
































УРОВЕНЬ ТЕХНИКИBACKGROUND OF THE INVENTION
[1] Система доставки является одной из ключевых технологий в разработке лекарственных средств на основе малых РНК. Один тип системы доставки малых РНК представляет собой технологию направленной (нацеленной, таргетной) доставки конъюгата в клетки печени.[1] The delivery system is one of the key technologies in the development of drugs based on small RNAs. One type of small RNA delivery system is a technology for directed (targeted, targeted) delivery of the conjugate to liver cells.
КРАТКОЕ ОПИСАНИЕ ИЗОБРЕТЕНИЯBRIEF DESCRIPTION OF THE INVENTION
[2] Согласно одному аспекту настоящего изобретения в этом документе предложено соединение, имеющее структуру, представленную формулой (321):[2] According to one aspect of the present invention, this document provides a compound having the structure represented by formula (321):
Формула (321)Formula (321)
гдеWhere
n1 представляет собой целое число от 1 до 3, и n3 представляет собой целое число от 0 до 4;n1 is an integer from 1 to 3, and n3 is an integer from 0 to 4;
каждый из m1, m2, и m3 независимо представляет собой целое число от 2 до 10;each of m1, m2, and m3 is independently an integer from 2 to 10;
каждый из R10, R11, R12, R13, R14 и R15 независимо выбран из H, C1-C10 алкила, C1-C10 галогеналкила и C1-C10 алкокси;each of R10 , R11 , R12 , R13 , R14 and R15 is independently selected from H, C1 -C10 alkyl, C1 -C10 haloalkyl and C1 -C10 alkoxy;
R4 представляет собой группу, способную связываться с активным лекарственным средством или активным агентом ковалентной связью;R4 is a group capable of being bound to an active drug or active agent by a covalent bond;
каждый L1 представляет собой линейный алкилен длиной от 1 до 70 атомов углерода, в котором один или более атомов углерода необязательно заменены на любую одну или более групп, выбранных из группы, состоящей из: C(O), NH, O, S, CH=N, S(O)2, C2-C10 алкенилена, C2-C10 алкинилена, C6-C10 арилена, C3-C18 гетероциклилена и C5-C10 гетероарилена, и при этом L1 необязательно замещен любым одним или более элементами группы, состоящей из: C1-C10 алкила, C6-C10 арила, C5-C10 гетероарила, C1-C10 галогеналкила, OC1-C10 алкила, OC1-C10 алкилфенила, -C1-C10 алкилOH, OC1-C10 галогеналкила, SC1-C10 алкила, SC1-C10 алкилфенила, -C1-C10 алкилSH, SC1-C10 галогеналкила, галогена, OH, -SH, NH2, C1-C10 алкилNH2, N(C1-C10 алкил)(C1-C10 алкила), NH(C1-C10 алкила), N(C1-C10 алкил)(C1-C10 алкилфенила), NH(C1-C10 алкилфенила), циано, нитро, CO2H, C(O)OC1-C10 алкила, CON(C1-C10 алкил)(C1-C10 алкила), CONH(C1-C10 алкила), CONH2, NHC(O)(C1-C10 алкила), NHC(O)(фенила), N(C1-C10 алкил)C(O)(C1-C10 алкила), N(C1-C10 алкил)C(O)(фенила), C(O)C1-C10 алкила, C(O)C1-C10 алкилфенила, C(O)C1-C10 галогеналкила, OC(O)C1-C10 алкила, -SO2(C1-C10 алкила), -SO2(фенила), -SO2(C1-C10 галогеналкила), -SO2NH2, SO2NH(C1-C10 алкила), SO2NH(фенила), -NHSO2(C1-C10 алкила), -NHSO2(фенила) и NHSO2(C1-C10 галогеналкила);each L1 is a linear alkylene from 1 to 70 carbon atoms in which one or more carbon atoms are optionally replaced by any one or more groups selected from the group consisting of: C(O), NH, O, S, CH =N, S(O)2 , C2 -C10 alkenylene, C2 -C10 alkynylene, C6 -C10 arylene, C3 -C18 heterocyclylene and C5 -C10 heteroarylene, and L1 is optional substituted by any one or more elements of the group consisting of: C1 -C10 alkyl, C6 -C10 aryl, C5 -C10 heteroaryl, C1 -C10 haloalkyl, OC1 -C10 alkyl, OC1 -C10 alkylphenyl, -C1 -C10 alkylOH, OC1 -C10 haloalkyl, SC1 -C10 alkyl, SC1 -C10 alkylphenyl, -C1 -C10 alkylSH, SC1 -C10 haloalkyl, halogen, OH , -SH, NH2 , C1 -C10 alkylNH2 , N (C1 -C10 alkyl) (C1 -C10 alkyl), NH (C1 -C10 alkyl), N (C1 -C10 alkyl)(C1 -C10 alkylphenyl), NH(C1 -C10 alkylphenyl), cyano, nitro, CO2 H, C(O)OC1 -C10 alkyl, CON(C1 -C10 alkyl)( C1 -C10 alkyl), CONH (C1 -C10 alkyl), CONH2 , NHC (O) (C1 -C10 alkyl), NHC (O) (phenyl), N (C1 -C10 alkyl )C (O) (C1 -C10 alkyl), N (C1 -C10 alkyl) C (O) (phenyl), C (O) C1 -C10 alkyl, C (O) C1 -C10 alkylphenyl, C(O)C1 -C10 haloalkyl, OC(O)C1 -C10 alkyl, -SO2 (C1 -C10 alkyl), -SO2 (phenyl), -SO2 (C1 -C10 haloalkyl), -SO2 NH2 , SO2 NH(C1 -C10 alkyl), SO2 NH(phenyl), -NHSO2 (C1 -C10 alkyl), -NHSO2 (phenyl) and NHSO2 (C1 -C10 haloalkyl);
каждый S1 независимо представляет собой M1, в котором любой активный гидроксил, если он есть, защищен защитной группой для гидроксила;each S1 is independently M1 in which any active hydroxyl, if any, is protected by a hydroxyl protecting group;
каждый M1 независимо выбран из лиганда, спосыобного связываться с рецептором на поверхности клетки.each M1 is independently selected from a ligand capable of binding to a receptor on the cell surface.
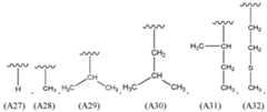
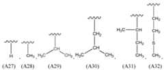
[3] В некоторых вариантах реализации каждый L1 независимо выбран из группы, состоящей из групп A1 - A26 и любых их комбинаций:[3] In some embodiments, each L1 is independently selected from the group consisting of groups A1 - A26 and any combinations thereof:
где каждый j1 независимо представляет собой целое число от 1 до 20;where each j1 is independently an integer from 1 to 20;
каждый j2 независимо представляет собой целое число от 1 до 20;each j2 is independently an integer from 1 to 20;
каждый R' независимо представляет собой C1-C10 алкил;each R' is independently C1 -C10 alkyl;
каждый Ra независимо выбран из группы, состоящей из A27 - A45 и любых их комбинаций:each Ra is independently selected from the group consisting of A27 - A45 and any combinations thereof:
каждый Rb независимо представляет собой C1-C10 алкил; иeach Rb is independently C1 -C10 alkyl; And
представляет собой место присоединения группы к остальной части молекулы.represents the point of attachment of the group to the rest of the molecule.
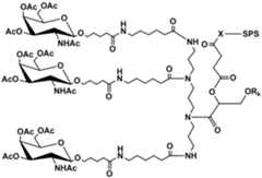
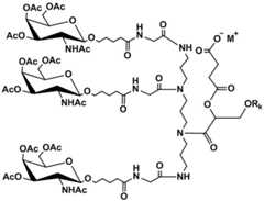
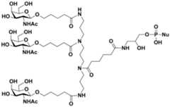
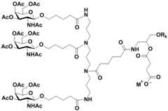
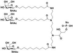
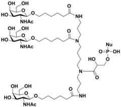
[4] В одном аспекте настоящего изобретения предложен конъюгат, имеющий структуру, представленную формулой (1):[4] In one aspect of the present invention, there is provided a conjugate having the structure represented by formula (1):
Формула (1),Formula 1),
гдеWhere
n1 представляет собой целое число от 1 до 3, и n3 представляет собой целое число от 0 до 4;n1 is an integer from 1 to 3, and n3 is an integer from 0 to 4;
каждый из m1, m2, и m3 независимо представляет собой целое число от 2 до 10;each of m1, m2, and m3 is independently an integer from 2 to 10;
каждый из R10, R11, R12, R13, R14 и R15 независимо выбран из H, C1-C10 алкила, C1-C10 галогеналкила и C1-C10 алкокси;each of R10, R11, R12, R13, R14 and R15 is independently selected from H, C1 -C10 alkyl, C1 -C10 haloalkyl and C1 -C10 alkoxy;
R3 представляет собой активное лекарственное средство;R3 is the active drug;
R2 представляет собой линейный алкилен длиной от 1 до 20 атомов углерода, в котором один или более атомов углерода необязательно заменены на любую одну или более групп, выбранных из группы, состоящей из: C(O), NH, O, S, CH=N, S(O)2, C2-C10 алкенилена, C2-C10 алкинилена, C6-C10 арилена, C3-C18 гетероциклилена и C5-C10 гетероарилена, и где R2 необязательно замещен любым одним или более элементами группы, состоящей из: C1-C10 алкила, C6-C10 арила, C5-C10 гетероарила, C1-C10 галогеналкила, OC1-C10 алкила, OC1-C10 алкилфенила, -C1-C10 алкилOH, OC1-C10 галогеналкила, SC1-C10 алкила, SC1-C10 алкилфенила, -C1-C10 алкилSH, SC1-C10 галогеналкила, галогена, OH, -SH, NH2, C1-C10 алкилNH2, N(C1-C10 алкил)(C1-C10 алкила), NH(C1-C10 алкила), N(C1-C10 алкил)(C1-C10 алкилфенила), NH(C1-C10 алкилфенила), циано, нитро, CO2H, C(O)OC1-C10 алкила, CON(C1-C10 алкил)(C1-C10 алкила), CONH(C1-C10 алкила), CONH2, NHC(O)(C1-C10 алкила), NHC(O)(фенила), N(C1-C10 алкил)C(O)(C1-C10 алкила), N(C1-C10 алкил)C(O)(фенила), C(O)C1-C10 алкила, C(O)C1-C10 алкилфенила, C(O)C1-C10 галогеналкила, OC(O)C1-C10 алкила, -SO2(C1-C10 алкила), -SO2(фенила), -SO2(C1-C10 галогеналкила), -SO2NH2, SO2NH(C1-C10 алкила), SO2NH(фенила), -NHSO2(C1-C10 алкила), -NHSO2(фенила) и NHSO2(C1-C10 галогеналкила);R2 is a linear alkylene from 1 to 20 carbon atoms in which one or more carbon atoms are optionally replaced by any one or more groups selected from the group consisting of: C(O), NH, O, S, CH= N, S(O)2 , C2 -C10 alkenylene, C2 -C10 alkynylene, C6 -C10 arylene, C3 -C18 heterocyclylene and C5 -C10 heteroarylene, and where R2 is optionally substituted with any one or more elements of the group consisting of: C1 -C10 alkyl, C6 -C10 aryl, C5 -C10 heteroaryl, C1 -C10 haloalkyl, OC1 -C10 alkyl, OC1 -C10 alkylphenyl , -C1 -C10 alkylOH, OC1 -C10 haloalkyl, SC1 -C10 alkyl, SC1 -C10 alkylphenyl, -C1 -C10 alkylSH, SC1 -C10 haloalkyl, halogen, OH, - SH, NH2 , C1 -C10 alkylNH2 , N (C1 -C10 alkyl) (C1 -C10 alkyl), NH (C1 -C10 alkyl), N (C1 -C10 alkyl) (C1 -C10 alkylphenyl), NH (C1 -C10 alkylphenyl), cyano, nitro, CO2 H, C (O) OC1 -C10 alkyl, CON (C1 -C10 alkyl) (C1 -C10 alkyl), CONH(C1 -C10 alkyl), CONH2 , NHC(O)(C1 -C10 alkyl), NHC(O)(phenyl), N(C1 -C10 alkyl)C (O) (C1 -C10 alkyl), N (C1 -C10 alkyl) C (O) (phenyl), C (O) C1 -C10 alkyl, C (O) C1 -C10 alkylphenyl , C (O) C1 -C10 haloalkyl, OC (O) C1 -C10 alkyl, -SO2 (C1 -C10 alkyl), -SO2 (phenyl), -SO2 (C1 -C10 haloalkyl), -SO2 NH2 , SO2 NH (C1 -C10 alkyl), SO2 NH (phenyl), -NHSO2 (C1 -C10 alkyl), -NHSO2 (phenyl) and NHSO2 (C1 -C10 haloalkyl);
каждый L1 независимо представляет собой линейный алкилен длиной от 1 до 70 атомов углерода, в котором один или более атомов углерода необязательно заменены на любую одну или более групп, выбранных из группы, состоящей из: C(O), NH, O, S, CH=N, S(O)2, C2-C10 алкенилена, C2-C10 алкинилена, C6-C10 арилена, C3-C18 гетероциклилена и C5-C10 гетероарилена, и при этом L1 необязательно замещен любым одним или более элементами группы, состоящей из: C1-C10 алкила, C6-C10 арила, C5-C10 гетероарила, C1-C10 галогеналкила, OC1-C10 алкила, OC1-C10 алкилфенила, -C1-C10 алкилOH, OC1-C10 галогеналкила, SC1-C10 алкила, SC1-C10 алкилфенила, -C1-C10 алкилSH, SC1-C10 галогеналкила, галогена, OH, -SH, NH2, C1-C10 алкилNH2, N(C1-C10 алкил)(C1-C10 алкила), NH(C1-C10 алкила), N(C1-C10 алкил)(C1-C10 алкилфенила), NH(C1-C10 алкилфенила), циано, нитро, CO2H, C(O)OC1-C10 алкила, CON(C1-C10 алкил)(C1-C10 алкила), CONH(C1-C10 алкила), CONH2, NHC(O)(C1-C10 алкила), NHC(O)(фенила), N(C1-C10 алкил)C(O)(C1-C10 алкила), N(C1-C10 алкил)C(O)(фенила), C(O)C1-C10 алкила, C(O)C1-C10 алкилфенила, C(O)C1-C10 галогеналкила, OC(O)C1-C10 алкила, -SO2(C1-C10 алкила), -SO2(фенила), -SO2(C1-C10 галогеналкила), -SO2NH2, SO2NH(C1-C10 алкила), SO2NH(фенила), -NHSO2(C1-C10 алкила), -NHSO2(фенила) и NHSO2(C1-C10 галогеналкила);each L1 is independently a linear alkylene from 1 to 70 carbon atoms in which one or more carbon atoms are optionally replaced by any one or more groups selected from the group consisting of: C(O), NH, O, S, CH=N, S(O)2 , C2 -C10 alkenylene, C2 -C10 alkynylene, C6 -C10 arylene, C3 -C18 heterocyclylene and C5 -C10 heteroarylene, while L1 optionally substituted by any one or more members of the group consisting of: C1 -C10 alkyl, C6 -C10 aryl, C5 -C10 heteroaryl, C1 -C10 haloalkyl, OC1 -C10 alkyl, OC1 - C10 alkylphenyl, -C1 -C10 alkylOH, OC1 -C10 haloalkyl, SC1 -C10 alkyl, SC1 -C10 alkylphenyl, -C1 -C10 alkylSH, SC1 -C10 haloalkyl, halogen, OH, -SH, NH2 , C1 -C10 alkylNH2 , N (C1 -C10 alkyl) (C1 -C10 alkyl), NH (C1 -C10 alkyl), N (C1 -C10 alkyl) (C1 -C10 alkylphenyl), NH (C1 -C10 alkylphenyl), cyano, nitro, CO2 H, C (O) OC1 -C10 alkyl, CON (C1 -C10 alkyl) (C1 -C10 alkyl), CONH (C1 -C10 alkyl), CONH2 , NHC (O) (C1 -C10 alkyl), NHC (O) (phenyl), N (C1 -C10 alkyl) C (O) (C1 -C10 alkyl), N (C1 -C10 alkyl) C (O) (phenyl), C (O) C1 -C10 alkyl, C (O) C1 - C10 alkylphenyl, C (O) C1 -C10 haloalkyl, OC (O) C1 -C10 alkyl, -SO2 (C1 -C10 alkyl), -SO2 (phenyl), -SO2 (C1 -C10 haloalkyl), -SO2 NH2 , SO2 NH (C1 -C10 alkyl), SO2 NH (phenyl), -NHSO2 (C1 -C10 alkyl), -NHSO2 (phenyl) and NHSO2 (C1 -C10 haloalkyl);
каждый M1 выбран из одного из лигандов, способных связываться с рецептором на поверхности клетки.each M1 is selected from one of the ligands capable of binding to a receptor on the cell surface.
[5] В некоторых вариантах реализации каждый L1 независимо выбран из группы, состоящей из групп A1 - A26 и любых их комбинаций:[5] In some embodiments, each L1 is independently selected from the group consisting of groups A1 - A26 and any combinations thereof:
где каждый j1 независимо представляет собой целое число от 1 до 20;where each j1 is independently an integer from 1 to 20;
каждый j2 независимо представляет собой целое число от 1 до 20;each j2 is independently an integer from 1 to 20;
каждый R' независимо представляет собой C1-C10 алкил;each R' is independently C1 -C10 alkyl;
каждый Ra независимо выбран из группы, состоящей из A27 - A45 и любых их комбинаций:each Ra is independently selected from the group consisting of A27 - A45 and any combinations thereof:
каждый Rb независимо представляет собой C1-C10 алкил; иeach Rb is independently C1 -C10 alkyl; And
представляет собой место присоединения группы к остальной части молекулы.represents the point of attachment of the group to the rest of the molecule.
[6] В одном аспекте настоящего изобретения предложено применение конъюгата, описанного в данной заявке, для получения лекарственного средства для лечения и/или предотвращения патологического состояния или заболевания, вызванного экспрессией определенного гена в гепатоцитах.[6] In one aspect of the present invention, the use of a conjugate described in this application for the preparation of a medicament for the treatment and/or prevention of a pathological condition or disease caused by the expression of a certain gene in hepatocytes is proposed.
[7] В одном аспекте настоящего изобретения предложен способ лечения у нуждающегося в этом субъекта патологического состояния или заболевания, вызванного экспрессией определенного гена в гепатоцитах, включающий введение указанному субъекту эффективного количества конъюгата, описанного в данной заявке.[7] In one aspect, the present invention provides a method of treating a subject in need of a pathological condition or disease caused by the expression of a certain gene in hepatocytes, comprising administering to said subject an effective amount of a conjugate described in this application.
[8] В одном аспекте настоящего изобретения предложен способ ингибирования экспрессии определенного гена в гепатоцитах, включающий приведение в контакт с конъюгатом, описанным в данной заявке.[8] In one aspect of the present invention, a method for inhibiting the expression of a particular gene in hepatocytes is provided, comprising contacting with a conjugate described in this application.
[9] В одном аспекте настоящего изобретения предложен набор, содержащий конъюгат, описанный в данной заявке.[9] In one aspect of the present invention, a kit is provided that contains the conjugate described in this application.
[10] Дополнительные особенности и преимущества настоящего изобретения будут подробно проиллюстрированы далее в данной заявке.[10] Additional features and advantages of the present invention will be illustrated in detail later in this application.
ВКЛЮЧЕНИЕ ПОСРЕДСТВОМ ССЫЛКИINCLUSION BY LINK
[11] Все публикации, патенты и заявки на патент, упомянутые в настоящем описании, включены в данную заявку посредством ссылки в той же степени, как если бы каждая отдельная публикация, патент или заявка на патент были конкретно и отдельно указаны как включенные посредством ссылки.[11] All publications, patents and patent applications mentioned in the present specification are hereby incorporated by reference to the same extent as if each individual publication, patent or patent application were specifically and separately indicated as being incorporated by reference.
КРАТКОЕ ОПИСАНИЕ ЧЕРТЕЖЕЙBRIEF DESCRIPTION OF THE DRAWINGS
[12] Новые особенности настоящего изобретения подробно описаны в прилагаемой формуле изобретения. Лучшее понимание особенностей и преимуществ настоящего изобретения будет достигнуто после рассмотрения следующего подробного описания, в котором описаны иллюстративные варианты реализации, в которых применяются принципы настоящего изобретения, и сопроводительных чертежей, из которых:[12] The novel features of the present invention are described in detail in the appended claims. A better understanding of the features and advantages of the present invention will be achieved by considering the following detailed description, which describes illustrative embodiments in which the principles of the present invention are applied, and the accompanying drawings, of which:
[13] На фиг. 1A и 1B показан полуколичественный результат анализа стабильности конъюгатов миРНК в тритосоме in vitro.[13] FIG. 1A and 1B show a semi-quantitative result of an in vitro tritosome stability assay of siRNA conjugates.
[14] На фиг. 2A и 2B показан полуколичественный результат анализа стабильности исследованных конъюгатов миРНК в плазме человека in vitro.[14] FIG. 2A and 2B show a semi-quantitative result of an in vitro stability analysis of the tested siRNA conjugates in human plasma.
[15] На фиг. 3A и 3B показан полуколичественный результат анализа стабильности исследованных конъюгатов миРНК в плазме обезьяны in vitro.[15] FIG. 3A and 3B show a semi-quantitative result of in vitro monkey plasma stability analysis of the studied siRNA conjugates.
[16] На фиг. 4 - 11 представлены метаболические профили в динамике, показывающие ФК/ТК концентрации в плазме или ткани для: конъюгата 24 в плазме крысы при дозировке 10 мг/кг (фиг. 4); конъюгата 24 в печени и почке крысы при дозировке 10 мг/кг (фиг. 5); конъюгата 24 в плазме крысы при дозировке 50 мг/кг (фиг. 6); конъюгата 24 в печени и почке крысы при дозировке 50 мг/кг (фиг. 7); конъюгата 25 в плазме крысы при дозировке 10 мг/кг (фиг. 8); конъюгата 25 в печени и почке крысы при дозировке 10 мг/кг (фиг. 9); конъюгата 25 в плазме крысы при дозировке 50 мг/кг (фиг. 10); конъюгата 25 в печени и почке крысы при дозировке 50 мг/кг (фиг. 11).[16] FIG. 4-11 are metabolic profiles over time showing plasma or tissue PK/TK concentrations for: conjugate 24 in rat plasma at 10 mg/kg (FIG. 4); conjugate 24 in the liver and kidney of rats at a dosage of 10 mg/kg (Fig. 5); conjugate 24 in rat plasma at a dosage of 50 mg/kg (Fig. 6); conjugate 24 in the liver and kidney of rats at a dosage of 50 mg/kg (Fig. 7); conjugate 25 in rat plasma at a dosage of 10 mg/kg (Fig. 8); conjugate 25 in the liver and kidney of rats at a dosage of 10 mg/kg (Fig. 9); conjugate 25 in rat plasma at a dosage of 50 mg/kg (Fig. 10); conjugate 25 in the liver and kidney of rats at a dosage of 50 mg/kg (Fig. 11).
[17] На фиг. 12A, 12B, 12C и 12D показано определение значения IC50 для конъюгата 24 в отношении ингибирования экспрессии GSCM по сравнению с GSSM, PSCM и PSSM, соответственно.[17] FIG. 12A, 12B, 12C and 12D show the determination of the IC50 value for conjugate 24 in terms of inhibition of GSCM expression compared to GSSM, PSCM and PSSM, respectively.
[18] На фиг. 13 - 15 показано ингибирование мРНК HBV in vivo конъюгатами, описанными в данной заявке.[18] FIG. 13-15 show the in vivo inhibition of HBV mRNA by the conjugates described in this application.
[19] На фиг. 16 показано зависимое от времени ингибирование экспрессии HBsAg в сыворотке трансгенных по HBV мышей конъюгатами, описанными в данной заявке.[19] FIG. 16 shows the time-dependent inhibition of HBsAg expression in the serum of HBV transgenic mice by the conjugates described in this application.
[20] На фиг. 17 показано зависимое от времени ингибирование экспрессии ДНК HBV в сыворотке трансгенных по HBV мышей конъюгатами, описанными в данной заявке.[20] FIG. 17 shows the time-dependent inhibition of HBV DNA expression in the sera of HBV transgenic mice by the conjugates described in this application.
[21] На фиг. 18 показано зависимое от времени ингибирование экспрессии HBsAg в сыворотке трансгенных по HBV мышей конъюгатом 25, описанным в данной заявке.[21] FIG. 18 shows time-dependent inhibition of HBsAg expression in serum of HBV transgenic mice by
[22] На фиг. 19 показано зависимое от времени ингибирование экспрессии HBsAg в моделях M-Tg конъюгатами, описанными в данной заявке.[22] FIG. 19 shows time-dependent inhibition of HBsAg expression in M-Tg models by the conjugates described in this application.
[23] На фиг. 20 показано зависимое от времени ингибирование экспрессии HBsAg в моделях M-Tg конъюгатами, описанными в данной заявке.[23] FIG. 20 shows time-dependent inhibition of HBsAg expression in M-Tg models by the conjugates described in this application.
[24] На фиг. 21 показано зависимое от времени ингибирование экспрессии HBsAg в 1,28-копийных моделях M-Tg конъюгатами, описанными в данной заявке.[24] FIG. 21 shows time-dependent inhibition of HBsAg expression in 1.28-copy M-Tg models by the conjugates described in this application.
[25] На фиг. 22 - 24 показано ингибирование целевой мРНК (мишени) по сравнению с нецелевой мРНК конъюгатами, описанными в данной заявке.[25] FIG. 22-24 show inhibition of target mRNA (target) compared to non-target mRNA conjugates described in this application.
[26] На фиг. 25 - 27 показано ингибирование мРНК HBV in vivo конъюгатами, описанными в данной заявке.[26] FIG. 25-27 show the in vivo inhibition of HBV mRNA by the conjugates described in this application.
[27] На фиг. 28 показано зависимое от времени ингибирование экспрессии HBsAg в сыворотке трансгенных по HBV мышей конъюгатами, описанными в данной заявке.[27] FIG. 28 shows the time-dependent inhibition of HBsAg expression in the serum of HBV transgenic mice by the conjugates described in this application.
[28] На фиг. 29 показано зависимое от времени ингибирование экспрессии HBsAg в сыворотке трансгенных по HBV мышей конъюгатами, описанными в данной заявке.[28] FIG. 29 shows the time-dependent inhibition of HBsAg expression in the serum of HBV transgenic mice by the conjugates described in this application.
[29] На фиг. 30 показано ингибирование мРНК HBV in vivo в Д85 конъюгатами, описанными в данной заявке.[29] FIG. 30 shows in vivo inhibition of HBV mRNA at D85 by the conjugates described in this application.
[30] На фиг. 31 показано зависимое от времени ингибирование экспрессии HBsAg в сыворотке трансгенных по HBV мышей конъюгатом 43.[30] FIG. 31 shows time-dependent inhibition of HBsAg expression in serum of HBV transgenic mice by conjugate 43.
[31] На фиг. 32 показано зависимое от времени ингибирование экспрессии ДНК HBV в сыворотке трансгенных по HBV мышей конъюгатом 43.[31] FIG. 32 shows time dependent inhibition of HBV DNA expression in sera of HBV transgenic mice by conjugate 43.
[32] На фиг. 33 и 34 показана стабильность конъюгата 167 в лизате лизосом из человека и крысы.[32] FIG. 33 and 34 show the stability of conjugate 167 in lysosome lysate from human and rat.
[33] На фиг. 35 показано зависимое от времени ингибирование экспрессии HBsAg в 1,28-копийных моделях M-Tg конъюгатом 168.[33] FIG. 35 shows time-dependent inhibition of HBsAg expression in 1.28-copy M-Tg models by
[34] На фиг. 36 показано зависимое от времени ингибирование экспрессии HBeAg в 1,28-копийных моделях M-Tg конъюгатом 168.[34] FIG. 36 shows time-dependent inhibition of HBeAg expression in 1.28-copy M-Tg models by
[35] На фиг. 37 показано зависимое от времени ингибирование экспрессии ДНК HBV в 1,28-копийных моделях M-Tg конъюгатом 168.[35] FIG. 37 shows time-dependent inhibition of HBV DNA expression in 1.28-copy M-Tg models by
[36] На фиг. 38A и 38B показано соотношение ингибирования экспрессии мРНК ANGPTL в Д14 и Д28.[36] FIG. 38A and 38B show the ratio of inhibition of ANGPTL mRNA expression at D14 and D28.
[37] На фиг. 39A и 39B показано соотношение ингибирования липидов крови, представленных общим холестерином (ОХ) и триглицеридами (ТГ) в сыворотке, конъюгатами, описанными в данной заявке.[37] FIG. 39A and 39B show the ratio of inhibition of blood lipids, represented by total cholesterol (TC) and triglycerides (TG) in serum, by the conjugates described in this application.
[38] На фиг. 40A и 40B показано зависимое от времени соотношение ингибирования липидов крови, представленных общим холестерином (ОХ) и триглицеридами (ТГ) в сыворотке, конъюгатом 115.[38] FIG. 40A and 40B show the time dependent ratio of blood lipid inhibition represented by total cholesterol (TC) and serum triglycerides (TG) by
[39] На фиг. 41A и 41B показано зависимое от времени соотношение ингибирования липидов крови, представленных общим холестерином (ОХ) и триглицеридами (ТГ) в сыворотке, конъюгатами 115 и 111.[39] FIG. 41A and 41B show the time dependent ratio of blood lipid inhibition, represented by total cholesterol (TC) and serum triglycerides (TG), conjugates 115 and 111.
[40] На фиг. 42A, 42B, 42C и 42D показано зависимое от времени соотношение ингибирования липидов крови, представленных общим холестерином (ОХ) и триглицеридами (ТГ) в сыворотке, конъюгатом 111 при различных дозировках.[40] FIG. 42A, 42B, 42C and 42D show the time-dependent ratio of blood lipid inhibition, represented by total cholesterol (TC) and serum triglycerides (TG), by
[41] На фиг. 43A и 43B показано зависимое от времени соотношение ингибирования липидов крови, представленных общим холестерином (ОХ) и триглицеридами (ТГ) в сыворотке, конъюгатами 25 и 169; и на фиг. 43C показано соотношение ингибирования экспрессии мРНК ANGPTL.[41] FIG. 43A and 43B show the time-dependent ratio of blood lipid inhibition, represented by total cholesterol (TC) and serum triglycerides (TG), conjugates 25 and 169; and in FIG. 43C shows the ratio of inhibition of ANGPTL mRNA expression.
[42] На фиг. 44A показано соотношение ингибирования экспрессии APOC3 в печени в Д14, и на фиг. 44B и 44C показано соотношение ингибирования липидов крови, представленных общим холестерином (ОХ) и триглицеридами (ТГ) в сыворотке, конъюгатом 144 при различных дозировках.[42] FIG. 44A shows the ratio of hepatic APOC3 expression inhibition at D14, and FIG. 44B and 44C show the ratio of blood lipid inhibition, represented by total cholesterol (TC) and triglycerides (TG) in serum, by conjugate 144 at various dosages.
[43] На фиг. 45A и 45B показано соотношение ингибирования липидов крови, представленных общим холестерином (ОХ) и триглицеридами (ТГ) в сыворотке, конъюгатом 170 при различных дозировках.[43] FIG. 45A and 45B show the ratio of inhibition of blood lipids, represented by total cholesterol (TC) and triglycerides (TG) in serum, by conjugate 170 at various dosages.
[44] На фиг. 46A, 46B, 46C и 46D показано соотношение ингибирования липидов крови, представленных общим холестерином (ОХ) и триглицеридами (ТГ) в сыворотке, конъюгатами, описанными в данной заявке.[44] FIG. 46A, 46B, 46C and 46D show the ratio of blood lipid inhibition, represented by total cholesterol (TC) and triglycerides (TG) in serum, of the conjugates described in this application.
ПОДРОБНОЕ ОПИСАНИЕ ИЗОБРЕТЕНИЯDETAILED DESCRIPTION OF THE INVENTION
[45] Конкретные варианты реализации настоящего изобретения подробно описаны ниже. Следует понимать, что подробные варианты реализации, описанные в данной заявке, используются лишь для иллюстрирования и объяснения настоящего изобретения и не предназначены для ограничения настоящего описания в каком-либо отношении.[45] Specific embodiments of the present invention are described in detail below. It should be understood that the detailed implementation options described in this application are used only to illustrate and explain the present invention and are not intended to limit the present description in any respect.
ОпределенияDefinitions
[46] В контексте настоящего описания, если не указано иное, заглавные буквы C, G, U и A обозначают основания, из которых состоят нуклеотиды; строчная буква m указывает на то, что нуклеотид, примыкающий слева к букве m, представляет собой модифицированный 2'-метокси-группой нуклеотид; строчная буква f указывает на то, что нуклеотид, примыкающий слева к букве f, представляет собой модифицированный 2'-фтором нуклеотид; строчная буква s указывает на фосфоротиоатную связь между двумя нуклеотидами, примыкающими с двух сторон к букве s; P1 указывает на то, что нуклеотид, примыкающий справа к P1, представляет собой нуклеотид с 5'-фосфатом или нуклеотид, модифицированный аналогом 5'-фосфата, особенно нуклеотид, модифицированный винилфосфатом (обозначен VP в примерах ниже), нуклеотид с 5'-фосфатом (обозначен P в примерах ниже) или нуклеотид, модифицированный 5'-тиофосфатом (обозначен Ps в примерах ниже).[46] In the context of the present description, unless otherwise indicated, the capital letters C, G, U and A denote the bases that make up the nucleotides; a lowercase m indicates that the nucleotide adjacent to the left of the m is a 2'-methoxy-modified nucleotide; a lowercase f indicates that the nucleotide adjacent to the left of f is a 2'-fluorine-modified nucleotide; a lowercase s indicates a phosphorothioate bond between two nucleotides adjacent to the s on both sides; P1 indicates that the nucleotide adjacent to the right of P1 is a nucleotide with 5'-phosphate or a nucleotide modified with a 5'-phosphate analog, especially a nucleotide modified with vinyl phosphate (denoted VP in the examples below), a nucleotide with 5'-phosphate (denoted P in the examples below) or a 5'-thiophosphate modified nucleotide (denoted Ps in the examples below).
[47] В контексте настоящего описания формулировки «комплементарный» и «обратно комплементарный» используют взаимозаменяемо в данной заявке, и они имеют значение, хорошо известное в данной области, а именно, каждое из оснований в одной цепи комплементарно спарено с основанием в другой цепи в двухцепочечной молекуле нуклеиновой кислоты. В ДНК пуриновое основание аденин (A) всегда спаривается с пиримидиновым основанием тимином (T) (или урацилом (U) в молекулах РНК); и пуриновое основание гуанин (G) всегда спаривается с пиримидиновым основанием цитозином (C). Каждая пара оснований содержит пурин и пиримидин. Если аденины в цепи всегда спариваются с тиминами (или урацилами) в другой цепи и гуанины спариваются с цитозинами, то указанные цепи считают комплементарными; и последовательность оснований цепи можно установить по последовательности комплементарной цепи. Соответственно, «ошибочное спаривание» относится к основаниям в соответствующих сайтах (положениях), которые не представлены в комплементарной паре в двухцепочечной нуклеиновой кислоте.[47] As used herein, the terms "complementary" and "reversely complementary" are used interchangeably throughout this application and have a meaning well known in the art, namely, each of the bases in one strand is complementary paired with a base in the other strand in double-stranded nucleic acid molecule. In DNA, the purine base adenine (A) always pairs with the pyrimidine base thymine (T) (or uracil (U) in RNA molecules); and the purine base guanine (G) always pairs with the pyrimidine base cytosine (C). Each base pair contains a purine and a pyrimidine. If adenines in a chain always pair with thymines (or uracils) in another chain and guanines pair with cytosines, then these chains are considered complementary; and the base sequence of the chain can be determined from the sequence of the complementary chain. Accordingly, "mismatch" refers to bases at appropriate sites (positions) that are not present in a complementary pair in a double-stranded nucleic acid.
[48] В контексте настоящего описания, если не указано иное, «в основном обратно комплементарный» относится не более чем к 3 ошибочным спариваниям в двух последовательностях нуклеотидов. «По существу обратно комплементарный» относится не более чем к 1 ошибочному спариванию в двух последовательностях нуклеотидов. «Полностью обратно комплементарный» относится к отсутствию ошибочного спаривания в двух последовательностях нуклеотидов.[48] As used herein, unless otherwise indicated, "mostly reverse complementary" refers to no more than 3 mismatches in two nucleotide sequences. "Substantially reverse complementary" refers to no more than 1 mismatch in two nucleotide sequences. "Completely reverse complementary" refers to the absence of mismatches in two nucleotide sequences.
[49] В контексте настоящего описания «различие в нуклеотидах» между последовательностью нуклеотидов и другой последовательностью нуклеотидов относится к изменению в них оснований указанных нуклеотидов в одном и том же положении. Например, в случае, когда основание нуклеотида во второй последовательности представляет собой A, тогда как основание в том же сайте в первой последовательности представляет собой U, C, G или T, считают, что существует различие в нуклеотидах в данном сайте между 2 последовательностями. В некоторых вариантах реализации, если нуклеотид в некотором положении заменен на нуклеотид с удаленным основанием или аналог нуклеотида, то также считают, что существует различие в нуклеотидах в данном сайте.[49] As used herein, a "nucleotide difference" between a nucleotide sequence and another nucleotide sequence refers to a change in the bases of said nucleotides at the same position. For example, in the case where the base of a nucleotide in the second sequence is A while the base at the same site in the first sequence is U, C, G, or T, there is considered to be a difference in nucleotides at that site between the 2 sequences. In some embodiments, if a nucleotide at a position is changed to a base removed nucleotide or a nucleotide analog, then there is also considered to be a difference in the nucleotides at that site.
[50] В контексте настоящего описания, в частности, в описании способа получения конъюгирующей молекулы или конъюгата миРНК, описанного в настоящем описании, если не указано иное, «мономер нуклеозида» или «мономеры нуклеозида» относятся, в зависимости от последовательности РНК, которую необходимо получить, к «немодифицированному или модифицированному РНК-фосфорамидиту», или «немодифицированным или модифицированным РНК-фосфорамидитам», соответственно, применяемым в так называемом «фосфорамидитном твердофазном синтезе», который хорошо известен в данной области как способ синтеза РНК. РНК-фосфорамидиты также называют нуклеозид-фосфорамидитами в других местах в данной заявке. Все мономеры нуклеозидов, применяемые в настоящем описании, доступны для приобретения.[50] In the context of the present description, in particular, in the description of the method for obtaining a conjugating molecule or siRNA conjugate described in the present description, unless otherwise indicated, "nucleoside monomer" or "nucleoside monomers" refers, depending on the RNA sequence that is needed to "unmodified or modified RNA phosphoramidite", or "unmodified or modified RNA phosphoramidite", respectively, used in the so-called "phosphoramidite solid phase synthesis", which is well known in the art as a method for the synthesis of RNA. RNA phosphoramidites are also referred to as nucleoside phosphoramidites elsewhere in this application. All nucleoside monomers used herein are commercially available.
[51] В данной заявке тире («-»), которое не находится между двумя буквами или символами, используют для обозначения точки присоединения заместителя. Например, C1-C10 алкилNH2 присоединен через C1-C10 алкил.[51] In this application, a dash ("-"), which is not between two letters or symbols, is used to indicate the point of attachment of the substituent. For example, C1 -C10 alkylNH2 is attached via C1 -C10 alkyl.
[52] В данной заявке «необязательный» или «необязательно» означает, что описанное далее событие или обстоятельство может произойти или может не произойти, и что настоящее описание включает случаи, когда указанное событие или обстоятельство происходит, и случаи, когда оно не происходит. Например, в объем термина «необязательно содержащий заместители алкил» входят как «алкил», так и «содержащий заместители алкил», как указано ниже. Специалистам в данной области будет понятно, в отношении любой группы, содержащей один или более заместителей, что не предполагается, что такие группы содержат любое замену (замещение) или паттерны замен (замещений), которые нереализуемы со стерической точки зрения, которые невозможно синтезировать и/или которые по своей природе нестабильны.[52] As used herein, "optional" or "optional" means that the event or circumstance described below may or may not occur, and that the present description includes cases where said event or circumstance occurs and cases where it does not occur. For example, the term "optionally substituted alkyl" includes both "alkyl" and "substituent alkyl" as defined below. Those skilled in the art will appreciate, with respect to any group containing one or more substituents, that such groups are not intended to contain any substitution (substitution) or patterns of substitutions (substitutions) that are sterically unrealizable, that cannot be synthesized and/ or which are inherently unstable.
[53] В данной заявке «алкил» относится к линейной цепи и разветвленной цепи, содержащей указанное количество атомов углерода, обычно от 1 до 20 атомов углерода, например, от 1 до 10 атомов углерода, например, от 1 до 8 или от 1 до 6 атомов углерода. Например, C1-C6 алкил включает алкил как с линейной, так и с разветвленной цепью из от 1 до 6 атомов углерода. Если упоминается остаток алкила, содержащий указанное количество атомов углерода, предполагается, что включены все варианты с разветвленной и линейной цепью, содержащие данное количество атомов углерода; таким образом, например, подразумевают, что «бутил» включает н-бутил, втор-бутил, изобутил и трет-бутил; «пропил» включает н-пропил и изопропил. Алкилен является подгруппой алкила, относящейся к тем же остаткам, что и алкил, но имеющей две точки присоединения.[53] In this application, "alkyl" refers to a straight chain and a branched chain containing the specified number of carbon atoms, usually from 1 to 20 carbon atoms, for example, from 1 to 10 carbon atoms, for example, from 1 to 8 or from 1 to 6 carbons. For example, C1 -C6 alkyl includes both straight and branched chain alkyl of 1 to 6 carbon atoms. When an alkyl residue containing the specified number of carbon atoms is mentioned, it is assumed that all branched and straight chain variants containing the specified number of carbon atoms are included; thus, for example, "butyl" is meant to include n-butyl, sec-butyl, isobutyl and t-butyl; "propyl" includes n-propyl and isopropyl. Alkylene is a subgroup of alkyl referring to the same residues as alkyl, but having two points of attachment.
[54] В данной заявке «алкенил» относится к алкильной группе с ненасыщенной разветвленной или линейной цепью, содержащей по меньшей мере одну двойную углерод-углеродную связь, полученную путем удаления одной молекулы водорода из смежных атомов углерода исходного алкила. Указанная группа может быть либо в цис-, либо в транс-конфигурации относительно двойной(-ых) связи(-ей). Обычные алкенильные группы включают, но не ограничены перечисленными: этенил; пропенилы, такие как проп-1-ен-1-ил, проп-1-ен-2-ил, проп-2-ен-1-ил (аллил), проп-2-ен-2-ил; бутенилы, такие как бут-1-ен-1-ил, бут-1-ен-2-ил, 2-метилпроп-1-ен-1-ил, бут-2-ен-1-ил, бут-2-ен-1-ил, бут-2-ен-2-ил, бута-1,3-диен-1-ил, бута-1,3-диен-2-ил; и тому подобные группы. В некоторых вариантах реализации алкенильная группа содержит от 2 до 20 атомов углерода и, в других вариантах реализации, от 2 до 10, от 2 до 8 или от 2 до 6 атомов углерода. Алкенилен представляет собой разновидность алкенила, относящуюся к тем же остаткам, что и алкенил, но имеющую две точки присоединения.[54] As used herein, "alkenyl" refers to an unsaturated branched or straight chain alkyl group containing at least one carbon-carbon double bond obtained by removing one hydrogen molecule from adjacent carbon atoms of the parent alkyl. Said group may be either in the cis or trans configuration with respect to the double bond(s). Typical alkenyl groups include, but are not limited to: ethenyl; propenyls such as prop-1-en-1-yl, prop-1-en-2-yl, prop-2-en-1-yl (allyl), prop-2-en-2-yl; butenyls such as but-1-en-1-yl, but-1-en-2-yl, 2-methylprop-1-en-1-yl, but-2-en-1-yl, but-2- en-1-yl, but-2-en-2-yl, buta-1,3-dien-1-yl, buta-1,3-dien-2-yl; and similar groups. In some embodiments, the alkenyl group contains 2 to 20 carbon atoms and, in other embodiments, 2 to 10, 2 to 8, or 2 to 6 carbon atoms. Alkenylene is a type of alkenyl that belongs to the same residues as alkenyl, but has two points of attachment.
[55] В данной заявке «алкинил» относится к алкильной группе с ненасыщенной разветвленной или линейной цепью, содержащей по меньшей мере одну тройную углерод-углеродную связь, полученную путем удаления двух молекул водорода из смежных атомов углерода исходного алкила. Обычные алкинильные группы включают, но не ограничены перечисленными: этинил; пропинилы, такие как проп-1-ин-1-ил, проп-2-ин-1-ил; бутинилы, такие как бут-1-ин-1-ил, бут-1-ин-3-ил, бут-3-ин-1-ил и тому подобные группы. В некоторых вариантах реализации алкинильная группа содержит от 2 до 20 атомов углерода и в других вариантах реализации от 2 до 10, от 2 до 8 или от 2 до 6 атомов углерода. Алкинилен представляет собой разновидность алкинила, относящуюся к тем же остаткам, что и алкинил, но имеющую две точки присоединения.[55] As used herein, "alkynyl" refers to an unsaturated branched or straight chain alkyl group containing at least one carbon-carbon triple bond obtained by removing two hydrogen molecules from adjacent carbon atoms of the parent alkyl. Typical alkynyl groups include, but are not limited to: ethynyl; propynyls such as prop-1-yn-1-yl, prop-2-yn-1-yl; butynyls such as but-1-yn-1-yl, but-1-yn-3-yl, but-3-yn-1-yl and the like groups. In some embodiments, the alkynyl group contains 2 to 20 carbon atoms, and in other embodiments, 2 to 10, 2 to 8, or 2 to 6 carbon atoms. Alkynylene is a form of alkynyl that belongs to the same moieties as alkynyl, but has two points of attachment.
[56] В данной заявке «алкокси» относится к алкильной группе из указанного количества атомов углерода, соединенных кислородным мостиком, такой как, например, метокси, этокси, пропокси, изопропокси, н-бутокси, втор-бутокси, трет-бутокси, пентилокси, 2-пентилокси, изопентилокси, неопентилокси, гексилокси, 2-гексилокси, 3-гексилокси, 3-метилпентилокси и тому подобные группы. Алкокси-группы обычно будут содержать от 1 до 10, от 1 до 8, от 1 до 6 или от 1 до 4 атомов углерода, соединенных кислородным мостиком.[56] In this application, "alkoxy" refers to an alkyl group of the specified number of carbon atoms connected by an oxygen bridge, such as, for example, methoxy, ethoxy, propoxy, isopropoxy, n-butoxy, sec-butoxy, tert-butoxy, pentyloxy, 2-pentyloxy, isopentyloxy, neopentyloxy, hexyloxy, 2-hexyloxy, 3-hexyloxy, 3-methylpentyloxy and the like groups. Alkoxy groups will typically contain 1 to 10, 1 to 8, 1 to 6, or 1 to 4 carbon atoms linked by an oxygen bridge.
[57] В данной заявке «арил» относится к радикалу, являющемуся производным ароматической моноциклической или полициклической углеводородной кольцевой системы путем удаления атома водорода из кольцевого атома углерода. Ароматическая моноциклическая или полициклическая углеводородная кольцевая система содержит только водород и углерод, от шести до восемнадцати атомов углерода, при этом по меньшей мере одно из колец в кольцевой системе полностью ненасыщенное, т.е., содержит циклическую систему делокализованных (4n+2) π-электронов в соответствии с теорией Хюккеля. Арильные группы включают, но не ограничены такими группами как фенил, флуоренил и нафтил. Арилен представляет собой разновидность арила, относящуюся к тем же остаткам, что и арил, но имеющую две точки присоединения.[57] As used herein, "aryl" refers to a radical derived from an aromatic monocyclic or polycyclic hydrocarbon ring system by removal of a hydrogen atom from a ring carbon atom. An aromatic monocyclic or polycyclic hydrocarbon ring system contains only hydrogen and carbon, from six to eighteen carbon atoms, while at least one of the rings in the ring system is completely unsaturated, i.e., contains a ring system of delocalized (4n+2) π- electrons according to Hückel's theory. Aryl groups include, but are not limited to, phenyl, fluorenyl, and naphthyl groups. Arylene is a form of aryl that belongs to the same residues as aryl, but has two points of attachment.
[58] В данной заявке «циклоалкил» относится к неароматическому карбоциклическому кольцу, обычно содержащему от 3 до 7 кольцевых атомов углерода. Кольцо может быть насыщенным или может содержать одну или более углерод-углеродных двойных связей. Примеры циклоалкильных групп включают циклопропил, циклобутил, циклопентил, циклопентенил, циклогексил и циклогексенил, а также мостиковые и каркасные кольцевые группы, такие как норборнан.[58] In this application, "cycloalkyl" refers to a non-aromatic carbocyclic ring, usually containing from 3 to 7 ring carbon atoms. The ring may be saturated or may contain one or more carbon-carbon double bonds. Examples of cycloalkyl groups include cyclopropyl, cyclobutyl, cyclopentyl, cyclopentenyl, cyclohexyl and cyclohexenyl, as well as bridging and backbone ring groups such as norbornane.
[59] В данной заявке «галогено-» или «галоген» относится к фторо-, хлоро-, бромо- и йодо-, и термин «галоген» включает фтор, хлор, бром и йод.[59] In this application, "halo-" or "halogen" refers to fluoro-, chloro-, bromo- and iodo-, and the term "halogen" includes fluorine, chlorine, bromine and iodine.
[60] В данной заявке «галогеналкил» относится к алкилу согласно определению выше, в котором указанное количество атомов углерода замещен на 1 или более атомами галогена, вплоть до максимально допустимого количества атомов галогена. Примеры галогеналкила включают, но не ограничены перечисленными: трифторметил, дифторметил, 2-фторэтил и пентафторэтил.[60] In this application, "haloalkyl" refers to alkyl as defined above, in which the specified number of carbon atoms is replaced by 1 or more halogen atoms, up to the maximum allowable number of halogen atoms. Examples of haloalkyl include, but are not limited to, trifluoromethyl, difluoromethyl, 2-fluoroethyl, and pentafluoroethyl.
[61] «Гетероциклил» относится к стабильному 3-18-членному неароматическому кольцевому радикалу, который содержит от двух до двенадцати атомов углерода и от одного до шести гетероатомов, выбранных из азота, кислорода и серы. Если в настоящем описании конкретно не указано иное, то гетероциклический радикал представляет собой моноциклическую, бициклическую, трициклическую или тетрациклическую кольцевую систему, которая может включать конденсированные или мостиковые кольцевые системы. Гетероатомы в гетероциклическом радикале необязательно могут быть окислены. Один или более атомов азота, если они присутствуют, необязательно могут быть кватернизированы. Гетероциклический радикал является частично или полностью насыщенным. Гетероциклил можно присоединить к остальной части молекулы через любой атом кольца(-ец). Примеры таких гетероциклических радикалов включают, но не ограничены перечисленными: диоксоланил, тиенил[1,3]дитианил, декагидроизохинолил, имидазолинил, имидазолидинил, изотиазолидинил, изоксазолидинил, морфолинил, октагидроиндолил, октагидроизоиндолил, 2-оксопиперазинил, 2-оксопиперидинил, 2-оксопирролидинил, оксазолидинил, пиперидинил, пиперазинил, 4-пиперидонил, пирролидинил, пиразолидинил, хинуклидинил, тиазолидинил, тетрагидрофурил, тритианил, тетрагидропиранил, тиоморфолинил, тиаморфолинил, 1-оксотиоморфолинил и 1,1-диоксотиоморфолинил.[61] "Heterocyclyl" refers to a stable 3-18 membered non-aromatic ring radical that contains two to twelve carbon atoms and one to six heteroatoms selected from nitrogen, oxygen and sulfur. Unless otherwise specifically stated herein, a heterocyclic radical is a monocyclic, bicyclic, tricyclic, or tetracyclic ring system, which may include fused or bridged ring systems. The heteroatoms in the heterocyclic radical may optionally be oxidized. One or more nitrogen atoms, if present, may optionally be quaternized. The heterocyclic radical is partially or fully saturated. Heterocyclyl can be attached to the rest of the molecule through any atom of the ring(s). Examples of such heterocyclic radicals include, but are not limited to: dioxolanyl, thienyl[1,3]dithianyl, decahydroisoquinolyl, imidazolinyl, imidazolidinyl, isothiazolidinyl, isoxazolidinyl, morpholinyl, octahydroindolyl, octahydroisoindolyl, 2-oxopiperazinyl, 2-oxopiperidinyl, 2-oxo pyrrolidinyl, oxazolidinyl , piperidinyl, piperazinyl, 4-piperidonyl, pyrrolidinyl, pyrazolidinyl, quinuclidinyl, thiazolidinyl, tetrahydrofuryl, trithianyl, tetrahydropyranyl, thiomorpholinyl, thiamorpholinyl, 1-oxothiomorpholinyl, and 1,1-dioxothiomorpholinyl.
[62] «Гетероарил» относится к радикалу, являющемуся производным 3-18-членного ароматического кольцевого радикала, который содержит от двух до семнадцати атомов углерода и от одного до шести гетероатомов, выбранных из азота, кислорода и серы. В данной заявке гетероарильный радикал может представлять собой моноциклическую, бициклическую, трициклическую или тетрациклическую кольцевую систему, причем по меньшей мере одно из колец в кольцевой системе является полностью ненасыщенным, т.е., содержит циклическую систему делокализованных (4n+2) π-электронов в соответствии с теорией Хюккеля. Гетероарил включает конденсированные или мостиковые кольцевые системы. Гетероатом(ы) в гетероарильном радикале необязательно окислены. Один или более атомов азота, если они присутствуют, необязательно кватернизированы. Гетероарил присоединен к остальной части молекулы через любой атом кольца(-ец). Примеры гетероарилов включают, но не ограничены перечисленными: азепинил, акридинил, бензимидазолил, бензиндолил, 1,3-бензодиоксолил, бензофуранил, бензооксазолил, бензо[d]тиазолил, бензотиадиазолил, бензо[b][1,4]диоксепинил, бензо[b][1,4]оксазинил, 1,4-бензодиоксанил, бензонафтофуранил, бензоксазолил, бензодиоксолил, бензодиоксинил, бензопиранил, бензопиранонил, бензофуранил, бензофуранонил, бензотиенил (бензотиофенил), бензотиено[3,2-d]пиримидинил, бензотриазолил, бензо[4,6]имидазо[1,2-a]пиридинил, карбазолил, циннолинил, циклопента[d]пиримидинил, 6,7-дигидро-5H-циклопента[4,5]тиено[2,3-d]пиримидинил, 5,6-дигидробензо[h]хиназолинил, 5,6-дигидробензо[h]циннолинил, 6,7-дигидро-5H-бензо[6,7]циклогепта[1,2-c]пиридазинил, дибензофуранил, дибензотиофенил, фуранил, фуранонил, фуро[3,2-c]пиридинил, 5,6,7,8,9,10-гексагидроциклоокта[d]пиримидинил, 5,6,7,8,9,10-гексагидроциклоокта[d]пиридазинил, 5,6,7,8,9,10-гексагидроциклоокта [d]пиридинил, изотиазолил, имидазолил, индазолил, индолил, индазолил, изоиндолил, индолинил, изоиндолинил, изохинолил, индолизинил, изоксазолил, 5,8-метано-5,6,7,8-тетрагидрохиназолинил, нафтиридинил, 1,6-нафтиридинонил, оксадиазолил, 2-оксоазепинил, оксазолил, оксиранил, 5,6,6a,7,8,9,10,10a-октагидробензо[h]хиназолинил, 1-фенил-1H-пирролил, феназинил, фенотиазинил, феноксазинил, фталазинил, птеридинил, пуринил, пирролил, пиразолил, пиразолo[3,4-d]пиримидинил, пиридинил, пиридо[3,2-d]пиримидинил, пиридо[3,4-d]пиримидинил, пиразинил, пиримидинил, пиридазинил, пирролил, хиназолинил, хиноксалинил, хинолинил, изохинолинил, тетрагидрохинолинил, 5,6,7,8-тетрагидрохиназолинил, 5,6,7,8-тетрагидробензо[4,5]тиено[2,3-d]пиримидинил, 6,7,8,9-тетрагидро-5H-циклогепта[4,5]тиено[2,3-d]пиримидинил, 5,6,7,8-тетрагидропиридо[4,5-c]пиридазинил, тиазолил, тиадиазолил, триазолил, тетразолил, триазинил, тиено[2,3-d]пиримидинил, тиено[3,2-d]пиримидинил, тиено[2,3-c]пиридинил и тиофенил (т.е., тиенил).[62] "Heteroaryl" refers to a radical derived from a 3-18 membered aromatic ring radical that contains two to seventeen carbon atoms and one to six heteroatoms selected from nitrogen, oxygen and sulfur. In this application, the heteroaryl radical may be a monocyclic, bicyclic, tricyclic, or tetracyclic ring system, wherein at least one of the rings in the ring system is fully unsaturated, i.e., contains a ring system of delocalized (4n+2) π-electrons in according to Hückel's theory. Heteroaryl includes fused or bridged ring systems. The heteroatom(s) in the heteroaryl radical are optionally oxidized. One or more nitrogen atoms, if present, are optionally quaternized. The heteroaryl is attached to the rest of the molecule through any atom of the ring(s). Examples of heteroaryls include, but are not limited to: azepinyl, acridinyl, benzimidazolyl, benzdolyl, 1,3-benzodioxolyl, benzofuranyl, benzoxazolyl, benzo[d]thiazolyl, benzothiadiazolyl, benzo[b][1,4]dioxepinyl, benzo[b] [1,4]oxazinyl, 1,4-benzodioxanyl, benzonaphthofuranyl, benzoxazolyl, benzodioxolyl, benzodioxynyl, benzopyranyl, benzopyranonyl, benzofuranyl, benzofuranonyl, benzothienyl (benzothiophenyl), benzothieno[3,2-d]pyrimidinyl, benzotriazolyl, benzo[4, 6]imidazo[1,2-a]pyridinyl, carbazolyl, cinnolinyl, cyclopenta[d]pyrimidinyl, 6,7-dihydro-5H-cyclopenta[4,5]thieno[2,3-d]pyrimidinyl, 5,6- dihydrobenzo[h]quinazolinyl, 5,6-dihydrobenzo[h]cinnolinyl, 6,7-dihydro-5H-benzo[6,7]cyclohepta[1,2-c]pyridazinyl, dibenzofuranyl, dibenzothiophenyl, furanyl, furanonyl, furo[ 3,2-c]pyridinyl, 5,6,7,8,9,10-hexahydrocycloocta[d]pyrimidinyl, 5,6,7,8,9,10-hexahydrocycloocta[d]pyridazinyl, 5,6,7, 8,9,10-hexahydrocycloocta [d]pyridinyl, isothiazolyl, imidazolyl, indazolyl, indolyl, indazolyl, isoindolyl, indolinyl, isoindolinyl, isoquinolyl, indolizinyl, isoxazolyl, 5,8-methano-5,6,7,8-tetrahydroquinazolinyl, naphthyridinyl, 1,6-naphthyridinonyl, oxadiazolyl, 2-oxoazepinyl, oxazolyl, oxiranil, 5,6,6a,7,8,9,10,10a-octahydrobenzo[h]quinazolinyl, 1-phenyl-1H-pyrrolyl, phenazinyl, phenothiazinyl, phenoxazinyl, phthalazinyl, pteridinyl, purinyl, pyrrolyl, pyrazolyl, pyrazolo[3,4-d]pyrimidinyl, pyridinyl, pyrido[3,2-d]pyrimidinyl, pyrido[3,4-d]pyrimidinyl, pyrazinyl, pyrimidinyl, pyridazinyl, pyrrolyl, quinazolinyl, quinoxalinyl, quinolinyl, isoquinolinyl, tetrahydroquinolinyl, 5,6,7,8-tetrahydroquinazolinyl, 5,6,7,8-tetrahydrobenzo[4,5]thieno[2,3-d]pyrimidinyl, 6, 7,8,9-tetrahydro-5H-cyclohepta[4,5]thieno[2,3-d]pyrimidinyl, 5,6,7,8-tetrahydropyrido[4,5-c]pyridazinyl, thiazolyl, thiadiazolyl, triazolyl, tetrazolyl, triazinyl, thieno[2,3-d]pyrimidinyl, thieno[3,2-d]pyrimidinyl, thieno[2,3-c]pyridinyl, and thiophenyl (i.e., thienyl).
[63] В настоящем описании могут применяться различные защитные группы для гидроксила. Обычно защитные группы делают химические функциональные группы неактивными по отношению к определенным условиям реакции, и их можно добавлять и удалять из таких функциональных групп в молекуле по существу без повреждения остальной части молекулы. Примеры защитных групп для гидроксила описаны в Beaucage и др., Tetrahedron 1992, 48, 2223-2311, а также в Greene и Wuts, Protective Groups in Organic Synthesis, глава 2, 2ое изд., John Wiley & Sons, Нью-Йорк, 1991, каждый из которых настоящим полностью включен в данную заявку посредством ссылки. В некоторых вариантах реализации защитная группа стабильна в основных условиях, но может быть удалена в кислых условиях. В некоторых вариантах реализации неисключительные примеры защитных групп для гидроксилов, которые можно применять в данной заявке,включают диметокситритил (DMT), монометокситритил, 9-фенилксантен-9-ил (пиксил (Pixyl)) и 9-(пара-метоксифенил)ксантен-9-ил (мокс (Mox)). В некоторых вариантах реализации неисключительные примеры защитных групп для гидроксила, который можно применять в данной заявке, включают Tr (тритил), MMTr (4-метокситритил), DMTr (4,4'-диметокситритил) и TMTr (4,4',4''-триметокситритил).[63] In the present description, various protecting groups for hydroxyl can be used. Typically, protecting groups render chemical functional groups inactive under certain reaction conditions, and they can be added to and removed from such functional groups in a molecule substantially without damaging the rest of the molecule. Examples of hydroxyl protecting groups are described in Beaucage et al.,
[64] Термин «субъект» в данной заявке относится к любому животному, например, млекопитающему или сумчатому. Субъекты согласно настоящему изобретению включают, но не ограничены перечисленными: людей, отличных от человека приматов (например, макак резус или других типов макак), мышей, свиней, лошадей, ослов, коров, овец, крыс и птиц любой вида.[64] The term "subject" in this application refers to any animal, such as a mammal or marsupial. Subjects of the present invention include, but are not limited to, humans, non-human primates (eg, rhesus monkeys or other types of monkeys), mice, pigs, horses, donkeys, cows, sheep, rats, and birds of any kind.
[65] В данной заявке «лечение», или «лечить», или «смягчение» или «облегчение» используют взаимозаменяемо. Данные термины относятся к подходу получения полезных или желательных результатов, включая, но не ограничиваясь терапевтической пользой. Под «терапевтической пользой» подразумевают устранение или снижение выраженности основного расстройства, которое лечат. Также терапевтическая польза достигается устранением или снижением выраженности одного или более физиологических симптомов, связанных с основным расстройством, так что у пациента наблюдается улучшение, несмотря на то, что пациент может все еще страдать основным расстройством.[65] In this application, "treatment", or "treat", or "mitigation" or "relief" is used interchangeably. These terms refer to the approach of obtaining beneficial or desirable results, including but not limited to therapeutic benefit. By "therapeutic benefit" is meant the elimination or reduction of the underlying disorder being treated. Also, a therapeutic benefit is achieved by the elimination or reduction of one or more physiological symptoms associated with the underlying disorder such that the patient is improved despite the fact that the patient may still be suffering from the underlying disorder.
[66] В данной заявке «предотвращение» и «предотвращать» используются взаимозаменяемо. Данные термины относятся к подходу получения полезных или желательных результатов, включая, но не ограничиваясь профилактической пользой. Для «профилактической пользы» конъюгаты или композиции можно вводить пациенту, у которого есть риск развития конкретного заболевания, или пациенту, сообщающему об одном или более физиологических симптомах заболевания, даже если не был поставлен диагноз данного заболевания.[66] In this application, "prevent" and "prevent" are used interchangeably. These terms refer to the approach of obtaining beneficial or desirable results, including but not limited to preventive benefits. For "prophylactic benefit", the conjugates or compositions may be administered to a patient at risk of developing a particular disease, or to a patient reporting one or more physiological symptoms of a disease, even though the disease has not been diagnosed.
Конъюгирующие молекулыconjugating molecules
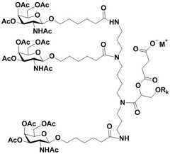
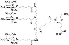
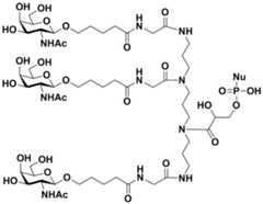
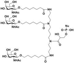
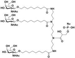
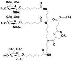
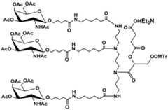
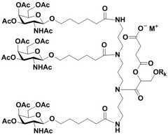
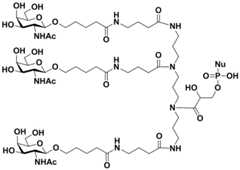
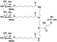
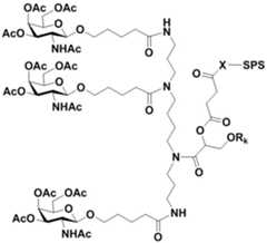
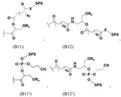
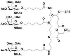
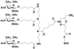
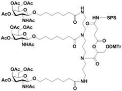
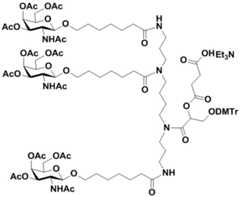
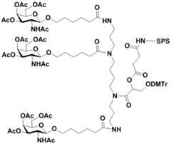
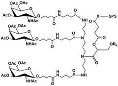
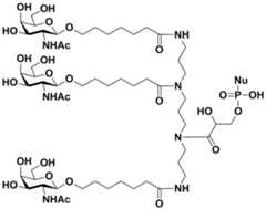
[67] В одном аспекте в данной заявке описана конъюгирующая молекула для доставки активного агента или активного лекарственного средства. В некоторых вариантах реализации описанные в данной заявке конъюгирующие молекулы полезны для тканеспецифического нацеливания. В некоторых вариантах реализации описанные в данной заявке конъюгирующие молекулы связываются с рецептором на поверхности клетки. Для данной цели считают подходящим любой рецептор на поверхности клетки или биомаркер, или его фрагмент. В некоторых вариантах реализации конъюгирующие молекулы, описанные в данной заявке, специфично связываются с рецептором, уникальным для определенной ткани, и за счет этого достигается тканеспецифическое нацеливание. В некоторых вариантах реализации конъюгирующие молекулы, описанные в данной заявке, специфично нацеливаются на рецепторы на поверхности гепатоцитов и, следовательно, специфично нацеливаются на ткани печени. В некоторых вариантах реализации конъюгирующие молекулы, описанные в данной заявке, специфично нацеливаются на рецепторы на поверхности клетки, которые уникальны для клеток печени. В некоторых вариантах реализации конъюгирующие молекулы, описанные в данной заявке, специфично нацеливаются на асиалогликопротеиновые рецепторы на поверхности клеток печени (ASGPR).[67] In one aspect, this application describes a conjugating molecule for the delivery of an active agent or active drug. In some embodiments, the conjugating molecules described herein are useful for tissue-specific targeting. In some embodiments, the conjugating molecules described herein bind to a receptor on the cell surface. Any cell surface receptor or biomarker or fragment thereof is considered suitable for this purpose. In some embodiments, the conjugating molecules described herein bind specifically to a receptor unique to a particular tissue and thereby achieve tissue-specific targeting. In some embodiments, the conjugating molecules described herein specifically target receptors on the surface of hepatocytes and therefore specifically target liver tissues. In some embodiments, the conjugating molecules described herein specifically target receptors on the cell surface that are unique to liver cells. In some embodiments, the conjugating molecules described herein specifically target asialoglycoprotein receptors on the surface of liver cells (ASGPR).
[68] В данной заявке термин «активный агент» используют взаимозаменяемо с термином «активное лекарственное средство», оба термина относятся к молекуле, которую способна доставлять конъюгирующая молекула, описанная в данной заявке. В некоторых вариантах реализации активные агенты представляют собой агенты, которые требуется доставить в гепатоцит. Такие агенты известны специалистам в данной области и включают, но не ограничены перечисленными: функциональные нуклеотиды, такие как функциональные олигонуклеотиды, особенно описанные в данной заявке.[68] In this application, the term "active agent" is used interchangeably with the term "active drug", both terms refer to a molecule that is capable of delivering the conjugating molecule described in this application. In some embodiments, the active agents are agents that are to be delivered to the hepatocyte. Such agents are known to those skilled in the art and include, but are not limited to: functional nucleotides, such as functional oligonucleotides, especially those described herein.
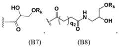
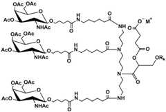
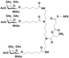
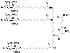
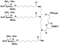
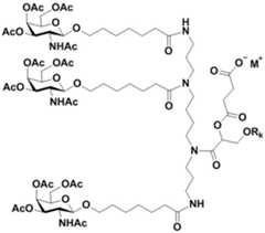
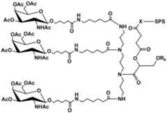
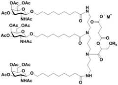
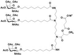
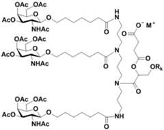
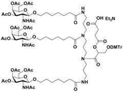
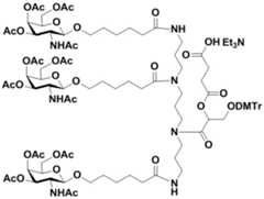
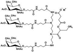
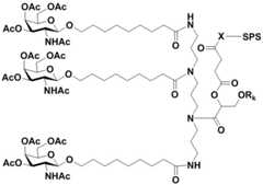
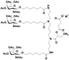
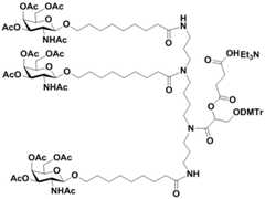
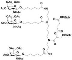
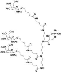
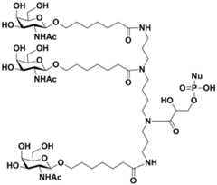
[69] В некоторых вариантах реализации настоящего изобретения предложена конъюгирующая молекула, имеющая структуру, представленную формулой (321):[69] In some embodiments, the present invention provides a conjugating molecule having the structure represented by formula (321):
Формула (321)Formula (321)
где:Where:
n1 представляет собой целое число от 1 до 3, и n3 представляет собой целое число от 0 до 4;n1 is an integer from 1 to 3, and n3 is an integer from 0 to 4;
каждый из m1, m2, и m3 независимо представляет собой целое число от 2 до 10; каждый из R10, R11, R12, R13, R14 и R15 независимо выбран из H, C1-C10 алкила, C1-C10 галогеналкила и C1-C10 алкокси;each of m1, m2, and m3 is independently an integer from 2 to 10; each of R10 , R11 , R12 , R13 , R14 and R15 is independently selected from H, C1 -C10 alkyl, C1 -C10 haloalkyl and C1 -C10 alkoxy;
R4 представляет собой группу, способную связываться с активным лекарственным средством или активным агентом ковалентной связью;R4 is a group capable of being bound to an active drug or active agent by a covalent bond;
каждый L1 представляет собой линейный алкилен длиной от 1 до 70 атомов углерода, в котором один или более атомов углерода необязательно заменены на любую одну или более групп, выбранных из группы, состоящей из: C(O), NH, O, S, CH=N, S(O)2, C2-C10 алкенилена, C2-C10 алкинилена, C6-C10 арилена, C3-C18 гетероциклилена и C5-C10 гетероарилена, и при этом L1 необязательно замещен любым одним или более элементами группы, состоящей из: C1-C10 алкила, C6-C10 арила, C5-C10 гетероарила, C1-C10 галогеналкила, OC1-C10 алкила, OC1-C10 алкилфенила, -C1-C10 алкилOH, OC1-C10 галогеналкила, SC1-C10 алкила, SC1-C10 алкилфенила, -C1-C10 алкилSH, SC1-C10 галогеналкила, галогена, OH, -SH, NH2, C1-C10 алкилNH2, N(C1-C10 алкил)(C1-C10 алкила), NH(C1-C10 алкила), N(C1-C10 алкил)(C1-C10 алкилфенила), NH(C1-C10 алкилфенила), циано, нитро, CO2H, C(O)OC1-C10 алкила, CON(C1-C10 алкил)(C1-C10 алкила), CONH(C1-C10 алкила), CONH2, NHC(O)(C1-C10 алкила), NHC(O)(фенила), N(C1-C10 алкил)C(O)(C1-C10 алкила), N(C1-C10 алкил)C(O)(фенила), C(O)C1-C10 алкила, C(O)C1-C10 алкилфенила, C(O)C1-C10 галогеналкила, OC(O)C1-C10 алкила, -SO2(C1-C10 алкила), -SO2(фенила), -SO2(C1-C10 галогеналкила), -SO2NH2, SO2NH(C1-C10 алкила), SO2NH(фенила), -NHSO2(C1-C10 алкила), -NHSO2(фенила) и NHSO2(C1-C10 галогеналкила);each L1 is a linear alkylene from 1 to 70 carbon atoms in which one or more carbon atoms are optionally replaced by any one or more groups selected from the group consisting of: C(O), NH, O, S, CH =N, S(O)2 , C2 -C10 alkenylene, C2 -C10 alkynylene, C6 -C10 arylene, C3 -C18 heterocyclylene and C5 -C10 heteroarylene, and L1 is optional substituted by any one or more elements of the group consisting of: C1 -C10 alkyl, C6 -C10 aryl, C5 -C10 heteroaryl, C1 -C10 haloalkyl, OC1 -C10 alkyl, OC1 -C10 alkylphenyl, -C1 -C10 alkylOH, OC1 -C10 haloalkyl, SC1 -C10 alkyl, SC1 -C10 alkylphenyl, -C1 -C10 alkylSH, SC1 -C10 haloalkyl, halogen, OH , -SH, NH2 , C1 -C10 alkylNH2 , N (C1 -C10 alkyl) (C1 -C10 alkyl), NH (C1 -C10 alkyl), N (C1 -C10 alkyl)(C1 -C10 alkylphenyl), NH(C1 -C10 alkylphenyl), cyano, nitro, CO2 H, C(O)OC1 -C10 alkyl, CON(C1 -C10 alkyl)( C1 -C10 alkyl), CONH (C1 -C10 alkyl), CONH2 , NHC (O) (C1 -C10 alkyl), NHC (O) (phenyl), N (C1 -C10 alkyl )C (O) (C1 -C10 alkyl), N (C1 -C10 alkyl) C (O) (phenyl), C (O) C1 -C10 alkyl, C (O) C1 -C10 alkylphenyl, C(O)C1 -C10 haloalkyl, OC(O)C1 -C10 alkyl, -SO2 (C1 -C10 alkyl), -SO2 (phenyl), -SO2 (C1 -C10 haloalkyl), -SO2 NH2 , SO2 NH(C1 -C10 alkyl), SO2 NH(phenyl), -NHSO2 (C1 -C10 alkyl), -NHSO2 (phenyl) and NHSO2 (C1 -C10 haloalkyl);
каждый S1 независимо представляет собой M1, в котором любой активный гидроксил, если он есть, защищен защитной группой для гидроксила;each S1 is independently M1 in which any active hydroxyl, if any, is protected by a hydroxyl protecting group;
каждый M1 независимо выбран из лиганда, способного связываться с рецептором на поверхности клетки.each M1 is independently selected from a ligand capable of binding to a receptor on the cell surface.
[70] В некоторых вариантах реализации n1 может представлять собой целое число от 1 до 3, и n3 может представлять собой целое число от 0 до 4, чтобы гарантировать наличие по меньшей мере 2 групп S1 в конъюгирующей молекуле. В некоторых вариантах реализации n1+n3 ≥ 2, так что количество лиганда M1 в конъюгате, образованном конъюгирующей молекулой, может составлять по меньшей мере 3, тем самым позволяя лиганду M1 более удобно связываться с асиалогликопротеиновыми рецепторами на поверхности гепатоцитов, что может способствовать эндоцитозу конъюгата в клетки. Эксперименты показали, что если количество лигандов M1 больше чем 3, то возможность связывания лиганда M1 с асиалогликопротеиновыми рецепторами на поверхности гепатоцитов повышается незначительно. Следовательно, принимая во внимание различные аспекты, такие как удобство синтеза, стоимость получения структуры/процесса и эффективность доставки, в некоторых вариантах реализации n1 представляет собой целое число от 1 до 2, n3 представляет собой целое числоот 0 до 1, и n1+n3 = 2 - 3.[70] In some embodiments, n1 may be an integer from 1 to 3, and n3 may be an integer from 0 to 4, to ensure that there are at least 2 S1 groups in the conjugating molecule. In some embodiments, n1+n3 ≥ 2 such that the amount of M1 ligand in the conjugate formed by the conjugating molecule may be at least 3, thereby allowing the M1 ligand to more conveniently bind to asialoglycoprotein receptors on the surface of hepatocytes, which may promote endocytosis conjugate into cells. Experiments have shown that if the number of M1 ligands is greater than 3, then the possibility of binding the M1 ligand to asialoglycoprotein receptors on the surface of hepatocytes increases slightly. Therefore, considering various aspects such as synthesis convenience, structure/process cost, and delivery efficiency, in some embodiments, n1 is an integer from 1 to 2, n3 is an integer from 0 to 1, and n1+n3 = 2 - 3.
[71] В некоторых вариантах реализации, когда каждый из m1, m2 и m3 независимо выбран из целого числа, равного 2 - 10, полагают, что стерическое положение среди множества лигандов M1 в конъюгате, образованном конъюгирующей молекулой, может подходить для связывания лигандов M1 с асиалогликопротеиновыми рецепторами на поверхности гепатоцитов. Для того чтобы сделать конъюгирующую молекулу, предложенную в настоящем описании, проще, удобнее для синтеза и/или снизить стоимость, в некоторых вариантах реализации согласно настоящему описанию каждый из m1, m2 и m3 независимо представляет собой целое число от 2 до 5, в некоторых вариантах реализации m1 = m2 = m3.[71] In some embodiments, when each of m1, m2, and m3 is independently selected from an integer of 2-10, it is believed that the steric position among the plurality of M1 ligands in the conjugate formed by the conjugating molecule may be suitable for binding the M ligands1 with asialoglycoprotein receptors on the surface of hepatocytes. In order to make the conjugate molecule provided herein easier, more convenient to synthesize, and/or reduce cost, in some embodiments of the present disclosure, m1, m2, and m3 are each independently an integer from 2 to 5, in some embodiments realizations m1 = m2 = m3.
[72] Специалистам в данной области может быть понятно, что если каждый из R10, R11, R12, R13, R14 и R15 независимо выбран из H, C1-C10 алкила, C1-C10 галогеналкила и C1-C10 алкокси, то цель настоящего описания можно достичь без изменения свойств конъюгирующей молекулы, описанной в данной заявке. В некоторых вариантах реализации каждый из R10, R11, R12, R13, R14 и R15 независимо выбран из H, метила и этила. В некоторых вариантах реализации все R10, R11, R12, R13, R14 и R15 представляют собой H.[72] Those skilled in the art will appreciate that if R10 , R11 , R12 , R13 , R14 , and R15 are each independently selected from H, C1 -C10 alkyl, C1 -C10 haloalkyl and C1 -C10 alkoxy, then the purpose of the present description can be achieved without changing the properties of the conjugating molecule described in this application. In some embodiments, each of R10 , R11 , R12 , R13 , R14 and R15 is independently selected from H, methyl and ethyl. In some embodiments, R10 , R11 , R12 , R13 , R14 and R15 are all H.
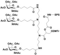
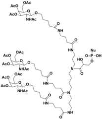
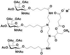
[73] R4 представляет собой группу, способную связываться с активным агентом, который нужно доставить с помощью конъюгирующих молекул, описанных в данной заявке. В некоторых вариантах реализации R4 представляет собой группу, способную связываться с олигонуклеотидом, который нужно доставить с помощью конъюгирующих молекул, описанных в данной заявке. В некоторых вариантах реализации R4 представляет собой группу, способную связываться с олигонуклеотидом ковалентной связью. В некоторых вариантах реализации R4 представляет собой группу, способную связываться с олигонуклеотидом фосфодиэфирной связью. В некоторых вариантах реализации R4 выбирают, чтобы добиться связи с атомом N на азотистом остове и чтобы создать подходящие реакционные центры для синтеза олигонуклеотидного конъюгата. В контексте настоящего описания «азотистый остов» относится к цепочечной структуре, в которой атомы углерода, к которым присоединены R10, R11, R12, R13, R14 и R15, и атомы N связаны друг с другом. В некоторых вариантах реализации R4 представляет собой молекулу, которую можно присоединить к атому N на азотистом остове подходящим способом. В некоторых вариантах реализации R4 содержит сайт, связывающийся с атомом N на азотистом остове и любой функциональной группой, которую можно конъюгировать с олигонуклеотидом фосфодиэфирной связью в ходе реакции.[73] R4 is a group capable of contacting the active agent to be delivered using the conjugating molecules described in this application. In some embodiments, R4 is a group capable of binding to the oligonucleotide to be delivered by the conjugating molecules described herein. In some embodiments, R4 is a group capable of covalently bonding to the oligonucleotide. In some embodiments, R4 is a group capable of being linked to the oligonucleotide by a phosphodiester bond. In some embodiments, R4 is chosen to achieve bonding to the N atom on the nitrogenous backbone and to create suitable reaction sites for the synthesis of the oligonucleotide conjugate. As used herein, "nitrogen backbone" refers to a chain structure in which the carbon atoms to which R10 , R11 , R12 , R13 , R14 and R15 are attached and the N atoms are bonded to each other. In some embodiments, R4 is a molecule that can be attached to the N atom on the nitrogen backbone in a suitable manner. In some embodiments, R4 contains a site that binds to the N atom on the nitrogenous backbone and any functional group that can be conjugated to the oligonucleotide by a phosphodiester bond during the reaction.
[74] В некоторых вариантах реализации R4 содержит первую функциональную группу, которая может реагировать с группой на олигонуклеотиде или нуклеотиде с образованием фосфоэфирной связи, и вторую функциональную группу, которая может образовывать ковалентную связь с гидрокси-группой или аминогруппой, или твердофазной подложкой, связанной ковалентной связью. В некоторых вариантах реализации первая функциональная группа представляет собой фосфорамидит, гидрокси или защищенную гидрокси. В некоторых вариантах реализации вторая функциональная группа представляет собой фосфорамидит, карбоксил или карбоксилатную соль. В некоторых вариантах реализации вторая функциональная группа представляет собой твердофазную подложку, присоединенную к остальной части молекулы ковалентной связью, образованной гидрокси-группой или аминогруппой. В некоторых вариантах реализации твердофазная подложка связана фосфоэфирной связью, карбоксиэфирной связи или амидной связи. В некоторых вариантах реализации твердофазная подложка представляет собой смолу.[74] In some embodiments, R4 contains a first functional group that can react with a group on the oligonucleotide or nucleotide to form a phosphoester bond, and a second functional group that can form a covalent bond with a hydroxy or amino group, or a solid phase support bound covalent bond. In some embodiments, the first functional group is phosphoramidite, hydroxy, or protected hydroxy. In some embodiments, the second functional group is a phosphoramidite, carboxyl, or carboxylate salt. In some embodiments, the second functional group is a solid phase support attached to the rest of the molecule by a covalent bond formed by a hydroxy group or an amino group. In some embodiments, the solid phase support is linked by a phosphoester bond, a carboxyester bond, or an amide bond. In some embodiments, the solid phase support is a resin.
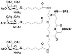
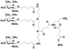
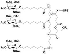
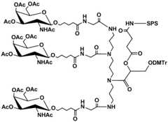
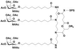
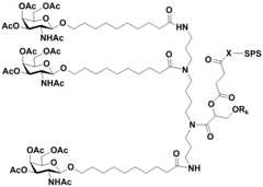
[75] В некоторых вариантах реализации первая функциональная группа включает гидрокси, -ORk или группу, представленную формулой (C3); и/или вторая функциональная группа включает группу, представленную формулой (C1), (C2), (C3), (C1') или (C3'):[75] In some embodiments, the first functional group includes hydroxy, -ORk , or a group represented by formula (C3); and/or the second functional group includes a group represented by formula (C1), (C2), (C3), (C1') or (C3'):
где q1 представляет собой целое число от 1 до 4, X представляет собой O или NH, M+ представляет собой катион, Rk представляет собой защитную группу для гидрокси, SPS представляет собой твердофазную подложку и представляет собой сайт ковалентного присоединения указанной группы.where q1 is an integer from 1 to 4, X is O or NH, M+ is a cation, Rk is a hydroxy protecting group, SPS is a solid phase support, and represents the site of covalent attachment of the specified group.
[76] В некоторых вариантах реализации первая функциональная группа включает фосфорамидитную группу, такую как группа, представленная формулой (C3). Фосфорамидитная группа может соединяться с гидрокси в любом положении на нуклеотиде, таким как 2'- или 3'- гидрокси, и образовывать фосфодиэфирную связь путем окисления, чтобы конъюгировать конъюгирующую молекулу с олигонуклеотидом. Таким образом, даже если вторая функциональная группа не существует, то конъюгирующую молекулу, описанную в данной заявке, можно будет конъюгировать с нуклеотидом. В данном случае конъюгирующая молекула пригодна для приведения в контакт с гидрокси на последнем нуклеотиде последовательности нуклеотидов и образования фосфодиэфирной связи путем последующего окисления, посредством этого конъюгируя конъюгирующую молекулу согласно настоящему описанию с олигонуклеотидом.[76] In some embodiments, the first functional group includes a phosphoramidite group, such as the group represented by formula (C3). The phosphoramidite group can combine with hydroxy at any position on the nucleotide, such as 2'- or 3'-hydroxy, and form a phosphodiester bond by oxidation to conjugate the conjugating molecule to the oligonucleotide. Thus, even if a second functional group does not exist, the conjugating molecule described in this application can be conjugated to a nucleotide. In this case, the conjugate molecule is suitable for contacting the hydroxy at the last nucleotide of a sequence of nucleotides and forming a phosphodiester bond by subsequent oxidation, thereby conjugating the conjugate molecule as described herein to the oligonucleotide.
[77] В некоторых вариантах реализации первая функциональная группа включает защищенную гидрокси-группу. В некоторых вариантах реализации вторая функциональная группа включает группу, способную вступать в реакцию с твердофазной подложкой, с образованием конъюгирующей молекулы, содержащей твердофазную подложку. В некоторых вариантах реализации вторая функциональная группа включает карбоксил, карбоксилат или фосфорамидит, такая как функциональная группа, представленная формулой (C1), (C2) или (C3). Карбоксил или карбоксилат может вступать в реакцию этерификацией или амидирования с гидрокси или аминогруппой на твердофазной подложке, такой как смола, с образованием конъюгирующей молекулы, содержащей твердофазную подложку, связанную карбоксилатной эфирной связью или амидной связью. Фосфорамидит может соединяться с гидрокси-группой на универсальной твердофазной подложке, такой как смола, и образовывать конъюгирующую молекулу, содержащую твердофазную подложку, связанную фосфодиэфирной связью путем последующего окисления. Соответственно, в одном аспекте настоящего изобретения предложен способ получения конъюгата, описанного в данной заявке, с такой конъюгирующей молекулой. В некоторых вариантах реализации указанный способ включает сначала соединение конъюгирующей молекулы с твердофазной подложкой путем реакции конденсации или сочетания, а затем добавление мономеров нуклеозида в соответствии со способом фосфорамидитного твердофазного синтеза, тем самым получая конъюгат, описанный в данной заявке, содержащий конъюгирующую молекулу согласно настоящему описанию, конъюгированную с олигонуклеотидом. В некоторых вариантах реализации в процессе фосфорамидитного твердофазного синтеза с первой функциональной группы снимают защиту, с последующим соединением с фосфорамидитной группой на нуклеозиде в условиях сочетания.[77] In some embodiments, the first functional group includes a protected hydroxy group. In some embodiments, the second functional group includes a group capable of reacting with the solid phase support to form a conjugating molecule containing the solid phase support. In some embodiments, the second functional group includes a carboxyl, carboxylate, or phosphoramidite, such as the functional group represented by formula (C1), (C2), or (C3). The carboxyl or carboxylate may be esterified or amidated with a hydroxy or amino group on a solid phase support, such as a resin, to form a conjugate molecule containing the solid phase support linked by a carboxylate ester bond or an amide bond. Phosphoramidite can combine with a hydroxy group on a versatile solid phase support, such as a resin, and form a conjugating molecule containing a solid phase support linked by a phosphodiester bond by subsequent oxidation. Accordingly, in one aspect of the present invention, a method is provided for preparing a conjugate described in this application with such a conjugate molecule. In some embodiments, said method comprises first coupling a conjugate molecule to a solid phase support by a condensation or coupling reaction, and then adding nucleoside monomers according to the phosphoramidite solid phase synthesis method, thereby obtaining a conjugate described herein containing a conjugate molecule as described herein, conjugated with an oligonucleotide. In some embodiments, the first functional group is deprotected during solid phase phosphoramidite synthesis, followed by coupling to the phosphoramidite group on the nucleoside under coupling conditions.
[78] В некоторых вариантах реализации R4 содержит первую функциональную группу и вторую функциональную группу, причем первая функциональная группа включает гидрокси или защищенную гидрокси-группу, и вторая функциональная группа включает карбоксилатную эфирную связь, амидную связь или фосфодиэфирную связь или твердофазную подложку, связанную карбоксилатной эфирной связью, амидной связью или фосфодиэфирной связью. В некоторых вариантах реализации вторая функциональная группа представляет собой молекулу, представленную формулой (C1') или (C3'). В некоторых вариантах реализации, если вторая функциональная группа включает твердофазную подложку, конъюгирующая молекула, содержащая такую твердофазную подложку, полезна для получения конъюгата, описанного в данной заявке. Соответственно, в одном аспекте настоящего изобретения предложен способ получения конъюгата, описанного в данной заявке, с конъюгирующей молекулой. В некоторых вариантах реализации указанный способ включает приведение в контакт конъюгирующей молекулы, содержащей твердофазную подложку, с мономерами нуклеозида в соответствии со способом фосфорамидитного твердофазного синтеза, тем самым получая конъюгирующую молекулу согласно настоящему описанию, конъюгированную с олигонуклеотидом. В некоторых вариантах реализации конъюгирующую молекулу, содержащую твердофазную подложку, можно получить самостоятельно из конъюгирующей молекулы с карбоксилом, карбоксилатом или фосфорамидитом путем приведения во взаимодействие конъюгирующей молекулы с твердофазной подложкой. В некоторых вариантах реализации конъюгирующую молекулу может предоставить поставщик.[78] In some embodiments, R4 contains a first functional group and a second functional group, wherein the first functional group includes a hydroxy or protected hydroxy group, and the second functional group includes a carboxylate ester bond, an amide bond, or a phosphodiester bond, or a solid phase support linked by a carboxylate an ester bond, an amide bond, or a phosphodiester bond. In some embodiments, the second functional group is a molecule represented by formula (C1') or (C3'). In some embodiments, if the second functional group includes a solid phase support, a conjugating molecule containing such a solid phase support is useful to obtain the conjugate described in this application. Accordingly, in one aspect of the present invention, a method is provided for preparing a conjugate described in this application with a conjugating molecule. In some embodiments, said method comprises contacting a conjugate molecule comprising a solid phase support with nucleoside monomers according to the phosphoramidite solid phase synthesis method, thereby obtaining a conjugate molecule as described herein conjugated to an oligonucleotide. In some embodiments, a conjugating molecule containing a solid phase support can itself be prepared from a carboxyl, carboxylate, or phosphoramidite conjugating molecule by reacting the conjugating molecule with a solid phase support. In some embodiments, the conjugating molecule may be provided by a supplier.
[79] В некоторых вариантах реализации карбоксилат может быть представлен как -COO-M+, где M+ представляет собой катион, такой как катион металла, катион аммония NH4+ или органический катион аммония. В некоторых вариантах реализации катион металла может представлять собой катион щелочного металла, такой как K+ или Na+. Для того чтобы повысить растворимость и ускорить реакцию, в некоторых вариантах реализации органический катион аммония представляет собой катион аммония, образованный третичным амином, или катион четвертичного аммония, такой как катион аммония, образованный триэтиламином или N,N-диизопропилэтиламином. В некоторых вариантах реализации карбоксилат представляет собой карбоксилат триэтиламина или карбоксилат N,N-диизопропилэтиламина.[79] In some embodiments, the carboxylate may be represented as -COO- M+ , where M+ is a cation, such as a metal cation, an NH4+ ammonium cation, or an organic ammonium cation. In some embodiments, the metal cation may be an alkali metal cation such as K+ or Na+ . In order to increase solubility and speed up the reaction, in some embodiments, the organic ammonium cation is an ammonium cation derived from a tertiary amine or a quaternary ammonium cation such as an ammonium cation derived from triethylamine or N,N-diisopropylethylamine. In some embodiments, the carboxylate is triethylamine carboxylate or N,N-diisopropylethylamine carboxylate.
[80] В некоторых вариантах реализации согласно настоящему описанию R4 представляет собой группу, представленную формулой (B9), (B10), (B9'), (B10'), (B11), (B12), (B11') или (B12'):[80] In some embodiments, according to the present description, R4 is a group represented by formula (B9), (B10), (B9'), (B10'), (B11), (B12), (B11') or ( B12'):
где q1 представляет собой целое число от 1 до 4, q2 представляет собой целое число от 1 до 10, X представляет собой O или NH, M+ представляет собой катион, Rk представляет собой защитную группу для гидрокси, SPS представляет собой твердофазную подложку и представляет собой место ковалентного присоединения указанной группы. В некоторых вариантах реализации q1 представляет собой 1 или 2. В некоторых вариантах реализации q2 представляет собой целое число от 1 до 5. В некоторых вариантах реализации R4 включает группу, представленную формулой (B9) или (B10). В некоторых вариантах реализации R4 включает группу, представленную формулой (B11) или (B12).where q1 is an integer from 1 to 4, q2 is an integer from 1 to 10, X is O or NH, M+ is a cation, Rk is a hydroxy protecting group, SPS is a solid phase support And represents the site of covalent attachment of the specified group. In some embodiments, q1 is 1 or 2. In some embodiments, q2 is an integer from 1 to 5. In some embodiments, R4 includes a group represented by formula (B9) or (B10). In some embodiments, R4 includes a group represented by formula (B11) or (B12).
[81] В некоторых вариантах реализации Rk представляет собой один или более из Tr (тритила), MMTr (4-метокситритила), DMTr (4,4'-диметокситритила) и TMTr (4,4',4''-триметокситритила). В некоторых вариантах реализации Rk представляет собой DMTr.[81] In some embodiments, Rk is one or more of Tr (trityl), MMTr (4-methoxytrityl), DMTr (4,4'-dimethoxytrityl), and TMTr (4,4',4''-trimethoxytrityl) . In some embodiments, Rk is DMTr.
[82] L1 представляет собой линейный алкилен длиной от 1 до 70 атомов углерода, в котором один или более атомов углерода необязательно заменены на любую одну или более групп, выбранных из группы, состоящей из: C(O), NH, O, S, CH=N, S(O)2, C2-C10 алкенилена, C2-C10 алкинилена, C6-C10 арилена, C3-C18 гетероциклилена и C5-C10 гетероарилена, и при этом L1 необязательно замещен любым одним или более элементами группы, состоящей из: C1-C10 алкила, C6-C10 арила, C5-C10 гетероарила, C1-C10 галогеналкила, OC1-C10 алкила, OC1-C10 алкилфенила, -C1-C10 алкилOH, OC1-C10 галогеналкила, SC1-C10 алкила, SC1-C10 алкилфенила, -C1-C10 алкилSH, SC1-C10 галогеналкила, галогена, OH, -SH, NH2, C1-C10 алкилNH2, N(C1-C10 алкил)(C1-C10 алкила), NH(C1-C10 алкила), N(C1-C10 алкил)(C1-C10 алкилфенила), NH(C1-C10 алкилфенила), циано, нитро, CO2H, C(O)OC1-C10 алкила, CON(C1-C10 алкил)(C1-C10 алкила), CONH(C1-C10 алкила), CONH2, NHC(O)(C1-C10 алкила), NHC(O)(фенила), N(C1-C10 алкил)C(O)(C1-C10 алкила), N(C1-C10 алкил)C(O)(фенила), C(O)C1-C10 алкила, C(O)C1-C10 алкилфенила, C(O)C1-C10 галогеналкила, OC(O)C1-C10 алкила, -SO2(C1-C10 алкила), -SO2(фенила), -SO2(C1-C10 галогеналкила), -SO2NH2, SO2NH(C1-C10 алкила), SO2NH(фенила), -NHSO2(C1-C10 алкила), -NHSO2(фенила) и NHSO2(C1-C10 галогеналкила). Для специалиста должно быть очевидно, что хотя L1 называют линейным алкиленом для удобства, он может не быть линейной группой или может называться по-другому, например, амином или алкенилом, в результате указанной выше замены и/или замещения. Для целей настоящего описания, приведенного в данной заявке, длина L1 представляет собой атомное число в цепи, соединяющей две точки присоединения. Для данной цели кольцо, полученное в результате замены атома углерода линейного алкилена, такое как гетероциклилен или гетероарилен, считают как один атом.[82] L1 is a linear alkylene from 1 to 70 carbon atoms in which one or more carbon atoms are optionally replaced by any one or more groups selected from the group consisting of: C(O), NH, O, S , CH=N, S(O)2 , C2 -C10 alkenylene, C2 -C10 alkynylene, C6 -C10 arylene, C3 -C18 heterocyclylene and C5 -C10 heteroarylene, and at the same time L1 is optionally substituted by any one or more members of the group consisting of: C1 -C10 alkyl, C6 -C10 aryl, C5 -C10 heteroaryl, C1 -C10 haloalkyl, OC1 -C10 alkyl, OC1 -C10 alkylphenyl, -C1 -C10 alkylOH, OC1 -C10 haloalkyl, SC1 -C10 alkyl, SC1 -C10 alkylphenyl, -C1 -C10 alkylSH, SC1 -C10 haloalkyl, halogen , OH, -SH, NH2 , C1 -C10 alkylNH2 , N (C1 -C10 alkyl) (C1 -C10 alkyl), NH (C1 -C10 alkyl), N (C1 - C10 alkyl) (C1 -C10 alkylphenyl), NH (C1 -C10 alkylphenyl), cyano, nitro, CO2 H, C (O) OC1 -C10 alkyl, CON (C1 -C10 alkyl )(C1 -C10 alkyl), CONH(C1 -C10 alkyl), CONH2 , NHC(O)(C1 -C10 alkyl), NHC(O)(phenyl), N(C1 -C10 alkyl) C (O) (C1 -C10 alkyl), N (C1 -C10 alkyl) C (O) (phenyl), C (O) C1 -C10 alkyl, C (O) C1 -C10 alkylphenyl, C(O)C1 -C10 haloalkyl, OC(O)C1 -C10 alkyl, -SO2 (C1 -C10 alkyl), -SO2 (phenyl), -SO2 ( C1 -C10 haloalkyl), -SO2 NH2 , SO2 NH (C1 -C10 alkyl), SO2 NH (phenyl), -NHSO2 (C1 -C10 alkyl), -NHSO2 (phenyl ) and NHSO2 (C1 -C10 haloalkyl). It will be apparent to those skilled in the art that while L1 is referred to as a linear alkylene for convenience, it may not be a linear group or may be referred to differently, such as an amine or alkenyl, as a result of the above substitution and/or substitution. For the purposes of this description given in this application, the length L1 represents the atomic number in the chain connecting the two points of attachment. For this purpose, a ring resulting from the replacement of a linear alkylene carbon atom, such as heterocyclylene or heteroarylene, is counted as one atom.
[83] В некоторых вариантах реализации L1 используют для соединения лиганда M1 (или соответствующей группы S1) с атомом N на азотистом остове, за счет чего получают функцию нацеливания на печень конъюгата согласно настоящему изобретению. В некоторых вариантах реализации L1 включает любую из формул A1 - A26 и любые их комбинации. В некоторых вариантах реализации L1 представляет собой любую из A1, A4, A5, A6, A8, A10, A11, A13 и их комбинации. В некоторых вариантах реализации L1 представляет собой комбинацию по меньшей мере двух из A1, A4, A8, A10 и A11; в некоторых вариантах реализации L1 представляет собой комбинацию по меньшей мере двух групп из A1, A8 и A10.[83] In some embodiments, L1 is used to connect the M1 ligand (or the corresponding S1 group) to the N atom on the nitrogenous backbone, thereby obtaining the liver targeting function of the conjugate of the present invention. In some embodiments, L1 includes any of formulas A1 - A26 and any combinations thereof. In some embodiments, L1 is any of A1, A4, A5, A6, A8, A10, A11, A13, and combinations thereof. In some embodiments, L1 is a combination of at least two of A1, A4, A8, A10, and A11; in some embodiments, L1 is a combination of at least two of A1, A8, and A10.
[84] В некоторых вариантах реализации длина L1 может составлять от 3 до 25, от 3 до 20, от 4 до 15 или от 5 до 12 атомов. В некоторых вариантах реализации длина L1 составляет 3, 4, 5, 6, 7, 8, 9, 10, 11, 12, 13, 14, 15, 16, 17, 18, 19, 20, 21, 22, 23, 24, 25, 30, 35, 40, 45, 50, 55, 60 атомов.[84] In some embodiments, the L1 length may be 3 to 25, 3 to 20, 4 to 15, or 5 to 12 atoms. In some embodiments, the length L1 is 3, 4, 5, 6, 7, 8, 9, 10, 11, 12, 13, 14, 15, 16, 17, 18, 19, 20, 21, 22, 23, 24, 25, 30, 35, 40, 45, 50, 55, 60 atoms.
[85] В некоторых вариантах реализации согласно настоящему описанию, следовательно, j1 представляет собой целое число от 2 до 10, и в некоторых вариантах реализации представляет собой целое число от 3 до 5; j2 представляет собой целое число от 2 до 10, и в некоторых вариантах реализации представляет собой целое число от 3 до 5; R' представляет собой C1-C4 алкил, и в некоторых вариантах реализации представляет собой один из метила, этила и изопропила. Ra представляет собой один из A27, A28, A29, A30 и A31 и в некоторых вариантах реализации представляет собой A27 или A28; Rb представляет собой C1-C5 алкил и в некоторых вариантах реализации представляет собой один из метила, этила, изопропила и бутила. В некоторых вариантах реализации j1, j2, R', Ra и Rb выбирают соответствующим образом из A1 - A26, чтобы добиться связи между лигандами M1 и атомом N на азотистом остове в олигонуклеотидном конъюгате, образованном конъюгирующей молекулой, и чтобы сделать стерическое положение среди лигандов M1 более подходящим для связывания лигандов M1 с асиалогликопротеиновыми рецепторами на поверхности гепатоцитов.[85] In some embodiments as described herein, therefore, j1 is an integer from 2 to 10, and in some embodiments, is an integer from 3 to 5; j2 is an integer from 2 to 10, and in some implementations is an integer from 3 to 5; R' is C1 -C4 alkyl, and in some embodiments is one of methyl, ethyl, and isopropyl. Ra is one of A27, A28, A29, A30 and A31 and in some embodiments is A27 or A28; Rb is C1 -C5 alkyl and in some embodiments is one of methyl, ethyl, isopropyl, and butyl. In some embodiments, j1, j2, R', Ra, and Rb are appropriately selected from A1 - A26 to achieve bonding between the M1 ligands and the N atom at the nitrogen backbone in the oligonucleotide conjugate formed by the conjugating molecule and to make a steric position among the ligands M1 is more suitable for binding M1 ligands to asialoglycoprotein receptors on the surface of hepatocytes.
[86] Каждый M1 независимо выбран из лиганда, способного связываться с рецептором на поверхности клетки. В некоторых вариантах реализации по меньшей мере один M1 представляет собой лиганд, способный связываться с рецептором на поверхности гепатоцитов. В некоторых вариантах реализации по меньшей мере один M1 представляет собой лиганд, способный связываться с рецептором на поверхности клетки млекопитающего. В некоторых вариантах реализации по меньшей мере один M1 представляет собой лиганд, способный связываться с рецептором на поверхности гепатоцитов человека. В некоторых вариантах реализации по меньшей мере один M1 представляет собой лиганд, способный связываться с асиалогликопротеиновыми рецепторами на поверхности клеток печени (ASGPR).[86] Each M1 is independently selected from a ligand capable of binding to a receptor on the cell surface. In some embodiments, at least one M1 is a ligand capable of binding to a receptor on the surface of hepatocytes. In some embodiments, at least one M1 is a ligand capable of binding to a receptor on the surface of a mammalian cell. In some embodiments, at least one M1 is a ligand capable of binding to a receptor on the surface of human hepatocytes. In some embodiments, at least one M1 is a ligand capable of binding to asialoglycoprotein receptors on the surface of liver cells (ASGPR).
[87] В некоторых вариантах реализации M1 может представлять собой любой из лигандов, который обладает аффинностью к асиалогликопротеиновым рецепторам (ASGP-R) на поверхности гепатоцитов млекопитающих. Типы данных лигандов хорошо известны специалистам в данной области. В некоторых вариантах реализации по меньшей мере один из M1 представляет собой сахарид. В некоторых вариантах реализации каждый M1 представляет собой сахарид. В некоторых вариантах реализации по меньшей мере один из M1 представляет собой моносахарид, дисахарид, трисахарид или полисахарид. В некоторых вариантах реализации каждый M1 представляет собой моносахарид, дисахарид, трисахарид или полисахарид. В некоторых вариантах реализации по меньшей мере один из M1 представляет собой модифицированный сахарид. В некоторых вариантах реализации каждый M1 представляет собой модифицированный сахарид. В некоторых вариантах реализации каждый M1 независимо выбран из полисахаридов, модифицированных полисахаридов, моносахаридов или производных моносахаридов. В некоторых вариантах реализации каждый или по меньшей мере один M1 можно независимо выбрать из группы, состоящей из глюкозы и ее производных, маннозы и ее производных, галактозы и ее производных, ксилозы и ее производных, рибозы и ее производных, фукозы и ее производных, лактозы и ее производных, мальтозы и ее производных, арабинозы и ее производных, фруктозы и ее производных и сиаловой кислоты.[87] In some embodiments, M1 can be any of the ligands that has affinity for asialoglycoprotein receptors (ASGP-R) on the surface of mammalian hepatocytes. The types of these ligands are well known to those skilled in the art. In some embodiments, at least one of M1 is a saccharide. In some embodiments, each M1 is a saccharide. In some embodiments, at least one of M1 is a monosaccharide, disaccharide, trisaccharide, or polysaccharide. In some embodiments, each M1 is a monosaccharide, disaccharide, trisaccharide, or polysaccharide. In some embodiments, at least one of M1 is a modified saccharide. In some embodiments, each M1 is a modified saccharide. In some embodiments, each M1 is independently selected from polysaccharides, modified polysaccharides, monosaccharides, or monosaccharide derivatives. In some embodiments, each or at least one M1 can be independently selected from the group consisting of glucose and its derivatives, mannose and its derivatives, galactose and its derivatives, xylose and its derivatives, ribose and its derivatives, fucose and its derivatives, lactose and its derivatives, maltose and its derivatives, arabinose and its derivatives, fructose and its derivatives and sialic acid.
[88] В некоторых вариантах реализации каждый или по меньшей мере один M1 можно независимо выбрать из группы, состоящей из D-маннопиранозы, L-маннопиранозы, D-арабинозы, D-ксилофуранозы, L-ксилофуранозы, D-глюкозы, L-глюкозы, D-галактозы, L-галактозы, α-D-маннофуранозы, β-D-маннофуранозы, α-D-маннопиранозы, β-D-маннопиранозы, α-D-глюкопиранозы, β-D-глюкопиранозы, α-D-глюкофуранозы, β-D-глюкофуранозы, α-D-фруктофуранозы, α-D-фруктопиранозы, α-D-галактопиранозы, β-D-галактопиранозы, α-D-галактофуранозы, β-D-галактофуранозы, глюкозамина, сиаловой кислоты, галактозамина, N-ацетилгалактозамина, N-трифторацетилгалактозамина, N-пропионилгалактозамина, N-н-бутирилгалактозамина, N-изобутирилгалактозамина, 2-амино-3-O-[(R)-1-карбоксиэтил]-2-дезокси-β-D-глюкопиранозы, 2-дезокси-2-метиламино-L-глюкопиранозы, 4,6-дидезокси-4-формамидо-2,3-ди-O-метил-D-маннопиранозы, 2-дезокси-2-сульфоамино-D-глюкопиранозы, N-гликолил-α-нейраминовой кислоты, 5-тио-β-D-глюкопиранозы, метил-2,3,4-трис-O-ацетил-1-тио-6-O-тритил-α-D-глюкопиранозида, 4-тио-β-D-галактопиранозы, этил-3,4,6,7-тетра-O-ацетил-2-дезокси-1,5-дитио-α-D-глюкогептопиранозида, 2,5-ангидро-D-аллононитрила, рибозы, D-рибозы, D-4-тиорибозы, L-рибозы, L-4-тиорибозы. В некоторых вариантах реализации по меньшей мере один M1 представляет собой N-ацетилгалактозамин (GalNAc). В некоторых вариантах реализации каждый M1 представляет собой N-ацетилгалактозамин (GalNAc). Выбор лиганда можно найти, например, в описании CN105378082A, которое полностью включено в данную заявку посредством ссылки.[88] In some embodiments, each or at least one M1 can be independently selected from the group consisting of D-mannopyranose, L-mannopyranose, D-arabinose, D-xylofuranose, L-xylofuranose, D-glucose, L-glucose , D-galactose, L-galactose, α-D-mannofuranose, β-D-mannofuranose, α-D-mannopyranose, β-D-mannopyranose, α-D-glucopyranose, β-D-glucopyranose, α-D-glucofuranose , β-D-glucofuranose, α-D-fructofuranose, α-D-fructopyranose, α-D-galactopyranose, β-D-galactopyranose, α-D-galactofuranose, β-D-galactofuranose, glucosamine, sialic acid, galactosamine, N-acetylgalactosamine, N-trifluoroacetylgalactosamine, N-propionylgalactosamine, N-n-butyrylgalactosamine, N-isobutyrylgalactosamine, 2-amino-3-O-[(R)-1-carboxyethyl]-2-deoxy-β-D-glucopyranose, 2-deoxy-2-methylamino-L-glucopyranose, 4,6-dideoxy-4-formamido-2,3-di-O-methyl-D-mannopyranose, 2-deoxy-2-sulfoamino-D-glucopyranose, N- glycolyl-α-neuraminic acid, 5-thio-β-D-glucopyranose, methyl-2,3,4-tris-O-acetyl-1-thio-6-O-trityl-α-D-glucopyranoside, 4-thio -β-D-galactopyranose, ethyl-3,4,6,7-tetra-O-acetyl-2-deoxy-1,5-dithio-α-D-glucoheptopyranoside, 2,5-anhydro-D-allononitrile, ribose , D-ribose, D-4-thioribose, L-ribose, L-4-thioribose. In some embodiments, at least one M1 is N-acetylgalactosamine (GalNAc). In some embodiments, each M1 is N-acetylgalactosamine (GalNAc). The choice of ligand can be found, for example, in the description CN105378082A, which is fully incorporated into this application by reference.
[89] В CN105378082A описано соединение, содержащее модифицированный олигонуклеотид и конъюгирующую группу, причем указанная конъюгирующая группа содержит по меньшей мере одну фосфорную связывающую группу или нейтральную связывающую группу, а также один или более лигандов, каждый лиганд выбран из группы, состоящей из полисахаридов, модифицированных полисахаридов, маннозы, галактозы, производных маннозы, производных галактозы, D-маннопиранозы, L-маннопиранозы, D-арабинозы, D-ксилофуранозы, L-ксилофуранозы, D-глюкозы, L-глюкозы, D-галактозы, L-галактозы, α-D-маннофуранозы, β-D-маннофуранозы, α-D-маннопиранозы, β-D-маннопиранозы, α-D-глюкопиранозы, β-D-глюкопиранозы, α-D-глюкофуранозы, β-D-глюкофуранозы, α-D-фруктофуранозы, α-D-фруктопиранозы, α-D-галактопиранозы, β-D-галактопиранозы, α-D-галактофуранозы, β-D-галактофуранозы, глюкозамина, сиаловой кислоты, α-D-галактозамина, N-ацетилгалактозамина, 2-амино-3-O-[(R)-1-карбоксиэтил]-2-дезокси-β-D-глюкопиранозы, 2-дезокси-2-метиламино-L-глюкопиранозы, 4,6-дидезокси-4-формамидо-2,3-ди-O-метил-D-маннопиранозы, 2-дезокси-2-сульфоамино-D-глюкопиранозы, N-гликолил-α-нейраминовой кислоты, 5-тио-β-D-глюкопиранозы, метил-2,3,4-трис-O-ацетил-1-тио-6-O-тритил-α-D-глюкопиранозида, 4-тио-β-D-галактопиранозы, этил-3,4,6,7-тетра-O-ацетил-2-дезокси-1,5-дитио-α-D-глюкогептопиранозида, 2,5-ангидро-D-аллононитрила, рибозы, D-рибозы, D-4-тиорибозы, L-рибозы и L-4-тиорибозы. Утверждается, что соединение может снизить количество или активность транскрипции нуклеиновой кислоты в клетках.[89] CN105378082A describes a compound containing a modified oligonucleotide and a conjugating group, said conjugating group containing at least one phosphorus linking group or a neutral linking group, as well as one or more ligands, each ligand selected from the group consisting of polysaccharides modified polysaccharides, mannose, galactose, mannose derivatives, galactose derivatives, D-mannopyranose, L-mannopyranose, D-arabinose, D-xylofuranose, L-xylofuranose, D-glucose, L-glucose, D-galactose, L-galactose, α- D-mannofuranoses, β-D-mannofuranoses, α-D-mannopyranoses, β-D-mannopyranoses, α-D-glucopyranoses, β-D-glucopyranoses, α-D-glucofuranoses, β-D-glucofuranoses, α-D- fructofuranose, α-D-fructopyranose, α-D-galactopyranose, β-D-galactopyranose, α-D-galactofuranose, β-D-galactofuranose, glucosamine, sialic acid, α-D-galactosamine, N-acetylgalactosamine, 2-amino -3-O-[(R)-1-carboxyethyl]-2-deoxy-β-D-glucopyranose, 2-deoxy-2-methylamino-L-glucopyranose, 4,6-dideoxy-4-formamido-2,3 -di-O-methyl-D-mannopyranose, 2-deoxy-2-sulfoamino-D-glucopyranose, N-glycolyl-α-neuraminic acid, 5-thio-β-D-glucopyranose, methyl-2,3,4- tris-O-acetyl-1-thio-6-O-trityl-α-D-glucopyranoside, 4-thio-β-D-galactopyranose, ethyl-3,4,6,7-tetra-O-acetyl-2- deoxy-1,5-dithio-α-D-glucoheptopyranoside, 2,5-anhydro-D-allononitrile, ribose, D-ribose, D-4-thioribose, L-ribose and L-4-thioribose. The compound is said to be able to reduce the amount or activity of nucleic acid transcription in cells.
[90] В WO2016077321A1 описано множество миРНК, специфично нацеленных на ген HBV, и способы их доставки, и стабильность данных миРНК в сыворотке повышают путем модификации их нуклеотидов. В данном документе также описаны конъюгаты миРНК и дополнительно конкретно описано несколько конъюгатов миРНК.[90] WO2016077321A1 describes a plurality of siRNAs specifically targeting the HBV gene and methods for their delivery, and the serum stability of these siRNAs is improved by modifying their nucleotides. This document also describes siRNA conjugates and additionally specifically describes several siRNA conjugates.
[91] В WO2016168286A1 описано множество миРНК, специфично нацеленных на ген ANGPTL3, и способы их доставки, и стабильность данных миРНК в сыворотке повышают путем модификации их нуклеотидов. В данном документе также описаны конъюгаты миРНК.[91] WO2016168286A1 describes a plurality of siRNAs specifically targeting the ANGPTL3 gene and methods for their delivery, and the serum stability of these siRNAs is improved by modifying their nucleotides. This document also describes siRNA conjugates.
[92] N-ацетилгалактозамин (GalNAc) представляет собой лиганд, который связывается с асиалогликопротеиновыми рецепторами на поверхности клеток печени (ASGPR). ASGPR представляет собой эндоцитозный рецептор, который специфично экспрессируется гепатоцитами. Недавно N-ацетилгалактозамин (GalNAc) применяли в качестве нацеливающей молекулы для доставки лекарственных средств на основе малых РНК в печень. Например, Alnylam Pharmaceuticals, Inc., первоначально сообщила, что миРНК, основанные на технологии конъюгирования с GalNAc, проявляла интерферирующую активность у мышей (Nair и др., J. Am. Chem. Soc., 2014, 136, 16958-16961). В данной статье сообщили, что миРНК, конъюгированная с тремя кластерами GalNAc, проявляет хорошую активность доставки как in vitro, так и in vivo. С помощью экспериментов in vivo с мышами, которым вводили дозу подкожно, определили, что ED50 разовой дозы составляла 1 мг/кг, если разовая инъекционная доза составляла менее 1 мл. В экспериментах по длительному введению, как утверждают, можно добиться стабильной активности интерференции вплоть до 9 месяцев при подкожной инъекции раз в неделю.[92] N-acetylgalactosamine (GalNAc) is a ligand that binds to asialoglycoprotein receptors on the surface of liver cells (ASGPR). ASGPR is an endocytic receptor that is specifically expressed by hepatocytes. Recently, N-acetylgalactosamine (GalNAc) has been used as a targeting molecule for small RNA drug delivery to the liver. For example, Alnylam Pharmaceuticals, Inc., originally reported that siRNAs based on GalNAc conjugation technology exhibited interfering activity in mice (Nair et al., J. Am. Chem. Soc., 2014, 136, 16958-16961). This article reported that siRNA conjugated to three GalNAc cassettes exhibited good delivery activity both in vitro and in vivo. Using in vivo experiments with mice dosed subcutaneously, the ED50 of a single dose was determined to be 1 mg/kg when the single injection dose was less than 1 ml. In long-term administration experiments, it is claimed that stable interference activity can be achieved up to 9 months with subcutaneous injection once a week.
[93] В некоторых вариантах реализации S1 независимо представляет собой M1. В некоторых вариантах реализации S1 независимо представляет собой M1, содержащий по меньшей мере одну активную гидрокси-группу, защищенную защитной группой для гидроксила. В некоторых вариантах реализации S1 независимо представляет собой M1, в котором все активные гидроксилы, если они есть, были защищены защитной группой для гидроксила. В некоторых вариантах реализации можно применять любую защитную группу для гидроксила, известную специалисту, для защиты активного гидроксила на M1. В некоторых вариантах реализации защищенная гидрокси-группа представлена формулой YCOO-, где каждый Y независимо выбран из группы, состоящей из C1-C10 алкила и C6-C10 арила, которые необязательно содержат в качестве заместителей один или более из заместителей, выбранных из группы, состоящей из галогена и C1-C6 алкила. В некоторых вариантах реализации каждый Y независимо выбран из группы, состоящей из метила, трифторметила, дифторметила, монофторметила, трихлорметила, дихлорметила, монохлорметила, этила, н-пропила, изопропила, фенила, галогенфенила и C1-C6 алкилфенила.[93] In some embodiments, S1 is independently M1 . In some embodiments, S1 is independently M1 containing at least one active hydroxy group protected by a hydroxyl protecting group. In some embodiments, S1 is independently M1 in which all active hydroxyls, if any, have been protected with a hydroxyl protecting group. In some embodiments, any hydroxyl protecting group known to those skilled in the art can be used to protect the active hydroxyl at M1 . In some embodiments, the protected hydroxy group is represented by the formula YCOO-, where each Y is independently selected from the group consisting of C1 -C10 alkyl and C6 -C10 aryl, which are optionally substituted with one or more of the substituents selected from the group consisting of halogen and C1 -C6 alkyl. In some embodiments, each Y is independently selected from the group consisting of methyl, trifluoromethyl, difluoromethyl, monofluoromethyl, trichloromethyl, dichloromethyl, monochloromethyl, ethyl, n-propyl, isopropyl, phenyl, halophenyl, and C1 -C6 alkylphenyl.
[94] В некоторых вариантах реализации каждый S1 независимо выбран из группы, состоящей из формул A46 - A54:[94] In some embodiments, each S1 is independently selected from the group consisting of Formulas A46-A54:
[95] В некоторых вариантах реализации S1 представляет собой A49 или A50. В некоторых вариантах реализации Y независимо для каждого появления представляет собой один из метила, трифторметила, дифторметила, монофторметила, трихлорметиловой, дихлорметила, монохлорметила, этила, н-пропила, изопропила, фенила, галогенфенила и алкилфенила. Для того чтобы упростить конъюгирующую молекулу согласно настоящему изобретению, в некоторых вариантах реализации Y представляет собой метил.[95] In some embodiments, S1 is A49 or A50. In some embodiments, Y independently for each occurrence is one of methyl, trifluoromethyl, difluoromethyl, monofluoromethyl, trichloromethyl, dichloromethyl, monochloromethyl, ethyl, n-propyl, isopropyl, phenyl, halophenyl, and alkylphenyl. In order to simplify the conjugate molecule of the present invention, in some embodiments, Y is methyl.
[96] В некоторых вариантах реализации конъюгирующая молекула согласно настоящему изобретению имеет структуру, представленную формулой (403), (404), (405), (406), (407), (408), (409), (410), (411), (412), (413), (414), (415), (416), (417), (418), (419), (420), (421) или (422):[96] In some embodiments, the conjugating molecule of the present invention has the structure represented by formula (403), (404), (405), (406), (407), (408), (409), (410), ( 411), (412), (413), (414), (415), (416), (417), (418), (419), (420), (421) or (422):
,,
(405)(405)
,,
(406)(406)
,,
(407)(407)
,,
(408)(408)
,,
(409)(409)
,,
(410)(410)
,,
(411)(411)
,,
(412)(412)
,,
(413)(413)
,,
(414)(414)
,,
(415)(415)
,,
(416)(416)
,,
(417)(417)
,,
(418)(418)
,,
(419)(419)
,,
(420)(420)
,,
(421)(421)
..
(422)(422)
[97] В приведенных выше формулах с (403) по (422) X представляет собой O или NH, Rk представляет собой защитную группу для гидрокси и M+ представляет собой катион металла, катион аммония, катион, образованный из третичного амина, или катион четвертичного аммония. В некоторых вариантах реализации M+ представляет собой.[97] In the above formulas (403) to (422), X is O or NH, Rk is a protecting group for hydroxy, and M+ is a metal cation, an ammonium cation, a cation formed from a tertiary amine, or a cation quaternary ammonium. In some embodiments, M+ is .
[98] В некоторых вариантах реализации конъюгирующая молекула согласно настоящему изобретению имеет структуру, представленную формулой (423), (424), (425), (426), (427), (428), (429), (430), (431), (432), (433), (434), (435), (436), (437), (438), (439), (440), (441) или (442):[98] In some embodiments, the conjugating molecule of the present invention has the structure represented by formula (423), (424), (425), (426), (427), (428), (429), (430), ( 431), (432), (433), (434), (435), (436), (437), (438), (439), (440), (441) or (442):
,,
(423)(423)
,,
(424)(424)
,,
(425)(425)
,,
(426)(426)
,,
(427)(427)
,,
(428)(428)
,,
(429)(429)
,,
(430)(430)
,,
(431)(431)
,,
(432)(432)
,,
(433)(433)
,,
(434)(434)
,,
(435)(435)
,,
(436)(436)
,,
(437)(437)
,,
(438)(438)
,,
(439)(439)
,,
(440)(440)
,,
(441)(441)
..
(442)(442)
[99] В приведенных выше формулах с (423) по (442) X представляет собой O или NH, Rk представляет собой защитную группу для гидроксила и SPS представляет собой твердофазную подложку.[99] In the above formulas (423) to (442), X is O or NH,Rk is a hydroxyl protecting group, and SPS is a solid phase support.
[100] В некоторых вариантах реализации конъюгирующая молекула согласно настоящему изобретению имеет структуру, представленную формулой (503), (504), (505), (506), (507), (508), (509), (510), (511), (512), (513), (514), (515), (516), (517), (518), (519), (520), (521) или (522):[100] In some embodiments, the conjugating molecule of the present invention has the structure represented by formula (503), (504), (505), (506), (507), (508), (509), (510), ( 511), (512), (513), (514), (515), (516), (517), (518), (519), (520), (521) or (522):
(503)(503)
(504)(504)
(505)(505)
(506)(506)
(507)(507)
(508)(508)
(509)(509)
(510)(510)
(511)(511)
(512)(512)
(513)(513)
(514)(514)
(515)(515)
(516)(516)
(517)(517)
(518)(518)
(519)(519)
(520)(520)
(521)(521)
..
(522)(522)
[101] В приведенных выше формулах (503) - (522) DMTr представляет собой 4,4'-диметокситритил. Структура представляет собой соли, образованные соответствующими карбоновыми кислотами и триэтиламином.[101] In the above formulas (503) - (522) DMTr represents 4,4'-dimethoxytrityl. Structure is a salt formed by the corresponding carboxylic acids and triethylamine.
[102] В некоторых вариантах реализации конъюгирующая молекула согласно настоящему изобретению имеет структуру, представленную формулой (523), (524), (525), (526), (527), (528), (529), (530), (531), (532), (533), (534), (535), (536), (537), (538), (539), (540), (541) или (542):[102] In some embodiments, the conjugating molecule of the present invention has the structure represented by formula (523), (524), (525), (526), (527), (528), (529), (530), ( 531), (532), (533), (534), (535), (536), (537), (538), (539), (540), (541) or (542):
(523)(523)
(524)(524)
(525)(525)
(526)(526)
(527)(527)
(528)(528)
(529)(529)
(530)(530)
(531)(531)
(532)(532)
(533)(533)
(534)(534)
(535)(535)
(536)(536)
(537)(537)
(538)(538)
(539)(539)
(540)(540)
(541)(541)
..
(542)(542)
[103] В приведенных выше формулах с (523) по (542) SPS представляет собой твердофазную подложку и DMTr относится к 4,4'-диметокситритилу.[103] In formulas (523) to (542) above, SPS is a solid phase support and DMTr refers to 4,4'-dimethoxytrityl.
Получение конъюгирующей молекулы согласно настоящему описанию.Obtaining a conjugating molecule according to the present description.
[104] Конъюгирующую молекулу согласно настоящему описанию специалисты в данной области могут получить с помощью любого подходящего пути синтеза.[104] A conjugating molecule according to the present description can be prepared by those skilled in the art by any suitable synthetic route.
[105] В некоторых вариантах реализации согласно настоящему описанию способ получения конъюгирующей молекулы, представленной формулой (321), включает приведение в контакт соединения, представленного формулой (313), с циклическим ангидридом в условиях реакции этерификации в присутствии основания и катализатора этерификации в органическом растворителе; обмен ионами и выделение соединения, представленного формулой (321):[105] In some embodiments according to the present description, a method for obtaining a conjugating molecule represented by formula (321) includes contacting a compound represented by formula (313) with a cyclic anhydride under esterification reaction conditions in the presence of a base and an esterification catalyst in an organic solvent; ion exchange and isolation of the compound represented by the formula (321):
,,
Формула (313)Formula (313)
где:Where:
R6 представляет собой группу для получения R4 формулы (321). В некоторых вариантах реализации, например, R6 имеет структуру, представленную формулой (A61):R6 is a group for obtaining R4 formula (321). In some embodiments, for example, R6 has the structure represented by formula (A61):
определения и варианты n1, n3, m1, m2, m3, R10, R11, R12, R13, R14, R15, L1, S1 являются, соответственно, такими, как описано выше; Ri представляет собой группу, способную соединяться с атомом N на азотистом остове, с RkO и со свободной гидрокси-группой; Rk представляет собой защитную группу для гидрокси. В данном случае получают соединение, представленное формулой (321), где R4 содержит защитную группу для гидрокси в качестве первой функциональной группы и группу, представленную формулой (C1) или (C2), в качестве второй функциональной группы. В некоторых вариантах реализации R6 представляет собой B7 или B8:definitions and options n1, n3, m1, m2, m3, R10 , R11 , R12 , R13 , R14 , R15 , L1 , S1 are, respectively, as described above; Ri is a group capable of combining with the N atom on the nitrogenous backbone, with Rk O and with a free hydroxy group; Rk is a protecting group for hydroxy. In this case, a compound represented by formula (321) is obtained, where R4 contains a protecting group for hydroxy as a first functional group and a group represented by formula (C1) or (C2) as a second functional group. In some embodiments, R6 is B7 or B8:
где q2 и Rk, соответственно, такие как описано выше.where q2 and Rk , respectively, such as described above.
[106] Условия реакции этерификации включают температуру реакции от 0 до 100°C и время реакции от 8 до 48 часов. В некоторых вариантах реализации условия реакции этерификации включают температуру реакции от 10 до 40°C и время реакции от 20 до 30 часов.[106] Conditions for the esterification reaction include a reaction temperature of 0 to 100°C and a reaction time of 8 to 48 hours. In some embodiments, the esterification reaction conditions include a reaction temperature of 10 to 40° C. and a reaction time of 20 to 30 hours.
[107] В некоторых вариантах реализации органический растворитель включает один или более из эпоксидного растворителя, эфирного растворителя, галогеналканового растворителя, диметилсульфоксида, N,N-диметилформамида и N,N-диизопропилэтиламина. В некоторых вариантах реализации эпоксидный растворитель представляет собой диоксан и/или тетрагидрофуран. В некоторых вариантах реализации эфирный растворитель представляет собой диэтиловый эфир и/или метил-трет-бутиловый эфир. В некоторых вариантах реализации галогеналкановый растворитель представляет собой один или более из дихлорметана, трихлорметана и 1,2-дихлорэтана. В некоторых вариантах реализации органический растворитель представляет собой дихлорметан. Количество органического растворителя составляет 3 - 50 л/моль, и в некоторых вариантах реализации 5 - 20 л/моль в зависимости от соединения, представленного формулой (313).[107] In some embodiments, the organic solvent includes one or more of an epoxy solvent, an ether solvent, a haloalkane solvent, dimethyl sulfoxide, N,N-dimethylformamide, and N,N-diisopropylethylamine. In some embodiments, the epoxy solvent is dioxane and/or tetrahydrofuran. In some embodiments, the ethereal solvent is diethyl ether and/or methyl t-butyl ether. In some embodiments, the haloalkane solvent is one or more of dichloromethane, trichloromethane, and 1,2-dichloroethane. In some embodiments, the organic solvent is dichloromethane. The amount of organic solvent is 3-50 L/mol, and in some embodiments 5-20 L/mol, depending on the compound represented by formula (313).
[108] В некоторых вариантах реализации циклический ангидрид представляет собой один из янтарного ангидрида, глутарового ангидрида, адипинового ангидрида или пимелинового ангидрида. В некоторых вариантах реализации циклический ангидрид представляет собой янтарный ангидрид. Молярное соотношение циклического ангидрида к соединению, представленному формулой (313), составляет от 1:1 до 10:1 и в некоторых вариантах реализации составляет от 2:1 до 5:1.[108] In some embodiments, the cyclic anhydride is one of succinic anhydride, glutaric anhydride, adipic anhydride, or pimelic anhydride. In some embodiments, the cyclic anhydride is succinic anhydride. The molar ratio of cyclic anhydride to compound represented by formula (313) is 1:1 to 10:1, and in some embodiments, 2:1 to 5:1.
[109] Катализатор этерификации может представлять собой любой катализатор способный катализировать этерификацию, такой как 4-диметиламинопиридин. Молярное соотношение катализатора к соединению, представленному формулой (313), составляет от 1:1 до 10:1 и в некоторых вариантах реализации составляет от 2:1 до 5:1.[109] The esterification catalyst can be any catalyst capable of catalyzing the esterification, such as 4-dimethylaminopyridine. The molar ratio of catalyst to compound represented by formula (313) is 1:1 to 10:1, and in some embodiments, 2:1 to 5:1.
[110] В некоторых вариантах реализации основание может представлять собой любое неорганическое основание, органическое основание или их комбинацию. Принимая во внимание растворимость, а также стабильность продукта, основание представляет собой третичный амин. В некоторых вариантах реализации третичный амин представляет собой триэтиламин или N,N-диизопропилэтиламин. Молярное соотношение третичного амина к соединению, представленному формулой (313), составляет от 1:1 до 20:1 и в некоторых вариантах реализации составляет от 3:1 до 10:1.[110] In some embodiments, the base may be any inorganic base, an organic base, or a combination thereof. Considering the solubility as well as the stability of the product, the base is a tertiary amine. In some embodiments, the tertiary amine is triethylamine or N,N-diisopropylethylamine. The molar ratio of tertiary amine to compound represented by formula (313) is 1:1 to 20:1, and in some embodiments, 3:1 to 10:1.
[111] Обмен ионами служит для превращения соединения, представленного формулой (321), в желательную форму карбоновой кислоты или ее соль. Для способа обмена ионами конъюгирующую молекулу с M+ катионом можно получить, применяя подходящий раствор для обмена ионами и условия для обмена ионами, которые хорошо известны в данной области. В некоторых вариантах реализации раствор фосфата триэтиламина используют для обмена ионами. В некоторых вариантах реализации концентрация раствора фосфата триэтиламина составляет 0,2 - 0,8 М. В некоторых вариантах реализации концентрация раствора фосфата триэтиламина составляет 0,4 - 0,6 М. В некоторых вариантах реализации количество раствора фосфата триэтиламина составляет 3 - 6 л/моль и в дополнительном варианте реализации 4 - 5 л/моль в зависимости от соединения, представленного формулой (313).[111] The ion exchange serves to convert the compound represented by formula (321) into the desired carboxylic acid form or salt thereof. For the ion exchange method, the M+ cation conjugating molecule can be prepared using a suitable ion exchange solution and ion exchange conditions that are well known in the art. In some embodiments, a triethylamine phosphate solution is used for ion exchange. In some embodiments, the concentration of the triethylamine phosphate solution is 0.2 - 0.8 M. In some embodiments, the concentration of the triethylamine phosphate solution is 0.4 - 0.6 M. In some embodiments, the amount of triethylamine phosphate solution is 3 - 6 L / mol and in an additional implementation of 4 - 5 l/mol, depending on the compound represented by formula (313).
[112] Соединение, представленное формулой (321), можно выделить из реакционной смеси, применяя любые подходящие способы. В некоторых вариантах реализации соединение, представленное формулой (321), можно выделить путем удаления растворителя посредством выпаривания и последующей хроматографии, например, применяя следующие условия хроматографии для выделения: (1) нормально-фазовая очистка: силикагелевый наполнитель с размером частиц 200 - 300 меш с градиентным элюированием смесью содержащего 1‰ триэтиламина (по массе) дихлорметана: метанола = 100:18 - 100:20; или (2) обращенно-фазовая очистка: обращенно-фазовый наполнитель в колонках C18 и C8, с градиентным элюированием смесью метанола:ацетонитрила = 0,1:1 - 1:0,1. В некоторых вариантах реализации растворитель можно сразу удалить с получением неочищенного продукта соединения, представленного формулой (321), который можно непосредственно использовать в следующих реакциях.[112] The compound represented by formula (321) can be isolated from the reaction mixture using any suitable methods. In some embodiments, the compound represented by formula (321) can be isolated by removing the solvent by evaporation and subsequent chromatography, for example, using the following chromatographic conditions for isolation: (1) normal phase purification: silica gel filler with a particle size of 200-300 mesh by gradient elution with a mixture of dichloromethane containing 1‰ triethylamine (by mass): methanol = 100:18 - 100:20; or (2) reverse phase purification: reverse phase filler in C18 and C8 columns, eluting with a gradient of methanol:acetonitrile = 0.1:1 - 1:0.1. In some embodiments, the solvent can be removed immediately to provide a crude product of the compound represented by formula (321) which can be used directly in the following reactions.
[113] В некоторых вариантах реализации способ получения соединения, представленного формулой (321), дополнительно включает: приведение в контакт продукта описанного выше обмена ионами с твердофазной подложкой с аминогруппами или гидроксигруппами в условиях реакции конденсации в присутствии конденсирующего агента, катализатора конденсации и третичного амина в органическом растворителе. В данном случае получают соединение, представленное формулой (321), в котором R4 содержит защитную группу для гидрокси в качестве первой функциональной группы и группу, представленную формулой (C1'), в качестве второй функциональной группы.[113] In some embodiments, the process for preparing the compound represented by formula (321) further comprises: contacting the ion exchange product described above with an amino or hydroxy solid phase support under condensation reaction conditions in the presence of a condensation agent, a condensation catalyst, and a tertiary amine in organic solvent. Here, a compound represented by formula (321) is obtained in which R4 has a hydroxy protecting group as a first functional group and a group represented by formula (C1') as a second functional group.
[114] Твердофазная подложка представляет собой одну из подложек, применяемых в твердофазном синтезе миРНК, некоторые из которых хорошо известны специалистам в данной области. Например, твердофазную подложку можно выбрать из подложек, содержащих активную функциональную гидрокси-группу или функциональную аминогруппу. В некоторых вариантах реализации твердофазная подложка представляет собой амино- или гидроксисмолу. В некоторых вариантах реализации размер частиц амино- или гидроксисмолы составляет 100 - 400 меш, и нагрузка амина или гидрокси на поверхности составляет 0,2 - 0,5 ммоль/г. Отношение соединения, представленного формулой (321), к твердофазной подложке составляет от 10 мкмоль соединения на грамм твердофазной подложки (мкмоль/г) до 400 мкмоль/г. В некоторых вариантах реализации отношение соединения формулы (321) к твердофазной подложке составляет от 50 мкмоль/г до 200 мкмоль/г.[114] The solid phase support is one of the supports used in solid phase siRNA synthesis, some of which are well known to those skilled in the art. For example, the solid phase support may be selected from supports containing an active hydroxy functionality or an amino functionality. In some embodiments, the solid phase support is an amino or hydroxy resin. In some embodiments, the particle size of the amino or hydroxy resin is 100-400 mesh and the surface loading of the amine or hydroxy is 0.2-0.5 mmol/g. The ratio of the compound represented by the formula (321) to the solid support is from 10 µmol of compound per gram of solid support (µmol/g) to 400 µmol/g. In some embodiments, the ratio of compound of formula (321) to solid phase support is from 50 µmol/g to 200 µmol/g.
[115] Органический растворитель может представлять собой любой подходящий растворитель или смесь растворителей, известные специалистам, подходящие для цели, описанной в данной заявке. В некоторых вариантах реализации органический растворитель представляет собой один или более из ацетонитрила, эпоксидного растворителя, эфирного растворителя, галогеналканового растворителя, диметилсульфоксида, N,N-диметилформамида и N,N-диизопропилэтиламина. В некоторых вариантах реализации эпоксидный растворитель представляет собой диоксан и/или тетрагидрофуран, эфирный растворитель представляет собой диэтиловый эфир и/или метил-трет-бутиловый эфир, галогеналкановый растворитель представляет собой один или более из дихлорметана, трихлорметана и 1,2-дихлорэтана. В некоторых вариантах реализации органический растворитель представляет собой ацетонитрил. Количество органического растворителя составляет 20 - 200 л/моль, в некоторых вариантах реализации составляет 50 - 100 л/моль в зависимости от соединения, представленного формулой (313).[115] The organic solvent can be any suitable solvent or mixture of solvents known to those skilled in the art suitable for the purpose described in this application. In some embodiments, the organic solvent is one or more of acetonitrile, an epoxy solvent, an ether solvent, a haloalkane solvent, dimethyl sulfoxide, N,N-dimethylformamide, and N,N-diisopropylethylamine. In some embodiments, the epoxy solvent is dioxane and/or tetrahydrofuran, the ethereal solvent is diethyl ether and/or methyl t-butyl ether, the haloalkane solvent is one or more of dichloromethane, trichloromethane, and 1,2-dichloroethane. In some embodiments, the organic solvent is acetonitrile. The amount of organic solvent is 20-200 L/mol, in some embodiments 50-100 L/mol depending on the compound represented by formula (313).
[116] В некоторых вариантах реализации конденсирующий агент может представлять собой бензотриазол-1-илокситрипирролидинофосфония гексафторфосфат, 3-диэтоксифосфорил-1,2,3-бензотриазол-4(3H)-он и/или O-бензотриазолтетраметилурония гексафторфосфат. В некоторых вариантах реализации конденсирующий агент представляет собой O-бензотриазолтетраметилурония гексафторфосфат. Молярное соотношение конденсирующего агента к соединению, представленному формулой (313), составляет от 1:1 до 20:1 и в дополнительных вариантах реализации от 1:1 до 5:1.[116] In some embodiments, the condensing agent may be benzotriazol-1-yloxytripyrrolidinophosphonium hexafluorophosphate, 3-diethoxyphosphoryl-1,2,3-benzotriazol-4(3H)-one, and/or O-benzotriazoletetramethyluronium hexafluorophosphate. In some embodiments, the condensing agent is O-benzotriazoletetramethyluronium hexafluorophosphate. The molar ratio of the condensing agent to the compound represented by formula (313) is 1:1 to 20:1, and in further embodiments, 1:1 to 5:1.
[117] В некоторых вариантах реализации третичный амин представляет собой триэтиламин и/или N,N-диизопропилэтиламин и в некоторых вариантах реализации представляет собой N,N-диизопропилэтиламин. Молярное соотношение третичного амина к соединению, представленному формулой (313), составляет от 1:1 до 20:1 и в некоторых вариантах реализации составляет от 1:1 до 5:1.[117] In some embodiments, the tertiary amine is triethylamine and/or N,N-diisopropylethylamine and in some embodiments is N,N-diisopropylethylamine. The molar ratio of tertiary amine to compound represented by formula (313) is 1:1 to 20:1, and in some embodiments, 1:1 to 5:1.
[118] В некоторых вариантах реализации указанный способ получения соединения, представленного формулой (321), дополнительно включает: приведение в контакт полученного продукта реакции конденсации с кэпирующим реагентом и катализатором ацилирования в условиях реакции кэпирования в органическом растворителе, и выделение соединения, представленного формулой (321). Реакцию кэпирования используют для удаления любых активных функциональных групп, которые не должны вступать в реакцию, чтобы избежать ненужных побочных продуктов в следующих реакциях. Условия реакции кэпирования включают температуру реакции от 0 до 50°C и в некоторых вариантах реализации от 15 до 35°C и время реакции от 1 до 10 часов и в некоторых вариантах реализации от 3 до 6 часов. Кэпирующий реагент может представлять собой реагент, применяемый в твердофазном синтезе миРНК, который хорошо известен специалистам в данной области. В некоторых вариантах реализации кэпирующий реагент состоит из кэпирующего реагента A (capA) и кэпирующего реагента B (capB). CapA представляет собой N-метилимидазол и в некоторых вариантах реализации предложен в виде раствора N-метилимидазола в смешанном растворителе пиридин/ацетонитрил, в котором объемное отношение пиридина к ацетонитрилу составляет от 1:10 до 1:1 и в некоторых вариантах реализации составляет от 1:3 до 1:1. В некоторых вариантах реализации отношение общего объема пиридина и ацетонитрила к объему N-метилимидазола составляет от 1:1 до 10:1 и в некоторых вариантах реализации составляет от 3:1 до 7:1. В некоторых вариантах реализации кэпирующий реагент B представляет собой уксусный ангидрид. В некоторых вариантах реализации кэпирующий реагент B предложен в виде раствора уксусного ангидрида в растворителе ацетонитриле, в котором объемное отношение уксусного ангидрида к ацетонитрилу составляет от 1:1 до 1:10 и в дополнительных вариантах реализации составляет от 1:2 до 1:6.[118] In some embodiments, said method for preparing a compound represented by formula (321) further comprises: contacting the resulting condensation reaction product with a capping reagent and an acylation catalyst under capping reaction conditions in an organic solvent, and isolating the compound represented by formula (321 ). The capping reaction is used to remove any active functional groups that should not be reacted to avoid unnecessary by-products in the following reactions. Capping reaction conditions include a reaction temperature of 0 to 50°C and in some
[119] В некоторых вариантах реализации отношение объема раствора N-метилимидазола в смешанном растворителе пиридин/ацетонитрил к массе соединения формулы (313) составляет 5 мл/г - 50 мл/г и в некоторых вариантах реализации составляет 15 мл/г - 30 мл/г. Отношение объема раствора уксусного ангидрида в ацетонитриле к массе соединения формулы (313) составляет 0,5 мл/г - 10 мл/г и в некоторых вариантах реализации составляет 1 мл/г - 5 мл/г.[119] In some embodiments, the ratio of the volume of a solution of N-methylimidazole in a mixed solvent of pyridine/acetonitrile to the mass of the compound of formula (313) is 5 ml/g - 50 ml/g, and in some embodiments is 15 ml/g - 30 ml/ G. The ratio of the volume of a solution of acetic anhydride in acetonitrile to the weight of the compound of formula (313) is 0.5 ml/g - 10 ml/g, and in some embodiments is 1 ml/g - 5 ml/g.
[120] В некоторых вариантах реализации кэпирующий реагент представляет собой эквимолярные уксусный ангидрид и N-метилимидазол. В некоторых вариантах реализации органический растворитель представляет собой один или более из ацетонитрила, эпоксидного растворителя, эфирного растворителя, галогеналканового растворителя, диметилсульфоксида, N,N-диметилформамида и N,N-диизопропилэтиламина. В некоторых вариантах реализации органический растворитель представляет собой ацетонитрил. В некоторых вариантах реализации количество органического растворителя составляет 10 - 50 л/моль и в некоторых вариантах реализации составляет 5 - 30 л/моль в зависимости от соединения, представленного формулой (313).[120] In some embodiments, the capping reagent is equimolar acetic anhydride and N-methylimidazole. In some embodiments, the organic solvent is one or more of acetonitrile, an epoxy solvent, an ether solvent, a haloalkane solvent, dimethyl sulfoxide, N,N-dimethylformamide, and N,N-diisopropylethylamine. In some embodiments, the organic solvent is acetonitrile. In some embodiments, the amount of organic solvent is 10-50 L/mol, and in some embodiments it is 5-30 L/mol, depending on the compound represented by formula (313).
[121] В некоторых вариантах реализации катализатор ацилирования можно выбрать из любого катализатора, который можно применять для этерификации или амидирования, такого как щелочные гетероциклические соединения. В некоторых вариантах реализации катализатор ацилирования представляет собой 4-диметиламинопиридин. Отношение массы катализатора к массе соединения, представленного формулой (313), может составлять от 0,001:1 до 1:1 и в некоторых вариантах реализации составляет от 0,01:1 до 0,1:1.[121] In some embodiments, the acylation catalyst can be selected from any catalyst that can be used for esterification or amidation, such as alkaline heterocyclic compounds. In some embodiments, the acylation catalyst is 4-dimethylaminopyridine. The ratio of the weight of the catalyst to the weight of the compound represented by formula (313) may be from 0.001:1 to 1:1, and in some embodiments is from 0.01:1 to 0.1:1.
[122] В некоторых вариантах реализации соединение, представленное формулой (321), можно выделить из реакционной смеси с помощью любых подходящих способов. В некоторых вариантах реализации соединение формулы (321) можно получить путем достаточной промывки органическим растворителем и фильтрации для удаления не вступивших в реакцию реагентов, избытка кэпирующего реагента и других примесей, причем органический растворитель выбирают из ацетонитрила, дихлорметана или метанола. В некоторых вариантах реализации органический растворитель представляет собой ацетонитрил.[122] In some embodiments, the compound represented by formula (321) can be isolated from the reaction mixture by any suitable means. In some embodiments, the compound of formula (321) can be prepared by sufficient washing with an organic solvent and filtration to remove unreacted reagents, excess capping reagent, and other impurities, the organic solvent being selected from acetonitrile, dichloromethane, or methanol. In some embodiments, the organic solvent is acetonitrile.
[123] В некоторых вариантах реализации получение Конъюгирующей молекулы, представленной формулой (321), включает приведение в контакт соединения, представленного формулой (313), с фосфородиамидитом в условиях реакции сочетания в присутствии агента реакции сочетания в органическом растворителе и выделение соединения, представленного формулой (321). В данном случае получают соединение, представленное формулой (321), где R4 содержит защитную группу для гидрокси в качестве первой функциональной группы и группу, представленную формулой (C3), в качестве второй функциональной группы.[123] In some embodiments, the preparation of a Conjugate molecule represented by formula (321) comprises contacting a compound represented by formula (313) with phosphorodiamidite under coupling reaction conditions in the presence of a coupling agent in an organic solvent and isolating the compound represented by formula ( 321). In this case, a compound represented by formula (321) is obtained, where R4 contains a protecting group for hydroxy as a first functional group and a group represented by formula (C3) as a second functional group.
[124] В некоторых вариантах реализации условия реакции сочетания включают температуру реакции от 0 до 50°C, такую как 15 - 35°C. Молярное соотношение соединения формулы (322) к фосфородиамидиту может составлять от 1:1 до 1:50, например, от 1:5 до 1:15. Молярное соотношение соединения формулы (313) к агенту реакции сочетания может составлять от 1:1 до 1:100, например, от 1:50 до 1:80. Время реакции может составлять 200 - 3000 секунд, предпочтительно 500 - 1500 секунд. Фосфородиамидит может представлять собой, например, 2-цианоэтил-N,N,N',N'-тетраизопропилфосфородиамидит и может быть доступен для приобретения или его можно получить в соответствии со способами, хорошо известными в данной области. Агент реакции сочетания выбирают из одного или более из 1H-тетразола, 5-этилтио-1H-тетразола и 5-бензилтио-1H-тетразола, такого как 5-этилтио-1H-тетразол. Реакцию сочетания можно вести в органическом растворителе. В некоторых вариантах реализации органический растворитель выбран из одного или более из безводного ацетонитрила, безводного DMF и безводного дихлорметана, предпочтительно выбирают безводный ацетонитрил. Количество органического растворителя может составлять 3 - 50 л/моль, например, 5 - 20 л/моль в зависимости от соединения, представленного формулой (313). Посредством реакции сочетания гидрокси-группа в соединении (313) реагирует с фосфородиамидитом с образованием фосфорамидитной группы. В некоторых вариантах реализации растворитель можно сразу удалить с получением неочищенного продукта соединения, представленного формулой (321), который можно непосредственно использовать в следующих реакциях.[124] In some embodiments, the coupling reaction conditions include a reaction temperature of 0 to 50°C, such as 15 to 35°C. The molar ratio of the compound of formula (322) to phosphorodiamidite may be from 1:1 to 1:50, for example from 1:5 to 1:15. The molar ratio of the compound of formula (313) to the coupling agent may be from 1:1 to 1:100, for example from 1:50 to 1:80. The reaction time may be 200-3000 seconds, preferably 500-1500 seconds. Phosphorodiamidite may be, for example, 2-cyanoethyl-N,N,N',N'-tetraisopropylphosphorodiamidite and may be commercially available or may be prepared according to methods well known in the art. The coupling agent is selected from one or more of 1H-tetrazole, 5-ethylthio-1H-tetrazole and 5-benzylthio-1H-tetrazole, such as 5-ethylthio-1H-tetrazole. The coupling reaction can be carried out in an organic solvent. In some embodiments, the organic solvent is selected from one or more of anhydrous acetonitrile, anhydrous DMF, and anhydrous dichloromethane, preferably anhydrous acetonitrile. The amount of the organic solvent may be 3 to 50 L/mol, for example 5 to 20 L/mol, depending on the compound represented by the formula (313). Through a coupling reaction, the hydroxy group in compound (313) reacts with phosphorodiamidite to form a phosphoramidite group. In some embodiments, the solvent can be removed immediately to provide a crude product of the compound represented by formula (321) which can be used directly in the following reactions.
[125] В некоторых вариантах реализации способ получения соединения, представленного формулой (321), дополнительно включает: приведение в контакт выделенного продукта с твердофазной подложкой с гидрокси-группами в условиях реакции сочетания в присутствии агента реакции сочетания в органическом растворителе, а затем кэпирование, окисление и выделение с получением соединения, представленного формулой (321), где R4 содержит защитную группу для гидрокси в качестве первой функциональной группы и группу, представленную формулой (C3'), в качестве второй функциональной группы.[125] In some embodiments, a method for preparing a compound represented by formula (321) further comprises: contacting the isolated product with a hydroxyl solid phase support under coupling reaction conditions in the presence of a coupling agent in an organic solvent, and then capping, oxidizing and isolating to obtain a compound represented by formula (321) wherein R4 has a hydroxy protecting group as a first functional group and a group represented by formula (C3') as a second functional group.
[126] В некоторых вариантах реализации твердофазная подложка представляет собой подложку, применяемую в твердофазном синтезе нуклеиновых кислот, такую как универсальная твердофазная подложка со снятыми защитными группами, которая доступна для приобретения (такая как подложка для олигонуклеотидного синтеза NittoPhase®HL UnyLinker™ 300, Kinovate Life Sciences, представленная формулой B80):[126] In some embodiments, the solid phase support is a support used in solid phase nucleic acid synthesis, such as a commercially available universal deprotected solid phase support (such as the NittoPhase®
(B80).(B80).
[127] Реакция снятия защитных групп хорошо известна в данной области. В некоторых вариантах реализации условия реакции снятия защитных групп включают температуру от 0 до 50°C, такую как 15 - 35°C, и время реакции от 30 до 300 секунд, такое как 50 - 150 секунд. Агент для снятия защитных групп можно выбрать из одной или более из трифторуксусной кислоты, трихлоруксусной кислоты, дихлоруксусной кислоты и монохлоруксусной кислоты. В некоторых вариантах реализации агент для снятия защитных групп представляет собой дихлоруксусную кислоту. Молярное соотношение агента для снятия защитных групп к защитной группе -DMTr (4,4′-диметокситритил) на твердофазной подложке может составлять от 2:1 до 100:1, например, от 3:1 до 50:1. Путем такого снятия защитных групп получают способные вступать в реакцию свободные гидрокси-группы на поверхности твердофазной подложки, которые, следовательно, доступны для последующей реакции сочетания.[127] The deprotection reaction is well known in the art. In some embodiments, the deprotection reaction conditions include a temperature of 0 to 50°C, such as 15 to 35°C, and a reaction time of 30 to 300 seconds, such as 50 to 150 seconds. The deprotecting agent can be selected from one or more of trifluoroacetic acid, trichloroacetic acid, dichloroacetic acid, and monochloroacetic acid. In some embodiments, the deprotecting agent is dichloroacetic acid. The molar ratio of deprotectant to α-DMTr (4,4'-dimethoxytrityl) protecting group on the solid phase support may be from 2:1 to 100:1, eg 3:1 to 50:1. By this deprotection, reactive free hydroxyl groups are obtained on the surface of the solid phase support, which are therefore available for the subsequent coupling reaction.
[128] Условия реакции сочетания и агент реакции сочетания можно выбрать, как описано выше. Посредством такого сочетания свободные гидрокси-группы, образовавшиеся в результате снятия защитных групп, реагируют с фосфорамидитными группами с образованием фосфитной эфирной связи.[128] The coupling reaction conditions and the coupling reaction agent can be selected as described above. Through this coupling, the free hydroxy groups formed by deprotection react with the phosphoramidite groups to form a phosphite ester bond.
[129] В некоторых вариантах реализации условия реакции кэпирования включают температуру от 0 до 50°C, такую как 15 - 35°C, и время реакции от 5 до 500 секунд, такое как 10 - 100 секунд. Кэпирующий агент и его количество можно выбрать, как описано выше.[129] In some embodiments, the capping reaction conditions include a temperature of 0 to 50°C, such as 15 to 35°C, and a reaction time of 5 to 500 seconds, such as 10 to 100 seconds. The capping agent and its amount can be selected as described above.
[130] Условия реакции окисления могут включать температуру от 0 до 50°C, такую как 15 - 35°C, и время реакции от 1 до 100 секунд, такое как 5 - 50 секунд. Окислитель может представлять собой, например, йод (в некоторых вариантах реализации предоставлен в виде йодной воды). В некоторых вариантах реализации молярное соотношение окислителя к последовательности нуклеиновой кислоты, связанной с твердофазной подложкой, на этапе сочетания составляет от 1:1 до 100:1, предпочтительно от 5:1 до 50:1. В некоторых вариантах реализации реакцию окисления ведут в смешанном растворителе тетрагидрофуран:вода:пиридин = 3:1:1 - 1:1:3.[130] The oxidation reaction conditions may include a temperature of 0 to 50°C, such as 15 to 35°C, and a reaction time of 1 to 100 seconds, such as 5 to 50 seconds. The oxidizing agent may be, for example, iodine (provided in some embodiments as iodine water). In some embodiments, the molar ratio of oxidant to nucleic acid sequence associated with the solid phase support in the coupling step is 1:1 to 100:1, preferably 5:1 to 50:1. In some embodiments, the oxidation reaction is carried out in a mixed solvent of tetrahydrofuran:water:pyridine = 3:1:1 - 1:1:3.
[131] В некоторых вариантах реализации R6 представляет собой B7 или B8. В данном случае соединение, представленное формулой (313), можно получить путем приведения в контакт соединения, представленного формулой (314), с соединением, представленным формулой (A-1) или (A-2), в условиях реакции амидирования в присутствии конденсирующего агента для реакции амидирования и третичного амина в органическом растворителе с последующим выделением:[131] In some embodiments, R6 is B7 or B8. Here, the compound represented by the formula (313) can be obtained by bringing the compound represented by the formula (314) into contact with the compound represented by the formula (A-1) or (A-2) under amidation reaction conditions in the presence of a condensing agent for the amidation reaction and a tertiary amine in an organic solvent followed by isolation:
,,
Формула (314)Formula (314)
где определения и варианты n1, n3, m1, m2, m3, R10, R11, R12, R13, R14, R15, L1, S1, q2 и Rk являются, соответственно, такими, как описано выше.where the definitions and options n1, n3, m1, m2, m3, R10 , R11 , R12 , R13 , R14 , R15 , L1 , S1 , q2 and Rk are, respectively, such as described above.
[132] Условия реакции амидирования могут включать температуру реакции от 0 до 100°C и время реакции от 1 до 48 часов. В некоторых вариантах реализации условия реакции амидирования включают температуру реакции от 10 до 40°C и время реакции от 2 до 16 часов.[132] Amidation reaction conditions may include a reaction temperature of 0 to 100°C and a reaction time of 1 to 48 hours. In some embodiments, the amidation reaction conditions include a reaction temperature of 10 to 40° C. and a reaction time of 2 to 16 hours.
[133] В некоторых вариантах реализации органический растворитель представляет собой один или более из спиртового растворителя, эпоксидного растворителя, эфирного растворителя, галогеналканового растворителя, диметилсульфоксида, N,N-диметилформамида и N,N-диизопропилэтиламина. В некоторых вариантах реализации спиртовой растворитель представляет собой один или более из метанола, этанола и пропанола и в дополнительных вариантах реализации представляет собой этанол. В некоторых вариантах реализации эпоксидный растворитель представляет собой диоксан и/или тетрагидрофуран. В некоторых вариантах реализации эфирный растворитель представляет собой диэтиловый эфир и/или метил-трет-бутиловый эфир. В некоторых вариантах реализации галогеналкановый растворитель представляет собой один или более из дихлорметана, трихлорметана и 1,2-дихлорэтана. В некоторых вариантах реализации органический растворитель представляет собой дихлорметан. Количество органического растворителя составляет 3 - 50 л/моль и в дополнительных вариантах реализации 3 - 20 л/моль в зависимости от соединения, представленного формулой (314).[133] In some embodiments, the organic solvent is one or more of an alcohol solvent, an epoxy solvent, an ether solvent, a haloalkane solvent, dimethyl sulfoxide, N,N-dimethylformamide, and N,N-diisopropylethylamine. In some embodiments, the alcoholic solvent is one or more of methanol, ethanol, and propanol, and in additional embodiments, is ethanol. In some embodiments, the epoxy solvent is dioxane and/or tetrahydrofuran. In some embodiments, the ethereal solvent is diethyl ether and/or methyl t-butyl ether. In some embodiments, the haloalkane solvent is one or more of dichloromethane, trichloromethane, and 1,2-dichloroethane. In some embodiments, the organic solvent is dichloromethane. The amount of organic solvent is 3-50 l/mol and in additional embodiments 3-20 l/mol depending on the compound represented by formula (314).
[134] В некоторых вариантах реализации конденсирующий агент для реакции амидирования представляет собой бензотриазол-1-ил-окситрипирролидинофосфония гексафторфосфат, 3-(диэтоксифосфорилокси)-1,2,3-бензотризин-4(3H)-он, 4-(4,6-диметокситриазин-2-ил)-4-метилморфолина гидрохлорид, 2-этокси-1-этоксикарбонил-1,2-дигидрохинолин (EEDQ) или O-бензотриазолтетраметилурония гексафторфосфат и в дополнительных вариантах реализации представляет собой 3-(диэтоксифосфорилокси)-1,2,3-бензотризин-4(3H)-он. Молярное соотношение конденсирующего агента для реакции амидирования к соединению, представленному формулой (314), может составлять от 1:1 до 10:1 и в некоторых вариантах реализации составляет от 2,5:1 до 5:1.[134] In some embodiments, the condensing agent for the amidation reaction is benzotriazol-1-yl-hydroxytripyrrolidinophosphonium hexafluorophosphate, 3-(diethoxyphosphoryloxy)-1,2,3-benzotrizin-4(3H)-one, 4-(4,6 -dimethoxytriazin-2-yl)-4-methylmorpholine hydrochloride, 2-ethoxy-1-ethoxycarbonyl-1,2-dihydroquinoline (EEDQ), or O-benzotriazoletetramethyluronium hexafluorophosphate and in further embodiments is 3-(diethoxyphosphoryloxy)-1,2 ,3-benzotrizin-4(3H)-one. The molar ratio of the condensing agent for the amidation reaction to the compound represented by formula (314) may be from 1:1 to 10:1, and in some embodiments is from 2.5:1 to 5:1.
[135] В некоторых вариантах реализации третичный амин представляет собой триэтиламин или N,N-диизопропилэтиламин и в дополнительных вариантах реализации представляет собой N,N-диизопропилэтиламин. Молярное соотношение третичного амина к соединению, представленному формулой (314), может составлять от 3:1 до 20:1 и в некоторых вариантах реализации составляет от 5:1 до 10:1.[135] In some embodiments, the tertiary amine is triethylamine or N,N-diisopropylethylamine, and in additional embodiments is N,N-diisopropylethylamine. The molar ratio of the tertiary amine to the compound represented by formula (314) may be from 3:1 to 20:1, and in some embodiments is from 5:1 to 10:1.
[136] В некоторых вариантах реализации соединения формул (A-1) и (A-2) можно получить с помощью любых подходящих средств. Например, соединение формулы (A-1) можно получить путем приведения в реакцию глицерата кальция с DMTrCl, где Rk представляет собой группу DMTr. Аналогично, соединение формулы (A-2) можно получить путем сначала приведения в контакт 3-амино-1,2-пропандиола с циклическим ангидридом, который может содержать 4 - 13 атомов углерода и в некоторых вариантах реализации 4 - 8 атомов углерода, а затем приведения в контакт с DMTrCl. Специалисты в данной области легко поймут, что выбор различных циклических ангидридов соответствует различным значениям q2 в соединении формулы (A-2). Например, если циклический ангидрид представляет собой янтарный ангидрид, то q2 =1; если циклический ангидрид представляет собой глутаровый ангидрид, то q2 = 2, и так далее.[136] In some embodiments, the compounds of formulas (A-1) and (A-2) can be obtained using any suitable means. For example, a compound of formula (A-1) can be prepared by reacting calcium glycerate with DMTrCl, where Rk is the DMTr group. Similarly, a compound of formula (A-2) can be prepared by first contacting 3-amino-1,2-propanediol with a cyclic anhydride, which may contain 4-13 carbon atoms and in some embodiments 4-8 carbon atoms, and then bringing into contact with DMTrCl. Those skilled in the art will readily appreciate that the choice of different cyclic anhydrides corresponds to different q2 values in the compound of formula (A-2). For example, if the cyclic anhydride is succinic anhydride, then
[137] В некоторых вариантах реализации соединение формулы (313) также можно получить путем последовательного приведения в реакцию соединения, представленного формулой (314), с циклическим ангидридом, 3-амино-1,2-пропандиолом и DMTrCl. Специалисты в данной области легко поймут, что данные варианты не будут влиять на структуру и функции соединения формулы (313), и данные варианты легко могут получить специалисты в данной области на основе описанных выше способов.[137] In some embodiments, a compound of formula (313) can also be prepared by sequentially reacting a compound represented by formula (314) with cyclic anhydride, 3-amino-1,2-propanediol, and DMTrCl. Those skilled in the art will readily appreciate that these variants will not affect the structure and function of the compound of formula (313), and these variants can be easily prepared by those skilled in the art based on the methods described above.
[138] Аналогично, соединение, представленное формулой (313), можно выделить из реакционной смеси с помощью любых подходящих способов выделения. В некоторых вариантах реализации соединение, представленное формулой (313), можно выделить путем удаления растворителя посредством выпаривания и последующей хроматографии. Например, для выделения можно использовать следующие два набора условий хроматографии: (1) нормально-фазовая очистка: силикагелевый наполнитель с размером частиц 200 - 300 меш с градиентным элюированием смесью петролейный эфир:этилацетат:дихлорметан:N,N-диметилформамид = 1:1:1:0,5 - 1:1:1:0,6; и (2) обращенно-фазовая очистка: обращенно-фазовые наполнители в колонках C18 и C8 с градиентным элюированием смесью метанол:ацетонитрил = 0,1:1-1:0,1. В некоторых вариантах реализации растворитель можно сразу удалить с получением неочищенного продукта соединения, представленного формулой (313), который можно непосредственно использовать в следующих реакциях.[138] Similarly, the compound represented by formula (313) can be isolated from the reaction mixture using any suitable isolation methods. In some embodiments, the compound represented by formula (313) can be isolated by removing the solvent by evaporation and subsequent chromatography. For example, the following two sets of chromatography conditions can be used for isolation: (1) normal phase purification: 200-300 mesh silica gel media eluting with a gradient of petroleum ether:ethyl acetate:dichloromethane:N,N-dimethylformamide = 1:1: 1:0.5 - 1:1:1:0.6; and (2) reverse phase purification: reverse phase excipients in C18 and C8 columns eluting with a gradient of methanol:acetonitrile=0.1:1-1:0.1. In some embodiments, the solvent can be removed immediately to provide a crude product of the compound represented by formula (313) that can be used directly in the following reactions.
[139] В некоторых вариантах реализации соединение, представленное формулой (314), можно получить путем приведения в контакт соединения, представленного формулой (315), с галогенуксусной кислотой в условиях реакции снятия защитных групп в органическом растворителе с последующим выделением:[139] In some embodiments, a compound represented by formula (314) can be prepared by contacting a compound represented by formula (315) with haloacetic acid under deprotection reaction conditions in an organic solvent, followed by isolation of:
где R7 выбран из группы, представленной формулой (330), (331), (332) или (333), и в некоторых вариантах реализации R7 имеет структуру, представленную формулой (330):where R7 is selected from the group represented by formula (330), (331), (332) or (333), and in some embodiments R7 has the structure represented by formula (330):
где определения и варианты n1, n3, m1, m2, m3, R10, R11, R12, R13, R14, R15, L1 и S1 являются, соответственно, такими, как описано выше.where the definitions and options n1, n3, m1, m2, m3, R10 , R11 , R12 , R13 , R14 , R15 , L1 and S1 are, respectively, as described above.
[140] Галогенуксусную кислоту можно выбрать из одной или более из дихлоруксусной кислоты, трихлоруксусной кислоты, монохлоруксусной кислоты и трифторуксусной кислоты, и в некоторых вариантах реализации она представляет собой дихлоруксусную кислоту.[140] The haloacetic acid can be selected from one or more of dichloroacetic acid, trichloroacetic acid, monochloroacetic acid, and trifluoroacetic acid, and in some embodiments it is dichloroacetic acid.
[141] Условия реакции снятия защитных групп могут включать температуру реакции от 0 до 100°C и время реакции от 0,1 до 24 часов, и в некоторых вариантах реализации включают температуру реакции от 10 до 40°C и время реакции от 0,5 до 16 часов.[141] Deprotection reaction conditions may include a reaction temperature of 0 to 100°C and a reaction time of 0.1 to 24 hours, and in some embodiments include a reaction temperature of 10 to 40°C and a reaction time of 0.5 up to 16 hours.
[142] В некоторых вариантах реализации органический растворитель представляет собой один или более из эпоксидного растворителя, эфирного растворителя, галогеналканового растворителя, диметилсульфоксида, N,N-диметилформамида и N,N-диизопропилэтиламина. В некоторых вариантах реализации эпоксидный растворитель представляет собой диоксан и/или тетрагидрофуран. В некоторых вариантах реализации эфирный растворитель представляет собой диэтиловый эфир и/или метил-трет-бутиловый эфир. В некоторых вариантах реализации галогеналкановый растворитель представляет собой один или более из дихлорметана, трихлорметана и 1,2-дихлорэтана. В некоторых вариантах реализации органический растворитель представляет собой дихлорметан. Количество органического растворителя составляет 3 - 50 л/моль, и в дополнительных вариантах реализации 5 - 20 л/моль в зависимости от соединения, представленного формулой (315).[142] In some embodiments, the organic solvent is one or more of an epoxy solvent, an ether solvent, a haloalkane solvent, dimethyl sulfoxide, N,N-dimethylformamide, and N,N-diisopropylethylamine. In some embodiments, the epoxy solvent is dioxane and/or tetrahydrofuran. In some embodiments, the ethereal solvent is diethyl ether and/or methyl t-butyl ether. In some embodiments, the haloalkane solvent is one or more of dichloromethane, trichloromethane, and 1,2-dichloroethane. In some embodiments, the organic solvent is dichloromethane. The amount of organic solvent is 3-50 l/mol, and in additional embodiments 5-20 l/mol, depending on the compound represented by formula (315).
[143] Молярное соотношение галогенуксусной кислоты к соединению, представленному формулой (315), может составлять от 5:1 до 100:1 и в некоторых вариантах реализации составляет от 10:1 до 50:1.[143] The molar ratio of haloacetic acid to the compound represented by formula (315) may be from 5:1 to 100:1, and in some embodiments is from 10:1 to 50:1.
[144] Аналогично, соединение, представленное формулой (314), можно выделить из реакционной смеси с помощью любых подходящих способов выделения. В некоторых вариантах реализации соединение, представленное формулой (314), можно выделить путем удаления растворителя посредством выпаривания и последующей хроматографии, например, используя для выделения следующие два набора условий хроматографии: (1) нормально-фазовая очистка: силикагелевый наполнитель с размером частиц 200 - 300 меш с градиентным элюированием смесью дихлорметан:метанол = 100:30 - 100:40; и (2) обращенно-фазовая очистка: обращенно-фазовые наполнители в колонках C18 и C8 с градиентным элюированием смесью метанол:ацетонитрил = 0,1:1 - 1:0,1. В некоторых вариантах реализации растворитель можно сразу удалить с получением неочищенного продукта соединения, представленного формулой (314), который можно непосредственно использовать в следующих реакциях.[144] Similarly, the compound represented by formula (314) can be isolated from the reaction mixture using any suitable isolation methods. In some embodiments, the compound represented by formula (314) can be isolated by removal of the solvent by evaporation and subsequent chromatography, for example, using the following two sets of chromatography conditions for isolation: (1) normal phase purification: silica gel fill with a particle size of 200 - 300 mesh with gradient elution with a mixture of dichloromethane:methanol = 100:30 - 100:40; and (2) reversed phase purification: reversed phase excipients in C18 and C8 columns eluting with a gradient of methanol:acetonitrile = 0.1:1 - 1:0.1. In some embodiments, the solvent can be removed immediately to provide a crude product of the compound represented by formula (314) that can be used directly in the following reactions.
[145] Соединение, представленное формулой (315), можно получить путем приведения в контакт соединения, представленного формулой (317), с соединением, представленным формулой (316), в условиях реакции конденсации в присутствии конденсирующего агента для реакции амидирования и третичного амина в органическом растворителе с последующим выделением:[145] The compound represented by formula (315) can be obtained by bringing the compound represented by formula (317) into contact with the compound represented by formula (316) under condensation reaction conditions in the presence of an amidation reaction condensing agent and a tertiary amine in an organic solvent followed by isolation:
Формула (316)Formula (316)
,,
Формула (317)Formula (317)
где определения и варианты n1, n3, m1, m2, m3, R7, R10, R11, R12, R13, R14, R15, L1 и S1 являются, соответственно, такими, как описано выше.where the definitions and options n1, n3, m1, m2, m3, R7 , R10 , R11 , R12 , R13 , R14 , R15 , L1 and S1 are, respectively, as described above.
[146] В отношении соединения формулы (316), можно использовать такие соединения, как описанные в J. Am. Chem. Soc. 2014, 136, 16958-16961. В качестве альтернативы, соединения формулы (316) может получить специалист в данной области с помощью различных способов. Например, некоторые соединения формулы (316) можно получить в соответствии с описанием в примере 1 патента США 8106022 B2, все содержание которого полностью включено в данную заявку посредством ссылки.[146] With respect to the compound of formula (316), compounds such as those described in J. Am. Chem. soc. 2014, 136, 16958-16961. Alternatively, compounds of formula (316) may be prepared by one of ordinary skill in the art using a variety of methods. For example, some compounds of formula (316) can be obtained in accordance with the description in example 1 of US patent 8106022 B2, the entire content of which is fully incorporated into this application by reference.
[147] В некоторых вариантах реализации условия реакции конденсации включают температуру реакции от 0 до 100°C и время реакции от 0,1 до 24 часов. В некоторых вариантах реализации температура реакции составляет 10 - 40°C и время реакции составляет 0,5 - 16 часов.[147] In some embodiments, the conditions for the condensation reaction include a reaction temperature of 0 to 100°C and a reaction time of 0.1 to 24 hours. In some embodiments, the reaction temperature is 10-40°C and the reaction time is 0.5-16 hours.
[148] Молярное соотношение соединения, представленного формулой (316), к соединению, представленному формулой (317), может составлять от 2:1 до 10:1 и в некоторых вариантах реализации составляет от 2,5:1 до 5:1.[148] The molar ratio of the compound represented by formula (316) to the compound represented by formula (317) may be from 2:1 to 10:1, and in some embodiments is from 2.5:1 to 5:1.
[149] В некоторых вариантах реализации органический растворитель представляет собой один или более из ацетонитрила, эпоксидного растворителя, эфирного растворителя, галогеналканового растворителя, диметилсульфоксида, N,N-диметилформамида и N,N-диизопропилэтиламина. В некоторых вариантах реализации эпоксидный растворитель представляет собой диоксан и/или тетрагидрофуран. В некоторых вариантах реализации эфирный растворитель представляет собой диэтиловый эфир и/или метил-трет-бутиловый эфир. В некоторых вариантах реализации галогеналкановый растворитель представляет собой один или более из дихлорметана, трихлорметана и 1,2-дихлорэтана. В некоторых вариантах реализации органический растворитель представляет собой ацетонитрил. Количество органического растворителя может составлять 3 - 50 л/моль и в некоторых вариантах реализации составляет 5 - 20 л/моль в зависимости от соединения, представленного формулой (317).[149] In some embodiments, the organic solvent is one or more of acetonitrile, an epoxy solvent, an ether solvent, a haloalkane solvent, dimethyl sulfoxide, N,N-dimethylformamide, and N,N-diisopropylethylamine. In some embodiments, the epoxy solvent is dioxane and/or tetrahydrofuran. In some embodiments, the ethereal solvent is diethyl ether and/or methyl t-butyl ether. In some embodiments, the haloalkane solvent is one or more of dichloromethane, trichloromethane, and 1,2-dichloroethane. In some embodiments, the organic solvent is acetonitrile. The amount of organic solvent may be 3-50 L/mol, and in some embodiments is 5-20 L/mol, depending on the compound represented by formula (317).
[150] В некоторых вариантах реализации конденсирующий агент для реакции амидирования представляет собой бензотриазол-1-ил-окситрипирролидинофосфония гексафторфосфат, 3-(диэтоксифосфорилокси)-1,2,3-бензотризин-4(3H)-он (DEPBT), O-бензотриазолтетраметилурония гексафторфосфат или 4-(4,6-диметокситриазин-2-ил)-4-метилморфолина гидрохлорид и в дополнительных вариантах реализации может представлять собой 4-(4,6-диметокситриазин-2-ил)-4-метилморфолина гидрохлорид. Молярное соотношение конденсирующего агента для реакции амидирования к соединению, представленному формулой (317), может составлять от 2:1 до 10:1 и в некоторых вариантах реализации составляет от 2,5:1 до 5:1.[150] In some embodiments, the condensing agent for the amidation reaction is benzotriazol-1-yl-oxytripyrrolidinophosphonium hexafluorophosphate, 3-(diethoxyphosphoryloxy)-1,2,3-benzotrizin-4(3H)-one (DEPBT), O-benzotriazoletetramethyluronium hexafluorophosphate or 4-(4,6-dimethoxytriazin-2-yl)-4-methylmorpholine hydrochloride and in further embodiments may be 4-(4,6-dimethoxytriazin-2-yl)-4-methylmorpholine hydrochloride. The molar ratio of the condensing agent for the amidation reaction to the compound represented by formula (317) may be from 2:1 to 10:1, and in some embodiments is from 2.5:1 to 5:1.
[151] Третичный амин может представлять собой N-метилморфолин, триэтиламин или N,N-диизопропилэтиламин и в некоторых вариантах реализации представляет собой N-метилморфолин. Молярное соотношение третичного амина к соединению, представленному формулой (317), может составлять от 3:1 до 20:1 и в некоторых вариантах реализации составляет от 5:1 до 10:1.[151] The tertiary amine can be N-methylmorpholine, triethylamine, or N,N-diisopropylethylamine, and in some embodiments is N-methylmorpholine. The molar ratio of the tertiary amine to the compound represented by formula (317) may be from 3:1 to 20:1, and in some embodiments is from 5:1 to 10:1.
[152] Аналогично, соединение, представленное формулой (315), можно выделить из реакционной смеси с помощью любых подходящих способов выделения. В некоторых вариантах реализации соединение, представленное формулой (315), выделяют путем удаления растворителя посредством выпаривания и последующей хроматографии, например, используя для выделения следующие два набора условий хроматографии: (1) нормально-фазовая очистка: силикагелевый наполнитель с размером частиц 200 - 300 меш с градиентным элюированием смесью дихлорметан:метанол = 100:5 - 100:7; (2) обращенно-фазовая очистка: обращенно-фазовые наполнители в колонках C18 и C8 с градиентным элюированием смесью метанол:ацетонитрил = 0,1:1 - 1:0,1. В некоторых вариантах реализации растворитель сразу удаляют с получением неочищенного продукта соединения, представленного формулой (315), который можно непосредственно использовать в следующих реакциях.[152] Similarly, the compound represented by formula (315) can be isolated from the reaction mixture using any suitable isolation methods. In some embodiments, the compound represented by formula (315) is isolated by removal of the solvent by evaporation and subsequent chromatography, for example, using the following two sets of chromatography conditions for isolation: (1) normal phase purification: silica gel fill with a particle size of 200 - 300 mesh with gradient elution with a mixture of dichloromethane:methanol = 100:5 - 100:7; (2) reversed phase purification: reversed phase excipients in C18 and C8 columns with gradient elution with methanol:acetonitrile = 0.1:1 - 1:0.1. In some embodiments, the solvent is immediately removed to provide a crude product of the compound represented by formula (315) which can be used directly in the following reactions.
[153] В некоторых вариантах реализации соединение формулы (317) вступает в реакцию с достаточным количеством одного соединения формулы (316) в одной партии с получением желательного соединения формулы (315), содержащего идентичные группы S1-L1. В некоторых вариантах реализации соединение формулы (317) вступает в реакцию в партиях с различными соединениями формулы (316), т.е., с соединениями формулы (316), содержащими различные L1 и/или S1, которые необходимы, чтобы получить соединение формулы (315), содержащее два или более типов S1 и/или L1. Например, 1 эквивалент соединения формулы (317) можно сначала привести в контакт с 2 эквивалентами первого соединения формулы (316), чтобы присоединить первые группы S1-L1 к двум концевым группам первичного амина в соединении формулы (317), а затем привести в контакт с (n3+n1-1) эквивалентами второго соединения формулы (316), чтобы присоединить вторые группы S1-L1 к (n3+n1-1) группам вторичного амина (где определение и пределы n3 и n1 такие, как определено выше) в соединении формулы (317).[153] In some embodiments, a compound of formula (317) is reacted with a sufficient amount of one compound of formula (316) in one batch to produce the desired compound of formula (315) containing identical S1 -L1 groups. In some embodiments, the compound of formula (317) is reacted in batches with various compounds of formula (316), i.e., with compounds of formula (316) containing various L1 and/or S1 that are necessary to obtain the compound formula (315) containing two or more types S1 and/or L1 . For example, 1 equivalent of a compound of formula (317) can first be contacted with 2 equivalents of a first compound of formula (316) to attach the first S1 -L1 groups to the two primary amine end groups in the compound of formula (317) and then bring into contact with (n3+n1-1) equivalents of the second compound of formula (316) to attach second S1 -L1 groups to (n3+n1-1) secondary amine groups (wherein the definition and limits of n3 and n1 are as defined above ) in the compound of formula (317).
[154] В некоторых вариантах реализации соединение, представленное формулой (317), можно получить путем приведения в контакт соединения, представленного формулой (318), с водным раствором метиламина в условиях реакции снятия защитных групп в присутствии органического растворителя с последующим выделением:[154] In some embodiments, a compound represented by formula (317) can be prepared by contacting a compound represented by formula (318) with an aqueous solution of methylamine under deprotection reaction conditions in the presence of an organic solvent, followed by isolation of:
,,
Формула (318)Formula (318)
где определения и варианты n1, n3, m1, m2, m3, R7, R10, R11, R12, R13, R14 и R15, соответственно, такие как описано выше.where the definitions and options n1, n3, m1, m2, m3, R7 , R10 , R11 , R12 , R13 , R14 and R15 , respectively, such as described above.
[155] Условия реакции снятия защитных групп могут включать температуру реакции от 0 до 150°C и время реакции от 5 до 72 часов и в некоторых вариантах реализации включают температуру реакции от 20 до 80°C и время реакции от 10 до 30 часов.[155] Deprotection reaction conditions may include a reaction temperature of 0 to 150°C and a reaction time of 5 to 72 hours, and in some embodiments include a reaction temperature of 20 to 80°C and a reaction time of 10 to 30 hours.
[156] Органический растворитель можно выбрать из спиртов, в некоторых вариантах реализации он представляет собой один из метанола, этанола и изопропанола и в дополнительных вариантах реализации представляет собой метанол. Количество органического растворителя может составлять 1 - 20 л/моль и в некоторых вариантах реализации составляет 1,5 - 10 л/моль в зависимости от соединения, представленного формулой (318).[156] The organic solvent can be selected from alcohols, in some embodiments it is one of methanol, ethanol and isopropanol, and in additional embodiments it is methanol. The amount of organic solvent may be 1-20 L/mol, and in some embodiments is 1.5-10 L/mol, depending on the compound represented by formula (318).
[157] Концентрация водного раствора метиламина может составлять 30% - 40% по массе, и молярное соотношение метиламина к соединению, представленному формулой (318), может составлять от 10:1 до 500:1 и в некоторых вариантах реализации составляет от 50:1 до 200:1.[157] The concentration of an aqueous solution of methylamine may be 30% to 40% by mass, and the molar ratio of methylamine to the compound represented by formula (318) may be from 10:1 to 500:1, and in some embodiments is from 50:1 up to 200:1.
[158] Аналогично, соединение, представленное формулой (317), можно выделить из реакционной смеси, применяя любые подходящие способы выделения. В некоторых вариантах реализации соединение, представленное формулой (317), можно выделить путем удаления растворителя посредством выпаривания и последующей хроматографии, например, используя для выделения следующие два набора условий хроматографии: (1) нормально-фазовая очистка: силикагелевый наполнитель с размером частиц 200 - 300 меш с градиентным элюированием смесью дихлорметан:метанол:водный аммиак (25 % по массе) = 1:1:0,05 - 1:1:0,25; и (2) обращенно-фазовая очистка: обращенно-фазовые наполнители в колонках C18 и C8 с градиентным элюированием смесью метанол:ацетонитрил = 0,1:1 - 1:0,1. В некоторых вариантах реализации растворитель можно сразу удалить с получением неочищенного продукта соединения, представленного формулой (317), который можно непосредственно использовать в следующих реакциях.[158] Similarly, the compound represented by formula (317) can be isolated from the reaction mixture using any suitable isolation methods. In some embodiments, the compound represented by formula (317) can be isolated by removal of the solvent by evaporation and subsequent chromatography, for example, using the following two sets of chromatography conditions for isolation: (1) normal phase purification: silica gel fill with a particle size of 200 - 300 mesh with gradient elution with dichloromethane:methanol:aqueous ammonia (25% by weight) = 1:1:0.05 - 1:1:0.25; and (2) reversed phase purification: reversed phase excipients in C18 and C8 columns eluting with a gradient of methanol:acetonitrile = 0.1:1 - 1:0.1. In some embodiments, the solvent can be removed immediately to provide a crude product of the compound represented by formula (317) that can be used directly in the following reactions.
[159] Соединение, представленное формулой (318) можно получить путем приведения в контакт соединения, представленного формулой (319), с трифенилхлорметаном (TrCl), дифенилэтилфенилхлорметаном, фенилдиэтилфенилхлорметаном или триэтилфенилхлорметаном и в некоторых вариантах реализации с трифенилхлорметаном (TrCl) в условиях реакции замещения в присутствии органического растворителя, с последующим выделением:[159] The compound represented by formula (318) can be prepared by contacting the compound represented by formula (319) with triphenylchloromethane (TrCl), diphenylethylphenylchloromethane, phenyldiethylphenylchloromethane, or triethylphenylchloromethane, and in some embodiments with triphenylchloromethane (TrCl) under substitution reaction conditions in presence of an organic solvent, followed by isolation:
,,
Формула (319)Formula (319)
где определения и варианты n1, n3, m1, m2, m3, R10, R11, R12, R13, R14 и R15, соответственно, такие как описано выше.where the definitions and options n1, n3, m1, m2, m3, R10 , R11 , R12 , R13 , R14 and R15 , respectively, such as described above.
[160] Условия реакции замещения могут включать температуру реакции от 0 до 100°C и время реакции от 5 до 72 часов и в некоторых вариантах реализации включают температуру реакции от 10 до 40°C и время реакции от 10 до 30 часов.[160] The displacement reaction conditions may include a reaction temperature of 0 to 100°C and a reaction time of 5 to 72 hours, and in some embodiments include a reaction temperature of 10 to 40°C and a reaction time of 10 to 30 hours.
[161] Трифенилхлорметан (TrCl), дифенилэтилфенилхлорметан, фенилдиэтилфенилхлорметан или триэтилфенилхлорметан доступны для приобретения. Молярное соотношение трифенилхлорметана (TrCl), дифенилэтилфенилхлорметана, фенилдиэтилфенилхлорметана или триэтилфенилхлорметана к соединению, представленному формулой (319), может составлять от 1:1 до 10:1 и в некоторых вариантах реализации составляет от 1:1 до 3:1.[161] Triphenylchloromethane (TrCl), diphenylethylphenylchloromethane, phenyldiethylphenylchloromethane or triethylphenylchloromethane are commercially available. The molar ratio of triphenylchloromethane (TrCl), diphenylethylphenylchloromethane, phenyldiethylphenylchloromethane or triethylphenylchloromethane to the compound represented by formula (319) may be from 1:1 to 10:1, and in some embodiments is from 1:1 to 3:1.
[162] Органический растворитель может представлять собой один или более из эпоксидного растворителя, эфирного растворителя, галогеналканового растворителя, диметилсульфоксида, N,N-диметилформамида и N,N-диизопропилэтиламина. В некоторых вариантах реализации эпоксидный растворитель представляет собой диоксан и/или тетрагидрофуран. В некоторых вариантах реализации эфирный растворитель представляет собой диэтиловый эфир и/или метил-трет-бутиловый эфир. В некоторых вариантах реализации галогеналкановый растворитель представляет собой один или более из дихлорметана, трихлорметана и 1,2-дихлорэтана. В некоторых вариантах реализации органический растворитель представляет собой дихлорметан. Количество органического растворителя может составлять 3 - 50 л/моль и в некоторых вариантах реализации составляет 5 - 20 л/моль в зависимости от соединения, представленного формулой (319).[162] The organic solvent may be one or more of an epoxy solvent, an ether solvent, a haloalkane solvent, dimethyl sulfoxide, N,N-dimethylformamide, and N,N-diisopropylethylamine. In some embodiments, the epoxy solvent is dioxane and/or tetrahydrofuran. In some embodiments, the ethereal solvent is diethyl ether and/or methyl t-butyl ether. In some embodiments, the haloalkane solvent is one or more of dichloromethane, trichloromethane, and 1,2-dichloroethane. In some embodiments, the organic solvent is dichloromethane. The amount of organic solvent may be 3-50 L/mol, and in some embodiments is 5-20 L/mol, depending on the compound represented by formula (319).
[163] Аналогично, соединение, представленное формулой (318), можно выделить из реакционной смеси с помощью любых подходящих способов выделения. В некоторых вариантах реализации соединение, представленное формулой (318), можно выделить путем удаления растворителя посредством выпаривания и последующей хроматографии, например, используя для выделения следующие два набора условий хроматографии: (1) нормально-фазовая очистка: силикагелевый наполнитель с размером частиц 200 - 300 меш с градиентным элюированием смесью метанол:дихлорметан = 0,01:1 - 0,5:1 или градиентным элюированием смесью метанол:дихлорметан:этилацетат:петролейный эфир = 0,1:1:1:1 - 1:1:1:1; и (2) обращенно-фазовая очистка: обращенно-фазовые наполнители в колонках C18 и C8 с градиентным элюированием смесью метанол:ацетонитрил = 0,1:1 - 1:0,1. В некоторых вариантах реализации растворитель можно сразу удалить с получением неочищенного продукта соединения, представленного формулой (318), который можно непосредственно использовать в следующих реакциях.[163] Similarly, the compound represented by formula (318) can be isolated from the reaction mixture using any suitable isolation methods. In some embodiments, the compound represented by formula (318) can be isolated by removing the solvent by evaporation and subsequent chromatography, for example, using the following two sets of chromatography conditions for isolation: (1) normal phase purification: silica gel fill with a particle size of 200 - 300 mesh with gradient elution with methanol:dichloromethane = 0.01:1 - 0.5:1 or gradient elution with methanol:dichloromethane:ethyl acetate:petroleum ether = 0.1:1:1:1 - 1:1:1:1 ; and (2) reversed phase purification: reversed phase excipients in C18 and C8 columns eluting with a gradient of methanol:acetonitrile = 0.1:1 - 1:0.1. In some embodiments, the solvent can be removed immediately to provide a crude product of the compound represented by formula (318) that can be used directly in the following reactions.
[164] В некоторых вариантах реализации соединение, представленное формулой (319), можно получить путем приведения в контакт соединения, представленного формулой (320), с этилтрифторацетатом в условиях реакции замещения в органическом растворителе с последующим выделением:[164] In some embodiments, a compound represented by formula (319) can be prepared by contacting a compound represented by formula (320) with ethyl trifluoroacetate under substitution reaction conditions in an organic solvent, followed by isolation of:
,,
Формула (320)Formula (320)
где определения и варианты n1, n3, m1, m2, m3, R10, R11, R12, R13, R14 и R15, соответственно, такие как описано выше.where the definitions and options n1, n3, m1, m2, m3, R10 , R11 , R12 , R13 , R14 and R15 , respectively, such as described above.
[165] В некоторых вариантах реализации органический растворитель представляет собой один или более из ацетонитрила, эпоксидного растворителя, эфирного растворителя, галогеналканового растворителя, диметилсульфоксида, N,N-диметилформамида и N,N-диизопропилэтиламина. В некоторых вариантах реализации эпоксидный растворитель представляет собой диоксан и/или тетрагидрофуран. В некоторых вариантах реализации эфирный растворитель представляет собой диэтиловый эфир и/или метил-трет-бутиловый эфир. В некоторых вариантах реализации галогеналкановый растворитель представляет собой один или более из дихлорметана, трихлорметана и 1,2-дихлорэтана. В некоторых вариантах реализации органический растворитель представляет собой ацетонитрил. Количество органического растворителя может составлять 1 - 50 л/моль и в некоторых вариантах реализации составляет 1 - 20 л/моль в зависимости от соединения, представленного формулой (320).[165] In some embodiments, the organic solvent is one or more of acetonitrile, an epoxy solvent, an ether solvent, a haloalkane solvent, dimethyl sulfoxide, N,N-dimethylformamide, and N,N-diisopropylethylamine. In some embodiments, the epoxy solvent is dioxane and/or tetrahydrofuran. In some embodiments, the ethereal solvent is diethyl ether and/or methyl t-butyl ether. In some embodiments, the haloalkane solvent is one or more of dichloromethane, trichloromethane, and 1,2-dichloroethane. In some embodiments, the organic solvent is acetonitrile. The amount of organic solvent may be 1-50 L/mol, and in some embodiments is 1-20 L/mol, depending on the compound represented by formula (320).
[166] Условия реакции замещения могут включать температуру реакции от 0 до 100°C и время реакции от 5 до 72 часов и в некоторых вариантах реализации включают температуру реакции от 10 до 40°C и время реакции от 10 до 30 часов.[166] The displacement reaction conditions may include a reaction temperature of 0 to 100°C and a reaction time of 5 to 72 hours, and in some embodiments include a reaction temperature of 10 to 40°C and a reaction time of 10 to 30 hours.
[167] Соединение, представленное формулой (320), можно приобрести в коммерческом источнике или получить с помощью способов, известных специалисту в данной области. Например, в случае, когда m1 = m2 = m3 = 3, n1 = 1, n3 = 2, тогда как каждый из R10, R11, R12, R13, R14 и R15 представляет собой H, соединение, представленное формулой (320), доступно от Alfa Aesar Inc.[167] The compound represented by formula (320) can be purchased from a commercial source or obtained using methods known to a person skilled in the art. For example, in the case where m1 = m2 = m3 = 3, n1 = 1, n3 = 2, while each of R10 , R11 , R12 , R13 , R14 and R15 is H, the compound represented by formula (320), available from Alfa Aesar Inc.
[168] Молярное соотношение этилтрифторацетата к соединению, представленному формулой (320), может составлять от 2:1 до 10:1 и в некоторых вариантах реализации составляет от 3:1 до 5:1.[168] The molar ratio of ethyl trifluoroacetate to the compound represented by formula (320) may be from 2:1 to 10:1, and in some embodiments is from 3:1 to 5:1.
[169] Аналогично, соединение, представленное формулой (319), можно выделить из реакционной смеси, применяя любые подходящие способы выделения. В некоторых вариантах реализации соединение, представленное формулой (319), можно выделить путем удаления растворителя посредством выпаривания и последующей хроматографии, например, используя для выделения следующие два набора условий хроматографии: (1) нормально-фазовая очистка: силикагелевый наполнитель с размером частиц 200 - 300 меш с градиентным элюированием смесью метанол:дихлорметан = 0,01:1 - 0,5:1 или градиентное элюирование смесью метанол:дихлорметан:этилацетат:петролейный эфир = 0,1:1:1:1 - 1:1:1:1; и (2) обращенно-фазовая очистка: обращенно-фазовые наполнители в колонках C18 и C8 с градиентным элюированием смесью метанол:ацетонитрил = 0,1:1 - 1:0,1. В некоторых вариантах реализации растворитель можно сразу удалить с получением неочищенного продукта соединения, представленного формулой (319), который можно непосредственно использовать в следующих реакциях.[169] Similarly, the compound represented by formula (319) can be isolated from the reaction mixture using any suitable isolation methods. In some embodiments, the compound represented by formula (319) can be isolated by removal of the solvent by evaporation and subsequent chromatography, for example, using the following two sets of chromatography conditions for isolation: (1) normal phase purification: silica gel fill with a particle size of 200 - 300 mesh with gradient elution with methanol:dichloromethane = 0.01:1 - 0.5:1 or gradient elution with methanol:dichloromethane:ethyl acetate:petroleum ether = 0.1:1:1:1 - 1:1:1:1 ; and (2) reversed phase purification: reversed phase excipients in C18 and C8 columns eluting with a gradient of methanol:acetonitrile = 0.1:1 - 1:0.1. In some embodiments, the solvent can be removed immediately to provide a crude product of the compound represented by formula (319) which can be used directly in the following reactions.
Конъюгатconjugate
[170] В другом аспекте, в настоящей заявке предложен конъюгат, имеющий структуру, представленную формулой (1):[170] In another aspect, the present application proposes a conjugate having the structure represented by formula (1):
Формула (1),Formula 1),
где:Where:
n1 представляет собой целое число от 1 до 3, и n3 представляет собой целое число от 0 до 4;n1 is an integer from 1 to 3, and n3 is an integer from 0 to 4;
каждый из m1, m2, и m3 независимо представляет собой целое число от 2 до 10;each of m1, m2, and m3 is independently an integer from 2 to 10;
каждый из R10, R11, R12, R13, R14 и R15 независимо выбран из H, C1-C10 алкила, C1-C10 галогеналкила и C1-C10 алкокси и в некоторых вариантах реализации независимо представляет собой H, метил или этил;each of R10 , R11 , R12 , R13 , R14 and R15 is independently selected from H, C1 -C10 alkyl, C1 -C10 haloalkyl and C1 -C10 alkoxy, and in some embodiments independently is H, methyl or ethyl;
R3 представляет собой активное лекарственное средство, в некоторых вариантах реализации включает функциональный олигонуклеотид;R3 is an active drug, in some embodiments, includes a functional oligonucleotide;
R2 представляет собой линейный алкилен длиной от 1 до 20 атомов углерода, в котором один или более атомов углерода необязательно заменены на любую одну или более групп, выбранных из группы, состоящей из: C(O), NH, O, S, CH=N, S(O)2, C2-C10 алкенилена, C2-C10 алкинилена, C6-C10 арилена, C3-C18 гетероциклилена и C5-C10 гетероарилена, и где R2 необязательно замещен любым одним или более элементами группы, состоящей из: C1-C10 алкила, C6-C10 арила, C5-C10 гетероарила, C1-C10 галогеналкила, OC1-C10 алкила, OC1-C10 алкилфенила, -C1-C10 алкилOH, OC1-C10 галогеналкила, SC1-C10 алкила, SC1-C10 алкилфенила, -C1-C10 алкилSH, SC1-C10 галогеналкила, галогена, OH, -SH, NH2, C1-C10 алкилNH2, N(C1-C10 алкил)(C1-C10 алкила), NH(C1-C10 алкила), N(C1-C10 алкил)(C1-C10 алкилфенила), NH(C1-C10 алкилфенила), циано, нитро, CO2H, C(O)OC1-C10 алкила, CON(C1-C10 алкил)(C1-C10 алкила), CONH(C1-C10 алкила), CONH2, NHC(O)(C1-C10 алкила), NHC(O)(фенила), N(C1-C10 алкил)C(O)(C1-C10 алкила), N(C1-C10 алкил)C(O)(фенила), C(O)C1-C10 алкила, C(O)C1-C10 алкилфенила, C(O)C1-C10 галогеналкила, OC(O)C1-C10 алкила, -SO2(C1-C10 алкила), -SO2(фенила), -SO2(C1-C10 галогеналкила), -SO2NH2, SO2NH(C1-C10 алкила), SO2NH(фенила), -NHSO2(C1-C10 алкила), -NHSO2(фенила) и NHSO2(C1-C10 галогеналкила);R2 is a linear alkylene from 1 to 20 carbon atoms in which one or more carbon atoms are optionally replaced by any one or more groups selected from the group consisting of: C(O), NH, O, S, CH= N, S(O)2 , C2 -C10 alkenylene, C2 -C10 alkynylene, C6 -C10 arylene, C3 -C18 heterocyclylene and C5 -C10 heteroarylene, and where R2 is optionally substituted with any one or more elements of the group consisting of: C1 -C10 alkyl, C6 -C10 aryl, C5 -C10 heteroaryl, C1 -C10 haloalkyl, OC1 -C10 alkyl, OC1 -C10 alkylphenyl , -C1 -C10 alkylOH, OC1 -C10 haloalkyl, SC1 -C10 alkyl, SC1 -C10 alkylphenyl, -C1 -C10 alkylSH, SC1 -C10 haloalkyl, halogen, OH, - SH, NH2 , C1 -C10 alkylNH2 , N (C1 -C10 alkyl) (C1 -C10 alkyl), NH (C1 -C10 alkyl), N (C1 -C10 alkyl) (C1 -C10 alkylphenyl), NH (C1 -C10 alkylphenyl), cyano, nitro, CO2 H, C (O) OC1 -C10 alkyl, CON (C1 -C10 alkyl) (C1 -C10 alkyl), CONH(C1 -C10 alkyl), CONH2 , NHC(O)(C1 -C10 alkyl), NHC(O)(phenyl), N(C1 -C10 alkyl)C (O) (C1 -C10 alkyl), N (C1 -C10 alkyl) C (O) (phenyl), C (O) C1 -C10 alkyl, C (O) C1 -C10 alkylphenyl , C (O) C1 -C10 haloalkyl, OC (O) C1 -C10 alkyl, -SO2 (C1 -C10 alkyl), -SO2 (phenyl), -SO2 (C1 -C10 haloalkyl), -SO2 NH2 , SO2 NH (C1 -C10 alkyl), SO2 NH (phenyl), -NHSO2 (C1 -C10 alkyl), -NHSO2 (phenyl) and NHSO2 (C1 -C10 haloalkyl);
каждый L1 независимо представляет собой линейный алкилен длиной от 1 до 70 атомов углерода, в котором один или более атомов углерода необязательно заменены на любую одну или более групп, выбранных из группы, состоящей из: C(O), NH, O, S, CH=N, S(O)2, C2-C10 алкенилена, C2-C10 алкинилена, C6-C10 арилена, C3-C18 гетероциклилена и C5-C10 гетероарилена, и при этом L1 необязательно замещен любым одним или более элементами группы, состоящей из: C1-C10 алкила, C6-C10 арила, C5-C10 гетероарила, C1-C10 галогеналкила, OC1-C10 алкила, OC1-C10 алкилфенила, -C1-C10 алкилOH, OC1-C10 галогеналкила, SC1-C10 алкила, SC1-C10 алкилфенила, -C1-C10 алкилSH, SC1-C10 галогеналкила, галогена, OH, -SH, NH2, C1-C10 алкилNH2, N(C1-C10 алкил)(C1-C10 алкила), NH(C1-C10 алкила), N(C1-C10 алкил)(C1-C10 алкилфенила), NH(C1-C10 алкилфенила), циано, нитро, CO2H, C(O)OC1-C10 алкила, CON(C1-C10 алкил)(C1-C10 алкила), CONH(C1-C10 алкила), CONH2, NHC(O)(C1-C10 алкила), NHC(O)(фенила), N(C1-C10 алкил)C(O)(C1-C10 алкила), N(C1-C10 алкил)C(O)(фенила), C(O)C1-C10 алкила, C(O)C1-C10 алкилфенила, C(O)C1-C10 галогеналкила, OC(O)C1-C10 алкила, -SO2(C1-C10 алкила), -SO2(фенила), -SO2(C1-C10 галогеналкила), -SO2NH2, SO2NH(C1-C10 алкила), SO2NH(фенила), -NHSO2(C1-C10 алкила), -NHSO2(фенила) и NHSO2(C1-C10 галогеналкила), и в некоторых вариантах реализации L1 может быть выбран из группы, состоящей из A1 - A26 или любой комбинации перечисленных, причем структуры и определения A1 - A26 представлены выше;each L1 is independently a linear alkylene from 1 to 70 carbon atoms in which one or more carbon atoms are optionally replaced by any one or more groups selected from the group consisting of: C(O), NH, O, S, CH=N, S(O)2 , C2 -C10 alkenylene, C2 -C10 alkynylene, C6 -C10 arylene, C3 -C18 heterocyclylene and C5 -C10 heteroarylene, while L1 optionally substituted by any one or more members of the group consisting of: C1 -C10 alkyl, C6 -C10 aryl, C5 -C10 heteroaryl, C1 -C10 haloalkyl, OC1 -C10 alkyl, OC1 - C10 alkylphenyl, -C1 -C10 alkylOH, OC1 -C10 haloalkyl, SC1 -C10 alkyl, SC1 -C10 alkylphenyl, -C1 -C10 alkylSH, SC1 -C10 haloalkyl, halogen, OH, -SH, NH2 , C1 -C10 alkylNH2 , N (C1 -C10 alkyl) (C1 -C10 alkyl), NH (C1 -C10 alkyl), N (C1 -C10 alkyl) (C1 -C10 alkylphenyl), NH (C1 -C10 alkylphenyl), cyano, nitro, CO2 H, C (O) OC1 -C10 alkyl, CON (C1 -C10 alkyl) (C1 -C10 alkyl), CONH (C1 -C10 alkyl), CONH2 , NHC (O) (C1 -C10 alkyl), NHC (O) (phenyl), N (C1 -C10 alkyl) C (O) (C1 -C10 alkyl), N (C1 -C10 alkyl) C (O) (phenyl), C (O) C1 -C10 alkyl, C (O) C1 - C10 alkylphenyl, C (O) C1 -C10 haloalkyl, OC (O) C1 -C10 alkyl, -SO2 (C1 -C10 alkyl), -SO2 (phenyl), -SO2 (C1 -C10 haloalkyl), -SO2 NH2 , SO2 NH (C1 -C10 alkyl), SO2 NH (phenyl), -NHSO2 (C1 -C10 alkyl), -NHSO2 (phenyl) and NHSO2 (C1 -C10 haloalkyl), and in some embodiments, L1 may be selected from the group consisting of A1 - A26 or any combination thereof, with the structures and definitions of A1 - A26 as above;
n1, n3, m1, m2, m3, R10, R11, R12, R13, R14, R15 и M1 такие, как определено выше.n1, n3, m1, m2, m3, R10 , R11 , R12 , R13 , R14 , R15 and M1 are as defined above.
[171] В некоторых вариантах реализации R2 представляет собой связывающую группу, образованную путем связывания группы R4 в соединении формулы (321) с активным лекарственным средством в результате реакции. В некоторых вариантах реализации R2 представляет собой связывающую группу, образованную путем связывания группы R4 в соединении формулы (321) с функциональным олигонуклеотидом в результате реакции. В некоторых вариантах реализации группа R2 содержит как сайт, связывающийся с атомом N на азотистом остове, так и сайт, связывающийся с атомом P в R3. В некоторых вариантах реализации в R2, сайт, связывающийся с атомом N на азотистом остове, образует амидную связь с атомом N, и сайт, связывающийся с атомом P в R3, образует фосфоэфирную связь с атомом P. В некоторых вариантах реализации R2 представляет собой B5, B6, B5' или B6':[171] In some embodiments, R2 is a linking group formed by linking the R4 group in the compound of formula (321) to the active drug in a reaction. In some embodiments, R2 is a linking group formed by linking the R4 group in the compound of formula (321) to a functional oligonucleotide in a reaction. In some embodiments, the R2 group contains both a site that binds to the N atom on the nitrogenous backbone and a site that binds to the P atom of R3 . In some embodiments in R2 , the site that binds to the N atom on the nitrogenous backbone forms an amide bond to the N atom, and the site that binds to the P atom in R3 forms a phosphoester bond to the P atom. In some embodiments, R2 is a B5, B6, B5' or B6':
гдепредставляет собой сайт, в котором группы ковалентно связаны; выбор вариантов и диапазоны q2 описаны выше.Where is a site where the groups are covalently linked; choice of options and ranges q2 described above.
[172] В некоторых вариантах реализации R3 представляет собой группу, имеющую структуру, представленную формулой A59:[172] In some embodiments, R3 is a group having the structure represented by formula A59:
где E1 представляет собой OH, SH или BH2 и в некоторых вариантах реализации представляет собой OH или SH; и Nu представляет собой функциональный олигонуклеотид.where E1 is OH, SH or BH2 and in some embodiments is OH or SH; and Nu is a functional oligonucleotide.
[173] В контексте настоящего описания, если не указано иное, «конъюгирующая» группа или молекула относится к группе или молекуле, которая способна образовывать ковалентную связь с подходящим ей партнером, и как конъюгирующая группа или молекула, так и ее партнер обладают определенными функциями. Соответственно, «конъюгат» относится к соединению, образованному ковалентной связью такой химической молекулы с ее партнером. Кроме того, «олигонуклеотидный конъюгат» представляет собой соединение, образованное ковалентно присоединенным олигонуклеотидом и одной или более конъюгирующими молекулами, каждая из которых обладает определенными функциями. В некоторых вариантах реализации конъюгат, описанный в данной заявке, представляет собой олигонуклеотидный конъюгат. В данном контексте «конъюгирующая молекула» может представлять собой определенное соединение, способное конъюгироваться с олигонуклеотидом в результате реакций, таким образом, наконец, образуя олигонуклеотидный конъюгат согласно настоящему изобретению. В некоторых вариантах реализации олигонуклеотид представляет собой миРНК, следовательно, олигонуклеотидный конъюгат согласно настоящему изобретению представляет собой конъюгат миРНК.[173] As used herein, unless otherwise indicated, a "conjugating" group or molecule refers to a group or molecule that is capable of forming a covalent bond with its suitable partner, and both the conjugating group or molecule and its partner have certain functions. Accordingly, "conjugate" refers to a compound formed by the covalent bond of such a chemical molecule with its partner. In addition, an "oligonucleotide conjugate" is a compound formed by a covalently attached oligonucleotide and one or more conjugating molecules, each of which has specific functions. In some embodiments, the implementation of the conjugate described in this application is an oligonucleotide conjugate. In this context, a "conjugating molecule" may be a specific compound capable of being conjugated to an oligonucleotide through reactions, thus finally forming an oligonucleotide conjugate according to the present invention. In some embodiments, the oligonucleotide is an siRNA, hence the oligonucleotide conjugate of the present invention is an siRNA conjugate.
[174] В некоторых вариантах реализации конъюгат имеет структуру, представленную формулой (3), (4), (5), (6), (7), (8), (9), (10), (11), (12), (13), (14), (15), (16), (17), (18), (19), (20), (21) или (22):[174] In some embodiments, the conjugate has the structure represented by formula (3), (4), (5), (6), (7), (8), (9), (10), (11), ( 12), (13), (14), (15), (16), (17), (18), (19), (20), (21) or (22):
Формула (3)Formula (3)
Формула (4)Formula (4)
Формула (5)Formula (5)
Формула (6)Formula (6)
Формула (7)Formula (7)
Формула (8)Formula (8)
Формула (9)Formula (9)
Формула (10)Formula (10)
Формула (11)Formula (11)
Формула (12)Formula (12)
Формула (13)Formula (13)
Формула (14)Formula (14)
Формула (15)Formula (15)
Формула (16)Formula (16)
Формула (17)Formula (17)
Формула (18)Formula (18)
Формула (19)Formula (19)
Формула (20)Formula (20)
Формула (21)Formula (21)
..
Формула (22)Formula (22)
[175] В некоторых вариантах реализации олигонуклеотид в олигонуклеотидном конъюгате согласно настоящему описанию представляет собой функциональный олигонуклеотид. Функциональный олигонуклеотид относится к олигонуклеотиду, который способен повышать или снижать экспрессию целевого гена или приводить к альтернативному сплайсингу мРНК, образуя стабильный и специфичный гибрид с целевой последовательностью, используя такие принципы, как РНК-активация (РНКа), РНК-интерференция (РНКи), технология антисмысловых нуклеиновых кислот и технология пропуска экзона. В некоторых вариантах реализации функциональный олигонуклеотид также может представлять собой структуру нуклеиновой кислоты, которая осуществляет стабильное и специфическое связывание с целевым белком. Кроме того, специалисты в данной области легко поймут, что полинуклеотид, такой как мРНК как таковая или ее фрагменты, также подходит для образования конъюгата путем конъюгирования с конъюгирующей молекулой, предложенной в настоящем описании, чтобы добиться направленной доставки, такой как направленная доставка в печень, тем самым регулируя экспрессию белка, транслированного с мРНК. Таким образом, в данном контексте, в объем термина «функциональный олигонуклеотид» также может входить мРНК или ее фрагменты.[175] In some embodiments, the implementation of the oligonucleotide in the oligonucleotide conjugate according to the present description is a functional oligonucleotide. A functional oligonucleotide refers to an oligonucleotide that is capable of increasing or decreasing the expression of a target gene, or leading to alternative mRNA splicing, forming a stable and specific hybrid with the target sequence using principles such as RNA activation (RNA), RNA interference (RNAi), technology antisense nucleic acids and exon skipping technology. In some embodiments, a functional oligonucleotide can also be a nucleic acid structure that provides stable and specific binding to a target protein. In addition, those skilled in the art will readily appreciate that a polynucleotide, such as an mRNA as such or fragments thereof, is also suitable for conjugate formation by conjugation with a conjugation molecule provided herein to achieve targeted delivery, such as targeted delivery to the liver, thereby regulating the expression of the protein translated from the mRNA. Thus, in this context, the scope of the term "functional oligonucleotide" may also include mRNA or its fragments.
[176] В некоторых вариантах реализации функциональный олигонуклеотид способен взаимодействовать с целевой последовательностью, тем самым влияя на нормальную функцию молекулы целевой последовательности, например, вызывая разрывы или репрессию трансляции мРНК, или альтернативный сплайсинг мРНК, возникший в результате пропуска экзона, и т.д.. В некоторых вариантах реализации функциональный олигонуклеотид комплементарен основаниям в целевой последовательности. В некоторых вариантах реализации функциональный олигонуклеотид комплементарен более чем 80%, 81%, 82%, 83%, 84%, 85%, 86%, 87%, 88%, 89%, 90%, 91%, 92%, 93%, 94%, 95%, 96%, 97%, 98% или 99% оснований в целевой последовательности, или может быть полностью комплементарен целевой последовательности. В некоторых вариантах реализации функциональный олигонуклеотид может содержать 1, 2 или 3 основания, которые не комплементарны целевой последовательности. В некоторых вариантах реализации функциональный олигонуклеотид содержит дезоксирибонуклеотиды, рибонуклеотиды и модифицированные нуклеотиды. В некоторых вариантах реализации функциональный олигонуклеотид представляет собой одноцепочечную ДНК, РНК или химеру ДНК-РНК, или двухцепочечную ДНК, РНК или гибрид ДНК-РНК.[176] In some embodiments, a functional oligonucleotide is capable of interacting with a target sequence, thereby affecting the normal function of the target sequence molecule, for example, causing breaks or repression of mRNA translation, or alternative mRNA splicing resulting from exon skipping, etc. In some embodiments, the functional oligonucleotide is complementary to the bases in the target sequence. In some embodiments, the functional oligonucleotide is more than 80%, 81%, 82%, 83%, 84%, 85%, 86%, 87%, 88%, 89%, 90%, 91%, 92%, 93% complementary , 94%, 95%, 96%, 97%, 98%, or 99% bases in the target sequence, or may be fully complementary to the target sequence. In some embodiments, the functional oligonucleotide may contain 1, 2, or 3 bases that are not complementary to the target sequence. In some embodiments, the functional oligonucleotide contains deoxyribonucleotides, ribonucleotides, and modified nucleotides. In some embodiments, the functional oligonucleotide is a single-stranded DNA, RNA, or DNA-RNA chimera, or a double-stranded DNA, RNA, or DNA-RNA hybrid.
[177] По этой причине, в некоторых вариантах реализации функциональный олигонуклеотид подходящий для олигонуклеотидного конъюгата согласно настоящему изобретению, может представлять собой один из: малой интерферирующей РНК (миРНК), микроРНК, анти-микроРНК (антимиР), антагониста микроРНК (антагомир), миметиков микроРНК, олигонуклеотидной ловушки, иммуностимулятора, G-квадруплекса, изменяющей сплайсинг, одноцепочечной РНК (оцРНК), антисмысловой нуклеиновой кислоты, аптамера нуклеиновой кислоты, малой активирующей РНК (маРНК), РНК петля-на-стебле или ДНК. В WO2015/006740A2 описан конъюгат с различными лигандами, конъюгированными с олигонуклеотидом, причем указанные лиганды связаны с олигонуклеотидом линкерами. Олигонуклеотид выбран из группы, состоящей из малой интерферирующей РНК (миРНК), микроРНК, анти-микроРНК (антимиР), антагомира, миметиков микроРНК, олигонуклеотидных ловушек (ловушек), иммуностимулятора, G-квадруплекса, изменяющей сплайсинг, одноцепочечной РНК (оцРНК), антисмысловой нуклеиновой кислоты (антисмысловая), аптамера, РНК петля-на-стебле или ДНК. Данные конъюгаты проявляют хорошую стабильность при доставке олигонуклеотидов in vivo. В дополнительных вариантах реализации функциональный олигонуклеотид, подходящий для олигонуклеотидного конъюгата согласно настоящему изобретению, представляет собой олигонуклеотиды, описанные в WO2009082607A2, WO2009073809A2 или WO2015006740A2, все из которых полностью включены в данную заявку посредством ссылки.[177] For this reason, in some embodiments, a functional oligonucleotide suitable for an oligonucleotide conjugate of the present invention may be one of: small interfering RNA (miRNA), miRNA, anti-miRNA (antimiR), miRNA antagonist (antagonist), mimetics miRNA, decoy oligonucleotide, immunostimulator, G-quadruplex, splicing-altering, single-stranded RNA (ssRNA), antisense nucleic acid, nucleic acid aptamer, small activating RNA (siRNA), stem-loop RNA, or DNA. WO2015/006740A2 describes a conjugate with various ligands conjugated to an oligonucleotide, said ligands being linked to the oligonucleotide by linkers. The oligonucleotide is selected from the group consisting of small interfering RNA (siRNA), miRNA, anti-miRNA (antimiR), antagonism, microRNA mimetics, oligonucleotide decoys (traps), immunostimulator, G-quadruplex, splicing-altering, single-stranded RNA (ssRNA), antisense nucleic acid (antisense), aptamer, stem-loop RNA, or DNA. These conjugates show good stability when delivering oligonucleotides in vivo. In further embodiments, a functional oligonucleotide suitable for an oligonucleotide conjugate of the present invention is the oligonucleotides described in WO2009082607A2, WO2009073809A2, or WO2015006740A2, all of which are incorporated herein by reference in their entirety.
[178] Олигонуклеотидный конъюгат согласно настоящему изобретению может регулировать аберрантную экспрессию определенных генов в некоторых клетках, таких как гепатоциты, повышая нацеленную на печень доставку активного агента, такого как функциональный олигонуклеотид, и, таким образом, улучшая взаимодействие функционального олигонуклеотида с целевой последовательностью в данных клетках. В некоторых вариантах реализации указанный определенный ген может представлять собой эндогенный ген, экспрессируемый в печени, или патогенный ген, размноженный в печени. Ген, который аберрантно экспрессируется в гепатоцитах, может представлять собой такой ген, как ApoB, ApoC, ANGPTL3, PCSK9, SCD1, TIMP-1, Col1A1, FVII, STAT3, p53, HBV и HCV и т.д. В некоторых вариантах реализации ген, который аберрантно экспрессируется в гепатоцитах, представляет собой ген HBV, ген ANGPTL3 или ген APOC3. В контексте настоящего описания ген HBV относится к гену, имеющему последовательность, представленную под номером доступа в Genbank NC_003977.1; ген ANGPTL3 относится к гену, имеющему последовательность мРНК, представленную под номером доступа в Genbank NM_014495.3; и ген APOC3 относится к гену, имеющему последовательность мРНК, представленную под номером доступа в Genbank NM_000040.1.[178] The oligonucleotide conjugate of the present invention can regulate the aberrant expression of certain genes in certain cells, such as hepatocytes, increasing the liver-targeted delivery of an active agent, such as a functional oligonucleotide, and thus improving the interaction of the functional oligonucleotide with the target sequence in these cells. . In some embodiments, said specific gene may be an endogenous gene expressed in the liver or a pathogenic gene replicated in the liver. A gene that is aberrantly expressed in hepatocytes may be a gene such as ApoB, ApoC, ANGPTL3, PCSK9, SCD1, TIMP-1, Col1A1, FVII, STAT3, p53, HBV and HCV, etc. In some embodiments, the gene that is aberrantly expressed in hepatocytes is an HBV gene, an ANGPTL3 gene, or an APOC3 gene. In the context of the present description, the HBV gene refers to a gene having the sequence presented under the accession number in Genbank NC_003977.1; the ANGPTL3 gene refers to a gene having an mRNA sequence listed under Genbank accession number NM_014495.3; and the APOC3 gene refers to a gene having an mRNA sequence listed under Genbank accession number NM_000040.1.
[179] В некоторых вариантах реализации «целевая последовательность» представляет собой целевую мРНК. В контексте настоящего описания «целевая мРНК» относится к мРНК, соответствующей гену, который аберрантно экспрессируется в таких клетках как гепатоциты, которая может быть либо мРНК, соответствующей сверхэкспрессируемому гену, либо мРНК, соответствующей недоэкспрессированному гену. В некоторых вариантах реализации целевая мРНК предпочтительно представляет собой мРНК, соответствующую сверхэкспрессируемому гену, поскольку большинство заболеваний возникают в результате сверхэкспрессии мРНК. В некоторых вариантах реализации настоящего описания целевая мРНК, соответствующая приведенному выше аберрантно экспрессируемому гену, может представлять собой мРНК, соответствующую такому гену, как ApoB, ApoC, ANGPTL3, PCSK9, SCD1, TIMP-1, Col1A1, FVII, STAT3, p53, HBV и HCV, и т.д.. В некоторых вариантах реализации целевая мРНК может представлять собой мРНК, транскрибированную с соответствующего гена HBV, гена ANGPTL3 или гена APOC3.[179] In some embodiments, the "target sequence" is the target mRNA. As used herein, "target mRNA" refers to an mRNA corresponding to a gene that is aberrantly expressed in cells such as hepatocytes, which can be either an mRNA corresponding to an overexpressed gene or an mRNA corresponding to an underexpressed gene. In some embodiments, the target mRNA is preferably an mRNA corresponding to an overexpressed gene, since most diseases result from overexpression of an mRNA. In some embodiments of the present description, the target mRNA corresponding to the above aberrantly expressed gene may be an mRNA corresponding to a gene such as ApoB, ApoC, ANGPTL3, PCSK9, SCD1, TIMP-1, Col1A1, FVII, STAT3, p53, HBV and HCV, etc. In some embodiments, the target mRNA may be mRNA transcribed from an appropriate HBV gene, ANGPTL3 gene, or APOC3 gene.
[180] Атом P в формуле A59 может быть связан с любым возможным положением в олигонуклеотидной последовательности, например, с любым нуклеотидом олигонуклеотида. В некоторых вариантах реализации функциональный олигонуклеотид в олигонуклеотидном конъюгате согласно настоящему описанию представляет собой одноцепочечный олигонуклеотид (например, одноцепочечную РНК или аптамер). В данном случае атом P в формуле A59 может быть связан с концевым участком одноцепочечного олигонуклеотида, который относится к 4 нуклеотидам, наиболее близким к одному концу одноцепочечного олигонуклеотида. В некоторых вариантах реализации атом P в формуле A59 связан с любым кольцом одноцепочечного олигонуклеотида.[180] The P atom in formula A59 can be linked to any possible position in the oligonucleotide sequence, for example, to any nucleotide of the oligonucleotide. In some embodiments, the functional oligonucleotide in an oligonucleotide conjugate as described herein is a single stranded oligonucleotide (eg, a single stranded RNA or an aptamer). In this case, the P atom in formula A59 may be linked to the end portion of the single stranded oligonucleotide, which refers to the 4 nucleotides closest to one end of the single stranded oligonucleotide. In some embodiments, the P atom in Formula A59 is linked to any ring of a single stranded oligonucleotide.
[181] В некоторых вариантах реализации функциональный олигонуклеотид в олигонуклеотидном конъюгате согласно настоящему описанию представляет собой двухцепочечный олигонуклеотид (например, миРНК, микроРНК или ДНК), содержащий смысловую цепь и антисмысловую цепь. В некоторых вариантах реализации атом P в формуле A59 может быть связан с концевым участком смысловой цепи или антисмысловой цепи в двухцепочечном олигонуклеотиде, который относится к 4 нуклеотидам, наиболее близким к одному концу смысловой или антисмысловой цепи. В некоторых вариантах реализации атом P в формуле A59 связан с любым кольцом смысловой или антисмысловой цепи. В некоторых вариантах реализации атом P в формуле A59 связан с 3'-концом смысловой цепи. В случае, когда атом P в формуле A59 связан с указанным выше положением в смысловой цепи двухцепочечного олигонуклеотида, олигонуклеотидный конъюгат, предложенный в настоящем описании, может высвободить отдельную антисмысловую цепь двухцепочечного олигонуклеотида во время раскручивания после проникновения в клетки, посредством этого блокируя трансляцию целевой мРНК в белок и ингибируя экспрессию определенного гена.[181] In some embodiments, the functional oligonucleotide in an oligonucleotide conjugate as described herein is a double-stranded oligonucleotide (eg, siRNA, miRNA, or DNA) containing a sense strand and an antisense strand. In some embodiments, the P atom in Formula A59 may be linked to the end of the sense strand or antisense strand in a double stranded oligonucleotide that refers to the 4 nucleotides closest to one end of the sense or antisense strand. In some embodiments, the P atom in formula A59 is linked to any ring of the sense or antisense strand. In some embodiments, the P atom in Formula A59 is linked to the 3' end of the sense strand. In the case where the P atom in formula A59 is linked to the above position in the sense strand of the double-stranded oligonucleotide, the oligonucleotide conjugate provided herein can release the distinct antisense strand of the double-stranded oligonucleotide during unwinding after cell entry, thereby blocking translation of the target mRNA into protein and inhibiting the expression of a particular gene.
[182] Атом P в формуле A59 может быть связан с любым возможным положением нуклеотида в олигонуклеотидной последовательности, например, с положением 5', 2' или 3' или с основанием нуклеотида. В некоторых вариантах реализации атом P в формуле A59 может быть связан с положением 2', 3' или 5' нуклеотида в олигонуклеотидной последовательности путем образования фосфодиэфирной связи. В некоторых вариантах реализации атом P в формуле A59 связан с атомом кислорода, образовавшимся после депротонирования 3′-гидрокси-группы нуклеотида на 3′-конце смысловой цепи в двухцепочечной олигонуклеотидной последовательности, или связан с нуклеотидом путем замещения атома водорода в 2'-гидрокси-группе нуклеотида смысловой цепи или путем замещения атома водорода в 5'-гидрокси-группе нуклеотида на 5′-конце смысловой цепи в двухцепочечной олигонуклеотидной последовательности.[182] The P atom in formula A59 can be linked to any possible nucleotide position in the oligonucleotide sequence, such as the 5', 2', or 3' position, or to the base of the nucleotide. In some embodiments, the P atom in Formula A59 may be linked to the 2', 3', or 5' position of a nucleotide in the oligonucleotide sequence by forming a phosphodiester bond. In some embodiments, the P atom in formula A59 is linked to an oxygen atom formed after deprotonation of the 3'-hydroxy group of a nucleotide at the 3'-end of the sense strand in a double-stranded oligonucleotide sequence, or linked to a nucleotide by replacing a hydrogen atom in the 2'-hydroxy- nucleotide group of the sense strand, or by substituting a hydrogen atom in the 5'-hydroxy group of the nucleotide at the 5' end of the sense strand in a double-stranded oligonucleotide sequence.
[183] Без ограничения, настоящее изобретение описано в дополнительных деталях в следующих вариантах реализации и примерах в отношении типичных вариантов реализации, в которых функциональный олигонуклеотид в олигонуклеотидном конъюгате согласно настоящему описанию представляет собой малую интерферирующую РНК (миРНК). В данном случае олигонуклеотидный конъюгат согласно настоящему изобретению представляет собой конъюгат миРНК. В контексте настоящего описания конъюгаты миРНК в данных вариантах реализации также называют конъюгатами миРНК согласно настоящему изобретению лишь для удобства описания. Не подразумевают, что олигонуклеотид в олигонуклеотидном конъюгате согласно настоящему изобретению может представлять собой только миРНК, напротив, олигонуклеотид и даже активное лекарственное средство могут представлять собой дополнительные альтернативные варианты, описанные в данной заявке или известные специалисту. Предполагается, что, на основании подробного описания конъюгата миРНК, другие активные лекарственные средства или функциональные олигонуклеотиды будут действовать аналогично, когда они конъюгированы с конъюгирующими молекулами, предложенными в данной заявке.[183] Without limitation, the present invention is described in further detail in the following embodiments and examples with respect to exemplary embodiments in which the functional oligonucleotide in the oligonucleotide conjugate of the present disclosure is small interfering RNA (siRNA). In this case, the oligonucleotide conjugate of the present invention is an siRNA conjugate. In the context of the present description, siRNA conjugates in these embodiments are also referred to as siRNA conjugates of the present invention for convenience of description only. It is not implied that the oligonucleotide in the oligonucleotide conjugate according to the present invention can be only siRNA, on the contrary, the oligonucleotide and even the active drug can be additional alternatives described in this application or known to the specialist. It is expected that, based on the detailed description of the siRNA conjugate, other active drugs or functional oligonucleotides will act similarly when conjugated to the conjugating molecules proposed in this application.
[184] Специалистам в данной области известно, что миРНК содержит нуклеотидные группы в качестве структурных звеньев. Нуклеотидная группа, в свою очередь, содержит фосфатную группу, рибозную группу и основание. Как правило, длина активной миРНК, т.е., функциональной миРНК, может составлять приблизительно 12 - 40 нуклеотидов, и в некоторых вариантах реализации ее длина составляет приблизительно 15 - 30 нуклеотидов. Каждый нуклеотид в миРНК может независимо представлять собой модифицированный или немодифицированный нуклеотид. Для повышенной стабильности по меньшей мере один нуклеотид в миРНК представляет собой модифицированный нуклеотид.[184] Specialists in this field know that miRNA contains nucleotide groups as structural units. The nucleotide group, in turn, contains a phosphate group, a ribose group, and a base. Typically, an active siRNA, ie, a functional siRNA, can be about 12-40 nucleotides long, and in some embodiments, it is about 15-30 nucleotides long. Each nucleotide in an siRNA can independently be a modified or unmodified nucleotide. For increased stability, at least one nucleotide in the siRNA is a modified nucleotide.
[185] Авторы настоящего изобретения обнаружили, что миРНК, описанные в следующих вариантах реализации, проявляют более высокую активность и/или стабильность и, следовательно, их можно использовать в качестве миРНК для целей, описанных в данной заявке.[185] The present inventors have found that the siRNAs described in the following embodiments exhibit higher activity and/or stability and therefore can be used as siRNAs for the purposes described herein.
[186] В некоторых вариантах реализации каждый нуклеотид в миРНК конъюгата миРНК согласно настоящему описанию (далее в данной заявке также называют миРНК согласно настоящему описанию) независимо представляет собой модифицированный или немодифицированный нуклеотид. Указанная миРНК содержит смысловую цепь и антисмысловую цепь, причем смысловая цепь содержит последовательность нуклеотидов 1, и антисмысловая цепь содержит последовательность нуклеотидов 2. Как последовательность нуклеотидов 1, так и последовательность нуклеотидов 2 имеют длину 10, 11, 12, 13, 14, 15, 16, 17, 18, 19, 20, 21, 22, 23, 24 или 25 нуклеотидов, и они по меньшей мере частично обратно комплементарны, чтобы образовать двухцепочечный комплементарный участок. Последовательность нуклеотидов 2 комплементарна первому фрагменту последовательности нуклеотидов, который относится к фрагменту последовательности нуклеотидов в целевой мРНК.[186] In some embodiments, each nucleotide in an siRNA of an siRNA conjugate as described herein (hereinafter also referred to as siRNA as described herein) is independently a modified or unmodified nucleotide. Said siRNA contains a sense strand and an antisense strand, wherein the sense strand contains
[187] В некоторых вариантах реализации миРНК согласно настоящему описанию относится к миРНК, способной ингибировать по меньшей мере 50% экспрессии гена HBV, по меньшей мере 50% экспрессии гена ANGPTL3 или по меньшей мере 50% экспрессии гена APOC3 при концентрации 3 мг/кг. В некоторых вариантах реализации миРНК согласно настоящему описанию относится к миРНК, способной ингибировать по меньшей мере 55%, 60%, 65%, 70%, 75% или 80% экспрессии гена HBV, гена ANGPTL3 или гена APOC3 при концентрации 3 мг/кг.[187] In some embodiments, an siRNA as described herein refers to an siRNA capable of inhibiting at least 50% of HBV gene expression, at least 50% of ANGPTL3 gene expression, or at least 50% of APOC3 gene expression at a concentration of 3 mg/kg. In some embodiments, an siRNA as described herein refers to an siRNA capable of inhibiting at least 55%, 60%, 65%, 70%, 75%, or 80% of HBV gene, ANGPTL3 gene, or APOC3 gene expression at a concentration of 3 mg/kg.
[188] В некоторых вариантах реализации последовательность нуклеотидов 1 имеет такую же длину и отличается не более чем 3 нуклеотидами от первого фрагмента последовательности нуклеотидов; последовательность нуклеотидов 2 имеет такую же длину и отличается не более чем 3 нуклеотидами от последовательности нуклеотидов B, которая относится к последовательности нуклеотидов, полностью обратно комплементарной первому фрагменту последовательности нуклеотидов. Без привязки к какой-либо теории, данные особые различия в нуклеотидах не будут значительно снижать репрессирующую способность конъюгата миРНК и, следовательно, входят в объем настоящего описания.[188] In some embodiments,
[189] В некоторых вариантах реализации последовательность нуклеотидов 1 в основном обратно комплементарна, по существу обратно комплементарна или полностью обратно комплементарна последовательности нуклеотидов 2.[189] In some embodiments,
[190] В некоторых вариантах реализации последовательность нуклеотидов 1 содержит не более 1 нуклеотида, отличного от первого фрагмента последовательности нуклеотидов; и/или последовательность нуклеотидов 2 содержит не более 1 нуклеотида, отличного от последовательности нуклеотидов B. В некоторых вариантах реализации различия в нуклеотидах между последовательностью нуклеотидов 2 и последовательностью нуклеотидов B включают различие в положении первого нуклеотида Z' в последовательности нуклеотидов 2 от 5'-конца к 3'-концу. В некоторых вариантах реализации последний нуклеотид Z в последовательности нуклеотидов 1 от 5'-конца к 3'-концу представляет собой нуклеотид, комплементарный Z'.[190] In some embodiments,
[191] В некоторых вариантах реализации смысловая цепь также содержит последовательность нуклеотидов 3, и антисмысловая цепь также содержит последовательность нуклеотидов 4. Последовательности нуклеотидов 3 и 4 имеют одинаковую длину 1 - 4 нуклеотида. Последовательность нуклеотидов 3 связана с 5'-концом последовательности нуклеотидов 1, и последовательность нуклеотидов 4 связана с 3'-концом последовательности нуклеотидов 2. Последовательность нуклеотидов 4 комплементарна второму фрагменту последовательности нуклеотидов, который относится к последовательности нуклеотидов, расположенной рядом с первым фрагментом последовательности нуклеотидов и имеющей такую же длину, что и последовательность нуклеотидов 4 в целевой мРНК. В некоторых вариантах реализации последовательность нуклеотидов 3 по существу обратно комплементарна или полностью обратно комплементарна последовательности нуклеотидов 4. Следовательно, в некоторых вариантах реализации смысловая цепь и антисмысловая цепь могут иметь длину 19 - 23 нуклеотидов.[191] In some embodiments, the sense strand also contains the
[192] В некоторых вариантах реализации миРНК согласно настоящему описанию также содержит последовательность нуклеотидов 5, которая имеет длину 1 - 3 нуклеотида и связана с 3'-концом антисмысловой цепи, образуя, таким образом, 3'-липкий конец антисмысловой цепи. В некоторых вариантах реализации последовательность нуклеотидов 5 имеет длину 1 или 2 нуклеотида. Поэтому в некоторых вариантах реализации отношение длины смысловой цепи к длине антисмысловой цепи в миРНК согласно настоящему описанию может составлять 19/20, 19/21, 20/21, 20/22, 21/22, 21/23, 22/23, 22/24, 23/24 или 23/25.[192] In some embodiments, the siRNA of the present disclosure also contains a nucleotide sequence of 5, which is 1-3 nucleotides in length and linked to the 3' end of the antisense strand, thus forming the 3' overhang of the antisense strand. In some embodiments, the
[193] В некоторых вариантах реализации длина последовательности нуклеотидов 5 составляет 2 нуклеотида. Более того, последовательность нуклеотидов 5 представляет собой 2 последовательных дезоксинуклеотида тимидина или 2 последовательных дезоксинуклеотида уридина в направлении от 5'-конца к 3'-концу, или комплементарна третьему фрагменту последовательности нуклеотидов, который относится к последовательности нуклеотидов, расположенной рядом с первым или вторым фрагментом последовательности нуклеотидов в целевой мРНК и имеющей такую же длину, что и последовательность нуклеотидов 5. В некоторых вариантах реализации отношение длины смысловой цепи к антисмысловой цепи в миРНК согласно настоящему описанию составляет 19/21 или 21/23. В данном случае, миРНК согласно настоящему описанию проявляет значительную замалчивающую активность, направленную на мРНК в гепатоцитах.[193] In some embodiments, the length of the
[194] В некоторых вариантах реализации каждый из нуклеотидов в миРНК согласно настоящему описанию независимо представляет собой модифицированный или немодифицированный нуклеотид. В некоторых вариантах реализации миРНК согласно настоящему описанию не содержит модифицированных нуклеотидов. В некоторых вариантах реализации миРНК согласно настоящему описанию содержит модифицированную нуклеотидную группу.[194] In some embodiments, each of the nucleotides in an siRNA as described herein is independently a modified or unmodified nucleotide. In some embodiments, an siRNA as described herein does not contain modified nucleotides. In some embodiments, the siRNA according to the present description contains a modified nucleotide group.
[195] На сегодняшний день в данной области существует множество средств, которые можно применять для модификации миРНК, включая модификацию остова (или модификацию межнуклеотидной связи, такую как модификация фосфатной группы), модификацию рибозной группы, модификацию оснований и т.д. (см., например, Watts, J.K., G. F. Deleavey и M. J.Damha, Chemically Modified siRNA: tools and applications. Drug Discov Today, 2008,13(19-20): стр. 842-55, который полностью включен в данную заявку посредством ссылки).[195] To date, there are many tools in the art that can be used to modify siRNAs, including backbone modification (or internucleotide bond modification such as phosphate group modification), ribose group modification, base modification, etc. (See, for example, Watts, J.K., G.F. Deleavey and M.J.Damha, Chemically Modified siRNA: tools and applications. Drug Discov Today, 2008,13(19-20): pp. 842-55, which is incorporated herein in its entirety by links).
[196] В контексте настоящего описания термин «модифицированный нуклеотид», используемый в данной заявке, включает нуклеотид, в котором рибозная группа модифицирована, такой как нуклеотиды, образованные замещением 2'-гидрокси-группы рибозной группы другими группами, аналогом нуклеотида или нуклеотидом с модифицированным основанием.[196] As used herein, the term "modified nucleotide" as used herein includes a nucleotide in which the ribose group is modified, such as nucleotides formed by substitution of the 2'-hydroxy group of the ribose group with other groups, a nucleotide analog, or a nucleotide with a modified basis.
[197] В некоторых вариантах реализации согласно настоящему описанию по меньшей мере один нуклеотид в смысловой или антисмысловой цепи представляет собой модифицированный нуклеотид, и/или по меньшей мере один фосфат представляет собой фосфатную группу с модифицированными группами. Другими словами, по меньшей мере часть фосфатной и/или рибозной группы в рибозофосфатном остове по меньшей мере одной отдельной цепи из смысловой цепи и антисмысловой цепи представляет собой фосфатную и/или рибозную группу с модифицированными группами (или модифицированным фосфатом и/или модифицированной рибозой). В некоторых вариантах реализации согласно настоящему описанию все нуклеотиды в смысловой цепи и/или антисмысловой цепи представляют собой модифицированные нуклеотиды.[197] In some embodiments, according to the present description, at least one nucleotide in the sense or antisense strand is a modified nucleotide, and/or at least one phosphate is a phosphate group with modified groups. In other words, at least a portion of the phosphate and/or ribose group in the ribose phosphate backbone of at least one single strand of the sense strand and the antisense strand is a phosphate and/or ribose group with modified groups (or modified phosphate and/or modified ribose). In some embodiments as described herein, all nucleotides in the sense strand and/or antisense strand are modified nucleotides.
[198] В некоторых вариантах реализации каждый нуклеотид в смысловой цепи и антисмысловой цепи независимо представляет собой модифицированный фтором нуклеотид или не фтор-модифицированный нуклеотид.[198] In some embodiments, each nucleotide in the sense strand and antisense strand is independently a fluorine-modified nucleotide or a non-fluorine-modified nucleotide.
[199] «Модифицированный фтором (фтор-модифицированный) нуклеотид» относится к нуклеотиду, образованному замещением 2'-гидрокси-группы рибозной группы фтором, что представлено в формуле (207).[199] "Fluorine-modified (fluorine-modified) nucleotide" refers to a nucleotide formed by substitution of a 2'-hydroxy group of a ribose group with fluorine as represented in formula (207).
[200] «Не фтор-модифицированный нуклеотид» относится к нуклеотиду, образованному в результате замещения 2'-гидрокси-группы рибозной группы не содержащей фтор группой, или аналог нуклеотида. В некоторых вариантах реализации каждый не фтор-модифицированный нуклеотид независимо представляет собой нуклеотид, образованный в результате замещения 2'-гидрокси-группы его рибозной группы не фтор-содержащей группой или аналогом нуклеотида.[200] "Non-fluorine-modified nucleotide" refers to a nucleotide formed by replacing the 2'-hydroxy group of a ribose group with a non-fluorine group, or a nucleotide analog. In some embodiments, each non-fluorine-modified nucleotide is independently a nucleotide formed by replacing the 2'-hydroxy group of its ribose group with a non-fluorine-containing group or a nucleotide analog.
[201] Нуклеотид, образованный в результате замещения 2'-гидрокси-группы рибозной группы не-фторсодержащей группой, хорошо известен в данной области, например, модифицированные 2'-алкокси-группой нуклеотиды, модифицированные содержащей заместители 2'-алкокси-группой нуклеотиды, модифицированные 2'-алкилом нуклеотиды, модифицированные содержащим заместители 2'-алкилом нуклеотиды, модифицированные 2'-амином нуклеотиды, модифицированные содержащим заместители 2'-амином нуклеотиды или 2'-дезоксинуклеотиды.[201] The nucleotide formed by replacing the 2'-hydroxy group of a ribose group with a non-fluoro group is well known in the art, for example, 2'-alkoxy-modified nucleotides, 2'-alkoxy-substituted nucleotides, 2'-alkyl modified nucleotides, 2'-alkyl substituted nucleotides, 2'-amine modified nucleotides, 2'-amine substituted nucleotides or 2'-deoxynucleotides.
[202] В некоторых вариантах реализации модифицированный 2'-алкокси-группой нуклеотид представляет собой модифицированный метокси-группой нуклеотид, представленный формулой (208). В некоторых вариантах реализации модифицированный замещенной 2'-алкокси-группой нуклеотид представляет собой модифицированный 2'-O-метоксиэтокси-группой нуклеотид, представленный формулой (209). В некоторых вариантах реализации модифицированный 2'-амином нуклеотид представлен формулой (210). В некоторых вариантах реализации 2'-дезоксинуклеотид (ДНК) представлен формулой (211).[202] In some embodiments, the 2′-alkoxy-modified nucleotide is a methoxy-modified nucleotide represented by formula (208). In some embodiments, the substituted 2'-alkoxy-modified nucleotide is a 2'-O-methoxyethoxy-modified nucleotide represented by formula (209). In some embodiments, the 2'-amine modified nucleotide is represented by formula (210). In some embodiments, the 2'-deoxynucleotide (DNA) is represented by formula (211).
[203] «Аналог нуклеотида» относится к группе, которая может заменять нуклеотид в нуклеиновой кислоте, и при этом отличается от рибонуклеотида аденина, рибонуклеотида гуанина, рибонуклеотида цитозина, рибонуклеотида урацила или дезоксирибонуклеотида тимина. В некоторых вариантах реализации аналог нуклеотида может быть таким как изонуклеотид, нуклеотид мостиковой нуклеиновой кислоты (МНК) или ациклический нуклеотид.[203] "A nucleotide analog" refers to a group that can replace a nucleotide in a nucleic acid and is different from adenine ribonucleotide, guanine ribonucleotide, cytosine ribonucleotide, uracil ribonucleotide, or thymine deoxyribonucleotide. In some embodiments, a nucleotide analog may be an isonucleotide, a bridged nucleic acid (BNA) nucleotide, or an acyclic nucleotide.
[204] Нуклеотид МНК представляет собой нуклеотид, который конформационно ограничен или недоступен. МНК могут содержать мостиковую структуру с 5-, 6-членным или даже 7-членным кольцом с «фиксированным» C3'-эндо отклонением от плоскости сахарного кольца. Мостик обычно находится между положениями 2' и 4' рибозного кольца с образованием 2', 4'-МНК нуклеотида, такого как запертая нуклеиновая кислота (ЗНК), этилен-мостиковая нуклеиновая кислота (ЭНК) и МНК с ограниченным этилом (оЭТ), которые представлены формулами (212), (213) и (214), соответственно.[204] A MNC nucleotide is a nucleotide that is conformationally restricted or unavailable. MNCs can contain a bridge structure with a 5-, 6-membered or even 7-membered ring with a "fixed" C3'-endo deviation from the plane of the sugar ring. The bridge is usually located between the 2' and 4' positions of the ribose ring to form a 2', 4'-MNA nucleotide, such as a locked nucleic acid (LNA), an ethylene-bridged nucleic acid (ENA), and an ethyl-restricted MNA (oET), which are represented by formulas (212), (213) and (214), respectively.
[205] Ациклический нуклеотид представляет собой нуклеотид, в котором рибозное кольцо разомкнуто, такой как нуклеотид незапертой нуклеиновой кислоты (ННК) и нуклеотид глицериннуклеиновой кислоты (ГНК), которые соответственно представлены формулами (215) и (216).[205] An acyclic nucleotide is a nucleotide in which the ribose ring is open, such as an unlocked nucleic acid (NNA) nucleotide and a glycerol nucleic acid (GNA) nucleotide, which are respectively represented by formulas (215) and (216).
где R представляет собой H, OH или алкокси (O-алкил).where R represents H, OH or alkoxy (O-alkyl).
[206] Изонуклеотид представляет собой нуклеотид, в котором положение основания на рибозном кольце изменяется, например, соединение, в котором основание перемещено с 1' в 2' или 3' на рибозном кольце, представленное соответственно формулами (217) или (218).[206] An isonucleotide is a nucleotide in which the position of the base on the ribose ring changes, for example, a compound in which the base is moved from 1' to 2' or 3' on the ribose ring, represented by formulas (217) or (218), respectively.
где основание представляет собой основание нуклеиновой кислоты A, U, G, C или T; R представляет собой H, OH, F или не фтор-содержащую группу, описанную выше.where the base is the base of the nucleic acid A, U, G, C or T; R is H, OH, F, or a non-fluoro group as described above.
[207] В некоторых вариантах реализации аналог нуклеотида представляет собой изонуклеотид, ЗНК, ЭНК, оЭТ, ННК или ГНК. В некоторых вариантах реализации каждый не фтор-модифицированный нуклеотид представляет собой модифицированный метокси-группой нуклеотид, который относится к нуклеотиду, образованному в результате замещения 2'-гидрокси-группы рибозной группы метокси-группой.[207] In some embodiments, the nucleotide analog is an isonucleotide, LNA, NNA, oET, NNA, or GNA. In some embodiments, each non-fluoro-modified nucleotide is a methoxy-modified nucleotide, which refers to a nucleotide formed by replacing the 2'-hydroxy group of a ribose group with a methoxy group.
[208] В контексте настоящего описания «фтор-модифицированный (модифицированный фтором) нуклеотид», «модифицированный 2'-фтором нуклеотид», «нуклеотид, в котором 2'-гидрокси-группа рибозной группы замещена фтором» и «нуклеотид с 2'-фторрибозилом» имеют те же значения, что и нуклеотид, в котором 2'-гидрокси-группа нуклеотида замещена фтором с образованием структуры, представленной формулой (207). «Модифицированный метокси-группой нуклеотид», «модифицированный 2'-метокси-группой нуклеотид», «нуклеотид, в котором 2'-гидрокси-группа рибозной группы замещен метокси-группой» и «нуклеотид с 2'-метоксирибозилом» имеют те же значения, что и нуклеотид, в котором 2'-гидрокси-группа рибозной группы в нуклеотиде замещен метокси-группой с образованием структуры, представленной формулой (208).[208] As used herein, "a fluorine-modified (fluorine-modified) nucleotide", "a 2'-fluorine-modified nucleotide", "a nucleotide in which the 2'-hydroxy group of the ribose group is replaced by fluorine", and "a nucleotide with a 2'-fluorine fluororibosyl" have the same meanings as a nucleotide in which the 2'-hydroxy group of the nucleotide is substituted with fluorine to form the structure represented by formula (207). "Methoxy-modified nucleotide", "2'-methoxy-modified nucleotide", "nucleotide in which the 2'-hydroxy group of the ribose group is replaced by a methoxy group", and "nucleotide with 2'-methoxyribosyl" have the same meanings. , which is the same as the nucleotide in which the 2'-hydroxy group of the ribose group in the nucleotide is replaced by a methoxy group to form the structure represented by formula (208).
[209] В некоторых вариантах реализации миРНК согласно настоящему описанию представляет собой миРНК со следующими модификациями: в направлении от 5'-конца к 3'-концу нуклеотиды в положениях 7, 8 и 9 последовательности нуклеотидов 1 в смысловой цепи миРНК представляют собой модифицированные фтором (не фтор-модифицированные) нуклеотиды, и нуклеотиды в остальных положениях в смысловой цепи представляют собой модифицированные метокси-группой нуклеотиды; и/или нуклеотиды в положениях 2, 6, 14 и 16 последовательности нуклеотидов 2 в антисмысловой цепи представляют собой модифицированные фтором нуклеотиды, и нуклеотиды в остальных положениях в антисмысловой цепи представляют собой модифицированные метокси-группой нуклеотиды. В некоторых вариантах реализации миРНК согласно настоящему описанию представляет собой миРНК со следующими модификациями: в направлении от 5'-конца к 3'-концу нуклеотиды в положениях 5, 7, 8 и 9 последовательности нуклеотидов 1 в смысловой цепи миРНК представляют собой модифицированные фтором нуклеотиды, и нуклеотиды в остальных положениях в смысловой цепи представляют собой модифицированные метокси-группой нуклеотиды; и/или нуклеотиды в положениях 2, 6, 8, 9, 14 и 16 последовательности нуклеотидов 2 в антисмысловой цепи представляют собой модифицированные фтором нуклеотиды, и нуклеотиды в остальных положениях в антисмысловой цепи представляют собой модифицированные 2'-метокси-группой нуклеотиды. В некоторых вариантах реализации миРНК согласно настоящему описанию представляет собой миРНК со следующими модификациями: в направлении от 5'-конца к 3'-концу нуклеотиды в положениях 7, 8 и 9 последовательности нуклеотидов 1 в смысловой цепи миРНК представляют собой модифицированные фтором нуклеотиды, и нуклеотиды в остальных положениях в смысловой цепи представляют собой модифицированные метокси-группой нуклеотиды; и/или в направлении от 5'-конца к 3'-концу нуклеотиды в положениях 2, 6, 14 и 16 последовательности нуклеотидов 2 в антисмысловой цепи миРНК представляют собой модифицированные фтором нуклеотиды, и нуклеотиды в остальных положениях в антисмысловой цепи представляют собой модифицированные метокси-группой нуклеотиды.[209] In some embodiments, an siRNA as described herein is an siRNA with the following modifications: in the 5' to 3' direction, the nucleotides at
[210] В некоторых вариантах реализации миРНК согласно настоящему описанию, нуклеотид содержит модификации на фосфатных группах. В контексте настоящего описания модификация на фосфатной группе в некоторых вариантах реализации представляет собой фосфоротиоатную модификацию, представленную формулой (201) ниже, то есть замещение немостикового атома кислорода в фосфодиэфирной связи на атом серы таким образом, что фосфодиэфирная связь меняется на фосфоротиоат-диэфирную связь. В некоторых вариантах реализации данная модификация стабилизирует структуру миРНК и сохраняет высокую специфичность и высокую аффинность спаривания оснований.[210] In some embodiments of miRNAs as described herein, the nucleotide contains modifications on phosphate groups. As used herein, the modification on the phosphate group, in some embodiments, is a phosphorothioate modification represented by formula (201) below, that is, the replacement of a non-bridging oxygen atom in a phosphodiester bond with a sulfur atom such that the phosphodiester bond changes to a phosphorothioate-diester bond. In some embodiments, this modification stabilizes the siRNA structure and retains high specificity and high base pairing affinity.
(201)(201)
[211] Согласно некоторым вариантам реализации настоящего описания, в миРНК фосфоротиоатная связь присутствует в по меньшей мере одном из следующих положений: между первым и вторым нуклеотидами с любого конца смысловой или антисмысловой цепи, между вторым и третьим нуклеотидами с любого конца смысловой цепи или антисмысловой цепи, или в любой их комбинации. В некоторых вариантах реализации фосфоротиоатная связь присутствует во всех указанных выше положениях, за исключением 5'-конца смысловой цепи. В некоторых вариантах реализации фосфоротиоатная связь присутствует во всех указанных выше положениях, за исключением 3'-конца смысловой цепи. В некоторых вариантах реализации фосфоротиоатная связь присутствует в по меньшей мере одном из следующих положений:[211] According to some embodiments of the present description, in miRNA, the phosphorothioate bond is present at at least one of the following positions: between the first and second nucleotides from either end of the sense or antisense strand, between the second and third nucleotides from either end of the sense strand or antisense strand , or any combination of them. In some embodiments, the phosphorothioate bond is present at all of the above positions except for the 5' end of the sense strand. In some embodiments, the phosphorothioate bond is present at all of the above positions except for the 3' end of the sense strand. In some embodiments, the phosphorothioate bond is present at at least one of the following positions:
- между первым и вторым нуклеотидами с 5'-конца смысловой цепи;- between the first and second nucleotides from the 5' end of the sense chain;
- между вторым и третьим нуклеотидами с 5'-конца смысловой цепи;- between the second and third nucleotides from the 5' end of the sense chain;
- между первым и вторым нуклеотидами с 3'-конца смысловой цепи;- between the first and second nucleotides from the 3'-end of the sense chain;
- между вторым и третьим нуклеотидами с 3'-конца смысловой цепи;- between the second and third nucleotides from the 3' end of the sense chain;
- между первым и вторым нуклеотидами с 5'-конца антисмысловой цепи;- between the first and second nucleotides from the 5' end of the antisense strand;
- между вторым и третьим нуклеотидами с 5'-конца антисмысловой цепи;- between the second and third nucleotides from the 5' end of the antisense strand;
- между первым и вторым нуклеотидами с 3'-конца антисмысловой цепи; и- between the first and second nucleotides from the 3' end of the antisense strand; And
- между вторым и третьим нуклеотидами с 3'-конца антисмысловой цепи.- between the second and third nucleotides from the 3' end of the antisense strand.
[212] Согласно некоторым вариантам реализации настоящего описания, 5'-концевой нуклеотид в последовательности антисмысловой цепи молекулы миРНК представляет собой нуклеотид с 5'-фосфатом или модифицированный аналогом 5'-фосфата нуклеотид.[212] According to some embodiments of the present description, the 5'-terminal nucleotide in the sequence of the antisense strand of the siRNA molecule is a nucleotide with a 5'-phosphate or a modified nucleotide with a 5'-phosphate analog.
[213] В некоторых вариантах реализации нуклеотид с 5'-фосфатом имеет следующую структуру, представленную формулой (202):[213] In some embodiments, the 5'-phosphate nucleotide has the following structure represented by formula (202):
Обычные типы модифицированных аналогом 5'-фосфата нуклеотидов хорошо известны специалистам в данной области, например, следующие 4 нуклеотида, представленные формулами (203) - (206), описанные в Anastasia Khvorova и Jonathan K. Watts, The chemical evolution of oligonucleotide therapies of clinical utility. Nature Biotechnology, 2017, 35(3): 238-48:Common types of 5'-phosphate analog modified nucleotides are well known to those skilled in the art, such as the following 4 nucleotides represented by formulas (203) to (206) described in Anastasia Khvorova and Jonathan K. Watts, The chemical evolution of oligonucleotide therapies of clinical utility. Nature Biotechnology, 2017, 35(3): 238-48:
где R представляет собой группу, выбранную из группы, состоящей из H, OH, F и метокси;where R is a group selected from the group consisting of H, OH, F and methoxy;
[214] «основание» представляет собой основание, выбранное из A, U, C, G или T.[214] "base" is a base selected from A, U, C, G, or T.
[215] В некоторых вариантах реализации нуклеотид с 5'-фосфатом или модифицированный аналогом 5'-фосфата нуклеотид представляет собой нуклеотид с модификацией винилфосфатом (VP), представленный формулой (203), нуклеотид с 5'-фосфатом, представленный формулой (202), или модифицированный 5'-фосфоротиоатом нуклеотид, представленный формулой (205).[215] In some embodiments, the 5'-phosphate nucleotide or 5'-phosphate analog-modified nucleotide is a vinyl phosphate (VP) modified nucleotide represented by formula (203), a 5'-phosphate nucleotide represented by formula (202), or a 5'-phosphorothioate-modified nucleotide represented by formula (205).
[216] Авторы настоящего изобретения неожиданно обнаружили, что конъюгат миРНК согласно настоящему описанию проявляет значительно улучшенную стабильность в сыворотке, тогда как активность замалчивания целевой мРНК значительно не нарушается, что приводит к превосходному ингибиторному действию in vivo на экспрессию гена. Было показано, что доставка in vivo данных конъюгатов миРНК согласно настоящему описанию более эффективна. Согласно некоторым вариантам реализации настоящего описания, олигонуклеотидные конъюгаты согласно настоящему описанию, следовательно, представляют собой конъюгаты миРНК, содержащие такие миРНК, которые представлены в таблице 1A - таблице 1F.[216] The present inventors surprisingly found that the siRNA conjugate of the present disclosure exhibits significantly improved serum stability while the silencing activity of the target mRNA is not significantly impaired, resulting in an excellent in vivo inhibitory effect on gene expression. The in vivo delivery of these siRNA conjugates as described herein has been shown to be more efficient. According to some variants of implementation of the present description, the oligonucleotide conjugates according to the present description, therefore, are siRNA conjugates containing such siRNAs, which are presented in table 1A - table 1F.
Таблица 1. Последовательности миРНК.Table 1. miRNA sequences.
Таблица 1A.Table 1A.
Таблица 1BTable 1B
Таблица 1CTable 1C
Таблица 1DTable 1D
Таблица 1ETable 1E
Таблица 1FTable 1F
*С: смысловая цепь; АС: антисмысловая цепь*С: semantic chain; AS: antisense strand
[217] В представленных выше таблицах заглавные буквы C, G, U и A указывают на состав оснований в нуклеотидах; строчная буква m указывает на то, что нуклеотид, примыкающий слева к букве m, представляет собой модифицированный 2'-метокси-группой нуклеотид; строчная буква f указывает на то, что нуклеотид, примыкающий слева к букве f, представляет собой модифицированный 2'-фтором нуклеотид; строчная буква s указывает на фосфоротиоатную связь между двумя нуклеотидами, примыкающими с двух сторон к букве s; P1 указывает на то, что нуклеотид, примыкающий справа к P1, представляет собой нуклеотид с 5'-фосфатом или модифицированный аналогом 5'-фосфата нуклеотид, и в некоторых вариантах реализации представляет собой модифицированный винилфосфатом нуклеотид (обозначен VP в примерах ниже), модифицированный фосфатом нуклеотид (обозначен P в примерах ниже) или модифицированный фосфоротиоатом нуклеотид (обозначен Ps в примерах ниже).[217] In the above tables, the capital letters C, G, U, and A indicate the composition of the bases in the nucleotides; a lowercase m indicates that the nucleotide adjacent to the left of the m is a 2'-methoxy-modified nucleotide; a lowercase f indicates that the nucleotide adjacent to the left of f is a 2'-fluorine-modified nucleotide; a lowercase s indicates a phosphorothioate bond between two nucleotides adjacent on both sides of the s; P1 indicates that the nucleotide adjacent to the right of P1 is a 5'-phosphate nucleotide or a 5'-phosphate analog modified nucleotide, and in some embodiments is a vinyl phosphate modified nucleotide (designated VP in the examples below) modified with phosphate a nucleotide (denoted P in the examples below) or a phosphorothioate modified nucleotide (denoted Ps in the examples below).
[218] Специалистам в данной области хорошо известно, что модифицированную нуклеотидную группу можно включить в миРНК согласно настоящему описанию посредством мономера нуклеозида с соответствующей модификацией. Способы получения мономера нуклеозида, содержащего соответствующую модификацию, и введения модифицированной нуклеотидной группы в миРНК также хорошо известны специалистам в данной области. Модифицированные мономеры нуклеозида либо доступны для приобретения, либо их можно получить с помощью известных способов.[218] It is well known to those skilled in the art that a modified nucleotide group can be incorporated into an siRNA as described herein via the nucleoside monomer with appropriate modification. Methods for obtaining a nucleoside monomer containing the appropriate modification and introducing the modified nucleotide group into siRNA are also well known to those skilled in the art. The modified nucleoside monomers are either commercially available or can be prepared using known methods.
Получение олигонуклеотидных конъюгатов.Obtaining oligonucleotide conjugates.
[219] Олигонуклеотидные конъюгаты согласно настоящему описанию можно получить с помощью любых подходящих путей синтеза. Например, олигонуклеотидный конъюгат согласно настоящему изобретению можно получить с помощью способа, включающего последовательное соединение мономеров нуклеозида в направлении от 3' к 5' в соответствии с типом нуклеотида и последовательностью олигонуклеотида, соответственно, в условиях твердофазного синтеза фосфорамидита, в котором присоединение каждого мономера нуклеозида включает четырехэтапную реакцию: снятие защитных групп, соединение, кэпирование и окисление или сульфирование. В некоторых вариантах реализации указанный способ дополнительно включает приведение в контакт соединения, представленного формулой (321), с мономером нуклеозида или последовательностью нуклеотидов, связанных с твердофазной подложкой, в условиях реакции сочетания в присутствии агента реакции сочетания, тем самым связывая соединение, представленное формулой (321), с последовательностью нуклеотидов посредством реакции сочетания.[219] Oligonucleotide conjugates according to the present description can be obtained using any suitable synthetic routes. For example, an oligonucleotide conjugate of the present invention can be prepared by a method comprising sequentially joining nucleoside monomers in a 3' to 5' direction according to the nucleotide type and oligonucleotide sequence, respectively, under the conditions of solid phase phosphoramidite synthesis, wherein the attachment of each nucleoside monomer comprises four-step reaction: deprotection, coupling, capping and oxidation or sulfonation. In some embodiments, said method further comprises contacting a compound represented by formula (321) with a nucleoside monomer or nucleotide sequence bound to a solid phase support under coupling reaction conditions in the presence of a coupling agent, thereby binding the compound represented by formula (321 ), with the nucleotide sequence through a coupling reaction.
[220] В некоторых вариантах реализации указанный способ дополнительно включает этап снятия защитных групп и отщепление от твердофазной подложки, выделение и очистку.[220] In some embodiments, said method further includes the step of deprotection and cleavage from the solid phase support, isolation, and purification.
[221] В некоторых вариантах реализации олигонуклеотид представляет собой двухцепочечный олигонуклеотид, и способ получения включает следующие этапы: приведение в контакт соединения, представленного формулой (321), с мономером нуклеозида на 3'-конце смысловой или антисмысловой цепи в условиях реакции сочетания в присутствии агента реакции сочетания, тем самым связывая соединение, представленное формулой (321), с первым нуклеотидом в последовательности, последовательное соединение мономеров нуклеозида от 3' к 5', чтобы синтезировать смысловую или антисмысловую цепь двухцепочечного олигонуклеотида, где соединение формулы (321) представляет собой соединение, в котором R4 содержит защищеннуб гидрокси-группу в качестве первой функциональной группы и группу, представленную формулой (C1') или (C3'), в качестве второй функциональной группы, с соединения формулы (321) снимают защиту перед соединением с первым мономером нуклеозида, и указанное присоединение каждого мономера нуклеозида включает четырехэтапную реакцию: снятие защитных групп, соединение, кэпирование и окисление или сульфирование, таким образом получая смысловую или антисмысловую цепь, связанную с конъюгирующей молекулой; последовательное соединение мономеров нуклеозида от 3' к 5', чтобы синтезировать другую цепь двухцепочечного олигонуклеотида, причем присоединение каждого мономера нуклеозида включает четырехэтапную реакцию: снятие защитных групп, соединение, кэпирование и окисление или сульфирование; удаление защитных групп и отщепление от твердофазной подложки; получение смысловой цепи и антисмысловой цепи путем выделения и очистки; и отжиг.[221] In some embodiments, the oligonucleotide is a double-stranded oligonucleotide and the method of preparation includes the steps of: contacting a compound represented by formula (321) with a nucleoside monomer at the 3' end of the sense or antisense strand under coupling reaction conditions in the presence of an agent coupling reactions, thereby linking the compound represented by formula (321) to the first nucleotide in the sequence, the 3' to 5' sequence of nucleoside monomers to synthesize the sense or antisense strand of a double-stranded oligonucleotide, where the compound of formula (321) is a compound, wherein R4 has a protected hydroxy group as a first functional group and a group represented by formula (C1') or (C3') as a second functional group, the compound of formula (321) is deprotected prior to coupling with the first nucleoside monomer, and said addition of each nucleoside monomer includes a four-step reaction: deprotection, coupling, capping, and oxidation or sulfonation, thereby producing a sense or antisense strand associated with the conjugating molecule; sequential connection of nucleoside monomers from 3' to 5' to synthesize another strand of a double-stranded oligonucleotide, and the addition of each nucleoside monomer includes a four-step reaction: deprotection, connection, capping and oxidation or sulfonation; deprotection and cleavage from the solid phase support; obtaining a sense strand and an antisense strand by isolation and purification; and annealing.
[222] В некоторых вариантах реализации олигонуклеотид представляет собой двухцепочечный олигонуклеотид, и способ получения включает следующие этапы: последовательное соединение мономеров нуклеозида от 3' к 5', чтобы синтезировать смысловую цепь и антисмысловую цепь двухцепочечного олигонуклеотида, присоединение каждого мономера нуклеозида включает четырехэтапную реакцию: снятие защитных групп, соединение, кэпирование и окисление или сульфирование, таким образом получая смысловую цепь, связанную с твердофазной подложкой, и антисмысловую цепь, связанную с твердофазной подложкой; приведение в контакт соединения, представленного формулой (321), со смысловой цепью, связанной с твердофазной подложкой, или антисмысловой цепью, связанной с твердофазной подложкой, в условиях реакции сочетания в присутствии агента реакции сочетания, тем самым связывая соединение, представленное формулой (321), со смысловой или антисмысловой цепью, где соединение формулы (321) представляет собой соединение, в котором R4 включает фосфорамидитную группу в качестве первой функциональной группы; удаление защитных групп и отщепление от твердофазной подложки, получение смысловой цепи и антисмысловой цепи олигонуклеотида путем выделения и очистки, и отжиг, при этом смысловая или антисмысловая цепь олигонуклеотида связана с конъюгирующей молекулой.[222] In some embodiments, the oligonucleotide is a double-stranded oligonucleotide, and the method of preparation includes the following steps: sequential connection of nucleoside monomers from 3' to 5', to synthesize the sense strand and antisense strand of the double-stranded oligonucleotide, the attachment of each nucleoside monomer includes a four-step reaction: removal protecting groups, coupling, capping and oxidation or sulfonation, thus obtaining a sense strand associated with the solid phase support and an antisense strand associated with the solid phase support; contacting a compound represented by formula (321) with a sense strand associated with a solid phase support or an antisense strand associated with a solid phase support under coupling reaction conditions in the presence of a coupling agent, thereby binding the compound represented by formula (321), with a sense or antisense chain, where the compound of formula (321) is a compound in which R4 includes a phosphoramidite group as the first functional group; deprotection and cleavage from the solid phase support, obtaining the sense strand and antisense strand of the oligonucleotide by isolation and purification, and annealing the sense or antisense strand of the oligonucleotide to the conjugating molecule.
[223] В некоторых вариантах реализации атом P в формуле A59 связан с 3'-концом смысловой цепи в миРНК, и способ получения конъюгата миРНК согласно настоящему описанию включает:[223] In some embodiments, the P atom in formula A59 is linked to the 3' end of the sense strand in the siRNA, and the method for preparing the siRNA conjugate as described herein includes:
(1) удаление защитной группы Rk в соединении формулы (321), связанном с твердофазной подложкой, как описано выше (далее также называют L-конъюгирующей молекулой, связанной с твердофазной подложкой); приведение в контакт L-конъюгирующей молекулы, связанной с твердофазной подложкой, с мономером нуклеозида с получением мономера нуклеозида, связанного с твердофазной подложкой L-конъюгирующей молекулой, в условиях реакции сочетания в присутствии агента реакции сочетания;(1) removing the protecting group Rk in the compound of formula (321) associated with a solid phase support as described above (hereinafter also referred to as an L-conjugating molecule associated with a solid phase support); contacting an L-conjugating molecule bound to the solid phase support with a nucleoside monomer to obtain a nucleoside monomer bound to the solid-phase support by the L-conjugating molecule under coupling reaction conditions in the presence of a coupling agent;
(2) синтез смысловой цепи миРНК от 3' к 5' фосфорамидитным способом твердофазного синтеза, начиная с мономера нуклеозида, связанного с твердофазной подложкой L-конъюгирующей молекулой;(2) synthesizing the sense strand of the siRNA from 3' to 5' by the phosphoramidite solid phase synthesis method, starting from the nucleoside monomer bound to the solid phase support by an L-conjugating molecule;
(3) синтез антисмысловой цепи миРНК фосфорамидитным способом твердофазного синтеза; и(3) synthesis of the antisense strand of miRNA by the phosphoramidite method of solid phase synthesis; And
(4) выделение смысловой цепи и антисмысловой цепи миРНК и ее отжиг с получением конъюгата миРНК согласно настоящему описанию.(4) isolating the sense strand and the antisense strand of the siRNA and annealing it to obtain an siRNA conjugate as described herein.
[224] Причем на этапе (1) способ удаления защитной группы Rk с L-конъюгирующей молекулы, связывающей с твердофазной подложкой, включает приведение в контакт соединения формулы (321) с агентом для снятия защитных групп в условиях реакции снятия защитных групп. Условия реакции снятия защитных групп включают температуру от 0 до 50°C, и в некоторых вариантах реализации от 15 до 35°C, и время реакции от 30 до 300 секунд, и в некоторых вариантах реализации от 50 до 150 секунд. Агент для снятия защитных групп можно выбрать из одного или более из следующих: трифторуксусной кислоты, трихлоруксусной кислоты, дихлоруксусной кислоты и монохлоруксусной кислоты, и в некоторых вариантах реализации он представляет собой дихлоруксусную кислоту. Молярное соотношение агента для снятия защитных групп к соединению, представленному формулой (322), может составлять от 10:1 до 1000:1 и в некоторых вариантах реализации составляет от 50:1 до 500:1.[224] Moreover, in step (1), the method for removing the protecting group Rk from an L-conjugating molecule binding to a solid phase support comprises contacting a compound of formula (321) with a deprotecting agent under deprotection reaction conditions. Deprotection reaction conditions include a temperature of 0 to 50°C, and in some embodiments, 15 to 35°C, and a reaction time of 30 to 300 seconds, and in some embodiments, 50 to 150 seconds. The deprotecting agent can be selected from one or more of trifluoroacetic acid, trichloroacetic acid, dichloroacetic acid, and monochloroacetic acid, and in some embodiments, is dichloroacetic acid. The molar ratio of the deprotecting agent to the compound represented by formula (322) may be from 10:1 to 1000:1, and in some embodiments is from 50:1 to 500:1.
[225] Условия реакции сочетания и агент реакции сочетания могут представлять собой любые условия и агенты, подходящие для описанной выше реакции сочетания. В некоторых вариантах реализации используют те же условие и агент, что и в реакции сочетания в применяемом способе твердофазного синтеза.[225] The coupling reaction conditions and the coupling reaction agent may be any of the conditions and agents suitable for the coupling reaction described above. In some embodiments, the same condition and agent is used as in the coupling reaction in the applied solid phase synthesis process.
[226] В некоторых вариантах реализации условия реакции сочетания включают температуру реакции от 0 до 50°C и в некоторых вариантах реализации 15 - 35°C. Молярное соотношение соединения формулы (321) к мономеру нуклеозида может составлять от 1:1 до 1:50 и в некоторых вариантах реализации составляет от 1:2 до 1:5. Молярное соотношение соединения формулы (322) к агенту реакции сочетания может составлять от 1:1 до 1:50 и в некоторых вариантах реализации составляет от 1:3 до 1:10. Время реакции может составлять 200 - 3000 секунд и в некоторых вариантах реализации составляет 500 - 1500 секунд. Агент реакции сочетания можно выбрать из одного или более из 1H-тетразола, 5-этилтио-1H-тетразола и 5-бензилтио-1H-тетразола, и в некоторых вариантах реализации он представляет собой 5-этилтио-1H-тетразол. Реакцию сочетания можно вести в органическом растворителе. Органический растворитель можно выбрать из одного или более из безводного ацетонитрила, безводного DMF и безводного дихлорметана, и в некоторых вариантах реализации он представляет собой безводный ацетонитрил. Количество органического растворителя может составлять 3 - 50 л/моль и в некоторых вариантах реализации составляет 5 - 20 л/моль в зависимости от соединения, представленного формулой (321).[226] In some embodiments, the coupling reaction conditions include a reaction temperature of 0 to 50°C, and in some embodiments, 15 to 35°C. The molar ratio of compound of formula (321) to nucleoside monomer can be from 1:1 to 1:50, and in some embodiments is from 1:2 to 1:5. The molar ratio of the compound of formula (322) to the coupling agent can be from 1:1 to 1:50 and in some embodiments is from 1:3 to 1:10. The reaction time may be 200-3000 seconds and in some implementations is 500-1500 seconds. The coupling agent may be selected from one or more of 1H-tetrazole, 5-ethylthio-1H-tetrazole, and 5-benzylthio-1H-tetrazole, and in some embodiments it is 5-ethylthio-1H-tetrazole. The coupling reaction can be carried out in an organic solvent. The organic solvent can be selected from one or more of anhydrous acetonitrile, anhydrous DMF, and anhydrous dichloromethane, and in some embodiments it is anhydrous acetonitrile. The amount of organic solvent may be 3-50 L/mol, and in some embodiments is 5-20 L/mol, depending on the compound represented by formula (321).
[227] На этапе (2) смысловую цепь С конъюгата миРНК синтезируют в направлении от 3' к 5' фосфорамидитным способом твердофазного синтеза, начиная с мономера нуклеозида, связанного с твердофазной подложкой L-конъюгирующей молекулой, полученной на описанных выше этапах. В данном случае L-конъюгирующая молекула связана с 3'-концом полученной в результате этого смысловой цепи.[227] In step (2), the C sense strand of the siRNA conjugate is synthesized in the 3' to 5' direction by the phosphoramidite solid phase synthesis method, starting with the nucleoside monomer bound to the solid phase support by the L-conjugate molecule obtained in the above steps. In this case, the L-conjugating molecule is linked to the 3' end of the resulting sense strand.
[228] Другие условия твердофазного синтеза, описанного в этапах (2) и (3), включают условия реакции снятия защитных групп для мономера нуклеозида, тип и количество агента для снятия защитных групп, условия реакции сочетания, тип и количество агента реакции сочетания, условие реакции кэпирования, тип и количество кэпирующего агента, условия реакции окисления, тип и количество окислителя, условия реакции сульфирования и тип и количество сульфирующего агента, различные агенты, количества и условия, обычно применяемые в данной области, используют в настоящем изобретении.[228] Other conditions of the solid phase synthesis described in steps (2) and (3) include the deprotection reaction conditions for the nucleoside monomer, the type and amount of the deprotecting agent, the coupling reaction conditions, the type and amount of the coupling reaction agent, the condition capping reactions, type and amount of capping agent, oxidation reaction conditions, type and amount of oxidizing agent, sulfonation reaction conditions, and type and amount of sulfonating agent, various agents, amounts and conditions commonly used in the art are used in the present invention.
[229] В некоторых вариантах реализации, например, при твердофазном синтезе, описанном в этапах (2) и (3), можно использовать следующие условия.[229] In some implementations, for example, in the solid phase synthesis described in steps (2) and (3), you can use the following conditions.
[230] Условия реакции снятия защитных групп для мономера нуклеозида включают температуру от 0 до 50°C и в некоторых вариантах реализации 15 - 35°C и время реакции от 30 до 300 секунд и в некоторых вариантах реализации 50 - 150 секунд. Агент для снятия защитных групп можно выбрать из одного или более из следующих: трифторуксусной кислоты, трихлоруксусной кислоты, дихлоруксусной кислоты и монохлоруксусной кислоты, и в некоторых вариантах реализации он представляет собой дихлоруксусную кислоту. Молярное соотношение агента для снятия защитных групп к защитной группе 4,4′-диметокситритилу на твердофазной подложке может составлять от 2:1 до 100:1 и в некоторых вариантах реализации составляет от 3:1 до 50:1.[230] Deprotection reaction conditions for the nucleoside monomer include a temperature of 0 to 50°C and in some
[231] Условия реакции сочетания включают температуру от 0 до 50°C и в некоторых вариантах реализации 15 - 35°C. Молярное соотношение последовательности нуклеиновой кислоты, связанной с твердофазной подложкой, к мономеру нуклеозида может составлять от 1:1 до 1:50 и в некоторых вариантах реализации составляет от 1:5 до 1:15. Молярное соотношение последовательности нуклеиновой кислоты, связанной с твердофазной подложкой, к агенту реакции сочетания может составлять от 1:1 до 1:100 и в некоторых вариантах реализации составляет от 1:50 до 1:80. Время реакции и агент реакции сочетания выбирают, как описано выше.[231] the Reaction conditions of the coupling include a temperature of from 0 to 50°C and in some implementations of 15 to 35°C. The molar ratio of the nucleic acid sequence bound to the solid phase support to the nucleoside monomer can be from 1:1 to 1:50, and in some embodiments is from 1:5 to 1:15. The molar ratio of the nucleic acid sequence bound to the solid phase support to the coupling agent can be from 1:1 to 1:100, and in some embodiments is from 1:50 to 1:80. The reaction time and the coupling agent are selected as described above.
[232] Условия реакции кэпирования включают температуру от 0 до 50°C, и в некоторых вариантах реализации 15 - 35°C, и время реакции от 5 до 500 секунд, и в некоторых вариантах реализации 10 - 100 секунд. Кэпирующий агент выбирают, как описано выше. Молярное соотношение общего количества кэпирующего агента к последовательности нуклеиновой кислоты, связанной с твердофазной подложкой, может составлять от 1:100 до 100:1 и в некоторых вариантах реализации составляет от 1:10 до 10:1. В случае, когда эквимолярный уксусный ангидрид и N-метилимидазол применяют в качестве кэпирующего агента, молярное соотношение уксусного ангидрида, N-метилимидазола и последовательности нуклеиновой кислоты, связанной с твердофазной подложкой, может составлять 1:1:10 - 10:10:1 и в некоторых вариантах реализации составляет 1:1:2 - 2:2:1.[232] Capping reaction conditions include a temperature of 0 to 50°C, and in some
[233] Условия реакции окисления включают температуру от 0 до 50°C, и в некоторых вариантах реализации 15 - 35°C, и время реакции от 1 до 100 секунд, и в некоторых вариантах реализации 5 - 50 секунд. В некоторых вариантах реализации окислитель представляет собой йод (и в дополнительных вариантах реализации предложен в виде йодной воды). Молярное соотношение окислителя к последовательности нуклеиновой кислоты, связанной с твердофазной подложкой, на этапе сочетания может составлять от 1:1 до 100:1 и в некоторых вариантах реализации составляет от 5:1 до 50:1. В некоторых вариантах реализации реакцию окисления ведут в смешанном растворителе тетрагидрофуран:вода:пиридин = 3:1:1 - 1:1:3. Условия реакции сульфирования включают температуру от 0 до 50°C, и в некоторых вариантах реализации 15 - 35°C, и время реакции от 50 до 2000 секунд, и в некоторых вариантах реализации 100 - 1000 секунд. В некоторых вариантах реализации сульфирующий агент представляет собой гидрид ксантана. Молярное соотношение сульфирующего агента к последовательности нуклеиновой кислоты, связанной с твердофазной подложкой, на этапе сочетания может составлять от 10:1 до 1000:1 и в некоторых вариантах реализации составляет от 10:1 до 500:1. В некоторых вариантах реализации реакцию сульфирования ведут в смешанном растворителе ацетонитрил: пиридин = 1:3 - 3:1.[233] Oxidation reaction conditions include a temperature of 0 to 50°C, and in some
[234] Согласно способу, предложенному в данной заявке, указанный способ дополнительно включает выделение смысловой цепи и антисмысловой цепи миРНК после соединения всех мономеров нуклеозида и перед отжигом. Способы выделения хорошо известны специалистам в данной области и, как правило, включают удаление синтезированной последовательности нуклеотидов с твердофазной подложки, снятие защитных групп с оснований, фосфатных групп и лигандов и очистку и обессоливание.[234] According to the method proposed in this application, this method further includes the selection of the sense strand and antisense strand miRNA after connection of all nucleoside monomers and before annealing. Isolation methods are well known to those skilled in the art and generally include removing the synthesized nucleotide sequence from the solid phase support, deprotecting the bases, phosphate groups and ligands, and purifying and desalting.
[235] Синтезированную последовательность нуклеотидов можно отщепить от твердофазной подложки, и защитные группы на основаниях, фосфатных группах и лигандах удалить, в соответствии с обычными способами расщепления и снятия защитных групп при синтезе миРНК. Например, полученную последовательность нуклеотидов, связанную с твердофазной подложкой, приводят в контакт с концентрированным водным аммиаком; во время снятия защитных групп, защитную группу YCOO- в группах A46 - A54 превращают в гидрокси-группу, таким образом, группы S1 превращают в соответствующие группы M1, получая конъюгат, представленный формулой (1). В данном случае концентрированный водный аммиак может представлять собой водный аммиак при концентрации 25 - 30% по массе. Количество концентрированного водного аммиака может составлять 0,2 мл/мкмоль - 0,8 мл/мкмоль в отношении целевой последовательности миРНК.[235] The synthesized nucleotide sequence can be cleaved from the solid phase support and the protecting groups on the bases, phosphate groups, and ligands removed, in accordance with conventional cleavage and deprotection techniques in siRNA synthesis. For example, the resulting nucleotide sequence associated with a solid phase support is brought into contact with concentrated aqueous ammonia; at the time of deprotection, the YCOO- protecting group in the A46 to A54 groups is converted into a hydroxy group, thus the S1 groups are converted into the corresponding M1 groups to obtain a conjugate represented by formula (1). In this case, concentrated aqueous ammonia may be aqueous ammonia at a concentration of 25 to 30% by weight. The amount of concentrated aqueous ammonia can be 0.2 ml/μmol - 0.8 ml/μmol in relation to the target siRNA sequence.
[236] Если на синтезированной последовательности нуклеотидов есть по меньшей мере одна защита 2'-TBDMS, то указанный способ дополнительно включает приведение в контакт последовательности нуклеотидов, удаленной с твердофазной подложки, с тригидрофторидом триэтиламина, чтобы удалить защиту 2'-TBDMS. В данном случае, полученная в результате этого последовательность целевой миРНК будет содержать свободную 2'-гидрокси-группу в соответствующем нуклеозиде. Количество чистого тригидрофторида триэтиламина относительно целевой последовательности миРНК может составлять 0,4 мл/мкмоль - 1,0 мл/мкмоль. Таким образом можно получить конъюгат миРНК согласно настоящему описанию.[236] If the synthesized nucleotide sequence has at least one 2'-TBDMS protection, said method further comprises contacting the nucleotide sequence removed from the solid phase support with triethylamine trihydrofluoride to remove the 2'-TBDMS protection. In this case, the resulting target siRNA sequence will contain a free 2'-hydroxy group in the corresponding nucleoside. The amount of pure triethylamine trihydrofluoride relative to the target siRNA sequence can be 0.4 ml/μmol - 1.0 ml/μmol. In this way, an siRNA conjugate according to the present disclosure can be obtained.
[237] Способы очистки и обессоливания хорошо известны специалистам в данной области. Например, очистку нуклеиновых кислот можно осуществить, применяя колонку для препаративной очистки с помощью ионообменной хроматографии с элюированием градиентом NaBr или NaCl; после сбора и объединения продукта, можно применять колонку для очистки методом обращенно-фазовой хроматографии для обессоливания.[237] Cleaning and desalting methods are well known to those skilled in the art. For example, purification of nucleic acids can be accomplished using a preparative purification column using ion exchange chromatography eluting with a gradient of NaBr or NaCl; after collection and pooling of the product, a reversed-phase chromatography purification column can be used for desalting.
[238] В процессе синтеза можно определить чистоту и молекулярную массу последовательности нуклеиновой кислоты в любое время, чтобы удобнее было контролировать качество синтеза. Такие способы хорошо известны специалистам в данной области. Например, чистоту нуклеиновой кислоты можно определить с помощью ионообменной хроматографии и молекулярную массу можно определить с помощью жидкостной хроматографии/масс-спектрометрии (ЖХ/МС).[238] During the synthesis, the purity and molecular weight of the nucleic acid sequence can be determined at any time to more conveniently control the quality of the synthesis. Such methods are well known to those skilled in the art. For example, the purity of the nucleic acid can be determined using ion exchange chromatography and the molecular weight can be determined using liquid chromatography/mass spectrometry (LC/MS).
[239] Способы отжига также хорошо известны специалистам в данной области. Например, синтезированную смысловую цепь (С цепь) и антисмысловую цепь (АС цепь) можно просто смешать в воде для инъекций в эквимолярных соотношениях, нагреть до 70 - 95°C, а затем охладить при комнатной температуре с образованием двухцепочечной структуры водородными связями. Соответственно, таким образом можно получить конъюгаты миРНК согласно настоящему изобретению.[239] Annealing techniques are also well known to those skilled in the art. For example, the synthesized sense strand (C strand) and antisense strand (AC strand) can simply be mixed in water for injection in equimolar ratios, heated to 70-95°C, and then cooled at room temperature to form a double-stranded hydrogen bond structure. Accordingly, siRNA conjugates according to the present invention can be prepared in this way.
[240] После получения конъюгата согласно настоящему изобретению, в некоторых вариантах реализации, конъюгат миРНК, синтезированный таким образом, также можно охарактеризовать, применяя такие устройства как устройства для ЖХ/МС с помощью таких средств как средства детектирования молекулярной массы, чтобы подтвердить, что синтезированный конъюгат миРНК представляет собой разработанный целевой конъюгат миРНК и синтезированная последовательность миРНК представляет собой желательную последовательность миРНК, например, представляет собой одну из последовательностей, перечисленных в таблице 1 выше.[240] After obtaining the conjugate of the present invention, in some embodiments, the siRNA conjugate synthesized in this way can also be characterized using devices such as LC/MS devices using means such as molecular weight detection tools to confirm that the synthesized the siRNA conjugate is the designed target siRNA conjugate and the synthesized siRNA sequence is the desired siRNA sequence, eg one of the sequences listed in Table 1 above.
Применение конъюгата согласно настоящему изобретению.The use of the conjugate according to the present invention.
[241] В данной заявке описано, что конъюгат можно применять для доставки в клетку некоторого активного агента для лечения или предотвращения заболевания или состояния, при котором может потребоваться такая доставка. Без привязки к какой-либо теории полагают, что пространственная конфигурация конъюгирующей молекулы особенно эффективна для нацеливания на рецептор на поверхности клетки и, следовательно, приведения в контакт нагруженного активного агента с клеткой. В некоторых вариантах реализации такой конъюгат представляет собой олигонуклеотидный конъюгат, нацеленный на гепатоцит.[241] This application describes that the conjugate can be used to deliver some active agent to a cell to treat or prevent a disease or condition that may require such delivery. Without wishing to be bound by any theory, it is believed that the spatial configuration of the conjugating molecule is particularly effective in targeting a receptor on the cell surface and therefore bringing the loaded active agent into contact with the cell. In some embodiments, such a conjugate is an oligonucleotide conjugate that targets a hepatocyte.
[242] В некоторых вариантах реализации олигонуклеотидный конъюгат согласно настоящему изобретению обладает превосходной специфичностью нацеливания на печень и, следовательно, может эффективно доставлять конъюгированный функциональный олигонуклеотид в печень, за счет этого эффективно регулируя экспрессию определенных генов в гепатоцитах. Следовательно, олигонуклеотидный конъюгат согласно настоящему изобретению имеет широкие перспективы применения.[242] In some embodiments, the oligonucleotide conjugate of the present invention has excellent liver targeting specificity and therefore can effectively deliver the conjugated functional oligonucleotide to the liver, thereby effectively regulating the expression of certain genes in hepatocytes. Therefore, the oligonucleotide conjugate of the present invention has a wide range of applications.
[243] В некоторых вариантах реализации настоящего описания предложено применение олигонуклеотидного конъюгата согласно настоящему изобретению для получения лекарственного средства для лечения и/или предотвращения патологических состояний или заболеваний, вызванных экспрессией определенных генов в гепатоцитах. Определенный ген может представлять собой эндогенный ген, экспрессированный в печени, или патогенный ген, размножившийся в печени. В некоторых вариантах реализации указанные определенные гены представляют собой такие гены как ApoB, ApoC, ANGPTL3, PCSK9, SCD1, TIMP-1, Col1A1, FVII, STAT3, p53, HBV или HCV. В некоторых вариантах реализации определенный ген представляет собой ген HBV, ген ANGPTL3 или ген APOC3. Соответственно, заболевания выбраны из хронического заболевания печени, гепатита, фиброза печени, пролиферативных заболеваний печени и дислипидемии. В некоторых вариантах реализации дислипидемия представляет собой гиперхолестеринемию, гипертриглицеридемию или атеросклероз.[243] In some embodiments of the present description, the use of an oligonucleotide conjugate of the present invention is provided for the preparation of a medicament for the treatment and/or prevention of pathological conditions or diseases caused by the expression of certain genes in hepatocytes. The specific gene may be an endogenous gene expressed in the liver or a pathogenic gene that has proliferated in the liver. In some embodiments, said specific genes are ApoB, ApoC, ANGPTL3, PCSK9, SCD1, TIMP-1, Col1A1, FVII, STAT3, p53, HBV, or HCV genes. In some embodiments, the specified gene is an HBV gene, an ANGPTL3 gene, or an APOC3 gene. Accordingly, the diseases are selected from chronic liver disease, hepatitis, liver fibrosis, proliferative liver diseases, and dyslipidemia. In some embodiments, the dyslipidemia is hypercholesterolemia, hypertriglyceridemia, or atherosclerosis.
[244] В некоторых вариантах реализации настоящего описания предложен способ лечения патологических состояний или заболеваний, вызванных экспрессией определенных генов в гепатоцитах, включающий введение олигонуклеотидного конъюгата согласно настоящему изобретению нуждающемуся в этом субъекту. В некоторых вариантах реализации указанные определенные гены представляют собой такие гены как ApoB, ApoC, ANGPTL3, PCSK9, SCD1, TIMP-1, Col1A1, FVII, STAT3, p53, HBV или HCV. В некоторых вариантах реализации определенный ген выбран из гена HBV, гена ANGPTL3 и гена APOC3. Соответственно, заболевания выбраны из хронического заболевания печени, гепатита, фиброза печени, пролиферативных заболеваний печени и дислипидемии. В некоторых вариантах реализации дислипидемия представляет собой гиперхолестеринемию, гипертриглицеридемию или атеросклероз. В некоторых вариантах реализации конъюгат, предложенный в настоящем описании, также можно применять для лечения других заболеваний печени, включая заболевания, для которых характерна нежелательная пролиферация клеток, болезни крови, метаболические заболевания и заболевания, для которых характерно воспаление. Пролиферативные заболевания печени могут представлять собой доброкачественные или злокачественные заболевания, такие как рак, гепатоцеллюлярная карцинома (ГЦК), метастазы в печень или гепатобластома. Гематология печени или воспалительные заболевания могут представлять собой заболевания с вовлечением факторов свертывания крови, комплемент-опосредованного воспаления или фиброза. Метаболические заболевания печени включают дислипидемию и нарушенную регуляцию глюкозы. В некоторых вариантах реализации указанный способ включает введение одного или более олигонуклеотидов, имеющих высокую степень гомологии с последовательностями генов, вовлеченных в заболевания печени.[244] In some embodiments, the present description provides a method of treating pathological conditions or diseases caused by the expression of certain genes in hepatocytes, comprising the introduction of an oligonucleotide conjugate according to the present invention to a subject in need of this. In some embodiments, said specific genes are ApoB, ApoC, ANGPTL3, PCSK9, SCD1, TIMP-1, Col1A1, FVII, STAT3, p53, HBV, or HCV genes. In some embodiments, the specified gene is selected from the HBV gene, the ANGPTL3 gene, and the APOC3 gene. Accordingly, the diseases are selected from chronic liver disease, hepatitis, liver fibrosis, proliferative liver diseases, and dyslipidemia. In some embodiments, the dyslipidemia is hypercholesterolemia, hypertriglyceridemia, or atherosclerosis. In some embodiments, the conjugate provided herein can also be used to treat other liver diseases, including diseases characterized by unwanted cell proliferation, blood diseases, metabolic diseases, and diseases characterized by inflammation. Proliferative liver diseases can be benign or malignant diseases such as cancer, hepatocellular carcinoma (HCC), liver metastases, or hepatoblastoma. Liver hematology or inflammatory diseases may be diseases involving clotting factors, complement-mediated inflammation, or fibrosis. Metabolic liver diseases include dyslipidemia and impaired glucose regulation. In some embodiments, said method comprises administering one or more oligonucleotides having a high degree of homology to gene sequences involved in liver diseases.
[245] В некоторых вариантах реализации настоящего описания предложен способ ингибирования экспрессии определенных генов в гепатоцитах, включающий приведение в контакт конъюгата миРНК согласно настоящему описанию с гепатоцитами.[245] In some embodiments, the present disclosure provides a method for inhibiting the expression of certain genes in hepatocytes, comprising contacting an siRNA conjugate as described herein with hepatocytes.
[246] Цели предотвращения и/или лечения патологических состояний или заболеваний, вызванных экспрессией определенных генов в гепатоцитах, можно достичь за счет механизма регуляции экспрессии гена путем введения олигонуклеотидного конъюгата согласно настоящему изобретению нуждающемуся в этом субъекту. Следовательно, олигонуклеотидный конъюгат согласно настоящему изобретению можно применять для предотвращения и/или лечения патологических состояний или заболеваний, описанных в данной заявке, или для получения лекарственного средства для предотвращения и/или лечения патологических состояний или заболеваний, описанных в данной заявке.[246] The goals of preventing and/or treating pathological conditions or diseases caused by the expression of certain genes in hepatocytes can be achieved through a mechanism for regulating gene expression by administering an oligonucleotide conjugate of the present invention to a subject in need thereof. Therefore, the oligonucleotide conjugate according to the present invention can be used to prevent and/or treat the pathological conditions or diseases described in this application, or to obtain a drug for the prevention and/or treatment of the pathological conditions or diseases described in this application.
[247] В данной заявке термин «введение» и его грамматические эквиваленты относятся к доставке конъюгата, такого как олигонуклеотидный конъюгат, в организм субъекта с помощью способа или пути, который по меньшей мере частично локализует конъюгат в желательном месте для получения необходимого эффекта. Подходящие пути введения для способов согласно настоящему описанию включают, но не ограничены топическим введением и системным введением. Обычно топическое введение приводит к доставке большего количества олигонуклеотидных конъюгатов в определенное место по сравнению с системным кровотоком субъекта; тогда как системное введение приводит к доставке олигонуклеотидного конъюгата в системный кровоток пациента. В некоторых вариантах реализации используют способ введения, способный доставлять лекарственные средства в печень, принимая во внимание, что целью настоящего изобретения является предоставление средств для предотвращения и/или лечения патологических состояний или заболеваний, вызванных экспрессией определенных генов в гепатоцитах.[247] In this application, the term "administration" and its grammatical equivalents refer to the delivery of a conjugate, such as an oligonucleotide conjugate, to a subject's body by a method or route that at least partially localizes the conjugate to the desired location to obtain the desired effect. Suitable routes of administration for the methods of the present disclosure include, but are not limited to, topical administration and systemic administration. Typically, topical administration results in the delivery of more oligonucleotide conjugates to a specific site compared to the subject's systemic circulation; while systemic administration results in delivery of the oligonucleotide conjugate into the patient's systemic circulation. In some embodiments, an administration method capable of delivering drugs to the liver is used, whereas it is an object of the present invention to provide agents for the prevention and/or treatment of pathological conditions or diseases caused by the expression of certain genes in hepatocytes.
[248] Введение пациенту можно осуществить с помощью любых подходящих путей, известных в данной области, включая, но не ограничиваясь пероральным и парентеральным путем, таким как внутривенное введение, внутримышечное введение, подкожное введение, трансдермальное введение, внутритрахеальное введение (аэрозоль), введение в легкие, назальное введение, ректальное введение и топическое введение (включая буккальное введение и сублингвальное введение). Частота введения может составлять один или более раз в день, неделю, две недели, месяц или год.[248] Administration to a patient may be by any suitable route known in the art, including but not limited to oral and parenteral routes such as intravenous, intramuscular, subcutaneous, transdermal, intratracheal (aerosol), lungs, nasal administration, rectal administration and topical administration (including buccal administration and sublingual administration). The frequency of administration may be one or more times per day, week, two weeks, month or year.
[249] Доза олигонуклеотидного конъюгата согласно настоящему изобретению может представлять собой обычную в данной области дозу, которую можно определить в соответствии с различными параметрами, особенно возрастом, массой тела и полом пациента. Токсичность и эффективность можно измерить в культурах клеток или экспериментальных животных с помощью стандартных фармацевтических процедур, например, путем определения LD50 (летальной дозы, которая вызывает смерть 50% популяции) и ED50 (дозы, которая может вызывать 50% интенсивности максимального ответа при количественной оценке ответа, и которая вызывает положительный ответ у 50% у экспериментальных субъектов в рамках качественного ответа). Диапазон дозы для человека можно установить на основании результатов, полученных при анализе культур клеток и исследованиях на животных.[249] The dose of the oligonucleotide conjugate of the present invention may be a dose customary in the art, which can be determined according to various parameters, especially the age, body weight, and gender of the patient. Toxicity and efficacy can be measured in cell cultures or experimental animals using standard pharmaceutical procedures, for example, by determining the LD50 (lethal dose that causes death of 50% of the population) and ED50 (the dose that can cause 50% of the intensity of the maximum response when quantifying the response , and which elicits a positive response in 50% of experimental subjects within a qualitative response). The dose range for humans can be established based on the results obtained from the analysis of cell cultures and animal studies.
[250] При введении конъюгата согласно настоящему изобретению, например, мышам C57BL/6J или C3H/HeNCrlVr, самцам или самкам в возрасте 6 - 12 недель с массой тела 18 - 25 г, для доставки олигонуклеотидного конъюгата, образованного функциональным олигонуклеотидом и конъюгирующими молекулами, описанными в данной заявке, количество олигонуклеотида для доставки с помощью конъюгата может составлять 0,001 - 100 мг/кг массы тела и в некоторых вариантах реализации составляет 0,01 - 50 мг/кг массы тела, и в дополнительных вариантах реализации составляет 0,05 - 20 мг/кг массы тела, и в еще дополнительных вариантах реализации составляет 0,1 - 15 мг/кг массы тела, и в еще дополнительных вариантах реализации составляет 0,1 - 10 мг/кг массы тела, что рассчитывают по количеству олигонуклеотида в олигонуклеотидном конъюгате. При введении олигонуклеотидного конъюгата согласно настоящему изобретению указанные выше количества предпочтительны.[250] When administering the conjugate of the present invention to, for example, C57BL/6J or C3H/HeNCrlVr mice, males or females aged 6-12 weeks weighing 18-25 g, to deliver an oligonucleotide conjugate formed by a functional oligonucleotide and conjugating molecules, described in this application, the amount of oligonucleotide for delivery using the conjugate can be 0.001 - 100 mg / kg body weight and in some embodiments is 0.01 - 50 mg / kg body weight, and in additional implementations is 0.05 - 20 mg/kg of body weight, and in still additional embodiments is 0.1 - 15 mg/kg of body weight, and in still additional embodiments is 0.1 - 10 mg/kg of body weight, which is calculated from the amount of oligonucleotide in the oligonucleotide conjugate . When administering the oligonucleotide conjugate of the present invention, the above amounts are preferred.
[251] Кроме того, цель ингибирования экспрессии определенных генов в гепатоцитах также может быть достигнута за счет механизма регуляции экспрессии гена путем введения олигонуклеотидного конъюгата согласно настоящему изобретению в гепатоциты с аберрантной экспрессией определенных генов. В некоторых вариантах реализации гепатоциты представляют собой клетки гепатита, и в некоторых вариантах реализации представляют собой клетки HepG2.2.15. В некоторых вариантах реализации гепатоциты можно выбрать из линий клеток гепатомы, таких как Hep3B, HepG2 или Huh7, и выделенных первичных клеток печени, и в некоторых вариантах реализации они представляют собой клетки гепатомы Huh7.[251] In addition, the goal of inhibiting the expression of certain genes in hepatocytes can also be achieved through the mechanism of regulation of gene expression by introducing the oligonucleotide conjugate of the present invention into hepatocytes with aberrant expression of certain genes. In some embodiments, the hepatocytes are hepatitis cells, and in some embodiments, they are HepG2.2.15 cells. In some embodiments, hepatocytes can be selected from hepatoma cell lines such as Hep3B, HepG2 or Huh7 and isolated primary liver cells, and in some embodiments they are Huh7 hepatoma cells.
[252] В случае, когда экспрессию определенных генов в гепатоцитах ингибируют применяя способ, предложенный в настоящем описании, количество функционального олигонуклеотида в предложенном олигонуклеотидном конъюгате могут легко определить специалисты в данной области в зависимости от необходимого эффекта. Например, в некоторых вариантах реализации, в которых олигонуклеотидный конъюгат представляет собой конъюгат миРНК, количество миРНК в предложенном конъюгате миРНК представляет собой количество, достаточное для снижения экспрессии целевого гена и приводящее к внеклеточной концентрации, составляющей от 1 пМ до 1 мкМ, или от 0,01 нМ до 100 нМ, или от 0,05 нМ до 50 нМ или от 0,05 нМ до приблизительно 5 нМ. Количество, необходимое для достижения такой локальной концентрации, будет изменяться в зависимости от различных факторов, включая способ доставки, место доставки, количество слоев клеток между местом доставки и целевыми клетками или тканью, путь доставки (топический или системный) и т.д. Концентрация в месте доставки может быть значительно выше, чем таковая на поверхности целевых клеток или ткани.[252] In the case where the expression of certain genes in hepatocytes is inhibited using the method proposed in the present description, the amount of functional oligonucleotide in the proposed oligonucleotide conjugate can be easily determined by those skilled in the art depending on the desired effect. For example, in some embodiments in which the oligonucleotide conjugate is an siRNA conjugate, the amount of siRNA in the proposed siRNA conjugate is an amount sufficient to reduce target gene expression and result in an extracellular concentration of 1 pM to 1 μM, or 0, 01 nM to 100 nM, or 0.05 nM to 50 nM, or 0.05 nM to about 5 nM. The amount needed to achieve such a local concentration will vary depending on various factors, including the method of delivery, the site of delivery, the number of cell layers between the site of delivery and the target cells or tissue, the route of delivery (topical or systemic), etc. The concentration at the site of delivery may be significantly higher than that at the surface of the target cells or tissue.
Полезные действия.Helpful actions.
[253] В некоторых вариантах реализации конъюгаты, предложенные в настоящем описании, более эффективно доставляют олигонуклеотид in vivo, проявляют более низкую токсичность, лучшую стабильность и/или более высокую активность. В некоторых вариантах реализации конъюгаты, описанные в данной заявке, проявляют степень ингибирования экспрессии целевого гена, составляющую по меньшей мере 20%, 30%, 40%, 50%, 60%, 70%, 80%, 90% или 95%. В некоторых вариантах реализации конъюгаты, описанные в данной заявке, проявляют степень ингибирования экспрессии гена HBV, составляющую по меньшей мере 20%, 30%, 40%, 50%, 60%, 70%, 80%, 90% или 95%. В некоторых вариантах реализации конъюгаты, описанные в данной заявке, проявляют степень ингибирования экспрессии гена HBV в печени, составляющую по меньшей мере 20%, 30%, 40%, 50%, 60%, 70%, 80%, 90% или 95%. В некоторых вариантах реализации конъюгаты, описанные в данной заявке, проявляют степень ингибирования экспрессии гена HBV в печени в моделях на животных, составляющую по меньшей мере 20%, 30%, 40%, 50%, 60%, 70%, 80%, 90% или 95%. В некоторых вариантах реализации конъюгаты, описанные в данной заявке, проявляют степень ингибирования экспрессии гена HBV у людей, составляющую по меньшей мере 20%, 30%, 40%, 50%, 60%, 70%, 80%, 90% или 95%. В некоторых вариантах реализации конъюгаты, описанные в данной заявке, проявляют степень ингибирования экспрессии поверхностного антигена HBV, составляющую по меньшей мере 20%, 30%, 40%, 50%, 60%, 70%, 80%, 90% или 95%. В некоторых вариантах реализации конъюгаты, описанные в данной заявке, проявляют степень ингибирования экспрессии гена ANGPTL3, составляющую по меньшей мере 20%, 30%, 40%, 50%, 60%, 70%, 80%, 90% или 95%. В некоторых вариантах реализации конъюгаты, описанные в данной заявке, проявляют степень ингибирования экспрессии гена ANGPTL3 в печени, составляющую по меньшей мере 20%, 30%, 40%, 50%, 60%, 70%, 80%, 90% или 95%. В некоторых вариантах реализации конъюгаты, описанные в данной заявке, проявляют степень ингибирования экспрессии гена ANGPTL3 в печени в моделях на животных, составляющую по меньшей мере 20%, 30%, 40%, 50%, 60%, 70%, 80%, 90% или 95%. В некоторых вариантах реализации конъюгаты, описанные в данной заявке, проявляют степень ингибирования экспрессии гена ANGPTL3 у людей, составляющую по меньшей мере 20%, 30%, 40%, 50%, 60%, 70%, 80%, 90% или 95%. В некоторых вариантах реализации конъюгаты, описанные в данной заявке, проявляют степень ингибирования экспрессии гена APOC3, составляющую по меньшей мере 20%, 30%, 40%, 50%, 60%, 70%, 80%, 90% или 95%. В некоторых вариантах реализации конъюгаты, описанные в данной заявке, проявляют степень ингибирования экспрессии гена APOC3 в печени, составляющую по меньшей мере 20%, 30%, 40%, 50%, 60%, 70%, 80%, 90% или 95%. В некоторых вариантах реализации конъюгаты, описанные в данной заявке, проявляют степень ингибирования экспрессии гена APOC3 в печени в моделях на животных, составляющую по меньшей мере 20%, 30%, 40%, 50%, 60%, 70%, 80%, 90% или 95%. В некоторых вариантах реализации конъюгаты, описанные в данной заявке, проявляют степень ингибирования экспрессии гена APOC3 у людей, составляющую по меньшей мере 20%, 30%, 40%, 50%, 60%, 70%, 80%, 90% или 95%. В некоторых вариантах реализации конъюгаты, описанные в данной заявке, не оказывают значительного нецелевого действия. Побочное действие может представлять собой, например, ингибирование экспрессии гена, который не является целевым геном. Его считают незначимым, если уровень связывания/ингибирования экспрессии нецелевого гена ниже, чем 50%, 40%, 30%, 20% или 10% от такового для целевого действия.[253] In some embodiments, the conjugates provided herein deliver the oligonucleotide more efficiently in vivo, exhibit lower toxicity, better stability, and/or higher activity. In some embodiments, the conjugates described herein exhibit a degree of inhibition of target gene expression of at least 20%, 30%, 40%, 50%, 60%, 70%, 80%, 90%, or 95%. In some embodiments, the conjugates described herein exhibit a degree of inhibition of HBV gene expression of at least 20%, 30%, 40%, 50%, 60%, 70%, 80%, 90%, or 95%. In some embodiments, the conjugates described herein exhibit a degree of inhibition of HBV gene expression in the liver of at least 20%, 30%, 40%, 50%, 60%, 70%, 80%, 90%, or 95% . In some embodiments, the conjugates described herein exhibit a degree of inhibition of HBV gene expression in the liver in animal models of at least 20%, 30%, 40%, 50%, 60%, 70%, 80%, 90 % or 95%. In some embodiments, the conjugates described herein exhibit a degree of inhibition of HBV gene expression in humans of at least 20%, 30%, 40%, 50%, 60%, 70%, 80%, 90%, or 95% . In some embodiments, the conjugates described herein exhibit a degree of inhibition of HBV surface antigen expression of at least 20%, 30%, 40%, 50%, 60%, 70%, 80%, 90%, or 95%. In some embodiments, the conjugates described herein exhibit a degree of inhibition of ANGPTL3 gene expression of at least 20%, 30%, 40%, 50%, 60%, 70%, 80%, 90%, or 95%. In some embodiments, the conjugates described herein exhibit a degree of inhibition of ANGPTL3 gene expression in the liver of at least 20%, 30%, 40%, 50%, 60%, 70%, 80%, 90%, or 95% . In some embodiments, the conjugates described herein exhibit a degree of inhibition of ANGPTL3 gene expression in the liver in animal models of at least 20%, 30%, 40%, 50%, 60%, 70%, 80%, 90 % or 95%. In some embodiments, the conjugates described herein exhibit a degree of inhibition of ANGPTL3 gene expression in humans of at least 20%, 30%, 40%, 50%, 60%, 70%, 80%, 90%, or 95% . In some embodiments, the conjugates described herein exhibit a degree of inhibition of APOC3 gene expression of at least 20%, 30%, 40%, 50%, 60%, 70%, 80%, 90%, or 95%. In some embodiments, the conjugates described herein exhibit a degree of inhibition of APOC3 gene expression in the liver of at least 20%, 30%, 40%, 50%, 60%, 70%, 80%, 90%, or 95% . In some embodiments, the conjugates described herein exhibit a degree of inhibition of APOC3 gene expression in the liver in animal models of at least 20%, 30%, 40%, 50%, 60%, 70%, 80%, 90 % or 95%. In some embodiments, the conjugates described herein exhibit a degree of inhibition of APOC3 gene expression in humans of at least 20%, 30%, 40%, 50%, 60%, 70%, 80%, 90%, or 95% . In some embodiments, the conjugates described in this application do not have a significant off-target effect. A side effect may be, for example, inhibition of the expression of a gene that is not the target gene. It is considered insignificant if the level of binding/inhibition of expression of the non-target gene is less than 50%, 40%, 30%, 20%, or 10% of that for the target action.
[254] Согласно некоторым вариантам реализации настоящего описания, конъюгаты, предложенные в настоящем описании, эффективно доставляют миРНК в печень, и проявляют превосходное свойство ингибирования экспрессии гена HBV, например, степень ингибирования 87,4% - 92,2% экспрессии гена HBV в печени моделей HBV у мышей при дозе, равной 1 мг/кг, наряду с низким уровнем нецелевого действия. В некоторых вариантах реализации конъюгаты согласно настоящему описанию эффективно снижают экспрессию поверхностного антигена HBV в модели HBV у мышей и достигают степени ингибирования, составляющей 96,9% экспрессии поверхностного антигена HBV, и степени ингибирования, составляющей 95,4% ДНК HBV, при дозе, равной 3 мг/кг. В некоторых вариантах реализации конъюгаты, предложенные в настоящем описании, оказывают превосходное ингибиторное действие на экспрессию HBV при низких дозах в течение периода, составляющего до 140 дней.[254] According to some embodiments of the present description, the conjugates provided herein effectively deliver siRNA to the liver, and exhibit excellent property of inhibiting HBV gene expression, for example, the degree of inhibition of 87.4% - 92.2% of HBV gene expression in the liver HBV models in mice at a dose of 1 mg/kg, along with a low level of off-target effects. In some embodiments, the conjugates of the present disclosure effectively reduce HBV surface antigen expression in a mouse model of HBV and achieve an inhibition rate of 96.9% of HBV surface antigen expression and an inhibition rate of 95.4% of HBV DNA at a dose of 3 mg/kg. In some embodiments, the conjugates provided herein have an excellent inhibitory effect on HBV expression at low doses for up to 140 days.
[255] Согласно одному варианту реализации настоящего изобретения, конъюгаты, предложенные в настоящем описании, эффективно доставляют миРНК в печень и проявляют превосходное свойство ингибирования экспрессии гена HBV, например, степень ингибирования, составляющую по меньшей мере 69,3% или 78,1% - 89,1% экспрессии гена HBV в печени моделей HBV у мышей при дозе, равной 1 мг/кг, наряду с низким уровнем нецелевого действия. В некоторых вариантах реализации конъюгаты согласно настоящему описанию эффективно снижают экспрессию поверхностного антигена HBV в модели HBV у мышей и достигают степени ингибирования, составляющей 98,4% экспрессии поверхностного антигена HBV, и степени ингибирования, составляющей 95,8% ДНК HBV, при дозе, равной 3 мг/кг. В некоторых вариантах реализации специфичные конъюгаты, предложенные в настоящем описании, оказывают превосходное ингибиторное действие на экспрессию HBV при низких дозах в течение периода, составляющего до 84 дней, по сравнению с эталонными конъюгатами.[255] According to one embodiment of the present invention, the conjugates provided herein effectively deliver siRNA to the liver and exhibit excellent property of inhibiting HBV gene expression, such as an inhibition rate of at least 69.3% or 78.1% - 89.1% HBV gene expression in mouse HBV liver models at 1mg/kg along with low off-target activity. In some embodiments, the conjugates of the present disclosure effectively reduce HBV surface antigen expression in a mouse model of HBV and achieve an inhibition of 98.4% of HBV surface antigen expression and an inhibition of 95.8% of HBV DNA at a dose of 3 mg/kg. In some embodiments, specific conjugates provided herein provide superior inhibitory effect on HBV expression at low doses for up to 84 days compared to reference conjugates.
[256] Согласно одному варианту реализации настоящего изобретения, конъюгаты, предложенные в настоящем описании, эффективно доставляют миРНК в печень и проявляют превосходное свойство ингибирования экспрессии гена HBV, например, степень ингибирования, составляющую по меньшей мере 48,5% или 76,8% - 80,0% экспрессии гена HBV в печени моделей HBV у мышей при дозе, равной 1 мг/кг, наряду с низким уровнем нецелевого действия. В некоторых вариантах реализации конъюгаты согласно настоящему описанию также эффективно снижают экспрессию поверхностного антигена HBV в модели HBV у мышей и достигают степени ингибирования, составляющей 84,6% экспрессии поверхностного антигена HBV, и степени ингибирования, составляющей 85,6% ДНК HBV, даже при дозе, равной 3 мг/кг. В некоторых вариантах реализации конъюгаты, предложенные в настоящем описании, оказывают большее ингибиторное действие на экспрессию HBV при низких дозах в течение периода 21 день, по сравнению с эталонными конъюгатами.[256] According to one embodiment of the present invention, the conjugates provided herein effectively deliver siRNA to the liver and exhibit excellent property of inhibiting HBV gene expression, such as an inhibition rate of at least 48.5% or 76.8% - 80.0% HBV gene expression in mouse HBV liver models at 1mg/kg along with low off-target activity. In some embodiments, the conjugates of the present disclosure also effectively reduce HBV surface antigen expression in a mouse model of HBV and achieve an inhibition rate of 84.6% of HBV surface antigen expression and an inhibition rate of 85.6% of HBV DNA, even at a dose of equal to 3 mg/kg. In some embodiments, the conjugates provided herein have a greater inhibitory effect on HBV expression at low doses over a 21 day period than the reference conjugates.
[257] Согласно одному варианту реализации настоящего изобретения, конъюгаты, предложенные в настоящем описании, эффективно доставляют миРНК в печень и проявляют превосходное свойство ингибирования экспрессии гена HBV, например, степень ингибирования, составляющую по меньшей мере 60,1% или в некоторых вариантах реализации 80,7% - 84,5% экспрессии участка гена X HBV в печени моделей HBV у мышей при дозе, равной 1 мг/кг, наряду с низким уровнем нецелевого действия. В некоторых вариантах реализации конъюгаты согласно настоящему описанию также эффективно снижают экспрессию поверхностного антигена HBV в модели HBV у мышей и достигают степени ингибирования, составляющей 94,8% экспрессии поверхностного антигена HBV, и степени ингибирования, составляющей 95,8% ДНК HBV, даже при дозе, равной 3 мг/кг. В некоторых вариантах реализации конъюгаты, предложенные в настоящем описании, оказывают превосходное ингибиторное действие на экспрессию HBV при низких дозах в течение периода, составляющего до 56 дней, по сравнению с эталонными конъюгатами.[257] According to one embodiment of the present invention, the conjugates provided herein effectively deliver siRNA to the liver and exhibit excellent property of inhibiting HBV gene expression, e.g., an inhibition rate of at least 60.1%, or in some embodiments, 80 .7% - 84.5% expression of the HBV X gene region in the liver of mouse HBV models at a dose of 1 mg/kg, along with a low level of off-target effects. In some embodiments, the conjugates of the present disclosure also effectively reduce HBV surface antigen expression in a mouse model of HBV and achieve an inhibition rate of 94.8% of HBV surface antigen expression and an inhibition rate of 95.8% of HBV DNA, even at a dose of equal to 3 mg/kg. In some embodiments, the conjugates provided herein have an excellent inhibitory effect on HBV expression at low doses for up to 56 days compared to reference conjugates.
[258] Согласно одному варианту реализации настоящего изобретения, конъюгаты, предложенные в настоящем описании, могут эффективно доставлять миРНК в печень и проявляют превосходное свойство ингибирования экспрессии гена ANGPTL3, например, степень ингибирования, составляющую по меньшей мере 57,3% экспрессии гена ANGPTL3 в печени модельных мышей, получавших корм с высоким содержанием жиров, при дозе, равной 1 мг/кг, и до 90,4% при дозе, равной 3 мг/кг. В некоторых вариантах реализации конъюгаты, предложенные в настоящем описании, проявляют превосходное ингибирование экспрессии ANGPTL3 и оказывают гиполипидемическое действие при низких дозах и низкой частоте введения в течение периода, составляющего до 49 дней, по сравнению с эталонными конъюгатами.[258] According to one embodiment of the present invention, the conjugates provided herein can effectively deliver siRNA to the liver and exhibit excellent property of inhibiting ANGPTL3 gene expression, such as an inhibition rate of at least 57.3% of ANGPTL3 gene expression in the liver. model mice fed a high fat diet at 1 mg/kg and up to 90.4% at 3 mg/kg. In some embodiments, the conjugates provided herein exhibit superior inhibition of ANGPTL3 expression and exhibit lipid-lowering effects at low doses and low frequency of administration over a period of up to 49 days compared to reference conjugates.
[259] Согласно одному варианту реализации настоящего изобретения, конъюгаты, предложенные в настоящем описании, эффективно доставляют миРНК в печень, и проявляют превосходное свойство ингибирования экспрессии гена APOC3, например, степень ингибирования, составляющую по меньшей мере 75% экспрессии гена APOC3 в печени модельных мышей, получавших корм с высоким содержанием жиров, при дозе, равной 3 мг/кг. В некоторых вариантах реализации конъюгаты, предложенные в настоящем описании, оказывают превосходное ингибиторное действие на липиды крови при низких дозах и низкой частоте введения в течение периода, составляющего до 65 дней, по сравнению с эталонными конъюгатами.[259] According to one embodiment of the present invention, the conjugates provided herein efficiently deliver siRNA to the liver, and exhibit excellent property of inhibiting APOC3 gene expression, such as an inhibition rate of at least 75% of APOC3 gene expression in the liver of model mice. fed a high-fat diet at a dose of 3 mg/kg. In some embodiments, the conjugates provided herein exhibit superior blood lipid inhibitory activity at low doses and low frequency of administration over a period of up to 65 days compared to reference conjugates.
[260] В некоторых вариантах реализации конъюгаты, предложенные в настоящем описании, проявляют низкую токсичность в моделях на животных, что свидетельствует о достаточной безопасности. Например, в некоторых вариантах реализации не наблюдают явного токсичного ответа, даже когда конъюгат согласно настоящему изобретению вводят мышам C57BL/6J при концентрации, до 100 раз превышающей эффективную концентрацию (3 мг/кг при эффективной концентрации).[260] In some embodiments, the conjugates provided herein exhibit low toxicity in animal models, indicating sufficient safety. For example, in some embodiments, no overt toxic response is observed even when the conjugate of the present invention is administered to C57BL/6J mice at a concentration up to 100 times the effective concentration (3 mg/kg at the effective concentration).
[261] В описанных выше примерах проиллюстрировано, что конъюгаты, предложенные в данной заявке, эффективны для нацеливания на рецепторы на поверхности клетки и доставки нагруженных активных агентов в клетки, экспрессирующие указанные рецепторы. Предусмотрено, что конъюгирующие молекулы могут быть приспособлены для дополнительных рецепторов на поверхности клетки и дополнительных активных агентов для нацеливания активных агентов на клетки, экспрессирующие данные рецепторы.[261] The examples above illustrate that the conjugates provided herein are effective for targeting cell surface receptors and delivering loaded active agents to cells expressing said receptors. It is envisaged that the conjugating molecules can be adapted for additional cell surface receptors and additional active agents to target the active agents to cells expressing these receptors.
Набор.Kit.
[262] В другом аспекте, в настоящей заявке предложен набор, содержащий описанные выше конъюгаты.[262] In another aspect, the present application proposes a kit containing the conjugates described above.
[263] В некоторых вариантах реализации наборы, предложенные в данной заявке, содержат конъюгаты в одном контейнере. В некоторых вариантах реализации наборы, предложенные в данной заявке, содержат контейнер, содержащий фармацевтически приемлемые вспомогательные вещества. В некоторых вариантах реализации наборы, предложенные в данной заявке, дополнительно содержат фармацевтически приемлемые вспомогательные вещества, такие как стабилизаторы или консерванты. В некоторых вариантах реализации наборы, предложенные в данной заявке, содержат по меньшей мере один дополнительный терапевтический агент. В некоторых вариантах реализации наборы содержат по меньшей мере один дополнительный терапевтический агент в контейнере, отличном от контейнера, содержащего конъюгаты, предложенные в данной заявке. В некоторых вариантах реализации наборы содержат инструкцию по смешиванию указанных конъюгатов с фармацевтически приемлемыми вспомогательными веществами или другими ингредиентами (если они присутствуют).[263] In some embodiments, the kits provided herein contain the conjugates in a single container. In some embodiments, the kits provided herein comprise a container containing pharmaceutically acceptable excipients. In some embodiments, the kits provided herein further contain pharmaceutically acceptable excipients such as stabilizers or preservatives. In some embodiments, the kits provided herein contain at least one additional therapeutic agent. In some embodiments, the kits contain at least one additional therapeutic agent in a container other than the container containing the conjugates proposed in this application. In some embodiments, the kits contain instructions for mixing said conjugates with pharmaceutically acceptable excipients or other ingredients (if present).
[264] В наборе согласно настоящему описанию конъюгаты и/или фармацевтически приемлемые вспомогательные вещества могут быть предоставлены в любой форме, например, в жидкой форме, в сухой форме или в лиофилизированной форме. В некоторых вариантах реализации конъюгаты и/или фармацевтически приемлемые вспомогательные вещества являются по существу чистыми и/или стерильными. В некоторых вариантах реализации в наборах согласно настоящему описанию может быть предоставлена стерильная вода.[264] In the kit according to the present description, the conjugates and/or pharmaceutically acceptable excipients can be provided in any form, for example, in liquid form, in dry form, or in lyophilized form. In some embodiments, the conjugates and/or pharmaceutically acceptable excipients are substantially pure and/or sterile. In some embodiments, sterile water may be provided in kits as described herein.
ПримерыExamples
[265] Далее настоящее изобретение будет подробно описано с помощью примеров. Если не указано иное, то все реагенты и культуральные среды, используемые в следующих примерах, доступны для приобретения, и все применяемые манипуляции, такие как электрофорез нуклеиновых кислот и ПЦР в реальном времени проводят в соответствии со способами, описанными в Molecular Cloning (Cold Spring Harbor Laboratory Press (1989)).[265] Hereinafter, the present invention will be described in detail using examples. Unless otherwise noted, all reagents and culture media used in the following examples are commercially available and all manipulations used, such as nucleic acid electrophoresis and real-time PCR, are performed according to the methods described in Molecular Cloning (Cold Spring Harbor Laboratory Press (1989)).
[266] Клетки HEK293A были предоставлены Лабораторией технологии нуклеиновых кислот Института молекулярной медицины (Molecular Medicine Institute) Пекинского университета, и их культивировали в полной среде DMEM (компания Hyclone), содержащей 20% эмбриональной бычьей сыворотки (ЭБС, компания Hyclone), 0,2% об. цианомицина, с двойной устойчивостью (пенициллин-стрептомицин, Gibco, компания Invitrogen), при 37°C в термостате, содержащем 5% CO2/95% воздуха.[266] HEK293A cells were provided by the Nucleic Acid Technology Laboratory of the Molecular Medicine Institute, Peking University, and cultured in complete DMEM (Hyclone) containing 20% fetal bovine serum (EBS, Hyclone), 0.2 % about. cyanomycin, dual resistant (penicillin-streptomycin, Gibco, Invitrogen), at 37° C. in a 5% CO2/95% air incubator.
[267] Клетки Huh7 приобретали в Банке стволовых клеток Китайской академии наук и культивировали в полной среде DMEM (компания Hyclone), содержащей 10% фетальной бычьей сыворотки (ЭБС, компания Hyclone), 1% заменимых аминокислот (NEAA, компания Corning), при 37°C в термостате, содержащем 5% CO2/95% воздуха.[267] Huh7 cells were purchased from the Chinese Academy of Sciences Stem Cell Bank and cultured in complete DMEM (Hyclone) containing 10% fetal bovine serum (FBS, Hyclone), 1% non-essential amino acids (NEAA, Corning), at 37 °C in a thermostat containing 5% CO2/95% air.
[268] Если не указано иное, липофектаминTM2000 (компания Invitrogen) применяли в качестве реагента трансфекции, когда клетки трансфицировали конъюгатами миРНК, синтезированными в Примерах получения 12 - 15, описанных ниже. Конкретные манипуляции проводили в соответствии с инструкцией, предоставленной производителем.[268] Unless otherwise indicated, LipofectamineTM 2000 (Invitrogen) was used as a transfection reagent when cells were transfected with the siRNA conjugates synthesized in Preparation Examples 12-15 described below. Specific manipulations were carried out in accordance with the instructions provided by the manufacturer.
[269] Если не указано иное, все соотношения реагентов, представленные ниже, рассчитаны в объемном отношении (об./об.)[269] Unless otherwise indicated, all ratios of the reagents below are calculated on a volume basis (v/v).
[270] Если не указано иное, используемые модели на животных описаны далее.[270] Unless otherwise indicated, the animal models used are described below.
[271] Мыши C57BL/6J: приобретали в Beijing Vital River Laboratory Animal Technology Co., Ltd.[271] C57BL/6J mice: purchased from Beijing Vital River Laboratory Animal Technology Co., Ltd.
[272] Крысы SD: предоставлены Beijing Vital River Laboratory Animal Technology Co., Ltd.[272] SD rats: provided by Beijing Vital River Laboratory Animal Technology Co., Ltd.
[273] Трансгенных по HBV мышей C57B/6N-Tg (1,28 HBV)/Vst (генотип A) приобретали в Beijing Vitalstar Biotechnology Co., Ltd. Выбирали мышей с COI>104 (ниже для краткости называют 1,28-копийными мышами) перед проведением экспериментов.[273] HBV transgenic C57B/6N-Tg (1.28 HBV)/Vst (genotype A) mice were purchased from Beijing Vitalstar Biotechnology Co., Ltd. Mice with COI>104 (hereinafter referred to as 1.28-copy mice for brevity) were selected prior to experiments.
[274] Трансгенные по HBV мыши C57BL/6J-Tg (Alb1HBV) 44Bri/J: приобретали в Отделе исследования лабораторных животных, Научный центр здоровья Пекинского университета. Выбирали мышей с S/COV>10 перед проведением экспериментов.[274] HBV transgenic C57BL/6J-Tg (Alb1HBV) 44Bri/J mice: purchased from Laboratory Animal Research Department, Peking University Health Science Center. Mice with S/COV>10 were selected before experiments.
[275] Трансгенные по HBV мыши: назвали M-TgHBV, приобретали в Отделе животных, Центр общественного здравоохранения Шанхая. Способы получения трансгенных мышей описаны у Ren J. и др., в J. Medical Virology. 2006, 78:551-560.[275] HBV transgenic mice: named M-TgHBV, purchased from Animal Department, Shanghai Public Health Center. Methods for obtaining transgenic mice are described by Ren, J. et al., J. Medical Virology. 2006, 78:551-560.
[276] Трансгенные по AAV-HBV мыши: получали в соответствии с описанным в литературе способом (Xiaoyan Dong и др., Chin J Biotech 2010, 25 мая; 26(5): 679−686), применяя вирус rAAV8-1.3HBV, тип D (ayw) (приобретали в Beijing FivePlus Molecular Medicine Institute Co. Ltd., 1×1012 вирусный геном (в.г.)/мл, номер партии 2016123011). rAAV8-1.3HBV разбавляли до 5×1011 в.г./мл стерильным ФБР. 200 мкл разбавленного rAAV8-1.3HBV вводили путем инъекции каждой мыши, т.е., 1×1011 в.г. на мышь. Кровь (приблизительно 100 мкл) брали из глазниц всех мышей в День 28 после инъекции вируса, чтобы собрать сыворотку для детектирования ДНК HBsAg и HBV.[276] AAV-HBV transgenic mice: Obtained according to literature method (Xiaoyan Dong et al., Chin J Biotech 2010, May 25; 26(5): 679-686) using rAAV8-1.3HBV virus, type D (ayw) (purchased from Beijing FivePlus Molecular Medicine Institute Co. Ltd., 1×1012 viral genome (vg)/ml, batch number 2016123011). rAAV8-1.3HBV was diluted to 5×1011 vg/ml with sterile PBS. 200 μl of diluted rAAV8-1.3HBV was injected into each mouse, i.e., 1×1011 i.g. on the mouse. Blood (approximately 100 µl) was taken from the eye sockets of all mice on
[277] Трансгенные мыши с низкой концентрацией AAV-HBV: применяли почти такой же способ получения модели, как описанный выше, различие было в том, что вирус разбавляли до 1×1011 в.г./мл стерильным ФБР перед проведением эксперимента. 100 мкл вируса вводили путем инъекции каждой мыши, т.е., 1×1010 в.г. на мышь.[277] AAV-HBV low concentration transgenic mice: Almost the same model preparation method as described above was used, the difference was that the virus was diluted to 1 x 1011 vg/ml with sterile PBS before the experiment. 100 μl of virus was injected into each mouse, i.e., 1×1010 vg. on the mouse.
[278] Мыши BALB/c: возраст 6 - 8 недель, приобретали в Beijing Vital River Laboratory Animal Technology Co., Ltd.[278] BALB/c mice: 6-8 weeks old, purchased from Beijing Vital River Laboratory Animal Technology Co., Ltd.
[279] Мыши ob/ob: возраст 6 - 8 недель, приобретали в Changzhou Cavens Laboratory Animal Co., Ltd.[279] Ob/ob mice: 6-8 weeks old, purchased from Changzhou Cavens Laboratory Animal Co., Ltd.
[280] Трансгенные по APOC3 человека мыши: B6; CBA-Tg(APOC3)3707Bres/J, приобретали в Jackson Lab.[280] Human APOC3 transgenic mice: B6; CBA-Tg(APOC3)3707Bres/J, purchased from Jackson Lab.
[281] Обезьяна с метаболическим синдромом: все самцы, предоставлены Центром исследований отличных от человека приматов, Институт молекулярной медицины, Пекинский университет.[281] Monkey with metabolic syndrome: all male, provided by the Center for Non-Human Primate Research, Institute of Molecular Medicine, Peking University.
Пример получения 1. Получение Конъюгирующей молекулы L-9 (Конъюгирующей молекулы 1).Production Example 1 Preparation of Conjugation Molecule L-9 (Conjugation Molecule 1).
[282] В данном примере получения Конъюгирующую молекулу 1 (далее в данной заявке также называют Конъюгирующей молекулой L-9) синтезировали в соответствии со следующим способом.[282] In this preparation example, Conjugation molecule 1 (hereinafter also referred to as Conjugation molecule L-9) was synthesized according to the following method.
(1-1) Синтез GAL-5 (молекулы в концевом фрагменте Конъюгирующей молекулы L-9).(1-1) Synthesis of GAL-5 (molecules at the terminal fragment of the Conjugating molecule L-9).
(1-1a) Синтез GAL-2.(1-1a) Synthesis of GAL-2.
[283] 100,0 г GAL-1 (N-ацетил-D-галактозамина гидрохлорид, номер в реестре CAS: 1772-03-8, приобретали в Ning Bo hongxiang bio-chem Co., Ltd., 463,8 ммоль) растворяли в 1000 мл безводного пиридина, в который добавляли 540 мл уксусного ангидрида (приобретали в Enox Inc., 5565,6 ммоль) на ледяной бане для проведения реакции в течение 1,5 часов при перемешивании при комнатной температуре. Полученный в результате этого реакционный раствор вливали в 10 л ледяной воды и фильтровали с отсасыванием при пониженном давлении. Остаток промывали 2 л ледяной воды, а затем добавляли смешанный растворитель ацетонитрил/толуол (в объемном отношении ацетонитрил: толуол = 1:1) до полного растворения. Растворитель выпаривали с получением 130,0 г продукта GAL-2 в виде белого твердого вещества.[283] 100.0 g GAL-1 (N-acetyl-D-galactosamine hydrochloride, CAS Registry Number: 1772-03-8, purchased from Ning Bo hongxiang bio-chem Co., Ltd., 463.8 mmol) was dissolved in 1000 ml of anhydrous pyridine, to which was added 540 ml of acetic anhydride (purchased from Enox Inc., 5565.6 mmol) in an ice bath to carry out the reaction for 1.5 hours with stirring at room temperature. The resulting reaction solution was poured into 10 L of ice water, and suction filtered under reduced pressure. The residue was washed with 2 L of ice water, and then a mixed solvent of acetonitrile/toluene (v/v acetonitrile:toluene = 1:1) was added until complete dissolution. The solvent was evaporated to give 130.0 g of GAL-2 product as a white solid.
(1-1b) Синтез GAL-3.(1-1b) Synthesis of GAL-3.
[284] GAL-2 (35,1 г, 90,0 ммоль), полученный на этапе (1-1a), растворяли в 213 мл безводного 1,2-дихлорэтана, в который добавляли 24,0 г TMSOTf (CAS №: 27607-77-8, приобретали в Macklin Inc., 108,0 ммоль) на ледяной бане и атмосфере азота для проведения реакции в течение ночи при комнатной температуре.[284] GAL-2 (35.1 g, 90.0 mmol) obtained in step (1-1a) was dissolved in 213 ml of
[285] 400 мл дихлорметана добавляли в реакционный раствор для разбавления, фильтровали с помощью диатомита, а затем добавляли 1 л насыщенного водного раствора бикарбоната натрия в полученный в результате этого реакционный раствор и равномерно перемешивали. Выделяли органическую фазу. Оставшуюся водную фазу экстрагировали дважды, каждый раз 300 мл дихлорэтана, и все органические фазы объединяли и промывали 300 мл насыщенного водного раствора бикарбоната натрия и 300 мл насыщенного рассола, соответственно. Органическую фазу, полученную в результате промывки, выделяли и сушили безводным сульфатом натрия. Растворитель выпаривали при пониженном давлении с получением 26,9 г продукта GAL-3 в виде светло-желтого вязкого сиропа.[285] 400 ml of dichloromethane was added to the dilution reaction solution, filtered with diatomaceous earth, and then 1 L of saturated sodium bicarbonate aqueous solution was added to the resulting reaction solution and stirred evenly. The organic phase was isolated. The remaining aqueous phase was extracted twice, each time with 300 ml of dichloroethane, and all organic phases were combined and washed with 300 ml of saturated aqueous sodium bicarbonate solution and 300 ml of saturated brine, respectively. The organic phase resulting from the washing was isolated and dried over anhydrous sodium sulfate. The solvent was evaporated under reduced pressure to give 26.9 g of GAL-3 product as a light yellow viscous syrup.
(1-1c) Синтез GAL-4.(1-1c) Synthesis of GAL-4.
[286] GAL-3 (26,9 г, 81,7 ммоль), полученный на этапе (1-1b), растворяли в 136 мл безводного 1,2-дихлорэтана, добавляли к нему 30 г молекулярных сит с размером пор 4Å в виде сухого порошка, а затем 9,0 г 5-гексен-1-ола (CAS №: 821-41-0, приобретали в Adamas-beta Inc., 89,9 ммоль), и перемешивали в течение 30 минут при комнатной температуре. Добавляли 9,08 мл TMSOTf (40,9 ммоль) на ледяной бане и с защитой азота для проведения реакции в течение ночи при перемешивании при комнатной температуре. Порошок молекулярных сит 4Å удаляли фильтрацией. 300 мл дихлорэтана добавляли в фильтрат для разбавления, фильтровали с помощью диатомита, а затем добавляли 500 мл насыщенного водного раствора бикарбоната натрия в полученный в результате этого реакционный раствор и перемешивали в течение 10 минут для промывки. Выделяли органическую фазу. Оставшуюся водную фазу однократно экстрагировали 300 мл дихлорэтана. Все органические фазы объединяли и промывали 300 мл насыщенного водного раствора бикарбоната натрия и 300 мл насыщенного рассола, соответственно. Органическую фазу, полученную в результате промывки, выделяли и сушили безводным сульфатом натрия. Растворитель выпаривали при пониженном давлении с получением 41,3 г продукта GAL-4 в виде желтого сиропа, который непосредственно использовали в следующей реакции окисления без очистки.[286] GAL-3 (26.9 g, 81.7 mmol) obtained in step (1-1b) was dissolved in 136 ml of
(1-1d) Синтез GAL-5.(1-1d) Synthesis of GAL-5.
[287] GAL-4 (14,9 г, 34,7 ммоль), полученный в соответствии со способом, описанным на этапе (1-1c), растворяли в смешанном растворителе 77 мл дихлорметана и 77 мл ацетонитрила, добавляли к нему 103 мл деионизированной воды и 29,7 г периодата натрия (CAS №: 7790-28-5, приобретали в Aladdin Inc., 138,8 ммоль), соответственно, и перемешивали на ледяной бане в течение 10 минут. Трихлорид рутения (CAS №: 14898-67-0, доступный в Energy Chemical, 238 мг, 1,145 ммоль) добавляли для проведения реакции в течение ночи при комнатной температуре. Полученный в результате этого реакционный раствор разбавляли путем добавления 300 мл воды, перемешивали и подводили pH до приблизительно 7,5 путем добавления насыщенного бикарбоната натрия. Выделенную органическую фазу отбрасывали. Оставшуюся водную фазу экстрагировали три раза, каждый раз 200 мл дихлорметана, и органическую фазу, полученную в результате экстрагирования, отбрасывали. pH водной фазы, полученной в результате экстрагирования, подводили до приблизительно 3 с помощью твердых частиц лимонной кислоты и экстрагировали три раза, каждый раз 200 мл дихлорметана, и органические фазы объединяли и сушили безводным сульфатом натрия. Растворитель выпаривали при пониженном давлении с получением 6,85 г продукта GAL-5 в виде белого пенистого твердого вещества.[287] GAL-4 (14.9 g, 34.7 mmol) obtained according to the method described in step (1-1c) was dissolved in a mixed solvent of 77 ml of dichloromethane and 77 ml of acetonitrile, 103 ml of deionized water and 29.7 g of sodium periodate (CAS no: 7790-28-5, purchased from Aladdin Inc., 138.8 mmol), respectively, and stirred in an ice bath for 10 minutes. Ruthenium trichloride (CAS No: 14898-67-0, available from Energy Chemical, 238 mg, 1.145 mmol) was added to carry out the reaction overnight at room temperature. The resulting reaction solution was diluted by adding 300 ml of water, stirred, and the pH was adjusted to about 7.5 by adding saturated sodium bicarbonate. The isolated organic phase was discarded. The remaining aqueous phase was extracted three times, each time with 200 ml of dichloromethane, and the organic phase resulting from the extraction was discarded. The pH of the aqueous phase resulting from the extraction was adjusted to approximately 3 with citric acid solids and extracted three times, each time with 200 ml of dichloromethane, and the organic phases were combined and dried with anhydrous sodium sulfate. The solvent was evaporated under reduced pressure to give 6.85 g of GAL-5 product as a white foamy solid.
[288] Конъюгирующую молекулу L-9 синтезировали, применяя соединение GAL-5, полученное в соответствии с описанным выше способом с помощью следующих технологических путей:[288] The conjugating molecule L-9 was synthesized using the compound GAL-5 obtained in accordance with the method described above using the following technological routes:
(1-2) Синтез M-11-T3:(1-2) Synthesis of M-11-T3:
[289] J-0 (1,883 г, 10 ммоль, приобретали в Alfa Aesar) растворяли в 25 мл ацетонитрила, добавляли к нему триэтиламин (4,048 г, 40 ммоль), и охлаждали до 0°C на ледяной бане. Этилтрифторацетат (5,683 г, 40 ммоль) добавляли для проведения реакции в течение 22 часов при комнатной температуре. Растворитель выпаривали при пониженном давлении и сушили остаток во вспененном состоянии с помощью вакуумного масляного насоса в течение 18 часов с получением 5,342 г неочищенного твердого продукта M-11-T3, который непосредственно использовали в следующей реакции без дополнительной очистки. Масс-спектрометрия (МС) m/z: C15H22F9N4O3, [M+H]+, рассчитанное: 477,35, измеренное: 477,65.[289] J-0 (1.883 g, 10 mmol, purchased from Alfa Aesar) was dissolved in 25 ml of acetonitrile, triethylamine (4.048 g, 40 mmol) was added thereto, and cooled to 0°C in an ice bath. Ethyl trifluoroacetate (5.683 g, 40 mmol) was added to carry out the reaction for 22 hours at room temperature. The solvent was evaporated under reduced pressure, and the foamy residue was dried with a vacuum oil pump for 18 hours to give 5.342 g of crude solid M-11-T3, which was directly used in the next reaction without further purification. Mass spectrometry (MS) m/z: C15H22F9N4O3, [M+H]+, calculated: 477.35, measured: 477.65.
(1-3) Синтез M-11-T3-Tr:(1-3) Synthesis of M-11-T3-Tr:
[290] Неочищенный продукт M-11-T3 (5,342 г, 10 ммоль) растворяли в 50 мл дихлорметана. В полученный в результате этого реакционный раствор добавляли TrCl (3,345 г, 12 ммоль) и триэтиламин (1,518 г, 15 ммоль) для проведения реакции в течение 20 часов при перемешивании при комнатной температуре. Реакционный раствор промывали дважды 20 мл насыщенного бикарбоната натрия и один раз 20 мл насыщенного рассола. Органическую фазу сушили безводным сульфатом натрия и фильтровали. Растворитель выпаривали при пониженном давлении и сушили остаток во вспененном состоянии с помощью вакуумного масляного насоса в течение ночи с получением 7,763 г неочищенного твердого продукта M-11-T3-Tr. МС m/z: C34H36F9N4O3, [M+Na]+, рассчитанное: 741,25, измеренное: 741,53. Неочищенный твердый продукт M-11-T3-Tr затем использовали на следующем этапе для синтеза M-18-Tr без очистки.[290] The crude product M-11-T3 (5.342 g, 10 mmol) was dissolved in 50 ml of dichloromethane. To the resulting reaction solution were added TrCl (3.345 g, 12 mmol) and triethylamine (1.518 g, 15 mmol) to carry out the reaction for 20 hours with stirring at room temperature. The reaction solution was washed twice with 20 ml of saturated sodium bicarbonate and once with 20 ml of saturated brine. The organic phase was dried over anhydrous sodium sulfate and filtered. The solvent was evaporated under reduced pressure and the foamy residue was dried with a vacuum oil pump overnight to give 7.763 g of crude solid M-11-T3-Tr. MS m/z: C34H36F9N4O3, [M+Na]+, calculated: 741.25, measured: 741.53. The crude M-11-T3-Tr solid was then used in the next step to synthesize M-18-Tr without purification.
(1-4) Синтез M-18-Tr.(1-4) Synthesis of M-18-Tr.
[291] Неочищенный продукт M-11-T3-Tr (7,763 г, 10 ммоль), полученный на этапе (1-3), растворяли в 100 мл метанола, и добавляли к нему 100 мл водного раствора метиламина (40% по массе) для проведения реакции в течение 23 часов при перемешивании при 50°C. Нерастворимые частицы удаляли фильтрацией. Растворитель выпаривали при пониженном давлении, и в остаток добавляли 200 мл смешанного растворителя дихлорметан (ДХМ):метанол в объемном отношении 1:1, промывали 50 мл насыщенного бикарбоната натрия. Полученную водную фазу экстрагировали три раза, каждый раз 50 мл дихлорметана. Все органические фазы объединяли, сушили безводным сульфатом натрия и фильтровали. Растворитель выпаривали при пониженном давлении, сушили остаток во вспененном состоянии с помощью вакуумного масляного насоса в течение ночи и очищали, применяя нормально-фазовую колонку с силикагелем, 200 - 300 меш. Колонку заполняли петролейным эфиром, добавляли к нему 1% по массе триэтиламина для нейтрализации кислотности силикагеля и элюировали градиентом дихлорметан:метанол:водный аммиак (25 % по массе) = 1:1:0,05 - 1:1:0,25. Элюат собирали, растворитель выпаривали при пониженном давлении и сушили остаток во вспененном состоянии с помощью вакуумного масляного насоса с получением 2,887 г чистого продукта M-18-Tr. Ядерный магнитный резонанс на ядрах 1H (1H ЯМР) (400 МГц, ДМСО) δ 7,47 - 7,39 (m, 6H), 7,32 -7,24 (m, 6H), 7,19 - 7,12 (m, 3H), 2,60 - 2,47 (m, 4H), 2,46 - 2,19 (m, 13H), 1,70 - 1,55 (m, 4H), 1,40 (p, J = 6,8 Гц, 2H). МС m/z: C28H39N4, [M+H]+, рассчитанное: 431,65, измеренное: 432,61.[291] The crude product M-11-T3-Tr (7.763 g, 10 mmol) obtained in step (1-3) was dissolved in 100 ml of methanol, and 100 ml of an aqueous solution of methylamine (40% by mass) was added thereto to carry out the reaction for 23 hours with stirring at 50°C. Insoluble particles were removed by filtration. The solvent was evaporated under reduced pressure, and 200 ml of a mixed solvent of dichloromethane (DCM):methanol in a 1:1 v/v ratio was added to the residue, washed with 50 ml of saturated sodium bicarbonate. The resulting aqueous phase was extracted three times, each time with 50 ml of dichloromethane. All organic phases were combined, dried over anhydrous sodium sulfate and filtered. The solvent was evaporated under reduced pressure, the foam dried with a vacuum oil pump overnight, and purified using a 200-300 mesh normal phase silica gel column. The column was filled with petroleum ether, 1% by mass of triethylamine was added to it to neutralize the acidity of the silica gel, and it was eluted with a gradient of dichloromethane:methanol:aqueous ammonia (25% by mass) = 1:1:0.05 - 1:1:0.25. The eluate was collected, the solvent was evaporated under reduced pressure, and the residue was dried in a foamy state using a vacuum oil pump to give 2.887 g of pure product M-18-Tr. Nuclear magnetic resonance on 1H nuclei (1H NMR) (400 MHz, DMSO) δ 7.47 - 7.39 (m, 6H), 7.32 - 7.24 (m, 6H), 7.19 - 7.12 (m, 3H), 2.60 - 2.47 (m, 4H), 2.46 - 2.19 (m, 13H), 1.70 - 1.55 (m, 4H), 1.40 (p , J = 6.8 Hz, 2H). MS m/z: C28H39N4, [M+H]+, calculated: 431.65, measured: 432.61.
(1-5) Синтез L-5-Tr:(1-5) Synthesis of L-5-Tr:
[292] M-18-Tr (2,02 г, 4,69 ммоль), полученный на этапе (1-4), и GAL-5 (6,93 г, 15,48 ммоль), полученный на этапе (1-1), смешивали и растворяли в 47 мл ацетонитрила и добавляли к ним N-метилморфолин (3,13 г, 30,96 ммоль) и 4-(4,6-диметокситриазин-2-ил)-4-метилморфолина гидрохлорид (DMTMM, 4,28 г, 15,48 ммоль) для проведения реакции в течение 2 часов при перемешивании при комнатной температуре. Полученный в результате этого реакционный раствор разбавляли 200 мл дихлорметана, промывали 100 мл насыщенного раствора бикарбоната натрия и 100 мл насыщенного рассола, сушили безводным сульфатом натрия и фильтровали. Затем растворитель выпаривали при пониженном давлении с получением неочищенного продукта. Неочищенный продукт очищали, применяя нормально-фазовую колонку с силикагелем, 200 - 300 меш. Колонку заполняли петролейным эфиром, добавляли к нему 1% по массе триэтиламина для нейтрализации кислотности силикагеля и элюировали градиентом дихлорметан:метанол = 100:5 - 100:7. Элюат собирали и растворитель выпаривали до сухого состояния при пониженном давлении с получением 7,49 г чистого продукта L-5-Tr. 1H ЯМР (400 МГц, ДМСО) δ 7,83 - 7,10 (m, 4H), 7,67 - 7,60 (m, 1H), 7,44 - 7,34 (m, 6H), 7,33 - 7,24 (m, 6H), 7,20 - 7,15 (m, 3H), 5,22 (s, 3H), 4,97 (d, J = 11,3 Гц, 3H), 4,49 (d, J = 8,4 Гц, 3H), 4,06 - 3,07 (m, 9H),3,95 - 3,83 (m, 3H), 3,77 - 3,64 (m, 3H), 3,45 - 3,35 (m, 3H), 3,12 - 2,87 (m, 8H), 2,30 - 2,15 (m, 3H), 2,11 - 1,98 (m, 22H), 1,95 - 1,84 (m, 11H), 1,81 - 1,61 (m, 14H), 1,54 - 1,36 (m, 14H). МС m/z: C85H119N7O30, [M+H]+, рассчитанное: 1718,81, измеренное: 1718,03.[292] M-18-Tr (2.02 g, 4.69 mmol) obtained from step (1-4) and GAL-5 (6.93 g, 15.48 mmol) obtained from step (1 -1) were mixed and dissolved in 47 ml of acetonitrile, and N-methylmorpholine (3.13 g, 30.96 mmol) and 4-(4,6-dimethoxytriazin-2-yl)-4-methylmorpholine hydrochloride (DMTMM) were added thereto. , 4.28 g, 15.48 mmol) to carry out the reaction for 2 hours with stirring at room temperature. The resulting reaction solution was diluted with 200 ml of dichloromethane, washed with 100 ml of saturated sodium bicarbonate solution and 100 ml of saturated brine, dried with anhydrous sodium sulfate, and filtered. The solvent was then evaporated under reduced pressure to obtain a crude product. The crude product was purified using a normal phase silica gel column, 200-300 mesh. The column was filled with petroleum ether, 1% by weight of triethylamine was added thereto to neutralize the acidity of the silica gel, and eluted with a gradient of dichloromethane:methanol = 100:5 - 100:7. The eluate was collected and the solvent was evaporated to dryness under reduced pressure to give 7.49 g of pure L-5-Tr. 1H NMR (400 MHz, DMSO) δ 7.83 - 7.10 (m, 4H), 7.67 - 7.60 (m, 1H), 7.44 - 7.34 (m, 6H), 7, 33 - 7.24 (m, 6H), 7.20 - 7.15 (m, 3H), 5.22 (s, 3H), 4.97 (d, J = 11.3 Hz, 3H), 4 .49 (d, J = 8.4 Hz, 3H), 4.06 - 3.07 (m, 9H), 3.95 - 3.83 (m, 3H), 3.77 - 3.64 (m , 3H), 3.45 - 3.35 (m, 3H), 3.12 - 2.87 (m, 8H), 2.30 - 2.15 (m, 3H), 2.11 - 1.98 (m, 22H), 1.95 - 1.84 (m, 11H), 1.81 - 1.61 (m, 14H), 1.54 - 1.36 (m, 14H). MS m/z: C85H119N7O30, [M+H]+, calculated: 1718.81, measured: 1718.03.
(1-6) Синтез L-8:(1-6) Synthesis of L-8:
[293] L-5-Tr (5,94 г, 3,456 ммоль), полученный на этапе (1-5), растворяли в 69 мл дихлорметана и добавляли к нему дихлоруксусную кислоту (13,367 г, 103,67 ммоль) для проведения реакции в течение 2 часов при комнатной температуре. Полученный в результате этого реакционный раствор разбавляли путем добавления 100 мл дихлорметана, промывали и подводили pH до 7 - 8 с помощью насыщенного раствора бикарбоната натрия. Выделенную водную фазу экстрагировали шесть раз, каждый раз 30 мл дихлорметана. Все органические фазы объединяли, сушили безводным сульфатом натрия и фильтровали. Затем растворитель выпаривали при пониженном давлении с получением неочищенного продукта. Неочищенный продукт очищали, применяя нормально-фазовую колонку с силикагелем, 200 - 300 меш, добавляя 10% по массе триэтиламина для нейтрализации кислотности силикагеля. Колонку уравновешивали 1‰ (по массе) триэтиламина и элюировали градиентом дихлорметан:метанол = 100:30 - 100:40. Элюат собирали и растворитель выпаривали при пониженном давлении с получением 4,26 г чистого продукта L-8. 1H ЯМР (400 МГц, ДМСО) δ 7,84 (d, J = 9,0 Гц, 3H), 7,27 - 7,23 (m, 1H), 7,13 - 7,18 (m, 1H), 5,22 (d, J = 3,1 Гц, 3H), 4,97 (dd, J = 11,3, 3,1 Гц, 3H), 4,48 (d, J = 8,4 Гц, 3H), 4,09 - 3,98 (m, 9H), 3,88 (dd, J = 19,3, 9,3 Гц, 3H), 3,75 - 3,66 (m, 3H), 3,44 - 3,38 (m, 3H), 3,17 - 3,30 (m, 4H), 3,10 - 2,97 (m, 4H), 2,35 - 2,20 (m, 6H), 2,15 - 2,08 (m, 9H), 2,07 - 1,98 (m, 13H), 1,94 - 1,87 (m, 9H), 1,81 - 1,74 (m, 9H), 1,65 - 1,42 (m, 18H). МС m/z: C85H119N7O30, [M+H]+, рассчитанное: 1477,59, измеренное: 1477,23.[293] L-5-Tr (5.94 g, 3.456 mmol) obtained in step (1-5) was dissolved in 69 ml of dichloromethane, and dichloroacetic acid (13.367 g, 103.67 mmol) was added thereto to carry out the reaction for 2 hours at room temperature. The resulting reaction solution was diluted by adding 100 ml of dichloromethane, washed and adjusted to pH 7-8 with saturated sodium bicarbonate solution. The separated aqueous phase was extracted six times, each time with 30 ml of dichloromethane. All organic phases were combined, dried over anhydrous sodium sulfate and filtered. The solvent was then evaporated under reduced pressure to obtain a crude product. The crude product was purified using a normal phase silica gel column, 200-300 mesh, adding 10% by weight triethylamine to neutralize the acidity of the silica gel. The column was equilibrated with 1‰ (by weight) triethylamine and eluted with a gradient of dichloromethane:methanol = 100:30 - 100:40. The eluate was collected and the solvent was evaporated under reduced pressure to give 4.26 g of pure product L-8. 1H NMR (400 MHz, DMSO) δ 7.84 (d, J = 9.0 Hz, 3H), 7.27 - 7.23 (m, 1H), 7.13 - 7.18 (m, 1H) , 5.22 (d, J = 3.1 Hz, 3H), 4.97 (dd, J = 11.3, 3.1 Hz, 3H), 4.48 (d, J = 8.4 Hz, 3H), 4.09 - 3.98 (m, 9H), 3.88 (dd, J = 19.3, 9.3 Hz, 3H), 3.75 - 3.66 (m, 3H), 3 .44 - 3.38 (m, 3H), 3.17 - 3.30 (m, 4H), 3.10 - 2.97 (m, 4H), 2.35 - 2.20 (m, 6H) , 2.15 - 2.08 (m, 9H), 2.07 - 1.98 (m, 13H), 1.94 - 1.87 (m, 9H), 1.81 - 1.74 (m, 9H), 1.65 - 1.42 (m, 18H). MS m/z: C85H119N7O30, [M+H]+, calculated: 1477.59, measured: 1477.23.
(1-7a) Синтез A-1.(1-7a) Synthesis A-1.
[294] DMTrCl (4,4'-диметокситритилхлорид, 38,12 г, 112,5 ммоль) растворяли в 450 мл безводного пиридина (Py) и добавляли к нему кальция DL-глицерат гидрат (12,88 г, 45,0 ммоль) для проведения реакции в течение 22 часов при 45°C. Полученный в результате этого реакционный раствор фильтровали. Остаток промывали 200 мл ДХМ, и фильтрат концентрировали досуха при пониженном давлении. Остаток повторно растворяли в 500 мл дихлорметана и промывали дважды, каждый раз 200 мл 0,5 М фосфата триэтиламина (pH = 7 - 8). Выделенную водную фазу экстрагировали дважды, каждый раз 200 мл дихлорметана. Все органические фазы объединяли, сушили безводным сульфатом натрия и фильтровали. Растворитель выпаривали при пониженном давлении, и остаток очищали, применяя нормально-фазовую колонку с силикагелем, 200 - 300 меш, элюировали градиентом петролейный эфир:этилацетат:дихлорметан:метанол = 1:1:1:0,35 - 1:1:1:0,55. Элюат собирали и растворитель выпаривали при пониженном давлении. Остаток повторно растворяли в 500 мл дихлорметана и однократно промывали 200 мл 0,5 М фосфата триэтиламина. Выделенную водную фазу экстрагировали дважды, каждый раз 200 мл дихлорметана. Все органические фазы объединяли, сушили безводным сульфатом натрия и фильтровали. Растворитель выпаривали при пониженном давлении и сушили остаток при пониженном давлении с помощью вакуумного масляного насоса досуха в течение ночи с получением 20,7 г продукта A-1 в виде белого твердого вещества. 1H ЯМР (400 МГц, ДМСО-d6) δ 7,46 (ddd, J = 6,5, 2,3, 1,1 Гц, 1H), 7,40 - 7,28 (m, 7H), 6,89 - 6,81 (m, 4H), 4,84 (d, J = 5,0 Гц, 1H), 4,36 - 4,24 (m, 1H), 4,29 (s, 6H), 3,92 (dd, J = 12,4, 7,0 Гц, 1H), 3,67 (dd, J = 12,3, 7,0 Гц, 1H), 2,52 (q, J = 6,3 Гц, 6H), 1,03 (t, J = 6,3 Гц, 9H). МС m/z: C24H23O6, [M-H]-, рассчитанное: 407,15, измеренное: 406,92.[294] DMTrCl (4,4'-dimethoxytrityl chloride, 38.12 g, 112.5 mmol) was dissolved in 450 mL of anhydrous pyridine (Py) and calcium DL-glycerate hydrate (12.88 g, 45.0 mmol) was added thereto. ) to carry out the reaction for 22 hours at 45°C. The resulting reaction solution was filtered. The residue was washed with 200 ml DCM and the filtrate was concentrated to dryness under reduced pressure. The residue was redissolved in 500 ml of dichloromethane and washed twice, each time with 200 ml of 0.5 M triethylamine phosphate (pH=7-8). The separated aqueous phase was extracted twice, each time with 200 ml of dichloromethane. All organic phases were combined, dried over anhydrous sodium sulfate and filtered. The solvent was evaporated under reduced pressure and the residue was purified using a normal phase silica gel column, 200-300 mesh, eluted with a gradient of petroleum ether:ethyl acetate:dichloromethane:methanol = 1:1:1:0.35 - 1:1:1: 0.55. The eluate was collected and the solvent was evaporated under reduced pressure. The residue was redissolved in 500 ml dichloromethane and washed once with 200 ml 0.5 M triethylamine phosphate. The separated aqueous phase was extracted twice, each time with 200 ml of dichloromethane. All organic phases were combined, dried over anhydrous sodium sulfate and filtered. The solvent was evaporated under reduced pressure and the residue was dried under reduced pressure with a vacuum oil pump to dryness overnight to give 20.7 g of product A-1 as a white solid. 1H NMR (400 MHz, DMSO-d6) δ 7.46 (ddd, J = 6.5, 2.3, 1.1 Hz, 1H), 7.40 - 7.28 (m, 7H), 6, 89 - 6.81 (m, 4H), 4.84 (d, J = 5.0 Hz, 1H), 4.36 - 4.24 (m, 1H), 4.29 (s, 6H), 3 .92 (dd, J = 12.4, 7.0 Hz, 1H), 3.67 (dd, J = 12.3, 7.0 Hz, 1H), 2.52 (q, J = 6.3 Hz, 6H), 1.03 (t, J = 6.3 Hz, 9H). MS m/z: C24H23O6, [M-H]-, calculated: 407.15, measured: 406.92.
(1-7b) Синтез L-7.(1-7b) Synthesis of L-7.
[295] L-8 (2,262 г, 1,532 ммоль), полученный на этапе (1-6), и A-1 (2,342 г, 4,596 ммоль), полученный на этапе (1-7a), смешивали и растворяли в 16 мл дихлорметана, добавляли к нему 3-(диэтоксифосфорилокси)-1,2,3-бензотризин-4(3H)-он (DEPBT, 1,375 г, 4,596 ммоль) и дополнительно добавляли диизопропилэтиламин (1,188 г, 9,191 ммоль) для проведения реакции в течение 2 часов при перемешивании при 25°C, промывали 10 мл насыщенного бикарбоната натрия. Выделенную водную фазу экстрагировали три раза, каждый раз 10 мл дихлорметана. Все органические фазы объединяли и промывали 10 мл насыщенного рассола, и выделенную водную фазу экстрагировали дважды, каждый раз 10 мл дихлорметана, и полученные органические фазы объединяли, сушили безводным сульфатом натрия и фильтровали. Растворитель выпаривали при пониженном давлении, и остаток сушили во вспененном состоянии в течение ночи с помощью вакуумного масляного насоса с получением 4,900 г неочищенного продукта. Неочищенный продукт подвергали очистке на колонке, применяя нормально-фазовый силикагель, 200 - 300 меш, 120 г, с 20 мл триэтиламина для нейтрализации кислотности силикагеля. Колонку уравновешивали петролейным эфиром, содержащим 1% по массе триэтиламина, и элюировали градиентом петролейный эфир:этилацетат:дихлорметан:N,N-диметилформамид = 1:1:1:0,5 - 1:1:1:0,6. Элюат собирали и растворитель выпаривали при пониженном давлении с получением 2,336 г чистого продукта L-7. 1H ЯМР (400 МГц, ДМСО) δ 7,90 - 7,78 (m, 4H), 7,75 - 7,64 (m, 1H), 7,38 - 7,18 (m, 9H), 6,91 - 6,83 (m, 4H), 5,25 - 5,10 (m, 4H), 4,97 (dd, J = 11,2, 3,2 Гц, 3H), 4,48 - 4,30 (m, 4H), 4,02 (s, 9H), 3,93 - 3,84 (m, 3H), 3,76 - 3,66 (m, 9H), 3,45 - 3,35 (m, 3H), 3,24 - 2,98 (m, 10H), 2,30 - 2,20 (m, 2H), 2,11 - 1,88 (m, 31H), 1,80 - 1,40 (m, 28H). МС m/z: C90H128N7O35, [M-DMTr]+, рассчитанное: 1564,65, измеренное: 1564,88.[295] L-8 (2.262 g, 1.532 mmol) obtained in step (1-6) and A-1 (2.342 g, 4.596 mmol) obtained in step (1-7a) were mixed and dissolved in 16 ml dichloromethane, 3-(diethoxyphosphoryloxy)-1,2,3-benzotrizin-4(3H)-one (DEPBT, 1.375 g, 4.596 mmol) was added thereto, and diisopropylethylamine (1.188 g, 9.191 mmol) was further added to carry out the reaction for 2 hours with stirring at 25°C, washed with 10 ml of saturated sodium bicarbonate. The separated aqueous phase was extracted three times, each time with 10 ml of dichloromethane. All organic phases were combined and washed with 10 ml of saturated brine, and the separated aqueous phase was extracted twice, each time with 10 ml of dichloromethane, and the resulting organic phases were combined, dried with anhydrous sodium sulfate and filtered. The solvent was evaporated under reduced pressure, and the residue was foam dried overnight using a vacuum oil pump to give 4.900 g of a crude product. The crude product was subjected to column purification using normal phase silica gel, 200-300 mesh, 120 g, with 20 ml of triethylamine to neutralize the acidity of the silica gel. The column was equilibrated with petroleum ether containing 1% by weight triethylamine and eluted with a gradient of petroleum ether:ethyl acetate:dichloromethane:N,N-dimethylformamide = 1:1:1:0.5 - 1:1:1:0.6. The eluate was collected and the solvent was evaporated under reduced pressure to give 2.336 g of pure product L-7. 1H NMR (400 MHz, DMSO) δ 7.90 - 7.78 (m, 4H), 7.75 - 7.64 (m, 1H), 7.38 - 7.18 (m, 9H), 6, 91 - 6.83 (m, 4H), 5.25 - 5.10 (m, 4H), 4.97 (dd, J = 11.2, 3.2 Hz, 3H), 4.48 - 4, 30 (m, 4H), 4.02 (s, 9H), 3.93 - 3.84 (m, 3H), 3.76 - 3.66 (m, 9H), 3.45 - 3.35 ( m, 3H), 3.24 - 2.98 (m, 10H), 2.30 - 2.20 (m, 2H), 2.11 - 1.88 (m, 31H), 1.80 - 1, 40(m, 28H). MS m/z: C90H128N7O35, [M-DMTr]+, calculated: 1564.65, measured: 1564.88.
(1-8) Синтез L-9:(1-8) Synthesis L-9:
[296] L-7 (2,300 г, 1,26 ммоль), полученный на этапе (1-7b), янтарный ангидрид (0,378 г, 3,78 ммоль) и 4-диметиламинопиридин (DMAP, 0,462 г, 3,78 ммоль) смешивали и растворяли в 13 мл дихлорметана, дополнительно добавляли к нему DIPEA (0,814 г, 6,30 ммоль), и перемешивали в течение 24 часов при 25°C. Полученный в результате этого реакционный раствор промывали 5 мл 0,5 М фосфата триэтиламина. Выделенную водную фазу экстрагировали три раза, каждый раз 5 мл дихлорметана. Все органические фазы объединяли и выпаривали растворитель при пониженном давлении с получением 2,774 г неочищенного продукта. Неочищенный продукт подвергали очистке на колонке, применяя нормально-фазовый силикагель, 200 - 300 меш, 60 г, с 1% по массе триэтиламина для нейтрализации кислотности силикагеля. Колонку уравновешивали дихлорметаном и элюировали градиентом: дихлорметан, содержащий 1‰ (по массе) триэтиламин:метанол = 100:18 - 100:20. Элюат собирали и растворитель выпаривали при пониженном давлении с получением 1,874 г чистого продукта конъюгирующей молекулы L-9 (Конъюгирующей молекулы 1). 1H ЯМР (400 МГц, ДМСО) δ 8,58 (d, J = 4,2 Гц, 1H), 7,94 - 7,82 (m, 3H), 7,41 - 7,29 (m, 5H), 7,22 (d, J = 8,1 Гц, 5H), 6,89 (d, J = 8,3 Гц, 4H), 5,49 - 5,37 (m, 1H), 5,21 (d, J = 3,0 Гц, 3H), 4,97 (d, J = 11,1 Гц, 3H), 4,49 (d, J = 8,2 Гц, 3H), 4,02 (s, 9H), 3,88 (dd, J = 19,4, 9,4 Гц, 3H), 3,77 - 3,65 (m, 9H), 3,50 - 3,39 (m, 6H), 3,11 - 2,90 (m, 5H), 2,61 - 2,54 (m, 4H), 2,47 - 2,41 (m, 2H), 2,26 - 2,17 (m, 2H), 2,15 - 1,95 (m, 22H), 1,92 - 1,84 (m, 9H), 1,80 - 1,70 (m, 10H), 1,65 - 1,35 (m, 17H), 1,31 - 1,19 (m, 4H), 0,96 (t, J = 7,1 Гц, 9H). МС m/z: C94H132N7O38, [M-DMTr]+, рассчитанное: 1664,72, измеренное: 1655,03. Структура полученной в результате этого Конъюгирующей молекулы L-9 представлена формулой (503).[296] L-7 (2.300 g, 1.26 mmol) obtained in step (1-7b), succinic anhydride (0.378 g, 3.78 mmol) and 4-dimethylaminopyridine (DMAP, 0.462 g, 3.78 mmol ) was mixed and dissolved in 13 ml of dichloromethane, additional DIPEA (0.814 g, 6.30 mmol) was added thereto, and stirred for 24 hours at 25°C. The resulting reaction solution was washed with 5 ml of 0.5 M triethylamine phosphate. The separated aqueous phase was extracted three times, each time with 5 ml of dichloromethane. All organic phases were combined and the solvent was evaporated under reduced pressure to give 2.774 g of crude product. The crude product was subjected to column purification using normal phase silica gel, 200-300 mesh, 60 g, with 1% by weight triethylamine to neutralize the acidity of the silica gel. The column was equilibrated with dichloromethane and eluted with a gradient: dichloromethane containing 1‰ (by weight) triethylamine:methanol = 100:18 - 100:20. The eluate was collected and the solvent was evaporated under reduced pressure to give 1.874 g of a pure product of conjugation molecule L-9 (Conjugation molecule 1). 1H NMR (400 MHz, DMSO) δ 8.58 (d, J = 4.2 Hz, 1H), 7.94 - 7.82 (m, 3H), 7.41 - 7.29 (m, 5H) , 7.22 (d, J = 8.1 Hz, 5H), 6.89 (d, J = 8.3 Hz, 4H), 5.49 - 5.37 (m, 1H), 5.21 ( d, J = 3.0 Hz, 3H), 4.97 (d, J = 11.1 Hz, 3H), 4.49 (d, J = 8.2 Hz, 3H), 4.02 (s, 9H), 3.88 (dd, J = 19.4, 9.4 Hz, 3H), 3.77 - 3.65 (m, 9H), 3.50 - 3.39 (m, 6H), 3 .11 - 2.90 (m, 5H), 2.61 - 2.54 (m, 4H), 2.47 - 2.41 (m, 2H), 2.26 - 2.17 (m, 2H) , 2.15 - 1.95 (m, 22H), 1.92 - 1.84 (m, 9H), 1.80 - 1.70 (m, 10H), 1.65 - 1.35 (m, 17H), 1.31 - 1.19 (m, 4H), 0.96 (t, J = 7.1 Hz, 9H). MS m/z: C94H132N7O38, [M-DMTr]+, calculated: 1664.72, measured: 1655.03. The structure of the resulting L-9 Conjugating Molecule is represented by formula (503).
Пример получения 2. Получение Конъюгирующей молекулы P-9 (Конъюгирующей молекулы 2).Production Example 2 Preparation of Conjugating Molecule P-9 (Conjugating Molecule 2).
[297] В данном примере получения Конъюгирующую молекулу 2 (далее в данной заявке также называемую Конъюгирующей молекулой P-9) синтезировали в соответствии со следующим способом:[297] In this preparation example, Conjugation molecule 2 (hereinafter also referred to as Conjugation molecule P-9) was synthesized according to the following method:
(2-1) Синтез GAL5-C4-1.(2-1) Synthesis of GAL5-C4-1.
[298] GAL-5 (13,43 г, 30,0 ммоль), полученный в соответствии со способом, описанным выше в (1-1), трет-бутил-4-аминобутирата гидрохлорид (5,87 г, 30,0 ммоль), O-бензотриазолтетраметилурония гексафторфосфат (13,65 г, 36,0 ммоль) и диизопропилэтиламин (11,63 г, 90,0 ммоль) добавляли в 40 мл N,N-диметилформамида, растворяли до однородности, а затем перемешивали при комнатной температуре для проведения реакции в течение 5 часов. 300 мл насыщенного водного раствора бикарбоната натрия добавляли в полученный в результате этого реакционный раствор. Выделенную водную фазу экстрагировали три раза, каждый раз 200 мл этилацетата. Все органические фазы объединяли и однократно промывали 200 мл насыщенного рассола. Органические фазы, полученные в результате промывки, выделяли и сушили безводным сульфатом натрия. Растворитель выпаривали при пониженном давлении досуха с получением 30,3 г неочищенного продукта GAL5-C4-1 в виде масла, которое непосредственно использовали в следующей реакции.[298] GAL-5 (13.43 g, 30.0 mmol) obtained according to the method described in (1-1) above, tert-butyl 4-aminobutyrate hydrochloride (5.87 g, 30.0 mmol), O-benzotriazoletetramethyluronium hexafluorophosphate (13.65 g, 36.0 mmol) and diisopropylethylamine (11.63 g, 90.0 mmol) were added in 40 ml of N,N-dimethylformamide, dissolved until uniform, and then stirred at room temperature. temperature to carry out the reaction for 5 hours. 300 ml of a saturated aqueous sodium bicarbonate solution was added to the resulting reaction solution. The separated aqueous phase was extracted three times, each time with 200 ml of ethyl acetate. All organic phases were combined and washed once with 200 ml of saturated brine. The organic phases resulting from the washing were isolated and dried over anhydrous sodium sulfate. The solvent was evaporated to dryness under reduced pressure to obtain 30.3 g of crude product GAL5-C4-1 as an oil, which was directly used in the next reaction.
(2-2) Синтез GAL5-C4-2.(2-2) Synthesis of GAL5-C4-2.
[299] Неочищенный продукт GAL5-C4-1 (30,3 г, 30 ммоль), полученный на этапе (2-1), растворяли в 180 мл муравьиной кислоты и перемешивали при комнатной температуре для проведения реакции в течение 16 часов. Растворитель выпаривали досуха. Остаток очищали с помощью колоночной хроматографии (нормально-фазовый силикагель, 200 - 300 меш, с элюированием градиентом дихлорметан:метанол = 100:18 - 100:20). Элюат собирали и концентрировали, чтобы удалить растворители, с получением всего 14,84 г целевого продукта GAL5-C4-2.[299] The crude product GAL5-C4-1 (30.3 g, 30 mmol) obtained in step (2-1) was dissolved in 180 ml of formic acid and stirred at room temperature to react for 16 hours. The solvent was evaporated to dryness. The residue was purified by column chromatography (normal phase silica gel, 200-300 mesh, eluting with a gradient of dichloromethane:methanol=100:18-100:20). The eluate was collected and concentrated to remove solvents to give a total of 14.84 g of the desired GAL5-C4-2 product.
(2-3) Синтез P-6.(2-3) Synthesis of P-6.
[300] M-18-Tr (2,02 г, 4,69 ммоль), полученный в соответствии со способом, описанным на этапе (1-4), и GAL5-C4-2 (8,24 г, 15,48 ммоль), полученный на этапе (2-2), смешивали и растворяли в 47 мл ацетонитрила, добавляли к нему N-метилморфолин (3,13 г, 30,96 ммоль), а затем 4-(4,6-диметокситриазин-2-ил)-4-метилморфолина гидрохлорид (DMTMM, 4,28 г, 15,48 ммоль) для проведения реакции в течение 2 часов при перемешивании при комнатной температуре. Полученный в результате этого реакционный раствор разбавляли 200 мл дихлорметана. Полученную в результате органическую фазу промывали 100 мл насыщенного раствора бикарбоната натрия и 100 мл насыщенного рассола, соответственно. Все органические фазы объединяли, сушили безводным сульфатом натрия и фильтровали. Растворитель выпаривали при пониженном давлении с получением неочищенного продукта, который очищали, применяя нормально-фазовую колонку с силикагелем, 200 - 300 меш. Колонку заполняли петролейным эфиром, добавляли к нему 1% по массе триэтиламина для нейтрализации кислотности силикагеля и элюировали градиентом дихлорметан:метанол = 100:5 - 100:7. Элюат собирали и растворитель выпаривали при пониженном давлении с получением всего 8,27 г чистого продукта P-6.[300] M-18-Tr (2.02 g, 4.69 mmol), obtained in accordance with the method described in step (1-4), and GAL5-C4-2 (8.24 g, 15.48 mmol) obtained in step (2-2) was mixed and dissolved in 47 ml of acetonitrile, N-methylmorpholine (3.13 g, 30.96 mmol) was added thereto, followed by 4-(4,6-dimethoxytriazine-2 -yl)-4-methylmorpholine hydrochloride (DMTMM, 4.28 g, 15.48 mmol) to carry out the reaction for 2 hours with stirring at room temperature. The resulting reaction solution was diluted with 200 ml of dichloromethane. The resulting organic phase was washed with 100 ml of saturated sodium bicarbonate solution and 100 ml of saturated brine, respectively. All organic phases were combined, dried over anhydrous sodium sulfate and filtered. The solvent was evaporated under reduced pressure to give a crude product which was purified using a 200-300 mesh normal phase silica gel column. The column was filled with petroleum ether, 1% by weight of triethylamine was added thereto to neutralize the acidity of the silica gel, and eluted with a gradient of dichloromethane:methanol = 100:5 - 100:7. The eluate was collected and the solvent was evaporated under reduced pressure to give a total of 8.27 g of pure product P-6.
(2-4) Синтез P-7.(2-4) Synthesis of P-7.
[301] P-6 (6,82 г, 3,456 ммоль), полученный в (2-3) выше, растворяли в 69 мл дихлорметана, и добавляли к нему дихлоруксусную кислоту (13,367 г, 103,67 ммоль) для проведения реакции в течение 2 часов при комнатной температуре. Полученный в результате этого реакционный раствор разбавляли путем добавления 100 мл дихлорметана, промывали и подводили pH до 7 - 8 с помощью насыщенного раствора бикарбоната натрия. Выделенную водную фазу экстрагировали шесть раз, каждый раз 30 мл дихлорметана. Все органические фазы объединяли, сушили безводным сульфатом натрия и фильтровали. Затем растворитель выпаривали при пониженном давлении с получением неочищенного продукта. Неочищенный продукт очищали, применяя нормально-фазовую колонку с силикагелем, 200 - 300 меш, с 10% по массе триэтиламина для нейтрализации кислотности силикагеля. Колонку уравновешивали 1‰ (по массе) триэтиламина и элюировали градиентом дихлорметан:метанол = 100:30 - 100:40. Элюат собирали и растворитель выпаривали при пониженном давлении с получением всего 4,82 г P-7. МС m/z: C78H127N10O33, [M+H]+, рассчитанное: 1732,91, измеренное: 1735,73.[301] P-6 (6.82 g, 3.456 mmol) obtained in (2-3) above was dissolved in 69 ml of dichloromethane, and dichloroacetic acid (13.367 g, 103.67 mmol) was added thereto to carry out the reaction in for 2 hours at room temperature. The resulting reaction solution was diluted by adding 100 ml of dichloromethane, washed and adjusted to pH 7-8 with saturated sodium bicarbonate solution. The separated aqueous phase was extracted six times, each time with 30 ml of dichloromethane. All organic phases were combined, dried over anhydrous sodium sulfate and filtered. The solvent was then evaporated under reduced pressure to obtain a crude product. The crude product was purified using a normal phase silica gel column, 200-300 mesh, with 10% by weight triethylamine to neutralize the acidity of the silica gel. The column was equilibrated with 1‰ (by weight) triethylamine and eluted with a gradient of dichloromethane:methanol = 100:30 - 100:40. The eluate was collected and the solvent was evaporated under reduced pressure to give a total of 4.82 g of P-7. MS m/z: C78H127N10O33, [M+H]+, calculated: 1732.91, measured: 1735.73.
(2-5) Синтез P-8.(2-5) Synthesis of P-8.
(A-1)(A-1)
[302] P-7 (2,653 г, 1,532 ммоль) и A-1 (2,342 г, 4,596 ммоль) смешивали и растворяли в 16 мл дихлорметана, и добавляли к нему 3-диэтоксифосфорил-1,2,3-бензотриазол 4(3H)-он (DEPBT) (1,375 г, 4,596 ммоль), а затем диизопропилэтиламин (1,188 г, 9,191 ммоль) для проведения реакции в течение 2 часов при перемешивании при 25°C, промывали 10 мл насыщенного бикарбоната натрия. Выделенную водную фазу экстрагировали три раза, каждый раз 10 мл дихлорметана. Все органические фазы объединяли и промывали 10 мл насыщенного рассола. Выделенную водную фазу экстрагировали дважды, каждый раз 10 мл дихлорметана, и полученные органические фазы объединяли, сушили безводным сульфатом натрия и фильтровали. Растворитель выпаривали при пониженном давлении, и остаток сушили во вспененном состоянии в течение ночи с помощью вакуумного масляного насоса с получением неочищенного продукта. Неочищенный продукт подвергали очистке на колонке, применяя нормально-фазовый силикагель, 200 - 300 меш, 120 г, с 20 мл триэтиламина для нейтрализации кислотности силикагеля. Колонку уравновешивали петролейным эфиром, содержащим 1% по массе триэтиламина, и элюировали градиентом петролейный эфир:этилацетат:дихлорметан:N,N-диметилформамид = 1:1:1:0,5 - 1:1:1:0,6. Элюат собирали и растворитель выпаривали при пониженном давлении с получением всего 2,793 г чистого продукта P-8.[302] P-7 (2.653 g, 1.532 mmol) and A-1 (2.342 g, 4.596 mmol) were mixed and dissolved in 16 ml of dichloromethane, and 3-diethoxyphosphoryl-1,2,3-benzotriazole 4(3H )-one (DEPBT) (1.375 g, 4.596 mmol) followed by diisopropylethylamine (1.188 g, 9.191 mmol) to react for 2 hours with stirring at 25° C., washed with 10 ml of saturated sodium bicarbonate. The separated aqueous phase was extracted three times, each time with 10 ml of dichloromethane. All organic phases were combined and washed with 10 ml of saturated brine. The separated aqueous phase was extracted twice, each time with 10 ml of dichloromethane, and the resulting organic phases were combined, dried over anhydrous sodium sulfate and filtered. The solvent was evaporated under reduced pressure, and the residue was foam dried overnight with an oil vacuum pump to give a crude product. The crude product was subjected to column purification using normal phase silica gel, 200-300 mesh, 120 g, with 20 ml of triethylamine to neutralize the acidity of the silica gel. The column was equilibrated with petroleum ether containing 1% by weight triethylamine and eluted with a gradient of petroleum ether:ethyl acetate:dichloromethane:N,N-dimethylformamide = 1:1:1:0.5 - 1:1:1:0.6. The eluate was collected and the solvent was evaporated under reduced pressure to give a total of 2.793 g of pure product P-8.
(2-6) Синтез P-9.(2-6) Synthesis of P-9.
[303] P-8 (490 мг, 0,231 ммоль), янтарный ангидрид (69 мг, 0,693 ммоль) и 4-диметиламинопиридин (DMAP, 68 мг, 0,554 ммоль) смешивали и растворяли в 2,3 мл дихлорметана, и добавляли к ним диизопропилэтиламин (DIPEA, 149 мг, 1,155 ммоль) для проведения реакции в течение 21 часа при перемешивании при 25°C. 50 мл дихлорметана добавляли в полученный в результате этого реакционный раствор для разбавления, а затем промывали 100 мл 0,5 М фосфата триэтиламина. Выделенную водную фазу экстрагировали три раза, каждый раз 10 мл дихлорметана. Все органические фазы объединяли и выпаривали растворитель при пониженном давлении с получением неочищенного продукта. Неочищенный продукт подвергали очистке на колонке, применяя нормально-фазовый силикагель, 200 - 300 меш, 80 г, с 1% по массе триэтиламина для нейтрализации кислотности силикагеля. Колонку уравновешивали дихлорметаном и элюировали градиентом: дихлорметан, содержащий 1‰ (по массе) триэтиламина:метанол = 100:18 - 100:20. Элюат собирали и растворитель выпаривали при пониженном давлении с получением всего 200 мг чистого продукта - Конъюгирующей молекулы P-9 (Конъюгирующей молекулы 2). МС m/z: C106H153N10O41, [M-DMTr]+, рассчитанное: 1921,05, измеренное: 1920,97. Структура полученной в результате этого Конъюгирующей молекулы P-9 представлена формулой (504).[303] P-8 (490 mg, 0.231 mmol), succinic anhydride (69 mg, 0.693 mmol) and 4-dimethylaminopyridine (DMAP, 68 mg, 0.554 mmol) were mixed and dissolved in 2.3 ml of dichloromethane, and added to them diisopropylethylamine (DIPEA, 149 mg, 1.155 mmol) to carry out the reaction for 21 hours with stirring at 25°C. 50 ml of dichloromethane was added to the resulting dilution reaction solution, and then washed with 100 ml of 0.5 M triethylamine phosphate. The separated aqueous phase was extracted three times, each time with 10 ml of dichloromethane. All organic phases were combined and the solvent was evaporated under reduced pressure to give the crude product. The crude product was subjected to column purification using normal phase silica gel, 200-300 mesh, 80 g, with 1% by weight triethylamine to neutralize the acidity of the silica gel. The column was equilibrated with dichloromethane and eluted with a gradient: dichloromethane containing 1‰ (by weight) triethylamine:methanol = 100:18 - 100:20. The eluate was collected and the solvent was evaporated under reduced pressure to give a total of 200 mg of pure product Conjugation molecule P-9 (Conjugation molecule 2). MS m/z: C106H153N10O41, [M-DMTr]+, calculated: 1921.05, measured: 1920.97. The structure of the resulting P-9 Conjugating Molecule is represented by formula (504).
Пример получения 3. Получение Конъюгирующей молекулы R-4 (Конъюгирующей молекулы 3).Production Example 3 Preparation of Conjugating Molecule R-4 (Conjugating Molecule 3).
[304] В данном примере получения Конъюгирующую молекулу 3 (далее в данной заявке также называемую Конъюгирующей молекулой R-4) синтезировали в соответствии со следующим способом:[304] In this preparation example, Conjugation molecule 3 (hereinafter also referred to as Conjugation molecule R-4) was synthesized according to the following method:
(3-1) Синтез GAL-C7-1.(3-1) Synthesis of GAL-C7-1.
[305] GAL-3 (26,4 г, 80,2 ммоль), полученный в соответствии со способом, описанным на этапе (1-1b), растворяли в 134 мл безводного 1,2-дихлорэтана и добавляли 60 г молекулярных сит 4Å в виде порошка, а затем 7-октен-1-ол (11,3 г, 88,2 ммоль) для проведения реакции в течение 10 минут при перемешивании при комнатной температуре. Добавляли триметилсилил трифторметансульфонат (TMSOTf, 8,9 г, 40,1 ммоль) на ледяной бане и с защитой азота для проведения реакции в течение 24 часов при перемешивании при комнатной температуре. Порошок молекулярных сит 4Å удаляли фильтрацией. 500 мл насыщенного водного раствора бикарбоната натрия добавляли в фильтрат для промывки. Выделяли органическую фазу. Оставшуюся водную фазу однократно экстрагировали 100 мл дихлорметана. Все органические фазы объединяли и однократно промывали 250 мл насыщенного рассола. Органическую фазу, полученную в результате промывки, сушили безводным сульфатом натрия. Растворитель выпаривали при пониженном давлении досуха с получением 33,3 г продукта GAL-C7-1 в виде желтого сиропа, который непосредственно использовали в следующей реакции окисления без очистки.[305] GAL-3 (26.4 g, 80.2 mmol) obtained according to the method described in step (1-1b) was dissolved in 134 ml of
(3-2) Синтез GAL-C7-2.(3-2) Synthesis of GAL-C7-2.
[306] GAL-C7-1 (33,3 г, 72,8 ммоль), полученный на этапе (3-1), растворяли в смешанном растворителе 160 мл дихлорметана и 160 мл ацетонитрила, добавляли 216 мл воды и твердый периодат натрия (62,3 г, 291,2 ммоль), соответственно, перемешивали на ледяной бане в течение 10 минут, и добавляли катализатор трихлорид рутения (498 мг, 2,4 ммоль). Реакционная смесь естественным образом нагревалась до комнатной температуры, и ее перемешивали в течение 23 часов. Полученный в результате этого реакционный раствор разбавляли путем добавления 200 мл воды, перемешивали и подводили pH до 7,5 путем добавления насыщенного бикарбоната натрия. Выделенную органическую фазу отбрасывали. Оставшуюся водную фазу экстрагировали три раза, каждый раз дихлорметаном. Органические фазы, полученные в результате экстрагирования, отбрасывали. pH водной фазы, полученной в результате экстрагирования, подводили до приблизительно 3 с помощью твердой лимонной кислоты, экстрагировали три раза, каждый раз 200 мл дихлорметана, и полученные органические фазы объединяли, сушили безводным сульфатом натрия. Растворитель выпаривали при пониженном давлении, а затем остаток очищали с помощью колоночной хроматографии (нормально-фазовый силикагель, 200 - 300 меш, с элюированием градиентом дихлорметан:метанол = 100:18 - 100:20) с получением 22,4 г продукта GAL-C7-2 в виде белого пенистого твердого вещества. МС m/z: C21H32NO11, [M+H]+, рассчитанное: 476,50, измеренное: 475,94.[306] GAL-C7-1 (33.3 g, 72.8 mmol) obtained in step (3-1) was dissolved in a mixed solvent of 160 ml of dichloromethane and 160 ml of acetonitrile, 216 ml of water and solid sodium periodate ( 62.3 g, 291.2 mmol), respectively, was stirred in an ice bath for 10 minutes, and the catalyst ruthenium trichloride (498 mg, 2.4 mmol) was added. The reaction mixture naturally warmed to room temperature and was stirred for 23 hours. The resulting reaction solution was diluted by adding 200 ml of water, stirred and adjusted to pH 7.5 by adding saturated sodium bicarbonate. The isolated organic phase was discarded. The remaining aqueous phase was extracted three times, each time with dichloromethane. The organic phases resulting from the extraction were discarded. The pH of the aqueous phase resulting from the extraction was adjusted to approximately 3 with solid citric acid, extracted three times, each time with 200 ml of dichloromethane, and the resulting organic phases were combined, dried with anhydrous sodium sulfate. The solvent was evaporated under reduced pressure, and then the residue was purified by column chromatography (normal phase silica gel, 200-300 mesh, eluting with dichloromethane:methanol=100:18-100:20 gradient) to give 22.4 g of GAL-C7 product. -2 as a white foamy solid. MS m/z: C21H32NO11, [M+H]+, calculated: 476.50, measured: 475.94.
(3-3) Синтез R-1.(3-3) Synthesis of R-1.
[307] M-18-Tr (2,02 г, 4,69 ммоль), полученный в соответствии со способом, описанным на этапе (1-4), и GAL-C7-2 (7,36 г, 15,48 ммоль) смешивали и растворяли в 47 мл ацетонитрила, добавляли N-метилморфолин (3,13 г, 30,96 ммоль), а затем 4-(4,6-диметокситриазин-2-ил)-4-метилморфолина гидрохлорид (DMTMM, 4,28 г, 15,48 ммоль) для проведения реакции в течение 2 часов при перемешивании при комнатной температуре. Полученный в результате этого реакционный раствор разбавляли 200 мл дихлорметана. Полученную в результате органическую фазу промывали 100 мл насыщенного раствора бикарбоната натрия и 100 мл насыщенного рассола, соответственно. Все органические фазы объединяли, сушили безводным сульфатом натрия и фильтровали. Растворитель выпаривали при пониженном давлении с получением неочищенного продукта, который очищали, применяя нормально-фазовую колонку с силикагелем, 200 - 300 меш. Колонку заполняли петролейным эфиром, добавляли к нему 1% по массе триэтиламина для нейтрализации кислотности силикагеля и элюировали градиентом дихлорметан:метанол = 100:5 - 100:7. Элюат собирали и растворитель выпаривали при пониженном давлении с получением 7,82 г чистого продукта R-1.[307] M-18-Tr (2.02 g, 4.69 mmol), obtained in accordance with the method described in step (1-4), and GAL-C7-2 (7.36 g, 15.48 mmol) was mixed and dissolved in 47 ml of acetonitrile, N-methylmorpholine (3.13 g, 30.96 mmol) was added, followed by 4-(4,6-dimethoxytriazin-2-yl)-4-methylmorpholine hydrochloride (DMTMM, 4 .28 g, 15.48 mmol) to carry out the reaction for 2 hours with stirring at room temperature. The resulting reaction solution was diluted with 200 ml of dichloromethane. The resulting organic phase was washed with 100 ml of saturated sodium bicarbonate solution and 100 ml of saturated brine, respectively. All organic phases were combined, dried over anhydrous sodium sulfate and filtered. The solvent was evaporated under reduced pressure to give a crude product which was purified using a 200-300 mesh normal phase silica gel column. The column was filled with petroleum ether, 1% by weight of triethylamine was added thereto to neutralize the acidity of the silica gel, and eluted with a gradient of dichloromethane:methanol = 100:5 - 100:7. The eluate was collected and the solvent was evaporated under reduced pressure to give 7.82 g of pure product R-1.
(3-4) Синтез R-2.(3-4) Synthesis of R-2.
[308] R-1 (6,23 г, 3,456 ммоль) растворяли в 69 мл дихлорметана, и добавляли к нему дихлоруксусную кислоту (13,367 г, 103,67 ммоль) для проведения реакции в течение 2 часов при комнатной температуре. Полученный в результате этого реакционный раствор разбавляли путем добавления 100 мл дихлорметана, промывали и подводили pH до 7 - 8 с помощью насыщенного раствора бикарбоната натрия. Выделенную водную фазу экстрагировали шесть раз, каждый раз 30 мл дихлорметана. Все органические фазы объединяли, сушили безводным сульфатом натрия и фильтровали. Затем растворитель выпаривали при пониженном давлении с получением неочищенного продукта. Неочищенный продукт очищали, применяя нормально-фазовую колонку с силикагелем, 200 - 300 меш, с 10% по массе триэтиламина для нейтрализации кислотности силикагеля. Колонку уравновешивали 1‰ (по массе) триэтиламина и элюировали градиентом дихлорметан:метанол = 100:30 - 100:40. Растворитель элюата выпаривали при пониженном давлении с получением 4,49 г чистого продукта R-2.[308] R-1 (6.23 g, 3.456 mmol) was dissolved in 69 ml of dichloromethane, and dichloroacetic acid (13.367 g, 103.67 mmol) was added thereto to carry out a reaction for 2 hours at room temperature. The resulting reaction solution was diluted by adding 100 ml of dichloromethane, washed and adjusted to pH 7-8 with saturated sodium bicarbonate solution. The separated aqueous phase was extracted six times, each time with 30 ml of dichloromethane. All organic phases were combined, dried over anhydrous sodium sulfate and filtered. The solvent was then evaporated under reduced pressure to obtain a crude product. The crude product was purified using a 200-300 mesh normal phase silica gel column with 10% by weight triethylamine to neutralize the acidity of the silica gel. The column was equilibrated with 1‰ (by weight) triethylamine and eluted with a gradient of dichloromethane:methanol = 100:30 - 100:40. The eluate solvent was evaporated under reduced pressure to give 4.49 g of pure product R-2.
(3-5) Синтез R-3.(3-5) Synthesis of R-3.
[309] R-2 (2,391 г, 1,532 ммоль) и A-1 (2,342 г, 4,596 ммоль) смешивали и растворяли в 16 мл дихлорметана, и добавляли 3-(диэтоксифосфорилокси)-1,2,3-бензотризин-4(3H)-он (DEPBT, 1,375 г, 4,596 ммоль), а затем диизопропилэтиламин (1,188 г, 9,191 ммоль) для проведения реакции в течение 2 часов при перемешивании при 25°C, промывали 10 мл насыщенного бикарбоната натрия. Выделенную водную фазу экстрагировали три раза, каждый раз 10 мл дихлорметана. Все органические фазы объединяли и промывали 10 мл насыщенного рассола. Выделенную водную фазу экстрагировали дважды, каждый раз 10 мл дихлорметана, и полученные органические фазы объединяли, сушили безводным сульфатом натрия и фильтровали. Растворитель выпаривали при пониженном давлении, и остаток сушили во вспененном состоянии в течение ночи с помощью вакуумного масляного насоса с получением неочищенного продукта. Неочищенный продукт подвергали очистке на колонке, применяя нормально-фазовый силикагель, 200 - 300 меш, 120 г, с 20 мл триэтиламина для нейтрализации кислотности силикагеля. Колонку уравновешивали петролейным эфиром, содержащим 1% по массе триэтиламина, и элюировали градиентом петролейный эфир:этилацетат:дихлорметан:N,N-диметилформамид = 1:1:1:0,5 - 1:1:1:0,6. Растворитель выпаривали при пониженном давлении с получением 2,642 г чистого продукта R-3.[309] R-2 (2.391 g, 1.532 mmol) and A-1 (2.342 g, 4.596 mmol) were mixed and dissolved in 16 mL of dichloromethane and 3-(diethoxyphosphoryloxy)-1,2,3-benzotrizine-4( 3H)-one (DEPBT, 1.375 g, 4.596 mmol) followed by diisopropylethylamine (1.188 g, 9.191 mmol) to react for 2 hours with stirring at 25° C., washed with 10 ml of saturated sodium bicarbonate. The separated aqueous phase was extracted three times, each time with 10 ml of dichloromethane. All organic phases were combined and washed with 10 ml of saturated brine. The separated aqueous phase was extracted twice, each time with 10 ml of dichloromethane, and the resulting organic phases were combined, dried over anhydrous sodium sulfate and filtered. The solvent was evaporated under reduced pressure, and the residue was foam dried overnight with an oil vacuum pump to give a crude product. The crude product was subjected to column purification using normal phase silica gel, 200-300 mesh, 120 g, with 20 ml of triethylamine to neutralize the acidity of the silica gel. The column was equilibrated with petroleum ether containing 1% by weight triethylamine and eluted with a gradient of petroleum ether:ethyl acetate:dichloromethane:N,N-dimethylformamide = 1:1:1:0.5 - 1:1:1:0.6. The solvent was evaporated under reduced pressure to give 2.642 g of pure product R-3.
(3-6) Синтез R-4.(3-6) Synthesis of R-4.
[310] R-3 (795 мг, 0,4074 ммоль), янтарный ангидрид (82 мг, 0,8148 ммоль) и 4-диметиламинопиридин (DMAP, 100 мг, 0,8148 ммоль) смешивали и растворяли в 4 мл дихлорметана, и добавляли диизопропилэтиламин (DIPEA, 100 мг, 0,8148 ммоль) для проведения реакции в течение 18 часов при перемешивании при 25°C. Полученный в результате этого реакционный раствор промывали 5 мл 0,5 М фосфата триэтиламина. Водную фазу экстрагировали три раза, каждый раз 5 мл дихлорметана. Все органические фазы объединяли и выпаривали растворитель при пониженном давлении с получением неочищенного продукта. Неочищенный продукт подвергали очистке на колонке, применяя нормально-фазовый силикагель, 200 - 300 меш, 30 г, с 1% по массе триэтиламина для нейтрализации кислотности силикагеля. Колонку уравновешивали дихлорметаном и элюировали градиентом: дихлорметан, содержащий 1‰ (по массе) триэтиламина:метанол = 100:18 - 100:20. Элюат собирали и растворитель выпаривали при пониженном давлении с получением 505 мг чистого продукта - Конъюгирующей молекулы R-4 (Конъюгирующей молекулы 3). Структура полученной в результате этого Конъюгирующей молекулы R-4 представлена формулой (507).[310] R-3 (795 mg, 0.4074 mmol), succinic anhydride (82 mg, 0.8148 mmol) and 4-dimethylaminopyridine (DMAP, 100 mg, 0.8148 mmol) were mixed and dissolved in 4 ml dichloromethane, and diisopropylethylamine (DIPEA, 100 mg, 0.8148 mmol) was added to carry out the reaction for 18 hours with stirring at 25°C. The resulting reaction solution was washed with 5 ml of 0.5 M triethylamine phosphate. The aqueous phase was extracted three times, each time with 5 ml of dichloromethane. All organic phases were combined and the solvent was evaporated under reduced pressure to give the crude product. The crude product was subjected to column purification using normal phase silica gel, 200-300 mesh, 30 g, with 1% by weight triethylamine to neutralize the acidity of the silica gel. The column was equilibrated with dichloromethane and eluted with a gradient: dichloromethane containing 1‰ (by weight) triethylamine:methanol = 100:18 - 100:20. The eluate was collected and the solvent was evaporated under reduced pressure to give 505 mg of pure product, Conjugation Molecule R-4 (Conjugation Molecule 3). The structure of the resulting R-4 Conjugating Molecule is represented by formula (507).
Пример получения 4. Получение Конъюгирующей молекулы LA-4 (Конъюгирующей молекулы 4)Production Example 4 Preparation of LA-4 Conjugating Molecule (Conjugating Molecule 4)
[311] Ожидается, что Конъюгирующую молекулу 4 (далее в данной заявке также называемую Конъюгирующей молекулой LA-4) можно синтезировать в соответствии со следующим технологическим путем. Структура полученной в результате этого Конъюгирующей молекулы LA-4 представлена формулой (512).[311] It is expected that Conjugation molecule 4 (hereinafter also referred to as Conjugation molecule LA-4) can be synthesized in accordance with the following technological route. The structure of the resulting LA-4 Conjugating Molecule is represented by formula (512).
[312] Конъюгирующая молекула.[312] Conjugating molecule.
Пример получения 5. Получение Конъюгирующей молекулы LB-4 (Конъюгирующей молекулы 5).Production Example 5 Preparation of LB-4 Conjugation Molecule (Conjugation Molecule 5).
[313] В данном примере получения Конъюгирующую молекулу 5 (далее в данной заявке также называют Конъюгирующей молекулой LB-4) синтезировали в соответствии со следующим способом:[313] In this preparation example, Conjugation molecule 5 (hereinafter also referred to as Conjugation molecule LB-4) was synthesized according to the following method:
(5-1) Синтез LB-1.(5-1) Synthesis of LB-1.
[314] L-8 (5,0 г, 3,386 ммоль), полученный в соответствии со способом, описанным на этапе (1-6), адипиновый ангидрид (870 мг, 6,772 ммоль) и 4-диметиламинопиридин (DMAP, 827 мг, 6,772 ммоль) смешивали и растворяли в 130 мл дихлорметана, и добавляли к нему диизопропилэтиламин (DIPEA, 2,2 г, 16,931 ммоль) для проведения реакции в течение 4 часов при перемешивании при 25°C. 70 мл дихлорметана добавляли в полученный в результате этого реакционный раствор для разбавления, а затем промывали 0,5 М фосфата триэтиламина. Выделенную водную фазу экстрагировали четыре раза, каждый раз 10 мл дихлорметана. Все органические фазы объединяли и выпаривали растворитель при пониженном давлении с получением неочищенного продукта. Неочищенный продукт подвергали очистке на колонке, применяя нормально-фазовый силикагель, 200 - 300 меш, 120 г, с 1% по массе триэтиламина для нейтрализации кислотности силикагеля. Колонку уравновешивали дихлорметаном и элюировали градиентом петролейный эфир:этилацетат:дихлорметан:метанол = 1:1:1:0,2 - 1:1:1:1. Растворитель выпаривали при пониженном давлении с получением 4,267 г чистого продукта LB-1.[314] L-8 (5.0 g, 3.386 mmol) obtained according to the method described in step (1-6), adipic anhydride (870 mg, 6.772 mmol) and 4-dimethylaminopyridine (DMAP, 827 mg, 6.772 mmol) was mixed and dissolved in 130 ml of dichloromethane, and diisopropylethylamine (DIPEA, 2.2 g, 16.931 mmol) was added thereto to carry out a reaction for 4 hours with stirring at 25°C. 70 ml of dichloromethane was added to the resulting dilution reaction solution, and then washed with 0.5 M triethylamine phosphate. The separated aqueous phase was extracted four times, each time with 10 ml of dichloromethane. All organic phases were combined and the solvent was evaporated under reduced pressure to give the crude product. The crude product was subjected to column purification using normal phase silica gel, 200-300 mesh, 120 g, with 1% by weight triethylamine to neutralize the acidity of the silica gel. The column was equilibrated with dichloromethane and eluted with a gradient of petroleum ether:ethyl acetate:dichloromethane:methanol = 1:1:1:0.2 - 1:1:1:1. The solvent was evaporated under reduced pressure to give 4.267 g of pure LB-1 product.
(5-2) Синтез LB-2.(5-2) Synthesis of LB-2.
[315] LB-1 (4,697 г, 2,753 ммоль, объединение 2 партий), полученный в соответствии со способом, описанным на этапе (5-1), 3-амино-1,2-пропандиол (313 мг, 3,442 ммоль) 4-(4,6-диметокситриазин-2-ил)-4-метилморфолина гидрохлорид (DMTMM, 953 мг, 3,442 ммоль) и N-метилморфолин (700 мг, 6,884ммоль) последовательно добавляли в смесь 30 мл ацетонитрила и 3 мл метанола для проведения реакции в течение ночи при перемешивании при комнатной температуре. Реакционную смесь переносили в масляную баню при 60°C и перемешивали в течение 18 часов. Растворитель выпаривали досуха и остаток очищали с помощью колоночной хроматографии (нормально-фазовый силикагель, 200 - 300 меш, с элюированием градиентом дихлорметан:метанол = 1:0,07 - 1:0,5). Элюат собирали и концентрировали, чтобы удалить растворители, с получением 3,27 г целевого продукта LB-2.[315] LB-1 (4.697 g, 2.753 mmol, pool of 2 lots) prepared according to the method described in step (5-1), 3-amino-1,2-propanediol (313 mg, 3.442 mmol) 4 -(4,6-dimethoxytriazin-2-yl)-4-methylmorpholine hydrochloride (DMTMM, 953 mg, 3.442 mmol) and N-methylmorpholine (700 mg, 6.884 mmol) were added successively to a mixture of 30 ml of acetonitrile and 3 ml of methanol to conduct reactions overnight with stirring at room temperature. The reaction mixture was transferred to an oil bath at 60°C and stirred for 18 hours. The solvent was evaporated to dryness and the residue was purified by column chromatography (normal phase silica gel, 200-300 mesh, eluting with a gradient of dichloromethane:methanol=1:0.07-1:0.5). The eluate was collected and concentrated to remove solvents to give 3.27 g of desired LB-2 product.
(5-3) Синтез LB-3.(5-3) Synthesis of LB-3.
[316] LB-2 (2,27 г, 1,353 ммоль) растворяли в 14 мл безводного пиридина и добавляли к нему 4,4'-диметокситритилхлорид (688 мг, 2,03 ммоль) для проведения реакции в течение ночи при перемешивании при комнатной температуре. Реакцию гасили добавлением 150 мл метанола. Растворитель выпаривали досуха и остаток очищали с помощью колоночной хроматографии (нормально-фазовый силикагель, 200 - 300 меш, с элюированием градиентом дихлорметан:метанол = 1:0,05 - 1:0,2). Элюат собирали и концентрировали, чтобы удалить растворители, с получением 1,647 г целевого продукта LB-3.[316] LB-2 (2.27 g, 1.353 mmol) was dissolved in 14 ml of anhydrous pyridine, and 4,4'-dimethoxytrityl chloride (688 mg, 2.03 mmol) was added thereto to carry out the reaction overnight with stirring at room temperature. temperature. The reaction was quenched by adding 150 ml of methanol. The solvent was evaporated to dryness and the residue was purified by column chromatography (normal phase silica gel, 200-300 mesh, eluting with a gradient of dichloromethane:methanol=1:0.05-1:0.2). The eluate was collected and concentrated to remove solvents to give 1.647 g of desired LB-3 product.
(5-4) Синтез LB-4.(5-4) Synthesis of LB-4.
[317] LB-3 (822 мг, 0,415 ммоль), янтарный ангидрид (83 г, 0,83 ммоль) и 4-диметиламинопиридин (DMAP, 102 мг, 0,83 ммоль) смешивали и растворяли в 4 мл дихлорметана, добавляли к нему DIPEA (270 мг, 2,075 ммоль) и перемешивали при 25°C для проведения реакции в течение ночи. Полученную в результате этого жидкую реакционную смесь трижды промывали 0,5 М фосфата триэтиламина. Выделенную водную фазу экстрагировали три раза, каждый раз 2 мл дихлорметана. Все органические фазы объединяли и выпаривали растворитель при пониженном давлении с получением неочищенного продукта. Неочищенный продукт подвергали очистке на колонке, применяя нормально-фазовый силикагель, 200 - 300 меш, с 5 % по массе триэтиламина для нейтрализации кислотности силикагеля. Колонку уравновешивали петролейным эфиром и элюировали градиентом: дихлорметан, содержащий 1‰ (по массе) триэтиламин:метанол = 100:5 - 100:20. Растворитель выпаривали при пониженном давлении с получением 787 мг чистого продукта - Конъюгирующей молекулы LB-4 (Конъюгирующей молекулы 5). Структура полученной в результате этого Конъюгирующей молекулы LB-4 представлена формулой (513).[317] LB-3 (822 mg, 0.415 mmol), succinic anhydride (83 g, 0.83 mmol) and 4-dimethylaminopyridine (DMAP, 102 mg, 0.83 mmol) were mixed and dissolved in 4 ml dichloromethane, added to him DIPEA (270 mg, 2,075 mmol) and stirred at 25°C to carry out the reaction during the night. The resulting liquid reaction mixture was washed three times with 0.5 M triethylamine phosphate. The separated aqueous phase was extracted three times, each time with 2 ml of dichloromethane. All organic phases were combined and the solvent was evaporated under reduced pressure to give the crude product. The crude product was subjected to column purification using normal phase silica gel, 200-300 mesh, with 5% by weight triethylamine to neutralize the acidity of the silica gel. The column was equilibrated with petroleum ether and eluted with a gradient: dichloromethane containing 1‰ (by weight) triethylamine:methanol = 100:5 - 100:20. The solvent was evaporated under reduced pressure to give 787 mg of pure product, LB-4 Conjugation Molecule (Conjugation Molecule 5). The structure of the resulting LB-4 Conjugating Molecule is represented by formula (513).
Пример получения 6. Синтез Конъюгирующей молекулы V-7 (Конъюгирующей молекулы 6).Production Example 6 Synthesis of Conjugation Molecule V-7 (Conjugation Molecule 6).
[318] Ожидается, что Конъюгирующую молекулу 6 (далее в данной заявке также называют Конъюгирующей молекулой V-7) можно синтезировать в соответствии со следующим технологическим путем. Структура полученной в результате этого Конъюгирующей молекулы V-7 представлена формулой (514). Конъюгирующая молекула.[318] It is expected that Conjugation Molecule 6 (hereinafter also referred to as Conjugation Molecule V-7) can be synthesized according to the following process route. The structure of the resulting V-7 Conjugating Molecule is represented by formula (514). conjugating molecule.
[319] Конъюгирующая молекула.[319] Conjugating molecule.
Пример получения 7. Получение Конъюгирующей молекулы W-7 (Конъюгирующей молекулы 7).Production Example 7 Preparation of Conjugating Molecule W-7 (Conjugating Molecule 7).
[320] В данном примере получения Конъюгирующую молекулу 7 (далее в данной заявке также называют Конъюгирующей молекулой W-7) синтезировали в соответствии со следующим способом.[320] In this preparation example, Conjugation molecule 7 (hereinafter also referred to as Conjugation molecule W-7) was synthesized according to the following method.
(7-1) Синтез W-1.(7-1) Synthesis W-1.
[321] W-0 (2,024 г, 10 ммоль) растворяли в 25 мл ацетонитрила, добавляли к нему триэтиламин (4,048 г, 40 ммоль) и охлаждали до приблизительно 0°C на ледяной бане. Этилтрифторацетат (5,683 г, 40 ммоль) добавляли для проведения реакции в течение 22 часов при комнатной температуре. Растворитель выпаривали при пониженном давлении и сушили остаток во вспененном состоянии с помощью вакуумного масляного насоса в течение 18 часов с получением 5,835 г неочищенного твердого продукта W-1.[321] W-0 (2.024 g, 10 mmol) was dissolved in 25 ml of acetonitrile, triethylamine (4.048 g, 40 mmol) was added thereto and cooled to approximately 0°C in an ice bath. Ethyl trifluoroacetate (5.683 g, 40 mmol) was added to carry out the reaction for 22 hours at room temperature. The solvent was evaporated under reduced pressure, and the foamy residue was dried with a vacuum oil pump for 18 hours to give 5.835 g of crude solid W-1.
(7-2) Синтез W-2.(7-2) Synthesis W-2.
[322] Неочищенный продукт W-1 (5,835 г, 10 ммоль) растворяли в 50 мл дихлорметана. TrCl (3,345 г, 12 ммоль) и триэтиламин (1,518 г, 15 ммоль) добавляли для проведения реакции в течение 20 часов при перемешивании при комнатной температуре. Полученную в результате этого жидкую реакционную смесь промывали дважды 20 мл насыщенного бикарбоната натрия и один раз 20 мл насыщенного рассола. Все органические фазы объединяли, сушили безводным сульфатом натрия и фильтровали. Органический растворитель выпаривали при пониженном давлении и сушили остаток во вспененном состоянии с помощью вакуумного масляного насоса в течение ночи с получением 8,012 г неочищенного твердого продукта W-2. Неочищенный твердый продукт W-2 использовали в следующей реакции снятия защитных групп без обработки.[322] The crude product W-1 (5.835 g, 10 mmol) was dissolved in 50 ml of dichloromethane. TrCl (3.345 g, 12 mmol) and triethylamine (1.518 g, 15 mmol) were added to carry out the reaction for 20 hours with stirring at room temperature. The resulting liquid reaction mixture was washed twice with 20 ml of saturated sodium bicarbonate and once with 20 ml of saturated brine. All organic phases were combined, dried over anhydrous sodium sulfate and filtered. The organic solvent was evaporated under reduced pressure, and the foamy residue was dried with a vacuum oil pump overnight to give 8.012 g of crude W-2 solid. The crude W-2 solid was used in the next deprotection reaction without treatment.
(7-3) Синтез W-3.(7-3) Synthesis W-3.
[323] Неочищенный продукт W-2 (8,012 г, 10 ммоль) растворяли в 100 мл метанола и добавляли к нему 100 мл водного раствора метиламина (40% по массе) для проведения реакции в течение 23 часов при перемешивании при 50°C. Нерастворимые частицы удаляли из реакционной смеси фильтрацией. Растворитель выпаривали при пониженном давлении. К остатку добавляли 200 мл смешанного растворителя ДХМ: метанол в объемном отношении 1:1, и полученную в результате органическую фазу промывали 50 мл насыщенного бикарбоната натрия. Выделенную водную фазу экстрагировали три раза, каждый раз 50 мл дихлорметана. Все органические фазы объединяли, сушили безводным сульфатом натрия и фильтровали. Растворитель выпаривали при пониженном давлении, сушили остаток во вспененном состоянии с помощью вакуумного масляного насоса в течение ночи и очищали, применяя нормально-фазовую колонку с силикагелем, 200 - 300 меш. Колонку заполняли петролейным эфиром, добавляли к нему 1% по массе триэтиламина для нейтрализации кислотности силикагеля и элюировали градиентом дихлорметан:метанол:водный аммиак (25 % по массе) = 1:1:0,05 - 1:1:0,25. Элюат собирали. Растворитель выпаривали при пониженном давлении и сушили остаток во вспененном состоянии с помощью вакуумного масляного насоса с получением 3,062 г чистого продукта W-3.[323] The crude product W-2 (8.012 g, 10 mmol) was dissolved in 100 ml of methanol, and 100 ml of an aqueous solution of methylamine (40% by mass) was added thereto to carry out the reaction for 23 hours with stirring at 50°C. Insoluble particles were removed from the reaction mixture by filtration. The solvent was evaporated under reduced pressure. 200 ml of a mixed solvent of DCM:methanol in a 1:1 v/v ratio was added to the residue, and the resulting organic phase was washed with 50 ml of saturated sodium bicarbonate. The separated aqueous phase was extracted three times, each time with 50 ml of dichloromethane. All organic phases were combined, dried over anhydrous sodium sulfate and filtered. The solvent was evaporated under reduced pressure, the foam dried with a vacuum oil pump overnight, and purified using a 200-300 mesh normal phase silica gel column. The column was filled with petroleum ether, 1% by mass of triethylamine was added to it to neutralize the acidity of the silica gel, and it was eluted with a gradient of dichloromethane:methanol:aqueous ammonia (25% by mass) = 1:1:0.05 - 1:1:0.25. The eluate was collected. The solvent was evaporated under reduced pressure, and the foamy residue was dried using a vacuum oil pump to give 3.062 g of pure product W-3.
(7-4) Синтез W-4.(7-4) Synthesis of W-4.
[324] W-3 (675 мг, 1,517 ммоль) и GAL-C7-2 (2,60 г, 5,46 ммоль) смешивали и растворяли в 47 мл ацетонитрила, добавляли диизопропилэтиламин (1,57 г, 12,14 ммоль), а затем 3-(диэтоксифосфорилокси)-1,2,3-бензотризин-4(3H)-он (DEPBT, 1,816 г, 6,04 ммоль) для проведения реакции в течение 2,5 часов при перемешивании при комнатной температуре. Полученную в результате этого жидкую реакционную смесь разбавляли 100 мл дихлорметана. Полученную органическую фазу промывали 80 мл насыщенного раствора бикарбоната натрия и 80 мл насыщенного рассола, соответственно. Все органические фазы объединяли, сушили безводным сульфатом натрия и фильтровали. Растворитель выпаривали при пониженном давлении с получением неочищенного продукта, который очищали, применяя нормально-фазовую колонку с силикагелем, 200 - 300 меш. Колонку заполняли петролейным эфиром, добавляли к нему 1% по массе триэтиламина для нейтрализации кислотности силикагеля и элюировали градиентом дихлорметан:метанол = 100:5 - 100:7. Элюат собирали и растворитель выпаривали при пониженном давлении с получением 1,610 г чистого продукта W-4.[324] W-3 (675 mg, 1.517 mmol) and GAL-C7-2 (2.60 g, 5.46 mmol) were mixed and dissolved in 47 ml of acetonitrile, diisopropylethylamine (1.57 g, 12.14 mmol) was added ) followed by 3-(diethoxyphosphoryloxy)-1,2,3-benzotrizin-4(3H)-one (DEPBT, 1.816 g, 6.04 mmol) to react for 2.5 hours with stirring at room temperature. The resulting liquid reaction mixture was diluted with 100 ml of dichloromethane. The resulting organic phase was washed with 80 ml of saturated sodium bicarbonate solution and 80 ml of saturated brine, respectively. All organic phases were combined, dried over anhydrous sodium sulfate and filtered. The solvent was evaporated under reduced pressure to give a crude product which was purified using a 200-300 mesh normal phase silica gel column. The column was filled with petroleum ether, 1% by weight of triethylamine was added thereto to neutralize the acidity of the silica gel, and eluted with a gradient of dichloromethane:methanol = 100:5 - 100:7. The eluate was collected and the solvent was evaporated under reduced pressure to give 1.610 g of pure product W-4.
(7-5) Синтез W-5.(7-5) Synthesis of W-5.
[325] W-4 (1,61 г, 0,886 ммоль) растворяли в 125 мл дихлорметана и добавляли дихлоруксусную кислоту (3,5 мл, 42,43 ммоль) для проведения реакции в течение 1 часа при комнатной температуре. Полученную в результате этого жидкую реакционную смесь нейтрализовали путем добавления 150 мл пиридина. Растворитель выпаривали при пониженном давлении с получением неочищенного продукта. Неочищенный продукт очищали, применяя нормально-фазовую колонку с силикагелем, 200 - 300 меш, с 10% по массе триэтиламина для нейтрализации кислотности силикагеля. Колонку уравновешивали 1‰ (по массе) триэтиламина и элюировали градиентом дихлорметан:метанол = 100:30 - 100:40. Элюат собирали и растворитель выпаривали при пониженном давлении с получением 1,26 г чистого продукта W-5.[325] W-4 (1.61 g, 0.886 mmol) was dissolved in 125 ml of dichloromethane and dichloroacetic acid (3.5 ml, 42.43 mmol) was added to carry out the reaction for 1 hour at room temperature. The resulting liquid reaction mixture was neutralized by adding 150 ml of pyridine. The solvent was evaporated under reduced pressure to give a crude product. The crude product was purified using a 200-300 mesh normal phase silica gel column with 10% by weight triethylamine to neutralize the acidity of the silica gel. The column was equilibrated with 1‰ (by weight) triethylamine and eluted with a gradient of dichloromethane:methanol = 100:30 - 100:40. The eluate was collected and the solvent was evaporated under reduced pressure to give 1.26 g of pure product W-5.
(7-6) Синтез W-6.(7-6) Synthesis W-6.
[326] W-5 (1,25 г, 0,793 ммоль) и A-1 (1,21 г, 2,38 ммоль), полученные в соответствии со способом, описанным на этапе (1-7a), смешивали и растворяли в 12 мл дихлорметана, и добавляли к ним 3-(диэтоксифосфорилокси)-1,2,3-бензотризин-4(3H)-он (DEPBT, 0,712 г, 2,38 ммоль), а затем диизопропилэтиламин (0,615 г, 4,76 ммоль) для проведения реакции в течение 3 часов при перемешивании при 25°C, и промывали 80 мл насыщенного бикарбоната натрия. Выделенную водную фазу экстрагировали три раза, каждый раз 10 мл дихлорметана. Все органические фазы объединяли и промывали 10 мл насыщенного рассола. Полученные органические фазы объединяли, сушили безводным сульфатом натрия, фильтровали. Растворитель выпаривали при пониженном давлении, и остаток сушили во вспененном состоянии в течение ночи с помощью вакуумного масляного насоса с получением неочищенного продукта. Неочищенный продукт подвергали очистке на колонке, применяя нормально-фазовый силикагель, 200 - 300 меш, 185 г, с 20 мл триэтиламина для нейтрализации кислотности силикагеля. Колонку уравновешивали петролейным эфиром, содержащим 1% по массе триэтиламина и элюировали градиентом петролейный эфир:этилацетат:дихлорметан:N,N-диметилформамид = 1:1:1:0,1 - 1:1:1:0,7. Элюат собирали и растворитель выпаривали при пониженном давлении с получением 1,57 г чистого продукта W-6.[326] W-5 (1.25 g, 0.793 mmol) and A-1 (1.21 g, 2.38 mmol), obtained in accordance with the method described in step (1-7a), were mixed and dissolved in 12 ml dichloromethane, and 3-(diethoxyphosphoryloxy)-1,2,3-benzotrizin-4(3H)-one (DEPBT, 0.712 g, 2.38 mmol) was added thereto, followed by diisopropylethylamine (0.615 g, 4.76 mmol) to carry out the reaction for 3 hours with stirring at 25°C, and washed with 80 ml of saturated sodium bicarbonate. The separated aqueous phase was extracted three times, each time with 10 ml of dichloromethane. All organic phases were combined and washed with 10 ml of saturated brine. The resulting organic phases were combined, dried over anhydrous sodium sulfate, and filtered. The solvent was evaporated under reduced pressure, and the residue was foam dried overnight with an oil vacuum pump to give a crude product. The crude product was subjected to column purification using normal phase silica gel, 200-300 mesh, 185 g, with 20 ml of triethylamine to neutralize the acidity of the silica gel. The column was equilibrated with petroleum ether containing 1% by weight triethylamine and eluted with a gradient of petroleum ether:ethyl acetate:dichloromethane:N,N-dimethylformamide = 1:1:1:0.1 - 1:1:1:0.7. The eluate was collected and the solvent was evaporated under reduced pressure to give 1.57 g of pure product W-6.
(7-7) Синтез W-7.(7-7) Synthesis of W-7.
[327] W-6 (1,238 г, 0,63 ммоль), янтарный ангидрид (0,189 г, 1,89 ммоль) и 4-диметиламинопиридин (DMAP, 0,231 г, 1,89 ммоль) смешивали и растворяли в 7 мл дихлорметана, и добавляли к нему DIEA (0,407 г, 3,15 ммоль) для проведения реакции в течение 24 часов при перемешивании при 25°C. Полученную в результате этого жидкую реакционную смесь промывали 5 мл 0,5 М фосфата триэтиламина. Выделенную водную фазу экстрагировали три раза, каждый раз 5 мл дихлорметана. Все органические фазы объединяли и выпаривали растворитель при пониженном давлении с получением неочищенного продукта. Неочищенный продукт подвергали очистке на колонке, применяя нормально-фазовый силикагель, 200 - 300 меш, 30 г, с 1% по массе триэтиламина для нейтрализации кислотности силикагеля. Колонку уравновешивали дихлорметаном и элюировали градиентом: дихлорметан, содержащий 1‰ (по массе) триэтиламин:метанол = 100:18 - 100:20. Элюат собирали и растворитель выпаривали при пониженном давлении с получением 1,033 г чистого продукта - Конъюгирующей молекулы W-7 (Конъюгирующей молекулы 7). МС m/z: C101H146N7O38, [M-DMTr]+, рассчитанное: 1763,92, измеренное: 1763,21. Структура полученной в результате этого Конъюгирующей молекулы W-7 представлена формулой (515).[327] W-6 (1.238 g, 0.63 mmol), succinic anhydride (0.189 g, 1.89 mmol) and 4-dimethylaminopyridine (DMAP, 0.231 g, 1.89 mmol) were mixed and dissolved in 7 ml dichloromethane, and DIEA (0.407 g, 3.15 mmol) was added thereto to carry out the reaction for 24 hours with stirring at 25°C. The resulting liquid reaction mixture was washed with 5 ml of 0.5 M triethylamine phosphate. The separated aqueous phase was extracted three times, each time with 5 ml of dichloromethane. All organic phases were combined and the solvent was evaporated under reduced pressure to give the crude product. The crude product was subjected to column purification using normal phase silica gel, 200-300 mesh, 30 g, with 1% by weight triethylamine to neutralize the acidity of the silica gel. The column was equilibrated with dichloromethane and eluted with a gradient: dichloromethane containing 1‰ (by weight) triethylamine:methanol = 100:18 - 100:20. The eluate was collected and the solvent was evaporated under reduced pressure to give 1.033 g of pure product, Conjugation Molecule W-7 (Conjugation Molecule 7). MS m/z: C101H146N7O38, [M-DMTr]+, calculated: 1763.92, measured: 1763.21. The structure of the resulting W-7 Conjugating Molecule is represented by formula (515).
Пример получения 8. Получение Конъюгирующей молекулы X-7 (Конъюгирующей молекулы 8).Production Example 8 Preparation of Conjugating Molecule X-7 (Conjugating Molecule 8).
[328] Ожидается, что Конъюгирующую молекулу 8 (далее в данной заявке также называют Конъюгирующей молекулой X-7) можно синтезировать в соответствии со следующим технологическим путем. Структура полученной в результате этого Конъюгирующей молекулы X-7 представлена формулой (521). Конъюгирующая молекула.[328] It is expected that Conjugation Molecule 8 (hereinafter also referred to as Conjugation Molecule X-7) can be synthesized according to the following process route. The structure of the resulting X-7 Conjugating Molecule is represented by formula (521). conjugating molecule.
Конъюгирующая молекула.conjugating molecule.
Пример получения 9. Получение Конъюгирующей молекулы K-3 (Сопоставимой конъюгирующей молекулы 1).Production Example 9 Preparation of Conjugating Molecule K-3 (Comparable Conjugating Molecule 1).
[329] В данном примере получения Конъюгирующую молекулу K-3 (далее в данной заявке также называют Сопоставимой конъюгирующей молекулой 1) синтезировали в соответствии со следующим способом:[329] In this Preparation Example, Conjugating Molecule K-3 (hereinafter also referred to as Comparable Conjugating Molecule 1) was synthesized according to the following method:
(9-1) Синтез K-1.(9-1) Synthesis of K-1.
[330] A-1 (3,0 г, 6,0 ммоль), полученный в соответствии со способом, описанным на этапе (1-7a), PyBOP (6,2 г, 12,0 ммоль), HOBt (1,6 г, 2,0 ммоль) и диизопропилэтиламин (DIPEA, 3,9 г, 30,0 ммоль) добавляли к 60 мл дихлорметана для проведения реакции в течение 10 минут при перемешивании при комнатной температуре. Затем описанный выше раствор добавляли в K-0 (5,6 г, 30,0 ммоль) для проведения реакции при комнатной температуре в течение 1 часа и 50 минут. Жидкую реакционную смесь вливали в 30 мл насыщенного раствора бикарбоната натрия. Выделенную водную фазу экстрагировали три раза, каждый раз 30 мл дихлорметана. Все органические фазы объединяли, промывали насыщенным раствором хлорида натрия, сушили безводным сульфатом натрия, затем фильтровали, концентрировали и очищали, применяя нормально-фазовую колонку с силикагелем, 200 - 300 меш, с элюированием градиентом дихлорметан:метанол:водный аммиак (25 % по массе) = 10:2:0,1 - 4:4:1. Элюат собирали, концентрировали, чтобы удалить растворители, и сушили во вспененном состоянии с помощью вакуумного масляного насоса с получением 2,2 г продукта K-1 в виде белого твердого вещества. 1H ЯМР (400 МГц, ДМСО-d6) δ 8,02 (s, 1H), 7,43 (d, J = 7,8 Гц, 2H), 7,34 - 7,17 (m, 7H), 6,87 (d, J = 8,6 Гц, 4H), 4,05 (d, J = 5,2 Гц, 1H), 3,74(s, 6H), 3,20 - 3,01 (m, 5H), 2,60 - 2,38 (m, 12H), 1,60 - 1,39 (m, 8H), 1,24 (s, 1H). МС m/z: C33H47N4O5, [M+H]+, рассчитанное: 579,35, измеренное: 579,26.[330] A-1 (3.0 g, 6.0 mmol), obtained in accordance with the method described in step (1-7a), PyBOP (6.2 g, 12.0 mmol), HOBt (1, 6 g, 2.0 mmol) and diisopropylethylamine (DIPEA, 3.9 g, 30.0 mmol) were added to 60 ml of dichloromethane to react for 10 minutes with stirring at room temperature. Then the solution described above was added to K-0 (5.6 g, 30.0 mmol) to carry out the reaction at room temperature for 1 hour and 50 minutes. The liquid reaction mixture was poured into 30 ml of saturated sodium bicarbonate solution. The separated aqueous phase was extracted three times, each time with 30 ml of dichloromethane. All organic phases were combined, washed with saturated sodium chloride solution, dried with anhydrous sodium sulfate, then filtered, concentrated and purified using a normal phase silica gel column, 200-300 mesh, eluting with a gradient of dichloromethane:methanol:aqueous ammonia (25% by weight ) = 10:2:0.1 - 4:4:1. The eluate was collected, concentrated to remove solvents, and foam dried with a vacuum oil pump to give 2.2 g of product K-1 as a white solid. 1H NMR (400 MHz, DMSO-d6) δ 8.02 (s, 1H), 7.43 (d, J = 7.8 Hz, 2H), 7.34 - 7.17 (m, 7H), 6 .87 (d, J = 8.6 Hz, 4H), 4.05 (d, J = 5.2 Hz, 1H), 3.74(s, 6H), 3.20 - 3.01 (m, 5H), 2.60 - 2.38 (m, 12H), 1.60 - 1.39 (m, 8H), 1.24 (s, 1H). MS m/z: C33H47N4O5, [M+H]+, calculated: 579.35, measured: 579.26.
(9-2) Синтез K-2.(9-2) Synthesis of K-2.
[331] GAL-5 (483 мг, 1,08 ммоль), полученный в соответствии со способом, описанным на этапе (1-1), 3-(диэтоксифосфорилокси)-1,2,3-бензотризин-4(3H)-он (359 мг, 1,2 ммоль) и диизопропилэтиламин (DIPEA, 310 мг, 2,4 ммоль) добавляли в 3 мл дихлорметана и перемешивали при комнатной температуре в течение 30 минут. Затем добавляли K-1 (174 мг, 0,3 ммоль) для проведения реакции при комнатной температуре в течение 16 часов. Жидкую реакционную смесь вливали в 10 мл насыщенного раствора бикарбоната натрия. Выделенную водную фазу экстрагировали три раза, каждый раз 10 мл дихлорметана. Все органические фазы объединяли, промывали 10 мл насыщенного раствора хлорида натрия, сушили безводным сульфатом натрия, затем фильтровали, концентрировали и очищали, применяя нормально-фазовую колонку с силикагелем, 200 - 300 меш, с элюированием градиентом дихлорметан:метанол = 20:1. Элюат собирали, концентрировали, чтобы удалить растворители, и сушили во вспененном состоянии с помощью вакуумного масляного насоса с получением 205 мг продукта K-2 в виде желтого твердого вещества.[331] GAL-5 (483 mg, 1.08 mmol), obtained in accordance with the method described in step (1-1), 3-(diethoxyphosphoryloxy)-1,2,3-benzotrizine-4(3H)- he (359 mg, 1.2 mmol) and diisopropylethylamine (DIPEA, 310 mg, 2.4 mmol) were added in 3 ml of dichloromethane and stirred at room temperature for 30 minutes. Then K-1 (174 mg, 0.3 mmol) was added to carry out the reaction at room temperature for 16 hours. The liquid reaction mixture was poured into 10 ml of saturated sodium bicarbonate solution. The separated aqueous phase was extracted three times, each time with 10 ml of dichloromethane. All organic phases were combined, washed with 10 ml saturated sodium chloride solution, dried with anhydrous sodium sulfate, then filtered, concentrated and purified using a normal phase silica gel column, 200-300 mesh, eluting with a dichloromethane:methanol = 20:1 gradient. The eluate was collected, concentrated to remove solvents, and foam dried with a vacuum oil pump to give 205 mg of product K-2 as a yellow solid.
(9-3) Синтез K-3.(9-3) Synthesis of K-3.
[332] K-2 (205 мг, 0,11 ммоль), янтарный ангидрид (22 мг, 0,22 ммоль), 4-диметиламинопиридин (DMAP, 27 мг, 0,22 ммоль) и диизопропилэтиламин (DIPEA, 71 мг, 0,55 ммоль) добавляли в 1,1 мл дихлорметана для проведения реакции в течение ночи при перемешивании при комнатной температуре. Жидкую реакционную смесь промывали три раза, каждый раз 0,5 мл 0,5 M раствора фосфата триэтиламина, и водную фазу, полученную в результате каждой промывки, однократно подвергали обратной экстракции с помощью 0,5 мл дихлорметана. Все органические фазы объединяли, сушили безводным сульфатом натрия, концентрировали, чтобы удалить растворитель, и сушили во вспененном состоянии с помощью вакуумного масляного насоса с получением 218 мг продукта в виде светло-желтого твердого вещества - Конъюгирующей молекулы K-3 (Сопоставимой конъюгирующей молекулы 1).[332] K-2 (205 mg, 0.11 mmol), succinic anhydride (22 mg, 0.22 mmol), 4-dimethylaminopyridine (DMAP, 27 mg, 0.22 mmol), and diisopropylethylamine (DIPEA, 71 mg, 0.55 mmol) was added in 1.1 ml of dichloromethane to carry out the reaction overnight with stirring at room temperature. The liquid reaction mixture was washed three times, each time with 0.5 ml of a 0.5 M triethylamine phosphate solution, and the aqueous phase resulting from each washing was back-extracted once with 0.5 ml of dichloromethane. All organic phases were combined, dried over anhydrous sodium sulfate, concentrated to remove solvent, and foam dried with a vacuum oil pump to give 218 mg of the product as a light yellow solid, Conjugate Molecule K-3 (Comparable Conjugate Molecule 1) .
Пример получения 10. Данный пример получения используют, чтобы проиллюстрировать синтез Конъюгирующей молекулы (GalNAc)3 (Сопоставимой конъюгирующей молекулы 2).Preparation Example 10 This preparation example is used to illustrate the synthesis of a (GalNAc)3 Conjugating Molecule (Comparable Conjugating Molecule 2).
[333] В данном примере получения, соединение 47 синтезировали в соответствии со способом получения, описанным в примерах 1 - 4 WO2014025805A1. Структура соединения 47 показана в следующей формуле, и в данной заявке его называют Конъюгирующей молекулой (GalNAc)3 (Сопоставимой конъюгирующей молекулой 2):[333] In this production example, compound 47 was synthesized according to the production method described in examples 1 to 4 of WO2014025805A1. The structure of Compound 47 is shown in the following formula and is referred to in this application as Conjugating Molecule (GalNAc)3 (Comparable Conjugating Molecule 2):
Пример получения 11. Данный пример получения используют, чтобы проиллюстрировать получение Конъюгирующей молекулы FIN-2 (Сопоставимой конъюгирующей молекулы 3).Production Example 11 This Production Example was used to illustrate the preparation of FIN-2 Conjugation Molecule (Comparable Conjugation Molecule 3).
[334] В данном примере получения конъюгирующую молекулу FIN-2 (Сопоставимую конъюгирующую молекулу 3) синтезировали на основании способа получения, описанного в Rajeev и др., ChemBioChem 2015, 16, 903-908, в соответствии со следующим технологическим путем:[334] In this production example, the FIN-2 conjugation molecule (Comparable Conjugation Molecule 3) was synthesized based on the production method described in Rajeev et al.,
(11-1) Синтез соединения PRO-10.(11-1) Synthesis of compound PRO-10.
(11-1-1) Синтез PRO-7.(11-1-1) Synthesis of PRO-7.
[335] 2,93 г PRO-6 (L-гидроксипролин, номер в реестре CAS: 51-35-4, приобретали в Energy Chemical, 22,4 ммоль) растворяли в 22,5 мл 1,4-диоксана и добавляли 34 мл 10% (по массе) водного раствора Na2CO3. 6,954 г Fmoc-Cl (9-флуоренилметилхлороформат, номер в реестре CAS: 28920-43-6, приобретали в Energy Chemical, 26,8 ммоль) растворяли в 56,5 мл 1,4-диоксана, добавляли в описанную выше реакционную смесь на ледяной бане и естественным образом нагревали до комнатной температуры для ведения реакции в течение ночи. Жидкую реакционную смесь вливали в 150 мл ледяной воды и экстрагировали три раза, каждый раз 100 мл метил-трет-бутилового эфира, полученные в результате этого органические фазы отбрасывали. pH оставшейся водной фазы подводили до ≤ 5 с помощью концентрированной соляной кислоты, экстрагировали дважды 100 мл этилацетата, и полученные органические фазы объединяли и сушили безводным сульфатом натрия. Растворитель выпаривали при пониженном давлении с получением 7,83 г продукта PRO-7 в виде белого пенистого твердого вещества. 1H ЯМР (400 МГц, ДМСО-d6) δ 7,91 (t, J = 7,2 Гц, 2H), 7,67 (d, J = 7,5 Гц, 2H), 7,48 - 7,39 (m, 2H), 7,38 - 7,27 (m, 2H), 5,17 (s, 1H), 4,27 (s, 2H), 4,23 - 4,11 (m, 2H), 3,55 - 3,41 (m, 3H), 2,31 - 2,10 (m, 1H), 2,08 - 1,88 (m, 1H). Масс-спектрометрия высокого разрешения с ионизацией электрораспылением (МСВР (ИЭР)) m/z рассчитанная для C20H19NO5 [M-H]-352,1190, измеренная: 352,1033.[335] 2.93 g PRO-6 (L-hydroxyproline, CAS number: 51-35-4, purchased from Energy Chemical, 22.4 mmol) was dissolved in 22.5 ml of 1,4-dioxane and 34 ml of 10% (by mass) aqueous solution of Na2CO3. 6.954 g of Fmoc-Cl (9-fluorenylmethyl chloroformate, CAS registry number: 28920-43-6, purchased from Energy Chemical, 26.8 mmol) was dissolved in 56.5 ml of 1,4-dioxane, added to the above reaction mixture on ice bath and naturally warmed to room temperature to carry out the reaction overnight. The liquid reaction mixture was poured into 150 ml of ice water and extracted three times, each time with 100 ml of methyl tert-butyl ether, the resulting organic phases were discarded. The pH of the remaining aqueous phase was adjusted to ≤ 5 with concentrated hydrochloric acid, extracted twice with 100 ml of ethyl acetate, and the resulting organic phases were combined and dried with anhydrous sodium sulfate. The solvent was evaporated under reduced pressure to give 7.83 g of PRO-7 product as a white foamy solid. 1H NMR (400 MHz, DMSO-d6) δ 7.91 (t, J = 7.2 Hz, 2H), 7.67 (d, J = 7.5 Hz, 2H), 7.48 - 7.39 (m, 2H), 7.38 - 7.27 (m, 2H), 5.17 (s, 1H), 4.27 (s, 2H), 4.23 - 4.11 (m, 2H), 3.55 - 3.41 (m, 3H), 2.31 - 2.10 (m, 1H), 2.08 - 1.88 (m, 1H). High resolution electrospray ionization mass spectrometry (HRMS) m/z calculated for C20H19NO5 [M-H]-352.1190, measured: 352.1033.
(11-1-2) Синтез PRO-8.(11-1-2) Synthesis of PRO-8.
[336] 7,83 г PRO-7 (22,2 ммоль) растворяли в 80 мл ТГФ, нагревали до 65°C на масляной бане, добавляли 36,6 мл 2 моль/л раствора BH3-Me2S в ТГФ (CAS № 13292-87-0, приобретали в J&K Scientific Ltd., 73,2 ммоль) при кипении с обратным холодильником, и непрерывно грели с обратным холодильником для проведения реакции в течение 3 часов. Жидкую реакционную смесь выливали, и оставшееся твердое вещество растворяли в метаноле. В полученную в результате этого жидкую реакционную смесь добавляли метанол при перемешивании до тех пор, пока не перестал выделяться газ, и непрерывно перемешивали в течение 30 минут. Растворитель выпаривали при пониженном давлении, а затем остаток очищали три раза, каждый раз петролейным эфиром, с получением 7,1 г продукта PRO-8 в виде белого твердого вещества. 1H ЯМР (400 МГц, ДМСО-d6) δ 7,91 (t, J = 6,7 Гц, 2H), 7,67 (d, J = 7,2 Гц, 2H), 7,49 - 7,39 (m, 2H), 7,38 - 7,26 (m, 2H), 5,18 (dd, J = 6,1, 3,8 Гц, 1H), 4,28 (s, 2H), 4,23 - 4,13 (m, 2H), 3,55 - 3,38 (m, 2H), 2,32 - 2,11 (m, 1H), 2,08 - 1,89 (m, 1H). МСВР (ИЭР) m/z рассчитанная для C20H21NO4 [M+Na]+ 362,1368, измеренная: 362,1012.[336] 7.83 g of PRO-7 (22.2 mmol) was dissolved in 80 ml of THF, heated to 65°C in an oil bath, 36.6 ml of a 2 mol/l solution of BH3-Me2S in THF (CAS no. 13292) was added -87-0, purchased from J&K Scientific Ltd., 73.2 mmol) at the boil under reflux, and continuously heated under reflux to carry out the reaction for 3 hours. The liquid reaction mixture was poured out and the remaining solid was dissolved in methanol. Methanol was added to the resulting liquid reaction mixture with stirring until gas evolution ceased, and stirred continuously for 30 minutes. The solvent was evaporated under reduced pressure, and then the residue was purified three times, each time with petroleum ether, to give 7.1 g of PRO-8 product as a white solid. 1H NMR (400 MHz, DMSO-d6) δ 7.91 (t, J = 6.7 Hz, 2H), 7.67 (d, J = 7.2 Hz, 2H), 7.49 - 7.39 (m, 2H), 7.38 - 7.26 (m, 2H), 5.18 (dd, J = 6.1, 3.8 Hz, 1H), 4.28 (s, 2H), 4, 23-4.13(m, 2H), 3.55-3.38(m, 2H), 2.32-2.11(m, 1H), 2.08-1.89(m, 1H). HRMS (EMI) m/z calculated for C20H21NO4 [M+Na]+ 362.1368, measured: 362.1012.
(11-1-3) Синтез PRO-9.(11-1-3) Synthesis of PRO-9.
[337] 7,1 г PRO-8 (21 ммоль) растворяли в 100 мл пиридина и добавляли к нему 14,2 г DMTr-Cl (4,4'-диметокситритилхлорид, 42 ммоль) для проведения реакции в течение 5 часов при перемешивании при комнатной температуре. Растворитель удаляли путем выпаривания при пониженном давлении. Полученный в результате этого неочищенный продукт растворяли в этилацетате и фильтровали, чтобы удалить солевые примеси. Растворитель выпаривали при пониженном давлении, а затем остаток очищали, применяя колонку с силикагелем. Для очистки, неочищенный продукт, растворенный в ДХМ, загружали на колонку с силикагелем, предварительно обработанную пиридином для подщелачивания колонки. DMTr-Cl элюировали ДХМ, содержащим 1% (в объемном отношении) пиридина, а затем продукт элюировали этилацетатом. Элюат собирали и растворитель выпаривали при пониженном давлении с получением 8,2 г продукта PRO-9 в виде белого твердого вещества. МСВР (ИЭР) m/z рассчитанная для C41H39NO6 [M+Na]+ 664,2675, измеренная: 664,2348; C18 ОФ ВЭЖХ (номер партии: JJS160324-1); чистота: 94,20%.[337] 7.1 g of PRO-8 (21 mmol) was dissolved in 100 ml of pyridine, and 14.2 g of DMTr-Cl (4,4'-dimethoxytrityl chloride, 42 mmol) was added thereto to carry out the reaction for 5 hours with stirring at room temperature. The solvent was removed by evaporation under reduced pressure. The resulting crude product was dissolved in ethyl acetate and filtered to remove salt impurities. The solvent was evaporated under reduced pressure, and then the residue was purified using a silica gel column. For purification, the crude product, dissolved in DCM, was loaded onto a silica gel column pretreated with pyridine to alkalize the column. DMTr-Cl was eluted with DCM containing 1% (v/v) pyridine and then the product was eluted with ethyl acetate. The eluate was collected and the solvent was evaporated under reduced pressure to give 8.2 g of PRO-9 product as a white solid. HRMS (EMI) m/z calculated for C41H39NO6 [M+Na]+ 664.2675, measured: 664.2348; C18 RP HPLC (batch number: JJS160324-1); purity: 94.20%.
(11-1-4) Синтез PRO-10.(11-1-4) Synthesis of PRO-10.
[338] 8,2 г PRO-9 (12,8 ммоль) растворяли в 64 мл DMF и добавляли 40 мл пиперидина (384 ммоль) для проведения реакции в течение 30 минут при перемешивании при комнатной температуре. Жидкую реакционную смесь вливали в 300 мл ледяной воды и экстрагировали три раза, каждый раз 150 мл этилацетата. Полученные в результате этого органические фазы объединяли, промывали 200 мл насыщенного рассола, и органические фазы, полученные в результате промывки, сушили безводным сульфатом натрия. Растворитель выпаривали при пониженном давлении, а затем остаток очищали, применяя колонку с силикагелем. Для очистки, неочищенный продукт, растворенный в ДХМ, загружали на колонку с силикагелем, предварительно обработанную пиридином для подщелачивания колонки. Fmoc элюировали ДХМ, содержащим 1% (в объемном отношении) пиридина, а затем продукт элюировали этилацетатом. Элюат собирали и растворитель выпаривали при пониженном давлении с получением 4,65 г продукта PRO-10 в виде белого твердого вещества. 1H ЯМР (400 МГц, ДМСО-d6) δ 7,40 (d, J = 7,2 Гц, 2H), 7,35 - 7,18 (m, 7H), 6,93 - 6,84 (m, 4H), 4,56 (d, J = 3,9 Гц, 1H), 4,12 (s, 1H), 3,74 (s, 6H), 3,46 - 3,37 (m, 1H), 2,88 (ddd, J = 18,5, 10,0, 5,5 Гц, 2H), 2,75 (dd, J = 8,7, 5,8 Гц, 1H), 2,62 (dd, J = 11,0, 2,7 Гц, 1H), 1,74 - 1,65 (m, 1H), 1,40 (ddd, J = 12,9, 8,5, 5,9 Гц, 1H); МСВР (ИЭР) m/z рассчитанная для C26H29NO4 [M+Na]+ 442,1994, измеренная: 442,1999; C18 ОФ ВЭЖХ (номер партии: JJS160329-1), чистота: 97,07%.[338] 8.2 g of PRO-9 (12.8 mmol) was dissolved in 64 ml of DMF and 40 ml of piperidine (384 mmol) was added to carry out the reaction for 30 minutes with stirring at room temperature. The liquid reaction mixture was poured into 300 ml of ice water and extracted three times, each time with 150 ml of ethyl acetate. The resulting organic phases were combined, washed with 200 ml of saturated brine, and the organic phases obtained by washing were dried over anhydrous sodium sulfate. The solvent was evaporated under reduced pressure, and then the residue was purified using a silica gel column. For purification, the crude product, dissolved in DCM, was loaded onto a silica gel column pretreated with pyridine to alkalize the column. Fmoc was eluted with DCM containing 1% (v/v) pyridine and then the product was eluted with ethyl acetate. The eluate was collected and the solvent was evaporated under reduced pressure to give 4.65 g of PRO-10 product as a white solid. 1H NMR (400 MHz, DMSO-d6) δ 7.40 (d, J = 7.2 Hz, 2H), 7.35 - 7.18 (m, 7H), 6.93 - 6.84 (m, 4H), 4.56 (d, J = 3.9 Hz, 1H), 4.12 (s, 1H), 3.74 (s, 6H), 3.46 - 3.37 (m, 1H), 2.88 (ddd, J = 18.5, 10.0, 5.5 Hz, 2H), 2.75 (dd, J = 8.7, 5.8 Hz, 1H), 2.62 (dd, J = 11.0, 2.7 Hz, 1H), 1.74 - 1.65 (m, 1H), 1.40 (ddd, J = 12.9, 8.5, 5.9 Hz, 1H) ; HRMS (EMI) m/z calculated for C26H29NO4 [M+Na]+ 442.1994, measured: 442.1999; C18 RP HPLC (batch number: JJS160329-1), purity: 97.07%.
(11-2) Синтез FIN-1.(11-2) Synthesis of FIN-1.
[339] GAL-5 (4,5 г, 10 ммоль), полученный в соответствии со способом, описанным в (1-1), растворяли в 40 мл DMF, последовательно добавляли к нему 3,9 г DIPEA (N,N-диизопропилэтиламин, номер в реестре CAS: 7087-68-5, приобретали в Aladdin Inc., 30 ммоль) и 3,8 г HBTU (бензотриазол-N,N,N',N'-тетраметилурония гексафторфосфат, номер в реестре CAS: 94790-37-2, приобретали в Aladdin Inc., 11 ммоль), и перемешивали при комнатной температуре в течение 10 минут с получением жидкой реакционной смеси. PRO-10 (4,2 г, 10 ммоль), полученный на этапе (12-4), растворяли в 40 мл DMF, затем добавляли в полученную выше жидкую реакционную смесь. Полученную в результате этого жидкую реакционную смесь сушили путем добавления безводного сульфата натрия и перемешивали при комнатной температуре в течение 2 часов. Жидкую реакционную смесь вливали в 120 мл ледяной воды и экстрагировали три раза, каждый раз 60 мл этилацетата. Полученные в результате этого органические фазы объединяли, промывали 20 мл воды и 20 мл насыщенного рассола, соответственно. Органическую фазу, полученную в результате промывки, выделяли, сушили безводным сульфатом натрия. Растворитель выпаривали при пониженном давлении, а затем остаток очищали, применяя колонку с силикагелем. Для очистки, образец загружали на колонку с силикагелем, предварительно обработанную пиридином для подщелачивания колонки, и элюировали раствором дихлорметана (ДХМ), содержащим 1% (в объемном отношении) триэтиламина и 1% (в объемном отношении) метанола. Элюат собирали и растворитель выпаривали при пониженном давлении с получением 6,5 г продукта FIN-1 в виде светло-желтого пенистого твердого вещества. 1H ЯМР (400 МГц, ДМСО-d6) δ 7,83 (d, J = 9,2 Гц, 1H), 7,32 (t, J = 6,6 Гц, 4H), 7,20 (td, J = 8,9, 3,5 Гц, 5H), 6,93 - 6,84 (m, 4H), 5,21 (d, J = 3,2 Гц, 1H), 5,04 - 4,90 (m, 2H), 4,49 (s, 1H), 4,40 (d, J = 4,4 Гц, 0,8H), 4,31 (d, J = 5,0 Гц, 0,2H), 4,15 (s, 1H), 4,03 (s, 3H), 3,93 (s, 1H), 3,74 (s, 7H), 3,59 (dt, J = 12,0, 6,0 Гц, 1H), 3,50 - 3,40 (m, 1H), 3,39 - 3,25 (m, 3H), 3,13 (dd, J = 8,9, 5,2 Гц, 1H), 3,00 (dq, J = 9,3, 5,3, 4,3 Гц, 1H), 2,22 (s, 2H), 2,07 (s, 3H), 1,99 (s, 3H), 1,90 (s, 4H), 1,74 (s, 3H), 1,50 (s, 3H), 1,36 (s, 1H). C18 ОФ ВЭЖХ (номер партии: LJ160422), чистота: 95,45%.[339] GAL-5 (4.5 g, 10 mmol) obtained according to the method described in (1-1) was dissolved in 40 ml of DMF, 3.9 g of DIPEA (N,N- diisopropylethylamine, CAS number: 7087-68-5, purchased from Aladdin Inc., 30 mmol) and 3.8 g HBTU (benzotriazole-N,N,N',N'-tetramethyluronium hexafluorophosphate, CAS number: 94790 -37-2, purchased from Aladdin Inc., 11 mmol) and stirred at room temperature for 10 minutes to give a liquid reaction mixture. PRO-10 (4.2 g, 10 mmol) obtained in step (12-4) was dissolved in 40 ml of DMF, then added to the liquid reaction mixture obtained above. The resulting liquid reaction mixture was dried by adding anhydrous sodium sulfate and stirred at room temperature for 2 hours. The liquid reaction mixture was poured into 120 ml of ice water and extracted three times, each time with 60 ml of ethyl acetate. The resulting organic phases were combined, washed with 20 ml of water and 20 ml of saturated brine, respectively. The organic phase obtained by washing was isolated, dried over anhydrous sodium sulfate. The solvent was evaporated under reduced pressure, and then the residue was purified using a silica gel column. For purification, the sample was loaded onto a silica gel column pre-treated with pyridine to make the column alkaline and eluted with a dichloromethane (DCM) solution containing 1% (v/v) triethylamine and 1% (v/v) methanol. The eluate was collected and the solvent was evaporated under reduced pressure to give 6.5 g of FIN-1 product as a light yellow foamy solid. 1H NMR (400 MHz, DMSO-d6) δ 7.83 (d, J = 9.2 Hz, 1H), 7.32 (t, J = 6.6 Hz, 4H), 7.20 (td, J = 8.9, 3.5 Hz, 5H), 6.93 - 6.84 (m, 4H), 5.21 (d, J = 3.2 Hz, 1H), 5.04 - 4.90 ( m, 2H), 4.49 (s, 1H), 4.40 (d, J = 4.4 Hz, 0.8H), 4.31 (d, J = 5.0 Hz, 0.2H), 4.15 (s, 1H), 4.03 (s, 3H), 3.93 (s, 1H), 3.74 (s, 7H), 3.59 (dt, J = 12.0, 6, 0 Hz, 1H), 3.50 - 3.40 (m, 1H), 3.39 - 3.25 (m, 3H), 3.13 (dd, J = 8.9, 5.2 Hz, 1H ), 3.00 (dq, J = 9.3, 5.3, 4.3 Hz, 1H), 2.22 (s, 2H), 2.07 (s, 3H), 1.99 (s, 3H), 1.90 (s, 4H), 1.74 (s, 3H), 1.50 (s, 3H), 1.36 (s, 1H). C18 RP HPLC (batch number: LJ160422), purity: 95.45%.
(11-3) Синтез FIN-2.(11-3) Synthesis of FIN-2.
[340] FIN-1 (3,0 г, 3,53 ммоль), полученный на этапе (11-2), растворяли в 10 мл DMF, добавляли к нему 2,13 г PA (2-цианоэтил-N,N,N',N'-тетраизопропилфосфородиамидит, Adamas Inc., № продукта 11356B, 7,06 ммоль) и 346 мг тетразола (CAS №: 288-94-8, приобретали в Aladdin Inc., 4,94 ммоль) в атмосфере азота, и перемешивали, чтобы они прореагировали, при комнатной температуре. Добавляли 10 мл DMF и непрерывно перемешивали для проведения реакции в течение 1 часа. Растворитель удаляли путем выпаривания при пониженном давлении, а затем остаток очищали с помощью колоночной хроматографии на силикагеле. Для очистки, неочищенный продукт, растворенный в ДХМ, загружали на колонку с силикагелем, предварительно обработанную пиридином для подщелачивания колонки, и элюировали этилацетатом. Элюат собирали и растворитель выпаривали при пониженном давлении с получением 4,5 г неочищенного продукта в виде бесцветного сиропа. Неочищенный продукт полностью растворяли в 50% (в объемном отношении) водного раствора ацетонитрила и очищали, применяя колонку со средним давлением (C-18, 330 г, 300 Å), предварительно обработанную 1% (в объемном отношении) пиридина в ацетонитриле для подщелачивания колонки. Продукт собирали путем градиентного элюирования и растворитель выпаривали при пониженном давлении с получением 2,2 г продукта в виде белого порошка - Конъюгирующей молекулы FIN-2 (Сопоставимой конъюгирующей молекулы 3). 31P ЯМР (162 МГц, CDCl3) δ 148,04, 147,94, 147,62, 147,19, чистота 31P ЯМР: 92%; чистота C18 ОФ ВЭЖХ: 90,54%.[340] FIN-1 (3.0 g, 3.53 mmol) obtained in step (11-2) was dissolved in 10 ml of DMF, 2.13 g of PA (2-cyanoethyl-N,N, N',N'-tetraisopropylphosphorodiamidite, Adamas Inc., Product # 11356B, 7.06 mmol) and 346 mg tetrazole (CAS No: 288-94-8, purchased from Aladdin Inc., 4.94 mmol) under nitrogen atmosphere, and stirred to react at room temperature. 10 ml of DMF was added and stirred continuously to carry out the reaction for 1 hour. The solvent was removed by evaporation under reduced pressure, and then the residue was purified by silica gel column chromatography. For purification, the crude product, dissolved in DCM, was loaded onto a silica gel column pretreated with pyridine to make the column alkaline and eluted with ethyl acetate. The eluate was collected and the solvent was evaporated under reduced pressure to give 4.5 g of crude product as a colorless syrup. The crude product was completely dissolved in 50% (v/v) acetonitrile aqueous solution and purified using a medium pressure column (C-18, 330 g, 300 Å) pretreated with 1% (v/v) pyridine in acetonitrile to alkalize the column. . The product was collected by gradient elution and the solvent was evaporated under reduced pressure to give 2.2 g of product as a white powder - FIN-2 Conjugation Molecule (Comparable Conjugation Molecule 3). 31P NMR (162 MHz, CDCl3) δ 148.04, 147.94, 147.62, 147.19, 31P NMR purity: 92%; purity C18 RP HPLC: 90.54%.
Пример получения 12. Данный пример получения используют, чтобы проиллюстрировать получение Конъюгирующей молекулы Z-4 (Конъюгирующей молекулы 153).Production Example 12 This Production Example was used to illustrate the preparation of Conjugation Molecule Z-4 (Conjugation Molecule 153).
[341] В данном примере получения Конъюгирующую молекулу 153 (далее в данной заявке также называют Конъюгирующей молекулой Z-4) синтезировали в соответствии со следующим способом.[341] In this preparation example, Conjugation molecule 153 (hereinafter also referred to as Conjugation molecule Z-4) was synthesized according to the following method.
(12-1) Синтез Z-1.(12-1) Synthesis of Z-1.
[342] W-3 (1,50 г, 3,37 ммоль), полученный в соответствии со способом, описанным на этапе (7-3), и GAL5-C4-2 (7,18 г, 13,48 ммоль), полученный в соответствии со способом, описанным на этапе (2-2), смешивали и растворяли в 34 мл дихлорметана, добавляли к ним диизопропилэтиламин (3,48 г, 26,96 ммоль), а затем 3-(диэтоксифосфорилокси)-1,2,3-бензотризин-4(3H)-он (DEPBT, 4,04 г, 13,48 ммоль) для проведения реакции в течение 4,5 часов при перемешивании при комнатной температуре. Полученный в результате этого жидкий раствор разбавляли 100 мл дихлорметана, промывали 80 мл насыщенного раствора бикарбоната натрия и 80 мл насыщенного рассола, соответственно. Все органические фазы объединяли, сушили безводным сульфатом натрия и фильтровали. Растворитель выпаривали при пониженном давлении с получением неочищенного продукта, который очищали, применяя нормально-фазовую колонку с силикагелем, 200 - 300 меш. Колонку заполняли петролейным эфиром, добавляли к нему 1% по массе триэтиламина для нейтрализации кислотности силикагеля и элюировали градиентом дихлорметан:метанол = 30:1-15:1. Элюат собирали и выпаривали при пониженном давлении с получением 3,97 г чистого продукта Z-1. МС m/z: C98H143N10O33, [M+H]+, рассчитанное: 1987,98, измеренное: 1987,90.[342] W-3 (1.50 g, 3.37 mmol) obtained in accordance with the method described in step (7-3) and GAL5-C4-2 (7.18 g, 13.48 mmol) , obtained in accordance with the method described in step (2-2), were mixed and dissolved in 34 ml of dichloromethane, diisopropylethylamine (3.48 g, 26.96 mmol) was added thereto, and then 3-(diethoxyphosphoryloxy)-1, 2,3-benzotrizin-4(3H)-one (DEPBT, 4.04 g, 13.48 mmol) to react for 4.5 hours with stirring at room temperature. The resulting liquid solution was diluted with 100 ml of dichloromethane, washed with 80 ml of saturated sodium bicarbonate solution and 80 ml of saturated brine, respectively. All organic phases were combined, dried over anhydrous sodium sulfate and filtered. The solvent was evaporated under reduced pressure to give a crude product which was purified using a 200-300 mesh normal phase silica gel column. The column was filled with petroleum ether, 1% by mass of triethylamine was added thereto to neutralize the acidity of the silica gel, and eluted with a gradient of dichloromethane:methanol = 30:1-15:1. The eluate was collected and evaporated under reduced pressure to give 3.97 g of pure product Z-1. MS m/z: C98H143N10O33, [M+H]+, calculated: 1987.98, measured: 1987.90.
(12-2) Синтез Z-2.(12-2) Synthesis of Z-2.
[343] Z-1 (3,97 г, 2,00 ммоль), полученный в соответствии со способом, описанным в (12-1), растворяли в 250 мл дихлорметана и добавляли к нему дихлоруксусную кислоту (10,941 г, 84,85 ммоль) для проведения реакции в течение 1 часа при комнатной температуре. Пиридин добавляли, чтобы нейтрализовать полученный в результате этого реакционный раствор до нейтрального состояния. Растворитель выпаривали при пониженном давлении с получением неочищенного продукта. В колонку загружали 200 г нормально-фазового силикагеля, 200 - 300 меш, и 10% по массе пиридина для нейтрализации кислотности силикагеля. Колонку уравновешивали 1‰ (по массе) пиридина и элюировали градиентом дихлорметан:метанол = 10:1 - 2:1. Элюат собирали и растворитель выпаривали при пониженном давлении с получением 3,49 г чистого продукта Z-2. МС m/z: C79H129N10O33, [M+H]+, рассчитанное: 1746,94, измеренное: 1746,90.[343] Z-1 (3.97 g, 2.00 mmol) obtained according to the method described in (12-1) was dissolved in 250 ml of dichloromethane, and dichloroacetic acid (10.941 g, 84.85 mmol) to carry out the reaction for 1 hour at room temperature. Pyridine was added to neutralize the resulting reaction solution to a neutral state. The solvent was evaporated under reduced pressure to give a crude product. The column was loaded with 200 g of normal phase silica gel, 200-300 mesh, and 10% by weight of pyridine to neutralize the acidity of the silica gel. The column was equilibrated with 1‰ (by weight) pyridine and eluted with a gradient of dichloromethane:methanol = 10:1 - 2:1. The eluate was collected and the solvent was evaporated under reduced pressure to give 3.49 g of pure product Z-2. MS m/z: C79H129N10O33, [M+H]+, calculated: 1746.94, measured: 1746.90.
(12-3) Синтез Z-3.(12-3) Synthesis of Z-3.
[344] Z-2 (3,49 г, 2,0 ммоль) и A-1 (3,06 г, 6,0 ммоль), полученный в соответствии со способом, описанным на этапе (1-7a), смешивали и растворяли в 30 мл дихлорметана и добавляли к ним 3-(диэтоксифосфорилокси)-1,2,3-бензотризин-4(3H)-он (DEPBT, 1,80 г, 6,0 ммоль), а затем диизопропилэтиламин (1,55 г, 12,0 ммоль) для проведения реакции в течение 3 часов при перемешивании при 25°C. 100 мл дихлорметана добавляли в полученный в результате этого реакционный раствор для разбавления. Органическую фазу промывали дважды 30 мл насыщенного бикарбоната натрия. Водную фазу экстрагировали 10 мл дихлорметана. Все органические фазы объединяли и промывали 50 мл насыщенного рассола. Полученные органические фазы объединяли, сушили безводным сульфатом натрия и фильтровали. Растворитель выпаривали при пониженном давлении, и остаток сушили во вспененном состоянии в течение ночи с помощью вакуумного масляного насоса с получением неочищенного продукта. Неочищенный продукт подвергали очистке на колонке, применяя нормально-фазовый силикагель, 200 - 300 меш, 200 г, с 20 мл триэтиламина для нейтрализации кислотности силикагеля. Колонку уравновешивали петролейным эфиром, содержащим 1% по массе триэтиламина, и элюировали градиентом дихлорметан:метанол = 25:1 - 15:1. Элюат собирали и растворитель выпаривали при пониженном давлении с получением 2,2 г чистого продукта Z-3. МС m/z: C103H151N10O38, [M+H]+, рассчитанное: 2136,02, измеренное: 2136,20.[344] Z-2 (3.49 g, 2.0 mmol) and A-1 (3.06 g, 6.0 mmol), obtained in accordance with the method described in step (1-7a), were mixed and dissolved in 30 ml dichloromethane and 3-(diethoxyphosphoryloxy)-1,2,3-benzotrizin-4(3H)-one (DEPBT, 1.80 g, 6.0 mmol) was added thereto, followed by diisopropylethylamine (1.55 g, 12.0 mmol) to carry out the reaction for 3 hours with stirring at 25°C. 100 ml of dichloromethane was added to the resulting reaction solution for dilution. The organic phase was washed twice with 30 ml of saturated sodium bicarbonate. The aqueous phase was extracted with 10 ml dichloromethane. All organic phases were combined and washed with 50 ml of saturated brine. The resulting organic phases were combined, dried over anhydrous sodium sulfate and filtered. The solvent was evaporated under reduced pressure, and the residue was foam dried overnight with an oil vacuum pump to give a crude product. The crude product was subjected to column purification using normal phase silica gel, 200-300 mesh, 200 g, with 20 ml of triethylamine to neutralize the acidity of the silica gel. The column was equilibrated with petroleum ether containing 1% by weight of triethylamine and eluted with a dichloromethane:methanol = 25:1-15:1 gradient. The eluate was collected and the solvent was evaporated under reduced pressure to give 2.2 g of pure product Z-3. MS m/z: C103H151N10O38, [M+H]+, calculated: 2136.02, measured: 2136.20.
(12-4) Синтез Z-4.(12-4) Synthesis of Z-4.
[345] Z-3 (2,10 г, 0,983 ммоль) растворяли в 14,8 мл дихлорметана, содержащего DIEA (635 мг, 4,915 ммоль), в полученный в результате этого раствор добавляли 4-диметиламинопиридин (DMAP, 240 мг, 1,966 ммоль) и перемешивали до достижения прозрачности. Добавляли янтарный ангидрид (197 мг, 1,966 ммоль) для проведения реакции в течение 18 часов при перемешивании при 25°C. В полученный в результате этого реакционный раствор добавляли 50 мл дихлорметана для разбавления и промывали 80 мл 0,5 М фосфата триэтиламина. Водную фазу экстрагировали дважды 50 мл дихлорметана. Все органические фазы объединяли и выпаривали растворитель при пониженном давлении с получением неочищенного продукта. Неочищенный продукт подвергали очистке на колонке, применяя нормально-фазовый силикагель, 200 - 300 меш, 188 г, с 1% по массе триэтиламина для нейтрализации кислотности силикагеля. Колонку уравновешивали дихлорметаном и элюировали градиентом: дихлорметан, содержащий 1‰ (по массе) триэтиламина:метанол = 10:1 - 3:1. Элюат собирали и растворитель выпаривали при пониженном давлении с получением 1,95 г чистого продукта - конъюгирующей молекулы Z-4 (Конъюгирующей молекулы 12). МС m/z: C107H155N10O41, [M+H]+, рассчитанное: 1935,07, измеренное: 1935,29. Структура полученной в результате этого Конъюгирующей молекулы Z-4 представлена формулой (422).[345] Z-3 (2.10 g, 0.983 mmol) was dissolved in 14.8 ml of dichloromethane containing DIEA (635 mg, 4.915 mmol), to the resulting solution was added 4-dimethylaminopyridine (DMAP, 240 mg, 1.966 mmol) and stirred until transparent. Succinic anhydride (197 mg, 1.966 mmol) was added to carry out the reaction for 18 hours with stirring at 25°C. To the resulting reaction solution was added 50 ml of dichloromethane to dilute, and washed with 80 ml of 0.5 M triethylamine phosphate. The aqueous phase was extracted twice with 50 ml dichloromethane. All organic phases were combined and the solvent was evaporated under reduced pressure to give the crude product. The crude product was subjected to column purification using normal phase silica gel, 200-300 mesh, 188 g, with 1% by weight triethylamine to neutralize the acidity of the silica gel. The column was equilibrated with dichloromethane and eluted with a gradient: dichloromethane containing 1‰ (by weight) triethylamine:methanol = 10:1 - 3:1. The eluate was collected and the solvent was evaporated under reduced pressure to give 1.95 g of pure product, conjugation molecule Z-4 (Conjugation molecule 12). MS m/z: C107H155N10O41, [M+H]+, calculated: 1935.07, measured: 1935.29. The structure of the resulting Z-4 Conjugating Molecule is represented by formula (422).
Пример получения 13. Получение конъюгата L10-siHBa1 (Конъюгата 9).Production Example 13 Preparation of L10-siHBa1 Conjugate (Conjugate 9).
[346] В данном примере получения, Конъюгат L10-siHBa1 (далее в данной заявке также называют Конъюгатом 9) получали из конъюгирующей молекулы L-9 (Конъюгирующей молекулы 1) в соответствии со следующим способом.[346] In this preparation example, L10-siHBa1 Conjugate (hereinafter also referred to as Conjugate 9) was prepared from the L-9 conjugate molecule (Conjugate molecule 1) according to the following method.
(13-1) Синтез соединения L-10.(13-1) Synthesis of compound L-10.
[347] На данном этапе соединение L-10 получали путем соединения Конъюгирующей молекулы L-9 с твердофазной подложкой.[347] At this stage, the compound L-10 was obtained by connecting the Conjugating molecule L-9 with a solid phase support.
[348] Конъюгирующую молекулу L-9 (0,233 г, 0,1126 ммоль), полученную на этапе (1-8), O-бензотриазолтетраметилурония гексафторфосфат (HBTU, 0,064 г, 0,1689 ммоль) и диизопропилэтиламин (DIPEA, 0,029 г, 0,2252 ммоль) смешивали и растворяли в 19 мл ацетонитрила, и перемешивали при комнатной температуре в течение 5 минут. Аминометильную смолу (0,901 г, 100 - 200 меш, загрузка амином: 400 мкмоль/г, приобретали в Tianjin Nankai HECHENG S&T Co., Ltd.) добавляли в жидкую реакционную смесь. Реакцию проводили на встряхивателе при 25°C и 220 об./мин. в течение 15 часов, а затем фильтровали. Остаток промывали два раза 30 мл ДХМ, три раза 30 мл ацетонитрила и один раз 30 мл этилового эфира и сушили в течение 2 часов с помощью вакуумного масляного насоса. Затем вели реакцию кэпирования в соответствии с отношением зарядов, как показано в таблице 2.[348] Conjugating molecule L-9 (0.233 g, 0.1126 mmol) obtained in step (1-8), O-benzotriazoletetramethyluronium hexafluorophosphate (HBTU, 0.064 g, 0.1689 mmol) and diisopropylethylamine (DIPEA, 0.029 g, 0.2252 mmol) was mixed and dissolved in 19 ml of acetonitrile, and stirred at room temperature for 5 minutes. Aminomethyl resin (0.901 g, 100-200 mesh, amine loading: 400 µmol/g, purchased from Tianjin Nankai HECHENG S&T Co., Ltd.) was added to the liquid reaction mixture. The reaction was carried out on a shaker at 25°C and 220 rpm. for 15 hours and then filtered. The residue was washed twice with 30 ml DCM, three times with 30 ml of acetonitrile and once with 30 ml of ethyl ether and dried for 2 hours with a vacuum oil pump. The capping reaction was then carried out according to the charge ratio as shown in Table 2.
Таблица 2. Отношение зарядов реакции кэпирования.Table 2. Charge ratio of the capping reaction.
[349] В таблице выше Кэп 1 и Кэп 2 представляют собой растворы кэпирующих реагентов. Кэп 1 представляет собой раствор 20% в объемном отношении N-метилимидазола в смеси пиридина/ацетонитрила, причем объемное отношение пиридина к ацетонитрилу составляет 3:5. Кэп 2 представляет собой раствор 20% в объемном отношении уксусного ангидрида в ацетонитриле.[349] In the table above,
[350] Кэп 1, Кэп 2, 4-диметиламинопиридин (DMAP) и ацетонитрил добавляли в описанную выше реакционную смесь. Реакцию проводили на встряхивателе при 25°C и 200 об./мин. в течение 5 часов. Жидкую реакционную смесь фильтровали. Остаток промывали три раза, каждый раз 30 мл ацетонитрила, растворитель выпаривали досуха, и смесь сушили в течение ночи при пониженном давлении с помощью вакуумного масляного насоса с получением 1,100 г соединения L-10 (т.е., конъюгирующей молекулы L-9, связанной с твердофазной подложкой), с нагрузкой 90,8 мкмоль/г. Структура соединения L-10 может быть представлена формулой (523).[350]
(13-2) Синтез смысловой цепи конъюгата L10-siHB1.(13-2) Synthesis of the sense strand of the L10-siHB1 conjugate.
[351] На данном этапе миРНК конъюгата миРНК представляет собой последовательность под номером siHBa1:[351] At this stage, the siRNA of the siRNA conjugate is the sequence number siHBa1:
siHBa1siHBa1
смысловая цепь: 5'- CCUUGAGGCAUACUUCAAA-3' (SEQ ID NO: 1),sense strand: 5'- CCUUGAGGCAUACUUCAAA-3' (SEQ ID NO: 1),
антисмысловая цепь: 5'- UUUGAAGUAUGCCUCAAGGUU -3' (SEQ ID NO: 2).antisense strand: 5'-UUUGAAGUAUGCCUCAAGGUU-3' (SEQ ID NO: 2).
[352] Мономеры нуклеозидов присоединяли один за другим в направлении от 3' к 5' в соответствии с указанной выше последовательностью фосфорамидитным способом твердофазного синтеза, начиная с соединения L-10, полученного на описанном выше этапе. Присоединение каждого мономера нуклеозида включало четырехэтапную реакцию снятия защитных групп, сочетания, кэпирования и окисления. Условия синтеза были такими, как описано далее.[352] The nucleoside monomers were added one by one in the 3' to 5' direction according to the above sequence by the phosphoramidite solid phase synthesis method, starting from compound L-10 obtained in the above step. Attachment of each nucleoside monomer involved a four step reaction of deprotection, coupling, capping and oxidation. Synthesis conditions were as described below.
[353] Мономеры нуклеозида были предложены в 0,1 M растворе ацетонитрила. Условия были одинаковыми для каждой реакции снятия защитных групп, т.е., температура 25°C, время реакции 70 секунд, раствор дихлоруксусной кислоты в дихлорметане (3% в объемном отношении) в качестве реагента для снятия защитных групп и молярное соотношение дихлоруксусной кислоты к защитной группе на твердофазной подложке 4,4'-диметокситритилу составляло 5:1.[353] Nucleoside monomers have been proposed in 0.1 M acetonitrile. Conditions were the same for each deprotection reaction, i.e.,
[354] Условия были одинаковыми для каждой реакции сочетания, включая температуру 25°C, молярное соотношение последовательности нуклеиновой кислоты, присоединенной к твердофазной подложке, к мономерам нуклеозида 1:10, молярное соотношение последовательности нуклеиновой кислоты, присоединенной к твердофазной подложке, к агенту реакции сочетания 1:65, время реакции 600 секунд и 0,5 M раствор в ацетонитриле 5-этилтио-1H-тетразола в качестве агента реакции сочетания.[354] Conditions were the same for each coupling
[355] Условия были одинаковыми для каждой реакции кэпирования, включая температуру 25°C и время реакции 15 секунд. Кэпирующий реагент представлял собой смешанный раствор Кэпа 1 и Кэпа 2 в молярном соотношении 1:1; и молярное соотношение кэпирующего реагента к последовательности нуклеиновой кислоты, присоединенной к твердофазной подложке, было следующим: уксусный ангидрид: N-метилимидазол: последовательность нуклеиновой кислоты, присоединенной к твердофазной подложке = 1:1:1.[355] The conditions were the same for each capping reaction, including a temperature of 25°C and a reaction time of 15 seconds. The capping agent was a mixed solution of
[356] Условия были одинаковыми для каждой реакции окисления, включая температуру 25°C, время реакции 15 секунд и 0,05 М йодную воду в качестве окисляющего реагента; и молярное соотношение йода к последовательности нуклеиновой кислоты, присоединенной к твердофазной подложке, на этапе сочетания составляло 30:1. Реакцию проводили в смешанном растворителе тетрагидрофуран:вода:пиридин = 3:1:1.[356] the Conditions were the same for each oxidation reaction, including a temperature of 25°C, a reaction time of 15 seconds and 0.05 M iodine water as an oxidizing reagent; and the molar ratio of iodine to the nucleic acid sequence attached to the solid phase support in the coupling step was 30:1. The reaction was carried out in a mixed solvent of tetrahydrofuran:water:pyridine = 3:1:1.
[357] Условия для расщепления и снятия защитных групп были такими, как описано далее. Синтезированную последовательность нуклеотидов, связанную с подложкой, добавляли в 25 % по массе водного аммиака для проведения реакции в течение 16 часов при 55°C, и водный аммиак находился в количестве 0,5 мл/мкмоль относительно последовательности нуклеотидов. Жидкость удаляли и остаток концентрировали в вакууме досуха. После обработки водным аммиаком продукт растворяли в N-метилпирролидоне в количестве 0,4 мл/мкмоль, а затем добавляли 0,3 мл/мкмоль триэтиламина и 0,6 мл/мкмоль тригидрофторида триэтиламина, относительно количества одноцепочечной нуклеиновой кислоты, тем самым удаляя защиту 2'-TBDMS с рибозы. Очистка и обессоливание: очистку нуклеиновой кислоты проводили, применяя колонку для препаративной ионообменной хроматографии (Source 15Q) с элюированием градиентом NaCl. В частности, элюент A: 20 мМ фосфат натрия (pH 8,1), растворитель: вода/ацетонитрил = 9:1 (в объемном отношении); элюент B: 1,5 М хлорид натрия, 20 мМ фосфат натрия (pH 8,1), растворитель: вода/ацетонитрил = 9:1 (в объемном отношении); градиент элюирования: отношение элюент A: элюент B = 100:0 - 50:50. Элюат собирали, объединяли и обессоливали, применяя колонку для обращенно-фазовой хроматографии. Особенность условий состояла в том, что для обессоливания применяли колонку с сефадексом, причем сефадекс G25 использовали в качестве наполнителя, а деионизированную воду использовали для элюирования.[357] The conditions for cleavage and deprotection were as follows. The synthesized nucleotide sequence bound to the substrate was added to 25% by weight aqueous ammonia to carry out the reaction for 16 hours at 55°C, and the aqueous ammonia was in the amount of 0.5 ml/μmol relative to the nucleotide sequence. The liquid was removed and the residue was concentrated to dryness in vacuo. After treatment with aqueous ammonia, the product was dissolved in N-methylpyrrolidone at 0.4 ml/μmol, and then 0.3 ml/μmol triethylamine and 0.6 ml/μmol triethylamine trihydrofluoride were added, relative to the amount of single-stranded nucleic acid, thereby deprotecting 2 '-TBDMS with ribose. Purification and desalting: Nucleic acid purification was performed using a preparative ion exchange chromatography column (Source 15Q) eluting with a NaCl gradient. In particular, eluent A: 20 mM sodium phosphate (pH 8.1), solvent: water/acetonitrile = 9:1 (v/v); eluent B: 1.5 M sodium chloride, 20 mM sodium phosphate (pH 8.1), solvent: water/acetonitrile = 9:1 (v/v); elution gradient: eluent A: eluent B = 100:0 - 50:50. The eluate was collected, combined and desalted using a reverse phase chromatography column. The peculiarity of the conditions was that a column with Sephadex was used for desalting, with Sephadex G25 being used as a filler, and deionized water was used for elution.
[358] Детектирование: чистота, выявленная с помощью ионообменной хроматографии (ИО-ВЭЖХ), составляла 92,4%; и молекулярную массу анализировали с помощью жидкостной хроматографии/масс-спектрометрии (ЖХ/МС), причем рассчитанное значение составляло 7253,96 и измеренное значение составляло 7253,12.[358] Detection: Purity as determined by ion exchange chromatography (IO-HPLC) was 92.4%; and the molecular weight was analyzed by liquid chromatography/mass spectrometry (LC/MS), where the calculated value was 7253.96 and the measured value was 7253.12.
[359] Таким образом, на данном этапе Конъюгирующую молекулу L-9 присоединили к 3'-концу полученной в результате этого смысловой цепи, получив смысловую цепь (С) миРНК, в которой Конъюгирующая молекула L-9 была конъюгирована с 3' концом миРНК.[359] Thus, at this stage, the L-9 Conjugation molecule was attached to the 3' end of the resulting sense strand, resulting in an siRNA sense strand (C) in which the L-9 Conjugation molecule was conjugated to the 3' end of the siRNA.
(13-3) Синтез антисмысловой цепи.(13-3) Synthesis of the antisense strand.
[360] На данном этапе антисмысловую цепь (АС) конъюгата L10-siHB1 синтезировали, применяя универсальную твердофазную подложку (нагруженные UnyLinker™ твердые подложки NittoPhase®HL, Kinovate Life Sciences Inc.). Антисмысловую цепь (АС) миРНК получали с помощью таких же условий, которые использовали для синтеза смысловой цепи, включая условия реакций снятия защитных групп, сочетания, кэпирования и окисления в способе твердофазного синтеза, условия снятия защитных групп и расщепления и условия выделения.[360] At this point, the antisense strand (AC) of the L10-siHB1 conjugate was synthesized using a universal solid phase support (UnyLinker™ loaded NittoPhase®HL solid supports, Kinovate Life Sciences Inc.). An siRNA antisense strand (AS) was prepared using the same conditions as those used to synthesize the sense strand, including deprotection, coupling, capping, and oxidation reaction conditions in a solid phase synthesis method, deprotection and cleavage conditions, and isolation conditions.
[361] Детектирование: чистота, обнаруженная с помощью ИО-ВЭЖХ, составляла 93,2%; и молекулярная масса была проанализирована с помощью ЖХ/МС, причем рассчитанное значение составляло 6675,04 и измеренное значение составляло 6674,50.[361] Detection: Purity detected by IO-HPLC was 93.2%; and the molecular weight was analyzed by LC/MS, where the calculated value was 6675.04 and the measured value was 6674.50.
(13-4) Синтез конъюгата L10-siHBa1.(13-4) Synthesis of L10-siHBa1 conjugate.
[362] С цепь и АС цепь растворяли в воде для инъекций, чтобы получить раствор 40 мг/мл, соответственно. Их смешивали в эквимолярных соотношениях, грели в течение 15 мин при 50°C, а затем охлаждали до комнатной температуры с образованием двухцепочечной структуры водородными связями.[362] The C chain and AC chain were dissolved in water for injection to obtain a solution of 40 mg/ml, respectively. They were mixed in equimolar ratios, heated for 15 min at 50°C, and then cooled to room temperature with the formation of a double-stranded structure by hydrogen bonds.
[363] После завершения описанного выше синтеза конъюгат разбавляли до концентрации 0,2 мг/мл, применяя ультрачистую воду (собственного производства с помощью устройства для получения ультрачистой воды Milli-Q, с удельным сопротивлением 18,2 МОм*см (25°C)). Молекулярную массу измеряли с помощью устройства для ЖХ/МС (приобретали в Waters Corp., модель: LCT Premier). В результате, рассчитанные значения молекулярной массы для С и АС составляли 7253,96 и 6675,04, соответственно, и измеренные значения для них составляли 7253,24 и 6674,61, соответственно. Подтвердили, что синтезированный конъюгат представляет собой целевую разработанную двухцепочечную последовательность нуклеиновой кислоты с Конъюгирующей молекулой L9, поскольку измеренные значения соответствуют рассчитанным значениям. Структура конъюгата L10-siHBa1 (Конъюгата 9) представлена формулой (3).[363] After completion of the above synthesis, the conjugate was diluted to a concentration of 0.2 mg/mL using ultrapure water (in-house with a Milli-Q ultrapure water machine, resistivity 18.2 MΩ*cm (25°C) ). The molecular weight was measured with an LC/MS device (purchased from Waters Corp., model: LCT Premier). As a result, the calculated molecular weights for C and AC were 7253.96 and 6675.04, respectively, and the measured values for them were 7253.24 and 6674.61, respectively. The synthesized conjugate was confirmed to be the target designed double-stranded nucleic acid sequence with Conjugating molecule L9, since the measured values corresponded to the calculated values. The structure of the L10-siHBa1 conjugate (Conjugate 9) is represented by formula (3).
Пример получения 14. Получение конъюгатов 16 - 18, 24 - 26, 42 - 43, 62, 78, 105, 109, 111, 115, 144 и 154 - 171.Preparation Example 14 Preparation of conjugates 16-18, 24-26, 42-43, 62, 78, 105, 109, 111, 115, 144 and 154-171.
[364] Данные конъюгаты получали, применяя такой же способ, как описанный в Примере получения 13, за исключением того, что: 1) конъюгированные миРНК имеют последовательности, показанные в Таблицах 3A - 3G, соответствующие конъюгатам 16 - 18, 24 - 26, 42 - 43, 62, 78, 105, 109, 111, 115, 144, 157 - 163 и 167 - 171; 2) если присутствует фосфоротиоатная связь между двумя нуклеотидами в целевой последовательности, то следующий этап реакции сульфирования использовали в качестве замены этапа реакции окисления во время соединения последнего из двух нуклеотидов; условия были одинаковыми для каждой реакции сульфирования, включая температуру 25°C, время реакции 300 секунд и гидрид ксантана в качестве сульфирующего реагента; молярное соотношение сульфирующего реагента к последовательности нуклеиновой кислоты, присоединенной к твердофазной подложке, на этапе сочетания составляло 120:1; Реакцию проводили в смешанном растворителе ацетонитрил: пиридин = 1:1; и 3) если 2'-положения всех нуклеотидов в целевой последовательности представляют собой модифицированные гидрокси-группы, то этап удаления защиты 2'-TBDMS с рибозы не включают в условия отщепления и снятия защитных групп. Таким образом, получают конъюгаты 16 - 18, 24 - 26, 42 - 43, 62, 78, 105, 109, 111, 115, 144, 157 - 163 согласно настоящему описанию.[364] These conjugates were prepared using the same method as described in Preparation Example 13, except that: 1) the conjugated siRNAs have the sequences shown in Tables 3A-3G corresponding to conjugates 16-18, 24-26, 42 - 43, 62, 78, 105, 109, 111, 115, 144, 157 - 163 and 167 - 171; 2) if a phosphorothioate bond is present between two nucleotides in the target sequence, then the next sulfonation reaction step is used as a replacement for the oxidation reaction step during the joining of the last of the two nucleotides; the conditions were the same for each sulfonation reaction, including a temperature of 25°C, a reaction time of 300 seconds, and xanthan hydride as a sulfonating agent; the molar ratio of the sulfonating reagent to the nucleic acid sequence attached to the solid phase support in the coupling step was 120:1; The reaction was carried out in a mixed solvent of acetonitrile: pyridine = 1:1; and 3) if the 2' positions of all nucleotides in the target sequence are modified hydroxy groups, then the step of deprotecting the 2'-TBDMS from the ribose is not included in the cleavage and deprotection conditions. Thus, conjugates 16-18, 24-26, 42-43, 62, 78, 105, 109, 111, 115, 144, 157-163 are obtained according to the present description.
[365] Кроме того, конъюгаты 154 - 156 и 164 - 166 получали, применяя такой же способ, как описанный в Примере получения 13, за исключением того, что следующие Конъюгирующие молекулы использовали для замены Конъюгирующей молекулы L-9, соответственно: Конъюгат 164 получали из Конъюгирующей молекулы P-9 (Конъюгирующей молекулы 2), которую получали в Примере получения 2; Конъюгаты 155, 156 и 165 получали из Конъюгирующей молекулы W-7 (Конъюгирующей молекулы 7), которую получали в Примере получения 7; Конъюгаты 154 и 166 получали из Z-4 (Конъюгирующей молекулы 12), которую получали в Примере получения 12, и конъюгированные миРНК имеют последовательности, показанные в таблицах 3A - 3G, соответствующие конъюгатам 154 - 156 и 164 - 166, соответственно, и конъюгаты были пронумерованы отдельно согласно таблицам 3A - 3G. Их структуры представлены формулой (3), формулой (4), формулой (15) и формулой (22), соответственно. Молекулярные массы конъюгатов измеряли с помощью ЖХ/МС, как описано далее:[365] In addition, conjugates 154-156 and 164-166 were prepared using the same method as described in Preparation Example 13, except that the following Conjugation Molecules were used to replace Conjugation Molecule L-9, respectively: Conjugate 164 was prepared from Conjugating Molecule P-9 (Conjugating Molecule 2) which was obtained in Preparation Example 2; Conjugates 155, 156, and 165 were prepared from Conjugation Molecule W-7 (Conjugation Molecule 7) which was prepared in Preparation Example 7;
Конъюгат 142: Рассчитанные значения: С: 7649,55, АС: 6991,46,Conjugate 142: Calculated values: C: 7649.55, AC: 6991.46,
- Измеренные значения: С: 7649,1, АС: 6991;- Measured values: C: 7649.1, AC: 6991;
Конъюгат 170: Рассчитанные значения: С: 7649,55, АС: 6995,47,Conjugate 170: Calculated values: C: 7649.55, AC: 6995.47,
- Измеренные значения: С: 7648,8, АС: 6994,8;- Measured values: C: 7648.8, AC: 6994.8;
Конъюгат 171: Рассчитанные значения: С: 7649,55, АС: 7011,53,Conjugate 171: Calculated values: C: 7649.55, AC: 7011.53,
- Измеренные значения: С: 7648,8, АС: 7010,9;- Measured values: C: 7648.8, AC: 7010.9;
Конъюгат 115: Рассчитанные значения: С: 7584,5, АС: 7007,46,Conjugate 115: Calculated values: C: 7584.5, AC: 7007.46,
- Измеренные значения: С: 7584, АС: 7006,2;- Measured values: C: 7584, AC: 7006.2;
Конъюгат 109: Рассчитанные значения: С: 7584,5, АС: 6931,47,Conjugate 109: Calculated values: C: 7584.5, AC: 6931.47,
- Измеренные значения: С: 7584, АС: 6930,9;- Measured values: C: 7584, AC: 6930.9;
Конъюгат 106: Рассчитанные значения: С: 7572,47, АС: 6907,41,Conjugate 106: Calculated values: C: 7572.47, AC: 6907.41,
- Измеренные значения: С: 7571,8, АС: 6906,9;- Measured values: C: 7571.8, AC: 6906.9;
Конъюгат 113: Рассчитанные значения: С: 7584,5, АС: 7011,47,Conjugate 113: Calculated values: C: 7584.5, AC: 7011.47,
- Измеренные значения: С: 7584, АС: 7011,3;- Measured values: C: 7584, AC: 7011.3;
Конъюгат 17: Рассчитанные значения: С: 7504,34, АС: 6961,52,Conjugate 17: Calculated values: C: 7504.34, AC: 6961.52,
- Измеренные значения: С: 7503,4, АС: 6960,9;- Measured values: C: 7503.4, AC: 6960.9;
Конъюгат 25: Рассчитанные значения: С: 7504,34, АС: 7037,51,Conjugate 25: Calculated values: C: 7504.34, AC: 7037.51,
- Измеренные значения: С: 7503,6, АС: 7036,9;- Measured values: C: 7503.6, AC: 7036.9;
Конъюгат 18: Рассчитанные значения: С: 8218,83, АС: 7703,05,Conjugate 18: Calculated values: C: 8218.83, AC: 7703.05,
- Измеренные значения: С: 8218, АС: 7702,5;- Measured values: C: 8218, AC: 7702.5;
Конъюгат 16: Рассчитанные значения: С: 7516,37, АС: 6985,58,Conjugate 16: Calculated values: C: 7516.37, AC: 6985.58,
- Измеренные значения: С: 7516,5, АС: 6984,9;- Measured values: C: 7516.5, AC: 6984.9;
Конъюгат 159: Рассчитанные значения: С: 7504,34, АС: 7057,58,Conjugate 159: Calculated values: C: 7504.34, AC: 7057.58,
- Измеренные значения: С: 7503,6, АС: 7057;- Measured values: C: 7503.6, AC: 7057;
Конъюгат 160: Рассчитанные значения: С: 7504,34, АС: 7041,52,Conjugate 160: Calculated values: C: 7504.34, AC: 7041.52,
- Измеренные значения: С: 7503,6, АС: 7040,8;- Measured values: C: 7503.6, AC: 7040.8;
Конъюгат 161: Рассчитанные значения: С: 7516,37, АС: 7065,58,Conjugate 161: Calculated values: C: 7516.37, AC: 7065.58,
- Измеренные значения: С: 7516,6, АС: 7064,5;- Measured values: C: 7516.6, AC: 7064.5;
Конъюгат 162: Рассчитанные значения: С: 7504,34, АС: 7139,68,Conjugate 162: Calculated values: C: 7504.34, AC: 7139.68,
- Измеренные значения: С: 7515,6, АС: 7138,9;- Measured values: C: 7515.6, AC: 7138.9;
Конъюгат 163: Рассчитанные значения: С: 7516,37, АС: 7081,64,Conjugate 163: Calculated values: C: 7516.37, AC: 7081.64,
- Измеренные значения: С: 7515,6, АС: 7080,9;- Measured values: C: 7515.6, AC: 7080.9;
Конъюгат 62: Рассчитанные значения: С: 7485,3, АС: 7161,7,Conjugate 62: Calculated values: C: 7485.3, AC: 7161.7,
- Измеренные значения: С: 7484,4, АС: 7160,9;- Measured values: C: 7484.4, AC: 7160.9;
Конъюгат 78: Рассчитанные значения: С: 7423,22, АС: 7207,78,Conjugate 78: Calculated values: C: 7423.22, AC: 7207.78,
- Измеренные значения: С: 7422,6, АС: 7207,2;- Measured values: C: 7422.6, AC: 7207.2;
Конъюгат 42: Рассчитанные значения: С: 7407,22, АС: 7208,77,Conjugate 42: Calculated values: C: 7407.22, AC: 7208.77,
- Измеренные значения: С: 7406,4, АС: 7208,1;- Measured values: C: 7406.4, AC: 7208.1;
Конъюгат 43: Рассчитанные значения: С: 7407,22, АС: 7170,72,Conjugate 43: Calculated values: C: 7407.22, AC: 7170.72,
- Измеренные значения: С: 7406,5, АС: 7170,1,- Measured values: C: 7406.5, AC: 7170.1,
и измеренные значения соответствуют рассчитанным значениям.and the measured values correspond to the calculated values.
Таблица 3A. Конъюгаты миРНК.Table 3A. miRNA conjugates.
Таблица 3A.Table 3A.
Таблица 3B.Table 3B.
siHBb2M1SPGalNAc-
 siHBb2M1SP
Таблица 3C.Table 3C.
Таблица 3D.Table 3D.
Таблица 3E.Table 3E.
Таблица 3F.Table 3F.
Таблица 3G.Table 3G.
*С: смысловая цепь; АС: антисмысловая цепь*C: semantic chain; AS: antisense strand
Примечание: заглавные буквы C, G, U и A указывают на состав оснований нуклеотидов; dT указывает на нуклеотид дезокситимин; строчная буква m указывает на то, что нуклеотид, примыкающий слева к букве m, представляет собой модифицированный 2'-метокси-группой нуклеотид; строчная буква f указывает на то, что нуклеотид, примыкающий слева к букве f, представляет собой модифицированный 2'-фтором нуклеотид; строчная буква s указывает на фосфоротиоатную связь между двумя нуклеотидами, примыкающими с двух сторон к букве s; VP указывает на то, что нуклеотид, примыкающий справа к буквам VP, представляет собой модифицированный винилфосфатом нуклеотид; P указывает на то, что нуклеотид, примыкающий справа к букве P, представляет собой модифицированный фосфатом нуклеотид; Ps указывает на то, что нуклеотид, примыкающий справа к буквам Ps, представляет собой модифицированный фосфоротиоатом нуклеотид; Tmoe указывает на нуклеотид тимин модифицирован 2'-метокси-группой.Note: capital letters C, G, U and A indicate the composition of the bases of the nucleotides; dT indicates the nucleotide deoxythymine; a lowercase m indicates that the nucleotide adjacent to the left of the m is a 2'-methoxy-modified nucleotide; a lowercase f indicates that the nucleotide adjacent to the left of f is a 2'-fluorine-modified nucleotide; a lowercase s indicates a phosphorothioate bond between two nucleotides adjacent to the s on both sides; VP indicates that the nucleotide adjacent to the right of the letters VP is a vinyl phosphate-modified nucleotide; P indicates that the nucleotide adjacent to the right of the letter P is a phosphate-modified nucleotide; Ps indicates that the nucleotide adjacent to the right of the letters Ps is a phosphorothioate-modified nucleotide; Tmoe refers to the nucleotide thymine modified with a 2'-methoxy group.
[366] Модифицированный винилфосфатом и 2'-метокси-группой мономер уридина (VP-Um) синтезировали в соответствии со следующим способом:[366] Vinyl phosphate and 2'-methoxy-modified uridine monomer (VP-Um) was synthesized according to the following method:
(14-1) Синтез VP-U-2.(14-1) Synthesis of VP-U-2.
[367] Молекулу VP-U-2 синтезировали в соответствии со следующим способом:[367] The VP-U-2 molecule was synthesized according to the following method:
[368] Модифицированный 2'-метокси-группой нуклеозид урацил (2'-OMe-U, 51,30 г, 91,6 ммоль), трет-бутил дифенилхлорсилан (TBDPSCl, 50,35 г, 183,2 ммоль) и имидазол (12,47 г, 183,2 ммоль) смешивали и растворяли в 450 мл N,N-диметилформамида (DMF) для проведения реакции в течение 20 часов при перемешивании при комнатной температуре. DMF удаляли путем выпаривания, и остаток растворяли с помощью 600 мл дихлорметана и промывали 300 мл насыщенного бикарбоната натрия. Выделенную водную фазу экстрагировали три раза, каждый раз 300 мл дихлорметана. Все органические фазы объединяли, промывали 5% щавелевой кислотой до достижения pH водной фазы <5. Растворитель выпаривали досуха с получением неочищенного продукта VP-U-1, который непосредственно использовали в последующем синтезе VP-U-2.[368] 2'-methoxy-modified nucleoside uracil (2'-OMe-U, 51.30 g, 91.6 mmol), tert-butyl diphenylchlorosilane (TBDPSCl, 50.35 g, 183.2 mmol) and imidazole (12.47 g, 183.2 mmol) was mixed and dissolved in 450 ml of N,N-dimethylformamide (DMF) to react for 20 hours with stirring at room temperature. The DMF was removed by evaporation and the residue was dissolved with 600 ml of dichloromethane and washed with 300 ml of saturated sodium bicarbonate. The separated aqueous phase was extracted three times, each time with 300 ml of dichloromethane. All organic phases were combined, washed with 5% oxalic acid until the pH of the aqueous phase was <5. The solvent was evaporated to dryness to give the crude product VP-U-1, which was directly used in the subsequent synthesis of VP-U-2.
[369] Неочищенный продукт VP-U-1 растворяли в 100 мл дихлорметана, а затем перемешивали в течение 10 минут на ледяной бане. Добавляли 450 мл 2% раствора п-толуолсульфоновой кислоты (со смешанным растворителем из метанола и дихлорметана в объемном отношении 3:7), предварительно охлажденного в холодильной камере при 4°C, для проведения реакции в течение 10 минут. Реакцию гасили добавлением 200 мл насыщенного бикарбоната натрия. Полученную органическую фазу промывали добавлением насыщенного раствора бикарбоната натрия до pH = 8. Водные фазы объединяли и экстрагировали дважды 200 мл дихлорметана. Все органические фазы объединяли и однократно промывали 200 мл насыщенного рассола. Растворитель выпаривали, и остаток очищали, применяя нормально-фазовую колонку с силикагелем, 200 - 300 меш. Колонку заполняли петролейным эфиром и элюировали градиентом петролейный эфир:этилацетат:дихлорметан:метанол = 1:1:1:0,05 - 1:1:1:0,25. Элюат собирали, растворитель выпаривали при пониженном давлении и сушили остаток во вспененном состоянии с помощью вакуумного масляного насоса с получением всего 40,00 г чистого продукта VP-U-2. 1H ЯМР (400 МГц, ДМСО-d6) δ 7,96 (d, J = 7,8 Гц, 1H), 7,64 (dtd, J = 5,1, 4,0, 2,2 Гц, 4H), 7,41-7,30 (m, 6H), 6,79 (d, J = 4,7 Гц, 1H), 5,73 (d, J = 7,6 Гц, 1H), 4,94 (t, J = 7,0 Гц, 1H), 4,12 (td, J = 4,6, 3,9 Гц, 1H), 4,05 (dd, J = 4,8, 4,0 Гц, 1H), 3,96 (t, J = 4,7 Гц, 1H), 3,68 (ddd, J = 11,8, 7,0, 4,6 Гц, 1H), 3,57 - 3,46 (m, 1H), 3,39 (s, 3H), 1,05 (s, 8H). МС m/z: C26H33N2O6Si, [M+H]+, рассчитанное: 497,21, измеренное: 497,45.[369] The crude product VP-U-1 was dissolved in 100 ml of dichloromethane, and then stirred for 10 minutes in an ice bath. 450 ml of a 2% solution of p-toluenesulfonic acid (with a mixed solvent of methanol and dichloromethane in a 3:7 v/v ratio) pre-cooled in a refrigerator at 4°C was added to carry out a reaction for 10 minutes. The reaction was quenched by adding 200 ml of saturated sodium bicarbonate. The resulting organic phase was washed with saturated sodium bicarbonate solution until pH = 8. The aqueous phases were combined and extracted twice with 200 ml of dichloromethane. All organic phases were combined and washed once with 200 ml of saturated brine. The solvent was evaporated and the residue was purified using a normal phase silica gel column, 200-300 mesh. The column was filled with petroleum ether and eluted with a gradient of petroleum ether:ethyl acetate:dichloromethane:methanol = 1:1:1:0.05 - 1:1:1:0.25. The eluate was collected, the solvent was evaporated under reduced pressure, and the residue was foam dried using a vacuum oil pump to give a total of 40.00 g of pure VP-U-2 product. 1H NMR (400 MHz, DMSO-d6) δ 7.96 (d, J = 7.8 Hz, 1H), 7.64 (dtd, J = 5.1, 4.0, 2.2 Hz, 4H) , 7.41-7.30 (m, 6H), 6.79 (d, J = 4.7 Hz, 1H), 5.73 (d, J = 7.6 Hz, 1H), 4.94 ( t, J = 7.0 Hz, 1H), 4.12 (td, J = 4.6, 3.9 Hz, 1H), 4.05 (dd, J = 4.8, 4.0 Hz, 1H ), 3.96 (t, J = 4.7 Hz, 1H), 3.68 (ddd, J = 11.8, 7.0, 4.6 Hz, 1H), 3.57 - 3.46 ( m, 1H), 3.39 (s, 3H), 1.05 (s, 8H). MS m/z: C26H33N2O6Si, [M+H]+, calculated: 497.21, measured: 497.45.
(14-2) Синтез VP-U-4.(14-2) Synthesis of VP-U-4.
[370] VP-U-2 (19,84 г, 40,0 ммоль), дициклогексилкарбодиимид (DCC, 16,48 г, 80,0 ммоль), пиридин (4,20 г, 53,2 ммоль) и трифторуксусную кислоту (6,61 г, 53,2 ммоль) смешивали и растворяли в 200 мл диметилсульфоксида (ДМСО) для проведения реакции в течение 20 часов при перемешивании при комнатной температуре с получением жидкой реакционной смеси. Отдельно, тетраэтилметилендифосфат (21,44 г, 74,4 ммоль) растворяли в 120 мл ТГФ, охлаждали на ледяной бане, добавляли t-BuOK (11,36 г, 101,2 ммоль) при температуре ледяной бани для проведения реакции в течение 10 мин, нагревали до комнатной температуры для проведения реакции в течение 0,5 ч и добавляли в полученную выше жидкую реакционную смесь на приблизительно 1 ч. Реакцию проводили в течение 1 ч при температуре ледяной бани, а затем нагревали до комнатной температуры для проведения реакции в течение 18 ч. Реакцию гасили добавлением воды. Выделенную водную фазу экстрагировали три раза, каждый раз 200 мл дихлорметана. Все органические фазы объединяли и однократно промывали 200 мл насыщенного рассола. Растворитель выпаривали досуха, и остаток очищали, применяя нормально-фазовую колонку с силикагелем, 200 - 300 меш. Колонку заполняли петролейным эфиром и элюировали градиентом петролейный эфир: этилацетат = 1:1 - 1:4. Элюат собирали, растворитель выпаривали при пониженном давлении и сушили остаток во вспененном состоянии с помощью вакуумного масляного насоса с получением всего 14,00 г чистого продукта VP-U-4. 1H ЯМР (400 МГц, ДМСО-d6) δ 7,96 (d, J = 7,8 Гц, 1H), 7,64 (dtd, J = 5,1, 4,0, 2,2 Гц, 4H), 7,41 - 7,30 (m, 6H), 6,82 - 6,71 (m, 2H), 5,90 (ddd, J = 25,9, 15,0, 1,0 Гц, 1H), 5,73 (d, J = 7,6 Гц, 1H), 4,36 - 4,21 (m, 3H), 4,18 (t, J = 4,9 Гц, 1H), 4,05 (ddq, J = 9,7, 8,5, 6,9 Гц, 2H), 3,87 (t, J = 4,8 Гц, 1H), 3,39 (s, 3H), 1,32 (td, J = 6,9, 0,7 Гц, 6H), 1,05 (s, 8H). МС m/z: C31H42N2O8PSi, [M+H]+, рассчитанное: 629,24, измеренное: 629,51.[370] VP-U-2 (19.84 g, 40.0 mmol), dicyclohexylcarbodiimide (DCC, 16.48 g, 80.0 mmol), pyridine (4.20 g, 53.2 mmol), and trifluoroacetic acid (6.61 g, 53.2 mmol) was mixed and dissolved in 200 ml of dimethyl sulfoxide (DMSO) to react for 20 hours with stirring at room temperature to obtain a liquid reaction mixture. Separately, tetraethylmethylene diphosphate (21.44 g, 74.4 mmol) was dissolved in 120 ml of THF, cooled in an ice bath, t-BuOK (11.36 g, 101.2 mmol) was added at ice bath temperature to carry out the reaction for 10 min, heated to room temperature to carry out the reaction for 0.5 h, and added to the above liquid reaction mixture for approximately 1 h. 18 hours The reaction was quenched by adding water. The separated aqueous phase was extracted three times, each time with 200 ml of dichloromethane. All organic phases were combined and washed once with 200 ml of saturated brine. The solvent was evaporated to dryness and the residue was purified using a normal phase silica gel column, 200-300 mesh. The column was filled with petroleum ether and eluted with a gradient of petroleum ether: ethyl acetate = 1:1 - 1:4. The eluate was collected, the solvent was evaporated under reduced pressure, and the residue was dried in a foamy state using a vacuum oil pump to give a total of 14.00 g of pure VP-U-4 product. 1H NMR (400 MHz, DMSO-d6) δ 7.96 (d, J = 7.8 Hz, 1H), 7.64 (dtd, J = 5.1, 4.0, 2.2 Hz, 4H) , 7.41 - 7.30 (m, 6H), 6.82 - 6.71 (m, 2H), 5.90 (ddd, J = 25.9, 15.0, 1.0 Hz, 1H) , 5.73 (d, J = 7.6 Hz, 1H), 4.36 - 4.21 (m, 3H), 4.18 (t, J = 4.9 Hz, 1H), 4.05 ( ddq, J = 9.7, 8.5, 6.9 Hz, 2H), 3.87 (t, J = 4.8 Hz, 1H), 3.39 (s, 3H), 1.32 (td , J = 6.9, 0.7 Hz, 6H), 1.05 (s, 8H). MS m/z: C31H42N2O8PSi, [M+H]+, calculated: 629.24, measured: 629.51.
(14-3) Синтез VP-U-5.(14-3) Synthesis of VP-U-5.
VP-U-4 (14,00 г, 22,29 ммоль) растворяли в 100 мл тетрагидрофурана, добавляли тригидрофторид триэтиламина (17,96 г, 111,45 ммоль) и перемешивали при комнатной температуре в течение 20 часов, чтобы они полностью прореагировали. Неочищенный продукт получали путем непосредственного выпаривания растворителя досуха с последующим растворением в дихлорметане и выпариванием досуха дважды, с использованием 50 мл дихлорметана. Неочищенный продукт очищали, применяя нормально-фазовую колонку с силикагелем, 200 - 300 меш. Колонку заполняли петролейным эфиром и элюировали градиентом петролейный эфир:этилацетат:дихлорметан:метанол = 1:1:1:0,05 - 1:1:1:0,25. Элюат собирали, растворитель выпаривали при пониженном давлении и сушили остаток во вспененном состоянии с помощью вакуумного масляного насоса с получением всего 6,70 г чистого продукта VP-U-5. 1H ЯМР (400 МГц, ДМСО-d6) δ 7,96 (d, J = 7,8 Гц, 1H), 6,77 (dd, J = 15,0, 6,2 Гц, 1H), 5,99 - 5,82 (m, 2H), 5,73 (d, J = 7,6 Гц, 1H), 5,27 (d, J = 5,1 Гц, 1H), 5,10 (dd, J = 5,3, 4,7 Гц, 1H), 4,29 (ddq, J = 9,8, 8,6, 7,0 Гц, 2H), 4,17 (ddd, J = 6,2, 5,2, 1,0 Гц, 1H), 4,12 - 3,98 (m, 3H), 3,39 (s, 2H), 1,32 (td, J = 6,9, 0,6 Гц, 6H). МС m/z: C15H24N2O8P, [M+H]+, рассчитанное: 391,13, измеренное: 391,38.VP-U-4 (14.00 g, 22.29 mmol) was dissolved in 100 ml of tetrahydrofuran, triethylamine trihydrofluoride (17.96 g, 111.45 mmol) was added and stirred at room temperature for 20 hours to completely react . The crude product was obtained by direct evaporation of the solvent to dryness, followed by dissolution in dichloromethane and evaporation to dryness twice, using 50 ml of dichloromethane. The crude product was purified using a normal phase silica gel column, 200-300 mesh. The column was filled with petroleum ether and eluted with a gradient of petroleum ether:ethyl acetate:dichloromethane:methanol = 1:1:1:0.05 - 1:1:1:0.25. The eluate was collected, the solvent was evaporated under reduced pressure, and the residue was dried in a foamy state using a vacuum oil pump to give a total of 6.70 g of pure VP-U-5 product. 1H NMR (400 MHz, DMSO-d6) δ 7.96 (d, J = 7.8 Hz, 1H), 6.77 (dd, J = 15.0, 6.2 Hz, 1H), 5.99 - 5.82 (m, 2H), 5.73 (d, J = 7.6 Hz, 1H), 5.27 (d, J = 5.1 Hz, 1H), 5.10 (dd, J = 5.3, 4.7 Hz, 1H), 4.29 (ddq, J = 9.8, 8.6, 7.0 Hz, 2H), 4.17 (ddd, J = 6.2, 5, 2, 1.0 Hz, 1H), 4.12 - 3.98 (m, 3H), 3.39 (s, 2H), 1.32 (td, J = 6.9, 0.6 Hz, 6H ). MS m/z: C15H24N2O8P, [M+H]+, calculated: 391.13, measured: 391.38.
(14-4) Синтез VP-U-6.(14-4) Synthesis of VP-U-6.
[371] VP-U-5 (391 мг, 1,0 ммоль), пиридин трифторацетат (0,232 г, 1,2 ммоль), N-метилимидазол (0,099 г, 1,2 ммоль) и 2-цианоэтил-N,N,N',N'-тетраизопропилфосфородиамидит (0,452 г, 1,5 ммоль) добавляли в 10 мл безводного дихлорметана в атмосфере аргона для проведения реакции в течение 5 часов при перемешивании при комнатной температуре. Растворитель выпаривали досуха, а затем остаток очищали с помощью колоночной хроматографии (нормально-фазовый силикагель, 200 - 300 меш, с элюированием градиентом дихлорметан: ацетонитрил (содержащий 0,5 % по массе триэтиламина) = 3:1 - 1:3). Элюат собирали и концентрировали, чтобы удалить растворитель, с получением всего 508 мг целевого продукта VP-U-6. 31P ЯМР (161 МГц, ДМСО-d6) δ 150,34, 150,29, 17,07, 15,50. МС m/z: C24H41N4O9P2, [M+H]+, рассчитанное: 591,23, измеренное: 591,55. Это свидетельствует о том, что VP-U-6 представляет собой целевой продукт VP-Um, который участвует в синтезе цепей РНК в качестве мономера нуклеозида.[371] VP-U-5 (391 mg, 1.0 mmol), pyridine trifluoroacetate (0.232 g, 1.2 mmol), N-methylimidazole (0.099 g, 1.2 mmol) and 2-cyanoethyl-N,N ,N',N'-tetraisopropylphosphorodiamidite (0.452 g, 1.5 mmol) was added to 10 ml of anhydrous dichloromethane under argon to carry out the reaction for 5 hours with stirring at room temperature. The solvent was evaporated to dryness and then the residue was purified by column chromatography (normal phase silica gel, 200-300 mesh, eluting with a dichloromethane:acetonitrile gradient (containing 0.5% by weight triethylamine)=3:1-1:3). The eluate was collected and concentrated to remove the solvent, giving a total of 508 mg of the desired product VP-U-6. 31P NMR (161 MHz, DMSO-d6) δ 150.34, 150.29, 17.07, 15.50. MS m/z: C24H41N4O9P2, [M+H]+, calculated: 591.23, measured: 591.55. This indicates that VP-U-6 is the target product of VP-Um, which is involved in the synthesis of RNA chains as a nucleoside monomer.
[372] Модификацию 5'-фосфатным эфиром присоединяли к 5'-концу с применением следующего способа.[372] The 5'-phosphate ester modification was attached to the 5' end using the following method.
[373] В качестве исходного материала использовали фосфорилированный структурный мономер со следующей структурой формулы CPR-I (приобретали в Suzhou GenePharma Inc. под номером в каталоге13-2601-XX):[373] A phosphorylated structural monomer with the following structure of formula CPR-I was used as a starting material (purchased from Suzhou GenePharma Inc. under catalog number 13-2601-XX):
(CPR-I)(CPR-I)
[374] После того как присоединили все нуклеозиды антисмысловой цепи, мономер формулы (CPR-I) присоединяли к 5'-концу антисмысловой цепи с помощью четырехэтапной реакции снятия защитных групп, сочетания, кэпирования и окисления в соответствии со способом фосфорамидитного твердофазного синтеза нуклеиновой кислоты, с последующим отщеплением и снятием защитных групп в соответствии с описанными ниже условиями, таким образом получая антисмысловую цепь.[374] After all the nucleosides of the antisense strand were attached, the monomer of formula (CPR-I) was attached to the 5' end of the antisense strand by a four step deprotection, coupling, capping and oxidation reaction according to the phosphoramidite solid phase nucleic acid synthesis method, followed by cleavage and deprotection according to the conditions below, thus obtaining an antisense strand.
[375] Синтезированную последовательность нуклеотидов, связанную с подложкой, добавляли в 25 % по массе водного аммиака для проведения реакции в течение 16 часов при 55°C, и количество водного аммиака составляло 0,5 мл/мкмоль относительно последовательности нуклеотидов. Жидкость удаляли и остаток концентрировали в вакууме досуха. После обработки водным аммиаком продукт растворяли в N-метилпирролидоне в количестве 0,4 мл/мкмоль, а затем добавляли 0,3 мл/мкмоль триэтиламина и 0,6 мл/мкмоль тригидрофторида триэтиламина, относительно количества одноцепочечной нуклеиновой кислоты, тем самым удаляя защиту 2'-TBDMS на рибозе. Очистка и обессоливание: очистку нуклеиновой кислоты проводили, применяя колонку для препаративной ионообменной хроматографии (Source 15Q) с элюированием градиентом NaCl. В частности, элюент A: 20 мМ фосфат натрия (pH 8,1), растворитель: вода/ацетонитрил = 9:1 (в объемном отношении); элюент B: 1,5 М хлорид натрия, 20 мМ фосфат натрия (pH 8,1), растворитель: вода/ацетонитрил = 9:1 (в объемном отношении); градиент элюирования: отношение элюент A: элюент B = 100:0 - 50:50. Элюат собирали, объединяли и обессоливали, применяя колонку для обращенно-фазовой хроматографии. Особенность условий состояла в том, что для обессоливания применяли колонку с сефадексом, причем сефадекс G25 использовали в качестве наполнителя, а деионизированную воду использовали для элюирования.[375] The synthesized nucleotide sequence bound to the substrate was added in 25% by weight aqueous ammonia to react for 16 hours at 55°C, and the amount of aqueous ammonia was 0.5 ml/μmol relative to the nucleotide sequence. The liquid was removed and the residue was concentrated to dryness in vacuo. After treatment with aqueous ammonia, the product was dissolved in N-methylpyrrolidone at 0.4 ml/μmol, and then 0.3 ml/μmol triethylamine and 0.6 ml/μmol triethylamine trihydrofluoride were added, relative to the amount of single-stranded nucleic acid, thereby deprotecting 2 '-TBDMS on ribose. Purification and desalting: Nucleic acid purification was performed using a preparative ion exchange chromatography column (Source 15Q) eluting with a NaCl gradient. In particular, eluent A: 20 mM sodium phosphate (pH 8.1), solvent: water/acetonitrile = 9:1 (v/v); eluent B: 1.5 M sodium chloride, 20 mM sodium phosphate (pH 8.1), solvent: water/acetonitrile = 9:1 (v/v); elution gradient: eluent A: eluent B = 100:0 - 50:50. The eluate was collected, combined and desalted using a reverse phase chromatography column. The peculiarity of the conditions was that a column with Sephadex was used for desalting, with Sephadex G25 being used as a filler, and deionized water was used for elution.
[376] В случае, когда целевой продукт содержал 5'-фосфоротиоатную модификацию, использовали такую же процедуру, как описанная выше, за исключением того, что описанные выше условия реакции окисления заменили на условия реакции сульфирования при присоединении, тем самым проводя реакцию сульфирования.[376] In the case where the target product contained a 5'-phosphorothioate modification, the same procedure as described above was used, except that the above-described oxidation reaction conditions were changed to sulfonation reaction conditions upon addition, thereby carrying out the sulfonation reaction.
[377] Для смысловой цепи и антисмысловой цепи, синтезированных как описано выше, чистоту определяли с помощью ионообменной хроматографии (ИО-ВЭЖХ), молекулярную массу проанализировали с помощью ЖХ/МС и подтвердили, что синтезированная последовательность нуклеиновой кислоты соответствует соответствующим миРНК в примерах и сопоставимых примерах, описанных в таблице 5.[377] For the sense strand and antisense strand synthesized as described above, the purity was determined by ion exchange chromatography (IO-HPLC), the molecular weight was analyzed by LC/MS, and the synthesized nucleic acid sequence was confirmed to correspond to the corresponding siRNAs in the examples and comparable examples described in table 5.
Пример получения 15. Получение остальных конъюгатов, представленных в таблицах 3A - 3G.Preparation Example 15 Preparation of the remaining conjugates shown in Tables 3A - 3G.
[378] В других случаях ожидается, что остальные конъюгаты, представленные в таблицах 3A - 3G, можно получить, применяя такой же способ, как описанный в Примере получения 13, за исключением того, что: 1) в отношении Конъюгатов 31 - 37, 52 - 58, 68 - 74, 84 - 90, 121 - 127 и 146 - 152, Сравнительных конъюгатов 4 - 5, 7 - 8 и 10 - 13, Конъюгирующую молекулу L-9 заменили на Конъюгирующие молекулы 2 - 8 или 12 и Сопоставимые конъюгирующие молекулы 1 - 2, полученные в примерах 2 - 10 или 12 (например, когда Конъюгирующую молекулу L-9 заменили на Конъюгирующую молекулу P-9 (Конъюгирующую молекулу 2)), ожидается, что можно получить конъюгаты 31, 52, 68, 84, 121 и 146, которые пронумерованы как конъюгат P10. Когда Конъюгирующую молекулу L-9 заменяли на Конъюгирующую молекулу R-4 (Конъюгирующую молекулу 3), ожидается, что можно получить конъюгаты 32, 53, 69, 85, 122 и 147, которые пронумерованы как конъюгат R5, и так далее; 2) конъюгированные миРНК имеют последовательности, представленные в таблицах 3A - 3G, соответствующие конъюгатам 10 - 15, 19 - 23, 27 - 41, 44 - 61, 63 - 77, 79 - 104, 106 - 108, 110, 112 - 114, 116 - 141 и 143 - 152 и сравнительным конъюгатам 4 - 5, 7 - 8 и 10 - 17; 3), если присутствует фосфоротиоатная связь между двумя нуклеотидами в целевой последовательности, то этап реакции сульфирования, описанный в Примере получения 13, используют для замены этапа реакции окисления во время соединения последнего из двух нуклеотидов; и 4) если 2'-положения всех нуклеотидов в целевой последовательности представляют собой модифицированные гидрокси-группы, то этап удаления защиты 2'-TBDMS на рибозе не включали в условия отщепления и снятия защитных групп. Следовательно, ожидается, что можно получить конъюгаты 10 - 15, 19 - 23, 27 - 41, 44 - 61, 63 - 77, 79 - 104, 106 - 108, 110, 112 - 114, 116 - 141 и 143 - 152 и сравнительные конъюгаты 4 - 5, 7 - 8 и 10 - 17, и указанные конъюгаты были пронумерованы отдельно в соответствии с таблицами 3A - 3G. Конъюгаты согласно настоящему описанию представлены формулами (3), (4), (7), (12), (13), (14), (15), (21) и (22), соответственно, и сравнительные конъюгаты представлены формулами (901) и (902), соответственно:[378] In other cases, it is expected that the remaining conjugates presented in tables 3A - 3G can be obtained using the same method as described in Preparation Example 13, except that: 1) in relation to Conjugates 31 - 37, 52 - 58, 68 - 74, 84 - 90, 121 - 127 and 146 - 152, Comparative conjugates 4 - 5, 7 - 8 and 10 - 13, Conjugate molecule L-9 was changed to Conjugate molecules 2 - 8 or 12 and
Формула (901)Formula (901)
Формула (902)Formula (902)
где Nu представляет собой миРНК в сравнительных конъюгатах 4 - 5, 7 - 8 и 10 - 13.where Nu is the siRNA in comparative conjugates 4-5, 7-8 and 10-13.
Пример получения 16. Синтез сравнительных конъюгатов 6 и 9.Production Example 16 Synthesis of
[379] Сравнительные конъюгаты 6 и 9 синтезировали, применяя FIN-2, полученный на описанном выше этапе (11-3). Условия твердофазного синтеза РНК и снятия защитных групп такие же, как и для твердофазного синтеза нуклеиновой кислоты, описанного на упомянутом выше этапе (11-2). Единственное различие состоит в том, что FIN_FIN_FIN сначала конъюгировали с 3'-концом смысловой цепи РНК посредством трех циклов реакции с FIN-2 с последующим твердофазным синтезом с применением универсальной твердофазной подложки (твердофазные подложки NittoPhase®HL с нагруженным UnyLinker™).[379]
[380] Присоединение конъюгирующей группы FIN_FIN_FIN осуществляли в соответствии со способом, описанным в Rajeev и др., Chem Bio Chem 2015, 16, 903-908. В частности, сначала удаляли защитную группу для гидрокси с упомянутой выше универсальной твердофазной подложки, и твердофазную подложку впоследствии приводили в контакт и соединяли с конъюгирующей молекулой FIN-2 при условиях реакции сочетания и с помощью агента реакции сочетания, и конъюгирующую молекулу FIN, соединенную с твердофазной подложкой, получали после реакции кэпирования и окисления. Более того, защитную группу для гидрокси DMTr удаляли с конъюгирующей молекулы FIN, соединенной с твердофазной подложкой, и твердофазную подложку дополнительно приводили в контакт и соединяли с другой конъюгирующей молекулой FIN-2, с последующей реакцией кэпирования и окисления. После еще одного дополнительного цикла снятия защитных групп-сочетания-кэпирования-окисления, присоединяли третью конъюгирующую молекулу FIN-2, и таким образом получали конъюгирующую группу (FIN_FIN_FIN), соединенную с твердофазной подложкой. После этого, начиная с конъюгирующей группы, соединенной с твердофазной подложкой, последовательно присоединяли мономеры нуклеотидов и, наконец, получали смысловую цепь РНК с конъюгирующей группой (FIN_FIN_FIN), конъюгированной с 3'-концом.[380] The attachment of the FIN_FIN_FIN conjugating group was performed according to the method described in Rajeev et al.,
[381] В описанных выше реакциях условия, растворители и агенты снятия защитных групп, сочетания, кэпирования и окисления соответствуют таковым для твердофазного синтеза РНК, описанного на этапе (11-2).[381] In the reactions described above, the conditions, solvents and deprotecting, coupling, capping and oxidizing agents are those of the solid phase RNA synthesis described in step (11-2).
[382] Затем расщепление и снятие защитных групп, очистку и обессоливание, детектирование, и отжиг проводили с помощью такого же способа, как описанный в Примере получения 12, чтобы, наконец, получить сравнительные конъюгаты 6 и 9 (иногда далее в данной заявке также просто называют конъюгатами FIN). Молекулярную массу измеряли с помощью устройства для ЖХ/МС (приобретали в Waters Corp., модель: LCT Premier). Подтвердили, что синтезированный конъюгат FIN-siHBa1M1SP представляет собой целевое разработанное соединение, поскольку измеренные значения соответствуют теоретическим значениям. Его структура представляет собой структуру, представленную формулой (903):[382] Then, cleavage and deprotection, purification and desalting, detection, and annealing were carried out using the same method as described in Preparation Example 12 to finally obtain
Формула (903)Formula (903)
где Nu представляет собой миРНК в сравнительных конъюгатах 6 или 9.where Nu is the siRNA in
[383] После получения описанных выше конъюгатов, их лиофилизировали с получением твердого порошка с помощью стандартного процесса и хранили до момента применения. Когда потребуется, их можно растворить, например, с помощью воды для инъекций или нормального солевого раствора, с получением раствора с необходимой концентрацией.[383] After obtaining the conjugates described above, they were lyophilized to obtain a solid powder using a standard process and stored until use. When required, they can be dissolved, for example, with water for injection or normal saline, to obtain a solution with the desired concentration.
Экспериментальный пример 1. В данном эксперименте проиллюстрирована токсичность конъюгатов миРНК согласно настоящему описанию.Experimental Example 1 This experiment illustrates the toxicity of siRNA conjugates as described herein.
[384] Конъюгат 24 вводили подкожно каждой мыши C57BL/6J, соответственно, при этом разовая доза составляла 100 мг/кг или 200 мг/кг (по миРНК, в виде 0,9 % по массе водного раствора NaCl, каждой вводили 10 мл/кг при концентрации 10 мг/мл или 20 мг/мл). В течение периода введения при непрерывном наблюдении не происходила гибель животного, не наблюдали клинических симптомов, связанных с нежелательными ответами на лекарственное средство, и не были выявлены отклонения от нормы при анализе клинической патологии или патологоанатомического исследования, оба из которых проводили через 24 ч после введения. Таким образом, представленные выше результаты свидетельствуют об относительно низкой токсичности конъюгатов согласно настоящему описанию на уровне животных.[384]
Экспериментальный пример 2. В данном эксперименте проиллюстрирована стабильность конъюгатов согласно настоящему описанию.Experimental Example 2 This experiment illustrates the stability of the conjugates as described herein.
Экспериментальный пример 2-1. Стабильность в лизате лизосом in vitro.Experimental Example 2-1. Stability in lysosome lysate in vitro.
[385] Конъюгаты 24, 25, 42, 43, 62, 78 и Сопоставимую последовательность 1 (каждый предложен в 0,9% по массе водном растворе NaCl при концентрации 20 мкМ в отношении миРНК, 12 мкл для каждой группы, соответственно) отдельно хорошо смешивали с 27,2 мкл водного раствора цитрата натрия (pH 5,0), 4,08 мкл деионизированной воды и 2,72 мкл тритосом крысы (приобретали в Xenotech Inc., кат. R0610LT, № 1610069, в конечной концентрации 0,2 мЕд./мкл) и инкубировали при постоянной температуре, равной 37°C. 5 мкл образцов отбирали в каждый момент времени 0 ч, 5 мин, 15 мин, 30 мин, 1 ч, 2 ч, 4 ч и 8 ч, соответственно, каждый добавляли в 15 мкл 9 М водного раствора мочевины для денатурации, добавляли 4 мкл загрузочного буфера (приобретали в Solarbio Inc., кат. № 20160830), затем незамедлительно криоконсервировали в морозильной камере при -80°C, чтобы погасить реакцию. 0 ч представляет собой момент времени, когда образцы хорошо смешивали с лизатом лизосом и незамедлительно вынимали. Образцы, не обработанные лизатом лизосом, 1,5 мкл для каждого из конъюгатов, описанных выше, в равных молях (20 мкМ) хорошо смешивали с 7,5 мкл водного раствора цитрата натрия (pH 5,0) и 1 мкл деионизированной воды, каждый из них добавляли в 15 мкл 9 М водного раствора мочевины для денатурации, добавляли 4 мкл загрузочного буфера (приобретали в Solarbio Inc., кат. № 20160830), затем незамедлительно криоконсервировали в морозильной камере при -80°C, чтобы погасить реакцию. Контрольные образцы для каждого конъюгата обозначали Контр. на электрофореграмме. Получали 16 % по массе неденатурирующий полиакриламидный гель. Каждый криоконсервированный образец целиком смешивали с 4 мкл загрузочного буфера (приобретали в Solarbio Inc., водный раствор 20 мМ ЭДТА, 36% по массе глицерина и 0,06 % по массе бромфенолового синего), а затем 20 мкл смеси загружали на гель для проведения электрофореза в течение 10 минут при 20 мА, а затем 30 минут при 40 мА. После окончания электрофореза гель окрашивали красителем Gelred (BioTium, кат. № 13G1203) в течение 10 минут, а затем визуализировали. Результаты представлены на фиг. 1A. Сопоставимая последовательность 1 представлена далее: смысловая: 5'-CCUUGAGGCAUACUUCAAA-3' (SEQ ID NO: 250); антисмысловая цепь: 5'-UUUGAAGUAUGCCUCAAGGUU-3' (SEQ ID NO: 251).[385]
[386] Следуя такому же способу, измеряли стабильность конъюгатов 105, 109, 111 и 115 в течение 6 часов, и результат представили на фиг. 1B.[386] Following the same method, the stability of
[387] На фиг. 1A и 1B представлен полуколичественный результат анализа стабильности конъюгатов миРНК в тритосоме in vitro. Продемонстрировали, что конъюгаты согласно настоящему описанию могут оставаться недеградированными в течение длительного времени в тритосоме, проявляя хорошую стабильность.[387] FIG. 1A and 1B show a semi-quantitative result of an in vitro tritosome stability assay of siRNA conjugates. It has been demonstrated that the conjugates according to the present disclosure can remain undegraded for a long time in the tritosome, showing good stability.
Экспериментальный пример 2-2. Стабильность в плазме человека in vitro.Experimental Example 2-2. Stability in human plasma in vitro.
[388] Конъюгаты 24, 25, 42, 43, 62, 78 и Сопоставимую последовательность 1 (каждый предложен в 0,9% по массе водном растворе NaCl при концентрации 20 мкМ в отношении миРНК, 12 мкл для каждой группы) отдельно хорошо смешивали с 108 мкл 90% плазмы человека (разбавленной в ФБР) и инкубировали при постоянной температуре, равной 37°C. 10 мкл образцов отбирали в каждый момент времени 0 ч, 2 ч, 4 ч, 6 ч, 8 ч, 24 ч, 48 ч и 72 ч, соответственно, и незамедлительно замораживали в жидком азоте и криоконсервировали в морозильной камере при -80°C для дальнейшего применения. Тем временем, каждый из описанных выше конъюгатов в равных молях (2 мкМ, 2 мкл) хорошо смешивали с 8 мкл 1x ФБР, тем самым получая 10 мкл образцов, не обработанных плазмой человека (обозначены Контр.) Получали 20% по массе неденатурирующий полиакриламидный гель. Каждый криоконсервированный образец целиком смешивали с 4 мкл загрузочного буфера (водный раствор 20 мМ ЭДТА, 36 % по массе глицерина и 0,06 % по массе бромфенолового синего), а затем загружали на гель для проведения электрофореза в течение 60 минут при постоянном токе 80 мА. После окончания электрофореза гель окрашивали 1x красителем Sybr Gold (Invitrogen, кат. № 11494) в течение 15 минут, а затем визуализировали. Результаты представлены на фиг. 2A. Сопоставимая последовательность 1 представлена далее: смысловая: 5'-CCUUGAGGCAUACUUCAAA-3' (SEQ ID NO: 250); антисмысловая цепь: 5'-UUUGAAGUAUGCCUCAAGGUU-3' (SEQ ID NO: 251).[388]
[389] Следуя такому же способу измеряли стабильность конъюгатов 105, 109, 111 и 115 в течение 72 часов и результаты представили на фиг. 2B.[389] Following the same method, the stability of
[390] На фиг. 2A и 2B представлен полуколичественный результат анализа стабильности исследованных конъюгатов миРНК в плазме человека in vitro. Продемонстрировали, что в плазме человека конъюгаты согласно настоящему описанию остаются недеградированными в течение до 72 часов, проявляя хорошую стабильность в плазме человека.[390] FIG. 2A and 2B show a semi-quantitative result of an in vitro stability analysis of the studied siRNA conjugates in human plasma. In human plasma, the conjugates of the present disclosure have been shown to remain undegraded for up to 72 hours, showing good stability in human plasma.
Экспериментальный пример 2-3. Стабильность в плазме обезьяны in vitro.Experimental example 2-3. Stability in monkey plasma in vitro.
[391] Конъюгаты 24, 25, 42, 43, 62, 78 и Сопоставимую последовательность 2 (каждый предложен в 0,9% по массе водном растворе NaCl при концентрации 20 мкМ, соответственно, в отношении миРНК, 12 мкл для каждой группы, причем Сопоставимая последовательность 2 представляет собой миРНК со смысловой цепью, имеющей последовательность, представленную в SEQ ID NO: 80, и антисмысловой цепью, имеющей последовательность, представленную в SEQ ID NO: 81, при этом она не конъюгирована с какой-либо конъюгирующей молекулой) отдельно хорошо смешивали с 108 мкл 90% плазмы яванского макака (Плазма обезьяны, приобретенная у HONGQUAN Bio, кат. № HQ70082, разбавленная в ФБР) и инкубировали при постоянной температуре, равной 37°C. 10 мкл образцов отбирали в каждый момент времени 0 ч, 2 ч, 4 ч, 6 ч, 8 ч, 24 ч, 48 ч и 72 ч, соответственно, и незамедлительно замораживали в жидком азоте и криоконсервировали в морозильной камере при -80°C. После отбора образцов в каждый момент времени каждый образец разбавляли в 5 раз 1×ФБР (pH 7,4), а затем брали в объеме 10 мкл для дальнейшего применения. Тем временем, каждый из описанных выше конъюгатов в равных молях (2 мкМ, 2 мкл) хорошо смешивали с 8 мкл 1x ФБР, тем самым получая 10 мкл образцов, не обработанных плазмой обезьяны (обозначены Контр.). Получали 20% по массе неденатурирующий полиакриламидный гель. Каждый из разбавленных образцов целиком смешивали с 4 мкл загрузочного буфера (водный раствор 20 мМ ЭДТА, 36 % по массе глицерина и 0,06 % по массе бромфенолового синего), а затем загружали на гель для проведения электрофореза в течение 60 минут при постоянном токе 80 мА. После окончания электрофореза гель окрашивали 1x красителем Sybr Gold (Invitrogen, кат. № 11494) в течение 15 минут, а затем визуализировали. Результаты представлены на фиг. 3A.[391]
[392] Стабильность конъюгатов 105, 109, 111 и 115 в течение 72 часов измеряли, следуя такому же способу, и результат представили на фиг. 3B.[392] The stability of
[393] На фиг. 3A и 3B представлен полуколичественный результат анализа стабильности исследованных конъюгатов миРНК в плазме обезьяны in vitro. Продемонстрировали, что в плазме яванского макака конъюгаты согласно настоящему описанию остаются недеградированными в течение до 72 часов, проявляя хорошую стабильность в плазме обезьяны.[393] FIG. 3A and 3B show a semi-quantitative result of in vitro monkey plasma stability analysis of the studied siRNA conjugates. In cynomolgus monkey plasma, the conjugates of the present disclosure have been shown to remain undegraded for up to 72 hours, showing good stability in monkey plasma.
Экспериментальный пример 3. В данном эксперименте проиллюстрирована фармакокинетика конъюгатов 24 и 25 у крыс in vivo.Experimental Example 3 This experiment illustrates the pharmacokinetics of
[394] В данном экспериментальном примере Конъюгаты 24 и 25 вводили крысам в каждой экспериментальной группе (10 крыс в каждой группе, половина самок и половина самцов) путем подкожной инъекции, соответственно, при этом разовая доза составляла 10 мг/кг и 50 мг/кг. Затем концентрацию лекарственного средства в плазме, ткани печени и почки крыс измеряли в каждый момент времени.[394] In this experimental example, Conjugates 24 and 25 were administered to rats in each experimental group (10 rats in each group, half female and half male) by subcutaneous injection, respectively, with a single dose of 10 mg/kg and 50 mg/kg . Then the drug concentration in plasma, liver tissue and kidney of rats was measured at each time point.
[395] Сначала крыс SD произвольно делили на группы в соответствии с их массой тела и полом, используя систему данных PRISTIMA 7.2.0, а затем, соответственно, вводили конъюгаты в соответствии с разработанной дозировкой. Дозировки лекарственного средства для всех животных рассчитывали в соответствии с массой тела. Разовую дозу вводили подкожно, при этом дозировка составляла 10 мг/кг и 50 мг/кг, соответственно, в виде 1 мг/мл и 5 мг/мл 0,9% водного раствора NaCl и в объеме 10 мл/кг. Цельную кровь крыс собирали из яремной вены перед введением и через 5 минут (±30 секунд), 30 минут (±1 минута), 1 час (±2 минуты), 2 часа (±2 минуты), 6 часов (±5 минут), 24 часа (±10 минут), 48 часов (±20 минут), 72 часа (±20 минут), 120 часов (±30 минут) и 168 часов (±30 минут) после введения. Затем образцы цельной крови центрифугировали при 2 - 8°C при 1800 x g в течение 10 минут, чтобы отделить плазму. Приблизительно 70 мкл объем образца плазмы помещали в одну пробирку, а оставшуюся часть того же образца помещали в другую, обе из которых криоконсервировали при от -70°C до -86°C для контроля. Ткани печени и почки крыс собирали приблизительно через 24, 48, 72, 120 и 168 часов после введения с помощью способа, включающего обезболивание крыс с помощью пентобарбитала натрия в соответствии с их массой тела (путем интраперитонеальной инъекции 60 мг/кг), умерщвление крыс путем сбора крови из брюшной аорты и проведение патологоанатомического исследования. Из печени и почки каждой крысы брали образец и хранили в криопробирке емкостью 1 мл при температуре ниже -68°C до момента измерения и анализа.[395] First, SD rats were randomly divided into groups according to their body weight and sex using the PRISTIMA 7.2.0 data system, and then, respectively, the conjugates were administered according to the developed dosage. Drug dosages for all animals were calculated according to body weight. A single dose was administered subcutaneously, the dosage was 10 mg/kg and 50 mg/kg, respectively, as 1 mg/ml and 5 mg/ml of 0.9% aqueous NaCl solution and in a volume of 10 ml/kg. Whole blood of rats was collected from the jugular vein before and after 5 minutes (±30 seconds), 30 minutes (±1 minute), 1 hour (±2 minutes), 2 hours (±2 minutes), 6 hours (±5 minutes) , 24 hours (±10 minutes), 48 hours (±20 minutes), 72 hours (±20 minutes), 120 hours (±30 minutes) and 168 hours (±30 minutes) after administration. Whole blood samples were then centrifuged at 2-8°C at 1800 x g for 10 minutes to separate plasma. Approximately 70 μl volume of plasma sample was placed in one tube and the remainder of the same sample was placed in another, both of which were cryopreserved at -70°C to -86°C for control. Liver and kidney tissues of rats were collected approximately 24, 48, 72, 120 and 168 hours after administration using a method involving analgesia of rats with sodium pentobarbital according to their body weight (by intraperitoneal injection of 60 mg/kg), killing rats by collecting blood from the abdominal aorta and conducting a pathoanatomical study. A sample was taken from the liver and kidney of each rat and stored in a 1 ml cryovial at a temperature below -68°C until measurement and analysis.
[396] Концентрации конъюгатов 24 и 25 в плазме, ткани печени и почки крыс количественно измеряли с помощью высокоэффективной жидкостной хроматографии с флуориметирическим детектором (ВЭЖХ-ФЛД) в соответствии со следующими этапами:[396] The concentrations of
(1) перемалывание до тех пор, пока не получат кусочки ткани массой не более 80 мг, затем добавление раствора для лизирования тканей и клеток (поставщик: Epicentre, кат. № MTC096H) с получением гомогената ткани при концентрации 66,7 мг/мл;(1) grinding until tissue pieces weighing no more than 80 mg are obtained, then adding tissue and cell lysing solution (supplier: Epicentre, cat. no. MTC096H) to obtain a tissue homogenate at a concentration of 66.7 mg/ml;
(2) обработку гомогената ткани ультразвуком (150 Вт, 30 с), чтобы разрушить клетки;(2) sonicating the tissue homogenate (150 W, 30 s) to disrupt the cells;
(3) для каждой группы образцов ткани, добавление 75 мкл образцов ткани в 96-луночный планшет для ПЦР, добавление 5 мкл протеиназы K (поставщик: Invitrogen, кат. № 25530-015) и 10 мкл смешанного водного раствора 10% по массе ацетонитрила и 0,01% по массе твин 20;(3) for each group of tissue samples, add 75 µl of tissue samples to a 96-well PCR plate, add 5 µl of proteinase K (supplier: Invitrogen, cat. no. 25530-015) and 10 µl of a mixed aqueous solution of 10% w/w acetonitrile and 0.01% by
для каждой группы образцов плазмы, добавление 20 мкл плазмы в 96-луночный планшет для ПЦР, добавление 45 мкл раствора для лизирования тканей и клеток, 5 мкл протеиназы K и 20 мкл смешанной жидкости 10% по массе ацетонитрила и 0,01% по массе твин 20;for each group of plasma samples, adding 20 µl of plasma to a 96-well PCR plate, adding 45 µl of tissue and cell lysing solution, 5 µl of proteinase K and 20 µl of a mixed liquid of 10 wt% acetonitrile and 0.01
(4) закупоривание планшетов, помещение их в устройство для ПЦР (поставщик: Applied Biosystems, модель: Система ПЦР GeneAmp® 9700) и инкубация при 65°C в течение 45 минут;(4) plugging the plates, placing them in a PCR machine (supplier: Applied Biosystems, Model: GeneAmp® 9700 PCR System) and incubating at 65° C. for 45 minutes;
(5) после окончания инкубации, добавление 10 мкл 3 М водного раствора KCl (поставщик: Sigma-aldrich, кат. № 60135-250ML), тщательное встряхивание и центрифугирование при 3200 rcf при 4°C в течение 15 минут;(5) after the end of the incubation, add 10 µl of 3 M aqueous KCl solution (supplier: Sigma-aldrich cat. no. 60135-250ML), shake well and centrifuge at 3200 rcf at 4°C for 15 minutes;
(6) для каждой группы образцов ткани, добавление 80 мкл супернатанта в 120 мкл гибридизационной смеси (состав: 0,5 мл 6 мкМ ПНК-зонда (поставщик: TAHE-PNA), 1 мл 200 мМ Trizma/pH = 8, 5 мл 8 М водного раствора мочевины, 3,5 мл H2O, 2 мл ацетонитрила);(6) for each group of tissue samples, add 80 µl of supernatant to 120 µl of hybridization mixture (composition: 0.5 ml of 6 µM PNA probe (supplier: TAHE-PNA), 1 ml of 200 mM Trizma/pH = 8.5 ml 8 M aqueous urea solution, 3.5 ml H2 O, 2 ml acetonitrile);
для каждой группы образцов плазмы, добавление 40 мкл супернатанта в 160 мкл гибридизационной смеси (состав: 0,5 мл 6 мкМ ПНК-зонда, 1 мл 200 мМ Trizma/pH = 8, 5 мл 8 М водного раствора мочевины, 7,5 мл H2O, 2 мл ацетонитрила);for each group of plasma samples, adding 40 µl of supernatant to 160 µl of hybridization mixture (composition: 0.5 ml of 6 µM PNA probe, 1 ml of 200 mM Trizma/pH = 8.5 ml of 8 M urea aqueous solution, 7.5 ml H2 O, 2 ml acetonitrile);
(7) закупоривание планшетов и помещение их в устройство ПЦР, инкубация при 95°C в течение 15 минут, затем незамедлительное помещение на лед на 5 минут;(7) capping the plates and placing them in the PCR machine, incubating at 95°C for 15 minutes, then immediately placing them on ice for 5 minutes;
(8) перенос образцов в новые 96-луночные планшеты с коническим дном, тщательное встряхивание и центрифугирование при 3200 rcf в течение 1 минуты;(8) transfer samples to new 96-well conical bottom plates, shake well and centrifuge at 3200 rcf for 1 minute;
(9) ввод образцов для измерения и количественного анализа с применением ВЭЖХ-ФЛД (поставщик жидкофазной системы: Thermo Fisher, модель хроматографа: Ultimate 3000).(9) introducing samples for measurement and quantification using HPLC-FLD (liquid phase system supplier: Thermo Fisher, chromatograph model: Ultimate 3000).
[397] Результаты анализа можно найти на фиг. 4 - 11. На фиг. 4 - 7 показаны метаболические профили в динамике ФК/ТК концентраций в плазме крыс и ФК/ТК концентраций в ткани печени и почки крыс для Конъюгата 24, соответственно; На фиг. 8 - 11 показаны метаболические профили в динамике ФК/ТК концентраций в плазме крысы и ФК/ТК концентраций в ткани печени и почки крысы для Конъюгата 25, соответственно. В частности:[397] The results of the analysis can be found in FIG. 4-11. In FIG. 4-7 show metabolic profiles over time of rat plasma PK/TK and rat liver and kidney PK/TK for
На фиг. 4 представлен метаболический профиль в динамике, показывающий ФК/ТК концентраций в плазме крысы для Конъюгата 24 при дозировке 10 мг/кг.In FIG. 4 is a metabolic profile over time showing PK/TK rat plasma concentrations for
На фиг. 5 представлен метаболический профиль в динамике, показывающий ФК/ТК концентраций в тканях для Конъюгата 24 в печени и почке крысы при дозировке 10 мг/кг.In FIG. 5 is a metabolic profile over time showing PK/TK tissue concentrations for
На фиг. 6 представлен метаболический профиль в динамике, показывающий ФК/ТК концентраций в плазме крысы для Конъюгата 24 при дозировке 50 мг/кг.In FIG. 6 is a metabolic profile over time showing PK/TK rat plasma concentrations for
На фиг. 7 представлен метаболический профиль в динамике, показывающий ФК/ТК концентраций в тканях для Конъюгата 24 в печени и почке крысы при дозировке 50 мг/кг.In FIG. 7 is a metabolic profile over time showing PK/TK tissue concentrations for
На фиг. 8 представлен метаболический профиль в динамике, показывающий ФК/ТК концентраций в плазме крысы для Конъюгата 25 крысы при дозировке 10 мг/кг.In FIG. 8 is a metabolic profile over time showing rat plasma PK/TK concentrations for
На фиг. 9 представлен метаболический профиль в динамике, показывающий ФК/ТК концентраций в тканях для Конъюгата 25 в печени и почке крысы при дозировке 10 мг/кг.In FIG. 9 is a metabolic profile over time showing PK/TK tissue concentrations for
На фиг. 10 представлен метаболический профиль в динамике, показывающий ФК/ТК концентраций в плазме крысы для Конъюгата 25 крысы при дозировке 50 мг/кг.In FIG. 10 is a metabolic profile over time showing rat plasma PK/TK concentrations for
На фиг. 11 представлен метаболический профиль в динамике, показывающий ФК/ТК концентраций в тканях для Конъюгата 25 в печени и почке крысы при дозировке 50 мг/кг.In FIG. 11 is a metabolic profile over time showing PK/TK tissue concentrations for
[398] Как можно видеть по результатам на ФИГ. 4 - 11, концентрации Конъюгатов 24 и 25 в плазме крысы быстро спадали ниже предела обнаружения в течение нескольких часов, тогда как их концентрации поддерживались на относительно стабильном уровне в течение по меньшей мере 168 часов в ткани печени крыс, как при низкой дозировке (10 мг/кг), так и при относительно высокой дозировке (50 мг/кг). Это показывает, что конъюгат миРНК, полученный путем конъюгирования Конъюгирующей молекулы L-9, может специфично и значительно накопиться в печени и оставаться стабильным, проявляя высокую степень нацеливания.[398] As can be seen from the results in FIG. 4-11, the concentrations of
Экспериментальный пример 4. В данном эксперименте продемонстрирован эффект ингибирования целевой мРНК, вызванный конъюгатами, образованными из различных конъюгированных молекул, у мышей C57BL/6J.Experimental Example 4 This experiment demonstrates the inhibitory effect of target mRNA induced by conjugates formed from various conjugated molecules in C57BL/6J mice.
[399] Сначала мышей C57BL/6J (все самки) произвольно делили на группы. Экспериментальные группы были пронумерованы: Конъюгат 158 (5 мышей), Сопоставимый конъюгат 14 (5 мышей) и контрольная группа ФБР (8 мышей), соответственно. Всем животным вводили дозу в соответствии с массой тела, и им подкожно вводили различные разовые дозы 1 мг/кг или 0,1 мг/кг. Объем вводимой дозы составлял 5 мл/кг. Для различных доз конъюгаты растворяли в 0,9% водного раствора хлорида натрия при концентрации 0,2 мг/мл и 0,02 мг/мл. Животных умерщвляли через 72 ч после введения и собирали печень; ткань печени гомогенизовали с помощью гомогенизатора тканей, и общую РНК экстрагировали с помощью RNAVzol (VIGOROUS, партия: 161G) в соответствии со стандартной процедурой экстрагирования общей РНК.[399] First, C57BL/6J mice (all females) were randomly divided into groups. Experimental groups were numbered: Conjugate 158 (5 mice), Comparable Conjugate 14 (5 mice), and PBS control group (8 mice), respectively. All animals were dosed according to body weight, and various single doses of 1 mg/kg or 0.1 mg/kg were administered subcutaneously. The volume of the administered dose was 5 ml/kg. For various doses, the conjugates were dissolved in 0.9% aqueous sodium chloride solution at a concentration of 0.2 mg/ml and 0.02 mg/ml. Animals were sacrificed 72 hours after administration and livers were harvested; liver tissue was homogenized with a tissue homogenizer and total RNA was extracted with RNAVzol (VIGOROUS, lot: 161G) according to standard total RNA extraction procedure.
[400] Уровень экспрессии мРНК TTR в ткани печени детектировали с помощью количественной ПЦР в реальном времени на основе флуоресценции. В частности, экстрагировную общую РНК подвергали обратной транскрипции с получением кДНК, применяя систему для обратной транскрипции (Promega, партия №0000223677, № A3500), следуя инструкциям. Устройство для количественной флуоресцентной ПЦР (ABI step One) затем применяли для детектирования эффективности ингибиторного действия миРНК на экспрессию мРНК mTTR в ткани печени. В данном способе детектирования ген GAPDH использовали в качестве гена внутреннего контроля, и экспрессию mTTR и GAPDH детектировали, применяя праймеры для TTR и праймеры для GAPDH, соответственно.[400] The expression level of TTR mRNA in liver tissue was detected by fluorescence-based quantitative real-time PCR. In particular, the extracted total RNA was subjected to reverse transcription to obtain cDNA using a reverse transcription system (Promega, Lot No. 0000223677, No. A3500) following the instructions. A quantitative fluorescent PCR device (ABI step One) was then used to detect the effectiveness of the inhibitory effect of siRNA on mTTR mRNA expression in liver tissue. In this detection method, the GAPDH gene was used as an internal control gene, and expression of mTTR and GAPDH was detected using TTR primers and GAPDH primers, respectively.
[401] Последовательности детектирующих праймеров представлены в таблице 4.[401] The sequences of the detection primers are shown in Table 4.
Таблица 4. Последовательности детектирующих праймеров.Table 4. Detection primer sequences.
(SEQ ID NO: 187)5'-CCGTCTGTGCCTTCTCATCT-3'
 (SEQ ID NO: 187)
(SEQ ID NO: 188)5'-TAATTCTCCTCCCCCAACTCC-3'
 (SEQ ID NO: 188)
(SEQ ID NO: 189)5'- AGAAGGCTGGGGCTCATTTG- 3'
 (SEQ ID NO: 189)
(SEQ ID NO: 190)5'-AGGGGCCATCCACAGTCTTC-3'
 (SEQ ID NO: 190)
[402] В данном методе ПЦР в реальном времени экспрессия мРНК mTTR выражена в проценте от оставшейся величины экспрессии гена TTR, и ее рассчитывают, как описано далее:[402] In this real-time PCR method, mTTR mRNA expression is expressed as a percentage of the remaining amount of TTR gene expression and is calculated as follows:
Оставшаяся величина экспрессии гена TTR = (число копий гена TTR в тестируемой группе/число копий GAPDH в тестируемой группе)/(число копий гена TTR в контрольной группе/число копий GAPDH в контрольной группе) × 100%Remaining TTR gene expression value = (TTR gene copy number in the test group/GAPDH copy number in the test group)/(TTR gene copy number in the control group/GAPDH copy number in the control group) × 100%
[403] Степень ингибирования мРНК конъюгатом затем рассчитывали в соответствии со следующей формулой:[403] The degree of mRNA inhibition by the conjugate was then calculated according to the following formula:
[404] Коэффициент ингибирования мРНК = (1- оставшаяся величина экспрессии гена TTR) × 100%,[404] mRNA inhibition coefficient = (1 - remaining value of TTR gene expression) × 100%,
[405] Где контрольная группа представляла собой мышей, которым вводили ФБР в данном эксперименте, и каждая тестируемая группа представляла собой группу мышей, которым вводили различные конъюгаты миРНК. Результаты представлены в таблице 5.[405] Wherein the control group was the mice that were injected with PBS in this experiment, and each test group was the group of mice that were injected with different siRNA conjugates. The results are presented in table 5.
Таблица 5. Эффект ингибирования мРНК mTTR у мышей.Table 5. Effect of mTTR mRNA inhibition in mice.
[406] Результат демонстрирует, что несмотря на одинаковые последовательности миРНК и модификации, коэффициент ингибирования целевой мРНК конъюгатом 158 был значительно выше, чем таковой для Сопоставимого конъюгата 14.[406] The result demonstrates that despite the same siRNA sequences and modifications, the coefficient of inhibition of the target mRNA by conjugate 158 was significantly higher than that of
[407] В следующих экспериментальных примерах с 5 по 11 свойства и действия конъюгатов миРНК, представленных в таблицах 3A - 3F, экспериментально проверяли в соответствии с взаимосвязью целевого положения миРНК и последовательности.[407] In the following Experimental Examples 5 to 11, the properties and actions of the siRNA conjugates shown in Tables 3A to 3F were experimentally tested according to the relationship of siRNA target position and sequence.
Экспериментальный пример 5. Эксперимент по проверке действия конъюгатов миРНК, представленных в таблице 3A.Experimental example 5. Experiment to test the action of siRNA conjugates presented in table 3A.
Экспериментальный пример 5-1. Эксперимент по проверке нецелевых действий конъюгата 26.Experimental Example 5-1. Experiment to test the off-target actions of the conjugate 26.
[408] В соответствии со способом, описанным Kumico Ui-Tei и др., Functional dissection of siRNA sequence by systematic DNA substitution: modified siRNA with a DNA seed arm is a powerful tool for mammalian gene silencing with significantly reduced off-target effect. Nucleic Acids Research, 2008, 36(7), 2136-2151, конструировали плазмиды для детектирования и котрансфицировали ими клетки HEK293A совместно с конъюгатами миРНК, которые нужно детектировать; и уровень экспрессии двойного репортерного гена люциферазы измеряли, применяя набор для детектирования двойного репортера люциферазы. Конкретные этапы описаны далее.[408] According to the method described by Kumico Ui-Tei et al., Functional dissection of siRNA sequence by systematic DNA substitution: modified siRNA with a DNA seed arm is a powerful tool for mammalian gene silencing with significantly reduced off-target effect. Nucleic Acids Research, 2008, 36(7), 2136-2151, designed and co-transfected detection plasmids into HEK293A cells with the siRNA conjugates to be detected; and the expression level of the luciferase double reporter gene was measured using a luciferase double reporter detection kit. Specific steps are described below.
[409] Конструирование плазмид для детектирования.[409] Construction of plasmids for detection.
[410] Конструировали четыре рекомбинантные плазмиды, применяя плазмиду psiCHECK™-2 (Promega™), в которой GSCM экспрессировалась как целевая плазмида; и PSCM, GSSM и PSSM экспрессировались как нецелевые плазмиды:[410] Four recombinant plasmids were constructed using psiCHECK™-2 plasmid (Promega™) in which GSCM was expressed as the target plasmid; and PSCM, GSSM and PSSM were expressed as non-target plasmids:
[411] (1) GSCM, содержащая целевую последовательность, целевая последовательность полностью комплементарно спаривается со всеми 21 последовательностями нуклеотидов антисмысловой цепи в конъюгате, который нужно детектировать.[411] (1) A GSCM containing a target sequence, the target sequence is fully complementary paired with all 21 nucleotide sequences of the antisense strand in the conjugate to be detected.
[412] (2) PSCM, содержащая целевую последовательность, целевая последовательность полностью комплементарно спаривается со всеми 21 последовательностями нуклеотидов смысловой цепи в конъюгате, который нужно детектировать.[412] (2) PSCM containing the target sequence, the target sequence is fully complementary paired with all 21 nucleotide sequences of the sense strand in the conjugate to be detected.
[413] (3) GSSM, содержащая целевую последовательность, целевая последовательность полностью комплементарно спаривается с последовательностью нуклеотидов в положениях 1 - 8 с 5'-конца антисмысловой цепи в конъюгате, который нужно детектировать. Последовательность нуклеотидов в положениях 9 - 21 с 5'-конца антисмысловой цепи в конъюгате, который нужно детектировать, комплементарно не совпадает с соответствующей целевой последовательностью. Правило несовпадения: нуклеотид G, C, A или U в любом положении между 9 и 21 с 5'-конца антисмысловой цепи в конъюгате, который нужно детектировать, соответственно, несовпадает с нуклеотидами T, A, C или G в соответствующем положении целевой последовательности.[413] (3) GSSM containing the target sequence, the target sequence is fully complementary paired with the sequence of nucleotides at
[414] (4) PSSM, содержащая целевую последовательность, целевая последовательность полностью комплементарно спаривается с последовательностью нуклеотидов в положениях 1 - 8 с 5'-конца смысловой цепи в конъюгате, который нужно детектировать. Последовательность нуклеотидов в положениях 9 - 21 с 5'-конца смысловой цепи в конъюгате, который нужно детектировать, комплементарно не совпадает с соответствующей целевой последовательностью. Правило несовпадения: нуклеотид G, C, A или U в любом положении между 9 и 21 с 5'-конца смысловой цепи в конъюгате, который нужно детектировать, соответственно, несовпадает с нуклеотидами T, A, C или G в соответствующем положении целевой последовательности.[414] (4) PSSM containing the target sequence, the target sequence is fully complementary paired with the sequence of nucleotides at
[415] Целевую последовательность встраивали в сайт Xho I/Not I плазмиды psiCHECKTM-2.[415] The target sequence was inserted into the Xho I/Not I site of psiCHECKTM -2 plasmid.
[416] Трансфекция.[416] Transfection.
[417] В 96-луночном планшете проводили котрансфекцию миРНК и каждой из описанных выше плазмид, следуя инструкциям к липофектамину LipofectamineTM 2000 (Invitrogen), каждой плазмидой с 11 группами соответствующих миРНК при определенных концентрациях, соответственно. В частности, трансфицировали 10 нг плазмиды на лунку; и конечная концентрация на лунку котрансфицированной миРНК составляла от 100 нМ до 0,0001 нМ (4-кратные серийные разведения), 3 повторные лунки на группу, применяли 0,2 мкл LipofectamineTM 2000 на лунку.[417] In a 96-well plate, siRNA and each of the plasmids described above were co-transfected following the instructions for LipofectamineTM 2000 (Invitrogen), each plasmid with 11 groups of the corresponding siRNAs at specific concentrations, respectively. Specifically, 10 ng of plasmid per well was transfected; and the final concentration per well of co-transfected siRNA was 100 nM to 0.0001 nM (4-fold serial dilutions), 3 replicate wells per group, 0.2 μl of
[418] Детектирование.[418] Detection.
[419] Через 24 часа после котрансфекции клетки HEK293A лизировали, используя набор для анализа двойного репортерного гена люциферазы (Promega, кат. № E2940), в соответствии с инструкцией по применению, для детектирования уровня экспрессии двойного репортерного гена люциферазы. Для каждой тестируемой группы с определенной концентрацией, необработанные конъюгатом образцы использовали в качестве контроля (контр). Уровень белка люциферазы Renilla (Ren) нормировали на уровень белка люциферазы светлячка (светл). Кривые доза-ответ строили по результатам активности, измеренным при различных концентрациях миРНК, и указанные кривые строили, применяя функцию log(ингибитор) относительно ответа - переменный уклон в программном обеспечении Graphpad 5.0, выраженную формулой ниже:[419] 24 hours after co-transfection, HEK293A cells were lysed using the luciferase double reporter gene assay kit (Promega, cat. no. E2940), according to the instructions for use, to detect the expression level of the luciferase double reporter gene. For each test group at a specific concentration, untreated conjugate samples were used as control (counter). The level of Renilla luciferase (Ren) protein was normalized to the level of firefly (light) luciferase protein. Dose-response curves were plotted from activity results measured at various siRNA concentrations, and these curves were plotted using the log(inhibitor) function versus response - variable slope in Graphpad 5.0 software, expressed by the formula below:
гдеWhere
Y представляет собой уровень экспрессии оставшейся мРНК,Y is the expression level of the remaining mRNA,
X представляет собой логарифм концентрации трансфицированной миРНК,X is the logarithm of the concentration of transfected siRNA,
Bot представляет собой значение Y снизу от асимптоты,Bot is the Y value below the asymptote,
Top представляет собой значение Y сверху от асимптоты,Top is the Y value above the asymptote,
LogIC50 представляет собой значение X, при котором Y принимает медианное значение между верхним и нижним от асимптоты, и HillSlope представляет собой уклон кривой.LogIC50 is the X value at which Y is median between the top and bottom of the asymptote, and HillSlope is the slope of the curve.
[420] IC50 конъюгата, которую нужно детектировать, соответствующую GSCM, определяли путем расчета, основанного на кривой доза-эффект, а затем сравнивали с таковой для PSCM, GSSM или PSSM.[420] The IC50 of the conjugate to be detected corresponding to GSCM was determined by calculation based on the dose-response curve and then compared with that of PSCM, GSSM or PSSM.
[421] Для Конъюгата 24 результаты представлены на фигурах 12A - 12D, и значение IC50 конъюгата 24, соответствующее GSCM, рассчитали как 0,0019 нМ; по сравнению с PSCM, GSSM или PSSM, Конъюгат 24 не проявил значительного ингибиторного действия при каждой концентрации миРНК, указывая на то, что у конъюгата миРНК согласно настоящему описанию относительно высокая активность in vitro и низкий уровень нецелевого действия.[421] For
Экспериментальный пример 5-2. В данном эксперименте проиллюстрирована эффективность ингибирования конъюгатами миРНК, представленными в таблице 3A, экспрессии мРНК HBV in vivo.Experimental Example 5-2. This experiment illustrates the efficacy of the siRNA conjugates shown in Table 3A to inhibit HBV mRNA expression in vivo.
[422] В данном экспериментальном примере исследовали эффективности ингибирования конъюгатами 16 и 24 экспрессии мРНК HBV в трансгенных по HBV мышах C57BL/6J-Tg (Alb1HBV) 44Bri/J.[422] In this experimental example, the effectiveness of
[423] Сначала мышей C57BL/6J-Tg (Alb1HBV) 44Bri/J произвольно делили на группы на основании содержания HBsAg в сыворотке (все самки, 4 мыши в каждой группе) и соответственно маркировали как Конъюгат 16 и Конъюгат 24, и добавляли группу, которой вводили физиологический солевой раствор (ФР), в качестве контрольной группы. Дозировки лекарственного средства для всех животных рассчитывали в соответствии с массой тела. Разовую дозу вводили подкожно, при этом дозировка составляла 1 мг/кг, соответственно, при концентрации конъюгата 0,2 мг/мл и 0,02 мг/мл в 0,9% по массе водного раствора NaCl и объеме дозы 5 мл/кг. Животных умерщвляли в День 14 после введения. Печень собирали и хранили в RNA later (Sigma Aldrich), и ткань печени гомогенизовали с помощью гомогенизатора тканей. Затем общую РНК экстрагировали и получали, применяя Trizol, следуя стандартной процедуре экстрагирования общей РНК.[423] First, C57BL/6J-Tg (Alb1HBV) 44Bri/J mice were randomly divided into groups based on serum HBsAg content (all females, 4 mice per group) and labeled as
[424] Уровень экспрессии мРНК HBV в ткани печени измеряли с помощью флуоресцентной количественной ПЦР в реальном времени. В частности, экстрагированную общую РНК обратно транскрибировали с получением кДНК, применяя набор для обратной транскрипции ImProm-II™ (Promega), в соответствии с инструкцией к набору, а затем измеряли эффективность ингибирования молекулями миРНК экспрессии мРНК HBV в ткани печени, применяя набор для флуоресцентной количественной ПЦР (Beijing Cowin Biosicences Co., Ltd). В данном способе флуоресцентной количественной ПЦР ген β-актина использовали в качестве гена внутреннего контроля, HBV и β-актин детектировали, применяя праймеры для HBV и β-актина, соответственно.[424] The level of expression of HBV mRNA in liver tissue was measured using fluorescent quantitative real-time PCR. In particular, the extracted total RNA was reverse transcribed to obtain cDNA using the ImProm-II™ Reverse Transcription Kit (Promega) according to the kit instructions, and then the effectiveness of the siRNA molecules' inhibition of HBV mRNA expression in liver tissue was measured using the fluorescent kit. quantitative PCR (Beijing Cowin Biosicences Co., Ltd). In this fluorescent qPCR method, the β-actin gene was used as an internal control gene, HBV and β-actin were detected using primers for HBV and β-actin, respectively.
[425] Последовательности праймеров для детектирования представлены в таблице 5A.[425] The primer sequences for detection are shown in Table 5A.
Таблица 5A. Последовательности праймеров для детектирования.Table 5A. Detection primer sequences.
(SEQ ID NO: 187)5'-CCGTCTGTGCCTTCTCATCT-3'
 (SEQ ID NO: 187)
(SEQ ID NO: 188)5'-TAATTCTCCTCCCCCAACTCC-3'
 (SEQ ID NO: 188)
(SEQ ID NO: 192)5'-TTCTGACCCATTCCCACCATCACA-3'
 (SEQ ID NO: 192)
[426] В данном способе флуоресцентной количественной ПЦР экспрессию мРНК HBV выражали в виде оставшейся экспрессии гена HBV и рассчитывали с помощью следующего уравнения:[426] In this fluorescent qPCR method, HBV mRNA expression was expressed as the remaining HBV gene expression and calculated using the following equation:
Оставшаяся экспрессия гена HBV = (число копий гена HBV в тестируемой группе/число копий гена β-актина в тестируемой группе)/(число копий гена HBV в контрольной группе/число копий гена β-актина в контрольной группе) × 100%, которая обозначена как экспрессия мРНК HBV X/β-актина.Remaining HBV gene expression = (number of copies of the HBV gene in the test group/number of copies of the β-actin gene in the test group)/(number of copies of the HBV gene in the control group/number of copies of the β-actin gene in the control group) × 100%, which is indicated as HBV X/β-actin mRNA expression.
[427] Затем степень ингибирования конъюгатом по отношению к мРНК рассчитывали в соответствии со следующим уравнением:[427] Then, the degree of inhibition of the conjugate against mRNA was calculated in accordance with the following equation:
Степень ингибирования по отношению к мРНК = (1- оставшаяся экспрессия гена HBV) × 100%,The degree of inhibition in relation to mRNA = (1 - the remaining expression of the HBV gene) × 100%,
где контрольная группа представляла собой группу контрольных мышей, которым вводили ФР, в данном эксперименте, и каждая тестируемая группа представляла собой группу мышей, которым вводили различные конъюгаты миРНК, соответственно. Результаты представлены на фиг. 13.where the control group was a group of control mice that were injected with FR, in this experiment, and each test group was a group of mice that were injected with different siRNA conjugates, respectively. The results are shown in FIG. 13.
[428] В других экспериментах, далее проводили два анализа, следуя приведенному ниже протоколу:[428] In other experiments, two further assays were performed following the protocol below:
применяли описанный выше способ, за исключением того, что конъюгированную миРНК, которую вводили для анализа, заменяли на Конъюгат 17, 25, 159 и 160, и собирали данные в день 7; иthe method described above was used, except that the conjugated siRNA that was introduced for analysis was changed to Conjugate 17, 25, 159 and 160, and data was collected on
применяли описанный выше способ, за исключением того, что конъюгированную миРНК, которую вводили для анализа, заменяли на Конъюгат 24, 161, 162 и 163, и собирали данные в день 28, и каждый конъюгат вводили в дозировках, составляющих 1 мг/кг и 0,3 мг/кг (причем объем дозы оставался таким же, тогда как концентрацию раствора конъюгата изменяли соответствующим образом). Результаты данных анализов, соответственно, представлены на фиг. 14 и 15.the method described above was used, except that the conjugated siRNA that was administered for analysis was changed to Conjugate 24, 161, 162, and 163, and data was collected on
[429] По описанным выше результатам можно увидеть, что в нескольких экспериментах с различными моментами времени тестирования, все описанные выше конъюгаты согласно настоящему описанию проявили высокую ингибиторную активность в отношении экспрессии мРНК HBV у мышей in vivo.[429] From the results described above, it can be seen that in several experiments with different testing time points, all of the conjugates described above according to the present description showed a high inhibitory activity against the expression of HBV mRNA in mice in vivo.
Экспериментальный пример 5-3. В данном эксперименте проиллюстрирована эффективность ингибирования конъюгатами миРНК с различными конъюгирующими молекулами, представленными в таблице 3A, экспрессии ДНК HBsAg и HBV в сыворотке трансгенных по HBV мышей.Experimental Example 5-3. This experiment illustrates the effectiveness of siRNA conjugates with various conjugating molecules shown in Table 3A to inhibit HBsAg and HBV DNA expression in the serum of HBV transgenic mice.
[430] Согласно способу, описанному в Экспериментальном примере 4, проведенному на мышах 44Bri HBV, Последовательности для детектирования из таблицы 5A использовали в качестве праймеров для измерения эффективности ингибирования конъюгатами 25, 164, 165 и 166 в отношении целевой мРНК. Результаты данного эксперимента, соответственно, представлены в таблице 6A.[430] According to the method described in Experimental Example 4, conducted on HBV 44Bri mice, the detection sequences from Table 5A were used as primers to measure the inhibition efficiency of
Таблица 6A. Эффективность ингибирования конъюгатами миРНК в отношении целевой мРНК.Table 6A. Efficiency of inhibition by siRNA conjugates in relation to the target mRNA.
[431] В таблице 6A можно увидеть, что конъюгаты миРНК, образованные различными конъюгирующими молекулами согласно настоящему описанию, проявляют превосходную эффективность ингибирования в отношении целевой мРНК у мышей in vivo.[431] In Table 6A, it can be seen that the siRNA conjugates formed by various conjugating molecules according to the present disclosure exhibit excellent inhibitory efficacy against the target mRNA in mice in vivo.
Экспериментальный пример 5-4. В данном эксперименте проиллюстрирован анализ зависимости от времени эффективности ингибирования конъюгатами миРНК, представленными в таблице 3A, в отношении ДНК HBsAg и HBV в сыворотке трансгенных по HBV мышей.Experimental Example 5-4. This experiment illustrates a time-dependence analysis of the inhibition efficacy of the siRNA conjugates shown in Table 3A against HBsAg and HBV DNA in serum from HBV transgenic mice.
[432] Использовали модель на мышах AAV-HBV. После успешного создания моделей на животных, данных мышей произвольно делили на группы на основании содержания HBsAg в сыворотке (5 мышей в каждой группе). Конъюгаты 24, 25 и Сопоставимый конъюгат 15, соответственно, вводили каждой группе, и ФР использовали в качестве пустого контроля. Дозировки лекарственного средства для всех животных рассчитывали в соответствии с массой тела. Разовую дозу вводили подкожно в дозировке 3 мг/кг, и предоставили в концентрации 0,6 мг/мл в 0,9% по массе водного раствора NaCl и объеме 5 мл/кг. Кровь брали из глазничного венозного сплетения мыши перед введением и в Дни 7, 14, 21, 28, 56, 84, 112, 140, 154, 168 и 182 после введения, и уровень HBsAg в сыворотке измеряли в каждый момент времени. Во время данного эксперимента анализ субъекта заканчивали после того, как содержание HBsAg в сыворотке оказывалось близким или превышающим исходное значение его результата тестирования.[432] An AAV-HBV mouse model was used. After successful establishment of animal models, these mice were randomly divided into groups based on serum HBsAg content (5 mice per group).
[433] Количество крови, взятой из глазниц, каждый раз составляло приблизительно 100 мкл, и количество сыворотки составляло не менее 20 мкл после центрифугирования. Уровень экспрессии HBsAg в сыворотке измеряли, применяя набор HBsAg CLIA (Autobio, CL0310). Уровень экспрессии ДНК HBV измеряли путем экстрагирования ДНК из сыворотки, руководствуясь инструкцией к набору для выделения ДНК из крови QIAamp 96 DNA Blood, с последующей количественной ПЦР.[433] The amount of blood taken from the eye sockets was approximately 100 µl each time, and the amount of serum was at least 20 µl after centrifugation. Serum HBsAg expression level was measured using the HBsAg CLIA kit (Autobio, CL0310). The level of HBV DNA expression was measured by extracting DNA from serum, following the instructions for the QIAamp 96 DNA Blood DNA Extraction Kit, followed by quantitative PCR.
[434] Нормированная экспрессия HBsAg = (содержание HBsAg после введения/содержание HBsAg до введения) × 100%.[434] Normalized expression of HBsAg = (HBsAg content after administration/HBsAg content before administration) × 100%.
Степень ингибирования в отношении HBsAg = (1 - содержание HBsAg после введения/содержание HBsAg до введения) × 100%, где содержание HBsAg выражали в эквивалентах (МЕ) HBsAg на миллилитр (мл) сыворотки.The degree of inhibition against HBsAg = (1 - content of HBsAg after administration/content of HBsAg before administration) × 100%, where the content of HBsAg is expressed in equivalents (IU) of HBsAg per milliliter (ml) of serum.
[435] Нормированная экспрессия ДНК HBV = (содержание ДНК HBV после введения/содержание ДНК HBV до введения) × 100%.[435] Normalized expression of HBV DNA = (content of HBV DNA after administration/content of HBV DNA before administration) × 100%.
Степень ингибирования в отношении ДНК HBV = (1 - содержание ДНК HBV после введения/содержание ДНК HBV до введения) × 100%,The degree of inhibition against HBV DNA = (1 - content of HBV DNA after administration / content of HBV DNA before administration) × 100%,
где содержание ДНК HBV выражено в копиях ДНК HBV на миллилитр (мл) сыворотки.where the content of HBV DNA is expressed in copies of HBV DNA per milliliter (ml) of serum.
[436] Результаты представлены на фиг. 16 и 17. По результатам, представленным на фиг. 16, можно увидеть, что для группы отрицательного контроля, которой вводили ФР, не выявили ингибиторного действия в различные моменты времени после введения; напротив, для обоих Конъюгатов 24 и 25 выявили превосходное ингибиторное действие против HBsAg в различные моменты времени после введения. В частности, Конъюгат 24 при дозе 3 мг/кг стабильно проявлял высокую степень ингибирования HBsAg в сыворотке в течение периода, составляющего до 140 дней, указывая на то, что он может стабильно и эффективно ингибировать экспрессию гена HBV в течение более длительного периода.[436] The results are shown in FIG. 16 and 17. Based on the results shown in FIG. 16, it can be seen that for the negative control group, which was injected with FR, no inhibitory effect was detected at various time points after administration; in contrast, both
[437] По результатам, представленным на фиг. 17, можно увидеть, что конъюгат миРНК в каждом примере также проявил эффективное ингибирование по отношению к экспрессии ДНК HBV и сохранял относительно высокую степень ингибирования в течение периода вплоть до 84 дней.[437] Based on the results shown in FIG. 17, it can be seen that the siRNA conjugate in each example also exhibited effective inhibition against HBV DNA expression and maintained a relatively high degree of inhibition for up to 84 days.
[438] Напротив, хотя Сравнительные конъюгаты 15 достигают приблизительно такого же ингибиторного действия в отношении мРНК, как в каждом примере в первые 28 дней, после этого их ингибиторные действия заметно уменьшаются, таким образом, продолжительность их ингибиторного действия, показанная на фиг. 16 и фиг. 17, значительно короче, чем таковая для конъюгатов 24 и 25 при том же уровне дозы.[438] In contrast, although
[439] Следуя таким же способам, как описанные выше, проводили четыре дополнительных теста, в которых измеряли HBsAg в сыворотке, за исключением того, что:[439] Following the same methods as described above, four additional tests were performed in which serum HBsAg was measured, except that:
Моделям на мышах с низкой концентрацией AAV-HBV вводили дозу 3 мг/кг и 1 мг/кг конъюгата 25, соответственно, ФР использовали в качестве контроля, тест продолжался до дня 140, и результаты представлены на фиг. 18;Mouse models with low concentrations of AAV-HBV were dosed at 3 mg/kg and 1 mg/kg of
Моделям M-Tg вводили дозу 3 мг/кг и 1 мг/кг Конъюгатов 17 и 25, соответственно, ФБР вводили в качестве контроля, тест продолжался до дня 70, и результаты представлены на фиг. 19;The M-Tg models were dosed at 3 mg/kg and 1 mg/kg of
Моделям M-Tg вводили дозу 5 мг/кг, 1 мг/кг и 0,2 мг/кг Конъюгата 26 и 5 мг/кг Сопоставимого конъюгата 15, соответственно, ФБР вводили в качестве контроля, тест продолжался до дня 78, и результаты представлены на фиг. 20;M-Tg models were dosed at 5 mg/kg, 1 mg/kg, and 0.2 mg/
1,28-копийным моделям вводили дозу 3 мг/кг и 1 мг/кг Конъюгата 24, соответственно, тест продолжался до дня 210, и результаты представлены на фиг. 21.The 1.28-copy models were dosed at 3 mg/kg and 1 mg/kg of
[440] Для различных указанных выше дозировок, каждый конъюгат вводили в одинаковом объеме дозы, тогда как концентрацию раствора конъюгата изменяли в отдельности, чтобы ввести соответствующую дозу.[440] For the various dosages indicated above, each conjugate was administered in the same dose volume, while the concentration of the conjugate solution was changed individually to introduce the appropriate dose.
[441] По результатам, представленным на фиг. 18 - 21, можно увидеть, что конъюгаты миРНК согласно настоящему изобретению проявили длительную и действенную эффективность ингибирования в отношении HBsAg в сыворотке в различных моделях на животных, и выявили регулярную зависимость от дозы.[441] Based on the results shown in FIG. 18-21, it can be seen that the siRNA conjugates of the present invention exhibited long-lasting and effective inhibitory efficacy against serum HBsAg in various animal models and showed a regular dose-dependence.
Экспериментальный пример 6. Эксперимент по проверке действия конъюгатов миРНК, представленных в таблицах 3B - 3D.Experimental Example 6 An experiment to test the effect of the siRNA conjugates shown in Tables 3B-3D.
Экспериментальный пример 6-1. Анализ нецелевого действия Конъюгатов 43, 62 и 78.Experimental Example 6-1. Analysis of off-target action of
В соответствии со способами, описанными в Экспериментальном примере 5-1, отдельно исследовали нецелевое действие конъюгатов 43, 62 и 78 за исключением того, что: для каждого конъюгата целевую последовательность, полностью комплементарно спаривающуюся с последовательностью антисмысловой цепи миРНК в соответствующем конъюгате, использовали для конструирования целевой плазмиды GSCM, тогда как целевые последовательности, полностью совпадающие с последовательностью антисмысловой цепи, комплементарно спаривающиеся с положениями 1 - 8 последовательности антисмысловой цепи или совпадающие с положениями 1 - 8 последовательности антисмысловой цепи миРНК в соответствующем конъюгате, соответственно, использовали для конструирования нецелевых плазмид GSSM, PSCM и PSSM. Результаты представлены на фиг. 22 - 24, соответственно. По результатам, представленным на фиг. 22 - 24, можно увидеть, что все описанные выше конъюгаты не только оказывают превосходное ингибиторное действие в отношении целевой мРНК, но также проявляют низкий уровень нецелевых действий.According to the methods described in Experimental Example 5-1, the off-target activity of
Экспериментальный пример 6-2. В данном эксперименте проиллюстрирована эффективность ингибирования конъюгатами согласно настоящему описанию экспрессии мРНК HBV у мышей in vivo.Experimental Example 6-2. This experiment illustrates the effectiveness of the conjugates as described herein to inhibit HBV mRNA expression in mice in vivo.
[442] В данном экспериментальном примере исследовали эффективности ингибирования конъюгатами 25, 42, 43, 62 и 78 экспрессии мРНК HBV в трансгенных по HBV мышах C57BL/6J-Tg (Alb1HBV) 44Bri/J.[442] In this experimental example, the inhibition efficiencies of
[443] Сначала мышей C57BL/6J-Tg (Alb1HBV) 44Bri/J произвольно делили на группы на основании содержания HBsAg в сыворотке (все самки, 4 мыши в каждой группе) и маркировали отдельно, и группу ФР добавляли в качестве контрольной группы. Дозировки лекарственного средства для всех животных рассчитывали в соответствии с массой тела. Разовую дозу конъюгата 24 или 42 вводили подкожно, каждый в дозировке 1 мг/кг или 0,1 мл/кг, соответственно, в виде 0,2 мг/мл и 0,02 мг/мл конъюгата в 0,9% по массе водного раствора NaCl и объеме дозы 5 мл/кг. Животных умерщвляли в День 7 после введения. Печень собирали и хранили в RNA later (Sigma Aldrich), и ткань печени гомогенизовали с помощью гомогенизатора тканей. Затем общую РНК экстрагировали и получали, применяя Trizol, следуя стандартной процедуре экстрагирования общей РНК.[443] First, C57BL/6J-Tg (Alb1HBV) 44Bri/J mice were randomly divided into groups based on serum HBsAg content (all females, 4 mice per group) and labeled separately, and the FR group was added as a control group. Drug dosages for all animals were calculated according to body weight. A single dose of
[444] Уровень экспрессии мРНК HBV в ткани печени измеряли с помощью флуоресцентной количественной ПЦР в реальном времени. В частности, экстрагированную общую РНК обратно транскрибировали с получением кДНК, применяя набор для обратной транскрипции ImProm-II™ (Promega), в соответствии с инструкцией к набору, а затем измеряли эффективность ингибирования молекулами миРНК экспрессии мРНК HBV в ткани печени, применяя набор для флуоресцентной количественной ПЦР (Beijing Cowin Biosicences Co., Ltd). В данном способе флуоресцентной количественной ПЦР ген β-актина использовали в качестве гена внутреннего контроля, HBV и β-актин детектировали, применяя праймеры для HBV и β-актина, соответственно.[444] The expression level of HBV mRNA in liver tissue was measured using fluorescent quantitative real-time PCR. In particular, the extracted total RNA was reverse transcribed to obtain cDNA using the ImProm-II™ Reverse Transcription Kit (Promega) according to the kit instructions, and then the efficiency of inhibition of HBV mRNA expression in liver tissue by the siRNA molecules was measured using the fluorescent kit. quantitative PCR (Beijing Cowin Biosicences Co., Ltd). In this fluorescent qPCR method, the β-actin gene was used as an internal control gene, HBV and β-actin were detected using primers for HBV and β-actin, respectively.
[445] Последовательности праймеров для детектирования представлены в таблице 5A.[445] Detection primer sequences are shown in Table 5A.
[446] В данном способе флуоресцентной количественной ПЦР расчет экспрессии мРНК HBV, а также степени ингибирования мРНК для конъюгатов соответствовали таковым в Экспериментальном примере 5-2,[446] In this fluorescent qPCR method, the calculation of HBV mRNA expression as well as the degree of mRNA inhibition for the conjugates were as in Experimental Example 5-2,
где контрольная группа представляла собой группу контрольных мышей, которым вводили ФР в данном эксперименте, и каждая тестируемая группа представляла собой группу мышей, которым вводили различные конъюгаты миРНК, соответственно. Результаты представлены на фиг. 25.where the control group was a group of control mice that were injected with FR in this experiment, and each test group was a group of mice that were injected with different siRNA conjugates, respectively. The results are shown in FIG. 25.
[447] В других экспериментах далее проводили два анализа, следуя приведенному ниже протоколу:[447] In other experiments, two further assays were performed following the protocol below:
[448] применяли описанный выше способ, за исключением того, что конъюгированную миРНК, которую вводили для анализа, заменяли на Конъюгат 43, 62, 78 и 25, и собирали данные в день 7, результаты представлены на фиг. 26; и[448] used the method described above, except that the conjugated siRNA that was administered for analysis was changed to Conjugate 43, 62, 78, and 25, and data was collected on
[449] применяли описанный выше способ, за исключением того, что конъюгированную миРНК, которую вводили для анализа, заменяли на Конъюгат 42, 43 и 25, и каждый из Конъюгатов 42 и 25 вводили в дозировках, составляющих 1 мг/кг и 0,1 мг/кг (причем объем дозы оставался таким же, тогда как концентрацию раствора конъюгата изменяли соответствующим образом). Более того, последовательности праймеров для детектирования заменяли на последовательности, представленные в таблице 5B. Результаты представлены на фиг. 27.[449] used the method described above, except that the conjugated siRNA that was administered for analysis was changed to Conjugate 42, 43, and 25, and Conjugates 42 and 25 were each administered at dosages of 1 mg/kg and 0.1 mg/kg (and the volume of the dose remained the same, while the concentration of the conjugate solution was changed accordingly). Moreover, the detection primer sequences were changed to those shown in Table 5B. The results are shown in FIG. 27.
Таблица 5B. Последовательности праймеров для детектирования.Table 5B. Detection primer sequences.
(SEQ ID NO: 187)5'-CCGTCTGTGCCTTCTCATCT-3'
 (SEQ ID NO: 187)
(SEQ ID NO: 188)5'-TAATTCTCCTCCCCCAACTCC-3'
 (SEQ ID NO: 188)
(SEQ ID NO: 192)5'-TTCTGACCCATTCCCACCATCACA-3'
 (SEQ ID NO: 192)
[450] На фиг. 26 и 27 можно увидеть, что все описанные выше конъюгаты согласно настоящему описанию проявили высокую ингибиторную активность в отношении экспрессии мРНК HBV у мышей in vivo. Более того, их ингибиторное действие в отношении различных видов мРНК HBV остается практически одинаковым.[450] FIG. 26 and 27, it can be seen that all of the conjugates described above, according to the present description, showed a high inhibitory activity against the expression of HBV mRNA in mice in vivo. Moreover, their inhibitory effect on different types of HBV mRNA remains almost the same.
Экспериментальный пример 6-3. В данном эксперименте проиллюстрирован анализ зависимости от времени эффективности ингибирования конъюгатами миРНК, представленными в таблице 3B, экспрессии ДНК HBsAg и HBV в сыворотке трансгенных по HBV мышей.Experimental Example 6-3. This experiment illustrates a time-dependence analysis of the effectiveness of inhibition by the siRNA conjugates presented in Table 3B of HBsAg and HBV DNA expression in serum of HBV transgenic mice.
[451] Использовали модель на мышах с низкой концентрацией AAV-HBV. После успешного создания моделей на животных, данных мышей произвольно делили на группы на основании содержания HBsAg в сыворотке (5 мышей в каждой группе). Конъюгат 43, соответственно, вводили каждой группе, и ФБР использовали в качестве пустого контроля. Дозировки лекарственного средства для всех животных рассчитывали в соответствии с массой тела. Разовую дозу вводили подкожно, при этом дозировка составляла 3 мг/кг или 1 мг/кг при концентрации 0,6 мг/мл или 0,2 мг/мл конъюгата в 0,9% по массе водного раствора NaCl и объеме 5 мл/кг. Кровь брали из глазничного венозного сплетения мыши до введения и в Дни 7, 14, 21, 28, 56, 84, 112, 126 и 140 после введения, и уровень HBsAg в сыворотке измеряли в каждый момент времени.[451] A mouse model with a low concentration of AAV-HBV was used. After successful establishment of animal models, these mice were randomly divided into groups based on serum HBsAg content (5 mice per group). Conjugate 43 was respectively administered to each group and PBS was used as a blank control. Drug dosages for all animals were calculated according to body weight. A single dose was administered subcutaneously, while the dosage was 3 mg/kg or 1 mg/kg at a concentration of 0.6 mg/ml or 0.2 mg/ml of the conjugate in 0.9% by weight of an aqueous solution of NaCl and a volume of 5 ml/kg . Blood was taken from the mouse orbital venous plexus prior to administration and on
[452] Количество крови, взятой из глазниц, каждый раз составляло приблизительно 100 мкл, и количество сыворотки составляло не менее 20 мкл после центрифугирования. Содержание HBsAg в сыворотке измеряли, применяя набор HBsAg CLIA (Autobio, CL0310).[452] The amount of blood taken from the eye sockets was approximately 100 µl each time, and the amount of serum was at least 20 µl after centrifugation. Serum HBsAg was measured using the HBsAg CLIA kit (Autobio, CL0310).
[453] Нормированная экспрессия HBsAg = (содержание HBsAg после введения/содержание HBsAg до введения) × 100%.[453] Normalized expression of HBsAg = (HBsAg content after administration/HBsAg content before administration) × 100%.
Степень ингибирования в отношении HBsAg = (1 - содержание HBsAg после введения/содержание HBsAg до введения) × 100%, где содержание HBsAg выражали в эквивалентах (МЕ) HBsAg на миллилитр (мл) сыворотки.The degree of inhibition against HBsAg = (1 - content of HBsAg after administration/content of HBsAg before administration) × 100%, where the content of HBsAg is expressed in equivalents (IU) of HBsAg per milliliter (ml) of serum.
[454] Результаты представлены на фиг. 28. По результатам, представленным на фиг. 28, можно увидеть, что в группе отрицательного контроля, которой вводили ФР, не выявили ингибиторного действия в различные моменты времени после введения; наоборот, Конъюгат 43 оказывал превосходное ингибиторное действие в отношении HBsAg в различные моменты времени после введения, и стабильно проявлял высокую степень ингибирования HBsAg в сыворотке в течение периода, составляющего до 100 дней, указывая на то, что он может стабильно и эффективно ингибировать экспрессию гена HBV в течение более длительного периода.[454] The results are shown in FIG. 28. Based on the results shown in FIG. 28, it can be seen that in the negative control group injected with FR, no inhibitory effect was detected at various time points after administration; conversely, Conjugate 43 showed excellent HBsAg inhibitory activity at various time points after administration, and stably exhibited a high degree of serum HBsAg inhibition for a period of up to 100 days, indicating that it can stably and effectively inhibit HBV gene expression. over a longer period.
[455] В дополнительных экспериментах, согласно описанным выше способам, модели на мышах M-tg вводили дозу 3 мг/кг и 1 мг/кг Конъюгатов 24, 62 и 78, соответственно, при концентрации 0,6 мг/мл или 0,2 мг/мл конъюгата в 0,9% по массе водного раствора NaCl и объеме 5 мл/кг. Тест продолжался до дня 85, и результаты представлены на фиг. 29 и 30.[455] In additional experiments, according to the methods described above, the M-tg mouse models were dosed with 3 mg/kg and 1 mg/kg of
[456] По результатам на фиг. 29 можно увидеть, что все Конъюгаты 24, 62 и 78 проявили длительную и действенную эффективность ингибирования в отношении HBsAg в сыворотке в течение вплоть до 85 дней. По результатам на фиг. 30, в День 85 после введения Конъюгаты 24 и 78 при дозировке 3 мг/кг все еще проявляли 68,6% и 62% ингибирования мРНК HBV, соответственно.[456] Based on the results in FIG. 29 it can be seen that all
[457] В дополнительных экспериментах, согласно описанным выше способам, мышам 1,28-копийной модели вводили дозу 3 мг/кг и 1 мг/кг Конъюгата 43, соответственно, при концентрации 0,6 мг/мл или 0,2 мг/мл конъюгата в 0,9% по массе водного раствора NaCl и объеме 5 мл/кг. Тест продолжался до дня 85. Ингибиторное действие в отношении ДНК HBsAg и HBV измеряли согласно Экспериментальному примеру 5-4, и результаты представлены на фиг. 31 и 32.[457] In additional experiments, according to the methods described above, mice of the 1.28-copy model were dosed with a dose of 3 mg/kg and 1 mg/kg of Conjugate 43, respectively, at a concentration of 0.6 mg/ml or 0.2 mg/ml conjugate in 0.9% by weight of an aqueous solution of NaCl and a volume of 5 ml/kg. The test continued until day 85. HBsAg and HBV DNA inhibitory activity was measured according to Experimental Example 5-4, and the results are shown in FIG. 31 and 32.
[458] По результатам, представленным на фиг. 31 и 32, можно увидеть, что в 1,28-копийной модели на мышах Конъюгат 43 проявил непрерывное эффективное ингибирование экспрессии HBV, а также ДНК HBV в течение вплоть до 85 дней.[458] Based on the results shown in FIG. 31 and 32, it can be seen that in a 1.28 copy mouse model, Conjugate 43 exhibited continuous effective inhibition of HBV expression as well as HBV DNA for up to 85 days.
Экспериментальный пример 7. Эксперимент по проверке действия конъюгатов 167 и 168.Experimental example 7. Experiment to test the effect of
Экспериментальный пример 7-1. В данном эксперименте проиллюстрировано, что конъюгат миРНК согласно настоящему описанию не только проявляет относительно высокую активность in vitro, но также проявляет низкое нецелевое действие.Experimental Example 7-1. This experiment illustrates that the siRNA conjugate of the present disclosure not only exhibits relatively high in vitro activity, but also exhibits low off-target activity.
[459] В данном экспериментальном примере Конъюгат 168 исследовали в системе in vitro psiCHECK для выявления целевой активности и нецелевого действия. Говоря более конкретно, исследовали активность Конъюгата 168 в отношении нацеливания на полностью соответствующую целевую последовательность (в которой последовательность нуклеотидов полностью комплементарна или совпадает с последовательностью нуклеотидов по всей длине антисмысловой цепи Конъюгата 168) или нацеливания на затравочную область, соответствующую целевой последовательности (в которой последовательность нуклеотидов комплементарна или совпадает с последовательностью нуклеотидов в положениях 1 - 8 антисмысловой цепи конъюгата 168).[459] In this experimental example,
[460] Исследовали Конъюгат 168 в соответствии со способами, описанными в Экспериментальном примере 5-1, за исключением того, что целевую последовательность, полностью комплементарно спаривающуюся с последовательностью антисмысловой цепи миРНК в Конъюгате 168, использовали для конструирования целевой плазмиды GSCM, тогда как целевые последовательности, полностью совпадающие с последовательностью антисмысловой цепи, комплементарно спаривающиеся с положениями 1 - 8 последовательности антисмысловой цепи или совпадающие с положениями 1 - 8 последовательности антисмысловой цепи миРНК в Конъюгате 168, соответственно, использовали для конструирования нецелевых плазмид GSSM, PSCM и PSSM. По результатам теста можно увидеть, что все описанные выше конъюгаты не только оказывают превосходное ингибиторное действие в отношении целевой мРНК (с IC50 = 0,0513 нМ), но также проявляют низкий уровень нецелевых действий.[460]
Экспериментальный пример 7-2. В данном эксперименте проиллюстрирована стабильность конъюгатов миРНК в лизате лизосом in vitro.Experimental Example 7-2. This experiment illustrates the stability of miRNA conjugates in lysosome lysate in vitro.
[461] Конъюгаты 167 и Сопоставимую последовательность 1, полученную в Примере получения 1 (каждый предложен в 0,9% по массе водном растворе NaCl при концентрации 20 мкМ в отношении миРНК, 6 мкл для каждой группы, соответственно, и Сопоставимую последовательность 1 обозначали ОК), отдельно хорошо смешивали с 27,2 мкл водного раствора цитрата натрия (pH 5,0), 4,08 мкл деионизированной воды и 2,72 мкл тритосом крысы (приобретали в Xenotech Inc., кат. № R0610LT, в конечной концентрации 0,2 мЕд./мкл), и инкубировали при постоянной температуре, равной 37°C. 5 мкл образцов отбирали в каждый момент времени 0 ч, 1 ч, 2 ч, 6 ч и 24 ч, соответственно, каждый из них добавляли в 15 мкл 9 М водного раствора мочевины для денатурации, и незамедлительно криоконсервировали в морозильной камере при -80°C для дальнейшего применения, причем 0 ч представляет собой момент времени, в который конъюгат миРНК хорошо смешивали с лизатом лизосом и незамедлительно вынимали для тестирования. Тем временем, для Конъюгата 167 и Сопоставимой последовательности 1, равное молярное соотношение миРНК (20 мкМ, 1,5 мкл) отдельно хорошо смешивали с 7,5 мкл водного раствора цитрата натрия (pH 5,0) и 1 мкл деионизированной воды, затем добавляли к 30 мкл 9 М водного раствора мочевины для денатурации, а затем хорошо смешивали с 8 мкл 6x загрузочного буфера (водный раствор 20 мМ ЭДТА, 36 % по массе глицерина и 0,06 % по массе бромфенолового синего), и незамедлительно криоконсервировали в морозильной камере при -80°C, чтобы погасить реакцию, таким образом получая образцы для тестирования, которые не обработаны лизатом лизосом (обозначали М на электрофореграмме). Получали 16% по массе неденатурирующий полиакриламидный гель. 20 мкл каждого образца для тестирования отдельно загружали на гель для проведения электрофореза в течение 60 минут при постоянном токе 80 мА. После окончания электрофореза гель окрашивали 1x красителем Sybr Gole (Invitrogen, кат. № 11494) в течение 15 минут, а затем визуализировали. Результаты представлены на фиг. 33.[461] Conjugates 167 and
[462] Стабильность в лизате лизосом, полученных из крыс, Конъюгата 167 и Сопоставимой последовательности 1 (обозначили ОК на фиг. 34) измеряли, следуя такому же способу, за исключением того, что лизат лизосом, полученных из человека, заменяли на лизат лизосом, полученных из крыс (тритосомы из печени крысы приобретали в Xenotech Inc., кат. № R0610.LT, в конечной концентрации 0,2 мЕд./мкл). Результат представили на фиг. 34.[462] Stability in rat-derived lysosome lysate, Conjugate 167, and Comparative Sequence 1 (denoted OK in FIG. 34) was measured following the same method, except that human-derived lysosome lysate was changed to lysosome lysate, obtained from rats (rat liver tritosomes were purchased from Xenotech Inc., cat. no. R0610.LT, at a final concentration of 0.2 mU/µl). The result is presented in Fig. 34.
[463] На фиг. 33 и 34 показано, что конъюгаты согласно настоящему описанию могут оставаться недеградированными в течение по меньшей мере 24 часов в лизате лизосом, полученных как из человека, так и из крыс, проявляя хорошую стабильность.[463] FIG. 33 and 34 show that the conjugates of the present disclosure can remain undegraded for at least 24 hours in both human and rat lysosome lysates, showing good stability.
Экспериментальный пример 7-3. В данном эксперименте проиллюстрирована эффективность ингибирования конъюгатами согласно настоящему описанию экспрессии мРНК HBV у мышей in vivo.Experimental Example 7-3. This experiment illustrates the effectiveness of the conjugates as described herein to inhibit HBV mRNA expression in mice in vivo.
[464] В данном экспериментальном примере исследовали эффективности ингибирования конъюгатами 167 и 168 экспрессии мРНК HBV в трансгенных по HBV мышах C57BL/6J-Tg (Alb1HBV) 44Bri/J.[464] In this experimental example, the effectiveness of
[465] Сначала мышей C57BL/6J-Tg (Alb1HBV) 44Bri/J произвольно делили на группы на основании содержания HBsAg в сыворотке (все самки, 5 мышей в каждой группе) и группу ФБР, и отдельно вводили Конъюгаты 167 и 168. При этом 5 мг/кг 1x ФБР вводили подкожно каждому животному в группе ФБР. Для Конъюгатов 167 или 168, разовую дозу конъюгата вводили подкожно, каждый в дозировке 1 мг/кг в виде 0,2 мг/мл конъюгата в 0,9% по массе водного раствора NaCl и в объеме дозы 5 мл/кг. Животных умерщвляли в День 28 после введения. Печень собирали и хранили в RNA later (Sigma Aldrich), и ткань печени гомогенизовали с помощью гомогенизатора тканей. Затем общую РНК экстрагировали и получали, применяя Trizol, следуя стандартной процедуре экстрагирования общей РНК.[465] First, C57BL/6J-Tg (Alb1HBV) 44Bri/J mice were randomly divided into groups based on serum HBsAg (all females, 5 mice per group) and PBS group, and Conjugates 167 and 168 were administered separately. 5 mg/kg 1x PBS was administered subcutaneously to each animal in the PBS group. For
[466] Уровень экспрессии мРНК HBV в ткани печени измеряли с помощью флуоресцентной количественной ПЦР в реальном времени. В частности, экстрагированную общую РНК обратно транскрибировали с получением кДНК, применяя набор для обратной транскрипции ImProm-II™ (Promega), в соответствии с инструкцией к набору, а затем измеряли эффективность ингибирования молекулами миРНК экспрессии мРНК HBV в ткани печени, применяя набор для флуоресцентной количественной ПЦР (Beijing Cowin Biosicences Co., Ltd). В данном способе флуоресцентной количественной ПЦР ген β-актина использовали в качестве гена внутреннего контроля, HBV и β-актин детектировали, применяя праймеры для HBV и β-актина, соответственно.[466] The expression level of HBV mRNA in liver tissue was measured using fluorescent quantitative real-time PCR. In particular, the extracted total RNA was reverse transcribed to obtain cDNA using the ImProm-II™ Reverse Transcription Kit (Promega) according to the kit instructions, and then the efficiency of inhibition of HBV mRNA expression in liver tissue by the siRNA molecules was measured using the fluorescent kit. quantitative PCR (Beijing Cowin Biosicences Co., Ltd). In this fluorescent qPCR method, the β-actin gene was used as an internal control gene, HBV and β-actin were detected using primers for HBV and β-actin, respectively.
[467] Последовательности праймеров для детектирования представлены в таблице 5G.[467] The primer sequences for detection are shown in Table 5G.
Таблица 5G. Последовательности праймеров для детектирования.Table 5G. Detection primer sequences.
(SEQ ID NO: 238)5'-GTCTTTTTGGGTTTTGCTGCC-3'
 (SEQ ID NO: 238)
(SEQ ID NO: 239)5'- GCAACGGGGTAAAGGTTCAG-3'
 (SEQ ID NO: 239)
(SEQ ID NO: 240)5'-GGTCGGAGTCAACGGATTT-3'
 (SEQ ID NO: 240)
(SEQ ID NO: 241)5'-CCAGCATCGCCCCACTTGA-3'
 (SEQ ID NO: 241)
[468] В данном способе флуоресцентной количественной ПЦР расчет экспрессии мРНК HBV, а также степени ингибирования мРНК для конъюгатов соответствовали таковым в Экспериментальном примере 5-2. Результаты представлены в таблице 6G.[468] In this fluorescent quantitative PCR method, the calculation of HBV mRNA expression as well as the degree of mRNA inhibition for the conjugates corresponded to those in Experimental Example 5-2. The results are presented in table 6G.
[469] В других экспериментах, применяли описанный выше способ, за исключением того, что конъюгированную миРНК, которую вводили для анализа, заменяли на Конъюгат 167 и 168, и изменяли дозировку введения, результаты представлены в таблице 6G.[469] In other experiments, the method described above was used, except that the conjugated siRNA that was introduced for analysis was changed to Conjugate 167 and 168, and the dosage of administration was changed, the results are presented in table 6G.
Таблица 6G. Ингибирование экспрессии мРНК HBV конъюгатами миРНК в печени мыши.Table 6G. Inhibition of HBV mRNA expression by siRNA conjugates in mouse liver.
[470] По результатам выше можно увидеть, что все описанные выше конъюгаты согласно настоящему описанию проявили высокую ингибиторную активность в отношении экспрессии мРНК HBV у мышей in vivo, иллюстрируя хорошую эффективность доставки in vivo конъюгатов миРНК согласно настоящему описанию.[470] From the results above, it can be seen that all of the above described conjugates according to the present description showed high inhibitory activity against HBV mRNA expression in mice in vivo, illustrating the good in vivo delivery efficiency of the siRNA conjugates according to the present description.
Экспериментальный пример 7-4. В данном эксперименте проиллюстрирован анализ зависимости от времени эффективности ингибирования конъюгатами миРНК, представленными в таблице 3B, экспрессии ДНК HBsAg и HBV в сыворотке трансгенных по HBV мышей.Experimental Example 7-4. This experiment illustrates a time-dependence analysis of the effectiveness of inhibition by the siRNA conjugates presented in Table 3B of HBsAg and HBV DNA expression in serum of HBV transgenic mice.
[471] В 1,28-копийных моделях данных мышей произвольно делили на группы (6 мышей в каждой группе, половина самок и половина самцов). Каждой группе вводили нормальный солевой раствор и различные дозировки конъюгата 168, соответственно, и группам ФР вводили подкожно 5 мл/кг нормального солевого раствора. Для групп, которым вводили конъюгат, дозировки лекарственного средства для всех животных рассчитывали в соответствии с массой тела. Разовую дозу вводили подкожно, при этом дозировка составляла 3 мг/кг или 1 мг/кг, при концентрации 0,6 мг/мл или 0,2 мг/мл конъюгата в 0,9% по массе водного раствора NaCl и объеме 5 мл/кг. Кровь брали из глазничного венозного сплетения мыши до введения и в Дни 7, 13, 21, 28, 42, 56, 70, 84, 98, 112, 126, 140 и 154 после введения, и измеряли уровень в сыворотке HBsAg, HBeAg, а также ДНК HBV в каждый момент времени.[471] In the 1.28-copy data models, mice were randomly divided into groups (6 mice per group, half female and half male). Each group was injected with normal saline and various dosages of
[472] Количество крови, взятой из глазниц, каждый раз составляло приблизительно 100 мкл, и количество сыворотки составляло не менее 20 мкл после центрифугирования. Содержание HBsAg в сыворотке измеряли, применяя набор HBsAg CLIA (Autobio, CL0310). Содержание HBeAg в сыворотке измеряли, применяя набор HBeAg CLIA (Autobio, CL0310). Уровень экспрессии ДНК HBV измеряли путем экстрагирования ДНК из сыворотки, руководствуясь инструкцией к набору QIAamp 96 DNA Blood, с последующей количественной ПЦР.[472] The amount of blood taken from the eye sockets was approximately 100 µl each time, and the amount of serum was at least 20 µl after centrifugation. Serum HBsAg was measured using the HBsAg CLIA kit (Autobio, CL0310). Serum HBeAg content was measured using the HBeAg CLIA kit (Autobio, CL0310). The level of HBV DNA expression was measured by extracting DNA from serum, following the instructions for the QIAamp 96 DNA Blood kit, followed by quantitative PCR.
[473] Нормированная экспрессия HBsAg = (содержание HBsAg после введения/содержание HBsAg до введения) × 100%.[473] Normalized expression of HBsAg = (HBsAg content after administration/HBsAg content before administration) × 100%.
Степень ингибирования в отношении HBsAg = (1 - содержание HBsAg после введения/содержание HBsAg до введения) × 100%, где содержание HBsAg выражали в эквивалентах (МЕ) HBsAg на миллилитр (мл) сыворотки.The degree of inhibition against HBsAg = (1 - content of HBsAg after administration/content of HBsAg before administration) × 100%, where the content of HBsAg is expressed in equivalents (IU) of HBsAg per milliliter (ml) of serum.
[474] Нормированная экспрессия HBeAg = (содержание HBeAg после введения/содержание HBeAg до введения) × 100%.[474] Normalized expression of HBeAg = (HBeAg content after administration/HBeAg content before administration) × 100%.
Степень ингибирования в отношении HBeAg = (1 - содержание HBeAg после введения/содержание HBeAg до введения) × 100%, где содержание HBeAg выражали в эквивалентах (МЕ) HBeAg на миллилитр (мл) сыворотки.The degree of inhibition against HBeAg = (1 - content of HBeAg after administration/content of HBeAg before administration) × 100%, where the content of HBeAg is expressed in equivalents (IU) of HBeAg per milliliter (ml) of serum.
[475] Нормированная экспрессия ДНК HBV = (содержание ДНК HBV после введения/содержание HBsAg до введения) × 100%.[475] Normalized expression of HBV DNA = (content of HBV DNA after administration/content of HBsAg before administration) × 100%.
Степень ингибирования в отношении ДНК HBV = (1 - содержание ДНК HBV после введения/содержание ДНК HBV до введения) × 100%,The degree of inhibition against HBV DNA = (1 - content of HBV DNA after administration / content of HBV DNA before administration) × 100%,
причем содержание ДНК HBV выражено в копиях ДНК HBV на миллилитр (мл) сыворотки.and the content of HBV DNA is expressed in copies of HBV DNA per milliliter (ml) of serum.
[476] Результаты представлены на фиг. 35 - 37. По результатам, представленным на фиг. 35, можно увидеть, что группа отрицательного контроля, которой вводили ФР, не проявила ингибиторного действия в различные моменты времени после введения; напротив, обе группы конъюгата 168 проявили превосходное ингибиторное действие в отношении HBsAg в различные моменты времени после введения, особенно группа, которой вводили 3 мг/кг, стабильно проявляла степень ингибирования более 90% в отношении HBsAg в сыворотке в течение периода, составляющего до 100 дней, указывая на то, что данный конъюгат может стабильно и эффективно ингибировать экспрессию гена HBV в течение более длительного периода.[476] The results are shown in FIG. 35-37. Based on the results shown in FIGS. 35, it can be seen that the negative control group injected with FR showed no inhibitory effect at various time points after administration; in contrast, both groups of
[477] По результатам, представленным на фиг. 36, можно увидеть, что конъюгаты миРНК также могут ингибировать экспрессию HBeAg. Причем обе группы 3 мг/кг стабильно проявляли степень ингибирования более 50% в отношении HBsAg в сыворотке в течение периода, составляющего до 70 дней.[477] Based on the results shown in FIG. 36, it can be seen that siRNA conjugates can also inhibit HBeAg expression. Moreover, both groups of 3 mg/kg stably showed a degree of inhibition of more than 50% against HBsAg in serum for a period of up to 70 days.
[478] По результатам на фиг. 37 можно увидеть, что конъюгаты также проявили действенную эффективность ингибирования экспрессии ДНК HBV и проявили относительно высокую степень ингибирования ДНК HBV в течение периода, составляющего до 154 дней.[478] Based on the results in FIG. 37, it can be seen that the conjugates also exhibited effective efficacy in inhibiting HBV DNA expression and exhibited a relatively high degree of HBV DNA inhibition over a period of up to 154 days.
Экспериментальный пример 8. Эксперимент по проверке действия конъюгатов миРНК, представленных в таблице 3E.Experimental example 8. Experiment to test the action of siRNA conjugates presented in table 3E.
Экспериментальный пример 8-1. В данном эксперименте проиллюстрирована эффективность ингибирования конъюгатами миРНК, представленными в таблице 3E, экспрессии мРНК ANGPTL3 in vivo.Experimental Example 8-1. This experiment illustrates the effectiveness of the siRNA conjugates shown in Table 3E to inhibit ANGPTL3 mRNA expression in vivo.
[479] В данном экспериментальном примере исследовали соотношения ингибирования для Конъюгатов 105, 109, 111 и 115 уровня экспрессии ANGPTL3 в ткани печени нормальных мышей BALB/c.[479] In this experimental example, the inhibition ratios for
[480] Нормальных мышей BALB/c (возраст 6 - 8 недель, приобретали в Beijing Vital River Laboratory Animal Technology Co., Ltd.) произвольно делили на группы (5 мышей в каждой группе). Конъюгаты 105, 109, 111, 115 и ФБР отдельно вводили мышам в каждой группе. Дозировки лекарственного средства для всех животных рассчитывали в соответствии с массой тела. Разовую дозу вводили подкожно, при этом дозировка составляла 3 мг/кг и 0,3 мг/кг (по количеству миРНК) в виде 0,3 мг/мл и 0,03 мг/мл 0,9% по массе водного раствора NaCl и в объеме дозы 10 мл/кг для конъюгатов миРНК. Мышей умерщвляли группами, соответственно, в День 14 и День 28 после введения. Печень собирали и хранили в RNA later (Sigma Aldrich), и ткань печени гомогенизовали с помощью гомогенизатора тканей. Затем общую РНК экстрагировали и получали, применяя Trizol (Thermo Fisher), следуя стандартной процедуре экстрагирования общей РНК.[480] Normal BALB/c mice (6-8 weeks old, purchased from Beijing Vital River Laboratory Animal Technology Co., Ltd.) were randomly divided into groups (5 mice per group).
[481] Уровень экспрессии мРНК ANGPTL3 в ткани печени измеряли с помощью флуоресцентной количественной ПЦР в реальном времени. В частности, экстрагированную общую РНК обратно транскрибировали с получением кДНК применяя набор для обратной транскрипции ImProm-II™ (Promega), в соответствии с инструкцией к набору, а затем измеряли эффективность ингибирования молекулами миРНК экспрессии мРНК ANGPTL3 в ткани печени, применяя набор для флуоресцентной количественной ПЦР (Beijing Cowin Biosicences Co., Ltd). В данном способе флуоресцентной количественной ПЦР, ген GAPDH использовали в качестве гена внутреннего контроля и ANGPTL3 и GAPDH детектировали, применяя праймеры для ANGPTL3 и GAPDH, соответственно.[481] The expression level of ANGPTL3 mRNA in liver tissue was measured by real-time fluorescent quantitative PCR. In particular, the extracted total RNA was reverse transcribed to obtain cDNA using the ImProm-II™ Reverse Transcription Kit (Promega) according to the kit instructions, and then the efficiency of inhibition of ANGPTL3 mRNA expression in liver tissue by the siRNA molecules was measured using the fluorescence quantitation kit. PCR (Beijing Cowin Biosicences Co., Ltd). In this fluorescent quantitative PCR method, the GAPDH gene was used as an internal control gene, and ANGPTL3 and GAPDH were detected using primers for ANGPTL3 and GAPDH, respectively.
[482] Последовательности праймеров для детектирования представлены в таблице 5E.[482] The primer sequences for detection are shown in Table 5E.
(SEQ ID NO: 199)5'-GAGGAGCAGCTAACCAACTTAAT-3'
 (SEQ ID NO: 199)
(SEQ ID NO: 200)5'-TCTGCATGTGCTGTTGACTTAAT-3'
 (SEQ ID NO: 200)
(SEQ ID NO: 201)5'-AACTTTGGCATTGTGGAAGGGCTC-3'
 (SEQ ID NO: 201)
(SEQ ID NO: 202)5'-TGGAAGAGTGGGAGTTGCTGTTGA-3'
 (SEQ ID NO: 202)
[483] Экспрессию мРНК ANGPTL3 рассчитывали с помощью уравнения: экспрессия мРНК ANGPTL3 = (экспрессия мРНК ANGPTL3 в тестируемой группе/экспрессия мРНК GAPDH в тестируемой группе)/(экспрессия мРНК ANGPTL3 в контрольной группе/экспрессия мРНК GAPDH в контрольной группе) × 100%.[483] ANGPTL3 mRNA expression was calculated using the equation: ANGPTL3 mRNA expression = (ANGPTL3 mRNA expression in test group / GAPDH mRNA expression in test group) / (ANGPTL3 mRNA expression in control group / GAPDH mRNA expression in control group) × 100%.
[484] Соотношение ингибирования мРНК ANGPTL3 конъюгатами рассчитывали с помощью уравнения: экспрессия мРНК ANGPTL3 = (1 - экспрессия мРНК ANGPTL3 в тестируемой группе/экспрессия мРНК GAPDH в тестируемой группе)/(экспрессия мРНК ANGPTL3 в контрольной группе/экспрессия мРНК GAPDH в контрольной группе) × 100%. Контрольная группа представляла собой группу контрольных мышей, которым вводили ФБР в данном эксперименте, и каждая тестируемая группа представляла собой группу мышей, которым вводили различные конъюгаты миРНК, соответственно. Результаты представлены на фиг. 38A и 38B.[484] The ratio of inhibition of ANGPTL3 mRNA by the conjugates was calculated using the equation: ANGPTL3 mRNA expression = (1 - ANGPTL3 mRNA expression in the test group / GAPDH mRNA expression in the test group) / (ANGPTL3 mRNA expression in the control group / GAPDH mRNA expression in the control group) × 100%. The control group was a group of control mice that were injected with PBS in this experiment, and each test group was a group of mice that were injected with different siRNA conjugates, respectively. The results are shown in FIG. 38A and 38B.
[485] По результатам на фиг. 38A и 38B можно увидеть, что все описанные выше конъюгаты миРНК проявляют превосходную ингибиторную активность в отношении экспрессии мРНК ANGPTL3.[485] Based on the results in FIG. 38A and 38B, it can be seen that all of the siRNA conjugates described above exhibit excellent inhibitory activity on ANGPTL3 mRNA expression.
[486] Кровь (приблизительно 100 мкл) брали из глазниц экспериментальных субъектов, описанных выше, и центрифугировали с получением сыворотки. Содержание общего холестерина (ОХ) и триглицеридов (ТГ) в сыворотке дополнительно измеряли, применяя полностью автоматический биохимический анализатор сыворотки PM1P000/3 (SABA, Италия). Результаты для липидов крови нормировали, и соотношение ингибирования в отношении уровней липидов крови рассчитывали с помощью уравнения: соотношение ингибирования = (1 - содержание липидов крови в тестируемой группе после введения/содержание липидов крови в тестируемой группе до введения) × 100%. Липиды крови относятся к общему холестерину или триглицериду. Результаты тестов представлены на фиг. 39A и 39B.[486] Blood (approximately 100 μl) was taken from the eye sockets of the experimental subjects described above and centrifuged to obtain serum. The content of total cholesterol (TC) and triglycerides (TG) in serum was additionally measured using a fully automatic biochemical serum analyzer PM1P000/3 (SABA, Italy). The results for blood lipids were normalized, and the ratio of inhibition in relation to blood lipid levels was calculated using the equation: ratio of inhibition = (1 - blood lipids in the test group after administration/blood lipids in the test group before administration) × 100%. Blood lipids refer to total cholesterol or triglyceride. The test results are shown in Fig. 39A and 39B.
[487] По результатам на фиг. 39A и 39B можно увидеть, что в сыворотке мышей, которых лечили различными дозировками Конъюгатов 105, 109, 111 и 115, содержание как холестерина (ОХ), так и триглицеридов (ТГ) значительно снижалось, и снижение уровня липидов крови наблюдали в течение до по меньшей мере 28 дней после введения.[487] Based on the results in FIG. 39A and 39B, it can be seen that in the serum of mice treated with various dosages of
Экспериментальный пример 8-2. В данном эксперименте проиллюстрировано действие на липиды крови конъюгатов миРНК согласно настоящему описанию.Experimental Example 8-2. This experiment illustrates the effect on blood lipids of siRNA conjugates according to the present description.
[488] Мышей Tg(APOC3)3707Bres произвольно делили на группы на основании содержания ТГ > 2 ммоль/л (5 мышей в каждой группе), и каждой группе отдельно вводили отрицательный контроль ФБР и Конъюгат 115. Дозировки лекарственного средства для всех животных рассчитывали в соответствии с массой тела. Вводили подкожно разовую дозу конъюгатов, каждый в дозировке 3 мг/кг или 1 мг/кг, каждый в виде 0,6 мг/мл или 0,2 мг/мл конъюгата в 0,9% по массе водного раствора NaCl и в объеме дозы 5 мл/кг. Кровь брали из глазниц мышей перед введением и через 7, 14, 21, 28, 35, 56, 70, 84, 98, 112, 126, 140, 154 и 168 дней после введения, и измеряли содержания ОХ и ТГ в сыворотке.[488] Tg(APOC3)3707Bres mice were randomly divided into groups based on TG content > 2 mmol/L (5 mice in each group), and each group was separately injected with PBS negative control and
[489] Количество крови, взятой из глазниц, составляло приблизительно 0,1 мл каждый раз, и количество сыворотки составляло не менее 20 мкл после центрифугирования. Содержание общего холестерина (ОХ) и триглицеридов (ТГ) в сыворотке измеряли, применяя полностью автоматический биохимический анализатор сыворотки PM1P000/3 (SABA, Италия).[489] The amount of blood taken from the eye sockets was approximately 0.1 ml each time, and the amount of serum was at least 20 μl after centrifugation. The content of total cholesterol (TC) and triglycerides (TG) in serum was measured using a fully automatic biochemical serum analyzer PM1P000/3 (SABA, Italy).
[490] Результаты для липидов крови нормировали: нормированные уровни липидов крови = (содержание липидов крови в тестируемой группе после введения/содержание липидов крови в тестируемой группе до введения), и соотношение ингибирования в отношении уровней липидов крови = (1 - содержание липидов крови в тестируемой группе после введения/содержание липидов крови в тестируемой группе до введения) × 100%. Результаты тестов представлены на фиг. 40A и 40B.[490] The results for blood lipids were normalized: normalized blood lipid levels = (blood lipids in the test group after administration/blood lipids in the test group before administration), and the ratio of inhibition in relation to blood lipid levels = (1 - blood lipids in test group after administration/blood lipid content in the test group before administration) × 100%. The test results are shown in Fig. 40A and 40B.
[491] По результатам на фиг. 40A и 40B можно увидеть, что в различные моменты времени после введения Конъюгат 115 проявил значительное действие в отношении снижения ТГ и ОХ в течение до 168 дней, свидетельствуя о стабильном и эффективном ингибировании в течение длительного времени в отношении экспрессии гена ANGPTL3 у мышей in vivo.[491] Based on the results in FIG. 40A and 40B, it can be seen that, at various time points post-administration,
[492] В других экспериментах применяли описанный выше способ, за исключением того, что: использовали модель на мышах ob/ob; Конъюгаты 111, 115 и Сопоставимый конъюгат 16 вводили отдельно, каждый при дозировке 3 мг/кг и 1 мг/кг; и данные собирали в дни 0, 7, 14, 21, 28, 35 и 41 после введения. Результаты представлены на фиг. 41A - 41B.[492] In other experiments, the method described above was used, except that: an ob/ob mouse model was used;
[493] По результатам на фиг. 41A - 41B можно увидеть, что Конъюгаты 111 и 115 согласно настоящему описанию могут непрерывно снижать уровень липидов крови у мышей ob/ob in vivo в течение 41 дня, проявив превосходную ингибиторную активность.[493] Based on the results in FIG. 41A-41B, it can be seen that Conjugates 111 and 115 according to the present disclosure can continuously lower blood lipids in ob/ob mice in vivo for 41 days, showing excellent inhibitory activity.
[494] В других экспериментах применяли описанный выше способ, за исключением того, что: Конъюгат 111 и Сопоставимый конъюгат 16 вводили отдельно, каждый при дозировке 3 мг/кг и 1 мг/кг, соответственно, в виде 0,6 мг/мл и 0,2 мг/мл 0,9% по массе водного раствора NaCl, и объем дозы составлял 5 мл/кг; и значения ОХ и ТГ проверяли в дни 0, 7, 14, 21, 28, 35, 42, 56 и 70 после введения. Результаты представлены на фиг. 42A - 42D.[494] In other experiments, the method described above was used, except that:
[495] По результатам на фиг. 42A - 42D можно увидеть, что Конъюгат 111 согласно настоящему описанию может лучше непрерывно снижать уровень липидов крови в течение 70 дней, по сравнению с Сопоставимым конъюгатом 16 при том же уровне дозировки.[495] Based on the results in FIG. 42A-42D, it can be seen that
Экспериментальный пример 8-3. В данном эксперименте проиллюстрирована эффективность ингибирования конъюгатами миРНК с различными конъюгирующими молекулами, представленными в таблице 3A, экспрессии мРНК ANGPTL3 и влияния на липиды крови у отличных от человека приматов.Experimental Example 8-3. This experiment illustrates the effectiveness of siRNA conjugates with various conjugating molecules shown in Table 3A to inhibit ANGPTL3 mRNA expression and influence blood lipids in non-human primates.
[496] В отношении обезьян с метаболическим синдромом (все самцы), 12 животных делили на следующие группы: 8 в экспериментальной группе, которым вводили дозу Конъюгата 169, и 4 в контрольной группе, которым вводили дозу Конъюгата 25; проверяли базовые данные для указанных обезьян и наблюдали их в течение 3 недель, еженедельно брали кровь, измеряли уровень липидов крови (ТГ, ОХ, ЛПВП). Впоследствии вводили Конъюгат 169 и Конъюгат 25 (в качестве сопоставимого конъюгата, так как миРНК в нем нацелена на полностью постороннюю мРНК). Дозировки лекарственного средства для всех животных рассчитывали в соответствии с массой тела. Разовую дозу вводили подкожно, при этом дозировка составляла 9 мг/кг (по количеству миРНК) в виде 100 мг/мл 0,9% по массе водного раствора NaCl и в объеме дозы не более 2 мл для каждого места введения. Кровь брали до и через 7, 14, 21, 28 и 35 дней после введения, уровень ТГ и ОХ в сыворотке исследовали в каждый момент времени.[496] Regarding monkeys with metabolic syndrome (all males), 12 animals were divided into the following groups: 8 in the experimental group, which were dosed with
[497] Результаты для липидов крови нормировали, нормированные уровни липидов крови = (содержание липидов крови в тестируемой группе после введения/содержание липидов крови в тестируемой группе до введения), и соотношение ингибирования в отношении уровней липидов крови = (1 - содержание липидов крови в тестируемой группе после введения/содержание липидов крови в тестируемой группе до введения) × 100%. При этом содержание липидов крови в тестируемой группе до введения представляет собой среднее значение липидов крови в течение 3 недель до введения и отмечено в Д0 на фиг. 43A и 43B.[497] The results for blood lipids were normalized, normalized blood lipid levels = (blood lipids in the test group after administration/blood lipids in the test group before administration), and the ratio of inhibition in relation to blood lipid levels = (1 - blood lipids in test group after administration/blood lipid content in the test group before administration) × 100%. Meanwhile, the blood lipid content of the test group prior to administration is the mean blood lipid value for 3 weeks prior to administration and is noted in D0 in FIG. 43A and 43B.
[498] В день 0 (сам день введения) и день 28 проводили чрескожную чреспеченочную биопсию для измерения уровня экспрессии мРНК ANGPTL3 в ткани печени. Печень собирали и хранили в RNA later (Sigma Aldrich), и ткань печени гомогенизовали с помощью гомогенизатора тканей. Затем общую РНК экстрагировали и получали, применяя Trizol, следуя стандартной процедуре экстрагирования общей РНК.[498] On day 0 (the day of administration itself) and
[499] Уровень экспрессии мРНК ANGPTL3 в ткани печени измеряли с помощью флуоресцентной количественной ПЦР в реальном времени. В частности, экстрагированную общую РНК обратно транскрибировали с получением кДНК, применяя набор для обратной транскрипции ImProm-II™ (Promega), в соответствии с инструкцией к набору, а затем измеряли эффективность ингибирования молекулами миРНК экспрессии мРНК ANGPTL3 в ткани печени, применяя набор для флуоресцентной количественной ПЦР (Beijing Cowin Biosicences Co., Ltd). В данном способе флуоресцентной количественной ПЦР ген GAPDH использовали в качестве гена внутреннего контроля, ANGPTL3 и GAPDH детектировали, применяя праймеры для HBV и GAPDH, соответственно.[499] The expression level of ANGPTL3 mRNA in liver tissue was measured by real-time fluorescent quantitative PCR. In particular, the extracted total RNA was reverse transcribed to obtain cDNA using the ImProm-II™ Reverse Transcription Kit (Promega) according to the kit instructions, and then the effectiveness of the inhibition of ANGPTL3 mRNA expression in liver tissue by the siRNA molecules was measured using the fluorescent kit. quantitative PCR (Beijing Cowin Biosicences Co., Ltd). In this fluorescent qPCR method, the GAPDH gene was used as an internal control gene, ANGPTL3 and GAPDH were detected using primers for HBV and GAPDH, respectively.
[500] Последовательности праймеров для детектирования представлены в таблице 6E.[500] The sequence of primers for detection are presented in table 6E.
Таблица 6E. Последовательности праймеров для детектирования.Table 6E. Detection primer sequences.
(SEQ ID NO: 242)CTGGTGGTGGCATGATGAGT
 (SEQ ID NO: 242)
(SEQ ID NO: 243)CTCTTCTCCGCTCTGGCTTAG
 (SEQ ID NO: 243)
(SEQ ID NO: 244)GGGAGCCAAAAGGGTCATCA
 (SEQ ID NO: 244)
(SEQ ID NO: 245)CGTGGACTGTGGTCATGAGT
 (SEQ ID NO: 245)
[501] Расчет экспрессии мРНК ANGPTL3 и соотношение ингибирования мРНК ANGPTL3 соответствовали Экспериментальному примеру (8-1). Контрольная группа представляла собой группу контрольных обезьян, которым вводили ФБР в данном эксперименте, и каждая тестируемая группа представляла собой группу обезьян, которым вводили различные конъюгаты миРНК, соответственно. Результаты представлены на фиг. 43A - 43C.[501] The calculation of ANGPTL3 mRNA expression and the ratio of inhibition of ANGPTL3 mRNA corresponded to Experimental Example (8-1). The control group was a group of control monkeys that were injected with PBS in this experiment, and each test group was a group of monkeys that were injected with different siRNA conjugates, respectively. The results are shown in FIG. 43A - 43C.
[502] По результатам на фиг. 43A - 43C можно увидеть, что для Конъюгата 169 выявили значимое снижение уровней ТГ и ингибирование экспрессии гена ANGPTL3, он снижал на 82,7% уровень мРНК гена ANGPTL3 в День 28 после введения.[502] Based on the results in FIG. 43A-43C, it can be seen that Conjugate 169 showed a significant decrease in TG levels and inhibition of ANGPTL3 gene expression, and reduced 82.7% of ANGPTL3 mRNA levels on
Экспериментальный пример 9. Эксперимент по проверке действия конъюгатов миРНК, представленных в таблице 3F.Experimental example 9. Experiment to test the effect of siRNA conjugates presented in table 3F.
Экспериментальный пример 9-1. В данном эксперименте проиллюстрирована эффективность ингибирования конъюгатами миРНК, представленными в таблице 3F, экспрессии мРНК APOC3 in vivo.Experimental Example 9-1. This experiment illustrates the efficacy of the siRNA conjugates shown in Table 3F to inhibit APOC3 mRNA expression in vivo.
[503] В данном экспериментальном примере исследовали соотношения ингибирования для Конъюгата 144 в отношении уровня экспрессии APOC3 в ткани печени трансгенных по APOC3 человека мышей (B6; CBA-Tg(APOC3)3707Bres/J, приобретали в Jackson Lab) in vivo.[503] In this Experimental Example, the ratios of inhibition for Conjugate 144 were examined in relation to the expression level of APOC3 in liver tissue of human APOC3 transgenic mice (B6; CBA-Tg(APOC3)3707Bres/J, purchased from Jackson Lab) in vivo.
[504] Трансгенных по APOC3 человека мышей (возраст 6 - 8 недель, триглицерид > 2 ммоль/л) произвольно делили на группы (5 мышей в каждой группе). Конъюгаты 144 и Конъюгат 25 (в качестве сопоставимого конъюгата, так как миРНК в нем нацелена на полностью постороннюю мРНК) вводили мышам в каждой группе, соответственно. Дозировки лекарственного средства для всех животных рассчитывали в соответствии с массой тела. Разовую дозу вводили подкожно, при этом дозировка составляла 1 мг/кг и 0,1 мг/кг (по количеству миРНК), соответственно, в виде 0,2 мг/мл и 0,02 мг/мл 0,9% по массе водного раствора NaCl и при объеме дозы 5 мл/кг для конъюгатов миРНК. Мышей умерщвляли в День 14 после введения. Печень собирали и хранили в RNA later (Sigma Aldrich), и ткань печени гомогенизовали с помощью гомогенизатора тканей. Затем общую РНК экстрагировали и получали, применяя Trizol (Thermo Fisher), следуя стандартной процедуре экстрагирования общей РНК.[504] Human APOC3 transgenic mice (age 6-8 weeks, triglyceride > 2 mmol/l) were randomly divided into groups (5 mice per group). Conjugates 144 and Conjugate 25 (as a comparable conjugate since the siRNA in it targets the completely foreign mRNA) were administered to mice in each group, respectively. Drug dosages for all animals were calculated according to body weight. A single dose was administered subcutaneously, the dosage was 1 mg/kg and 0.1 mg/kg (by number of siRNA), respectively, as 0.2 mg/ml and 0.02 mg/ml 0.9% by weight of aqueous NaCl solution and at a dose volume of 5 ml/kg for miRNA conjugates. Mice were sacrificed on
[505] Уровень экспрессии мРНК APOC3 в ткани печени измеряли с помощью флуоресцентной количественной ПЦР в реальном времени. В частности, экстрагированную общую РНК обратно транскрибировали с получением кДНК, применяя набор для обратной транскрипции ImProm-II™ (Promega), в соответствии с инструкцией к набору, а затем измеряли эффективность ингибирования молекулами миРНК экспрессии мРНК APOC3 в ткани печени, применяя набор для флуоресцентной количественной ПЦР (Beijing Cowin Biosicences Co., Ltd). В данном способе флуоресцентной количественной ПЦР ген β-актина использовали в качестве гена внутреннего контроля и детектировали APOC3 и β-актин, применяя праймеры для APOC3 и β-актина, соответственно.[505] The expression level of APOC3 mRNA in liver tissue was measured by real-time fluorescence quantitative PCR. In particular, the extracted total RNA was reverse-transcribed to obtain cDNA using the ImProm-II™ Reverse Transcription Kit (Promega) according to the kit instructions, and then the efficiency of inhibition of APOC3 mRNA expression in liver tissue by the siRNA molecules was measured using the fluorescent kit. quantitative PCR (Beijing Cowin Biosicences Co., Ltd). In this fluorescent qPCR method, the β-actin gene was used as an internal control gene, and APOC3 and β-actin were detected using primers for APOC3 and β-actin, respectively.
[506] Последовательности праймеров для детектирования представлены в таблице 7F.[506] The primer sequences for detection are shown in Table 7F.
Таблица 7F. Последовательности праймеров для детектирования.Table 7F. Detection primer sequences.
(SEQ ID NO: 248)5'- GTGACCGATGGCTTCAGTTC-3'
 (SEQ ID NO: 248)
(SEQ ID NO: 249)5'-ATGGATAGGCAGGTGGACTT-3'
 (SEQ ID NO: 249)
(SEQ ID NO: 246)5'-AGCTTCTTTGCAGCTCCTTCGTTG-3'
 (SEQ ID NO: 246)
(SEQ ID NO: 247)5'-TTCTGACCCATTCCCACCATCACA-3'
 (SEQ ID NO: 247)
[507] Экспрессию мРНК APOC3 рассчитывали с помощью уравнения: экспрессия мРНК APOC3 = (экспрессия мРНК APOC3 в тестируемой группе/экспрессия мРНК β-актина в тестируемой группе)/(экспрессия мРНК APOC3 в контрольной группе/экспрессия мРНК β-актина в контрольной группе) × 100%.[507] APOC3 mRNA expression was calculated using the equation: APOC3 mRNA expression = (APOC3 mRNA expression in test group/β-actin mRNA expression in test group)/(APOC3 mRNA expression in control group/β-actin mRNA expression in control group) × 100%.
[508] Соотношение ингибирования для конъюгатов в отношении экспрессии мРНК APOC3 рассчитывали с помощью уравнения: соотношение ингибирования = [1-(экспрессия мРНК APOC3 в тестируемой группе/экспрессия мРНК β-актина в тестируемой группе)/(экспрессия мРНК APOC3 в контрольной группе/экспрессия мРНК β-актина в контрольной группе) × 100%. Здесь контрольная группа представляла собой группу контрольных мышей, которым вводили ФБР в данном эксперименте, и каждая тестируемая группа представляла собой группу мышей, которым вводили различные конъюгаты миРНК, соответственно. Результаты представлены на фиг. 44A.[508] The ratio of inhibition for the conjugates in relation to APOC3 mRNA expression was calculated using the equation: inhibition ratio = [1-(expression of APOC3 mRNA in the test group/expression of β-actin mRNA in the test group)/(expression of APOC3 mRNA in the control group/expression mRNA of β-actin in the control group) × 100%. Here, the control group was a group of control mice that were injected with PBS in this experiment, and each test group was a group of mice that were injected with different siRNA conjugates, respectively. The results are shown in FIG. 44A.
[509] По результатам, представленным на фиг. 44A, можно увидеть, что Конъюгаты 144 проявили превосходную ингибиторную активность в отношении экспрессии гена APOC3 человека в трансгенных мышах in vivo.[509] Based on the results shown in FIG. 44A, it can be seen that the 144 Conjugates showed excellent inhibitory activity on human APOC3 gene expression in transgenic mice in vivo.
Экспериментальный пример 9-2. В данном эксперименте проиллюстрировано влияние конъюгата миРНК в Конъюгатах 144 на содержание липидов в крови in vivo.Experimental Example 9-2. This experiment illustrates the effect of the siRNA conjugate in Conjugates 144 on blood lipids in vivo.
[510] В данном экспериментальном примере исследовали влияние in vivo конъюгата миРНК в Конъюгате 144 на содержание общего холестерина (ОХ) и триглицеридов (ТГ) в сыворотке трансгенных по APOC3 человека мышей (B6; CBA-Tg(APOC3)3707Bres/J, приобретали в Jackson Lab).[510] In this experimental example, the in vivo effect of the siRNA conjugate in Conjugate 144 on the content of total cholesterol (TC) and triglycerides (TG) in the serum of human APOC3 transgenic mice (B6; CBA-Tg(APOC3)3707Bres/J, purchased in Jackson Lab.
[511] Трансгенных по APOC3 человека мышей (возраст 6 - 8 недель, содержание ТГ > 2 ммоль/л) произвольно делили на группы (7 мышей в каждой группе): (1) контрольную группу ФР; (2) группу 3 мг/кг Конъюгата 144; (3) группу 1 мг/кг Конъюгата 144. Дозировки лекарственного средства для всех животных рассчитывали в соответствии с массой тела. Разовую дозу вводили подкожно, соответственно, в виде 0,6 мг/мл и 0,2 мг/мл 0,9% по массе водного раствора NaCl в объеме 5 мл/кг для конъюгата миРНК.[511] Human APOC3 transgenic mice (age 6-8 weeks, TG content > 2 mmol/l) were randomly divided into groups (7 mice in each group): (1) FR control group; (2) the 3 mg/kg group of Conjugate 144; (3) 1 mg/kg Conjugate 144 group. Drug dosages for all animals were calculated according to body weight. A single dose was administered subcutaneously, respectively, as 0.6 mg/ml and 0.2 mg/ml of 0.9% by weight aqueous NaCl solution in a volume of 5 ml/kg for the siRNA conjugate.
[512] Кровь (приблизительно 100 мкл) брали из глазниц до введения (регистрировали как День 0) и в Дни 7, 14, 21, 28, 35, 42, 49, 63, 77, 91, 112, 133, 147, 154, 161, 175 и 189 после введения, соответственно, и центрифугировали с получением сыворотки. Содержание общего холестерина (ОХ) и триглицеридов (ТГ) в сыворотке дополнительно измеряли, применяя полностью автоматический биохимический анализатор сыворотки PM1P000/3 (SABA, Италия). Результаты для липидов крови нормировали, и нормированные уровни липидов крови, а также соотношение ингибирования для уровней липидов крови соответствовали таковым в Экспериментальном примере 8-3. Результаты тестов представлены на фиг. 44B и 44C.[512] Blood (approximately 100 µl) was taken from the eye sockets before administration (recorded as Day 0) and on
[513] На фиг. 44B и 44C можно увидеть, что Конъюгат 144 оказал значимое понижающее действие на содержание ТГ и уровень ОХ в сыворотке мышей в течение вплоть до 189 дней, что свидетельствует о длительном, стабильном и эффективном ингибировании экспрессии гена APOC3 человека.[513] FIG. 44B and 44C it can be seen that Conjugate 144 had a significant lowering effect on TH and serum TC levels in mice for up to 189 days, indicating long-term, stable and effective inhibition of human APOC3 gene expression.
[514] В других экспериментах применяли описанный выше способ, за исключением того, что вводили Конъюгат 170, каждый при дозировке 0,1, 0,3, 1, 3 и 9 мг/кг (при одинаковом объеме дозы и измененной соответствующим образом концентрации конъюгатов в растворе); и данные собирали в течение до 112 дней после введения. Результаты представлены на фиг. 45A и 45B.[514] In other experiments, the method described above was used, except that Conjugate 170 was administered, each at a dosage of 0.1, 0.3, 1, 3, and 9 mg/kg (with the same dose volume and the concentration of conjugates changed accordingly in solution); and data was collected up to 112 days after administration. The results are shown in FIG. 45A and 45B.
[515] По результатам на фиг. 45A и 45B можно увидеть, что Конъюгаты 170 могут непрерывно снижать уровень липидов крови и мРНК ANGPTL3 в трансгенных мышах in vivo в течение вплоть до 112 дней, и у указанного снижения наблюдается значимая зависимость от дозы.[515] Based on the results in FIG. 45A and 45B, it can be seen that 170 Conjugates can continuously reduce blood lipids and ANGPTL3 mRNA in transgenic mice in vivo for up to 112 days, and this reduction shows a significant dose-dependence.
[516] В других экспериментах применяли описанный выше способ для измерения содержания общего холестерина (ОХ) и триглицеридов (ТГ) в сыворотке мышей, за исключением того, что вводили Конъюгаты 144, 170 и 171, а также Сопоставимый конъюгат 4, каждый при дозировке 1 мг/кг и 3 мг/кг (при одинаковом объеме дозы и измененной соответствующим образом концентрации конъюгатов в растворе); и данные собирали в течение до 112 дней после введения. Результаты представлены на фиг. 46A - 46D.[516] In other experiments, the method described above was used to measure the content of total cholesterol (TC) and triglycerides (TG) in the serum of mice, except that Conjugates 144, 170 and 171 were administered, as well as
[517] По результатам на фиг. 46A - 46D можно увидеть, что Конъюгаты 144, 170 и 171 проявили способность непрерывно снижать уровень липидов крови в трансгенных мышах в течение до 112 дней, и продолжительность такого снижения, в целом, была лучше по сравнению с Сопоставимым конъюгатом 4.[517] Based on the results in FIG. 46A-46D, it can be seen that Conjugates 144, 170 and 171 were able to continuously lower blood lipids in transgenic mice for up to 112 days, and the duration of such reduction was generally better compared to
[518] Выше подробно описаны варианты реализации настоящего изобретения, но настоящее изобретение не ограничено конкретными подробностями описанных выше вариантов реализации. Можно сделать различные простые варианты технического решения настоящего изобретения в рамках объема технического принципа настоящего изобретения, и данные простые варианты входят в объем настоящего изобретения.[518] The embodiments of the present invention have been described above in detail, but the present invention is not limited to the specific details of the embodiments described above. Various simple variations of the technical solution of the present invention can be made within the scope of the technical principle of the present invention, and these simple variations are within the scope of the present invention.
[519] Стоит отметить, что каждую из конкретных технических особенностей, описанных в вариантах реализации выше, можно комбинировать любым подходящим способом, если это не вызывает противоречия. Для того чтобы избежать ненужных повторений, различные возможные способы комбинирования более не описаны в настоящем описании.[519] It is worth noting that each of the specific technical features described in the embodiments above can be combined in any suitable way, as long as it does not cause conflict. In order to avoid unnecessary repetition, the various possible combinations are no longer described here.
[520] Кроме того, множество различных вариантов реализации настоящего изобретения также можно осуществить в любой комбинации, если это не противоречит идее настоящего изобретения, которые также должны расцениваться как раскрытие настоящего изобретения.[520] In addition, many different embodiments of the present invention can also be carried out in any combination, as long as it does not contradict the idea of the present invention, which should also be regarded as a disclosure of the present invention.
--->--->
ПЕРЕЧЕНЬ ПОСЛЕДОВАТЕЛЬНОСТЕЙ SEQUENCE LIST
<110> Suzhou Ribo Life Science Co.,Ltd.<110> Suzhou Ribo Life Science Co.,Ltd.
<120> КОНЪЮГАТЫ И ИХ ПОЛУЧЕНИЕ И ПРИМЕНЕНИЕ<120> CONJUGATES AND THEIR PRODUCTION AND USE
<130> DP1P182407ZX<130> DP1P182407ZX
<150> CN201711479058.9<150> CN201711479058.9
<151> 2017-12-29<151> 2017-12-29
<150> CN201811165363.5<150> CN201811165363.5
<151> 2018-09-30<151> 2018-09-30
<160> 251<160> 251
<170> PatentIn версии 3.5<170> PatentIn version 3.5
<210> 1<210> 1
<211> 19<211> 19
<212> РНК<212> RNA
<213> Искусственная последовательность<213> Artificial sequence
<220><220>
<223> Смысловая последовательность для siHBa1<223> Semantic sequence for siHBa1
<400> 1<400> 1
ccuugaggca uacuucaaa 19ccuugaggca uacuucaaa 19
<210> 2<210> 2
<211> 21<211> 21
<212> РНК<212> RNA
<213> Искусственная последовательность<213> Artificial sequence
<220><220>
<223> Антисмысловая последовательность для siHBa1<223> Antisense sequence for siHBa1
<400> 2<400> 2
uuugaaguau gccucaaggu u       21uuugaaguau gccucaaggu
<210> 3<210> 3
<211> 21<211> 21
<212> РНК<212> RNA
<213> Искусственная последовательность<213> Artificial sequence
<220><220>
<223> Смысловая последовательность для siHBa2<223> Semantic sequence for siHBa2
<400> 3<400> 3
gaccuugagg cauacuucaa a 21gaccuugagg cauacuucaa a 21
<210> 4<210> 4
<211> 23<211> 23
<212> РНК<212> RNA
<213> Искусственная последовательность<213> Artificial sequence
<220><220>
<223> Антисмысловая последовательность для siHBa2<223> Antisense sequence for siHBa2
<400> 4<400> 4
uuugaaguau gccucaaggu cgg 23uuugaaguau gccucaaggu cgg 23
<210> 5<210> 5
<211> 19<211> 19
<212> РНК<212> RNA
<213> Искусственная последовательность<213> Artificial sequence
<220><220>
<223> Смысловая последовательность для siHBa1M1<223> Semantic sequence for siHBa1M1
<400> 5<400> 5
ccuugaggca uacuucaaa 19ccuugaggca uacuucaaa 19
<210> 6<210> 6
<211> 21<211> 21
<212> РНК<212> RNA
<213> Искусственная последовательность<213> Artificial sequence
<220><220>
<223> Антисмысловая последовательность для siHBa1M1<223> Antisense sequence for siHBa1M1
<400> 6<400> 6
uuugaaguau gccucaaggu u       21uuugaaguau gccucaaggu
<210> 7<210> 7
<211> 19<211> 19
<212> РНК<212> RNA
<213> Искусственная последовательность<213> Artificial sequence
<220><220>
<223> Смысловая последовательность для siHBa1M2<223> Semantic sequence for siHBa1M2
<400> 7<400> 7
ccuugaggca uacuucaaa 19ccuugaggca uacuucaaa 19
<210> 8<210> 8
<211> 21<211> 21
<212> РНК<212> RNA
<213> Искусственная последовательность<213> Artificial sequence
<220><220>
<223> Антисмысловая последовательность для siHBa1M2<223> Antisense sequence for siHBa1M2
<400> 8<400> 8
uuugaaguau gccucaaggu u       21uuugaaguau gccucaaggu
<210> 9<210> 9
<211> 21<211> 21
<212> РНК<212> RNA
<213> Искусственная последовательность<213> Artificial sequence
<220><220>
<223> Смысловая последовательность для siHBa2M1<223> Semantic sequence for siHBa2M1
<400> 9<400> 9
gaccuugagg cauacuucaa a 21gaccuugagg cauacuucaa a 21
<210> 10<210> 10
<211> 23<211> 23
<212> РНК<212> RNA
<213> Искусственная последовательность<213> Artificial sequence
<220><220>
<223> Антисмысловая последовательность для siHBa2M1<223> Antisense sequence for siHBa2M1
<400> 10<400> 10
uuugaaguau gccucaaggu cgg 23uuugaaguau gccucaaggu cgg 23
<210> 11<210> 11
<211> 21<211> 21
<212> РНК<212> RNA
<213> Искусственная последовательность<213> Artificial sequence
<220><220>
<223> Смысловая последовательность для siHBa2M2<223> Semantic sequence for siHBa2M2
<400> 11<400> 11
gaccuugagg cauacuucaa a 21gaccuugagg cauacuucaa a 21
<210> 12<210> 12
<211> 23<211> 23
<212> РНК<212> RNA
<213> Искусственная последовательность<213> Artificial sequence
<220><220>
<223> Антисмысловая последовательность для siHBa2M2<223> Antisense sequence for siHBa2M2
<400> 12<400> 12
uuugaaguau gccucaaggu cgg 23uuugaaguau gccucaaggu cgg 23
<210> 13<210> 13
<211> 19<211> 19
<212> РНК<212> RNA
<213> Искусственная последовательность<213> Artificial sequence
<220><220>
<223> Смысловая последовательность для siHBa1M1S<223> Semantic sequence for siHBa1M1S
<400> 13<400> 13
ccuugaggca uacuucaaa 19ccuugaggca uacuucaaa 19
<210> 14<210> 14
<211> 21<211> 21
<212> РНК<212> RNA
<213> Искусственная последовательность<213> Artificial sequence
<220><220>
<223> Антисмысловая последовательность для siHBa1M1S<223> Antisense sequence for siHBa1M1S
<400> 14<400> 14
uuugaaguau gccucaaggu u       21uuugaaguau gccucaaggu
<210> 15<210> 15
<211> 19<211> 19
<212> РНК<212> RNA
<213> Искусственная последовательность<213> Artificial sequence
<220><220>
<223> Смысловая последовательность для siHBa1M2S<223> Semantic sequence for siHBa1M2S
<400> 15<400> 15
ccuugaggca uacuucaaa 19ccuugaggca uacuucaaa 19
<210> 16<210> 16
<211> 21<211> 21
<212> РНК<212> RNA
<213> Искусственная последовательность<213> Artificial sequence
<220><220>
<223> Антисмысловая последовательность для siHBa1M2S<223> Antisense sequence for siHBa1M2S
<400> 16<400> 16
uuugaaguau gccucaaggu u       21uuugaaguau gccucaaggu
<210> 17<210> 17
<211> 21<211> 21
<212> РНК<212> RNA
<213> Искусственная последовательность<213> Artificial sequence
<220><220>
<223> Смысловая последовательность для siHBa2M1S<223> Semantic sequence for siHBa2M1S
<400> 17<400> 17
gaccuugagg cauacuucaa a 21gaccuugagg cauacuucaa a 21
<210> 18<210> 18
<211> 23<211> 23
<212> РНК<212> RNA
<213> Искусственная последовательность<213> Artificial sequence
<220><220>
<223> Антисмысловая последовательность для siHBa2M1S<223> Antisense sequence for siHBa2M1S
<400> 18<400> 18
uuugaaguau gccucaaggu cgg 23uuugaaguau gccucaaggu cgg 23
<210> 19<210> 19
<211> 21<211> 21
<212> РНК<212> RNA
<213> Искусственная последовательность<213> Artificial sequence
<220><220>
<223> Смысловая последовательность для siHBa2M2S<223> Semantic sequence for siHBa2M2S
<400> 19<400> 19
gaccuugagg cauacuucaa a 21gaccuugagg cauacuucaa a 21
<210> 20<210> 20
<211> 23<211> 23
<212> РНК<212> RNA
<213> Искусственная последовательность<213> Artificial sequence
<220><220>
<223> Антисмысловая последовательность для siHBa2M2S<223> Antisense sequence for siHBa2M2S
<400> 20<400> 20
uuugaaguau gccucaaggu cgg 23uuugaaguau gccucaaggu cgg 23
<210> 21<210> 21
<211> 21<211> 21
<212> РНК<212> RNA
<213> Искусственная последовательность<213> Artificial sequence
<220><220>
<223> Антисмысловая последовательность для siHBa1M1P1<223> Antisense sequence for siHBa1M1P1
<400> 21<400> 21
uuugaaguau gccucaaggu u       21uuugaaguau gccucaaggu
<210> 22<210> 22
<211> 21<211> 21
<212> РНК<212> RNA
<213> Искусственная последовательность<213> Artificial sequence
<220><220>
<223> Антисмысловая последовательность для siHBa1M2P1<223> Antisense sequence for siHBa1M2P1
<400> 22<400> 22
uuugaaguau gccucaaggu u       21uuugaaguau gccucaaggu
<210> 23<210> 23
<211> 23<211> 23
<212> РНК<212> RNA
<213> Искусственная последовательность<213> Artificial sequence
<220><220>
<223> Антисмысловая последовательность для siHBa2M1P1<223> Antisense sequence for siHBa2M1P1
<400> 23<400> 23
uuugaaguau gccucaaggu cgg 23uuugaaguau gccucaaggu cgg 23
<210> 24<210> 24
<211> 23<211> 23
<212> РНК<212> RNA
<213> Искусственная последовательность<213> Artificial sequence
<220><220>
<223> Антисмысловая последовательность для siHBa2M2P1<223> Antisense sequence for siHBa2M2P1
<400> 24<400> 24
uuugaaguau gccucaaggu cgg 23uuugaaguau gccucaaggu cgg 23
<210> 25<210> 25
<211> 21<211> 21
<212> РНК<212> RNA
<213> Искусственная последовательность<213> Artificial sequence
<220><220>
<223> Антисмысловая последовательность для siHBa1M1SP1<223> Antisense sequence for siHBa1M1SP1
<400> 25<400> 25
uuugaaguau gccucaaggu u       21uuugaaguau gccucaaggu
<210> 26<210> 26
<211> 21<211> 21
<212> РНК<212> RNA
<213> Искусственная последовательность<213> Artificial sequence
<220><220>
<223> Антисмысловая последовательность для siHBa1M2SP1<223> Antisense sequence for siHBa1M2SP1
<400> 26<400> 26
uuugaaguau gccucaaggu u       21uuugaaguau gccucaaggu
<210> 27<210> 27
<211> 23<211> 23
<212> РНК<212> RNA
<213> Искусственная последовательность<213> Artificial sequence
<220><220>
<223> Антисмысловая последовательность для siHBa2M1SP1<223> Antisense sequence for siHBa2M1SP1
<400> 27<400> 27
uuugaaguau gccucaaggu cgg 23uuugaaguau gccucaaggu cgg 23
<210> 28<210> 28
<211> 23<211> 23
<212> РНК<212> RNA
<213> Искусственная последовательность<213> Artificial sequence
<220><220>
<223> Антисмысловая последовательность для siHBa2M2SP1<223> Antisense sequence for siHBa2M2SP1
<400> 28<400> 28
uuugaaguau gccucaaggu cgg 23uuugaaguau gccucaaggu cgg 23
<210> 29<210> 29
<211> 19<211> 19
<212> РНК<212> RNA
<213> Искусственная последовательность<213> Artificial sequence
<220><220>
<223> Смысловая последовательность для siHBb1<223> Semantic sequence for siHBb1
<400> 29<400> 29
ugcuaugccu caucuucua 19ugcuaugccu caucuucua 19
<210> 30<210> 30
<211> 21<211> 21
<212> РНК<212> RNA
<213> Искусственная последовательность<213> Artificial sequence
<220><220>
<223> Антисмысловая последовательность для siHBb1<223> Antisense sequence for siHBb1
<400> 30<400> 30
uagaagauga ggcauagcag c       21
<210> 31<210> 31
<211> 21<211> 21
<212> РНК<212> RNA
<213> Искусственная последовательность<213> Artificial sequence
<220><220>
<223> Антисмысловая последовательность для siHBb2<223> Antisense sequence for siHBb2
<400> 31<400> 31
uagaagauga ggcauagcau u       21
<210> 32<210> 32
<211> 19<211> 19
<212> РНК<212> RNA
<213> Искусственная последовательность<213> Artificial sequence
<220><220>
<223> Смысловая последовательность для siHBb1M1<223> Semantic sequence for siHBb1M1
<400> 32<400> 32
ugcuaugccu caucuucua 19ugcuaugccu caucuucua 19
<210> 33<210> 33
<211> 21<211> 21
<212> РНК<212> RNA
<213> Искусственная последовательность<213> Artificial sequence
<220><220>
<223> Антисмысловая последовательность для siHBb1M1<223> Antisense sequence for siHBb1M1
<400> 33<400> 33
uagaagauga ggcauagcag c       21
<210> 34<210> 34
<211> 21<211> 21
<212> РНК<212> RNA
<213> Искусственная последовательность<213> Artificial sequence
<220><220>
<223> Антисмысловая последовательность для siHBb2M1<223> Antisense sequence for siHBb2M1
<400> 34<400> 34
uagaagauga ggcauagcau u       21
<210> 35<210> 35
<211> 19<211> 19
<212> РНК<212> RNA
<213> Искусственная последовательность<213> Artificial sequence
<220><220>
<223> Смысловая последовательность для siHBb1M2<223> Semantic sequence for siHBb1M2
<400> 35<400> 35
ugcuaugccu caucuucua 19ugcuaugccu caucuucua 19
<210> 36<210> 36
<211> 21<211> 21
<212> РНК<212> RNA
<213> Искусственная последовательность<213> Artificial sequence
<220><220>
<223> Антисмысловая последовательность для siHBb1M2<223> Antisense sequence for siHBb1M2
<400> 36<400> 36
uagaagauga ggcauagcag c       21
<210> 37<210> 37
<211> 21<211> 21
<212> РНК<212> RNA
<213> Искусственная последовательность<213> Artificial sequence
<220><220>
<223> Антисмысловая последовательность для siHBb2M2<223> Antisense sequence for siHBb2M2
<400> 37<400> 37
uagaagauga ggcauagcau u       21
<210> 38<210> 38
<211> 19<211> 19
<212> РНК<212> RNA
<213> Искусственная последовательность<213> Artificial sequence
<220><220>
<223> Смысловая последовательность для siHBb1M1S<223> Semantic sequence for siHBb1M1S
<400> 38<400> 38
ugcuaugccu caucuucua 19ugcuaugccu caucuucua 19
<210> 39<210> 39
<211> 21<211> 21
<212> РНК<212> RNA
<213> Искусственная последовательность<213> Artificial sequence
<220><220>
<223> Антисмысловая последовательность для siHBb1M1S<223> Antisense sequence for siHBb1M1S
<400> 39<400> 39
uagaagauga ggcauagcag c       21
<210> 40<210> 40
<211> 21<211> 21
<212> РНК<212> RNA
<213> Искусственная последовательность<213> Artificial sequence
<220><220>
<223> Антисмысловая последовательность для siHBb2M1S<223> Antisense sequence for siHBb2M1S
<400> 40<400> 40
uagaagauga ggcauagcau u       21
<210> 41<210> 41
<211> 19<211> 19
<212> РНК<212> RNA
<213> Искусственная последовательность<213> Artificial sequence
<220><220>
<223> Смысловая последовательность для siHBb1M2S<223> Semantic sequence for siHBb1M2S
<400> 41<400> 41
ugcuaugccu caucuucua 19ugcuaugccu caucuucua 19
<210> 42<210> 42
<211> 21<211> 21
<212> РНК<212> RNA
<213> Искусственная последовательность<213> Artificial sequence
<220><220>
<223> Антисмысловая последовательность для siHBb1M2S<223> Antisense sequence for siHBb1M2S
<400> 42<400> 42
uagaagauga ggcauagcag c       21
<210> 43<210> 43
<211> 21<211> 21
<212> РНК<212> RNA
<213> Искусственная последовательность<213> Artificial sequence
<220><220>
<223> Антисмысловая последовательность для siHBb2M2S<223> Antisense sequence for siHBb2M2S
<400> 43<400> 43
uagaagauga ggcauagcau u       21
<210> 44<210> 44
<211> 21<211> 21
<212> РНК<212> RNA
<213> Искусственная последовательность<213> Artificial sequence
<220><220>
<223> Антисмысловая последовательность для siHBb1M1P1<223> Antisense sequence for siHBb1M1P1
<400> 44<400> 44
uagaagauga ggcauagcag c       21
<210> 45<210> 45
<211> 21<211> 21
<212> РНК<212> RNA
<213> Искусственная последовательность<213> Artificial sequence
<220><220>
<223> Антисмысловая последовательность для siHBb2M1P1<223> Antisense sequence for siHBb2M1P1
<400> 45<400> 45
uagaagauga ggcauagcau u       21
<210> 46<210> 46
<211> 21<211> 21
<212> РНК<212> RNA
<213> Искусственная последовательность<213> Artificial sequence
<220><220>
<223> Антисмысловая последовательность для siHBb1M2P1<223> Antisense sequence for siHBb1M2P1
<400> 46<400> 46
uagaagauga ggcauagcag c       21
<210> 47<210> 47
<211> 21<211> 21
<212> РНК<212> RNA
<213> Искусственная последовательность<213> Artificial sequence
<220><220>
<223> Антисмысловая последовательность для siHBb2M2P1<223> Antisense sequence for siHBb2M2P1
<400> 47<400> 47
uagaagauga ggcauagcau u       21
<210> 48<210> 48
<211> 21<211> 21
<212> РНК<212> RNA
<213> Искусственная последовательность<213> Artificial sequence
<220><220>
<223> Антисмысловая последовательность для siHBb1M1SP1<223> Antisense sequence for siHBb1M1SP1
<400> 48<400> 48
uagaagauga ggcauagcag c       21
<210> 49<210> 49
<211> 21<211> 21
<212> РНК<212> RNA
<213> Искусственная последовательность<213> Artificial sequence
<220><220>
<223> Антисмысловая последовательность для siHBb2M1SP1<223> Antisense sequence for siHBb2M1SP1
<400> 49<400> 49
uagaagauga ggcauagcau u       21
<210> 50<210> 50
<211> 21<211> 21
<212> РНК<212> RNA
<213> Искусственная последовательность<213> Artificial sequence
<220><220>
<223> Антисмысловая последовательность для siHBb1M2SP1<223> Antisense sequence for siHBb1M2SP1
<400> 50<400> 50
uagaagauga ggcauagcag c       21
<210> 51<210> 51
<211> 21<211> 21
<212> РНК<212> RNA
<213> Искусственная последовательность<213> Artificial sequence
<220><220>
<223> Антисмысловая последовательность для siHBb2M2SP1<223> Antisense sequence for siHBb2M2SP1
<400> 51<400> 51
uagaagauga ggcauagcau u       21
<210> 52<210> 52
<211> 19<211> 19
<212> РНК<212> RNA
<213> Искусственная последовательность<213> Artificial sequence
<220><220>
<223> Смысловая последовательность для siHBc1<223> Semantic sequence for siHBc1
<400> 52<400> 52
ucugugccuu cucaucuga 19ucugugccuu cucaucuga 19
<210> 53<210> 53
<211> 21<211> 21
<212> РНК<212> RNA
<213> Искусственная последовательность<213> Artificial sequence
<220><220>
<223> Антисмысловая последовательность для siHBc1<223> Antisense sequence for siHBc1
<400> 53<400> 53
ucagaugaga aggcacagac g       21ucagaugaga aggcacagac
<210> 54<210> 54
<211> 19<211> 19
<212> РНК<212> RNA
<213> Искусственная последовательность<213> Artificial sequence
<220><220>
<223> Смысловая последовательность для siHBc1M1<223> Semantic sequence for siHBc1M1
<400> 54<400> 54
ucugugccuu cucaucuga 19ucugugccuu cucaucuga 19
<210> 55<210> 55
<211> 21<211> 21
<212> РНК<212> RNA
<213> Искусственная последовательность<213> Artificial sequence
<220><220>
<223> Антисмысловая последовательность для siHBc1M1<223> Antisense sequence for siHBc1M1
<400> 55<400> 55
ucagaugaga aggcacagac g       21ucagaugaga aggcacagac
<210> 56<210> 56
<211> 19<211> 19
<212> РНК<212> RNA
<213> Искусственная последовательность<213> Artificial sequence
<220><220>
<223> Смысловая последовательность для siHBc1M2<223> Semantic sequence for siHBc1M2
<400> 56<400> 56
ucugugccuu cucaucuga 19ucugugccuu cucaucuga 19
<210> 57<210> 57
<211> 21<211> 21
<212> РНК<212> RNA
<213> Искусственная последовательность<213> Artificial sequence
<220><220>
<223> Антисмысловая последовательность для siHBc1M2<223> Antisense sequence for siHBc1M2
<400> 57<400> 57
ucagaugaga aggcacagac g       21ucagaugaga aggcacagac
<210> 58<210> 58
<211> 19<211> 19
<212> РНК<212> RNA
<213> Искусственная последовательность<213> Artificial sequence
<220><220>
<223> Смысловая последовательность для siHBc1M1S<223> Semantic sequence for siHBc1M1S
<400> 58<400> 58
ucugugccuu cucaucuga 19ucugugccuu cucaucuga 19
<210> 59<210> 59
<211> 21<211> 21
<212> РНК<212> RNA
<213> Искусственная последовательность<213> Artificial sequence
<220><220>
<223> Антисмысловая последовательность для siHBc1M1S<223> Antisense sequence for siHBc1M1S
<400> 59<400> 59
ucagaugaga aggcacagac g       21ucagaugaga aggcacagac
<210> 60<210> 60
<211> 19<211> 19
<212> РНК<212> RNA
<213> Искусственная последовательность<213> Artificial sequence
<220><220>
<223> Смысловая последовательность для siHBc1M2S<223> Semantic sequence for siHBc1M2S
<400> 60<400> 60
ucugugccuu cucaucuga 19ucugugccuu cucaucuga 19
<210> 61<210> 61
<211> 21<211> 21
<212> РНК<212> RNA
<213> Искусственная последовательность<213> Artificial sequence
<220><220>
<223> Антисмысловая последовательность для siHBc1M2S<223> Antisense sequence for siHBc1M2S
<400> 61<400> 61
ucagaugaga aggcacagac g       21ucagaugaga aggcacagac
<210> 62<210> 62
<211> 21<211> 21
<212> РНК<212> RNA
<213> Искусственная последовательность<213> Artificial sequence
<220><220>
<223> Антисмысловая последовательность для siHBc1M1P1<223> Antisense sequence for siHBc1M1P1
<400> 62<400> 62
ucagaugaga aggcacagac g       21ucagaugaga aggcacagac
<210> 63<210> 63
<211> 21<211> 21
<212> РНК<212> RNA
<213> Искусственная последовательность<213> Artificial sequence
<220><220>
<223> Антисмысловая последовательность для siHBc1M2P1<223> Antisense sequence for siHBc1M2P1
<400> 63<400> 63
ucagaugaga aggcacagac g       21ucagaugaga aggcacagac
<210> 64<210> 64
<211> 21<211> 21
<212> РНК<212> RNA
<213> Искусственная последовательность<213> Artificial sequence
<220><220>
<223> Антисмысловая последовательность для siHBc1M1SP1<223> Antisense sequence for siHBc1M1SP1
<400> 64<400> 64
ucagaugaga aggcacagac g       21ucagaugaga aggcacagac
<210> 65<210> 65
<211> 21<211> 21
<212> РНК<212> RNA
<213> Искусственная последовательность<213> Artificial sequence
<220><220>
<223> Антисмысловая последовательность для siHBc1M2SP1<223> Antisense sequence for siHBc1M2SP1
<400> 65<400> 65
ucagaugaga aggcacagac g       21ucagaugaga aggcacagac
<210> 66<210> 66
<211> 19<211> 19
<212> РНК<212> RNA
<213> Искусственная последовательность<213> Artificial sequence
<220><220>
<223> Смысловая последовательность для siHBd1<223> Semantic sequence for siHBd1
<400> 66<400> 66
cgugugcacu ucgcuucaa 19cgugugcacu ucgcuucaa 19
<210> 67<210> 67
<211> 21<211> 21
<212> РНК<212> RNA
<213> Искусственная последовательность<213> Artificial sequence
<220><220>
<223> Антисмысловая последовательность для siHBd1<223> Antisense sequence for siHBd1
<400> 67<400> 67
uugaagcgaa gugcacacgg u       21uugaagcgaa gugcacacgg
<210> 68<210> 68
<211> 19<211> 19
<212> РНК<212> RNA
<213> Искусственная последовательность<213> Artificial sequence
<220><220>
<223> Смысловая последовательность для siHBd1M1<223> Semantic sequence for siHBd1M1
<400> 68<400> 68
cgugugcacu ucgcuucaa 19cgugugcacu ucgcuucaa 19
<210> 69<210> 69
<211> 21<211> 21
<212> РНК<212> RNA
<213> Искусственная последовательность<213> Artificial sequence
<220><220>
<223> Антисмысловая последовательность для siHBd1M1<223> Antisense sequence for siHBd1M1
<400> 69<400> 69
uugaagcgaa gugcacacgg u       21uugaagcgaa gugcacacgg
<210> 70<210> 70
<211> 19<211> 19
<212> РНК<212> RNA
<213> Искусственная последовательность<213> Artificial sequence
<220><220>
<223> Смысловая последовательность для siHBd1M2<223> Semantic sequence for siHBd1M2
<400> 70<400> 70
cgugugcacu ucgcuucaa 19cgugugcacu ucgcuucaa 19
<210> 71<210> 71
<211> 21<211> 21
<212> РНК<212> RNA
<213> Искусственная последовательность<213> Artificial sequence
<220><220>
<223> Антисмысловая последовательность для siHBd1M2<223> Antisense sequence for siHBd1M2
<400> 71<400> 71
uugaagcgaa gugcacacgg u       21uugaagcgaa gugcacacgg
<210> 72<210> 72
<211> 19<211> 19
<212> РНК<212> RNA
<213> Искусственная последовательность<213> Artificial sequence
<220><220>
<223> Смысловая последовательность для siHBd1M1S<223> Semantic string for siHBd1M1S
<400> 72<400> 72
cgugugcacu ucgcuucaa 19cgugugcacu ucgcuucaa 19
<210> 73<210> 73
<211> 21<211> 21
<212> РНК<212> RNA
<213> Искусственная последовательность<213> Artificial sequence
<220><220>
<223> Антисмысловая последовательность для siHBd1M1S<223> Antisense sequence for siHBd1M1S
<400> 73<400> 73
uugaagcgaa gugcacacgg u       21uugaagcgaa gugcacacgg
<210> 74<210> 74
<211> 19<211> 19
<212> РНК<212> RNA
<213> Искусственная последовательность<213> Artificial sequence
<220><220>
<223> Смысловая последовательность для siHBd1M2S<223> Semantic sequence for siHBd1M2S
<400> 74<400> 74
cgugugcacu ucgcuucaa 19cgugugcacu ucgcuucaa 19
<210> 75<210> 75
<211> 21<211> 21
<212> РНК<212> RNA
<213> Искусственная последовательность<213> Artificial sequence
<220><220>
<223> Антисмысловая последовательность для siHBd1M2S<223> Antisense sequence for siHBd1M2S
<400> 75<400> 75
uugaagcgaa gugcacacgg u       21uugaagcgaa gugcacacgg
<210> 76<210> 76
<211> 21<211> 21
<212> РНК<212> RNA
<213> Искусственная последовательность<213> Artificial sequence
<220><220>
<223> Антисмысловая последовательность для siHBd1M1P1<223> Antisense sequence for siHBd1M1P1
<400> 76<400> 76
uugaagcgaa gugcacacgg u       21uugaagcgaa gugcacacgg
<210> 77<210> 77
<211> 21<211> 21
<212> РНК<212> RNA
<213> Искусственная последовательность<213> Artificial sequence
<220><220>
<223> Антисмысловая последовательность для siHBd1M2P1<223> Antisense sequence for siHBd1M2P1
<400> 77<400> 77
uugaagcgaa gugcacacgg u       21uugaagcgaa gugcacacgg
<210> 78<210> 78
<211> 21<211> 21
<212> РНК<212> RNA
<213> Искусственная последовательность<213> Artificial sequence
<220><220>
<223> Антисмысловая последовательность для siHBd1M1SP1<223> Antisense sequence for siHBd1M1SP1
<400> 78<400> 78
uugaagcgaa gugcacacgg u       21uugaagcgaa gugcacacgg
<210> 79<210> 79
<211> 21<211> 21
<212> РНК<212> RNA
<213> Искусственная последовательность<213> Artificial sequence
<220><220>
<223> Антисмысловая последовательность для siHBd1M2SP1<223> Antisense sequence for siHBd1M2SP1
<400> 79<400> 79
uugaagcgaa gugcacacgg u       21uugaagcgaa gugcacacgg
<210> 80<210> 80
<211> 19<211> 19
<212> РНК<212> RNA
<213> Искусственная последовательность<213> Artificial sequence
<220><220>
<223> Смысловая последовательность для siAN1<223> Semantic sequence for siAN1
<400> 80<400> 80
ccaagagcac caagaacua 19ccaagagcac caagaacua 19
<210> 81<210> 81
<211> 21<211> 21
<212> РНК<212> RNA
<213> Искусственная последовательность<213> Artificial sequence
<220><220>
<223> Антисмысловая последовательность для siAN1<223> Antisense sequence for siAN1
<400> 81<400> 81
uaguucuugg ugcucuuggc u       21uaguucuugg ugcucuuggc
<210> 82<210> 82
<211> 21<211> 21
<212> РНК<212> RNA
<213> Искусственная последовательность<213> Artificial sequence
<220><220>
<223> Смысловая последовательность для siAN2<223> Semantic sequence for siAN2
<400> 82<400> 82
agccaagagc accaagaacu a 21agccaagagc accaagaacu a 21
<210> 83<210> 83
<211> 23<211> 23
<212> РНК<212> RNA
<213> Искусственная последовательность<213> Artificial sequence
<220><220>
<223> Антисмысловая последовательность для siAN2<223> Antisense sequence for siAN2
<400> 83<400> 83
uaguucuugg ugcucuuggc uug 23uaguucuugg ugcucuuggc uug 23
<210> 84<210> 84
<211> 19<211> 19
<212> РНК<212> RNA
<213> Искусственная последовательность<213> Artificial sequence
<220><220>
<223> Смысловая последовательность для siAN1M1<223> Semantic sequence for siAN1M1
<400> 84<400> 84
ccaagagcac caagaacua 19ccaagagcac caagaacua 19
<210> 85<210> 85
<211> 21<211> 21
<212> РНК<212> RNA
<213> Искусственная последовательность<213> Artificial sequence
<220><220>
<223> Антисмысловая последовательность для siAN1M1<223> Antisense sequence for siAN1M1
<400> 85<400> 85
uaguucuugg ugcucuuggc u       21uaguucuugg ugcucuuggc
<210> 86<210> 86
<211> 21<211> 21
<212> РНК<212> RNA
<213> Искусственная последовательность<213> Artificial sequence
<220><220>
<223> Смысловая последовательность для siAN2M1<223> Semantic sequence for siAN2M1
<400> 86<400> 86
agccaagagc accaagaacu a 21agccaagagc accaagaacu a 21
<210> 87<210> 87
<211> 23<211> 23
<212> РНК<212> RNA
<213> Искусственная последовательность<213> Artificial sequence
<220><220>
<223> Антисмысловая последовательность для siAN2M1<223> Antisense sequence for siAN2M1
<400> 87<400> 87
uaguucuugg ugcucuuggc uug 23uaguucuugg ugcucuuggc uug 23
<210> 88<210> 88
<211> 21<211> 21
<212> РНК<212> RNA
<213> Искусственная последовательность<213> Artificial sequence
<220><220>
<223> Антисмысловая последовательность для siAN1M2<223> Antisense sequence for siAN1M2
<400> 88<400> 88
uaguucuugg ugcucuuggc u       21uaguucuugg ugcucuuggc
<210> 89<210> 89
<211> 23<211> 23
<212> РНК<212> RNA
<213> Искусственная последовательность<213> Artificial sequence
<220><220>
<223> Антисмысловая последовательность для siAN2M2<223> Antisense sequence for siAN2M2
<400> 89<400> 89
uaguucuugg ugcucuuggc uug 23uaguucuugg ugcucuuggc uug 23
<210> 90<210> 90
<211> 19<211> 19
<212> РНК<212> RNA
<213> Искусственная последовательность<213> Artificial sequence
<220><220>
<223> Смысловая последовательность для siAN1M3<223> Semantic sequence for siAN1M3
<400> 90<400> 90
ccaagagcac caagaacua 19ccaagagcac caagaacua 19
<210> 91<210> 91
<211> 21<211> 21
<212> РНК<212> RNA
<213> Искусственная последовательность<213> Artificial sequence
<220><220>
<223> Смысловая последовательность для siAN2M3<223> Semantic sequence for siAN2M3
<400> 91<400> 91
agccaagagc accaagaacu a 21agccaagagc accaagaacu a 21
<210> 92<210> 92
<211> 19<211> 19
<212> РНК<212> RNA
<213> Искусственная последовательность<213> Artificial sequence
<220><220>
<223> Смысловая последовательность для siAN1M1S<223> Semantic sequence for siAN1M1S
<400> 92<400> 92
ccaagagcac caagaacua 19ccaagagcac caagaacua 19
<210> 93<210> 93
<211> 21<211> 21
<212> РНК<212> RNA
<213> Искусственная последовательность<213> Artificial sequence
<220><220>
<223> Антисмысловая последовательность для siAN1M1S<223> Antisense sequence for siAN1M1S
<400> 93<400> 93
uaguucuugg ugcucuuggc u       21uaguucuugg ugcucuuggc
<210> 94<210> 94
<211> 21<211> 21
<212> РНК<212> RNA
<213> Искусственная последовательность<213> Artificial sequence
<220><220>
<223> Смысловая последовательность для siAN2M1S<223> Semantic sequence for siAN2M1S
<400> 94<400> 94
agccaagagc accaagaacu a 21agccaagagc accaagaacu a 21
<210> 95<210> 95
<211> 23<211> 23
<212> РНК<212> RNA
<213> Искусственная последовательность<213> Artificial sequence
<220><220>
<223> Антисмысловая последовательность для siAN2M1S<223> Antisense sequence for siAN2M1S
<400> 95<400> 95
uaguucuugg ugcucuuggc uug 23uaguucuugg ugcucuuggc uug 23
<210> 96<210> 96
<211> 21<211> 21
<212> РНК<212> RNA
<213> Искусственная последовательность<213> Artificial sequence
<220><220>
<223> Антисмысловая последовательность для siAN1M2S<223> Antisense sequence for siAN1M2S
<400> 96<400> 96
uaguucuugg ugcucuuggc u       21uaguucuugg ugcucuuggc
<210> 97<210> 97
<211> 23<211> 23
<212> РНК<212> RNA
<213> Искусственная последовательность<213> Artificial sequence
<220><220>
<223> Антисмысловая последовательность для siAN2M2S<223> Antisense sequence for siAN2M2S
<400> 97<400> 97
uaguucuugg ugcucuuggc uug 23uaguucuugg ugcucuuggc uug 23
<210> 98<210> 98
<211> 19<211> 19
<212> РНК<212> RNA
<213> Искусственная последовательность<213> Artificial sequence
<220><220>
<223> Смысловая последовательность для siAN1M3S<223> Semantic sequence for siAN1M3S
<400> 98<400> 98
ccaagagcac caagaacua 19ccaagagcac caagaacua 19
<210> 99<210> 99
<211> 21<211> 21
<212> РНК<212> RNA
<213> Искусственная последовательность<213> Artificial sequence
<220><220>
<223> Смысловая последовательность для siAN2M3S<223> Semantic sequence for siAN2M3S
<400> 99<400> 99
agccaagagc accaagaacu a 21agccaagagc accaagaacu a 21
<210> 100<210> 100
<211> 21<211> 21
<212> РНК<212> RNA
<213> Искусственная последовательность<213> Artificial sequence
<220><220>
<223> Антисмысловая последовательность для siAN1M1P1<223> Antisense sequence for siAN1M1P1
<400> 100<400> 100
uaguucuugg ugcucuuggc u       21uaguucuugg ugcucuuggc
<210> 101<210> 101
<211> 23<211> 23
<212> РНК<212> RNA
<213> Искусственная последовательность<213> Artificial sequence
<220><220>
<223> Антисмысловая последовательность для siAN2M1P1<223> Antisense sequence for siAN2M1P1
<400> 101<400> 101
uaguucuugg ugcucuuggc uug 23uaguucuugg ugcucuuggc uug 23
<210> 102<210> 102
<211> 21<211> 21
<212> РНК<212> RNA
<213> Искусственная последовательность<213> Artificial sequence
<220><220>
<223> Антисмысловая последовательность для siAN1M2P1<223> Antisense sequence for siAN1M2P1
<400> 102<400> 102
uaguucuugg ugcucuuggc u       21uaguucuugg ugcucuuggc
<210> 103<210> 103
<211> 23<211> 23
<212> РНК<212> RNA
<213> Искусственная последовательность<213> Artificial sequence
<220><220>
<223> Антисмысловая последовательность для siAN2M2P1<223> Antisense sequence for siAN2M2P1
<400> 103<400> 103
uaguucuugg ugcucuuggc uug 23uaguucuugg ugcucuuggc uug 23
<210> 104<210> 104
<211> 21<211> 21
<212> РНК<212> RNA
<213> Искусственная последовательность<213> Artificial sequence
<220><220>
<223> Антисмысловая последовательность для siAN1M1SP1<223> Antisense sequence for siAN1M1SP1
<400> 104<400> 104
uaguucuugg ugcucuuggc u       21uaguucuugg ugcucuuggc
<210> 105<210> 105
<211> 23<211> 23
<212> РНК<212> RNA
<213> Искусственная последовательность<213> Artificial sequence
<220><220>
<223> Антисмысловая последовательность для siAN2M1SP1<223> Antisense sequence for siAN2M1SP1
<400> 105<400> 105
uaguucuugg ugcucuuggc uug 23uaguucuugg ugcucuuggc uug 23
<210> 106<210> 106
<211> 21<211> 21
<212> РНК<212> RNA
<213> Искусственная последовательность<213> Artificial sequence
<220><220>
<223> Антисмысловая последовательность для siAN1M3SP1<223> Antisense sequence for siAN1M3SP1
<400> 106<400> 106
uaguucuugg ugcucuuggc u       21uaguucuugg ugcucuuggc
<210> 107<210> 107
<211> 23<211> 23
<212> РНК<212> RNA
<213> Искусственная последовательность<213> Artificial sequence
<220><220>
<223> Антисмысловая последовательность для siAN2M3SP1<223> Antisense sequence for siAN2M3SP1
<400> 107<400> 107
uaguucuugg ugcucuuggc uug 23uaguucuugg ugcucuuggc uug 23
<210> 108<210> 108
<211> 19<211> 19
<212> РНК<212> RNA
<213> Искусственная последовательность<213> Artificial sequence
<220><220>
<223> Смысловая последовательность для siAP1<223> Semantic sequence for siAP1
<400> 108<400> 108
caauaaagcu ggacaagaa 19caauaaagcu ggacaagaa 19
<210> 109<210> 109
<211> 21<211> 21
<212> РНК<212> RNA
<213> Искусственная последовательность<213> Artificial sequence
<220><220>
<223> Антисмысловая последовательность для siAP1<223> Antisense sequence for siAP1
<400> 109<400> 109
uucuugucca gcuuuauugg g       21uucuugucca gcuuuuugg
<210> 110<210> 110
<211> 21<211> 21
<212> РНК<212> RNA
<213> Искусственная последовательность<213> Artificial sequence
<220><220>
<223> Смысловая последовательность для siAP2<223> Semantic sequence for siAP2
<400> 110<400> 110
cccaauaaag cuggacaaga a 21cccaauaaag cuggacaaga a 21
<210> 111<210> 111
<211> 23<211> 23
<212> РНК<212> RNA
<213> Искусственная последовательность<213> Artificial sequence
<220><220>
<223> Антисмысловая последовательность для siAP2<223> Antisense sequence for siAP2
<400> 111<400> 111
uucuugucca gcuuuauugg gag 23uucuugucca gcuuuuugg gag 23
<210> 112<210> 112
<211> 19<211> 19
<212> РНК<212> RNA
<213> Искусственная последовательность<213> Artificial sequence
<220><220>
<223> Смысловая последовательность для siAP1M1<223> Semantic sequence for siAP1M1
<400> 112<400> 112
caauaaagcu ggacaagaa 19caauaaagcu ggacaagaa 19
<210> 113<210> 113
<211> 21<211> 21
<212> РНК<212> RNA
<213> Искусственная последовательность<213> Artificial sequence
<220><220>
<223> Антисмысловая последовательность для siAP1M1<223> Antisense sequence for siAP1M1
<400> 113<400> 113
uucuugucca gcuuuauugg g       21uucuugucca gcuuuuugg
<210> 114<210> 114
<211> 21<211> 21
<212> РНК<212> RNA
<213> Искусственная последовательность<213> Artificial sequence
<220><220>
<223> Смысловая последовательность для siAP2M1<223> Semantic sequence for siAP2M1
<400> 114<400> 114
cccaauaaag cuggacaaga a 21cccaauaaag cuggacaaga a 21
<210> 115<210> 115
<211> 23<211> 23
<212> РНК<212> RNA
<213> Искусственная последовательность<213> Artificial sequence
<220><220>
<223> Антисмысловая последовательность для siAP2M1<223> Antisense sequence for siAP2M1
<400> 115<400> 115
uucuugucca gcuuuauugg gag 23uucuugucca gcuuuuugg gag 23
<210> 116<210> 116
<211> 19<211> 19
<212> РНК<212> RNA
<213> Искусственная последовательность<213> Artificial sequence
<220><220>
<223> Смысловая последовательность для siAP1M2<223> Semantic sequence for siAP1M2
<400> 116<400> 116
caauaaagcu ggacaagaa 19caauaaagcu ggacaagaa 19
<210> 117<210> 117
<211> 21<211> 21
<212> РНК<212> RNA
<213> Искусственная последовательность<213> Artificial sequence
<220><220>
<223> Антисмысловая последовательность для siAP1M2<223> Antisense sequence for siAP1M2
<400> 117<400> 117
uucuugucca gcuuuauugg g       21uucuugucca gcuuuuugg
<210> 118<210> 118
<211> 21<211> 21
<212> РНК<212> RNA
<213> Искусственная последовательность<213> Artificial sequence
<220><220>
<223> Смысловая последовательность для siAP2M2<223> Semantic sequence for siAP2M2
<400> 118<400> 118
cccaauaaag cuggacaaga a 21cccaauaaag cuggacaaga a 21
<210> 119<210> 119
<211> 23<211> 23
<212> РНК<212> RNA
<213> Искусственная последовательность<213> Artificial sequence
<220><220>
<223> Антисмысловая последовательность для siAP2M2<223> Antisense sequence for siAP2M2
<400> 119<400> 119
uucuugucca gcuuuauugg gag 23uucuugucca gcuuuuugg gag 23
<210> 120<210> 120
<211> 19<211> 19
<212> РНК<212> RNA
<213> Искусственная последовательность<213> Artificial sequence
<220><220>
<223> Смысловая последовательность для siAP1M1S<223> Semantic sequence for siAP1M1S
<400> 120<400> 120
caauaaagcu ggacaagaa 19caauaaagcu ggacaagaa 19
<210> 121<210> 121
<211> 21<211> 21
<212> РНК<212> RNA
<213> Искусственная последовательность<213> Artificial sequence
<220><220>
<223> Антисмысловая последовательность для siAP1M1S<223> Antisense sequence for siAP1M1S
<400> 121<400> 121
uucuugucca gcuuuauugg g       21uucuugucca gcuuuuugg
<210> 122<210> 122
<211> 21<211> 21
<212> РНК<212> RNA
<213> Искусственная последовательность<213> Artificial sequence
<220><220>
<223> Смысловая последовательность для siAP2M1S<223> Semantic sequence for siAP2M1S
<400> 122<400> 122
cccaauaaag cuggacaaga a 21cccaauaaag cuggacaaga a 21
<210> 123<210> 123
<211> 23<211> 23
<212> РНК<212> RNA
<213> Искусственная последовательность<213> Artificial sequence
<220><220>
<223> Антисмысловая последовательность для siAP2M1S<223> Antisense sequence for siAP2M1S
<400> 123<400> 123
uucuugucca gcuuuauugg gag 23uucuugucca gcuuuuugg gag 23
<210> 124<210> 124
<211> 19<211> 19
<212> РНК<212> RNA
<213> Искусственная последовательность<213> Artificial sequence
<220><220>
<223> Смысловая последовательность для siAP1M2S<223> Semantic sequence for siAP1M2S
<400> 124<400> 124
caauaaagcu ggacaagaa 19caauaaagcu ggacaagaa 19
<210> 125<210> 125
<211> 21<211> 21
<212> РНК<212> RNA
<213> Искусственная последовательность<213> Artificial sequence
<220><220>
<223> Антисмысловая последовательность для siAP1M2S<223> Antisense sequence for siAP1M2S
<400> 125<400> 125
uucuugucca gcuuuauugg g       21uucuugucca gcuuuuugg
<210> 126<210> 126
<211> 21<211> 21
<212> РНК<212> RNA
<213> Искусственная последовательность<213> Artificial sequence
<220><220>
<223> Смысловая последовательность для siAP2M2S<223> Semantic sequence for siAP2M2S
<400> 126<400> 126
cccaauaaag cuggacaaga a 21cccaauaaag cuggacaaga a 21
<210> 127<210> 127
<211> 23<211> 23
<212> РНК<212> RNA
<213> Искусственная последовательность<213> Artificial sequence
<220><220>
<223> Антисмысловая последовательность для siAP2M2S<223> Antisense sequence for siAP2M2S
<400> 127<400> 127
uucuugucca gcuuuauugg gag 23uucuugucca gcuuuuugg gag 23
<210> 128<210> 128
<211> 21<211> 21
<212> РНК<212> RNA
<213> Искусственная последовательность<213> Artificial sequence
<220><220>
<223> Антисмысловая последовательность для siAP1M1P1<223> Antisense sequence for siAP1M1P1
<400> 128<400> 128
uucuugucca gcuuuauugg g       21uucuugucca gcuuuuugg
<210> 129<210> 129
<211> 23<211> 23
<212> РНК<212> RNA
<213> Искусственная последовательность<213> Artificial sequence
<220><220>
<223> Антисмысловая последовательность для siAP2M1P1<223> Antisense sequence for siAP2M1P1
<400> 129<400> 129
uucuugucca gcuuuauugg gag 23uucuugucca gcuuuuugg gag 23
<210> 130<210> 130
<211> 21<211> 21
<212> РНК<212> RNA
<213> Искусственная последовательность<213> Artificial sequence
<220><220>
<223> Антисмысловая последовательность для siAP1M2P1<223> Antisense sequence for siAP1M2P1
<400> 130<400> 130
uucuugucca gcuuuauugg g       21uucuugucca gcuuuuugg
<210> 131<210> 131
<211> 23<211> 23
<212> РНК<212> RNA
<213> Искусственная последовательность<213> Artificial sequence
<220><220>
<223> Антисмысловая последовательность для siAP2M2P1<223> Antisense sequence for siAP2M2P1
<400> 131<400> 131
uucuugucca gcuuuauugg gag 23uucuugucca gcuuuuugg gag 23
<210> 132<210> 132
<211> 21<211> 21
<212> РНК<212> RNA
<213> Искусственная последовательность<213> Artificial sequence
<220><220>
<223> Антисмысловая последовательность для siAP1M1SP1<223> Antisense sequence for siAP1M1SP1
<400> 132<400> 132
uucuugucca gcuuuauugg g       21uucuugucca gcuuuuugg
<210> 133<210> 133
<211> 23<211> 23
<212> РНК<212> RNA
<213> Искусственная последовательность<213> Artificial sequence
<220><220>
<223> Антисмысловая последовательность для siAP2M1SP1<223> Antisense sequence for siAP2M1SP1
<400> 133<400> 133
uucuugucca gcuuuauugg gag 23uucuugucca gcuuuuugg gag 23
<210> 134<210> 134
<211> 21<211> 21
<212> РНК<212> RNA
<213> Искусственная последовательность<213> Artificial sequence
<220><220>
<223> Антисмысловая последовательность для siAP1M2SP1<223> Antisense sequence for siAP1M2SP1
<400> 134<400> 134
uucuugucca gcuuuauugg g       21uucuugucca gcuuuuugg
<210> 135<210> 135
<211> 23<211> 23
<212> РНК<212> RNA
<213> Искусственная последовательность<213> Artificial sequence
<220><220>
<223> Антисмысловая последовательность для siAP2M2SP1<223> Antisense sequence for siAP2M2SP1
<400> 135<400> 135
uucuugucca gcuuuauugg gag 23uucuugucca gcuuuuugg gag 23
<210> 136<210> 136
<211> 21<211> 21
<212> РНК<212> RNA
<213> Искусственная последовательность<213> Artificial sequence
<220><220>
<223> Антисмысловая последовательность для L10-siHBa1M1P<223> Antisense sequence for L10-siHBa1M1P
<400> 136<400> 136
uuugaaguau gccucaaggu u       21uuugaaguau gccucaaggu
<210> 137<210> 137
<211> 21<211> 21
<212> РНК<212> RNA
<213> Искусственная последовательность<213> Artificial sequence
<220><220>
<223> Антисмысловая последовательность для L10-siHBa1M2P<223> Antisense sequence for L10-siHBa1M2P
<400> 137<400> 137
uuugaaguau gccucaaggu u       21uuugaaguau gccucaaggu
<210> 138<210> 138
<211> 23<211> 23
<212> РНК<212> RNA
<213> Искусственная последовательность<213> Artificial sequence
<220><220>
<223> Антисмысловая последовательность для L10-siHBa2M1P<223> Antisense sequence for L10-siHBa2M1P
<400> 138<400> 138
uuugaaguau gccucaaggu cgg 23uuugaaguau gccucaaggu cgg 23
<210> 139<210> 139
<211> 23<211> 23
<212> РНК<212> RNA
<213> Искусственная последовательность<213> Artificial sequence
<220><220>
<223> Антисмысловая последовательность для L10-siHBa2M2P<223> Antisense sequence for L10-siHBa2M2P
<400> 139<400> 139
uuugaaguau gccucaaggu cgg 23uuugaaguau gccucaaggu cgg 23
<210> 140<210> 140
<211> 21<211> 21
<212> РНК<212> RNA
<213> Искусственная последовательность<213> Artificial sequence
<220><220>
<223> Антисмысловая последовательность для L10-siHBa1M1SP<223> Antisense sequence for L10-siHBa1M1SP
<400> 140<400> 140
uuugaaguau gccucaaggu u       21uuugaaguau gccucaaggu
<210> 141<210> 141
<211> 21<211> 21
<212> РНК<212> RNA
<213> Искусственная последовательность<213> Artificial sequence
<220><220>
<223> Антисмысловая последовательность для L10-siHBa1M2SP<223> Antisense sequence for L10-siHBa1M2SP
<400> 141<400> 141
uuugaaguau gccucaaggu u       21uuugaaguau gccucaaggu
<210> 142<210> 142
<211> 23<211> 23
<212> РНК<212> RNA
<213> Искусственная последовательность<213> Artificial sequence
<220><220>
<223> Антисмысловая последовательность для L10-siHBa2M1SP<223> Antisense sequence for L10-siHBa2M1SP
<400> 142<400> 142
uuugaaguau gccucaaggu cgg 23uuugaaguau gccucaaggu cgg 23
<210> 143<210> 143
<211> 23<211> 23
<212> РНК<212> RNA
<213> Искусственная последовательность<213> Artificial sequence
<220><220>
<223> Антисмысловая последовательность для L10-siHBa2M2SP<223> Antisense sequence for L10-siHBa2M2SP
<400> 143<400> 143
uuugaaguau gccucaaggu cgg 23uuugaaguau gccucaaggu cgg 23
<210> 144<210> 144
<211> 19<211> 19
<212> РНК<212> RNA
<213> Искусственная последовательность<213> Artificial sequence
<220><220>
<223> Смысловая последовательность для L10-siHBa1M3SP<223> Semantic sequence for L10-siHBa1M3SP
<400> 144<400> 144
ccuugaggca uacuucaaa 19ccuugaggca uacuucaaa 19
<210> 145<210> 145
<211> 21<211> 21
<212> РНК<212> RNA
<213> Искусственная последовательность<213> Artificial sequence
<220><220>
<223> Антисмысловая последовательность для L10-siHBa1M4SP<223> Antisense sequence for L10-siHBa1M4SP
<400> 145<400> 145
uuugaaguau gccucaaggu u       21uuugaaguau gccucaaggu
<210> 146<210> 146
<211> 21<211> 21
<212> РНК<212> RNA
<213> Искусственная последовательность<213> Artificial sequence
<220><220>
<223> Антисмысловая последовательность для L10-siHBb1M1SP<223> Antisense sequence for L10-siHBb1M1SP
<400> 146<400> 146
uagaagauga ggcauagcag c       21
<210> 147<210> 147
<211> 21<211> 21
<212> РНК<212> RNA
<213> Искусственная последовательность<213> Artificial sequence
<220><220>
<223> Антисмысловая последовательность для L10-siHBb2M1SP<223> Antisense sequence for L10-siHBb2M1SP
<400> 147<400> 147
uagaagauga ggcauagcau u       21
<210> 148<210> 148
<211> 21<211> 21
<212> РНК<212> RNA
<213> Искусственная последовательность<213> Artificial sequence
<220><220>
<223> Антисмысловая последовательность для L10-siHBb1M2SP<223> Antisense sequence for L10-siHBb1M2SP
<400> 148<400> 148
uagaagauga ggcauagcag c       21
<210> 149<210> 149
<211> 21<211> 21
<212> РНК<212> RNA
<213> Искусственная последовательность<213> Artificial sequence
<220><220>
<223> Антисмысловая последовательность для L10-siHBb2M2SP<223> Antisense sequence for L10-siHBb2M2SP
<400> 149<400> 149
uagaagauga ggcauagcau u       21
<210> 150<210> 150
<211> 21<211> 21
<212> РНК<212> RNA
<213> Искусственная последовательность<213> Artificial sequence
<220><220>
<223> Смысловая последовательность для L10-siHBb1M3SP<223> Semantic sequence for L10-siHBb1M3SP
<400> 150<400> 150
uagaagauga ggcauagcag c       21
<210> 151<210> 151
<211> 21<211> 21
<212> РНК<212> RNA
<213> Искусственная последовательность<213> Artificial sequence
<220><220>
<223> Антисмысловая последовательность для L10-siHBb1M4SP<223> Antisense sequence for L10-siHBb1M4SP
<400> 151<400> 151
uagaagauga ggcauagcag c       21
<210> 152<210> 152
<211> 21<211> 21
<212> РНК<212> RNA
<213> Искусственная последовательность<213> Artificial sequence
<220><220>
<223> Смысловая последовательность для L10-siHBb4M1SP<223> Semantic sequence for L10-siHBb4M1SP
<400> 152<400> 152
gcugcuaugc cucaucuucu a 21gcugcuaugc cucaucuucu a 21
<210> 153<210> 153
<211> 23<211> 23
<212> РНК<212> RNA
<213> Искусственная последовательность<213> Artificial sequence
<220><220>
<223> Антисмысловая последовательность для L10-siHBb4M1SP<223> Antisense sequence for L10-siHBb4M1SP
<400> 153<400> 153
uagaagauga ggcauagcag cgc 23uagaagauga ggcauagcag cgc 23
<210> 154<210> 154
<211> 21<211> 21
<212> РНК<212> RNA
<213> Искусственная последовательность<213> Artificial sequence
<220><220>
<223> Антисмысловая последовательность для L10-siHBc1M1SP<223> Antisense sequence for L10-siHBc1M1SP
<400> 154<400> 154
ucagaugaga aggcacagac g       21ucagaugaga aggcacagac
<210> 155<210> 155
<211> 21<211> 21
<212> РНК<212> RNA
<213> Искусственная последовательность<213> Artificial sequence
<220><220>
<223> Антисмысловая последовательность для L10-siHBc1M2SP<223> Antisense sequence for L10-siHBc1M2SP
<400> 155<400> 155
ucagaugaga aggcacagac g       21ucagaugaga aggcacagac
<210> 156<210> 156
<211> 19<211> 19
<212> РНК<212> RNA
<213> Искусственная последовательность<213> Artificial sequence
<220><220>
<223> Смысловая последовательность для L10-siHBc1M3SP<223> Semantic sequence for L10-siHBc1M3SP
<400> 156<400> 156
ucugugccuu cucaucuga 19ucugugccuu cucaucuga 19
<210> 157<210> 157
<211> 21<211> 21
<212> РНК<212> RNA
<213> Искусственная последовательность<213> Artificial sequence
<220><220>
<223> Антисмысловая последовательность для L10-siHBc1M4SP<223> Antisense sequence for L10-siHBc1M4SP
<400> 157<400> 157
ucagaugaga aggcacagac g       21ucagaugaga aggcacagac
<210> 158<210> 158
<211> 21<211> 21
<212> РНК<212> RNA
<213> Искусственная последовательность<213> Artificial sequence
<220><220>
<223> Смысловая последовательность для L10-siHBc2M1SP<223> Semantic sequence for L10-siHBc2M1SP
<400> 158<400> 158
cgucugugcc uucucaucug a 21cgucugugcc uucucaucaug a 21
<210> 159<210> 159
<211> 23<211> 23
<212> РНК<212> RNA
<213> Искусственная последовательность<213> Artificial sequence
<220><220>
<223> Антисмысловая последовательность для L10-siHBc2M1SP<223> Antisense sequence for L10-siHBc2M1SP
<400> 159<400> 159
ucagaugaga aggcacagac ggg 23ucagaugaga aggcacagac ggg 23
<210> 160<210> 160
<211> 21<211> 21
<212> РНК<212> RNA
<213> Искусственная последовательность<213> Artificial sequence
<220><220>
<223> Антисмысловая последовательность для L10-siHBd1M1SP<223> Antisense sequence for L10-siHBd1M1SP
<400> 160<400> 160
uugaagcgaa gugcacacgg u       21uugaagcgaa gugcacacgg
<210> 161<210> 161
<211> 21<211> 21
<212> РНК<212> RNA
<213> Искусственная последовательность<213> Artificial sequence
<220><220>
<223> Антисмысловая последовательность для L10-siHBd1M2SP<223> Antisense sequence for L10-siHBd1M2SP
<400> 161<400> 161
uugaagcgaa gugcacacgg u       21uugaagcgaa gugcacacgg
<210> 162<210> 162
<211> 19<211> 19
<212> РНК<212> RNA
<213> Искусственная последовательность<213> Artificial sequence
<220><220>
<223> Смысловая последовательность для L10-siHBd1M3SP<223> Semantic sequence for L10-siHBd1M3SP
<400> 162<400> 162
cgugugcacu ucgcuucaa 19cgugugcacu ucgcuucaa 19
<210> 163<210> 163
<211> 21<211> 21
<212> РНК<212> RNA
<213> Искусственная последовательность<213> Artificial sequence
<220><220>
<223> Антисмысловая последовательность для L10-siHBd1M4SP<223> Antisense sequence for L10-siHBd1M4SP
<400> 163<400> 163
ucagaugaga aggcacagac g       21ucagaugaga aggcacagac
<210> 164<210> 164
<211> 21<211> 21
<212> РНК<212> RNA
<213> Искусственная последовательность<213> Artificial sequence
<220><220>
<223> Смысловая последовательность для L10-siHBd2M1SP<223> Semantic sequence for L10-siHBd2M1SP
<400> 164<400> 164
accgugugca cuucgcuuca a 21accgugugca cuucgcuuca a 21
<210> 165<210> 165
<211> 23<211> 23
<212> РНК<212> RNA
<213> Искусственная последовательность<213> Artificial sequence
<220><220>
<223> Антисмысловая последовательность для L10-siHBd2M1SP<223> Antisense sequence for L10-siHBd2M1SP
<400> 165<400> 165
uugaagcgaa gugcacacgg ucc 23uugaagcgaa gugcacacgg ucc 23
<210> 166<210> 166
<211> 21<211> 21
<212> РНК<212> RNA
<213> Искусственная последовательность<213> Artificial sequence
<220><220>
<223> Антисмысловая последовательность для L10-siAN1M1P<223> Antisense sequence for L10-siAN1M1P
<400> 166<400> 166
uaguucuugg ugcucuuggc u       21uaguucuugg ugcucuuggc
<210> 167<210> 167
<211> 23<211> 23
<212> РНК<212> RNA
<213> Искусственная последовательность<213> Artificial sequence
<220><220>
<223> Антисмысловая последовательность для L10-siAN2M1P<223> Antisense sequence for L10-siAN2M1P
<400> 167<400> 167
uaguucuugg ugcucuuggc uug 23uaguucuugg ugcucuuggc uug 23
<210> 168<210> 168
<211> 21<211> 21
<212> РНК<212> RNA
<213> Искусственная последовательность<213> Artificial sequence
<220><220>
<223> Антисмысловая последовательность для L10-siAN1M2P<223> Antisense sequence for L10-siAN1M2P
<400> 168<400> 168
uaguucuugg ugcucuuggc u       21uaguucuugg ugcucuuggc
<210> 169<210> 169
<211> 23<211> 23
<212> РНК<212> RNA
<213> Искусственная последовательность<213> Artificial sequence
<220><220>
<223> Антисмысловая последовательность для L10-siAN2M2P<223> Antisense sequence for L10-siAN2M2P
<400> 169<400> 169
uaguucuugg ugcucuuggc uug 23uaguucuugg ugcucuuggc uug 23
<210> 170<210> 170
<211> 21<211> 21
<212> РНК<212> RNA
<213> Искусственная последовательность<213> Artificial sequence
<220><220>
<223> Антисмысловая последовательность для L10-siAN1M1SP<223> Antisense sequence for L10-siAN1M1SP
<400> 170<400> 170
uaguucuugg ugcucuuggc u       21uaguucuugg ugcucuuggc
<210> 171<210> 171
<211> 23<211> 23
<212> РНК<212> RNA
<213> Искусственная последовательность<213> Artificial sequence
<220><220>
<223> Антисмысловая последовательность для L10-siAN2M1SP<223> Antisense sequence for L10-siAN2M1SP
<400> 171<400> 171
uaguucuugg ugcucuuggc uug 23uaguucuugg ugcucuuggc uug 23
<210> 172<210> 172
<211> 21<211> 21
<212> РНК<212> RNA
<213> Искусственная последовательность<213> Artificial sequence
<220><220>
<223> Антисмысловая последовательность для L10-siAN1M2SP<223> Antisense sequence for L10-siAN1M2SP
<400> 172<400> 172
uaguucuugg ugcucuuggc u       21uaguucuugg ugcucuuggc
<210> 173<210> 173
<211> 23<211> 23
<212> РНК<212> RNA
<213> Искусственная последовательность<213> Artificial sequence
<220><220>
<223> Антисмысловая последовательность для L10-siAN2M2SP<223> Antisense sequence for L10-siAN2M2SP
<400> 173<400> 173
uaguucuugg ugcucuuggc uug 23uaguucuugg ugcucuuggc uug 23
<210> 174<210> 174
<211> 21<211> 21
<212> РНК<212> RNA
<213> Искусственная последовательность<213> Artificial sequence
<220><220>
<223> Антисмысловая последовательность для L10-siAN1M4S<223> Antisense sequence for L10-siAN1M4S
<400> 174<400> 174
uaguucuugg ugcucuuggc u       21uaguucuugg ugcucuuggc
<210> 175<210> 175
<211> 21<211> 21
<212> РНК<212> RNA
<213> Искусственная последовательность<213> Artificial sequence
<220><220>
<223> Антисмысловая последовательность для L10-siAN1M4SP<223> Antisense sequence for L10-siAN1M4SP
<400> 175<400> 175
uaguucuugg ugcucuuggc u       21uaguucuugg ugcucuuggc
<210> 176<210> 176
<211> 19<211> 19
<212> РНК<212> RNA
<213> Искусственная последовательность<213> Artificial sequence
<220><220>
<223> Смысловая последовательность для L10-siAN1M5S<223> Semantic sequence for L10-siAN1M5S
<400> 176<400> 176
ccaagagcac caagaacua 19ccaagagcac caagaacua 19
<210> 177<210> 177
<211> 21<211> 21
<212> РНК<212> RNA
<213> Искусственная последовательность<213> Artificial sequence
<220><220>
<223> Антисмысловая последовательность для L10-siAN1M5S<223> Antisense sequence for L10-siAN1M5S
<400> 177<400> 177
uaguucuugg ugcucuuggc u       21uaguucuugg ugcucuuggc
<210> 178<210> 178
<211> 21<211> 21
<212> РНК<212> RNA
<213> Искусственная последовательность<213> Artificial sequence
<220><220>
<223> Антисмысловая последовательность для L10-siAN1M5SP<223> Antisense sequence for L10-siAN1M5SP
<400> 178<400> 178
uaguucuugg ugcucuuggc u       21uaguucuugg ugcucuuggc
<210> 179<210> 179
<211> 21<211> 21
<212> РНК<212> RNA
<213> Искусственная последовательность<213> Artificial sequence
<220><220>
<223> Антисмысловая последовательность для L10-siAP1M1P<223> Antisense sequence for L10-siAP1M1P
<400> 179<400> 179
uucuugucca gcuuuauugg g       21uucuugucca gcuuuuugg
<210> 180<210> 180
<211> 23<211> 23
<212> РНК<212> RNA
<213> Искусственная последовательность<213> Artificial sequence
<220><220>
<223> Антисмысловая последовательность для L10-siAP2M1P<223> Antisense sequence for L10-siAP2M1P
<400> 180<400> 180
uucuugucca gcuuuauugg gag 23uucuugucca gcuuuuugg gag 23
<210> 181<210> 181
<211> 21<211> 21
<212> РНК<212> RNA
<213> Искусственная последовательность<213> Artificial sequence
<220><220>
<223> Антисмысловая последовательность для L10-siAP1M2P<223> Antisense sequence for L10-siAP1M2P
<400> 181<400> 181
uucuugucca gcuuuauugg g       21uucuugucca gcuuuuugg
<210> 182<210> 182
<211> 23<211> 23
<212> РНК<212> RNA
<213> Искусственная последовательность<213> Artificial sequence
<220><220>
<223> Антисмысловая последовательность для L10-siAP2M2P<223> Antisense sequence for L10-siAP2M2P
<400> 182<400> 182
uucuugucca gcuuuauugg gag 23uucuugucca gcuuuuugg gag 23
<210> 183<210> 183
<211> 21<211> 21
<212> РНК<212> RNA
<213> Искусственная последовательность<213> Artificial sequence
<220><220>
<223> Антисмысловая последовательность для L10-siAP1M1SP<223> Antisense sequence for L10-siAP1M1SP
<400> 183<400> 183
uucuugucca gcuuuauugg g       21uucuugucca gcuuuuugg
<210> 184<210> 184
<211> 23<211> 23
<212> РНК<212> RNA
<213> Искусственная последовательность<213> Artificial sequence
<220><220>
<223> Антисмысловая последовательность для L10-siAP2M1SP<223> Antisense sequence for L10-siAP2M1SP
<400> 184<400> 184
uucuugucca gcuuuauugg gag 23uucuugucca gcuuuuugg gag 23
<210> 185<210> 185
<211> 21<211> 21
<212> РНК<212> RNA
<213> Искусственная последовательность<213> Artificial sequence
<220><220>
<223> Антисмысловая последовательность для L10-siAP1M2SP<223> Antisense sequence for L10-siAP1M2SP
<400> 185<400> 185
uucuugucca gcuuuauugg g       21uucuugucca gcuuuuugg
<210> 186<210> 186
<211> 23<211> 23
<212> РНК<212> RNA
<213> Искусственная последовательность<213> Artificial sequence
<220><220>
<223> Антисмысловая последовательность для L10-siAP2M2SP<223> Antisense sequence for L10-siAP2M2SP
<400> 186<400> 186
uucuugucca gcuuuauugg gag 23uucuugucca gcuuuuugg gag 23
<210> 187<210> 187
<211> 20<211> 20
<212> ДНК<212> DNA
<213> Искусственная последовательность<213> Artificial sequence
<220><220>
<223> прямой праймер для mTTR<223> forward primer for mTTR
<400> 187<400> 187
ccgtctgtgc cttctcatct       20
<210> 188<210> 188
<211> 20<211> 20
<212> ДНК<212> DNA
<213> Искусственная последовательность<213> Artificial sequence
<220><220>
<223> обратный праймер для mTTR<223> reverse primer for mTTR
<400> 188<400> 188
taatctcctc ccccaactcc 20taatctcctc ccccaactcc 20
<210> 189<210> 189
<211> 20<211> 20
<212> ДНК<212> DNA
<213> Искусственная последовательность<213> Artificial sequence
<220><220>
<223> прямой праймер для GAPDH<223> forward primer for GAPDH
<400> 189<400> 189
agaaggctgg ggctcatttg       20
<210> 190<210> 190
<211> 20<211> 20
<212> ДНК<212> DNA
<213> Искусственная последовательность<213> Artificial sequence
<220><220>
<223> обратный праймер для GAPDH<223> reverse primer for GAPDH
<400> 190<400> 190
aggggccatc cacagtcttc 20aggggccatc cacagtcttc 20
<210> 191<210> 191
<211> 24<211> 24
<212> ДНК<212> DNA
<213> Искусственная последовательность<213> Artificial sequence
<220><220>
<223> прямой праймер для b-актина<223> b-actin forward primer
<400> 191<400> 191
agcttctttg cagctccttc gttg 24agcttctttg cagctccttc gttg 24
<210> 192<210> 192
<211> 24<211> 24
<212> ДНК<212> DNA
<213> Искусственная последовательность<213> Artificial sequence
<220><220>
<223> обратный праймер для b-актина<223> b-actin reverse primer
<400> 192<400> 192
ttctgaccca ttcccaccat caca 24ttctgaccca ttcccaccat caca 24
<210> 193<210> 193
<211> 21<211> 21
<212> ДНК<212> DNA
<213> Искусственная последовательность<213> Artificial sequence
<220><220>
<223> прямой праймер для HBV<223> HBV forward primer
<400> 193<400> 193
cgtttctcct ggctcagttt a 21cgtttctcct ggctcagttt a 21
<210> 194<210> 194
<211> 21<211> 21
<212> ДНК<212> DNA
<213> Искусственная последовательность<213> Artificial sequence
<220><220>
<223> обратный праймер для HBV<223> HBV reverse primer
<400> 194<400> 194
cagcggtaaa aagggactca a 21cagcggtaaa aagggactca a 21
<210> 195<210> 195
<211> 21<211> 21
<212> РНК<212> RNA
<213> Искусственная последовательность<213> Artificial sequence
<220><220>
<223> Смысловая последовательность для AD-65695<223> Semantic sequence for AD-65695
<400> 195<400> 195
acauauuuga ucagucuuuu u       21
<210> 196<210> 196
<211> 23<211> 23
<212> РНК<212> RNA
<213> Искусственная последовательность<213> Artificial sequence
<220><220>
<223> Антисмысловая последовательность для AD-65695<223> Antisense sequence for AD-65695
<400> 196<400> 196
aaaaagacug aucaaauaug uug 23aaaaagacug aucaaauauug uug 23
<210> 197<210> 197
<211> 21<211> 21
<212> РНК<212> RNA
<213> Искусственная последовательность<213> Artificial sequence
<220><220>
<223> Смысловая последовательность для AD-69535<223> Semantic sequence for AD-69535
<400> 197<400> 197
gcuuaaaagg gacaguauuc a 21gcuuaaaagg gacaguauuc a 21
<210> 198<210> 198
<211> 23<211> 23
<212> РНК<212> RNA
<213> Искусственная последовательность<213> Artificial sequence
<220><220>
<223> Антисмысловая последовательность для AD-69535<223> Antisense sequence for AD-69535
<400> 198<400> 198
ugaauacugu cccuuuuaag caa 23ugaauacugu cccuuuuaag caa 23
<210> 199<210> 199
<211> 23<211> 23
<212> ДНК<212> DNA
<213> Искусственная последовательность<213> Artificial sequence
<220><220>
<223> прямой праймер для ANGPTL3 мыши<223> forward primer for ANGPTL3 mouse
<400> 199<400> 199
gaggagcagc taaccaactt aat 23gaggagcagc taaccaactt aat 23
<210> 200<210> 200
<211> 23<211> 23
<212> ДНК<212> DNA
<213> Искусственная последовательность<213> Artificial sequence
<220><220>
<223> обратный праймер для ANGPTL3 мыши<223> ANGPTL3 mouse reverse primer
<400> 200<400> 200
tctgcatgtg ctgttgactt aat 23tctgcatgtg ctgttgactt aat 23
<210> 201<210> 201
<211> 24<211> 24
<212> ДНК<212> DNA
<213> Искусственная последовательность<213> Artificial sequence
<220><220>
<223> прямой праймер для GAPDH мыши<223> mouse GAPDH forward primer
<400> 201<400> 201
aactttggca ttgtggaagg gctc 24aactttggca ttgtggaagg gctc 24
<210> 202<210> 202
<211> 24<211> 24
<212> ДНК<212> DNA
<213> Искусственная последовательность<213> Artificial sequence
<220><220>
<223> обратный праймер для GAPDH мыши<223> mouse GAPDH reverse primer
<400> 202<400> 202
tggaagagtg ggagttgctg ttga 24tggaagagtg ggagttgctg ttga 24
<210> 203<210> 203
<211> 21<211> 21
<212> РНК<212> RNA
<213> Искусственная последовательность<213> Artificial sequence
<220><220>
<223> Антисмысловая последовательность для W8-siAN1M3SPs<223> Antisense sequence for W8-siAN1M3SPs
<400> 203<400> 203
uaguucuugg ugcucuuggc u       21uaguucuugg ugcucuuggc
<210> 204<210> 204
<211> 21<211> 21
<212> РНК<212> RNA
<213> Искусственная последовательность<213> Artificial sequence
<220><220>
<223> Смысловая последовательность для L10-simTTR<223> Semantic sequence for L10-simTTR
<400> 204<400> 204
aacaguguuc uugcucuaua a 21aacaguguuc uugcucuaua a 21
<210> 205<210> 205
<211> 23<211> 23
<212> РНК<212> RNA
<213> Искусственная последовательность<213> Artificial sequence
<220><220>
<223> Антисмысловая последовательность для L10-simTTR<223> Antisense sequence for L10-simTTR
<400> 205<400> 205
uuauagagca agaacacugu uuu 23uuuuagagca agaacacugu uuu 23
<210> 206<210> 206
<211> 19<211> 19
<212> РНК<212> RNA
<213> Искусственная последовательность<213> Artificial sequence
<220><220>
<223> Смысловая последовательность для L10-siHBa1M2Sps<223> Semantic sequence for L10-siHBa1M2Sps
<400> 206<400> 206
ccuugaggca uacuucaaa 19ccuugaggca uacuucaaa 19
<210> 207<210> 207
<211> 21<211> 21
<212> РНК<212> RNA
<213> Искусственная последовательность<213> Artificial sequence
<220><220>
<223> Антисмысловая последовательность для L10-siHBa1M2Sps<223> Antisense sequence for L10-siHBa1M2Sps
<400> 207<400> 207
uuugaaguau gccucaaggu u       21uuugaaguau gccucaaggu
<210> 208<210> 208
<211> 19<211> 19
<212> РНК<212> RNA
<213> Искусственная последовательность<213> Artificial sequence
<220><220>
<223> Смысловая последовательность для L10- siHBa1M2Sp<223> Semantic sequence for L10- siHBa1M2Sp
<400> 208<400> 208
ccuugaggca uacuucaaa 19ccuugaggca uacuucaaa 19
<210> 209<210> 209
<211> 21<211> 21
<212> РНК<212> RNA
<213> Искусственная последовательность<213> Artificial sequence
<220><220>
<223> Антисмысловая последовательность для L10- siHBa1M2Sp<223> Antisense sequence for L10-siHBa1M2Sp
<400> 209<400> 209
uuugaaguau gccucaaggu u       21uuugaaguau gccucaaggu
<210> 210<210> 210
<211> 19<211> 19
<212> РНК<212> RNA
<213> Искусственная последовательность<213> Artificial sequence
<220><220>
<223> Смысловая последовательность для L10-siHBa1M1Sp<223> Semantic sequence for L10-siHBa1M1Sp
<400> 210<400> 210
ccuugaggca uacuucaaa 19ccuugaggca uacuucaaa 19
<210> 211<210> 211
<211> 21<211> 21
<212> РНК<212> RNA
<213> Искусственная последовательность<213> Artificial sequence
<220><220>
<223> Антисмысловая последовательность для L10-siHBa1M1Sp<223> Antisense sequence for L10-siHBa1M1Sp
<400> 211<400> 211
uuugaaguau gccucaaggu u       21uuugaaguau gccucaaggu
<210> 212<210> 212
<211> 19<211> 19
<212> РНК<212> RNA
<213> Искусственная последовательность<213> Artificial sequence
<220><220>
<223> Смысловая последовательность для L10- siHBa1M1SpsT<223> Semantic sequence for L10- siHBa1M1SpsT
<400> 212<400> 212
ccuugaggca uacuucaaa 19ccuugaggca uacuucaaa 19
<210> 213<210> 213
<211> 20<211> 20
<212> РНК<212> RNA
<213> Искусственная последовательность<213> Artificial sequence
<220><220>
<223> Антисмысловая последовательность для L10- siHBa1M1SpsT<223> Antisense sequence for L10-siHBa1M1SpsT
<400> 213<400> 213
uugaaguaug ccucaagguu       20
<210> 214<210> 214
<211> 19<211> 19
<212> РНК<212> RNA
<213> Искусственная последовательность<213> Artificial sequence
<220><220>
<223> Смысловая последовательность для L10-siHBa1M1Sps<223> Semantic sequence for L10-siHBa1M1Sps
<400> 214<400> 214
ccuugaggca uacuucaaa 19ccuugaggca uacuucaaa 19
<210> 215<210> 215
<211> 21<211> 21
<212> РНК<212> RNA
<213> Искусственная последовательность<213> Artificial sequence
<220><220>
<223> Антисмысловая последовательность для L10-siHBa1M1Sps<223> Antisense sequence for L10-siHBa1M1Sps
<400> 215<400> 215
uuugaaguau gccucaaggu u       21uuugaaguau gccucaaggu
<210> 216<210> 216
<211> 19<211> 19
<212> РНК<212> RNA
<213> Искусственная последовательность<213> Artificial sequence
<220><220>
<223> Смысловая последовательность для P10-siHBa1M2SP<223> Semantic sequence for P10-siHBa1M2SP
<400> 216<400> 216
ccuugaggca uacuucaaa 19ccuugaggca uacuucaaa 19
<210> 217<210> 217
<211> 21<211> 21
<212> РНК<212> RNA
<213> Искусственная последовательность<213> Artificial sequence
<220><220>
<223> Антисмысловая последовательность для P10-siHBa1M2SP<223> Antisense sequence for P10-siHBa1M2SP
<400> 217<400> 217
uuugaaguau gccucaaggu u       21uuugaaguau gccucaaggu
<210> 218<210> 218
<211> 19<211> 19
<212> РНК<212> RNA
<213> Искусственная последовательность<213> Artificial sequence
<220><220>
<223> Смысловая последовательность для W8-siHBa1M2SP<223> Semantic sequence for W8-siHBa1M2SP
<400> 218<400> 218
ccuugaggca uacuucaaa 19ccuugaggca uacuucaaa 19
<210> 219<210> 219
<211> 21<211> 21
<212> РНК<212> RNA
<213> Искусственная последовательность<213> Artificial sequence
<220><220>
<223> Антисмысловая последовательность для W8-siHBa1M2SP<223> Antisense sequence for W8-siHBa1M2SP
<400> 219<400> 219
uuugaaguau gccucaaggu u       21uuugaaguau gccucaaggu
<210> 220<210> 220
<211> 19<211> 19
<212> РНК<212> RNA
<213> Искусственная последовательность<213> Artificial sequence
<220><220>
<223> Смысловая последовательность для Z5-siHBa1M2SP<223> Semantic sequence for Z5-siHBa1M2SP
<400> 220<400> 220
ccuugaggca uacuucaaa 19ccuugaggca uacuucaaa 19
<210> 221<210> 221
<211> 21<211> 21
<212> РНК<212> RNA
<213> Искусственная последовательность<213> Artificial sequence
<220><220>
<223> Антисмысловая последовательность для Z5-siHBa1M2SP<223> Antisense sequence for Z5-siHBa1M2SP
<400> 221<400> 221
uuugaaguau gccucaaggu u       21uuugaaguau gccucaaggu
<210> 222<210> 222
<211> 19<211> 19
<212> РНК<212> RNA
<213> Искусственная последовательность<213> Artificial sequence
<220><220>
<223> Смысловая последовательность для L10-siP1M1Sp<223> Semantic sequence for L10-siP1M1Sp
<400> 222<400> 222
gaaaguaugu caacgaaua 19gaaaguaugu caacgaaua 19
<210> 223<210> 223
<211> 21<211> 21
<212> РНК<212> RNA
<213> Искусственная последовательность<213> Artificial sequence
<220><220>
<223> Антисмысловая последовательность для L10-siP1M1Sp<223> Antisense sequence for L10-siP1M1Sp
<400> 223<400> 223
uauucguuga cauacuuucu u       21
<210> 224<210> 224
<211> 19<211> 19
<212> РНК<212> RNA
<213> Искусственная последовательность<213> Artificial sequence
<220><220>
<223> Смысловая последовательность для L10-siP1M1SP<223> Semantic sequence for L10-siP1M1SP
<400> 224<400> 224
gaaaguaugu caacgaaua 19gaaaguaugu caacgaaua 19
<210> 225<210> 225
<211> 21<211> 21
<212> РНК<212> RNA
<213> Искусственная последовательность<213> Artificial sequence
<220><220>
<223> Антисмысловая последовательность для L10-siP1M1SP<223> Antisense sequence for L10-siP1M1SP
<400> 225<400> 225
uauucguuga cauacuuucu u       21
<210> 226<210> 226
<211> 21<211> 21
<212> РНК<212> RNA
<213> Искусственная последовательность<213> Artificial sequence
<220><220>
<223> Смысловая последовательность для L10-siAN2M1Sp<223> Semantic sequence for L10-siAN2M1Sp
<400> 226<400> 226
agccaagagc accaagaacu a 21agccaagagc accaagaacu a 21
<210> 227<210> 227
<211> 23<211> 23
<212> РНК<212> RNA
<213> Искусственная последовательность<213> Artificial sequence
<220><220>
<223> Антисмысловая последовательность для L10-siAN2M1Sp<223> Antisense sequence for L10-siAN2M1Sp
<400> 227<400> 227
uaguucuugg ugcucuuggc uug 23uaguucuugg ugcucuuggc uug 23
<210> 228<210> 228
<211> 19<211> 19
<212> РНК<212> RNA
<213> Искусственная последовательность<213> Artificial sequence
<220><220>
<223> Смысловая последовательность для L10-siAP1M1Sp<223> Semantic sequence for L10-siAP1M1Sp
<400> 228<400> 228
caauaaagcu ggacaagaa 19caauaaagcu ggacaagaa 19
<210> 229<210> 229
<211> 21<211> 21
<212> РНК<212> RNA
<213> Искусственная последовательность<213> Artificial sequence
<220><220>
<223> Антисмысловая последовательность для L10-siAP1M1Sp<223> Antisense sequence for L10-siAP1M1Sp
<400> 229<400> 229
uucuugucca gcuuuauugg g       21uucuugucca gcuuuuugg
<210> 230<210> 230
<211> 19<211> 19
<212> РНК<212> RNA
<213> Искусственная последовательность<213> Artificial sequence
<220><220>
<223> Смысловая последовательность для L10-siAP1M1Sps<223> Semantic sequence for L10-siAP1M1Sps
<400> 230<400> 230
caauaaagcu ggacaagaa 19caauaaagcu ggacaagaa 19
<210> 231<210> 231
<211> 21<211> 21
<212> РНК<212> RNA
<213> Искусственная последовательность<213> Artificial sequence
<220><220>
<223> Антисмысловая последовательность для L10-siAP1M1Sps<223> Antisense sequence for L10-siAP1M1Sps
<400> 231<400> 231
uucuugucca gcuuuauugg g       21uucuugucca gcuuuuugg
<210> 232<210> 232
<211> 19<211> 19
<212> РНК<212> RNA
<213> Искусственная последовательность<213> Artificial sequence
<220><220>
<223> Смысловая последовательность для K4-simTTR<223> Semantic sequence for K4-simTTR
<400> 232<400> 232
caauaaagcu ggacaagaa 19caauaaagcu ggacaagaa 19
<210> 233<210> 233
<211> 21<211> 21
<212> РНК<212> RNA
<213> Искусственная последовательность<213> Artificial sequence
<220><220>
<223> Антисмысловая последовательность для K4-simTTR<223> Antisense sequence for K4-simTTR
<400> 233<400> 233
uucuugucca gcuuuauugg g       21uucuugucca gcuuuuugg
<210> 234<210> 234
<211> 19<211> 19
<212> РНК<212> RNA
<213> Искусственная последовательность<213> Artificial sequence
<220><220>
<223> Смысловая последовательность для AD-66810<223> Semantic sequence for AD-66810
<400> 234<400> 234
caauaaagcu ggacaagaa 19caauaaagcu ggacaagaa 19
<210> 235<210> 235
<211> 21<211> 21
<212> РНК<212> RNA
<213> Искусственная последовательность<213> Artificial sequence
<220><220>
<223> Антисмысловая последовательность для AD-66810<223> Antisense sequence for AD-66810
<400> 235<400> 235
uucuugucca gcuuuauugg g       21uucuugucca gcuuuuugg
<210> 236<210> 236
<211> 21<211> 21
<212> РНК<212> RNA
<213> Искусственная последовательность<213> Artificial sequence
<220><220>
<223> Смысловая последовательность для X2M2<223> Semantic sequence for X2M2
<400> 236<400> 236
ccuugaggca uacuucaaat t       21ccuugaggca uacucaaat
<210> 237<210> 237
<211> 21<211> 21
<212> РНК<212> RNA
<213> Искусственная последовательность<213> Artificial sequence
<220><220>
<223> Антисмысловая последовательность для X2M2<223> Antisense sequence for X2M2
<400> 237<400> 237
uuugaaguau gccucaaggt t       21uuugaaguau gccucaaggt
<210> 238<210> 238
<211> 20<211> 20
<212> ДНК<212> DNA
<213> Искусственная последовательность<213> Artificial sequence
<220><220>
<223> прямой праймер для HBV<223> HBV forward primer
<400> 238<400> 238
gtcttttggg ttttgctgcc       20
<210> 239<210> 239
<211> 20<211> 20
<212> ДНК<212> DNA
<213> Искусственная последовательность<213> Artificial sequence
<220><220>
<223> обратный праймер для HBV<223> HBV reverse primer
<400> 239<400> 239
gcaacggggt aaaggttcag       20
<210> 240<210> 240
<211> 19<211> 19
<212> ДНК<212> DNA
<213> Искусственная последовательность<213> Artificial sequence
<220><220>
<223> прямой праймер для b-актина<223> b-actin forward primer
<400> 240<400> 240
ggtcggagtc aacggattt 19ggtcggagtc aacggattt 19
<210> 241<210> 241
<211> 19<211> 19
<212> ДНК<212> DNA
<213> Искусственная последовательность<213> Artificial sequence
<220><220>
<223> обратный праймер для b-актина<223> b-actin reverse primer
<400> 241<400> 241
ccagcatcgc cccacttga 19ccagcatcgc cccacttga 19
<210> 242<210> 242
<211> 20<211> 20
<212> ДНК<212> DNA
<213> Искусственная последовательность<213> Artificial sequence
<220><220>
<223> прямой праймер для ANGPTL3 обезьяны<223> forward primer for ANGPTL3 monkey
<400> 242<400> 242
ctggtggtgg catgatgagt       20
<210> 243<210> 243
<211> 21<211> 21
<212> ДНК<212> DNA
<213> Искусственная последовательность<213> Artificial sequence
<220><220>
<223> обратный праймер для ANGPTL3 обезьяны<223> monkey ANGPTL3 reverse primer
<400> 243<400> 243
ctcttctccg ctctggctta g       21ctcttctccg ctctggctta
<210> 244<210> 244
<211> 20<211> 20
<212> ДНК<212> DNA
<213> Искусственная последовательность<213> Artificial sequence
<220><220>
<223> прямой праймер для GAPDH обезьяны<223> monkey GAPDH forward primer
<400> 244<400> 244
gggagccaaa agggtcatca       20
<210> 245<210> 245
<211> 20<211> 20
<212> ДНК<212> DNA
<213> Искусственная последовательность<213> Artificial sequence
<220><220>
<223> обратный праймер для GAPDH обезьяны<223> monkey GAPDH reverse primer
<400> 245<400> 245
cgtggactgt ggtcatgagt       20
<210> 246<210> 246
<211> 24<211> 24
<212> ДНК<212> DNA
<213> Искусственная последовательность<213> Artificial sequence
<220><220>
<223> прямой праймер для b-актина мыши<223> forward primer for mouse b-actin
<400> 246<400> 246
agcttctttg cagctccttc gttg      24
<210> 247<210> 247
<211> 24<211> 24
<212> ДНК<212> DNA
<213> Искусственная последовательность<213> Artificial sequence
<220><220>
<223> обратный праймер для b-актина мыши<223> mouse b-actin reverse primer
<400> 247<400> 247
ttctgaccca ttcccaccat caca      24ttctgaccca ttcccaccat
<210> 248<210> 248
<211> 20<211> 20
<212> ДНК<212> DNA
<213> Искусственная последовательность<213> Artificial sequence
<220><220>
<223> прямой праймер для APOC3 человека<223> forward primer for human APOC3
<400> 248<400> 248
gtgaccgatg gcttcagttc       20
<210> 249<210> 249
<211> 20<211> 20
<212> ДНК<212> DNA
<213> Искусственная последовательность<213> Artificial sequence
<220><220>
<223> обратный праймер для APOC3 человека<223> human APOC3 reverse primer
<400> 249<400> 249
atggataggc aggtggactt       20
<210> 250<210> 250
<211> 19<211> 19
<212> РНК<212> RNA
<213> Искусственная последовательность<213> Artificial sequence
<220><220>
<223> Смысловая последовательность для сопоставимой последовательности 1<223> Semantic sequence for matched
<400> 250<400> 250
ccuugaggca uacuucaaa 19ccuugaggca uacuucaaa 19
<210> 251<210> 251
<211> 21<211> 21
<212> РНК<212> RNA
<213> Искусственная последовательность<213> Artificial sequence
<220><220>
<223> Антисмысловая последовательность для сопоставимой последовательности 1<223> Antisense sequence for
<400> 251<400> 251
uuugaaguau gccucaaggu u 21uuugaaguau gccucaaggu u 21
<---<---
| Application Number | Priority Date | Filing Date | Title | 
|---|---|---|---|
| CN201711479058 | 2017-12-29 | ||
| CN201711479058.9 | 2017-12-29 | ||
| CN201811165363 | 2018-09-30 | ||
| CN201811165363.5 | 2018-09-30 | ||
| PCT/CN2018/118224WO2019128611A1 (en) | 2017-12-29 | 2018-11-29 | Conjugates and preparation and use thereof | 
| Publication Number | Publication Date | 
|---|---|
| RU2020121741A RU2020121741A (en) | 2022-02-01 | 
| RU2795400C2true RU2795400C2 (en) | 2023-05-03 | 
| Publication number | Priority date | Publication date | Assignee | Title | 
|---|---|---|---|---|
| WO2000027795A1 (en)* | 1998-11-12 | 2000-05-18 | Invitrogen Corporation | Transfection reagents | 
| WO2010012244A1 (en)* | 2008-08-01 | 2010-02-04 | 苏州瑞博生物技术有限公司 | Small rna interference target site sequences of hepatitis b virus and small interference rnas and the compositions and uses thereof | 
| WO2011154331A1 (en)* | 2010-06-10 | 2011-12-15 | F. Hoffmann-La Roche Ag | Polymers for delivery of nucleic acids | 
| WO2012139469A1 (en)* | 2011-04-13 | 2012-10-18 | 苏州瑞博生物技术有限公司 | Delivery system and preparation of low-interference rna drug | 
| RU2013117285A (en)* | 2010-12-17 | 2015-01-27 | Эрроухэд Рисерч Корпорейшн | PEPTIDE BASED DELIVERY SYSTEM IN VIVO | 
| WO2015015496A1 (en)* | 2013-07-31 | 2015-02-05 | Qbi Enterprises Ltd. | Sphingolipid-polyalkylamine-oligonucleotide compounds | 
| US20150093444A1 (en)* | 2011-10-26 | 2015-04-02 | Suzhou Ribo Life Science Co., Ltd. | Block copolymer, liquid composite thereof, nucleic acid preparation, preparation methods therefor, and use thereof | 
| WO2015188197A2 (en)* | 2014-06-06 | 2015-12-10 | Solstice Biologics, Ltd. | Polynucleotide constructs having bioreversible and non-bioreversible groups | 
| RU2015133167A (en)* | 2013-01-30 | 2017-03-06 | Ф. Хоффманн-Ля Рош Аг | CARBOHYDRATE AND LNA-OLIGONUCLEOTIDE CONJUGATES | 
| Publication number | Priority date | Publication date | Assignee | Title | 
|---|---|---|---|---|
| WO2000027795A1 (en)* | 1998-11-12 | 2000-05-18 | Invitrogen Corporation | Transfection reagents | 
| WO2010012244A1 (en)* | 2008-08-01 | 2010-02-04 | 苏州瑞博生物技术有限公司 | Small rna interference target site sequences of hepatitis b virus and small interference rnas and the compositions and uses thereof | 
| WO2011154331A1 (en)* | 2010-06-10 | 2011-12-15 | F. Hoffmann-La Roche Ag | Polymers for delivery of nucleic acids | 
| RU2013117285A (en)* | 2010-12-17 | 2015-01-27 | Эрроухэд Рисерч Корпорейшн | PEPTIDE BASED DELIVERY SYSTEM IN VIVO | 
| WO2012139469A1 (en)* | 2011-04-13 | 2012-10-18 | 苏州瑞博生物技术有限公司 | Delivery system and preparation of low-interference rna drug | 
| US20150093444A1 (en)* | 2011-10-26 | 2015-04-02 | Suzhou Ribo Life Science Co., Ltd. | Block copolymer, liquid composite thereof, nucleic acid preparation, preparation methods therefor, and use thereof | 
| RU2015133167A (en)* | 2013-01-30 | 2017-03-06 | Ф. Хоффманн-Ля Рош Аг | CARBOHYDRATE AND LNA-OLIGONUCLEOTIDE CONJUGATES | 
| WO2015015496A1 (en)* | 2013-07-31 | 2015-02-05 | Qbi Enterprises Ltd. | Sphingolipid-polyalkylamine-oligonucleotide compounds | 
| WO2015188197A2 (en)* | 2014-06-06 | 2015-12-10 | Solstice Biologics, Ltd. | Polynucleotide constructs having bioreversible and non-bioreversible groups | 
| Publication | Publication Date | Title | 
|---|---|---|
| US20230257827A1 (en) | Conjugates and preparation and use thereof | |
| EP3719125B1 (en) | Nucleic acid, composition and conjugate containing same, and preparation method and use | |
| EP3718572B1 (en) | Nucleic acid, composition and conjugate containing nucleic acid, preparation method and use | |
| EP4527459A2 (en) | Nucleic acid, composition and conjugate containing nucleic acid, preparation method therefor and use thereof | |
| CN113891892B (en) | Compounds and drug conjugates and their preparation methods and uses | |
| JP2021503929A (en) | Nucleic acid, compositions and complexes containing the nucleic acid, and preparation methods and uses | |
| CN112390835A (en) | Liver targeting compounds and conjugates | |
| RU2795400C2 (en) | Conjugates and their obtaining and application | |
| RU2782211C2 (en) | Nucleic acid, composition and conjugate containing it, as well as method for their production and use | |
| RU2816898C2 (en) | Nucleic acid, pharmaceutical composition and conjugate, method of production and use | |
| HK40019836A (en) | Conjugates and preparation and use thereof | |
| HK40019836B (en) | Conjugates and preparation and use thereof |