的核苷酸。In some embodiments, the modified nucleotides are independently selected from: 2'-methoxy-modified nucleotides, 2'-fluoro-modified nucleotides, 2'-deoxy-modified nucleotides, or Nucleotides containing chemical modifications represented by formula (I) of the present disclosure or modified tautomers thereof.
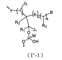
本公開中,式(I)選自;In the present disclosure, formula (I) is selected from ;
其中,Y選自O、NH和S;wherein Y is selected from O, NH and S;
每個X獨立地選自CR4(R4’)、S、NR5和NH-CO,其中R4、R4’、R5分別獨立地為H或C1-C6烷基;Each X is independently selected from CR4 (R4 ′), S, NR5 and NH-CO, wherein R4 , R4 ′, R5 are each independently H or C1 -C6 alkyl;
J2為H或C1-C6烷基;J2 is H or C1 -C6 alkyl;
n=0、1或2;m=0、1或2;s=0或1;n=0, 1 or 2; m=0, 1 or 2; s=0 or 1;
R3選自H、OH、鹵素、NH2、C1-C6烷基、C1-C6烷氧基、C2-C6烯基、C2-C6炔基、S-CH3、NCH3(CH3)、OCH2CH2OCH3、-O-烷基胺基和(CH2)pR6;其中R6選自OH、鹵素、甲氧基、乙氧基、N3、C2-C6烯基和C2-C6炔基,p=1、2或3;R3 is selected from H, OH, halogen, NH2 , C1 -C6 alkyl, C1 -C6 alkoxy, C2 -C6 alkenyl, C2 -C6 alkynyl, S-CH3 , NCH3 (CH3 ), OCH2 CH2 OCH3 , -O-alkylamino and (CH2 )p R6 ; wherein R6 is selected from OH, halogen, methoxy, ethoxy, N3 , C2 -C6 alkenyl and C2 -C6 alkynyl, p=1, 2 or 3;
Q1為,Q2為R2;或者Q1為R2,Q2為;Q1 is , Q2 is R2 ; or Q1 is R2 , and Q2 is ;
其中,in,
R1選自H、C1-C6烷基、C1-C6烷氧基、C2-C6烯基、C2-C6炔基和(CH2)qR7;其中R7選自OH、鹵素、甲氧基、乙氧基、N3、C2-C6烯基和C2-C6炔基,q=1、2或3;R1 is selected from H, C1 -C6 alkyl, C1 -C6 alkoxy, C2 -C6 alkenyl, C2 -C6 alkynyl and (CH2 )q R7 ; wherein R7 selected from OH, halogen, methoxy, ethoxy, N3 , C2 -C6 alkenyl and C2 -C6 alkynyl, q=1, 2 or 3;
J1為H或C1-C6烷基;J1 is H or C1 -C6 alkyl;
R2選自H、OH、鹵素、NH2、C1-C6烷基、C1-C6烷氧基、C2-C6烯基、C2-C6炔基、S-CH3、NCH3(CH3)、OCH2CH2OCH3、-O-烷基胺基和(CH2)rR8;其中R8選自OH、鹵素、甲氧基、乙氧基、N3、C2-C6烯基和C2-C6炔基,r=1、2或3;R2 is selected from H, OH, halogen, NH2 , C1 -C6 alkyl, C1 -C6 alkoxy, C2 -C6 alkenyl, C2 -C6 alkynyl, S-CH3 , NCH3 (CH3 ), OCH2 CH2 OCH3 , -O-alkylamino and (CH2 )r R8 ; wherein R8 is selected from OH, halogen, methoxy, ethoxy, N3 , C2 -C6 alkenyl and C2 -C6 alkynyl, r=1, 2 or 3;
任選地,R1和R2直接相連成環;Optionally, R1 and R2 are directly connected to form a ring;
B是鹼基或鹼基類似物;B is a base or a base analog;
其中,該式(I)所示的化學修飾不是。Wherein, the chemical modification shown in the formula (I) is not .
在一些實施方案中,當X為NH-CO時,R1不是H。In some embodiments, when X is NH- CO, R1 is not H.
一些實施方案中,B是鹼基或鹼基類似物;例如選自嘌呤鹼基、嘧啶鹼基、吲哚、5-硝基吲哚和3-硝基吡咯中的那些;In some embodiments, B is a base or a base analog; eg, those selected from the group consisting of purine bases, pyrimidine bases, indole, 5-nitroindole, and 3-nitropyrrole;
一些實施方案中,B選自腺嘌呤、鳥嘌呤、異鳥嘌呤、次黃嘌呤、黃嘌呤、C2修飾的嘌呤、N8修飾的嘌呤、2,6-二胺基嘌呤、6-二甲基胺基嘌呤、2-胺基嘌呤、N6-烷基腺嘌呤、O6-烷基鳥嘌呤、7-脫氮嘌呤、胞嘧啶、5-甲基胞嘧啶、異胞嘧啶、假胞嘧啶、尿嘧啶、假尿嘧啶、2-硫代尿苷、4-硫代尿苷、C5修飾的嘧啶、胸腺嘧啶、吲哚、5-硝基吲哚和3-硝基吡咯;In some embodiments, B is selected from the group consisting of adenine, guanine, isoguanine, hypoxanthine, xanthine, C2 modified purine, N8 modified purine, 2,6-diaminopurine, 6-dimethylamine purine, 2-aminopurine, N6-alkyladenine, O6-alkylguanine, 7-deazapurine, cytosine, 5-methylcytosine, isocytosine, pseudocytosine, uracil, Pseudouracil, 2-thiouridine, 4-thiouridine, C5-modified pyrimidine, thymine, indole, 5-nitroindole, and 3-nitropyrrole;
一些實施方案中,B選自腺嘌呤、鳥嘌呤、2,6-二胺基嘌呤、6-二甲基胺基嘌呤、2-胺基嘌呤、胞嘧啶、尿嘧啶、胸腺嘧啶、吲哚、5-硝基吲哚和3-硝基吡咯;In some embodiments, B is selected from adenine, guanine, 2,6-diaminopurine, 6-dimethylaminopurine, 2-aminopurine, cytosine, uracil, thymine, indole, 5-nitroindole and 3-nitropyrrole;
一些實施方案中,B選自該反義鏈的修飾的核苷酸對應位置的鹼基。In some embodiments, B is selected from the base at the position corresponding to the modified nucleotide of the antisense strand.
一些實施方案中,式(I)選自式(I-1):In some embodiments, Formula (I) is selected from Formula (I-1):
其中,Y選自O、NH和S;wherein Y is selected from O, NH and S;
每個X獨立地選自CR4(R4’)、S、NR5和NH-CO,其中R4、R4’、R5分別獨立地為H或C1-C6烷基;Each X is independently selected from CR4 (R4 ′), S, NR5 and NH-CO, wherein R4 , R4 ′, R5 are each independently H or C1 -C6 alkyl;
每個J1、J2分別獨立地為H或C1-C6烷基;Each J1 , J2 is independently H or C1 -C6 alkyl;
n=0、1或2;m=0、1或2;s=0或1;n=0, 1 or 2; m=0, 1 or 2; s=0 or 1;
R3選自H、OH、鹵素、NH2、C1-C6烷基、C1-C6烷氧基、C2-C6烯基、C2-C6炔基、S-CH3、NCH3(CH3)、OCH2CH2OCH3、-O-烷基胺基和(CH2)pR6;其中R6選自OH、鹵素、甲氧基、乙氧基、N3、C2-C6烯基和C2-C6炔基,p=1、2或3;R3 is selected from H, OH, halogen, NH2 , C1 -C6 alkyl, C1 -C6 alkoxy, C2 -C6 alkenyl, C2 -C6 alkynyl, S-CH3 , NCH3 (CH3 ), OCH2 CH2 OCH3 , -O-alkylamino and (CH2 )p R6 ; wherein R6 is selected from OH, halogen, methoxy, ethoxy, N3 , C2 -C6 alkenyl and C2 -C6 alkynyl, p=1, 2 or 3;
R1選自H、C1-C6烷基、C1-C6烷氧基、C2-C6烯基、C2-C6炔基和(CH2)qR7;其中R7選自OH、鹵素、甲氧基、乙氧基、N3、C2-C6烯基和C2-C6炔基,q=1、2或3;R1 is selected from H, C1 -C6 alkyl, C1 -C6 alkoxy, C2 -C6 alkenyl, C2 -C6 alkynyl and (CH2 )q R7 ; wherein R7 selected from OH, halogen, methoxy, ethoxy, N3 , C2 -C6 alkenyl and C2 -C6 alkynyl, q=1, 2 or 3;
R2選自H、OH、鹵素、NH2、C1-C6烷基、C1-C6烷氧基、C2-C6烯基、C2-C6炔基、S-CH3、NCH3(CH3)、OCH2CH2OCH3、-O-烷基胺基和(CH2)rR8;其中R8選自OH、鹵素、甲氧基、乙氧基、N3、C2-C6烯基和C2-C6炔基,r=1、2或3;R2 is selected from H, OH, halogen, NH2 , C1 -C6 alkyl, C1 -C6 alkoxy, C2 -C6 alkenyl, C2 -C6 alkynyl, S-CH3 , NCH3 (CH3 ), OCH2 CH2 OCH3 , -O-alkylamino and (CH2 )r R8 ; wherein R8 is selected from OH, halogen, methoxy, ethoxy, N3 , C2 -C6 alkenyl and C2 -C6 alkynyl, r=1, 2 or 3;
任選地,R1和R2直接相連成環;Optionally, R1 and R2 are directly connected to form a ring;
B如式(I)中所定義。B is as defined in formula (I).
一些實施方案中,B是鹼基或鹼基類似物;例如選自嘌呤鹼基、嘧啶鹼基、吲哚、5-硝基吲哚和3-硝基吡咯中的那些;In some embodiments, B is a base or a base analog; eg, those selected from the group consisting of purine bases, pyrimidine bases, indole, 5-nitroindole, and 3-nitropyrrole;
一些實施方案中,B選自腺嘌呤、鳥嘌呤、異鳥嘌呤、次黃嘌呤、黃嘌呤、C2修飾的嘌呤、N8修飾的嘌呤、2,6-二胺基嘌呤、6-二甲基胺基嘌呤、2-胺基嘌呤、N6-烷基腺嘌呤、O6-烷基鳥嘌呤、7-脫氮嘌呤、胞嘧啶、5-甲基胞嘧啶、異胞嘧啶、假胞嘧啶、尿嘧啶、假尿嘧啶、2-硫代尿苷、4-硫代尿苷、C5修飾的嘧啶、胸腺嘧啶、吲哚、5-硝基吲哚和3-硝基吡咯;In some embodiments, B is selected from the group consisting of adenine, guanine, isoguanine, hypoxanthine, xanthine, C2 modified purine, N8 modified purine, 2,6-diaminopurine, 6-dimethylamine Alkylpurine, 2-aminopurine, N6-alkyladenine, O6-alkylguanine, 7-deazapurine, cytosine, 5-Methylcytosine, isocytosine, pseudocytosine, uracil, pseudouracil, 2-thiouridine, 4-thiouridine, C5-modified pyrimidine, thymine, indole, 5-nitroindole Indoles and 3-nitropyrroles;
一些實施方案中,B選自腺嘌呤、鳥嘌呤、2,6-二胺基嘌呤、6-二甲基胺基嘌呤、2-胺基嘌呤、胞嘧啶、尿嘧啶、胸腺嘧啶、吲哚、5-硝基吲哚和3-硝基吡咯;In some embodiments, B is selected from adenine, guanine, 2,6-diaminopurine, 6-dimethylaminopurine, 2-aminopurine, cytosine, uracil, thymine, indole, 5-nitroindole and 3-nitropyrrole;
一些實施方案中,B選自該反義鏈的修飾的核苷酸對應位置的鹼基。In some embodiments, B is selected from the base at the position corresponding to the modified nucleotide of the antisense strand.
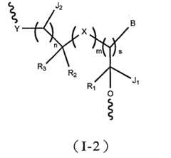
一些實施方案中,式(I)選自式(I-2):In some embodiments, Formula (I) is selected from Formula (I-2):
其中Y選自O、NH和S;wherein Y is selected from O, NH and S;
每個X獨立地選自CR4(R4’)、S、NR5和NH-CO,其中R4、R4’、R3分別獨立地為H或C1-C6烷基;Each X is independently selected from CR4 (R4 '), S, NR5 and NH-CO, wherein R4 , R4 ', R3 are each independently H or C1 -C6 alkyl;
n=0、1或2;m=0、1或2;s=0或1;n=0, 1 or 2; m=0, 1 or 2; s=0 or 1;
每個J1、J2分別獨立地為H或C1-C6烷基;Each J1 , J2 is independently H or C1 -C6 alkyl;
R3選自H、OH、鹵素、NH2、C1-C6烷基、C1-C6烷氧基、C2-C6烯基、C2-C6炔基、S-CH3、NCH3(CH3)、OCH2CH2OCH3、-O-烷基胺基和(CH2)pR6;其中R6選自OH、鹵素、甲氧基、乙氧基、N3、C2-C6烯基和C2-C6炔基,p=1、2或3;R3 is selected from H, OH, halogen, NH2 , C1 -C6 alkyl, C1 -C6 alkoxy, C2 -C6 alkenyl, C2 -C6 alkynyl, S-CH3 , NCH3 (CH3 ), OCH2 CH2 OCH3 , -O-alkylamino and (CH2 )p R6 ; wherein R6 is selected from OH, halogen, methoxy, ethoxy, N3 , C2 -C6 alkenyl and C2 -C6 alkynyl, p=1, 2 or 3;
R1選自H、C1-C6烷基、C1-C6烷氧基、C2-C6烯基、C2-C6炔基和(CH2)qR7;其中R7選自OH、鹵素、甲氧基、乙氧基、N3、C2-C6烯基和C2-C6炔基,q=1、2或3;R1 is selected from H, C1 -C6 alkyl, C1 -C6 alkoxy, C2 -C6 alkenyl, C2 -C6 alkynyl and (CH2 )q R7 ; wherein R7 selected from OH, halogen, methoxy, ethoxy, N3 , C2 -C6 alkenyl and C2 -C6 alkynyl, q=1, 2 or 3;
R2選自H、C1-C6烷基、C1-C6烷氧基、S-CH3、NCH3(CH3)、OCH2CH2OCH3、-O-烷基胺基和(CH2)rR8;其中R8選自OH、鹵素、甲氧基、乙氧基、N3、C2-C6烯基和C2-C6炔基;r=1、2或3;R2 is selected from H, C1 -C6 alkyl, C1 -C6 alkoxy, S-CH3 , NCH3 (CH3 ), OCH2 CH2 OCH3 , -O-alkylamino and (CH2 )r R8 ; wherein R8 is selected from OH, halogen, methoxy, ethoxy, N3 , C2 -C6 alkenyl and C2 -C6 alkynyl; r=1, 2 or 3;
任選地,R1和R2直接相連成環;Optionally, R1 and R2 are directly connected to form a ring;
B如式(I)中所定義。B is as defined in formula (I).
一些實施方案中,B是鹼基或鹼基類似物;例如選自嘌呤鹼基、嘧啶鹼基、吲哚、5-硝基吲哚和3-硝基吡咯中的那些;In some embodiments, B is a base or a base analog; eg, those selected from the group consisting of purine bases, pyrimidine bases, indole, 5-nitroindole, and 3-nitropyrrole;
一些實施方案中,B選自腺嘌呤、鳥嘌呤、異鳥嘌呤、次黃嘌呤、黃嘌呤、C2修飾的嘌呤、N8修飾的嘌呤、2,6-二胺基嘌呤、6-二甲基胺基嘌呤、2-胺基嘌呤、N6-烷基腺嘌呤、O6-烷基鳥嘌呤、7-脫氮嘌呤、胞嘧啶、5-甲基胞嘧啶、異胞嘧啶、假胞嘧啶、尿嘧啶、假尿嘧啶、2-硫代尿苷、4-硫代尿苷、C5修飾的嘧啶、胸腺嘧啶、吲哚、5-硝基吲哚和3-硝基吡咯;In some embodiments, B is selected from the group consisting of adenine, guanine, isoguanine, hypoxanthine, xanthine, C2 modified purine, N8 modified purine, 2,6-diaminopurine, 6-dimethylamine purine, 2-aminopurine, N6-alkyladenine, O6-alkylguanine, 7-deazapurine, cytosine, 5-methylcytosine, isocytosine, pseudocytosine, uracil, Pseudouracil, 2-thiouridine, 4-thiouridine, C5-modified pyrimidine, thymine, indole, 5-nitroindole, and 3-nitropyrrole;
一些實施方案中,B選自腺嘌呤、鳥嘌呤、2,6-二胺基嘌呤、6-二甲基胺基嘌呤、2-胺基嘌呤、胞嘧啶、尿嘧啶、胸腺嘧啶、吲哚、5-硝基吲哚和3-硝基吡咯;In some embodiments, B is selected from adenine, guanine, 2,6-diaminopurine, 6-dimethylaminopurine, 2-aminopurine, cytosine, uracil, thymine, indole, 5-nitroindole and 3-nitropyrrole;
一些實施方案中,B選自該反義鏈的修飾的核苷酸對應位置的鹼基。In some embodiments, B is selected from the base at the position corresponding to the modified nucleotide of the antisense strand.
在一些實施方案中,上述化學修飾不是。In some embodiments, the chemical modifications described above are not .
在一些實施方案中,每個X獨立地選自CR4(R4’)、S、NR5和NH-CO,其中R4、R4’、R5分別獨立地為H或C1-C3烷基;In some embodiments, each X is independently selected from CR4 (R4 ′), S, NR5 and NH-CO, wherein R4 , R4 ′, R5 are each independently H or C1 -C3 alkyl;
n=0、1或2;m=0、1或2;s=0或1;n=0, 1 or 2; m=0, 1 or 2; s=0 or 1;
每個J1、J2分別獨立地為H或C1-C3烷基;Each J1 , J2 is independently H or C1 -C3 alkyl;
R3選自H、OH、鹵素、NH2、C1-C3烷基、C1-C3烷氧基、C2-C4烯基、C2-C4炔基、S-CH3、NCH3(CH3)、OCH2CH2OCH3、-O-烷基胺基和(CH2)pR6;其中R6選自OH、鹵素、甲氧基、乙氧基、N3、C2-C6烯基和C2-C6炔基,p=1、2或3;R3 is selected from H, OH, halogen, NH2 , C1 -C3 alkyl, C1 -C3 alkoxy, C2 -C4 alkenyl, C2 -C4 alkynyl, S-CH3 , NCH3 (CH3 ), OCH2 CH2 OCH3 , -O-alkylamino and (CH2 )p R6 ; wherein R6 is selected from OH, halogen, methoxy, ethoxy, N3 , C2 -C6 alkenyl and C2 -C6 alkynyl, p=1, 2 or 3;
R1選自H、C1-C3烷基、C1-C3烷氧基、C2-C4烯基、C2-C4炔基和(CH2)qR7;其中R7選自OH、鹵素、甲氧基、乙氧基、N3、C2-C4烯基和C2-C4炔基,q=1、2或3;R1 is selected from H, C1 -C3 alkyl, C1 -C3 alkoxy, C2 -C4 alkenyl, C2 -C4 alkynyl and (CH2 )q R7 ; wherein R7 selected from OH, halogen, methoxy, ethoxy, N3 , C2 -C4 alkenyl and C2 -C4 alkynyl, q=1, 2 or 3;
R2選自H、OH、鹵素、NH2、C1-C3烷基、C1-C3烷氧基、C2-C4烯基、C2-C4炔基、S-CH3、NCH3(CH3)、OCH2CH2OCH3、-O-烷基胺基和(CH2)rR8;其中R8選自OH、鹵素、甲氧基、乙氧基、N3、C2-C4烯基和C2-C4炔基,r=1、2或3;R2 is selected from H, OH, halogen, NH2 , C1 -C3 alkyl, C1 -C3 alkoxy, C2 -C4 alkenyl, C2 -C4 alkynyl, S-CH3 , NCH3 (CH3 ), OCH2 CH2 OCH3 , -O-alkylamino and (CH2 )r R8 ; wherein R8 is selected from OH, halogen, methoxy, ethoxy, N3 , C2 -C4 alkenyl and C2 -C4 alkynyl, r=1, 2 or 3;
任選地,R1和R2直接相連成環。Optionally, R1 andR2 are directly connected to forma ring.
B如式(I)中所定義。B is as defined in formula (I).
一些實施方案中,B是鹼基或鹼基類似物;例如選自嘌呤鹼基、嘧啶鹼基、吲哚、5-硝基吲哚和3-硝基吡咯中的那些;In some embodiments, B is a base or a base analog; eg, those selected from the group consisting of purine bases, pyrimidine bases, indole, 5-nitroindole, and 3-nitropyrrole;
一些實施方案中,B選自腺嘌呤、鳥嘌呤、異鳥嘌呤、次黃嘌呤、黃嘌呤、C2修飾的嘌呤、N8修飾的嘌呤、2,6-二胺基嘌呤、6-二甲基胺基嘌呤、2-胺基嘌呤、N6-烷基腺嘌呤、O6-烷基鳥嘌呤、7-脫氮嘌呤、胞嘧啶、5-甲基胞嘧啶、異胞嘧啶、假胞嘧啶、尿嘧啶、假尿嘧啶、2-硫代尿苷、4-硫代尿苷、C5修飾的嘧啶、胸腺嘧啶、吲哚、5-硝基吲哚和3-硝基吡咯;In some embodiments, B is selected from the group consisting of adenine, guanine, isoguanine, hypoxanthine, xanthine, C2 modified purine, N8 modified purine, 2,6-diaminopurine, 6-dimethylamine purine, 2-aminopurine, N6-alkyladenine, O6-alkylguanine, 7-deazapurine, cytosine, 5-methylcytosine, isocytosine, pseudocytosine, uracil, Pseudouracil, 2-thiouridine, 4-thiouridine, C5-modified pyrimidine, thymine, indole, 5-nitroindole, and 3-nitropyrrole;
一些實施方案中,B選自腺嘌呤、鳥嘌呤、2,6-二胺基嘌呤、6-二甲基胺基嘌呤、2-胺基嘌呤、胞嘧啶、尿嘧啶、胸腺嘧啶、吲哚、5-硝基吲哚和3-硝基吡咯;In some embodiments, B is selected from adenine, guanine, 2,6-diaminopurine, 6-dimethylaminopurine, 2-aminopurine, cytosine, uracil, thymine, indole, 5-nitroindole and 3-nitropyrrole;
一些實施方案中,B選自該反義鏈的修飾的核苷酸對應位置的鹼基。In some embodiments, B is selected from the base at the position corresponding to the modified nucleotide of the antisense strand.
在一些實施方案中,每個X獨立地選自CR4(R4’)、S、NR5和NH-CO,其中R4、R4’、R5分別獨立地為H、甲基、乙基、正丙基或異丙基;In some embodiments, each X is independently selected from CR4 (R4 ′), S, NR5 and NH-CO, wherein R4 , R4 ′, R5 are each independently H, methyl, B radical, n-propyl or isopropyl;
n=0、1或2;m=0、1或2;s=0或1;n=0, 1 or 2; m=0, 1 or 2; s=0 or 1;
每個J1、J2分別獨立地為H或甲基;Each J1 , J2 is independently H or methyl;
R3選自H、OH、F、Cl、NH2、甲基、乙基、正丙基、異丙基、甲氧基、乙氧基、正丙氧基、異丙氧基、乙烯基、烯丙基、乙炔基、炔丙基、S-CH3、NCH3(CH3)、OCH2CH2OCH3、-O-甲基胺基、-O-乙基胺基和(CH2)pR6;其中R6選自OH、F、Cl、甲氧基、乙氧基、N3、乙烯基、烯丙基、乙炔基和炔丙基,p=1或2;R3 is selected from H, OH, F, Cl, NH2 , methyl, ethyl, n-propyl, isopropyl, methoxy, ethoxy, n-propoxy, isopropoxy, vinyl, Allyl, ethynyl, propargyl, S-CH3 ,NCH3 (CH3 ),OCH2CH2OCH3 , -O- methylamino, -O-ethylamino and (CH2)p R6 ; wherein R6 is selected from OH, F, Cl, methoxy, ethoxy, N3 , vinyl, allyl, ethynyl and propargyl, p=1 or 2;
R1選自H、甲基、乙基、正丙基、異丙基、甲氧基、乙氧基、正丙氧基、異丙氧基、乙烯基、烯丙基、乙炔基、炔丙基和(CH2)qR7;其中R7選自OH、F、Cl、甲氧基、乙氧基、N3、乙烯基、烯丙基、乙炔基和炔丙基,q=1或2;R1 is selected from H, methyl, ethyl, n-propyl, isopropyl, methoxy, ethoxy, n-propoxy, isopropoxy, vinyl, allyl, ethynyl, propargyl and (CH2 )q R7 ; wherein R7 is selected from OH, F, Cl, methoxy, ethoxy, N3 , vinyl, allyl, ethynyl and propargyl, q=1 or 2;
R2選自H、OH、F、Cl、NH2、甲基、乙基、正丙基、異丙基、甲氧基、乙氧基、正丙氧基、異丙氧基、乙烯基、烯丙基、乙炔基、炔丙基、S-CH3、NCH3(CH3)、OCH2CH2OCH3、-O-甲基胺基、-O-乙基胺基和(CH2)rR8;其中R8選自OH、F、Cl、甲氧基、乙氧基、N3、乙烯基、烯丙基、乙炔基和炔丙基,r=1或2;R2 is selected from H, OH, F, Cl, NH2 , methyl, ethyl, n-propyl, isopropyl, methoxy, ethoxy, n-propoxy, isopropoxy, vinyl, Allyl, ethynyl, propargyl, S-CH3 ,NCH3 (CH3 ),OCH2CH2OCH3 , -O- methylamino, -O-ethylamino and (CH2)r R8 ; wherein R8 is selected from OH, F, Cl, methoxy, ethoxy, N3 , vinyl, allyl, ethynyl and propargyl, r=1 or 2;
任選地,R1和R2直接相連成環。Optionally, R1 andR2 are directly connected to forma ring.
B如式(I)中所定義。B is as defined in formula (I).
一些實施方案中,B是鹼基或鹼基類似物;例如選自嘌呤鹼基、嘧啶鹼基、吲哚、5-硝基吲哚和3-硝基吡咯中的那些;In some embodiments, B is a base or a base analog; eg, those selected from the group consisting of purine bases, pyrimidine bases, indole, 5-nitroindole, and 3-nitropyrrole;
一些實施方案中,B選自腺嘌呤、鳥嘌呤、異鳥嘌呤、次黃嘌呤、黃嘌呤、C2修飾的嘌呤、N8修飾的嘌呤、2,6-二胺基嘌呤、6-二甲基胺基嘌呤、2-胺基嘌呤、N6-烷基腺嘌呤、O6-烷基鳥嘌呤、7-脫氮嘌呤、胞嘧啶、5-甲基胞嘧啶、異胞嘧啶、假胞嘧啶、尿嘧啶、假尿嘧啶、2-硫代尿苷、4-硫代尿苷、C5修飾的嘧啶、胸腺嘧啶、吲哚、5-硝基吲哚和3-硝基吡咯;In some embodiments, B is selected from the group consisting of adenine, guanine, isoguanine, hypoxanthine, xanthine, C2 modified purine, N8 modified purine, 2,6-diaminopurine, 6-dimethylamine purine, 2-aminopurine, N6-alkyladenine, O6-alkylguanine, 7-deazapurine, cytosine, 5-methylcytosine, isocytosine, pseudocytosine, uracil, Pseudouracil, 2-thiouridine, 4-thiouridine, C5-modified pyrimidine, thymine, indole, 5-nitroindole, and 3-nitropyrrole;
一些實施方案中,B選自腺嘌呤、鳥嘌呤、2,6-二胺基嘌呤、6-二甲基胺基嘌呤、2-胺基嘌呤、胞嘧啶、尿嘧啶、胸腺嘧啶、吲哚、5-硝基吲哚和3-硝基吡咯;In some embodiments, B is selected from adenine, guanine, 2,6-diaminopurine, 6-dimethylaminopurine, 2-aminopurine, cytosine, uracil, thymine, indole, 5-nitroindole and 3-nitropyrrole;
一些實施方案中,B選自該反義鏈的修飾的核苷酸對應位置的鹼基。In some embodiments, B is selected from the base at the position corresponding to the modified nucleotide of the antisense strand.
在一些實施方案中,每個X獨立地選自CR4(R4’)、S、NR5和NH-CO,其中R4、R4’、R5分別獨立地為H、甲基、乙基、正丙基或異丙基;In some embodiments, each X is independently selected from CR4 (R4 ′), S, NR5 and NH-CO, wherein R4 , R4 ′, R5 are each independently H, methyl, B radical, n-propyl or isopropyl;
n=0、1或2;m=0、1或2;s=0或1;n=0, 1 or 2; m=0, 1 or 2; s=0 or 1;
每個J1、J2分別獨立地為H或甲基;Each J1 , J2 is independently H or methyl;
R3選自H、OH、F、Cl、NH2、甲基、乙基、正丙基、異丙基、甲氧基、乙氧基、正丙氧基、異丙氧基、乙烯基、烯丙基、乙炔基、炔丙基、S-CH3、NCH3(CH3)、OCH2CH2OCH3、-O-甲基胺基、-O-乙基胺基和(CH2)pR6;其中R6選自OH、F、Cl、甲氧基、乙氧基、N3、乙烯基、烯丙基、乙炔基和炔丙基,p=1或2;R3 is selected from H, OH, F, Cl, NH2 , methyl, ethyl, n-propyl, isopropyl, methoxy, ethoxy, n-propoxy, isopropoxy, vinyl, Allyl, ethynyl, propargyl, S-CH3 ,NCH3 (CH3 ),OCH2CH2OCH3 , -O- methylamino, -O-ethylamino and (CH2)p R6 ; wherein R6 is selected from OH, F, Cl, methoxy, ethoxy, N3 , vinyl, allyl, ethynyl and propargyl, p=1 or 2;
R1選自H、甲基、乙基、正丙基、異丙基、甲氧基、乙氧基、正丙氧基、異丙氧基、乙烯基、烯丙基、乙炔基、炔丙基和(CH2)qR7;其中R7選自OH、F、Cl、甲氧基、乙氧基、N3、乙烯基、烯丙基、乙炔基和炔丙基,q=1或2;R1 is selected from H, methyl, ethyl, n-propyl, isopropyl, methoxy, ethoxy, n-propoxy, isopropoxy, vinyl, allyl, ethynyl, propargyl and (CH2 )q R7 ; wherein R7 is selected from OH, F, Cl, methoxy, ethoxy, N3 , vinyl, allyl, ethynyl and propargyl, q=1 or 2;
R2選自H、OH、F、Cl、NH2、甲基、乙基、正丙基、異丙基、甲氧基、乙氧基、正丙氧基、異丙氧基、乙烯基、烯丙基、乙炔基、炔丙基、S-CH3、NCH3(CH3)、OCH2CH2OCH3、-O-甲基胺基、-O-乙基胺基和(CH2)rR8;其中R8選自OH、F、Cl、甲氧基、乙氧基、N3、乙烯基、烯丙基、乙炔基和炔丙基,r=1或2;R2 is selected from H, OH, F, Cl, NH2 , methyl, ethyl, n-propyl, isopropyl, methoxy, ethoxy, n-propoxy, isopropoxy, vinyl, Allyl, ethynyl, propargyl, S-CH3 ,NCH3 (CH3 ),OCH2CH2OCH3 , -O- methylamino, -O-ethylamino and (CH2)r R8 ; wherein R8 is selected from OH, F, Cl, methoxy, ethoxy, N3 , vinyl, allyl, ethynyl and propargyl, r=1 or 2;
任選地,R1和R2直接相連成環。Optionally, R1 andR2 are directly connected to forma ring.
B如式(I)中所定義。B is as defined in formula (I).
一些實施方案中,B是鹼基或鹼基類似物;例如選自嘌呤鹼基、嘧啶鹼基、吲哚、5-硝基吲哚和3-硝基吡咯中的那些;In some embodiments, B is a base or a base analog; eg, those selected from the group consisting of purine bases, pyrimidine bases, indole, 5-nitroindole, and 3-nitropyrrole;
一些實施方案中,B選自腺嘌呤、鳥嘌呤、異鳥嘌呤、次黃嘌呤、黃嘌呤、C2修飾的嘌呤、N8修飾的嘌呤、2,6-二胺基嘌呤、6-二甲基胺基嘌呤、2-胺基嘌呤、N6-烷基腺嘌呤、O6-烷基鳥嘌呤、7-脫氮嘌呤、胞嘧啶、5-甲基胞嘧啶、異胞嘧啶、假胞嘧啶、尿嘧啶、假尿嘧啶、2-硫代尿苷、4-硫代尿苷、C5修飾的嘧啶、胸腺嘧啶、吲哚、5-硝基吲哚和3-硝基吡咯;In some embodiments, B is selected from the group consisting of adenine, guanine, isoguanine, hypoxanthine, xanthine, C2 modified purine, N8 modified purine, 2,6-diaminopurine, 6-dimethylamine purine, 2-aminopurine, N6-alkyladenine, O6-alkylguanine, 7-deazapurine, cytosine, 5-methylcytosine, isocytosine, pseudocytosine, uracil, Pseudouracil, 2-thiouridine, 4-thiouridine, C5-modified pyrimidine, thymine, indole, 5-nitroindole, and 3-nitropyrrole;
一些實施方案中,B選自腺嘌呤、鳥嘌呤、2,6-二胺基嘌呤、6-二甲基胺基嘌呤、2-胺基嘌呤、胞嘧啶、尿嘧啶、胸腺嘧啶、吲哚、5-硝基吲哚和3-硝基吡咯;In some embodiments, B is selected from adenine, guanine, 2,6-diaminopurine, 6-dimethylaminopurine, 2-aminopurine, cytosine, uracil, thymine, indole, 5-nitroindole and 3-nitropyrrole;
一些實施方案中,B選自該反義鏈的修飾的核苷酸對應位置的鹼基。In some embodiments, B is selected from the base at the position corresponding to the modified nucleotide of the antisense strand.
在一些實施方案中,Y為O或NH;每個X獨立地選自NH-CO、CH2和NH;In some embodiments, Y is O or NH; each X is independently selected from NH-CO,CH and NH;
n=0或1;m=0或1;s=0或1;n=0 or 1; m=0 or 1; s=0 or 1;
每個J1、J2分別獨立地為H;Each J1 , J2 is independently H;
R1選自H、甲基和CH2OH;R1 is selected from H, methyl and CH2 OH;
R2選自H、OH、NH2、甲基和CH2OH;R2 is selected from H, OH, NH2 , methyl and CH2 OH;
R3選自H、OH、NH2、甲基和CH2OH;R3 is selected from H, OH,NH2 , methyl and CH2OH;
任選地,R1和R2直接相連成環;Optionally, R1 and R2 are directly connected to form a ring;
B如式(I)中所定義。B is as defined in formula (I).
一些實施方案中,B是鹼基或鹼基類似物;例如選自嘌呤鹼基、嘧啶鹼基、吲哚、5-硝基吲哚和3-硝基吡咯中的那些;In some embodiments, B is a base or a base analog; eg, those selected from the group consisting of purine bases, pyrimidine bases, indole, 5-nitroindole, and 3-nitropyrrole;
一些實施方案中,B選自腺嘌呤、鳥嘌呤、異鳥嘌呤、次黃嘌呤、黃嘌呤、C2修飾的嘌呤、N8修飾的嘌呤、2,6-二胺基嘌呤、6-二甲基胺基嘌呤、2-胺基嘌呤、N6-烷基腺嘌呤、O6-烷基鳥嘌呤、7-脫氮嘌呤、胞嘧啶、5-甲基胞嘧啶、異胞嘧啶、假胞嘧啶、尿嘧啶、假尿嘧啶、2-硫代尿苷、4-硫代尿苷、C5修飾的嘧啶、胸腺嘧啶、吲哚、5-硝基吲哚和3-硝基吡咯;In some embodiments, B is selected from the group consisting of adenine, guanine, isoguanine, hypoxanthine, xanthine, C2 modified purine, N8 modified purine, 2,6-diaminopurine, 6-dimethylamine purine, 2-aminopurine, N6-alkyladenine, O6-alkylguanine, 7-deazapurine, cytosine, 5-methylcytosine, isocytosine, pseudocytosine, uracil, Pseudouracil, 2-thiouridine, 4-thiouridine, C5-modified pyrimidine, thymine, indole, 5-nitroindole, and 3-nitropyrrole;
一些實施方案中,B選自腺嘌呤、鳥嘌呤、2,6-二胺基嘌呤、6-二甲基胺基嘌呤、2-胺基嘌呤、胞嘧啶、尿嘧啶、胸腺嘧啶、吲哚、5-硝基吲哚和3-硝基吡咯;In some embodiments, B is selected from adenine, guanine, 2,6-diaminopurine, 6-dimethylaminopurine, 2-aminopurine, cytosine, uracil, thymine, indole, 5-nitroindole and 3-nitropyrrole;
一些實施方案中,B選自該反義鏈的修飾的核苷酸對應位置的鹼基。In some embodiments, B is selected from the base at the position corresponding to the modified nucleotide of the antisense strand.
在一些實施方案中,Y為O或NH;每個X獨立地選自NH-CO、CH2和NH;In some embodiments, Y is O or NH; each X is independently selected from NH-CO,CH and NH;
n=0或1;m=0或1;s=0或1;n=0 or 1; m=0 or 1; s=0 or 1;
每個J1、J2分別獨立地為H;Each J1 , J2 is independently H;
R1選自H、甲基和CH2OH;R1 is selected from H, methyl and CH2 OH;
R2選自H、甲基和CH2OH;R2 is selected from H, methyl and CH2 OH;
R3選自H、OH、NH2、甲基和CH2OH;R3 is selected from H, OH,NH2 , methyl and CH2OH;
任選地,R1和R2直接相連成環;Optionally, R1 and R2 are directly connected to form a ring;
一些實施方案中,B是鹼基或鹼基類似物;例如選自嘌呤鹼基、嘧啶鹼基、吲哚、5-硝基吲哚和3-硝基吡咯中的那些;In some embodiments, B is a base or a base analog; eg, those selected from the group consisting of purine bases, pyrimidine bases, indole, 5-nitroindole, and 3-nitropyrrole;
一些實施方案中,B選自腺嘌呤、鳥嘌呤、異鳥嘌呤、次黃嘌呤、黃嘌呤、C2修飾的嘌呤、N8修飾的嘌呤、2,6-二胺基嘌呤、6-二甲基胺基嘌呤、2-胺基嘌呤、N6-烷基腺嘌呤、O6-烷基鳥嘌呤、7-脫氮嘌呤、胞嘧啶、5-甲基胞嘧啶、異胞嘧啶、假胞嘧啶、尿嘧啶、假尿嘧啶、2-硫代尿苷、4-硫代尿苷、C5修飾的嘧啶、胸腺嘧啶、吲哚、5-硝基吲哚和3-硝基吡咯;In some embodiments, B is selected from the group consisting of adenine, guanine, isoguanine, hypoxanthine, xanthine, C2 modified purine, N8 modified purine, 2,6-diaminopurine, 6-dimethylamine purine, 2-aminopurine, N6-alkyladenine, O6-alkylguanine, 7-deazapurine, cytosine, 5-methylcytosine, isocytosine, pseudocytosine, uracil, Pseudouracil, 2-thiouridine, 4-thiouridine, C5-modified pyrimidine, thymine, indole, 5-nitroindole, and 3-nitropyrrole;
一些實施方案中,B選自腺嘌呤、鳥嘌呤、2,6-二胺基嘌呤、6-二甲基胺基嘌呤、2-胺基嘌呤、胞嘧啶、尿嘧啶、胸腺嘧啶、吲哚、5-硝基吲哚和3-硝基吡咯;In some embodiments, B is selected from adenine, guanine, 2,6-diaminopurine, 6-dimethylaminopurine, 2-aminopurine, cytosine, uracil, thymine, indole, 5-nitroindole and 3-nitropyrrole;
一些實施方案中,B選自該反義鏈的修飾的核苷酸對應位置的鹼基。In some embodiments, B is selected from the base at the position corresponding to the modified nucleotide of the antisense strand.
在一些實施方案中,在一些實施方案中,該式(I)所示的化學修飾選自:In some embodiments, the chemical modification of formula (I) is selected from:
其中,B是鹼基或鹼基類似物;例如選自嘌呤鹼基、嘧啶鹼基、吲哚、5-硝基吲哚和3-硝基吡咯中的那些;wherein B is a base or a base analog; for example, those selected from purine bases, pyrimidine bases, indole, 5-nitroindole and 3-nitropyrrole;
一些實施方案中,B選自腺嘌呤、鳥嘌呤、異鳥嘌呤、次黃嘌呤、黃嘌呤、C2修飾的嘌呤、N8修飾的嘌呤、2,6-二胺基嘌呤、6-二甲基胺基嘌呤、2-胺基嘌呤、N6-烷基腺嘌呤、O6-烷基鳥嘌呤、7-脫氮嘌呤、胞嘧啶、5-甲基胞嘧啶、異胞嘧啶、假胞嘧啶、尿嘧啶、假尿嘧啶、2-硫代尿苷、4-硫代尿苷、C5修飾的嘧啶、胸腺嘧啶、吲哚、5-硝基吲哚和3-硝基吡咯;In some embodiments, B is selected from the group consisting of adenine, guanine, isoguanine, hypoxanthine, xanthine, C2 modified purine, N8 modified purine, 2,6-diaminopurine, 6-dimethylamine purine, 2-aminopurine, N6-alkyladenine, O6-alkylguanine, 7-deazapurine, cytosine, 5-methylcytosine, isocytosine, pseudocytosine, uracil, Pseudouracil, 2-thiouridine, 4-thiouridine, C5-modified pyrimidine, thymine, indole, 5-nitroindole, and 3-nitropyrrole;
一些實施方案中,B選自腺嘌呤、鳥嘌呤、2,6-二胺基嘌呤、6-二甲基胺基嘌呤、2-胺基嘌呤、胞嘧啶、尿嘧啶、胸腺嘧啶、吲哚、5-硝基吲哚和3-硝基吡咯;In some embodiments, B is selected from adenine, guanine, 2,6-diaminopurine, 6-dimethylaminopurine, 2-aminopurine, cytosine, uracil, thymine, indole, 5-nitroindole and 3-nitropyrrole;
一些實施方案中,B選自該反義鏈的修飾的核苷酸對應位置的鹼基。In some embodiments, B is selected from the base at the position corresponding to the modified nucleotide of the antisense strand.
在一些實施方案中,該式(I)所示的化學修飾選自:In some embodiments, the chemical modification of formula (I) is selected from:
其中,B是鹼基或鹼基類似物;例如選自嘌呤鹼基、嘧啶鹼基、吲哚、5-硝基吲哚和3-硝基吡咯中的那些;wherein B is a base or a base analog; for example, those selected from purine bases, pyrimidine bases, indole, 5-nitroindole and 3-nitropyrrole;
一些實施方案中,B選自腺嘌呤、鳥嘌呤、異鳥嘌呤、次黃嘌呤、黃嘌呤、C2修飾的嘌呤、N8修飾的嘌呤、2,6-二胺基嘌呤、6-二甲基胺基嘌呤、2-胺基嘌呤、N6-烷基腺嘌呤、O6-烷基鳥嘌呤、7-脫氮嘌呤、胞嘧啶、5-甲基胞嘧啶、異胞嘧啶、假胞嘧啶、尿嘧啶、假尿嘧啶、2-硫代尿苷、4-硫代尿苷、C5修飾的嘧啶、胸腺嘧啶、吲哚、5-硝基吲哚和3-硝基吡咯;In some embodiments, B is selected from the group consisting of adenine, guanine, isoguanine, hypoxanthine, xanthine, C2 modified purine, N8 modified purine, 2,6-diaminopurine, 6-dimethylamine purine, 2-aminopurine, N6-alkyladenine, O6-alkylguanine, 7-deazapurine, cytosine, 5-methylcytosine, isocytosine, pseudocytosine, uracil, Pseudouracil, 2-thiouridine, 4-thiouridine, C5-modified pyrimidine, thymine, indole, 5-nitroindole, and 3-nitropyrrole;
一些實施方案中,B選自腺嘌呤、鳥嘌呤、2,6-二胺基嘌呤、6-二甲基胺基嘌呤、2-胺基嘌呤、胞嘧啶、尿嘧啶、胸腺嘧啶、吲哚、5-硝基吲哚和3-硝基吡咯;In some embodiments, B is selected from adenine, guanine, 2,6-diaminopurine, 6-dimethylaminopurine, 2-aminopurine, cytosine, uracil, thymine, indole, 5-nitroindole and 3-nitropyrrole;
一些實施方案中,B選自該反義鏈的修飾的核苷酸對應位置的鹼基。In some embodiments, B is selected from the base at the position corresponding to the modified nucleotide of the antisense strand.
一些實施方案中,包含式(I)所示的化學修飾或其互變異構體修飾的核苷酸選自包含式(I’)所示的化學修飾或其互變異構體修飾的核苷酸,In some embodiments, the nucleotides comprising the chemical modifications represented by formula (I) or tautomer modifications thereof are selected from nucleotides comprising chemical modifications represented by formula (I') or tautomer modifications thereof ,
其中,Y選自O、NH和S;wherein Y is selected from O, NH and S;
每個X獨立地選自CR4(R4’)、S、NR5和NH-CO,其中R4、R4’、R5分別獨立地為H或C1-C6烷基;Each X is independently selected from CR4 (R4 ′), S, NR5 and NH-CO, wherein R4 , R4 ′, R5 are each independently H or C1 -C6 alkyl;
J2為H或C1-C6烷基;J2 is H or C1 -C6 alkyl;
n=0、1或2;m=0、1或2;s=0或1;n=0, 1 or 2; m=0, 1 or 2; s=0 or 1;
R3選自H、OH、鹵素、NH2、C1-C6烷基、C1-C6烷氧基、C2-C6烯基、C2-C6炔基、S-CH3、NCH3(CH3)、OCH2CH2OCH3、-O-烷基胺基和(CH2)pR6;其中R6選自OH、鹵素、甲氧基、乙氧基、N3、C2-C6烯基和C2-C6炔基,p=1、2或3;R3 is selected from H, OH, halogen, NH2 , C1 -C6 alkyl, C1 -C6 alkoxy, C2 -C6 alkenyl, C2 -C6 alkynyl, S-CH3 , NCH3 (CH3 ), OCH2 CH2 OCH3 , -O-alkylamino and (CH2 )p R6 ; wherein R6 is selected from OH, halogen, methoxy, ethoxy, N3 , C2 -C6 alkenyl and C2 -C6 alkynyl, p=1, 2 or 3;
Q1’為,Q2’為R2;或者Q1’為R2,Q2’為;Q1' is , Q2' is R2 ; or Q1' is R2 , Q2' is ;
其中,in,
R1選自H、C1-C6烷基、C1-C6烷氧基、C2-C6烯基、C2-C6炔基和(CH2)qR7;其中R7選自OH、鹵素、甲氧基、乙氧基、N3、C2-C6烯基和C2-C6炔基,q=1、2或3;R1 is selected from H, C1 -C6 alkyl, C1 -C6 alkoxy, C2 -C6 alkenyl, C2 -C6 alkynyl and (CH2 )q R7 ; wherein R7 selected from OH, halogen, methoxy, ethoxy, N3 , C2 -C6 alkenyl and C2 -C6 alkynyl, q=1, 2 or 3;
J1為H或C1-C6烷基;J1 is H or C1 -C6 alkyl;
R2選自H、OH、鹵素、NH2、C1-C6烷基、C1-C6烷氧基、C2-C6烯基、C2-C6炔基、S-CH3、NCH3(CH3)、OCH2CH2OCH3、-O-烷基胺基和(CH2)rR8;其中R8選自OH、鹵素、甲氧基、乙氧基、N3、C2-C6烯基和C2-C6炔基,r=1、2或3;R2 is selected from H, OH, halogen, NH2 , C1 -C6 alkyl, C1 -C6 alkoxy, C2 -C6 alkenyl, C2 -C6 alkynyl, S-CH3 , NCH3 (CH3 ), OCH2 CH2 OCH3 , -O-alkylamino and (CH2 )r R8 ; wherein R8 is selected from OH, halogen, methoxy, ethoxy, N3 , C2 -C6 alkenyl and C2 -C6 alkynyl, r=1, 2 or 3;
任選地,R1和R2直接相連成環;Optionally, R1 and R2 are directly connected to form a ring;
B是鹼基或鹼基類似物;B is a base or a base analog;
M為O或S;M is O or S;
其中,該式(I’)所示的化學修飾不是。Wherein, the chemical modification represented by the formula (I') is not .
在一些實施方案中,當X為NH-CO時,R1不是H。In some embodiments, when X is NH- CO, R1 is not H.
一些實施方案中,B是鹼基或鹼基類似物;例如選自嘌呤鹼基、嘧啶鹼基、吲哚、5-硝基吲哚和3-硝基吡咯中的那些;In some embodiments, B is a base or a base analog; eg, those selected from the group consisting of purine bases, pyrimidine bases, indole, 5-nitroindole, and 3-nitropyrrole;
一些實施方案中,B選自腺嘌呤、鳥嘌呤、異鳥嘌呤、次黃嘌呤、黃嘌呤、C2修飾的嘌呤、N8修飾的嘌呤、2,6-二胺基嘌呤、6-二甲基胺基嘌呤、2-胺基嘌呤、N6-烷基腺嘌呤、O6-烷基鳥嘌呤、7-脫氮嘌呤、胞嘧啶、5-甲基胞嘧啶、異胞嘧啶、假胞嘧啶、尿嘧啶、假尿嘧啶、2-硫代尿苷、4-硫代尿苷、C5修飾的嘧啶、胸腺嘧啶、吲哚、5-硝基吲哚和3-硝基吡咯;In some embodiments, B is selected from the group consisting of adenine, guanine, isoguanine, hypoxanthine, xanthine, C2 modified purine, N8 modified purine, 2,6-diaminopurine, 6-dimethylamine purine, 2-aminopurine, N6-alkyladenine, O6-alkylguanine, 7-deazapurine, cytosine, 5-methylcytosine, isocytosine, pseudocytosine, uracil, Pseudouracil, 2-thiouridine, 4-thiouridine, C5-modified pyrimidine, thymine, indole, 5-nitroindole, and 3-nitropyrrole;
一些實施方案中,B選自腺嘌呤、鳥嘌呤、2,6-二胺基嘌呤、6-二甲基胺基嘌呤、2-胺基嘌呤、胞嘧啶、尿嘧啶、胸腺嘧啶、吲哚、5-硝基吲哚和3-硝基吡咯;In some embodiments, B is selected from adenine, guanine, 2,6-diaminopurine, 6-dimethylaminopurine, 2-aminopurine, cytosine, uracil, thymine, indole, 5-nitroindole and 3-nitropyrrole;
一些實施方案中,B選自該反義鏈的修飾的核苷酸對應位置的鹼基。In some embodiments, B is selected from the base at the position corresponding to the modified nucleotide of the antisense strand.
一些實施方案中,式(I’)選自式(I’-1):In some embodiments, formula (I') is selected from formula (I'-1):
其中,Y選自O、NH和S;wherein Y is selected from O, NH and S;
每個X獨立地選自CR4(R4’)、S、NR5和NH-CO,其中R4、R4’、R5分別獨立地為H或C1-C6烷基;Each X is independently selected from CR4 (R4 ′), S, NR5 and NH-CO, wherein R4 , R4 ′, R5 are each independently H or C1 -C6 alkyl;
每個J1、J2分別獨立地為H或C1-C6烷基;Each J1 , J2 is independently H or C1 -C6 alkyl;
n=0、1或2;m=0、1或2;s=0或1;n=0, 1 or 2; m=0, 1 or 2; s=0 or 1;
R3選自H、OH、鹵素、NH2、C1-C6烷基、C1-C6烷氧基、C2-C6烯基、C2-C6炔基、S-CH3、NCH3(CH3)、OCH2CH2OCH3、-O-烷基胺基和(CH2)pR6;其中R6選自OH、鹵素、甲氧基、乙氧基、N3、C2-C6烯基和C2-C6炔基,p=1、2或3;R3 is selected from H, OH, halogen, NH2 , C1 -C6 alkyl, C1 -C6 alkoxy, C2 -C6 alkenyl, C2 -C6 alkynyl, S-CH3 , NCH3 (CH3 ), OCH2 CH2 OCH3 , -O-alkylamino and (CH2 )p R6 ; wherein R6 is selected from OH, halogen, methoxy, ethoxy, N3 , C2 -C6 alkenyl and C2 -C6 alkynyl, p=1, 2 or 3;
R1選自H、C1-C6烷基、C1-C6烷氧基、C2-C6烯基、C2-C6炔基和(CH2)qR7;其中R7選自OH、鹵素、甲氧基、乙氧基、N3、C2-C6烯基和C2-C6炔基,q=1、2或3;R1 is selected from H, C1 -C6 alkyl, C1 -C6 alkoxy, C2 -C6 alkenyl, C2 -C6 alkynyl and (CH2 )q R7 ; wherein R7 selected from OH, halogen, methoxy, ethoxy, N3 , C2 -C6 alkenyl and C2 -C6 alkynyl, q=1, 2 or 3;
R2選自H、OH、鹵素、NH2、C1-C6烷基、C1-C6烷氧基、C2-C6烯基、C2-C6炔基、S-CH3、NCH3(CH3)、OCH2CH2OCH3、-O-烷基胺基和(CH2)rR8;其中R8選自OH、鹵素、甲氧基、乙氧基、N3、C2-C6烯基和C2-C6炔基,r=1、2或3;R2 is selected from H, OH, halogen, NH2 , C1 -C6 alkyl, C1 -C6 alkoxy, C2 -C6 alkenyl, C2 -C6 alkynyl, S-CH3 , NCH3 (CH3 ), OCH2 CH2 OCH3 , -O-alkylamino and (CH2 )r R8 ; wherein R8 is selected from OH, halogen, methoxy, ethoxy, N3 , C2 -C6 alkenyl and C2 -C6 alkynyl, r=1, 2 or 3;
M為O或S;M is O or S;
任選地,R1和R2直接相連成環;Optionally, R1 and R2 are directly connected to form a ring;
B如式(I’)中所定義。B is as defined in formula (I').
一些實施方案中,B是鹼基或鹼基類似物;例如選自嘌呤鹼基、嘧啶鹼基、吲哚、5-硝基吲哚和3-硝基吡咯中的那些;In some embodiments, B is a base or a base analog; eg, those selected from the group consisting of purine bases, pyrimidine bases, indole, 5-nitroindole, and 3-nitropyrrole;
一些實施方案中,B選自腺嘌呤、鳥嘌呤、異鳥嘌呤、次黃嘌呤、黃嘌呤、C2修飾的嘌呤、N8修飾的嘌呤、2,6-二胺基嘌呤、6-二甲基胺基嘌呤、2-胺基嘌呤、N6-烷基腺嘌呤、O6-烷基鳥嘌呤、7-脫氮嘌呤、胞嘧啶、5-甲基胞嘧啶、異胞嘧啶、假胞嘧啶、尿嘧啶、假尿嘧啶、2-硫代尿苷、4-硫代尿苷、C5修飾的嘧啶、胸腺嘧啶、吲哚、5-硝基吲哚和3-硝基吡咯;In some embodiments, B is selected from the group consisting of adenine, guanine, isoguanine, hypoxanthine, xanthine, C2 modified purine, N8 modified purine, 2,6-diaminopurine, 6-dimethylamine Alkylpurine, 2-aminopurine, N6-alkyladenine, O6-alkylguanine, 7-deazapurine, cytosine, 5-Methylcytosine, isocytosine, pseudocytosine, uracil, pseudouracil, 2-thiouridine, 4-thiouridine, C5-modified pyrimidine, thymine, indole, 5-nitroindole Indoles and 3-nitropyrroles;
一些實施方案中,B選自腺嘌呤、鳥嘌呤、2,6-二胺基嘌呤、6-二甲基胺基嘌呤、2-胺基嘌呤、胞嘧啶、尿嘧啶、胸腺嘧啶、吲哚、5-硝基吲哚和3-硝基吡咯;In some embodiments, B is selected from adenine, guanine, 2,6-diaminopurine, 6-dimethylaminopurine, 2-aminopurine, cytosine, uracil, thymine, indole, 5-nitroindole and 3-nitropyrrole;
一些實施方案中,B選自該反義鏈的修飾的核苷酸對應位置的鹼基。In some embodiments, B is selected from the base at the position corresponding to the modified nucleotide of the antisense strand.
一些實施方案中,式(I’)選自式(I’-2):In some embodiments, formula (I') is selected from formula (I'-2):
其中Y選自O、NH和S;wherein Y is selected from O, NH and S;
每個X獨立地選自CR4(R4’)、S、NR5和NH-CO,其中R4、R4’、R5分別獨立地為H或C1-C6烷基;Each X is independently selected from CR4 (R4 ′), S, NR5 and NH-CO, wherein R4 , R4 ′, R5 are each independently H or C1 -C6 alkyl;
n=0、1或2;m=0、1或2;s=0或1;n=0, 1 or 2; m=0, 1 or 2; s=0 or 1;
每個J1、J2分別獨立地為H或C1-C6烷基;Each J1 , J2 is independently H or C1 -C6 alkyl;
R3選自H、OH、鹵素、NH2、C1-C6烷基、C1-C6烷氧基、C2-C6烯基、C2-C6炔基、S-CH3、NCH3(CH3)、OCH2CH2OCH3、-O-烷基胺基和(CH2)pR6;其中R6選自OH、鹵素、甲氧基、乙氧基、N3、C2-C6烯基和C2-C6炔基,p=1、2或3;R3 is selected from H, OH, halogen, NH2 , C1 -C6 alkyl, C1 -C6 alkoxy, C2 -C6 alkenyl, C2 -C6 alkynyl, S-CH3 , NCH3 (CH3 ), OCH2 CH2 OCH3 , -O-alkylamino and (CH2 )p R6 ; wherein R6 is selected from OH, halogen, methoxy, ethoxy, N3 , C2 -C6 alkenyl and C2 -C6 alkynyl, p=1, 2 or 3;
R1選自H、C1-C6烷基、C1-C6烷氧基、C2-C6烯基、C2-C6炔基和(CH2)qR7;其中R7選自OH、鹵素、甲氧基、乙氧基、N3、C2-C6烯基和C2-C6炔基,q=1、2或3;R1 is selected from H, C1 -C6 alkyl, C1 -C6 alkoxy, C2 -C6 alkenyl, C2 -C6 alkynyl and (CH2 )q R7 ; wherein R7 selected from OH, halogen, methoxy, ethoxy, N3 , C2 -C6 alkenyl and C2 -C6 alkynyl, q=1, 2 or 3;
R2選自H、C1-C6烷基、C1-C6烷氧基、S-CH3、NCH3(CH3)、OCH2CH2OCH3、-O-烷基胺基和(CH2)rR8;其中R8選自OH、鹵素、甲氧基、乙氧基、N3、C2-C6烯基和C2-C6炔基;r=1、2或3;R2 is selected from H, C1 -C6 alkyl, C1 -C6 alkoxy, S-CH3 , NCH3 (CH3 ), OCH2 CH2 OCH3 , -O-alkylamino and (CH2 )r R8 ; wherein R8 is selected from OH, halogen, methoxy, ethoxy, N3 , C2 -C6 alkenyl and C2 -C6 alkynyl; r=1, 2 or 3;
任選地,R1和R2直接相連成環;Optionally, R1 and R2 are directly connected to form a ring;
M為O或S;M is O or S;
B如式(I’)中所定義。B is as defined in formula (I').
一些實施方案中,B是鹼基或鹼基類似物;例如選自嘌呤鹼基、嘧啶鹼基、吲哚、5-硝基吲哚和3-硝基吡咯中的那些;In some embodiments, B is a base or a base analog; eg, those selected from the group consisting of purine bases, pyrimidine bases, indole, 5-nitroindole, and 3-nitropyrrole;
一些實施方案中,B選自腺嘌呤、鳥嘌呤、異鳥嘌呤、次黃嘌呤、黃嘌呤、C2修飾的嘌呤、N8修飾的嘌呤、2,6-二胺基嘌呤、6-二甲基胺基嘌呤、2-胺基嘌呤、N6-烷基腺嘌呤、O6-烷基鳥嘌呤、7-脫氮嘌呤、胞嘧啶、5-甲基胞嘧啶、異胞嘧啶、假胞嘧啶、尿嘧啶、假尿嘧啶、2-硫代尿苷、4-硫代尿苷、C5修飾的嘧啶、胸腺嘧啶、吲哚、5-硝基吲哚和3-硝基吡咯;In some embodiments, B is selected from the group consisting of adenine, guanine, isoguanine, hypoxanthine, xanthine, C2 modified purine, N8 modified purine, 2,6-diaminopurine, 6-dimethylamine purine, 2-aminopurine, N6-alkyladenine, O6-alkylguanine, 7-deazapurine, cytosine, 5-methylcytosine, isocytosine, pseudocytosine, uracil, Pseudouracil, 2-thiouridine, 4-thiouridine, C5-modified pyrimidine, thymine, indole, 5-nitroindole, and 3-nitropyrrole;
一些實施方案中,B選自腺嘌呤、鳥嘌呤、2,6-二胺基嘌呤、6-二甲基胺基嘌呤、2-胺基嘌呤、胞嘧啶、尿嘧啶、胸腺嘧啶、吲哚、5-硝基吲哚和3-硝基吡咯;In some embodiments, B is selected from adenine, guanine, 2,6-diaminopurine, 6-dimethylaminopurine, 2-aminopurine, cytosine, uracil, thymine, indole, 5-nitroindole and 3-nitropyrrole;
一些實施方案中,B選自該反義鏈的修飾的核苷酸對應位置的鹼基。In some embodiments, B is selected from the base at the position corresponding to the modified nucleotide of the antisense strand.
在一些實施方案中,上述化學修飾不是。In some embodiments, the chemical modifications described above are not .
在一些實施方案中,當X為NH-CO時,R1不是H。In some embodiments, when X is NH- CO, R1 is not H.
在一些實施方案中,每個X獨立地選自CR4(R4’)、S、NR5和NH-CO,其中R4、R4’、R5分別獨立地為H或C1-C3烷基;In some embodiments, each X is independently selected from CR4 (R4 ′), S, NR5 and NH-CO, wherein R4 , R4 ′, R5 are each independently H or C1 -C3 alkyl;
n=0、1或2;m=0、1或2;s=0或1;n=0, 1 or 2; m=0, 1 or 2; s=0 or 1;
每個J1、J2分別獨立地為H或C1-C3烷基;Each J1 , J2 is independently H or C1 -C3 alkyl;
R3選自H、OH、鹵素、NH2、C1-C3烷基、C1-C3烷氧基、C2-C4烯基、C2-C4炔基、S-CH3、NCH3(CH3)、OCH2CH2OCH3、-O-烷基胺基和(CH2)pR6;其中R6選自OH、鹵素、甲氧基、乙氧基、N3、C2-C6烯基和C2-C6炔基,p=1、2或3;R3 is selected from H, OH, halogen, NH2 , C1 -C3 alkyl, C1 -C3 alkoxy, C2 -C4 alkenyl, C2 -C4 alkynyl, S-CH3 , NCH3 (CH3 ), OCH2 CH2 OCH3 , -O-alkylamino and (CH2 )p R6 ; wherein R6 is selected from OH, halogen, methoxy, ethoxy, N3 , C2 -C6 alkenyl and C2 -C6 alkynyl, p=1, 2 or 3;
R1選自H、C1-C3烷基、C1-C3烷氧基、C2-C4烯基、C2-C4炔基和(CH2)qR7;其中R7選自OH、鹵素、甲氧基、乙氧基、N3、C2-C4烯基和C2-C4炔基,q=1、2或3;R1 is selected from H, C1 -C3 alkyl, C1 -C3 alkoxy, C2 -C4 alkenyl, C2 -C4 alkynyl and (CH2 )q R7 ; wherein R7 selected from OH, halogen, methoxy, ethoxy, N3 , C2 -C4 alkenyl and C2 -C4 alkynyl, q=1, 2 or 3;
R2選自H、OH、鹵素、NH2、C1-C3烷基、C1-C3烷氧基、C2-C4烯基、C2-C4炔基、S-CH3、NCH3(CH3)、OCH2CH2OCH3、-O-烷基胺基和(CH2)rR8;其中R8選自OH、鹵素、甲氧基、乙氧基、N3、C2-C4烯基和C2-C4炔基,r=1、2或3;R2 is selected from H, OH, halogen, NH2 , C1 -C3 alkyl, C1 -C3 alkoxy, C2 -C4 alkenyl, C2 -C4 alkynyl, S-CH3 , NCH3 (CH3 ), OCH2 CH2 OCH3 , -O-alkylamino and (CH2 )r R8 ; wherein R8 is selected from OH, halogen, methoxy, ethoxy, N3 , C2 -C4 alkenyl and C2 -C4 alkynyl, r=1, 2 or 3;
任選地,R1和R2直接相連成環。Optionally, R1 andR2 are directly connected to forma ring.
在一些實施方案中,每個X獨立地選自CR4(R4’)、S、NR5和NH-CO,其中R4、R4’、R5分別獨立地為H、甲基、乙基、正丙基或異丙基;In some embodiments, each X is independently selected from CR4 (R4 ′), S, NR5 and NH-CO, wherein R4 , R4 ′, R5 are each independently H, methyl, B radical, n-propyl or isopropyl;
n=0、1或2;m=0、1或2;s=0或1;n=0, 1 or 2; m=0, 1 or 2; s=0 or 1;
每個J1、J2分別獨立地為H或甲基;Each J1 , J2 is independently H or methyl;
R3選自H、OH、F、Cl、NH2、甲基、乙基、正丙基、異丙基、甲氧基、乙氧基、正丙氧基、異丙氧基、乙烯基、烯丙基、乙炔基、炔丙基、S-CH3、NCH3(CH3)、OCH2CH2OCH3、-O-甲基胺基、-O-乙基胺基和(CH2)pR6;其中R6選自OH、F、Cl、甲氧基、乙氧基、N3、乙烯基、烯丙基、乙炔基和炔丙基,p=1或2;R3 is selected from H, OH, F, Cl, NH2 , methyl, ethyl, n-propyl, isopropyl, methoxy, ethoxy, n-propoxy, isopropoxy, vinyl, Allyl, ethynyl, propargyl, S-CH3 ,NCH3 (CH3 ),OCH2CH2OCH3 , -O- methylamino, -O-ethylamino and (CH2)p R6 ; wherein R6 is selected from OH, F, Cl, methoxy, ethoxy, N3 , vinyl, allyl, ethynyl and propargyl, p=1 or 2;
R1選自H、甲基、乙基、正丙基、異丙基、甲氧基、乙氧基、正丙氧基、異丙氧基、乙烯基、烯丙基、乙炔基、炔丙基和(CH2)qR7;其中R7選自OH、F、Cl、甲氧基、乙氧基、N3、乙烯基、烯丙基、乙炔基和炔丙基,q=1或2;R1 is selected from H, methyl, ethyl, n-propyl, isopropyl, methoxy, ethoxy, n-propoxy, isopropoxy, vinyl, allyl, ethynyl, propargyl and (CH2 )q R7 ; wherein R7 is selected from OH, F, Cl, methoxy, ethoxy, N3 , vinyl, allyl, ethynyl and propargyl, q=1 or 2;
R2選自H、OH、F、Cl、NH2、甲基、乙基、正丙基、異丙基、甲氧基、乙氧基、正丙氧基、異丙氧基、乙烯基、烯丙基、乙炔基、炔丙基、S-CH3、NCH3(CH3)、OCH2CH2OCH3、-O-甲基胺基、-O-乙基胺基和(CH2)rR8;其中R8選自OH、F、Cl、甲氧基、乙氧基、N3、乙烯基、烯丙基、乙炔基和炔丙基,r=1或2;R2 is selected from H, OH, F, Cl, NH2 , methyl, ethyl, n-propyl, isopropyl, methoxy, ethoxy, n-propoxy, isopropoxy, vinyl, Allyl, ethynyl, propargyl, S-CH3 ,NCH3 (CH3 ),OCH2CH2OCH3 , -O- methylamino, -O-ethylamino and (CH2)r R8 ; wherein R8 is selected from OH, F, Cl, methoxy, ethoxy, N3 , vinyl, allyl, ethynyl and propargyl, r=1 or 2;
任選地,R1和R2直接相連成環。Optionally, R1 andR2 are directly connected to forma ring.
一些實施方案中,B是鹼基或鹼基類似物;例如選自嘌呤鹼基、嘧啶鹼基、吲哚、5-硝基吲哚和3-硝基吡咯中的那些;In some embodiments, B is a base or a base analog; eg, those selected from the group consisting of purine bases, pyrimidine bases, indole, 5-nitroindole, and 3-nitropyrrole;
一些實施方案中,B選自腺嘌呤、鳥嘌呤、異鳥嘌呤、次黃嘌呤、黃嘌呤、C2修飾的嘌呤、N8修飾的嘌呤、2,6-二胺基嘌呤、6-二甲基胺基嘌呤、2-胺基嘌呤、N6-烷基腺嘌呤、O6-烷基鳥嘌呤、7-脫氮嘌呤、胞嘧啶、5-甲基胞嘧啶、異胞嘧啶、假胞嘧啶、尿嘧啶、假尿嘧啶、2-硫代尿苷、4-硫代尿苷、C5修飾的嘧啶、胸腺嘧啶、吲哚、5-硝基吲哚和3-硝基吡咯;In some embodiments, B is selected from the group consisting of adenine, guanine, isoguanine, hypoxanthine, xanthine, C2 modified purine, N8 modified purine, 2,6-diaminopurine, 6-dimethylamine purine, 2-aminopurine, N6-alkyladenine, O6-alkylguanine, 7-deazapurine, cytosine, 5-methylcytosine, isocytosine, pseudocytosine, uracil, Pseudouracil, 2-thiouridine, 4-thiouridine, C5-modified pyrimidine, thymine, indole, 5-nitroindole, and 3-nitropyrrole;
一些實施方案中,B選自腺嘌呤、鳥嘌呤、2,6-二胺基嘌呤、6-二甲基胺基嘌呤、2-胺基嘌呤、胞嘧啶、尿嘧啶、胸腺嘧啶、吲哚、5-硝基吲哚和3-硝基吡咯;In some embodiments, B is selected from adenine, guanine, 2,6-diaminopurine, 6-dimethylaminopurine, 2-aminopurine, cytosine, uracil, thymine, indole, 5-nitroindole and 3-nitropyrrole;
一些實施方案中,B選自該反義鏈的修飾的核苷酸對應位置的鹼基。In some embodiments, B is selected from the base at the position corresponding to the modified nucleotide of the antisense strand.
在一些實施方案中,每個X獨立地選自CR4(R4’)、S、NR5和NH-CO,其中R4、R4’、R5分別獨立地為H、甲基、乙基、正丙基或異丙基;In some embodiments, each X is independently selected from CR4 (R4 ′), S, NR5 and NH-CO, wherein R4 , R4 ′, R5 are each independently H, methyl, B radical, n-propyl or isopropyl;
n=0、1或2;m=0、1或2;s=0或1;n=0, 1 or 2; m=0, 1 or 2; s=0 or 1;
每個J1、J2分別獨立地為H或甲基;Each J1 , J2 is independently H or methyl;
R3選自H、OH、F、Cl、NH2、甲基、乙基、正丙基、異丙基、甲氧基、乙氧基、正丙氧基、異丙氧基、乙烯基、烯丙基、乙炔基、炔丙基、S-CH3、NCH3(CH3)、OCH2CH2OCH3、-O-甲基胺基、-O-乙基胺基和(CH2)pR6;其中R6選自OH、F、Cl、甲氧基、乙氧基、N3、乙烯基、烯丙基、乙炔基和炔丙基,p=1或2;R3 is selected from H, OH, F, Cl, NH2 , methyl, ethyl, n-propyl, isopropyl, methoxy, ethoxy, n-propoxy, isopropoxy, vinyl, Allyl, ethynyl, propargyl, S-CH3 ,NCH3 (CH3 ),OCH2CH2OCH3 , -O- methylamino, -O-ethylamino and (CH2)p R6 ; wherein R6 is selected from OH, F, Cl, methoxy, ethoxy, N3 , vinyl, allyl, ethynyl and propargyl, p=1 or 2;
R1選自H、甲基、乙基、正丙基、異丙基、甲氧基、乙氧基、正丙氧基、異丙氧基、乙烯基、烯丙基、乙炔基、炔丙基和(CH2)qR7;其中R7選自OH、F、Cl、甲氧基、乙氧基、N3、乙烯基、烯丙基、乙炔基和炔丙基,q=1或2;R1 is selected from H, methyl, ethyl, n-propyl, isopropyl, methoxy, ethoxy, n-propoxy, isopropoxy, vinyl, allyl, ethynyl, propargyl and (CH2 )q R7 ; wherein R7 is selected from OH, F, Cl, methoxy, ethoxy, N3 , vinyl, allyl, ethynyl and propargyl, q=1 or 2;
R2選自H、OH、F、Cl、NH2、甲基、乙基、正丙基、異丙基、甲氧基、乙氧基、正丙氧基、異丙氧基、乙烯基、烯丙基、乙炔基、炔丙基、S-CH3、NCH3(CH3)、OCH2CH2OCH3、-O-甲基胺基、-O-乙基胺基和(CH2)rR8;其中R8選自OH、F、Cl、甲氧基、乙氧基、N3、乙烯基、烯丙基、乙炔基和炔丙基,r=1或2;R2 is selected from H, OH, F, Cl, NH2 , methyl, ethyl, n-propyl, isopropyl, methoxy, ethoxy, n-propoxy, isopropoxy, vinyl, Allyl, ethynyl, propargyl, S-CH3 ,NCH3 (CH3 ),OCH2CH2OCH3 , -O- methylamino, -O-ethylamino and (CH2)r R8 ; wherein R8 is selected from OH, F, Cl, methoxy, ethoxy, N3 , vinyl, allyl, ethynyl and propargyl, r=1 or 2;
任選地,R1和R2直接相連成環。Optionally, R1 andR2 are directly connected to forma ring.
一些實施方案中,B是鹼基或鹼基類似物;例如選自嘌呤鹼基、嘧啶鹼基、吲哚、5-硝基吲哚和3-硝基吡咯中的那些;In some embodiments, B is a base or a base analog; eg, those selected from the group consisting of purine bases, pyrimidine bases, indole, 5-nitroindole, and 3-nitropyrrole;
一些實施方案中,B選自腺嘌呤、鳥嘌呤、異鳥嘌呤、次黃嘌呤、黃嘌呤、C2修飾的嘌呤、N8修飾的嘌呤、2,6-二胺基嘌呤、6-二甲基胺基嘌呤、2-胺基嘌呤、N6-烷基腺嘌呤、O6-烷基鳥嘌呤、7-脫氮嘌呤、胞嘧啶、5-甲基胞嘧啶、異胞嘧啶、假胞嘧啶、尿嘧啶、假尿嘧啶、2-硫代尿苷、4-硫代尿苷、C5修飾的嘧啶、胸腺嘧啶、吲哚、5-硝基吲哚和3-硝基吡咯;In some embodiments, B is selected from the group consisting of adenine, guanine, isoguanine, hypoxanthine, xanthine, C2 modified purine, N8 modified purine, 2,6-diaminopurine, 6-dimethylamine purine,2-aminopurine, N6-alkyladenine, O6-alkylguanine, 7-deazapurine, cytosine, 5-methylcytosine, isocytosine, pseudocytosine, uracil, pseudouracil , 2-thiouridine, 4-thiouridine, C5-modified pyrimidine, thymine, indole, 5-nitroindole and 3-nitropyrrole;
一些實施方案中,B選自腺嘌呤、鳥嘌呤、2,6-二胺基嘌呤、6-二甲基胺基嘌呤、2-胺基嘌呤、胞嘧啶、尿嘧啶、胸腺嘧啶、吲哚、5-硝基吲哚和3-硝基吡咯;In some embodiments, B is selected from adenine, guanine, 2,6-diaminopurine, 6-dimethylaminopurine, 2-aminopurine, cytosine, uracil, thymine, indole, 5-nitroindole and 3-nitropyrrole;
一些實施方案中,B選自該反義鏈的修飾的核苷酸對應位置的鹼基。In some embodiments, B is selected from the base at the position corresponding to the modified nucleotide of the antisense strand.
在一些實施方案中,Y為O或NH;每個X獨立地選自NH-CO、CH2和NH;In some embodiments, Y is O or NH; each X is independently selected from NH-CO,CH and NH;
n=0或1;m=0或1;s=0或1;n=0 or 1; m=0 or 1; s=0 or 1;
每個J1、J2分別獨立地為H;Each J1 , J2 is independently H;
R1選自H、甲基和CH2OH;R1 is selected from H, methyl and CH2 OH;
R2選自H、OH、NH2、甲基和CH2OH;R2 is selected from H, OH, NH2 , methyl and CH2 OH;
R3選自H、OH、NH2、甲基和CH2OH;R3 is selected from H, OH,NH2 , methyl and CH2OH;
任選地,R1和R2直接相連成環。Optionally, R1 andR2 are directly connected to forma ring.
一些實施方案中,B是鹼基或鹼基類似物;例如選自嘌呤鹼基、嘧啶鹼基、吲哚、5-硝基吲哚和3-硝基吡咯中的那些;In some embodiments, B is a base or a base analog; eg, those selected from the group consisting of purine bases, pyrimidine bases, indole, 5-nitroindole, and 3-nitropyrrole;
一些實施方案中,B選自腺嘌呤、鳥嘌呤、異鳥嘌呤、次黃嘌呤、黃嘌呤、C2修飾的嘌呤、N8修飾的嘌呤、2,6-二胺基嘌呤、6-二甲基胺基嘌呤、2-胺基嘌呤、N6-烷基腺嘌呤、O6-烷基鳥嘌呤、7-脫氮嘌呤、胞嘧啶、5-甲基胞嘧啶、異胞嘧啶、假胞嘧啶、尿嘧啶、假尿嘧啶、2-硫代尿苷、4-硫代尿苷、C5修飾的嘧啶、胸腺嘧啶、吲哚、5-硝基吲哚和3-硝基吡咯;In some embodiments, B is selected from the group consisting of adenine, guanine, isoguanine, hypoxanthine, xanthine, C2 modified purine, N8 modified purine, 2,6-diaminopurine, 6-dimethylamine purine, 2-aminopurine, N6-alkyladenine, O6-alkylguanine, 7-deazapurine, cytosine, 5-methylcytosine, isocytosine, pseudocytosine, uracil, Pseudouracil, 2-thiouridine, 4-thiouridine, C5-modified pyrimidine, thymine, indole, 5-nitroindole, and 3-nitropyrrole;
一些實施方案中,B選自腺嘌呤、鳥嘌呤、2,6-二胺基嘌呤、6-二甲基胺基嘌呤、2-胺基嘌呤、胞嘧啶、尿嘧啶、胸腺嘧啶、吲哚、5-硝基吲哚和3-硝基吡咯;In some embodiments, B is selected from adenine, guanine, 2,6-diaminopurine, 6-dimethylaminopurine, 2-aminopurine, cytosine, uracil, thymine, indole, 5-nitroindole and 3-nitropyrrole;
一些實施方案中,B選自該反義鏈的修飾的核苷酸對應位置的鹼基。In some embodiments, B is selected from the base at the position corresponding to the modified nucleotide of the antisense strand.
在一些實施方案中,Y為O或NH;每個X獨立地選自NH-CO、CH2和NH;In some embodiments, Y is O or NH; each X is independently selected from NH-CO,CH and NH;
n=0或1;m=0或1;s=0或1;n=0 or 1; m=0 or 1; s=0 or 1;
每個J1、J2分別獨立地為H;Each J1 , J2 is independently H;
R1選自H、甲基和CH2OH;R1 is selected from H, methyl and CH2 OH;
R2選自H、甲基和CH2OH;R2 is selected from H, methyl and CH2 OH;
R3選自H、OH、NH2、甲基和CH2OH;R3 is selected from H, OH,NH2 , methyl and CH2OH;
任選地,R1和R2直接相連成環。Optionally, R1 andR2 are directly connected to forma ring.
一些實施方案中,B是鹼基或鹼基類似物;例如選自嘌呤鹼基、嘧啶鹼基、吲哚、5-硝基吲哚和3-硝基吡咯中的那些;In some embodiments, B is a base or a base analog; eg, those selected from the group consisting of purine bases, pyrimidine bases, indole, 5-nitroindole, and 3-nitropyrrole;
一些實施方案中,B選自腺嘌呤、鳥嘌呤、異鳥嘌呤、次黃嘌呤、黃嘌呤、C2修飾的嘌呤、N8修飾的嘌呤、2,6-二胺基嘌呤、6-二甲基胺基嘌呤、2-胺基嘌呤、N6-烷基腺嘌呤、O6-烷基鳥嘌呤、7-脫氮嘌呤、胞嘧啶、5-甲基胞嘧啶、異胞嘧啶、假胞嘧啶、尿嘧啶、假尿嘧啶、2-硫代尿苷、4-硫代尿苷、C5修飾的嘧啶、胸腺嘧啶、吲哚、5-硝基吲哚和3-硝基吡咯;In some embodiments, B is selected from the group consisting of adenine, guanine, isoguanine, hypoxanthine, xanthine, C2 modified purine, N8 modified purine, 2,6-diaminopurine, 6-dimethylamine purine, 2-aminopurine, N6-alkyladenine, O6-alkylguanine, 7-deazapurine, cytosine, 5-methylcytosine, isocytosine, pseudocytosine, uracil, Pseudouracil, 2-thiouridine, 4-thiouridine, C5-modified pyrimidine, thymine, indole, 5-nitroindole, and 3-nitropyrrole;
一些實施方案中,B選自腺嘌呤、鳥嘌呤、2,6-二胺基嘌呤、6-二甲基胺基嘌呤、2-胺基嘌呤、胞嘧啶、尿嘧啶、胸腺嘧啶、吲哚、5-硝基吲哚和3-硝基吡咯;In some embodiments, B is selected from adenine, guanine, 2,6-diaminopurine, 6-dimethylaminopurine, 2-aminopurine, cytosine, uracil, thymine, indole, 5-nitroindole and 3-nitropyrrole;
一些實施方案中,B選自該反義鏈的修飾的核苷酸對應位置的鹼基。In some embodiments, B is selected from the base at the position corresponding to the modified nucleotide of the antisense strand.
在一些實施方案中,該式(I’)所示的化學修飾選自:In some embodiments, the chemical modification of formula (I') is selected from:
其中,M為O或S;Among them, M is O or S;
B如式(I’)中所定義。B is as defined in formula (I').
一些實施方案中,B是鹼基或鹼基類似物;例如選自嘌呤鹼基、嘧啶鹼基、吲哚、5-硝基吲哚和3-硝基吡咯中的那些;In some embodiments, B is a base or a base analog; eg, those selected from the group consisting of purine bases, pyrimidine bases, indole, 5-nitroindole, and 3-nitropyrrole;
一些實施方案中,B選自腺嘌呤、鳥嘌呤、異鳥嘌呤、次黃嘌呤、黃嘌呤、C2修飾的嘌呤、N8修飾的嘌呤、2,6-二胺基嘌呤、6-二甲基胺基嘌呤、2-胺基嘌呤、N6-烷基腺嘌呤、O6-烷基鳥嘌呤、7-脫氮嘌呤、胞嘧啶、5-甲基胞嘧啶、異胞嘧啶、假胞嘧啶、尿嘧啶、假尿嘧啶、2-硫代尿苷、4-硫代尿苷、C5修飾的嘧啶、胸腺嘧啶、吲哚、5-硝基吲哚和3-硝基吡咯;In some embodiments, B is selected from the group consisting of adenine, guanine, isoguanine, hypoxanthine, xanthine, C2 modified purine, N8 modified purine, 2,6-diaminopurine, 6-dimethylamine purine, 2-aminopurine, N6-alkyladenine, O6-alkylguanine, 7-deazapurine, cytosine, 5-methylcytosine, isocytosine, pseudocytosine, uracil, Pseudouracil, 2-thiouridine, 4-thiouridine, C5-modified pyrimidine, thymine, indole, 5-nitroindole, and 3-nitropyrrole;
一些實施方案中,B選自腺嘌呤、鳥嘌呤、2,6-二胺基嘌呤、6-二甲基胺基嘌呤、2-胺基嘌呤、胞嘧啶、尿嘧啶、胸腺嘧啶、吲哚、5-硝基吲哚和3-硝基吡咯;In some embodiments, B is selected from adenine, guanine, 2,6-diaminopurine, 6-dimethylaminopurine, 2-aminopurine, cytosine, uracil, thymine, indole, 5-nitroindole and 3-nitropyrrole;
一些實施方案中,B選自該反義鏈的修飾的核苷酸對應位置的鹼基。In some embodiments, B is selected from the base at the position corresponding to the modified nucleotide of the antisense strand.
在一些實施方案中,該式(I’)所示的化學修飾選自:In some embodiments, the chemical modification of formula (I') is selected from:
其中,M為O或S;Among them, M is O or S;
B如式(I’)中所定義。B is as defined in formula (I').
一些實施方案中,B是鹼基或鹼基類似物;例如選自嘌呤鹼基、嘧啶鹼基、吲哚、5-硝基吲哚和3-硝基吡咯中的那些;In some embodiments, B is a base or a base analog; eg, those selected from the group consisting of purine bases, pyrimidine bases, indole, 5-nitroindole, and 3-nitropyrrole;
一些實施方案中,B選自腺嘌呤、鳥嘌呤、異鳥嘌呤、次黃嘌呤、黃嘌呤、C2修飾的嘌呤、N8修飾的嘌呤、2,6-二胺基嘌呤、6-二甲基胺基嘌呤、2-胺基嘌呤、N6-烷基腺嘌呤、O6-烷基鳥嘌呤、7-脫氮嘌呤、胞嘧啶、5-甲基胞嘧啶、異胞嘧啶、假胞嘧啶、尿嘧啶、假尿嘧啶、2-硫代尿苷、4-硫代尿苷、C5修飾的嘧啶、胸腺嘧啶、吲哚、5-硝基吲哚和3-硝基吡咯;In some embodiments, B is selected from the group consisting of adenine, guanine, isoguanine, hypoxanthine, xanthine, C2 modified purine, N8 modified purine, 2,6-diaminopurine, 6-dimethylamine purine, 2-aminopurine, N6-alkyladenine, O6-alkylguanine, 7-deazapurine, cytosine, 5-methylcytosine, isocytosine, pseudocytosine, uracil, Pseudouracil, 2-thiouridine, 4-thiouridine, C5-modified pyrimidine, thymine, indole, 5-nitroindole, and 3-nitropyrrole;
一些實施方案中,B選自腺嘌呤、鳥嘌呤、2,6-二胺基嘌呤、6-二甲基胺基嘌呤、2-胺基嘌呤、胞嘧啶、尿嘧啶、胸腺嘧啶、吲哚、5-硝基吲哚和3-硝基吡咯;In some embodiments, B is selected from adenine, guanine, 2,6-diaminopurine, 6-dimethylaminopurine, 2-aminopurine, cytosine, uracil, thymine, indole, 5-nitroindole and 3-nitropyrrole;
一些實施方案中,B選自該反義鏈的修飾的核苷酸對應位置的鹼基。In some embodiments, B is selected from the base at the position corresponding to the modified nucleotide of the antisense strand.
在一些實施方案中,該式(I’)所示的化學修飾選自:In some embodiments, the chemical modification of formula (I') is selected from:
其中,M為O或S;Among them, M is O or S;
B如式(I’)中所定義。B is as defined in formula (I').
一些實施方案中,B是鹼基或鹼基類似物;例如選自嘌呤鹼基、嘧啶鹼基、吲哚、5-硝基吲哚和3-硝基吡咯中的那些;In some embodiments, B is a base or a base analog; eg, those selected from the group consisting of purine bases, pyrimidine bases, indole, 5-nitroindole, and 3-nitropyrrole;
一些實施方案中,B選自腺嘌呤、鳥嘌呤、異鳥嘌呤、次黃嘌呤、黃嘌呤、C2修飾的嘌呤、N8修飾的嘌呤、2,6-二胺基嘌呤、6-二甲基胺基嘌呤、2-胺基嘌呤、N6-烷基腺嘌呤、O6-烷基鳥嘌呤、7-脫氮嘌呤、胞嘧啶、5-甲基胞嘧啶、異胞嘧啶、假胞嘧啶、尿嘧啶、假尿嘧啶、2-硫代尿苷、4-硫代尿苷、C5修飾的嘧啶、胸腺嘧啶、吲哚、5-硝基吲哚和3-硝基吡咯;In some embodiments, B is selected from the group consisting of adenine, guanine, isoguanine, hypoxanthine, xanthine, C2 modified purine, N8 modified purine, 2,6-diaminopurine, 6-dimethylamine purine, 2-aminopurine, N6-alkyladenine, O6-alkylguanine, 7-deazapurine, cytosine, 5-methylcytosine, isocytosine, pseudocytosine, uracil, Pseudouracil, 2-thiouridine, 4-thiouridine, C5-modified pyrimidine, thymine, indole, 5-nitroindole, and 3-nitropyrrole;
一些實施方案中,B選自腺嘌呤、鳥嘌呤、2,6-二胺基嘌呤、6-二甲基胺基嘌呤、2-胺基嘌呤、胞嘧啶、尿嘧啶、胸腺嘧啶、吲哚、5-硝基吲哚和3-硝基吡咯;In some embodiments, B is selected from adenine, guanine, 2,6-diaminopurine, 6-dimethylaminopurine, 2-aminopurine, cytosine, uracil, thymine, indole, 5-nitroindole and 3-nitropyrrole;
一些實施方案中,B選自該反義鏈的修飾的核苷酸對應位置的鹼基。In some embodiments, B is selected from the base at the position corresponding to the modified nucleotide of the antisense strand.
在一些實施方案中,該式(I’)所示的化學修飾包括但不限於:In some embodiments, the chemical modification represented by the formula (I') includes, but is not limited to:
以及它們結構中的腺嘌呤被置換為鳥嘌呤、胞嘧啶、尿嘧啶或胸腺嘧啶的那些。and those in which the adenine in their structure is replaced by a guanine, cytosine, uracil or thymine.
在一些實施方案中,修飾的核苷酸位於反義鏈在其5’區域的第2位至第8位。In some embodiments, the modified nucleotides are located at
在一些實施方案中,修飾的核苷酸位於反義鏈5’區域的第5位、第6位或第7位。In some embodiments, the modified nucleotide is located at position 5, 6 or 7 in the 5' region of the antisense strand.
在一些實施方案中,式(I)所示的化學修飾或其互變異構體修飾在其5’區域的第5位時,B選自腺嘌呤、鳥嘌呤、2,6-二胺基嘌呤、6-二甲基胺基嘌呤、2-胺基嘌呤、胞嘧啶、尿嘧啶、胸腺嘧啶、吲哚、5-硝基吲哚和3-硝基吡咯;較佳的,B是該反義鏈在其5’區域的第5位中對應位置的鹼基。In some embodiments, when the chemical modification represented by formula (I) or its tautomer modification is at the 5th position in its 5' region, B is selected from adenine, guanine, 2,6-diaminopurine , 6-dimethylaminopurine, 2-aminopurine, cytosine, uracil, thymine, indole, 5-nitroindole and 3-nitropyrrole; preferably, B is the antisense of the The base of the chain at the corresponding position in position 5 of its 5' region.
式(I)所示的化學修飾或其互變異構體修飾在其5’區域的第6位時,B選自腺嘌呤、鳥嘌呤、2,6-二胺基嘌呤、6-二甲基胺基嘌呤、2-胺基嘌呤、胞嘧啶、尿嘧啶、胸腺嘧啶、吲哚、5-硝基吲哚和3-硝基吡咯;較佳的,B是該反義鏈在其5’區域的第6位中對應位置的鹼基;When the chemical modification represented by formula (I) or its tautomer is modified at the 6th position in its 5' region, B is selected from adenine, guanine, 2,6-diaminopurine, 6-dimethyl aminopurine, 2-aminopurine, cytosine, uracil, thymine, indole, 5-nitroindole and 3-nitropyrrole; preferably, B is the antisense strand in its 5' region The base at the corresponding position in the 6th position;
式(I)所示的化學修飾或其互變異構體修飾在其5’區域的第7位時,B選自腺嘌呤、鳥嘌呤、2,6-二胺基嘌呤、6-二甲基胺基嘌呤、2-胺基嘌呤、胞嘧啶、尿嘧啶、胸腺嘧啶、吲哚、5-硝基吲哚和3-硝基吡咯;較佳的,B是該反義鏈在其5’區域的第7位中對應位置的鹼基。When the chemical modification represented by formula (I) or its tautomer modification is at the 7th position in its 5' region, B is selected from adenine, guanine, 2,6-diaminopurine, 6-dimethyl aminopurine, 2-aminopurine, cytosine, uracil, thymine, indole, 5-nitroindole and 3-nitropyrrole; preferably, B is the antisense strand in its 5' region The base at the corresponding position in position 7.
在一些實施方案中,全部的核苷酸為修飾的核苷酸。In some embodiments, all nucleotides are modified nucleotides.
在一些實施方案中,該正義鏈含有如下式所示的核苷酸序列(5’-3’):In some embodiments, the sense strand contains a nucleotide sequence (5'-3') of the formula:
NaNaNaNaXNaNbNbNbNaNaNaNaNaNaNaNaNaNaNa Na Na Na XNa Nb Nb Nb Na Na Na Na Na Na Na Na Na Na
其中,每個X獨立地為Na或Nb;wherein eachX is independently Na orNb ;
其中,每個X’獨立地為Na’或Nb’,Y,為Na’或Nb’;W’表示2'-甲氧基修飾的核苷酸或包含式(I)所示的化學修飾或其互變異構體修飾的核苷酸;Na為2'-甲氧基修飾的核苷酸,Nb為2'-氟修飾的核苷酸。Wherein, each X' is independently Na ' or Nb ', and Y isNa ' or Nb ';W' representsa 2'-methoxy-modified nucleotide or a nucleotide represented by formula (I) The chemical modification of or its tautomer modified nucleotide; Na is a 2'-methoxy modified nucleotide, and Nb isa 2'-fluoro modified nucleotide.
在一些實施方案中,該反義鏈含有如下式所示的核苷酸序列(5’-3’):In some embodiments, the antisense strand contains a nucleotide sequence (5'-3') of the formula:
Na’Nb’Na’X’Na’Nb’W’Na’X’Y’Na’X’Na’Nb’Na’X’Na’X’Na’Na’Na’;Na 'Nb 'Na 'X'Na 'Nb 'W'Na 'X'Y'Na 'X'Na 'Nb 'Na 'X'Na 'X'Na ' Na 'Na ';
其中,每個X’獨立地為Na’或Nb’,Y’為Na’或Nb’;W’表示2'-甲氧基修飾的核苷酸或包含式(I)所示的化學修飾或其互變異構體修飾的核苷酸;Na為2'-甲氧基修飾的核苷酸,Nb為2'-氟修飾的核苷酸。Wherein, each X' is independentlyNa ' orNb ', Y' is Na' orNb ';W' representsa 2'-methoxy-modified nucleotide or a nucleotide represented by formula (I) The chemical modification of or its tautomer modified nucleotide; Na is a 2'-methoxy modified nucleotide, and Nb isa 2'-fluoro modified nucleotide.
在一些實施方案中,正義鏈含有如下式所示的核苷酸序列:In some embodiments, the sense strand contains a nucleotide sequence of the formula:
5’-NaNaNaNaNaNaNbNbNbNaNaNaNaNaNaNaNaNaNa-3’;或,5'-Na Na Na Na Na Na Nb Nb Nb Na Na Na Na Na Na Na Na Na Na -3'; or,
5’-NaNaNaNaNbNaNbNbNbNaNaNaNaNaNaNaNaNaNa-3’;5'-Na Na Na Na NbNa Nb Nb Nb Na Na Na Na Na Na Na Na Na Na -3';
其中,Na為2'-甲氧基修飾的核苷酸,Nb為2'-氟修飾的核苷酸。Wherein, Na is a 2'-methoxy-modified nucleotide, and Nb isa 2'-fluoro-modified nucleotide.
在一些實施方案中,反義鏈含有如下式所示的核苷酸序列:In some embodiments, the antisense strand contains a nucleotide sequence of the formula:
5’-Na’Nb’Na’Nb’Na’Nb’W’Na’X’Y’Na’Nb’Na’Nb’Na’Nb’Na’Nb’Na’Na’Na’-3’;5'-Na 'Nb 'Na 'Nb 'Na 'Nb 'W'Na 'X'Y'Na 'Nb 'Na 'Nb 'Na 'Nb 'Na 'Nb 'Na 'Na 'Na '-3';
其中,每個X’獨立地為Na’或Nb’,Y’為Na’或Nb’;Na’為2'-甲氧基修飾的核苷酸,Nb’為2'-氟修飾的核苷酸;W’表示2'-甲氧基修飾的核苷酸或包含式(I)所示的化學修飾或其互變異構體修飾的核苷酸。Wherein, each X' is independentlyNa ' orNb ', Y' isNa ' orNb ';Na' isa 2'-methoxy-modified nucleotide, andNb ' is 2' -Fluorine-modified nucleotide; W' represents a 2'-methoxy-modified nucleotide or a nucleotide modified by a chemical modification represented by formula (I) or a tautomer thereof.
在一些實施方案中,反義鏈含有如下式所示的核苷酸序列:In some embodiments, the antisense strand contains a nucleotide sequence of the formula:
5’-Na’Nb’Na’Nb’Na’Nb’W’Na’Na’Nb’Na’Nb’Na’Nb’Na’Nb’Na’Nb’Na’Na’Na’-3’;或,5'-Na 'Nb 'Na 'Nb 'Na 'Nb 'W'Na 'Na 'Nb 'Na 'Nb 'Na 'Nb 'Na 'Nb ' Na 'Nb 'Na 'Na 'Na '-3'; or,
5’-Na’Nb’Na’Nb’Na’Nb’W’Na’Nb’Na’Na’Nb’Na’Nb’Na’Nb’Na’Nb’Na’Na’Na’-3’;5'-Na 'Nb 'Na 'Nb 'Na 'Nb 'W'Na 'Nb 'Na 'Na 'Nb 'Na 'Nb 'Na 'Nb ' Na 'Nb 'Na 'Na 'Na '-3';
其中,Na’為2'-甲氧基修飾的核苷酸,Nb’為2'-氟修飾的核苷酸;W’表示2'-甲氧基修飾的核苷酸或包含式(I)所示的化學修飾或其互變異構體修飾的核苷酸。Wherein, Na ' is a nucleotide modified by 2'-methoxyl group, and Nb ' is a nucleotide modified by 2'-fluoro;W' represents a nucleotide modified by 2'-methoxyl group or a nucleotide containing formula ( The chemically modified nucleotides shown in I) or their tautomers.
在一些具體的實施方案中,W’表示2'-甲氧基修飾的核苷酸或包含式(I)所示的化學修飾或其互變異構體修飾的核苷酸;In some specific embodiments, W' represents a 2'-methoxy-modified nucleotide or a nucleotide comprising a chemical modification represented by formula (I) or a tautomer modification thereof;
在一些具體的實施方案中,式(I)選自:In some specific embodiments, formula (I) is selected from:
、或;其中,B選自鳥嘌呤、腺嘌呤、胞嘧啶或尿嘧啶;在一些具體的實施方案中,B選自反義鏈在其5’區域的第7位中對應位置的鹼基。 , or ; wherein, B is selected from guanine, adenine, cytosine or uracil; in some specific embodiments, B is selected from the base at the corresponding position in the 7th position of the 5' region of the antisense strand.
在一些具體的實施方案中,式(I)選自:In some specific embodiments, formula (I) is selected from:
、,和;其中,M為O或S;其中,B選自鳥嘌呤、腺嘌呤、胞嘧啶或尿嘧啶;在一些具體的實施方案中,B選自反義鏈在其5’區域的第7位中對應位置的鹼基。 , ,and wherein, M is O or S; wherein, B is selected from guanine, adenine, cytosine or uracil; In some specific embodiments, B is selected from the antisense strand in the 7th position in its 5' region base at the corresponding position.
一些具體的實施方案中,M為S。一些具體的實施方案中,M為O。In some specific embodiments, M is S. In some specific embodiments, M is O.
在一些實施方案中,正義鏈和/或反義鏈中至少一個磷酸酯基為具有修飾基團的磷酸酯基,該修飾基團使得該siRNA在生物樣品或環境中具有增加的穩定性;在一些實施方案中,該具有修飾基團的磷酸酯基為硫代磷酸酯基。具體地,硫代磷酸酯基是指一個非橋接氧原子被硫原子替代而修飾的磷酸二酯基。In some embodiments, at least one phosphate group in the sense strand and/or antisense strand is a phosphate group with a modifying group that imparts increased stability to the siRNA in a biological sample or environment; in In some embodiments, the phosphate group with the modifying group is a phosphorothioate group. Specifically, a phosphorothioate group refers to a phosphodiester group in which a non-bridging oxygen atom is replaced by a sulfur atom.
在一些實施方案中,硫代磷酸酯基存在於選自以下的位置中的至少一處:In some embodiments, the phosphorothioate group is present in at least one position selected from the group consisting of:
該正義鏈的5'-3’方向第1個核苷酸和第2個核苷酸之間;Between the first nucleotide and the second nucleotide in the 5'-3' direction of the sense strand;
該正義鏈的5'-3’方向第2個核苷酸和第3個核苷酸之間;Between the second nucleotide and the third nucleotide in the 5'-3' direction of the sense strand;
該正義鏈的3'-5’方向第1個核苷酸末端;The first nucleotide end in the 3'-5' direction of the sense strand;
該正義鏈的3'-5’方向第1個核苷酸和第2個核苷酸之間;Between the first nucleotide and the second nucleotide in the 3'-5' direction of the sense strand;
該正義鏈的3'-5’方向第2個核苷酸和第3個核苷酸之間;Between the second nucleotide and the third nucleotide in the 3'-5' direction of the sense strand;
該反義鏈的5'-3’方向第1個核苷酸和第2個核苷酸之間;Between the first nucleotide and the second nucleotide in the 5'-3' direction of the antisense strand;
該反義鏈的5'-3’方向第2個核苷酸和第3個核苷酸之間;Between the second nucleotide and the third nucleotide in the 5'-3' direction of the antisense strand;
該反義鏈的3'-5’方向第1個核苷酸末端;The first nucleotide end of the 3'-5' direction of the antisense strand;
該反義鏈的3'-5’方向第1個核苷酸和第2個核苷酸之間;或Between the first nucleotide and the second nucleotide in the 3'-5' direction of the antisense strand; or
該反義鏈的3'-5’方向第2個核苷酸和第3個核苷酸之間。Between the 2nd nucleotide and the 3rd nucleotide in the 3'-5' direction of the antisense strand.
在一些實施方案中,正義鏈和/或反義鏈中包括多個硫代磷酸酯基,該硫代磷酸酯基存在於:In some embodiments, a plurality of phosphorothioate groups are included in the sense and/or antisense strands, the phosphorothioate groups being present in:
該正義鏈的5'-3’方向第1個核苷酸和第2個核苷酸之間;和between the 1st nucleotide and the 2nd nucleotide in the 5'-3' direction of the sense strand; and
該正義鏈的5'-3’方向第2個核苷酸和第3個核苷酸之間;和between the 2nd nucleotide and the 3rd nucleotide in the 5'-3' direction of the sense strand; and
該反義鏈的5'-3’方向第1個核苷酸和第2個核苷酸之間;和between the 1st nucleotide and the 2nd nucleotide in the 5'-3' direction of the antisense strand; and
該反義鏈的5'-3’方向第2個核苷酸和第3個核苷酸之間;和between the 2nd nucleotide and the 3rd nucleotide in the 5'-3' direction of the antisense strand; and
該反義鏈的3'-5’方向第1個核苷酸和第2個核苷酸之間;和between the 1st nucleotide and the 2nd nucleotide in the 3'-5' direction of the antisense strand; and
該反義鏈的3'-5’方向第2個核苷酸和第3個核苷酸之間;和between the 2nd nucleotide and the 3rd nucleotide in the 3'-5' direction of the antisense strand; and
以及可選的,該正義鏈的3'-5’方向第1個核苷酸末端,和/或,and optionally, the first nucleotide end in the 3'-5' direction of the sense strand, and/or,
可選的,該正義鏈的3'-5’方向第1個核苷酸和第2個核苷酸之間。Optionally, the sense strand is between the first nucleotide and the second nucleotide in the 3'-5' direction.
在一些實施方案中,該正義鏈在以下位置處存在硫代磷酸酯基:In some embodiments, the sense strand has a phosphorothioate group at:
i)該正義鏈的5'-3’方向第1個核苷酸和第2個核苷酸之間;和i) between the first nucleotide and the second nucleotide in the 5'-3' direction of the sense strand; and
該正義鏈的5'-3’方向第2個核苷酸和第3個核苷酸之間;Between the second nucleotide and the third nucleotide in the 5'-3' direction of the sense strand;
ii)該正義鏈的5'-3’方向第1個核苷酸和第2個核苷酸之間;ii) between the first nucleotide and the second nucleotide in the 5'-3' direction of the sense strand;
該正義鏈的5'-3’方向第2個核苷酸和第3個核苷酸之間;和between the 2nd nucleotide and the 3rd nucleotide in the 5'-3' direction of the sense strand; and
該正義鏈的3'-5’方向第1個核苷酸末端;The first nucleotide end in the 3'-5' direction of the sense strand;
iii)該正義鏈的5'-3’方向第1個核苷酸和第2個核苷酸之間;iii) between the first nucleotide and the second nucleotide in the 5'-3' direction of the sense strand;
該正義鏈的5'-3’方向第2個核苷酸和第3個核苷酸之間;和between the 2nd nucleotide and the 3rd nucleotide in the 5'-3' direction of the sense strand; and
該正義鏈的3'-5’方向第1個核苷酸和第2個核苷酸之間;或Between the first nucleotide and the second nucleotide in the 3'-5' direction of the sense strand; or
iv)該正義鏈的5'-3’方向第1個核苷酸和第2個核苷酸之間;iv) between the first nucleotide and the second nucleotide in the 5'-3' direction of the sense strand;
該正義鏈的5'-3’方向第2個核苷酸和第3個核苷酸之間;Between the second nucleotide and the third nucleotide in the 5'-3' direction of the sense strand;
該正義鏈的3'-5’方向第1個核苷酸和第2個核苷酸之間;和between the first nucleotide and the second nucleotide in the 3'-5' direction of the sense strand; and
該正義鏈的3'-5’方向第1個核苷酸末端。The first nucleotide end of the sense strand in the 3'-5' direction.
在一些實施方案中,該反義鏈在以下位置處存在硫代磷酸酯基:In some embodiments, the antisense strand has a phosphorothioate group at:
該反義鏈的5'-3’方向第1個核苷酸和第2個核苷酸之間;Between the first nucleotide and the second nucleotide in the 5'-3' direction of the antisense strand;
該反義鏈的5'-3’方向第2個核苷酸和第3個核苷酸之間;Between the second nucleotide and the third nucleotide in the 5'-3' direction of the antisense strand;
該反義鏈的3'-5’方向第1個核苷酸和第2個核苷酸之間;和between the 1st nucleotide and the 2nd nucleotide in the 3'-5' direction of the antisense strand; and
該反義鏈的3'-5’方向第2個核苷酸和第3個核苷酸之間。Between the 2nd nucleotide and the 3rd nucleotide in the 3'-5' direction of the antisense strand.
在一些實施方案中,正義鏈選自如下式所示的核苷酸序列:In some embodiments, the sense strand is selected from a nucleotide sequence of the formula:
5’-NmsNmsNmNmNfNmNfNfNfNmNmNmNmNmNmNmNmNmNm-3’,或,5’-NmsNmsNmNmNfNmNfNfNfNmNmNmNmNmNmNmNmNmNm-3’, or,
5’-NmsNmsNmNmNmNmNfNfNfNmNmNmNmNmNmNmNmNmNm-3’,或,5’-NmsNmsNmNmNmNmNfNfNfNmNmNmNmNmNmNmNmNmNm-3’, or,
5’-NmsNmsNmNmNfNmNfNfNfNmNmNmNmNmNmNmNmNmNms-3’,或,5’-NmsNmsNmNmNfNmNfNfNfNmNmNmNmNmNmNmNmNmns-3’, or,
5’-NmsNmsNmNmNmNmNfNfNfNmNmNmNmNmNmNmNmNmNms-3’,或,5’-NmsNmsNmNmNmNmNfNfNfNmNmNmNmNmNmNmNmNmns-3’, or,
5’-NmsNmsNmNmNfNmNfNfNfNmNmNmNmNmNmNmNmNmsNm-3’,或,5’-NmsNmsNmNmNfNmNfNfNfNmNmNmNmNmNmNmNmNmsNm-3’, or,
5’-NmsNmsNmNmNmNmNfNfNfNmNmNmNmNmNmNmNmNmsNm-3’,或,5’-NmsNmsNmNmNmNmNfNfNfNmNmNmNmNmNmNmNmNmsNm-3’, or,
5’-NmsNmsNmNmNfNmNfNfNfNmNmNmNmNmNmNmNmNmsNms-3’,或,5’-NmsNmsNmNmNfNmNfNfNfNmNmNmNmNmNmNmNmnsNms-3’, or,
5’-NmsNmsNmNmNmNmNfNfNfNmNmNmNmNmNmNmNmNmsNms-3’,5’-NmsNmsNmNmNmNmNfNfNfNmNmNmNmNmNmNmNmsNms-3’,
其中,Nm表示2'-甲氧基修飾的任意核苷酸,例如2'-甲氧基修飾的C、G、U、A、T;Nf表示2'-氟修飾的任意核苷酸,例如2'-氟修飾的C、G、U、A、T;Wherein, Nm represents any nucleotide modified by 2'-methoxy group, such as C, G, U, A, T modified by 2'-methoxy group; Nf represents any nucleotide modified by 2'-fluoro, such as 2'-Fluorine modified C, G, U, A, T;
小寫字母s在大寫字母中間時表示與該字母s左右相鄰的兩個核苷酸之間為硫代磷酸酯基連接;小寫字母s在3’端第一個時表示與該字母s左側相鄰的一個核苷酸末端為硫代磷酸酯基。When the lowercase letter s is in the middle of the uppercase letter, it means that there is a phosphorothioate connection between the two nucleotides adjacent to the letter s; The adjacent one nucleotide end is a phosphorothioate group.
在一些實施方案中,反義鏈具有如下式所示的核苷酸序列:In some embodiments, the antisense strand has a nucleotide sequence of the formula:
5’-Nms’Nfs’Nm’Nf’Nm’Nf’W’Nm’Nm’Nf’Nm’Nf’Nm’Nf’Nm’Nf’Nm’Nf’Nms’Nms’Nm’-3’或,5’-Nms’Nfs’Nm’Nf’Nm’Nf’W’Nm’Nm’Nf’Nm’Nf’Nm’Nf’Nm’Nf’Nm’Nf’Nms’Nms’Nm’-3’or,
5’-Nms’Nfs’Nm’Nf’Nm’Nf’W’Nm’Nf’Nm’Nm’Nf’Nm’Nf’Nm’Nf’Nm’Nf’Nms’Nms’Nm’-3’5’-Nms’Nfs’Nm’Nf’Nm’Nf’W’Nm’Nf’Nm’Nm’Nf’Nm’Nf’Nm’Nf’Nm’Nf’Nms’Nms’Nm’-3’
其中,Nm’表示2'-甲氧基修飾的任意核苷酸,例如2'-甲氧基修飾的C、G、U、A、T;Nf’表示2'-氟修飾的任意核苷酸,例如2'-氟修飾的C、G、U、A、T;Wherein, Nm' represents any nucleotide modified by 2'-methoxy group, such as C, G, U, A, T modified by 2'-methoxy group; Nf' represents any nucleotide modified by 2'-fluoro , such as 2'-fluoro modified C, G, U, A, T;
小寫字母s在大寫字母中間時表示與該字母s左右相鄰的兩個核苷酸之間為硫代磷酸酯基連接,小寫字母s在3’端第一個時表示與該字母s左側相鄰的一個核苷酸末端為硫代磷酸酯基;When the lowercase letter s is in the middle of the uppercase letter, it means that there is a phosphorothioate connection between the two nucleotides adjacent to the letter s. One of the adjacent nucleotide ends is a phosphorothioate group;
W’表示2'-甲氧基修飾的核苷酸或包含式(I)所示的化學修飾或其互變異構體修飾的核苷酸;W' represents a 2'-methoxy-modified nucleotide or a nucleotide modified by a chemical modification represented by formula (I) or a tautomer thereof;
一些實施方案中,式(I)選自:In some embodiments, formula (I) is selected from:
、或;其中,B選自鳥嘌呤、腺嘌呤、胞嘧啶或尿嘧啶,在一些實施方案中選自反義鏈在其5’區域的第7位中對應位置的鹼基。 , or ; wherein, B is selected from guanine, adenine, cytosine or uracil, and in some embodiments is selected from the base at the corresponding position in the 7th position of the antisense strand in its 5' region.
一些實施方案中,式(I)選自:In some embodiments, formula (I) is selected from:
、,和;其中,M為O或S;其中,B選自鳥嘌呤、腺嘌呤、胞嘧啶或尿嘧啶;在一些具體的實施方案中,B選自反義鏈在其5’區域的第7位中對應位置的鹼基。 , ,and wherein, M is O or S; wherein, B is selected from guanine, adenine, cytosine or uracil; In some specific embodiments, B is selected from the antisense strand in the 7th position in its 5' region base at the corresponding position.
一些具體的實施方案中,M為S。一些具體的實施方案中,M為O。In some specific embodiments, M is S. In some specific embodiments, M is O.
在一些實施方案中,正義鏈包含與SEQ ID NO:1至SEQ ID NO:23任一相差不超過3個核苷酸序列的至少15個連續核苷酸;In some embodiments, the sense strand comprises at least 15 contiguous nucleotides that differ from any of SEQ ID NO: 1 to SEQ ID NO: 23 by no more than 3 nucleotide sequences;
在一些實施方案中,反義鏈包含與SEQ ID NO:24至SEQ ID NO:46任一相差不超過3個核苷酸序列的至少15個連續核苷酸;In some embodiments, the antisense strand comprises at least 15 contiguous nucleotides that differ from any of SEQ ID NO: 24 to SEQ ID NO: 46 by no more than 3 nucleotide sequences;
在一些實施方案中,該正義鏈包含與SEQ ID NO:1至SEQ ID NO:23任一相差不超過3個核苷酸序列的至少19個連續核苷酸;在一些實施方案中,核苷酸序列相差不超過1個核苷酸。In some embodiments, the sense strand comprises at least 19 contiguous nucleotides that differ from any of SEQ ID NO: 1 to SEQ ID NO: 23 by no more than 3 nucleotide sequences; in some embodiments, the nucleoside The acid sequences differ by no more than 1 nucleotide.
在一些實施方案中,該反義鏈包含與SEQ ID NO:24至SEQ ID NO:46任一相差不超過3個核苷酸序列的至少21個連續核苷酸;在一些實施方案中,核苷酸序列相差不超過1個核苷酸。In some embodiments, the antisense strand comprises at least 21 contiguous nucleotides that differ from any of SEQ ID NO: 24 to SEQ ID NO: 46 by no more than 3 nucleotide sequences; in some embodiments, the core The nucleotide sequences differ by no more than 1 nucleotide.
在一些實施方案中,該正義鏈核苷酸序列選自:EQ ID NO:1至SEQ ID NO:23任一的核苷酸序列;In some embodiments, the sense strand nucleotide sequence is selected from the group consisting of: the nucleotide sequence of any one of EQ ID NO: 1 to SEQ ID NO: 23;
在一些實施方案中,該反義鏈核苷酸序列選自:SEQ ID NO:47至SEQ ID NO:69任一的核苷酸序列,其中,W’表示2'-甲氧基修飾的核苷酸,或包含式(I)所示的化學修飾或其互變異構體修飾的核苷酸;In some embodiments, the antisense strand nucleotide sequence is selected from the group consisting of: the nucleotide sequence of any one of SEQ ID NO: 47 to SEQ ID NO: 69, wherein W' represents a 2'-methoxy-modified core nucleotides, or nucleotides comprising chemical modifications represented by formula (I) or modified tautomers thereof;
一些實施方案中,式(I)選自:In some embodiments, formula (I) is selected from:
、或;其中,B選自鳥嘌呤、腺嘌呤、胞嘧啶或尿嘧啶,在一些實施方案中選自反義鏈在其5’區域的第7位中對應位置的鹼基。 , or ; wherein, B is selected from guanine, adenine, cytosine or uracil, and in some embodiments is selected from the base at the corresponding position in the 7th position of the antisense strand in its 5' region.
一些實施方案中,式(I)選自:In some embodiments, formula (I) is selected from:
、,和;其中,M為O或S;其中,B選自鳥嘌呤、腺嘌呤、胞嘧啶或尿嘧啶;在一些具體的實施方案中,B選自反義鏈在其5’區域的第7位中對應位置的鹼基。 , ,and wherein, M is O or S; wherein, B is selected from guanine, adenine, cytosine or uracil; In some specific embodiments, B is selected from the antisense strand in the 7th position in its 5' region base at the corresponding position.
一些具體的實施方案中,M為S。一些具體的實施方案中,M為O。In some specific embodiments, M is S. In some specific embodiments, M is O.
一些具體的實施方案中,正義鏈選自SEQ ID NO:70-77、86-93、102-161、282-293、306-425任一項;In some specific embodiments, the sense strand is selected from any one of SEQ ID NOs: 70-77, 86-93, 102-161, 282-293, 306-425;
一些具體的實施方案中,反義鏈選自SEQ ID NO:78-85、94-101、162-261、294-305任一項;In some specific embodiments, the antisense strand is selected from any one of SEQ ID NOs: 78-85, 94-101, 162-261, 294-305;
一些具體的實施方案中,本公開siRNA選自,In some specific embodiments, the siRNA of the present disclosure is selected from,
正義鏈選自SEQ ID NO:142,和反義鏈選自SEQ ID NO:202、SEQ ID NO:222、或SEQ ID NO:242;the sense strand is selected from SEQ ID NO: 142, and the antisense strand is selected from SEQ ID NO: 202, SEQ ID NO: 222, or SEQ ID NO: 242;
正義鏈選自SEQ ID NO:143,和反義鏈選自SEQ ID NO:203、SEQ ID NO:223、或SEQ ID NO:243;the sense strand is selected from SEQ ID NO: 143, and the antisense strand is selected from SEQ ID NO: 203, SEQ ID NO: 223, or SEQ ID NO: 243;
正義鏈選自SEQ ID NO:144,和反義鏈選自SEQ ID NO:204、SEQ ID NO:224、或SEQ ID NO:244;the sense strand is selected from SEQ ID NO: 144, and the antisense strand is selected from SEQ ID NO: 204, SEQ ID NO: 224, or SEQ ID NO: 244;
正義鏈選自SEQ ID NO:145,和反義鏈選自SEQ ID NO:205、SEQ ID NO:225、或SEQ ID NO:245;the sense strand is selected from SEQ ID NO: 145, and the antisense strand is selected from SEQ ID NO: 205, SEQ ID NO: 225, or SEQ ID NO: 245;
正義鏈選自SEQ ID NO:146,和反義鏈選自SEQ ID NO:206、SEQ ID NO:226、或SEQ ID NO:246;the sense strand is selected from SEQ ID NO: 146, and the antisense strand is selected from SEQ ID NO: 206, SEQ ID NO: 226, or SEQ ID NO: 246;
正義鏈選自SEQ ID NO:147,和反義鏈選自SEQ ID NO:207、SEQ ID NO:227、或SEQ ID NO:247;the sense strand is selected from SEQ ID NO: 147, and the antisense strand is selected from SEQ ID NO: 207, SEQ ID NO: 227, or SEQ ID NO: 247;
正義鏈選自SEQ ID NO:148,和反義鏈選自SEQ ID NO:208、SEQ ID NO:228、或SEQ ID NO:248;the sense strand is selected from SEQ ID NO: 148, and the antisense strand is selected from SEQ ID NO: 208, SEQ ID NO: 228, or SEQ ID NO: 248;
正義鏈選自SEQ ID NO:149,和反義鏈選自SEQ ID NO:209、SEQ ID NO:229、或SEQ ID NO:249;the sense strand is selected from SEQ ID NO: 149, and the antisense strand is selected from SEQ ID NO: 209, SEQ ID NO: 229, or SEQ ID NO: 249;
正義鏈選自SEQ ID NO:150,和反義鏈選自SEQ ID NO:210、SEQ ID NO:230、或SEQ ID NO:250;the sense strand is selected from SEQ ID NO: 150, and the antisense strand is selected from SEQ ID NO: 210, SEQ ID NO: 230, or SEQ ID NO: 250;
正義鏈選自SEQ ID NO:151,和反義鏈選自SEQ ID NO:211、SEQ ID NO:231、或SEQ ID NO:251;the sense strand is selected from SEQ ID NO: 151, and the antisense strand is selected from SEQ ID NO: 211, SEQ ID NO: 231, or SEQ ID NO: 251;
正義鏈選自SEQ ID NO:152,和反義鏈選自SEQ ID NO:212、SEQ ID NO:232、或SEQ ID NO:252;the sense strand is selected from SEQ ID NO: 152, and the antisense strand is selected from SEQ ID NO: 212, SEQ ID NO: 232, or SEQ ID NO: 252;
正義鏈選自SEQ ID NO:153,和反義鏈選自SEQ ID NO:213、SEQ ID NO:233、或SEQ ID NO:253;the sense strand is selected from SEQ ID NO: 153, and the antisense strand is selected from SEQ ID NO: 213, SEQ ID NO: 233, or SEQ ID NO: 253;
正義鏈選自SEQ ID NO:154,和反義鏈選自SEQ ID NO:214、SEQ ID NO:234、或SEQ ID NO:254;the sense strand is selected from SEQ ID NO: 154, and the antisense strand is selected from SEQ ID NO: 214, SEQ ID NO: 234, or SEQ ID NO: 254;
正義鏈選自SEQ ID NO:155,和反義鏈選自SEQ ID NO:215、SEQ ID NO:235、或SEQ ID NO:255;the sense strand is selected from SEQ ID NO: 155, and the antisense strand is selected from SEQ ID NO: 215, SEQ ID NO: 235, or SEQ ID NO: 255;
正義鏈選自SEQ ID NO:156,和反義鏈選自SEQ ID NO:216、SEQ ID NO:236、或SEQ ID NO:256;the sense strand is selected from SEQ ID NO: 156, and the antisense strand is selected from SEQ ID NO: 216, SEQ ID NO: 236, or SEQ ID NO: 256;
正義鏈選自SEQ ID NO:157,和反義鏈選自SEQ ID NO:217、SEQ ID NO:237、或SEQ ID NO:257;the sense strand is selected from SEQ ID NO: 157, and the antisense strand is selected from SEQ ID NO: 217, SEQ ID NO: 237, or SEQ ID NO: 257;
正義鏈選自SEQ ID NO:158,和反義鏈選自SEQ ID NO:218、SEQ ID NO:238、或SEQ ID NO:258;the sense strand is selected from SEQ ID NO: 158, and the antisense strand is selected from SEQ ID NO: 218, SEQ ID NO: 238, or SEQ ID NO: 258;
正義鏈選自SEQ ID NO:159,和反義鏈選自SEQ ID NO:219、SEQ ID NO:239、或SEQ ID NO:259;the sense strand is selected from SEQ ID NO: 159, and the antisense strand is selected from SEQ ID NO: 219, SEQ ID NO: 239, or SEQ ID NO: 259;
正義鏈選自SEQ ID NO:160,和反義鏈選自SEQ ID NO:220、SEQ ID NO:240、或SEQ ID NO:260;the sense strand is selected from SEQ ID NO: 160, and the antisense strand is selected from SEQ ID NO: 220, SEQ ID NO: 240, or SEQ ID NO: 260;
正義鏈選自SEQ ID NO:161,和反義鏈選自SEQ ID NO:221、SEQ ID NO:241、或SEQ ID NO:261;the sense strand is selected from SEQ ID NO: 161, and the antisense strand is selected from SEQ ID NO: 221, SEQ ID NO: 241, or SEQ ID NO: 261;
一些具體的實施方案中,本公開siRNA選自,In some specific embodiments, the siRNA of the present disclosure is selected from,
正義鏈選自SEQ ID NO:346,和反義鏈選自SEQ ID NO:202、SEQ ID NO:222、或SEQ ID NO:242;the sense strand is selected from SEQ ID NO:346, and the antisense strand is selected from SEQ ID NO:202, SEQ ID NO:222, or SEQ ID NO:242;
正義鏈選自SEQ ID NO:347,和反義鏈選自SEQ ID NO:203、SEQ ID NO:223、或SEQ ID NO:243;the sense strand is selected from SEQ ID NO:347, and the antisense strand is selected from SEQ ID NO:203, SEQ ID NO:223, or SEQ ID NO:243;
正義鏈選自SEQ ID NO:348,和反義鏈選自SEQ ID NO:204、SEQ ID NO:224、或SEQ ID NO:244;the sense strand is selected from SEQ ID NO:348, and the antisense strand is selected from SEQ ID NO:204, SEQ ID NO:224, or SEQ ID NO:244;
正義鏈選自SEQ ID NO:349,和反義鏈選自SEQ ID NO:205、SEQ ID NO:225、或SEQ ID NO:245;the sense strand is selected from SEQ ID NO:349, and the antisense strand is selected from SEQ ID NO:205, SEQ ID NO:225, or SEQ ID NO:245;
正義鏈選自SEQ ID NO:350,和反義鏈選自SEQ ID NO:206、SEQ ID NO:226、或SEQ ID NO:246;the sense strand is selected from SEQ ID NO:350, and the antisense strand is selected from SEQ ID NO:206, SEQ ID NO:226, or SEQ ID NO:246;
正義鏈選自SEQ ID NO:351,和反義鏈選自SEQ ID NO:207、SEQ ID NO:227、或SEQ ID NO:247;the sense strand is selected from SEQ ID NO:351, and the antisense strand is selected from SEQ ID NO:207, SEQ ID NO:227, or SEQ ID NO:247;
正義鏈選自SEQ ID NO:352,和反義鏈選自SEQ ID NO:208、SEQ ID NO:228、或SEQ ID NO:248;the sense strand is selected from SEQ ID NO:352, and the antisense strand is selected from SEQ ID NO:208, SEQ ID NO:228, or SEQ ID NO:248;
正義鏈選自SEQ ID NO:353,和反義鏈選自SEQ ID NO:209、SEQ ID NO:229、或SEQ ID NO:249;the sense strand is selected from SEQ ID NO:353, and the antisense strand is selected from SEQ ID NO:209, SEQ ID NO:229, or SEQ ID NO:249;
正義鏈選自SEQ ID NO:354,和反義鏈選自SEQ ID NO:210、SEQ ID NO:230、或SEQ ID NO:250;the sense strand is selected from SEQ ID NO:354, and the antisense strand is selected from SEQ ID NO:210, SEQ ID NO:230, or SEQ ID NO:250;
正義鏈選自SEQ ID NO:355,和反義鏈選自SEQ ID NO:211、SEQ ID NO:231、或SEQ ID NO:251;the sense strand is selected from SEQ ID NO:355, and the antisense strand is selected from SEQ ID NO:211, SEQ ID NO:231, or SEQ ID NO:251;
正義鏈選自SEQ ID NO:356,和反義鏈選自SEQ ID NO:212、SEQ ID NO:232、或SEQ ID NO:252;the sense strand is selected from SEQ ID NO:356, and the antisense strand is selected from SEQ ID NO:212, SEQ ID NO:232, or SEQ ID NO:252;
正義鏈選自SEQ ID NO:357,和反義鏈選自SEQ ID NO:213、SEQ ID NO:233、或SEQ ID NO:253;the sense strand is selected from SEQ ID NO:357, and the antisense strand is selected from SEQ ID NO:213, SEQ ID NO:233, or SEQ ID NO:253;
正義鏈選自SEQ ID NO:358,和反義鏈選自SEQ ID NO:214、SEQ ID NO:234、或SEQ ID NO:254;the sense strand is selected from SEQ ID NO:358, and the antisense strand is selected from SEQ ID NO:214, SEQ ID NO:234, or SEQ ID NO:254;
正義鏈選自SEQ ID NO:359,和反義鏈選自SEQ ID NO:215、SEQ ID NO:235、或SEQ ID NO:255;the sense strand is selected from SEQ ID NO:359, and the antisense strand is selected from SEQ ID NO:215, SEQ ID NO:235, or SEQ ID NO:255;
正義鏈選自SEQ ID NO:360,和反義鏈選自SEQ ID NO:216、SEQ ID NO:236、或SEQ ID NO:256;the sense strand is selected from SEQ ID NO:360, and the antisense strand is selected from SEQ ID NO:216, SEQ ID NO:236, or SEQ ID NO:256;
正義鏈選自SEQ ID NO:361,和反義鏈選自SEQ ID NO:217、SEQ ID NO:237、或SEQ ID NO:257;the sense strand is selected from SEQ ID NO:361, and the antisense strand is selected from SEQ ID NO:217, SEQ ID NO:237, or SEQ ID NO:257;
正義鏈選自SEQ ID NO:362,和反義鏈選自SEQ ID NO:218、SEQ ID NO:238、或SEQ ID NO:258;the sense strand is selected from SEQ ID NO:362, and the antisense strand is selected from SEQ ID NO:218, SEQ ID NO:238, or SEQ ID NO:258;
正義鏈選自SEQ ID NO:363,和反義鏈選自SEQ ID NO:219、SEQ ID NO:239、或SEQ ID NO:259;the sense strand is selected from SEQ ID NO:363, and the antisense strand is selected from SEQ ID NO:219, SEQ ID NO:239, or SEQ ID NO:259;
正義鏈選自SEQ ID NO:364,和反義鏈選自SEQ ID NO:220、SEQ ID NO:240、或SEQ ID NO:260;the sense strand is selected from SEQ ID NO:364, and the antisense strand is selected from SEQ ID NO:220, SEQ ID NO:240, or SEQ ID NO:260;
正義鏈選自SEQ ID NO:365,和反義鏈選自SEQ ID NO:221、SEQ ID NO:241、或SEQ ID NO:261;the sense strand is selected from SEQ ID NO:365, and the antisense strand is selected from SEQ ID NO:221, SEQ ID NO:241, or SEQ ID NO:261;
一些具體的實施方案中,本公開siRNA選自,In some specific embodiments, the siRNA of the present disclosure is selected from,
正義鏈選自SEQ ID NO:406,和反義鏈選自SEQ ID NO:202、SEQ ID NO:222、或SEQ ID NO:242;the sense strand is selected from SEQ ID NO:406, and the antisense strand is selected from SEQ ID NO:202, SEQ ID NO:222, or SEQ ID NO:242;
正義鏈選自SEQ ID NO:407,和反義鏈選自SEQ ID NO:203、SEQ ID NO:223、或SEQ ID NO:243;the sense strand is selected from SEQ ID NO:407, and the antisense strand is selected from SEQ ID NO:203, SEQ ID NO:223, or SEQ ID NO:243;
正義鏈選自SEQ ID NO:408,和反義鏈選自SEQ ID NO:204、SEQ ID NO:224、或SEQ ID NO:244;the sense strand is selected from SEQ ID NO:408, and the antisense strand is selected from SEQ ID NO:204, SEQ ID NO:224, or SEQ ID NO:244;
正義鏈選自SEQ ID NO:409,和反義鏈選自SEQ ID NO:205、SEQ ID NO:225、或SEQ ID NO:245;the sense strand is selected from SEQ ID NO:409, and the antisense strand is selected from SEQ ID NO:205, SEQ ID NO:225, or SEQ ID NO:245;
正義鏈選自SEQ ID NO:410,和反義鏈選自SEQ ID NO:206、SEQ ID NO:226、或SEQ ID NO:246;the sense strand is selected from SEQ ID NO:410, and the antisense strand is selected from SEQ ID NO:206, SEQ ID NO:226, or SEQ ID NO:246;
正義鏈選自SEQ ID NO:411,和反義鏈選自SEQ ID NO:207、SEQ ID NO:227、或SEQ ID NO:247;the sense strand is selected from SEQ ID NO:411, and the antisense strand is selected from SEQ ID NO:207, SEQ ID NO:227, or SEQ ID NO:247;
正義鏈選自SEQ ID NO:412,和反義鏈選自SEQ ID NO:208、SEQ ID NO:228、或SEQ ID NO:248;the sense strand is selected from SEQ ID NO:412, and the antisense strand is selected from SEQ ID NO:208, SEQ ID NO:228, or SEQ ID NO:248;
正義鏈選自SEQ ID NO:413,和反義鏈選自SEQ ID NO:209、SEQ ID NO:229、或SEQ ID NO:249;the sense strand is selected from SEQ ID NO:413, and the antisense strand is selected from SEQ ID NO:209, SEQ ID NO:229, or SEQ ID NO:249;
正義鏈選自SEQ ID NO:414,和反義鏈選自SEQ ID NO:210、SEQ ID NO:230、或SEQ ID NO:250;the sense strand is selected from SEQ ID NO:414, and the antisense strand is selected from SEQ ID NO:210, SEQ ID NO:230, or SEQ ID NO:250;
正義鏈選自SEQ ID NO:415,和反義鏈選自SEQ ID NO:211、SEQ ID NO:231、或SEQ ID NO:251;the sense strand is selected from SEQ ID NO:415, and the antisense strand is selected from SEQ ID NO:211, SEQ ID NO:231, or SEQ ID NO:251;
正義鏈選自SEQ ID NO:416,和反義鏈選自SEQ ID NO:212、SEQ ID NO:232、或SEQ ID NO:252;the sense strand is selected from SEQ ID NO:416, and the antisense strand is selected from SEQ ID NO:212, SEQ ID NO:232, or SEQ ID NO:252;
正義鏈選自SEQ ID NO:417,和反義鏈選自SEQ ID NO:213、SEQ ID NO:233、或SEQ ID NO:253;the sense strand is selected from SEQ ID NO:417, and the antisense strand is selected from SEQ ID NO:213, SEQ ID NO:233, or SEQ ID NO:253;
正義鏈選自SEQ ID NO:418,和反義鏈選自SEQ ID NO:214、SEQ ID NO:234、或SEQ ID NO:254;the sense strand is selected from SEQ ID NO:418, and the antisense strand is selected from SEQ ID NO:214, SEQ ID NO:234, or SEQ ID NO:254;
正義鏈選自SEQ ID NO:419,和反義鏈選自SEQ ID NO:215、SEQ ID NO:235、或SEQ ID NO:255;the sense strand is selected from SEQ ID NO:419, and the antisense strand is selected from SEQ ID NO:215, SEQ ID NO:235, or SEQ ID NO:255;
正義鏈選自SEQ ID NO:420,和反義鏈選自SEQ ID NO:216、SEQ ID NO:236、或SEQ ID NO:256;the sense strand is selected from SEQ ID NO:420, and the antisense strand is selected from SEQ ID NO:216, SEQ ID NO:236, or SEQ ID NO:256;
正義鏈選自SEQ ID NO:421,和反義鏈選自SEQ ID NO:217、SEQ ID NO:237、或SEQ ID NO:257;the sense strand is selected from SEQ ID NO:421, and the antisense strand is selected from SEQ ID NO:217, SEQ ID NO:237, or SEQ ID NO:257;
正義鏈選自SEQ ID NO:422,和反義鏈選自SEQ ID NO:218、SEQ ID NO:238、或SEQ ID NO:258;the sense strand is selected from SEQ ID NO:422, and the antisense strand is selected from SEQ ID NO:218, SEQ ID NO:238, or SEQ ID NO:258;
正義鏈選自SEQ ID NO:423,和反義鏈選自SEQ ID NO:219、SEQ ID NO:239、或SEQ ID NO:259;the sense strand is selected from SEQ ID NO:423, and the antisense strand is selected from SEQ ID NO:219, SEQ ID NO:239, or SEQ ID NO:259;
正義鏈選自SEQ ID NO:424,和反義鏈選自SEQ ID NO:220、SEQ ID NO:240、或SEQ ID NO:260;the sense strand is selected from SEQ ID NO:424, and the antisense strand is selected from SEQ ID NO:220, SEQ ID NO:240, or SEQ ID NO:260;
正義鏈選自SEQ ID NO:425,和反義鏈選自SEQ ID NO:221、SEQ ID NO:241、或SEQ ID NO:261。The sense strand is selected from SEQ ID NO:425, and the antisense strand is selected from SEQ ID NO:221, SEQ ID NO:241, or SEQ ID NO:261.
在一些實施方案中,上述siRNA當接觸到表達靶基因的細胞時,由例如:psiCHECK活性篩選和螢光素酶報告基因檢測法,其他如PCR或基於分支DNA(bDNA)的方法、或基於蛋白質的方法,如免疫螢光分析法,例如Western Blot或流式細胞術測定的,上述siRNA會抑制靶基因的表達至少5%、至少10%、至少15%、至少20%、至少25%、至少30%、至少35%、至少40%、至少45%、至少50%、至少55%、至少60%、至少65%、至少70%、至少75%、至少80%、至少85%、至少90%、至少91%、至少92%、至少93%、至少94%、至少95%、至少96%、至少97%、至少98%、或至少99%。In some embodiments, the siRNA described above, when contacted with cells expressing the target gene, is screened for activity by, for example, psiCHECK and luciferase reporter gene assays, other methods such as PCR or branched DNA (bDNA) based methods, or protein based methods The above-mentioned siRNA inhibits the expression of the target gene by at least 5%, at least 10%, at least 15%, at least 20%, at least 25%, at least 30%, at least 35%, at least 40%, at least 45%, at least 50%, at least 55%, at least 60%, at least 65%, at least 70%, at least 75%, at least 80%, at least 85%, at least 90% , at least 91%, at least 92%, at least 93%, at least 94%, at least 95%, at least 96%, at least 97%, at least 98%, or at least 99%.
在一些實施方案中,上述siRNA當接觸到表達靶基因的細胞時,由例如:psiCHECK活性篩選和螢光素酶報告基因檢測法,其他如PCR或基於分支DNA(bDNA)的方法、或基於蛋白質的方法,如免疫螢光分析法,例如Western Blot或流式細胞術測定的,上述siRNA引起的靶基因mRNA剩餘表達百分比為不高於99%、不高於95%、不高於90%、不高於85%、不高於80%、不高於75%、不高於70%、不高於65%、不高於60%、不高於55%、不高於50%、不高於45%、不高於40%、不高於35%、不高於30%、不高於25%、不高於20%、不高於15%、或不高於10%。In some embodiments, the siRNA described above, when contacted with cells expressing the target gene, is screened for activity by, for example, psiCHECK and luciferase reporter gene assays, other methods such as PCR or branched DNA (bDNA) based methods, or protein based methods method, such as immunofluorescence analysis, such as Western Blot or flow cytometry, the remaining expression percentage of target gene mRNA caused by the above siRNA is not higher than 99%, not higher than 95%, not higher than 90%, Not higher than 85%, Not higher than 80%, Not higher than 75%, Not higher than 70%, Not higher than 65%, Not higher than 60%, Not higher than 55%, Not higher than 50%, Not high less than 45%, no more than 40%, no more than 35%, no more than 30%, no more than 25%, no more than 20%, no more than 15%, or no more than 10%.
在一些實施方案中,包含本公開化學修飾的siRNA當接觸到表達靶基因的細胞時,由例如:psiCHECK活性篩選和螢光素酶報告基因檢測法,其他如PCR或基於分支DNA(bDNA)的方法、或基於蛋白質的方法,如免疫螢光分析法,例如Western Blot、或流式細胞術測定的,包含本公開化學修飾,例如包含式(I)所示化學修飾的siRNA在保持在靶活性的同時,將脫靶活性減少了至少20%、至少25%、至少30%、至少35%、至少40%、至少45%、至少50%、至少55%、至少60%、至少65%、至少70%或至少75%。In some embodiments, siRNAs comprising chemical modifications of the present disclosure, when contacted with cells expressing the target gene, are screened for, for example, psiCHECK activity and luciferase reporter gene assays, others such as PCR or branched DNA (bDNA) based assays. Methods, or protein-based methods, such as assayed by immunofluorescence assays, such as Western Blot, or flow cytometry, comprising chemical modifications of the present disclosure, such as siRNAs comprising chemical modifications of formula (I), remain at target activity. while reducing off-target activity by at least 20%, at least 25%, at least 30%, at least 35%, at least 40%, at least 45%, at least 50%, at least 55%, at least 60%, at least 65%, at least 70% % or at least 75%.
在一些實施方案中,包含本公開化學修飾的siRNA當接觸到表達靶基因的細胞時,由例如:psiCHECK活性篩選和螢光素酶報告基因檢測法,其他如PCR或基於分支DNA(bDNA)的方法、或基於蛋白質的方法,如免疫螢光分析法,例如Western Blot、或流式細胞術測定的,包含本公開化學修飾,例如包含式(I)所示化學修飾的siRNA使在靶活性降低至多20%、至多19%、至多15%、至多10%、至多5%或超過1%的同時,將脫靶活性減少了至少20%、至少25%、至少30%、至少35%、至少40%、至少45%、至少50%、至少55%、至少60%、至少65%、至少70%或至少75%。In some embodiments, siRNAs comprising chemical modifications of the present disclosure, when contacted with cells expressing the target gene, are screened for, for example, psiCHECK activity and luciferase reporter gene assays, others such as PCR or branched DNA (bDNA) based assays. Methods, or protein-based methods, such as assayed by immunofluorescence assays, such as Western Blot, or flow cytometry, comprising chemical modifications of the present disclosure, such as siRNAs comprising chemical modifications of formula (I), reduce on-target activity At least 20%, at least 25%, at least 30%, at least 35%, at least 40% while reducing off-target activity by up to 20%, up to 19%, up to 15%, up to 10%, up to 5%, or more than 1% , at least 45%, at least 50%, at least 55%, at least 60%, at least 65%, at least 70%, or at least 75%.
在一些實施方案中,包含本公開化學修飾的siRNA當接觸到表達靶基因的細胞時,由例如:psiCHECK活性篩選和螢光素酶報告基因檢測法,其他如PCR或基於分支DNA(bDNA)的方法、或基於蛋白質的方法,如免疫螢光分析法,例如Western Blot、或流式細胞術測定的,包含本公開化學修飾,例如包含式(I)所示化學修飾的siRNA使在靶活性提高至少1%、至少5%、至少10%、至少15%、至少20%、至少25%、至少30%、至少35%、至少40%、至少45%、至少50%、至少55%、至少60%、至少65%、至少70%、至少75%或至少80%的同時,將脫靶活性減少了至少20%、至少25%、至少30%、至少35%、至少40%、至少45%、至少50%、至少55%、至少60%、至少65%、至少70%或至少75%。In some embodiments, siRNAs comprising chemical modifications of the present disclosure, when contacted with cells expressing the target gene, are screened for, for example, psiCHECK activity and luciferase reporter gene assays, others such as PCR or branched DNA (bDNA) based assays. Methods, or protein-based methods, such as assayed by immunofluorescence assays, such as Western Blot, or flow cytometry, comprising chemical modifications of the present disclosure, such as siRNAs comprising chemical modifications of formula (I), increase on-target activity at least 1%, at least 5%, at least 10%, at least 15%, at least 20%, at least 25%, at least 30%, at least 35%, at least 40%, at least 45%, at least 50%, at least 55%, at least60%, at least 65%, at least 70%, at least 75%, or at least 80% while reducing off-target activity by at least 20%, at least 25%, at least 30%, at least 35%, at least 40%, at least 45%, At least 50%, at least 55%, at least 60%, at least 65%, at least 70% or at least 75%.
本公開還提供了一種siRNA綴合物,其包含上述siRNA中的任意一種和連接至該siRNA的靶向配體。The present disclosure also provides an siRNA conjugate comprising any one of the siRNAs described above and a targeting ligand linked to the siRNA.
在一些實施方案中,siRNA和該靶向配體共價或非共價連接。In some embodiments, the siRNA and the targeting ligand are covalently or non-covalently linked.
一些實施方案中,該靶向配體靶向肝臟;一些實施方案中,該靶向配體結合脫唾液酸糖蛋白受體(ASGPR);一些實施方案中,該靶向配體包括半乳糖簇或半乳糖衍生物簇,該半乳糖衍生物選自N-乙醯基-半乳糖胺、N-三氟乙醯基半乳糖胺、N-丙醯基半乳糖胺、N-正丁醯基半乳糖胺或N-異丁醯基半乳糖胺。In some embodiments, the targeting ligand targets the liver; in some embodiments, the targeting ligand binds the asialoglycoprotein receptor (ASGPR); in some embodiments, the targeting ligand comprises a galactose cluster or a cluster of galactose derivatives selected from the group consisting of N-acetyl-galactosamine, N-trifluoroacetylgalactosamine, N-propionylgalactosamine, N-n-butylacylgalactosamine amine or N-isobutyrylgalactosamine.
在一些實施方案中,該靶向配體連接至該siRNA的正義鏈3’末端。In some embodiments, the targeting ligand is attached to the 3' end of the sense strand of the siRNA.
在一些實施方案中,為了促進siRNA進入細胞,可以在siRNA正義鏈的末端引入膽固醇等親脂性的基團,親脂性的基團包括以共價鍵與小干擾核酸結合,如末端引入膽固醇、脂蛋白、維生素E等,以利於藉由由脂質雙分子層構成的細胞膜與細胞內的mRNA發生作用。同時,siRNA也可以進行非共價鍵修飾,如藉由疏水鍵或離子鍵結合磷脂分子、多肽、陽離子聚合物等增加穩定性和生物學活性。In some embodiments, in order to promote the entry of siRNA into cells, a lipophilic group such as cholesterol can be introduced at the end of the sense strand of siRNA. Protein, vitamin E, etc., to facilitate the interaction with intracellular mRNA through the cell membrane composed of lipid bilayers. At the same time, siRNA can also be modified by non-covalent bonds, such as binding phospholipid molecules, polypeptides, cationic polymers, etc. through hydrophobic bonds or ionic bonds to increase stability and biological activity.
在一些實施方案中,靶向配體藉由磷酸酯基團、硫代磷酸酯基團或膦酸基團與siRNA末端連接。在一些實施方案中,靶向配體藉由磷酸酯基團、硫代磷酸酯基團或膦酸基團與siRNA末端間接連接。在一些實施方案中,靶向配體藉由磷酸酯基團、硫代磷酸酯基團或膦酸基團與siRNA末端直接連接。在一些實施方案中,靶向配體藉由磷酸酯基團或硫代磷酸酯基團與siRNA末端直接連接。在一些實施方案中,靶向配體藉由磷酸酯基團或硫代磷酸酯基團與siRNA正義鏈3’末端直接連接。In some embodiments, the targeting ligand is attached to the end of the siRNA via a phosphate group, phosphorothioate group, or phosphonate group. In some embodiments, the targeting ligand is indirectly attached to the end of the siRNA via a phosphate group, phosphorothioate group, or phosphonate group. In some embodiments, the targeting ligand is bound to the siRNA via a phosphate group, phosphorothioate group, or phosphonate groupThe ends are directly connected. In some embodiments, the targeting ligand is directly attached to the end of the siRNA via a phosphate group or phosphorothioate group. In some embodiments, the targeting ligand is directly attached to the 3' end of the siRNA sense strand via a phosphate or phosphorothioate group.
在一些實施方案中,靶向配體結構如下式(II)所示,In some embodiments, the targeting ligand structure is shown in the following formula (II),
其中T為靶向部分,E為分支基團,L1為接頭部分,L2為靶向部分與分支基團間的栓系部分,其中i選自1到10的整數,例如1、2、3、4、5、6、7、8、9、10。wherein T is the targeting moiety, E is the branching group, L1 is the linker moiety, L2 is the tethering moiety between the targeting moiety and the branching group, wherein i is selected from an integer from1 to 10, such as 1,2 , 3, 4, 5, 6, 7, 8, 9, 10.
在一些實施方案中,i選自2到8的整數。In some embodiments, i is selected from an integer from 2 to 8.
在一些實施方案中,i選自3到5的整數。In some embodiments, i is selected from an integer from 3 to 5.
在一些實施方案中,L1為In some embodiments, L1 is
R9及R10各自獨立的選自-S-、-NH-、-O-、-C(O)-、-OC(O)-、-C(O)O-、-NHC(O)-、-C(O)NH-、-CH2-、-CH2NH-、-CH2O-、-NH-C(O)-CH2-、-C(O)-CH2-NH-、-NH(CO)NH-、3-12員雜環基,該-CH2-任選被選自鹵素、烷基、烷氧基、烷胺基的取代基取代,該烷基任選進一步被選自羥基、胺基、鹵素的取代基取代;R9 and R10 are each independently selected from -S-, -NH-, -O-, -C(O)-, -OC(O)-, -C(O)O-, -NHC(O)- , -C(O)NH-, -CH2 -, -CH2 NH-, -CH2 O-, -NH-C(O)-CH2 -, -C(O)-CH2 -NH-, -NH(CO)NH-, a 3-12-membered heterocyclic group, the -CH2 - is optionally substituted by a substituent selected from halogen, alkyl, alkoxy, and alkylamino, and the alkyl group is optionally further substituted by Substituents selected from hydroxyl, amino, and halogen are substituted;
R11選自氘、鹵素、烷基、胺基、氰基、硝基、烯基、炔基、羧基、羥基、巰基、烷巰基、烷氧基、烷胺基、-C(O)-烷基、-C(O)-O-烷基、-CONH2、-CONH-烷基、-OC(O)-烷基、-NH-C(O)-烷基、-S(O)O-烷基、-S(O)ONH2、-S(O)ONH-烷基,該烷基、烯基、炔基、烷基巰基、烷基氧基、-C(O)-烷基、-C(O)-O-烷基、-CONH-烷基、-OC(O)-烷基、-NH-C(O)-烷基、-S(O)O-烷基、-S(O)ONH-烷基,任選進一步被選自鹵素、羥基、胺基、巰基的取代基取代;R11 is selected from deuterium, halogen, alkyl, amino, cyano, nitro, alkenyl, alkynyl, carboxyl, hydroxyl, mercapto, alkylmercapto, alkoxy, alkylamino, -C(O)-alkane radical, -C(O)-O-alkyl, -CONH2 , -CONH-alkyl, -OC(O)-alkyl, -NH-C(O)-alkyl, -S(O)O- Alkyl, -S(O)ONH2 , -S(O)ONH-alkyl, the alkyl, alkenyl, alkynyl, alkylmercapto, alkyloxy, -C(O)-alkyl, - C(O)-O-Alkyl, -CONH-Alkyl, -OC(O)-Alkyl, -NH-C(O)-Alkyl, -S(O)O-Alkyl, -S(O ) ONH-alkyl, optionally further substituted by a substituent selected from halogen, hydroxyl, amino, mercapto;
該k選自0、1、2、3、4;the k is selected from 0, 1, 2, 3, 4;
該j選自1到20的整數(例如0、1、2、3、4、5、6、7、8、9、10、11、12、13、14、15、16、17、18、19、20)。The j is selected from an integer from 1 to 20 (
在一些實施方案中,L1為In some embodiments, L1 is
其中R11選自氘、鹵素、烷基、胺基、氰基、硝基、烯基、炔基、羧基、羥基、巰基、烷巰基、烷氧基、烷胺基、-C(O)-烷基、-C(O)-O-烷基、-CONH2、-CONH-烷基、-OC(O)-烷基、-NH-C(O)-烷基、-S(O)O-烷基、-S(O)ONH2、-S(O)ONH-烷基,該烷基、烯基、炔基、羧基、烷基巰基、烷基氧基、-C(O)-烷基、-C(O)-O-烷基、-CONH-烷基、-OC(O)-烷基、-NH-C(O)-烷基、-S(O)O-烷基、-S(O)ONH-烷基,選進一步被選自鹵素、羥基、胺基、巰基的取代基取代;wherein R11 is selected from deuterium, halogen, alkyl, amino, cyano, nitro, alkenyl, alkynyl, carboxyl, hydroxyl, mercapto, alkylmercapto, alkoxy, alkylamino, -C(O)- Alkyl, -C(O)-O-Alkyl, -CONH2 , -CONH-Alkyl, -OC(O)-Alkyl, -NH-C(O)-Alkyl, -S(O)O -Alkyl, -S(O)ONH2, -S(O)ONH- alkyl, the alkyl, alkenyl, alkynyl, carboxyl, alkylmercapto, alkyloxy, -C(O)-alkane Base, -C(O)-O-Alkyl, -CONH-Alkyl, -OC(O)-Alkyl, -NH-C(O)-Alkyl, -S(O)O-Alkyl, - S(O)ONH-alkyl, optionally further substituted with a substituent selected from halogen, hydroxyl, amino, mercapto;
該k選自0、1、2、3、4;the k is selected from 0, 1, 2, 3, 4;
在一些實施方案中,L1為In some embodiments, L1 is
在一些實施方案中,L1為In some embodiments, L1 is
在一些實施方案中,L1為In some embodiments, L1 is
在一些實施方案中,靶向配體中E為In some embodiments, E in the targeting ligand is
該R12、R13、R14及R15各自獨立的選自-C(O)NH-、-C(O)-,該羰基任選進一步被烷基取代,該烷基任選進一步被選自烷基、羥基、-C(O)O-、-C(O)O-烷基-、-C(O)NH-取代;The R12 , R13 , R14 and R15 are each independently selected from -C(O)NH-, -C(O)-, the carbonyl group is optionally further substituted with an alkyl group, and the alkyl group is optionally further selected Substituted from alkyl, hydroxyl, -C(O)O-, -C(O)O-alkyl-, -C(O)NH-;
該X2、X3、X4及X5各自獨立的選自0到10的整數(例如0、1、2、3、4、5、6、7、8、9、10)。The X2 , X3 , X4 and X5 are each independently an integer selected from 0 to 10 (eg, 0, 1, 2, 3, 4, 5, 6, 7, 8, 9, 10).
在一些實施方案中,靶向配體中E為In some embodiments, E in the targeting ligand is
該R12、R13、R14及R15各自獨立的選自-C(O)NH-、-C(O)-,該-C(O)NH-,-C(O)-任選進一步被烷基取代,該烷基任選進一步被選自烷基、羥基、-C(O)O-、-C(O)O-烷基-、-C(O)NH-取代;The R12 , R13 , R14 and R15 are each independently selected from -C(O)NH-, -C(O)-, the -C(O)NH-, -C(O)- are optionally further substituted with an alkyl group optionally further substituted by a group selected from the group consisting of alkyl, hydroxy, -C(O)O-, -C(O)O-alkyl-, -C(O)NH-;
該X2、X3、X4及X5各自獨立的選自0到10的整數(例如0、1、2、3、4、5、6、7、8、9、10)。The X2 , X3 , X4 and X5 are each independently an integer selected from 0 to 10 (eg, 0, 1, 2, 3, 4, 5, 6, 7, 8, 9, 10).
在一些實施方案中,靶向配體中E為In some embodiments, E in the targeting ligand is
該R12、R13、R14及R15各自獨立的選自-C(O)NH-、-C(O)-、、、、、、、、的取代基取代,該X2、X3、X4及X5各自獨立的選自0到10的整數(例如0,1、2、3、4、5、6、7、8、9、10)。The R12 , R13 , R14 and R15 are each independently selected from -C(O)NH-, -C(O)-, , , , , , , , substituted by a substituent, the X2 , X3 , X4 and X5 are each independently an integer selected from 0 to 10 (for example, 0, 1, 2, 3, 4, 5, 6, 7, 8, 9, 10 ).
在一些實施方案中,靶向配體中E為In some embodiments, E in the targeting ligand is
在一些實施方案中,靶向配體中E選自In some embodiments, E in the targeting ligand is selected from
在一些實施方案中,靶向配體中E選自或。In some embodiments, E in the targeting ligand is selected from or .
在一些實施方案中,靶向配體中E選自。In some embodiments, E in the targeting ligand is selected from .
在一些實施方案中,靶向配體中E為,L1選自如下結構:In some embodiments, E in the targeting ligand is , L1 is selected from the following structures:
R9及R10各自獨立的選自-S-、-NH-、-O-、-S-、-C(O)-、-OC(O)-、-C(O)O-、-NHC(O)-、-C(O)NH-、-CH2-、-CH2NH-、-CH2O-、-NH-C(O)-CH2-、-C(O)-CH2-NH-、-NH(CO)NH-、3-12員雜環基,該-CH2-任選被選自鹵素、烷基、烷氧基、烷胺基的取代基取代,該烷基任選進一步被選自羥基、胺基、鹵素的取代基取代;R9 and R10 are each independently selected from -S-, -NH-, -O-, -S-, -C(O)-, -OC(O)-, -C(O)O-, -NHC (O)-, -C(O)NH-,-CH2- , -CH2NH-,-CH2O- , -NH-C(O)-CH2- ,-C (O)-CH2 -NH-, -NH(CO)NH-, 3-12-membered heterocyclic group, the -CH2 - is optionally substituted by a substituent selected from halogen, alkyl, alkoxy, alkylamino, the alkyl optionally further substituted with a substituent selected from hydroxy, amine, halogen;
R11選自氘、鹵素、烷基、胺基、氰基、硝基、烯基、炔基、羧基、羥基、巰基、烷巰基、烷氧基、烷胺基、-C(O)-烷基、-C(O)-O-烷基、-CONH2、-CONH-烷基、-OC(O)-烷基、-NH-C(O)-烷基、-S(O)O-烷基、-S(O)ONH2、-S(O)ONH-烷基,該烷基、烯基、炔基、烷基巰基、烷基氧基、-C(O)-烷基、-C(O)-O-烷基、-CONH-烷基、-OC(O)-烷基、-NH-C(O)-烷基、-S(O)O-烷基、-S(O)ONH-烷基,任選進一步被選自鹵素、羥基、胺基、巰基的取代基取代;R11 is selected from deuterium, halogen, alkyl, amino, cyano, nitro, alkenyl, alkynyl, carboxyl, hydroxyl, mercapto, alkylmercapto, alkoxy, alkylamino, -C(O)-alkane radical, -C(O)-O-alkyl, -CONH2 , -CONH-alkyl, -OC(O)-alkyl, -NH-C(O)-alkyl, -S(O)O- Alkyl, -S(O)ONH2 , -S(O)ONH-alkyl, the alkyl, alkenyl, alkynyl, alkylmercapto, alkyloxy, -C(O)-alkyl, - C(O)-O-Alkyl, -CONH-Alkyl, -OC(O)-Alkyl, -NH-C(O)-Alkyl, -S(O)O-Alkyl, -S(O ) ONH-alkyl, optionally further substituted by a substituent selected from halogen, hydroxyl, amino, mercapto;
該k選自0、1、2、3、4;the k is selected from 0, 1, 2, 3, 4;
該j選自0、1、2、3、4、5、6、7、8、9、10、11、12、13、14、15、16、17、18、19、20。The j is selected from 0, 1, 2, 3, 4, 5, 6, 7, 8, 9, 10, 11, 12, 13, 14, 15, 16, 17, 18, 19, 20.
在一些實施方案中,靶向配體中E選自:In some embodiments, E in the targeting ligand is selected from:
、或,L1選自:,或。 , or , L1 is selected from: ,or .
在一些實施方案中,靶向配體中E選自:In some embodiments, E in the targeting ligand is selected from:
,L1選自:,即E-L1為。 , L1 is selected from: , that is, EL1 is .
在一些實施方案中,靶向配體中E選自:In some embodiments, E in the targeting ligand is selected from:
,L1選自:或,即E-L1為或。 , L1 is selected from: or , that is, EL1 is or .
在一些實施方案中,靶向配體中E選自或,L1選自,即E-L1為或。In some embodiments, E in the targeting ligand is selected from or , L1 is selected from , that is, EL1 is or .
在一些實施方案中,靶向配體中E選自或,L1選自或,即E-L1為或。In some embodiments, E in the targeting ligand is selected from or , L1 is selected from or , that is, EL1 is or .
本公開中L2為靶向部分與分支基團間的栓系部分,L2在分支基團和各靶向部分之間發揮連接、間隔作用。In the present disclosure, L2 is the tethering moiety between the targeting moiety and the branching group, and L2 plays the role of linking and spacing between the branching group and each targeting moiety.
在一些實施方式中,L2的一端直接連接至靶向配體,而另一端直接連接至分支基團E。In some embodiments, one end of L2 is directly attached to the targeting ligand and the other end is directly attached to the branching group E.
在一些實施方式中,L2的一端直接連接至靶向配體,而另一端間接地連接至分支基團E。In some embodiments, one end of L2 is directly attached to the targeting ligand and the other end is indirectly attached to the branching group E.
在一些實施方式中,L2的一端間接地連接至靶向配體,而另一端間接地連接至分支基團E。In some embodiments, one end of L2 is indirectly linked to the targeting ligand and the other end is indirectly linked to the branching group E.
在一些實施方式中,本文公開的靶向配體包括2個L2和2個靶向部分。In some embodiments, the targeting ligands disclosed herein include 2 L2 and2 targeting moieties.
在一些實施方式中,本文公開的靶向配體包括3個L2和3個靶向部分。In some embodiments, the targeting ligands disclosed herein include 3 L2 and3 targeting moieties.
在一些實施方式中,本文公開的靶向配體包括4個L2和4個靶向部分。In some embodiments, the targeting ligands disclosed herein include 4 L2 and4 targeting moieties.
在一些實施方式中,本文公開的靶向配體包括多個L2和多個靶向部分。In some embodiments, the targeting ligands disclosed herein include multiple L2s and multiple targeting moieties.
在一些實施方式中,本公開中L2選自以下基團中的1個或2-20個共價連接的組合(例如,1、2、3、4、5、6、7、8、9、10、11、12、13、14、15、16、17、18、19或20):In some embodiments, L2 in the present disclosure is selected from 1 or a combination of 2-20 covalently linked groups (eg, 1, 2, 3, 4, 5, 6, 7, 8, 9, 10, 11, 12, 13, 14, 15, 16, 17, 18, 19 or 20):
在一些實施方式中,本公開中L2由1到20個(例如,1、2、3、4、5、6、7、8、9、10、11、12、13、14、15、16、17、18、19或20)任選自In some embodiments, there are from 1 to 20 L2 in the present disclosure (eg, 1,2 , 3, 4, 5, 6, 7, 8, 9, 10, 11, 12, 13, 14, 15, 16 , 17, 18, 19 or 20) optional from
的基團的共價組合。 A covalent combination of groups.
在一些實施方式中,靶向配體包括具有如下所示結構的L2,,其中x6是從1至20的整數(例如,1、2、3、4、5、6、7、8、9、10、11、12、13、14、15、16、17、18、19或20)。In some embodiments, the targeting ligand comprises L2 having the structure shown below, , wherex6 is an integer from 1 to 20 (eg, 1, 2, 3, 4, 5, 6, 7, 8, 9, 10, 11, 12, 13, 14, 15, 16, 17, 18, 19 or 20).
在一些實施方式中,靶向配體包括具有如下所示結構的L2,。In some embodiments, the targeting ligand comprises L2 having the structure shown below, .
在一些實施方式中,靶向配體包括具有如下所示結構的L2,。In some embodiments, the targeting ligand comprises L2 having the structure shown below, .
在一些實施方式中,靶向配體包括具有如下所示結構的L2,。In some embodiments, the targeting ligand comprises L2 having the structure shown below, .
在一些實施方式中,靶向配體包括具有如下所示結構的L2,。In some embodiments, the targeting ligand comprises L2 having the structure shown below, .
在一些實施方式中,靶向配體包括具有如下所示結構的L2,。In some embodiments, the targeting ligand comprises L2 having the structure shown below, .
在一些實施方式中,靶向配體包括具有如下所示結構的L2,,其中,x7是從1至20的整數(例如,1、2、3、4、5、6、7、8、9、10、11、12、13、14、15、16、17、18、19或20),並且Z是。In some embodiments, the targeting ligand comprises L2 having the structure shown below, , where x7 is an integer from 1 to 20 (eg, 1, 2, 3, 4, 5, 6, 7, 8, 9, 10, 11, 12, 13, 14, 15, 16, 17, 18 , 19 or 20), and Z is .
在一些實施方式中,靶向配體具有如下所示結構的L2,。In some embodiments, the targeting ligand has L2 of the structure shown below, .
在一些實施方式中,靶向配體具有如下所示結構的L2,,In some embodiments, the targeting ligand has L2 of the structure shown below, ,
其中,x8是從1至20的整數(例如,1、2、3、4、5、6、7、8、9、10、11、12、13、14、15、16、17、18、19或20),並且Z是。where x8 is an integer from 1 to 20 (eg, 1, 2, 3, 4, 5, 6, 7, 8, 9, 10, 11, 12, 13, 14, 15,16 , 17, 18, 19 or 20), and Z is .
在一些實施方式中,靶向配體具有如下所示結構的L2,,其中x9和X10各自獨立選自從1至20的整數(例如,1、2、3、4、5、6、7、8、9、10、11、12、13、14、15、16、17、18、19或20),並且Z是。In some embodiments, the targeting ligand has L2 of the structure shown below, , where x9 and X10 are each independently selected from integers from 1 to 20 (eg, 1, 2, 3, 4, 5, 6, 7, 8, 9, 10, 11, 12, 13, 14, 15, 16 , 17, 18, 19, or 20), and Z is .
在一些實施方式中,靶向配體具有如下所示結構的L2,。In some embodiments, the targeting ligand has L2 of the structure shown below, .
在一些實施方式中,靶向配體具有如下所示結構的L2,
其中,x7和X8各自獨立選自從1至20的整數(例如,1、2、3、4、5、6、7、8、9、10、11、12、13、14、15、16、17、18、19或20),並且Z是。whereinx7 andX8 are each independently selected from integers from 1 to 20 (eg, 1, 2, 3, 4, 5, 6, 7, 8, 9, 10, 11, 12, 13, 14, 15, 16 , 17, 18, 19, or 20), and Z is .
在一些具體的實施方式中,靶向配體具有以下結構:In some specific embodiments, the targeting ligand has the following structure:
在一些具體的實施方式中,靶向配體具有以下結構:In some specific embodiments, the targeting ligand has the following structure:
在一些具體的實施方式中,靶向配體具有以下結構:In some specific embodiments, the targeting ligand has the following structure:
在一些具體的實施方式中,靶向配體具有以下結構:In some specific embodiments, the targeting ligand has the following structure:
一些實施方案中,靶向配體的靶向部分是由一個或多個靶向基團或靶向部分組成,靶向配體協助引導將與其連接的治療性試劑遞送至所需靶位置。在一些情況中,靶向部分可以結合細胞或細胞受體,並且啟動內吞作用以促進治療性試劑進入細胞。靶向部分可以包括對細胞受體或細胞表面分子或抗體具有親和性的化合物。含有靶向部分的各種靶向配體可以與治療性試劑和其它化合物連接以將試劑靶向細胞和特定細胞受體。In some embodiments, the targeting moiety of the targeting ligand is comprised of one or more targeting groups or targeting moieties that assist in directing delivery of the therapeutic agent attached thereto to the desired target site. In some cases, the targeting moiety can bind to a cell or cellular receptor and initiate endocytosis to facilitate entry of the therapeutic agent into the cell. Targeting moieties can include compounds that have affinity for cell receptors or cell surface molecules or antibodies. Various targeting ligands containing targeting moieties can be linked to therapeutic agents and other compounds to target the agents to cells and specific cellular receptors.
一些實施方案中,靶向部分的類型包括碳水化合物、膽固醇和膽甾醇基團或類固醇。可以結合細胞受體的靶向部分包括糖類,諸如半乳糖、半乳糖衍生物(如N-乙醯基-半乳糖胺,N-三氟乙醯基半乳糖胺、N-丙醯基半乳糖胺、N-正丁醯基半乳糖胺、N-異丁醯基半乳糖胺)、甘露糖和甘露糖衍生物)。In some embodiments, types of targeting moieties include carbohydrates, cholesterol, and cholesteryl groups or steroids. Targeting moieties that can bind to cellular receptors include carbohydrates such as galactose, derivatives of galactose (eg N-acetyl-galactosamine, N-trifluoroacetylgalactosamine, N-propionylgalactose amine, N-n-butyl galactosamine, N-isobutyl galactosamine), mannose and mannose derivatives).
已知結合脫唾液酸糖蛋白受體(ASGPR)的靶向部分可特別用於引導遞送寡聚化合物至肝臟。脫唾液酸糖蛋白受體在肝臟細胞(肝細胞)上大量表達。靶向ASCPR的細胞受體靶向部分包括半乳糖和半乳糖衍生物。具體而言,半乳糖衍生物的簇,包括由2、3、4或超過4個N-乙醯基-半乳糖胺(GalNAc或NAG)組成的簇可以促進肝細胞中某些化合物的攝取。偶聯寡聚化合物的GalNAc簇用於引導組成物至肝臟,在這裡N-乙醯基-半乳糖胺糖能夠結合肝臟細胞表面的脫唾液酸糖蛋白受體。脫唾液酸糖蛋白受體的結合被認為將啟動受體介導的內吞作用,從而促進化合物進入細胞內部。Targeting moieties known to bind the asialoglycoprotein receptor (ASGPR) are particularly useful for directing delivery of oligomeric compounds to the liver. The asialoglycoprotein receptor is abundantly expressed on liver cells (hepatocytes). Cell receptor targeting moieties targeting ASCPR include galactose and galactose derivatives. Specifically, clusters of galactose derivatives, including clusters consisting of 2, 3, 4, or more than 4 N-acetyl-galactosamine (GalNAc or NAG), can promote the uptake of certain compounds in hepatocytes. GalNAc clusters coupled to oligomeric compounds were used to direct the composition to the liver, where N-acetyl-galactosamine sugars were able to bind to asialoglycoprotein receptors on the surface of liver cells. Binding of the asialoglycoprotein receptor is thought to initiate receptor-mediated endocytosis, thereby facilitating the entry of compounds into the cell interior.
一些實施方案中,靶向配體可以包括2、3、4或超過4個靶向部分。在一些實施方式中,本文所公開的靶向配體可以包括1、2、3、4或超過4個藉由L2連接至分支基團的靶向部分。In some embodiments, a targeting ligand may include 2, 3, 4, or more than 4 targeting moieties. In some embodiments, the targeting ligands disclosed herein can include 1,2 , 3, 4, or more than 4 targeting moieties linked to a branching group through L2.
在一些實施方式中,靶向配體是半乳糖簇的形式。In some embodiments, the targeting ligand is in the form of a galactose cluster.
在一些實施方式中,各靶向部分包括半乳糖胺衍生物,其為N-乙醯基-半乳糖胺。可用作靶向部分且對脫唾液酸糖蛋白受體具有親和性的其他糖可選自半乳糖、半乳糖胺、N-甲醯基-半乳糖胺、N-乙醯基-半乳糖胺、N-丙醯基-半乳糖胺、N-正丁醯基-半乳糖胺和N-異丁醯基-半乳糖胺等。In some embodiments, each targeting moiety includes a galactosamine derivative, which is N-acetyl-galactosamine. Other saccharides that can be used as targeting moieties and have affinity for the asialoglycoprotein receptor can be selected from galactose, galactosamine, N-formyl-galactosamine, N-acetyl-galactosamine , N-propionyl-galactosamine, N-n-butyryl-galactosamine and N-isobutyryl-galactosamine, etc.
在一些實施方式中,本公開中的靶向配體包括N-乙醯半乳糖胺做為靶向部分,In some embodiments, the targeting ligands of the present disclosure include N-acetylgalactosamine as a targeting moiety,
。 .
在一些實施方式中,靶向配體包括三個末端半乳糖胺或半乳糖胺衍生物(諸如N-乙醯基-半乳糖胺),其各自對唾液酸糖蛋白受體均具有親和性。在一些實施方式中,靶向配體包括三個末端N-乙醯基-半乳糖胺(GalNAc或NAG)作為靶向部分。In some embodiments, the targeting ligand includes three terminal galactosamine or galactosamine derivatives (such as N-acetyl-galactosamine), each of which has an affinity for the sialoglycoprotein receptor. In some embodiments, the targeting ligand includes three terminal N-acetyl-galactosamine (GalNAc or NAG) as targeting moieties.
在一些實施方式中,靶向配體包括四個末端半乳糖胺或半乳糖胺衍生物(諸如N-乙醯基-半乳糖胺),其各自對脫唾液酸糖蛋白受體均具有親和性。在一些實施方式中,靶向配體包括四個末端N-乙醯基-半乳糖胺(GalNAc或NAG)作為靶向部分。In some embodiments, the targeting ligand includes four terminal galactosamine or galactosamine derivatives (such as N-acetyl-galactosamine), each of which has an affinity for the asialoglycoprotein receptor . In some embodiments, the targeting ligand includes four terminal N-acetyl-galactosamine (GalNAc or NAG) as targeting moieties.
當述及三個末端N-乙醯基-半乳糖胺時本領域常用的術語包括三觸角(tri-antennary)、三價物(tri-valent)和三聚體。Terms commonly used in the art when referring to the three-terminal N-acetyl-galactosamine include tri-antennary, tri-valent, and trimer.
當述及四個末端N-乙醯基-半乳糖胺時本領域常用的術語包括四觸角(tetra-antennary)、四價物(tetra-valent)和四聚體。Terms commonly used in the art when referring to the four terminal N-acetyl-galactosamines include tetra-antennary, tetra-valent, and tetramer.
一些具體實施方案中,本公開提供的靶向配體具有如下結構,In some specific embodiments, the targeting ligands provided by the present disclosure have the following structures,
或。 or .
一些具體實施方案中,本公開提供的靶向配體具有如下結構,In some specific embodiments, the targeting ligands provided by the present disclosure have the following structures,
或。 or .
一些具體實施方案中,本公開提供的靶向配體具有如下結構,In some specific embodiments, the targeting ligands provided by the present disclosure have the following structures,
。 .
一些具體實施方案中,本公開提供的靶向配體具有如下結構,In some specific embodiments, the targeting ligands provided by the present disclosure have the following structures,
或。 or .
在一些實施方式中,本公開siRNA連接至本公開靶向配體,形成具有如下所示的siRNA綴合物,In some embodiments, the siRNA of the present disclosure is linked to a targeting ligand of the present disclosure to form a siRNA conjugate having the following,
, ,
其中T為靶向部分,E為分支基團,L1為接頭部分,L2為靶向部分與分支基團間的栓系部分,其中x選自1到10的整數,D為靶向凝血因子XI的siRNA。wherein T is the targeting moiety, E is the branching group, L1 is the linker moiety, L2 is the tethering moiety between the targeting moiety and the branching group, wherein x is an integer from1 to 10, and D is the targeting coagulation factor XI siRNA.
在一些實施方式中,D為靶向凝血因子XI的siRNA。In some embodiments, D is an siRNA targeting factor XI.
在一些實施方式中,D為本公開任一siRNA。在一些實施方案中,該L1連接至該siRNA的正義鏈3’末端。In some embodiments, D is any siRNA of the present disclosure. In some embodiments, the L1 is linked to the 3' end of the sense strand of the siRNA.
在一些實施方案中,靶向配體藉由磷酸酯基團、硫代磷酸酯基團或膦酸基團與siRNA末端連接。In some embodiments, the targeting ligand is attached to the end of the siRNA via a phosphate group, phosphorothioate group, or phosphonate group.
在一些實施方案中,靶向配體藉由磷酸酯基團、硫代磷酸酯基團或膦酸基團與siRNA末端間接連接。In some embodiments, the targeting ligand is indirectly attached to the end of the siRNA via a phosphate group, phosphorothioate group, or phosphonate group.
在一些實施方案中,靶向配體藉由磷酸酯基團、硫代磷酸酯基團或膦酸基團與siRNA末端直接連接。In some embodiments, the targeting ligand is directly attached to the siRNA terminus via a phosphate group, phosphorothioate group, or phosphonate group.
在一些實施方案中,靶向配體藉由磷酸酯基團、硫代磷酸酯基團與siRNA末端直接連接。In some embodiments, the targeting ligand is directly attached to the end of the siRNA via a phosphate group, a phosphorothioate group.
在一些實施方案中,靶向配體藉由磷酸酯基團、硫代磷酸酯基團與siRNA正義鏈3’末端直接連接。In some embodiments, the targeting ligand is directly attached to the 3' end of the siRNA sense strand via a phosphate group, a phosphorothioate group.
在一些具體的實施方案中,本公開提供一種siRNA綴合物,In some specific embodiments, the present disclosure provides an siRNA conjugate,
或, or ,
其中,D為靶向凝血因子XI的siRNA。Wherein, D is siRNA targeting coagulation factor XI.
在一些實施方式中,D為靶向凝血因子XI的siRNA;在一些實施方式中,D為本公開任一siRNA。在一些具體的實施方案中,靶向配體藉由磷酸酯基團或硫代磷酸酯基團與siRNA正義鏈3’末端直接連接。In some embodiments, D is an siRNA targeting factor XI; in some embodiments, D is any siRNA of the disclosure. In some specific embodiments, the targeting ligand is directly attached to the 3' end of the siRNA sense strand via a phosphate group or a phosphorothioate group.
在一些具體的實施方案中,本公開提供一種siRNA綴合物,In some specific embodiments, the present disclosure provides an siRNA conjugate,
或,其中,D為靶向凝血因子XI的siRNA;在一些實施方式中,在一些實施方式中,D為本公開任一siRNA。 or , wherein D is an siRNA targeting factor XI; in some embodiments, in some embodiments, D is any siRNA of the present disclosure.
在一些具體的實施方案中,靶向配體藉由磷酸酯基團或硫代磷酸酯基團與siRNA正義鏈3’末端直接連接。In some specific embodiments, the targeting ligand is directly attached to the 3' end of the siRNA sense strand via a phosphate group or a phosphorothioate group.
在一些具體的實施方案中,本公開提供一種siRNA綴合物,In some specific embodiments, the present disclosure provides an siRNA conjugate,
或,其中,D為靶向凝血因子XI的siRNA;在一些實施方式中,D為本公開任一siRNA。在一些具體的實施方案中,靶向配體藉由磷酸酯基團或硫代磷酸酯基團與siRNA正義鏈3’末端直接連接。 or , wherein D is an siRNA targeting coagulation factor XI; in some embodiments, D is any siRNA of the present disclosure. In some specific embodiments, the targeting ligand is directly attached to the 3' end of the siRNA sense strand via a phosphate group or a phosphorothioate group.
在一些具體的實施方案中,本公開提供一種siRNA綴合物,In some specific embodiments, the present disclosure provides an siRNA conjugate,
,其中,D為靶向凝血因子XI的siRNA;在一些實施方式中,D為本公開任一siRNA。在一些具體的實施方案中,靶向配體藉由磷酸酯基團或硫代磷酸酯基團與siRNA正義鏈3’末端直接連接。 , wherein D is an siRNA targeting coagulation factor XI; in some embodiments, D is any siRNA of the present disclosure. In some specific embodiments, the targeting ligand is directly attached to the 3' end of the siRNA sense strand via a phosphate group or a phosphorothioate group.
在一些具體的實施方案中,該L1與D藉由磷酸酯基團、硫代磷酸酯基團或膦酸基團連接。In some specific embodiments, the L1 and D are linked via a phosphate group, a phosphorothioate group, or a phosphonic acid group.
在一些具體的實施方案中,該L1與D正義鏈3’末端藉由磷酸酯基團、硫代磷酸酯基團或膦酸基團連接。In some specific embodiments, the L1 and the 3' end of the D sense strand are linked by a phosphate group, a phosphorothioate group, or a phosphonic acid group.
在一些具體的實施方案中,該L1與D正義鏈3’末端藉由磷酸酯基團或硫代磷酸酯基團直接連接。In some specific embodiments, the L1 and D sense strands are directly linked at the 3' end via a phosphate group or a phosphorothioate group.
在一些具體的實施方案中,該L1與D正義鏈3’末端藉由磷酸酯基團或硫代磷酸酯基團間接連接。In some specific embodiments, the L1 is indirectly linked to the 3' terminus of the D sense strand via a phosphate group or a phosphorothioate group.
在一些具體的實施方案中,siRNA綴合物正義鏈選自:SEQ ID NO:262至SEQ ID NO:281任一項。In some specific embodiments, the siRNA conjugate sense strand is selected from the group consisting of: any one of SEQ ID NO:262 to SEQ ID NO:281.
在一些具體的實施方案中,siRNA綴合物反義鏈選自:SEQ ID NO:202至SEQ ID NO:261任一項。In some specific embodiments, the siRNA conjugate antisense strand is selected from the group consisting of: any one of SEQ ID NO:202 to SEQ ID NO:261.
在一些具體的實施方案中,siRNA綴合物選自:In some specific embodiments, the siRNA conjugate is selected from:
正義鏈選自SEQ ID NO:262,和反義鏈選自SEQ ID NO:202、SEQ ID NO:222、或SEQ ID NO:242;the sense strand is selected from SEQ ID NO:262, and the antisense strand is selected from SEQ ID NO:202, SEQ ID NO:222, or SEQ ID NO:242;
正義鏈選自SEQ ID NO:263,和反義鏈選自SEQ ID NO:203、SEQ ID NO:223、或SEQ ID NO:243;the sense strand is selected from SEQ ID NO:263, and the antisense strand is selected from SEQ ID NO:203, SEQ ID NO:223, or SEQ ID NO:243;
正義鏈選自SEQ ID NO:264,和反義鏈選自SEQ ID NO:204、SEQ ID NO:224、或SEQ ID NO:244;the sense strand is selected from SEQ ID NO:264, and the antisense strand is selected from SEQ ID NO:204, SEQ ID NO:224, or SEQ ID NO:244;
正義鏈選自SEQ ID NO:265,和反義鏈選自SEQ ID NO:205、SEQ ID NO:225、或SEQ ID NO:245;the sense strand is selected from SEQ ID NO:265, and the antisense strand is selected from SEQ ID NO:205, SEQ ID NO:225, or SEQ ID NO:245;
正義鏈選自SEQ ID NO:266,和反義鏈選自SEQ ID NO:206、SEQ ID NO:226、或SEQ ID NO:246;the sense strand is selected from SEQ ID NO:266, and the antisense strand is selected from SEQ ID NO:206, SEQ ID NO:226, or SEQ ID NO:246;
正義鏈選自SEQ ID NO:267,和反義鏈選自SEQ ID NO:207、SEQ ID NO:227、或SEQ ID NO:247;the sense strand is selected from SEQ ID NO:267, and the antisense strand is selected from SEQ ID NO:207, SEQ ID NO:227, or SEQ ID NO:247;
正義鏈選自SEQ ID NO:268,和反義鏈選自SEQ ID NO:208、SEQ ID NO:228、或SEQ ID NO:248;the sense strand is selected from SEQ ID NO:268, and the antisense strand is selected from SEQ ID NO:208, SEQ ID NO:228, or SEQ ID NO:248;
正義鏈選自SEQ ID NO:269,和反義鏈選自SEQ ID NO:209、SEQ ID NO:229、或SEQ ID NO:249;the sense strand is selected from SEQ ID NO:269, and the antisense strand is selected from SEQ ID NO:209, SEQ ID NO:229, or SEQ ID NO:249;
正義鏈選自SEQ ID NO:270,和反義鏈選自SEQ ID NO:210、SEQ ID NO:230、或SEQ ID NO:250;the sense strand is selected from SEQ ID NO:270, and the antisense strand is selected from SEQ ID NO:210, SEQ ID NO:230, or SEQ ID NO:250;
正義鏈選自SEQ ID NO:271,和反義鏈選自SEQ ID NO:211、SEQ ID NO:231、或SEQ ID NO:251;the sense strand is selected from SEQ ID NO:271, and the antisense strand is selected from SEQ ID NO:211, SEQ ID NO:231, or SEQ ID NO:251;
正義鏈選自SEQ ID NO:272,和反義鏈選自SEQ ID NO:212、SEQ ID NO:232、或SEQ ID NO:252;the sense strand is selected from SEQ ID NO:272, and the antisense strand is selected from SEQ ID NO:212, SEQ ID NO:232, or SEQ ID NO:252;
正義鏈選自SEQ ID NO:273,和反義鏈選自SEQ ID NO:213、SEQ ID NO:233、或SEQ ID NO:253;the sense strand is selected from SEQ ID NO:273, and the antisense strand is selected from SEQ ID NO:213, SEQ ID NO:233, or SEQ ID NO:253;
正義鏈選自SEQ ID NO:274,和反義鏈選自SEQ ID NO:214、SEQ ID NO:234、或SEQ ID NO:254;the sense strand is selected from SEQ ID NO:274, and the antisense strand is selected from SEQ ID NO:214, SEQ ID NO:234, or SEQ ID NO:254;
正義鏈選自SEQ ID NO:275,和反義鏈選自SEQ ID NO:215、SEQ ID NO:235、或SEQ ID NO:255;the sense strand is selected from SEQ ID NO:275, and the antisense strand is selected from SEQ ID NO:215, SEQ ID NO:235, or SEQ ID NO:255;
正義鏈選自SEQ ID NO:276,和反義鏈選自SEQ ID NO:216、SEQ ID NO:236、或SEQ ID NO:256;the sense strand is selected from SEQ ID NO:276, and the antisense strand is selected from SEQ ID NO:216, SEQ ID NO:236, or SEQ ID NO:256;
正義鏈選自SEQ ID NO:277,和反義鏈選自SEQ ID NO:217、SEQ ID NO:237、或SEQ ID NO:257;the sense strand is selected from SEQ ID NO:277, and the antisense strand is selected from SEQ ID NO:217, SEQ ID NO:237, or SEQ ID NO:257;
正義鏈選自SEQ ID NO:278,和反義鏈選自SEQ ID NO:218、SEQ ID NO:238、或SEQ ID NO:258;the sense strand is selected from SEQ ID NO:278, and the antisense strand is selected from SEQ ID NO:218, SEQ ID NO:238, or SEQ ID NO:258;
正義鏈選自SEQ ID NO:279,和反義鏈選自SEQ ID NO:219、SEQ ID NO:239、或SEQ ID NO:259;the sense strand is selected from SEQ ID NO:279, and the antisense strand is selected from SEQ ID NO:219, SEQ ID NO:239, or SEQ ID NO:259;
正義鏈選自SEQ ID NO:280,和反義鏈選自SEQ ID NO:220、SEQ ID NO:240、或SEQ ID NO:260;the sense strand is selected from SEQ ID NO:280, and the antisense strand is selected from SEQ ID NO:220, SEQ ID NO:240, or SEQ ID NO:260;
正義鏈選自SEQ ID NO:281,和反義鏈選自SEQ ID NO:221、SEQ ID NO:241、或SEQ ID NO:261。The sense strand is selected from SEQ ID NO:281, and the antisense strand is selected from SEQ ID NO:221, SEQ ID NO:241, or SEQ ID NO:261.
本公開另一方面提供一種組成物,其包含上述綴合物,和一種或多種藥學上可接受的賦形劑,例如載劑、運載體、稀釋劑、和/或遞送聚合物。Another aspect of the present disclosure provides a composition comprising the above-described conjugate, and one or more pharmaceutically acceptable excipients, such as a carrier, vehicle, diluent, and/or delivery polymer.
各種遞藥系統是已知的並且可以用於本公開siRNA或siRNA綴合物,例如封裝在脂質體中、微粒、微囊、能夠表達該化合物的重組細胞、受體介導的細胞內吞作用、構建核酸作為逆轉錄病毒或其他載體的一部分。Various delivery systems are known and can be used for the siRNA or siRNA conjugates of the present disclosure, such as encapsulation in liposomes, microparticles, microcapsules, recombinant cells capable of expressing the compound, receptor-mediated endocytosis , construct nucleic acid as part of retrovirus or other vector.
本公開另一方面提供一種上述綴合物或含有綴合物的組成物在製備治療受試者疾病的藥物中的用途,在一些實施方案中選自肝源性疾病。Another aspect of the present disclosure provides a use of the above-mentioned conjugate or a composition containing the conjugate in the manufacture of a medicament for treating a disease in a subject, which in some embodiments is selected from liver-derived diseases.
本公開另一方面提供一種治療受試者疾病的法,包括向受試者給予上述綴合物,或組成物。Another aspect of the present disclosure provides a method of treating a disease in a subject, comprising administering to the subject the above-described conjugate, or composition.
本公開另一方面提供一種抑制受試者體內mRNA表達的方法,該方法包括給予受試者上述綴合物,或組成物。Another aspect of the present disclosure provides a method of inhibiting mRNA expression in a subject, the method comprising administering to the subject the above-described conjugate, or composition.
本公開另一方面提供一種體內遞送表達抑制性寡聚化合物至肝臟的方法,給與受試者上述綴合物,或組成物。Another aspect of the present disclosure provides a method of delivering an expression-inhibiting oligomeric compound to the liver in vivo by administering the above-described conjugate, or composition, to a subject.
本文所公開的綴合物、組成物和方法可以在細胞、細胞群、細胞群、組織或對象中降低靶mRNA的水平,包括:向對象給予治療有效量的本文所述的表達抑制性寡聚合物,該表達抑制性寡聚合物與靶向配體連接,從而抑制靶mRNA在對象中的表達。The conjugates, compositions, and methods disclosed herein can reduce the level of a target mRNA in a cell, cell population, cell population, tissue, or subject, comprising: administering to the subject a therapeutically effective amount of an expression-inhibiting oligomer described herein The expression-inhibiting oligomer is linked to a targeting ligand, thereby inhibiting the expression of the target mRNA in the subject.
在一些實施方式中,該對象已在先前被鑑定為在靶向的細胞或組織中具有靶基因的病原性上調。In some embodiments, the subject has been previously identified as having pathogenic upregulation of the target gene in the targeted cell or tissue.
本公開中所述的受試者是指患有將會受益於靶mRNA表達之減少或抑制的疾病或病症的對象。A subject as described in the present disclosure refers to a subject suffering from a disease or disorder that would benefit from reduction or inhibition of target mRNA expression.
遞送可以是藉由局部給藥(例如,直接注射、植入、或局部給予)、全身給藥、或皮下、靜脈內、腹膜內、或胃腸外途徑、包括顱內(例如,心室內、實質內和鞘內)、肌肉內、透皮、氣道(氣溶膠)、鼻、口服、直腸、或局部(包括口頰和舌下)給藥。Delivery can be by local administration (eg, direct injection, implantation, or topical administration), systemic administration, or subcutaneous, intravenous, intraperitoneal, or parenteral routes, including intracranial (eg, intraventricular, parenchymal) intramuscular, transdermal, airway (aerosol), nasal, oral, rectal, or topical (including buccal and sublingual) administration.
可選的實施方案中,本公開提供的醫藥組成物可以藉由注射給予,例如,靜脈內、肌內、皮內、皮下、十二指腸內或腹膜內注射。In alternative embodiments, the pharmaceutical compositions provided by the present disclosure can be administered by injection, eg, intravenous, intramuscular, intradermal, subcutaneous, intraduodenal, or intraperitoneal injection.
可選的實施方案中,當靶向配體與表達抑制性聚化合物連接成綴合物後,該綴合物可被包裝在試劑盒中。In alternative embodiments, after the targeting ligand is linked to the expression-inhibiting polymeric compound to form a conjugate, the conjugate can be packaged in a kit.
本公開還提供了一種醫藥組成物,其包含本公開的siRNA或siRNA綴合物。The present disclosure also provides a pharmaceutical composition comprising the siRNA or siRNA conjugate of the present disclosure.
在一些實施方案中,該醫藥組成物中還可以包含藥學上可接受的輔料和/或佐劑,該輔料可以為一種或多種本領域常規採用的各種製劑或化合物。例如,該藥學上可接受的輔料可以包括pH緩衝劑、保護劑和滲透壓調節劑中的至少一種。In some embodiments, the pharmaceutical composition may further include pharmaceutically acceptable adjuvants and/or adjuvants, and the adjuvants may be one or more various formulations or compounds conventionally used in the art. For example, the pharmaceutically acceptable adjuvant may include at least one of pH buffering agents, protecting agents and osmotic pressure adjusting agents.
在一些實施方案中,上述siRNA綴合物或醫藥組成物當接觸到表達靶基因的細胞時,由例如:psiCHECK活性篩選和螢光素酶報告基因檢測法,其他如PCR或基於分支DNA(bDNA)的方法、或基於蛋白質的方法,如免疫螢光分析法,例如Western Blot或流式細胞術測定的,上述siRNA綴合物或醫藥組成物會抑制靶基因的表達至少5%、至少10%、至少15%、至少20%、至少25%、至少30%、至少35%、至少40%、至少45%、至少50%、至少55%、至少60%、至少65%、至少70%、至少75%、至少80%、至少85%、至少90%、至少91%、至少92%、至少93%、至少94%、至少95%、至少96%、至少97%、至少98%、或至少99%。In some embodiments, the siRNA conjugates or pharmaceutical compositions described above, when contacted with cells expressing the target gene, are screened for, for example, psiCHECK activity and luciferase reporter gene assays, others such as PCR or branched DNA (bDNA) based assays. ), or protein-based methods, such as immunofluorescence assays, such as Western Blot or flow cytometry, the siRNA conjugates or pharmaceutical compositions described above inhibit the expression of the target gene by at least 5%, at least 10% ,at least 15%, at least 20%, at least 25%, at least 30%, at least 35%, at least 40%, at least 45%, at least 50%, at least 55%, at least 60%, at least 65%, at least 70%, at least 75% %, at least 80%, at least 85%, at least 90%, at least 91%, at least 92%, at least 93%, at least 94%, at least 95%, at least 96%, at least 97%, at least 98%, or at least 99% .
在一些實施方案中,上述siRNA綴合物或醫藥組成物當接觸到表達靶基因的細胞時,由例如:psiCHECK活性篩選和螢光素酶報告基因檢測法,其他如PCR或基於分支DNA(bDNA)的方法、或基於蛋白質的方法,如免疫螢光分析法,例如Western Blot或流式細胞術測定的,上述siRNA綴合物或醫藥組成物引起的靶基因mRNA剩餘表達百分比為不高於99%、不高於95%、不高於90%、不高於85%、不高於80%、不高於75%、不高於70%、不高於65%、不高於60%、不高於55%、不高於50%、不高於45%、不高於40%、不高於35%、不高於30%、不高於25%、不高於20%、不高於15%、或不高於10%。In some embodiments, the siRNA conjugates or pharmaceutical compositions described above, when contacted with cells expressing the target gene, are screened for, for example, psiCHECK activity and luciferase reporter gene assays, others such as PCR or branched DNA (bDNA) based assays. ) method, or a protein-based method, such as an immunofluorescence assay, such as Western Blot or flow cytometry, the residual expression percentage of target gene mRNA caused by the above-mentioned siRNA conjugate or pharmaceutical composition is not higher than 99% %, not higher than 95%, not higher than 90%, not higher than 85%, not higher than 80%, not higher than 75%, not higher than 70%, not higher than 65%, not higher than 60%, Not higher than 55%, Not higher than 50%, Not higher than 45%, Not higher than 40%, Not higher than 35%, Not higher than 30%, Not higher than 25%, Not higher than 20%, Not high at 15%, or not higher than 10%.
在一些實施方案中,siRNA綴合物或醫藥組成物當接觸到表達靶基因的細胞時,由例如:psiCHECK活性篩選和螢光素酶報告基因檢測法,其他如PCR或基於分支DNA(bDNA)的方法、或基於蛋白質的方法,如免疫螢光分析法,例如Western Blot、或流式細胞術測定的,siRNA綴合物在保持在靶活性的同時,將脫靶活性減少了至少20%、至少25%、至少30%、至少35%、至少40%、至少45%、至少50%、至少55%、至少60%、至少65%、至少70%或至少75%。In some embodiments, the siRNA conjugate or pharmaceutical composition, when contacted with cells expressing the target gene, is screened for, for example, psiCHECK activity and luciferase reporter gene assays, others such as PCR or branched DNA (bDNA) based assays. methods, or protein-based methods, such as immunofluorescence assays, such as Western Blot, or flow cytometry, the siRNA conjugate reduces off-target activity by at least 20%, at least 20%, while maintaining on-target activity. 25%, at least 30%, at least 35%, at least 40%, at least 45%, at least 50%, at least 55%, at least 60%, at least 65%, at least 70%, or at least 75%.
在一些實施方案中,siRNA綴合物或醫藥組成物當接觸到表達靶基因的細胞時,由例如:psiCHECK活性篩選和螢光素酶報告基因檢測法,其他如PCR或基於分支DNA(bDNA)的方法、或基於蛋白質的方法,如免疫螢光分析法,例如Western Blot、或流式細胞術測定的,siRNA綴合物使在靶活性降低至多20%、至多19%、至多15%、至多10%、至多5%或超過1%的同時,將脫靶活性減少了至少20%、至少25%、至少30%、至少35%、至少40%、至少45%、至少50%、至少55%、至少60%、至少65%、至少70%或至少75%。In some embodiments, the siRNA conjugate or pharmaceutical composition, when contacted with cells expressing the target gene, is screened for, for example, psiCHECK activity and luciferase reporter gene assays, others such as PCR or branched DNA (bDNA) based assays. methods, or protein-based methods,siRNA conjugates reduce on-target activity by up to 20%, up to 19%, up to 15%, up to 10%, up to 5%, or more than 1%, as determined by immunofluorescence assays, such as Western Blot, or flow cytometry % while reducing off-target activity by at least 20%, at least 25%, at least 30%, at least 35%, at least 40%, at least 45%, at least 50%, at least 55%, at least 60%, at least 65%, at least 70% or at least 75%.
在一些實施方案中,siRNA綴合物或醫藥組成物當接觸到表達靶基因的細胞時,由例如:psiCHECK活性篩選和螢光素酶報告基因檢測法,其他如PCR或基於分支DNA(bDNA)的方法、或基於蛋白質的方法,如免疫螢光分析法,例如Western Blot、或流式細胞術測定的,siRNA綴合物使在靶活性提高至少1%、至少5%、至少10%、至少15%、至少20%、至少25%、至少30%、至少35%、至少40%、至少45%、至少50%、至少55%、至少60%、至少65%、至少70%、至少75%或至少80%的同時,將脫靶活性減少了至少20%、至少25%、至少30%、至少35%、至少40%、至少45%、至少50%、至少55%、至少60%、至少65%、至少70%或至少75%。In some embodiments, the siRNA conjugate or pharmaceutical composition, when contacted with cells expressing the target gene, is screened for, for example, psiCHECK activity and luciferase reporter gene assays, others such as PCR or branched DNA (bDNA) based assays. methods, or protein-based methods, such as immunofluorescence assays, such as Western Blot, or flow cytometry, the siRNA conjugate increases on-target activity by at least 1%, at least 5%, at least 10%, at least 15%, at least 20%, at least 25%, at least 30%, at least 35%, at least 40%, at least 45%, at least 50%, at least 55%, at least 60%, at least 65%, at least 70%, at least 75% or at least 80% while reducing off-target activity by at least 20%, at least 25%, at least 30%, at least 35%, at least 40%, at least 45%, at least 50%, at least 55%, at least 60%, at least 65% %, at least 70%, or at least 75%.
本公開還提供了一種細胞,其包含本公開的siRNA或siRNA綴合物。The present disclosure also provides a cell comprising the siRNA or siRNA conjugate of the present disclosure.
本公開還提供了一種試劑盒,其包含本公開的siRNA或siRNA綴合物。The present disclosure also provides a kit comprising the siRNA or siRNA conjugate of the present disclosure.
本公開還提供了一種用於沉默細胞中靶基因或靶基因的mRNA的方法,該方法包括將根據本公開的siRNA、siRNA綴合物和/或醫藥組成物引入該細胞中的步驟。The present disclosure also provides a method for silencing a target gene or mRNA of a target gene in a cell, the method comprising the step of introducing into the cell an siRNA, siRNA conjugate and/or pharmaceutical composition according to the present disclosure.
本公開還提供了一種用於在體內或在體外沉默細胞中靶基因或靶基因的mRNA的方法,該方法包括將根據本公開的siRNA、siRNA綴合物和/或醫藥組成物引入該細胞中的步驟。The present disclosure also provides a method for silencing a target gene or mRNA of a target gene in a cell in vivo or in vitro, the method comprising introducing into the cell an siRNA, siRNA conjugate and/or pharmaceutical composition according to the present disclosure A step of.
本公開還提供了一種用於抑制靶基因或靶基因的mRNA表達的方法,該方法包括向有其需要的受試者施用有效量或有效劑量的根據本公開的siRNA、siRNA綴合物和/或醫藥組成物。The present disclosure also provides a method for inhibiting mRNA expression of a target gene or target gene, the method comprising administering to a subject in need thereof an effective amount or an effective dose of an siRNA, siRNA conjugate and/or according to the present disclosure or pharmaceutical compositions.
在一些實施方案中,施用藉由包括肌肉內、支氣管內、胸膜內、腹膜內、動脈內、淋巴、靜脈內、皮下、腦脊髓、或其組合的給藥方式進行。In some embodiments, administration is by means of administration including intramuscular, intrabronchial, intrapleural, intraperitoneal, intraarterial, lymphatic, intravenous, subcutaneous, cerebrospinal, or a combination thereof.
在一些實施方案中,siRNA、siRNA綴合物和/或醫藥組成物的有效量或有效劑量為約0.001mg/kg體重至約200mg/kg體重、約0.01mg/kg體重至約100mg/kg體重或約0.5mg/kg體重至約50mg/kg體重。In some embodiments, the effective amount or effective dose of the siRNA, siRNA conjugate and/or pharmaceutical composition is about 0.001 mg/kg body weight to about 200 mg/kg body weight, about 0.01 mg/kg body weight to about 100 mg/kg body weight Or about 0.5 mg/kg body weight to about 50 mg/kg body weight.
在一些實施方案中,靶基因是凝血因子XI基因。In some embodiments, the target gene is the factor XI gene.
本公開還提供了一種醫藥組成物,其包含本公開的siRNA或siRNA綴合物。The present disclosure also provides a pharmaceutical composition comprising the siRNA or siRNA conjugate of the present disclosure.
在一些實施方案中,該醫藥組成物中還可以包含藥學上可接受的輔料和/或佐劑,該輔料可以為一種或多種本領域常規採用的各種製劑或化合物。例如,該藥學上可接受的輔料可以包括pH緩衝劑、保護劑和滲透壓調節劑中的至少一種。In some embodiments, the pharmaceutical composition may further include pharmaceutically acceptable adjuvants and/or adjuvants, and the adjuvants may be one or more various formulations or compounds conventionally used in the art. For example, the pharmaceutically acceptable adjuvant may include at least one of pH buffering agents, protecting agents and osmotic pressure adjusting agents.
在一些實施方案中,上述siRNA綴合物或醫藥組成物當接觸到表達靶基因的細胞時,由例如:PCR或基於分支DNA(bDNA)的方法、或基於蛋白質的方法,如免疫螢光分析法,例如Western Blot或流式細胞術測定的,上述siRNA綴合物或醫藥組成物會抑制靶基因的表達至少5%、至少10%、至少15%、至少20%、至少25%、至少30%、至少35%、至少40%、至少45%、至少50%、至少55%、至少60%、至少65%、至少70%、至少75%、至少80%、至少85%、至少90%、至少91%、至少92%、至少93%、至少94%、至少95%、至少96%、至少97%、至少98%、或至少99%。In some embodiments, the siRNA conjugates or pharmaceutical compositions described above, when contacted with cells expressing the target gene, are analyzed by, for example, PCR or branched DNA (bDNA)-based methods, or protein-based methods, such as immunofluorescence analysis The aforementioned siRNA conjugate or pharmaceutical composition inhibits the expression of the target gene by at least 5%, as determined by Western Blot or flow cytometry, for example,at least 10%, at least 15%, at least 20%, at least 25%, at least 30%, at least 35%, at least 40%, at least 45%, at least 50%, at least 55%, at least 60%, at least 65%, at least 70% %, at least 75%, at least 80%, at least 85%, at least 90%, at least 91%, at least 92%, at least 93%, at least 94%, at least 95%, at least 96%, at least 97%, at least 98%, or at least 99%.
在一些實施方案中,上述siRNA綴合物或醫藥組成物當接觸到表達靶基因的細胞時,由例如:PCR或基於分支DNA(bDNA)的方法、或基於蛋白質的方法,如免疫螢光分析法,例如Western Blot或流式細胞術測定的,上述siRNA綴合物或醫藥組成物引起的靶基因mRNA剩餘表達百分比為不高於99%、不高於95%、不高於90%、不高於85%、不高於80%、不高於75%、不高於70%、不高於65%、不高於60%、不高於55%、不高於50%、不高於45%、不高於40%、不高於35%、不高於30%、不高於25%、不高於20%、不高於15%、或不高於10%。In some embodiments, the siRNA conjugates or pharmaceutical compositions described above, when contacted with cells expressing the target gene, are analyzed by, for example, PCR or branched DNA (bDNA)-based methods, or protein-based methods, such as immunofluorescence analysis For example, as determined by Western Blot or flow cytometry, the residual expression percentage of target gene mRNA caused by the above-mentioned siRNA conjugate or pharmaceutical composition is not higher than 99%, not higher than 95%, not higher than 90%, not higher than 90%. higher than 85%, not higher than 80%, not higher than 75%, not higher than 70%, not higher than 65%, not higher than 60%, not higher than 55%, not higher than 50%, not higher than 45%, no more than 40%, no more than 35%, no more than 30%, no more than 25%, no more than 20%, no more than 15%, or no more than 10%.
本公開還提供了一種細胞,其包含本公開的siRNA或siRNA綴合物。The present disclosure also provides a cell comprising the siRNA or siRNA conjugate of the present disclosure.
本公開還提供了一種試劑盒,其包含本公開的siRNA或siRNA綴合物。The present disclosure also provides a kit comprising the siRNA or siRNA conjugate of the present disclosure.
本公開還提供了一種siRNA、siRNA綴合物或包含其的醫藥組成物,其用於治療和/或預防患有凝血因子XI相關疾病的受試者。The present disclosure also provides an siRNA, a siRNA conjugate, or a pharmaceutical composition comprising the same, for treating and/or preventing a subject suffering from a coagulation factor XI-related disease.
本公開還提供了根據本公開的siRNA、siRNA綴合物或醫藥組成物在製備用於治療和/或預防患有凝血因子XI相關疾病的受試者的藥物中的用途。The present disclosure also provides use of the siRNA, siRNA conjugate or pharmaceutical composition according to the present disclosure in the manufacture of a medicament for the treatment and/or prevention of a subject suffering from a factor XI-related disease.
本公開還提供了一種治療/預防凝血因子XI相關疾病的方法,其包括向有其需要的對象施用治療和/或預防有效量的根據本公開的siRNA、siRNA綴合物或根據本公開的醫藥組成物。The present disclosure also provides a method of treating/preventing a coagulation factor XI-related disease, comprising administering to a subject in need thereof a therapeutically and/or prophylactically effective amount of the siRNA, siRNA conjugate, or medicament according to the present disclosure composition.
在一些實施方案中,施用藉由包括肌肉內、支氣管內、胸膜內、腹膜內、動脈內、淋巴、靜脈內、皮下、腦脊髓、或其組合的給藥方式進行。In some embodiments, administration is by means of administration including intramuscular, intrabronchial, intrapleural, intraperitoneal, intraarterial, lymphatic, intravenous, subcutaneous, cerebrospinal, or a combination thereof.
在一些實施方案中,凝血因子XI相關疾病是血栓栓塞性併發症,特別是深靜脈血栓形成、肺栓塞、心肌梗塞或中風。在一些實施方案中,個體具有血液凝結紊亂的風險,包括但不限於,梗塞、血栓形成、栓塞以及血栓栓塞,比如如深靜脈血栓形成、肺栓塞、心肌梗塞和中風。這包括個體具有引起血栓形成風險的後天問題、疾病或紊亂,例如手術、癌症、不動、敗血症、動脈粥樣硬化、心房顫動等,以及例如抗磷脂綜合症和常染色體顯性遺傳的因子V Leiden突變等遺傳傾向性。在一些實施例中,個體被鑑定為需要抗凝治療。這樣的個體的例子包括但不限於,那些經受大型矯形手術(例如,髖骨/膝關節置換術或髖骨骨折手術)的人以及如那些經歷心房顫動需防止中風等需要長期治療的病人。In some embodiments, the factor XI-related disorder is a thromboembolic complication, particularly deep vein thrombosis, pulmonary embolism, myocardial infarction, or stroke. In some embodiments, the individual is at risk for blood clotting disorders, including, but not limited to, infarction, thrombosis, embolism, and thromboembolism, such as, for example, deep vein thrombosis, pulmonary embolism, myocardial infarction, and stroke. This includes individuals with acquired problems, diseases or disorders that pose a risk of thrombosis, such as surgery, cancer, immobility, sepsis, atherosclerosis, atrial fibrillation, etc., as well as factors such as antiphospholipid syndrome and autosomal dominant inheritance of Factor V Leiden Genetic predisposition such as mutation. In some embodiments, the individual is identified as in need of anticoagulation therapy. Examples of such individuals include, but are not limited to, those undergoing major orthopaedic surgery (eg, hip/knee replacement or hip fracture surgery) and patients requiring long-term treatment such as those experiencing atrial fibrillation to prevent stroke.
本公開還提供了一種抑制細胞中FXI基因表達的方法。該方法包括使細胞與本公開的siRNA、siRNA綴合物或包含其的醫藥組成物接觸,並維持一段足以達到FXI基因的mRNA轉錄本降解的時間,從而抑制細胞中FXI基因的表達。The present disclosure also provides a method of inhibiting FXI gene expression in a cell. The method includes contacting a cell with an siRNA, siRNA conjugate, or a pharmaceutical composition comprising the same of the present disclosure, and maintaining for a time sufficient to achieve degradation of the mRNA transcript of the FXI gene, thereby inhibiting the expression of the FXI gene in the cell.
本公開還提供了一種用於沉默細胞中靶基因或靶基因的mRNA的方法,該方法包括將根據本公開的siRNA、siRNA綴合物或根據本公開的醫藥組成物引入該細胞中的步驟。The present disclosure also provides a method for silencing a target gene or mRNA of a target gene in a cell, the method comprising the step of introducing an siRNA, a siRNA conjugate, or a pharmaceutical composition according to the present disclosure into the cell.
本公開還提供了一種用於在體內或在體外沉默細胞中靶基因或靶基因的mRNA的方法,該方法包括將根據本公開的siRNA、siRNA綴合物或根據本公開的醫藥組成物引入該細胞中的步驟。The present disclosure also provides a method for silencing a target gene or mRNA of a target gene in a cell in vivo or in vitro, the method comprising introducing an siRNA, an siRNA conjugate, or a pharmaceutical composition according to the present disclosure into the steps in cells.
本公開還提供了一種用於抑制靶基因或靶基因的mRNA表達的方法,該方法包括向有其需要的受試者施用根據本公開的siRNA、siRNA綴合物或包含其的醫藥組成物。The present disclosure also provides a method for inhibiting a target gene or mRNA expression of a target gene, the method comprising administering to a subject in need thereof an siRNA, an siRNA conjugate, or a pharmaceutical composition comprising the same according to the present disclosure.
在一些實施方案中,靶基因是人凝血因子XI基因、TTR基因。In some embodiments, the target gene is the human factor XI gene, TTR gene.
本公開還提供了一種siRNA或siRNA綴合物,其特徵在於以鹼基T,替換本公開任一siRNA或siRNA綴合物的一個或多個鹼基U,例如1個、2個、3個、3個、5個、6個、7個、8個、9個、10個。The present disclosure also provides an siRNA or siRNA conjugate, characterized in that a base T is used to replace one or more bases U of any siRNA or siRNA conjugate of the present disclosure, such as 1, 2, 3 bases , 3, 5, 6, 7, 8, 9, 10.
本公開中所述化合物可藥用鹽選自無機鹽或有機鹽,本公開所述化合物可與酸性或鹼性物質反應成相應鹽。The pharmaceutically acceptable salts of the compounds described in the present disclosure are selected from inorganic salts or organic salts, and the compounds described in the present disclosure can react with acidic or basic substances to form corresponding salts.
另一方面,在不指明構型的情況下,本公開化合物可以存在特定的幾何或立體異構體形式。本公開設想所有的這類化合物,包括順式和反式異構體、(-)-和(+)-對對映體、(R)-和(S)-對映體、非對映異構體、(D)-異構體、(L)-異構體,及其外消旋混合物和其他混合物,例如對映異構體或非對映體富集的混合物,所有這些混合物都屬本公開的範圍之內。烷基等取代基中可存在另外的不對稱碳原子。所有這些異構體以及它們的混合物,均包括在本公開的範圍之內。On the other hand, where no configuration is indicated, the compounds of the present disclosure may exist in particular geometric or stereoisomeric forms. This disclosure contemplates all such compounds, including cis and trans isomers, (-)- and (+)-enantiomers, (R)- and (S)-enantiomers, diastereomers isomers, (D)-isomers, (L)-isomers, and racemic and other mixtures thereof, such as enantiomerically or diastereomerically enriched mixtures, all of which are within the scope of this disclosure. Additional asymmetric carbon atoms may be present in substituents such as alkyl. All such isomers, as well as mixtures thereof, are included within the scope of this disclosure.
另外,在不指明構型的情況下,本公開的化合物和中間體還可以以不同的互變異構體形式存在,並且所有這樣的形式包含於本公開的範圍內。術語“互變異構體”或“互變異構體形式”是指可經由低能壘互變的不同能量的結構異構體。例如,質子互變異構體(也稱為質子轉移互變異構體)包括經由質子遷移的互變,如酮-烯醇及亞胺-烯胺、內醯胺-內醯亞胺異構化。內醯胺-內醯亞胺平衡實例是在如下所示的A和B之間。In addition, without specifying configuration, the compounds and intermediates of the present disclosure may also exist in different tautomeric forms, and all such forms are included within the scope of the present disclosure. The term "tautomer" or "tautomeric form" refers to a form that is interconvertible via a low energy barrierStructural isomers of different energies. For example, proton tautomers (also known as proton tautomers) include interconversions via migration of protons, such as keto-enol and imine-enamine, lactamine-lactamine isomerizations. An example of a lactam-lactamine equilibrium is between A and B as shown below.
本公開中的所有化合物可以被畫成A型或B型。所有的互變異構形式在本公開的範圍內。化合物的命名不排除任何互變異構體。All compounds in this disclosure can be drawn as either A or B type. All tautomeric forms are within the scope of this disclosure. The naming of compounds does not exclude any tautomers.
本公開化合物可以是不對稱的,例如,具有一個或多個立體異構體。除非另有說明,所有立體異構體都包括,如對映異構體和非對映異構體。本公開的含有不對稱碳原子的化合物可以以光學活性純的形式或外消旋形式被分離出來。光學活性純的形式可以從外消旋混合物拆分,或藉由使用手性原料或手性試劑合成。The compounds of the present disclosure may be asymmetric, eg, have one or more stereoisomers. Unless otherwise specified, all stereoisomers include, such as enantiomers and diastereomers. Compounds of the present disclosure containing asymmetric carbon atoms can be isolated in optically pure or racemic forms. Optically pure forms can be resolved from racemic mixtures or synthesized by using chiral starting materials or chiral reagents.
可以藉由的手性合成或手性試劑或者其他常規技術製備光學活性的(R)-和(S)-異構體以及D和L異構體。如果想得到本公開某化合物的一種對映體,可以藉由不對稱合成或者具有手性助劑的衍生作用來製備,其中將所得非對映體混合物分離,並且輔助基團裂開以提供純的所需對映異構體。或者,當分子中含有鹼性官能團(如胺基)或酸性官能團(如羧基)時,與適當的光學活性的酸或鹼形成非對映異構體的鹽,然後藉由本領域所公知的常規方法進行非對映異構體拆分,然後回收得到純的對映體。此外,對映異構體和非對映異構體的分離通常是藉由使用色譜法完成的,該色譜法採用手性固定相,並任選地與化學衍生法相結合(例如由胺生成胺基甲酸鹽)。Optically active (R)- and (S)-isomers, as well as D and L isomers, can be prepared by chiral synthesis or chiral reagents or other conventional techniques. If an enantiomer of a compound of the present disclosure is desired, it can be prepared by asymmetric synthesis or derivatization with a chiral auxiliary, wherein the resulting mixture of diastereomers is separated and the auxiliary group is cleaved to provide pure desired enantiomer. Alternatively, when the molecule contains a basic functional group (such as an amine group) or an acidic functional group (such as a carboxyl group), a diastereomeric salt is formed with an appropriate optically active acid or base, and then the diastereoisomeric salt is formed by conventional methods known in the art. The method performs the resolution of diastereomers, followed by recovery of the pure enantiomers. Furthermore, the separation of enantiomers and diastereomers is usually accomplished by the use of chromatography,The chromatography employs a chiral stationary phase and is optionally combined with chemical derivatization (eg, carbamate from amines).
本公開還包括一些與本文中記載的那些相同的,但一個或多個原子被原子量或質量數不同於自然中通常發現的原子量或質量數的原子置換的同位素標記的本公開化合物。可結合到本公開化合物的同位素的實例包括氫、碳、氮、氧、磷、硫、氟、碘和氯的同位素,諸如分別為2H、3H、11C、13C、14C、13N、15N、15O、17O、18O、31P、32P、35S、18F、123I、125I和36Cl等。The present disclosure also includes certain isotopically-labeled compounds of the present disclosure which are identical to those described herein, but wherein one or more atoms are replaced by an atom having an atomic weight or mass number different from that normally found in nature. Examples of isotopes that can be incorporated into the compounds of the present disclosure include isotopes of hydrogen, carbon, nitrogen, oxygen, phosphorus, sulfur, fluorine, iodine, and chlorine, such as 2H,3H ,11C ,13C ,14C ,13 ,respectively N,15 N,15 O,17 O,18 O,31 P,32 P,35 S,18 F,123 I,125 I and36 Cl and the like.
除另有說明,當一個位置被特別地指定為氘(D)時,該位置應理解為具有大於氘的天然豐度(其為0.015%)至少1000倍的豐度的氘(即,至少10%的氘摻入)。示例中化合物的具有大於氘的天然豐度可以是至少1000倍的豐度的氘、至少2000倍的豐度的氘、至少3000倍的豐度的氘、至少4000倍的豐度的氘、至少5000倍的豐度的氘、至少6000倍的豐度的氘或更高豐度的氘。本公開還包括各種氘化形式的式I化合物。與碳原子連接的各個可用的氫原子可獨立地被氘原子替換。所屬技術領域具有通常知識者能夠參考相關文獻合成氘化形式的式I化合物。在製備氘代形式的式I化合物時可使用市售的氘代起始物質,或它們可使用常規技術採用氘代試劑合成,氘代試劑包括但不限於氘代硼烷、三氘代硼烷四氫呋喃溶液、氘代氫化鋰鋁、氘代碘乙烷和氘代碘甲烷等。Unless otherwise stated, when a position is specifically designated as deuterium (D), the position is understood to have an abundance of deuterium (ie, at least 10 times greater than the natural abundance of deuterium, which is 0.015%), at least 1000 times greater % deuterium incorporation). Exemplary compounds having natural abundance greater than deuterium may be at least 1000 times more abundant deuterium, at least 2000 times more abundant deuterium, at least 3000 times more abundant deuterium, at least 4000 times more abundant deuterium, at least 4000 times more abundant 5000 times more abundant deuterium, at least 6000 times more abundant deuterium or more abundant deuterium. The present disclosure also includes compounds of Formula I in various deuterated forms. Each available hydrogen atom attached to a carbon atom can be independently replaced by a deuterium atom. One of ordinary skill in the art can refer to the relevant literature to synthesize the compound of formula I in deuterated form. Commercially available deuterated starting materials can be used in preparing deuterated forms of the compounds of formula I, or they can be synthesized using conventional techniques using deuterated reagents including, but not limited to, deuterated borane, trideuterated borane Tetrahydrofuran solution, deuterated lithium aluminum hydride, deuterated iodoethane and deuterated iodomethane, etc.
在不指明構型的情況下,本公開所述化合物的化學結構中,鍵“/”表示未指定構型,即如果化學結構中存在手性異構體,鍵“/”可以為“”或“”,或者同時包含“”和“”兩種構型。雖然為簡便起見將全部上述結構式畫成某些異構體形式,但是本公開可以包括所有的異構體,如互變異構體、旋轉異構體、幾何異構體、非對映異構體、外消旋體和對映異構體。本公開所述化合物的化學結構中,鍵“”並未指定構型,即鍵“”的構型可以為E型或Z型,或者同時包含E和Z兩種構型。Without specifying the configuration, in the chemical structure of the compound described in the present disclosure, the bond "/" represents the unspecified configuration, that is, if there is a chiral isomer in the chemical structure, the bond "/" can be "/" "or" ", or both " "and" " two configurations. Although all of the above structural formulae are drawn as certain isomeric forms for simplicity, the present disclosure may include all isomers, such as tautomers, rotamers, geometric isomers isomers, diastereomers, racemates and enantiomers. In the chemical structures of the compounds described in this disclosure, the bond " "No configuration specified, i.e. bond" The configuration of " can be E or Z, or both E and Z configurations.
術語解釋Terminology Explanation
為了更容易理解本公開,以下具體定義了一些技術和科學術語。除非在本文中另有明確定義,本文使用的所有其它技術和科學術語都具有本公開所屬技術領域具有通常知識者通常理解的含義。For an easier understanding of the present disclosure, some technical and scientific terms are specifically defined below. Unless explicitly defined otherwise herein, all other technical and scientific terms used herein have the same meaning as commonly understood by one of ordinary skill in the art to which this disclosure belongs.
本公開上下文中,術語“因子XI”、“因子11”、“凝血因子XI”、“凝血因子11”、“FXI”和“F11”可互換使用。“因子XI核酸”是指編碼因子XI的任意核酸。例如,在一些實施例中,因子XI核酸包括編碼因子XI的DNA序列例如“因子XI基因”,由編碼因子XI的DNA轉錄的RNA序列(包括含內含子和外顯子的基因組DNA)以及編碼因子XI的mRNA序列。“因子XI基因”是下列序列中的任一個:GENBANK登錄號NM_000128:3,GENBANK登錄號NT_022792.17,19598000至19624000缺失,GENBANK登錄號NM_028066.1,外顯子1-15,GENBANK登錄號NW_001118167.1。“因子XI mRNA”是指編碼因子XI蛋白的mRNA。In the context of this disclosure, the terms "factor XI", "factor 11", "factor XI", "factor 11", "FXI" and "F11" are used interchangeably. "Factor XI nucleic acid" refers to any nucleic acid encoding Factor XI. For example, in some embodiments, a factor XI nucleic acid includes a DNA sequence encoding factor XI such as a "factor XI gene," an RNA sequence transcribed from DNA encoding factor XI (including intron- and exon-containing genomic DNA), and mRNA sequence encoding factor XI. "Factor XI gene" is any of the following sequences: GENBANK Accession No. NM_000128:3, GENBANK Accession No. NT_022792.17, 19598000 to 19624000 deletion, GENBANK Accession No. NM_028066.1, exons 1-15, GENBANK Accession No. NW_001118167 .1. "Factor XI mRNA" refers to mRNA encoding Factor XI protein.
如本文所使用的,在RNA介導的基因沉默的情形中,siRNA的正義鏈(又稱SS、SS鏈或有義鏈)是指包含與靶mRNA序列相同或基本上相同的序列的鏈;siRNA的反義鏈(又稱AS或AS鏈)是指具有與靶mRNA序列互補的序列的鏈。As used herein, in the context of RNA-mediated gene silencing, the sense strand (also known as SS, SS or sense strand) of an siRNA refers to the strand comprising the same or substantially the same sequence as the target mRNA sequence; The antisense strand (also called AS or AS strand) of an siRNA refers to the strand having a sequence complementary to the target mRNA sequence.
如無特別說明,在本公開上下文中,大寫字母C、G、U、A、T表示核苷酸的鹼基組成;小寫字母d表示該字母d右側相鄰的一個核苷酸為脫氧核糖核苷酸;小寫字母m表示該字母m左側相鄰的一個核苷酸為甲氧基修飾的核苷酸;小寫字母f表示該字母f左側相鄰的一個核苷酸為氟修飾的核苷酸;小寫字母s表示與該字母s左右相鄰的兩個核苷酸之間為硫代磷酸酯基連接。Unless otherwise specified, in the context of the present disclosure, capital letters C, G, U, A, T represent the base composition of nucleotides; lowercase letter d represents a nucleoside adjacent to the right side of the letter dAcid is deoxyribonucleotide; lowercase letter m indicates that the adjacent nucleotide to the left of the letter m is a methoxy-modified nucleotide; lowercase letter f indicates that the adjacent nucleotide to the left of the letter f is fluorine Modified nucleotides; the lowercase letter s indicates a phosphorothioate linkage between the two nucleotides adjacent to the letter s.
如本文所使用的,術語“氟修飾的核苷酸”指核苷酸的核糖基2'位的羥基被氟取代形成的核苷酸,“非氟修飾的核苷酸”指核苷酸的核糖基2'位的羥基被非氟基團取代形成的核苷酸或核苷酸類似物,“核苷酸類似物”指能夠在核酸中代替核苷酸,但結構不同於腺嘌呤核糖核苷酸、鳥嘌呤核糖核苷酸、胞嘧啶核糖核苷酸、尿嘧啶核糖核苷酸或胸腺嘧啶脫氧核糖核苷酸的基團。如異核苷酸、橋聯的核苷酸(bridged nucleic acid,簡稱BNA)或無環核苷酸。該甲氧基修飾的核苷酸指核糖基的2'-羥基被甲氧基取代而形成的核苷酸。異核苷酸是指核苷酸中鹼基在核糖環上的位置發生改變而形成的化合物。在一些實施方式中,異核苷酸可以是鹼基從核糖環的1'-位移動至2'-位或3'-位而形成的化合物。BNA是指受約束的或不能接近的核苷酸。BNA可以含有五員環、六員環、或七員環的具有“固定的”C3'-內切糖縮攏的橋聯結構。通常將該橋摻入到該核糖的2'-、4'-位處以提供一個2',4'-BNA核苷酸。在一些實施方式中,BNA可以是LNA、ENA、cETBNA等。無環核苷酸是核苷酸的糖環被打開形成的一類核苷酸。在一些實施方式中,無環核苷酸可以是解鎖核酸(UNA)或甘油核酸(GNA)。As used herein, the term "fluorine-modified nucleotide" refers to a nucleotide formed by substituting the hydroxyl group at the 2' position of the ribosyl of a nucleotide with fluorine, and "non-fluorine-modified nucleotide" refers to a nucleotide of Nucleotides or nucleotide analogs in which the hydroxyl group at the 2' position of the ribosyl group is replaced by a non-fluorine group. "Nucleotide analogs" refer to the ability to replace nucleotides in nucleic acids, but the structure is different from adenine ribose nucleus A group of nucleotides, guanine ribonucleotides, cytosine ribonucleotides, uracil ribonucleotides, or thymidine ribonucleotides. Such as isonucleotides, bridged nucleotides (bridged nucleic acid, BNA for short) or acyclic nucleotides. The methoxy-modified nucleotide refers to a nucleotide in which the 2'-hydroxyl group of the ribosyl group is substituted with a methoxy group. Isonucleotides refer to compounds formed by changing the position of the base in the nucleotide on the ribose ring. In some embodiments, the isonucleotide may be a compound formed by moving the base from the 1'-position to the 2'-position or the 3'-position of the ribose ring. BNA refers to constrained or inaccessible nucleotides. The BNA may contain a five-, six-, or seven-membered ring bridged structure with "fixed" C3'-endoglycan constriction. The bridge is typically incorporated at the 2'-,4'-position of the ribose sugar to provide a 2',4'-BNA nucleotide. In some embodiments, the BNA can be LNA, ENA, cETBNA, or the like. Acyclic nucleotides are a class of nucleotides formed by opening the sugar ring of a nucleotide. In some embodiments, an acyclic nucleotide can be an unlocked nucleic acid (UNA) or a glycerol nucleic acid (GNA).
在本公開的上下文中,一個核苷酸序列與另外一個核苷酸序列存在“核苷酸差異”,是指前者與後者相比,相同位置的核苷酸的鹼基種類發生了改變,例如,在後者中一個核苷酸鹼基為A時,在前者的相同位置處的對應核苷酸鹼基為U、C、G或者T的情況下,認定為兩個核苷酸序列之間在該位置處存在核苷酸差異。在一些實施方式中,以無鹼基核苷酸或其等同物代替原位置的核苷酸時,也可認為在該位置處產生了核苷酸差異。In the context of the present disclosure, a "nucleotide difference" between a nucleotide sequence and another nucleotide sequence means that the base type of the nucleotide at the same position has changed in the former compared with the latter, such as , when one nucleotide base is A in the latter, and the corresponding nucleotide base at the same position of the former is U, C, G or T, it is considered that the distance between the two nucleotide sequences is There is a nucleotide difference at this position. In some embodiments, abasic nucleotides areA nucleotide difference at that position is also considered to have occurred when the nucleotide at the original position is replaced by an equivalent or an equivalent thereof.
在描述本文所述的siRNA正義鏈的上下文中,術語“‘與表1中任一正義鏈相差不超過3個核苷酸序列的至少15個連續核苷酸”旨在表示本文所述的siRNA正義鏈包含如表1中任一正義鏈的至少15個連續核苷酸,或與表1中任一正義鏈的至少15個連續核苷酸相差不超過3個核苷酸序列,任選地,相差不超過2個核苷酸序列,任選地,相差1個核苷酸序列。任選地,本文所述的siRNA正義鏈包含如表1中任一正義鏈的至少16個連續核苷酸,或與表1中任一正義鏈的至少16個連續核苷酸相差不超過3個核苷酸序列,任選地,相差不超過2個核苷酸序列,任選地,相差1個核苷酸序列;In the context of describing the sense strands of siRNAs described herein, the term "' at least 15 contiguous nucleotides that differ by no more than 3 nucleotide sequences from any of the sense strands in Table 1" is intended to mean the siRNAs described herein The sense strand comprises at least 15 contiguous nucleotides of any of the sense strands in Table 1, or differs by no more than 3 nucleotide sequences from at least 15 contiguous nucleotides of any of the sense strands in Table 1, optionally , differ by no more than 2 nucleotide sequences, and optionally, differ by 1 nucleotide sequence. Optionally, the siRNA sense strands described herein comprise at least 16 contiguous nucleotides of any one of the sense strands in Table 1, or differ by no more than 3 from at least 16 contiguous nucleotides of any one of the sense strands in Table 1 nucleotide sequences, optionally, differ by no more than 2 nucleotide sequences, optionally, differ by 1 nucleotide sequence;
任選地,本文所述的siRNA正義鏈包含如表1中任一正義鏈的至少17個連續核苷酸,或與表1中任一正義鏈的至少17個連續核苷酸相差不超過3個核苷酸序列,任選地,相差不超過2個核苷酸序列,任選地,相差1個核苷酸序列;Optionally, the siRNA sense strands described herein comprise at least 17 contiguous nucleotides of any one of the sense strands in Table 1, or differ by no more than 3 from at least 17 contiguous nucleotides of any one of the sense strands in Table 1 nucleotide sequences, optionally, differ by no more than 2 nucleotide sequences, optionally, differ by 1 nucleotide sequence;
任選地,本文所述的siRNA正義鏈包含如表1中任一正義鏈的至少18個連續核苷酸,或與表1中任一正義鏈的至少18個連續核苷酸相差不超過3個核苷酸序列,任選地,相差不超過2個核苷酸序列,任選地,相差1個核苷酸序列;Optionally, the siRNA sense strands described herein comprise at least 18 contiguous nucleotides of any one of the sense strands in Table 1, or differ by no more than 3 from at least 18 contiguous nucleotides of any one of the sense strands in Table 1 nucleotide sequences, optionally, differ by no more than 2 nucleotide sequences, optionally, differ by 1 nucleotide sequence;
任選地,本文所述的siRNA正義鏈包含如表1中任一正義鏈的全部19個連續核苷酸,或與表1中任一正義鏈的全部19個連續核苷酸相差不超過3個核苷酸序列,任選地,相差不超過2個核苷酸序列,任選地,相差1個核苷酸序列。Optionally, the siRNA sense strands described herein comprise all 19 contiguous nucleotides of any one of the sense strands in Table 1, or differ by no more than 3 from all 19 contiguous nucleotides of any one of the sense strands in Table 1 The nucleotide sequences, optionally, differ by no more than 2 nucleotide sequences, optionally, by 1 nucleotide sequence.
在描述本文所述的siRNA反義鏈的上下文中,術語“與表1中任一反義鏈相差不超過3個核苷酸序列的至少15個連續核苷酸”旨在表示本文所述的siRNA反義鏈包含如表1中任一反義鏈的至少15個連續核苷酸,或與表1中任一反義鏈的至少15個連續核苷酸相差不超過3個核苷酸序列,任選地,相差不超過2個核苷酸序列,任選地,相差1個核苷酸序列。In the context of describing the siRNA antisense strands described herein, the term "at least 15 contiguous nucleotides that differ by no more than 3 nucleotide sequences from any of the antisense strands in Table 1" is intended to mean the The siRNA antisense strand comprises at least 15 contiguous nucleotides of any antisense strand in Table 1, or differs by no more than 3 nucleotide sequences from at least 15 contiguous nucleotides of any antisense strand in Table 1 , optionally, differ by no more than 2 nucleotide sequences, optionally, differ by 1 nucleotide sequence.
任選地,本文所述的siRNA反義鏈包含如表1中任一反義鏈的至少16個連續核苷酸,或與表1中任一反義鏈的至少16個連續核苷酸相差不超過3個核苷酸序列,任選地,相差不超過2個核苷酸序列,任選地,相差1個核苷酸序列;Optionally, the siRNA antisense strands described herein comprise or differ from at least 16 contiguous nucleotides of any antisense strand in Table 1, or differ from at least 16 contiguous nucleotides of any antisense strand in Table 1 no more than 3 nucleotide sequences, optionally, differing by no more than 2 nucleotide sequences, optionally, differing by 1 nucleotide sequence;
任選地,本文所述的siRNA反義鏈包含如表1中任一反義鏈的至少17個連續核苷酸,或與表1中任一反義鏈的至少17個連續核苷酸相差不超過3個核苷酸序列,任選地,相差不超過2個核苷酸序列,任選地,相差1個核苷酸序列;Optionally, the siRNA antisense strands described herein comprise or differ from at least 17 contiguous nucleotides of any antisense strand in Table 1, or differ from at least 17 contiguous nucleotides of any antisense strand in Table 1 no more than 3 nucleotide sequences, optionally, differing by no more than 2 nucleotide sequences, optionally, differing by 1 nucleotide sequence;
任選地,本文所述的siRNA反義鏈包含如表1中任一反義鏈的至少18個連續核苷酸,或與表1中任一反義鏈的至少18個連續核苷酸相差不超過3個核苷酸序列,任選地,相差不超過2個核苷酸序列,任選地,相差1個核苷酸序列;Optionally, the siRNA antisense strands described herein comprise or differ from at least 18 contiguous nucleotides of any antisense strand in Table 1, or differ from at least 18 contiguous nucleotides of any antisense strand in Table 1 no more than 3 nucleotide sequences, optionally, differing by no more than 2 nucleotide sequences, optionally, differing by 1 nucleotide sequence;
任選地,本文所述的siRNA反義鏈包含如表1中任一反義鏈的至少19個連續核苷酸,或與表1中任一反義鏈的至少19個連續核苷酸相差不超過3個核苷酸序列,任選地,相差不超過2個核苷酸序列,任選地,相差1個核苷酸序列;Optionally, the siRNA antisense strands described herein comprise or differ from at least 19 contiguous nucleotides of any antisense strand in Table 1, or differ from at least 19 contiguous nucleotides of any antisense strand in Table 1 no more than 3 nucleotide sequences, optionally, differing by no more than 2 nucleotide sequences, optionally, differing by 1 nucleotide sequence;
任選地,本文所述的siRNA反義鏈包含如表1中任一反義鏈的至少20個連續核苷酸,或與表1中任一反義鏈的至少20個連續核苷酸相差不超過3個核苷酸序列,任選地,相差不超過2個核苷酸序列,任選地,相差1個核苷酸序列;Optionally, the siRNA antisense strands described herein comprise at least 20 contiguous nucleotides of any antisense strand in Table 1, or at least 20 contiguous nucleotides of any antisense strand in Table 1The acids differ by no more than 3 nucleotide sequences, optionally, by no more than 2 nucleotide sequences, optionally by 1 nucleotide sequence;
任選地,本文所述的siRNA反義鏈包含如表1中任一反義鏈的全部21個連續核苷酸,或與表1中任一反義鏈的全部21個連續核苷酸相差不超過3個核苷酸序列,任選地,相差不超過2個核苷酸序列,任選地,相差1個核苷酸序列。Optionally, the siRNA antisense strands described herein comprise, or differ from, all 21 contiguous nucleotides of any antisense strand in Table 1 No more than 3 nucleotide sequences, optionally, no more than 2 nucleotide sequences, optionally 1 nucleotide sequence.
如本文所使用的,術語“互補”或“反向互補”一詞可互相替代使用,並具有所屬技術領域具有通常知識者周知的含義,即,在雙鏈核酸分子中,一條鏈的鹼基與另一條鏈上的鹼基以互補的方式相配對。在DNA中,嘌呤鹼基腺嘌呤(A)始終與嘧啶鹼基胸腺嘧啶(T)(或者在RNA中為尿嘧啶(U))相配對;嘌呤鹼基鳥嘌呤(C)始終與嘧啶鹼基胞嘧啶(G)相配對。每個鹼基對都包括一個嘌呤和一個嘧啶。當一條鏈上的腺嘌呤始終與另一條鏈上的胸腺嘧啶(或尿嘧啶)配對,以及鳥嘌呤始終與胞嘧啶配對時,兩條鏈被認為是彼此相互補的,以及從其互補鏈的序列中可以推斷出該鏈的序列。與此相應地,“錯配”在本領域中意指在雙鏈核酸中,對應位置上的鹼基並未以互補的形式配對存在。As used herein, the terms "complementary" or "reverse complementary" are used interchangeably and have the meaning known to those of ordinary skill in the art, ie, in a double-stranded nucleic acid molecule, the bases of one strand are Pairs complementary to bases on the other strand. In DNA, the purine base adenine (A) is always paired with the pyrimidine base thymine (T) (or uracil (U) in RNA); the purine base guanine (C) is always paired with the pyrimidine base Cytosine (G) pairs. Each base pair consists of a purine and a pyrimidine. When adenine on one chain is always paired with thymine (or uracil) on the other chain, and guanine is always paired with cytosine, the two chains are considered complementary to each other, and from their complementary chains The sequence of this chain can be deduced from the sequence. Correspondingly, "mismatch" in the art means that in a double-stranded nucleic acid, the bases at corresponding positions are not paired in complementary form.
如本文所使用的,術語“抑制”,可以與“減少”、“沉默”、“下調”、“阻抑”和其他類似術語交替使用,並且包括任何水平的抑制。As used herein, the term "inhibit", is used interchangeably with "reduce," "silence," "down-regulate," "repression," and other similar terms, and includes any level of inhibition.
如本文所使用的,術語“抑制凝血因子XI表達”包括抑制凝血因子XI基因以及凝血因子XI基因的變體(例如天然存在的變體)或突變體的表達,抑制凝血因子XI mRNA的表達,和/或抑制凝血因子XI蛋白的表達。凝血因子XI基因可以是野生型人凝血因子XI基因、突變人凝血因子XI基因、或在遺傳操縱的細胞、細胞群組或生物體情形下的轉基因人凝血因子XI基因。抑制凝血因子XI基因表達包括任何水平的凝血因子XI基因的抑制,例如至少部分抑制凝血因子XI基因的表達,如抑制至少約5%、至少約10%、至少約15%、至少約20%、至少約25%、至少約30%、至少約35%、至少約40%、至少約45%、至少約50%、至少約55%、至少約60%、至少約65%、至少約70%、至少約75%、至少約80%、至少約85%、至少約90%、至少約91%、至少約92%、至少約93%、至少約94%、至少約95%、至少約96%、至少約97%、至少約98%、或至少約99%。基於與凝血因子XI基因表達相關的任何變量水平,例如凝血因子XI的mRNA水平或凝血因子XI的蛋白水平,可以評估凝血因子XI基因的表達。抑制可藉由這些變量中的一個或多個與對照水平相比的絕對或相對水平的減少來評估。該對照水平可以是本領域中使用的任何類型的對照水平,例如給藥前基線水平或從類似的未經處理或經對照(例如僅緩衝液對照或惰性劑對照)處理的受試者、細胞、或樣品確定的水平。例如,可以採用mRNA剩餘表達量來表徵siRNA對靶基因表達的抑制程度,如mRNA剩餘表達量為不高於99%、不高於95%、不高於90%、不高於85%、不高於80%、不高於75%、不高於70%、不高於65%、不高於60%、不高於55%、不高於50%、不高於45%、不高於40%、不高於35%、不高於30%、不高於25%、不高於20%、不高於15%、或不高於10%。靶基因表達的抑制率可以採用Dual-Glo® Luciferase Assay System檢測,分別讀取螢火蟲(Firfly)化學發光值和海腎(Renilla)化學發光值,計算相對值Ratio=Ren/Fir,抑制率(%)=1-(Ratio+siRNA/Ratioreporter only)*100%;本公開中,剩餘mRNA表達量比例=100%-抑制率(%)。As used herein, the term "inhibiting factor XI expression" includes inhibiting the expression of the factor XI gene and variants (eg, naturally occurring variants) or mutants of the factor XI gene, inhibiting the expression of factor XI mRNA, And/or inhibit the expression of coagulation factor XI protein. The factor XI gene can be a wild-type human factor XI gene, a mutant human factor XI gene, or a transgenic human factor XI gene in the context of genetically manipulated cells, cell populations, or organisms. Inhibit factor XI gene expression including any level of factor XIInhibition of a gene, such as at least partial inhibition of the expression of the factor XI gene, such as inhibition of at least about 5%, at least about 10%, at least about 15%, at least about 20%, at least about 25%, at least about 30%, at least about 35% %, at least about 40%, at least about 45%, at least about 50%, at least about 55%, at least about 60%, at least about 65%, at least about 70%, at least about 75%, at least about 80%, at least about 85% %, at least about 90%, at least about 91%, at least about 92%, at least about 93%, at least about 94%, at least about 95%, at least about 96%, at least about 97%, at least about 98%, or at least about 99%. Factor XI gene expression can be assessed based on the level of any variable associated with factor XI gene expression, such as factor XI mRNA levels or factor XI protein levels. Inhibition can be assessed by a reduction in absolute or relative levels of one or more of these variables compared to control levels. The control level can be any type of control level used in the art, such as a pre-dose baseline level or from a similar untreated or controlled (eg buffer only control or inert control) treated subject, cell , or the level determined by the sample. For example, the residual expression of mRNA can be used to characterize the degree of inhibition of target gene expression by siRNA, for example, the residual expression of mRNA is not higher than 99%, not higher than 95%, not higher than 90%, not higher than 85%, not higher than More than 80%, less than 75%, less than 70%, less than 65%, less than 60%, less than 55%, less than 50%, less than 45%, less than 40%, no more than 35%, no more than 30%, no more than 25%, no more than 20%, no more than 15%, or no more than 10%. The inhibition rate of target gene expression can be detected by Dual-Glo® Luciferase Assay System, read firefly (Firfly) chemiluminescence value and Renilla (Renilla) chemiluminescence value respectively, calculate the relative value Ratio=Ren/Fir, inhibition rate (% )=1-(Ratio+siRNA/Ratioreporter only)*100%; in the present disclosure, the remaining mRNA expression ratio=100%-inhibition rate (%).
如無特殊說明,本公開的“化合物”、“配體”、“核酸配體綴合物”、“核酸”均可獨立地以鹽、混合鹽或非鹽(例如游離酸或游離鹼)的形式存在。當以鹽或混合鹽的形式存在時,其可為藥學上可接受的鹽。Unless otherwise specified, the "compounds", "ligands", "nucleic acid ligand conjugates", and "nucleic acids" of the present disclosure can be independently expressed as salts, mixed salts or non-salts (eg, free acids or free bases). form exists. When present in the form of a salt or mixed salts, it can be a pharmaceutically acceptable salt.
術語“藥學上可接受的鹽”包括藥學上可接受的酸加成鹽和藥學上可接受的鹼加成鹽。The term "pharmaceutically acceptable salt" includes pharmaceutically acceptable acid addition salts and pharmaceutically acceptable base addition salts.
“藥學上可接受的酸加成鹽”是指能夠保留游離鹼的生物有效性而無其它副作用的,與無機酸或有機酸所形成的鹽。無機酸鹽包括但不限於鹽酸鹽、氫溴酸鹽、硫酸鹽、硝酸鹽、磷酸鹽等;有機酸鹽包括但不限於甲酸鹽、乙酸鹽、2,2-二氯乙酸鹽、三氟乙酸鹽、丙酸鹽、己酸鹽、辛酸鹽、癸酸鹽、十一碳烯酸鹽、乙醇酸鹽、葡糖酸鹽、乳酸鹽、癸二酸鹽、己二酸鹽、戊二酸鹽、丙二酸鹽、草酸鹽、馬來酸鹽、琥珀酸鹽、富馬酸鹽、酒石酸鹽、檸檬酸鹽、棕櫚酸鹽、硬脂酸鹽、油酸鹽、肉桂酸鹽、月桂酸鹽、蘋果酸鹽、谷胺酸鹽、焦谷胺酸鹽、天冬胺酸鹽、苯甲酸鹽、甲磺酸鹽、苯磺酸鹽、對甲苯磺酸鹽、海藻酸鹽、抗壞血酸鹽、水楊酸鹽、4-胺基水楊酸鹽、萘二磺酸鹽等。這些鹽可藉由本領域已知的方法製備。"Pharmaceutically acceptable acid addition salts" refers to salts with inorganic or organic acids that retain the biological effectiveness of the free base without other side effects. Inorganic acid salts include but are not limited to hydrochloride, hydrobromide, sulfate, nitrate, phosphate, etc.; organic acid salts include but are not limited to formate, acetate, 2,2-dichloroacetate, trichloroacetate Fluoroacetate, propionate, caproate, caprylate, caprate, undecylenate, glycolate, gluconate, lactate, sebacate, adipate, glutarate acid salt, malonate, oxalate, maleate, succinate, fumarate, tartrate, citrate, palmitate, stearate, oleate, cinnamate, laurate, malate, glutamate, pyroglutamate, aspartate, benzoate, mesylate, benzenesulfonate, p-toluenesulfonate, alginate, Ascorbate, salicylate, 4-aminosalicylate, naphthalene disulfonate, etc. These salts can be prepared by methods known in the art.
“藥學上可接受的鹼加成鹽”是指能夠保持游離酸的生物有效性而無其它副作用的、與無機鹼或有機鹼所形成的鹽。衍生自無機鹼的鹽包括但不限於鈉鹽、鉀鹽、鋰鹽、銨鹽、鈣鹽、鎂鹽、鐵鹽、鋅鹽、銅鹽、錳鹽、鋁鹽等。較佳的無機鹽為銨鹽、鈉鹽、鉀鹽、鈣鹽及鎂鹽,較佳鈉鹽。衍生自有機鹼的鹽包括但不限於以下的鹽:一級胺類、二級胺類及三級胺類,被取代的胺類,包括天然的被取代胺類、環狀胺類及鹼性離子交換樹脂,例如胺、異丙胺、三甲胺、二乙胺、三乙胺、三丙胺、乙醇胺、二乙醇胺、三乙醇胺、二甲基乙醇胺、2-二甲胺基乙醇、2-二乙胺基乙醇、二環己胺、賴胺酸、精胺酸、組胺酸、咖啡因、普魯卡因、膽鹼、甜菜鹼、乙二胺、葡萄糖胺、甲基葡萄糖胺、可可鹼、嘌呤、哌嗪、哌啶、N-乙基哌啶、聚胺樹脂等。較佳的有機鹼包括異丙胺、二乙胺、乙醇胺、三甲胺、二環己基胺、膽鹼及咖啡因。這些鹽可藉由本領域已知的方法製備。"Pharmaceutically acceptable base addition salts" refers to salts with inorganic or organic bases that retain the biological availability of the free acid without other adverse effects. Salts derived from inorganic bases include, but are not limited to, sodium, potassium, lithium, ammonium, calcium, magnesium, iron, zinc, copper, manganese, aluminum, and the like. Preferred inorganic salts are ammonium, sodium, potassium, calcium and magnesium salts, preferably sodium salts. Salts derived from organic bases include, but are not limited to, the following: primary, secondary, and tertiary amines, substituted amines, including natural substituted amines, cyclic amines, and basic ions Exchange resins such as amine, isopropylamine, trimethylamine, diethylamine, triethylamine, tripropylamine, ethanolamine, diethanolamine, triethanolamine, dimethylethanolamine, 2-dimethylaminoethanol, 2-diethylamine Ethanol, dicyclohexylamine, lysine, arginine, histidine, caffeine, procaine, choline, betaine, ethylenediamine, glucosamine, methylglucamine, theobromine, purine, Piperazine, Piperidine, N-EthylPiperidine, polyamine resin, etc. Preferred organic bases include isopropylamine, diethylamine, ethanolamine, trimethylamine, dicyclohexylamine, choline and caffeine. These salts can be prepared by methods known in the art.
“有效量”或“有效劑量”指指獲得任一種或多種有益的或所需的治療結果所必需的藥物、化合物或醫藥組成物的量。對於預防用途,有益的或所需的結果包括消除或降低風險、減輕嚴重性或延遲病症的發作,包括病症、其併發症和在病症的發展過程中呈現的中間病理表型的生物化學、組織學和/或行為症狀。對於治療應用,有益的或所需的結果包括臨床結果,諸如減少各種本公開靶基因、靶mRNA或靶蛋白相關病症的發病率或改善該病症的一個或更多個症狀,減少治療病症所需的其它藥劑的劑量,增強另一種藥劑的療效,和/或延緩患者的本公開靶基因、靶mRNA或靶蛋白相關病症的進展。An "effective amount" or "effective dose" refers to the amount of a drug, compound, or pharmaceutical composition necessary to obtain any one or more beneficial or desired therapeutic results. For prophylactic use, beneficial or desired results include elimination or reduction of risk, reduction in severity, or delay in onset of disorders, including biochemical, tissue academic and/or behavioral symptoms. For therapeutic applications, beneficial or desired outcomes include clinical outcomes, such as reducing the incidence or amelioration of one or more symptoms of the various target gene, target mRNA or target protein-related disorders of the present disclosure, reducing the need to treat the disorder The dosage of the other agent, enhances the therapeutic effect of the other agent, and/or delays the progression of the target gene, target mRNA or target protein-related disorder of the present disclosure in the patient.
在一些實施方案中,siRNA的有效量或有效劑量為約0.001mg/kg體重至約200mg/kg體重、約0.01mg/kg體重至約100mg/kg體重或約0.5mg/kg體重至約50mg/kg體重。In some embodiments, the effective amount or effective dose of siRNA is about 0.001 mg/kg body weight to about 200 mg/kg body weight, about 0.01 mg/kg body weight to about 100 mg/kg body weight, or about 0.5 mg/kg body weight to about 50 mg/kg body weight. kg body weight.
“醫藥組成物”包含本公開的siRNA或siRNA綴合物以及藥學上可接受的輔料和/或佐劑,該輔料可以為一種或多種本領域常規採用的各種製劑或化合物。例如,該藥學上可接受的輔料可以包括pH緩衝劑、保護劑和滲透壓調節劑中的至少一種。A "pharmaceutical composition" comprises the siRNA or siRNA conjugate of the present disclosure and a pharmaceutically acceptable adjuvant and/or adjuvant, and the adjuvant may be one or more various formulations or compounds conventionally used in the art. For example, the pharmaceutically acceptable adjuvant may include at least one of pH buffering agents, protecting agents and osmotic pressure adjusting agents.
如本文所使用的,“對象”、“患者”、“受試者”或“個體”可互換使用,包括人類或者非人類動物,例如哺乳動物,例如人或猴。As used herein, "subject", "patient", "subject" or "individual" are used interchangeably and include humans or non-human animals, eg, mammals, eg, humans or monkeys.
本公開提供的siRNA可以藉由本領域常規的製備方法(例如固相合成和液相合成的方法)得到。其中,固相合成已經有商業化訂制服務。可以藉由使用具有相應修飾的核苷單體來將修飾的核苷酸基團引入本公開所述的siRNA中,製備具有相應修飾的核苷單體的方法及將修飾的核苷酸基團引入siRNA的方法也是所屬技術領域具有通常知識者所熟知的。The siRNA provided by the present disclosure can be obtained by conventional preparation methods in the art (eg, solid-phase synthesis and liquid-phase synthesis methods). Among them, solid-phase synthesis has already had commercial customized services. Modified nucleotide groups can be introduced into the present disclosure by using nucleoside monomers with corresponding modificationsAmong the siRNAs, methods for preparing nucleoside monomers with corresponding modifications and methods for introducing modified nucleotide groups into siRNAs are also well known to those of ordinary skill in the art.
術語“化學修飾”或“修飾”包括核苷酸經化學手段的所有改變,例如化學部分的添加或去除、或以一個化學部分取代另一個化學部分。The term "chemical modification" or "modification" includes all alterations of nucleotides by chemical means, such as the addition or removal of chemical moieties, or the substitution of one chemical moiety for another.
術語“鹼基”包含任何已知的DNA和RNA鹼基、鹼基類似物,例如嘌呤或嘧啶,其還包括天然化合物腺嘌呤、胸腺嘧啶、鳥嘌呤、胞嘧啶、尿嘧啶、次黃苷和天然類似物。The term "base" includes any known DNA and RNA bases, base analogs such as purines or pyrimidines, which also includes the natural compounds adenine, thymine, guanine, cytosine, uracil, inosine and natural analogues.
在本公開中,鹼基類似物一般為嘌呤或嘧啶鹼基,不包括常見鹼基:鳥嘌呤(G)、胞嘧啶(C)、腺嘌呤(A)、胸腺嘧啶(T)和尿嘧啶(U)。鹼基的非限制性實例包括次黃嘌呤(I)、黃嘌呤(X)、3β-D-呋喃核糖基-(2,6-二胺基嘧啶)(K)、3-β-D-呋喃核糖基-(1-甲基-吡唑并[4,3-d]嘧啶-5,7(4H,6H)-二酮)(P)、異胞嘧啶(iso-C)、異鳥嘌呤(iso-G)、1-β-D-呋喃核糖基-(5-硝基吲哚)、1-β-D-呋喃核糖基-(3-硝基吡咯)、5-溴尿嘧啶、2-胺基嘌呤、4-硫代-dT、7-(2-噻吩基)-咪唑并[4,5-b]吡啶(Ds)和吡咯-2-甲醛(Pa)、2-胺基-6-(2-噻吩基)嘌呤(S)、2-側氧吡啶(Y)、二氟甲苯基、4-氟-6-甲基苯并咪唑、4-甲基苯并咪唑、3-甲基羥基異喹啉基、5-甲基羥基異喹啉基和3-甲基-7-丙炔基羥基異喹啉基、7-氮雜吲哚基、6-甲基-7-氮雜吲哚基、咪唑並吡啶基、9-甲基-咪唑並吡啶基、吡咯並吡嗪基、羥基異喹啉基、7-丙炔基羥基異喹啉基、丙炔基-7-氮雜吲哚基、2,4,5-三甲基苯基、4-甲基吲哚基、4,6-二甲基吲哚基、苯基、萘基、蒽基、菲基、芘基、茋基(stilbenzyl)、并四苯基、并五苯基和其結構衍生物。鹼基類似物還可以是通用鹼基。In the present disclosure, base analogs are generally purine or pyrimidine bases, excluding common bases: guanine (G), cytosine (C), adenine (A), thymine (T), and uracil ( U). Non-limiting examples of bases include hypoxanthine (I), xanthine (X), 3β-D-ribofuranosyl-(2,6-diaminopyrimidine) (K), 3-β-D-furan Ribosyl-(1-methyl-pyrazolo[4,3-d]pyrimidine-5,7(4H,6H)-dione) (P), isocytosine (iso-C), isoguanine ( iso-G), 1-β-D-ribofuranosyl-(5-nitroindole), 1-β-D-ribofuranosyl-(3-nitropyrrole), 5-bromouracil, 2- Aminopurine, 4-thio-dT, 7-(2-thienyl)-imidazo[4,5-b]pyridine (Ds) and pyrrole-2-carbaldehyde (Pa), 2-amino-6- (2-thienyl)purine (S), 2-oxypyridine (Y), difluorotolyl, 4-fluoro-6-methylbenzimidazole, 4-methylbenzimidazole, 3-methylhydroxy Isoquinolyl, 5-methylhydroxyisoquinolyl and 3-methyl-7-propynylhydroxyisoquinolyl, 7-azaindolyl, 6-methyl-7-azaindole base, imidazopyridyl, 9-methyl-imidazopyridyl, pyrrolopyrazinyl, hydroxyisoquinolinyl, 7-propynylhydroxyisoquinolinyl, propynyl-7-azaindole base, 2,4,5-trimethylphenyl, 4-methylindolyl, 4,6-dimethylindolyl, phenyl, naphthyl, anthracenyl, phenanthryl, pyrenyl, stilbene (stilbenzyl), tetraphenyl, pentacyl and their structural derivatives. A base analog can also be a universal base.
術語“通用鹼基”是指位於經過修飾的核苷酸中核苷酸糖部分的1'位或核苷酸糖部分取代物中等效位置的雜環部分,該雜環部分當存在於核酸雙鏈體中時,可與一種以上鹼基相對定位,同時不改變雙螺旋結構(例如,磷酸骨架的結構)。此外,通用鹼基不會破壞其所駐留的單鏈核酸與靶核酸形成雙鏈體的能力。含有通用鹼基的單鏈核酸與靶核酸形成雙鏈體的能力可藉由所屬技術領域具有通常知識者顯而易見的方法測定(例如,UV吸光度、圓二色性、凝膠遷移法、單鏈核酸酶敏感性等)。另外,可以改變能觀察到雙鏈體形成的條件,以確定雙鏈體穩定性或形成,例如,溫度,如解鏈溫度(Tm),與核酸雙鏈體穩定性相關。相較於與靶核酸精確互補的參考單鏈核酸,含有通用鹼基的單鏈核酸與靶核酸形成的雙鏈體的Tm低於與互補核酸形成的雙鏈體。然而,與其中通用鹼基被鹼基置換而產生單一錯配的參考單鏈核酸相比較,含有通用鹼基的單鏈核酸與靶核酸形成的雙鏈體的Tm高於用具有錯配鹼基的核酸形成的雙鏈體。The term "universal base" refers to a heterocyclic moiety located at the 1' position of a nucleotide sugar moiety in a modified nucleotide or an equivalent position in a nucleotide sugar moiety substitution, which heterocyclic moiety, when present on a nucleic acid duplex In vivo, it can be positioned relative to more than one base without changing the double helix junctionstructure (eg, the structure of the phosphate backbone). Furthermore, the universal base does not disrupt the ability of the single-stranded nucleic acid in which it resides to form a duplex with the target nucleic acid. The ability of a single-stranded nucleic acid containing a universal base to form a duplex with a target nucleic acid can be determined by methods obvious to those of ordinary skill in the art (eg, UV absorbance, circular dichroism, gel shift, single-stranded nucleic acid enzyme sensitivity, etc.). Additionally, the conditions under which duplex formation is observed can be varied to determine duplex stability or formation, eg, temperature, such as melting temperature (Tm), correlates with nucleic acid duplex stability. Compared to a reference single-stranded nucleic acid that is precisely complementary to the target nucleic acid, the Tm of the duplex formed by the single-stranded nucleic acid containing the universal base with the target nucleic acid is lower than that of the duplex formed with the complementary nucleic acid. However, compared to the reference single-stranded nucleic acid in which the universal base is replaced by a base to generate a single mismatch, the Tm of the duplex formed by the single-stranded nucleic acid containing the universal base and the target nucleic acid is higher than that of the single-stranded nucleic acid with the mismatched base. nucleic acid duplexes.
一些通用鹼基能夠藉由在通用鹼基與所有鹼基鳥嘌呤(G)、胞嘧啶(C)、腺嘌呤(A)、胸腺嘧啶(T)和尿嘧啶(U)在鹼基配對條件下形成氫鍵,來實現鹼基配對。通用鹼基不是只與單一互補鹼基形成鹼基對的鹼基。在雙鏈體中,通用鹼基可與雙鏈體相對鏈上與之相對的G、C、A、T和U中每一者不形成氫鍵、形成一個氫鍵或形成一個以上氫鍵。在一些實施方案中,通用鹼基不與雙鏈體相對鏈上與之相對的鹼基相互作用。在雙鏈體中,與通用鹼基之間發生的鹼基配對不會改變磷酸骨架的雙螺旋結構。通用鹼基也可以借助堆疊相互作用與相同核酸鏈上的相鄰核苷酸中的鹼基相互作用。這種堆疊相互作用可使雙鏈體穩定,尤其是在通用鹼基不與雙鏈體相對鏈上與之相對定位的鹼基形成任何氫鍵的情形中。通用結合核苷酸的非限制性實例包括肌苷、1-β-D-呋喃核糖基-5-硝基吲哚和/或1-β-D-呋喃核糖基-3-硝基吡咯。Some universal bases can be combined with all bases guanine (G), cytosine (C), adenine (A), thymine (T) and uracil (U) under base pairing conditions Hydrogen bonds are formed to achieve base pairing. Universal bases are not bases that only form base pairs with a single complementary base. In a duplex, a universal base may not hydrogen bond, form one hydrogen bond, or form more than one hydrogen bond with each of the G, C, A, T, and U opposing it on the opposite strand of the duplex. In some embodiments, the universal base does not interact with the opposite base on the opposite strand of the duplex. In duplexes, base pairing with universal bases does not alter the double helix structure of the phosphate backbone. Universal bases can also interact with bases in adjacent nucleotides on the same nucleic acid strand via stacking interactions. This stacking interaction can stabilize the duplex, especially if the universal base does not form any hydrogen bonds with bases positioned opposite it on the opposite strand of the duplex. Non-limiting examples of universal binding nucleotides include inosine, 1-beta-D-ribofuranosyl-5-nitroindole, and/or 1-beta-D-ribofuranosyl-3-nitropyrrole.
術語“平端”或“平末端”可互換使用,是指在siRNA的給定的末端沒有非配對的核苷酸或核苷酸類似物,即,沒有核苷酸突出。大多數情況下,兩個末端都是平末端的siRNA將在其整個長度範圍內是雙鏈的。The terms "blunt end" or "blunt end" are used interchangeably and refer to the absence of unpaired nucleotides or nucleotide analogs at a given end of an siRNA, ie, no nucleotide overhangs. In most cases, an siRNA that is blunt-ended at both ends will be double-stranded over its entire length.
術語“約”、“大約”是指數值在由所屬技術領域具有通常知識者所測定的具體值的可接受誤差範圍內,該數值部分取決於怎樣測量或測定(即測量體系的限度)。例如,“約”可意味著在1內或超過1的標準差。或者,“約”或“基本上包含”可意味著至多20%的範圍,例如1%至15%之間、在1%至10%之間、在1%至5%之間、在0.5%至5%之間、在0.5%至1%之間變化,本公開中,數字或數值範圍之前有術語“約”的每種情況也包括給定數的實施方案。此外,特別對於生物學系統或過程而言,該術語可意味著至多一個數量級或數值的至多5倍。除非另外說明,否則當具體值在本申請和請求項中出現時,“約”或“基本上包含”的含義應該假定為在該具體值的可接受誤差範圍內。The terms "about", "approximately" mean that the index value is within an acceptable error range of the particular value determined by one of ordinary skill in the art, which value depends in part on how it is measured or determined (ie, the limits of the measurement system). For example, "about" can mean within 1 or more than 1 standard deviation. Alternatively, "about" or "substantially comprising" may mean a range of up to 20%, such as between 1% and 15%, between 1% and 10%, between 1% and 5%, between 0.5% Varies between 0.5% and 1%, and in this disclosure, each instance of a number or numerical range preceded by the term "about" also includes embodiments of the given number. Furthermore, particularly with respect to biological systems or processes, the term can mean at most one order of magnitude or at most five times the value. Unless otherwise stated, when a specific value appears in this application and claims, the meaning of "about" or "substantially comprising" should be assumed to be within an acceptable error range for the specific value.
術語“任選地”或“任選”是指意味著隨後所描述的事件或環境可以但不必發生,該說明包括該事件或環境發生或不發生的場合。例如“任選的被鹵素或者氰基取代的C1-6烷基”是指鹵素或者氰基可以但不必須存在,該說明包括烷基被鹵素或者氰基取代的情形和烷基不被鹵素和氰基取代的情形。The terms "optionally" or "optionally" are meant to mean that the subsequently described event or circumstance can, but need not, occur, and that the specification includes instances where the event or circumstance does or does not occur. For example, "C1-6 alkyl optionally substituted by halogen or cyano" means that halogen or cyano may but need not be present, and the description includes the case where the alkyl is substituted by halogen or cyano and the case where the alkyl is not substituted by halogen and cyano substitution.
術語“烷基”指飽和脂肪族烴基團,其為包含1至20個碳原子的直鏈或支鏈基團,在一些實施方案中選自含有1至12個碳原子的烷基。非限制性實例包括甲基、乙基、正丙基、異丙基、正丁基、異丁基、第三丁基、第二丁基、正戊基、1,1-二甲基丙基、1,2-二甲基丙基、2,2-二甲基丙基、1-乙基丙基、2-甲基丁基、3-甲基丁基、正己基、1-乙基-2-甲基丙基、1,1,2-三甲基丙基、1,1-二甲基丁基、1,2-二甲基丁基、2,2-二甲基丁基、1,3-二甲基丁基、2-乙基丁基、2-甲基戊基、3-甲基戊基、4-甲基戊基、2,3-二甲基丁基、正庚基、2-甲基己基、3-甲基己基、4-甲基己基、5-甲基己基、2,3-二甲基戊基、2,4-二甲基戊基、2,2-二甲基戊基、3,3-二甲基戊基、2-乙基戊基、3-乙基戊基、正辛基、2,3-二甲基己基、2,4-二甲基己基、2,5-二甲基己基、2,2-二甲基己基、3,3-二甲基己基、4,4-二甲基己基、2-乙基己基、3-乙基己基、4-乙基己基、2-甲基-2-乙基戊基、2-甲基-3-乙基戊基、正壬基、2-甲基-2-乙基己基、2-甲基-3-乙基己基、2,2-二乙基戊基、正癸基、3,3-二乙基己基、2,2-二乙基己基,及其各種支鏈異構體等。在一些實施方案中選自的是含有1至6個碳原子的烷基,非限制性實施例包括甲基、乙基、正丙基、異丙基、正丁基、異丁基、第三丁基、第二丁基、正戊基、1,1-二甲基丙基、1,2-二甲基丙基、2,2-二甲基丙基、1-乙基丙基、2-甲基丁基、3-甲基丁基、正己基、1-乙基-2-甲基丙基、1,1,2-三甲基丙基、1,1-二甲基丁基、1,2-二甲基丁基、2,2-二甲基丁基、1,3-二甲基丁基、2-乙基丁基、2-甲基戊基、3-甲基戊基、4-甲基戊基、2,3-二甲基丁基等。烷基可以是取代的或非取代的,當被取代時,取代基可以在任何可使用的連接點上被取代,該取代基在一些實施方案中選自一個或多個以下基團,其獨立地選自烷基、烯基、炔基、烷氧基、烷硫基、烷基胺基、鹵素、巰基、羥基、硝基、氰基、環烷基、雜環烷基、芳基、雜芳基、環烷氧基、雜環烷氧基、環烷硫基、雜環烷硫基、側氧基、羧基或羧酸酯基。The term "alkyl" refers to a saturated aliphatic hydrocarbon group that is a straight or branched chain group containing 1 to 20 carbon atoms, in some embodiments selected from alkyl groups containing 1 to 12 carbon atoms. Non-limiting examples include methyl, ethyl, n-propyl, isopropyl, n-butyl, isobutyl, tert-butyl, sec-butyl, n-pentyl, 1,1-dimethylpropyl , 1,2-dimethylpropyl, 2,2-dimethylpropyl, 1-ethylpropyl, 2-methylbutyl, 3-methylbutyl, n-hexyl, 1-ethyl- 2-Methylpropanebase, 1,1,2-trimethylpropyl, 1,1-dimethylbutyl, 1,2-dimethylbutyl, 2,2-dimethylbutyl, 1,3-dimethylbutyl butyl, 2-ethylbutyl, 2-methylpentyl, 3-methylpentyl, 4-methylpentyl, 2,3-dimethylbutyl, n-heptyl, 2-methyl Hexyl, 3-methylhexyl, 4-methylhexyl, 5-methylhexyl, 2,3-dimethylpentyl, 2,4-dimethylpentyl, 2,2-dimethylpentyl, 3,3-dimethylpentyl, 2-ethylpentyl, 3-ethylpentyl, n-octyl, 2,3-dimethylhexyl, 2,4-dimethylhexyl, 2,5- Dimethylhexyl, 2,2-dimethylhexyl, 3,3-dimethylhexyl, 4,4-dimethylhexyl, 2-ethylhexyl, 3-ethylhexyl, 4-ethylhexyl, 2-methyl-2-ethylpentyl, 2-methyl-3-ethylpentyl, n-nonyl, 2-methyl-2-ethylhexyl, 2-methyl-3-ethylhexyl, 2,2-diethylpentyl, n-decyl, 3,3-diethylhexyl, 2,2-diethylhexyl, and various branched isomers thereof, etc. In some embodiments selected are alkyl groups containing 1 to 6 carbon atoms, non-limiting examples include methyl, ethyl, n-propyl, isopropyl, n-butyl, isobutyl, tertiary Butyl, dibutyl, n-pentyl, 1,1-dimethylpropyl, 1,2-dimethylpropyl, 2,2-dimethylpropyl, 1-ethylpropyl, 2 -Methylbutyl, 3-methylbutyl, n-hexyl, 1-ethyl-2-methylpropyl, 1,1,2-trimethylpropyl, 1,1-dimethylbutyl, 1,2-dimethylbutyl, 2,2-dimethylbutyl, 1,3-dimethylbutyl, 2-ethylbutyl, 2-methylpentyl, 3-methylpentyl , 4-methylpentyl, 2,3-dimethylbutyl, etc. Alkyl groups may be substituted or unsubstituted, and when substituted, the substituents may be substituted at any available point of attachment, which in some embodiments is selected from one or more of the following groups, independently is selected from alkyl, alkenyl, alkynyl, alkoxy, alkylthio, alkylamino, halogen, mercapto, hydroxy, nitro, cyano, cycloalkyl, heterocycloalkyl, aryl, hetero Aryl, cycloalkoxy, heterocycloalkoxy, cycloalkylthio, heterocycloalkylthio, pendant oxy, carboxyl or carboxylate.
術語“烷氧基”指-O-(烷基)和-O-(非取代的環烷基),其中烷基的定義如上所述。烷氧基的非限制性實例包括:甲氧基、乙氧基、丙氧基、丁氧基、環丙氧基、環丁氧基、環戊氧基、環己氧基。烷氧基可以是任選取代的或非取代的,當被取代時,取代基在一些實施方案中選自一個或多個以下基團,其獨立地選自鹵素、氘、羥基、側氧基、硝基、氰基、C1-6烷基、C1-6烷氧基、C2-6烯氧基、C2-6炔氧基、C3-6環烷氧基、3至6員雜環烷氧基、C3-8環烯氧基、5至6員芳基或雜芳基,該C1-6烷基、C1-6烷氧基、C2-6烯氧基、C2-6炔氧基、C3-6環烷氧基、3至6員雜環烷氧基、C3-8環烯氧基、5至6員芳基或雜芳基任選被一個或多個選自鹵素、氘、羥基、側氧基、硝基、氰基所取代。同理,“炔氧基”、“烯氧基”、“環烷氧基”、“雜環烷氧基”、“環烯氧基”的定義如上述“烷氧基”定義。The term "alkoxy" refers to -O-(alkyl) and -O-(unsubstituted cycloalkyl), wherein alkyl is as defined above. Non-limiting examples of alkoxy groups include: methoxy, ethoxy, propoxy, butoxy, cyclopropoxy, cyclobutoxy, cyclopentyloxy, cyclohexyloxy. Alkoxy can be optionally substituted or unsubstituted, and when substituted, the substituents are in some embodiments selected from one or more of the following groups independently selected from halogen, deuterium, hydroxy, pendant oxy , nitro, cyano, C1-6 alkyl, C1-6 alkoxy, C2-6 alkenyloxy, C2-6 alkynyloxy, C3-6 cycloalkoxy, 3 to 6 Member heterocycloalkoxy, C3-8 cycloalkenyloxy, 5- to 6-membered aryl or heteroaryl, the C1-6 alkyl, C1-6 alkoxy, C2-6 alkenyloxy , C2-6 alkynyloxy, C3-6 cycloalkoxy, 3- to 6-membered heterocycloalkoxy, C3-8 cycloalkenyloxy, 5- to 6-membered aryl or heteroaryl are optionally One or more substituted by halogen, deuterium, hydroxyl, pendant oxy, nitro, cyano. Similarly, the definitions of "alkynyloxy", "alkenyloxy", "cycloalkoxy", "heterocycloalkoxy" and "cycloalkenyloxy" are as defined above for "alkoxy".
術語“烯基”指直鏈或支鏈的非芳香族烴基,其含有至少一個碳-碳雙鍵,並且具有2-10個碳原子。在這樣的基團中可以存在多達5個碳-碳雙鍵。例如,“C2-C6”烯基被定義為具有2-6個碳原子的烯基。烯基的示例包括但不限於:乙烯基、丙烯基、丁烯基和環己烯基。烯基的直鏈、支鏈或環狀部分可以含有雙鍵,並且在正常化合價所允許的任何位置任選地被單-、二-、三-、四-或五-取代。The term "alkenyl" refers to a straight or branched chain non-aromatic hydrocarbon group containing at least one carbon-carbon double bond and having from 2 to 10 carbon atoms. Up to 5 carbon-carbon double bonds may be present in such groups. For example, "C2-C6 " alkenyl is defined as an alkenyl group having 2-6 carbon atoms. Examples of alkenyl groups include, but are not limited to, vinyl, propenyl, butenyl, and cyclohexenyl. The straight, branched or cyclic portion of the alkenyl group can contain double bonds and is optionally mono-, di-, tri-, tetra- or penta-substituted at any position allowed by normal valences.
術語“環烯基”表示具有特定數量的碳原子和至少一個碳-碳雙鍵的單環烴基。The term "cycloalkenyl" refers to a monocyclic hydrocarbon group having the specified number of carbon atoms and at least one carbon-carbon double bond.
術語“炔基”指直鏈或支鏈的烴基,其含有2-10個碳原子並且含有至少一個碳-碳三鍵。可以存在多達5個碳-碳三鍵。因此,“C2-C6炔基”表示具有2-6個碳原子的烯基。炔基的示例包括但不限於:乙炔基、2-丙炔基和2-丁炔基。炔基的直鏈、支鏈部分可以含有正常化合價所允許的三鍵,並且在正常化合價所允許的任何位置任選地被單-、二-、三-、四-或五-取代。The term "alkynyl" refers to a straight or branched chain hydrocarbon group containing from 2 to 10 carbon atoms and containing at least one carbon-carbon triple bond. Up to 5 carbon-carbon triple bonds can be present. Thus, "C2-C6alkynyl " means an alkenyl group having 2-6 carbon atoms. Examples of alkynyl groups include, but are not limited to, ethynyl, 2-propynyl, and 2-butynyl. The straight-chain, branched portion of the alkynyl group can contain triple bonds as normal valences allow, and is optionally mono-, di-, tri-, tetra- or penta-substituted at any position permitted by normal valences.
術語“酮”指代本文所述藉由羰基橋連接的任何烷基、烯基、炔基、環烷基、環烯基、雜環基、雜芳基或芳基。酮基的示例包括但不限於:烷醯基(例如,乙醯基、丙醯基、丁醯基、戊醯基、己醯基)、烯醯基(例如,丙烯醯基)炔醯基(例如,乙炔醯基、丙炔醯基、丁炔醯基、戊炔醯基、己炔醯基)、芳醯基(例如,苯甲醯基)、雜芳醯基(例如,吡咯醯基、咪唑醯基、喹啉醯基、吡啶醯基)。The term "ketone" refers to any alkyl, alkenyl, alkynyl, cycloalkyl, cycloalkenyl, heterocyclyl, heteroaryl, or aryl group described herein attached through a carbonyl bridge. Examples of keto groups include, but are not limited to: alkanoyl (eg, acetyl, propionyl, butyryl, pentamyl, hexyl), alkenyl (eg, acryl) alkynyl (eg, ethynyl, propynyl, butynyl, pentynyl, hexynyl), aryl (eg, benzyl), heteroaryl (eg, pyrrolidyl, imidazolinyl) group, quinolinyl group, pyridyl group).
術語“烷氧基羰基”指藉由羰基橋連接的上述定義的任何烷氧基(即,-C(O)O-烷基)。烷氧基羰基的示例包括但不限於:甲氧基羰基、乙氧基羰基、異丙氧基羰基、正丙氧基羰基、第三丁氧基羰基、苄氧基羰基或正戊氧基羰基。The term "alkoxycarbonyl" refers to any alkoxy group as defined above attached through a carbonyl bridge (ie, -C(O)O-alkyl). Examples of alkoxycarbonyl include, but are not limited to: methoxycarbonyl, ethoxycarbonyl, isopropoxycarbonyl, n-propoxycarbonyl, tert-butoxycarbonyl, benzyloxycarbonyl, or n-pentoxycarbonyl .
術語“芳氧基羰基”指藉由氧羰基橋連接的上述定義的任何芳基(即,-C(O)O-芳基)。芳氧基羰基的例子包括但不限於:苯氧基羰基和萘氧基羰基。The term "aryloxycarbonyl" refers to any aryl group as defined above attached through an oxycarbonyl bridge (ie, -C(O)O-aryl). Examples of aryloxycarbonyl groups include, but are not limited to: phenoxycarbonyl and naphthoxycarbonyl.
術語“雜芳氧基羰基”指藉由氧基羰基橋連接的上述定義的任何雜芳基(即,-C(O)O-雜芳基)。雜芳基氧基羰基的示例包括但不限於:2-吡啶氧基羰基、2-噁唑基氧基羰基、4-噻唑基氧基羰基或嘧啶基氧基羰基。The term "heteroaryloxycarbonyl" refers to any heteroaryl group as defined above attached through an oxycarbonyl bridge (ie, -C(O)O-heteroaryl). Examples of heteroaryloxycarbonyl include, but are not limited to: 2-pyridyloxycarbonyl, 2-oxazolyloxycarbonyl, 4-thiazolyloxycarbonyl, or pyrimidinyloxycarbonyl.
術語“環烷基”或“碳環”指飽和或部分不飽和單環或多環環狀烴取代基,環烷基環包含3至20個碳原子,在一些實施方案中選自包含3至7個碳原子。單環環烷基的非限制性實例包括環丙基、環丁基、環戊基、環戊烯基、環己基、環己烯基、環己二烯基等;多環環烷基包括螺環、稠環和橋環的環烷基。環烷基可以是取代的或未取代的,當被取代時,取代基可以在任何可使用的連接點上被取代,在一些實施方案中選自一個或多個以下基團,獨立地選自鹵素、氘、羥基、側氧基、硝基、氰基、C1-6烷基、C1-6烷氧基、C2-6烯氧基、C2-6炔氧基、C3-6環烷氧基、3至6員雜環烷氧基、C3-8環烯氧基、5至6員芳基或雜芳基,該C1-6烷基、C1-6烷氧基、C2-6烯氧基、C2-6炔氧基、C3-6環烷氧基、3至6員雜環烷氧基、C3-8環烯氧基、5至6員芳基或雜芳基任選被一個或多個選自鹵素、氘、羥基、側氧基、硝基、氰基所取代。The term "cycloalkyl" or "carbocycle" refers to a saturated or partially unsaturated monocyclic or polycyclic cyclic hydrocarbon substituent, the cycloalkyl ring containing from 3 to 20 carbon atoms, and in some embodiments selected from the group consisting of 3 to 20 carbon atoms. 7 carbon atoms. Non-limiting examples of monocyclic cycloalkyl groups include cyclopropyl, cyclobutyl, cyclopentyl, cyclopentenyl, cyclohexyl, cyclohexenyl, cyclohexadienyl, and the like; polycyclic cycloalkyl groups include spiro Ring, fused and bridged cycloalkyl groups. Cycloalkyl groups may be substituted or unsubstituted, and when substituted, the substituents may be substituted at any available point of attachment, and in some embodiments are selected from one or more of the following groups, independently selected from Halogen, deuterium, hydroxyl, pendant oxy, nitro, cyano, C1-6 alkyl, C1-6 alkoxy, C2-6 alkenyloxy, C2-6 alkynyloxy, C3- 6 -cycloalkoxy, 3- to 6-membered heterocycloalkoxy, C3-8 cycloalkenyloxy, 5- to 6-membered aryl or heteroaryl, the C1-6 alkyl, C1-6 alkoxy base, C2-6 alkenyloxy, C2-6 alkynyloxy, C3-6 cycloalkoxy, 3-6 membered heterocycloalkoxy, C3-8 cycloalkenyloxy, 5-6 membered Aryl or heteroaryl groups are optionally substituted with one or more groups selected from halogen, deuterium, hydroxy, pendant oxy, nitro, cyano.
該環烷基環可以稠合於芳基或雜芳基環上,其中與母體結構連接在一起的環為環烷基,非限制性實例包括茚滿基、四氫萘基、苯并環庚烷基等。環烷基可以是任選取代的或非取代的,當被取代時,取代基在一些實施方案中選自一個或多個以下基團,其獨立地選自鹵素、氘、羥基、側氧基、硝基、氰基、C1-6烷基、C1-6烷氧基、C2-6烯氧基、C2-6炔氧基、C3-6環烷氧基、3至6員雜環烷氧基、C3-8環烯氧基、5至6員芳基或雜芳基,該C1-6烷基、C1-6烷氧基、C2-6烯氧基、C2-6炔氧基、C3-6環烷氧基、3至6員雜環烷氧基、C3-8環烯氧基、5至6員芳基或雜芳基任選被一個或多個選自鹵素、氘、羥基、側氧基、硝基、氰基所取代。The cycloalkyl ring can be fused to an aryl or heteroaryl ring, wherein the ring attached to the parent structure is a cycloalkyl, non-limiting examples include indanyl, tetrahydronaphthyl, benzocycloheptyl Alkyl etc. Cycloalkyl can be optionally substituted or unsubstituted, and when substituted, the substituents are in some embodiments selected from one or more of the following groups independently selected from halogen, deuterium, hydroxy, pendant oxy , nitro, cyano, C1-6 alkyl, C1-6 alkoxy, C2-6 alkenyloxy, C2-6 alkynyloxy, C3-6 cycloalkoxy, 3 to 6 Member heterocycloalkoxy, C3-8 cycloalkenyloxy, 5- to 6-membered aryl or heteroaryl, the C1-6 alkyl, C1-6 alkoxy, C2-6 alkenyloxy , C2-6 alkynyloxy, C3-6 cycloalkoxy, 3- to 6-membered heterocycloalkoxy, C3-8 cycloalkenyloxy, 5- to 6-membered aryl or heteroaryl are optionally One or more substituted by halogen, deuterium, hydroxyl, pendant oxy, nitro, cyano.
術語“雜環烷基”或“雜環”或“雜環基”指飽和或部分不飽和單環或多環環狀烴取代基,其包含3至20個環原子,其中一個或多個環原子為選自氮、氧或S(O)m(其中m是整數0至2)的雜原子,但不包括-O-O-、-O-S-或-S-S-的環部分,其餘環原子為碳。在一些實施方案中選自包含3至12個環原子,其中1~4個是雜原子;在一些實施方案中選自包含3至7個環原子。單環雜環烷基的非限制性實例包括吡咯烷基、咪唑烷基、四氫呋喃基、四氫噻吩基、二氫咪唑基、二氫呋喃基、二氫吡唑基、二氫吡咯基、哌啶基、哌嗪基、嗎啉基、硫代嗎啉基、高哌嗪基等。多環雜環烷基包括螺環、稠環和橋環的雜環烷基。“雜環烷基”非限制性實例包括:The term "heterocycloalkyl" or "heterocycle" or "heterocyclyl" refers to a saturated or partially unsaturated monocyclic or polycyclic cyclic hydrocarbon substituent containing from 3 to 20 ring atoms, of which one or more rings Atoms are heteroatoms selected from nitrogen, oxygen or S(O)m (where m is an integer from 0 to 2), but excluding ring moieties of -OO-, -OS- or -SS-, the remaining ring atoms are carbon. In some embodiments selected from containing 3 to 12 ring atoms, of which 1-4 are heteroatoms; in some embodiments selected from containing 3 to 7 ring atoms. Non-limiting examples of monocyclic heterocycloalkyl include pyrrolidinyl, imidazolidinyl, tetrahydrofuranyl, tetrahydrothienyl, dihydroimidazolyl, dihydrofuranyl, dihydropyrazolyl, dihydropyrrolyl, piper pyridyl, piperazinyl, morpholinyl, thiomorpholinyl, homopiperazinyl, etc. Polycyclic heterocycloalkyl groups include spiro, fused and bridged ring heterocycloalkyl groups. Non-limiting examples of "heterocycloalkyl" include:
該雜環烷基環可以稠合於芳基或雜芳基環上,其中與母體結構連接在一起的環為雜環烷基,其非限制性實例包括:The heterocycloalkyl ring can be fused to an aryl or heteroaryl ring, wherein the ring attached to the parent structure is a heterocycloalkyl, non-limiting examples of which include:
和等。 and Wait.
雜環烷基可以是任選取代的或非取代的,當被取代時,取代基在一些實施方案中選自一個或多個以下基團,其獨立地選自鹵素、氘、羥基、側氧基、硝基、氰基、C1-6烷基、C1-6烷氧基、C2-6烯氧基、C2-6炔氧基、C3-6環烷氧基、3至6員雜環烷氧基、C3-8環烯氧基、5至6員芳基或雜芳基,該C1-6烷基、C1-6烷氧基、C2-6烯氧基、C2-6炔氧基、C3-6環烷氧基、3至6員雜環烷氧基、C3-8環烯氧基、5至6員芳基或雜芳基任選被一個或多個選自鹵素、氘、羥基、側氧基、硝基、氰基所取代。Heterocycloalkyl can be optionally substituted or unsubstituted, and when substituted, the substituents are in some embodiments selected from one or more of the following groups independently selected from halogen, deuterium, hydroxyl, pendant oxygen group, nitro, cyano, C1-6 alkyl, C1-6 alkoxy, C2-6 alkenyloxy, C2-6 alkynyloxy, C3-6 cycloalkoxy, 3 to 6-membered heterocycloalkoxy, C3-8 cycloalkenyloxy, 5- to 6-membered aryl or heteroaryl, the C1-6 alkyl, C1-6 alkoxy, C2-6 alkenyloxy group, C2-6 alkynyloxy, C3-6 cycloalkoxy, 3- to 6-membered heterocycloalkoxy, C3-8 cycloalkenyloxy, 5- to 6-membered aryl or heteroaryl optional Substituted with one or more selected from halogen, deuterium, hydroxy, pendant oxy, nitro, cyano.
術語“芳基”指具有共軛的π電子體系的6至14員全碳單環或稠合多環(也就是共享毗鄰碳原子對的環)基團,在一些實施方案中選自6至12員,例如苯基和萘基。該芳基環可以稠合於雜芳基、雜環烷基或環烷基環上,其中與母體結構連接在一起的環為芳基環,其非限制性實例包括:The term "aryl" refers to a 6- to 14-membered all-carbon monocyclic or fused polycyclic (ie, rings sharing adjacent pairs of carbon atoms) groups having a conjugated pi-electron system, in some embodiments selected from 6 to 14 12 members, such as phenyl and naphthyl. The aryl ring can be fused to a heteroaryl, heterocycloalkyl or cycloalkyl ring, wherein the ring linked to the parent structure is an aryl ring, non-limiting examples of which include:
芳基可以是取代的或非取代的,當被取代時,取代基在一些實施方案中選自一個或多個以下基團,其獨立地選自鹵素、氘、羥基、側氧基、硝基、氰基、C1-6烷基、C1-6烷氧基、C2-6烯氧基、C2-6炔氧基、C3-6環烷氧基、3至6員雜環烷氧基、C3-8環烯氧基、5至6員芳基或雜芳基,該C1-6烷基、C1-6烷氧基、C2-6烯氧基、C2-6炔氧基、C3-6環烷氧基、3至6員雜環烷氧基、C3-8環烯氧基、5至6員芳基或雜芳基任選被一個或多個選自鹵素、氘、羥基、側氧基、硝基、氰基所取代。Aryl groups may be substituted or unsubstituted, and when substituted, the substituents are in some embodiments selected from one or more of the following groups independently selected from halogen, deuterium, hydroxy, pendant oxy, nitro , cyano, C1-6 alkyl, C1-6 alkoxy, C2-6 alkenyloxy, C2-6 alkynyloxy, C3-6 cycloalkoxy, 3-6 membered heterocycle Alkoxy, C3-8 cycloalkenyloxy, 5- to 6-membered aryl or heteroaryl, the C1-6 alkyl, C1-6 alkoxy, C2-6 alkenyloxy, C2 -6 alkynyloxy, C3-6 cycloalkoxy, 3- to 6-membered heterocycloalkoxy, C3-8 cycloalkenyloxy, 5- to 6-membered aryl or heteroaryl optionally replaced by one or more One is substituted by halogen, deuterium, hydroxyl, pendant oxy, nitro, cyano.
術語“雜芳基”指包含1至4個雜原子、5至14個環原子的雜芳族體系,其中雜原子選自氧、硫和氮。雜芳基在一些實施方案中選自6至12員,更在一些實施方案中選自5員或6員。例如。其非限制性實例包括:咪唑基、呋喃基、噻吩基、噻唑基、吡唑基、噁唑基(oxazolyl)、異噁唑基(isoxazolyl)、吡咯基、四唑基、吡啶基、嘧啶基、噻二唑、吡嗪基、三唑基、吲唑基、苯并咪唑基、,、等。The term "heteroaryl" refers to a heteroaromatic system comprising 1 to 4 heteroatoms, 5 to 14 ring atoms, wherein the heteroatoms are selected from oxygen, sulfur and nitrogen. Heteroaryl is selected from 6 to 12 members in some embodiments, more in some embodiments from 5 or 6 members. E.g. Non-limiting examples thereof include: imidazolyl, furyl, thienyl, thiazolyl, pyrazolyl, oxazolyl, isoxazolyl, pyrrolyl, tetrazolyl, pyridyl, pyrimidinyl , thiadiazole, pyrazinyl, triazolyl, indazolyl, benzimidazolyl, , , Wait.
該雜芳基環可以稠合於芳基、雜環烷基或環烷基環上,其中與母體結構連接在一起的環為雜芳基環,其非限制性實例包括:The heteroaryl ring can be fused to an aryl, heterocycloalkyl or cycloalkyl ring, wherein the ring linked to the parent structure is a heteroaryl ring, non-limiting examples of which include:
雜芳基可以是任選取代的或非取代的,當被取代時,取代基在一些實施方案中選自一個或多個以下基團,其獨立地選自鹵素、氘、羥基、側氧基、硝基、氰基、C1-6烷基、C1-6烷氧基、C2-6烯氧基、C2-6炔氧基、C3-6環烷氧基、3至6員雜環烷氧基、C3-8環烯氧基、5至6員芳基或雜芳基,該C1-6烷基、C1-6烷氧基、C2-6烯氧基、C2-6炔氧基、C3-6環烷氧基、3至6員雜環烷氧基、C3-8環烯氧基、5至6員芳基或雜芳基任選被一個或多個選自鹵素、氘、羥基、側氧基、硝基、氰基所取代。Heteroaryl groups can be optionally substituted or unsubstituted, and when substituted, the substituents are in some embodiments selected from one or more of the following groups independently selected from halogen, deuterium, hydroxy, pendant oxy , nitro, cyano, C1-6 alkyl, C1-6 alkoxy, C2-6 alkenyloxy, C2-6 alkynyloxy, C3-6 cycloalkoxy, 3 to 6 Member heterocycloalkoxy, C3-8 cycloalkenyloxy, 5- to 6-membered aryl or heteroaryl, the C1-6 alkyl, C1-6 alkoxy, C2-6 alkenyloxy , C2-6 alkynyloxy, C3-6 cycloalkoxy, 3- to 6-membered heterocycloalkoxy, C3-8 cycloalkenyloxy, 5- to 6-membered aryl or heteroaryl are optionally One or more substituted by halogen, deuterium, hydroxyl, pendant oxy, nitro, cyano.
術語“羥基”指-OH基團。The term "hydroxy" refers to the -OH group.
術語“鹵素”指氟、氯、溴或碘。The term "halogen" refers to fluorine, chlorine, bromine or iodine.
術語“鹵烷基”指被鹵素取代的烷基,其中烷基如上所定義。The term "haloalkyl" refers to an alkyl group substituted with halogen, wherein alkyl is as defined above.
術語“氰基”指-CN。The term "cyano" refers to -CN.
術語“硝基”指-NO2。The term "nitro" refers to-NO2 .
術語“側氧基”指=O基團,例如,碳原子與氧原子藉由雙鍵連接,其中形成酮或醛基。The term "pendant oxy" refers to a =O group, eg, a carbon atom is attached to an oxygen atom by a double bond, wherein a ketone or aldehyde group is formed.
術語“胺基”指-NH2。The term "amino" refers to-NH2 .
術語“羧基”指-C(O)OH。The term "carboxy" refers to -C(O)OH.
術語“醛基”指-CHO。The term "aldehyde group" refers to -CHO.
在本公開的化學結構式中,“”或其可以根據本文所述發明範圍連接一個或多個任何基團;星號“*”表示手性中心。In the chemical structural formula of the present disclosure, " "or It can be attached to one or more of any group in accordance with the scope of the invention described herein; an asterisk "*" indicates a chiral center.
本公開上下文中,基團中的部分可以替換為能夠與相鄰核苷酸實現連接的任意基團。In the context of this disclosure, the group middle A moiety can be replaced with any group that enables linkage to adjacent nucleotides.
術語“連接”,當表示兩個分子之間的聯繫時,指兩個分子藉由共價鍵連接或者兩個分子經由非共價鍵(例如,氫鍵或離子鍵)關聯,包括直接連接、間接連接。The term "connected," when referring to a connection between two molecules, refers to the connection of two molecules by covalent bonds or the association of two molecules by non-covalent bonds (eg, hydrogen bonds or ionic bonds), including direct connection, indirect connection.
術語“直接連接”指第一化合物或基團與第二化合物或基團在沒有任何間插原子或原子基團的情況下連接。The term "directly attached" refers to the attachment of a first compound or group to a second compound or group without any intervening atoms or groups of atoms.
術語“間接連接”指第一化合物或基團與第二化合物或基團藉由中間基團、化合物或分子(例如,連接基團)連接。The term "indirectly attached" refers to the attachment of a first compound or group to a second compound or group through an intermediate group, compound or molecule (eg, a linking group).
術語“取代的”表示指定原子(通常是碳、氧和氮原子)上的任何一個或多個氫原子被本文所限定的任何基團所替代,條件是不超過該指定原子的正常化合價並且取代生成穩定化合物。取代基的非限制性示例包括C1-C6烷基、C2-C6烯基、C2-C6炔基、氰基、羥基、側氧基、羧基、環烷基、環烯基、雜環基、雜芳基、芳基、酮、烷氧基羰基、芳氧基羰基、雜芳氧基羰基或鹵素(例如,F、Cl、Br、I)。當取代基是酮或側氧(即,=O)時,則原子上有兩個(2個)氫被替代。The term "substituted" means that any one or more hydrogen atoms on the designated atom (usually carbon, oxygen, and nitrogen atoms) are replaced by any group as defined herein, provided that the designated atom's normal valence is not exceeded and the substitution Generate stable compounds. Non-limiting examples of substituents include C1-C6 alkyl, C2-C6 alkenyl, C2-C6 alkynyl, cyano, hydroxy, pendant oxy, carboxyl, cycloalkyl, cycloalkenyl, heterocyclyl, heterocyclyl Aryl, aryl, ketone, alkoxycarbonyl, aryloxycarbonyl, heteroaryloxycarbonyl, or halogen (eg, F, Cl, Br, I). When the substituent is a ketone or pendant oxygen (ie, =O), then two (2) hydrogens are replaced on the atom.
“被一個或多個……取代”是指可以被單個或多個取代基取代。當被多個取代基取代時,可以是複數個相同取代基,也可以是一個或複數個不同取代基的組合。"Substituted with one or more" means that it may be substituted with single or multiple substituents. When substituted by a plurality of substituents, it may be a plurality of the same substituents, or a combination of one or a plurality of different substituents.
本公開中的一些縮略語定義如下:Some abbreviations in this disclosure are defined as follows:
DCE:二氯乙烷;DCE: dichloroethane;
Sc(OTf)3:三氟甲烷磺酸鈧;Sc(OTf)3 : scandium trifluoromethanesulfonate;
TFH:四氫呋喃;TFH: tetrahydrofuran;
Pd/C:鈀-碳;Pd/C: palladium-carbon;
TFA:三氟乙酸;TFA: trifluoroacetic acid;
DMF:二甲基甲醯胺;DMF: dimethylformamide;
DIPEA:N-乙基二異丙基胺;DIPEA: N-ethyldiisopropylamine;
HoBt:1-羥基苯并三唑;HoBt: 1-hydroxybenzotriazole;
EDCI:1-乙基-(3-二甲基胺基丙基)碳二亞胺鹽酸鹽;EDCI: 1-ethyl-(3-dimethylaminopropyl) carbodiimide hydrochloride;
DMTrCl:4,4'-雙甲氧基三苯甲基氯;DMTrCl: 4,4'-bismethoxytrityl chloride;
DIEA:N,N-二異丙基乙胺;DIEA: N,N-diisopropylethylamine;
HATU:2-(7-氮雜苯并三唑)-N,N,N',N'-四甲基脲六氟磷酸鹽;HATU: 2-(7-azabenzotriazole)-N,N,N',N'-tetramethylurea hexafluorophosphate;
LiOH:氫氧化鋰;LiOH: lithium hydroxide;
DMAP:4-二甲胺基吡啶;DMAP: 4-dimethylaminopyridine;
HBTU:苯并三唑-N,N,N',N'-四甲基脲六氟磷酸鹽;HBTU: benzotriazole-N,N,N',N'-tetramethylurea hexafluorophosphate;
DMTrCl:1-[氯(4-甲氧基苯基)苄基]-4-甲氧基苯DMTrCl: 1-[Chloro(4-methoxyphenyl)benzyl]-4-methoxybenzene
CF3SO3H:三氟甲磺酸;CF3 SO3 H: trifluoromethanesulfonic acid;
BnBr:溴化苄;BnBr: benzyl bromide;
DEPBT:3-(二乙氧基磷醯氧基)-1,2,3-苯并三嗪-4-酮;DEPBT: 3-(diethoxyphosphoryloxy)-1,2,3-benzotriazin-4-one;
Bz:苯甲醯基保護基;Bz: benzyl protecting group;
MMTr:甲氧基苯基二苯甲基;MMTr: methoxyphenyl benzhydryl;
DMTr:二甲氧三苯甲基保護基。DMTr: dimethoxytrityl protecting group.
圖1為根據本公開的siRNA的在靶活性及脫靶水平驗證結果;Fig. 1 is the verification result of on-target activity and off-target level of siRNA according to the present disclosure;
圖2為根據經修飾的siRNA對FXI表達的抑制活性;Figure 2 is the inhibitory activity of FXI expression according to modified siRNA;
圖3為GalNAc綴合siRNA對於鼠原代肝細胞mTTR基因抑制活性;Figure 3 shows the inhibitory activity of GalNAc-conjugated siRNA on mTTR gene in murine primary hepatocytes;
圖4為GalNAc綴合siRNA對於小鼠mTTR基因的體內抑制活性;Figure 4 shows the in vivo inhibitory activity of GalNAc-conjugated siRNA for mouse mTTR gene;
圖5為胺基半乳糖分子簇綴合siRNA對於小鼠mTTR基因的體內長效抑制活性。Figure 5 shows the in vivo long-term inhibitory activity of aminogalactose cluster-conjugated siRNA on mouse mTTR gene.
以下結合實施例進一步描述本公開,但這些實施例並非限制本公開的範圍。本公開實施例中未註明具體實驗條件和/或方法的情況下,通常按照常規條件或按照原料或商品製造廠商所建議的條件和/或方法進行。未註明具體來源的試劑,則該試劑可從分子生物學試劑的供應商以用於分子生物學應用的質量/純度而獲得。The present disclosure is further described below in conjunction with the examples, but these examples do not limit the scope of the present disclosure. In the case where specific experimental conditions and/or methods are not indicated in the examples of the present disclosure, it is usually carried out in accordance with conventional conditions or in accordance with conditions and/or methods suggested by raw material or commodity manufacturers. Reagents not specifically sourced are available from suppliers of molecular biology reagents in quality/purity for molecular biology applications.
實施例1凝血因子XI siRNA的設計和合成Example 1 Design and synthesis of factor XI siRNA
1)siRNA設計,以人凝血因子XI基因(NM_000128.4)作為靶基因設計siRNA。未經修飾的正義鏈及反義鏈序列詳見表1。1)siRNA design , the human coagulation factor XI gene (NM_000128.4) was used as the target gene to design siRNA. The unmodified sense and antisense strand sequences are shown in Table 1.
2)siRNA合成,使用固體支撐物介導的亞磷醯胺化學於Dr.Oligo48合成器(Biolytic)上以200奈米莫耳(nmol)規格合成表5和表6的siRNA序列。該固體支撐物是通用固體支撐物(深圳逗點生物)。核苷單體原料2’-F-RNA、2’-O-甲基RNA等核苷亞磷醯胺單體購自上海兆維或蘇州吉瑪。全部亞磷醯胺(50mM乙腈溶液)的偶合時間是6分鐘(min),採用5-乙基硫-1H-四唑(ETT)作為活化劑(0.6M乙腈溶液),使用0.22M的PADS溶於1:1體積比的乙腈和三甲基吡啶(蘇州柯樂瑪)溶液作為硫化試劑,硫化反應時間是3分鐘(min),使用碘吡啶/水溶液(蘇州柯樂瑪)作為氧化劑,氧化反應時間2分鐘(min)。根據目標產物是否具有5’-硫代磷酸酯修飾的情況,選擇上述硫化反應條件或氧化反應條件。2)siRNA synthesis , the siRNA sequences of Tables 5 and 6 were synthesized using solid support mediated phosphamide chemistry on a Dr. Oligo48 synthesizer (Biolytic) at 200 nanomolar (nmol) scale. The solid support is a general solid support (Shenzhen Comma Bio). Nucleoside monomer raw materials 2'-F-RNA, 2'-O-methyl RNA and other nucleoside phosphoramidite monomers were purchased from Shanghai Zhaowei or Suzhou Zima. Coupling time for all phosphamidites (50 mM in acetonitrile) was 6 minutes (min) using 5-ethylthio-1H-tetrazole (ETT) as the activator (0.6 M in acetonitrile) in 0.22 M in PADS. In 1:1 volume ratio of acetonitrile and collema (Suzhou Kelema) solution as sulfurization reagent, sulfurization reaction time is 3 minutes (min), using iodopyridine/water solution (Suzhou Kelema) as oxidant,
固相合成完成後,寡核糖核苷酸自該固體支撐物裂解,採用體積比為3:1的28%氨水和乙醇溶液在50℃條件下浸泡16小時。然後高速離心,將上清液轉移到另一個離心管中,濃縮蒸發乾後,使用C18反向色譜純化,流動相為0.1M TEAA和乙腈,並使用3%三氟乙酸溶液脫出DMTr。目標寡核苷酸收集後凍乾,並經LC-MS鑑定為目標產物,再經過UV(260nm)定量。After the solid-phase synthesis was completed, the oligoribonucleotides were cleaved from the solid support, and immersed in a 3:1 volume ratio of 28% ammonia water and ethanol solution at 50°C for 16 hours. Then high-speed centrifugation, the supernatant was transferred to another centrifuge tube, concentrated and evaporated to dryness, purified using C18 reverse-phase chromatography, the mobile phase was 0.1M TEAA and acetonitrile, and DMTr was removed using 3% trifluoroacetic acid solution. The target oligonucleotides were collected and lyophilized, identified as the target product by LC-MS, and quantified by UV (260 nm).
按照上述步驟分別合成的正義鏈和反義鏈,根據等莫耳比進行退火,使它們藉由氫鍵形成雙鏈結構,最後將所得到的雙鏈siRNA溶於1×PBS中,並調整至實驗所需濃度。The sense and antisense strands synthesized according to the above steps were annealed according to the equimolar ratio to form a double-stranded structure by hydrogen bonding. Finally, the obtained double-stranded siRNA was dissolved in 1×PBS and adjusted to The concentration required for the experiment.
表1.凝血因子XI siRNA的未修飾的正義鏈和反義鏈,以及包含化學修飾的反義鏈
表1中,SEQ ID NO:47-69中的W’選自:2'-甲氧基修飾的核苷酸或包含、或所示的化學修飾或其互變異構體修飾的核苷酸;In Table 1, W' in SEQ ID NOs: 47-69 is selected from: 2'-methoxy-modified nucleotides or comprising , or The indicated chemically modified nucleotides or their tautomer modified nucleotides;
其中,M為O或S;其中,B選自表2中SEQ ID NO:47-69與SEQ ID NO:24-46的5’區域的第7位中對應位置的鹼基,例如SEQ ID NO:47與SEQ ID NO:24對應、SEQ ID NO:69與SEQ ID NO:46。Wherein, M is O or S; wherein, B is selected from the bases at the corresponding positions in the 7th position of the 5' region of SEQ ID NO: 47-69 and SEQ ID NO: 24-46 in Table 2, such as SEQ ID NO : 47 corresponds to SEQ ID NO:24, SEQ ID NO:69 corresponds to SEQ ID NO:46.
以下表2-表3表示經過修飾的凝血因子XI siRNA正義鏈和反義鏈,其中The following Tables 2-3 represent the modified factor XI siRNA sense and antisense strands, wherein
小寫字母m表示該字母m左側相鄰的一個核苷酸為2'-甲氧基修飾的核苷酸;小寫字母f表示該字母f左側相鄰的一個核苷酸為2'-氟修飾的核苷酸;The lowercase letter m indicates that a nucleotide adjacent to the left of the letter m is a 2'-methoxy modified nucleotide; the lowercase letter f indicates that the adjacent nucleotide to the left of the letter f is a 2'-fluorine modified nucleotide Nucleotides;
小寫字母s在大寫字母中間時表示與該字母s左右相鄰的兩個核苷酸之間的連接為硫代磷酸酯基連接;小寫字母s在3’端第一個時表示與該字母s左側相鄰的一個核苷酸末端為硫代磷酸酯基。本說明書中的其他地方使用的m、s、f均具有相同的含義。When the lowercase letter s is in the middle of the uppercase letter, it means that the connection between the two nucleotides adjacent to the letter s is phosphorothioate;A nucleotide end adjacent to the left of the parent s is a phosphorothioate group. m, s and f used elsewhere in this manual have the same meaning.
表2凝血因子XI siRNA經過修飾的正義鏈和反義鏈
表3凝血因子XI siRNA經過修飾的正義鏈和反義鏈
實施例2 siRNA對Huh7細胞中人凝血因子XI的抑制-單濃度點抑制活性篩選Example 2 Inhibition of human coagulation factor XI by siRNA in Huh7 cells-screening of single-concentration point inhibition activity
在體外測試靶向凝血因子XI的siRNA對凝血因子XI mRNA表達水平的影響。Huh7細胞培養於含10%胎牛血清的DMEM高糖培養基中,在37℃,5% CO2條件下培養。轉染前24h,將Huh7細胞接種於24孔板,接種密度為每孔10萬個細胞,每孔500μL培養基。The effect of siRNA targeting factor XI on factor XI mRNA expression levels was tested in vitro. Huh7 cells were cultured in DMEM high-glucose medium containing 10% fetal bovine serum at 37°C under 5% CO2 conditions. 24h before transfection, Huh7 cells were seeded in 24-well plates at a seeding density of 100,000 cells per well and 500 μL of medium per well.
參照產品說明手冊,使用Lipofeetamine RNAiMAX(ThermoFisher,13778150)轉染siRNA,siRNA轉染的終濃度為10nM,兩個複孔。在處理24小時後,使用細胞RNA提取試劑盒(凡知醫療科技(江蘇)有限公司,FG0410-L)從細胞中分離RNA,採用逆轉錄試劑盒(Takara PrimeScriptTM II 1st Strand cDNA Synthesis Kit,6210A)進行反轉錄,並以qPCR反應試劑盒(ThermoFisher TaqMan Fast Advanced Master Mix,4444964)進行定量實時PCR檢測,測定凝血因子XI的mRNA水平,根據GAPDH內參基因水平對凝血因子XI的mRNA水平進行校正。結果以相對於空白對照組處理的細胞凝血因子XI mRNA表達的剩餘百分比來表示,結果見表4。Referring to the product instruction manual, Lipofeetamine RNAiMAX (ThermoFisher, 13778150) was used to transfect siRNA, and the final concentration of siRNA transfection was 10 nM, with two replicate wells. After 24 hours of treatment, RNA was isolated from cells using a cellular RNA extraction kit (Fanzhi Medical Technology (Jiangsu) Co., Ltd., FG0410-L), and a reverse transcription kit (Takara PrimeScript™ II 1st Strand cDNA Synthesis Kit, 6210A) was used. ) was reverse transcribed, and quantitative real-time PCR detection was performed with a qPCR reaction kit (ThermoFisher TaqMan Fast Advanced Master Mix, 4444964) to determine the mRNA level of coagulation factor XI, and the mRNA level of coagulation factor XI was corrected according to the GAPDH internal reference gene level. The results are expressed as the remaining percentage of factor XI mRNA expression in the treated cells relative to the blank control group, and the results are shown in Table 4.
表4.siRNA對Huh7細胞中人凝血因子XI抑制作用單濃度點篩選結果
實施例3 siRNA對Huh7細胞中人凝血因子XI的抑制-雙濃度點活性Example 3 Inhibition of human coagulation factor XI by siRNA in Huh7 cells-double concentration point activity
在Huh7細胞中採用2個濃度(10nM、1nM)對siRNA進行篩選。siRNA was screened in Huh7 cells at 2 concentrations (10 nM, 1 nM).
Huh7細胞培養於含10%胎牛血清的DMEM高糖培養基中,在37℃,5% CO2條件下培養。轉染前24h,將Huh7細胞接種於96孔板,接種密度為每孔1萬個細胞,每孔100μL培養基。Huh7 cells were cultured in DMEM high-glucose medium containing 10% fetal bovine serum at 37°C under 5% CO2 conditions. 24h before transfection, Huh7 cells were seeded in 96-well plates at a seeding density of 10,000 cells per well and 100 μL of medium per well.
參照產品說明手冊,使用Lipofectamine RNAiMAX(ThermoFisher,13778150)轉染siRNA,siRNA轉染的終濃度為10nM和1nM。在處理24小時後,使用TaqManTM Fast Advanced Cells-to-CTTM Kit(ThermoFisher,A35378)進行定量實時PCR檢測,測定凝血因子XI的mRNA水平,根據GAPDH內參基因水平對凝血因子XI的mRNA水平進行校正。Referring to the product instruction manual, Lipofectamine RNAiMAX (ThermoFisher, 13778150) was used to transfect siRNA, and the final concentrations of siRNA transfection were 10 nM and 1 nM. After 24 hours of treatment, quantitative real-time PCR was used to detect the mRNA level of coagulation factor XI using TaqManTM Fast Advanced Cells-to-CTTM Kit (ThermoFisher, A35378). Correction.
結果以相對於空白對照組處理的細胞的凝血因子XI mRNA表達剩餘百分比來表示,結果見表5。The results were expressed as the remaining percentage of factor XI mRNA expression relative to the blank control group-treated cells, and the results are shown in Table 5.
表5.siRNA對Huh7細胞中人凝血因子XI抑制作用的雙濃度點篩選結果
實施例4 siRNA對Huh7細胞中人凝血因子XI的抑制-五濃度點抑制活性Example 4 Inhibition of human coagulation factor XI in Huh7 cells by siRNA - five-concentration point inhibitory activity
在Huh7細胞中採用5個濃度梯度對siRNA進行篩選。各個siRNA樣品轉染起始終濃度為10nM,10倍梯度稀釋。實驗方法參考實施例3,其中,siRNA轉染的終濃度為10nM、1nM、0.1nM、0.01nM、0.001nM。siRNA was screened in Huh7 cells using 5 concentration gradients. Each siRNA sample was always at a concentration of 10 nM from transfection in a 10-fold serial dilution. For the experimental method, refer to Example 3, wherein the final concentrations of siRNA transfection were 10 nM, 1 nM, 0.1 nM, 0.01 nM, and 0.001 nM.
結果以相對於空白對照組處理的細胞的凝血因子XI mRNA表達剩餘百分比來表示。抑制率的IC50結果見表6。Results are expressed as the remaining percentage of factor XI mRNA expression relative to blank control-treated cells. The IC50 results of the inhibition rate are shown in Table 6.
表6 siRNA對Huh7細胞中人凝血因子XI的多劑量抑制活性Table 6 Multi-dose inhibitory activity of siRNA on human coagulation factor XI in Huh7 cells
實施例5 siRNA對Huh7細胞中人凝血因子XI的抑制-劑量依賴性實驗Example 5 Inhibition of human coagulation factor XI in Huh7 cells by siRNA-dose-dependent experiment
在Huh7細胞中採用11個濃度梯度對siRNA進行篩選。各個siRNA樣品轉染起始終濃度為50nM,10倍梯度稀釋。實驗方法參考實施例2。siRNA was screened in Huh7 cells using 11 concentration gradients. Each siRNA sample was always at a concentration of 50 nM from transfection in a 10-fold serial dilution. The experimental method refers to Example 2.
結果以相對於空白對照組處理的細胞的凝血因子XI mRNA表達剩餘百分比來表示。抑制率的IC50結果見表7。Results are expressed as the remaining percentage of factor XI mRNA expression relative to blank control-treated cells. The IC50 results of the inhibition rate are shown in Table 7.
實施例6 siRNA序列活性及脫靶水平驗證Example 6 Validation of siRNA sequence activity and off-target level
在HEK293A細胞中採用11個濃度梯度對siRNA進行體外分子水平模擬在靶及脫靶水平篩選。結果表明,本公開的siRNA具有高活性的同時,還具有低脫靶性。In HEK293A cells, 11 concentration gradients were used to screen siRNA at the on-target and off-target levels in vitro. The results show that the siRNA of the present disclosure has high activity and low off-target activity.
分別構建siRNA序列對應的在靶序列和脫靶序列,插入到psiCHECK-2質粒中。該質粒包含海腎螢光素酶基因及螢火蟲螢光素酶基因。作為雙報告基因系統,siRNA的靶序列插入到海腎螢光素酶基因的3’UTR區域,siRNA對於靶標序列的活性可以藉由經螢火蟲螢光素酶校準後的海腎螢光素酶表達情況的檢測來反映,檢測使用Dual-Luciferase Reporter Assay System(Promega,E2940)。The on-target and off-target sequences corresponding to the siRNA sequences were constructed and inserted into the psiCHECK-2 plasmid. The plasmid contains Renilla luciferase gene and firefly luciferase gene. As a dual reporter gene system, the target sequence of the siRNA is inserted into the 3'UTR region of the Renilla luciferase gene, and the activity of the siRNA against the target sequence can be expressed by the Renilla luciferase calibrated by firefly luciferase The detection of the condition was reflected using the Dual-Luciferase Reporter Assay System (Promega, E2940).
siRNA序列對應的靶標質粒構建規則如下:The target plasmid construction rules corresponding to the siRNA sequence are as follows:
針對siRNA的反義鏈,分別構建與AS鏈完全互補的在靶質粒GSCM;構建與反義鏈5’端1-8位完全互補,而其它位置的鹼基完全不匹配的脫靶質粒GSSM,鹼基錯配對應規則為A與C互配、G與T互配。For the antisense strand of siRNA, construct the on-target plasmid GSCM that is completely complementary to the AS strand; construct the off-target plasmid GSSM that is completely complementary to the 5' end of the antisense strand at positions 1-8, but the bases at other positions are completely mismatched. The corresponding rules for base mismatch are A and C interfit, G and T interfit.
針對siRNA的正義鏈,分別構建與SS鏈完全互補的脫靶質粒PSCM;構建與正義鏈5’端1-8位完全互補,而其它位置的鹼基完全不匹配的脫靶質粒PSSM,鹼基錯配對應規則為A與C互配、G與T互配。For the sense strand of siRNA, construct off-target plasmid PSCM that is completely complementary to the SS strand; construct off-target plasmid PSSM that is completely complementary to the 5' end of the sense strand at positions 1-8, but the bases at other positions are completely mismatched. The corresponding rules are that A and C are paired with each other, and G and T are paired with each other.
HEK293A細胞培養於含10%胎牛血清的DMEM高糖培養基中,在37℃,5% CO2條件下培養。轉染前24h,將HEK293A細胞接種於96孔板,接種密度為每孔1萬個細胞,每孔100μL培養基。HEK293A cells were cultured in DMEM high-glucose medium containing 10% fetal bovine serum at 37°C under 5% CO2 conditions. 24h before transfection, HEK293A cells were seeded in 96-well plates at a seeding density of 10,000 cells per well and 100 μL of medium per well.
按照說明書,使用Lipofectamine2000(ThermoFisher,11668019)對細胞共轉染siRNA及對應質粒,每孔使用0.2μL Lipofectamine2000。質粒轉染量為10ng每孔。對於在靶序列質粒,siRNA共設置11個濃度點,最高濃度點終濃度為1nM,2倍梯度稀釋;對於脫靶序列質粒,siRNA共設置11個濃度點,最高濃度點終濃度為40nM,4倍梯度稀釋。轉染後24h,採用Dual-Luciferase Reporter Assay System(Promega,E2940)檢測脫靶水平。結果如圖1所示。According to the instructions, cells were co-transfected with siRNA and corresponding plasmids using Lipofectamine2000 (ThermoFisher, 11668019), and 0.2 μL of Lipofectamine2000 was used in each well. The amount of plasmid transfection was 10 ng per well. For on-target plasmids, a total of 11 concentration points were set for siRNA, the final concentration of the highest concentration point was 1nM, 2-fold gradient dilution; for off-target sequence plasmids, siRNA was set to 11 concentration points, and the final concentration of the highest concentration point was 40nM, 4-fold Gradient dilution. 24h after transfection, the off-target level was detected by Dual-Luciferase Reporter Assay System (Promega, E2940). The results are shown in Figure 1.
實施例7不同修飾方案的siRNA抑制FXI表達Example 7 siRNA of different modification schemes inhibits FXI expression
選擇靶向人F11因子mRNA的4條siRNA序列,如下所示:Four siRNA sequences targeting human F11 factor mRNA were selected as follows:
siRNA1siRNA1
正義鏈:5’-AGUGGUACAUUUCAUUUUA-3’(SEQ ID NO:1)Sense strand: 5'-AGUGGUACAUUUCAUUUUA-3' (SEQ ID NO: 1)
反義鏈:5’-UAAAAUGAAAUGUACCACUUG-3’(SEQ ID NO:24)Antisense strand: 5'-UAAAAUGAAAUGUACCACUUG-3' (SEQ ID NO: 24)
siRNA2siRNA2
正義鏈:5’-GAUGAUUUUCUUAUAUCAA-3’(SEQ ID NO:2)Sense strand: 5'-GAUGAUUUUCUUAUAUCAA-3' (SEQ ID NO: 2)
反義鏈:5’-UUGAUAUAAGAAAAUCAUCCU-3’(SEQ ID NO:25)Antisense strand: 5'-UUGAUAUAAGAAAUCAUCCU-3' (SEQ ID NO: 25)
siRNA3siRNA3
正義鏈:5’-GGAUAUUGUUGCUGCAAAA-3’(SEQ ID NO:3)Sense strand: 5'-GGAUAUUGUUGCUGCAAAA-3' (SEQ ID NO: 3)
反義鏈:5’-UUUUGCAGCAACAAUAUCCAG-3’(SEQ ID NO:26)Antisense Strand: 5'-UUUUGCAGCAACAAUAUCCAG-3' (SEQ ID NO: 26)
siRNA4siRNA4
正義鏈:5’-CAGGAUGAUUUUCUUAUAU-3’(SEQ ID NO:5)Sense strand: 5'-CAGGAUGAUUUUCUUAUAU-3' (SEQ ID NO: 5)
反義鏈:5’-AUAUAAGAAAAUCAUCCUGAA-3’(SEQ ID NO:28)Antisense strand: 5'-AUAUAAGAAAAUCAUCCUGAA-3' (SEQ ID NO: 28)
按照實施例1的方法分別對正義鏈和反義鏈的各個核苷酸位點按照表8的修飾方案合成序列,按照表9所示siRNA修飾方案中的正義鏈和反義鏈組合,退火得到12組siRNA。According to the method of Example 1, each nucleotide position of the sense strand and antisense strand was synthesized according to the modification scheme in Table 8, and the combination of the sense strand and antisense strand in the siRNA modification scheme shown in Table 9 was obtained by annealing to obtain 12 sets of siRNA.
在Huh7細胞系裡進行活性評估(96孔板,起始濃度為10nM,5濃度點,10倍梯度稀釋)。Activity assessment was performed in Huh7 cell line (96-well plate, starting concentration of 10 nM, 5 concentration points, 10-fold serial dilution).
Taqman探針Q-PCR檢測實驗中使用的引子序列如下:The primer sequences used in the Taqman probe Q-PCR detection experiment are as follows:
目的基因-Probe-F(hFXI-PF):5’-TTTGCTGGGAGAGGGTGTTG-3’(SEQ ID NO:426)Target gene-Probe-F (hFXI-PF): 5'-TTTGCTGGGAGAGGGTGTTG-3' (SEQ ID NO: 426)
目的基因-Probe-R(hFXI-PR):5’-TACAAACACCAAGCCCCTTCA-3’(SEQ ID NO:427)Target gene-Probe-R (hFXI-PR): 5'-TACAAACACCAAGCCCCTTCA-3' (SEQ ID NO: 427)
目的基因-Probe(hFXI-P):5’-CCAGCATGCTTCCTCCACAGTAACACG-3’(SEQ ID NO:428)Target gene-Probe (hFXI-P): 5'-CCAGCATGCTTCCTCCACAGTAACACG-3' (SEQ ID NO: 428)
(5’端有6-FAM修飾,3’端有BHQ1修飾)(6-FAM modification at the 5' end and BHQ1 modification at the 3' end)
內參基因-Probe-F(h-GAPDH-PF):5’-CCAGGTGGTCTCCTCTGACTTC-3’(SEQ ID NO:429)Internal reference gene-Probe-F (h-GAPDH-PF): 5'-CCAGGTGGTCTCCTCTGACTTC-3' (SEQ ID NO: 429)
內參基因-Probe-R(h-GAPDH-PR):5’-GTGGTCGTTGAGGGCAATG-3’(SEQ ID NO:430)Internal reference gene-Probe-R (h-GAPDH-PR): 5'-GTGGTCGTTGAGGGCAATG-3' (SEQ ID NO: 430)
內參基因-Probe(h-GAPDH-P):5’-ACAGCGACACCCACTCCTCCACCTT-3’(SEQ ID NO:431)Internal reference gene-Probe (h-GAPDH-P): 5'-ACAGCGACACCCACTCCTCCACCTT-3' (SEQ ID NO: 431)
(5’端有TET修飾,3’端有BHQ2修飾)(TET modification at the 5' end and BHQ2 modification at the 3' end)
實驗結果如表10和圖2(Graph Prism 5軟體以Mean&SD值作管柱狀圖)所示,4組採用MD31修飾方案的靶向FXI的siRNA均具有更低的IC50,表明MD31修改方案具有更優的活性。The experimental results are shown in Table 10 and Figure 2 (Graph Prism 5 software uses the Mean & SD value as a bar graph), the 4 groups of siRNA targeting FXI using the MD31 modification scheme all have lowerIC50 , indicating that the MD31 modification scheme has better activity.
實施例8化學修飾的製備Example 8 Preparation of chemical modification
8.1 合成化合物1-1a和化合物1-1b8.1 Synthesis of Compound 1-1a and Compound 1-1b
將化合物1(500mg,3.42mmol)和三乙胺(Et3N,692mg,6.84mmol,0.95mL)溶於二氯甲烷(DCM,10mL)中,冰浴下滴加4-甲苯磺醯氯(TsCl,717mg,3.76mmol)的二氯甲烷(10mL)溶液,滴加完畢後反應在室溫下攪拌過夜,待反應完畢後,用水淬滅,水相用二氯甲烷(15mL)提取三次,合併的有機相先用飽和碳酸氫鈉水溶液(10mL)洗滌,再用飽和食鹽水(20mL)洗滌,隨後減壓蒸乾溶劑得到粗品2(820mg,80%),直接用於下一步反應。MS m/z:C14H21O5S,[M+H]+理論:301.10實測:301.2。Compound 1 (500 mg, 3.42 mmol) and triethylamine (Et3 N, 692 mg, 6.84 mmol, 0.95 mL) were dissolved in dichloromethane (DCM, 10 mL), and 4-toluenesulfonyl chloride ( TsCl, 717 mg, 3.76 mmol) in dichloromethane (10 mL), the reaction was stirred overnight at room temperature after the dropwise addition, quenched with water after the reaction was completed, the aqueous phase was extracted three times with dichloromethane (15 mL), and the combined The organic phase was washed with saturated aqueous sodium bicarbonate solution (10 mL), then with saturated brine (20 mL), and then the solvent was evaporated to dryness under reduced pressure to obtain crude product2 (820 mg, 80%), which was directly used in the next reaction. MS m/z:C14H21O5S , [M+H]+ theory:301.10 found:301.2 .
將化合物3(239mg,1.22mmol)溶解於二甲基甲醯胺(DMF,10mL)中,冰浴下加入NaH(60%溶解在礦物油中,93mg,2.33mmol)溶液,該反應下攪拌30分鐘,然後滴加化合物2(350mg,1.16mmol),滴加完畢後反應在60℃下攪拌5小時,反應完畢後,加水淬滅,水相用乙酸乙酯(15mL)提取三次,合併的有機相先用水(10mL)洗滌三次,再用飽和食鹽水(10mL)洗滌,隨後減壓蒸乾溶劑,經反相製備HPLC(C18,條件:5-50%(A:H2O,B:CH3CN),流速:70mL/min),凍乾後得到220mg化合物4。MS m/z:C19H21N5O3Na,[M+Na]+理論:390.16,實測:390.3。Compound3 (239 mg, 1.22 mmol) was dissolved in dimethylformamide (DMF, 10 mL), NaH (60% dissolved in mineral oil, 93 mg, 2.33 mmol) solution was added under ice bath, and the reaction was stirred for 30 minutes, and then dropwise added compound2 (350 mg, 1.16 mmol), after the completion of the dropwise addition, the reaction was stirred at 60 ° C for 5 hours, after the completion of the reaction, water was added to quench, the aqueous phase was extracted three times with ethyl acetate (15 mL), and the combined organic The phase was washed three times with water (10 mL), then with saturated brine (10 mL), and then the solvent was evaporated to dryness under reduced pressure. Preparative HPLC (C18 , conditions: 5-50% (A: H2 O, B: CH3 CN), flow rate: 70 mL/min), 220 mg of
室溫下將化合物4(1.50g,4.08mmol)溶解於20mL的醋酸和水(4:1)的混合溶液中,60℃下攪拌30分鐘,待反應完畢後減壓蒸乾溶劑,經反相製備HPLC(C18,條件:5-25%(A:H2O,B:CH3CN),流速:70mL/min),凍乾後得到1.10g化合物5。MS m/z:C16H18N5O3,[M+H]+理論:328.13,實測:328.4。Compound4 (1.50 g, 4.08 mmol) was dissolved in 20 mL of a mixed solution of acetic acid and water (4:1) at room temperature, and stirred at 60° C. for 30 minutes. After the reaction was completed, the solvent was evaporated under reduced pressure. Preparative HPLC (C18 , condition: 5-25% (A: H2 O, B: CH3 CN), flow rate: 70 mL/min) gave 1.10 g of compound5 after lyophilization. MS m/z:C16H18N5O3 , [M +H]+ theory:328.13 , found:328.4 .
將化合物5(1.00g,3.05mmol)溶於吡啶(Py,10mL)中,冰浴下滴4,4'-雙甲氧基三苯甲基氯(DMTrCl,1.50g,4.58mmol)的吡啶(5mL)溶液,滴加完畢後反應在室溫下攪拌過夜,待反應完畢後,用水淬滅,減壓蒸乾溶劑,經反相製備HPLC(C18,條件:5-80%(A:H2O,B:CH3CN),流速:70mL/min),凍乾後得到1.00g化合物6。MS m/z:C37H36N5O5,[M-H]+理論:630.26,實測:630.5。消旋體化合物6經手性管柱(Daicel CHIRALPAK® IE 250*4.6mm,5μm,A:正己烷,B:乙醇)拆分得410mg 6A(-)和435mg 6B(+)。Compound5 (1.00 g, 3.05 mmol) was dissolved in pyridine (Py, 10 mL), and 4,4'-bismethoxytrityl chloride (DMTrCl, 1.50 g, 4.58 mmol) in pyridine ( 5mL) solution, after the dropwise addition, the reaction was stirred at room temperature overnight, after the completion of the reaction, quenched with water, evaporated to dryness under reduced pressure, and prepared by reverse-phase HPLC (C18 , conditions: 5-80% (A:H)2 O, B: CH3 CN), flow rate: 70 mL/min), 1.00 g of compound6 was obtained after lyophilization. MS m/z:C37H36N5O5 , [MH ]+ theory:630.26 , found:630.5 . The racemic compound6 was resolved on a chiral column (Daicel CHIRALPAK® IE 250*4.6 mm, 5 μm, A: n-hexane, B: ethanol) to give 410 mg of 6A(-) and 435 mg of 6B(+).
將化合物6A(-)(200mg,0.32mmol),四唑(11mg,0.16mmol),N-甲基咪唑(5mg,0.06mmol),3A分子篩(500mg)溶於10mL的乙腈中,室溫下加入化合物7(144mg,0.48mmol),在室溫下攪拌過夜。反應完畢後,將分子篩過濾掉,加入二氯甲烷(30mL),飽和碳酸氫鈉水溶液(10mL)洗滌三次,再用飽和食鹽水(20mL)洗滌,濾液旋乾並經反相製備HPLC(C18,條件:5-100%(A:水,B:CH3CN),流速:70mL/min),凍乾後得到200mg化合物1-1a。MS m/z:C40H39N6O7P,[M-二異丙基+OH]+理論:747.26,實測:747.6。1H NMR(400MHz,Acetonitrile-d3)δ 7.56,7.54(2s,1H),7.36-7.27(m,2H),7.24-7.21(m,7H),6.83-6.80(m,4H),4.12-4.10(m,2H),3.75-3.68(m,10H),3.20-2.80(m,2H),2.68-2.54(m,4H),1.22-1.04(m,18H)。Compound6A(-) (200 mg, 0.32 mmol), tetrazole (11 mg, 0.16 mmol), N-methylimidazole (5 mg, 0.06 mmol), 3A molecular sieve (500 mg) were dissolved in 10 mL of acetonitrile, and added at room temperature Compound7 (144 mg, 0.48 mmol) was stirred at room temperature overnight. After the reaction was completed, the molecular sieves were filtered off, dichloromethane (30 mL) was added, saturated aqueous sodium bicarbonate solution (10 mL) was washed three times, and then saturated brine (20 mL) was washed. , conditions: 5-100% (A: water, B: CH3 CN), flow rate: 70 mL/min), 200 mg of compound1-1a was obtained after lyophilization. MS m/z: C40 H39 N6 O7 P, [M-diisopropyl+OH]+ theory: 747.26, found: 747.6. 1H NMR (400 MHz, Acetonitrile-d3 ) δ 7.56, 7.54 (2s ,1H),7.36-7.27(m,2H),7.24-7.21(m,7H),6.83-6.80(m,4H),4.12-4.10(m,2H),3.75-3.68(m,10H),3.20 -2.80(m, 2H), 2.68-2.54(m, 4H), 1.22-1.04(m, 18H).
將化合物6B(+)(200mg,0.32mmol),四唑(11mg,0.16mmol),N-甲基咪唑(5mg,0.06mmol),3A分子篩(500mg)溶於10mL的乙腈中,室溫下加入化合物7(144mg,0.48mmol),在室溫下攪拌過夜。反應完畢後,將分子篩過濾掉,加入二氯甲烷(30mL),飽和碳酸氫鈉水溶液(10mL)洗滌三次,再用飽和食鹽水(20mL)洗滌,濾液旋乾並經反相製備HPLC(C18,條件:5-100%(A:水,B:CH3CN),流速:70mL/min),凍乾後得到200mg化合物1-1b。MS m/z:C40H39N6O7P,[M-二異丙基+OH]+理論:747.26,實測:747.5。Compound6B(+) (200 mg, 0.32 mmol), tetrazole (11 mg, 0.16 mmol), N-methylimidazole (5 mg, 0.06 mmol), 3A molecular sieve (500 mg) were dissolved in 10 mL of acetonitrile, and added at room temperature Compound7 (144 mg, 0.48 mmol) was stirred at room temperature overnight. After the reaction was completed, the molecular sieves were filtered off, dichloromethane (30 mL) was added, saturated aqueous sodium bicarbonate solution (10 mL) was washed three times, and then saturated brine (20 mL) was washed. , conditions: 5-100% (A: water, B: CH3 CN), flow rate: 70 mL/min), 200 mg of compound1-1b was obtained after lyophilization. MS m/z:C40H39N6O7P , [M- diisopropyl+OH]+ theory:747.26 , found: 747.5.
8.2 合成化合物1-28.2 Synthesis of Compounds 1-2
將化合物1(2g,8.36mmol)溶解在DMF(20mL)中,室溫條件下,氬氣保護下緩慢加入NaH(0.37g,9.2mmol,60%溶解在礦物油中)。室溫攪拌2個小時後,將化合物2(3.3g,16.72mmol)加入到反應液中。室溫攪拌12h後,將反應液濃縮後,殘留物用乙醇(EtOH,50mL)再結晶得到目標產物3A(1.3g,收率44.0%)(二氯甲烷:乙酸乙酯=2:1,Rf=0.2)和目標產物3B(0.6g,化合物1的混合物)(二氯甲烷:乙酸乙酯=2:1,Rf=0.18)。Compound1 (2 g, 8.36 mmol) was dissolved in DMF (20 mL), and NaH (0.37 g, 9.2 mmol, 60% dissolved in mineral oil) was slowly added under argon at room temperature. After stirring at room temperature for 2 hours, compound2 (3.3 g, 16.72 mmol) was added to the reaction solution. After stirring at room temperature for 12 h, the reaction solution was concentrated, and the residue was recrystallized with ethanol (EtOH, 50 mL) to obtain the target product3A (1.3 g, yield 44.0%) (dichloromethane:ethyl acetate=2:1, Rf = 0.2) and target product3B (0.6 g, mixture of compound 1) (dichloromethane:ethyl acetate=2:1, Rf=0.18).
將化合物3A(1.3g,3.68mmol)溶解在混合液三氟乙酸(TFA,4mL)和DCM(20mL)後,室溫攪拌12h,將反應液濃縮,得到的殘留物用反向管柱純化(C18,H2O+乙腈)得到目標產物4(1g,收率91.44%)。MS m/z:C39H38N6O6,[M+H]+:687.5。Compound3A (1.3 g, 3.68 mmol) was dissolved in a mixture of trifluoroacetic acid (TFA, 4 mL) and DCM (20 mL), stirred at room temperature for 12 h, the reaction solution was concentrated, and the obtained residue was purified by reverse column ( C18 , H2 O + acetonitrile) to give the target product4 (1 g, 91.44% yield). MS m/z:C39H38N6O6 ,[ M+H ]+ :687.5 .
將化合物(D-Threoninol5,1.2g,11.4mmol)溶解在吡啶(10mL)然後緩慢加入DMTrCl(4.64g,13.70mmol)的吡啶(15mL)溶液。室溫下攪拌16h後,將反應液用H2O(10mL)淬滅並濃縮。將反應液濃縮,得到的殘留物用反向管柱純化(C18,H2O+乙腈)得到目標產物6(4.0g,收率86.0%)。MS m/z:C25H29NO4,[M+Na]+:430.4。The compound (D-Threoninol5 , 1.2 g, 11.4 mmol) was dissolved in pyridine (10 mL) and a solution of DMTrCl (4.64 g, 13.70 mmol) in pyridine (15 mL) was added slowly. After stirring at room temperature for 16 h, the reaction was quenched withH2O (10 mL) and concentrated. The reaction solution was concentrated, and the obtained residue was purified by reverse column (C18 , H2 O + acetonitrile) to obtain the target product6 (4.0 g, yield 86.0%). MS m/z:C25H29NO4 , [M+ Na]+ :430.4 .
將化合物6(600mg,2.02mmol)、化合物4(822.5mg,2.02mmol)和二氫喹啉(EEDQ,998.2mg,4.04mmol)溶解在DCM(10mL)和甲醇(MeOH,5mL)中。該混合液室溫攪拌16h後,將固體濾掉,濾液用DCM(100mL)稀釋。有機相用H2O(30mL)洗滌三次,用無水Na2SO4乾燥,過濾再濃縮。得到的殘留物用反向管柱純化(C18,H2O+乙腈)得到目標產物7(780mg,收率56.3%)。MS m/z:C39H38N6O6,[M+H]+:687.5。Compound6 (600 mg, 2.02 mmol), compound4 (822.5 mg, 2.02 mmol) and dihydroquinoline (EEDQ, 998.2 mg, 4.04 mmol) were dissolved in DCM (10 mL) and methanol (MeOH, 5 mL). After the mixture was stirred at room temperature for 16 h, the solid was filtered off and the filtrate was diluted with DCM (100 mL). The organic phase was washed three times withH2O (30 mL), driedover anhydrousNa2SO4 , filtered and concentrated. The resulting residue was purified by reverse column (C18 , H2 O + acetonitrile) to give the desired product7 (780 mg, 56.3% yield). MS m/z:C39H38N6O6 ,[ M+H ]+ :687.5 .
將化合物7(780mg,1.13mmol)、四唑(39.8mg,0.57mmol)、N-甲基咪唑(18.7mg,0.23mmol)溶解在CH3CN(10mL)中,加入3A分子篩(700mg)。氬氣保護下室溫攪拌5min後,加入化合物8(513.5mg,1.70mmol)。室溫攪拌1h後,將分子篩過濾掉,固體用DCM(30mL)淋洗三次。濾液分別用飽和的NaHCO3水溶液(30mL×4)和H2O(30mL×4)洗滌;有機相在30℃下濃縮。得到殘留物用反向管柱純化(C18,H2O+乙腈,乙腈90%),凍乾後得到目標化合物1-2(700mg,收率69.5%)。MS m/z:C48H55N8O7P,[M-氰乙基-二異丙基+OH]-:749.3。Compound7 (780 mg, 1.13 mmol), tetrazole (39.8 mg, 0.57 mmol), N-methylimidazole (18.7 mg, 0.23 mmol) were dissolved inCH3CN (10 mL), and 3A molecular sieves (700 mg) were added. After stirring at room temperature for 5 min under argon, compound8 (513.5 mg, 1.70 mmol) was added. After stirring at room temperature for 1 h, the molecular sieves were filtered off and the solid was rinsed three times with DCM (30 mL). The filtrate was washed with saturated aqueous NaHCO3 (30 mL×4) and H2 O (30 mL×4), respectively; the organic phase was concentrated at 30°C. The obtained residue was purified by reverse column (C18 , H2 O + acetonitrile, acetonitrile 90%), and the target compound1-2 (700 mg, yield 69.5%) was obtained after lyophilization. MS m/z:C48H55N8O7P , [M-cyanoethyl -diisopropyl+OH]- :749.3 .
8.3 合成化合物1-38.3 Synthesis of Compounds 1-3
將化合物1(2g,8.36mmol)溶解在DMF(20mL)中,室溫條件下,氬氣保護下緩慢加入NaH(0.37g,9.2mmol,60%溶解在礦物油中)。室溫攪拌2個小時後,將化合物2(3.3g,16.72mmol)加入到反應液中。室溫攪拌12h後,將反應也濃縮後,殘留物用EtOH(50mL)再結晶得到目標產物3A(1.3g,收率44.0%)(二氯甲烷:乙酸乙酯=2:1,Rf=0.2)和目標產物3B(0.6g,化合物1的混合物)(二氯甲烷:乙酸乙酯=2:1,Rf=0.18)。Compound1 (2 g, 8.36 mmol) was dissolved in DMF (20 mL), and NaH (0.37 g, 9.2 mmol, 60% dissolved in mineral oil) was slowly added under argon at room temperature. After stirring at room temperature for 2 hours, compound2 (3.3 g, 16.72 mmol) was added to the reaction solution. After stirring at room temperature for 12 h, the reaction was also concentrated, and the residue was recrystallized with EtOH (50 mL) to obtain the target product3A (1.3 g, yield 44.0%) (dichloromethane:ethyl acetate=2:1, Rf=0.2 ) and the target product3B (0.6 g, a mixture of compound 1) (dichloromethane:ethyl acetate=2:1, Rf=0.18).
將化合物3A(1.3g,3.68mmol)溶解在混合液TFA(4mL)和DCM(20mL)後,室溫攪拌12h,將反應液濃縮,得到的殘留物用反向管柱純化(C18,H2O+乙腈)得到目標產物4(1g,收率91.44%)。MS m/z:C39H38N6O6,[M+H]+:687.5。Compound3A (1.3 g, 3.68 mmol) was dissolved in a mixture of TFA (4 mL) and DCM (20 mL), stirred at room temperature for 12 h, the reaction solution was concentrated, and the obtained residue was purified by reverse column (C18 , H2 O + acetonitrile) to give the target product4 (1 g, yield 91.44%). MS m/z:C39H38N6O6 ,[ M+H ]+ :687.5 .
將化合物L-蘇胺醇(L-Threoninol5,1.2g,11.4mmol)溶解在吡啶(10mL),然後緩慢加入DMTrCl(4.64g,13.70mmol)的吡啶(15mL)溶液。室溫下攪拌16h後,將反應液用H2O(10mL)淬滅並濃縮。將反應液濃縮,得到的殘留物用反向管柱純化(C18,H2O+乙腈)得到目標產物6(4.0g,收率86.0%)。MS m/z:C25H29NO4,[M+Na]+:430.4。The compound L-Threoninol (L-Threoninol5 , 1.2 g, 11.4 mmol) was dissolved in pyridine (10 mL), then a solution of DMTrCl (4.64 g, 13.70 mmol) in pyridine (15 mL) was slowly added. After stirring at room temperature for 16 h, the reaction was quenched withH2O (10 mL) and concentrated. The reaction solution was concentrated, and the obtained residue was purified by reverse column (C18 , H2 O + acetonitrile) to obtain the target product6 (4.0 g, yield 86.0%). MS m/z:C25H29NO4 , [M+ Na]+ :430.4 .
將化合物6(600mg,2.02mmol)、化合物4(822.5mg,2.02mmol)、四甲基脲六氟磷酸鹽(HATU,1.15g,3.03mmol)和二異丙基乙胺(DIEA,1mL,6.05mmol)溶解在DMF(10mL)中。室溫攪拌16h後,反應液過濾,濾液用DCM(100mL)稀釋。有機相用H2O(30mL)洗三次,用無水Na2SO4乾燥,過濾,濃縮。得到的殘留物用反向管柱純化(C18,H2O+乙腈,乙腈60%),凍乾後得到目標化合物7(1.0g,收率72.1%)。MS m/z:C39H38N6O6,[M+H]+:687.5。Compound6 (600 mg, 2.02 mmol), compound4 (822.5 mg, 2.02 mmol), tetramethylurea hexafluorophosphate (HATU, 1.15 g, 3.03 mmol) and diisopropylethylamine (DIEA, 1 mL, 6.05 mmol) was dissolved in DMF (10 mL). After stirring at room temperature for 16 h, the reaction solution was filtered, and the filtrate was diluted with DCM (100 mL). The organic phase was washed three times withH2O (30 mL), driedover anhydrousNa2SO4 , filtered and concentrated. The obtained residue was purified by reverse column (C18 , H2 O + acetonitrile,
將化合物7(1.2g,1.75mmol)、四唑(61.2mg,0.87mmol)、N-甲基咪唑(28.7mg,0.35mmol)溶解在CH3CN(10mL)中,加入3A分子篩(700mg)。氬氣保護下室溫攪拌5min後,加入化合物8(0.79g,2.62mmol)。室溫攪拌1h後,將分子篩過濾掉,固體用DCM(30mL)淋洗三次。濾液分別用飽和的NaHCO3水溶液(30mL×4)和H2O(30mL×4)洗。有機相在30℃下濃縮。得到殘留物用反向管柱純化(C18,H2O+乙腈,乙腈90%),凍乾後得到目標化合物1-3(1.2g,收率77.4%)。MS m/z:C48H55N8O7P,[M-氰乙基-二異丙基+OH]-:749.3。Compound7 (1.2 g, 1.75 mmol), tetrazole (61.2 mg, 0.87 mmol), N-methylimidazole (28.7 mg, 0.35 mmol) were dissolved inCH3CN (10 mL), and 3A molecular sieves (700 mg) were added. After stirring at room temperature for 5 min under argon, compound8 (0.79 g, 2.62 mmol) was added. After stirring at room temperature for 1 h, the molecular sieves were filtered off and the solid was rinsed three times with DCM (30 mL). The filtrate was washed with saturated aqueous NaHCO3 (30 mL×4) and H2 O (30 mL×4), respectively. The organic phase was concentrated at 30°C. The obtained residue was purified by reverse column (C18 , H2 O + acetonitrile, 90% acetonitrile), and the target compound1-3 (1.2 g, yield 77.4%) was obtained after lyophilization. MS m/z:C48H55N8O7P , [M-cyanoethyl -diisopropyl+OH]- :749.3 .
8.4 合成化合物1-4a和化合物1-4b8.4 Synthesis of compound 1-4a and compound 1-4b
將化合物1A(6.73g,28.14mmol)溶解在乾燥的DMF(80mL)中,氬氣保護下緩慢加入NaH(60%,1.24g,30.95mmol)。該混合液室溫攪拌30min後,將該反應液加到溶有四(三苯基膦)鈀(Pd(PPh3)4,1.95g,1.69mmol)、三苯基膦(PPh3,0.74g,2.81mmol)和化合物1(4.0g,28.14mmol)的四氫呋喃(THF,60mL)溶液中。該反應液在55℃攪拌16h後,將固體濾掉並用DCM(60mL)洗滌三次。將濾液濃縮,得到的殘留物用正向管柱純化(先用乙酸乙酯,再用乙酸乙酯:甲醇(12:1沖洗管柱子)得目標產物2(7g,粗品)。Compound1A (6.73 g, 28.14 mmol) was dissolved in dry DMF (80 mL), and NaH (60%, 1.24 g, 30.95 mmol) was added slowly under argon. After the mixed solution was stirred at room temperature for 30 min, the reaction solution was added to a solution containing tetrakis(triphenylphosphine) palladium (Pd(PPh3 )4 , 1.95 g, 1.69 mmol), triphenyl phosphine (PPh3 , 0.74 g) , 2.81 mmol) and compound1 (4.0 g, 28.14 mmol) in tetrahydrofuran (THF, 60 mL). After the reaction was stirred at 55°C for 16 h, the solid was filtered off and washed three times with DCM (60 mL). The filtrate was concentrated, and the resulting residue was purified with a forward column (the column was flushed with ethyl acetate, then ethyl acetate:methanol (12:1) to give the desired product2 (7 g, crude).
將化合物2(8g,粗品)和DMTrCl(12.65g,37.34mmol)溶解在吡啶(10mL)。該混合物室溫攪拌16h後,用水(80mL)淬滅並濃縮。得到的殘留物用反向管柱純化(C18,水+乙腈)凍乾後,得到目標化合物3(13g,收率83.7%)。Compound2 (8 g, crude) and DMTrCl (12.65 g, 37.34 mmol) were dissolved in pyridine (10 mL). After the mixture was stirred at room temperature for 16 h, it was quenched with water (80 mL) and concentrated. The obtained residue was purified by reverse column (C18 , water+acetonitrile) and lyophilized to obtain the target compound3 (13 g, yield 83.7%).
將化合物3(5g,8.02mmol)溶解在甲醇(MeOH,20mL)和氨水(6mL)中,該混合液室溫攪拌16h後,將反應液濃縮。得到的殘留物用正向管柱(DCM:MeOH=20:1)純化得到目標化合物4(4g,收率96.0%)。Compound3 (5 g, 8.02 mmol) was dissolved in methanol (MeOH, 20 mL) and ammonia water (6 mL), the mixture was stirred at room temperature for 16 h, and the reaction solution was concentrated. The obtained residue was purified with a forward column (DCM:MeOH=20:1) to obtain the target compound4 (4 g, yield 96.0%).
氬氣保護下,0℃下將硼烷(BH3)四氫呋喃溶液(1.0M溶解於THF中,38.54mL,38.54mmol)逐滴滴加到溶有化合物4(4.00g,7.71mmol)的THF(12mL)溶液中。該化合物在氬氣保護下0℃攪拌6h後,逐滴滴加H2O(27mL)。然後,將3M的NaOH水溶液(52mL,156mmol)0℃下逐滴加入反應液中後,再將30%的H2O2(106mL)的水溶液逐滴滴加反應液中,再加入EtOH(10mL)。該反應液室溫攪拌48h後,0℃下用飽和的Na2S2O3緩慢加入,直到無氣泡產生。將H2O(300mL)加到反應液中,用DCM(4×200mL)萃取。有機相用無水Na2SO4乾燥,過濾並濃縮。得到的殘留物用反向管柱純化(C18,乙腈+H2O,50%),凍乾後得到目標產物5a(730mg,收率17.6%)和目標產物5b(1.1g,26.6%)。Under argon, a solution of borane (BH3 ) in tetrahydrofuran (1.0 M in THF, 38.54 mL, 38.54 mmol) was added dropwise to a solution of compound4 (4.00 g, 7.71 mmol) in THF ( 12mL) solution. After the compound was stirred at 0°C for 6 h under argon,H2O (27 mL) was added dropwise. Then, a 3M NaOH aqueous solution (52 mL, 156 mmol) was added dropwise to the reaction solution at 0°C, and then a 30% H2 O2 (106 mL) aqueous solution was added dropwise to the reaction solution, and EtOH (10 mL) was added dropwise. ). After the reaction solution was stirred at room temperature for 48 h, saturated Na2 S2 O3 was added slowly at 0° C. until no bubbles were formed.H2O (300 mL) was added to the reaction and extracted with DCM (4 x 200 mL). The organic phase was driedover anhydrousNa2SO4 , filtered and concentrated. The obtained residue was purified by reverse column column (C18 , acetonitrile+H2O, 50%), and after lyophilization, the target product5a (730 mg, yield 17.6%) and target product5b (1.1 g, 26.6%) were obtained.
將化合物5a(730mg,1.36mmol)溶解在吡啶(8mL)中,氬氣保護和室溫下加入TMSCl(0.67g,6.14mmol)。室溫攪拌1h後,BzCl(0.29mL,2.46mmol)加到反應液中。室溫攪拌16h後,反應液用H2O(10mL)淬滅並濃縮。得到的殘留物溶解在THF(30mL)中,加入四丁基氟化銨(TBAF,1mL)。室溫攪拌1h後,將氨水(0.5mL)加入,室溫攪拌5h後。反應液用乙醇(EA,100mL)稀釋並用飽和食鹽水(30mL)洗五次。將有機相濃縮,得到殘留物用反相管柱純化(C18,H2O+乙腈,乙腈60%)凍乾得到目標產物6a(480mg,收率74.8%)。MS m/z:C38H35N5O5,[M+H]+:642.6。Compound5a (730 mg, 1.36 mmol) was dissolved in pyridine (8 mL) and TMSCl (0.67 g, 6.14 mmol) was added under argon protection at room temperature. After stirring at room temperature for 1 h, BzCl (0.29 mL, 2.46 mmol) was added to the reaction solution. After stirring at room temperature for 16 h, the reaction was quenched withH2O (10 mL) and concentrated. The resulting residue was dissolved in THF (30 mL) and tetrabutylammonium fluoride (TBAF, 1 mL) was added. After stirring at room temperature for 1 h, ammonia water (0.5 mL) was added, and the mixture was stirred at room temperature for 5 h. The reaction solution was diluted with ethanol (EA, 100 mL) and washed five times with saturated saline (30 mL). The organic phase was concentrated, and the residue was purified by reverse phase column (C18, H2 O + acetonitrile,
將化合物5b(1.1g,2.05mmol)溶解在吡啶(20mL)中,氬氣保護和室溫下加入TMSCl(1.34g,1.28mmol)。室溫攪拌1h後,苯甲醯氯(BzCl,0.59mL,5.92mmol)加到反應液中。室溫攪拌16h後,反應液用H2O(10mL)淬滅並濃縮。得到的殘留物溶解在THF(30mL)中,加入TBAF(2mL)。室溫攪拌1h後,將氨水(0.5mL)加入,室溫攪拌5h後。反應液用EA(100mL)稀釋並用飽和食鹽水(30mL)洗五次。將有機相濃縮,得到殘留物用反相管柱純化(C18,H2O+乙腈,乙腈60%)凍乾得到目標產物6b(1.4g,收率82.1%)。MS m/z:C38H35N5O5,[M+H]+:642.5。Compound5b (1.1 g, 2.05 mmol) was dissolved in pyridine (20 mL) and TMSCl (1.34 g, 1.28 mmol) was added under argon protection at room temperature. After stirring at room temperature for 1 h, benzyl chloride (BzCl, 0.59 mL, 5.92 mmol) was added to the reaction solution. After stirring at room temperature for 16 h, the reaction was quenched withH2O (10 mL) and concentrated. The resulting residue was dissolved in THF (30 mL) and TBAF (2 mL) was added. After stirring at room temperature for 1 h, ammonia water (0.5 mL) was added, and the mixture was stirred at room temperature for 5 h. The reaction solution was diluted with EA (100 mL) and washed five times with saturated saline (30 mL). The organic phase was concentrated, and the residue was purified by reverse phase column (C18, H2 O + acetonitrile,
將化合物6a(700mg,1.04mmol)、四唑(26.2mg,0.37mmol)、N-甲基咪唑溶解在CH3CN(10mL)中,加入3A分子篩(500mg)。氬氣保護,室溫攪拌5min後,加入化合物7(470.4mg,1.56mmol)。室溫攪拌1h後,將分子篩過濾掉,固體用DCM(50mL)淋洗三次。濾液分別用飽和的NaHCO3水溶液(50mL×4)和H2O(50mL×4)洗。有機相在30℃下濃縮。得到殘留物用反向管柱純化(C18,H2O+乙腈,乙腈90%),凍乾後得到目標化合物1-4A(600mg,收率66.1%)。MS m/z:C47H52N7O6P,[M-氰乙基-二異丙基+OH]-:704.3。Compound6a (700 mg, 1.04 mmol), tetrazole (26.2 mg, 0.37 mmol), and N-methylimidazole were dissolved in CH3 CN (10 mL), and 3A molecular sieves (500 mg) were added. Under argon protection, after stirring at room temperature for 5 min, compound7 (470.4 mg, 1.56 mmol) was added. After stirring at room temperature for 1 h, the molecular sieves were filtered off and the solid was rinsed three times with DCM (50 mL). The filtrate was washed with saturated aqueous NaHCO3 (50 mL×4) and H2 O (50 mL×4), respectively. The organic phase was concentrated at 30°C. The obtained residue was purified by reverse column (C18 , H2 O + acetonitrile, 90% acetonitrile), and the target compound1-4A (600 mg, yield 66.1%) was obtained after lyophilization. MS m/z: C47 H52 N7 O6 P, [M-cyanoethyl-diisopropyl+OH]− : 704.3.
將化合物6b(1.3g,2.03mmol)、四唑(71.0mg,1.01mmol)、N-甲基咪唑(33.3mg,0.41mmol)溶解在CH3CN(20mL)中,加入3A分子篩(700mg)。氬氣保護,室溫攪拌5min後,加入化合物7(0.92g,3.04mmol)。室溫攪拌1h後,將分子篩過濾掉,固體用DCM(50mL)淋洗三次。濾液分別用飽和的NaHCO3水溶液(50mL×4)和H2O(50mL×4)洗。有機相在30℃下濃縮。得到殘留物用反向管柱純化(C18,H2O+乙腈,乙腈90%),凍乾後得到目標化合物1-4b(1.4g,收率82.1%)。MS m/z:C47H52N7O6P,[M-氰乙基-二異丙基]-:704.3。Compound6b (1.3 g, 2.03 mmol), tetrazole (71.0 mg, 1.01 mmol), and N-methylimidazole (33.3 mg, 0.41 mmol) were dissolved in CH3 CN (20 mL), and 3A molecular sieves (700 mg) were added. Under argon protection, after stirring at room temperature for 5 min, compound7 (0.92 g, 3.04 mmol) was added. After stirring at room temperature for 1 h, the molecular sieves were filtered off and the solid was rinsed three times with DCM (50 mL). The filtrate was washed with saturated aqueous NaHCO3 (50 mL×4) and H2 O (50 mL×4), respectively. The organic phase was concentrated at 30°C. The obtained residue was purified by reverse column column (C18 , H2 O + acetonitrile, acetonitrile 90%) to obtain the target compound1-4b (1.4 g, yield 82.1%) after lyophilization. MS m/z:C47H52N7O6P ,[ M- cyanoethyl-diisopropyl]- :704.3 .
8.5 合成化合物1-58.5 Synthesis of Compounds 1-5
將化合物1A(6.73g,28.14mmol)溶解在乾燥的DMF(80mL)中,氬氣保護下緩慢加入NaH(60%,1.24g,30.95mmol)。該混合液室溫攪拌30min後,將該反應液加到溶有Pd(PPh3)4(1.95g,1.69mmol),PPh3(0.74g,2.81mmol)和化合物1(4.0g,28.14mmol)的THF(60mL)溶液中。該反應液在55℃攪拌16h後,將固體濾掉並用DCM(60mL)洗滌三次。將濾液濃縮,得到的殘留物用正向管柱純化(先用乙酸乙酯,再用乙酸乙酯:甲醇(12:1沖洗管柱)得目標固體2(7g,粗品)。Compound1A (6.73 g, 28.14 mmol) was dissolved in dry DMF (80 mL), and NaH (60%, 1.24 g, 30.95 mmol) was added slowly under argon. After the mixture was stirred at room temperature for 30 min, the reaction solution was added to a solution containing Pd(PPh3 )4 (1.95 g, 1.69 mmol), PPh3 (0.74 g, 2.81 mmol) and compound1 (4.0 g, 28.14 mmol) in THF (60 mL). After the reaction was stirred at 55°C for 16 h, the solid was filtered off and washed three times with DCM (60 mL). The filtrate was concentrated and the resulting residue was purified with a forward column (the column was flushed with ethyl acetate, then ethyl acetate:methanol (12:1) to give the desired solid2 (7 g, crude).
將化合物2(8g,粗品)和DMTrCl(12.65g,37.34mmol)溶解在吡啶(10mL)。該混合物室溫攪拌16h後,用水(80mL)淬滅並濃縮。得到的殘留物用反向管柱純化(C18,水+乙腈)凍乾後,得到目標化合物3(13g,收率83.7%)。Compound2 (8 g, crude) and DMTrCl (12.65 g, 37.34 mmol) were dissolved in pyridine (10 mL). After the mixture was stirred at room temperature for 16 h, it was quenched with water (80 mL) and concentrated. The obtained residue was purified by reverse column (C18 , water+acetonitrile) and lyophilized to obtain the target compound3 (13 g, yield 83.7%).
將化合物3(1g,1.60mmol)、KHCO3(0.48g,4.81mmol)和乙二醇(0.40g,6.41mmol)溶解在丙酮(50mL)中,-30℃下緩慢加入KMnO4(40%溶解於水中,0.67g,1.68mmol)。-30℃下攪1h後,用飽和的硫代硫酸鈉水溶液(30mL)將反應淬滅。該混合液用DCM(30mL)萃取四次。有機相用無水Na2SO4乾燥,過濾並濃縮。殘留物用反向管柱純化(C18,H2O+乙腈,乙腈60%)凍乾得到目標產物4(600mg,收率56.9%)。MS m/z:C38H35N5O6,[M+H]+:658.5。Compound3 (1 g, 1.60 mmol), KHCO3 (0.48 g, 4.81 mmol) and ethylene glycol (0.40 g, 6.41 mmol) were dissolved in acetone (50 mL), and KMnO4 (40% dissolved) was slowly added at -30 °C in water, 0.67 g, 1.68 mmol). After stirring for 1 h at -30°C, the reaction was quenched with saturated aqueous sodium thiosulfate solution (30 mL). The mixture was extracted four times with DCM (30 mL). The organic phase was driedover anhydrousNa2SO4 , filtered and concentrated. The residue was purified by reverse column (C18, H2 O + acetonitrile,
在250mL圓底瓶中加入反應物4(5.0g,7.601mmol),NaIO4和1,4-二噁烷/水(50mL/5mL),室溫反應2小時後,減壓除去溶劑,得到白色固體(6.0g),然後溶於甲醇(50mL),加入硼氫化鈉(1.62g,38mmol),室溫攪拌2小時後,加入10%氯化銨溶液(10mL),減壓除去溶劑後,C18管柱層析(水/乙腈:5%-95%)得到產品P1,無色油狀物5(2.0g,3.0315mmol,39%),LCMS,MS+,[M+H]+:660。Add reactant4 (5.0g, 7.601mmol),NaIO4 and 1,4-dioxane/water (50mL/5mL) to a 250mL round-bottomed flask, react at room temperature for 2 hours, remove the solvent under reduced pressure, and obtain a white The solid (6.0 g) was then dissolved in methanol (50 mL), sodium borohydride (1.62 g, 38 mmol) was added, and after stirring at room temperature for 2 hours, 10% ammonium chloride solution (10 mL) was added, and the solvent was removed under reduced pressure, C18 Column chromatography (water/acetonitrile: 5%-95%) gave product P1 as colorless oil5 (2.0 g, 3.0315 mmol, 39%), LCMS, MS+, [M+H]+: 660.
將化合物5(1.7g,2.58mmol)和DBU(0.77mL,5.15mmol)溶解在DCM(20mL),氬氣保護-70℃下將BzCl(0.5M in DCM,0.8mL)逐滴滴加到反應中。該反應液置於-70℃下1h,該反應液用乙醇(5mL)淬滅。淬滅的反應液用DCM(100mL)稀釋並用水(30mL)洗滌三次,有機相用無水Na2SO4乾燥,過濾並濃縮。得到的殘留物用正向管柱純化(DCM:EA=1:1)得到白色固體6(80mg,收率4.14%)。MS m/z:C45H41N5O7,[M+H]+:764.5。Compound5 (1.7 g, 2.58 mmol) and DBU (0.77 mL, 5.15 mmol) were dissolved in DCM (20 mL) and BzCl (0.5 M in DCM, 0.8 mL) was added dropwise to the reaction under argon at -70°C middle. The reaction was placed at -70°C for 1 h, and the reaction was quenched with ethanol (5 mL). The quenched reaction was diluted with DCM (100 mL) and washed three times with water (30 mL), the organic phase was dried over anhydrous Na2 SO4 , filtered and concentrated. The resulting residue was purified with a forward column (DCM:EA=1:1) to give6 (80 mg, 4.14% yield) as a white solid. MS m/z :C45H41N5O7 , [M+H ]+ :764.5 .
將化合物4(380mg,0.50mmol)、四唑(17.43mg,0.25mmol)、N-甲基咪唑(8.17mg,0.10mmol)溶解在CH3CN(10mL)中,加入3A分子篩(500mg)。氬氣保護,室溫攪拌5min後,加入化合物7(224.95mg,0.75mmol)。室溫攪拌1h後,將分子篩過濾掉,固體用DCM(50mL)淋洗三次。濾液分別用飽和的NaHCO3水溶液(50mL×4)和H2O(50mL×4)洗。有機相在30℃下濃縮。得到殘留物用反向管柱純化(C18,H2O+乙腈,乙腈90%),凍乾後得到目標產物1-5(330mg,收率68.8%)。MS m/z:C54H58N7O8P,[M-氰乙基-二異丙基]-:826.3。Compound4 (380 mg, 0.50 mmol), tetrazole (17.43 mg, 0.25 mmol), N-methylimidazole (8.17 mg, 0.10 mmol) were dissolved inCH3CN (10 mL), and 3A molecular sieves (500 mg) were added. Under argon protection, after stirring at room temperature for 5 min, compound7 (224.95 mg, 0.75 mmol) was added. After stirring at room temperature for 1 h, the molecular sieves were filtered off and the solid was rinsed three times with DCM (50 mL). The filtrate was washed with saturated aqueous NaHCO3 (50 mL×4) and H2 O (50 mL×4), respectively. The organic phase was concentrated at 30°C. The obtained residue was purified by reverse column (C18 , H2 O + acetonitrile, 90% acetonitrile), and the target product1-5 was obtained after lyophilization (330 mg, yield 68.8%). MS m/z:C54H58N7O8P , [M-cyanoethyl -diisopropyl]- :826.3 .
8.6 合成化合物1-6a8.6 Synthesis of compounds 1-6a
將化合物1(10g,68.404mmol)、化合物2(15g,62.186mmol)和三苯基膦(32.62g,124.371mmol)溶於無水THF(30mL),於0℃下緩慢滴加DIAD(24.656mL,124.371mmol)。該反應液在25度下反應12h.LCMS顯示反應完成。將該反應液用乙酸乙酯(200mL)和水(200mL)萃取,有機相乾燥將濾液濃縮,得到的殘留物用正向管柱純化(DCM/MeOH=10/1)得目標產物3(20g)。Compound 1 (10 g, 68.404 mmol), compound 2 (15 g, 62.186 mmol) and triphenylphosphine (32.62 g, 124.371 mmol) were dissolved in anhydrous THF (30 mL), DIAD (24.656 mL) was slowly added dropwise at 0 °C, 124.371 mmol). The reaction solution is at 25 degreesThe reaction took 12h. LCMS showed the reaction was complete. The reaction solution was extracted with ethyl acetate (200 mL) and water (200 mL), the organic phase was dried, the filtrate was concentrated, and the obtained residue was purified with a forward column (DCM/MeOH=10/1) to obtain the target product 3 (20 g) ).
將化合物3(20g,28.585mmol)溶於醋酸(24mL,426.016mmol)和H2O(12mL)中,60℃攪拌1小時。之後將反應液旋乾加入THF(12mL)和H2O(12mL),80℃攪拌7小時。LCMS顯示反應完成。將反應液加入乙酸乙酯(200mL)和水(100mL)萃取,水相加入碳酸鈉固體直到水相有大量固體析出。將固體過濾,用水洗滌,將濾餅用油泵拉乾,得到目標化合物5(9g)。Compound3 (20 g, 28.585 mmol) was dissolved in acetic acid (24 mL, 426.016 mmol) and H2O (12 mL) and stirred at 60°C for 1 hour. Then, the reaction solution was spin-dried, THF (12 mL) and H 2 O (12 mL) were added, and the mixture was stirred at 80° C. for 7 hours. LCMS showed the reaction was complete. The reaction solution was added with ethyl acetate (200 mL) and water (100 mL) for extraction, and solid sodium carbonate was added to the aqueous phase until a large amount of solid was precipitated in the aqueous phase. The solid was filtered, washed with water, and the filter cake was pulled dry with an oil pump to obtain the target compound5 (9 g).
在氮氣保護下,將化合物5(6.8g,18.581mmol)溶於吡啶(80mL)中,於0度下緩慢加入TMSCl(14.250mL,111.489mmol),攪拌2h。之後在0度下加入Isobutyryl chloride(2.044mL,19.511mmol),於25度下攪拌1h。LCMS顯示反應完成。用二氯甲烷(200mL)和水(200mL)萃取,有機相乾燥旋乾後拌樣,用正向管柱純化(DCM:MeOH=10:1)過管柱,在4.8%處出峰),得到黃色油狀化合物6(12g)。Under nitrogen protection, compound 5 (6.8 g, 18.581 mmol) was dissolved in pyridine (80 mL), TMSCl (14.250 mL, 111.489 mmol) was slowly added at 0 degrees, and stirred for 2 h. Then, Isobutyryl chloride (2.044 mL, 19.511 mmol) was added at 0 degrees, and the mixture was stirred at 25 degrees for 1 h. LCMS showed the reaction was complete. Extracted with dichloromethane (200 mL) and water (200 mL), the organic phase was dried and spin-dried, and the sample was mixed, and purified with a forward column (DCM:MeOH=10:1), passed through the column, and the peak was at 4.8%), Compound 6 (12 g) was obtained as a yellow oil.
在氮氣保護下,將化合物6(5.5g,12.392mmol)溶於吡啶(30mL),加入MOLECULAR SIEVE 4A 1/16(7g,12.392mmol),然後在0℃下分批加入DMTrCl(5.04g,14.870mmol)固體,25℃反應2h.TLC(PE:EtOAc=1:1,Rf=0.69)顯示反應已經完成。該反應液和TJN200879-040-P1合併一起處理。將反應液用乙酸乙酯(200mL)和水(200mL)萃取,有機相乾燥旋乾後拌樣用正向管柱純化(PE:EtOAc過管柱,在84%處出峰),得到黃色油狀化合物7(12g)。Under nitrogen protection, compound 6 (5.5 g, 12.392 mmol) was dissolved in pyridine (30 mL),
將化合物7(12g,15.389mmol)溶於EtOAc(140mL),加入濕鈀碳Pd/C(7g,15.389mmol)該反應液在25度,氫氣(15Psi)下反應2小時。TLC(PE:EtOAc=0:1,Rf=0.09)顯示反應已經完成。將反應液過濾,濾餅用乙酸乙酯(30mL)沖洗三遍後,收集濾液。濾液旋乾後加入50mL二氯甲烷和2mL三乙胺拌樣用正向管柱純化(DCM:MeOH=10:1過管柱,在0.5%處出峰),得到9g(黃色泡沫狀固體)。將所得消旋化合物SFC拆分,得到產品目標化合物7A(-)(3.9g)和目標化合物7B(+)(3.8g)。Compound 7 (12 g, 15.389 mmol) was dissolved in EtOAc (140 mL), wet palladium carbon Pd/C (7 g, 15.389 mmol) was added, and the reaction solution was reacted at 25 degrees under hydrogen (15 Psi) for 2 hours. TLC (PE:EtOAc=0:1, Rf=0.09) showed that the reaction was complete. The reaction solution was filtered, the filter cake was washed three times with ethyl acetate (30 mL), and the filtrate was collected. After the filtrate was spin-dried, 50 mL of dichloromethane and 2 mL of triethylamine were added, and the sample was mixed and purified with a forward column (DCM:MeOH=10:1 passed through the column, peak at 0.5%) to obtain 9g (yellow foamy solid) . racemize the resultingThe compound was resolved by SFC to obtain the target compound 7A(-)(3.9g) and the target compound 7B(+)(3.8g).
將化合物7A(-)(3.30g,5.40mmol),四唑(190mg,2.70mmol),1-甲基咪唑(90mg,1.10mmol),3A分子篩(500mg)溶於30mL的乙腈中,室溫下加入化合物8(2.50g,8.10mmol),在室溫下攪拌2h。反應完畢後,將分子篩過濾掉,加入DCM(150mL),飽和碳酸氫鈉水溶液洗滌(30mL*3),再用飽和食鹽水(30mL)洗滌,濾液旋乾並經反相製備HPLC(C18,條件:5-100%(A:水,B:CH3CN),流速:70mL/min),凍乾後得到1-6a(2.9g,66%)。MS m/z:C43H55N7O7P[M+H]+,理論:812.38,實測:812.5。1H NMR(400MHz,Acetonitrile-d3)δ 7.56,7.54(2s,1H),7.36-7.27(m,2H),7.24-7.21(m,7H),6.83-6.80(m,4H),4.12-4.10(m,2H),3.75-3.68(m,10H),3.20-2.80(m,2H),2.68-2.54(m,4H),1.22-1.04(m,18H)。Compound 7A(-) (3.30 g, 5.40 mmol), tetrazole (190 mg, 2.70 mmol), 1-methylimidazole (90 mg, 1.10 mmol), 3A molecular sieve (500 mg) were dissolved in 30 mL of acetonitrile, at room temperature Compound 8 (2.50 g, 8.10 mmol) was added and stirred at room temperature for 2 h. After the reaction was completed, the molecular sieves were filtered off, DCM (150 mL) was added, washed with saturated aqueous sodium bicarbonate solution (30 mL*3), and then with saturated brine (30 mL), the filtrate was spin-dried and subjected to reverse-phase preparative HPLC (C18, condition : 5-100% (A: water, B: CH3CN), flow rate: 70 mL/min),1-6a (2.9 g, 66%) was obtained after lyophilization. MS m/z: C43H55N7O7P[M+H]+, theory: 812.38, found: 812.5. 1H NMR (400MHz, Acetonitrile-d3) δ 7.56, 7.54 (2s, 1H), 7.36-7.27 (m, 2H), 7.24 -7.21(m,7H),6.83-6.80(m,4H),4.12-4.10(m,2H),3.75-3.68(m,10H),3.20-2.80(m,2H),2.68-2.54(m, 4H), 1.22-1.04 (m, 18H).
8.7 合成化合物1-7a8.7 Synthesis of compounds 1-7a
在氮氣保護下,將化合物1(5g,23.1272mmol),化合物2(6.76g,46.254mmol)和三苯基磷(7.28g,27.753mmol)溶於30mL二噁烷中,於0℃緩慢滴加入DEAD(5.502mL,27.753mmol)。滴加完成後,反應緩慢升溫至25℃繼續反應1h.在反應液裡加入100mL H2O和100mL EtOAc萃取,有機相合併乾燥過濾濃縮後拌樣過管柱,用正向管柱純化(PE:EtOAc=1:1過管柱得目標產物(4g)。Under nitrogen protection, compound 1 (5 g, 23.1272 mmol), compound 2 (6.76 g, 46.254 mmol) and triphenylphosphine (7.28 g, 27.753 mmol) were dissolved in 30 mL of dioxane, and slowly added dropwise at 0 °C DEAD (5.502 mL, 27.753 mmol). After the dropwise addition was completed, the reaction was slowly heated to 25 °C and continued for 1 h. 100 mL of H2O and 100 mL of EtOAc were added to the reaction solution for extraction, the organic phases were combined, dried, filtered and concentrated, and the samples were mixed and passed through a column, and purified with a forward column (PE: EtOAc). = 1:1 through the column to obtain the target product (4g).
將化合物3(3.3g)溶於HOAc(16mL)和H2O(4mL),油浴60℃加熱0.5h。將反應液旋乾得到的殘留物用正向管柱純化(PE:EtOAc=0:1過管柱),得到目標產物4(3g)。Compound 3 (3.3 g) was dissolved in HOAc (16 mL) and H 2 O (4 mL) and heated in an oil bath at 60° C. for 0.5 h. The residue obtained by rotating the reaction solution was purified with a forward column (PE:EtOAc=0:1 through the column) to obtain the target product 4 (3 g).
將化合物4(3g,8.873mmol)溶於5mL吡啶中,在氮氣保護下於0℃緩慢滴加DMTrCl(3.91g,11.535mmol)的10mL吡啶的溶液。滴加完畢後反應升溫至25℃並繼續反應1h。在反應液中加入50mL水和100mL乙酸乙酯萃取。水相再用100mL乙酸乙酯萃取三次,有機相合併乾燥過濾濃縮用正向管柱純化(用PE:EtOAc=2:1)。得到目標產物5(4g)。Compound 4 (3 g, 8.873 mmol) was dissolved in 5 mL of pyridine, and a solution of DMTrCl (3.91 g, 11.535 mmol) in 10 mL of pyridine was slowly added dropwise at 0°C under nitrogen protection. After the dropwise addition, the reaction temperature was raised to 25°C and the reaction was continued for 1 h. 50 mL of water and 100 mL of ethyl acetate were added to the reaction solution for extraction. The aqueous phase was extracted three times with 100 mL of ethyl acetate, and the organic phaseCombine, dry, filter, concentrate and purify with forward column (with PE:EtOAc=2:1). The target product 5 (4 g) was obtained.
將化合物5(4g,5.769mmol)溶於甲醇(10mL),加入飽和的NH3甲醇溶液(40mL),0℃反應6h.將反應液旋乾用正向管柱純化(用PE:EtOAc=0:1)得消旋化合物2.4g SFC拆分,得到目標產物6A(750mg,100%純度)和目標產物6B(400mg,99.16%純度)。Compound 5 (4 g, 5.769 mmol) was dissolved in methanol (10 mL), saturated NH3 methanol solution (40 mL) was added, and the reaction was carried out at 0 °C for 6 h. 1) 2.4 g of the racemic compound was obtained by SFC resolution to obtain the target product 6A (750 mg, 100% purity) and the target product 6B (400 mg, 99.16% purity).
將化合物6A(-)(700mg,1.40mmol)、四唑(50mg,0.70mmol)、1-甲基咪唑(23mg,0.28mmol)、3A分子篩(500mg)溶於10mL的乙腈中,室溫下加入化合物7(630mg,2.10mmol),在室溫下攪拌2h。反應完畢後,將分子篩過濾掉,加入DCM(50mL),飽和碳酸氫鈉水溶液洗滌(10mL*3),再用飽和食鹽水(20mL)洗滌,濾液旋乾並經反相製備HPLC(C18,條件:5-100%(A:水,B:CH3CN),流速:70mL/min),凍乾後得到1-7a(700mg,72%)。MS m/z:C38H47N4O7PNa[M+Na]+,理論:725.32,實測:725.5。Compound 6A(-) (700 mg, 1.40 mmol), tetrazole (50 mg, 0.70 mmol), 1-methylimidazole (23 mg, 0.28 mmol), 3A molecular sieve (500 mg) were dissolved in 10 mL of acetonitrile, and added at room temperature Compound 7 (630 mg, 2.10 mmol) was stirred at room temperature for 2 h. After the reaction, the molecular sieves were filtered off, DCM (50 mL) was added, saturated aqueous sodium bicarbonate solution (10 mL*3) was washed, and then saturated brine (20 mL) was washed, the filtrate was spin-dried and subjected to reverse-phase preparative HPLC (C18, condition : 5-100% (A: water, B: CH3CN), flow rate: 70 mL/min),1-7a (700 mg, 72%) was obtained after lyophilization. MS m/z: C38H47N4O7PNa[M+Na]+, theoretical: 725.32, found: 725.5.
8.8 合成化合物1-8a8.8 Synthesis of compounds 1-8a
將化合物1(8.5g,76.508mmol)、化合物2(30.64g,91.809mmol)溶於DMF(150mL),加入CS2CO3(29.91g,91.809mmol),反應於氮氣保護下,90℃反應12h。LCMS檢測反應完成。將反應液過濾,油泵旋乾,正向管柱分離純化(80g,DCM/MeOH=10/1~5/1)得到目標產物3(13.5g,80%純度)。Compound 1 (8.5 g, 76.508 mmol) and compound 2 (30.64 g, 91.809 mmol) were dissolved in DMF (150 mL), CS2CO3 (29.91 g, 91.809 mmol) was added, and the reaction was carried out at 90° C. for 12 h under nitrogen protection. The reaction was complete by LCMS. The reaction solution was filtered, the oil pump was spin-dried, and the column was separated and purified (80 g, DCM/MeOH=10/1~5/1) to obtain the target product 3 (13.5 g, 80% purity).
將化合物3(10.5g,35.105mmol)溶於吡啶(65mL)和CH3CN(65mL),向溶液中滴加BzCl(4.894mL,42.126mmol),於25℃反應2h。LCMS檢測大部分原料反應完成,加H2O(100mL)淬滅,EtOAc(100mL X 3)萃取,乾燥旋乾,管柱分離(合併TJN200872-101)純化(80g,PE/EtOAc=10/1~0/1,DCM/MeOH=10/1)得到目標產物4(14g,90%純度)。Compound 3 (10.5 g, 35.105 mmol) was dissolved in pyridine (65 mL) and CH3CN (65 mL), BzCl (4.894 mL, 42.126 mmol) was added dropwise to the solution, and the reaction was carried out at 25° C. for 2 h. The reaction of most of the raw materials was detected by LCMS, quenched by adding H2O (100 mL), extracted with EtOAc (100 mL × 3), dried and spin-dried, and purified by column separation (combined TJN200872-101) (80 g, PE/EtOAc=10/1~0 /1, DCM/MeOH=10/1) to obtain the target product4 (14 g, 90% purity).
將化合物4(14g,36.694mmol)溶於HOAc(56mL,314.796mmol)和H2O(14mL),於60℃反應2h,LCMS顯示反應完成。油泵濃縮,正向管柱分離(40g,DCM/MeOH=1/0~5/1)得到目標產物5(8.4g,90%純度& 2.4g,80%純度)。Compound 4 (14 g, 36.694 mmol) was dissolved in HOAc (56 mL, 314.796 mmol) and H 2 O (14 mL) and reacted at 60° C. for 2 h. LCMS showed that the reaction was complete. Oil pump concentration, forward column separation (40g, DCM/MeOH=1/0~5/1) to obtain the target product5 (8.4g, 90% purity & 2.4g, 80% purity).
將化合物5(7.4g,21.957mmol)、DMAP(0.54g,4.391mmol)、MOLECULAR SIEVE 4A(11.1g,2.967mmol)溶於吡啶(60mL),冰浴下攪拌10min,然後加入DMTrCl(8.93g,26.348mmol),反應攪拌1.8h.LCMS檢測約19%原料剩餘,約60%目標MS。合併(TJN200872-105&106)一起純化。向反應液中加入H2O(50mL),經DCM(50mL X 3)萃取,乾燥,旋乾,管柱分離(120g,PE/(EA:DCM:TEA=1:1:0.05)=1/0~0/1至DCM/MeOH=10/1)得到黃色固體化合物6(11g,89%純度,TJN200872-105&106&107),回收原料(3.0g,70%純度)。Compound 5 (7.4 g, 21.957 mmol), DMAP (0.54 g, 4.391 mmol), MOLECULAR SIEVE 4A (11.1 g, 2.967 mmol) were dissolved in pyridine (60 mL), stirred under ice bath for 10 min, and then DMTrCl (8.93 g, 26.348 mmol), the reaction was stirred for 1.8 h. LCMS detected about 19% of the raw material remaining, about 60% of the target MS. Combined (TJN200872-105 & 106) and purified together. H2O (50 mL) was added to the reaction solution, extracted with DCM (50 mL×3), dried, spin-dried, and separated by column (120 g, PE/(EA:DCM:TEA=1:1:0.05)=1/0~0/1 to DCM/MeOH=10/1) to obtain yellow solid compound 6 (11 g, 89% purity, TJN200872-105&106&107), and the raw material (3.0 g, 70% purity) was recovered.
化合物6(15g,22.041mmol)經SFC(DAICEL CHIRALPAK AD(250mm*50mm,10um);0.1% NH3H2O EtOH,B:45%-45%;200ml/min)分離得到目標產物6A(5.33g,94.29%純度),目標產物6B(6.14g,97.91%純度),化合物6回收1.0g。Compound 6 (15g, 22.041mmol) was isolated by SFC (DAICEL CHIRALPAK AD (250mm*50mm, 10um); 0.1% NH3H2O EtOH, B: 45%-45%; 200ml/min) to obtain the target product 6A (5.33g, 94.29%) purity), the target product 6B (6.14 g, 97.91% purity), 1.0 g of compound 6 was recovered.
將化合物6B(-)(5.4g,8.92mmol)、四唑(312mg,4.46mmol)、1-甲基咪唑(146mg,1.78mmol)、3A分子篩(500mg)溶於40mL的乙腈中,室溫下加入化合物7(4g,13.4mmol),在室溫下攪拌2h。反應完畢後,將分子篩過濾掉,加入DCM(200mL),飽和碳酸氫鈉水溶液洗滌(30mL*3),再用飽和食鹽水(50mL)洗滌,濾液旋乾並經反相製備HPLC(C18,條件:5-100%(A:水,B:CH3CN),流速:70mL/min),凍乾後得到1-8a(5.8g,80%)。MS m/z:C45H51N5O7P,[M+H]+,理論:804.36,實測:804.4。Compound 6B(-) (5.4 g, 8.92 mmol), tetrazole (312 mg, 4.46 mmol), 1-methylimidazole (146 mg, 1.78 mmol), 3A molecular sieve (500 mg) were dissolved in 40 mL of acetonitrile, at room temperature Compound 7 (4 g, 13.4 mmol) was added and stirred at room temperature for 2 h. After the reaction was completed, the molecular sieves were filtered off, DCM (200 mL) was added, saturated aqueous sodium bicarbonate solution (30 mL*3) was washed, and then saturated brine (50 mL) was washed, the filtrate was spin-dried and subjected to reverse phase preparative HPLC (C18, condition : 5-100% (A: water, B: CH3CN), flow rate: 70 mL/min),1-8a (5.8 g, 80%) was obtained after lyophilization. MS m/z: C45H51N5O7P, [M+H]+, theory: 804.36, found: 804.4.
實施例9 psiCHECK活性篩選實驗Example 9 psiCHECK activity screening experiment
siRNA樣本合成見前述,質粒來源於生工生物工程(上海)股份有限公司。採用psiCHECK活性篩選、Dual-Glo® Luciferase Assay System檢測。The siRNA sample synthesis was described above, and the plasmid was obtained from Sangon Bioengineering (Shanghai) Co., Ltd. Using psiCHECK activity screening, Dual-Glo® Luciferase Assay System detection.
psiCHECK活性篩選實驗步驟:細胞鋪板、配製轉染複合物(Lipofectamine 2000:0.2μL/孔;Plasmid:0.05μL/孔)、細胞轉染,依照表11對不同的實驗需求稀釋至不同濃度作為工作液備用,現用現配。psiCHECK activity screening experimental steps: cell plating, preparation of transfection complex (Lipofectamine 2000: 0.2 μL/well; Plasmid: 0.05 μL/well), cell transfection, and diluted to different concentrations as working solution according to different experimental requirements in Table 11 Spare, ready to use.
表11多濃度點siRNA稀釋方案
轉染24h後,按照Dual-Glo® Luciferase Assay System檢測試劑盒的實驗操作方案進行檢測。Dual-Glo® Luciferase Assay System檢測,採用Dual luciferase reporter gene assay kit(Promega,cat.E2940),讀取Firfly化學發光值和Renilla化學發光值;24h after transfection, the assay was performed according to the experimental protocol of the Dual-Glo® Luciferase Assay System detection kit. Dual-Glo® Luciferase Assay System detection, using Dual luciferase reporter gene assay kit (Promega, cat.E2940), read Firfly chemiluminescence value and Renilla chemiluminescence value;
計算相對值Ratio=Ren/Fir;計算抑制率:1-(Ratio+siRNA/Ratioreporter only)*100%=抑制率(%);本公開中,剩餘mRNA表達量比例=100%-抑制率(%)。Calculate the relative value Ratio=Ren/Fir; calculate the inhibition rate: 1-(Ratio+siRNA/Ratioreporter only)*100%=inhibition rate (%); in the present disclosure, the remaining mRNA expression ratio=100%-inhibition rate (% ).
實施例10包含不同化學修飾的siRNA的在靶活性和脫靶活性實驗Example 10 On-target and off-target activity experiments of siRNAs containing different chemical modifications
利用表12的化合物,並藉由實施例9的方法驗證各siRNA的在靶活性和脫靶活性,其中各siRNA採用相同的正義鏈,且反義鏈5’端第7位分別為以下修飾核苷酸/化學修飾,Using the compounds in Table 12, and verifying the on-target activity and off-target activity of each siRNA by the method of Example 9, each siRNA uses the same sense strand, and the 7th position at the 5' end of the antisense strand is the following modified nucleosides. acid/chemical modification,
其中,我們將由2-羥甲基-1,3-丙二醇為起始原料合成的核苷酸定義hmpNA;Among them, we define hmpNA from nucleotides synthesized from 2-hydroxymethyl-1,3-propanediol as the starting material;
TJ-NA019(A)為實施例8.1節中核苷亞磷醯胺單體1-2藉由固相合成獲得;TJ-NA019(A) is obtained by solid-phase synthesis of nucleoside phosphoramidite monomers 1-2 in Example 8.1;
TJ-NA020(A)為實施例8.1節中核苷亞磷醯胺單體1-3藉由固相合成獲得;TJ-NA020(A) is obtained by solid-phase synthesis of nucleoside phosphoramidite monomers 1-3 in Example 8.1;
TJ-NA026(A)為實施例8.1節中核苷亞磷醯胺單體1-4a藉由固相合成獲得;TJ-NA026(A) is obtained by solid-phase synthesis of nucleoside phosphoramidite monomer 1-4a in Example 8.1;
TJ-NA027(A)為實施例8.1節中核苷亞磷醯胺單體1-4b藉由固相合成獲得;TJ-NA027(A) is obtained by solid-phase synthesis of nucleoside phosphoramidite monomer 1-4b in Example 8.1;
TJ-NA038(A)為實施例8.1節中核苷亞磷醯胺單體1-5藉由固相合成獲得;TJ-NA038(A) is obtained by solid-phase synthesis of nucleoside phosphoramidite monomers 1-5 in Example 8.1;
(+)hmpNA(A)為實施例8.1節中核苷亞磷醯胺單體1-1b藉由固相合成獲得,絕對構型為(S)-hmpNA(A);(+)hmpNA(A) is obtained by solid-phase synthesis of nucleoside phosphoramidite monomer 1-1b in Example 8.1, and its absolute configuration is (S )-hmpNA(A);
(-)hmpNA(A)為實施例8.1節中核苷亞磷醯胺單體1-1a藉由固相合成獲得,絕對構型為(R)-hmpNA(A);(-)hmpNA(A) is obtained by solid-phase synthesis of nucleoside phosphoramidite monomer 1-1a in Example 8.1, and its absolute configuration is (R )-hmpNA(A);
類似的,替換hmpNA的鹼基種類,藉由固相合成獲得以下結構並確認絕對構型:Similarly, substituting the base species of hmpNA, the following structure was obtained by solid phase synthesis and the absolute configuration was confirmed:
(+)hmpNA(G),絕對構型為(S)-hmpNA(G);(+)hmpNA(G), the absolute configuration is (S )-hmpNA(G);
(-)hmpNA(G),絕對構型為(R)-hmpNA(G);(-)hmpNA(G), the absolute configuration is (R )-hmpNA(G);
(+)hmpNA(C),絕對構型為(S)-hmpNA(C);(+)hmpNA(C), the absolute configuration is (S )-hmpNA(C);
(-)hmpNA(C),絕對構型為(R)-hmpNA(C);(-)hmpNA(C), the absolute configuration is (R )-hmpNA(C);
(+)hmpNA(U),絕對構型為(R)-hmpNA(U);(+)hmpNA(U), the absolute configuration is (R )-hmpNA(U);
(-)hmpNA(U),絕對構型為(S)-hmpNA(U)。(-)hmpNA(U), the absolute configuration is (S )-hmpNA(U).
(S)-hmpNA(G),(R)-hmpNA(G),(S)-hmpNA(C),(R)-hmpNA(C),(S)-hmpNA(U)和(R)-hmpNA(U)的絕對構型由其中間體或衍生物經X-Ray衍射而確認。(S )-hmpNA(G), (R )-hmpNA(G), (S )-hmpNA(C), (R )-hmpNA(C), (S )-hmpNA(U) and (R )-hmpNA The absolute configuration of (U) was confirmed by X-Ray diffraction of its intermediates or derivatives.
中間體或衍生物的結構為:The structure of the intermediate or derivative is:
TJ-NA067:檢測晶體為無色塊狀(0.30×0.10×0.04mm3),屬單斜晶系P21空間群。晶胞參數a=16.0496(5)Å,b=4.86260(10)Å,c=16.4686(5)Å,α=90°,β=118.015(4)°,γ=90°,V=1134.65(7)Å3,Z=4。計算密度Dc=1.389g/cm3,單胞中電子數F(000)=504.0,單胞的線性吸收係數μ(Cu Kα)=0.840mm-1,衍射實驗溫度T=150.00(11)K。TJ-NA067: The detected crystal is a colorless block (0.30×0.10×0.04mm3), belonging to the monoclinic system P21 space group. Unit cell parameters a=16.0496(5)Å, b=4.86260(10)Å, c=16.4686(5)Å,α =90°,β =118.015(4)°,γ =90°,V=1134.65(7 )Å3,Z=4. The calculated density Dc=1.389g/cm3, the number of electrons in the unit cellF (000)=504.0, the linear absorption coefficient of the unit cellμ (Cu Kα)=0.840mm-1, and the diffraction experiment temperature T=150.00(11)K.
6A(+):檢測晶體為無色塊狀(0.30×0.20×0.10mm3),屬單斜晶系P21空間群。晶胞參數a=22.6688(7)Å,b=8.5595(2)Å,c=23.3578(5)Å,α=90°,β=113.876(3)°,γ=90°,V=4144.3(2)Å3,Z=2。計算密度Dc=0.999g/cm3,單胞中電子數F(000)=1318.0,單胞的線性吸收係數μ(Cu Kα)=0.570mm-1,衍射實驗溫度T=100.01(18)K。6A(+): The detected crystal is a colorless block (0.30×0.20×0.10mm3), belonging to the monoclinic system P21 space group. Unit cell parameters a=22.6688(7)Å, b=8.5595(2)Å, c=23.3578(5)Å,α =90°,β =113.876(3)°,γ =90°,V=4144.3(2 )Å3,Z=2. The calculated density Dc=0.999g/cm3, the number of electrons in the unit cellF (000)=1318.0, the linear absorption coefficient of the unit cellμ (Cu Kα)=0.570mm-1, and the diffraction experiment temperature T=100.01(18)K.
TJ-NA048:檢測晶體為無色針狀(0.30×0.04×0.04mm3),屬單斜晶系P1空間群。晶胞參數a=7.6165(4)Å,b=11.3423(5)Å,c=17.3991(8)Å,α=85.007(4)°,β=88.052(4)°,γ=70.532(4)°,V=1411.75(12)Å3,Z=2。計算密度Dc=1.366g/cm3,單胞中電子數F(000)=620.0,單胞的線性吸收係數μ(Cu Kα)=0.856mm-1,衍射實驗溫度T=150.00(13)K。TJ-NA048: The detected crystal is colorless needle-like (0.30×0.04×0.04mm3), belonging to the monoclinic system P1 space group. Unit cell parameters a=7.6165(4)Å, b=11.3423(5)Å, c=17.3991(8)Å,α =85.007(4)°,β =88.052(4)°,γ =70.532(4)° , V=1411.75(12)Å3, Z=2. The calculated density Dc=1.366g/cm3, the number of electrons in the unit cellF (000)=620.0, the linear absorption coefficient of the unit cellμ (Cu Kα)=0.856mm-1, and the diffraction experiment temperature T=150.00(13)K.
TJ-NA092:檢測晶體為無色棱柱狀(0.30×0.10×0.10mm3),屬三斜晶系P1空間群。晶胞參數a=5.17960(10)Å,b=8.0667(2)Å,c=12.4077(2)Å,α=93.146(2)°,β=101.266(2)°,γ=96.134(2)°,V=503.993(18)Å3,Z=2。計算密度Dc=1.412g/cm3,單胞中電子數F(000)=228.0,單胞的線性吸收係數μ(Cu Kα)=0.945mm-1,衍射實驗溫度T=100.00(10)K。TJ-NA092: The detection crystal is colorless prism (0.30×0.10×0.10mm3), belonging to the P1 space group of the triclinic system. Unit cell parameters a=5.17960(10)Å, b=8.0667(2)Å, c=12.4077(2)Å,α =93.146(2)°,β =101.266(2)°,γ =96.134(2)° , V=503.993(18)Å3, Z=2. The calculated density Dc=1.412g/cm3, the number of electrons in the unit cellF (000)=228.0, the linear absorption coefficient of the unit cellμ (Cu Kα)=0.945mm-1, and the diffraction experiment temperature T=100.00(10)K.
表12靶向HBV-S的siRNA序列和修飾信息
在靶活性實驗結果參見表13,脫靶活性實驗結果參見表14,目前實驗的化合物,在測試序列上均顯示了與母序列相當或略優的活性,說明修飾沒有影響在靶活性,其中活性最優的是分別包含GNA/Abasic/Id、TJ-NA019(A)、TJ-NA020(A)、TJ-NA026(A)、(+)hmpNA(A)和(-)hmpNA(A)的siRNA。另外,母序列具有明顯的脫靶活性,所有修飾均顯示了明顯的抑制脫靶活性的效果,特別是對於分別包含TJ-NA027(A)、(+)hmpNA(A)和(-)hmpNA(A)的siRNA,並未觀察到脫靶活性。See Table 13 for the results of the on-target activity test and Table 14 for the results of the off-target activity test. The compounds in the current experiment all show activities equivalent to or slightly better than the parent sequence in the test sequence, indicating that the modification has no effect on the on-target activity, with the most active compounds Preferred are siRNAs comprising GNA/Abasic/Id, TJ-NA019(A) , TJ-NA020(A) , TJ-NA026(A) ,(+)hmpNA(A) and(-)hmpNA(A) , respectively. In addition, the parent sequence has obvious off-target activity, and all modifications showed a significant effect of inhibiting off-target activity, especially for TJ-NA027(A) ,(+)hmpNA(A) and(-)hmpNA(A), respectively siRNA, no off-target activity was observed.
實施例11包含不同化學修飾的siRNA的序列依賴性實驗Example 11 Sequence-dependent experiments of siRNAs containing different chemical modifications
已知Abasic修飾具有siRNA序列依賴性,因此發明人在多條不同序列上測試了本公開的實驗化合物。使用了靶向四個不同基因(ANGPTL3、HBV-S、HBV-X、TTR)mRNA的siRNA(序列如表15所示),使用實施例8的化合物TJ-NA020(A)、TJ-NA027(A)、(+)hmpNA(A)、(-)hmpNA(A)和作為對照的GNA(A)、Id化合物修飾AS鏈5’端第7位(序列如表16所示),再與母序列比較在靶活性和脫靶活性。Abasic modifications are known to be siRNA sequence dependent, so the inventors tested experimental compounds of the present disclosure on a number of different sequences. Using siRNA targeting four different genes (ANGPTL3, HBV-S, HBV-X, TTR) mRNA (sequences are shown in Table 15), using compounds TJ-NA020 (A), TJ-NA027( A) ,(+)hmpNA(A) ,(-)hmpNA(A) and GNA(A) as a control, Id compound modifies the 7th position of the 5' end of the AS chain (the sequence is shown in Table 16), and then mixes with the parent Sequence comparison of on-target and off-target activity.
在靶活性實驗結果參見表17,GNA(A)顯現出明顯的序列依賴性,不同序列的在靶活性差異明顯。本公開的實驗化合物沒有顯示出明顯的序列依賴性,普遍適用性更強。The results of the on-target activity experiments are shown in Table 17. GNA(A) showed obvious sequence dependence, and the on-target activities of different sequences were significantly different. The experimental compounds of the present disclosure do not show obvious sequence dependence, and are more universally applicable.
siRNA2和siRNA3的脫靶活性實驗結果參見表18,可以看出,相對於母序列,本公開的實驗化合物明顯降低了siRNA的脫靶活性。The off-target activity experimental results of siRNA2 and siRNA3 are shown in Table 18. It can be seen that, compared with the parent sequence, the experimental compounds of the present disclosure significantly reduce the off-target activity of siRNA.
實施例12連接到固相載體上的胺基半乳糖化合物1-tExample 12 Galactosamine compound 1-t linked to solid support
合成路線如下:The synthetic route is as follows:
1)化合物1-g的合成路線1) Synthetic route of compound1-g
2)化合物1-h的合成路線2) Synthetic route of compound1-h
3)化合物1-I的合成路線3) Synthetic route of compound1-I
4)化合物1-q的合成4) Synthesis of compound1-q
5)連接到固相載體上的胺基半乳糖化合物1-t的合成5) Synthesis of aminogalactose compound1-t linked to solid support
步驟一step one
將原料1-a(297g,763mmol,)和原料1-b(160g,636mmol)溶解於960mlDCE,在15℃條件下,加入Sc(OTf)3(15.6g,31.8mmol,),然後升高反應溫度到85℃,攪拌反應2h,反應結束後加入1.5L飽和NaHCO3中止反應,分出有機相,並再用1.5升飽和食鹽水洗滌,有機相無水Na2SO4乾燥,過濾後的溶液減壓蒸餾後矽膠管柱層析純化(石油醚:乙酸乙酯5:1-0:1),的到淡黃色油狀產物1-c(328g,544mmol,收率為85.5%,純度為96.4%)。Raw material1-a (297g, 763mmol,) and raw material1-b (160g, 636mmol) were dissolved in 960ml DCE, at 15°C, Sc(OTf)3 (15.6g, 31.8mmol, ) was added, and the reaction was elevated The temperature reached 85°C, and the reaction was stirred for 2 h. After the reaction was completed, 1.5 L of saturated NaHCO3 was added to stop the reaction. The organic phase was separated and washed with 1.5 L of saturated brine. The organic phase was dried over anhydrous Na2 SO4 , and the filtered solution was reduced After distillation under pressure, it was purified by silica gel column chromatography (petroleum ether:ethyl acetate 5:1-0:1) to obtain a pale yellow oily product1-c (328 g, 544 mmol, yield 85.5%, purity 96.4%) ).
1HNMR:(400MHz,CDCl3)δ 7.44-7.29(m,5H),5.83(d,J=8.8Hz,1H),5.40-5.23(m,2H),5.18-5.06(m,2H),4.86(s,1H),4.66(d,J=8.4Hz,1H),4.21-4.07(m,2H),4.04-3.77(m,3H),3.51-3.45(m,1H),3.31-3.11(m,2H),2.18(d,J=2.0Hz,1H),2.14(s,3H),2.06(s,3H),2.03-1.99(m,3H),1.95(s,3H),1.64-1.46(m,4H),1.43-1.29(m,4H)。1 HNMR: (400MHz, CDCl3 )δ 7.44-7.29(m, 5H), 5.83(d, J=8.8Hz, 1H), 5.40-5.23(m, 2H), 5.18-5.06(m, 2H), 4.86 (s,1H),4.66(d,J=8.4Hz,1H),4.21-4.07(m,2H),4.04-3.77(m,3H),3.51-3.45(m,1H),3.31-3.11(m ,2H),2.18(d,J=2.0Hz,1H),2.14(s,3H),2.06(s,3H),2.03-1.99(m,3H),1.95(s,3H),1.64-1.46( m, 4H), 1.43-1.29 (m, 4H).
MS,C28H40N2O11,,實測M+ 581.3。MS,C28H40N2O11 , found M+581.3 .
步驟二
將步驟一所得化合物平行分成兩份進行:每個反應包含化合物1-c(72.0g,124mmol)加入432mL THF中,在氬氣保護下加入Pd/C(20.0g,10%純度),再加入TFA(14.1g,124mmol,9.18mL),在反應溶液中通入氫氣,保持氣體壓力在30Psi,加熱至30℃並攪拌反應16h。反應完成後,合併兩個平行進行的反應,過濾,並減壓濃縮濾液。殘餘物使用二氯甲烷稀釋並重複減壓濃縮,重複三次。減壓抽乾後得到目標化合物1-d(139g)。The compound obtained in
1HNMR(400MHz,DMSO-d6)δ 7.85(d,J=9.2Hz,1H),7.74(s,3H),5.21(d,J=3.6Hz,1H),4.97(dd,J=2.8,10.8Hz,1H),4.48(d,J=8.8Hz,1H),4.06-3.98(m,3H),3.93-3.82(m,1H),3.73-3.68(m,1H),3.63-3.56(m,1H),3.43-3.38(m,1H),2.82-2.71(m,2H),2.13-2.09(m,3H),2.01-1.97(m,3H),1.91-1.87(m,3H),1.77(s,3H),1.76-1.73(m,1H),1.52-1.44(m,4H),1.28(s,4H)。1 HNMR(400MHz, DMSO-d6 )δ 7.85(d,J =9.2Hz,1H),7.74(s,3H),5.21(d,J =3.6Hz,1H),4.97(dd,J =2.8, 10.8Hz, 1H), 4.48(d,J =8.8Hz, 1H), 4.06-3.98(m, 3H), 3.93-3.82(m, 1H), 3.73-3.68(m, 1H), 3.63-3.56(m ,1H),3.43-3.38(m,1H),2.82-2.71(m,2H),2.13-2.09(m,3H),2.01-1.97(m,3H),1.91-1.87(m,3H),1.77 (s, 3H), 1.76-1.73 (m, 1H), 1.52-1.44 (m, 4H), 1.28 (s, 4H).
步驟三
將化合物1-d(139g,247mmol)和化合物1-e(75.3g,223mmol)加入DMF溶液(834mL),在0℃下再加入DIPEA(41.6g,322mmol,56.1mL)、HOBt(36.8g,272mmol)和EDCI(52.2g,272mmol),保持15℃攪拌反應16h,反應完成後將,反應液用二氯甲烷((400mL)稀釋,然後用飽和氯化銨溶液(1L)、飽和NaHCO3(1.00L)、飽和食鹽水依次洗滌,分出有機相用無水硫酸鈉乾燥,過濾後減壓蒸餾除去溶劑,殘餘物矽膠管柱層析純化(石油醚:乙酸乙酯=5:1-0:1),得到目標化合物1-f(108g,收率為56.8%)。Compound1-d (139 g, 247 mmol) and compound1-e (75.3 g, 223 mmol) were added to DMF solution (834 mL), and then DIPEA (41.6 g, 322 mmol, 56.1 mL), HOBt (36.8 g, 272mmol) and EDCI (52.2g, 272mmol), keep 15 ℃ of stirring reaction for 16h, after the reaction is completed, the reaction solution is diluted with dichloromethane ((400mL), then with saturated ammonium chloride solution (1L), saturated NaHCO3 ( 1.00L), washed with saturated brine in turn, separated the organic phase and dried with anhydrous sodium sulfate, filtered and distilled under reduced pressure to remove the solvent, and the residue was purified by silica gel column chromatography (petroleum ether: ethyl acetate = 5: 1-0: 1) to obtain the target compound1-f (108 g, yield 56.8%).
1HNMR(40(400MHz,DMSO-d6)δ 7.89-7.78(m,2H),7.41-7.27(m,6H),5.21(d,J=3.2Hz,1H),5.08-4.92(m,3H),4.48(d,J=8.4Hz,1H),4.07-3.99(m,3H),3.97-3.81(m,2H),3.75-3.64(m,1H),3.42-3.37(m,1H),3.13-2.93(m,2H),2.20(t,J=8.0Hz,2H),2.10(s,3H),1.99(s,3H),1.89(s,3H),1.87-1.79(m,1H),1.76(s,3H),1.74-1.64(m,1H),1.48-1.41(m,2H),1.38(s,12H),1.29-1.20(m,4H),1.19-1.14(m,1H)。1 HNMR(40(400MHz,DMSO -d6 )δ 7.89-7.78(m,2H),7.41-7.27(m,6H),5.21(d,J =3.2Hz,1H),5.08-4.92(m,3H) ), 4.48(d,J =8.4Hz, 1H), 4.07-3.99(m, 3H), 3.97-3.81(m, 2H), 3.75-3.64(m, 1H), 3.42-3.37(m, 1H), 3.13-2.93(m, 2H), 2.20(t,J =8.0Hz, 2H), 2.10(s, 3H), 1.99(s, 3H), 1.89(s, 3H), 1.87-1.79(m, 1H) ,1.76(s,3H),1.74-1.64(m,1H),1.48-1.41(m,2H),1.38(s,12H),1.29-1.20(m,4H),1.19-1.14(m,1H) .
MS,C37H55N3O14,實測值M+766.4。MS ,C37H55N3O14 , foundM+766.4 .
步驟四
將上述所得化合物1-f平行分成兩份進行:每個反應包含化合物6(47.0g,61.3mmol)加入280mL THF中,在氬氣保護下加入Pd/C(15.0g,10%純度),再加入TFA(7.00g,61.3mmol,4.54mL),在反應溶液中通入氫氣,保持氣體壓力在30Psi,加熱至30℃並攪拌反應16h。反應完成後,合併兩個平行進行的反應,過濾,並減壓濃縮濾液。殘餘物使用二氯甲烷稀釋並重複減壓濃縮,重複三次。減壓抽乾後得到目標化合物1-g(94.0g,crude)。The above obtained compound1-f was divided into two parts in parallel: each reaction contained compound 6 (47.0 g, 61.3 mmol) was added to 280 mL of THF, Pd/C (15.0 g, 10% purity) was added under argon protection, and then TFA (7.00 g, 61.3 mmol, 4.54 mL) was added, and hydrogen was passed into the reaction solution, keeping the gas pressure at 30 Psi, heating to 30° C. and stirring the reaction for 16 h. After the reaction was complete, the two parallel reactions were combined, filtered, and the filtrate was concentrated under reduced pressure. The residue was diluted with dichloromethane and concentrated under reduced pressure repeatedly three times. After drying under reduced pressure, the target compound1-g (94.0 g, crude) was obtained.
1HNMR(400MHz,DMSO-d6)δ 8.38(s,1H),8.10(s,3H),7.83(d,J=9.2Hz,1H),5.21(d,J=3.2Hz,1H),4.96(dd,J=3.6,11.2Hz,1H),4.47(d,J=8.4Hz,1H),4.06-3.98(m,3H),3.92-3.82(m,1H),3.75-3.67(m,2H),3.60(s,1H),3.43-3.37(m,1H),3.18-3.04(m,2H),2.30-2.24(m,2H),2.10(s,3H),2.00(s,3H),1.95-1.90(m,2H),1.89(s,3H),1.78-1.75(m,3H),1.49-1.41(m,3H),1.40(s,9H),1.26(s,4H)。1 HNMR(400MHz,DMSO-d6)δ 8.38(s,1H),8.10(s,3H),7.83(d,J=9.2Hz,1H),5.21(d,J=3.2Hz,1H),4.96( dd,J=3.6,11.2Hz,1H),4.47(d,J=8.4Hz,1H),4.06-3.98(m,3H),3.92-3.82(m,1H),3.75-3.67(m,2H) ,3.60(s,1H),3.43-3.37(m,1H),3.18-3.04(m,2H),2.30-2.24(m,2H),2.10(s,3H),2.00(s,3H),1.95 -1.90(m, 2H), 1.89(s, 3H), 1.78-1.75(m, 3H), 1.49-1.41(m, 3H), 1.40(s, 9H), 1.26(s, 4H).
步驟五Step 5
將上述所得化合物1-f平行分成兩份進行:每個反應包含化合物1-f(46.0g,60mmol)加入HCl-EtOAc(2.00M,276mL)中,在15℃條件下攪拌反應16h。反應完成後合併兩個反應溶液,減壓蒸餾濃縮,殘餘物使用二氯甲烷稀釋並重複減壓濃縮,重複三次。減壓抽乾後得到淡紅色化合物1-h(91.0g,粗品)。The compound1-f obtained above was divided into two parts in parallel: each reaction contained compound1-f (46.0 g, 60 mmol) added to HCl-EtOAc (2.00 M, 276 mL), and the reaction was stirred at 15 °C for 16 h. After completion of the reaction, the two reaction solutions were combined, concentrated by distillation under reduced pressure, the residue was diluted with dichloromethane and concentrated under reduced pressure was repeated three times. After drying under reduced pressure, light red compound1-h (91.0 g, crude product) was obtained.
1HNMR(400MHz,DMSO-d6)δ 7.91-7.80(m,2H),7.42-7.26(m,6H),5.21(d,J=3.2Hz,1H),5.07-4.92(m,4H),4.48(d,J=8.4Hz,1H),4.06-3.98(m,3H),3.98-3.82(m,3H),3.73-3.65(m,1H),3.44-3.35(m,1H),3.12-2.94(m,2H),2.22(t,J=8.0Hz,2H),2.10(s,3H),2.01-1.97(m,4H),1.94-1.90(m,1H),1.89(s,3H),1.87-1.79(m,2H),1.76(s,3H),1.74-1.67(m,1H),1.49-1.40(m,2H),1.40-1.32(m,2H),1.24(d,J=4.0Hz,4H),1.19-1.13(m,1H)。1 HNMR (400MHz, DMSO-d6 )δ 7.91-7.80(m, 2H), 7.42-7.26(m, 6H), 5.21(d,J =3.2Hz, 1H), 5.07-4.92(m, 4H), 4.48(d,J =8.4Hz, 1H), 4.06-3.98(m, 3H), 3.98-3.82(m, 3H), 3.73-3.65(m, 1H), 3.44-3.35(m, 1H), 3.12- 2.94(m,2H),2.22(t,J=8.0Hz,2H),2.10(s,3H),2.01-1.97(m,4H),1.94-1.90(m,1H),1.89(s,3H) , 1.87-1.79(m, 2H), 1.76(s, 3H), 1.74-1.67(m, 1H), 1.49-1.40(m, 2H), 1.40-1.32(m, 2H), 1.24(d,J = 4.0Hz, 4H), 1.19-1.13 (m, 1H).
MS,C33H47N3O14,實測M+710.3。MS ,C33H47N3O14 , foundM+710.3 .
步驟六Step 6
平行進行兩個反應:每個反應包含化合物1-g(45.0g,60.3mmol)和化合物1-h(38.5g,54.3mmol)加入到270mL DMF,在0℃下再加入DIPEA(10.1g,78.4mmol,13.6mL),再加入HOBt(8.97g,66.3mmol)和EDCI(12.7g,66.3mmol)。在15℃條件下攪拌反應16h。反應完成後合併兩個反應溶液,並加入300mL DCM稀釋,依次使用飽和氯化銨(800mL)、飽和NaHCO3(800mL)和飽和食鹽水(800mL)洗滌,有機相用無水Na2SO4乾燥。過濾後,加壓蒸發濃縮,殘餘物使用矽膠管柱層析純化(石油醚:乙酸乙酯=5:1-0:1),得到白色化合物1-i(66.0g,47.4mmol,收率為39.3%,純度為95.1%)。Two reactions were performed in parallel: each reaction containing compound1-g (45.0 g, 60.3 mmol) and compound1-h (38.5 g, 54.3 mmol) was added to 270 mL of DMF followed by DIPEA (10.1 g, 78.4 mmol) at 0°C mmol, 13.6 mL) followed by HOBt (8.97 g, 66.3 mmol) and EDCI (12.7 g, 66.3 mmol). The reaction was stirred at 15°C for 16h. After the completion of the reaction, the two reaction solutions were combined, diluted with 300 mL of DCM, washed with saturated ammonium chloride (800 mL), saturated NaHCO3 (800 mL) and saturated brine (800 mL) in sequence, and the organic phase was dried over anhydrous Na2 SO4 . After filtration, concentrated by evaporation under pressure, the residue was purified by silica gel column chromatography (petroleum ether:ethyl acetate=5:1-0:1) to obtain white compound1-i (66.0 g, 47.4 mmol, the yield was 39.3% with a purity of 95.1%).
1HNMR(400MHz,DMSO-d6)δ 7.96-7.78(m,5H),7.41-7.25(m,6H),5.21(d,J=3.6Hz,2H),5.05-4.92(m,4H),4.48(d,J=8.8Hz,2H),4.22-4.12(m,1H),4.02(s,6H),3.94-3.80(m,3H),3.74-3.64(m,2H),3.45-3.35(m,2H),3.11-2.92(m,4H),2.20-2.12(m,4H),2.10(s,6H),1.99(s,6H),1.89(s,6H),1.82-1.79(m,2H),1.76(s,6H),1.74-1.63(m,2H),1.44(d,J=6.0Hz,4H),1.37(s,12H),1.24(s,9H)。1 HNMR (400MHz, DMSO-d6 )δ 7.96-7.78(m, 5H), 7.41-7.25(m, 6H), 5.21(d,J =3.6Hz, 2H), 5.05-4.92(m, 4H), 4.48(d,J =8.8Hz, 2H), 4.22-4.12(m, 1H), 4.02(s, 6H), 3.94-3.80(m, 3H), 3.74-3.64(m, 2H), 3.45-3.35( m,2H),3.11-2.92(m,4H),2.20-2.12(m,4H),2.10(s,6H),1.99(s,6H),1.89(s,6H),1.82-1.79(m, 2H), 1.76(s, 6H), 1.74-1.63(m, 2H), 1.44(d,J =6.0Hz, 4H), 1.37(s, 12H), 1.24(s, 9H).
MS:C62H94N6O25,實測值m/z 1323.8。MS :C62H94N6O25 , found m/z1323.8 .
步驟七Step seven
分成11個反應進行:在每個反應中加入化合物1-i(5.00g,3.78mmol)和甲苯(300mL),加入矽膠(45.0g)。在100℃下攪拌反應40h,反應完成後合併11個反應混合物。減壓蒸餾除去溶劑後,殘餘物加入異丙醇和二氯甲烷,並攪拌20min。過濾除去不溶物,並使用異丙醇洗滌濾餅至無產物溶出,得到的溶液除去溶劑並抽乾後得到淡黃色化合物1-j(43.2g,34.0mmol,收率為82.0%)。It was divided into 11 reactions: Compound1-i (5.00 g, 3.78 mmol) and toluene (300 mL) were added to each reaction, and silica gel (45.0 g) was added. The reaction was stirred at 100 °C for 40 h, and the 11 reaction mixtures were combined after completion of the reaction. After the solvent was distilled off under reduced pressure, isopropanol and dichloromethane were added to the residue, followed by stirring for 20 min. The insolubles were removed by filtration, and the filter cake was washed with isopropanol until no product was eluted. The obtained solution was desolventized and dried to obtain a pale yellow compound1-j (43.2 g, 34.0 mmol, 82.0% yield).
1HNMR:(400MHz,DMSO-d6)δ 8.01(d,J=7.6Hz,1H),7.93-7.79(m,2H),7.39-7.27(m,3H),5.21(d,J=3.2Hz,1H),5.06-4.91(m,2H),4.48(d,J=8.0Hz,1H),4.07-3.97(m,3H),3.94-3.82(m,2H),3.73-3.65(m,1H),3.45-3.36(m,2H),3.10-2.94(m,2H),2.15(d,J=7.6Hz,2H),2.10(s,3H),1.99(s,3H),1.89(s,3H),1.86-1.79(m,1H),1.77(s,3H),1.74-1.65(m,1H),1.44(s,2H),1.37(d,J=5.2Hz,2H),1.24(s,4H)。1 HNMR: (400MHz, DMSO-d6)δ 8.01(d, J=7.6Hz, 1H), 7.93-7.79(m, 2H), 7.39-7.27(m, 3H), 5.21(d, J=3.2Hz, 1H), 5.06-4.91(m, 2H), 4.48(d, J=8.0Hz, 1H), 4.07-3.97(m, 3H), 3.94-3.82(m, 2H), 3.73-3.65(m, 1H) ,3.45-3.36(m,2H),3.10-2.94(m,2H),2.15(d,J=7.6Hz,2H),2.10(s,3H),1.99(s,3H),1.89(s,3H ),1.86-1.79(m,1H),1.77(s,3H),1.74-1.65(m,1H),1.44(s,2H),1.37(d,J=5.2Hz,2H),1.24(s, 4H).
MS:C58H86N6O25,實測m/z=1267.8。MS :C58H86N6O25 , found m/z =1267.8 .
步驟八Step 8
此步平行分成兩個反應進行:每個反應包含化合物1-d(11.8g,21.0mmol)和化合物1-j(21.3g,16.8mmol)加入到70mL DMF,在0℃下再加入DIPEA(3.54g,27.3mmol,4.77mL),再加入HOBt(3.13g,23.1mmol)和EDCI(4.44g,23.1mmol)。在15℃條件下攪拌反應16h。反應完成後合併兩個反應溶液,並加入500mL DCM稀釋,依次使用飽和氯化銨(1.5L)、飽和NaHCO3(1.5mL)和飽和食鹽水(1.5mL)洗滌,有機相用無水Na2SO4乾燥。過濾後,加壓蒸發濃縮,殘餘物使用矽膠管柱層析純化(二氯甲烷:甲醇=50:1-10:1),得到淡黃色化合物1-k(54.0g,31.8mmol,收率為75.6%)。This step was divided into two reactions in parallel: each reaction contained compound1-d (11.8 g, 21.0 mmol) and compound1-j (21.3 g, 16.8 mmol) were added to 70 mL of DMF, followed by DIPEA (3.54 g at 0°C) g, 27.3 mmol, 4.77 mL) followed by HOBt (3.13 g, 23.1 mmol) and EDCI (4.44 g, 23.1 mmol). The reaction was stirred at 15°C for 16h. After the completion of the reaction, the two reaction solutions were combined, diluted with 500 mL of DCM, washed with saturated ammonium chloride (1.5 L), saturated NaHCO3 (1.5 mL) and saturated brine (1.5 mL) in sequence, and the organic phase was washed with anhydrous Na2 SO4 Dry. After filtration, concentrated by evaporation under pressure, the residue was purified by silica gel column chromatography (dichloromethane:methanol=50:1-10:1) to obtain pale yellow compound1-k (54.0 g, 31.8 mmol, the yield was 75.6%).
1HNMR(400MHz,DMSO-d6)δ 7.91(d,J=7.6Hz,1H),7.87-7.78(m,5H),7.73(t,J=5.2Hz,1H),7.42-7.24(m,6H),5.21(d,J=3.6Hz,3H),5.06-4.92(m,5H),4.48(d,J=8.4Hz,3H),4.19-4.09(m,2H),4.07-3.97(m,10H),3.94-3.80(m,4H),3.76-3.64(m,3H),3.42-3.37(m,4H),3.08-2.94(m,6H),2.20-2.12(m,2H),2.10(s,9H),2.08-2.01(m,2H),1.99(s,9H),1.89(s,9H),1.87-1.79(m,2H),1.77(s,9H),1.74-1.63(m,2H),1.44(d,J=5.6Hz,6H),1.40-1.31(m,6H),1.24(s,13H)。1 HNMR(400MHz, DMSO-d6 )δ 7.91(d,J=7.6Hz,1H),7.87-7.78(m,5H),7.73(t,J=5.2Hz,1H),7.42-7.24(m, 6H), 5.21(d, J=3.6Hz, 3H), 5.06-4.92(m, 5H), 4.48(d, J=8.4Hz, 3H), 4.19-4.09(m, 2H), 4.07-3.97(m ,10H),3.94-3.80(m,4H),3.76-3.64(m,3H),3.42-3.37(m,4H),3.08-2.94(m,6H),2.20-2.12(m,2H),2.10 (s,9H),2.08-2.01(m,2H),1.99(s,9H),1.89(s,9H),1.87-1.79(m,2H),1.77(s,9H),1.74-1.63(m , 2H), 1.44(d, J=5.6Hz, 6H), 1.40-1.31(m, 6H), 1.24(s, 13H).
MS:C78H118N8O33,實測值m/z=1696.1。MS :C78H118N8O33 , found m/z =1696.1 .
步驟九Step nine
此步平行分成3個反應進行:在每個反應中加入化合物1-k(17.0g,10.0mmol)和THF(100mL),在氬氣保護下加入Pd/C(5.0g,10%純度),再加入TFA(1.14g,10.0mmol,742uL),在反應溶液中通入氫氣,保持氣體壓力在15Psi,加熱至30℃並攪拌反應4h。反應完成後,合併3個平行進行的反應,過濾,並減壓濃縮濾液。殘餘物使用二氯甲烷稀釋並重複減壓濃縮,重複三次。殘餘物使用製備液相色譜(C18,流動相A 0.1%TFA-水,流動相B:10-40% CAN,20min)純化得到白色化合物1-l(17.3g,10.2mmol,收率為34.0%)。This step was divided into 3 reactions in parallel: Compound1-k (17.0 g, 10.0 mmol) and THF (100 mL) were added to each reaction, Pd/C (5.0 g, 10% purity) was added under argon protection, Then TFA (1.14g, 10.0mmol, 742uL) was added, hydrogen was passed into the reaction solution, the gas pressure was kept at 15Psi, heated to 30°C and stirred for 4h. After the reaction was complete, the 3 parallel reactions were combined, filtered, and the filtrate was concentrated under reduced pressure. The residue was diluted with dichloromethane and concentrated under reduced pressure repeatedly three times. The residue was purified using preparative liquid chromatography (C18, mobile phase A 0.1% TFA-water, mobile phase B: 10-40% CAN, 20 min) to give white compound1-1 (17.3 g, 10.2 mmol, 34.0% yield) ).
1HNMR:(400MHz,DMSO-d6)δ 8.45(t,J=5.2Hz,1H),8.14(d,J=5.2Hz,3H),7.97(t,J=5.2Hz,1H),7.90-7.77(m,4H),5.21(d,J=2.8Hz,3H),4.96(dd,J=3.2,11.6Hz,3H),4.47(d,J=8.4Hz,3H),4.20-4.10(m,1H),4.02(s,8H),3.87(q,J=9.6Hz,3H),3.75-3.61(m,4H),3.46-3.34(m,3H),3.21-2.93(m,6H),2.21(s,2H),2.14-2.02(m,11H),1.99(s,9H),1.96-1.82(m,12H),1.80-1.65(m,10H),1.44(d,J=5.6Hz,8H),1.36(d,J=6.4Hz,4H),1.30-1.17(m,12H)1 HNMR: (400MHz, DMSO-d6 )δ 8.45(t,J =5.2Hz, 1H), 8.14(d,J =5.2Hz, 3H), 7.97(t,J =5.2Hz, 1H), 7.90- 7.77(m, 4H), 5.21(d,J =2.8Hz, 3H), 4.96(dd,J =3.2, 11.6Hz, 3H), 4.47(d,J =8.4Hz, 3H), 4.20-4.10(m ,1H),4.02(s,8H),3.87(q,J =9.6Hz,3H),3.75-3.61(m,4H),3.46-3.34(m,3H),3.21-2.93(m,6H), 2.21(s, 2H), 2.14-2.02(m, 11H), 1.99(s, 9H), 1.96-1.82(m, 12H), 1.80-1.65(m, 10H), 1.44(d,J =5.6Hz, 8H), 1.36(d,J =6.4Hz, 4H), 1.30-1.17(m, 12H)
MS:C70H112N8O31,實測值m/2z=781.8MS: C70 H112 N8 O31 , found m/2z=781.8
步驟十Step ten
將化合物1-m(2g,12.64mmol)溶於吡啶(10mL)中,室溫下滴加DMTrCl(4.71g,13.90mmol)的吡啶(10mL)溶液,反應在室溫下攪拌5小時,待反應完畢後,用甲醇淬滅,減壓濃縮得到粗品,用矽膠純化(石油醚:乙酸乙酯=10:1沖提),收集產物沖提液,減壓蒸乾溶劑得到4g的化合物1-n。Compound1-m (2 g, 12.64 mmol) was dissolved in pyridine (10 mL), a solution of DMTrCl (4.71 g, 13.90 mmol) in pyridine (10 mL) was added dropwise at room temperature, and the reaction was stirred at room temperature for 5 hours. After completion, quenched with methanol, concentrated under reduced pressure to obtain the crude product, purified with silica gel (petroleum ether:ethyl acetate=10:1 elution), collected the product eluent, evaporated the solvent under reduced pressure to obtain 4g of compound1-n .
MS m/z:C29H32O5,[M+H]+實測:461.3。MS m/z :C29H32O5 , [M+H]+ found:461.3 .
步驟十一step eleven
將化合物1-n(2g,4.34mmol),N,N-二異丙基乙胺(DIEA,1.43mL,8.68mmol)和HATU(2.47g,6.51mmol)溶解於DMF(10mL)中,室溫下加入化合物1-o的DMF(5mL)溶液,該反應在室溫下攪拌8小時。反應完畢後,加水淬滅,水相用乙酸乙酯提取,合併的有機相先用水洗滌,再用飽和食鹽水(20mL)洗滌,隨後減壓蒸乾溶劑,經反相製備HPLC(柱:Boston Green ODS 150*30mm*5um,條件:25-80%(A:水0.075% NH3.H2O,B:CH3CN),流速:55mL/min),凍乾後得到2.4g化合物1-p。Compound1-n (2 g, 4.34 mmol), N,N-diisopropylethylamine (DIEA, 1.43 mL, 8.68 mmol) and HATU (2.47 g, 6.51 mmol) were dissolved in DMF (10 mL) at room temperature A solution of compound1-o in DMF (5 mL) was added and the reaction was stirred at room temperature for 8 hours. After the reaction was completed, water was added to quench, the aqueous phase was extracted with ethyl acetate, the combined organic phases were washed first with water, then with saturated brine (20 mL), and then the solvent was evaporated to dryness under reduced pressure.
MS m/z:C33H39NO7,[M+H]+實測:562.4。MS m/z :C33H39NO7 , [M+H]+ found:562.4 .
步驟十二Step 12
將化合物1-p(2.4g,4.27mmol)溶解於15mL的甲醇和水(2:1)的混合溶液中,室溫下加入LiOH(0.36g,8.54mmol)並攪拌過夜。待反應完畢後減壓蒸乾溶劑,經反相製備HPLC(柱:Boston Green ODS 150*30mm*5um,條件:25-75%(A:水0.075% NH3.H2O,B:CH3CN),流速:55mL/min),凍乾後得到2g化合物1-q。Compound1-p (2.4 g, 4.27 mmol) was dissolved in 15 mL of a mixed solution of methanol and water (2:1), LiOH (0.36 g, 8.54 mmol) was added at room temperature and stirred overnight. After the reaction was completed, the solvent was evaporated to dryness under reduced pressure, preparative HPLC (column:
MS m/z:C32H37NO7,[M+H]+實測:548.6。MS m/z :C32H37NO7 , [M+H]+ found:548.6 .
步驟十三Step Thirteen
將化合物1-q(0.37g,0.69mmol),DIEA(0.19mL,1.15mmol)和HATU(0.32g,0.86mmol)溶於2mL的DMF中,室溫下加入化合物1-l(0.9g,0.69mmol)的DMF(2mL)溶液,在室溫下攪拌過夜。反應完畢後,經二氯甲烷(10mL)稀釋反應液,並依次用飽和NaHCO3(20mL)和飽和食鹽水(20mL)洗滌,有機相無水Na2SO4乾燥,過濾後減壓濃縮。經反相製備HPLC(柱:Boston Green ODS 150*30mm*5um,條件:25-65%(A:水0.075% NH3.H2O,B:CH3CN),流速:45mL/min)純化,凍乾後得到0.5g化合物1-r。Compound1-q (0.37 g, 0.69 mmol), DIEA (0.19 mL, 1.15 mmol) and HATU (0.32 g, 0.86 mmol) were dissolved in 2 mL of DMF, and compound1-1 (0.9 g, 0.69 mmol) was added at room temperature mmol) in DMF (2 mL) and stirred at room temperature overnight. After the reaction was completed, the reaction solution was diluted with dichloromethane (10 mL), washed with saturated NaHCO3 (20 mL) and saturated brine (20 mL) successively, the organic phase was dried over anhydrous Na2 SO4 , filtered and concentrated under reduced pressure. Purified by reverse phase preparative HPLC (column:
MS m/z:C102H147N9O37,[M-H]+實測:2088.5。MS m/z:C102H147N9O37 , [MH ]+ found:2088.5.
步驟十四Step Fourteen
將化合物1-r(300mg,0.14mmol)和丁二酸酐(28.70mg,0.28mmol)溶解於四氫呋喃中,向反應液中加入DMAP(3.50mg,0.028mmol)並在40℃下攪拌過夜。待反應完畢後,待反應完畢後,加入甲醇(18.8mg),並攪拌反應10min,然後將反應液用二氯甲烷(3mL)稀釋反應液,並用飽和NaHCO3(5mL)洗滌2次。將有機相減壓濃縮至乾,經反相製備HPLC(柱:Boston Green ODS 150*30mm*5um,條件:25-65%(A:水0.075% NH3.H2O,B:CH3CN),流速:35mL/min)純化,凍乾後得到140mg化合物1-s。Compound1-r (300 mg, 0.14 mmol) and succinic anhydride (28.70 mg, 0.28 mmol) were dissolved in tetrahydrofuran, DMAP (3.50 mg, 0.028 mmol) was added to the reaction solution and stirred at 40°C overnight. After the reaction was completed, methanol (18.8 mg) was added, and the reaction was stirred for 10 min, then the reaction solution was diluted with dichloromethane (3 mL) and washed twice with saturated NaHCO 3 (5 mL). The organic phase was concentrated to dryness under reduced pressure, preparative HPLC by reverse phase (column:
MS m/z:C106H151N9O40,[M-H]+實測:2189.4。MS m/z :C106H151N9O40 , [MH ]+ found:2189.4 .
步驟十五Step fifteen
將上步得到的化合物1-r(140mg,64ummol)加入乙腈(5mL),再加入HBTU(48.7mg,128umol),加入表面胺基修飾的固相支撐物(CPG-NH2,2.3g),加入DIEA(41.5mg,320umol,55uL),保持30℃震盪反應16h。反應完成後,過濾,並依次用甲醇(8mL x 4)、二氯甲烷(8mL x 4)洗滌。固體繼續加入吡啶:乙酸酐(v:v=4:1,10.0mL)中,繼續保持30℃震盪反應16h。反應完成後,過濾,並依次用甲醇(8mL x 4)、二氯甲烷(8mL x 4)洗滌。得到連接在固相載體上的化合物1-t 2.1g。The compound1-r (140mg, 64ummol) obtained in the previous step was added to acetonitrile (5mL), then HBTU (48.7mg, 128umol) was added, the surface amine group-modified solid phase support (CPG-NH2, 2.3g) was added, DIEA (41.5mg, 320umol, 55uL) was kept at 30°C for 16h shaking reaction. After the reaction was completed, it was filtered and washed sequentially with methanol (8 mL x 4), dichloromethane (8 mL x 4). The solid was continuously added to pyridine:acetic anhydride (v:v=4:1, 10.0 mL), and the reaction was continued to be kept at 30°C for 16h with shaking. After the reaction was completed, it was filtered and washed sequentially with methanol (8 mL x 4), dichloromethane (8 mL x 4). 2.1 g of compound1-t attached to a solid support was obtained.
實施例13連接到固相載體上的胺基半乳糖化合物2-eExample 13 Galactosamine compound 2-e linked to solid support
合成路線如下:The synthetic route is as follows:
1)化合物2-b的合成1) Synthesis of compound2-b
2)化合物2-e的合成2) Synthesis of compound2-e
步驟一step one
將化合物2-a(1.00g,2.37mmol)加入THF(7.5mL)和H2O(7.5mL)中,再加入LiOH.H2O(109mg,2.60mmol),保持16℃攪拌反應16h。反應完成後,減壓蒸發除去溶劑,殘餘物繼續冷凍乾燥,得到白色化合物2-b(960mg,2.32mmol,收率為97.8%)。Compound2-a (1.00 g, 2.37 mmol) was added to THF (7.5 mL) and H2 O (7.5 mL), then LiOH.H2 O (109 mg, 2.60 mmol) was added, and the reaction was stirred at 16° C. for 16 h. After the reaction was completed, the solvent was evaporated under reduced pressure, and the residue was further lyophilized to obtain a white compound2-b (960 mg, 2.32 mmol, 97.8% yield).
1HNMR:(400MHz,DMSO-d6)δ 7.44(d,J=8.4Hz,2H),7.34-7.23(m,6H),7.22-7.15(m,1H),6.86(d,J=8.0Hz,4H),3.73(s,6H),3.66(d,J=6.4Hz,1H),3.32(d,J=12.0Hz,1H),3.11(dd,J=2.0,9.2Hz,1H),2.85(t,J=8.8Hz,1H)。1 HNMR: (400MHz, DMSO-d6)δ 7.44(d,J=8.4Hz,2H),7.34-7.23(m,6H),7.22-7.15(m,1H),6.86(d,J=8.0Hz, 4H),3.73(s,6H),3.66(d,J=6.4Hz,1H),3.32(d,J=12.0Hz,1H),3.11(dd,J=2.0,9.2Hz,1H),2.85( t,J=8.8Hz,1H).
MS m/z:C24H24O6,實測m/z:407.2。MS m/z :C24H24O6 , found m/z:407.2 .
步驟二
將化合物1-l(500mg,0.30mmol)加入二氯甲烷(3mL)中,15℃下,再將化合物2-b(0.14g,0.34mmol)加入反應中,在0℃下再加入HBTU(142mg,375umol)和DIEA((115mg,895umol),保持15℃反應16h。反應完畢後,經二氯甲烷(10mL)稀釋反應液,並依次用飽和NaHCO3(20mL)和飽和食鹽水(20mL)洗滌,有機相無水Na2SO4乾燥,過濾後減壓濃縮,殘餘物經過製備液相純化(柱:Welch Xtimate C18 250*70mm#10um;流動相:[水-ACN];B%:40%-66%,18min),得到化合物2-c。Compound1-1 (500 mg, 0.30 mmol) was added to dichloromethane (3 mL), and at 15 °C, compound2-b (0.14 g, 0.34 mmol) was added to the reaction, and HBTU (142 mg) was added at 0 °C. , 375umol) and DIEA ((115mg, 895umol), kept at 15°C for 16h. After the reaction, the reaction solution was diluted with dichloromethane (10mL), and washed with saturated NaHCO3 (20mL) and saturated brine (20mL) successively , the organic phase was dried over anhydrous Na2SO4, filtered and concentrated under reduced pressure, and the residue was purified by preparative liquid phase (column: Welch Xtimate C18 250*70mm#10um; mobile phase: [water-ACN]; B%: 40%-66%, 18 min) to obtain compound2-c .
MS m/z:C94H134N8O36,[M-H]+實測:1952.1。MS m/z :C94H134N8O36 , [MH ]+ found:1952.1 .
步驟三
將化合物2-c(230mg,0.12mmol)和丁二酸酐(23.5mg,0.26mmol)溶解於二氯甲烷溶液(2mL)中,向反應液中加入DMAP(43.1mg,0.35mmol),保持在15℃下攪拌16h。待反應完畢後,加入甲醇(18.8mg),並攪拌反應10min,然後將反應液用二氯甲烷(3mL)稀釋反應液,並用飽和NaHCO3洗滌2次。將反應液減壓濃縮抽乾得到化合物2-d(240mg,粗品)。Compound2-c (230 mg, 0.12 mmol) and succinic anhydride (23.5 mg, 0.26 mmol) were dissolved in a dichloromethane solution (2 mL), and DMAP (43.1 mg, 0.35 mmol) was added to the reaction solution, and kept at 15 Stir at ℃ for 16h. After the reaction was completed, methanol (18.8 mg) was added, and the reaction was stirred for 10 min, then the reaction solution was diluted with dichloromethane (3 mL), and washed twice with saturated NaHCO3 . The reaction solution was concentrated under reduced pressure to dry to obtain compound2-d (240 mg, crude product).
MS m/z:C106H151N9O40,[M-H]+實測:m/2z:2070.2MS m/z: C106H151N9O40, [M-H]+ measured: m/2z: 2070.2
步驟四
將上步得到的化合物2-d(240mg,116ummol)加入乙腈(8mL),再加入HBTU(88.7mg,233umol),加入表面胺基修飾的固相支撐物(CPG-NH2,4g),加入DIEA(75.5mg,584umol,101uL),保持30℃震盪反應16h。反應完成後,過濾,並依次用甲醇(8mL x 4)、二氯甲烷(8mL x 4)洗滌。固體繼續加入吡啶:乙酸酐(v:v=4:1,10.0mL)中,繼續保持30℃震盪反應16h。反應完成後,過濾,並依次用甲醇(8mL x 4)、二氯甲烷(8mL x 4)洗滌。得到目標產物連接在固相載體上的化合物2-e 3.7g。The compound2-d (240mg, 116ummol) obtained in the previous step was added to acetonitrile (8mL), then HBTU (88.7mg, 233umol) was added, the surface amine group-modified solid support (CPG-NH2, 4g) was added, and DIEA was added. (75.5mg, 584umol, 101uL), kept at 30°C for 16h shaking reaction. After the reaction was completed, it was filtered and washed sequentially with methanol (8 mL x 4), dichloromethane (8 mL x 4). The solid was continuously added to pyridine:acetic anhydride (v:v=4:1, 10.0 mL), and the reaction was continued to be kept at 30°C for 16h with shaking. After the reaction was completed, it was filtered and washed sequentially with methanol (8 mL x 4), dichloromethane (8 mL x 4). 3.7 g of compound2 -e in which the target product was linked to a solid support was obtained.
實施例14連接到固相載體上的胺基半乳糖化合物3-nExample 14 Galactosamine compound 3-n linked to solid support
合成路線如下:The synthetic route is as follows:
1)化合物3-d的合成1) Synthesis of compound3-d
2)化合物3-g的合成2) Synthesis of compound3-g
3)化合物3-n的合成3) Synthesis of compound3-n
步驟一step one
將原料3-a(78.8g,202mmol)和原料3-b(40g,168mmol)溶解於DCE(250mL),在15℃條件下,加入CF3SO3H(4.15g,8.43mmol,),然後升高反應溫度到75℃,攪拌反應2h,反應結束後加入1L飽和NaHCO3中止反應,分出有機相,並再用1L飽和食鹽水洗滌,有機相無水Na2SO4乾燥,過濾後的溶液減壓蒸餾後矽膠管柱層析純化(石油醚:乙酸乙酯5:1-0:1),的到目標產物3-c(63.2g,107mmol,收率為63.5%)。Raw material3-a (78.8 g, 202 mmol) and raw material3-b (40 g, 168 mmol) were dissolved in DCE (250 mL), CF3 SO3 H (4.15 g, 8.43 mmol, ) was added at 15° C., and then Raise the reaction temperature to 75°C, stir the reaction for 2 h, add 1 L saturated NaHCO3 to stop the reaction after the reaction, separate the organic phase, wash with 1 L saturated brine, dry the organic phase over anhydrous Na2 SO4 , and filter the solution After distillation under reduced pressure, it was purified by silica gel column chromatography (petroleum ether:ethyl acetate 5:1-0:1) to obtain the target product3-c (63.2 g, 107 mmol, 63.5% yield).
1HNMR:(400MHz,CDCl3)δ 7.35-7.26(m,5H),5.88(s,1H),5.34-5.25(m,2H),4.65(d,J=8.4Hz,1H),4.16-4.13(m,2H),3.92-3.87(m,3H),3.18-3.17(m,1H),3.15-3.14(m,2H),2.16-1.91(m,15H),1.58-1.50(m,5H),1.49-1.36(m,2H)。1 H NMR: (400 MHz, CDCl3 ) δ 7.35-7.26 (m, 5H), 5.88 (s, 1H), 5.34-5.25 (m, 2H), 4.65 (d,J =8.4Hz, 1H), 4.16-4.13 (m,2H),3.92-3.87(m,3H),3.18-3.17(m,1H),3.15-3.14(m,2H),2.16-1.91(m,15H),1.58-1.50(m,5H) , 1.49-1.36 (m, 2H).
MS m/z:C24H40N2O11,實測m/z:567.4。MS m/z:C24H40N2O11 , found m/z:567.4 .
步驟二
將上述所得化合物3-c(60.0g,106mmol)加入360mL THF中,在氬氣保護下加入Pd/C(15.0g,10%純度),再加入TFA(12.1g,106mmol,7.84mL),在反應溶液中通入氫氣,保持氣體壓力在30Psi,加熱至30℃並攪拌反應16h。反應完成後,過濾,並減壓濃縮濾液。殘餘物使用二氯甲烷稀釋並重複減壓濃縮,重複三次(500mL x 3)。減壓抽乾後得到淡黃色化合物3-d(44g,102mmol,收率為96.1%)。Compound 3-c (60.0 g, 106 mmol) obtained above was added to 360 mL of THF, Pd/C (15.0 g, 10% purity) was added under argon protection, TFA (12.1 g, 106 mmol, 7.84 mL) was added, and Pass hydrogen into the reaction solution, keep the gas pressure at 30 Psi, heat to 30° C. and stir the reaction for 16 h. After the reaction was completed, it was filtered, and the filtrate was concentrated under reduced pressure. The residue was diluted with dichloromethane and concentrated under reduced pressure for three repetitions (500 mL x 3). After drying under reduced pressure, a pale yellow compound3-d (44 g, 102 mmol, 96.1% yield) was obtained.
步驟三
將化合物3-e(60.0g,447mmol)溶解於DMF(300mL),加入K2CO3(92.7g,671mmol),在0℃條件下滴加入BnBr(115g,671mmol,79.7mL)。保持25℃攪拌反應6h。將反應液倒入碎冰中,然後使用乙酸乙酯(100mL*6)萃取,有機相再依次用水洗滌(100ml*2),飽和食鹽水洗滌(100ml*3)。有機相無水硫酸鈉乾燥後減壓蒸餾除去溶劑,殘餘物使用矽膠管柱層析純化(石油醚:乙酸乙酯=2:1-0:1),得到白色固體化合物3-f(60.3g,269mmol,收率60.1%)。Compound3-e (60.0 g, 447 mmol) was dissolved in DMF (300 mL), K2 CO3 (92.7 g, 671 mmol) was added, and BnBr (115 g, 671 mmol, 79.7 mL) was added dropwise at 0°C. The reaction was stirred at 25 °C for 6 h. The reaction solution was poured into crushed ice, then extracted with ethyl acetate (100 mL*6), and the organic phase was washed with water (100 mL*2) and saturated brine (100 mL*3) successively. The organic phase was dried over anhydrous sodium sulfate, and then the solvent was distilled off under reduced pressure. The residue was purified by silica gel column chromatography (petroleum ether:ethyl acetate=2:1-0:1) to obtain a white solid compound3-f (60.3 g, 269 mmol, yield 60.1%).
1HNMR:(400MHz,CDCl3)δ 7.37-7.26(m,5H),5.18(d,J=4.4Hz,2H),3.95-3.90(m,2H),3.75-3.71(m,2H),1.08(s,1H)。1 H NMR: (400 MHz, CDCl3 ) δ 7.37-7.26 (m, 5H), 5.18 (d, J=4.4 Hz, 2H), 3.95-3.90 (m, 2H), 3.75-3.71 (m, 2H), 1.08 (s, 1H).
MS m/z:C12H16O4,實測m/z:223.5。MS m/z:C12H16O4 , found m/z:223.5.
步驟四
將化合物3-f(50.0g,223mmol)溶解在二氯甲烷中(300mL),加入吡啶(73.5g,929mmol,75mL)和溶解於二氯甲烷(50mL)的對硝基苯基氯甲酸酯(180g,892mmol),氮氣保護下保持25℃攪拌反應24h。反應完成後,加入二氯甲烷(250mL)稀釋,然後依次使用NaHSO4溶液(30mL*3)和飽和食鹽水(30mL*2)洗滌,有機相使用MgSO4乾燥後,過濾,減壓蒸發掉溶劑。所得到的粗品使用矽膠管柱層析純化(石油醚:乙酸乙酯=3:1),得到目標化合物3-g(37.0g,66.7mmol,收率為29.9%)。Compound3-f (50.0 g, 223 mmol) was dissolved in dichloromethane (300 mL), pyridine (73.5 g, 929 mmol, 75 mL) and p-nitrophenyl chloroformate dissolved in dichloromethane (50 mL) were added (180 g, 892 mmol), the reaction was stirred at 25 °C under nitrogen protection for 24 h. After the reaction was completed, dichloromethane (250 mL) was added to dilute, and then NaHSO4 solution (30 mL*3) and saturated brine (30 mL*2) were used to wash in turn, the organic phase was dried with MgSO4 , filtered, and the solvent was evaporated under reduced pressure. . The obtained crude product was purified by silica gel column chromatography (petroleum ether:ethyl acetate=3:1) to obtain the target compound3-g (37.0 g, 66.7 mmol, 29.9% yield).
MS m/z:C26H22N2O12,實測m/z:553.4。MS m/z:C26H22N2O12 , found m/z:553.4 .
步驟五Step 5
將化合物3-g(22.0g,39.7mmol)加入乙腈(120mL)中,在氮氣保護條件下,再加入三乙胺(24.1g,238mmol,33,1mL),將反應液冷卻到0℃,滴加入溶解在乙腈(120mL)中的化合物3-d(42.1g,40mmol),升高溫度到25℃,並攪拌反應1h。反應完成後,減壓濃縮除去溶劑,然後使用矽膠管柱層析純化(石油醚:乙酸乙酯=2:1)得到目標化合物3-h(37.0g,12.0mmol,收率為30.2%)。Compound3-g (22.0 g, 39.7 mmol) was added to acetonitrile (120 mL), and under nitrogen protection, triethylamine (24.1 g, 238 mmol, 33, 1 mL) was added, the reaction solution was cooled to 0 °C, dropwise Compound3-d (42.1 g, 40 mmol) dissolved in acetonitrile (120 mL) was added, the temperature was raised to 25°C, and the reaction was stirred for 1 h. After the reaction was completed, the solvent was concentrated under reduced pressure to remove the solvent, and then purified by silica gel column chromatography (petroleum ether:ethyl acetate=2:1) to obtain the target compound3-h (37.0 g, 12.0 mmol, 30.2% yield).
MS m/z:C52H76N4O24,實測m/z:1141.8。MS m/z :C52H76N4O24 , found m/z :1141.8 .
步驟六Step 6
將化合物3-h(11.0g,9.64mmol)溶解於乙酸乙酯(60mL)中,加入Pd/C(2.00g,10%純度),反應溶液中通入氫氣,保持氣體壓力在40Psi,溫度25℃攪拌反應8h。反應完成後,過濾,並減壓蒸發至乾燥,得到目標化合物3-i(10.0g,9.42mmol,收率為97.7%)。Compound3-h (11.0 g, 9.64 mmol) was dissolved in ethyl acetate (60 mL), Pd/C (2.00 g, 10% purity) was added, hydrogen was passed through the reaction solution, and the gas pressure was maintained at 40 Psi and the temperature was 25 The reaction was stirred for 8h. After the reaction was completed, it was filtered, and evaporated to dryness under reduced pressure to obtain the target compound3-i (10.0 g, 9.42 mmol, 97.7% yield).
1HNMR:(400MHz,DMSO-d6)δ 7.79(d,J=9.2Hz,2H),7.10(s,2H),5.74(t,J=1.6Hz,2H),5.21(d,J=3.6Hz,2H),4.98-4.95(m,2H),4.48(d,J=8.4Hz,2H),4.02(d,J=4.8Hz,11H),3.87-3.84(m,2H),3.69-3.67(m,2H),3.41-3.39(m,2H),2.94-2.90(m,4H),2.10(s,5H),1.99(s,7H),1.89(s,6H),1.77(s,6H),1.47-1.35(m,8H),1.26-1.24(m,4H),1.23-1.08(m,3H)。1 HNMR: (400MHz, DMSO-d6 )δ 7.79(d, J=9.2Hz, 2H), 7.10(s, 2H), 5.74(t, J=1.6Hz, 2H), 5.21(d, J=3.6 Hz,2H),4.98-4.95(m,2H),4.48(d,J=8.4Hz,2H),4.02(d,J=4.8Hz,11H),3.87-3.84(m,2H),3.69-3.67 (m,2H),3.41-3.39(m,2H),2.94-2.90(m,4H),2.10(s,5H),1.99(s,7H),1.89(s,6H),1.77(s,6H) ), 1.47-1.35(m, 8H), 1.26-1.24(m, 4H), 1.23-1.08(m, 3H).
MS m/z:C45H70N4O24,實測m/z:1051.4。MS m/z: C45 H70 N4 O24 , found m/z: 1051.4.
步驟七Step seven
將化合物3-i(5.00g,4.76mmol)加入到二氯甲烷(30mL)和DMF(30mL)的混合溶劑中,再加入化合物33(312mg,2.38mmol),加入HBTU(1.80g,4.76mmol)和DIEA(615mg,4.76mmol),保持25℃攪拌反應12h。反應完成後,將反應液倒入到乙酸乙酯(100mL)中,然後使用飽和食鹽水洗滌,無水Na2SO4乾燥後,過濾並減壓蒸發除去溶劑,殘餘物使用製備HPLC純化得到目標化合物3-k(2.1g,956umol,收率為20.1%)。Compound3-i (5.00 g, 4.76 mmol) was added to a mixed solvent of dichloromethane (30 mL) and DMF (30 mL), compound 33 (312 mg, 2.38 mmol) was added, and HBTU (1.80 g, 4.76 mmol) was added and DIEA (615 mg, 4.76 mmol), and the reaction was stirred at 25 °C for 12 h. After the completion of the reaction, the reaction solution was poured into ethyl acetate (100 mL), then washed with saturated brine, dried over anhydrous Na2 SO4 , filtered and evaporated under reduced pressure to remove the solvent, and the residue was purified by preparative HPLC to obtain the target compound3-k (2.1 g, 956 umol, 20.1% yield).
1HNMR:(400MHz,DMSO-d6)δ 7.84-7.81(m,5H),7.12-7.07(m,3H),5.21(d,J=3.6Hz,4H),4.99-4.96(m,4H),4.49(d,J=8.4Hz,4H),4.06-4.00(m,24H),3.88-3.86(m,4H),3.55-3.52(m,4H),3.49-3.43(m,4H),3.25-3.05(m,4H),2.94-2.93(m,8H),2.11(s,12H),2.00(s,16H),1.90(s,12H),1.78(s,12H),1.46-1.44(m,8H),1.38-1.35(m,8H),1.26-1.24(m,8H),1.18-1.16(m,6H),1.09-0.99(m,2H)。1 HNMR: (400MHz, DMSO-d6 )δ 7.84-7.81 (m, 5H), 7.12-7.07 (m, 3H), 5.21 (d, J=3.6Hz, 4H), 4.99-4.96 (m, 4H) ,4.49(d,J=8.4Hz,4H),4.06-4.00(m,24H),3.88-3.86(m,4H),3.55-3.52(m,4H),3.49-3.43(m,4H),3.25 -3.05(m, 4H), 2.94-2.93(m, 8H), 2.11(s, 12H), 2.00(s, 16H), 1.90(s, 12H), 1.78(s, 12H), 1.46-1.44(m , 8H), 1.38-1.35 (m, 8H), 1.26-1.24 (m, 8H), 1.18-1.16 (m, 6H), 1.09-0.99 (m, 2H).
MS m/z:C96H153N11O46,實測m/z:2197.5。MS m/z :C96H153N11O46 , found m/z :2197.5 .
步驟八Step 8
將化合物3-k(100mg,45.5umol)加入DMF(1mL)中,再將化合物2-b(21.1mg,54umol)加入反應中,再加入HBTU(21.8mg,57.3umol)和DIEA((17.7mg,136umol),保持15℃反應16h。反應完畢後,經二氯甲烷(10mL)稀釋反應液,並依次用飽和NaHCO3和飽和食鹽水洗滌,有機相無水Na2SO4乾燥,過濾後減壓濃縮,殘餘物經過製備液相純化(柱:Phenomenex Gemini-NX 150*30mm*5um;流動相:[水-ACN];B%:35%-75%,12min),得到化合物3-l。MS m/z:C120H175N11O51,實測:2586.9。Compound3-k (100 mg, 45.5 umol) was added to DMF (1 mL), then compound2-b (21.1 mg, 54 umol) was added to the reaction, followed by HBTU (21.8 mg, 57.3 umol) and DIEA ((17.7 mg) , 136 umol), kept at 15 ° C for 16 h. After the reaction was completed, the reaction solution was diluted with dichloromethane (10 mL), and washed with saturated NaHCO3 and saturated brine in turn, the organic phase was dried over anhydrous Na2 SO4 , filtered and reduced pressure Concentrated, the residue was purified by preparative liquid phase (column: Phenomenex Gemini-
步驟九Step nine
將化合物3-l(14mg,5.4umol)和丁二酸酐(1.08mg,10.8umol)溶解於二氯甲烷溶液(1mL)中,向反應液中加入DMAP(2.0mg,16umol)和TEA(1.1mg,10.8umol,1.5uL),保持在15℃下攪拌16h。待反應完畢後,加入甲醇(0.9mg),並攪拌反應10min,然後將反應液用二氯甲烷稀釋反應液,並用飽和NaHCO3洗滌2次。將反應液減壓濃縮抽乾得到化合物3-m(18mg)。Compound3-1 (14 mg, 5.4 umol) and succinic anhydride (1.08 mg, 10.8 umol) were dissolved in dichloromethane solution (1 mL), and DMAP (2.0 mg, 16 umol) and TEA (1.1 mg) were added to the reaction solution. , 10.8umol, 1.5uL), kept stirring at 15°C for 16h. After the reaction was completed, methanol (0.9 mg) was added, and the reaction was stirred for 10 min, then the reaction solution was diluted with dichloromethane, and washed twice with saturated NaHCO3 . The reaction solution was concentrated under reduced pressure to dryness to obtain compound3-m ( 18 mg).
MS m/z:C124H179N11O54,實測:2687.2。MS m/z: C124 H179 N11 O54 , found: 2687.2.
步驟十Step ten
將上步得到的化合物3-m(18mg,6.7ummol)加入乙腈(3mL),再加入HBTU(5.1mg,13.4umol),加入表面胺基修飾的固相支撐物(CPG-NH2,200mg),加入DIEA(4.3mg,33.5umol,5.8uL),保持30℃震盪反應16h。反應完成後,過濾,並依次用甲醇(2mL x 4)、二氯甲烷(2mL x 4)洗滌。固體繼續加入吡啶:乙酸酐(v:v=4:1,2mL)中,繼續保持30℃震盪反應16h。反應完成後,過濾,並依次用甲醇、二氯甲烷洗滌。得到目標產物連接在固相載體上的化合物3-n 200mg。The compound 3-m (18mg, 6.7ummol) obtained in the previous step was added to acetonitrile (3mL), then HBTU (5.1mg, 13.4umol) was added, and the surface amine group-modified solid support (CPG-NH2, 200mg) was added, DIEA (4.3 mg, 33.5 umol, 5.8 uL) was added, and the reaction was kept at 30° C. for 16 h with shaking. After the reaction was completed, it was filtered and washed sequentially with methanol (2 mL x 4), dichloromethane (2 mL x 4). The solid was added to pyridine:acetic anhydride (v:v=4:1, 2mL), and the reaction was kept at 30°C for 16h with shaking. After the reaction was completed, it was filtered and washed with methanol and dichloromethane successively. 200 mg of compound3-n in which the target product was linked to a solid support was obtained.
實施例15連接到固相載體上的胺基半乳糖化合物4-cExample 15 Galactosamine compound 4-c linked to solid support
合成路線如下:The synthetic route is as follows:
1)化合物4-c的合成1) Synthesis of compound4-c
步驟一step one
將化合物3-k(149.5mg,68ummol)、DIEA(141.0mg,1.09mmol)、3A分子篩(500mg)和DEPBT(163.4mg,0.55mmol)溶於5mL的DCM中,室溫下加入化合物1-q(400mg,0.18mmol),在室溫下攪拌過夜。反應完畢後,將分子篩過濾掉,濾液旋乾並經反相製備HPLC(柱:Boston Green ODS 150*30mm*5um,條件:5-50%(A:水,B:CH3CN),流速:45mL/min),凍乾後得到化合4-a(118mg,32ummol,收率為62.6%)。Compound3-k (149.5 mg, 68 ummol), DIEA (141.0 mg, 1.09 mmol), 3A molecular sieves (500 mg) and DEPBT (163.4 mg, 0.55 mmol) were dissolved in 5 mL of DCM, and compound1-q was added at room temperature (400 mg, 0.18 mmol) and stirred at room temperature overnight. After the reaction was completed, the molecular sieves were filtered off, the filtrate was spin-dried and subjected to reverse-phase preparative HPLC (column:
MS m/z:C128H188N12O52,實測[M+HCOO-]=2770.6。MS m/z: C128 H188 N12 O52 , found [M+HCOO− ]=2770.6.
步驟二
將化合物4-a(110mg,4.0umol)、DMAP(7.4mg,40umol)、3A分子篩(100mg)和丁二酸酐(11.9mg,120umol)溶於5mL的THF中,氬氣保護,40℃下攪拌4h。反應完畢後,將分子篩過濾掉,濾液旋乾並經反相製備HPLC純化(柱:Boston Green ODS 150*30mm*5um,條件:5-50%(A:水,B:CH3CN),流速:45mL/min),凍乾後得到化合物4-b(80mg,28.3ummol,收率為70.8%)。Compound4-a (110mg, 4.0umol), DMAP (7.4mg, 40umol), 3A molecular sieves (100mg) and succinic anhydride (11.9mg, 120umol) were dissolved in 5mL of THF, under argon protection, stirring at 40 °C 4h. After the reaction, the molecular sieves were filtered off, the filtrate was spin-dried and purified by reverse-phase preparative HPLC (column:
MS m/z:C132H192N12O55,[M-H]+實測:2824.6。MS m/z :C132H192N12O55 , [MH ]+ found:2824.6 .
步驟三
將上步得到的化合物38(71mg,25ummol)加入乙腈(5mL),再加入HBTU(19.0mg,50umol),加入表面胺基修飾的固相支撐物(CPG-NH2,0.86g),加入DIEA(16.2mg,125umol,21.6uL),保持30℃震盪反應16h。反應完成後,過濾,並依次用甲醇(5mL x 4)、二氯甲烷(5mL x 4)洗滌。固體繼續加入吡啶:乙酸酐(v:v=4:1,6.0mL)中,繼續保持30℃震盪反應16h。反應完成後,過濾,並依次用甲醇、二氯甲烷洗滌。得到連接在固相載體上的化合物4-c 0.74g。The compound 38 (71mg, 25ummol) obtained in the previous step was added to acetonitrile (5mL), then HBTU (19.0mg, 50umol) was added, the surface amine group-modified solid phase support (CPG-NH2, 0.86g) was added, and DIEA ( 16.2mg, 125umol, 21.6uL), kept at 30°C for 16h shaking reaction. After the reaction was completed, it was filtered and washed sequentially with methanol (5 mL x 4), dichloromethane (5 mL x 4). The solid was further added to pyridine:acetic anhydride (v:v=4:1, 6.0 mL), and the reaction was continued at 30°C for 16h with shaking. After the reaction was completed, it was filtered and washed with methanol and dichloromethane successively. 0.74 g of compound4-c linked to a solid support was obtained.
實施例16對照化合物L96的製備The preparation of embodiment 16 control compound L96
按照專利WO2014025805A1所述的方法製備了對照化合物。按照上述的連接固相載體同樣的方法,連接到CPG固相載體上,得到化合物L96。Control compounds were prepared according to the method described in patent WO2014025805A1. According to the same method as the above-mentioned connection to the solid phase carrier, it was connected to the CPG solid phase carrier to obtain compound L96.
實施例17合成胺基半乳糖分子簇綴合的siRNAExample 17 Synthesis of aminogalactose cluster-conjugated siRNA
用於測試的siRNA,靶向小鼠TTR基因mRNA的siRNA(Molecular Therapy Vol.26 No 3 March 2018)如下,在SS鏈的3’末端藉由共價鍵連接胺基半乳糖分子簇M。The siRNA used for the test, the siRNA targeting mouse TTR gene mRNA (Molecular Therapy Vol. 26
SS鏈(5'-3‘):CmsAmsGm UmGfUm UfCfUfUmGmCm UmCmUm AmUmAm Am-MSS chain (5'-3'): CmsAmsGm UmGfUm UfCfUfUmGmCm UmCmUm AmUmAm Am-M
AS鏈(5'-3’):UmsUfsAm UmAmGf AmGmCm AmAmGm AmAfCm AfCmUm GmsUmsUmAS chain (5'-3'): UmsUfsAm UmAmGf AmGmCm AmAmGm AmAfCm AfCmUm GmsUmsUm
siRNA的合成與通常的亞磷醯胺固相合成法無異,所不同的是在合成siRNA的SS鏈時,使用上述所合成的連接有胺基半乳糖簇的CPG載體代替通常的Universal-CPG載體。簡要描述如下:於Dr.Oligo48合成器(Biolytic)上,以上述合成的胺基半乳糖連接的CPG載體為起始,根據合成程序逐個連接核苷亞磷醯胺單體。核苷單體原料2’-F RNA、2’-O-甲基RNA等核苷亞磷醯胺單體購自上海兆維或蘇州吉瑪。採用5-乙基硫-1H-四唑(ETT)作為活化劑(0.6M乙腈溶液),使用0.22M的PADS溶於1:1體積比的乙腈和三甲基吡啶(蘇州柯樂瑪)溶液作為硫化試劑,使用碘吡啶/水溶液(柯樂瑪)作為氧化劑。The synthesis of siRNA is the same as the general phosphamide solid-phase synthesis method, the difference is that when synthesizing the SS chain of siRNA, the above-synthesized aminogalactose cluster is used.The CPG vector replaces the usual Universal-CPG vector. A brief description is as follows: On a Dr. Oligo48 synthesizer (Biolytic), starting from the above-synthesized aminogalactose-linked CPG vector, the nucleoside phosphoramidite monomers were linked one by one according to the synthetic procedure. Nucleoside monomer raw materials 2'-F RNA, 2'-O-methyl RNA and other nucleoside phosphoramidite monomers were purchased from Shanghai Zhaowei or Suzhou Zima. 5-Ethylthio-1H-tetrazole (ETT) was used as the activator (0.6M acetonitrile solution), and 0.22M PADS was used to dissolve in a 1:1 volume ratio of acetonitrile and melidine (Suzhou Kelema) solution As the sulfiding reagent, iodopyridine/water solution (Colema) was used as the oxidizing agent.
固相合成完成後,寡核糖核苷酸自該固體支撐物裂解,採用3:1的28%氨水和乙醇溶液在50℃條件下浸泡16小時。然後離心,將上清液轉移到另一個離心管中,濃縮蒸發乾後,使用C18反向色譜純化,流動相為0.1MTEAA和乙腈,並使用3%三氟乙酸溶液脫除DMTr。目標寡核苷酸收集後凍乾,並經LC-MS鑑定為目標產物,再經過UV(260nm)定量。After the solid-phase synthesis was completed, the oligoribonucleotides were cleaved from the solid support, and soaked in a 3:1 solution of 28% ammonia water and ethanol at 50°C for 16 hours. After centrifugation, the supernatant was transferred to another centrifuge tube, concentrated and evaporated to dryness, and purified using C18 reverse-phase chromatography with 0.1 MTEAA and acetonitrile as mobile phases, and DMTr was removed using 3% trifluoroacetic acid solution. The target oligonucleotides were collected and lyophilized, identified as the target product by LC-MS, and then quantified by UV (260 nm).
所得到的單鏈寡核苷酸,根據等莫耳比,按照互補配對,與AS鏈退火,最後所得到的雙鏈siRNA溶於1X PBS中,並調整至實驗所需濃度。The obtained single-stranded oligonucleotides were annealed to AS strands according to the equimolar ratio and complementary pairing, and finally the obtained double-stranded siRNA was dissolved in 1X PBS and adjusted to the concentration required for the experiment.
合成胺基半乳糖簇綴合的siRNA,實驗所用siRNA靶向小鼠TTR mRNA。A galactosamine cluster-conjugated siRNA was synthesized, and the siRNA used in the experiment targeted mouse TTR mRNA.
M=
表19靶向配體活性評價siRNA編號和序列
實施例18胺基半乳糖分子簇綴合的siRNA在肝原代細胞對mRNA表達的抑制Example 18 Inhibition of mRNA expression by aminogalactose cluster-conjugated siRNA in primary liver cells
參照Severgini等報導的方法(Cytotechnology.2012;64(2):187-195.)分離獲得新鮮小鼠原代肝細胞。According to the method reported by Severgini et al. (Cytotechnology. 2012; 64(2): 187-195.), fresh mouse primary hepatocytes were isolated and obtained.
原代肝細胞分離後,按照10萬每孔接種於24孔板中,按照終濃度為50nM、10nM、2nM、0.4nM、0.08nM、0.016nM、0.0032nM、0.00064nM分別加入待測siRNA。隨後,將原代肝細胞置於37℃,5% CO2的環境中培養24h。24h後,採用qPCR方法檢測mTTR的mRNA表達水平。After primary hepatocytes were isolated, 100,000 per well were seeded into 24-well plates, and the siRNA to be tested were added at final concentrations of 50 nM, 10 nM, 2 nM, 0.4 nM, 0.08 nM, 0.016 nM, 0.0032 nM, and 0.00064 nM, respectively. Subsequently, the primary hepatocytes were cultured at 37°C in a 5% CO2 environment for 24 h. After 24 hours, the mRNA expression level of mTTR was detected by qPCR.
如附圖3所示,S-1、S-2、S-3、S-4均表現了優秀的mTTR基因表達抑制效率。S-1及S-4的IC50值低於其他兩組,與對照組S-L96的IC50值0.280nM相比,S-1的IC50值為0.131nM,S-4的IC50值為0.135nM,表明綴合S-1及S-4化合物的siRNA體外被原代肝細胞自由攝取的效率優於對照組,S-1及S-4化合物能更高效介導siRNA進入原代肝細胞。As shown in Figure 3, S-1, S-2, S-3, and S-4 all showed excellent mTTR gene expression inhibition efficiency. The IC50 values of S-1 and S-4 were lower than those of the other two groups. Compared with the IC50 value of S-L96 of the control group, which was 0.280 nM, the IC50 value of S-1 was 0.131 nM, and the IC50 value of S-4 was 0.135 nM. Shows that siRNA conjugated to S-1 and S-4 compounds is freely taken up by primary hepatocytes in vitroThe extraction efficiency was better than that of the control group, and the S-1 and S-4 compounds could more efficiently mediate the entry of siRNA into primary hepatocytes.
實施例19胺基半乳糖分子簇綴合的siRNA在體內對mRNA表達的抑制Example 19 Inhibition of mRNA expression in vivo by aminogalactose cluster-conjugated siRNA
使用8週齡的C57BL/6小鼠(昭衍生物、SPF級,雌性),採用上述的siRNA經皮下注射遞送。在第1天,在小鼠肩頸部的鬆弛皮膚上,給予100μl溶液的皮下注射,其含有PBS或PBS配置的1mg/kg(mpk),0.2mpk劑量的對應的siRNA(S-L96,S-3,S-2,S-4或S-1)。各個組別注射6隻小鼠。在給藥3天後,短頸處死小鼠,使用qPCR檢測小鼠肝組織mTTR的mRNA表達水平。8-week-old C57BL/6 mice (Shao derivative, SPF grade, female) were used to deliver the siRNAs described above by subcutaneous injection. On
如圖4所示,S-1、S-2、S-3、S-4均表現了優秀的mTTR基因表達抑制效率。其中,S-2、S-3、S-4與對照組S-L96相比,在1mpk及0.2mpk的活性相近。S-1在1mpk及0.2mpk的活性水平優於對照組S-L96。As shown in Figure 4, S-1, S-2, S-3, and S-4 all showed excellent mTTR gene expression inhibition efficiency. Among them, the activities of S-2, S-3 and S-4 were similar to those of the control group S-L96 at 1 mpk and 0.2 mpk. The activity levels of S-1 at 1mpk and 0.2mpk were better than those of the control group S-L96.
使用8週齡的C57BL/6小鼠(昭衍生物,SPF級,雌性),採用上述的胺基半乳糖分子簇綴合的siRNA經皮下注射遞送。在第0天,在小鼠肩頸部的鬆弛皮膚上,給予100μl溶液的皮下注射,其含有PBS(稱為Mock組,即空白對照組)或PBS配置的1mg/kg(mpk)劑量的對應的胺基半乳糖分子簇綴合的siRNA(S-1-2和S-L96-2)。各個組別注射9隻小鼠。Eight-week-old C57BL/6 mice (Shao derivative, SPF grade, female) were used to deliver subcutaneous injection of siRNA conjugated with the above-described galactosamine cluster. On
分別在給藥7天、14天、28天後,斷頸處死各3隻小鼠,每隻小鼠取兩份肝組織樣本,使用qPCR檢測小鼠肝組織mTTR的mRNA表達水平。After 7 days, 14 days, and 28 days of administration, three mice were sacrificed by cervical dislocation, and two liver tissue samples were taken from each mouse, and the mRNA expression level of mTTR in the liver tissue of the mice was detected by qPCR.
如圖5所示,與PBS組相比的mRNA比例(%),給藥化合物S-1-2後的小鼠肝組織中mRNA的表達水平為:7天(0.13)、14天(0.12)及28天(0.21);As shown in Figure 5, the mRNA ratio (%) compared with the PBS group, the expression level of mRNA in the liver tissue of mice after administration of Compound S-1-2 was: 7 days (0.13), 14 days (0.12) and 28 days (0.21);
給藥化合物S-L96-2後的小鼠肝組織中mRNA的表達水平為:7天(0.17)、14天(0.13)及28天(0.29);與對照組S-L96-2相比,S-1-2的抑制率更高。The expression levels of mRNA in the liver tissue of mice after administration of compound S-L96-2 were: 7 days (0.17), 14 days (0.13) and 28 days (0.29); compared with the control group S-L96-2, S-1-2 had a higher inhibition rate.
實施例20人凝血因子XI siRNA的設計和合成Example 20 Design and synthesis of human factor XI siRNA
1)凝血因子XI未經修飾的正義鏈及反義鏈序列詳見表1;1) See Table 1 for the unmodified sense and antisense sequences of factor XI;
siRNA經過2’-氟、2’-甲氧基等修飾的正義鏈和反義鏈序列詳見表2-3、表20;反義鏈7位修飾旋光變化詳見表21-1、正義鏈修飾變化詳見表21-2;See Table 2-3 and Table 20 for the sequences of the sense and antisense strands of siRNA modified with 2'-fluoro, 2'-methoxy, etc.; see Table 21-1 for changes in the optical rotation of the 7-position modification of the antisense strand. The modification changes are detailed in Table 21-2;
凝血因子XI siRNA綴經過修飾的正義鏈及反義鏈序列詳見表22。The modified sense and antisense strand sequences of factor XI siRNA conjugates are shown in Table 22.
在合成AS鏈5’第7位修飾的核苷酸時,使用實施例8合成的亞磷醯胺單體或經過2’-甲氧基修飾磷醯胺單體的替換母序列原核苷酸。經過AS鏈5’第7位修飾的反義鏈序列詳見表1,其中,W’選自:2'-甲氧基修飾的核苷酸或包含、或所示的化學修飾或其互變異構體修飾的核苷酸;When synthesizing the nucleotide modified at the 7th position of the 5' of the AS chain, the phosphamide monomer synthesized in Example 8 or the replacement parent sequence original nucleotide of the 2'-methoxy-modified phosphamide monomer was used. The sequence of the antisense strand modified at position 7 of the 5' of the AS chain is shown in Table 1, wherein W' is selected from: 2'-methoxy-modified nucleotides or containing , or The indicated chemically modified nucleotides or their tautomer modified nucleotides;
其中,M為O或S;其中,B選自表2中SEQ ID NO:47-69與SEQ ID NO:24-46的5’區域的第7位中對應位置的鹼基,例如SEQ ID NO:47與SEQ ID NO:24對應、SEQ ID NO:69與SEQ ID NO:46。Wherein, M is O or S; wherein, B is selected from the bases at the corresponding positions in the 7th position of the 5' region of SEQ ID NO: 47-69 and SEQ ID NO: 24-46 in Table 2, such as SEQ ID NO : 47 corresponds to SEQ ID NO:24, SEQ ID NO:69 corresponds to SEQ ID NO:46.
2)siRNA合成,通使用固體支撐物介導的亞磷醯胺化學於Dr.Oligo48合成器(Biolytic)上以200納莫耳(nmol)規格合成表5和表6的siRNA序列。該固體支撐物是通用固體支撐物(深圳逗點生物)。核苷單體原料2’-F-RNA、2’-O-甲基RNA等核苷亞磷醯胺單體購自上海兆維或蘇州吉瑪。全部亞磷醯胺(50mM乙腈溶液)的偶合時間是6分鐘(min),採用5-乙基硫-1H-四唑(ETT)作為活化劑(0.6M乙腈溶液),使用0.22M的PADS溶於1:1體積比的乙腈和三甲基吡啶(蘇州柯樂瑪)溶液作為硫化試劑,硫化反應時間是3分鐘(min),使用碘吡啶/水溶液(蘇州柯樂瑪)作為氧化劑,氧化反應時間2分鐘(min)。根據目標產物是否具有5’-硫代磷酸酯修飾的情況,選擇上述硫化反應條件或氧化反應條件。2)siRNA synthesis , the siRNA sequences of Tables 5 and 6 were synthesized on a Dr. Oligo48 synthesizer (Biolytic) at a scale of 200 nanomoles using solid support mediated phosphamidite chemistry. The solid support is a general solid support (Shenzhen Comma Bio). Nucleoside monomer raw materials 2'-F-RNA, 2'-O-methyl RNA and other nucleoside phosphoramidite monomers were purchased from Shanghai Zhaowei or Suzhou Zima. Coupling time for all phosphamidites (50 mM in acetonitrile) was 6 minutes (min) using 5-ethylthio-1H-tetrazole (ETT) as the activator (0.6 M in acetonitrile) in 0.22 M in PADS. In 1:1 volume ratio of acetonitrile and collema (Suzhou Kelema) solution as sulfurization reagent, sulfurization reaction time is 3 minutes (min), using iodopyridine/water solution (Suzhou Kelema) as oxidant,
固相合成完成後,寡核糖核苷酸自該固體支撐物裂解,採用體積比為3:1的28%氨水和乙醇溶液在50℃條件下浸泡16小時。然後高速離心,將上清液轉移到另一個離心管中,濃縮蒸發乾後,使用C18反向色譜純化,流動相為0.1M TEAA和乙腈,並使用3%三氟乙酸溶液脫出DMTr。目標寡核苷酸收集後凍乾,並經LC-MS鑑定為目標產物,再經過UV(260nm)定量。After the solid-phase synthesis was completed, the oligoribonucleotides were cleaved from the solid support, and immersed in a 3:1 volume ratio of 28% ammonia water and ethanol solution at 50°C for 16 hours. Then high-speed centrifugation, the supernatant was transferred to another centrifuge tube, concentrated and evaporated to dryness, purified using C18 reverse-phase chromatography, the mobile phase was 0.1M TEAA and acetonitrile, and DMTr was removed using 3% trifluoroacetic acid solution. The target oligonucleotides were collected and lyophilized, identified as the target product by LC-MS, and then quantified by UV (260 nm).
按照上述步驟分別合成的正義鏈和反義鏈,根據等莫耳比進行退火,使它們藉由氫鍵形成雙鏈結構,最後將所得到的雙鏈siRNA溶於1×PBS中,並調整至實驗所需濃度。The sense and antisense strands synthesized according to the above steps were annealed according to the equimolar ratio to form a double-stranded structure by hydrogen bonding. Finally, the obtained double-stranded siRNA was dissolved in 1×PBS and adjusted to The concentration required for the experiment.
表1中,W’選自:2'-甲氧基修飾的核苷酸或包含、或所示的化學修飾或其互變異構體修飾的核苷酸;In Table 1, W' is selected from: 2'-methoxy-modified nucleotides or comprising , or The indicated chemically modified nucleotides or their tautomer modified nucleotides;
其中,M為O或S;其中,B選自表2中SEQ ID NO:47-69與SEQ ID NO:24-46的5’區域的第7位中對應位置的鹼基,例如SEQ ID NO:47與SEQ ID NO:24對應、SEQ ID NO:69與SEQ ID NO:46。Wherein, M is O or S; wherein, B is selected from the bases at the corresponding positions in the 7th position of the 5' region of SEQ ID NO: 47-69 and SEQ ID NO: 24-46 in Table 2, such as SEQ ID NO : 47 corresponds to SEQ ID NO:24, SEQ ID NO:69 corresponds to SEQ ID NO:46.
表20-22中,將由2-羥甲基-1,3-丙二醇為起始原料合成的核苷酸定義hmpNA;hmpNA為消旋結構;In Table 20-22, the nucleotides synthesized from 2-hydroxymethyl-1,3-propanediol are defined as hmpNA; hmpNA is a racemic structure;
(-)hmpNA(A)為實施例8.1節中核苷亞磷醯胺單體1-1a藉由固相合成獲得;(+)hmpNA(A)為旋光異構體;(-)hmpNA(A) is the nucleoside phosphoramidite monomer 1-1a obtained by solid-phase synthesis in Section 8.1; (+)hmpNA(A) is the optical isomer;
(-)hmpNA(G)為實施例8.6節中核苷亞磷醯胺單體1-6a藉由固相合成獲得;(+)hmpNA(G)為旋光異構體;(-)hmpNA(G) is the nucleoside phosphoramidite monomer 1-6a obtained by solid-phase synthesis in Example 8.6; (+)hmpNA(G) is the optical isomer;
(-)hmpNA(C)為實施例8.8節中核苷亞磷醯胺單體1-8a藉由固相合成獲得;(+)hmpNA(C)為旋光異構體;(-)hmpNA(C) is the nucleoside phosphoramidite monomer 1-8a obtained by solid-phase synthesis in Section 8.8; (+)hmpNA(C) is the optical isomer;
(-)hmpNA(U)為實施例8.7節中核苷亞磷醯胺單體1-7a藉由固相合成獲得;(+)hmpNA(U)為旋光異構體。(-)hmpNA(U) is the nucleoside phosphoramidite monomer 1-7a obtained by solid-phase synthesis in Example 8.7; (+)hmpNA(U) is the optical isomer.
小寫字母m表示該字母m左側相鄰的一個核苷酸為2'-甲氧基修飾的核苷酸;小寫字母f表示該字母f左側相鄰的一個核苷酸為2'-氟修飾的核苷酸;The lowercase letter m indicates that a nucleotide adjacent to the left of the letter m is a 2'-methoxy modified nucleotide; the lowercase letter f indicates that the adjacent nucleotide to the left of the letter f is a 2'-fluorine modified nucleotide Nucleotides;
小寫字母s在大寫字母中間時表示與該字母s左右相鄰的兩個核苷酸之間的連接為硫代磷酸酯基連接;When the lowercase letter s is in the middle of the uppercase letter, it indicates that the connection between the two nucleotides adjacent to the letter s is a phosphorothioate connection;
小寫字母s在3’端第一個時表示與該字母s左側相鄰的一個核苷酸末端為硫代磷酸酯基。The lowercase letter s is the first at the 3' end, indicating that a nucleotide end adjacent to the left side of the letter s is a phosphorothioate group.
表22中,NAG1結構為:In Table 22, the structure of NAG1 is:
實施例21 siRNA的psiCHECK在靶活性-11濃度點抑制活性篩選Example 21 Screening of the inhibitory activity of siRNA by psiCHECK at the target activity-11 concentration point
siRNA樣本合成見前述,質粒來源於生工生物工程(上海)股份有限公司。準備HEK 293A細胞,Plasmid Mix具體配製量如表23;轉染複合物成分:The siRNA sample synthesis was described above, and the plasmid was obtained from Sangon Bioengineering (Shanghai) Co., Ltd. To prepare HEK 293A cells, the specific preparation amount of Plasmid Mix is shown in Table 23; components of the transfection complex:
表23 96孔板每孔所需轉染複合物用量
siRNA稀釋方案參見表24,轉染24h後,按照Dual-Glo® Luciferase Assay System檢測試劑盒的實驗操作方案進行檢測。本公開中,剩餘活性%(也稱為mRNA剩餘表達量%或mRNA剩餘表達比例)=100%-抑制率(%)。See Table 24 for the siRNA dilution scheme. After 24 hours of transfection, the detection was carried out according to the experimental operation scheme of the Dual-Glo® Luciferase Assay System Detection Kit. In the present disclosure, remaining activity % (also referred to as mRNA remaining expression % or mRNA remaining expression ratio)=100%-inhibition rate (%).
表24多濃度siRNA稀釋方案
結果如表25所示,結果表明,經siRNA處理後的FXI的mRNA水平以劑量依賴的方式降低了,其中有siRNA都具有高水平的體外在靶抑制活性。The results are shown in Table 25. The results show that the mRNA levels of FXI treated with siRNA were decreased in a dose-dependent manner, and all of the siRNAs had high levels of on-target inhibitory activity in vitro.
表25.siRNA的psiCHECK在靶活性-11濃度點抑制活性篩選結果
實施例22.siRNA在表達hFXI的小鼠中的體內FXI沉默效果Example 22. In vivo FXI silencing effect of siRNA in hFXI expressing mice
藉由高壓尾靜脈注射將攜帶人FXI並能表達SEAP蛋白的穩轉質粒導入到C57BL/6小鼠體內,構建表達人FXI(hFXI)的小鼠模型。具體操作為,選取6-8週的雌性C57BL/6小鼠,藉由高壓尾靜脈注射50μg攜帶人FXI的cDNA序列以及SEAP蛋白3’UTR全長序列的質粒,兩週後進行測試siRNA的靶敲減能力。The stable transfection plasmid carrying human FXI and capable of expressing SEAP protein was introduced into C57BL/6 mice by high pressure tail vein injection to construct a mouse model expressing human FXI (hFXI). The specific operation is to select 6-8 week old female C57BL/6 mice, inject 50 μg of the plasmid carrying the cDNA sequence of human FXI and the full-length sequence of SEAP protein 3'UTR through the high pressure tail vein, and test the target knockdown of siRNA two weeks later. reduce ability.
所有小鼠在第15天開始皮下給藥,給藥1次,給藥劑量為0.3、1或者3mg/kg,每隻小鼠給藥體積為200μL/20g。給藥前一天,藉由Phospha-Light SEAP報告基因檢測試劑盒檢測小鼠血清中SEAP蛋白的表達量,根據SEAP蛋白的平均表達水平的結果將小鼠隨機分組,每組7隻。給藥當天為第0天,給藥後第8天、15天、22以及29天所有小鼠頜下採血收集血漿,用於檢測血清中SEAP蛋白的表達量。All mice were administered subcutaneously on the 15th day, and the dose was 0.3, 1 or 3 mg/kg, and the dose was 200 μL/20 g per mouse. One day before administration, the expression of SEAP protein in mouse serum was detected by Phospha-Light SEAP reporter gene detection kit, and the mice were randomly divided into seven groups according to the results of the average expression level of SEAP protein. The day of administration was the 0th day, and the submandibular blood was collected from all mice on the 8th, 15th, 22nd and 29th days after administration to collect plasma, which was used to detect the expression of SEAP protein in serum.
表26.siRNA在hFXI小鼠中的體內SEAP蛋白表達量以及FXI沉默效果
實施例23.評估AS鏈9位和10位不同修飾Example 23. Evaluation of different modifications at
本實驗考察本公開的不同位點2’-氟修飾的siRNA綴合物在體內對靶基因mRNA表達量的抑制效率。將雄性6-8週齡C57BL/6小鼠隨機分組,每組共6隻,每個時間點各3隻,分別向每組小鼠給予測試綴合物(2個,TRD007047和TRD006870)、對比綴合物(TRD002218)以及PBS。所有動物依據體總計算給藥量,採用皮下注射方式單次給藥,siRNA綴合物給藥劑量(以siRNA的量計)為1mg/kg,給藥體積為5mL/kg。給藥7天後處死小鼠,收集肝臟,用RNA later(Sigma Aldrich公司)保存;隨後用組織勻漿儀勻漿肝組織,再用組織RNA提取試劑盒(凡知醫療科技,FG0412)根據操作說明書標注的操作步驟提取得到肝組織總RNA。將總RNA反轉錄成cDNA並採用實時螢光定量PCR方法檢測肝組織中的TTR mRNA的表達量。在該螢光定量PCR法中,以甘油醛3-磷酸脫氫酶(GAPDH)基因作為內參基因,使用針對TTR和GAPDH的Taqman探針引子分別檢測TTR和GAPDH的mRNA表達量。化合物信息參見表27,小鼠體內實驗化合物分組信息參見表28,引子參見表29。This experiment investigated the inhibition efficiency of the 2'-fluorine modified siRNA conjugates at different sites of the present disclosure on the mRNA expression of target genes in vivo. Male 6-8 week old C57BL/6 mice were randomly divided into 6 mice in each group and 3 mice at each time point. Conjugate (TRD002218) and PBS. The dose of all animals was calculated according to the total body, and the dose was subcutaneously injected in a single dose. The dose of siRNA conjugate (calculated as the amount of siRNA) was 1 mg/kg, and the dose was 5 mL/kg. After 7 days of administration, the mice were sacrificed, and the livers were collected and stored with RNA later (Sigma Aldrich Company); subsequently, the liver tissue was homogenized with a tissue homogenizer, and then the tissue RNA extraction kit (Fanzhi Medical Technology, FG0412) was used according to the operation. The operation steps indicated in the instructions were used to extract total RNA from liver tissue. The total RNA was reverse transcribed into cDNA and the expression of TTR mRNA in liver tissue was detected by real-time fluorescence quantitative PCR. In this fluorescent quantitative PCR method, the glyceraldehyde 3-phosphate dehydrogenase (GAPDH) gene was used as an internal reference gene, and Taqman probe primers for TTR and GAPDH were used to detect the mRNA expression levels of TTR and GAPDH, respectively. See Table 27 for compound information, Table 28 for grouping information of experimental compounds in mice, and Table 29 for primers.
表27.AS鏈9位和10位修飾化合物
表28.小鼠體內實驗化合物分組信息
表29.檢測引子序列
表30.7天和28天檢測結果
TTR mRNA表達量按照如下等式計算:TTR mRNA expression was calculated according to the following equation:
TTR mRNA表達量=【(測試組TTR mRNA表達量/測試組GAPDH mRNA表達量)/(對照組TTR mRNA表達量/對照組GAPDH mRNA表達量)】x 100%TTR mRNA expression = [(TTR mRNA expression in test group / GAPDH mRNA expression in test group) / (TTR mRNA expression in control group / GAPDH mRNA expression in control group)] x 100%
給藥28天後,本公開的不同位點氟修飾的siRNA綴合物的在體內對靶基因mRNA表達量的抑制效率見表30。參比陽性對照化合物TRD002218,不同位點氟修飾的siRNA化合物在給藥後28天對於TTR mRNA的表達抑制高於參比陽性化合物,兩種修飾方法均表現出高抑制效率且無顯著性差異,說明兩種修飾方法能夠介導更高效的siRNA抑制效率。After 28 days of administration, the in vivo inhibition efficiency of the fluorine-modified siRNA conjugates at different sites of the present disclosure on the mRNA expression of target genes is shown in Table 30. Referring to the positive control compound TRD002218, the siRNA compounds modified with fluorine at different sites inhibited the expression of TTR mRNA at 28 days after administration than the reference positive compound. Both modification methods showed high inhibition efficiency and no significant difference. It shows that the two modification methods can mediate more efficient siRNA inhibition efficiency.
| Application Number | Priority Date | Filing Date | Title |
|---|---|---|---|
| CN202010772542 | 2020-08-04 | ||
| CN202010772542.6 | 2020-08-04 | ||
| CN202110244977 | 2021-03-05 | ||
| CN202110244977.8 | 2021-03-05 | ||
| CN202110361502.7 | 2021-04-02 | ||
| CN202110361502 | 2021-04-02 | ||
| CN202110559411.4 | 2021-05-21 | ||
| CN202110559411 | 2021-05-21 |
| Publication Number | Publication Date |
|---|---|
| TW202229549Atrue TW202229549A (en) | 2022-08-01 |
| Application Number | Title | Priority Date | Filing Date |
|---|---|---|---|
| TW110128808ATW202229549A (en) | 2020-08-04 | 2021-08-04 | Sirnas and compositions for inhibiting the expression of coagulation factor xi and medical use thereof |
| Country | Link |
|---|---|
| TW (1) | TW202229549A (en) |
| WO (1) | WO2022028457A1 (en) |
| Publication number | Priority date | Publication date | Assignee | Title |
|---|---|---|---|---|
| WO2024125556A1 (en)* | 2022-12-13 | 2024-06-20 | 上海拓界生物医药科技有限公司 | Oligonucleotide comprising lipophilic monomer and use thereof in non-liver delivery |
| Publication number | Priority date | Publication date | Assignee | Title |
|---|---|---|---|---|
| BR112023021231A2 (en)* | 2021-04-13 | 2024-01-09 | Sirnaomics Inc | PRODUCTS AND COMPOSITIONS |
| CN118355121A (en)* | 2021-12-16 | 2024-07-16 | 上海拓界生物医药科技有限公司 | DsRNA, preparation method and application thereof |
| WO2023109932A1 (en)* | 2021-12-16 | 2023-06-22 | 上海拓界生物医药科技有限公司 | Dsrna and preparation method therefor and application thereof |
| WO2024032678A1 (en)* | 2022-08-11 | 2024-02-15 | 益杰立科(上海)生物科技有限公司 | Method for epigenome editing of targets and use thereof |
| WO2024046297A1 (en)* | 2022-09-02 | 2024-03-07 | 北京福元医药股份有限公司 | Sirna for inhibiting expression of asialoglycoprotein receptor gene and conjugate, pharmaceutical composition, and use thereof |
| JP2025531313A (en)* | 2022-09-20 | 2025-09-19 | シャンハイ アルゴ バイオファーマシューティカル カンパニー,リミテッド | Certain modified RNAi reagents and compositions |
| WO2024073363A2 (en)* | 2022-09-26 | 2024-04-04 | Sirius Therapeutics, Inc. | Polynucleic acid molecules for inhibiting expression of fxi, pharmaceutical compositions, and uses thereof |
| CN118272372A (en)* | 2022-12-30 | 2024-07-02 | 北京福元医药股份有限公司 | Double-stranded ribonucleic acid for inhibiting blood coagulation factor XI gene expression, and modification, conjugate and application thereof |
| AU2023431270A1 (en)* | 2023-02-17 | 2025-09-04 | Suzhou Siran Biotechnology Co., Ltd. | Sirna for inhibiting expression of programmed cell death 1 ligand 1 gene, conjugate thereof, pharmaceutical composition thereof, and use thereof |
| CN116718701B (en)* | 2023-06-21 | 2024-09-17 | 北京悦康科创医药科技股份有限公司 | Method for detecting purity of INCLISIRAN pharmaceutical intermediates |
| WO2025031282A1 (en)* | 2023-08-04 | 2025-02-13 | 深圳信立泰药业股份有限公司 | Rnai agent targeting fxi, preparation method therefor, and use thereof |
| WO2025045194A1 (en)* | 2023-08-31 | 2025-03-06 | 正大天晴药业集团股份有限公司 | Double-stranded rna targeting coagulation factor xi |
| Publication number | Priority date | Publication date | Assignee | Title |
|---|---|---|---|---|
| KR20070085113A (en)* | 2004-05-11 | 2007-08-27 | 가부시키가이샤 알파젠 | Polynucleotides causing RNA interference, and gene expression inhibition method using the same |
| PL2379084T3 (en)* | 2008-10-15 | 2018-04-30 | Ionis Pharmaceuticals, Inc. | Modulation of factor 11 expression |
| JP2012524068A (en)* | 2009-04-15 | 2012-10-11 | アイシス ファーマシューティカルズ, インコーポレーテッド | Modulation of inflammatory response by factor XI |
| CN108239643A (en)* | 2016-12-23 | 2018-07-03 | 苏州瑞博生物技术有限公司 | Inhibit siRNA, the composition comprising it and its application of TIMP-1 gene expressions in humans and animals |
| JP7365052B2 (en)* | 2017-12-01 | 2023-10-19 | スーチョウ リボ ライフ サイエンス カンパニー、リミテッド | Nucleic acids, compositions and complexes containing the nucleic acids, and preparation methods and uses |
| CN118256498A (en)* | 2019-05-22 | 2024-06-28 | 苏州瑞博生物技术股份有限公司 | Nucleic acid, pharmaceutical composition and conjugate, and preparation method and application thereof |
| Publication number | Priority date | Publication date | Assignee | Title |
|---|---|---|---|---|
| WO2024125556A1 (en)* | 2022-12-13 | 2024-06-20 | 上海拓界生物医药科技有限公司 | Oligonucleotide comprising lipophilic monomer and use thereof in non-liver delivery |
| Publication number | Publication date |
|---|---|
| WO2022028457A1 (en) | 2022-02-10 |
| Publication | Publication Date | Title |
|---|---|---|
| TW202229549A (en) | Sirnas and compositions for inhibiting the expression of coagulation factor xi and medical use thereof | |
| TW202214858A (en) | Modified sirnas with reduced off-target activity | |
| TW202317197A (en) | A nucleic acid ligand and its conjugate, preparation method and use thereof | |
| WO2022223015A1 (en) | Sirna targeting 17β-hydroxysteroid dehydrogenase type 13 and sirna conjugate | |
| WO2023088427A1 (en) | Sirna targeting angiotensinogen and pharmaceutical use of sirna | |
| TW202302851A (en) | Hepatitis b virus sirnas and sirna conjugates | |
| TW202340465A (en) | Lpa-targeting sirna and conjugates | |
| KR20240116537A (en) | dsRNA, its preparation method and application | |
| KR20250140080A (en) | siRNA, conjugates thereof, pharmaceutical compositions and uses thereof for inhibiting expression of the cell-programmed death-ligand 1 gene | |
| WO2023208023A1 (en) | Deuterated chemical modification and oligonucleotide including same | |
| TW202340466A (en) | Dsrna, preparation method and application thereof | |
| WO2023109932A1 (en) | Dsrna and preparation method therefor and application thereof | |
| WO2024234831A1 (en) | Double-stranded rna for regulating angiotensinogen gene expression, and conjugate, pharmaceutical composition and use thereof | |
| CN120272473A (en) | SiRNA for inhibiting expression of amyloid precursor protein APP mRNA, conjugate, pharmaceutical composition and application |