Movatterモバイル変換


[0]ホーム

URL:


TW202227402A - Pyrimidinedione derivatives, preparation method and medical use thereof - Google Patents

Pyrimidinedione derivatives, preparation method and medical use thereof
Download PDF

Info

Publication number
TW202227402A
TW202227402ATW110143813ATW110143813ATW202227402ATW 202227402 ATW202227402 ATW 202227402ATW 110143813 ATW110143813 ATW 110143813ATW 110143813 ATW110143813 ATW 110143813ATW 202227402 ATW202227402 ATW 202227402A
Authority
TW
Taiwan
Prior art keywords
general formula
group
alkyl
pharmaceutically acceptable
compound
Prior art date
Application number
TW110143813A
Other languages
Chinese (zh)
Inventor
張曉敏
胡偉民
馬殿強
賀峰
陶維康
Original Assignee
大陸商江蘇恆瑞醫藥股份有限公司
大陸商上海恆瑞醫藥有限公司
Priority date (The priority date is an assumption and is not a legal conclusion. Google has not performed a legal analysis and makes no representation as to the accuracy of the date listed.)
Filing date
Publication date
Application filed by 大陸商江蘇恆瑞醫藥股份有限公司, 大陸商上海恆瑞醫藥有限公司filedCritical大陸商江蘇恆瑞醫藥股份有限公司
Publication of TW202227402ApublicationCriticalpatent/TW202227402A/en

Links

Classifications

Landscapes

Abstract

The present disclosure relates to pyrimidinedione derivatives, preparation method and medical use thereof. Specifically, the present disclosure relates to a pyrimidinedione derivative represented by the general formula (I), its preparation method, a pharmaceutical composition comprising the same, and its use as a therapeutic agent, especially the use in the preparation of a Myosin inhibitor, and the use in the preparation of medicaments for the treatment of hypertrophic cardiomyopathy (HCM) or heart diseases with HCM-related pathophysiological characteristics.

Description

Translated fromChinese
嘧啶二酮類衍生物、其製備方法及其在醫藥上的應用Pyrimidinedione derivatives, their preparation method and their application in medicine

本揭露屬於醫藥領域,係關於一種嘧啶二酮類衍生物、其製備方法及其在醫藥上的應用。特別地,本揭露關於通式(I)所示的嘧啶二酮類衍生物、其製備方法及含有該衍生物的醫藥組成物,以及其在製備肌球蛋白(Myosin)抑制劑中的用途和在製備用於治療肥厚型心肌病(HCM)或具有與HCM相關的病理生理學特徵的心臟病的藥物中的用途。The present disclosure belongs to the field of medicine, and relates to a pyrimidinedione derivative, its preparation method and its application in medicine. In particular, the present disclosure relates to a pyrimidinedione derivative represented by the general formula (I), a preparation method thereof, a pharmaceutical composition containing the derivative, and the use and Use in the manufacture of a medicament for the treatment of hypertrophic cardiomyopathy (HCM) or heart disease with pathophysiological features associated with HCM.

肥厚型心肌病(HCM)是一種與基因突變相關的顯性遺傳性心肌疾病。全球發病率約為0.2%,是導致35歲以下年輕人猝死的最重要原因(C.Vaughan Tuohy,et al.,European Journal of Heart Failure,22,2020,228-240)。臨床上表現出來的特徵為左室壁呈不對稱性肥厚,常侵及室間隔,心室內腔變小,左心室血液充盈受阻,心室舒張期順應性下降。根據左心室流出道有無梗阻分為梗阻性及非梗阻性肥厚型心肌病。現臨床上對於肥厚型心肌病的治療多採用β-阻斷劑和鈣離子通道阻斷劑來降低心臟收縮,緩解症狀。但這些治療都是治標不治本。HCM進展到晚期只能進行心臟移植(R adhakrishnan Ramaraj,Cardiology in Review,16(4),2008,172-180)。因而找到一種針對HCM發病根源的治療方法非常迫切。Hypertrophic cardiomyopathy (HCM) is a dominantly inherited myocardial disease associated with genetic mutations. The global incidence is about 0.2%, and it is the most important cause of sudden death in young people under the age of 35 (C. Vaughan Tuohy, et al., European Journal of Heart Failure, 22, 2020, 228-240). The clinical features are asymmetric hypertrophy of the left ventricular wall, often invading the ventricular septum, smaller ventricular chamber, obstruction of left ventricular blood filling, and decreased ventricular diastolic compliance. According to the presence or absence of left ventricular outflow tract obstruction, it is divided into obstructive and non-obstructive hypertrophic cardiomyopathy. Currently, β-blockers and calcium channel blockers are used in clinical treatment of hypertrophic cardiomyopathy to reduce cardiac contraction and relieve symptoms. But these treatments are palliative. HCM progresses to an advanced stageHeart transplantation (Radhakrishnan Ramaraj, Cardiology in Review, 16(4), 2008, 172-180). Therefore, it is very urgent to find a treatment method for the root cause of HCM.

現有研究發現70%的HCM病人都是由於肌節蛋白基因突變導致的。其中5-7%的病人中發現多個位點突變。現已確定約70多個致病突變,但這些突變大多都具有家族特異性,僅有少數幾個熱點(hot spot)被確定,例如MYH7 R403Q和R453C突變(Norbert Frey,et al.,Nature Reviews Cardiology,9,2011,91-100;M.Sabater-Molina,et al.,Clinical Genetics,93,2018,3-14)。針對基因突變致病機率的研究發現MYH7基因突變病人約占30%。相比較於其他肌節蛋白基因,MYH7會導致疾病早發以及更嚴重的心肌肥大。肌球蛋白是肌原纖維粗肌絲的組成單位,在肌肉運動中起重要作用。其分子形狀如豆芽狀,由兩條重鏈和多條輕鏈構成。肌球蛋白頭部與肌動蛋白結合形成橫橋,使肌球蛋白的ATP酶活性大大提高,催化ATP水解反應,產生能量促使橫橋滑動,進行肌肉收縮。研究結果表明MYH7基因突變會導致肌球蛋白ATP酶活性升高,肌球蛋白超鬆弛狀態(super-relaxed state,SRX)比例降低,肌球蛋白和肌動蛋白間的橫橋增加,從而導致心臟收縮功能異常(Eric M.Green,et al.,Science,351(6273),2016,617-621;Ruth F.Sommese,et al.,Proceedings of the National Academy Sciences,110(31),2013,12607-12612)。因此肌球蛋白是治療肥厚型心肌病的重要靶點。Existing studies have found that 70% of HCM patients are caused by mutations in the sarcomeric protein gene. Multiple site mutations are found in 5-7% of patients. About 70 disease-causing mutations have been identified, but most of these mutations are family-specific and only a few hot spots have been identified, such as the MYH7 R403Q and R453C mutations (Norbert Frey, et al., Nature Reviews Cardiology, 9, 2011, 91-100; M. Sabater-Molina, et al., Clinical Genetics, 93, 2018, 3-14). Studies on the pathogenicity of gene mutation found that MYH7 gene mutation patients accounted for about 30%. MYH7 causes earlier disease onset and more severe cardiac hypertrophy than other sarcomeric protein genes. Myosin is the constituent unit of myofibrillar thick filaments and plays an important role in muscle movement. Its molecular shape is like a bean sprout and consists of two heavy chains and multiple light chains. The head of myosin combines with actin to form a cross bridge, which greatly increases the ATPase activity of myosin, catalyzes the hydrolysis of ATP, and generates energy to promote the sliding of the cross bridge and perform muscle contraction. The results of the study showed that MYH7 gene mutations lead to increased myosin ATPase activity, decreased myosin super-relaxed state (SRX) ratio, and increased cross bridge between myosin and actin, resulting in cardiac Abnormal systolic function (Eric M.Green, et al., Science, 351(6273), 2016, 617-621; Ruth F. Sommese, et al., Proceedings of the National Academy Sciences, 110(31), 2013, 12607 -12612). Therefore, myosin is an important target for the treatment of hypertrophic cardiomyopathy.

現已公開肌球蛋白抑制劑的專利申請包括WO2014205223A1、WO2014205234A1、WO2019028360A1、WO2020092208A1和CN110698415A等。Patent applications that have disclosed myosin inhibitors include WO2014205223A1, WO2014205234A1, WO2019028360A1, WO2020092208A1, and CN110698415A, among others.

本揭露的目的在於提供一種通式(I)所示的化合物或其可藥用的鹽:The purpose of this disclosure is to provide a compound of general formula (I) or a pharmaceutically acceptable salt thereof:

Figure 110143813-A0202-12-0003-5
Figure 110143813-A0202-12-0003-5

其中,in,

環A為

Figure 110143813-A0202-12-0003-6
Figure 110143813-A0202-12-0003-7
;Ring A is
Figure 110143813-A0202-12-0003-6
or
Figure 110143813-A0202-12-0003-7
;

環B為環烷基或者含有選自氮原子、氧原子和硫原子之一的雜原子的雜環基;Ring B is a cycloalkyl group or a heterocyclic group containing a heteroatom selected from one of nitrogen atoms, oxygen atoms and sulfur atoms;

各個R1相同或不同,且各自獨立地選自氫原子、鹵素、烷基、鹵烷基、烷氧基、鹵烷氧基、羥烷基、氰基、胺基、硝基、羥基、環烷基、雜環基、芳基和雜芳基;其中,該烷基、環烷基、雜環基、芳基和雜芳基各自獨立地視需要地被選自氫原子、鹵素、烷基、鹵烷基、烷氧基、鹵烷氧基、氰基、胺基、硝基和羥基中的一個或多個取代基所取代;Each R1 is the same or different, and is independently selected from hydrogen atom, halogen, alkyl, haloalkyl, alkoxy, haloalkoxy, hydroxyalkyl, cyano, amine, nitro, hydroxyl, ring Alkyl, heterocyclyl, aryl, and heteroaryl groups; wherein the alkyl, cycloalkyl, heterocyclyl, aryl, and heteroaryl groups are each independently optionally selected from hydrogen atoms, halogens, alkyl groups , substituted with one or more substituents in haloalkyl, alkoxy, haloalkoxy, cyano, amine, nitro and hydroxyl;

X1、X2和X3相同或不同,且各自獨立地為氮原子或CRaX1 , X2 and X3 are the same or different, and are each independently a nitrogen atom or CRa ;

各個Ra相同或不同,且各自獨立地選自氫原子、鹵素、烷基、烯基、炔基、烷氧基、鹵烷基、鹵烷氧基、氰基、胺基、硝基、羥基、羥烷基、C(O)R6、C(O)OR7、S(O)pR8、S(O)pNR9R10、C(O)NR9R10和NR9R10Each Ra is the same or different, and each is independently selected from a hydrogen atom, halogen, alkyl, alkenyl, alkynyl, alkoxy, haloalkyl, haloalkoxy, cyano, amine, nitro, hydroxyl , hydroxyalkyl, C(O)R6 , C(O)OR7 , S(O)p R8 , S(O)p NR9 R10 , C(O)NR9 R10 and NR9 R10 ;

R2選自鹵素、烷基、烯基、炔基、烷氧基、鹵烷基、鹵烷氧基、氰基、胺基、硝基、羥基、羥烷基、環烷基、雜環基、芳基和雜芳基;其中,該烷基、環烷基、雜環基、芳基和雜芳基各自獨立地視需要地被選自鹵素、烷氧基、鹵烷氧基、氰基、胺基、硝基和羥基中的一個或多個取代基所取代;R2 is selected from halogen, alkyl, alkenyl, alkynyl, alkoxy, haloalkyl, haloalkoxy, cyano, amino, nitro, hydroxy, hydroxyalkyl, cycloalkyl, heterocyclyl , aryl and heteroaryl; wherein the alkyl, cycloalkyl, heterocyclyl, aryl and heteroaryl are each independently optionally selected from halogen, alkoxy, haloalkoxy, cyano , substituted with one or more substituents in amine, nitro and hydroxyl;

R3為氫原子;R3 is a hydrogen atom;

R4選自氫原子、鹵素和烷基;R4 is selected from hydrogen atom, halogen and alkyl;

R0為烷基或

Figure 110143813-A0202-12-0004-10
;其中,該烷基視需要地被選自鹵素、烷氧基、鹵烷氧基、氰基、胺基、硝基和羥基中的一個或多個取代基所取代;R0 is alkyl or
Figure 110143813-A0202-12-0004-10
; wherein, the alkyl group is optionally substituted by one or more substituents selected from halogen, alkoxy, haloalkoxy, cyano, amine, nitro and hydroxyl;

L1為鍵或(CH2)rL1 is a bond or (CH2 )r ;

環D選自環烷基、雜環基、芳基和雜芳基;Ring D is selected from cycloalkyl, heterocyclyl, aryl and heteroaryl;

各個R5相同或不同,且各自獨立地選自氫原子、鹵素、烷基、烯基、炔基、烷氧基、鹵烷基、鹵烷氧基、側氧基、氰基、硝基、羥基、羥烷基、C(O)R6、C(O)OR7、S(O)pR8、S(O)pNR9R10、C(O)NR9R10、環烷基、-(CH2)r-環烷基、雜環基、-(CH2)r-雜環基、芳基、-(CH2)r-芳基、雜芳基和-(CH2)r-雜芳基;Each R5 is the same or different, and is independently selected from a hydrogen atom, halogen, alkyl, alkenyl, alkynyl, alkoxy, haloalkyl, haloalkoxy, pendant oxy, cyano, nitro, hydroxy, hydroxyalkyl, C(O)R6 , C(O)OR7 , S(O)p R8 , S(O)p NR9 R10 , C(O)NR9 R10 , cycloalkyl , -(CH2 )r -cycloalkyl, heterocyclyl, -(CH2 )r -heterocyclyl, aryl, -(CH2 )r -aryl, heteroaryl and -(CH2 )r - heteroaryl;

R6選自氫原子、烷基、鹵烷基、環烷基、雜環基、芳基和雜芳基;其中,該烷基、環烷基、雜環基、芳基和雜芳基各自獨立地視需要地被選自鹵素、烷基、烯基、炔基、烷氧基、鹵烷基、鹵烷氧基、氰基、胺基、硝基、羥基和羥烷基中的一個或多個取代基所取代;R6 is selected from a hydrogen atom, an alkyl group, a haloalkyl group, a cycloalkyl group, a heterocyclic group, an aryl group and a heteroaryl group; wherein the alkyl group, the cycloalkyl group, the heterocyclic group, the aryl group and the heteroaryl group are each independently optionally selected from one of halogen, alkyl, alkenyl, alkynyl, alkoxy, haloalkyl, haloalkoxy, cyano, amine, nitro, hydroxy, and hydroxyalkyl, or replaced by multiple substituents;

R7選自氫原子、烷基、烯基、炔基、鹵烷基、羥烷基、環烷基、雜環基、芳基和雜芳基;R7 is selected from hydrogen atom, alkyl group, alkenyl group, alkynyl group, haloalkyl group, hydroxyalkyl group, cycloalkyl group, heterocyclyl group, aryl group and heteroaryl group;

R8選自氫原子、烷基、烯基、炔基、鹵烷基、羥烷基、羥基、環烷基、雜環基、芳基和雜芳基;Ris selected from hydrogen atom, alkyl, alkenyl, alkynyl, haloalkyl, hydroxyalkyl, hydroxy, cycloalkyl, heterocyclyl, aryl and heteroaryl;

R9和R10相同或不同,且各自獨立地選自氫原子、烷基、烯基、炔基、鹵烷基、羥烷基、環烷基、-(CH2)r-環烷基、雜環基、-(CH2)r-雜環基、芳基、-(CH2)r-芳基、雜芳基和-(CH2)r-雜芳基;R9 and R10 are the same or different, and are each independently selected from hydrogen atoms, alkyl groups, alkenyl groups, alkynyl groups, haloalkyl groups, hydroxyalkyl groups, cycloalkyl groups, -(CH2 )r -cycloalkyl groups, Heterocyclyl, -(CH2 )r -heterocyclyl, aryl, -(CH2 )r -aryl, heteroaryl, and -(CH2 )r -heteroaryl;

或者R9和R10與相連的氮原子一起形成雜環基,該雜環基視需要地被選自鹵素、烷基、側氧基、烯基、炔基、烷氧基、鹵烷基、鹵烷氧基、氰基、胺基、硝基、羥基、羥烷基、環烷基、雜環基、芳基和雜芳基中的一個或多個取代基所取代;Alternatively R9 and R10 together with the attached nitrogen atom form a heterocyclyl group optionally selected from halogen, alkyl, pendant oxy, alkenyl, alkynyl, alkoxy, haloalkyl, Substituted with one or more substituents of haloalkoxy, cyano, amine, nitro, hydroxy, hydroxyalkyl, cycloalkyl, heterocyclyl, aryl and heteroaryl;

t為0、1、2、3或4;t is 0, 1, 2, 3 or 4;

r為0、1、2、3、4、5或6;r is 0, 1, 2, 3, 4, 5 or 6;

s為0、1、2、3、4、5或6;並且s is 0, 1, 2, 3, 4, 5, or 6; and

p為0、1或2。p is 0, 1 or 2.

在本揭露的一些實施方案中,該通式(I)所示的化合物或其可藥用的鹽,其為通式(I-1)所示的化合物或其可藥用的鹽:In some embodiments of the present disclosure, the compound represented by the general formula (I) or a pharmaceutically acceptable salt thereof is the compound represented by the general formula (I-1) or a pharmaceutically acceptable salt thereof:

Figure 110143813-A0202-12-0005-11
Figure 110143813-A0202-12-0005-11

其中,in,

環A、R0、R2、R3和R4如通式(I)中所定義。Ring A, R0 , R2 , R3 and R4 are as defined in general formula (I).

在本揭露的另一些實施方案中,該通式(I)、通式(I-1)所示的化合物或其可藥用的鹽,其中環A選自

Figure 110143813-A0202-12-0005-12
Figure 110143813-A0202-12-0005-13
Figure 110143813-A0202-12-0006-14
Figure 110143813-A0202-12-0006-15
Figure 110143813-A0202-12-0006-21
Figure 110143813-A0202-12-0006-22
;較佳地,環A為
Figure 110143813-A0202-12-0006-16
Figure 110143813-A0202-12-0006-20
;更佳地,環A為
Figure 110143813-A0202-12-0006-17
;其中,環B、R1、Ra和t如通式(I)中所定義。In other embodiments of the present disclosure, the compound represented by general formula (I), general formula (I-1) or a pharmaceutically acceptable salt thereof, wherein ring A is selected from
Figure 110143813-A0202-12-0005-12
,
Figure 110143813-A0202-12-0005-13
,
Figure 110143813-A0202-12-0006-14
Figure 110143813-A0202-12-0006-15
,
Figure 110143813-A0202-12-0006-21
and
Figure 110143813-A0202-12-0006-22
; preferably, ring A is
Figure 110143813-A0202-12-0006-16
or
Figure 110143813-A0202-12-0006-20
; more preferably, ring A is
Figure 110143813-A0202-12-0006-17
; wherein Ring B, R1 ,Ra and t are as defined in general formula (I).

在本揭露的另一些實施方案中,該通式(I)、通式(I-1)所示的化合物或其可藥用的鹽,其中環A為

Figure 110143813-A0202-12-0006-24
Figure 110143813-A0202-12-0006-25
,其中,環B、R1、Ra和t如通式(I)中所定義;較佳地,環A選自
Figure 110143813-A0202-12-0006-26
Figure 110143813-A0202-12-0006-28
Figure 110143813-A0202-12-0007-29
,其中,R1、Ra和t如通式(I)中所定義;進一步佳地,環A選自
Figure 110143813-A0202-12-0007-31
Figure 110143813-A0202-12-0007-32
Figure 110143813-A0202-12-0007-33
Figure 110143813-A0202-12-0007-35
Figure 110143813-A0202-12-0007-36
Figure 110143813-A0202-12-0007-37
Figure 110143813-A0202-12-0007-38
Figure 110143813-A0202-12-0007-39
Figure 110143813-A0202-12-0007-40
Figure 110143813-A0202-12-0007-41
Figure 110143813-A0202-12-0007-42
Figure 110143813-A0202-12-0007-43
Figure 110143813-A0202-12-0007-44
;更佳地,環A選自
Figure 110143813-A0202-12-0007-45
Figure 110143813-A0202-12-0007-58
Figure 110143813-A0202-12-0007-57
Figure 110143813-A0202-12-0007-56
Figure 110143813-A0202-12-0007-55
Figure 110143813-A0202-12-0007-54
Figure 110143813-A0202-12-0007-53
Figure 110143813-A0202-12-0007-46
Figure 110143813-A0202-12-0007-47
Figure 110143813-A0202-12-0007-48
Figure 110143813-A0202-12-0007-50
;最佳地,環A為
Figure 110143813-A0202-12-0007-51
。In other embodiments of the present disclosure, the compound represented by general formula (I), general formula (I-1) or a pharmaceutically acceptable salt thereof, wherein ring A is
Figure 110143813-A0202-12-0006-24
or
Figure 110143813-A0202-12-0006-25
, wherein ring B, R1 ,Ra and t are as defined in general formula (I); preferably, ring A is selected from
Figure 110143813-A0202-12-0006-26
,
Figure 110143813-A0202-12-0006-28
Figure 110143813-A0202-12-0007-29
, wherein R1 , Ra and t are as defined in general formula (I); further preferably, ring A is selected from
Figure 110143813-A0202-12-0007-31
,
Figure 110143813-A0202-12-0007-32
,
Figure 110143813-A0202-12-0007-33
,
Figure 110143813-A0202-12-0007-35
,
Figure 110143813-A0202-12-0007-36
,
Figure 110143813-A0202-12-0007-37
,
Figure 110143813-A0202-12-0007-38
,
Figure 110143813-A0202-12-0007-39
,
Figure 110143813-A0202-12-0007-40
,
Figure 110143813-A0202-12-0007-41
,
Figure 110143813-A0202-12-0007-42
,
Figure 110143813-A0202-12-0007-43
and
Figure 110143813-A0202-12-0007-44
; more preferably, ring A is selected from
Figure 110143813-A0202-12-0007-45
,
Figure 110143813-A0202-12-0007-58
,
Figure 110143813-A0202-12-0007-57
,
Figure 110143813-A0202-12-0007-56
,
Figure 110143813-A0202-12-0007-55
,
Figure 110143813-A0202-12-0007-54
,
Figure 110143813-A0202-12-0007-53
,
Figure 110143813-A0202-12-0007-46
,
Figure 110143813-A0202-12-0007-47
,
Figure 110143813-A0202-12-0007-48
and
Figure 110143813-A0202-12-0007-50
; optimally, ring A is
Figure 110143813-A0202-12-0007-51
.

在本揭露的另一些實施方案中,該通式(I)、通式(I-1)所示的化合物或其可藥用的鹽,其中環A為

Figure 110143813-A0202-12-0007-63
Figure 110143813-A0202-12-0007-62
,其中,環B、R1、Ra和t如通式(I)中所定義;較佳地,環A選自
Figure 110143813-A0202-12-0007-59
Figure 110143813-A0202-12-0007-64
Figure 110143813-A0202-12-0008-65
,其中,R1、Ra和t如通式(I)中所定義;更佳地,環A選自
Figure 110143813-A0202-12-0008-66
Figure 110143813-A0202-12-0008-67
Figure 110143813-A0202-12-0008-69
Figure 110143813-A0202-12-0008-70
Figure 110143813-A0202-12-0008-71
Figure 110143813-A0202-12-0008-72
。In other embodiments of the present disclosure, the compound represented by general formula (I), general formula (I-1) or a pharmaceutically acceptable salt thereof, wherein ring A is
Figure 110143813-A0202-12-0007-63
or
Figure 110143813-A0202-12-0007-62
, wherein ring B, R1 ,Ra and t are as defined in general formula (I); preferably, ring A is selected from
Figure 110143813-A0202-12-0007-59
,
Figure 110143813-A0202-12-0007-64
and
Figure 110143813-A0202-12-0008-65
, wherein R1 , Ra and t are as defined in general formula (I); more preferably, ring A is selected from
Figure 110143813-A0202-12-0008-66
,
Figure 110143813-A0202-12-0008-67
,
Figure 110143813-A0202-12-0008-69
,
Figure 110143813-A0202-12-0008-70
,
Figure 110143813-A0202-12-0008-71
and
Figure 110143813-A0202-12-0008-72
.

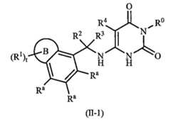
在本揭露的另一些實施方案中,該通式(I)所示的化合物或其可藥用的鹽,其為通式(II-1)所示的化合物或其可藥用的鹽:In other embodiments of the present disclosure, the compound represented by the general formula (I) or a pharmaceutically acceptable salt thereof is the compound represented by the general formula (II-1) or a pharmaceutically acceptable salt thereof:

Figure 110143813-A0202-12-0008-73
Figure 110143813-A0202-12-0008-73

其中,in,

環B、Ra、R0、R1、R2、R3、R4和t如通式(I)中所定義。Ring B,Ra , R0 , R1 , R2 , R3 , R4 and t are as defined in general formula (I).

在本揭露的另一些實施方案中,該通式(I)所示的化合物或其可藥用的鹽,其為通式(II-2)所示的化合物或其可藥用的鹽:In other embodiments of the present disclosure, the compound represented by the general formula (I) or a pharmaceutically acceptable salt thereof is the compound represented by the general formula (II-2) or a pharmaceutically acceptable salt thereof:

Figure 110143813-A0202-12-0008-74
Figure 110143813-A0202-12-0008-74

其中,in,

環B、Ra、R0、R1、R2、R3、R4和t如通式(I)中所定義。Ring B,Ra , R0 , R1 , R2 , R3 , R4 and t are as defined in general formula (I).

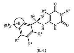
在本揭露的另一些實施方案中,該通式(I)、通式(I-1)、通式(II-1)所示的化合物或其可藥用的鹽,其為通式(III-1)所示的化合物或其可藥用的鹽:In other embodiments of the present disclosure, the compound represented by the general formula (I), the general formula (I-1), the general formula (II-1) or a pharmaceutically acceptable salt thereof is the general formula (III) -1) A compound or a pharmaceutically acceptable salt thereof:

Figure 110143813-A0202-12-0009-76
Figure 110143813-A0202-12-0009-76

其中,in,

環B、Ra、R0、R1、R2、R3、R4和t如通式(I)中所定義。Ring B,Ra , R0 , R1 , R2 , R3 , R4 and t are as defined in general formula (I).

在本揭露的另一些實施方案中,該通式(I)、通式(I-1)、通式(II-2)所示的化合物或其可藥用的鹽,其為通式(III-2)所示的化合物或其可藥用的鹽:In other embodiments of the present disclosure, the compound represented by the general formula (I), the general formula (I-1), the general formula (II-2) or a pharmaceutically acceptable salt thereof is the general formula (III) -2) The compound shown or a pharmaceutically acceptable salt thereof:

Figure 110143813-A0202-12-0009-75
Figure 110143813-A0202-12-0009-75

其中,in,

環B、Ra、R0、R1、R2、R3、R4和t如通式(I)中所定義。Ring B,Ra , R0 , R1 , R2 , R3 , R4 and t are as defined in general formula (I).

在本揭露的另一些實施方案中,該通式(I)、通式(I-1)、通式(II-1)、通式(II-2)、通式(III-1)、通式(III-2)所示的化合物或其可藥用的鹽,其中R0為C1-6烷基或

Figure 110143813-A0202-12-0009-77
;其中,該C1-6烷基視需要地被選自鹵素、C1-6烷氧基、C1-6鹵烷氧基、氰基、胺基和羥基中的一個或多個取代基所取代;L1為鍵或(CH2)r;環D選自3至8員環烷基、3至12員雜環基、6至10員芳基和5至10員雜芳基;各個R5相同或不同,且各自獨立地選自氫原子、鹵素、C1-6烷基、C2-6烯基、C2-6炔基、C1-6烷氧基、C1-6鹵烷基、C1-6鹵烷氧基、側氧基、氰基、羥基和C1-6羥烷基;r為0、1或2;s為0、1或2;較佳地,R0為C1-6烷基或3至6員雜環基;更佳地,R0為異丙基或四氫吡喃基;最佳地,R0為異丙基。In other embodiments of the present disclosure, the general formula (I), general formula (I-1), general formula (II-1), general formula (II-2), general formula (III-1), general formula The compound represented by formula (III-2) or a pharmaceutically acceptable salt thereof, wherein R0 is C1-6 alkyl or
Figure 110143813-A0202-12-0009-77
; Wherein, the C1-6 alkyl is optionally selected from one or more substituents in halogen, C1-6 alkoxy, C1-6 haloalkoxy, cyano, amino and hydroxyl substituted; L1 is a bond or (CH2 )r ; Ring D is selected from 3 to 8 membered cycloalkyl, 3 to 12 membered heterocyclyl, 6 to 10 membered aryl, and 5 to 10 membered heteroaryl; each R5 is the same or different, and each is independently selected from hydrogen atom, halogen, C1-6 alkyl, C2-6 alkenyl, C2-6 alkynyl, C1-6 alkoxy, C1-6 haloalkyl, C1-6 haloalkoxy, pendant oxy, cyano, hydroxyl and C1-6 hydroxyalkyl; r is 0, 1 or 2; s is 0, 1 or 2; preferably, R0 is C1-6 alkyl or 3- to 6-membered heterocyclyl; more preferably, R0 is isopropyl or tetrahydropyranyl; most preferably, R0 is isopropyl.

在本揭露的另一些實施方案中,該通式(I)、通式(I-1)、通式(II-1)、通式(II-2)、通式(III-1)、通式(III-2)所示的化合物或其可藥用的鹽,其中R0為C1-6烷基;較佳地,R0為異丙基。In other embodiments of the present disclosure, the general formula (I), general formula (I-1), general formula (II-1), general formula (II-2), general formula (III-1), general formula The compound represented by formula (III-2) or a pharmaceutically acceptable salt thereof, wherein R0 is C1-6 alkyl; preferably, R0 is isopropyl.

在本揭露的另一些實施方案中,該通式(I)、通式(I-1)、通式(II-1)、通式(II-2)、通式(III-1)、通式(III-2)所示的化合物或其可藥用的鹽,其中環B為4至6員環烷基或者含有選自氮原子、氧原子和硫原子之一的雜原子的4至6員雜環基;較佳地,環B選自環戊基、環丁基、環己基和四氫呋喃基;更佳地,環B為四氫呋喃基。In other embodiments of the present disclosure, the general formula (I), general formula (I-1), general formula (II-1), general formula (II-2), general formula (III-1), general formula A compound represented by formula (III-2) or a pharmaceutically acceptable salt thereof, wherein ring B is a 4- to 6-membered cycloalkyl group or a 4- to 6-membered cycloalkyl group containing a hetero atom selected from one of nitrogen atom, oxygen atom and sulfur atom membered heterocyclyl; preferably, ring B is selected from cyclopentyl, cyclobutyl, cyclohexyl and tetrahydrofuranyl; more preferably, ring B is tetrahydrofuranyl.

在本揭露的另一些實施方案中,該通式(I)、通式(I-1)、通式(II-1)、通式(II-2)、通式(III-1)、通式(III-2)所示的化合物或其可藥用的鹽,其中環B為4至6員環烷基或者含有選自氮原子、氧原子和硫原子之一的雜原子的4至6員雜環基;較佳地,環B選自環戊基、環丁基和四氫呋喃基。In other embodiments of the present disclosure, the general formula (I), general formula (I-1), general formula (II-1), general formula (II-2), general formula (III-1), general formula A compound represented by formula (III-2) or a pharmaceutically acceptable salt thereof, wherein ring B is a 4- to 6-membered cycloalkyl group or a 4- to 6-membered cycloalkyl group containing a hetero atom selected from one of nitrogen atom, oxygen atom and sulfur atom membered heterocyclyl; preferably, ring B is selected from cyclopentyl, cyclobutyl and tetrahydrofuranyl.

在本揭露的另一些實施方案中,該通式(I)、通式(I-1)所示的化合物或其可藥用的鹽,其中X1、X2和X3相同或不同,且各自獨立地為氮原子或CRa;各個Ra相同或不同,且各自獨立地選自氫原子、鹵素、C1-6烷基、C2-6烯基、C2-6炔基、C1-6烷氧基、C1-6鹵烷基、C1-6鹵烷氧基、氰基、胺基、羥基和C1-6羥烷基。In other embodiments of the present disclosure, the compound represented by general formula (I), general formula (I-1) or a pharmaceutically acceptable salt thereof, wherein X1 , X2 and X3 are the same or different, and Each is independently a nitrogen atom or CRa ; each Ra is the same or different, and each is independently selected from a hydrogen atom, halogen, C1-6 alkyl, C2-6 alkenyl, C2-6 alkynyl, C1-6 alkoxy, C1-6 haloalkyl, C1-6 haloalkoxy, cyano, amino, hydroxyl and C1-6 hydroxyalkyl.

在本揭露的另一些實施方案中,該通式(I)、通式(I-1)、通式(II-1)、通式(II-2)、通式(III-1)、通式(III-2)所示的化合物或其可藥用的鹽,其中各個R1相同或不同,且各自獨立地選自氫原子、鹵素、C1-6烷基、C1-6鹵烷基、C1-6烷氧基、C1-6鹵烷氧基、C1-6羥烷基、胺基和羥基;較佳地,R1為氫原子。In other embodiments of the present disclosure, the general formula (I), general formula (I-1), general formula (II-1), general formula (II-2), general formula (III-1), general formula A compound represented by formula (III-2) or a pharmaceutically acceptable salt thereof, wherein each R1 is the same or different, and each is independently selected from hydrogen atom, halogen, C1-6 alkyl, C1-6 haloalkane group, C1-6 alkoxy, C1-6 haloalkoxy, C1-6 hydroxyalkyl, amino and hydroxyl; preferably, R1 is a hydrogen atom.

在本揭露的另一些實施方案中,該通式(I)、通式(I-1)、通式(II-1)、通式(II-2)、通式(III-1)、通式(III-2)所示的化合物或其可藥用的鹽,其中各個Ra相同或不同,且各自獨立地選自氫原子、鹵素、C1-6烷基、C1-6烷氧基、C1-6鹵烷基和C1-6鹵烷氧基;較佳地,各個Ra相同或不同,且各自獨立地為氫原子或鹵素;更佳地,各個Ra相同或不同,且各自獨立地為氫原子或氟原子。In other embodiments of the present disclosure, the general formula (I), general formula (I-1), general formula (II-1), general formula (II-2), general formula (III-1), general formula A compound represented by formula (III-2) or a pharmaceutically acceptable salt thereof, wherein each Ra is the same or different, and each is independently selected from hydrogen atom, halogen, C1-6 alkyl, C1-6 alkoxy group, C1-6 haloalkyl and C1-6 haloalkoxy; preferably, each Ra is the same or different, and each is independently a hydrogen atom or a halogen; more preferably, each Ra is the same or different , and each independently is a hydrogen atom or a fluorine atom.

在本揭露的另一些實施方案中,該通式(II-1)、通式(II-2)、通式(III-1)、通式(III-2)所示的化合物或其可藥用的鹽,其中

Figure 110143813-A0202-12-0011-78
Figure 110143813-A0202-12-0011-79
選自
Figure 110143813-A0202-12-0011-80
Figure 110143813-A0202-12-0011-81
Figure 110143813-A0202-12-0011-82
Figure 110143813-A0202-12-0011-83
Figure 110143813-A0202-12-0012-84
Figure 110143813-A0202-12-0012-85
Figure 110143813-A0202-12-0012-86
Figure 110143813-A0202-12-0012-87
;其中,各個Ra相同或不同,且各自獨立地選自氫原子、鹵素、C1-6烷基、C1-6烷氧基、C1-6鹵烷基和C1-6鹵烷氧基;各個R1相同或不同,且各自獨立地選自氫原子、鹵素、C1-6烷基、C1-6鹵烷基、C1-6烷氧基、C1-6鹵烷氧基、C1-6羥烷基、胺基和羥基;t為0或1;較佳地,
Figure 110143813-A0202-12-0012-88
Figure 110143813-A0202-12-0012-91
選自
Figure 110143813-A0202-12-0012-92
Figure 110143813-A0202-12-0012-95
Figure 110143813-A0202-12-0012-94
Figure 110143813-A0202-12-0012-99
Figure 110143813-A0202-12-0012-101
Figure 110143813-A0202-12-0012-102
Figure 110143813-A0202-12-0012-103
;更佳地,
Figure 110143813-A0202-12-0012-96
Figure 110143813-A0202-12-0012-98
選自
Figure 110143813-A0202-12-0012-104
Figure 110143813-A0202-12-0012-111
Figure 110143813-A0202-12-0012-110
Figure 110143813-A0202-12-0012-108
Figure 110143813-A0202-12-0012-112
In other embodiments of the present disclosure, the compound represented by the general formula (II-1), the general formula (II-2), the general formula (III-1) and the general formula (III-2) or its pharmaceutically acceptable salt used, of which
Figure 110143813-A0202-12-0011-78
or
Figure 110143813-A0202-12-0011-79
selected from
Figure 110143813-A0202-12-0011-80
,
Figure 110143813-A0202-12-0011-81
,
Figure 110143813-A0202-12-0011-82
,
Figure 110143813-A0202-12-0011-83
Figure 110143813-A0202-12-0012-84
,
Figure 110143813-A0202-12-0012-85
,
Figure 110143813-A0202-12-0012-86
and
Figure 110143813-A0202-12-0012-87
; wherein, each Ra is the same or different, and each is independently selected from hydrogen atom, halogen, C1-6 alkyl, C1-6 alkoxy, C1-6 haloalkyl and C1-6 haloalkane oxy; each R1 is the same or different, and each is independently selected from a hydrogen atom, halogen, C1-6 alkyl, C1-6 haloalkyl, C1-6 alkoxy, C1-6 haloalkane oxy, C1-6 hydroxyalkyl, amine and hydroxyl; t is 0 or 1; preferably,
Figure 110143813-A0202-12-0012-88
or
Figure 110143813-A0202-12-0012-91
selected from
Figure 110143813-A0202-12-0012-92
Figure 110143813-A0202-12-0012-95
,
Figure 110143813-A0202-12-0012-94
,
Figure 110143813-A0202-12-0012-99
,
Figure 110143813-A0202-12-0012-101
,
Figure 110143813-A0202-12-0012-102
and
Figure 110143813-A0202-12-0012-103
; more preferably,
Figure 110143813-A0202-12-0012-96
or
Figure 110143813-A0202-12-0012-98
selected from
Figure 110143813-A0202-12-0012-104
,
Figure 110143813-A0202-12-0012-111
,
Figure 110143813-A0202-12-0012-110
,
Figure 110143813-A0202-12-0012-108
,
Figure 110143813-A0202-12-0012-112

在本揭露的另一些實施方案中,該通式(II-1)、通式(III-1)所示的化合物或其可藥用的鹽,其中

Figure 110143813-A0202-12-0012-113
選自
Figure 110143813-A0202-12-0012-114
Figure 110143813-A0202-12-0012-116
Figure 110143813-A0202-12-0013-118
,各個Ra相同或不同,且各自獨立地為氫原子或鹵素,t為0;較佳地,
Figure 110143813-A0202-12-0013-119
選自
Figure 110143813-A0202-12-0013-121
Figure 110143813-A0202-12-0013-122
Figure 110143813-A0202-12-0013-123
Figure 110143813-A0202-12-0013-124
;更佳地,
Figure 110143813-A0202-12-0013-117
In other embodiments of the present disclosure, the compound represented by the general formula (II-1), the general formula (III-1) or a pharmaceutically acceptable salt thereof, wherein
Figure 110143813-A0202-12-0012-113
selected from
Figure 110143813-A0202-12-0012-114
,
Figure 110143813-A0202-12-0012-116
and
Figure 110143813-A0202-12-0013-118
, each Ra is the same or different, and each is independently a hydrogen atom or a halogen, and t is 0; preferably,
Figure 110143813-A0202-12-0013-119
selected from
Figure 110143813-A0202-12-0013-121
Figure 110143813-A0202-12-0013-122
Figure 110143813-A0202-12-0013-123
Figure 110143813-A0202-12-0013-124
; more preferably,
Figure 110143813-A0202-12-0013-117

在本揭露的另一些實施方案中,該通式(II-1)、通式(III-1)所示的化合物或其可藥用的鹽,其中

Figure 110143813-A0202-12-0013-126
Figure 110143813-A0202-12-0013-125
,各個Ra相同或不同,且各自獨立地為氫原子或鹵素,t為0;較佳地,
Figure 110143813-A0202-12-0013-127
Figure 110143813-A0202-12-0013-128
In other embodiments of the present disclosure, the compound represented by the general formula (II-1), the general formula (III-1) or a pharmaceutically acceptable salt thereof, wherein
Figure 110143813-A0202-12-0013-126
for
Figure 110143813-A0202-12-0013-125
, each Ra is the same or different, and each is independently a hydrogen atom or a halogen, and t is 0; preferably,
Figure 110143813-A0202-12-0013-127
Figure 110143813-A0202-12-0013-128

在本揭露的另一些實施方案中,該通式(I)、通式(I-1)、通式(II-1)、通式(II-2)、通式(III-1)、通式(III-2)所示的化合物或其可藥用的鹽,其中R2選自鹵素、C1-6烷基、C1-6烷氧基、C1-6鹵烷基、C1-6鹵烷氧基和C1-6羥烷基;較佳地,R2為C1-6烷基;更佳地,R2為甲基。In other embodiments of the present disclosure, the general formula (I), general formula (I-1), general formula (II-1), general formula (II-2), general formula (III-1), general formula The compound represented by formula (III-2) or a pharmaceutically acceptable salt thereof, wherein R2 is selected from halogen, C1-6 alkyl, C1-6 alkoxy, C1-6 haloalkyl, C1 -6 haloalkoxy and C1-6 hydroxyalkyl; preferably, R2 is C1-6 alkyl; more preferably, R2 is methyl.

在本揭露的另一些實施方案中,該通式(I)、通式(I-1)、通式(II-1)、通式(II-2)、通式(III-1)、通式(III-2)所示的化合物或其可藥用的鹽,其中R4選自氫原子、鹵素和C1-6烷基;較佳地,R4為氫原子或C1-6烷基;更佳地,R4為氫原子。In other embodiments of the present disclosure, the general formula (I), general formula (I-1), general formula (II-1), general formula (II-2), general formula (III-1), general formula The compound represented by formula (III-2) or a pharmaceutically acceptable salt thereof, wherein R4 is selected from hydrogen atom, halogen and C1-6 alkyl; preferably, R4 is hydrogen atom or C1-6 alkane group; more preferably, R4 is a hydrogen atom.

在本揭露的另一些實施方案中,該通式(I)、通式(I-1)、通式(II-1)、通式(II-2)、通式(III-1)、通式(III-2)所示的化合物或其可藥用的鹽,其中t為0或1;較佳地,t為0。In other embodiments of the present disclosure, the general formula (I), general formula (I-1), general formula (II-1), general formula (II-2), general formula (III-1), general formula The compound represented by formula (III-2) or a pharmaceutically acceptable salt thereof, wherein t is 0 or 1; preferably, t is 0.

在本揭露的另一些實施方案中,該通式(I)、通式(I-1)所示的化合物或其可藥用的鹽,其中環A為

Figure 110143813-A0202-12-0014-250
Figure 110143813-A0202-12-0014-251
;環B為4至6員環烷基或者含有選自氮原子、氧原子和硫原子之一的雜原子的4至6員雜環基;各個Ra相同或不同,且各自獨立地選自氫原子、鹵素、C1-6烷基、C1-6烷氧基、C1-6鹵烷基和C1-6鹵烷氧基;各個R1相同或不同,且各自獨立地選自氫原子、鹵素、C1-6烷基、C1-6鹵烷基、C1-6烷氧基、C1-6鹵烷氧基、C1-6羥烷基、胺基和羥基;R0為C1-6烷基或3至6員雜環基;R2選自鹵素、C1-6烷基、C1-6烷氧基、C1-6鹵烷基、C1-6鹵烷氧基和C1-6羥烷基;R3為氫原子;R4選自氫原子、鹵素和C1-6烷基;t為0或1。In other embodiments of the present disclosure, the compound represented by general formula (I), general formula (I-1) or a pharmaceutically acceptable salt thereof, wherein ring A is
Figure 110143813-A0202-12-0014-250
or
Figure 110143813-A0202-12-0014-251
; Ring B is a 4- to 6-membered cycloalkyl group or a 4- to 6-membered heterocyclic group containing a heteroatom selected from one of nitrogen atoms, oxygen atoms and sulfur atoms; each Ra is the same or different, and each is independently selected from hydrogen atom, halogen, C1-6 alkyl, C1-6 alkoxy, C1-6 haloalkyl and C1-6 haloalkoxy; each R1 is the same or different, and each is independently selected from hydrogen atom, halogen, C1-6 alkyl, C1-6 haloalkyl, C1-6 alkoxy, C1-6 haloalkoxy, C1-6 hydroxyalkyl, amine and hydroxyl; R0 is C1-6 alkyl or 3- to 6-membered heterocyclic group; R2 is selected from halogen, C1-6 alkyl, C1-6 alkoxy, C1-6 haloalkyl, C1- 6 haloalkoxy and C1-6 hydroxyalkyl; R3 is hydrogen atom; R4 is selected from hydrogen atom, halogen and C1-6 alkyl; t is 0 or 1.

在本揭露的另一些實施方案中,該通式(I)、通式(I-1)所示的化合物或其可藥用的鹽,其中環A為

Figure 110143813-A0202-12-0014-130
Figure 110143813-A0202-12-0014-129
;環B為4至6員環烷基或者含有選自氮原子、氧原子和硫原子之一的雜原子的4至6員雜環基;各個Ra相同或不同,且各自獨立地選自氫原子、鹵素、C1-6烷基、C1-6烷氧基、C1-6鹵烷基和C1-6鹵烷氧基;各個R1相同或不同,且各自獨立地選自氫原子、鹵素、C1-6烷基、C1-6鹵烷基、C1-6烷氧基、C1-6鹵烷氧基、C1-6羥烷基、胺基和羥基;R0為C1-6烷基;R2選自鹵素、C1-6烷基、C1-6烷氧基、C1-6鹵烷基、C1-6鹵烷氧基和C1-6羥烷基;R3為氫原子;R4為氫原子;t為0或1。In other embodiments of the present disclosure, the compound represented by general formula (I), general formula (I-1) or a pharmaceutically acceptable salt thereof, wherein ring A is
Figure 110143813-A0202-12-0014-130
or
Figure 110143813-A0202-12-0014-129
; Ring B is a 4- to 6-membered cycloalkyl group or a 4- to 6-membered heterocyclic group containing a heteroatom selected from one of nitrogen atoms, oxygen atoms and sulfur atoms; each Ra is the same or different, and each is independently selected from hydrogen atom, halogen, C1-6 alkyl, C1-6 alkoxy, C1-6 haloalkyl and C1-6 haloalkoxy; each R1 is the same or different, and each is independently selected from hydrogen atom, halogen, C1-6 alkyl, C1-6 haloalkyl, C1-6 alkoxy, C1-6 haloalkoxy, C1-6 hydroxyalkyl, amine and hydroxyl; R0 is C1-6 alkyl; R2 is selected from halogen, C1-6 alkyl, C1-6 alkoxy, C1-6 haloalkyl, C1-6 haloalkoxy and C1 -6 hydroxyalkyl; R3 is a hydrogen atom; R4 is a hydrogen atom; t is 0 or 1.

在本揭露的另一些實施方案中,該通式(II-1)、通式(II-2)、通式(III-1)、通式(III-2)所示的化合物或其可藥用的鹽,其中

Figure 110143813-A0202-12-0015-135
Figure 110143813-A0202-12-0015-133
選自
Figure 110143813-A0202-12-0015-134
Figure 110143813-A0202-12-0015-137
Figure 110143813-A0202-12-0015-136
Figure 110143813-A0202-12-0015-138
Figure 110143813-A0202-12-0015-141
Figure 110143813-A0202-12-0015-142
Figure 110143813-A0202-12-0015-143
Figure 110143813-A0202-12-0015-144
;各個Ra相同或不同,且各自獨立地為氫原子或鹵素;R1為氫原子;R0為C1-6烷基或3至6員雜環基;R2為C1-6烷基;R3為氫原子;R4選自氫原子、鹵素和C1-6烷基;t為1。In other embodiments of the present disclosure, the compound represented by the general formula (II-1), the general formula (II-2), the general formula (III-1) and the general formula (III-2) or its pharmaceutically acceptable salt used, of which
Figure 110143813-A0202-12-0015-135
or
Figure 110143813-A0202-12-0015-133
selected from
Figure 110143813-A0202-12-0015-134
,
Figure 110143813-A0202-12-0015-137
,
Figure 110143813-A0202-12-0015-136
,
Figure 110143813-A0202-12-0015-138
Figure 110143813-A0202-12-0015-141
,
Figure 110143813-A0202-12-0015-142
,
Figure 110143813-A0202-12-0015-143
and
Figure 110143813-A0202-12-0015-144
; Each Ra is the same or different, and is independently a hydrogen atom or a halogen; R1 is a hydrogen atom; R0 is a C1-6 alkyl group or a 3- to 6-membered heterocyclic group; R2 is a C1-6 alkyl group R3 is hydrogen atom; R4 is selected from hydrogen atom, halogen and C1-6 alkyl; t is 1.

在本揭露的另一些實施方案中,該通式(II-1)、通式(II-2)、通式(III-1)、通式(III-2)所示的化合物或其可藥用的鹽,其中

Figure 110143813-A0202-12-0015-140
Figure 110143813-A0202-12-0016-145
選自
Figure 110143813-A0202-12-0016-148
Figure 110143813-A0202-12-0016-149
Figure 110143813-A0202-12-0016-150
Figure 110143813-A0202-12-0016-147
Figure 110143813-A0202-12-0016-151
Figure 110143813-A0202-12-0016-152
Figure 110143813-A0202-12-0016-153
Figure 110143813-A0202-12-0016-154
;各個Ra相同或不同,且各自獨立地為氫原子或鹵素;R1為氫原子;R0為C1-6烷基;R2為甲基;R3為氫原子;R4為氫原子;t為1。In other embodiments of the present disclosure, the compound represented by the general formula (II-1), the general formula (II-2), the general formula (III-1) and the general formula (III-2) or its pharmaceutically acceptable salt used, of which
Figure 110143813-A0202-12-0015-140
or
Figure 110143813-A0202-12-0016-145
selected from
Figure 110143813-A0202-12-0016-148
,
Figure 110143813-A0202-12-0016-149
,
Figure 110143813-A0202-12-0016-150
,
Figure 110143813-A0202-12-0016-147
Figure 110143813-A0202-12-0016-151
,
Figure 110143813-A0202-12-0016-152
,
Figure 110143813-A0202-12-0016-153
and
Figure 110143813-A0202-12-0016-154
; Each Ra is the same or different, and is independently a hydrogen atom or a halogen; R1 is a hydrogen atom; R0 is a C1-6 alkyl group; R2 is a methyl group; R3 is a hydrogen atom; R4 is a hydrogen atom atom; t is 1.

在本揭露的另一些實施方案中,該通式(II-1)、通式(III-1)所示的化合物或其可藥用的鹽,其中

Figure 110143813-A0202-12-0016-156
Figure 110143813-A0202-12-0016-155
,各個Ra相同或不同,且各自獨立地為氫原子或鹵素;t為0;R0為C1-6烷基;R2為C1-6烷基;R3為氫原子;R4為氫原子。In other embodiments of the present disclosure, the compound represented by the general formula (II-1), the general formula (III-1) or a pharmaceutically acceptable salt thereof, wherein
Figure 110143813-A0202-12-0016-156
for
Figure 110143813-A0202-12-0016-155
, each Ra is the same or different, and is independently a hydrogen atom or a halogen; t is 0; R0 is a C1-6 alkyl group; R2 is a C1-6 alkyl group; R3 is a hydrogen atom; R4 for the hydrogen atom.

表A本揭露的典型化合物包括但不限於:

Figure 110143813-A0202-12-0017-157
Typical compounds of the present disclosure include, but are not limited to:
Figure 110143813-A0202-12-0017-157

Figure 110143813-A0202-12-0018-158
Figure 110143813-A0202-12-0018-158

Figure 110143813-A0202-12-0019-159
Figure 110143813-A0202-12-0019-159

Figure 110143813-A0202-12-0020-160
Figure 110143813-A0202-12-0020-160

本揭露的另一方面係關於一種製備通式(I)所示的化合物或其可藥用的鹽的方法,該方法包括:Another aspect of the present disclosure relates to a method for preparing a compound represented by general formula (I) or a pharmaceutically acceptable salt thereof, the method comprising:

Figure 110143813-A0202-12-0020-161
Figure 110143813-A0202-12-0020-161

通式(IA)所示的化合物或其鹽(較佳鹽酸鹽)與通式(V)所示的化合物發生親核取代反應,得到通式(I)所示的化合物或其可藥用的鹽;The compound represented by the general formula (IA) or its salt (preferably hydrochloride) undergoes a nucleophilic substitution reaction with the compound represented by the general formula (V) to obtain the compound represented by the general formula (I) or its pharmaceutically acceptable of salt;

其中,in,

Rw為離去基團,較佳為鹵素,更佳為氯原子;Rw is a leaving group, preferably a halogen, more preferably a chlorine atom;

環A、R0、R2、R3和R4如通式(I)中所定義。Ring A, R0 , R2 , R3 and R4 are as defined in general formula (I).

本揭露的另一方面係關於一種製備通式(I-1)所示的化合物或其可藥用的鹽的方法,該方法包括:Another aspect of the present disclosure relates to a method for preparing a compound represented by general formula (I-1) or a pharmaceutically acceptable salt thereof, the method comprising:

Figure 110143813-A0202-12-0021-162
Figure 110143813-A0202-12-0021-162

通式(IA-1)所示的化合物或其鹽(較佳鹽酸鹽)與通式(V)所示的化合物發生親核取代反應,得到通式(I-1)所示的化合物或其可藥用的鹽;The compound represented by the general formula (IA-1) or its salt (preferably hydrochloride) undergoes a nucleophilic substitution reaction with the compound represented by the general formula (V) to obtain the compound represented by the general formula (I-1) or pharmaceutically acceptable salts thereof;

其中,in,

Rw為離去基團,較佳為鹵素,更佳為氯原子;Rw is a leaving group, preferably a halogen, more preferably a chlorine atom;

環A、R0、R2、R3和R4如通式(I-1)中所定義。Ring A, R0 , R2 , R3 and R4 are as defined in the general formula (I-1).

本揭露的另一方面係關於一種製備通式(II-1)所示的化合物或其可藥用的鹽的方法,該方法包括:Another aspect of the present disclosure relates to a method for preparing a compound represented by general formula (II-1) or a pharmaceutically acceptable salt thereof, the method comprising:

Figure 110143813-A0202-12-0021-163
Figure 110143813-A0202-12-0021-163

通式(IIA-1)所示的化合物或其鹽(較佳鹽酸鹽)與通式(V)所示的化合物發生親核取代反應,得到通式(II-1)所示的化合物或其可藥用的鹽;The compound represented by the general formula (IIA-1) or its salt (preferably hydrochloride) undergoes a nucleophilic substitution reaction with the compound represented by the general formula (V) to obtain the compound represented by the general formula (II-1) or pharmaceutically acceptable salts thereof;

其中,in,

Rw為離去基團,較佳為鹵素,更佳為氯原子;Rw is a leaving group, preferably a halogen, more preferably a chlorine atom;

環B、R0、R1、Ra、R2、R3、R4和t如通式(II-1)中所定義。Ring B, R0 , R1 ,Ra , R2 , R3 , R4 and t are as defined in general formula (II-1).

本揭露的另一方面係關於一種製備通式(II-2)所示的化合物或其可藥用的鹽的方法,該方法包括:Another aspect of the present disclosure relates to a method for preparing a compound represented by general formula (II-2) or a pharmaceutically acceptable salt thereof, the method comprising:

Figure 110143813-A0202-12-0022-164
Figure 110143813-A0202-12-0022-164

通式(IIA-2)所示的化合物或其鹽(較佳鹽酸鹽)與通式(V)所示的化合物發生親核取代反應,得到通式(II-2)所示的化合物或其可藥用的鹽;The compound represented by the general formula (IIA-2) or its salt (preferably hydrochloride) undergoes a nucleophilic substitution reaction with the compound represented by the general formula (V) to obtain the compound represented by the general formula (II-2) or pharmaceutically acceptable salts thereof;

其中,in,

Rw為離去基團,較佳為鹵素,更佳為氯原子;Rw is a leaving group, preferably a halogen, more preferably a chlorine atom;

環B、R0、R1、Ra、R2、R3、R4和t如通式(II-2)中所定義。Ring B, R0 , R1 ,Ra , R2 , R3 , R4 and t are as defined in general formula (II-2).

本揭露的另一方面係關於一種製備通式(III-1)所示的化合物或其可藥用的鹽的方法,該方法包括:Another aspect of the present disclosure relates to a method for preparing a compound represented by general formula (III-1) or a pharmaceutically acceptable salt thereof, the method comprising:

Figure 110143813-A0202-12-0022-165
Figure 110143813-A0202-12-0022-165

通式(IIIA-1)所示的化合物或其鹽(較佳鹽酸鹽)與通式(V)所示的化合物發生親核取代反應,得到通式(III-1)所示的化合物或其可藥用的鹽;The compound represented by the general formula (IIIA-1) or its salt (preferably hydrochloride) undergoes a nucleophilic substitution reaction with the compound represented by the general formula (V) to obtain the compound represented by the general formula (III-1) or pharmaceutically acceptable salts thereof;

其中,in,

Rw為離去基團,較佳為鹵素,更佳為氯原子;Rw is a leaving group, preferably a halogen, more preferably a chlorine atom;

環B、R0、R1、Ra、R2、R3、R4和t如通式(III-1)中所定義。Ring B, R0 , R1 ,Ra , R2 , R3 , R4 and t are as defined in general formula (III-1).

本揭露的另一方面係關於一種製備通式(III-2)所示的化合物或其可藥用的鹽的方法,該方法包括:Another aspect of the present disclosure relates to a method for preparing a compound represented by general formula (III-2) or a pharmaceutically acceptable salt thereof, the method comprising:

Figure 110143813-A0202-12-0023-166
Figure 110143813-A0202-12-0023-166

通式(IIIA-2)所示的化合物或其鹽(較佳鹽酸鹽)與通式(V)所示的化合物發生親核取代反應,得到通式(III-2)所示的化合物或其可藥用的鹽;The compound represented by the general formula (IIIA-2) or its salt (preferably hydrochloride) undergoes a nucleophilic substitution reaction with the compound represented by the general formula (V) to obtain the compound represented by the general formula (III-2) or pharmaceutically acceptable salts thereof;

其中,in,

Rw為離去基團,較佳為鹵素,更佳為氯原子;Rw is a leaving group, preferably a halogen, more preferably a chlorine atom;

環B、R0、R1、Ra、R2、R3、R4和t如通式(III-2)中所定義。Ring B, R0 , R1 ,Ra , R2 , R3 , R4 and t are as defined in general formula (III-2).

本揭露的另一方面係關於一種醫藥組成物,該醫藥組成物含有本揭露通式(I)、通式(I-1)、通式(II-1)、通式(II-2)、通式(III-1)、通式(III-2)以及表A所示的化合物或其可藥用的鹽,以及一種或多種藥學上可接受的載體、稀釋劑或賦形劑。Another aspect of the present disclosure relates to a pharmaceutical composition comprising the general formula (I), general formula (I-1), general formula (II-1), general formula (II-2), Compounds of general formula (III-1), general formula (III-2) and Table A or pharmaceutically acceptable salts thereof, and one or more pharmaceutically acceptable carriers, diluents or excipients.

本揭露進一步係關於通式(I)、通式(I-1)、通式(II-1)、通式(II-2)、通式(III-1)、通式(III-2)以及表A所示的化合物或其可藥用的鹽或者包含其的醫藥組成物在製備肌球蛋白(Myosin)抑制劑中的用途。The present disclosure further relates to general formula (I), general formula (I-1), general formula (II-1), general formula (II-2), general formula (III-1), general formula (III-2) And the use of the compounds shown in Table A or their pharmaceutically acceptable salts or pharmaceutical compositions containing them in the preparation of myosin (Myosin) inhibitors.

本揭露進一步係關於通式(I)、通式(I-1)、通式(II-1)、通式(II-2)、通式(III-1)、通式(III-2)以及表A所示的化合物或其可藥用的鹽或者包含其的醫藥組成物在製備用於治療疾病或病症(尤其是治療由肌球蛋白介導的疾病或病症)的藥物中的用途,該疾病或病症選自射血分數保留的舒張性心衰竭、缺血性心臟病、心絞痛、限制型心肌病、舒張功能障礙、肥厚型心肌病(HCM)(如非梗阻性肥厚型心肌病(nHCM)和梗阻性肥厚型心肌病(oHCM))、正常射血分數心衰竭(HFpEF)、射血分數中間值心衰(HFmREF)、瓣膜疾病、主動脈瓣狹窄、炎性心肌病、勒夫勒心內膜炎、心肌心內膜纖維化、浸潤性心肌病、血色素沉著症、法布瑞氏症、糖原貯積病、先天性心臟病、法洛四聯症、左心室肥厚、難治性心絞痛和恰加斯病;較佳選自缺血性心臟病、限制型心肌病、肥厚型心肌病(HCM)、炎性心肌病、浸潤性心肌病、先天性心臟病和左心室肥厚;更佳為肥厚型心肌病(HCM);最佳為非梗阻性肥厚型心肌病(nHCM)或梗阻性肥厚型心肌病(oHCM)。The present disclosure further relates to general formula (I), general formula (I-1), general formula (II-1), general formula (II-2), general formula (III-1), general formula (III-2) And the compound shown in table A or its pharmaceutically acceptable salt or the pharmaceutical composition comprising it in the preparation for the treatment of disease or the purposes in the medicine of disease (especially the treatment of disease or disease mediated by myosin), The disease or disorder is selected from the group consisting of diastolic heart failure with preserved ejection fraction, ischemic heart disease, angina pectoris, restrictive cardiomyopathy, diastolic dysfunction, hypertrophic cardiomyopathy (HCM) such as non-obstructive hypertrophic cardiomyopathy ( nHCM) and obstructive hypertrophic cardiomyopathy (oHCM), heart failure with normal ejection fraction (HFpEF), heart failure with median ejection fraction (HFmREF), valve disease, aortic stenosis, inflammatory cardiomyopathy, Love Endocarditis, myocardial endomyocardial fibrosis, invasive cardiomyopathy, hemochromatosis, Fabry disease, glycogen storage disease, congenital heart disease, tetralogy of Fallot, left ventricular hypertrophy, refractory Angina pectoris and Chagas disease; preferably selected from ischemic heart disease, restrictive cardiomyopathy, hypertrophic cardiomyopathy (HCM), inflammatory cardiomyopathy, invasive cardiomyopathy, congenital heart disease and left ventricular hypertrophy; More preferred is hypertrophic cardiomyopathy (HCM); the most preferred is non-obstructive hypertrophic cardiomyopathy (nHCM) or obstructive hypertrophic cardiomyopathy (oHCM).

本揭露進一步係關於一種抑制肌球蛋白(Myosin)的方法,其包括給予所需患者治療有效量的通式(I)、通式(I-1)、通式(II-1)、通式(II-2)、通式(III-1)、通式(III-2)以及表A所示的化合物或其可藥用的鹽或者包含其的醫藥組成物。The present disclosure further relates to a method for inhibiting Myosin, comprising administering to a patient in need thereof a therapeutically effective amount of formula (I), formula (I-1), formula (II-1), formula (II-1), formula The compounds represented by (II-2), general formula (III-1), general formula (III-2), and Table A, or pharmaceutically acceptable salts thereof, or pharmaceutical compositions containing them.

本揭露進一步係關於一種治療疾病或病症(尤其是治療由肌球蛋白介導的疾病或病症)的方法,其包括給予所需患者治療有效量的通式(I)、通式(I-1)、通式(II-1)、通式(II-2)、通式(III-1)、通式(III-2)以及表A所示的化合物或其可藥用的鹽或者包含其的醫藥組成物,該疾病或病症選自射血分數保留的舒張性心衰竭、缺血性心臟病、心絞痛、限制型心肌病、舒張功能障礙、肥厚型心肌病(HCM)、正常射血分數心衰竭(HFpEF)、射血分數中間值心衰(HFmREF)、瓣膜疾病、主動脈瓣狹窄、炎性心肌病、勒夫勒心內膜炎、心肌心內膜纖維化、浸潤性心肌病、血色素沉著症、法布瑞氏症、糖原貯積病、先天性心臟病、法洛四聯症、左心室肥厚、難治性心絞痛和恰加斯病;較佳選自缺血性心臟病、限制型心肌病、肥厚型心肌病(HCM)、炎性心肌病、浸潤性心肌病、先天性心臟病和左心室肥厚;更佳為肥厚型心肌病(HCM);最佳為非梗阻性肥厚型心肌病(nHCM)或梗阻性肥厚型心肌病(oHCM)。The present disclosure further relates to a method of treating a disease or disorder, particularly a disease or disorder mediated by myosin, comprising administering to a patient in need thereof a therapeutically effective amount of a genericFormula (I), general formula (I-1), general formula (II-1), general formula (II-2), general formula (III-1), general formula (III-2) and those shown in Table A A compound or a pharmaceutically acceptable salt thereof or a pharmaceutical composition comprising the same, the disease or condition is selected from the group consisting of diastolic heart failure with preserved ejection fraction, ischemic heart disease, angina pectoris, restrictive cardiomyopathy, diastolic dysfunction, hypertrophy cardiomyopathy (HCM), heart failure with normal ejection fraction (HFpEF), heart failure with median ejection fraction (HFmREF), valve disease, aortic stenosis, inflammatory cardiomyopathy, Loeffler endocarditis, myocardial Endocardial fibrosis, invasive cardiomyopathy, hemochromatosis, Fabry disease, glycogen storage disease, congenital heart disease, tetralogy of Fallot, left ventricular hypertrophy, refractory angina, and Chagas disease ; preferably selected from ischemic heart disease, restrictive cardiomyopathy, hypertrophic cardiomyopathy (HCM), inflammatory cardiomyopathy, invasive cardiomyopathy, congenital heart disease and left ventricular hypertrophy; more preferably hypertrophic cardiomyopathy (HCM); optimal for non-obstructive hypertrophic cardiomyopathy (nHCM) or obstructive hypertrophic cardiomyopathy (oHCM).

本揭露進一步係關於一種通式(I)、通式(I-1)、通式(II-1)、通式(II-2)、通式(III-1)、通式(III-2)以及表A所示的化合物或其可藥用的鹽或者包含其的醫藥組成物,其用作藥物。The present disclosure further relates to a general formula (I), general formula (I-1), general formula (II-1), general formula (II-2), general formula (III-1), general formula (III-2) ) and a compound shown in Table A or a pharmaceutically acceptable salt thereof or a pharmaceutical composition comprising the same for use as a medicament.

本揭露進一步係關於一種通式(I)、通式(I-1)、通式(II-1)、通式(II-2)、通式(III-1)、通式(III-2)以及表A所示的化合物或其可藥用的鹽或者包含其的醫藥組成物,其用作肌球蛋白(Myosin)抑制劑。The present disclosure further relates to a general formula (I), general formula (I-1), general formula (II-1), general formula (II-2), general formula (III-1), general formula (III-2) ) and a compound shown in Table A or a pharmaceutically acceptable salt thereof or a pharmaceutical composition comprising the same, which are used as a Myosin inhibitor.

本揭露進一步係關於一種通式(I)、通式(I-1)、通式(II-1)、通式(II-2)、通式(III-1)、通式(III-2)以及表A所示的化合物或其可藥用的鹽或者包含其的醫藥組成物,其用於治療疾病或病症(尤其是治療由肌球蛋白介導的疾病或病症),該疾病或病症選自射血分數保留的舒張性心衰竭、缺血性心臟病、心絞痛、限制型心肌病、舒張功能障礙、肥厚型心肌病(HCM)、正常射血分數心衰竭(HFpEF)、射血分數中間值心衰(HFmREF)、瓣膜疾病、主動脈瓣狹窄、炎性心肌病、勒夫勒心內膜炎、心肌心內膜纖維化、浸潤性心肌病、血色素沉著症、法布瑞氏症、糖原貯積病、先天性心臟病、法洛四聯症、左心室肥厚、難治性心絞痛和恰加斯病;較佳選自缺血性心臟病、限制型心肌病、肥厚型心肌病(HCM)、炎性心肌病、浸潤性心肌病、先天性心臟病和左心室肥厚;更佳為肥厚型心肌病(HCM);最佳為非梗阻性肥厚型心肌病(nHCM)或梗阻性肥厚型心肌病(oHCM)。The present disclosure further relates to a general formula (I), general formula (I-1), general formula (II-1), general formula (II-2), general formula (III-1), general formula (III-2) ) and a compound shown in Table A or a pharmaceutically acceptable salt thereof or a pharmaceutical composition comprising it, which is used for the treatment of a disease or a disease (especially a disease or disease mediated by myosin), the disease or disease Selected from diastolic heart failure with preserved ejection fraction, ischemic heart disease, angina pectoris, restrictive cardiomyopathy, diastolic dysfunction, hypertrophic cardiomyopathy (HCM), heart failure with normal ejection fraction (HFpEF), ejection fraction Median heart failure (HFmREF), valvular disease, aortic stenosis, inflammatory cardiomyopathy, Loeffler endocarditis,Endocardial fibrosis, invasive cardiomyopathy, hemochromatosis, Fabry disease, glycogen storage disease, congenital heart disease, tetralogy of Fallot, left ventricular hypertrophy, refractory angina, and Chagas disease; preferably selected from ischemic heart disease, restrictive cardiomyopathy, hypertrophic cardiomyopathy (HCM), inflammatory cardiomyopathy, invasive cardiomyopathy, congenital heart disease and left ventricular hypertrophy; more preferably hypertrophic myocardium disease (HCM); optimal for non-obstructive hypertrophic cardiomyopathy (nHCM) or obstructive hypertrophic cardiomyopathy (oHCM).

本揭露的通式(I)、通式(I-1)、通式(II-1)、通式(II-2)、通式(III-1)、通式(III-2)以及表A所示的化合物或其可藥用的鹽、或包含其的醫藥組成物可改變HCM和其它疾病的自然病史,而不僅僅是緩解症狀。對HCM患者給予臨床益處的機制可延用於具有其它形式的心臟疾病的患者,該其它形式的心臟疾病共同具有相似的病理生理學,且具有或不具有顯著的遺傳因素的影響。例如,藉由改善在舒張期內的心室舒張而進行的HCM的有效治療,也可有效用於特徵在於舒張期功能障礙的更寬範圍的群體。General formula (I), general formula (I-1), general formula (II-1), general formula (II-2), general formula (III-1), general formula (III-2) and table of the present disclosure A compound shown in A, or a pharmaceutically acceptable salt thereof, or a pharmaceutical composition containing it, can alter the natural history of HCM and other diseases, rather than merely relieve symptoms. The mechanisms that confer clinical benefit in HCM patients can be extended to patients with other forms of cardiac disease that share similar pathophysiology, with or without the influence of significant genetic factors. For example, effective treatment of HCM by improving ventricular relaxation during diastole may also be effective in a broader population characterized by diastolic dysfunction.

本揭露的通式(I)、通式(I-1)、通式(II-1)、通式(II-2)、通式(III-1)、通式(III-2)以及表A所示的化合物或其可藥用的鹽、或包含其的醫藥組成物可特定地靶向病症的根源或作用於其它下游途徑。因此,本揭露的通式(I)、通式(I-1)、通式(II-1)、通式(II-2)、通式(III-1)、通式(III-2)以及表A所示的化合物、或其可藥用的鹽、或包含其的醫藥組成物可對患有射血分數保留的舒張性心衰竭、缺血性心臟病、心絞痛或限制型心肌病的患者給予益處。General formula (I), general formula (I-1), general formula (II-1), general formula (II-2), general formula (III-1), general formula (III-2) and table of the present disclosure The compound shown in A, or a pharmaceutically acceptable salt thereof, or a pharmaceutical composition comprising the same can specifically target the root cause of the disorder or act on other downstream pathways. Therefore, the general formula (I), general formula (I-1), general formula (II-1), general formula (II-2), general formula (III-1), general formula (III-2) of the present disclosure And the compound shown in Table A, or a pharmaceutically acceptable salt thereof, or a pharmaceutical composition comprising it can be useful for those suffering from diastolic heart failure with preserved ejection fraction, ischemic heart disease, angina pectoris or restrictive cardiomyopathy. benefit to the patient.

本揭露的通式(I)、通式(I-1)、通式(II-1)、通式(II-2)、通式(III-1)、通式(III-2)以及表A所示的化合物或其可藥用的鹽、或包含其的醫藥組成物也可促進由於容量或壓力過度負荷造成的左心室肥大的有益心室重構;例如慢性二尖瓣返流、慢性主動脈瓣狹窄或慢性系統性高血壓;該化合物或其可藥用的鹽聯合旨在糾正或減輕容量或壓力過度負荷的主要原因的療法(瓣修復/替換、有效的抗高血壓療法)。藉由降低左心室充盈壓,化合物可降低肺水腫和呼吸衰竭的風險。降低或消除功能性二尖瓣返流和/或降低左心房壓力可降低突發性或持久性心房纖顫的風險,且其降低了動脈血栓栓塞性併發症包括但不限於腦動脈栓塞性中風的伴隨性風險。降低或消除動態和/或靜態左心室流出道阻塞,可減少需要間隔消融治療(手術或經皮)的可能性及其短期和長期併發症的伴隨性風險。General formula (I), general formula (I-1), general formula (II-1), general formula (II-2), general formula (III-1), general formula (III-2) and table of the present disclosure The compound represented by A or a pharmaceutically acceptable salt thereof, or a compound containing the sameThe pharmaceutical composition may also promote beneficial ventricular remodeling in left ventricular hypertrophy due to volume or pressure overload; eg, chronic mitral regurgitation, chronic aortic stenosis, or chronic systemic hypertension; the compound or a pharmaceutically acceptable use thereof The salt is combined with therapies aimed at correcting or reducing the primary cause of volume or pressure overload (valve repair/replacement, effective antihypertensive therapy). By reducing left ventricular filling pressure, the compounds reduce the risk of pulmonary edema and respiratory failure. Reducing or eliminating functional mitral regurgitation and/or lowering left atrial pressure reduces the risk of sudden or persistent atrial fibrillation, and it reduces arterial thromboembolic complications including, but not limited to, cerebral arterial embolic stroke associated risks. Reduction or elimination of dynamic and/or static LV outflow tract obstruction reduces the likelihood of requiring septal ablation therapy (surgical or percutaneous) and its attendant risk of short- and long-term complications.

本揭露的通式(I)、通式(I-1)、通式(II-1)、通式(II-2)、通式(III-1)、通式(III-2)以及表A所示的化合物或其可藥用的鹽、或包含其的醫藥組成物可降低與HCM相關的慢性局部缺血狀態的嚴重性,且由此降低具有可植入的複律器-除顫器(頻繁和/或重複的ICD放電)的患者中的心臟性猝死(SCD)或其等同疾病的風險和/或降低對於可能有毒的抗心律不齊藥物的需求。General formula (I), general formula (I-1), general formula (II-1), general formula (II-2), general formula (III-1), general formula (III-2) and table of the present disclosure A compound shown in A, or a pharmaceutically acceptable salt thereof, or a pharmaceutical composition comprising the same can reduce the severity of chronic ischemic states associated with HCM, and thereby reduce the severity of chronic ischemic states with implantable cardioverter-defibrillators risk of sudden cardiac death (SCD) or its equivalent in patients with defibrillators (frequent and/or repetitive ICD discharges) and/or reduce the need for potentially toxic antiarrhythmic drugs.

本揭露的通式(I)、通式(I-1)、通式(II-1)、通式(II-2)、通式(III-1)、通式(III-2)以及表A所示的化合物或其可藥用的鹽、或包含其的醫藥組成物在降低或消除對於並行藥物(具有其伴隨的潛在毒性、藥物-藥物相互作用和/或副作用)的需求方面是有價值的。General formula (I), general formula (I-1), general formula (II-1), general formula (II-2), general formula (III-1), general formula (III-2) and table of the present disclosure A compound shown in A, or a pharmaceutically acceptable salt thereof, or a pharmaceutical composition comprising the same, is useful in reducing or eliminating the need for concomitant drugs with their attendant potential toxicity, drug-drug interactions, and/or side effects. worth.

本揭露的通式(I)、通式(I-1)、通式(II-1)、通式(II-2)、通式(III-1)、通式(III-2)以及表A所示的化合物或其可藥用的鹽、或包含其的醫藥組成物可降低間質性心肌纖維化和/或減緩左心室肥大的進展,阻止或逆轉左心室肥大。General formula (I), general formula (I-1), general formula (II-1), general formula (II-2), general formula (III-1), general formula (III-2) and table of the present disclosure The compound represented by A or a pharmaceutically acceptable salt thereof, or a compound containing the sameThe pharmaceutical composition reduces interstitial myocardial fibrosis and/or slows the progression of left ventricular hypertrophy, preventing or reversing left ventricular hypertrophy.

可將活性化合物製成適合於藉由任何適當途徑給藥的形式,藉由常規方法使用一種或多種藥學上可接受的載體來配製本揭露的組成物。因此,本揭露的活性化合物可以配製成用於口服給藥、注射(例如靜脈內、肌肉內或皮下)給藥、吸入或吹入給藥的各種劑型。本揭露的化合物也可以配製成持續釋放劑型,例如片劑、硬或軟膠囊、水性或油性混懸液、乳劑、注射液、可分散性粉末或顆粒、栓劑、錠劑或糖漿。The active compounds can be formulated in a form suitable for administration by any suitable route, and the compositions of the present disclosure can be formulated by conventional methods using one or more pharmaceutically acceptable carriers. Accordingly, the active compounds of the present disclosure can be formulated in various dosage forms for oral administration, injection (eg, intravenous, intramuscular, or subcutaneous) administration, inhalation, or insufflation. The compounds of the present disclosure can also be formulated in sustained release dosage forms such as tablets, hard or soft capsules, aqueous or oily suspensions, emulsions, injectable solutions, dispersible powders or granules, suppositories, lozenges or syrups.

作為一般性指導,活性化合物較佳是以單位劑量的方式,或者是以患者可以以單劑自我給藥的方式。本揭露化合物或組成物的單位劑量的表達方式可以是片劑、膠囊、扁囊劑、瓶裝藥水、藥粉、顆粒劑、錠劑、栓劑、再生藥粉或液體製劑。合適的單位劑量可以是0.1~1000mg。As a general guide, the active compounds are preferably presented in unit doses or in such a manner that the patient can self-administer in a single dose. Unit doses of a compound or composition of the present disclosure can be expressed as tablets, capsules, cachets, vials, powders, granules, lozenges, suppositories, reconstituted powders, or liquids. A suitable unit dose may be 0.1 to 1000 mg.

本揭露的醫藥組成物除活性化合物外,可含有一種或多種輔料,該輔料選自以下成分:填充劑(稀釋劑)、黏合劑、潤濕劑、崩解劑或賦形劑等。根據給藥方法的不同,組成物可含有0.1至99重量%的活性化合物。In addition to the active compound, the pharmaceutical composition of the present disclosure may contain one or more auxiliary materials selected from the following components: fillers (diluents), binders, wetting agents, disintegrants or excipients and the like. Depending on the method of administration, the composition may contain from 0.1 to 99% by weight of active compound.

片劑含有活性成分和用於混合的適宜製備片劑的無毒的可藥用的賦形劑。這些賦形劑可以是惰性賦形劑、造粒劑、崩解劑、黏合劑和潤滑劑。這些片劑可以不包衣或可藉由掩蓋藥物的味道或在胃腸道中延遲崩解和吸收,因而在較長時間內提供緩釋作用的已知技術將其包衣。Tablets contain the active ingredient in admixture with nontoxic pharmaceutically acceptable excipients suitable for the manufacture of tablets. These excipients may be inert excipients, granulating agents, disintegrating agents, binders and lubricants. These tablets may be uncoated or they may be coated by known techniques to mask the taste of the drug or to delay disintegration and absorption in the gastrointestinal tract, thereby providing sustained release over an extended period of time.

也可用其中活性成分與惰性固體稀釋劑或其中活性成分與水溶性載體或油溶媒混合的軟明膠膠囊提供口服製劑。Oral formulations can also be presented in soft gelatin capsules in which the active ingredient is mixed with an inert solid diluent or in which the active ingredient is mixed with a water-soluble or oily vehicle.

水混懸液含有活性物質和用於混合的適宜製備水懸浮液的賦形劑。此類賦形劑是懸浮劑、分散劑或濕潤劑。水混懸液也可以含有一種或多種防腐劑、一種或多種著色劑、一種或多種矯味劑和一種或多種甜味劑。Aqueous suspensions contain the active substances in admixture with excipients suitable for the manufacture of aqueous suspensions. Such excipients are suspending, dispersing or wetting agents. The aqueous suspensions may also contain one or more preservatives, one or more coloring agents, one or more flavoring agents and one or more sweetening agents.

油混懸液可藉由使活性成分懸浮於植物油或礦物油配製而成。油混懸液可含有增稠劑。可加入甜味劑和矯味劑以提供可口的製劑。可藉由加入抗氧化劑保存這些組成物。Oily suspensions can be formulated by suspending the active ingredient in vegetable or mineral oils. The oily suspensions may contain thickening agents. Sweetening and flavoring agents may be added to provide a palatable preparation. These compositions can be preserved by adding antioxidants.

本揭露的醫藥組成物也可以是水包油乳劑的形式。油相可以是植物油、或礦物油或其混合物。適宜的乳化劑可以是天然產生的磷脂,乳劑也可以含有甜味劑、矯味劑、防腐劑和抗氧劑。此類製劑也可含有緩和劑、防腐劑、著色劑和抗氧劑。The pharmaceutical compositions of the present disclosure may also be in the form of oil-in-water emulsions. The oily phase can be vegetable oil, or mineral oil or a mixture thereof. Suitable emulsifying agents may be naturally occurring phospholipids, and the emulsions may also contain sweetening, flavoring, preservative and antioxidant agents. Such formulations may also contain a demulcent, a preservative, a coloring agent and an antioxidant.

本揭露的醫藥組成物可以是無菌注射水溶液形式。可以使用的可接受的溶媒或溶劑有水、林格氏液和等滲氯化鈉溶液。無菌注射製劑可以是其中活性成分溶於油相的無菌注射水包油微乳,可藉由局部大量注射將注射液或微乳注入患者的血流中。或者,最好按可保持本揭露化合物恆定循環濃度的方式給予溶液和微乳。為保持這種恆定濃度,可使用連續靜脈內遞藥裝置。這種裝置的實例是Deltec CADD-PLUS.TM.5400型靜脈注射泵。The pharmaceutical compositions of the present disclosure may be in the form of sterile injectable aqueous solutions. Among the acceptable vehicles or solvents that may be employed are water, Ringer's solution and isotonic sodium chloride solution. The sterile injectable preparation can be a sterile injectable oil-in-water microemulsion in which the active ingredient is dissolved in an oily phase, and the injectable solution or microemulsion can be injected into the bloodstream of a patient by local bulk injection. Alternatively, solutions and microemulsions are preferably administered in a manner that maintains a constant circulating concentration of the compounds of the present disclosure. To maintain this constant concentration, a continuous intravenous drug delivery device can be used. An example of such a device is the Deltec CADD-PLUS.TM.5400 intravenous pump.

本揭露的醫藥組成物可以是用於肌內和皮下給藥的無菌注射水或油混懸液的形式。可按已知技術,用適宜的分散劑或濕潤劑和懸浮劑配製該混懸液。無菌注射製劑也可以是在腸胃外可接受的無毒稀釋劑或溶劑中製備的無菌注射溶液或混懸液。此外,可方便地用無菌固定油作為溶劑或懸浮介質。為此目的,可使用任何調和固定油。此外,脂肪酸也可以製備注射劑。The pharmaceutical compositions of the present disclosure may be in the form of sterile injectable aqueous or oily suspensions for intramuscular and subcutaneous administration. This suspension may be formulated according to the known art using suitable dispersing or wetting agents and suspending agents. The sterile injectable preparation may also be a sterile injectable solution or suspension in a non-toxic parenterally acceptable diluent or solvent. In addition, sterile fixed oils are conveniently employed as a solvent or suspending medium. For this purpose, any blending and fixing oil can be used. In addition, fatty acids are also available in the preparation of injectables.

可按用於直腸給藥的栓劑形式給予本揭露化合物。可藉由將藥物與在普通溫度下為固體但在直腸中為液體,因而在直腸中會溶化而釋放藥物的適宜的無刺激性賦形劑混合來製備這些醫藥組成物。The compounds of the present disclosure can be administered in the form of suppositories for rectal administration. These pharmaceutical compositions can be prepared by mixing the drug with a suitable non-irritating excipient that is solid at ordinary temperatures but liquid in the rectum and therefore will melt in the rectum to release the drug.

可藉由加入水製備水混懸液的可分散粉末和顆粒給予本揭露化合物。可藉由將活性成分與分散劑或濕潤劑、懸浮劑或一種或多種防腐劑混合來製備這些醫藥組成物。The compounds of the present disclosure can be administered by the addition of water to prepare dispersible powders and granules for aqueous suspension. These pharmaceutical compositions can be prepared by admixing the active ingredient with a dispersing or wetting agent, suspending agent or one or more preservatives.

如所屬技術領域具有通常知識者所熟知的,藥物的給藥劑量依賴於多種因素,包括但並非限定於以下因素:所用具體化合物的活性、患者的年齡、患者的體重、患者的健康狀況、患者的行為、患者的飲食、給藥時間、給藥方式、排泄的速率、藥物的聯用、疾病的嚴重性等。另外,最佳的治療方式如治療的模式、化合物的日用量或可藥用的鹽的種類可以根據傳統的治療方案來驗證。As is well known to those of ordinary skill in the art, the dosage of a drug to be administered depends on a variety of factors, including but not limited to the following factors: the activity of the particular compound used, the age of the patient, the weight of the patient, the medical condition of the patient, the behavior, patient's diet, time of administration, mode of administration, rate of excretion, combination of drugs, severity of disease, etc. In addition, the optimal treatment modality such as the mode of treatment, the daily dosage of the compound or the type of pharmaceutically acceptable salt can be verified according to conventional treatment regimens.

術語說明Glossary

除非有相反陳述,在說明書和申請專利範圍中使用的術語具有下述含義。Unless stated to the contrary, terms used in the specification and claims have the following meanings.

術語“烷基”指飽和的直鏈或支鏈脂肪族烴基,其具有1至20個(例如1、2、3、4、5、6、7、8、9、10、11、12、13、14、15、16、17、18、19或20個)碳原子(即C1-20烷基)。該烷基較佳具有1至12個碳原子的烷基(即C1-12烷基),更佳具有1至6個碳原子的烷基(即C1-6烷基)。烷基的非限制性實例包括:甲基、乙基、正丙基、異丙基、正丁基、異丁基、第三丁基、第二丁基、正戊基、1,1-二甲基丙基、1,2-二甲基丙基、2,2-二甲基丙基、1-乙基丙基、2-甲基丁基、3-甲基丁基、正己基、1-乙基-2-甲基丙基、1,1,2-三甲基丙基、1,1-二甲基丁基、1,2-二甲基丁基、2,2-二甲基丁基、1,3-二甲基丁基、2-乙基丁基、2-甲基戊基、3-甲基戊基、4-甲基戊基、2,3-二甲基丁基、正庚基、2-甲基己基、3-甲基己基、4-甲基己基、5-甲基己基、2,3-二甲基戊基、2,4-二甲基戊基、2,2-二甲基戊基、3,3-二甲基戊基、2-乙基戊基、3-乙基戊基、正辛基、2,3-二甲基己基、2,4-二甲基己基、2,5-二甲基己基、2,2-二甲基己基、3,3-二甲基己基、4,4-二甲基己基、2-乙基己基、3-乙基己基、4-乙基己基、2-甲基-2-乙基戊基、2-甲基-3-乙基戊基、正壬基、2-甲基-2-乙基己基、2-甲基-3-乙基己基、2,2-二乙基戊基、正癸基、3,3-二乙基己基、2,2-二乙基己基,及其各種支鏈異構體等。最佳具有1至6個碳原子的低級烷基,非限制性實施例包括甲基、乙基、正丙基、異丙基、正丁基、異丁基、第三丁基、第二丁基、正戊基、1,1-二甲基丙基、1,2-二甲基丙基、2,2-二甲基丙基、1-乙基丙基、2-甲基丁基、3-甲基丁基、正己基、1-乙基-2-甲基丙基、1,1,2-三甲基丙基、1,1-二甲基丁基、1,2-二甲基丁基、2,2-二甲基丁基、1,3-二甲基丁基、2-乙基丁基、2-甲基戊基、3-甲基戊基、4-甲基戊基、2,3-二甲基丁基等。烷基可以是取代的或非取代的,當被取代時,其可以在任何可使用的連接點上被取代,取代基較佳選自D原子、鹵素、烷氧基、鹵烷基、鹵烷氧基、環烷基氧基、雜環基氧基、羥基、羥烷基、氰基、胺基、硝基、環烷基、雜環基、芳基、雜芳基中的一個或多個。The term "alkyl" refers to a saturated straight or branched chain aliphatic hydrocarbon group having 1 to 20 (eg 1, 2, 3, 4, 5, 6, 7, 8, 9, 10, 11, 12, 13 , 14, 15, 16, 17, 18, 19 or 20) carbon atoms (ie C1-20 alkyl). The alkyl group is preferably an alkyl group having 1 to 12 carbon atoms (ie, a C1-12 alkyl group), more preferably an alkyl group having 1 to 6 carbon atoms (ie, a C1-6 alkyl group). Non-limiting examples of alkyl groups include: methyl, ethyl, n-propyl, isopropyl, n-butyl, isobutyl, tert-butyl, sec-butyl, n-pentyl, 1,1-di Methylpropyl, 1,2-dimethylpropyl, 2,2-dimethylpropyl, 1-ethylpropyl, 2-methylbutyl, 3-methylbutyl, n-hexyl, 1 -Ethyl-2-methylpropyl, 1,1,2-trimethylpropyl, 1,1-dimethylbutyl, 1,2-dimethylbutyl, 2,2-dimethyl Butyl, 1,3-dimethylbutyl, 2-ethylbutyl, 2-methylpentyl, 3-methylpentyl, 4-methylpentyl, 2,3-dimethylbutyl , n-heptyl, 2-methylhexyl, 3-methylhexyl, 4-methylhexyl, 5-methylhexyl, 2,3-dimethylpentyl, 2,4-dimethylpentyl, 2 ,2-dimethylpentyl, 3,3-dimethylpentyl, 2-ethylpentyl, 3-ethylpentyl, n-octyl, 2,3-dimethylhexyl, 2,4- Dimethylhexyl, 2,5-dimethylhexyl, 2,2-dimethylhexyl, 3,3-dimethylhexyl, 4,4-dimethylhexyl, 2-ethylhexyl, 3-ethylhexyl ylhexyl, 4-ethylhexyl, 2-methyl-2-ethylpentyl, 2-methyl-3-ethylpentyl, n-nonyl, 2-methyl-2-ethylhexyl, 2- Methyl-3-ethylhexyl, 2,2-diethylpentyl, n-decyl, 3,3-diethylhexyl, 2,2-diethylhexyl, and various branched isomers thereof, etc. . Optimally lower alkyl groups of 1 to 6 carbon atoms, non-limiting examples include methyl, ethyl, n-propyl, isopropyl, n-butyl, isobutyl, tert-butyl, second-butyl base, n-pentyl, 1,1-dimethylpropyl, 1,2-dimethylpropyl, 2,2-dimethylpropyl, 1-ethylpropyl, 2-methylbutyl, 3-Methylbutyl, n-hexyl, 1-ethyl-2-methylpropyl, 1,1,2-trimethylpropyl, 1,1-dimethylbutyl, 1,2-dimethylpropyl butyl, 2,2-dimethylbutyl, 1,3-dimethylbutyl, 2-ethylbutyl, 2-methylpentyl, 3-methylpentyl, 4-methylpentyl base, 2,3-dimethylbutyl, etc. Alkyl may be substituted or unsubstituted, and when substituted, it may be substituted at any available point of attachment, preferably the substituents are selected from the group consisting of D atom, halogen, alkoxy, haloalkyl, haloalkane One or more of oxy, cycloalkyloxy, heterocyclyloxy, hydroxy, hydroxyalkyl, cyano, amine, nitro, cycloalkyl, heterocyclyl, aryl, heteroaryl .

術語“亞(伸)烷基”指二價烷基,其中烷基如上所定義,其具有1至20個(例如1、2、3、4、5、6、7、8、9、10、11、12、13、14、15、16、17、18、19或20個)碳原子(即C1-20亞(伸)烷基)。該亞(伸)烷基較佳具有1至12個碳原子的亞(伸)烷基(即C1-12亞(伸)烷基),更佳具有1至6個碳原子的亞(伸)烷基(即C1-6亞(伸)烷基)。亞(伸)烷基的非限制性實例包括但不限於:亞甲基(-CH2-)、1,1-亞乙基(-CH(CH3)-)、1,2-伸乙基(-CH2CH2)-、1,1-亞丙基(-CH(CH2CH3)-)、1,2-伸丙基(-CH2CH(CH3)-)、1,3-伸丙基(-CH2CH2CH2-)、1,4-伸丁基(-CH2CH2CH2CH2-)等。亞(伸)烷基可以是取代的或非取代的,當被取代時,其可以在任何可使用的連接點上被取代,取代基較佳選自烯基、炔基、烷氧基、鹵烷氧基、環烷基氧基、雜環基氧基、烷硫基、烷基胺基、鹵素、巰基、羥基、硝基、氰基、環烷基、雜環基、芳基、雜芳基、環烷氧基、雜環烷氧基、環烷硫基、雜環烷硫基和側氧基中的一個或多個。The term "(extended)alkylene" refers to a divalent alkyl group, wherein alkyl is as defined above, having from 1 to 20 (eg, 1, 2, 3, 4, 5, 6, 7, 8, 9, 10, 11, 12, 13, 14, 15, 16, 17, 18, 19 or20 ) carbon atoms (ie C1-20(en)alkylene). The (extended) alkylene group is preferably a (extended) alkylene group having 1 to 12 carbon atoms (ie, a C1-12 (extended) alkylene group), more preferably a (extended) alkylene group having 1 to 6 carbon atoms ) alkyl (ie C1-6 (extend) alkylene). Non-limiting examples of alkylene groups include, but are not limited to: methylene (-CH2- ), 1,1-ethylene (-CH(CH3 )-), 1,2-ethylidene (-CH2 CH2 )-, 1,1-propylene (-CH(CH2 CH3 )-), 1,2-propylene (-CH2 CH(CH3 )-), 1,3 -Propylidene (-CH2 CH2 CH2 -), 1,4-butylene (-CH2 CH2 CH2 CH2 -) and the like. The (extended) alkylene group can be substituted or unsubstituted, and when substituted, it can be substituted at any available point of attachment, and the substituents are preferably selected from alkenyl, alkynyl, alkoxy, halo Alkoxy, cycloalkyloxy, heterocyclyloxy, alkylthio, alkylamino, halogen, mercapto, hydroxyl, nitro, cyano, cycloalkyl, heterocyclyl, aryl, heteroaryl one or more of cycloalkyl, cycloalkoxy, heterocycloalkoxy, cycloalkylthio, heterocycloalkylthio and pendant oxy.

術語“烯基”指分子中含有至少一個碳碳雙鍵的烷基,其中烷基的定義如上所述,其具有2至12個(例如2、3、4、5、6、7、8、9、10、11或12個)碳原子(即C2-12烯基)。該烯基較佳具有2至6個碳原子(即C2-6烯基)。非限制性的實例包括:乙烯基、丙烯基、異丙烯基、丁烯基等。烯基可以是取代的或非取代的,當被取代時,取代基較佳選自烷氧基、鹵素、鹵烷基、鹵烷氧基、環烷基氧基、雜環基氧基、羥基、羥烷基、氰基、胺基、硝基、環烷基、雜環基、芳基和雜芳基中的一個或多個。The term "alkenyl" refers to an alkyl group containing at least one carbon-carbon double bond in the molecule, wherein alkyl is as defined above and has 2 to 12 (eg 2, 3, 4, 5, 6, 7, 8, 9, 10, 11 or 12) carbon atoms (ie C2-12 alkenyl). The alkenyl group preferably has 2 to 6 carbon atoms (ie, C2-6 alkenyl). Non-limiting examples include: vinyl, propenyl, isopropenyl, butenyl, and the like. Alkenyl can be substituted or unsubstituted, when substituted, the substituent is preferably selected from alkoxy, halogen, haloalkyl, haloalkoxy, cycloalkyloxy, heterocyclyloxy, hydroxy , one or more of hydroxyalkyl, cyano, amine, nitro, cycloalkyl, heterocyclyl, aryl and heteroaryl.

術語“炔基”指分子中含有至少一個碳碳三鍵的烷基,其中烷基的定義如上所述,其具有2至12個(例如2、3、4、5、6、7、8、9、10、11和12個)碳原子(即C2-12炔基)。該炔基較佳具有2至6個碳原子(即C2-6炔基)。非限制性的實例包括:乙炔基、丙炔基、丁炔基、戊炔基、己炔基等。炔基可以是取代的或非取代的,當被取代時,取代基較佳選自烷氧基、鹵素、鹵烷基、鹵烷氧基、環烷基氧基、雜環基氧基、羥基、羥烷基、氰基、胺基、硝基、環烷基、雜環基、芳基和雜芳基中的一個或多個。The term "alkynyl" refers to an alkyl group containing at least one carbon-carbon triple bond in the molecule, wherein alkyl is as defined above and has 2 to 12 (eg 2, 3, 4, 5, 6, 7, 8, 9, 10, 11 and 12) carbon atoms (ie C2-12 alkynyl). The alkynyl group preferably has 2 to 6 carbon atoms (ie, a C2-6 alkynyl group). Non-limiting examples include: ethynyl, propynyl, butynyl, pentynyl, hexynyl, and the like. Alkynyl can be substituted or unsubstituted, when substituted, the substituent is preferably selected from alkoxy, halogen, haloalkyl, haloalkoxy, cycloalkyloxy, heterocyclyloxy, hydroxy , one or more of hydroxyalkyl, cyano, amine, nitro, cycloalkyl, heterocyclyl, aryl and heteroaryl.

術語“烷氧基”指-O-(烷基),其中烷基的定義如上所述。非限制性的實例包括:甲氧基、乙氧基、丙氧基和丁氧基等。烷氧基可以是取代的或非取代的,當被取代時,其可以在任何可使用的連接點被取代,取代基較佳選自D原子、鹵素、烷氧基、鹵烷基、鹵烷氧基、環烷基氧基、雜環基氧基、羥基、羥烷基、氰基、胺基、硝基、環烷基、雜環基、芳基和雜芳基中的一個或多個。The term "alkoxy" refers to -O-(alkyl), wherein alkyl is as defined above. Non-limiting examples include: methoxy, ethoxy, propoxy, butoxy, and the like. Alkoxy can be substituted or unsubstituted, when substituted, it can be substituted at any available point of attachment, the substituent is preferably selected from D atom, halogen, alkoxy, haloalkyl, haloalkane One or more of oxy, cycloalkyloxy, heterocyclyloxy, hydroxy, hydroxyalkyl, cyano, amine, nitro, cycloalkyl, heterocyclyl, aryl, and heteroaryl .

術語“環烷基”指飽和或部分不飽和的單環或多環環狀烴取代基,環烷基環具有3至20個(例如3、4、5、6、7、8、9、10、11、12、13、14、15、16、17、18、19或20個)碳原子(即3至20員環烷基),較佳具有3至12個碳原子(即3至12員環烷基),更佳具有3至8個碳原子(即3至8員環烷基),最佳具有3至6個碳原子(即3至6員環烷基),特別佳具有4至6個碳原子(即4至6員環烷基)。單環環烷基的非限制性實例包括環丙基、環丁基、環戊基、環戊烯基、環己基、環己烯基、環己二烯基、環庚基、環庚三烯基和環辛基等;多環環烷基包括螺環烷基、稠環烷基和橋環烷基。The term "cycloalkyl" refers to a saturated or partially unsaturated monocyclic or polycyclic cyclic hydrocarbon substituent having 3 to 20 cycloalkyl rings (eg 3, 4, 5, 6, 7, 8, 9, 10 , 11, 12, 13, 14, 15, 16, 17, 18, 19 or 20) carbon atoms (ie 3 to 20 membered cycloalkyl), preferably 3 to 12 carbon atoms (ie 3 to 12 membered cycloalkyl), more preferably 3 to 8 carbon atoms (ie 3 to 8 membered cycloalkyl), most preferably 3 to 6 carbon atoms (ie 3 to 6 membered cycloalkyl), particularly preferably 4 to 6 6 carbon atoms (ie 4 to 6 membered cycloalkyl). Non-limiting examples of monocyclic cycloalkyl groups include cyclopropyl, cyclobutyl, cyclopentyl, cyclopentenyl, cyclohexyl, cyclohexenyl, cyclohexadienyl, cycloheptyl, cycloheptatriene Polycyclic cycloalkyl groups include spirocycloalkyl groups, fused cycloalkyl groups and bridged cycloalkyl groups.

術語“螺環烷基”指5至20員,單環之間共用一個碳原子(稱螺原子)的多環基團,其可以含有一個或多個雙鍵。較佳6至14員,更佳7至10員(例如7、8、9或10員)。根據環與環之間共用螺原子的數目將螺環烷基分為單螺環烷基或多螺環烷基(如雙螺環烷基),較佳單螺環烷基和雙螺環烷基。更佳3員/5員、3員/6員、4員/4員、4員/5員、4員/6員、5員/5員、5員/6員、6員/6員、6員/4員或6員/5員單螺環烷基。螺環烷基的非限制性實例包括:The term "spirocycloalkyl" refers to a 5- to 20-membered polycyclic group with one carbon atom (called a spiro atom) shared between the monocyclic rings, which may contain one or more double bonds. Preferably 6 to 14 members, more preferably 7 to 10 members (eg 7, 8, 9 or 10 members). According to the number of spiro atoms shared between the rings, spirocycloalkyl groups are divided into mono-spirocycloalkyl groups or poly-spirocycloalkyl groups (such as double-spirocycloalkyl groups), preferably mono-spirocycloalkyl groups and double-spirocycloalkyl groups base. Better 3/5, 3/6, 4/4, 4/5, 4/6-member, 5-member/5-member, 5-member/6-member, 6-member/6-member, 6-member/4-member or 6-/5-member monospirocycloalkyl. Non-limiting examples of spirocycloalkyl include:

Figure 110143813-A0202-12-0034-167
,其連接點可在任意位置。
Figure 110143813-A0202-12-0034-167
, and its connection point can be anywhere.

術語“稠環烷基”指5至20員,環之間共享毗鄰的一對碳原子的全碳多環基團,其中一個或多個環可以含有一個或多個雙鍵。較佳6至14員,更佳7至10員(例如7、8、9或10員)。根據組成環的數目可以分為雙環、三環、四環等多環稠環烷基,較佳雙環或三環稠環烷基,更佳3員/4員、3員/5員、3員/6員、4員/4員、4員/5員、4員/6員、5員/4員、5員/5員、5員/6員、5員/7員、6員/3員、6員/4員、6員/5員、6員/6員、6員/7員、7員/5員或7員/6員的雙環烷基。稠環烷基的非限制性實例包括:The term "fused cycloalkyl" refers to an all-carbon polycyclic group of 5 to 20 members sharing an adjacent pair of carbon atoms between the rings, wherein one or more of the rings may contain one or more double bonds. Preferably 6 to 14 members, more preferably 7 to 10 members (eg 7, 8, 9 or 10 members). According to the number of formed rings, it can be divided into bicyclic, tricyclic, tetracyclic and other polycyclic fused cycloalkyl groups, preferably bicyclic or tricyclic fused cycloalkyl groups, more preferably 3-membered/4-membered, 3-membered/5-membered, 3-membered /6, 4/4, 4/5, 4/6, 5/4, 5/5, 5/6, 5/7, 6/3 member, 6-member/4-member, 6-member/5-member, 6-member/6-member, 6-/7-member, 7-/5-member or 7-/6-membered bicycloalkyl. Non-limiting examples of fused cycloalkyl groups include:

Figure 110143813-A0202-12-0034-168
連接點可在任意位置。
Figure 110143813-A0202-12-0034-168
The connection point can be anywhere.

術語“橋環烷基”指5至20員,任意兩個環共用兩個不直接連接的碳原子的全碳多環基團,其可以含有一個或多個雙鍵。較佳6至14員,更佳7至10員(例如7、8、9或10員)。根據組成環的數目可以分為雙環、三環、四環等多環橋環烷基,較佳雙環、三環或四環橋環烷基,更佳雙環或三環橋環烷基。橋環烷基的非限制性實例包括:The term "bridged cycloalkyl" refers to an all-carbon polycyclic group of 5 to 20 members, any two rings sharing two non-directly attached carbon atoms, which may contain one or more double bonds. Preferably 6 to 14 members, more preferably 7 to 10 members (eg 7, 8, 9 or 10 members). According to the number of formed rings, it can be divided into bicyclic, tricyclic, tetracyclic and other polycyclic bridged cycloalkyl groups, preferably bicyclic, tricyclic or tetracyclic bridged cycloalkyl groups, more preferably bicyclic or tricyclic bridged cycloalkyl groups. Non-limiting examples of bridged cycloalkyl include:

Figure 110143813-A0202-12-0035-169
,其連接點可在任意位置。
Figure 110143813-A0202-12-0035-169
, and its connection point can be anywhere.

該環烷基環包括如上所述的環烷基(包括單環、螺環、稠環和橋環)稠合於芳基、雜芳基或雜環烷基環上,其中與母體結構連接在一起的環為環烷基,非限制性實例包括

Figure 110143813-A0202-12-0035-173
Figure 110143813-A0202-12-0035-171
Figure 110143813-A0202-12-0035-170
等;較佳
Figure 110143813-A0202-12-0035-175
Figure 110143813-A0202-12-0035-174
。The cycloalkyl ring includes a cycloalkyl (including monocyclic, spiro, fused and bridged) as described above fused to an aryl, heteroaryl or heterocycloalkyl ring, wherein the parent structure is attached at Rings taken together are cycloalkyl, non-limiting examples include
Figure 110143813-A0202-12-0035-173
,
Figure 110143813-A0202-12-0035-171
and
Figure 110143813-A0202-12-0035-170
etc.; better
Figure 110143813-A0202-12-0035-175
and
Figure 110143813-A0202-12-0035-174
.

環烷基可以是取代的或非取代的,當被取代時,其可以在任何可使用的連接點上被取代,取代基較佳選自鹵素、烷基、烷氧基、鹵烷基、鹵烷氧基、環烷基氧基、雜環基氧基、羥基、羥烷基、氰基、胺基、硝基、環烷基、雜環基、芳基和雜芳基中的一個或多個。Cycloalkyl can be substituted or unsubstituted, and when substituted, it can be substituted at any available point of attachment, the substituents are preferably selected from halogen, alkyl, alkoxy, haloalkyl, halo One or more of alkoxy, cycloalkyloxy, heterocyclyloxy, hydroxy, hydroxyalkyl, cyano, amine, nitro, cycloalkyl, heterocyclyl, aryl and heteroaryl indivual.

術語“雜環基”指飽和或部分不飽和單環或多環環狀取代基,其具有3至20個環原子,其中一個或多個環原子為選自氮、氧和硫的雜原子,該硫可視需要被氧化(即形成亞碸或碸),但不包括-O-O-、-O-S-或-S-S-的環部分,其餘環原子為碳。較佳具有3至12個(例如3、4、5、6、7、8、9、10、11或12個)環原子,其中1-4個(例如1、2、3和4個)是雜原子(即3至12員雜環基);進一步佳具有3至8個環原子(例如3、4、5、6、7和8個),其中1-3是雜原子(例如1、2和3個)(即3至8員雜環基);更佳具有3至6個環原子,其中1-3個是雜原子(即3至6員雜環基);最佳具有一個選自氮原子、氧原子和硫原子的雜原子的4至6員雜環基;特別佳具有5或6個環原子,其中1-3個是雜原子(即5或6員雜環基)。單環雜環基的非限制性實例包括:吡咯烷基、四氫吡喃基、1,2,3,6-四氫吡啶基、哌啶基、哌嗪基、嗎啉基、硫嗎啉基、高哌嗪基等。多環雜環基包括螺環雜環基、稠環雜環基和橋環雜環基。The term "heterocyclyl" refers to a saturated or partially unsaturated monocyclic or polycyclic cyclic substituent having 3 to 20 ring atoms, one or more of which is a heteroatom selected from nitrogen, oxygen and sulfur, The sulfur is optionally oxidized (ie, to form arsenite or arsenic), but does not include ring moieties of -O-O-, -O-S-, or -S-S-, the remaining ring atoms being carbon. preferably have 3 to 12 (eg 3, 4, 5, 6, 7, 8, 9, 10, 11 or 12) ring atoms, of which 1-4 (eg 1, 2, 3 and 4) are Heteroatoms (ie 3 to 12 membered heterocyclyl); further preferably 3 to 8 ring atoms (eg 3, 4, 5, 6, 7 and 8), wherein 1-3 are heteroatoms (eg 1, 2 and 3) (ie 3 to 8 membered heterocyclyl); more preferably 3 to 6 ring atoms, of which 1-3 are heteroatoms (ie 3 to 6 membered heterocyclyl); most preferably one selected from the group consisting of 4- to 6-membered heterocyclic groups of heteroatoms of nitrogen, oxygen and sulfur atoms; particularly preferably having 5 or 6 ring atoms, of which 1-3 are heteroatoms (ie 5or 6-membered heterocyclyl). Non-limiting examples of monocyclic heterocyclyl groups include: pyrrolidinyl, tetrahydropyranyl, 1,2,3,6-tetrahydropyridyl, piperidinyl, piperazinyl, morpholinyl, thiomorpholine base, homopiperazinyl, etc. Polycyclic heterocyclic groups include spirocyclic heterocyclic groups, fused ring heterocyclic groups and bridged ring heterocyclic groups.

術語“螺雜環基”指5至20員,單環之間共用一個原子(稱螺原子)的多環雜環基團,其中一個或多個環原子為選自氮、氧和硫的雜原子,該硫可視需要被氧化(即形成亞碸或碸),其餘環原子為碳。其可以含有一個或多個雙鍵。較佳6至14員,更佳7至10員(例如7、8、9或10員)。根據環與環之間共用螺原子的數目將螺雜環基分為單螺雜環基或多螺雜環基(如雙螺雜環基),較佳單螺雜環基和雙螺雜環基。更佳3員/5員、3員/6員、4員/4員、4員/5員、4員/6員、5員/5員、5員/6員或6員/6員單螺雜環基。螺雜環基的非限制性實例包括:The term "spiroheterocyclyl" refers to a polycyclic heterocyclic group with 5 to 20 members, and one atom (called a spiro atom) is shared between the single rings, wherein one or more ring atoms are heterocyclic groups selected from nitrogen, oxygen and sulfur. atom, the sulfur can be oxidized if desired (ie to form arsenic or arsenic), the remaining ring atoms are carbon. It may contain one or more double bonds. Preferably 6 to 14 members, more preferably 7 to 10 members (eg 7, 8, 9 or 10 members). According to the number of spiro atoms shared between the rings, the spiroheterocyclyl groups are divided into mono-spiroheterocyclyl groups or poly-spiroheterocyclyl groups (such as bis-spiroheterocyclyl groups), preferably mono-spiroheterocyclyl groups and bis-spiro-heterocyclic groups base. Better 3/5, 3/6, 4/4, 4/5, 4/6, 5/5, 5/6 or 6/6 singles Spiroheterocyclyl. Non-limiting examples of spiroheterocyclyl include:

Figure 110143813-A0202-12-0036-176
Figure 110143813-A0202-12-0036-176

術語“稠雜環基”指5至20員,環之間共享毗鄰的一對原子的多環雜環基團,一個或多個環可以含有一個或多個雙鍵,其中一個或多個環原子為選自氮、氧和硫的雜原子,該硫可視需要被氧化(即形成亞碸或碸),其餘環原子為碳。較佳6至14員,更佳7至10員(例如7、8、9或10員)。根據組成環的數目可以分為雙環、三環、四環等多環稠雜環基,較佳雙環或三環稠雜環基,更佳3員/4員、3員/5員、3員/6員、4員/4員、4員/5員、4員/6員、5員/3員、5員/4員、5員/5員、5員/6員、6員/3員、6員/4員、6員/5員、6員/6員、6員/7員、7員/5員或7員/6員雙環稠雜環基。稠雜環基的非限制性實例包括:The term "fused heterocyclic group" refers to a 5- to 20-membered polycyclic heterocyclic group with an adjacent pair of atoms shared between the rings, one or more rings may contain one or more double bonds, and one or more rings may contain one or more double bonds. The atoms are heteroatoms selected from nitrogen, oxygen, and sulfur, which can be optionally oxidized (ie, to form selenium or susceptibility), and the remaining ring atoms are carbon. Preferably 6 to 14 members, more preferably 7 to 10 members (eg 7, 8, 9 or 10 members). According to the number of constituent rings, it can be divided into bicyclic, tricyclic, tetracyclic polycyclic fused heterocyclic groups, preferably bicyclic or tricyclic fused heterocyclic groups, more preferably 3-membered/4-membered, 3-membered/5-membered, 3-membered /6 members, 4 members/4 members, 4 members/5 members, 4 members/6 members, 5 members/3 members, 5 members/4 members, 5 members/5 members, 5 members/6 members, 6 members6-member/3-member, 6-member/4-member, 6-member/5-member, 6-member/6-member, 6-member/7-member, 7-member/5-member or 7-member/6-member bicyclic fused heterocyclic group. Non-limiting examples of fused heterocyclyl groups include:

Figure 110143813-A0202-12-0037-177
Figure 110143813-A0202-12-0037-177

術語“橋雜環基”指5至14員,任意兩個環共用兩個不直接連接的原子的多環雜環基團,其可以含有一個或多個雙鍵,其中一個或多個環原子為選自氮、氧和硫的雜原子,該硫可視需要被氧化(即形成亞碸或碸),其餘環原子為碳。較佳6至14員,更佳7至10員(例如7、8、9或10員)。根據組成環的數目可以分為雙環、三環、四環等多環橋雜環基,較佳雙環、三環或四環橋雜環基,更佳雙環或三環橋雜環基。橋雜環基的非限制性實例包括:The term "bridged heterocyclyl" refers to a 5- to 14-membered polycyclic heterocyclic group with any two rings sharing two atoms that are not directly connected, which may contain one or more double bonds in which one or more ring atoms To be a heteroatom selected from nitrogen, oxygen, and sulfur, the sulfur may be optionally oxidized (ie, to form arsenite or arsenic), and the remaining ring atoms are carbon. Preferably 6 to 14 members, more preferably 7 to 10 members (eg 7, 8, 9 or 10 members). According to the number of constituent rings, it can be divided into bicyclic, tricyclic, tetracyclic and other polycyclic bridged heterocyclic groups, preferably bicyclic, tricyclic or tetracyclic bridged heterocyclic groups, more preferably bicyclic or tricyclic bridged heterocyclic groups. Non-limiting examples of bridged heterocyclyl groups include:

Figure 110143813-A0202-12-0037-178
Figure 110143813-A0202-12-0037-178

該雜環基環包括如上所述的雜環基(包括單環、螺雜環、稠雜環和橋雜環)稠合於芳基、雜芳基或環烷基環上,其中與母體結構連接在一起的環為雜環基,其非限制性實例包括:The heterocyclyl ring includes a heterocyclyl group (including monocyclic, spiroheterocyclic, fused heterocyclic, and bridged heterocyclic rings) as described above fused to an aryl, heteroaryl or cycloalkyl ring, wherein the same as the parent structure The rings linked together are heterocyclyl, non-limiting examples of which include:

Figure 110143813-A0202-12-0038-179
Figure 110143813-A0202-12-0038-179

雜環基可以是取代的或非取代的,當被取代時,其可以在任何可使用的連接點上被取代,取代基較佳選自鹵素、烷基、烷氧基、鹵烷基、鹵烷氧基、環烷基氧基、雜環基氧基、羥基、羥烷基、氰基、胺基、硝基、環烷基、雜環基、芳基和雜芳基中的一個或多個。Heterocyclyl may be substituted or unsubstituted, and when substituted, it may be substituted at any available point of attachment, and the substituents are preferably selected from halogen, alkyl, alkoxy, haloalkyl, halo One or more of alkoxy, cycloalkyloxy, heterocyclyloxy, hydroxy, hydroxyalkyl, cyano, amine, nitro, cycloalkyl, heterocyclyl, aryl and heteroaryl indivual.

術語“芳基”指具有共軛的π電子體系的6至14員全碳單環或稠合多環(稠合多環是共享毗鄰碳原子對的環)基團,較佳6至10員,例如苯基和萘基。該芳基環包括如上所述的芳基環稠合於雜芳基、雜環基或環烷基環上,其中與母體結構連接在一起的環為芳基環,其非限制性實例包括:The term "aryl" refers to a 6- to 14-membered all-carbon monocyclic or fused polycyclic (fused polycyclic are rings that share adjacent pairs of carbon atoms) groups having a conjugated pi electron system, preferably 6 to 10 membered , such as phenyl and naphthyl. The aryl ring includes an aryl ring as described above fused to a heteroaryl, heterocyclyl or cycloalkyl ring, wherein the ring linked to the parent structure is an aryl ring, non-limiting examples of which include:

Figure 110143813-A0202-12-0038-180
Figure 110143813-A0202-12-0038-180

芳基可以是取代的或非取代的,當被取代時,其可以在任何可使用的連接點上被取代,取代基較佳選自鹵素、烷基、烷氧基、鹵烷基、鹵烷氧基、環烷基氧基、雜環基氧基、羥基、羥烷基、氰基、胺基、硝基、環烷基、雜環基、芳基和雜芳基中的一個或多個。Aryl can be substituted or unsubstituted, and when substituted, it can be substituted at any available point of attachment, the substituents are preferably selected from halogen, alkyl, alkoxy, haloalkyl, haloalkane One or more of oxy, cycloalkyloxy, heterocyclyloxy, hydroxy, hydroxyalkyl, cyano, amine, nitro, cycloalkyl, heterocyclyl, aryl, and heteroaryl .

術語“雜芳基”指包含1至4個雜原子(例如1、2、3和4個)、5至14個環原子的雜芳族體系,其中雜原子選自氧、硫和氮。雜芳基較佳5至10員(例如5、6、7、8、9或10員)雜芳基,更佳5員或6員雜芳基,例如呋喃基、噻吩基、吡啶基、吡咯基、N-烷基吡咯基、吡啶酮基、N-烷基吡啶酮(如

Figure 110143813-A0202-12-0039-184
等)、嘧啶基、吡嗪基、噠嗪基、咪唑基、吡唑基、三唑基、四唑基等。該雜芳基環包括如上述的雜芳基稠合於芳基、雜環基或環烷基環上,其中與母體結構連接在一起的環為雜芳基環,其非限制性實例包括:The term "heteroaryl" refers to a heteroaromatic system comprising 1 to 4 heteroatoms (eg 1, 2, 3 and 4), 5 to 14 ring atoms, wherein the heteroatoms are selected from oxygen, sulfur and nitrogen. Heteroaryl is preferably a 5- to 10-membered (eg 5, 6, 7, 8, 9 or 10-membered) heteroaryl, more preferably a 5- or 6-membered heteroaryl, such as furyl, thienyl, pyridyl, pyrrole group, N-alkylpyrrolyl, pyridone, N-alkylpyridone (such as
Figure 110143813-A0202-12-0039-184
etc.), pyrimidinyl, pyrazinyl, pyridazinyl, imidazolyl, pyrazolyl, triazolyl, tetrazolyl and the like. The heteroaryl ring includes a heteroaryl fused to an aryl, heterocyclyl or cycloalkyl ring as described above, wherein the ring linked to the parent structure is a heteroaryl ring, non-limiting examples of which include:

Figure 110143813-A0202-12-0039-183
Figure 110143813-A0202-12-0039-183

雜芳基可以是取代的或非取代的,當被取代時,取代基可以在任何可使用的連接點上被取代,取代基較佳選自鹵素、烷基、烷氧基、鹵烷基、鹵烷氧基、環烷基氧基、雜環基氧基、羥基、羥烷基、氰基、胺基、硝基、環烷基、雜環基、芳基和雜芳基中的一個或多個。Heteroaryl can be substituted or unsubstituted, and when substituted, the substituent can be substituted at any available point of attachment, and the substituent is preferably selected from halogen, alkyl, alkoxy, haloalkyl, one of haloalkoxy, cycloalkyloxy, heterocyclyloxy, hydroxy, hydroxyalkyl, cyano, amine, nitro, cycloalkyl, heterocyclyl, aryl and heteroaryl, or multiple.

上述環烷基、雜環基、芳基和雜芳基包括從母體環原子上除去一個氫原子所衍生的殘基,或從母體的相同環原子或兩個不同的環原子上除去兩個氫原子所衍生的殘基即“亞(伸)環烷基”、“亞(伸)雜環基”、“亞(伸)芳基”、“亞(伸)雜芳基”。The above cycloalkyl, heterocyclyl, aryl and heteroaryl groups include residues derived by removing one hydrogen atom from the parent ring atom, or removing two hydrogen atoms from the same ring atom or two different ring atoms of the parent Residues derived from atoms are "(extended) cycloalkylene", "(extended) heterocyclylene", "(extended) arylidene", "(extended) heteroarylene".

術語“胺基保護基”是指為了使分子其它部位進行反應時胺基保持不變,在胺基上引入的易於脫去的基團。非限制性實例包括:(三甲基矽)乙氧基甲基、四氫吡喃基、第三丁氧羰基、乙醯基、苄基、烯丙基和對甲氧苄基等。這些基團可視需要地被選自鹵素、烷氧基或硝基中的1-3個取代基所取代。The term "amine protecting group" refers to an easily removed group introduced on the amine group in order to keep the amine group unchanged when the other parts of the molecule are reacted. Non-limiting examples include: (trimethylsilyl)ethoxymethyl, tetrahydropyranyl, tert-butoxycarbonyl, acetyl, benzyl, allyl andp-Methoxybenzyl, etc. These groups are optionally substituted with 1-3 substituents selected from halogen, alkoxy or nitro.

術語“羥基保護基”是指在羥基上引入的易於脫去的基團,通常用於阻斷或保護羥基而使反應在化合物的其它官能團上進行。非限制性的實例包括:三甲基矽基(TMS)、三乙基矽基(TES)、三異丙基矽基(TIPS)、第三丁基二甲基矽烷基(TBS)、第三丁基二苯基矽基、甲基、第三丁基、烯丙基、苄基、甲氧基甲基(MOM)、乙氧基乙基、2-四氫吡喃基(THP)、甲醯基、乙醯基、苯甲醯基、對硝基苯甲醯基等。The term "hydroxyl protecting group" refers to an easily removed group introduced on a hydroxyl group, which is usually used to block or protect the hydroxyl group and allow the reaction to proceed on other functional groups of the compound. Non-limiting examples include: trimethylsilyl (TMS), triethylsilyl (TES), triisopropylsilyl (TIPS), tertiary butyldimethylsilyl (TBS), tertiary Butyldiphenylsilyl, methyl, tert-butyl, allyl, benzyl, methoxymethyl (MOM), ethoxyethyl, 2-tetrahydropyranyl (THP), methyl Acetyl, acetyl, benzyl, p-nitrobenzyl and the like.

術語“環烷基氧基”指環烷基-O-,其中環烷基如上所定義。The term "cycloalkyloxy" refers to cycloalkyl-O-, wherein cycloalkyl is as defined above.

術語“雜環基氧基”指雜環基-O-,其中雜環基如上所定義。The term "heterocyclyloxy" refers to heterocyclyl-O-, wherein heterocyclyl is as defined above.

術語“烷硫基”指烷基-S-,其中烷基如上所定義。The term "alkylthio" refers to alkyl-S-, wherein alkyl is as defined above.

術語“鹵烷基”指烷基被一個或多個鹵素取代,其中烷基如上所定義。The term "haloalkyl" refers to an alkyl group substituted with one or more halogens, wherein alkyl is as defined above.

術語“鹵烷氧基”指烷氧基被一個或多個鹵素取代,其中烷氧基如上所定義。The term "haloalkoxy" refers to an alkoxy group substituted with one or more halogens, wherein alkoxy is as defined above.

術語“氘代烷基”指烷基被一個或多個氘原子取代,其中烷基如上所定義。The term "deuterated alkyl" refers to an alkyl group substituted with one or more deuterium atoms, wherein alkyl is as defined above.

術語“羥烷基”指烷基被一個或多個羥基取代,其中烷基如上所定義。The term "hydroxyalkyl" refers to an alkyl group substituted with one or more hydroxy groups, wherein alkyl is as defined above.

術語“鹵素”指氟、氯、溴或碘。The term "halogen" refers to fluorine, chlorine, bromine or iodine.

術語“羥基”指-OH。The term "hydroxy" refers to -OH.

術語“巰基”指-SH。The term "thiol" refers to -SH.

術語“胺基”指-NH2The term "amino" refers to-NH2 .

術語“氰基”指-CN。The term "cyano" refers to -CN.

術語“硝基”指-NO2The term "nitro" refers to-NO2 .

術語“側氧基”指“=O”。The term "pendant oxy" refers to "=O".

術語“羰基”指C=O。The term "carbonyl" refers to C=O.

術語“羧基”指-C(O)OH。The term "carboxy" refers to -C(O)OH.

術語“羧酸酯基”指-C(O)O(烷基)、-C(O)O(環烷基)、(烷基)C(O)O-或(環烷基)C(O)O-,其中烷基、環烷基如上所定義。The term "carboxylate" refers to -C(O)O(alkyl), -C(O)O(cycloalkyl), (alkyl)C(O)O- or (cycloalkyl)C(O )O-, wherein alkyl, cycloalkyl are as defined above.

本揭露化合物可以存在特定的幾何或立體異構體形式。本揭露設想所有的這類化合物,包括順式和反式異構體、(-)-和(+)-對映體、(R)-和(S)-對映體、非對映異構體、(D)-異構體、(L)-異構體,及其外消旋混合物和其他混合物,例如對映異構體或非對映體富集的混合物,所有這些混合物都屬於本揭露的範圍之內。烷基等取代基中可存在另外的不對稱碳原子。所有這些異構體以及它們的混合物,均包括在本揭露的範圍之內。本揭露的含有不對稱碳原子的化合物可以以光學活性純的形式或外消旋形式被分離出來。光學活性純的形式可以從外消旋混合物拆分,或藉由使用手性原料或手性試劑合成。Compounds of the present disclosure may exist in specific geometric or stereoisomeric forms. This disclosure contemplates all such compounds, including cis and trans isomers, (-)- and (+)-enantiomers, (R)- and (S)-enantiomers, diastereomers isomers, (D)-isomers, (L)-isomers, and racemic mixtures thereof and other mixtures, such as enantiomerically or diastereomerically enriched mixtures, all of which belong to this within the scope of disclosure. Additional asymmetric carbon atoms may be present in substituents such as alkyl. All such isomers, as well as mixtures thereof, are included within the scope of this disclosure. Compounds of the present disclosure containing asymmetric carbon atoms can be isolated in optically pure or racemic forms. Optically pure forms can be resolved from racemic mixtures or synthesized by using chiral starting materials or chiral reagents.

本揭露所述化合物的化學結構中,鍵“/”表示未指定構型,即如果化學結構中存在手性異構體,鍵“/”可以為“

Figure 110143813-A0202-12-0041-240
”或“
Figure 110143813-A0202-12-0041-241
”,或者同時包含“
Figure 110143813-A0202-12-0041-242
”和“
Figure 110143813-A0202-12-0041-243
”兩種構型。本揭露所述化合物的化學結構中,鍵“
Figure 110143813-A0202-12-0041-244
”並未指定構型,即可以為Z構型或E構型,或者同時包含兩種構型。對於所有的碳-碳雙鍵,即使僅命名了一個構型,Z型和E型均包括在內。In the chemical structures of the compounds described in this disclosure, the bond "/" represents an unspecified configuration, that is, if a chiral isomer exists in the chemical structure, the bond "/" can be "/"
Figure 110143813-A0202-12-0041-240
"or"
Figure 110143813-A0202-12-0041-241
", or both "
Figure 110143813-A0202-12-0041-242
"and"
Figure 110143813-A0202-12-0041-243
"Two configurations. In the chemical structure of the compound described in this disclosure, the bond"
Figure 110143813-A0202-12-0041-244
" does not specify a configuration, i.e. it can be either Z or E, or both. For all carbon-carbon double bonds, even if only one configuration is named, bothZ andE include inside.

本揭露的化合物和中間體還可以以不同的互變異構體形式存在,並且所有這樣的形式包含於本揭露的範圍內。術語“互變異構體”或“互變異構體形式”是指可經由低能壘互變的不同能量的結構異構體。例如,質子互變異構體(也稱為質子轉移互變異構體)包括經由質子遷移的互變,如酮-烯醇及亞胺-烯胺、內醯胺-內醯亞胺異構化。內醯胺-內醯亞胺平衡實例如下:The compounds and intermediates of the present disclosure may also exist in different tautomeric forms, and all such forms are included within the scope of the present disclosure. The term "tautomer" or "tautomeric form" refers to structural isomers of different energies that are interconvertible via a low energy barrier. For example, proton tautomers (also known as proton tautomers) include interconversions via migration of protons, such as keto-enol and imine-enamine, lactamine-lactamine isomerizations. Examples of lactam-lactamine balances are as follows:

Figure 110143813-A0202-12-0042-185
Figure 110143813-A0202-12-0042-185

所有的互變異構形式在本揭露的範圍內。化合物的命名不排除任何互變異構體。All tautomeric forms are within the scope of this disclosure. The naming of compounds does not exclude any tautomers.

本揭露還包括一些與本文中記載的那些相同的,但一個或多個原子被原子量或質量數不同於自然中通常發現的原子量或質量數的原子置換的同位素標記的本揭露化合物。可結合到本揭露化合物的同位素的實例包括氫、碳、氮、氧、磷、硫、氟、碘和氯的同位素,諸如分別為2H、3H、11C、13C、14C、13N、15N、15O、17O、18O、31P、32P、35S、18F、123I、125I和36Cl等。這樣的化合物可用作例如生物學測定中的分析工具或探針,或者可以用作疾病的體內診斷成像示蹤劑,或者作為藥效學、藥動學或受體研究的示蹤劑。The present disclosure also includes certain isotopically-labeled compounds of the present disclosure that are identical to those described herein, but wherein one or more atoms are replaced by an atom having an atomic weight or mass number different from that normally found in nature. Examples of isotopes that can be incorporated into the compounds of the present disclosure include isotopes of hydrogen, carbon, nitrogen, oxygen, phosphorus, sulfur, fluorine, iodine, and chlorine, such as 2H,3H ,11C ,13C ,14C ,13 ,respectively N,15 N,15 O,17 O,18 O,31 P,32 P,35 S,18 F,123 I,125 I and36 Cl and the like. Such compounds can be used, for example, as analytical tools or probes in biological assays, or as tracers for in vivo diagnostic imaging of disease, or as tracers for pharmacodynamic, pharmacokinetic or receptor studies.

本揭露還包括各種氘化形式的式(I)化合物、通式(I-1)、通式(II-1)、通式(II-2)、通式(III-1)、通式(III-2)以及表A所示的化合物。與碳原子連接的各個可用的氫原子可獨立地被氘原子替換。所屬技術領域具有通常知識者能夠參考相關文獻合成氘化形式的式(I)化合物、通式(I-1)、通式(II-1)、通式(II-2)、通式(III-1)、通式(III-2)以及表A所示的化合物。在製備氘代形式的式(I)化合物、通式(I-1)、通式(II-1)、通式(II-2)、通式(III-1)、通式(III-2)以及表A所示化合物時可使用市售的氘代起始物質,或者可使用常規技術採用氘代試劑合成。氘代試劑包括但不限於氘代硼烷、三氘代硼烷四氫呋喃溶液、氘代氫化鋰鋁、氘代碘乙烷和氘代碘甲烷等。除另有說明,當一個位置被特別地指定為氘(D)時,該位置應理解為具有大於氘的天然豐度(其為0.015%)至少1000倍的豐度的氘(即,至少10%的氘摻入)。示例中化合物的具有大於氘的天然豐度可以是至少1000倍的豐度的氘、至少2000倍的豐度的氘、至少3000倍的豐度的氘、至少4000倍的豐度的氘、至少5000倍的豐度的氘、至少6000倍的豐度的氘或更高豐度的氘。The present disclosure also includes various deuterated forms of compounds of formula (I), general formula (I-1), general formula (II-1), general formula (II-2), general formula (III-1), general formula ( III-2) and the compounds shown in Table A. Each available hydrogen atom attached to a carbon atom can be independently replaced by a deuterium atom. The technical field has a commonThose of ordinary skill can refer to the relevant literature to synthesize the deuterated form of the compound of formula (I), general formula (I-1), general formula (II-1), general formula (II-2), general formula (III-1), Compounds of general formula (III-2) and Table A. In the preparation of deuterated forms of compounds of formula (I), general formula (I-1), general formula (II-1), general formula (II-2), general formula (III-1), general formula (III-2) ) and compounds shown in Table A, commercially available deuterated starting materials can be used, or they can be synthesized using conventional techniques using deuterated reagents. Deuterated reagents include, but are not limited to, deuterated borane, trideuterated borane tetrahydrofuran solution, deuterated lithium aluminum hydride, deuterated iodoethane, deuterated iodomethane, and the like. Unless otherwise stated, when a position is specifically designated as deuterium (D), the position is understood to have an abundance of at least 1000 times greater than the natural abundance of deuterium (which is 0.015%) (ie, at least 10 % of deuterium incorporated). Exemplary compounds having a natural abundance greater than deuterium may be at least 1000 times more abundant deuterium, at least 2000 times more abundant, at least 3000 times more abundant, at least 4000 times more abundant, at least 4000 times more abundant 5000 times more abundant deuterium, at least 6000 times more abundant deuterium or more abundant deuterium.

“視需要地”或“視需要”是指隨後所描述的事件或環境可以但不必發生,該說明包括該事件或環境發生或不發生的場合。例如“視需要地被鹵素或者氰基取代的C1-6烷基”是指鹵素或者氰基可以但不必須存在,該說明包括烷基被鹵素或者氰基取代的情形和烷基不被鹵素和氰基取代的情形。"Optionally" or "optionally" means that the subsequently described event or circumstance can, but need not, occur, and that the description includes instances where the event or circumstance does or does not occur. For example, "C1-6 alkyl optionally substituted by halogen or cyano" means that halogen or cyano may but need not be present, and the description includes the case where the alkyl is substituted by halogen or cyano and the case where the alkyl is not substituted by halogen and cyano substitution.

“取代的”指基團中的一個或多個氫原子,較佳為1至6個,更佳為1至3個氫原子彼此獨立地被相應數目的取代基取代。所屬技術領域具有通常知識者能夠在不付出過多努力的情況下(藉由實驗或理論)確定可能或不可能的取代。例如,具有游離氫的胺基或羥基與具有不飽和(如烯屬)鍵的碳原子結合時可能是不穩定的。"Substituted" means that one or more hydrogen atoms in a group, preferably 1 to 6, more preferably 1 to 3 hydrogen atoms, independently of each other, are substituted by the corresponding number of substituents. Those of ordinary skill in the art can determine possible or impossible substitutions without undue effort (either experimentally or theoretically). For example, amine groups or hydroxyl groups with free hydrogens may be unstable when bound to carbon atoms with unsaturated (eg, olefinic) bonds.

“醫藥組成物”表示含有一種或多種本文所述化合物或其生理學上/可藥用的鹽或前體藥物與其他化學組分的混合物,以及其他組分例如生理學/可藥用的載體和賦形劑。醫藥組成物的目的是促進對生物體的給藥,利於活性成分的吸收進而發揮生物活性。"Pharmaceutical composition" means a mixture containing one or more of the compounds described herein, or a physiologically/pharmaceutically acceptable salt or prodrug thereof, with other chemical components, and other components such as a physiological/pharmaceutically acceptable carrier and excipients. The purpose of the pharmaceutical composition is to facilitate the administration to the organism, facilitate the absorption of the active ingredient and then exert the biological activity.

“可藥用的鹽”是指本揭露化合物的鹽,可選自無機鹽或有機鹽。這類鹽用於哺乳動物體內時具有安全性和有效性,且具有應有的生物活性。可以在化合物的最終分離和純化過程中,或藉由使合適的基團與合適的鹼或酸反應來單獨製備鹽。通常用於形成藥學上可接受的鹽的鹼包括無機鹼,例如氫氧化鈉和氫氧化鉀,以及有機鹼,例如胺。通常用於形成藥學上可接受的鹽的酸包括無機酸以及有機酸。"Pharmaceutically acceptable salts" refer to salts of compounds of the present disclosure, which may be selected from inorganic or organic salts. Such salts are safe and effective when used in mammals, and have due biological activity. The salts can be prepared separately during the final isolation and purification of the compounds, or by reacting the appropriate group with a suitable base or acid. Bases commonly used to form pharmaceutically acceptable salts include inorganic bases such as sodium hydroxide and potassium hydroxide, and organic bases such as amines. Acids commonly used to form pharmaceutically acceptable salts include inorganic acids as well as organic acids.

針對藥物或藥理學活性劑而言,術語“治療有效量”是指無毒的但能達到預期效果的藥物或藥劑的足夠用量。有效量的確定因人而異,取決於受體的年齡和一般情況,也取決於具體的活性物質,個案中合適的有效量可以由所屬技術領域具有通常知識者根據常規試驗確定。With respect to a drug or pharmacologically active agent, the term "therapeutically effective amount" refers to a non-toxic but sufficient amount of the drug or agent to achieve the desired effect. The determination of the effective amount varies from person to person, depends on the age and general condition of the recipient, and also depends on the specific active substance, and the appropriate effective amount in a case can be determined by those of ordinary knowledge in the art based on routine experiments.

本文所用的術語“藥學上可接受的”是指這些化合物、材料、組成物和/或劑型,在合理的醫學判斷範圍內,適用於與患者組織接觸而沒有過度毒性、刺激性、過敏反應或其他問題或併發症,具有合理的獲益/風險比,並且對預期的用途是有效。The term "pharmaceutically acceptable" as used herein refers to those compounds, materials, compositions and/or dosage forms that, within the scope of sound medical judgment, are suitable for use in contact with patient tissue without undue toxicity, irritation, allergic response or Other problems or complications with a reasonable benefit/risk ratio and are effective for the intended use.

本文所使用的,單數形式的“一個”、“一種”和“該”包括複數引用,反之亦然,除非上下文另外明確指出。As used herein, the singular forms "a," "an," and "the" include plural references and vice versa unless the context clearly dictates otherwise.

當將術語“約”應用於諸如pH、濃度、溫度等的參數時,表明該參數可以變化±10%,並且有時更佳地在±5%之內。如所屬技術領域具有通常知識者將理解的,當參數不是關鍵時,通常僅出於說明目的給出數字,而不是限制。When the term "about" is applied to a parameter such as pH, concentration, temperature, etc., it is indicated that the parameter can vary by ±10%, and sometimes preferably within ±5%. If the technical field hasIt will generally be understood by the knowledgeable that when parameters are not critical, numbers are usually given for illustrative purposes only, not limitations.

本揭露化合物的合成方法Synthetic methods of compounds of the present disclosure

為了完成本揭露的目的,本揭露採用如下技術方案:In order to accomplish the purpose of the present disclosure, the present disclosure adopts the following technical solutions:

方案一Option One

本揭露通式(I)所示的化合物或其可藥用的鹽的製備方法,該方法包括以下步驟:The present disclosure is a preparation method of a compound represented by general formula (I) or a pharmaceutically acceptable salt thereof, the method comprising the following steps:

Figure 110143813-A0202-12-0045-186
Figure 110143813-A0202-12-0045-186

通式(IA)所示的化合物或其鹽(較佳鹽酸鹽)與通式(V)所示的化合物在鹼的存在下,在微波條件下發生親核取代反應,得到通式(I)所示的化合物或其可藥用的鹽;The compound represented by the general formula (IA) or its salt (preferably hydrochloride) and the compound represented by the general formula (V) undergo a nucleophilic substitution reaction in the presence of a base under microwave conditions to obtain the general formula (I ) or a pharmaceutically acceptable salt thereof;

其中,in,

Rw為離去基團,較佳為鹵素,更佳為氯原子;Rw is a leaving group, preferably a halogen, more preferably a chlorine atom;

環A、R0、R2、R3和R4如通式(I)中所定義。Ring A, R0 , R2 , R3 and R4 are as defined in general formula (I).

方案二Option II

本揭露通式(I-1)所示的化合物或其可藥用的鹽的製備方法,該方法包括以下步驟:The present disclosure is a preparation method of a compound represented by general formula (I-1) or a pharmaceutically acceptable salt thereof, the method comprising the following steps:

Figure 110143813-A0202-12-0046-187
Figure 110143813-A0202-12-0046-187

通式(IA-1)所示的化合物或其鹽(較佳鹽酸鹽)與通式(V)所示的化合物在鹼的存在下,在微波條件下發生親核取代反應,得到通式(I-1)所示的化合物或其可藥用的鹽;The compound represented by the general formula (IA-1) or its salt (preferably hydrochloride) and the compound represented by the general formula (V) undergo a nucleophilic substitution reaction in the presence of a base under microwave conditions to obtain the general formula The compound represented by (I-1) or a pharmaceutically acceptable salt thereof;

其中,in,

Rw為離去基團,較佳為鹵素,更佳為氯原子;Rw is a leaving group, preferably a halogen, more preferably a chlorine atom;

環A、R0、R2、R3和R4如通式(I-1)中所定義。Ring A, R0 , R2 , R3 and R4 are as defined in the general formula (I-1).

方案三third solution

本揭露通式(II-1)所示的化合物或其可藥用的鹽的製備方法,該方法包括以下步驟:The present disclosure is a preparation method of a compound represented by general formula (II-1) or a pharmaceutically acceptable salt thereof, the method comprising the following steps:

Figure 110143813-A0202-12-0046-188
Figure 110143813-A0202-12-0046-188

通式(IIA-1)所示的化合物或其鹽(較佳鹽酸鹽)與通式(V)所示的化合物在鹼的存在下,在微波條件下發生親核取代反應,得到通式(II-1)所示的化合物或其可藥用的鹽;The compound represented by the general formula (IIA-1) or its salt (preferably hydrochloride) and the compound represented by the general formula (V) undergo a nucleophilic substitution reaction in the presence of a base under microwave conditions to obtain the general formula The compound represented by (II-1) or a pharmaceutically acceptable salt thereof;

其中,in,

Rw為離去基團,較佳為鹵素,更佳為氯原子;Rw is a leaving group, preferably a halogen, more preferably a chlorine atom;

環B、R0、R1、Ra、R2、R3、R4和t如通式(II-1)中所定義。Ring B, R0 , R1 ,Ra , R2 , R3 , R4 and t are as defined in general formula (II-1).

方案四Option 4

本揭露通式(II-2)所示的化合物或其可藥用的鹽的製備方法,該方法包括以下步驟:The present disclosure is a preparation method of the compound represented by the general formula (II-2) or a pharmaceutically acceptable salt thereof, the method comprising the following steps:

Figure 110143813-A0202-12-0047-190
Figure 110143813-A0202-12-0047-190

通式(IIA-2)所示的化合物或其鹽(較佳鹽酸鹽)與通式(V)所示的化合物在鹼的存在下,在微波條件下發生親核取代反應,得到通式(II-2)所示的化合物或其可藥用的鹽;The compound represented by the general formula (IIA-2) or its salt (preferably hydrochloride) and the compound represented by the general formula (V) undergo a nucleophilic substitution reaction in the presence of a base under microwave conditions to obtain the general formula The compound represented by (II-2) or a pharmaceutically acceptable salt thereof;

其中,in,

Rw為離去基團,較佳為鹵素,更佳為氯原子;Rw is a leaving group, preferably a halogen, more preferably a chlorine atom;

環B、R0、R1、Ra、R2、R3、R4和t如通式(II-2)中所定義。Ring B, R0 , R1 ,Ra , R2 , R3 , R4 and t are as defined in general formula (II-2).

方案五Option five

本揭露通式(III-1)所示的化合物或其可藥用的鹽的製備方法,該方法包括以下步驟:The present disclosure is a preparation method of a compound represented by general formula (III-1) or a pharmaceutically acceptable salt thereof, the method comprising the following steps:

Figure 110143813-A0202-12-0047-189
Figure 110143813-A0202-12-0047-189

通式(IIIA-1)所示的化合物或其鹽(較佳鹽酸鹽)與通式(V)所示的化合物在鹼的存在下,在微波條件下發生親核取代反應,得到通式(III-1)所示的化合物或其可藥用的鹽;The compound represented by the general formula (IIIA-1) or its salt (preferably hydrochloride) and the compound represented by the general formula (V) undergo a nucleophilic substitution reaction in the presence of a base under microwave conditions to obtain the general formula The compound shown in (III-1) or a pharmaceutically acceptable salt thereof;

其中,in,

Rw為離去基團,較佳為鹵素,更佳為氯原子;Rw is a leaving group, preferably a halogen, more preferably a chlorine atom;

環B、R0、R1、Ra、R2、R3、R4和t如通式(III-1)中所定義。Ring B, R0 , R1 ,Ra , R2 , R3 , R4 and t are as defined in general formula (III-1).

方案六Option 6

本揭露通式(III-2)所示的化合物或其可藥用的鹽的製備方法,該方法包括以下步驟:The present disclosure is a preparation method of a compound represented by general formula (III-2) or a pharmaceutically acceptable salt thereof, the method comprising the following steps:

Figure 110143813-A0202-12-0048-192
Figure 110143813-A0202-12-0048-192

通式(IIIA-2)所示的化合物或其鹽(較佳鹽酸鹽)與通式(V)所示的化合物在鹼的存在下,在微波條件下發生親核取代反應,得到通式(III-2)所示的化合物或其可藥用的鹽;The compound represented by the general formula (IIIA-2) or its salt (preferably hydrochloride) and the compound represented by the general formula (V) undergo a nucleophilic substitution reaction in the presence of a base under microwave conditions to obtain the general formula The compound represented by (III-2) or a pharmaceutically acceptable salt thereof;

其中,in,

Rw為離去基團,較佳為鹵素,更佳為氯原子;Rw is a leaving group, preferably a halogen, more preferably a chlorine atom;

環B、R0、R1、Ra、R2、R3、R4和t如通式(III-2)中所定義。Ring B, R0 , R1 ,Ra , R2 , R3 , R4 and t are as defined in general formula (III-2).

該鹼包括有機鹼和無機鹼類,該有機鹼類包括但不限於三乙胺、N,N-二異丙基乙胺、正丁基鋰、二異丙基胺基鋰、乙酸鈉、乙酸鉀、乙醇鈉、第三丁醇鈉和第三丁醇鉀,較佳N,N-二異丙基乙胺;該無機鹼類包括但不限於氫化鈉、磷酸鉀、碳酸鈉、碳酸鉀、碳酸銫、氫氧化鈉、氫氧化鋰一水合物、氫氧化鋰和氫氧化鉀。The base includes organic bases and inorganic bases, the organic bases include but are not limited to triethylamine,N,N -diisopropylethylamine, n-butyllithium, lithium diisopropylamide, sodium acetate, acetic acid Potassium, sodium ethoxide, sodium 3-butoxide and potassium 3-butoxide, preferablyN,N -diisopropylethylamine; the inorganic bases include but are not limited to sodium hydride, potassium phosphate, sodium carbonate, potassium carbonate, Cesium carbonate, sodium hydroxide, lithium hydroxide monohydrate, lithium hydroxide and potassium hydroxide.

上述反應較佳在溶劑中進行,所用的溶劑包括但不限於:N-甲基吡咯烷酮、乙二醇二甲醚、醋酸、甲醇、乙醇、乙腈、正丁醇、甲苯、四氫呋喃、二氯甲烷、石油醚、乙酸乙酯、正己烷、二甲基亞碸、1,4-二噁烷、水、N,N-二甲基甲醯胺、N,N-二甲基乙醯胺、1,2-二溴乙烷及其混合物。The above reaction is preferably carried out in a solvent, and the solvent used includes but is not limited to:N -methylpyrrolidone, ethylene glycol dimethyl ether, acetic acid, methanol, ethanol, acetonitrile, n-butanol, toluene, tetrahydrofuran, dichloromethane, Petroleum ether, ethyl acetate, n-hexane, dimethyl sulfoxide, 1,4-dioxane, water,N,N -dimethylformamide,N,N -dimethylacetamide, 1, 2-Dibromoethane and mixtures thereof.

上述微波反應的反應溫度為120-140℃,較佳為130℃。The reaction temperature of the above microwave reaction is 120-140°C, preferably 130°C.

上述微波反應的反應時間為0.5-4小時,較佳為2小時。The reaction time of the above microwave reaction is 0.5-4 hours, preferably 2 hours.

以下結合實施例進一步描述本揭露,但這些實施例並非限制著本揭露的範圍。The present disclosure is further described below with reference to the embodiments, but these embodiments do not limit the scope of the present disclosure.

實施例Example

化合物的結構是藉由核磁共振(NMR)或/和質譜(MS)來確定的。NMR位移(δ)以10-6(ppm)的單位給出。NMR的測定是用Bruker AVANCE-400核磁儀或Bruker AVANCE NEO 500M,測定溶劑為氘代二甲基亞碸(DMSO-d6)、氘代氯仿(CDCl3)、氘代甲醇(CD3OD),內標為四甲基矽烷(TMS)。The structures of the compounds were determined by nuclear magnetic resonance (NMR) or/and mass spectrometry (MS). NMR shifts ([delta]) are given in units of 10<"6 > (ppm). NMR was measured by Bruker AVANCE-400 nuclear magnetic instrument or Bruker AVANCE NEO 500M, and the solvent was deuterated dimethyl sulfoxide (DMSO-d6 ), deuterated chloroform (CDCl3 ), deuterated methanol (CD3 OD) , the internal standard is tetramethylsilane (TMS).

MS的測定用Agilent 1200/1290 DAD-6110/6120 Quadrupole MS液質聯用儀(生產商:Agilent,MS型號:6110/6120 Quadrupole MS)、waters ACQuity UPLC-QD/SQD(生產商:waters,MS型號:waters ACQuity Qda Detector/waters SQ Detector)、THERMO Ultimate 3000-Q Exactive(生產商:THERMO,MS型號:THERMO Q Exactive)。For MS measurement, Agilent 1200/1290 DAD-6110/6120 Quadrupole MS LC/MS (manufacturer: Agilent, MS model: 6110/6120 Quadrupole MS), waters ACQuity UPLC-QD/SQD (manufacturer: waters, MS Model: waters ACQuity Qda Detector/waters SQ Detector), THERMOUltimate 3000-Q Exactive (manufacturer: THERMO, MS model: THERMO Q Exactive).

高效液相色譜法(HPLC)分析使用Agilent HPLC 1200DAD、Agilent HPLC 1200VWD和Waters HPLC e2695-2489高效液相色譜儀。High Performance Liquid Chromatography (HPLC) analysis was performed using an Agilent HPLC 1200DAD, an Agilent HPLC 1200VWD and a Waters HPLC e2695-2489 high performance liquid chromatograph.

手性HPLC分析測定使用Agilent 1260 DAD高效液相色譜儀。Chiral HPLC analysis was determined using an Agilent 1260 DAD high performance liquid chromatograph.

高效液相製備使用Waters 2767、Waters 2767-SQ Detecor2、Shimadzu LC-20AP和Gilson-281製備型色譜儀。High performance liquid phase preparations used Waters 2767, Waters 2767-SQ Detector2, Shimadzu LC-20AP and Gilson-281 preparative chromatographs.

手性製備使用Shimadzu LC-20AP製備型色譜儀。Chiral preparations were performed using a Shimadzu LC-20AP preparative chromatograph.

CombiFlash快速製備儀使用Combiflash Rf200(TELEDYNE ISCO)。The CombiFlash rapid preparation instrument used Combiflash Rf200 (TELEDYNE ISCO).

薄層層析矽膠板使用煙臺黃海HSGF254或青島GF254矽膠板,薄層色譜法(TLC)使用的矽膠板採用的規格是0.15mm~0.2mm,薄層層析分離純化產品採用的規格是0.4mm~0.5mm。The thin layer chromatography silica gel plate uses Yantai Huanghai HSGF254 or Qingdao GF254 silica gel plate, the size of the silica gel plate used for thin layer chromatography (TLC) is 0.15mm~0.2mm, and the specification used for TLC separation and purification products is 0.4mm ~0.5mm.

矽膠管柱色譜法一般使用煙臺黃海矽膠200~300目矽膠為載體。Silica gel column chromatography generally uses Yantai Huanghai silica gel 200~300 mesh silica gel as the carrier.

激酶平均抑制率及IC50值的測定用NovoStar酶標儀(德國BMG公司)。The average inhibition rate and IC50 value of kinases were measured with NovoStar microplate reader (BMG, Germany).

本揭露的已知的起始原料可以採用或按照本領域已知的方法來合成,或可購買自ABCR GmbH & Co.KG、Acros Organics、Aldrich Chemical Company、韶遠化學科技(上海)有限公司(Accela ChemBio Inc)、達瑞化學品等公司。The known starting materials of the present disclosure can be synthesized using or according to methods known in the art, or can be purchased from ABCR GmbH & Co.KG, Acros Organics, Aldrich Chemical Company, Shaoyuan Chemical Technology (Shanghai) Co., Ltd. ( Accela ChemBio Inc), Darui Chemicals and other companies.

實施例中無特殊說明,反應均能夠在氬氣氛或氮氣氛下進行。There is no special description in the examples, and the reaction can be carried out in an argon atmosphere or a nitrogen atmosphere.

氬氣氛或氮氣氛是指反應瓶連接一個約1L容積的氬氣或氮氣氣球。Argon or nitrogen atmosphere means that the reaction flask is connected to an argon or nitrogen balloon with a volume of about 1 L.

氫氣氛是指反應瓶連接一個約1L容積的氫氣氣球。Hydrogen atmosphere means that the reaction flask is connected to a hydrogen balloon with a volume of about 1 L.

加壓氫化反應使用Parr 3916EKX型氫化儀和清藍QL-500型氫氣發生器或HC2-SS型氫化儀。The pressurized hydrogenation reaction uses Parr 3916EKX hydrogenation apparatus and Qinglan QL-500 hydrogen generator or HC2-SS hydrogenation apparatus.

氫化反應通常抽真空,充入氫氣,重複操作3次。The hydrogenation reaction is usually evacuated and filled with hydrogen, and the operation is repeated 3 times.

微波反應使用CEM Discover-S 908860型微波反應器。The microwave reaction used a CEM Discover-S 908860 microwave reactor.

實施例中無特殊說明,溶液是指水溶液。There is no special description in the examples, and the solution refers to an aqueous solution.

實施例中無特殊說明,反應的溫度為室溫,為20℃~30℃。There is no special description in the examples, and the temperature of the reaction is room temperature, which is 20°C to 30°C.

實施例中的反應進程的監測採用薄層色譜法(TLC),反應所使用的展開劑,純化化合物採用的管柱層析的沖提劑的體系和薄層色譜法的展開劑體系包括:A:正己烷/乙酸乙酯體系,B:二氯甲烷/甲醇體系,溶劑的體積比根據化合物的極性不同而進行調節,也可以加入少量的三乙胺和醋酸等鹼性或酸性試劑進行調節。The monitoring of the reaction progress in the embodiment adopts thin layer chromatography (TLC), the developing agent used in the reaction, the eluent system of the column chromatography used for purifying the compound and the developing agent system of the thin layer chromatography include: A : n-hexane/ethyl acetate system, B: dichloromethane/methanol system, the volume ratio of the solvent is adjusted according to the polarity of the compound, and a small amount of basic or acidic reagents such as triethylamine and acetic acid can also be added for adjustment.

實施例1Example 1

(S)-6-((1-(2,3-二氫-1H-茚-5-基)乙基)胺基)-3-異丙基嘧啶-2,4(1H,3H)-二酮1(S )-6-((1-(2,3-dihydro-1H -inden-5-yl)ethyl)amino)-3-isopropylpyrimidine-2,4(1H ,3H )-diketone1

Figure 110143813-A0202-12-0051-193
Figure 110143813-A0202-12-0051-193

Figure 110143813-A0202-12-0052-194
Figure 110143813-A0202-12-0052-194

第一步first step

(R)-N-(1-(2,3-二氫-1H-茚-5-基)乙亞基)-2-甲基丙烷-2-亞磺醯胺1c(R )-N-(1-(2,3- dihydro-1H -inden-5-yl)ethylidene)-2-methylpropane-2-sulfinamide1c

向1-(2,3-二氫-1H-茚-5-基)乙-1-酮1a(1.0g,6.3mmol,梯希愛(上海)化成工業發展有限公司)和(R)-2-甲基丙烷-2-亞磺醯胺1b(1.1g,8.8mmol,上海泰坦科技股份有限公司)的無水四氫呋喃(20mL)中,加入1M三異丙氧基氯化鈦己烷溶液(7.5mL,7.5mmol,上海泰坦科技股份有限公司)。於65℃攪拌反應16小時。加入飽和碳酸氫鈉水溶液(30mL),乙酸乙酯(50mL×2)萃取。合併有機相,用無水硫酸鈉乾燥,過濾,減壓濃縮,用矽膠管柱色譜法以沖提劑體系A純化所得殘餘物,得到標題產物1c(570.0mg,產率:34.7%)。To 1-(2,3-dihydro-1H -inden-5-yl)ethan-1-one1a (1.0 g, 6.3 mmol, Tixie (Shanghai) Chemical Industry Development Co., Ltd.) and (R )- 2-methylpropane-2-sulfinamide1b (1.1 g, 8.8 mmol, Shanghai Titan Technology Co., Ltd.) in anhydrous tetrahydrofuran (20 mL) was added 1M triisopropoxytitanium chloride hexane solution (7.5 mL, 7.5 mmol, Shanghai Titan Technology Co., Ltd.). The reaction was stirred at 65°C for 16 hours. Saturated aqueous sodium bicarbonate solution (30 mL) was added and extracted with ethyl acetate (50 mL×2). The organic phases were combined, dried over anhydrous sodium sulfate, filtered, concentrated under reduced pressure, and the resulting residue was purified by silica gel column chromatography with eluent system A to give the title product1c (570.0 mg, yield: 34.7%).

MS m/z(ESI):264.0[M+1]。MS m/z (ESI): 264.0 [M+1].

第二步second step

(R)-N-((S)-1-(2,3-二氫-1H-茚-5-基)乙基)-2-甲基丙烷-2-亞磺醯胺1d(R )-N -((S )-1-(2,3-dihydro-1H -inden-5-yl)ethyl)-2-methylpropane-2-sulfinamide1d

於-78℃,向化合物1c(570mg,2.2mmol)的無水四氫呋喃(10mL)中,滴加1M三第二丁基硼氫化鋰四氫呋喃溶液(3.5mL,3.5mmol,上海泰坦科技股份有限公司)。0℃反應1小時。加入飽和氯化銨水溶液(20mL),乙酸乙酯(30mL×2)萃取。合併有機相,用無水硫酸鈉乾燥,過濾,減壓濃縮,得到標題產物1d粗品(570mg),粗品無需純化直接用於下一步。To compound1c (570 mg, 2.2 mmol) in anhydrous tetrahydrofuran (10 mL) at -78° C., was added dropwise a 1M solution of lithium tri-tert-butylborohydride in tetrahydrofuran (3.5 mL, 3.5 mmol, Shanghai Titan Technology Co., Ltd.). The reaction was carried out at 0°C for 1 hour. Saturated aqueous ammonium chloride solution (20 mL) was added and extracted with ethyl acetate (30 mL×2). The organic phases were combined, dried over anhydrous sodium sulfate, filtered, and concentrated under reduced pressure to give crude title product1d (570 mg), which was used in the next step without purification.

MS m/z(ESI):266.1[M+1]。MS m/z (ESI): 266.1 [M+1].

第三步third step

(S)-1-(2,3-二氫-1H-茚-5-基)乙胺鹽酸鹽1e(S )-1-(2,3-dihydro-1H -inden-5-yl)ethanamine hydrochloride1e

將化合物1d粗品(570mg,2.2mmol)溶於甲醇(3mL),滴加4M氯化氫的1,4-二噁烷溶液(2mL)。室溫反應1小時。減壓濃縮,得到標題產物1e粗品(430.0mg),粗品無需純化直接用於下一步。The crude compound1d (570 mg, 2.2 mmol) was dissolved in methanol (3 mL), and a 4M solution of hydrogen chloride in 1,4-dioxane (2 mL) was added dropwise. The reaction was carried out at room temperature for 1 hour. Concentration under reduced pressure gave crude title product1e (430.0 mg), which was used in the next step without purification.

MS m/z(ESI):145.1[M-16]。MS m/z (ESI): 145.1 [M-16].

第四步the fourth step

(S)-6-((1-(2,3-二氫-1H-茚-5-基)乙基)胺基)-3-異丙基嘧啶-2,4(1H,3H)-二酮1(S )-6-((1-(2,3-dihydro-1H -inden-5-yl)ethyl)amino)-3-isopropylpyrimidine-2,4(1H ,3H )-diketone1

將化合物1e粗品(430.0mg,2.2mmol)、6-氯-3-異丙基嘧啶-2,4(1H,3H)-二酮1f(413.6mg,2.2mmol,採用專利申請“WO2014205223A1中說明書第27頁化合物1.3的合成方法”製備而得)和N,N-二異丙基乙胺(1.4g,10.9mmol)溶於無水1,4-二噁烷(6mL)中。於130℃,微波反應2小時。減壓濃縮,用高效液相色譜法純化(Welch Ultimate XB-C18,5μm,30mm*150mm,沖提體系:水(10mM碳酸氫銨)、乙腈,乙腈在12.1分鐘內由40%(v/v)升至95%(v/v),檢測波長214&254nm),得到標題產物1(140.0mg,產率:20.6%)。The crude product of compound1e (430.0 mg, 2.2 mmol), 6-chloro-3-isopropylpyrimidine-2,4(1H , 3H )-dione1f (413.6 mg, 2.2 mmol) were obtained from the patent application "WO2014205223A1""The synthesis method of compound 1.3" on page 27 of the specification) andN,N -diisopropylethylamine (1.4 g, 10.9 mmol) were dissolved in anhydrous 1,4-dioxane (6 mL). At 130°C, the reaction was microwaved for 2 hours. Concentrated under reduced pressure, purified by high performance liquid chromatography (Welch Ultimate XB-C18, 5 μm, 30 mm*150 mm, elution system: water (10 mM ammonium bicarbonate), acetonitrile, acetonitrile was changed from 40% (v/v) in 12.1 minutes ) to 95% (v/v), detection wavelength 214 & 254 nm) to give the title product1 (140.0 mg, yield: 20.6%).

MS m/z(ESI):314.1[M+1]。MS m/z (ESI): 314.1 [M+1].

1H NMR(500MHz,DMSO-d6)δ 7.19(s,1H),7.18(d,1H),7.07(d,1H),6.82(brs,2H),4.92(m,1H),4.41(m,1H),4.31(s,1H),2.85-2.79(m,4H),2.02-1.96(m,2H),1.37(d,3H),1.27(dd,6H)。1 H NMR (500MHz, DMSO-d6 )δ 7.19(s,1H), 7.18(d,1H), 7.07(d,1H), 6.82(brs,2H), 4.92(m,1H), 4.41(m , 1H), 4.31(s, 1H), 2.85-2.79(m, 4H), 2.02-1.96(m, 2H), 1.37(d, 3H), 1.27(dd, 6H).

實施例2Example 2

(S)-6-((1-(2,3-二氫-1H-茚-4-基)乙基)胺基)-3-異丙基嘧啶-2,4(1H,3H)-二酮2(S )-6-((1-(2,3-dihydro-1H -inden-4-yl)ethyl)amino)-3-isopropylpyrimidine-2,4(1H ,3H )-diketone2

Figure 110143813-A0202-12-0054-196
Figure 110143813-A0202-12-0054-196

第一步first step

(R)-N-(1-(2,3-二氫-1H-茚-4-基)亞乙基)-2-甲基丙烷-2-亞磺醯胺2b(R )-N-(1-(2,3- Dihydro-1H -inden-4-yl)ethylene)-2-methylpropane-2-sulfinamide2b

向1-(2,3-二氫-1H-茚-4-基)乙-1-酮2a(500.0mg,3.1mmol,梯希愛(上海)化成工業發展有限公司)和化合物1b(530.0mg,4.4mmol)的無水四氫呋喃(10mL)溶液中,加入1M三異丙氧基氯化鈦己烷溶液(3.8mL,3.8mmol)。於65℃攪拌反應16小時。加入飽和碳酸氫鈉水溶液(15mL),乙酸乙酯(50mL×2)萃取。合併有機相,用無水硫酸鈉乾燥,過濾,減壓濃縮,用矽膠管柱色譜法以沖提劑體系A純化所得殘餘物,得到標題產物2b(220.0mg,產率:26.8%)。To 1-(2,3-dihydro-1H -inden-4-yl)ethan-1-one2a (500.0 mg, 3.1 mmol, Tixiai (Shanghai) Chemical Industry Development Co., Ltd.) and compound1b (530.0 mg, 4.4 mmol) in dry tetrahydrofuran (10 mL), was added 1M triisopropoxytitanium chloride in hexane (3.8 mL, 3.8 mmol). The reaction was stirred at 65°C for 16 hours. Saturated aqueous sodium bicarbonate solution (15 mL) was added and extracted with ethyl acetate (50 mL×2). The organic phases were combined, dried over anhydrous sodium sulfate, filtered, concentrated under reduced pressure, and the resulting residue was purified by silica gel column chromatography with eluent system A to give the title product2b (220.0 mg, yield: 26.8%).

MS m/z(ESI):264.0[M+1]。MS m/z (ESI): 264.0 [M+1].

第二步second step

(R)-N-((S)-1-(2,3-二氫-1H-茚-4-基)乙基)-2-甲基丙烷-2-亞磺醯胺2c(R )-N -((S )-1-(2,3-dihydro-1H -inden-4-yl)ethyl)-2-methylpropane-2-sulfinamide2c

於-78℃,向化合物2b(220.0mg,0.8mmol)的無水四氫呋喃(5mL)溶液中,滴加1M三第二丁基硼氫化鋰四氫呋喃溶液(1.4mL,1.4mmol)。0℃反應1小時。加入飽和氯化銨水溶液(20mL),乙酸乙酯(30mL×2)萃取。合併有機相,用無水硫酸鈉乾燥,過濾,減壓濃縮,得到標題產物2c粗品(220mg),粗品無需純化直接用於下一步。To a solution of compound2b (220.0 mg, 0.8 mmol) in anhydrous tetrahydrofuran (5 mL) at -78°C was added dropwise a 1M solution of lithium tri-tert-butylborohydride in tetrahydrofuran (1.4 mL, 1.4 mmol). The reaction was carried out at 0°C for 1 hour. Saturated aqueous ammonium chloride solution (20 mL) was added, followed by extraction with ethyl acetate (30 mL×2). The organic phases were combined, dried over anhydrous sodium sulfate, filtered, and concentrated under reduced pressure to give crude title product2c (220 mg), which was used in the next step without purification.

MS m/z(ESI):266.1[M+1]。MS m/z (ESI): 266.1 [M+1].

第三步third step

(S)-1-(2,3-二氫-1H-茚-4-基)乙胺鹽酸鹽2d(S )-1-(2,3-Dihydro-1H -inden-4-yl)ethanamine hydrochloride2d

將化合物2c粗品(220.0mg,0.8mmol)溶於甲醇(1mL),滴加4M氯化氫的1,4-二噁烷溶液(1mL)。室溫反應1小時。減壓濃縮,得到標題產物2d粗品(166.0mg),粗品無需純化直接用於下一步。The crude compound2c (220.0 mg, 0.8 mmol) was dissolved in methanol (1 mL), and a 4M solution of hydrogen chloride in 1,4-dioxane (1 mL) was added dropwise. The reaction was carried out at room temperature for 1 hour. Concentration under reduced pressure gave crude title product2d (166.0 mg), which was used in the next step without purification.

MS m/z(ESI):145.1[M-16]。MS m/z (ESI): 145.1 [M-16].

第四步the fourth step

(S)-6-((1-(2,3-二氫-1H-茚-4-基)乙基)胺基)-3-異丙基嘧啶-2,4(1H,3H)-二酮2(S )-6-((1-(2,3-dihydro-1H -inden-4-yl)ethyl)amino)-3-isopropylpyrimidine-2,4(1H ,3H )-diketone2

將化合物2d粗品(166.0mg,0.8mmol)、化合物1f(188.6mg,0.8mmol)和N,N-二異丙基乙胺(543.0g,4.2mmol)溶於無水1,4-二噁烷(6mL)中。於130℃,微波反應2小時。減壓濃縮,用高效液相色譜法純化(Welch Ultimate XB-C18,5μm,30mm*150mm,沖提體系:水(10mM碳酸氫銨)、乙腈,乙腈在15.1分鐘內由35%(v/v)升至95%(v/v),檢測波長214&254nm),得到標題產物2(40.0mg,產率:15.2%)。Crude compound2d (166.0 mg, 0.8 mmol), compound1f (188.6 mg, 0.8 mmol) andN,N -diisopropylethylamine (543.0 g, 4.2 mmol) were dissolved in anhydrous 1,4-dioxane ( 6mL). At 130°C, the reaction was microwaved for 2 hours. Concentrated under reduced pressure, purified by high performance liquid chromatography (Welch Ultimate XB-C18, 5μm, 30mm*150mm, elution system: water (10mM ammonium bicarbonate), acetonitrile, acetonitrile was changed from 35% (v/v) in 15.1 minutes ) to 95% (v/v), detection wavelength 214 & 254 nm) to give the title product2 (40.0 mg, yield: 15.2%).

MS m/z(ESI):314.1[M+1]。MS m/z (ESI): 314.1 [M+1].

1H NMR(500MHz,DMSO-d6)δ 9.75(s,1H),7.14-7.11(m,2H),7.06(t,1H),6.46(s,1H),4.90(m,1H),4.58(m,1H),4.22(s,1H),2.94(m,1H),2.88-2.81(m,3H),2.06-2.00(m,2H),1.37(d,3H),1.27(dd,6H)。1 H NMR (500MHz, DMSO-d6 ) δ 9.75(s, 1H), 7.14-7.11(m, 2H), 7.06(t, 1H), 6.46(s, 1H), 4.90(m, 1H), 4.58 (m, 1H), 4.22(s, 1H), 2.94(m, 1H), 2.88-2.81(m, 3H), 2.06-2.00(m, 2H), 1.37(d, 3H), 1.27(dd, 6H) ).

實施例3Example 3

(S)-6-((1-(二環[4.2.0]辛-1(6),2,4-三烯-3-基)乙基)胺基)-3-異丙基嘧啶-2,4(1H,3H)-二酮3(S )-6-((1-(bicyclo[4.2.0]oct-1(6),2,4-trien-3-yl)ethyl)amino)-3-isopropylpyrimidine- 2,4(1H ,3H )-diketone3

Figure 110143813-A0202-12-0056-197
Figure 110143813-A0202-12-0056-197

第一步first step

(R)-N-(二環[4.2.0]辛-1(6),2,4-三烯-3-基甲亞基)-2-甲基丙烷-2-亞磺醯胺3b(R )-N-(bicyclo[4.2.0]oct- 1(6),2,4-trien-3-ylmethylidene)-2-methylpropane-2-sulfinamide3b

將二環[4.2.0]辛-1(6),2,4-三烯-3-甲醛3a(2.9g,22.0mmol,採用專利申請“WO2019023147A1中說明書第512-513頁化合物257”的合成方法”製備而得)和化合物1b(2.8g,23.0mmol)溶於二氯甲烷(40mL)。加入碳酸銫(8.6g,26.4mmol),攪拌反應16小時。反應液過濾,濾液減壓濃縮,得到標題產物3b粗品(5.7g),粗品無需純化直接用於下一步。The bicyclo[4.2.0]octa-1(6),2,4-triene-3-carbaldehyde3a (2.9 g, 22.0 mmol, was used to synthesize compound 257 on pages 512-513 of the patent application "WO2019023147A1"Method") and compound1b (2.8 g, 23.0 mmol) were dissolved in dichloromethane (40 mL). Cesium carbonate (8.6 g, 26.4 mmol) was added, and the reaction was stirred for 16 hours. The reaction solution was filtered, and the filtrate was concentrated under reduced pressure. The title product3b was obtained crude (5.7 g), which was used in the next step without purification.

MS m/z(ESI):236.1[M+1]。MS m/z (ESI): 236.1 [M+1].

第二步second step

(R)-N-((S)-1-(二環[4.2.0]辛-1(6),2,4-三烯-3-基)乙基)-2-甲基丙烷-2-亞磺醯胺3c(R )-N -((S )-1-(bicyclo[4.2.0]oct-1(6),2,4-trien-3-yl)ethyl)-2-methylpropane-2 -Sulfinamide3c

於-50℃,向化合物3b粗品(2.8g,12.1mmol)的無水二氯甲烷(80mL)溶液中,滴加3M甲基溴化鎂的甲基四氫呋喃溶液(8.1mL,24.2mmol,上海泰坦科技股份有限公司)。氮氣氛下,室溫反應16小時。加入飽和氯化銨水溶液(50mL),二氯甲烷(50mL×2)萃取。合併有機相,用無水硫酸鈉乾燥。過濾,減壓濃縮,用矽膠管柱色譜法以沖提劑體系A純化所得殘餘物,得到標題產物3c(2.0g,產率:66.2%)。To a solution of the crude compound3b (2.8 g, 12.1 mmol) in anhydrous dichloromethane (80 mL) at -50°C, a solution of 3M methylmagnesium bromide in methyltetrahydrofuran (8.1 mL, 24.2 mmol, Shanghai Titan Technology) was added dropwise. limited company). Under nitrogen atmosphere, the reaction was carried out at room temperature for 16 hours. Saturated aqueous ammonium chloride solution (50 mL) was added and extracted with dichloromethane (50 mL×2). The organic phases were combined and dried over anhydrous sodium sulfate. Filtration, concentration under reduced pressure, and purification of the resulting residue by silica gel column chromatography with eluent system A afforded the title product3c (2.0 g, yield: 66.2%).

MS m/z(ESI):252.1[M+1]。MS m/z (ESI): 252.1 [M+1].

第三步third step

(S)-1-(二環[4.2.0]辛-1(6),2,4-三烯-3-基)乙胺鹽酸鹽3d(S )-1-(bicyclo[4.2.0]oct-1(6),2,4-trien-3-yl)ethanamine hydrochloride3d

將化合物3c(500.0mg,2.0mmol)溶於甲醇(3mL),滴加4M氯化氫的1,4-二噁烷溶液(2mL)。室溫反應1小時。減壓濃縮,得到標題產物3d粗品(366.0mg),粗品無需純化直接用於下一步。Compound3c (500.0 mg, 2.0 mmol) was dissolved in methanol (3 mL), and a 4M solution of hydrogen chloride in 1,4-dioxane (2 mL) was added dropwise. The reaction was carried out at room temperature for 1 hour. Concentration under reduced pressure gave crude title product3d (366.0 mg), which was used in the next step without purification.

MS m/z(ESI):131.1[M-16]。MS m/z (ESI): 131.1 [M-16].

第四步the fourth step

(S)-6-((1-(二環[4.2.0]辛-1(6),2,4-三烯-3-基)乙基)胺基)-3-異丙基嘧啶-2,4(1H,3H)-二酮3(S )-6-((1-(bicyclo[4.2.0]oct-1(6),2,4-trien-3-yl)ethyl)amino)-3-isopropylpyrimidine- 2,4(1H ,3H )-diketone3

將化合物3d粗品(366.0mg,2.0mmol)、化合物1f(377.3mg,2.0mmol)和N,N-二異丙基乙胺(1.3g,10.1mmol)溶於無水1,4-二噁烷(6mL)中。於130℃,微波反應2小時。減壓濃縮,用高效液相色譜法純化(Welch Ultimate XB-C18,5μm,30mm*150mm,沖提體系:水(10mM碳酸氫銨)、乙腈,乙腈在13.1分鐘內由30%(v/v)升至95%(v/v),檢測波長214&254nm),得到標題產物3(208.0mg,產率:34.7%)。Crude compound3d (366.0 mg, 2.0 mmol), compound1f (377.3 mg, 2.0 mmol) andN,N -diisopropylethylamine (1.3 g, 10.1 mmol) were dissolved in anhydrous 1,4-dioxane ( 6mL). At 130°C, the reaction was microwaved for 2 hours. Concentrated under reduced pressure, purified by high performance liquid chromatography (Welch Ultimate XB-C18, 5 μm, 30 mm*150 mm, elution system: water (10 mM ammonium bicarbonate), acetonitrile, acetonitrile was changed from 30% (v/v) in 13.1 minutes ) to 95% (v/v), detection wavelength 214 & 254 nm) to give the title product3 (208.0 mg, yield: 34.7%).

MS m/z(ESI):300.1[M+1]。MS m/z (ESI): 300.1 [M+1].

1H NMR(500MHz,DMSO-d6)δ 9.75(s,1H),7.14(dd,1H),7.05(s,1H),7.04(d,1H),6.48(s,1H),4.90(m,1H),4.42(m,1H),4.31(s,1H),3.12-3.08(m,4H),1.37(d,3H),1.26(dd,6H)。1 H NMR (500MHz, DMSO-d6 )δ 9.75(s,1H), 7.14(dd,1H), 7.05(s,1H), 7.04(d,1H), 6.48(s,1H), 4.90(m , 1H), 4.42 (m, 1H), 4.31 (s, 1H), 3.12-3.08 (m, 4H), 1.37 (d, 3H), 1.26 (dd, 6H).

實施例4Example 4

(S)-6-((1-(2,3-二氫苯并呋喃-6-基)乙基)胺基)-3-異丙基嘧啶-2,4(1H,3H)-二酮4(S )-6-((1-(2,3-dihydrobenzofuran-6-yl)ethyl)amino)-3-isopropylpyrimidine-2,4(1H ,3H )- Diketone4

Figure 110143813-A0202-12-0058-245
Figure 110143813-A0202-12-0058-245

第一步first step

(R)-N-(2,3-二氫苯并呋喃-6-基)甲亞基)-2-甲基丙烷-2-亞磺醯胺4b(R )-N-(2,3-dihydrobenzofuran- 6-yl)methylidene)-2-methylpropane-2-sulfinamide4b

將2,3-二氫苯并呋喃-6-甲醛4a(1.0g,6.8mmol,江蘇艾康生物醫藥研發有限公司)和化合物1b(860.0mg,7.1mmol,上海泰坦科技股份有限公司)溶於二氯甲烷(40mL)。加入碳酸銫(2.6g,8.1mmol),攪拌反應16小時。反應液過濾,濾液減壓濃縮,得到標題產物4b粗品(1.8g),粗品無需純化直接用於下一步。2,3-Dihydrobenzofuran-6-carbaldehyde4a (1.0 g, 6.8 mmol, Jiangsu Aikang Biomedical R&D Co., Ltd.) and compound1b (860.0 mg, 7.1 mmol, Shanghai Titan Technology Co., Ltd.) were dissolved in Dichloromethane (40 mL). Cesium carbonate (2.6 g, 8.1 mmol) was added and the reaction was stirred for 16 hours. The reaction solution was filtered, and the filtrate was concentrated under reduced pressure to obtain the title product4b crude product (1.8 g), which was used in the next step without purification.

MS m/z(ESI):252.0[M+1]。MS m/z (ESI): 252.0 [M+1].

第二步second step

(R)-N-((S)-1-(2,3-二氫苯并呋喃-6-基)乙基)-2-甲基丙烷-2-亞磺醯胺4c(R )-N -((S )-1-(2,3-dihydrobenzofuran-6-yl)ethyl)-2-methylpropane-2-sulfinamide4c

於-50℃,向化合物4b粗品(1.7g,6.8mmol)的無水二氯甲烷(45mL)中,滴加3M甲基溴化鎂的甲基四氫呋喃溶液(4.9mL,14.6mmol)。氮氣氛下,室溫反應16小時。加入飽和氯化銨水溶液(30mL),二氯甲烷(30mL×2)萃取。合併有機相,用無水硫酸鈉乾燥。過濾,減壓濃縮,用矽膠管柱色譜法以沖提劑體系A純化所得殘餘物,得到標題產物4c(1.6g,產率:90.6%)。To a solution of crude compound4b (1.7 g, 6.8 mmol) in dry dichloromethane (45 mL) at -50°C was added dropwise a 3M solution of methylmagnesium bromide in methyltetrahydrofuran (4.9 mL, 14.6 mmol). Under nitrogen atmosphere, the reaction was carried out at room temperature for 16 hours. Saturated aqueous ammonium chloride solution (30 mL) was added and extracted with dichloromethane (30 mL×2). The organic phases were combined and dried over anhydrous sodium sulfate. Filtration, concentration under reduced pressure, and purification of the resulting residue by silica gel column chromatography with eluent system A afforded the title product4c (1.6 g, yield: 90.6%).

MS m/z(ESI):268.1[M+1]。MS m/z (ESI): 268.1 [M+1].

第三步third step

(S)-1-(2,3-二氫苯并呋喃-6-基)乙胺鹽酸鹽4d(S )-1-(2,3-dihydrobenzofuran-6-yl)ethanamine hydrochloride4d

將化合物4c(534.0mg,2.0mmol)溶於甲醇(3mL),滴加4M氯化氫的1,4-二噁烷溶液(2mL)。室溫反應1小時。減壓濃縮,得到標題產物4d粗品(400.0mg),粗品無需純化直接用於下一步。Compound4c (534.0 mg, 2.0 mmol) was dissolved in methanol (3 mL), and a 4M solution of hydrogen chloride in 1,4-dioxane (2 mL) was added dropwise. The reaction was carried out at room temperature for 1 hour. Concentration under reduced pressure gave crude title product4d (400.0 mg), which was used in the next step without purification.

MS m/z(ESI):147.1[M-16]。MS m/z (ESI): 147.1 [M-16].

第四步the fourth step

(S)-6-((1-(2,3-二氫苯并呋喃-6-基)乙基)胺基)-3-異丙基嘧啶-2,4(1H,3H)-二酮4(S )-6-((1-(2,3-dihydrobenzofuran-6-yl)ethyl)amino)-3-isopropylpyrimidine-2,4(1H ,3H )- Diketone4

將化合物4d粗品(399.4mg,2.0mmol)、化合物1f(377.3mg,2.0mmol)和N,N-二異丙基乙胺(1.3g,10.1mmol)溶於無水1,4-二噁烷(6mL)中。於130℃,微波反應2小時。減壓濃縮,用高效液相色譜法純化(Boston Phlex Prep C18,5μm 30*150mm,沖提體系:水(10mM碳酸氫銨)、乙腈,乙腈在15分鐘內由28%(v/v)升至48%(v/v),檢測波長214&254nm),得到標題產物4(170.0mg,產率:26.9%)。Crude compound4d (399.4 mg, 2.0 mmol), compound1f (377.3 mg, 2.0 mmol) andN,N -diisopropylethylamine (1.3 g, 10.1 mmol) were dissolved in anhydrous 1,4-dioxane ( 6mL). At 130°C, the reaction was microwaved for 2 hours. Concentrated under reduced pressure, purified by high performance liquid chromatography (Boston Phlex Prep C18, 5 μm 30*150 mm, elution system: water (10 mM ammonium bicarbonate), acetonitrile, 28% (v/v) acetonitrile in 15 minutes to 48% (v/v), detection wavelength 214 & 254 nm) to give the title product4 (170.0 mg, yield: 26.9%).

MS m/z(ESI):316.1[M+1]。MS m/z (ESI): 316.1 [M+1].

1H NMR(500MHz,DMSO-d6)δ 9.76(s,1H),7.18(d,1H),6.77(dd,1H),6.73(s,1H),6.47(s,1H),4.90(m,1H),4.50(t,2H),4.41(m,1H),4.31(s,1H),3.12(t,2H),1.37(d,3H),1.26(dd,6H)。1 H NMR (500MHz, DMSO-d6 )δ 9.76(s,1H), 7.18(d,1H), 6.77(dd,1H), 6.73(s,1H), 6.47(s,1H), 4.90(m , 1H), 4.50(t, 2H), 4.41(m, 1H), 4.31(s, 1H), 3.12(t, 2H), 1.37(d, 3H), 1.26(dd, 6H).

實施例5Example 5

(S)-3-異丙基-6-((1-(5,6,7,8-四氫萘-2-基)乙基)胺基)-嘧啶-2,4(1H,3H)-二酮5(S )-3-isopropyl-6-((1-(5,6,7,8-tetrahydronaphthalen-2-yl)ethyl)amino)-pyrimidine-2,4(1H ,3H )-diketone5

Figure 110143813-A0202-12-0060-201
Figure 110143813-A0202-12-0060-201

第一步first step

(R)-2-甲基-N-(1-(5,6,7,8-四氫萘-2-基)乙亞基)丙烷-2-亞磺醯胺5b(R )-2-Methyl-N- (1-(5,6,7,8-tetrahydronaphthalen-2-yl)ethylidene)propane-2-sulfinamide5b

在1-(5,6,7,8-四氫萘-2-基)乙-1-酮5a(2.0g,11.5mmol,阿法埃莎(天津)化學有限公司)和化合物1b(2.1g,17.3mmol)的無水四氫呋喃(20mL)中,加入四乙氧基鈦(4.0g,17.3mmol,安耐吉化學)。於65℃攪拌反應16小時。加入飽和碳酸氫鈉溶液(60mL),乙酸乙酯(100mL×2)萃取。合併有機相,用無水硫酸鈉乾燥。過濾,減壓濃縮,用矽膠管柱色譜法以沖提劑體系A純化所得殘餘物,得到標題產物5b(2.6g,產率:81.6%)。In 1-(5,6,7,8-tetrahydronaphthalen-2-yl)ethan-1-one5a (2.0 g, 11.5 mmol, Alfa Aesar (Tianjin) Chemical Co., Ltd.) and compound1b (2.1 g , 17.3 mmol) in anhydrous tetrahydrofuran (20 mL), was added tetraethoxytitanium (4.0 g, 17.3 mmol, Annagy Chemical). The reaction was stirred at 65°C for 16 hours. Saturated sodium bicarbonate solution (60 mL) was added and extracted with ethyl acetate (100 mL×2). The organic phases were combined and dried over anhydrous sodium sulfate. Filtration, concentration under reduced pressure, and purification of the resulting residue by silica gel column chromatography with eluent system A afforded the title product5b (2.6 g, yield: 81.6%).

MS m/z(ESI):278.0[M+1]。MS m/z (ESI): 278.0 [M+1].

第二步second step

(R)-2-甲基-N-((S)-1-(5,6,7,8-四氫萘-2-基)乙基)丙烷-2-亞磺醯胺5c(R )-2-Methyl-N -((S )-1-(5,6,7,8-tetrahydronaphthalen-2-yl)ethyl)propane-2-sulfinamide5c

於-78℃,向化合物5b(600mg,2.2mmol)的無水四氫呋喃(10mL)中,滴加1M三第二丁基硼氫化鋰四氫呋喃溶液(3.5mL,3.5mmol,上海泰坦科技股份有限公司)。0℃反應1小時。加入飽和氯化銨水溶液(20mL),乙酸乙酯(30mL×2)萃取。合併有機相,用無水硫酸鈉乾燥、過濾,減壓濃縮,得到標題產物5c粗品(600mg),粗品無需純化直接用於下一步。To compound5b (600 mg, 2.2 mmol) in anhydrous tetrahydrofuran (10 mL) at -78° C., was added dropwise a 1M solution of lithium tri-tert-butylborohydride in tetrahydrofuran (3.5 mL, 3.5 mmol, Shanghai Titan Technology Co., Ltd.). The reaction was carried out at 0°C for 1 hour. Saturated aqueous ammonium chloride solution (20 mL) was added and extracted with ethyl acetate (30 mL×2). The organic phases were combined, dried over anhydrous sodium sulfate, filtered, and concentrated under reduced pressure to give crude title product5c (600 mg), which was used in the next step without purification.

MS m/z(ESI):280.1[M+1]。MS m/z (ESI): 280.1 [M+1].

第三步third step

(S)-1-(5,6,7,8-四氫萘-2-基)乙胺鹽酸鹽5d(S )-1-(5,6,7,8-tetrahydronaphthalen-2-yl)ethanamine hydrochloride5d

將化合物5c粗品(600mg,2.2mmol)溶於甲醇(3mL),滴加4M氯化氫的1,4-二噁烷溶液(2.2mL)。反應攪拌1小時。減壓濃縮,得到標題產物5d粗品(455.0mg),粗品無需純化直接用於下一步。The crude compound5c (600 mg, 2.2 mmol) was dissolved in methanol (3 mL), and a 4M solution of hydrogen chloride in 1,4-dioxane (2.2 mL) was added dropwise. The reaction was stirred for 1 hour. Concentration under reduced pressure gave crude title product5d (455.0 mg), which was used in the next step without purification.

MS m/z(ESI):159.1[M-16]。MS m/z (ESI): 159.1 [M-16].

第四步the fourth step

(S)-3-異丙基-6-((1-(5,6,7,8-四氫萘-2-基)乙基)胺基)嘧啶-2,4(1H,3H)-二酮5(S )-3-isopropyl-6-((1-(5,6,7,8-tetrahydronaphthalen-2-yl)ethyl)amino)pyrimidine-2,4(1H ,3H )-diketone5

將化合物5d粗品(380.4mg,2.2mmol)、6-氯-3-異丙基嘧啶-2,4(1H,3H)-二酮1f(409.3mg,2.2mmol)和N,N-二異丙基乙胺(1.4g,10.9mmol)溶於無水1,4-二噁烷(5mL)中。於130℃,微波反應2小時。減壓濃縮,用高效液相色譜法純化(Welch Ultimate XB-C18,5μm,30mm*150mm,沖提體系:水(10mM碳酸氫銨)、乙腈,乙腈在16.1分鐘內由35%(v/v)升至95%(v/v),檢測波長214&254nm),得到標題產物5(170.0mg,產率:23.9%)。The crude compound5d (380.4 mg, 2.2 mmol), 6-chloro-3-isopropylpyrimidine-2,4(1H ,3H )-dione1f (409.3 mg, 2.2 mmol) andN,N -dione Isopropylethylamine (1.4 g, 10.9 mmol) was dissolved in dry 1,4-dioxane (5 mL). At 130°C, the reaction was microwaved for 2 hours. Concentrated under reduced pressure, purified by high performance liquid chromatography (Welch Ultimate XB-C18, 5 μm, 30 mm*150 mm, elution system: water (10 mM ammonium bicarbonate), acetonitrile, acetonitrile was converted from 35% (v /v ) in 16.1 min ) rose to 95% (v /v ), detection wavelength 214 & 254 nm) to give the title product5 (170.0 mg, yield: 23.9%).

MS m/z(ESI):328.2[M+1]。MS m/z (ESI): 328.2 [M+1].

1H NMR(500MHz,DMSO-d6)δ 9.74(s,1H),7.03-7.00(m,3H),6.44(d,1H),4.90(m,1H),4.48(m,1H),4.33(s,1H),2.71-2.66(m,4H),1.73-1.71(m,4H),1.35(d,3H),1.27(dd,6H)。1 H NMR (500MHz, DMSO-d6 )δ 9.74(s, 1H), 7.03-7.00(m, 3H), 6.44(d, 1H), 4.90(m, 1H), 4.48(m, 1H), 4.33 (s, 1H), 2.71-2.66 (m, 4H), 1.73-1.71 (m, 4H), 1.35 (d, 3H), 1.27 (dd, 6H).

實施例6Example 6

(S)-6-((1-(2,3-二氫苯并呋喃-4-基)乙基)胺基)-3-異丙基嘧啶-2,4(1H,3H)-二酮6(S )-6-((1-(2,3-dihydrobenzofuran-4-yl)ethyl)amino)-3-isopropylpyrimidine-2,4(1H ,3H )- Diketone6

Figure 110143813-A0202-12-0062-203
Figure 110143813-A0202-12-0062-203

第一步first step

(R)-N-((2,3-二氫苯并呋喃-4-基)甲亞基)-2-甲基丙烷-2-亞磺醯胺6b(R )-N -((2,3-dihydrobenzofuran-4-yl)methylidene)-2-methylpropane-2-sulfinamide6b

將2,3-二氫苯并呋喃-4-甲醛6a(1.0g,6.8mmol,上海畢得醫藥科技有限公司)和化合物1b(860.0mg,7.1mmol)溶於二氯甲烷(13mL)。加入碳酸銫(2.6g,8.1mmol),攪拌反應16小時。反應液過濾,濾液減壓濃縮,得到標題產物6b粗品(1.7g),粗品無需純化直接用於下一步。2,3-Dihydrobenzofuran-4-carbaldehyde6a (1.0 g, 6.8 mmol, Shanghai Bide Pharmaceutical Technology Co., Ltd.) and compound1b (860.0 mg, 7.1 mmol) were dissolved in dichloromethane (13 mL). Cesium carbonate (2.6 g, 8.1 mmol) was added and the reaction was stirred for 16 hours. The reaction solution was filtered, and the filtrate was concentrated under reduced pressure to obtain the title product6b crude product (1.7 g), which was used in the next step without purification.

MS m/z(ESI):252.0[M+1]。MS m/z (ESI): 252.0 [M+1].

第二步second step

(R)-N-((S)-1-(2,3-二氫苯并呋喃-4-基)乙基)-2-甲基丙烷-2-亞磺醯胺6c(R )-N -((S )-1-(2,3-dihydrobenzofuran-4-yl)ethyl)-2-methylpropane-2-sulfinamide6c

於-50℃,向化合物6b粗品(1.7g,6.8mmol)的無水二氯甲烷(45mL)中,滴加3M甲基溴化鎂的甲基四氫呋喃溶液(5.0mL,14.9mmol)。氮氣氛下,室溫反應16小時。加入飽和氯化銨水溶液(30mL),二氯甲烷(30mL×2)萃取。合併有機相,用無水硫酸鈉乾燥,過濾,減壓濃縮,用矽膠管柱色譜法以沖提劑體系A純化所得殘餘物,得到標題產物6c(1.6g,產率:88.5%)。To a solution of crude compound6b (1.7 g, 6.8 mmol) in dry dichloromethane (45 mL) at -50°C was added dropwise a 3M solution of methylmagnesium bromide in methyltetrahydrofuran (5.0 mL, 14.9 mmol). Under nitrogen atmosphere, the reaction was carried out at room temperature for 16 hours. Saturated aqueous ammonium chloride solution (30 mL) was added and extracted with dichloromethane (30 mL×2). The organic phases were combined, dried over anhydrous sodium sulfate, filtered, concentrated under reduced pressure, and the resulting residue was purified by silica gel column chromatography with eluent system A to give the title product6c (1.6 g, yield: 88.5%).

MS m/z(ESI):268.1[M+1]。MS m/z (ESI): 268.1 [M+1].

第三步third step

(S)-1-(2,3-二氫苯并呋喃-4-基)乙胺鹽酸鹽6d(S )-1-(2,3-dihydrobenzofuran-4-yl)ethanamine hydrochloride6d

將化合物6c(534.0mg,2.0mmol)溶於甲醇(3mL),滴加4M氯化氫的1,4-二噁烷溶液(2mL)。反應攪拌1小時。減壓濃縮,得到標題產物6d粗品(400.0mg),粗品無需純化直接用於下一步。Compound6c (534.0 mg, 2.0 mmol) was dissolved in methanol (3 mL), and a 4M solution of hydrogen chloride in 1,4-dioxane (2 mL) was added dropwise. The reaction was stirred for 1 hour. Concentration under reduced pressure gave crude title product6d (400.0 mg), which was used in the next step without purification.

MS m/z(ESI):147.1[M-16]。MS m/z (ESI): 147.1 [M-16].

第四步the fourth step

(S)-6-((1-(2,3-二氫苯并呋喃-4-基)乙基)胺基)-3-異丙基嘧啶-2,4(1H,3H)-二酮6(S )-6-((1-(2,3-dihydrobenzofuran-4-yl)ethyl)amino)-3-isopropylpyrimidine-2,4(1H ,3H )- Diketone6

將化合物6d粗品(399.4mg,2.0mmol)、化合物1f(377.3mg,2.0mmol)和N,N-二異丙基乙胺(1.3g,10.1mmol)溶於無水1,4-二噁烷(5mL)中。於130℃,微波反應2小時。減壓濃縮,用高效液相色譜法純化(Welch Ultimate XB-C18,5μm,30mm*150mm,沖提體系:水(10mM碳酸氫銨)、乙腈,乙腈在15.1分鐘內由45%(v/v)升至95%(v/v),檢測波長214&254nm),得到標題產物6(138.0mg,產率:21.9%)。Crude compound6d (399.4 mg, 2.0 mmol), compound1f (377.3 mg, 2.0 mmol) andN,N -diisopropylethylamine (1.3 g, 10.1 mmol) were dissolved in anhydrous 1,4-dioxane ( 5mL). At 130°C, the reaction was microwaved for 2 hours. Concentrated under reduced pressure, purified by high performance liquid chromatography (Welch Ultimate XB-C18, 5μm, 30mm*150mm, elution system: water (10mM ammonium bicarbonate), acetonitrile, acetonitrile was changed from 45% (v/v) in 15.1 minutes ) to 95% (v/v), detection wavelength 214 & 254 nm) to give the title product6 (138.0 mg, yield: 21.9%).

MS m/z(ESI):316.1[M+1]。MS m/z (ESI): 316.1 [M+1].

1H NMR(500MHz,DMSO-d6)δ 9.78(s,1H),7.09(t,1H),6.77(d,1H),6.67(d,1H),6.48(s,1H),4.91(m,1H),4.58-4.50(m,2H),4.44(m,1H),4.27(s,1H),3.25(m,1H),3.14(m,1H),1.38(d,3H),1.27(d,6H)。1 H NMR (500MHz, DMSO-d6 )δ 9.78(s,1H), 7.09(t,1H), 6.77(d,1H), 6.67(d,1H), 6.48(s,1H), 4.91(m ,1H),4.58-4.50(m,2H),4.44(m,1H),4.27(s,1H),3.25(m,1H),3.14(m,1H),1.38(d,3H),1.27( d, 6H).

實施例7Example 7

(S)-6-((1-(2,3-二氫苯并呋喃-7-基)乙基)胺基)-3-異丙基嘧啶-2,4(1H,3H)-二酮7(S )-6-((1-(2,3-dihydrobenzofuran-7-yl)ethyl)amino)-3-isopropylpyrimidine-2,4(1H ,3H )- Diketone7

Figure 110143813-A0202-12-0064-207
Figure 110143813-A0202-12-0064-207

第一步first step

(R)-N-(2,3-二氫苯并呋喃-7-基)甲亞基)-2-甲基丙烷-2-亞磺醯胺7b(R )-N-(2,3-dihydrobenzofuran- 7-yl)methylidene)-2-methylpropane-2-sulfinamide7b

將2,3-二氫苯并呋喃-7-甲醛7a(1.0g,6.8mmol,上海畢得醫藥科技有限公司)和化合物1b(860.0mg,7.1mmol)溶於二氯甲烷(13mL)。加入碳酸銫(2.6g,8.1mmol),攪拌反應16小時。反應液過濾,濾液減壓濃縮,得到標題產物7b粗品(1.7g),粗品無需純化直接用於下一步。2,3-Dihydrobenzofuran-7-carbaldehyde7a (1.0 g, 6.8 mmol, Shanghai Bide Pharmaceutical Technology Co., Ltd.) and compound1b (860.0 mg, 7.1 mmol) were dissolved in dichloromethane (13 mL). Cesium carbonate (2.6 g, 8.1 mmol) was added and the reaction was stirred for 16 hours. The reaction solution was filtered, and the filtrate was concentrated under reduced pressure to obtain the title product7b as a crude product (1.7 g), which was used in the next step without purification.

MS m/z(ESI):252.0[M+1]。MS m/z (ESI): 252.0 [M+1].

第二步second step

(R)-N-((S)-1-(2,3-二氫苯并呋喃-7-基)乙基)-2-甲基丙烷-2-亞磺醯胺7c(R )-N -((S )-1-(2,3-dihydrobenzofuran-7-yl)ethyl)-2-methylpropane-2-sulfinamide7c

於-50℃,向化合物7b粗品(1.7g,6.8mmol)的無水二氯甲烷(45mL)中,滴加3M甲基溴化鎂的甲基四氫呋喃溶液(5.0mL,14.9mmol)。氮氣氛下,室溫反應16小時。加入飽和氯化銨水溶液(30mL),二氯甲烷(30mL×2)萃取。合併有機相,用無水硫酸鈉乾燥,過濾,減壓濃縮,用矽膠管柱色譜法以沖提劑體系A純化所得殘餘物,得到標題產物7c(1.6g,產率:86.8%)。To a solution of crude compound7b (1.7 g, 6.8 mmol) in dry dichloromethane (45 mL) at -50°C was added dropwise a 3M solution of methylmagnesium bromide in methyltetrahydrofuran (5.0 mL, 14.9 mmol). Under nitrogen atmosphere, the reaction was carried out at room temperature for 16 hours. Saturated aqueous ammonium chloride solution (30 mL) was added and extracted with dichloromethane (30 mL×2). The organic phases were combined, dried over anhydrous sodium sulfate, filtered, concentrated under reduced pressure, and the resulting residue was purified by silica gel column chromatography with eluent system A to give the title product7c (1.6 g, yield: 86.8%).

MS m/z(ESI):268.1[M+1]。MS m/z (ESI): 268.1 [M+1].

第三步third step

(S)-1-(2,3-二氫苯并呋喃-7-基)乙胺鹽酸鹽7d(S )-1-(2,3-dihydrobenzofuran-7-yl)ethanamine hydrochloride7d

將化合物7c(534.0mg,2.0mmol)溶於甲醇(3mL),滴加4M氯化氫的1,4-二噁烷溶液(2mL)。反應攪拌1小時。減壓濃縮,得到標題產物7d粗品(400.0mg),粗品無需純化直接用於下一步。Compound7c (534.0 mg, 2.0 mmol) was dissolved in methanol (3 mL), and a 4M solution of hydrogen chloride in 1,4-dioxane (2 mL) was added dropwise. The reaction was stirred for 1 hour. Concentration under reduced pressure gave crude title product7d (400.0 mg), which was used in the next step without purification.

MS m/z(ESI):147.1[M-16]。MS m/z (ESI): 147.1 [M-16].

第四步the fourth step

(S)-6-((1-(2,3-二氫苯并呋喃-7-基)乙基)胺基)-3-異丙基嘧啶-2,4(1H,3H)-二酮7(S )-6-((1-(2,3-dihydrobenzofuran-7-yl)ethyl)amino)-3-isopropylpyrimidine-2,4(1H ,3H )- Diketone7

將化合物7d粗品(399.4mg,2.0mmol)、化合物1f(377.3mg,2.0mmol)和N,N-二異丙基乙胺(1.3g,10.1mmol)溶於無水1,4-二噁烷(5mL)中。於130℃,微波反應2小時。減壓濃縮,用高效液相色譜法純化(Boston Phlex Prep C18,5μm 30*150mm,沖提體系:水(10mM碳酸氫銨)、乙腈,乙腈在15分鐘內由30%(v/v)升至50%(v/v),檢測波長214&254nm),得到標題產物7(200.0mg,產率:31.7%)。Crude compound7d (399.4 mg, 2.0 mmol), compound1f (377.3 mg, 2.0 mmol) andN,N -diisopropylethylamine (1.3 g, 10.1 mmol) were dissolved in anhydrous 1,4-dioxane ( 5mL). At 130°C, the reaction was microwaved for 2 hours. Concentrated under reduced pressure, purified by high performance liquid chromatography (Boston Phlex Prep C18, 5 μm 30*150 mm, elution system: water (10 mM ammonium bicarbonate), acetonitrile, acetonitrile was 30% (v/v) liters in 15 minutes to 50% (v/v), detection wavelength 214 & 254 nm) to give the title product7 (200.0 mg, yield: 31.7%).

MS m/z(ESI):316.2[M+1]。MS m/z (ESI): 316.2 [M+1].

1H NMR(500MHz,DMSO-d6)δ 9.87(s,1H),7.14(d,1H),7.04(d,1H),6.81(t,1H),6.42(d,1H),4.90(m,1H),4.58(t,2H),4.47(m,1H),4.33(s,1H),3.18(t,2H),1.38(d,3H),1.26(dd,6H)。1 H NMR (500MHz, DMSO-d6 )δ 9.87(s,1H), 7.14(d,1H), 7.04(d,1H), 6.81(t,1H), 6.42(d,1H), 4.90(m , 1H), 4.58(t, 2H), 4.47(m, 1H), 4.33(s, 1H), 3.18(t, 2H), 1.38(d, 3H), 1.26(dd, 6H).

實施例8Example 8

(S)-3-異丙基-6-((1-(5,6,7,8-四氫萘-1-基)乙基)胺基)嘧啶-2,4(1H,3H)-二酮8(S )-3-isopropyl-6-((1-(5,6,7,8-tetrahydronaphthalen-1-yl)ethyl)amino)pyrimidine-2,4(1H ,3H )-diketone8

Figure 110143813-A0202-12-0066-246
Figure 110143813-A0202-12-0066-246

第一步first step

(R)-2-甲基-N-((5,6,7,8-四氫萘-1-基)甲亞基)丙烷-2-亞磺醯胺8b(R )-2-Methyl-N -((5,6,7,8-tetrahydronaphthalen-1-yl)methylidene)propane-2-sulfinamide8b

將5,6,7,8-四氫萘-1-甲醛8a(1.0g,6.3mmol,上海畢得醫藥科技有限公司)和化合物1b(794.0mg,6.6mmol)溶於二氯甲烷(12mL)。加入碳酸銫(2.5g,7.5mmol),攪拌反應16小時。反應液過濾,濾液減壓濃縮,得到標題產物8b粗品(1.6g),粗品無需純化直接用於下一步。5,6,7,8-Tetrahydronaphthalene-1-carbaldehyde8a (1.0 g, 6.3 mmol, Shanghai Bide Pharmaceutical Technology Co., Ltd.) and compound1b (794.0 mg, 6.6 mmol) were dissolved in dichloromethane (12 mL) . Cesium carbonate (2.5 g, 7.5 mmol) was added and the reaction was stirred for 16 hours. The reaction solution was filtered, and the filtrate was concentrated under reduced pressure to obtain the title product8b as a crude product (1.6 g), which was used in the next step without purification.

MS m/z(ESI):264.1[M+1]。MS m/z (ESI): 264.1 [M+1].

第二步second step

(R)-2-甲基-N-((S)-1-(5,6,7,8-四氫萘-1-基)乙基)丙烷-2-亞磺醯胺8c(R )-2-Methyl-N -((S )-1-(5,6,7,8-tetrahydronaphthalen-1-yl)ethyl)propane-2-sulfinamide8c

於-50℃,向化合物8b粗品(1.6g,6.3mmol)的無水二氯甲烷(45mL)中,滴加3M甲基溴化鎂的甲基四氫呋喃溶液(4.6mL,13.8mmol)。氮氣氛下,室溫反應16小時。加入飽和氯化銨水溶液(30mL),二氯甲烷(30mL×2)萃取。合併有機相,用無水硫酸鈉乾燥,過濾,減壓濃縮,用矽膠管柱色譜法以沖提劑體系A純化所得殘餘物,得到標題產物8c(1.5g,產率:85.7%)。To crude compound8b (1.6 g, 6.3 mmol) in anhydrous dichloromethane (45 mL) at -50°C was added dropwise a 3M methylmagnesium bromide solution in methyltetrahydrofuran (4.6 mL, 13.8 mmol). Under nitrogen atmosphere, the reaction was carried out at room temperature for 16 hours. Saturated aqueous ammonium chloride solution (30 mL) was added and extracted with dichloromethane (30 mL×2). The organic phases were combined, dried over anhydrous sodium sulfate, filtered, concentrated under reduced pressure, and the resulting residue was purified by silica gel column chromatography with eluent system A to give the title product8c (1.5 g, yield: 85.7%).

MS m/z(ESI):280.1[M+1]。MS m/z (ESI): 280.1 [M+1].

第三步third step

(S)-1-(5,6,7,8-四氫萘-1-基)乙胺鹽酸鹽8d(S )-1-(5,6,7,8-tetrahydronaphthalen-1-yl)ethanamine hydrochloride8d

將化合物8c(558.9mg,2.0mmol)溶於甲醇(3mL),滴加4M氯化氫的1,4-二噁烷溶液(2mL)。反應攪拌1小時。減壓濃縮,得到標題產物8d粗品(424.0mg),粗品無需純化直接用於下一步。Compound8c (558.9 mg, 2.0 mmol) was dissolved in methanol (3 mL), and a 4M solution of hydrogen chloride in 1,4-dioxane (2 mL) was added dropwise. The reaction was stirred for 1 hour. Concentration under reduced pressure gave crude title product8d (424.0 mg), which was used in the next step without purification.

MS m/z(ESI):159.1[M-16]。MS m/z (ESI): 159.1 [M-16].

第四步the fourth step

(S)-3-異丙基-6-((1-(5,6,7,8-四氫萘-1-基)乙基)胺基)嘧啶-2,4(1H,3H)-二酮8(S )-3-isopropyl-6-((1-(5,6,7,8-tetrahydronaphthalen-1-yl)ethyl)amino)pyrimidine-2,4(1H ,3H )-diketone8

將化合物8d粗品(423.5mg,2.0mmol)、化合物1f(377.3mg,2.0mmol)和N,N-二異丙基乙胺(1.3g,10.1mmol)溶於無水1,4-二噁烷(5mL)中。於130℃,微波反應2小時。減壓濃縮,用高效液相色譜法純化(Welch Ultimate XB-C18,5μm,30mm*150mm,沖提體系:水(10mM碳酸氫銨)、乙腈,乙腈在15.1分鐘內由60%(v/v)升至95%(v/v),檢測波長214&254nm),得到標題產物8(200.0mg,產率:30.5%)。Crude compound8d (423.5 mg, 2.0 mmol), compound1f (377.3 mg, 2.0 mmol) andN,N -diisopropylethylamine (1.3 g, 10.1 mmol) were dissolved in anhydrous 1,4-dioxane ( 5mL). At 130°C, the reaction was microwaved for 2 hours. Concentrated under reduced pressure, purified by high performance liquid chromatography (Welch Ultimate XB-C18, 5 μm, 30 mm*150 mm, elution system: water (10 mM ammonium bicarbonate), acetonitrile, acetonitrile was changed from 60% (v/v) in 15.1 minutes ) to 95% (v/v), detection wavelength 214 & 254 nm) to give the title product8 (200.0 mg, yield: 30.5%).

MS m/z(ESI):328.2[M+1]。MS m/z (ESI): 328.2 [M+1].

1H NMR(500MHz,DMSO-d6)δ 9.74(s,1H),7.12-7.08(m,2H),6.97(m,1H),6.45(d,1H),4.90(m,1H),4.59(m,1H),4.17(s,1H),2.80-2.73(m,3H),2.65(m,1H),1.81-1.76(m,2H),1.73-1.68(m,2H),1.34(d,3H),1.27(dd,6H)。1 H NMR (500MHz, DMSO-d6 ) δ 9.74(s, 1H), 7.12-7.08(m, 2H), 6.97(m, 1H), 6.45(d, 1H), 4.90(m, 1H), 4.59 (m, 1H), 4.17(s, 1H), 2.80-2.73(m, 3H), 2.65(m, 1H), 1.81-1.76(m, 2H), 1.73-1.68(m, 2H), 1.34(d , 3H), 1.27 (dd, 6H).

實施例9Example 9

并呋喃-4-甲醛9b(S)-6-((1-(1,3-二氫異苯并呋喃-4-基)乙基)胺基)-3-異丙基嘧啶-2,4(1H,3H)-二酮9Isofuran-4-carbaldehyde9b (S )-6-((1-(1,3-dihydroisobenzofuran-4-yl)ethyl)amino)-3-isopropylpyrimidine-2,4 (1H ,3H )-diketone9

Figure 110143813-A0202-12-0068-209
Figure 110143813-A0202-12-0068-209

第一步first step

1,3-二氫異苯1,3-Dihydroisobenzene

於-78℃,向4-溴-1,3-二氫異苯并呋喃9a(1.0g,5.0mmol,上海畢得醫藥科技有限公司)的無水四氫呋喃溶液(12mL)中,滴加2.5M正丁基鋰的正己烷溶液(2.4mL,6.0mmol,上海泰坦科技股份有限公司)。氮氣氛下,於-78℃攪拌反應30分鐘。加入無水N,N-二甲基甲醯胺(550.2mg,7.5mmol),-78℃反應30分鐘。反應緩慢升至室溫,攪拌1小時。加入飽和氯化銨水溶液(20mL),乙酸乙酯(30mL×2)萃取,合併有機相,減壓濃縮,得到標題產物9b粗品(731.0mg),粗品無需純化直接用於下一步。To a solution of 4-bromo-1,3-dihydroisobenzofuran9a (1.0 g, 5.0 mmol, Shanghai Bide Pharmaceutical Technology Co., Ltd.) in anhydrous tetrahydrofuran (12 mL) at -78 °C, 2.5 M normal A solution of butyllithium in n-hexane (2.4 mL, 6.0 mmol, Shanghai Titan Technology Co., Ltd.). The reaction was stirred at -78°C for 30 minutes under nitrogen atmosphere. AnhydrousN,N -dimethylformamide (550.2 mg, 7.5 mmol) was added, and the reaction was carried out at -78°C for 30 minutes. The reaction was slowly warmed to room temperature and stirred for 1 hour. Saturated aqueous ammonium chloride solution (20 mL) was added, extracted with ethyl acetate (30 mL×2), the organic phases were combined and concentrated under reduced pressure to obtain the title product9b crude product (731.0 mg), which was used in the next step without purification.

MS m/z(ESI):149.1[M+1]。MS m/z (ESI): 149.1 [M+1].

第二步second step

(R)-N-((1,3-二氫異苯并呋喃-4-基)甲亞基)-2-甲基丙烷-2-亞磺醯胺9c(R )-N -((1,3-dihydroisobenzofuran-4-yl)methylidene)-2-methylpropane-2-sulfinamide9c

將化合物9b(731.0g,4.9mmol)和化合物1b(627.9mg,5.2mmol)溶於二氯甲烷(10mL)。加入碳酸銫(1.9g,5.9mmol),攪拌反應16小時。反應液過濾,濾液減壓濃縮,得到標題產物9c粗品(1.3g),粗品無需純化直接用於下一步。Compound9b (731.0 g, 4.9 mmol) and compound1b (627.9 mg, 5.2 mmol) were dissolved in dichloromethane (10 mL). Cesium carbonate (1.9 g, 5.9 mmol) was added and the reaction was stirred for 16 hours. The reaction solution was filtered, and the filtrate was concentrated under reduced pressure to obtain the title product9c as a crude product (1.3 g). The crude product was used in the next step without purification.

MS m/z(ESI):252.1[M+1]。MS m/z (ESI): 252.1 [M+1].

第三步third step

(R)-N-((S)-1-(1,3-二氫異苯并呋喃-4-基)乙基)-2-甲基丙烷-2-亞磺醯胺9d(R )-N -((S )-1-(1,3-dihydroisobenzofuran-4-yl)ethyl)-2-methylpropane-2-sulfinamide9d

於-50℃,向化合物9c粗品(1.3g,5.1mmol)的無水二氯甲烷(30mL)中,滴加3M甲基溴化鎂的甲基四氫呋喃溶液(3.7mL,11.0mmol)。氮氣氛下,室溫反應16小時。加入飽和氯化銨水溶液(30mL),二氯甲烷(30mL×2)萃取。合併有機相,用無水硫酸鈉乾燥,過濾,減壓濃縮,用矽膠管柱色譜法以沖提劑體系A純化所得殘餘物,得到標題產物9d(838.0g,產率:62.5%)。To crude compound9c (1.3 g, 5.1 mmol) in anhydrous dichloromethane (30 mL) at -50°C was added dropwise a 3M methylmagnesium bromide solution in methyltetrahydrofuran (3.7 mL, 11.0 mmol). Under nitrogen atmosphere, the reaction was carried out at room temperature for 16 hours. Saturated aqueous ammonium chloride solution (30 mL) was added and extracted with dichloromethane (30 mL×2). The organic phases were combined, dried over anhydrous sodium sulfate, filtered, concentrated under reduced pressure, and the resulting residue was purified by silica gel column chromatography with eluent system A to give the title product9d (838.0 g, yield: 62.5%).

MS m/z(ESI):268.2[M+1]。MS m/z (ESI): 268.2 [M+1].

第四步the fourth step

(S)-1-(1,3-二氫異苯并呋喃-4-基)乙胺鹽酸鹽9e(S )-1-(1,3-dihydroisobenzofuran-4-yl)ethanamine hydrochloride9e

將化合物9d(838.0mg,3.0mmol)溶於甲醇(3mL),滴加4M氯化氫的1,4-二噁烷溶液(3mL)。反應攪拌1小時。減壓濃縮,得到標題產物9e粗品(626.0mg),粗品無需純化直接用於下一步。Compound9d (838.0 mg, 3.0 mmol) was dissolved in methanol (3 mL), and a 4M solution of hydrogen chloride in 1,4-dioxane (3 mL) was added dropwise. The reaction was stirred for 1 hour. Concentration under reduced pressure gave crude title product9e (626.0 mg), which was used in the next step without purification.

MS m/z(ESI):147.1[M-16]。MS m/z (ESI): 147.1 [M-16].

第五步the fifth step

(S)-6-((1-(1,3-二氫異苯并呋喃-4-基)乙基)胺基)-3-異丙基嘧啶-2,4(1H,3H)-二酮9(S )-6-((1-(1,3-dihydroisobenzofuran-4-yl)ethyl)amino)-3-isopropylpyrimidine-2,4(1H ,3H ) -Diketone9

將化合物9e粗品(313.0mg,1.6mmol)、化合物1f(294.2mg,1.6mmol)和N,N-二異丙基乙胺(1.0g,8.0mmol)溶於無水1,4-二噁烷(3mL)中。於130℃,微波反應2小時。減壓濃縮,用高效液相色譜法純化(Welch Ultimate XB-C18,5μm,30mm*150mm,沖提體系:水(10mM碳酸氫銨)、乙腈,乙腈在15.1分鐘內由20%(v/v)升至95%(v/v),檢測波長214&254nm),得到標題產物9(89.0mg,產率:18.0%)。Crude compound9e (313.0 mg, 1.6 mmol), compound1f (294.2 mg, 1.6 mmol) andN,N -diisopropylethylamine (1.0 g, 8.0 mmol) were dissolved in anhydrous 1,4-dioxane ( 3mL). At 130°C, the reaction was microwaved for 2 hours. Concentrated under reduced pressure, purified by high performance liquid chromatography (Welch Ultimate XB-C18, 5 μm, 30 mm*150 mm, elution system: water (10 mM ammonium bicarbonate), acetonitrile, acetonitrile was changed from 20% (v/v) in 15.1 minutes ) to 95% (v/v), detection wavelength 214 & 254 nm) to give the title product 9 (89.0 mg, yield: 18.0%).

MS m/z(ESI):316.1[M+1]。MS m/z (ESI): 316.1 [M+1].

1H NMR(500MHz,DMSO-d6)δ 7.30-7.27(m,1H),7.23-7.19(m,2H),6.00(s,1H),5.15(d,1H),5.01-4.89(m,4H),4.44-4.39(m,1H),4.19(s,1H)1.38(d,3H),1.27(d,6H)。1 H NMR (500MHz, DMSO-d6 )δ 7.30-7.27(m,1H), 7.23-7.19(m,2H), 6.00(s,1H), 5.15(d,1H), 5.01-4.89(m, 4H), 4.44-4.39(m, 1H), 4.19(s, 1H), 1.38(d, 3H), 1.27(d, 6H).

實施例10Example 10

(S)-6-((1-(2,3-二氫苯并呋喃-5-基)乙基)胺基)-3-異丙基嘧啶-2,4(1H,3H)-二酮10(S )-6-((1-(2,3-dihydrobenzofuran-5-yl)ethyl)amino)-3-isopropylpyrimidine-2,4(1H ,3H )- Diketone10

Figure 110143813-A0202-12-0070-211
Figure 110143813-A0202-12-0070-211

第一步first step

(R)-N-((2,3-二氫苯并呋喃-5-基)甲亞基)-2-甲基丙烷-2-亞磺醯胺10b(R )-N -((2,3-dihydrobenzofuran-5-yl)methylidene)-2-methylpropane-2-sulfinamide10b

將2,3-二氫苯并呋喃-5-甲醛10a(5.0g,33.7mmol,上海畢得醫藥科技有限公司)和化合物1b(4.3g,35.5mmol)溶於二氯甲烷(65mL)。加入碳酸銫(13.2g,40.6mmol),攪拌反應16小時。反應液過濾,濾液減壓濃縮,得到標題產物10b粗品(8.5g),粗品無需純化直接用於下一步。2,3-Dihydrobenzofuran-5-carbaldehyde10a (5.0 g, 33.7 mmol, Shanghai Bide Pharmaceutical Technology Co., Ltd.) and compound1b (4.3 g, 35.5 mmol) were dissolved in dichloromethane (65 mL). Cesium carbonate (13.2 g, 40.6 mmol) was added and the reaction was stirred for 16 hours. The reaction solution was filtered, and the filtrate was concentrated under reduced pressure to obtain the crude product10b (8.5 g) of the title product, which was used in the next step without purification.

MS m/z(ESI):252.1[M+1]。MS m/z (ESI): 252.1 [M+1].

第二步second step

(R)-N-((S)-1-(2,3-二氫苯并呋喃-5-基)乙基)-2-甲基丙烷-2-亞磺醯胺10c(R )-N -((S )-1-(2,3-dihydrobenzofuran-5-yl)ethyl)-2-methylpropane-2-sulfinamide10c

於-50℃,向化合物10b粗品(8.5g,33.8mmol)的無水二氯甲烷(225mL)中,滴加3M甲基溴化鎂的甲基四氫呋喃溶液(25.0mL,74.4mmol)。氮氣氛下,室溫反應16小時。加入飽和氯化銨水溶液(100mL),二氯甲烷(100mL×2)萃取。合併有機相,用無水硫酸鈉乾燥,過濾,減壓濃縮,用矽膠管柱色譜法以沖提劑體系A純化所得殘餘物,得到標題產物10c(7.5g,產率:82.9%)。To crude compound10b (8.5 g, 33.8 mmol) in dry dichloromethane (225 mL) at -50°C was added dropwise a 3M solution of methylmagnesium bromide in methyltetrahydrofuran (25.0 mL, 74.4 mmol). Under nitrogen atmosphere, the reaction was carried out at room temperature for 16 hours. Saturated aqueous ammonium chloride solution (100 mL) was added and extracted with dichloromethane (100 mL×2). The organic phases were combined, dried over anhydrous sodium sulfate, filtered, concentrated under reduced pressure, and the resulting residue was purified by silica gel column chromatography with eluent system A to give the title product10c (7.5 g, yield: 82.9%).

MS m/z(ESI):268.1[M+1]。MS m/z (ESI): 268.1 [M+1].

第三步third step

(S)-1-(2,3-二氫苯并呋喃-5-基)乙胺鹽酸鹽10d(S )-1-(2,3-dihydrobenzofuran-5-yl)ethanamine hydrochloride10d

將化合物10c(100.0mg,0.4mmol)溶於甲醇(1mL),滴加4M氯化氫的1,4-二噁烷溶液(0.4mL)。反應攪拌1小時。減壓濃縮,得到標題產物10d粗品(75.0mg),粗品無需純化直接用於下一步。Compound10c (100.0 mg, 0.4 mmol) was dissolved in methanol (1 mL), and a 4M solution of hydrogen chloride in 1,4-dioxane (0.4 mL) was added dropwise. The reaction was stirred for 1 hour. Concentration under reduced pressure gave crude title product10d (75.0 mg), which was used in the next step without purification.

MS m/z(ESI):147.1[M-16]。MS m/z (ESI): 147.1 [M-16].

第四步the fourth step

(S)-6-((1-(2,3-二氫苯并呋喃-5-基)乙基)胺基)-3-異丙基嘧啶-2,4(1H,3H)-二酮10(S )-6-((1-(2,3-dihydrobenzofuran-5-yl)ethyl)amino)-3-isopropylpyrimidine-2,4(1H ,3H )- Diketone10

將化合物10d粗品(65.9mg,0.3mmol)、化合物1f(62.3mg,0.3mmol)和N,N-二異丙基乙胺(213.3g,1.7mmol)溶於無水1,4-二噁烷(1mL)中。於130℃,微波反應2小時。減壓濃縮,用高效液相色譜法純化(Welch Ultimate XB-C18,5μm,30mm*150mm,沖提體系:水(10mM碳酸氫銨)、乙腈,乙腈在18.1分鐘內由23%(v/v)升至95%(v/v),檢測波長214&254nm),得到標題產物10(21.3mg,產率:20.5%)。Crude compound10d (65.9 mg, 0.3 mmol), compound1f (62.3 mg, 0.3 mmol) andN,N -diisopropylethylamine (213.3 g, 1.7 mmol) were dissolved in anhydrous 1,4-dioxane ( 1mL). At 130°C, the reaction was microwaved for 2 hours. Concentrated under reduced pressure, purified by high performance liquid chromatography (Welch Ultimate XB-C18, 5 μm, 30 mm*150 mm, elution system: water (10 mM ammonium bicarbonate), acetonitrile, acetonitrile was changed from 23% (v/v) in 18.1 minutes ) to 95% (v/v), detection wavelength 214 & 254 nm) to give the title product10 (21.3 mg, yield: 20.5%).

MS m/z(ESI):316.1[M+1]。MS m/z (ESI): 316.1 [M+1].

1H NMR(500MHz,DMSO-d6)δ 7.20(s,1H),7.04(d,1H),6.71(d,1H),6.54(s,1H),4.94-4.89(m,1H),4.49(t,2H),4.39(t,1H),4.34(s,1H),3.15(t,2H),1.36(d,3H),1.27(d,6H)。1 H NMR (500MHz, DMSO-d6 )δ 7.20(s,1H), 7.04(d,1H), 6.71(d,1H), 6.54(s,1H), 4.94-4.89(m,1H), 4.49 (t, 2H), 4.39 (t, 1H), 4.34 (s, 1H), 3.15 (t, 2H), 1.36 (d, 3H), 1.27 (d, 6H).

實施例11Example 11

(S)-6-((1-(2,3-二氫苯并呋喃-4-基)乙基)胺基)-3-(四氫-2H-吡喃-4-基)嘧啶-2,4(1H,3H)-二酮11(S )-6-((1-(2,3-Dihydrobenzofuran-4-yl)ethyl)amino)-3-(tetrahydro-2H -pyran-4-yl)pyrimidine- 2,4(1H ,3H )-diketone11

Figure 110143813-A0202-12-0072-212
Figure 110143813-A0202-12-0072-212

第一步first step

(S)-6-((1-(2,3-二氫苯并呋喃-4-基)乙基)胺基)-3-(四氫-2H-吡喃-4-基)嘧啶-2,4(1H,3H)-二酮11(S )-6-((1-(2,3-Dihydrobenzofuran-4-yl)ethyl)amino)-3-(tetrahydro-2H -pyran-4-yl)pyrimidine- 2,4(1H ,3H )-diketone11

將化合物6d粗品(200.0mg,1.0mmol)、化合物11a(231.1mg,1.0mmol,採用專利申請“CN110698415A中說明書第18-19頁實施例5中間體4d的合成方法”製備而得)和N,N-二異丙基乙胺(647.3g,5.0mmol)溶於無水1,4-二噁烷(3mL)中。於130℃,微波反應2小時。減壓濃縮,用高效液相色譜法純化(Welch Ultimate XB-C18,5μm,30mm*150mm,沖提體系:水(10mM碳酸氫銨)、乙腈,乙腈在15.1分鐘內由20%(v/v)升至95%(v/v),檢測波長214&254nm),得到標題產物11(100.0mg,產率:28.0%)。The compound6d crude product (200.0 mg, 1.0 mmol), compound11a (231.1 mg, 1.0 mmol, prepared by using the synthetic method of Example 5 Intermediate4d on pages 18-19 of the description in the patent application "CN110698415A") andN, N -Diisopropylethylamine (647.3 g, 5.0 mmol) was dissolved in dry 1,4-dioxane (3 mL). At 130°C, the reaction was microwaved for 2 hours. Concentrated under reduced pressure, purified by high performance liquid chromatography (Welch Ultimate XB-C18, 5 μm, 30 mm*150 mm, elution system: water (10 mM ammonium bicarbonate), acetonitrile, acetonitrile was changed from 20% (v/v) in 15.1 minutes ) to 95% (v/v), detection wavelength 214 & 254 nm) to give the title product11 (100.0 mg, yield: 28.0%).

MS m/z(ESI):358.1[M+1]。MS m/z (ESI): 358.1 [M+1].

1H NMR(500MHz,DMSO-d6)δ 9.84(s,1H),7.09(t,1H),6.77(d,1H),6.66(d,1H),6.50(s,1H),4.79-4.72(m,1H),4.58-4.50(m,2H),4.46-4.42(m,1H),4.31(s,1H),3.86(dd,2H),3.31-3.22(m,3H),3.18-3.11(m,1H),2.56-2.52(m,2H),1.39(d,3H),1.32(dd,2H)。1 H NMR (500MHz, DMSO-d6 )δ 9.84(s,1H), 7.09(t,1H), 6.77(d,1H), 6.66(d,1H), 6.50(s,1H), 4.79-4.72 (m,1H),4.58-4.50(m,2H),4.46-4.42(m,1H),4.31(s,1H),3.86(dd,2H),3.31-3.22(m,3H),3.18-3.11 (m, 1H), 2.56-2.52 (m, 2H), 1.39 (d, 3H), 1.32 (dd, 2H).

實施例12Example 12

(S)-6-((1-(2,3-二氫苯并呋喃-7-基)乙基)胺基)-3-(四氫-2H-吡喃-4-基)嘧啶-2,4(1H,3H)-二酮12(S )-6-((1-(2,3-Dihydrobenzofuran-7-yl)ethyl)amino)-3-(tetrahydro-2H -pyran-4-yl)pyrimidine- 2,4(1H ,3H )-diketone12

Figure 110143813-A0202-12-0073-247
Figure 110143813-A0202-12-0073-247

第一步first step

(S)-6-((1-(2,3-二氫苯并呋喃-7-基)乙基)胺基)-3-(四氫-2H-吡喃-4-基)嘧啶-2,4(1H,3H)-二酮12(S )-6-((1-(2,3-Dihydrobenzofuran-7-yl)ethyl)amino)-3-(tetrahydro-2H -pyran-4-yl)pyrimidine- 2,4(1H ,3H )-diketone12

將化合物7d粗品(200.0mg,1.0mmol)、化合物11a(231.1mg,1.0mmol)和N,N-二異丙基乙胺(647.3g,5.0mmol)溶於無水1,4-二噁烷(3mL)中。於130℃,微波反應2小時。減壓濃縮,用高效液相色譜法純化(Welch Ultimate XB-C18,5μm,30mm*150mm,沖提體系:水(10mM碳酸氫銨)、乙腈,乙腈在15.1分鐘內由20%(v/v)升至95%(v/v),檢測波長214&254nm),得到標題產物12(100.0mg,產率:28.0%)。Crude compound7d (200.0 mg, 1.0 mmol), compound11a (231.1 mg, 1.0 mmol) andN,N -diisopropylethylamine (647.3 g, 5.0 mmol) were dissolved in anhydrous 1,4-dioxane ( 3mL). At 130°C, the reaction was microwaved for 2 hours. Concentrated under reduced pressure, purified by high performance liquid chromatography (Welch Ultimate XB-C18, 5 μm, 30 mm*150 mm, elution system: water (10 mM ammonium bicarbonate), acetonitrile, acetonitrile was converted from 20% (v/ v) rose to 95% (v/v), detection wavelength 214 & 254 nm) to give the title product12 (100.0 mg, yield: 28.0%).

MS m/z(ESI):358.2[M+1]。MS m/z (ESI): 358.2 [M+1].

1H NMR(500MHz,DMSO-d6)δ 9.94(s,1H),7.14(d,1H),7.04(d,1H),6.81(t,1H),6.45(s,1H),4.78-4.73(m,1H),4.58(t,2H),4.52-4.46(m,1H),4.37(s,1H),3.87(dd,2H),3.31-3.25(m,2H),3.19(t,2H),2.55-2.52(m,2H),1.39(d,3H),1.31(d,2H)。1 H NMR (500MHz, DMSO-d6 )δ 9.94(s,1H), 7.14(d,1H), 7.04(d,1H), 6.81(t,1H), 6.45(s,1H), 4.78-4.73 (m,1H),4.58(t,2H),4.52-4.46(m,1H),4.37(s,1H),3.87(dd,2H),3.31-3.25(m,2H),3.19(t,2H) ), 2.55-2.52 (m, 2H), 1.39 (d, 3H), 1.31 (d, 2H).

實施例13Example 13

(S)-6-((1-(5-氟-2,3-二氫苯并呋喃-4-基)乙基)胺基)-3-異丙基嘧啶-2,4(1H,3H)-二酮13(S )-6-((1-(5-Fluoro-2,3-dihydrobenzofuran-4-yl)ethyl)amino)-3-isopropylpyrimidine-2,4(1H , 3H )-diketone13

Figure 110143813-A0202-12-0074-248
Figure 110143813-A0202-12-0074-248

第一步first step

5-氟苯并呋喃-6-羧酸甲酯13b5-Fluorobenzofuran-6-carboxylate methyl ester13b

將4-溴-5-氟苯并呋喃13a(3.20g,14.88mmol,採用專利申請“US20160176882A1說明書中第17頁中間體A1.2b的合成方法”製備而得)溶於甲醇(50mL),加入[1,1'-雙(二苯基膦)二茂鐵]二氯化鈀二氯甲烷絡合物(1.26g,1.49mmol)和N,N-二異丙基乙胺(3.01g,29.75mmol),置換一氧化碳氣體三次,70℃攪拌反應40小時。過濾,減壓濃縮,用矽膠管柱色譜法以沖提劑體系A純化所得殘餘物,得到標題產物13b(1.50g,產率:51.9%)。4-Bromo-5-fluorobenzofuran13a (3.20 g, 14.88 mmol, prepared by using the patent application "Synthesis method of intermediate A1.2b on page 17 in the specification of US20160176882A1") was dissolved in methanol (50 mL), and added [1,1'-Bis(diphenylphosphino)ferrocene]dichloropalladium dichloromethane complex (1.26 g, 1.49 mmol) andN,N -diisopropylethylamine (3.01 g, 29.75 g) mmol), the carbon monoxide gas was replaced three times, and the reaction was stirred at 70 °C for 40 hours. Filtration, concentration under reduced pressure, and purification of the resulting residue by silica gel column chromatography with eluent system A afforded the title product13b (1.50 g, yield: 51.9%).

MS m/z(ESI):194.8[M+1]。MS m/z (ESI): 194.8 [M+1].

第二步second step

5-氟-2,3-二氫苯并呋喃-6-羧酸甲酯13cMethyl 5-fluoro-2,3-dihydrobenzofuran-6-carboxylate13c

將化合物13b(1.0g,5.2mmol)溶於甲醇(30mL),加入10%鈀碳加氫催化劑(400mg,濕),置換氫氣三次,室溫攪拌16小時。過濾,減壓濃縮,用矽膠管柱色譜法以沖提劑體系A純化所得殘餘物,得到標題產物13c(913.0mgg,產率:90.5%)。Compound13b (1.0 g, 5.2 mmol) was dissolved in methanol (30 mL), 10% palladium-carbon hydrogenation catalyst (400 mg, wet) was added, hydrogen was replaced three times, and the mixture was stirred at room temperature for 16 hours. Filtration, concentration under reduced pressure, and purification of the resulting residue by silica gel column chromatography with eluent system A afforded the title product13c (913.0 mgg, yield: 90.5%).

MS m/z(ESI):197.1[M+1]。MS m/z (ESI): 197.1 [M+1].

第三步third step

(5-氟-2,3-二氫苯并呋喃-6-基)甲醇13d(5-Fluoro-2,3-dihydrobenzofuran-6-yl)methanol13d

將化合物13c(900.0mg,4.6mmol)溶於無水四氫呋喃(9mL)溶液中,滴加2M硼氫化鋰的四氫呋喃溶液(4.6mL,9.2mmol),室溫反應16小時。冰浴下,加入甲醇(5mL)淬滅反應,用1M鹽酸調節溶液pH為6,乙酸乙酯(30mL×2)萃取。合併有機相,用無水硫酸鈉乾燥,過濾,減壓濃縮,用矽膠管柱色譜法以沖提劑體系A純化所得殘餘物,得到標題產物13d(695.8mg,產率:90.2%)。Compound13c (900.0 mg, 4.6 mmol) was dissolved in anhydrous tetrahydrofuran (9 mL) solution, 2M lithium borohydride in tetrahydrofuran solution (4.6 mL, 9.2 mmol) was added dropwise, and the reaction was carried out at room temperature for 16 hours. Under an ice bath, methanol (5 mL) was added to quench the reaction, the pH of the solution was adjusted to 6 with 1M hydrochloric acid, and the solution was extracted with ethyl acetate (30 mL×2). The organic phases were combined, dried over anhydrous sodium sulfate, filtered, concentrated under reduced pressure, and the resulting residue was purified by silica gel column chromatography with eluent system A to give the title product13d (695.8 mg, yield: 90.2%).

MS m/z(ESI):151.0[M-17]。MS m/z (ESI): 151.0 [M-17].

第四步the fourth step

5-氟-2,3-二氫苯并呋喃-6-甲醛13e5-Fluoro-2,3-dihydrobenzofuran-6-carbaldehyde13e

將化合物13d(695.8mg,4.1mmol)溶於二氯甲烷(10mL)溶液中,加入戴斯-馬丁氧化劑(3.5g,8.3mmol),室溫反應2小時。冰浴下,加入飽和硫代硫酸鈉(20mL)和飽和碳酸氫鈉(20mL)淬滅反應,二氯甲烷(30mL×2)萃取。合併有機相,用無水硫酸鈉乾燥,過濾,減壓濃縮,用矽膠管柱色譜法以沖提劑體系A純化所得殘餘物,得到標題產物13e(600mg,產率:88.2%)。Compound13d (695.8 mg, 4.1 mmol) was dissolved in dichloromethane (10 mL) solution, Dess-Martin oxidant (3.5 g, 8.3 mmol) was added, and the reaction was carried out at room temperature for 2 hours. Under ice bath, saturated sodium thiosulfate (20 mL) and saturated sodium bicarbonate (20 mL) were added to quench the reaction, and the mixture was extracted with dichloromethane (30 mL×2). The organic phases were combined, dried over anhydrous sodium sulfate, filtered, concentrated under reduced pressure, and the resulting residue was purified by silica gel column chromatography with eluent system A to give the title product13e (600 mg, yield: 88.2%).

MS m/z(ESI):167.1[M+1]。MS m/z (ESI): 167.1 [M+1].

第五步the fifth step

(R)-N-((5-氟-2,3-二氫苯并呋喃-6-基)甲亞基)-2-甲基丙烷-2-亞磺醯胺13f(R )-N -((5-fluoro-2,3-dihydrobenzofuran-6-yl)methylidene)-2-methylpropane-2-sulfinamide13f

將化合物13e(600mg,3.6mmol)和(R)-2-甲基丙烷-2-亞磺醯胺(460.0mg,3.8mmol,上海畢得科技)溶於二氯甲烷(7mL)。加入碳酸銫(1.4g,4.4mmol),攪拌反應16小時。反應液過濾,濾液減壓濃縮,得到標題產物13f粗品(973.0mg),粗品無需純化直接用於下一步。Compound13e (600 mg, 3.6 mmol) and (R )-2-methylpropane-2-sulfinamide (460.0 mg, 3.8 mmol, Shanghai Bide Technology) were dissolved in dichloromethane (7 mL). Cesium carbonate (1.4 g, 4.4 mmol) was added and the reaction was stirred for 16 hours. The reaction solution was filtered, and the filtrate was concentrated under reduced pressure to obtain the title product13f as a crude product (973.0 mg). The crude product was used in the next step without purification.

MS m/z(ESI):270.0[M+1]。MS m/z (ESI): 270.0 [M+1].

第六步Step 6

(R)-N-((S)-1-(5-氟-2,3-二氫苯并呋喃-6-基)乙基)-2-甲基丙烷-2-亞磺醯胺13g(R )-N -((S )-1-(5-fluoro-2,3-dihydrobenzofuran-6-yl)ethyl)-2-methylpropane-2-sulfinamide13g

於-50℃,向化合物13f粗品(973.0mg,3.6mmol)的無水二氯甲烷(25mL)溶液中,滴加3M甲基溴化鎂的甲基四氫呋喃溶液(2.7mL,8.0mmol)。氮氣氛下,室溫反應2小時。加入飽和氯化銨水溶液(30mL),二氯甲烷(30mL×2)萃取。合併有機相,用無水硫酸鈉乾燥,過濾,減壓濃縮,用矽膠管柱色譜法以沖提劑體系A純化所得殘餘物,得到標題產物13g(610.0mg,產率:59.1%)。To a solution of crude compound13f (973.0 mg, 3.6 mmol) in anhydrous dichloromethane (25 mL) at -50°C was added dropwise a 3M solution of methylmagnesium bromide in methyltetrahydrofuran (2.7 mL, 8.0 mmol). Under a nitrogen atmosphere, the reaction was carried out at room temperature for 2 hours. Saturated aqueous ammonium chloride solution (30 mL) was added and extracted with dichloromethane (30 mL×2). The organic phases were combined, dried over anhydrous sodium sulfate, filtered, concentrated under reduced pressure, and the resulting residue was purified by silica gel column chromatography with eluent system A to give the title product13 g (610.0 mg, yield: 59.1%).

MS m/z(ESI):286.0[M+1]。MS m/z (ESI): 286.0 [M+1].

第七步Step 7

(S)-1-(5-氟-2,3-二氫苯并呋喃-6-基)乙胺鹽酸鹽13h(S )-1-(5-Fluoro-2,3-dihydrobenzofuran-6-yl)ethanamine hydrochloride13h

將化合物13g(600.0mg,2.1mmol)溶於甲醇(3mL),滴加4M氯化氫的1,4-二噁烷溶液(2.1mL)。反應攪拌1小時。減壓濃縮,得到標題產物13h粗品(460.0mg),粗品無需純化直接用於下一步。Compound13g (600.0 mg, 2.1 mmol) was dissolved in methanol (3 mL), and a 4M solution of hydrogen chloride in 1,4-dioxane (2.1 mL) was added dropwise. The reaction was stirred for 1 hour. Concentration under reduced pressure gave crude title product13h (460.0 mg), which was used in the next step without purification.

MS m/z(ESI):164.9[M-16]。MS m/z (ESI): 164.9 [M-16].

第八步Step 8

(S)-6-((1-(5-氟-2,3-二氫苯并呋喃-4-基)乙基)胺基)-3-異丙基嘧啶-2,4(1H,3H)-二酮13(S )-6-((1-(5-Fluoro-2,3-dihydrobenzofuran-4-yl)ethyl)amino)-3-isopropylpyrimidine-2,4(1H , 3H )-diketone13

將化合物13h(217.7mg,1.0mmo)、化合物1f(188.7mg,1.0mmol)和N,N-二異丙基乙胺(646.4g,5.0mmol)溶於無水1,4-二噁烷(2mL)中。於130℃,微波反應2小時。減壓濃縮,用高效液相色譜法純化(Welch Ultimate XB-C18,5μm,30mm*150mm,沖提體系:水(10mM碳酸氫銨)、乙腈,乙腈在17.1分鐘內由25%(v/v)升至95%(v/v),檢測波長214&254nm),得到標題產物13(85.0mg,產率:25.5%)。Compound13h (217.7 mg, 1.0 mmol), compound1f (188.7 mg, 1.0 mmol) andN,N -diisopropylethylamine (646.4 g, 5.0 mmol) were dissolved in dry 1,4-dioxane (2 mL) )middle. At 130°C, the reaction was microwaved for 2 hours. Concentrated under reduced pressure, purified by high performance liquid chromatography (Welch Ultimate XB-C18, 5 μm, 30 mm*150 mm, elution system: water (10 mM ammonium bicarbonate), acetonitrile, acetonitrile was changed from 25% (v/v) in 17.1 minutes ) to 95% (v/v), detection wavelength 214 & 254 nm) to give the title product13 (85.0 mg, yield: 25.5%).

MS m/z(ESI):334.1[M+1]。MS m/z (ESI): 334.1 [M+1].

1H NMR(500MHz,DMSO-d6)δ 9.76(s,1H),6.93(t,1H),6.66(d,1H),6.43(s,1H),4.93-4.87(m,1H),4.63-4.50(m,3H),4.24(s,1H),3.30-3.25(m,1H),3.22-3.15(m,1H),1.46(d,3H),1.27(d,6H)。1 H NMR (500MHz, DMSO-d6)δ 9.76(s,1H), 6.93(t,1H), 6.66(d,1H), 6.43(s,1H), 4.93-4.87(m,1H), 4.63- 4.50(m, 3H), 4.24(s, 1H), 3.30-3.25(m, 1H), 3.22-3.15(m, 1H), 1.46(d, 3H), 1.27(d, 6H).

實施例14Example 14

(S)-6-((1-(2,3-二氫苯并呋喃-6-基)乙基)胺基)-3-異丙基-5-甲基嘧啶-2,4(1H,3H)-二酮14(S )-6-((1-(2,3-Dihydrobenzofuran-6-yl)ethyl)amino)-3-isopropyl-5-methylpyrimidine-2,4(1H ,3H )-diketone14

Figure 110143813-A0202-12-0078-216
Figure 110143813-A0202-12-0078-216

第一步first step

1-異丙基-5-甲基嘧啶-2,4,6(1H,3H,5H)-三酮14c1-Isopropyl-5-methylpyrimidine-2,4,6(1H ,3H ,5H )-trione14c

將金屬鈉(431.3mg,18.0mmol)溶於無水甲醇(25mL)中。加入1-異丙基脲14a(1.1g,10.0mmol,採用專利申請“CN1100698415A說明書中第14頁中間體2a的合成方法”製備而得)和2-甲基丙二酸二甲酯14b(2.2g,15.1mmol,上海畢得科技有限公司)。加熱回流反應40小時。反應液冷卻後,滴加濃鹽酸調節溶液pH至5。減壓濃縮,用矽膠管柱色譜法以沖提劑體系B純化所得殘餘物,得到標題產物14c(1.5g,產率:81.5%)。Metal sodium (431.3 mg, 18.0 mmol) was dissolved in anhydrous methanol (25 mL). Add 1-isopropylurea14a (1.1 g, 10.0 mmol, prepared by using the synthetic method of intermediate2a on page 14 of the patent application "CN1100698415A specification") and 2-methylmalonate dimethyl ester14b (2.2 g, 15.1 mmol, Shanghai Bide Technology Co., Ltd.). The reaction was heated to reflux for 40 hours. After the reaction solution was cooled, concentrated hydrochloric acid was added dropwise to adjust the pH of the solution to 5. Concentration under reduced pressure, and the resulting residue was purified by silica gel column chromatography with eluent system B to give the title product14c (1.5 g, yield: 81.5%).

MS m/z(ESI):185.1[M+1]。MS m/z (ESI): 185.1 [M+1].

第二步second step

6-氯-3-異丙基-5-甲基嘧啶-2,4(1H,3H)-二酮14d6-Chloro-3-isopropyl-5-methylpyrimidine-2,4(1H ,3H )-dione14d

向化合物14c(1.3g,6.8mmol)和苄基三甲基氯化銨(2.0g,9.6mmol,上海泰坦科技股份有限公司)中加入三氯氧磷(3mL)。氮氣氛下,50℃反應16小時。減壓濃縮,加入二氯甲烷(20mL),水洗兩次。收集有機相,減壓濃縮,用矽膠管柱色譜法以沖提劑體系A純化所得殘餘物,得到標題產物14d(790mg,產率:57.5%)。To compound14c (1.3 g, 6.8 mmol) and benzyltrimethylammonium chloride (2.0 g, 9.6 mmol, Shanghai Titan Technology Co., Ltd.) was added phosphorus oxychloride (3 mL). Under nitrogen atmosphere, the reaction was carried out at 50°C for 16 hours. Concentrate under reduced pressure, add dichloromethane (20 mL), and wash with water twice. The organic phase was collected, concentrated under reduced pressure, and the resulting residue was purified by silica gel column chromatography with eluent system A to give the title product14d (790 mg, yield: 57.5%).

MS m/z(ESI):203.1[M+1]。MS m/z (ESI): 203.1 [M+1].

第三步third step

(S)-6-((1-(2,3-二氫苯并呋喃-6-基)乙基)胺基)-3-異丙基-5-甲基嘧啶-2,4(1H,3H)-二酮14(S )-6-((1-(2,3-Dihydrobenzofuran-6-yl)ethyl)amino)-3-isopropyl-5-methylpyrimidine-2,4(1H ,3H )-diketone14

將化合物4d粗品(106.0mg,0.5mmol)、化合物14d(108.0mg,0.5mmol)和N,N-二異丙基乙胺(342.8mg,2.7mmol)溶於無水1,4-二噁烷(1.5mL)中。於130℃,微波反應2小時。減壓濃縮,用高效液相色譜法純化(Welch Ultimate XB-C18,5μm,30mm*150mm,沖提體系:水(10mM碳酸氫銨)、乙腈,乙腈在20.1分鐘內由45%(v/v)升至95%(v/v),檢測波長214&254nm),得到標題產物14(10.6mg,產率:6.0%)。Crude compound4d (106.0 mg, 0.5 mmol), compound14d (108.0 mg, 0.5 mmol) andN,N -diisopropylethylamine (342.8 mg, 2.7 mmol) were dissolved in anhydrous 1,4-dioxane ( 1.5mL). At 130°C, the reaction was microwaved for 2 hours. Concentrated under reduced pressure, purified by high performance liquid chromatography (Welch Ultimate XB-C18, 5μm, 30mm*150mm, elution system: water (10mM ammonium bicarbonate), acetonitrile, acetonitrile was changed from 45% (v/v) in 20.1 minutes ) to 95% (v/v), detection wavelength 214 & 254 nm) to give the title product14 (10.6 mg, yield: 6.0%).

MS m/z(ESI):330.2[M+1]。MS m/z (ESI): 330.2 [M+1].

1H NMR(500MHz,DMSO-d6)δ 9.24(brs,1H),7.15(d,1H),6.80(d,1H),6.75(s,1H),6.18(d,1H),5.04-4.94(m,2H),4.49(t,2H),3.11(t,2H),1.75(s,3H),1.40(d,3H),1.27(t,6H)。1 H NMR (500MHz, DMSO-d6 )δ 9.24(brs,1H), 7.15(d,1H), 6.80(d,1H), 6.75(s,1H), 6.18(d,1H), 5.04-4.94 (m, 2H), 4.49 (t, 2H), 3.11 (t, 2H), 1.75 (s, 3H), 1.40 (d, 3H), 1.27 (t, 6H).

實施例15Example 15

(S)-6-((1-(5-氟-2,3-二氫苯并呋喃-6-基)乙基)胺基)-3-異丙基-5-甲基嘧啶-2,4(1H,3H)-二酮15(S )-6-((1-(5-Fluoro-2,3-dihydrobenzofuran-6-yl)ethyl)amino)-3-isopropyl-5-methylpyrimidine-2, 4(1H ,3H )-dione15

Figure 110143813-A0202-12-0079-249
Figure 110143813-A0202-12-0079-249

Figure 110143813-A0202-12-0080-218
Figure 110143813-A0202-12-0080-218

第一步first step

5-氟苯并呋喃-6-羧酸甲酯15bMethyl 5-fluorobenzofuran-6-carboxylate15b

將6-溴-5-氟苯并呋喃15a(3.20g,14.88mmol,採用專利申請“WO2017219948A1說明書中第36頁中間體A1.2b的合成方法”製備而得)溶於甲醇(50mL),加入[1,1'-雙(二苯基膦)二茂鐵]二氯化鈀二氯甲烷絡合物(1.26g,1.49mmol)和N,N-二異丙基乙胺(3.01g,29.75mmol),置換一氧化碳氣體三次,70℃攪拌40小時。過濾,減壓濃縮,用矽膠管柱色譜法以沖提劑體系A純化所得殘餘物,得到標題產物15b(1.50g,產率:51.9%)。6-Bromo-5-fluorobenzofuran15a (3.20 g, 14.88 mmol, prepared by using the synthesis method of intermediate A1.2b on page 36 in the specification of WO2017219948A1) was dissolved in methanol (50 mL), and added [1,1'-Bis(diphenylphosphino)ferrocene]dichloropalladium dichloromethane complex (1.26 g, 1.49 mmol) andN,N -diisopropylethylamine (3.01 g, 29.75 g) mmol), replaced carbon monoxide gas three times, and stirred at 70 °C for 40 hours. Filtration, concentration under reduced pressure, and purification of the resulting residue by silica gel column chromatography with eluent system A afforded the title product15b (1.50 g, yield: 51.9%).

MS m/z(ESI):194.8[M+1]。MS m/z (ESI): 194.8 [M+1].

第二步second step

5-氟-2,3-二氫苯并呋喃-6-羧酸甲酯15cMethyl 5-fluoro-2,3-dihydrobenzofuran-6-carboxylate15c

將化合物15b(1.50g,7.73mmol)溶於甲醇(50mL),加入10%鈀碳加氫催化劑(濕),置換氫氣三次,室溫攪拌16小時。過濾,減壓濃縮,用矽膠管柱色譜法以沖提劑體系A純化所得殘餘物,得到標題產物15c(1.37g,產率:90.4%)。Compound15b (1.50 g, 7.73 mmol) was dissolved in methanol (50 mL), 10% palladium-carbon hydrogenation catalyst (wet) was added, hydrogen was replaced three times, and the mixture was stirred at room temperature for 16 hours. Filtration, concentration under reduced pressure, and purification of the resulting residue by silica gel column chromatography with eluent system A afforded the title product15c (1.37 g, yield: 90.4%).

MS m/z(ESI):196.8[M+1]。MS m/z (ESI): 196.8 [M+1].

第三步third step

(5-氟-2,3-二氫苯并呋喃-6-基)甲醇15d(5-Fluoro-2,3-dihydrobenzofuran-6-yl)methanol15d

將化合物15c(1.37g,7.0mmol)溶於無水四氫呋喃(30mL)中,滴加2M硼氫化鋰的四氫呋喃溶液(34.9mL,69.8mmol),室溫反應16小時。冰浴下,加入甲醇(5mL)淬滅反應,用1M鹽酸調節溶液pH為6,乙酸乙酯(30mL×2)萃取。合併有機相,用無水硫酸鈉乾燥,過濾,減壓濃縮,用矽膠管柱色譜法以沖提劑體系A純化所得殘餘物,得到標題產物15d(1.05g,產率:89.4%)。Compound15c (1.37 g, 7.0 mmol) was dissolved in anhydrous tetrahydrofuran (30 mL), 2M lithium borohydride solution in tetrahydrofuran (34.9 mL, 69.8 mmol) was added dropwise, and the reaction was carried out at room temperature for 16 hours. Under an ice bath, methanol (5 mL) was added to quench the reaction, the pH of the solution was adjusted to 6 with 1M hydrochloric acid, and the solution was extracted with ethyl acetate (30 mL×2). The organic phases were combined, dried over anhydrous sodium sulfate, filtered, concentrated under reduced pressure, and the resulting residue was purified by silica gel column chromatography with eluent system A to give the title product15d (1.05 g, yield: 89.4%).

MS m/z(ESI):190.0[M+22]。MS m/z (ESI): 190.0 [M+22].

第四步the fourth step

5-氟-2,3-二氫苯并呋喃-6-甲醛15e5-Fluoro-2,3-dihydrobenzofuran-6-carbaldehyde15e

將化合物15d(1.05g,6.24mmol)溶於二氯甲烷(20mL)溶液中,加入戴斯-馬丁氧化劑(3.97g,9.36mmol),室溫反應2小時。冰浴下,加入飽和硫代硫酸鈉(20mL)和飽和碳酸氫鈉(20mL)淬滅反應,二氯甲烷(30mL×2)萃取。合併有機相,用無水硫酸鈉乾燥。過濾,減壓濃縮,用矽膠管柱色譜法以沖提劑體系A純化所得殘餘物,得到標題產物15e(1.03g,產率:99.3%)。Compound15d (1.05 g, 6.24 mmol) was dissolved in dichloromethane (20 mL) solution, Dess-Martin oxidant (3.97 g, 9.36 mmol) was added, and the reaction was carried out at room temperature for 2 hours. Under ice bath, saturated sodium thiosulfate (20 mL) and saturated sodium bicarbonate (20 mL) were added to quench the reaction, and the mixture was extracted with dichloromethane (30 mL×2). The organic phases were combined and dried over anhydrous sodium sulfate. Filtration, concentration under reduced pressure, and purification of the resulting residue by silica gel column chromatography with eluent system A afforded the title product15e (1.03 g, yield: 99.3%).

MS m/z(ESI):167.0[M+1]。MS m/z (ESI): 167.0 [M+1].

第五步the fifth step

(R)-N-((5-氟-2,3-二氫苯并呋喃-6-基)甲亞基)-2-甲基丙烷-2-亞磺醯胺15f(R )-N -((5-fluoro-2,3-dihydrobenzofuran-6-yl)methylidene)-2-methylpropane-2-sulfinamide15f

將化合物15e(1.30g,7.82mmol)和(R)-2-甲基丙烷-2-亞磺醯胺(1.42g,11.72mmol,上海畢得科技)溶於二氯甲烷(20mL)。加入碳酸銫(1.58g,14.09mmol),攪拌反應16小時。反應液過濾,濾液減壓濃縮,得到標題產物15f粗品(2.80g),粗品無需純化直接用於下一步。Compound15e (1.30 g, 7.82 mmol) and (R )-2-methylpropane-2-sulfinamide (1.42 g, 11.72 mmol, Shanghai Bide Technology) were dissolved in dichloromethane (20 mL). Cesium carbonate (1.58 g, 14.09 mmol) was added and the reaction was stirred for 16 hours. The reaction solution was filtered, and the filtrate was concentrated under reduced pressure to obtain a crude product of the title product15f (2.80 g), which was used in the next step without purification.

MS m/z(ESI):270.0[M+1]。MS m/z (ESI): 270.0 [M+1].

第六步Step 6

(R)-N-((S)-1-(5-氟-2,3-二氫苯并呋喃-6-基)乙基)-2-甲基丙烷-2-亞磺醯胺15g(R )-N -((S )-1-(5-fluoro-2,3-dihydrobenzofuran-6-yl)ethyl)-2-methylpropane-2-sulfinamide15g

於-50℃,向化合物15f粗品(2.80g,10.40mmol)的無水二氯甲烷(45mL)溶液中,滴加3M甲基溴化鎂的甲基四氫呋喃溶液(6.93mL,20.79mmol)。氮氣氛下,室溫反應2小時。加入飽和氯化銨水溶液(30mL),二氯甲烷(30mL×2)萃取。合併有機相,用無水硫酸鈉乾燥,過濾,減壓濃縮,用高效液相色譜法純化(Boston Phlex C18 150*30mm,5μm,沖提體系:水(10mmol碳酸氫銨)、乙腈,20-95%乙腈,20分鐘梯度沖提,流速:30mL/min),得到標題產物15g(1.50g,產率:50.56%)。To a solution of crude compound15f (2.80 g, 10.40 mmol) in anhydrous dichloromethane (45 mL) at -50°C was added dropwise a 3M solution of methylmagnesium bromide in methyltetrahydrofuran (6.93 mL, 20.79 mmol). Under a nitrogen atmosphere, the reaction was carried out at room temperature for 2 hours. Saturated aqueous ammonium chloride solution (30 mL) was added and extracted with dichloromethane (30 mL×2). The organic phases were combined, dried over anhydrous sodium sulfate, filtered, concentrated under reduced pressure, and purified by high performance liquid chromatography (Boston Phlex C18 150*30mm, 5μm, elution system: water (10mmol ammonium bicarbonate), acetonitrile, 20-95 % acetonitrile, gradient elution over 20 minutes, flow rate: 30 mL/min) to give the title product15 g (1.50 g, yield: 50.56%).

MS m/z(ESI):286.0[M+1]。MS m/z (ESI): 286.0 [M+1].

第七步Step 7

(S)-1-(5-氟-2,3-二氫苯并呋喃-6-基)乙胺鹽酸鹽15h(S )-1-(5-Fluoro-2,3-dihydrobenzofuran-6-yl)ethanamine hydrochloride15h

將化合物15g(300mg,1.05mmol)溶於乙醇(10mL),滴加氯化亞碸(250mg,2.10mmol)。反應攪拌1小時。減壓濃縮,得到標題產物15h粗品(228mg),粗品無需純化直接用於下一步。Compound15g (300 mg, 1.05 mmol) was dissolved in ethanol (10 mL), and thionite chloride (250 mg, 2.10 mmol) was added dropwise. The reaction was stirred for 1 hour. Concentration under reduced pressure gave the title product15h crude (228mg), which was used in the next step without purification.

MS m/z(ESI):164.9[M-16]。MS m/z (ESI): 164.9 [M-16].

第八步Step 8

(S)-6-((1-(5-氟-2,3-二氫苯并呋喃-6-基)乙基)胺基)-3-異丙基-5-甲基嘧啶-2,4(1H,3H)-二酮15(S )-6-((1-(5-Fluoro-2,3-dihydrobenzofuran-6-yl)ethyl)amino)-3-isopropyl-5-methylpyrimidine-2, 4(1H ,3H )-dione15

將化合物15h(108.9mg,0.5mmol)、化合物14c(101.4mg,0.5mmo)和N,N-二異丙基乙胺(323.4mg,2.5mmol)溶於無水1,4-二噁烷(1.5mL)中。於130℃,微波反應2小時。減壓濃縮,用高效液相色譜法純化(Welch Ultimate XB-C18,5μm,30mm*150mm,沖提體系:水(10mM碳酸氫銨)、乙腈,乙腈在18.1分鐘內由25%(v/v)升至95%(v/v),檢測波長214&254nm),得到標題產物15(10.0mg,產率:5.8%)。Compound15h (108.9 mg, 0.5 mmol), compound14c (101.4 mg, 0.5 mmol) andN,N -diisopropylethylamine (323.4 mg, 2.5 mmol) were dissolved in anhydrous 1,4-dioxane (1.5 mL). At 130°C, the reaction was microwaved for 2 hours. Concentrated under reduced pressure, purified by high performance liquid chromatography (Welch Ultimate XB-C18, 5 μm, 30 mm*150 mm, elution system: water (10 mM ammonium bicarbonate), acetonitrile, acetonitrile was changed from 25% (v/v) in 18.1 minutes ) to 95% (v/v), detection wavelength 214 & 254 nm) to give the title product15 (10.0 mg, yield: 5.8%).

MS m/z(ESI):348.1[M+1]。MS m/z (ESI): 348.1 [M+1].

1H NMR(500MHz,DMSO-d6)δ 8.83(brs,1H),7.05(d,1H),6.70(d,1H),6.00(d,1H),5.28-5.25(m,1H),4.99-4.96(m,1H),4.50(t,2H),3.13(t,2H),1.74(s,3H),1.41(d,3H),1.28(d,6H)。1 H NMR (500MHz, DMSO-d6)δ 8.83(brs,1H), 7.05(d,1H), 6.70(d,1H), 6.00(d,1H), 5.28-5.25(m,1H), 4.99- 4.96(m, 1H), 4.50(t, 2H), 3.13(t, 2H), 1.74(s, 3H), 1.41(d, 3H), 1.28(d, 6H).

生物學評價Biological evaluation

以下結合測試例進一步描述解釋本揭露,但這些實施例並非意味著限制本揭露的範圍。The present disclosure is further described and explained below in conjunction with test examples, but these examples are not intended to limit the scope of the present disclosure.

測試例1、本揭露化合物對肌球蛋白ATP酶活性的抑制效應Test Example 1. Inhibitory effect of the compounds of the present disclosure on the activity of myosin ATPase

以下方法用來測定本揭露化合物對肌球蛋白ATP酶活性的抑制效應,實驗方法簡述如下:The following method is used to determine the inhibitory effect of the compounds of the present disclosure on the activity of myosin ATPase. The experimental method is briefly described as follows:

一、實驗材料及儀器1. Experimental materials and instruments

1、心肌肌動蛋白(Cardiac Actin)(Cytoskeleton,AD99)1. Cardiac Actin (Cytoskeleton, AD99)

2、肌球蛋白馬達蛋白S1片段(Myosin Motor Protein S1 Fragment)(Cytoskeleton,CS-MYS03)2. Myosin Motor Protein S1 Fragment (Cytoskeleton, CS-MYS03)

3、ATP(Sigma,A7699-1G)3. ATP (Sigma, A7699-1G)

4、UltraPureTM 1M Tris-HCI緩衝液,pH 7.5(Thermo,15567027)4. UltraPure 1M Tris-HCl buffer, pH 7.5 (Thermo, 15567027)

5、CytoPhosTM磷酸鹽檢測生物試劑盒(Phosphate Assay Biochem Kit)(Cytoskeleton,BK054)5. CytoPhosTM Phosphate Assay Biochem Kit (Cytoskeleton, BK054)

6、氯化鎂溶液(Sigma,68475-100ML-F)6. Magnesium chloride solution (Sigma, 68475-100ML-F)

7、氯化鉀溶液(Sigma,60142-100ML-F)7. Potassium chloride solution (Sigma, 60142-100ML-F)

8、EGTA(Sigma,E3889-100G)8. EGTA (Sigma, E3889-100G)

9、96孔板(Corning,3697)9. 96-well plate (Corning, 3697)

10、U型底96孔板(Corning,3795)10. U-bottom 96-well plate (Corning, 3795)

11、酶標儀(BMG,PHERAstar)11. Microplate reader (BMG, PHERAstar)

12、恆溫培養箱(上海博迅,SPX-100B-Z)12. Constant temperature incubator (Shanghai Boxun, SPX-100B-Z)

二、實驗步驟2. Experimental steps

心肌肌動蛋白1.61μM,肌球蛋白馬達蛋白S1片段0.07μM與不同濃度的小分子化合物(首濃度100μM,3倍梯度稀釋9個濃度)混合,37℃孵育1小時。再加入ATP 120μM,37℃孵育2小時。最後每孔加入CytoPhosTM磷酸鹽檢測生物試劑盒中的檢測溶液(70μL/孔),室溫孵育10min。用酶標儀讀取650nM波長的OD值,根據標準曲線計算Pi的量,數據使用GraphPad軟體處理,根據化合物各濃度與相應的抑制率繪出抑制曲線,並計算抑制率達到50%時化合物的濃度即IC50值。實驗結果詳見表1。Cardiac actin 1.61 μM, myosin motor protein S1 fragment 0.07 μM were mixed with different concentrations of small molecule compounds (the initial concentration of 100 μM, 9 concentrations of 3-fold serial dilution), and incubated at 37°C for 1 hour. Then ATP 120μM was added and incubated at 37°C for 2 hours. Finally, the detection solution (70 μL/well) in the CytoPhosTM Phosphate Detection Biological Kit was added to each well, and incubated at room temperature for 10 min. Read the OD value at 650nM wavelength with a microplate reader, calculate the amount of Pi according to the standard curve, use the GraphPad software to process the data, draw the inhibition curve according to each concentration of the compound and the corresponding inhibition rate, and calculate the compound when the inhibition rate reaches 50%. The concentration is theIC50 value. The experimental results are shown in Table 1.

Figure 110143813-A0202-12-0085-219
Figure 110143813-A0202-12-0085-219

結論:本揭露化合物對肌球蛋白ATP酶具有抑制作用。Conclusion: The disclosed compounds have inhibitory effect on myosin ATPase.

測試例2:本揭露化合物在SD大鼠體內的藥物代謝動力學評價Test Example 2: Pharmacokinetic evaluation of the compounds of the present disclosure in SD rats

1、摘要1. Abstract

以SD大鼠為受試動物,應用LC/MS/MS法測定了SD大鼠灌胃及靜脈注射給予待測化合物後不同時刻血漿中的藥物濃度。研究本揭露化合物在SD大鼠體內的藥物代謝動力學行為,評價其藥動學特徵。Using SD rats as test animals, LC/MS/MS method was used to determine the drug concentrations in the plasma of SD rats at different times after intragastric administration and intravenous injection of the test compounds. To study the pharmacokinetic behavior of the disclosed compounds in SD rats, and to evaluate their pharmacokinetic characteristics.

2、實驗方案2. Experimental scheme

2.1 實驗藥品2.1 Experimental drugs

實施例9化合物,化合物MYK-461(

Figure 110143813-A0202-12-0086-220
,WO2014205223A1的實施例1)、化合物A(
Figure 110143813-A0202-12-0086-221
,WO2014205223A1的化合物107)。Embodiment9 compound, compound MYK-461 (
Figure 110143813-A0202-12-0086-220
, Example 1 of WO2014205223A1), compound A (
Figure 110143813-A0202-12-0086-221
, compound 107 of WO2014205223A1).

2.2 實驗動物2.2 Experimental animals

實施例9化合物的SD大鼠藥物代謝:SD大鼠8隻,雌雄各半,平均分成2組,每組4隻,由浙江維通利華試驗動物有限責任公司提供,生產許可證號:SCXK(浙)2019-0001。The SD rat drug metabolism of the compound of Example9 : 8 SD rats, half male and female, divided into 2 groups on average, 4 in each group, provided by Zhejiang Weitong Lihua Experimental Animal Co., Ltd., production license number: SCXK ( Zhejiang) 2019-0001.

化合物MYK-461的SD大鼠藥物代謝:SD大鼠8隻,雌雄各半,平均分成2組,每組4隻,由上海美迪西生物醫藥有限公司提供。Drug metabolism of compound MYK-461 in SD rats: 8 SD rats, half male and half male, were equally divided into 2 groups with 4 rats in each group, provided by Shanghai Medicilon Biopharmaceutical Co., Ltd.

化合物A的SD大鼠藥物代謝:SD大鼠8隻,雌雄各半,平均分成2組,每組4隻,由浙江維通利華試驗動物有限責任公司提供,生產許可證號:SCXK(浙)2019-0001。Drug metabolism of compound A in SD rats: 8 SD rats, half male and female, equally divided into 2 groups, 4 rats in each group, provided by Zhejiang Weitong Lihua Experimental Animal Co., Ltd., production license number: SCXK (Zhejiang) 2019-0001.

2.3 藥物配製2.3 Drug preparation

稱取一定量實施例9化合物,加入5% DMSO、5%吐溫80和90%生理鹽水配製成無色澄明溶液。A certain amount of the compound of Example9 was weighed, and 5% DMSO, 5% Tween 80 and 90% normal saline were added to prepare a colorless and clear solution.

稱取一定量化合物MYK-461,加入5% DMSO、5%吐溫80和90%生理鹽水配製成無色澄明溶液。A certain amount of compound MYK-461 was weighed, and 5% DMSO, 5% Tween 80 and 90% normal saline were added to prepare a colorless and clear solution.

稱取一定量化合物A,加入5% DMSO、5%吐溫80和90%生理鹽水配製成無色澄明溶液。A certain amount of compound A was weighed, and 5% DMSO, 5% Tween 80 and 90% normal saline were added to prepare a colorless and clear solution.

2.4 給藥2.4 Administration

SD大鼠禁食一夜後分別灌胃及靜脈注射給藥,給藥劑量分別為2mg/kg、1mg/kg,給藥體積分別為10mL/kg、5mL/kg。SD rats were fasted overnight and were administered by intragastric administration and intravenous injection. The doses were 2 mg/kg and 1 mg/kg, and the administration volumes were 10 mL/kg and 5 mL/kg, respectively.

3、操作3. Operation

灌胃給藥組於給藥前及給藥後0.25h、0.5h、1.0h、2.0h、4.0h、6.0h、8.0h、11.0h、24.0h由眼眶採血0.2mL,置EDTA-K2抗凝試管中,10000rpm離心1min(4℃),1h內分離血漿,-20℃保存待測。採血至離心過程在冰浴條件下操作。給藥後2h進食。In the intragastric administration group, 0.2 mL of blood was collected from the orbit before administration and at 0.25h, 0.5h, 1.0h, 2.0h, 4.0h, 6.0h, 8.0h, 11.0h, and 24.0h after administration, and EDTA-K2 antibody was placed. In a coagulation test tube, centrifuge at 10,000 rpm for 1 min (4 °C), separate the plasma within 1 h, and store at -20 °C for testing. The blood was collected until the centrifugation process was operated under ice bath conditions. Food was taken 2 hours after administration.

靜脈注射給藥組於給藥前及給藥後5min、0.25h、0.5h、1.0h、2.0h、4.0h、8.0h、11.0h、24.0h採血,處理同灌胃給藥組。Blood was collected from the intravenous injection group before administration and at 5min, 0.25h, 0.5h, 1.0h, 2.0h, 4.0h, 8.0h, 11.0h, and 24.0h after administration, and the treatment was the same as that of the intragastric administration group.

測定不同濃度的藥物灌胃及靜脈注射給藥後SD大鼠血漿中的待測化合物含量:取給藥後各時刻的SD大鼠血漿20μL,加入內標溶液50μL(實施例9化合物的內標:維拉帕米100ng/mL;化合物MYK-461的內標:華法林100ng/mL;化合物A的內標:甲苯磺丁脲100ng/mL),乙腈200μL,渦旋混合5min,離心10min(3700rpm),血漿樣品取上清液0.5μL進行LC/MS/MS分析。Determination of the content of the compound to be tested in the plasma of SD rats after oral administration and intravenous injection of drugs with different concentrations: take 20 μL of SD rat plasma at each time after administration, add 50 μL of internal standard solution (the internal standard of the compound of Example9 ). : verapamil 100ng/mL; internal standard of compound MYK-461: warfarin 100ng/mL; internal standard of compound A: tolbutamide 100ng/mL), acetonitrile 200 μL, vortexed for 5 min, centrifuged for 10 min ( 3700 rpm), and 0.5 μL of the supernatant of the plasma sample was taken for LC/MS/MS analysis.

4、藥物代謝動力學參數結果4. Results of pharmacokinetic parameters

Figure 110143813-A0202-12-0088-222
Figure 110143813-A0202-12-0088-222

結論:本揭露的實施例9化合物在SD大鼠體內的藥物代謝吸收良好。另外,本揭露實施例9化合物較化合物MYK-461和化合物A的T1/2有明顯的縮短。化合物MYK-461由於T1/2比較長,在臨床上蓄積比較嚴重,臨床給藥需要不斷地調整,增加了用藥風險。縮短T1/2,可以較少或避免臨床上藥物在體內蓄積,有利於病人用藥劑量確定,避免因蓄積造成的風險。顯然,本揭露的實施例9化合物較化合物MYK-461和化合物A具有明顯的藥物代謝動力學優勢。Conclusion: The compound of Example9 of the present disclosure has good drug metabolism and absorption in SD rats. In addition, the compound of Example9 of the present disclosure has significantly shorter T1/2 than compound MYK-461 and compound A. The compound MYK-461 has a relatively long T1/2 , and the clinical accumulation is relatively serious. The clinical administration needs to be adjusted continuously, which increases the risk of drug use. Shortening T1/2 can reduce or avoid clinical drug accumulation in the body, which is beneficial to the determination of the patient's drug dosage and avoids the risk caused by accumulation. Obviously, the compound of Example9 of the present disclosure has obvious pharmacokinetic advantages over Compound MYK-461 and Compound A.

測試例3:本揭露化合物在食蟹猴體內的藥物代謝動力學評價Test Example 3: Pharmacokinetic evaluation of the compounds of the present disclosure in cynomolgus monkeys

1、摘要1. Abstract

以食蟹猴為受試動物,應用LC/MS/MS法測定了食蟹猴灌胃及靜脈注射給予待測化合物後不同時刻血漿中的藥物濃度。研究本揭露化合物在食蟹猴體內的藥物代謝動力學行為,評價其藥動學特徵。Using cynomolgus monkeys as the test animals, the LC/MS/MS method was used to determine the drug concentrations in the plasma of cynomolgus monkeys at different times after the test compounds were administered by gavage and intravenous injection. To study the pharmacokinetic behavior of the disclosed compounds in cynomolgus monkeys and evaluate their pharmacokinetic characteristics.

2、實驗方案2. Experimental scheme

2.1 實驗藥品2.1 Experimental drugs

實施例9化合物,化合物MYK-461。The compound of Example9 , compound MYK-461.

2.2 實驗動物2.2 Experimental animals

實施例9化合物的食蟹猴藥物代謝:食蟹猴8隻,雌雄各半,平均分成2組,每組4隻,由上海美迪西生物醫藥有限公司提供。Example9 Drug metabolism of the compound in cynomolgus monkeys: 8 cynomolgus monkeys, half male and half male, were equally divided into 2 groups, each group of 4 animals, provided by Shanghai Medicilon Biopharmaceutical Co., Ltd.

化合物MYK-461的食蟹猴藥物代謝:食蟹猴6隻,雄性,平均分成2組,每組3隻,由上海美迪西生物醫藥有限公司提供。Drug metabolism of compound MYK-461 in cynomolgus monkeys: 6 cynomolgus monkeys, male, were equally divided into 2 groups of 3 mice each, provided by Shanghai Medicilon Biopharmaceutical Co., Ltd.

2.3 藥物配製2.3 Drug preparation

稱取一定量實施例9化合物,加入5%DMSO、20%PG、20%PEG400和55%生理鹽水配製成澄明溶液。A certain amount of the compound of Example9 was weighed, and 5% DMSO, 20% PG, 20% PEG400 and 55% normal saline were added to prepare a clear solution.

稱取一定量化合物MYK-461,加入5%DMSO、20%PG、20%PEG400和55%生理鹽水配製成澄明溶液。A certain amount of compound MYK-461 was weighed, and 5% DMSO, 20% PG, 20% PEG400 and 55% normal saline were added to prepare a clear solution.

2.4 給藥2.4 Administration

食蟹猴禁食一夜後分別灌胃及靜脈注射給藥,給藥劑量分別為2mg/kg、0.5mg/kg,給藥體積分別為5mL/kg、2mL/kg。The cynomolgus monkeys were fasted overnight and were administered by intragastric administration and intravenous injection, respectively, at a dose of 2 mg/kg, 0.5 mg/kg, and an administration volume of 5 mL/kg and 2 mL/kg, respectively.

3、操作3. Operation

灌胃給藥組於給藥前及給藥後0.25h、0.5h、1h、2h、4h、6h、8h、12h、24h由前肢靜脈採血1.0mL,置於EDTA-K2抗凝試管中,10000rpm離心5min(4℃),1h內分離血漿,-80℃保存待測。採血至離心過程在冰浴條件下操作。給藥後3h進食,自由飲水。Before administration and 0.25h, 0.5h, 1h, 2h, 4h, 6h, 8h, 12h, and 24h after administration, 1.0 mL of blood was collected from the forelimb vein before administration and placed in an EDTA-K2 anticoagulation test tube at 10000 rpm. Centrifuge for 5 min (4°C), separate plasma within 1 h, and store at -80°C for testing. The blood was collected until the centrifugation process was operated under ice bath conditions. 3h after administration, food was taken and water was free to drink.

靜脈注射給藥組於給藥前及給藥後5min、0.25h、0.5h、1.0h、2.0h、4.0h、8.0h、12.0h、24.0h採血,處理同灌胃給藥組。Blood was collected from the intravenous injection group before administration and at 5min, 0.25h, 0.5h, 1.0h, 2.0h, 4.0h, 8.0h, 12.0h, and 24.0h after administration, and the treatment was the same as the intragastric administration group.

測定不同濃度的藥物灌胃及靜脈注射給藥後食蟹猴血漿中的待測化合物含量:取給藥後各時刻的食蟹猴血漿20μL,加入內標溶液(實施例9化合物的內標:華法林100ng/mL;化合物MYK-461內標:喜樹鹼100ng/mL),甲醇400μL,渦旋混合1min,離心7min(離心力18000g),血漿樣品取上清液4μL進行LC/MS/MS分析。Measure the content of the tested compound in the plasma of cynomolgus monkeys after oral administration and intravenous injection of drugs of different concentrations: take 20 μL of cynomolgus monkey plasma at each time after administration, add the internal standard solution (the internal standard of the compound of Example9 : Warfarin 100ng/mL; compound MYK-461 (internal standard: camptothecin 100ng/mL), methanol 400μL, vortexed for 1min, centrifuged for 7min (centrifugal force 18000g), and 4μL of supernatant was taken from plasma samples for LC/MS/MS analyze.

4、藥物代謝動力學參數結果4. Results of pharmacokinetic parameters

Figure 110143813-A0202-12-0090-223
Figure 110143813-A0202-12-0090-223

結論:本揭露的實施例9化合物在食蟹猴體內的藥物代謝吸收良好。另外,本揭露實施例9化合物的T1/2有明顯的縮短。化合物MYK-461由於T1/2比較長,在臨床上蓄積比較嚴重,臨床給藥需要不斷地調整,增加了用藥風險。縮短T1/2,可以較少或避免臨床上藥物在體內蓄積,有利於病人用藥劑量確定,避免因蓄積造成的風險。顯然,本揭露的實施例9化合物較化合物MYK-461具有明顯的藥物代謝動力學優勢。Conclusion: The compound of Example9 of the present disclosure has good drug metabolism and absorption in cynomolgus monkeys. In addition, the T1/2 of the compound of Example9 of the present disclosure is significantly shortened. The compound MYK-461 has a relatively long T1/2 , and the clinical accumulation is relatively serious. The clinical administration needs to be adjusted continuously, which increases the risk of drug use. Shortening T1/2 can reduce or avoid clinical drug accumulation in the body, which is beneficial to the determination of the patient's drug dosage and avoids the risk caused by accumulation. Obviously, the compound of Example9 of the present disclosure has obvious pharmacokinetic advantages over the compound MYK-461.

測試例4:本揭露化合物對Beagle犬灌胃重複給藥14天的毒性代謝動力學評價Test Example 4: Toxic and Metabolic Evaluation of Compounds of the Present Disclosure to Beagle Dogs Repeatedly Dosing for 14 Days

1、摘要1. Abstract

以Beagle犬(比格犬)為受試動物,應用LC/MS/MS法測定了Beagle犬灌胃給予待測化合物後不同時刻血漿中的藥物濃度。研究本揭露化合物在Beagle犬體內的毒性代謝動力學行為,評價其毒性代謝動力學特徵。Taking Beagle dogs (Beagle dogs) as test animals, the LC/MS/MS method was used to determine the drug concentrations in plasma at different times after the Beagle dogs were given the test compound by gavage. To study the toxic metabolic kinetics behavior of the disclosed compounds in Beagle dogs, and to evaluate their toxic metabolic kinetics characteristics.

2、實驗方案2. Experimental scheme

2.1 試驗藥品2.1 Test Drugs

實施例9化合物,化合物MYK-461。The compound of Example9 , compound MYK-461.

2.2 實驗動物2.2 Experimental animals

Beagle犬16隻,雌雄各半,共分4組,每組4隻,由蘇州西山中科實驗動物有限公司提供。There were 16 Beagle dogs, half male and half male, divided into 4 groups of 4, provided by Suzhou Xishan Zhongke Laboratory Animal Co., Ltd.

2.3 藥物配製2.3 Drug preparation

稱取一定量實施例9化合物,加入15%PEG400和85%(10%TPGS+1%HPMC K100LV)配製成半透明溶液。A certain amount of the compound of Example9 was weighed, and 15% PEG400 and 85% (10% TPGS+1% HPMC K100LV) were added to prepare a translucent solution.

稱取一定量化合物MYK-461,加入0.5%MC配製成半透明溶液。A certain amount of compound MYK-461 was weighed, and 0.5% MC was added to prepare a translucent solution.

2.4 給藥2.4 Administration

灌胃給藥,實施例9化合物的給藥劑量分別為1mg/kg、3mg/kg,給藥體積均為5mL/kg。For intragastric administration, the administration doses of the compound of Example9 were 1 mg/kg and 3 mg/kg, respectively, and the administration volume was 5 mL/kg.

化合物MYK-461的給藥劑量分別為0.3mg/kg、1mg/kg,給藥體積均為5mL/kg。The administration doses of compound MYK-461 were 0.3 mg/kg and 1 mg/kg, respectively, and the administration volume was 5 mL/kg.

3、操作3. Operation

第1天於給藥前和給藥後0.5h、1.0h、2.0h、4.0h、6.0h、8.0h、12.0h、24.0h由眼眶採血0.2mL,第7天和第14天於給藥前和給藥後0.5h、1.0h、2.0h、4.0h、8.0h、11.0h、24.0h由前肢靜脈採血0.2mL,分離血漿,-20℃保存待測。採血過程在冰浴條件下操作。On the 1st day, 0.2 mL of blood was collected from the orbit before administration and 0.5h, 1.0h, 2.0h, 4.0h, 6.0h, 8.0h, 12.0h, and 24.0h after administration, and on the 7th and 14th days after administration Before and after administration, 0.2 mL of blood was collected from the forelimb vein at 0.5h, 1.0h, 2.0h, 4.0h, 8.0h, 11.0h, and 24.0h, and the plasma was separated and stored at -20°C for testing. The blood collection process was performed under ice bath conditions.

測定不同濃度的藥物灌胃給藥後Beagle犬血漿中的待測化合物含量:取給藥後各時刻的Beagle犬血漿20μL,加入20μL內標溶液(沃替西汀,蘇州國辰生物科技股份有限公司提供),甲醇400μL,渦旋混合10min,離心10min(離心力2600g),血漿樣品取上清液0.5μL進行LC/MS/MS分析。Determination of the content of the test compound in the plasma of Beagle dogs after oral administration of different concentrations of drugs: take 20 μL of Beagle dog plasma at each time after administration, add 20 μL of internal standard solution (Vortioxetine, Suzhou Guochen Biotechnology Co., Ltd. provided by the company), methanol 400 μL, vortexAfter mixing for 10 min, centrifugation for 10 min (centrifugal force 2600 g), 0.5 μL of the supernatant of the plasma sample was taken for LC/MS/MS analysis.

4、毒性代謝動力學參數結果4. Toxic and metabolic kinetic parameters results

Figure 110143813-A0202-12-0092-224
Figure 110143813-A0202-12-0092-224

結論:本揭露的實施例9化合物對Beagle犬灌胃重複給藥14天後在Beagle犬體內的蓄積不明顯,而化合物MYK-461在Beagle犬體內蓄積嚴重,增加了用藥風險。顯然,本揭露的實施例9化合物較化合物MYK-461具有明顯的毒性代謝動力學優勢。Conclusion: The compound of Example9 of the present disclosure does not accumulate significantly in Beagle dogs after 14 days of repeated administration to Beagle dogs, while compound MYK-461 accumulates seriously in Beagle dogs, increasing the risk of drug use. Obviously, the compound of Example9 of the present disclosure has obvious toxicokinetic advantages over the compound MYK-461.

Figure 110143813-A0202-11-0002-4
Figure 110143813-A0202-11-0002-4

Claims (16)

Translated fromChinese
一種通式(I)所示的化合物或其可藥用的鹽,A compound of general formula (I) or a pharmaceutically acceptable salt thereof,
Figure 110143813-A0202-13-0001-227
Figure 110143813-A0202-13-0001-227
其中,in,環A為
Figure 110143813-A0202-13-0001-253
Figure 110143813-A0202-13-0001-225
Ring A is
Figure 110143813-A0202-13-0001-253
or
Figure 110143813-A0202-13-0001-225
;
環B為環烷基或者含有選自氮原子、氧原子和硫原子之一的雜原子的雜環基;Ring B is a cycloalkyl group or a heterocyclic group containing a heteroatom selected from one of nitrogen atoms, oxygen atoms and sulfur atoms;各個R1相同或不同,且各自獨立地選自氫原子、鹵素、烷基、鹵烷基、烷氧基、鹵烷氧基、羥烷基、氰基、胺基、硝基、羥基、環烷基、雜環基、芳基和雜芳基;其中,該烷基、環烷基、雜環基、芳基和雜芳基各自獨立地視需要地被選自氫原子、鹵素、烷基、鹵烷基、烷氧基、鹵烷氧基、氰基、胺基、硝基和羥基中的一個或多個取代基所取代;Each R1 is the same or different, and is independently selected from hydrogen atom, halogen, alkyl, haloalkyl, alkoxy, haloalkoxy, hydroxyalkyl, cyano, amine, nitro, hydroxyl, ring Alkyl, heterocyclyl, aryl, and heteroaryl groups; wherein the alkyl, cycloalkyl, heterocyclyl, aryl, and heteroaryl groups are each independently optionally selected from hydrogen atoms, halogens, alkyl groups , substituted with one or more substituents in haloalkyl, alkoxy, haloalkoxy, cyano, amine, nitro and hydroxyl;X1、X2和X3相同或不同,且各自獨立地為氮原子或CRaX1 , X2 and X3 are the same or different, and are each independently a nitrogen atom or CRa ;各個Ra相同或不同,且各自獨立地選自氫原子、鹵素、烷基、烯基、炔基、烷氧基、鹵烷基、鹵烷氧基、氰基、胺基、硝基、羥基、羥烷基、C(O)R6、C(O)OR7、S(O)pR8、S(O)pNR9R10、C(O)NR9R10和NR9R10Each Ra is the same or different, and each is independently selected from a hydrogen atom, halogen, alkyl, alkenyl, alkynyl, alkoxy, haloalkyl, haloalkoxy, cyano, amine, nitro, hydroxyl , hydroxyalkyl, C(O)R6 , C(O)OR7 , S(O)p R8 , S(O)p NR9 R10 , C(O)NR9 R10 and NR9 R10 ;R2選自鹵素、烷基、烯基、炔基、烷氧基、鹵烷基、鹵烷氧基、氰基、胺基、硝基、羥基、羥烷基、環烷基、雜環基、芳基和雜芳基;其中,該烷基、環烷基、雜環基、芳基和雜芳基各自獨立地視需要地被選自鹵素、烷氧基、鹵烷氧基、氰基、胺基、硝基和羥基中的一個或多個取代基所取代;R2 is selected from halogen, alkyl, alkenyl, alkynyl, alkoxy, haloalkyl, haloalkoxy, cyano, amino, nitro, hydroxy, hydroxyalkyl, cycloalkyl, heterocyclyl , aryl and heteroaryl; wherein the alkyl, cycloalkyl, heterocyclyl, aryl and heteroaryl are each independently optionally selected from halogen, alkoxy, haloalkoxy, cyano , substituted with one or more substituents in amine, nitro and hydroxyl;R3為氫原子;R3 is a hydrogen atom;R4選自氫原子、鹵素和烷基;R4 is selected from hydrogen atom, halogen and alkyl;R0為烷基或
Figure 110143813-A0202-13-0002-229
;其中,該烷基視需要地被選自鹵素、烷氧基、鹵烷氧基、氰基、胺基、硝基和羥基中的一個或多個取代基所取代;
R0 is alkyl or
Figure 110143813-A0202-13-0002-229
; wherein, the alkyl group is optionally substituted by one or more substituents selected from halogen, alkoxy, haloalkoxy, cyano, amine, nitro and hydroxyl;
L1為鍵或(CH2)rL1 is a bond or (CH2 )r ;環D選自環烷基、雜環基、芳基和雜芳基;Ring D is selected from cycloalkyl, heterocyclyl, aryl and heteroaryl;各個R5相同或不同,且各自獨立地選自氫原子、鹵素、烷基、烯基、炔基、烷氧基、鹵烷基、鹵烷氧基、側氧基、氰基、硝基、羥基、羥烷基、C(O)R6、C(O)OR7、S(O)pR8、S(O)pNR9R10、C(O)NR9R10、環烷基、-(CH2)r-環烷基、雜環基、-(CH2)r-雜環基、芳基、-(CH2)r-芳基、雜芳基和-(CH2)r-雜芳基;Each R5 is the same or different, and is independently selected from a hydrogen atom, halogen, alkyl, alkenyl, alkynyl, alkoxy, haloalkyl, haloalkoxy, pendant oxy, cyano, nitro, hydroxy, hydroxyalkyl, C(O)R6 , C(O)OR7 , S(O)p R8 , S(O)p NR9 R10 , C(O)NR9 R10 , cycloalkyl , -(CH2 )r -cycloalkyl, heterocyclyl, -(CH2 )r -heterocyclyl, aryl, -(CH2 )r -aryl, heteroaryl and -(CH2 )r - heteroaryl;R6選自氫原子、烷基、鹵烷基、環烷基、雜環基、芳基和雜芳基;其中,該烷基、環烷基、雜環基、芳基和雜芳基各自獨立地視需要地被選自鹵素、烷基、烯基、炔基、烷氧基、鹵烷基、鹵烷氧基、氰基、胺基、硝基、羥基和羥烷基中的一個或多個取代基所取代;R6 is selected from a hydrogen atom, an alkyl group, a haloalkyl group, a cycloalkyl group, a heterocyclic group, an aryl group and a heteroaryl group; wherein the alkyl group, the cycloalkyl group, the heterocyclic group, the aryl group and the heteroaryl group are each independently optionally selected from one of halogen, alkyl, alkenyl, alkynyl, alkoxy, haloalkyl, haloalkoxy, cyano, amine, nitro, hydroxy, and hydroxyalkyl, or replaced by multiple substituents;R7選自氫原子、烷基、烯基、炔基、鹵烷基、羥烷基、環烷基、雜環基、芳基和雜芳基;R7 is selected from hydrogen atom, alkyl group, alkenyl group, alkynyl group, haloalkyl group, hydroxyalkyl group, cycloalkyl group, heterocyclyl group, aryl group and heteroaryl group;R8選自氫原子、烷基、烯基、炔基、鹵烷基、羥烷基、羥基、環烷基、雜環基、芳基和雜芳基;Ris selected from hydrogen atom, alkyl, alkenyl, alkynyl, haloalkyl, hydroxyalkyl, hydroxy, cycloalkyl, heterocyclyl, aryl and heteroaryl;R9和R10相同或不同,且各自獨立地選自氫原子、烷基、烯基、炔基、鹵烷基、羥烷基、環烷基、-(CH2)r-環烷基、雜環基、-(CH2)r-雜環基、芳基、-(CH2)r-芳基、雜芳基和-(CH2)r-雜芳基;R9 and R10 are the same or different, and are each independently selected from hydrogen atoms, alkyl groups, alkenyl groups, alkynyl groups, haloalkyl groups, hydroxyalkyl groups, cycloalkyl groups, -(CH2 )r -cycloalkyl groups, Heterocyclyl, -(CH2 )r -heterocyclyl, aryl, -(CH2 )r -aryl, heteroaryl, and -(CH2 )r -heteroaryl;或者R9和R10與相連的氮原子一起形成雜環基,該雜環基視需要地被選自鹵素、烷基、側氧基、烯基、炔基、烷氧基、鹵烷基、鹵烷氧基、氰基、胺基、硝基、羥基、羥烷基、環烷基、雜環基、芳基和雜芳基中的一個或多個取代基所取代;Alternatively R9 and R10 together with the attached nitrogen atom form a heterocyclyl group optionally selected from halogen, alkyl, pendant oxy, alkenyl, alkynyl, alkoxy, haloalkyl, Substituted with one or more substituents of haloalkoxy, cyano, amine, nitro, hydroxy, hydroxyalkyl, cycloalkyl, heterocyclyl, aryl and heteroaryl;t為0、1、2、3或4;t is 0, 1, 2, 3 or 4;r為0、1、2、3、4、5或6;r is 0, 1, 2, 3, 4, 5 or 6;s為0、1、2、3、4、5或6;並且s is 0, 1, 2, 3, 4, 5, or 6; andp為0、1或2。p is 0, 1 or 2.如請求項1所述的通式(I)所示的化合物或其可藥用的鹽,其為通式(I-1)所示的化合物或其可藥用的鹽:The compound represented by the general formula (I) or a pharmaceutically acceptable salt thereof according to claim 1 is the compound represented by the general formula (I-1) or a pharmaceutically acceptable salt thereof:
Figure 110143813-A0202-13-0003-230
Figure 110143813-A0202-13-0003-230
其中,in,環A、R0、R2、R3和R4如請求項1中所定義。Rings A, R0 , R2 , R3 and R4 are as defined in claim 1 .
如請求項1或2所述的通式(I)所示的化合物或其可藥用的鹽,其中環A選自
Figure 110143813-A0202-13-0003-231
Figure 110143813-A0202-13-0003-232
The compound represented by general formula (I) or a pharmaceutically acceptable salt thereof according to claim 1 or 2, wherein ring A is selected from
Figure 110143813-A0202-13-0003-231
,
Figure 110143813-A0202-13-0003-232
,
Figure 110143813-A0202-13-0004-233
Figure 110143813-A0202-13-0004-233
其中,環B、R1、Ra和t如請求項1中所定義。wherein rings B, R1 ,Ra and t are as defined in claim 1 .
如請求項1或3中所述的通式(I)所示的化合物或其可藥用的鹽,其為通式(II-1)或通式(II-2)所示的化合物或其可藥用的鹽:The compound represented by the general formula (I) or a pharmaceutically acceptable salt thereof as described in claim 1 or 3, which is the compound represented by the general formula (II-1) or the general formula (II-2) or the same Medicinal salts:
Figure 110143813-A0202-13-0004-234
Figure 110143813-A0202-13-0004-234
其中,in,環B、Ra、R0、R1、R2、R3、R4和t如請求項1中所定義。Rings B,Ra , R0 , R1 , R2 , R3 , R4 and t are as defined in claim 1 .
如請求項1至4中任一項所述的通式(I)所示的化合物或其可藥用的鹽,其為通式(III-1)或通式(III-2)所示的化合物或其可藥用的鹽:The compound represented by general formula (I) or a pharmaceutically acceptable salt thereof according to any one of claims 1 to 4, which is represented by general formula (III-1) or general formula (III-2) A compound or a pharmaceutically acceptable salt thereof:
Figure 110143813-A0202-13-0004-237
Figure 110143813-A0202-13-0004-237
其中,in,環B、Ra、R0、R1、R2、R3、R4和t如請求項1中所定義。Rings B,Ra , R0 , R1 , R2 , R3 , R4 and t are as defined in claim 1 .
如請求項1至5中任一項所述的通式(I)所示的化合物或其可藥用的鹽,其中R0為C1-6烷基或3至6員雜環基;較佳地,R0為異丙基或四氫吡喃基。The compound of general formula (I) or a pharmaceutically acceptable salt thereof according to any one of claims 1 to 5, wherein R0 is a C1-6 alkyl group or a 3- to 6-membered heterocyclic group; more Preferably, R0 is isopropyl or tetrahydropyranyl.如請求項1至6中任一項所述的通式(I)所示的化合物或其可藥用的鹽,其中環B為4至6員環烷基或者含有選自氮原子、氧原子和硫原子之一的雜原子的4至6員雜環基;較佳地,環B選自環戊基、環丁基、環己基和四氫呋喃基。The compound represented by the general formula (I) or a pharmaceutically acceptable salt thereof according to any one of claims 1 to 6, wherein ring B is a 4- to 6-membered cycloalkyl group or contains a nitrogen atom, an oxygen atom and a 4- to 6-membered heterocyclic group having a heteroatom of one of the sulfur atoms; preferably, ring B is selected from cyclopentyl, cyclobutyl, cyclohexyl and tetrahydrofuranyl.如請求項1至7中任一項所述的通式(I)所示的化合物或其可藥用的鹽,其中各個R1相同或不同,且各自獨立地選自氫原子、鹵素、C1-6烷基、C1-6鹵烷基、C1-6烷氧基、C1-6鹵烷氧基、C1-6羥烷基、胺基和羥基;較佳地,R1為氫原子。The compound represented by the general formula (I) or a pharmaceutically acceptable salt thereof according to any one of claims 1 to 7, wherein each R1 is the same or different, and each is independently selected from a hydrogen atom, a halogen, a C1-6 alkyl, C1-6 haloalkyl, C1-6 alkoxy, C1-6 haloalkoxy, C1-6 hydroxyalkyl, amine and hydroxyl; preferably, R1 for the hydrogen atom.如請求項1至8中任一項所述的通式(I)所示的化合物或其可藥用的鹽,其中各個Ra相同或不同,且各自獨立地選自氫原子、鹵素、C1-6烷基、C1-6烷氧基、C1-6鹵烷基和C1-6鹵烷氧基;較佳地,各個Ra相同或不同,且各自獨立地為氫原子或鹵素。The compound represented by the general formula (I) or a pharmaceutically acceptable salt thereof according to any one of claims 1 to 8, wherein each Ra is the same or different, and each is independently selected from a hydrogen atom, a halogen, a C1-6 alkyl, C1-6 alkoxy, C1-6 haloalkyl and C1-6 haloalkoxy; preferably, each Ra is the same or different, and each is independently a hydrogen atom or halogen.如請求項1至9中任一項所述的通式(I)所示的化合物或其可藥用的鹽,其中R2選自鹵素、C1-6烷基、C1-6烷氧基、C1-6鹵烷基、C1-6鹵烷氧基和C1-6羥烷基;較佳地,R2為C1-6烷基;更佳地,R2為甲基。The compound represented by the general formula (I) or a pharmaceutically acceptable salt thereof according to any one of claims 1 to 9, wherein R2 is selected from halogen, C1-6 alkyl, C1-6 alkoxy group, C1-6 haloalkyl, C1-6 haloalkoxy and C1-6 hydroxyalkyl; preferably, R2 is C1-6 alkyl; more preferably, R2 is methyl .如請求項1至10中任一項所述的通式(I)所示的化合物或其可藥用的鹽,其中R4選自氫原子、鹵素和C1-6烷基;較佳地,R4為氫原子或C1-6烷基;更佳地,R4為氫原子。The compound represented by general formula (I) or a pharmaceutically acceptable salt thereof according to any one of claims 1 to 10, wherein R4 is selected from hydrogen atom, halogen and C1-6 alkyl; preferably , R4 is a hydrogen atom or a C1-6 alkyl group; more preferably, R4 is a hydrogen atom.如請求項1至11中任一項所述的通式(I)所示的化合物或其可藥用的鹽,其選自以下化合物:The compound represented by general formula (I) or a pharmaceutically acceptable salt thereof according to any one of claims 1 to 11, which is selected from the following compounds:
Figure 110143813-A0202-13-0006-238
Figure 110143813-A0202-13-0006-238
一種製備通式(I)所示的化合物或其可藥用的鹽的方法,該方法包括:A method for preparing a compound represented by general formula (I) or a pharmaceutically acceptable salt thereof, the method comprising:
Figure 110143813-A0202-13-0007-239
Figure 110143813-A0202-13-0007-239
通式(IA)所示的化合物或其鹽(較佳鹽酸鹽)與通式(V)所示的化合物發生親核取代反應,得到通式(I)所示的化合物或其可藥用的鹽;The compound represented by the general formula (IA) or its salt (preferably hydrochloride) undergoes a nucleophilic substitution reaction with the compound represented by the general formula (V) to obtain the compound represented by the general formula (I) or its pharmaceutically acceptable of salt;其中,in,Rw為離去基團,較佳為鹵素,更佳為氯原子;Rw is a leaving group, preferably a halogen, more preferably a chlorine atom;環A、R0、R2、R3和R4如請求項1中所定義。Rings A, R0 , R2 , R3 and R4 are as defined in claim 1 .
一種醫藥組成物,該醫藥組成物含有如請求項1至12中任一項所述的通式(I)所示的化合物或其可藥用的鹽,以及一種或多種藥學上可接受的載體、稀釋劑或賦形劑。A pharmaceutical composition containing the compound of general formula (I) or a pharmaceutically acceptable salt thereof as described in any one of claims 1 to 12, and one or more pharmaceutically acceptable carriers , diluent or excipient.一種如請求項1至12中任一項所述的通式(I)所示的化合物或其可藥用的鹽或如請求項14所述的醫藥組成物在製備肌球蛋白(Myosin)抑制劑中的用途。A compound of general formula (I) as described in any one of claims 1 to 12 or a pharmaceutically acceptable salt thereof or a pharmaceutical composition as described in claim 14 in the preparation of myosin (Myosin) inhibition use in medicaments.一種如請求項1至12中任一項所述的通式(I)所示的化合物或其可藥用的鹽或如請求項14所述的醫藥組成物在製備用於治療疾病或病症的藥物中的用途,該疾病或病症選自射血分數保留的舒張性心衰竭、缺血性心臟病、心絞痛、限制型心肌病、舒張功能障礙、肥厚型心肌病(HCM)、正常射血分數心衰竭(HFpEF)、射血分數中間值心衰(HFmREF)、瓣膜疾病、主動脈瓣狹窄、炎性心肌病、勒夫勒心內膜炎、心肌心內膜纖維化、浸潤性心肌病、血色素沉著症、法布瑞氏症、糖原貯積病、先天性心臟病、法洛四聯症、左心室肥厚、難治性心絞痛和恰加斯病;較佳選自缺血性心臟病、限制型心肌病、肥厚型心肌病(HCM)、炎性心肌病、浸潤性心肌病、先天性心臟病和左心室肥厚;更佳為肥厚型心肌病(HCM);最佳為非梗阻性肥厚型心肌病(nHCM)或梗阻性肥厚型心肌病(oHCM)。A compound of general formula (I) as described in any one of claims 1 to 12 or a pharmaceutically acceptable salt thereof or a pharmaceutical composition as described in claim 14 is prepared for the treatment of diseases or conditions. Use in a medicament selected from the group consisting of diastolic heart failure with preserved ejection fraction, ischemic heart disease, angina pectoris, restrictive cardiomyopathy, diastolic dysfunction, hypertrophic cardiomyopathy (HCM), normal ejection fraction Heart failure (HFpEF), heart failure with median ejection fraction (HFmREF), valve disease, aortic stenosis, inflammatory cardiomyopathy, Loeffler endocarditis, myocardial endomyocardial fibrosis, invasive cardiomyopathy, Hemochromatosis, Fabry disease, glycogen storage disease, congenital heart disease, tetralogy of Fallot, left ventricular hypertrophy, refractory angina and Chagasdisease; preferably selected from ischemic heart disease, restrictive cardiomyopathy, hypertrophic cardiomyopathy (HCM), inflammatory cardiomyopathy, invasive cardiomyopathy, congenital heart disease and left ventricular hypertrophy; more preferably hypertrophic myocardium disease (HCM); optimal for non-obstructive hypertrophic cardiomyopathy (nHCM) or obstructive hypertrophic cardiomyopathy (oHCM).
TW110143813A2020-11-242021-11-24Pyrimidinedione derivatives, preparation method and medical use thereofTW202227402A (en)

Applications Claiming Priority (6)

Application NumberPriority DateFiling DateTitle
CN202011332067.72020-11-24
CN2020113320672020-11-24
CN2021100221272021-01-08
CN202110022127.32021-01-08
CN202110308940.72021-03-23
CN2021103089402021-03-23

Publications (1)

Publication NumberPublication Date
TW202227402Atrue TW202227402A (en)2022-07-16

Family

ID=81755070

Family Applications (1)

Application NumberTitlePriority DateFiling Date
TW110143813ATW202227402A (en)2020-11-242021-11-24Pyrimidinedione derivatives, preparation method and medical use thereof

Country Status (2)

CountryLink
TW (1)TW202227402A (en)
WO (1)WO2022111498A1 (en)

Families Citing this family (3)

* Cited by examiner, † Cited by third party
Publication numberPriority datePublication dateAssigneeTitle
CN112867539B (en)2018-08-312024-08-06赛特凯恩蒂克公司 Cardiac sarcomere inhibitors
TW202302594A (en)2021-03-042023-01-16美商胞質動力學公司Cardiac sarcomere inhibitors
DK4370116T3 (en)2021-07-162025-02-03Cytokinetics Inc AFICAMTEN DOSAGE REGIME FOR THE TREATMENT OF OBSTRUCTIVE HYPERTROPHIC CARDIOMYOPATHY

Family Cites Families (3)

* Cited by examiner, † Cited by third party
Publication numberPriority datePublication dateAssigneeTitle
US8642660B2 (en)*2007-12-212014-02-04The University Of RochesterMethod for altering the lifespan of eukaryotic organisms
SMT202000071T1 (en)*2013-06-212020-03-13Myokardia IncPyrimidinedione compounds against cardiac conditions
WO2020151605A1 (en)*2019-01-252020-07-30青岛吉澳医药科技有限公司Deuterated benzylaminopyrimidinedione derivatives and use thereof

Also Published As

Publication numberPublication date
WO2022111498A1 (en)2022-06-02
CN116507621A (en)2023-07-28

Similar Documents

PublicationPublication DateTitle
TW202227420A (en)Triazinedione derivatives, preparation method and medical use thereof
WO2022007979A1 (en)Fused imidazole derivative, preparation method therefor, and medical use thereof
TW202227402A (en)Pyrimidinedione derivatives, preparation method and medical use thereof
WO2021254470A1 (en)6-oxo-3,6-dihydropyridine derivative, and preparation method therefor and use thereof in medicine
TWI718113B (en)Pyridinecarboxamides derivatives, preparation process and pharmaceutical use thereof
CN114149423B (en)Tetrahydropyridopyrimidinedione derivative, preparation method thereof and application thereof in medicine
TW202321263A (en)Sulfonamide derivatives, their preparation methods and their medical use
CN114516843B (en)Pyrimidine diketone derivative, preparation method and medical application thereof
CN114539229B (en)Pyrimidine diketone derivative, preparation method and medical application thereof
CN114539257B (en)Pyrimidine diketone spiro derivative, preparation method and medical application thereof
CN114456163B (en)Tetrahydropyridopyrimidinedione derivative, preparation method thereof and application thereof in medicine
TW202102480A (en)6-oxo-1,6-dihydropyridazine prodrug derivative, preparation method therefor, and medical applications thereof
CN109963836B (en)Deuterium atom substituted indole carboxamide derivative, preparation method and medical application thereof
CN115677662A (en)Indazole compound, preparation method and medical application thereof
CN114929685B (en) Fused pyridine ring derivatives, their preparation methods and their applications in medicine
CN116507621B (en)Pyrimidine diketone derivative, preparation method and medical application thereof
WO2022262671A1 (en)Macro heterocyclic compound and medical use thereof
EA048346B1 (en) TRIAZINEDIONE DERIVATIVE, METHOD OF ITS PRODUCTION AND ITS USE IN MEDICINE
WO2024051795A1 (en)Substituted purinone derivative used as ubiquitin-specific protease inhibitor
CN120535503A (en)POL theta inhibitor and application thereof

[8]ページ先頭

©2009-2025 Movatter.jp