
Изобретение относится к измерительной технике и может быть использовано для высокоточного определения физических свойств (плотности, концентрации смесей, влагосодержания и др.) различных диэлектрических жидкостей, находящихся в емкостях (технологических емкостях, измерительных ячейках и т.п.).The invention relates to measuring technology and can be used for high-precision determination of the physical properties (density, mixture concentration, moisture content, etc.) of various dielectric liquids in containers (process containers, measuring cells, etc.).
Известны различные способы и устройства для измерения физических свойств жидкостей, основанные на измерении электрофизических параметров (диэлектрической проницаемости или (и) тангенса угла диэлектрических потерь) жидкостей с применением радиоволновых ВЧ и СВЧ резонаторов, содержащих контролируемую жидкость (монографии: Брандт А.А. Исследование диэлектриков на сверхвысоких частотах. М.: Физматгиз. 1963. 403 с. С. 37-144; Викторов В.А., Лункин Б.В., Совлуков А.С. Радиоволновые измерения параметров технологических процессов. М.: Наука. 1989. 208 с. С. 168-177). Недостатком таких способов и реализующих эти способы измерительных устройств является их ограниченная область применения, обусловленная невозможностью контроля малых изменений физических свойств жидкостей ввиду невысокой точности измерения соответствующих малых изменений информативных параметров (резонансной частоты, добротности резонатора и др.). Для обеспечения возможности проведения таких измерений применяют двухканальные измерительные схемы с независимыми измерительным и эталонным каналами. В эталонном канале чувствительный элемент содержит жидкость с известными физическими свойствами (монография: Брандт А.А. Исследование диэлектриков на сверхвысоких частотах. М.: Физматгиз. 1963. 403 с. С. 258 -268).Various methods and devices are known for measuring the physical properties of liquids based on measuring the electrical parameters (permittivity or (and) dielectric loss tangent) of liquids using radio wave RF and microwave resonators containing a controlled liquid (monographs: Brandt A.A. Study of dielectrics V. A. Viktorov, B. V. Lunkin, and A. Sovlukov, Radio Wave Measurements of Parameters of Technological Processes, Moscow: Fizmatgiz, 1963, 403 pp. 37-144. 208 pp. pp. 168-177). The disadvantage of such methods and measuring devices that implement these methods is their limited scope, due to the impossibility of monitoring small changes in the physical properties of liquids due to the low accuracy of measuring the corresponding small changes in informative parameters (resonant frequency, quality factor of the resonator, etc.). To enable such measurements, two-channel measuring circuits with independent measuring and reference channels are used. In the reference channel, the sensitive element contains a liquid with known physical properties (monograph: Brandt A.A. Investigation of dielectrics at microwave frequencies. M.: Fizmatgiz. 1963. 403 pp. 258 -268).
Известен также способ измерения физической величины (RU 2473889 С1, 27.01.2013), в частности физических свойств жидкости, заключающийся в возбуждении электромагнитных волн в волноводном резонаторе, размещении контролируемого объекта в волновом поле одного из торцевых участков волноводного резонатора и определении одной из характеристик стоячей электромагнитной волны в нем, размещении в волновом поле другого торцевого участка идентичного объекта с эталонным значением измеряемой физической величины. Недостатком данного способа измерения является ограниченность его функциональных возможностей, обусловленная организацией волноводного резонатора на основе волновода при создании условий для отражения волн от торцов волновода, и определении одной из характеристик стоячей волны в таком волноводном резонаторе. Способ становится неработоспособным при отсутствии возможности образования стоячей волны в волноводе.There is also a method for measuring a physical quantity (RU 2473889 C1, January 27, 2013), in particular the physical properties of a liquid, which consists in excitation of electromagnetic waves in a waveguide resonator, placing a controlled object in the wave field of one of the end sections of the waveguide resonator and determining one of the characteristics of a standing electromagnetic waves in it, placement in the wave field of another end section of an identical object with a reference value of the measured physical quantity. The disadvantage of this measurement method is the limitation of its functionality, due to the organization of a waveguide resonator based on a waveguide when creating conditions for reflecting waves from the ends of the waveguide, and determining one of the characteristics of a standing wave in such a waveguide resonator. The method becomes inoperable in the absence of the possibility of the formation of a standing wave in the waveguide.
Известно также техническое решение (RU 2626409 С1, 27.07.2017), которое содержит описание способа, по технической сущности наиболее близкого к предлагаемому способу и принятого в качестве прототипа. Согласно этому способу-прототипу измерение физических свойств жидкости производят при возбуждении электромагнитных волн в волноводе, размещении контролируемой жидкости в электромагнитном поле волновода с одного из его торцевых участков и идентичной жидкости с эталонным значением измеряемых физических свойств жидкости в электромагнитном поле волновода с его другого торцевого участка, возбуждении в волноводе электромагнитные волны фиксированной частоты на одном из его торцов, при этом частоту возбуждаемых электромагнитных волн выбирают ниже критической частоты волновода, принимают электромагнитные сигналы на другом торце волновода и измеряют амплитуду напряженности электрического поля, по которой судят о физических свойствах жидкости. Недостатком данного способа измерения является ограниченность его функциональных возможностей, обусловленная существенным уменьшением значения амплитуды напряженности электрического поля, измеряемой на другом торце волновода. Это может вызвать затруднения при контроле диэлектрических жидкостей с относительно высоким значением диэлектрической проницаемости, а также больших габаритах волноводных измерительных ячеек.A technical solution is also known (RU 2626409 C1, 07/27/2017), which contains a description of the method, the technical essence of which is closest to the proposed method and taken as a prototype. According to this prototype method, the measurement of the physical properties of the liquid is carried out when electromagnetic waves are excited in the waveguide, the controlled liquid is placed in the electromagnetic field of the waveguide from one of its end sections and an identical liquid with a reference value of the measured physical properties of the liquid in the electromagnetic field of the waveguide from its other end section, excitation in the waveguide, electromagnetic waves of a fixed frequency at one of its ends, while the frequency of the excited electromagnetic waves is chosen below the critical frequency of the waveguide, electromagnetic signals are received at the other end of the waveguide and the amplitude of the electric field strength is measured, which is used to judge the physical properties of the liquid. The disadvantage of this method of measurement is the limitation of its functionality, due to a significant decrease in the value of the amplitude of the electric field, measured at the other end of the waveguide. This can cause difficulties in the control of dielectric liquids with a relatively high value of dielectric constant, as well as large dimensions of waveguide measuring cells.
Техническим результатом настоящего изобретения является расширение функциональных возможностей способа измерения.The technical result of the present invention is to expand the functionality of the measurement method.
Технический результат достигается тем, что в способе измерения физических свойств жидкости, заключающемся в возбуждении в волноводе электромагнитных волн фиксированной частоты, которую выбирают ниже критической частоты волновода, размещении контролируемой жидкости в полости волновода в пределах одной половины его длины и идентичной эталонной жидкости с эталонным значением измеряемых физических свойств жидкости в полости волновода в пределах другой половины его длины, возбуждение электромагнитных волн осуществляют в центральной части волновода, имеющего идентичные части его полости относительно точки возбуждения электромагнитных волн, с идентичным размещением в них соответствующих им контролируемой и эталонной жидкостей, принимают электромагнитные сигналы на торцах волновода после их распространения вдоль соответствующих участков волновода, измеряют значения амплитуды напряженности электрического поля на каждом из торцов волновода и судят о физических свойствах жидкости по соотношению измеренных значений амплитуды.The technical result is achieved by the fact that in the method for measuring the physical properties of a liquid, which consists in excitation in the waveguide of electromagnetic waves of a fixed frequency, which is chosen below the critical frequency of the waveguide, placing the controlled liquid in the cavity of the waveguide within one half of its length and identical to the reference liquid with the reference value of the measured physical properties of the liquid in the cavity of the waveguide within the other half of its length, the excitation of electromagnetic waves is carried out in the central part of the waveguide, which has identical parts of its cavity relative to the point of excitation of electromagnetic waves, with identical placement in them of the controlled and reference liquids corresponding to them, receive electromagnetic signals at the ends waveguide after their propagation along the corresponding sections of the waveguide, measure the amplitude values of the electric field strength at each of the ends of the waveguide and judge the physical properties of the liquid by the ratio and measured amplitude values.
Предлагаемый способ поясняется чертежами. На фиг. 1 и фиг. 2 приведены схемы устройств для реализации способа измерения.The proposed method is illustrated by drawings. In FIG. 1 and FIG. 2 shows diagrams of devices for implementing the measurement method.
На чертежах показаны волновод 1, эталонная жидкость 2, контролируемая жидкость 3, диэлектрическая пластина 4, генератор 5, элементы связи 6, 7 и 8, детекторы 9 и 10, функциональный преобразователь 11, регистратор 12.The drawings show
Способ реализуется следующим образом.The method is implemented as follows.
Предлагаемый способ заключается в возбуждении электромагнитных волн в волноводе на частоте, которая ниже критической частоты для электромагнитных волн низшего типа, при этом вдоль волновода существует только ослабевающее реактивное поле, убывающее при удалении от возбуждающего элемента.The proposed method consists in excitation of electromagnetic waves in the waveguide at a frequency that is below the critical frequency for electromagnetic waves of the lowest type, while along the waveguide there is only a weakening reactive field that decreases with distance from the exciting element.
Условием распространения электромагнитных волн по любому волноводу является выполнение неравенства: ƒ>ƒкр, которому должны удовлетворять рабочая частота ƒ и критическая частота ƒкр для волны низшего типа, например, для волны Н11 в круглом волноводе. При ƒ<ƒкр имеет место режим, при котором распространения волн по волноводу не происходит, а существует только ослабевающее реактивное поле, убывающее при удалении от возбуждающего элемента. При этом электрическое поле (как и магнитное поле) изменяется вдоль координаты z (оси волновода) по закону:The condition for the propagation of electromagnetic waves along any waveguide is the fulfillment of the inequality: ƒ>ƒcr , which must be satisfied by the operating frequency ƒ and the critical frequency ƒcr for the lower type wave, for example, for the H11 wave in a round waveguide. At ƒ<ƒkr , there is a mode in which the propagation of waves along the waveguide does not occur, but there is only a weakening reactive field that decreases with distance from the exciting element. In this case, the electric field (as well as the magnetic field) changes along the z coordinate (waveguide axis) according to the law:
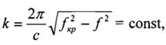
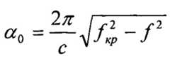
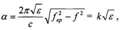
а постоянная ослабления α естьand the attenuation constant α is
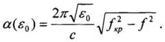
В этих формулах Em - амплитуда напряженности электрического поля при z=0; ω=2πƒ, ε - диэлектрическая проницаемость диэлектрического вещества в волноводе, с -скорость света.In these formulas, Em is the amplitude of the electric field strength at z=0; ω=2πƒ, ε is the permittivity of the dielectric substance in the waveguide, c is the speed of light.
Выбирая соотношение между ƒ и ƒкр, можно управлять величиной ослабления α.Choosing the ratio between ƒ and ƒkr , you can control the amount of attenuation α.
Поскольку существует зависимость ослабления электрического поля в волноводе от диэлектрической проницаемости жидкости в нем (формула (2)), то датчик физических свойств жидкости может быть построен на отрезке рассматриваемого волновода. Возбуждение электромагнитных волн в волноводе осуществляется с помощью генератора через элемент связи (возбуждения). Другой элемент связи (приема) электромагнитных сигналов расположен на расстоянии l вдоль этого волновода. Принимаемые электромагнитные сигналы поступают на детектор, подсоединенный к регистратору.Since there is a dependence of the weakening of the electric field in the waveguide on the dielectric constant of the liquid in it (formula (2)), the sensor of the physical properties of the liquid can be built on the section of the considered waveguide. The excitation of electromagnetic waves in the waveguide is carried out using a generator through a coupling (excitation) element. Another element of communication (reception) of electromagnetic signals is located at a distance l along this waveguide. The received electromagnetic signals are sent to a detector connected to the recorder.
Если частота ƒ генератора меньше критической частоты ƒкр данного волновода, то амплитуда напряженности Е электрического поля, являющаяся информативным параметром, в точке приема естьIf the frequency ƒ of the generator is less than the critical frequency ƒcr of this waveguide, then the amplitude of the electric field strength E, which is an informative parameter, at the reception point is
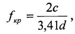
где Е0 - амплитуда напряженности поля в области возбуждения электромагнитных волн в рассматриваемом волноводе (т.е. в области расположения элемента связи (возбуждения). Для волн типа Н11 имеем где d - внутренний диаметр волновода.where E0 is the amplitude of the field strength in the region of excitation of electromagnetic waves in the waveguide under consideration (i.e., in the region of the location of the coupling element (excitation). For waves of the H11 type, we have where d is the inner diameter of the waveguide.
Например, при d=50 мм, l=100 мм, ƒ=3,3 ГГц для волн типа Н11 будем иметь ƒкр=3,6 ГГц, k - 0,3012 1/см. Следовательно, информативный параметр Е(ε) имеет величину Так, в диапазоне изменения е в пределах 1,8÷2,0 (нефть и нефтепродукты) относительное изменение Е(ε)/Е0 составляет 14,5%, что является достаточно большой величиной. Длина l измерительного участка, частота ƒ генератора выбираются с учетом диаметра волновода, электрофизических параметров контролируемой жидкости и диапазона их изменения.For example, at d=50 mm, l=100 mm, ƒ=3.3 GHz for waves of the H11 type, we will have ƒcr =3.6 GHz, k - 0.3012 1/cm. Therefore, the informative parameter Е(ε) has the value So, in the range of changes in e within 1.8÷2.0 (oil and oil products), the relative change in E(ε)/E0 is 14.5%, which is a fairly large value. The length l of the measuring section, the frequency ƒ of the generator are selected taking into account the diameter of the waveguide, the electrophysical parameters of the controlled liquid and the range of their change.
Данный способ измерения физических свойств жидкости заключается в возбуждении в волноводе электромагнитных волн фиксированной частоты, которую выбирают ниже критической частоты волновода, размещении контролируемой жидкости в полости волновода в пределах одной половины его длины и идентичной эталонной жидкости с эталонным значением измеряемых физических свойств жидкости в полости волновода в пределах другой половины его длины.This method of measuring the physical properties of a liquid consists in excitation in the waveguide of electromagnetic waves of a fixed frequency, which is chosen below the critical frequency of the waveguide, placing the controlled liquid in the cavity of the waveguide within one half of its length and an identical reference liquid with the reference value of the measured physical properties of the liquid in the cavity of the waveguide in within the other half of its length.
В рассматриваемом волноводе возбуждают электромагнитные волны фиксированной частоты ƒ в центральной части волновода. При этом частоту ƒ возбуждаемых электромагнитных волн выбирают ниже критической частоты ƒкр волновода. Волновод имеет его идентичные части полости относительно точки возбуждения электромагнитных волн. В этих частях полости волновода идентично размещают в них соответствующих им контролируемую и эталонную жидкости. Электромагнитные сигналы принимают на торцах волновода после их распространения вдоль соответствующих участков волновода. Измеряют значения амплитуды напряженности электрического поля на каждом из торцов волновода и судят о физических свойствах жидкости по соотношению измеренных значений амплитуды.In the considered waveguide, electromagnetic waves of a fixed frequency ƒ are excited in the central part of the waveguide. In this case, the frequency ƒ of the excited electromagnetic waves is chosen below the critical frequency ƒcr of the waveguide. The waveguide has its identical parts of the cavity with respect to the point of excitation of electromagnetic waves. In these parts of the cavity of the waveguide, the controlled and reference liquids corresponding to them are identically placed in them. Electromagnetic signals are received at the ends of the waveguide after they propagate along the corresponding sections of the waveguide. The amplitude values of the electric field strength are measured at each of the ends of the waveguide and the physical properties of the liquid are judged by the ratio of the measured amplitude values.
Для волноводов конкретных размеров выбором частоты ƒ генератора можно оптимизировать чувствительность такого датчика физических свойств жидкости в рабочем диапазоне их изменения. При этом имеет место монотонность зависимости информативного параметра - амплитуды Е(ε) напряженности электрического поля - от значения е, функционально связанного с измеряемым физическим свойством жидкости.For waveguides of specific sizes, by choosing the frequency ƒ of the generator, it is possible to optimize the sensitivity of such a sensor of the physical properties of the liquid in the operating range of their change. In this case, there is a monotonic dependence of the informative parameter - the amplitude E(ε) of the electric field strength - on the value of e, functionally related to the measured physical property of the liquid.
Согласно данному способу измерения, контролируемую и эталонную жидкости размещают идентично в соответствующих им идентичных частях полости волновода. При этом возможна различная степень заполнения каждой из частей волновода: 1) заполнение каждой жидкостью (контролируемой и эталонной жидкостями) половины длины волновода; при этом волновод полностью заполнен этими двумя жидкостями, образующими границу раздела (фиг. 1); 2) идентичное заполнение каждой жидкостью только части длины соответствующей половины волновода, например, торцевой части каждой половины длины волновода (фиг. 2) или части, прилегающей к середине длины волновода; 3) возможно также идентичное расположение каждой жидкости в некоторой части соответствующей половины длины волновода, не примыкающей к ее концам.According to this measurement method, the controlled and reference liquids are placed identically in their respective identical parts of the waveguide cavity. In this case, a different degree of filling of each of the parts of the waveguide is possible: 1) filling with each liquid (controlled and reference liquids) of half the length of the waveguide; in this case, the waveguide is completely filled with these two liquids, which form the interface (Fig. 1); 2) identical filling with each liquid of only part of the length of the corresponding half of the waveguide, for example, the end part of each half of the length of the waveguide (Fig. 2) or the part adjacent to the middle of the length of the waveguide; 3) it is also possible to have an identical location of each liquid in some part of the corresponding half of the waveguide length, not adjacent to its ends.
На фиг. 1 показано применение данного способа для измерения физических свойств диэлектрической жидкости с диэлектрической проницаемостью ε, где в левой половине волновода 1 размещена эталонная жидкость 2 с диэлектрической проницаемостью ε0 -жидкость с эталонным значением х0 измеряемой величины х (и ε=ε0), а идентичная правая половина волновода 1 заполнена контролируемой жидкостью 3 - той же жидкостью с текущим значением измеряемого физического свойства х (и, соответственно, значением ε). В волноводе 1 эталонная жидкость 2 и контролируемая жидкость 3 на границе их раздела отделены друг от друга тонкой диэлектрической пластиной 4, не препятствующей распространению электромагнитных волн.In FIG. 1 shows the application of this method for measuring the physical properties of a dielectric liquid with a dielectric constant ε, where the reference liquid 2 with a dielectric constant ε0 is placed in the left half of the waveguide 1 - a liquid with a reference value x0 of the measured value x (and ε=ε0 ), and the identical right half of the
Согласно предлагаемому способу, в волноводе 1 с эталонной жидкостью 2 и контролируемой жидкостью 3 возбуждают в центральной части волновода электромагнитные волны фиксированной частоты ƒ Эталонная жидкость 2 и контролируемая жидкость 3 размещены идентично в соответствующих идентичных, относительно точки возбуждения электромагнитных волн, частях полости волновода. Возбуждение электромагнитных волн осуществляют с помощью генератора 5 на частоте ƒ меньшей критической частоты ƒкр для этого волновода, через элемент связи 6 (фиг. 1). Напряженность электрического поля Е при удалении от элемента связи 6, служащего для возбуждения и приема электромагнитных колебаний, спадает в соответствии с соотношением (1). Электромагнитные сигналы принимают на торцах волновода после их распространения вдоль соответствующих участков волновода. При этом значение Е зависит от физических свойств как эталонной, так и контролируемой жидкостей в соответствующей части полости волновода 1. Принимаемый у обоих торцов волновода 1 сигналы поступают через элементы связи 7 и 8, соответственно, на детекторы 9 и 10, с выходов которых сигналы поступают на соответствующие входы функционального преобразователя 11, где осуществляется определение соотношения (в частности, разности) значений амплитуды принимаемых сигналов. Сигнал с выхода функционального блока 11 поступает на регистратор 12 для определения значения измеряемого физического свойства жидкости по соотношению измеренных значений амплитуды.According to the proposed method, in the
На фиг. 2 показано применение данного способа для измерения физических свойств диэлектрической жидкости с диэлектрической проницаемостью е, где в торцевой части 12 волновода 1 в виде ячейки, ограниченной с одной стороны левым торцом волновода, а с другой стороны - диэлектрической пластиной 4, размещена эталонная жидкость 2 с диэлектрической проницаемостью ε0 - жидкость с эталонным значением х0 измеряемой величины х (и ε=ε0), а другая идентичная торцевая часть волновода 1 в виде ячейки, ограниченной с одной стороны правым торцом волновода, а с другой стороны - другой диэлектрической пластиной 4, заполнена контролируемой жидкостью 3 - той же жидкостью с текущим значением измеряемого физического свойства х (и, соответственно, значением ε).In FIG. 2 shows the application of this method for measuring the physical properties of a dielectric liquid with a dielectric constant e, where in the
При отличии измеряемого физического свойства х жидкости от его эталонного значения хо в волноводе происходит изменение амплитуды ослабевающего реактивного электромагнитного поля, убывающего при удалении от возбуждающего элемента, причем уменьшение амплитуды этого реактивного электромагнитного поля соответствует функциональной зависимости (3). При этом амплитуда напряженности Е электрического поля, являющаяся информативным параметром, в точке приема зависит от условий распространения убывающего реактивного электромагнитного поля как в части, заполненной эталонной жидкостью, так и в части, заполненной контролируемой жидкостью. Изменение х относительно его эталонного значения х0 приводит к изменению амплитуды убывающего реактивного электромагнитного поля. Она изменяется относительно исходного экстремального (максимального или минимального) значения, имеющего место при х=х0 в зависимости от величины х.If the measured physical property x of the liquid differs from its reference value xo in the waveguide, the amplitude of the weakening reactive electromagnetic field changes, decreasing with distance from the exciting element, and the decrease in the amplitude of this reactive electromagnetic field corresponds to the functional dependence (3). In this case, the amplitude of the electric field strength E, which is an informative parameter, at the receiving point depends on the conditions for the propagation of a decreasing reactive electromagnetic field both in the part filled with the reference liquid and in the part filled with the controlled liquid. Changing x relative to its reference value x0 leads to a change in the amplitude of the decreasing reactive electromagnetic field. It changes relative to the original extreme (maximum or minimum) value that occurs at x=x0 depending on the value of x.
Для схемы на фиг. 1 имеем значение Е1 амплитуды реактивного электромагнитного поля после распространения в эталонной жидкости 2:For the diagram in Fig. 1 we have the value E1 of the amplitude of the reactive electromagnetic field after propagation in the reference liquid 2:
где в данном случае l - длина половины волновода, Е1 - значение амплитуды Е после распространения вдоль половины длины волновода, заполненной эталонной жидкостью 2.where in this case l is the length of half of the waveguide, E1 is the value of the amplitude E after propagation along half the length of the waveguide filled with reference liquid 2.
ЗдесьHere
Значение Е2 амплитуды реактивного электромагнитного поля после распространения в контролируемой жидкости 3:The value of E2 of the amplitude of the reactive electromagnetic field after propagation in the controlled liquid 3:
где в данном случае l - длина половины волновода, Е2 - значение амплитуды Е после распространения вдоль половины длины волновода, заполненной контролируемой жидкостью 3. Здесьwhere in this case l is the length of half of the waveguide, E2 is the value of the amplitude E after propagation along half the length of the waveguide filled with controlled
Для схемы на фиг. 2 имеем значение Е1 амплитуды реактивного электромагнитного поля после распространения вдоль половины длины волновода с эталонной жидкостью 2 в его левой торцевой части:For the diagram in Fig. 2 we have the value E1 of the amplitude of the reactive electromagnetic field after propagation along half the length of the waveguide with the reference liquid 2 in its left end part:
где - значение постоянной ослабления а в части длины волновода, не заполненной как эталонной, так и контролируемой жидкостью (т.е. в полой части волновода, где ε=1); l1 - длина части волновода, заполненная эталонной жидкостью (в другой половине волновода идентичная часть ее длины с контролируемой жидкостью 3 также равна l1).where - the value of the attenuation constant a in the part of the length of the waveguide, not filled with both reference and controlled liquid (ie, in the hollow part of the waveguide, where ε=1); l1 is the length of the part of the waveguide filled with the reference liquid (in the other half of the waveguide, the identical part of its length with the controlled
Значение Е2 амплитуды реактивного электромагнитного поля после распространения вдоль половины длины волновода с контролируемой жидкостью 3 в его правой торцевой части:The value E2 of the amplitude of the reactive electromagnetic field after propagation along half the length of the waveguide with controlled liquid 3 in its right end part:
Для схем на фиг. 1 и на фиг. 2 сигнал на выходе функционального преобразователя 11, соответствующий соотношению (в частности, разности) значений Е2 и Е1 амплитуды принимаемых сигналов, содержит полезную информацию об измеряемой величине ε и, следовательно, о текущем значении измеряемого физического свойства х(ε). При этом эти значения Е1 и Е2 амплитуды реактивного электромагнитного поля определяют после распространения в соответствующей половине длины волновода с эталонной и контролируемой жидкостями.For the diagrams in Fig. 1 and in FIG. 2, the signal at the output of the
Таким образом, данный способ позволяет достаточно просто и с высокой точностью измерять различных физических свойств диэлектрических жидкостей как с малыми, так и с большими значениями диэлектрической проницаемости, находящихся в емкостях (технологических емкостях, измерительных ячейках и т.п.) различных размеров.Thus, this method allows quite simply and with high accuracy to measure various physical properties of dielectric liquids with both small and large values of the permittivity, located in containers (process containers, measuring cells, etc.) of various sizes.
| Publication Number | Publication Date | 
|---|---|
| RU2786527C1true RU2786527C1 (en) | 2022-12-21 | 
| Publication number | Priority date | Publication date | Assignee | Title | 
|---|---|---|---|---|
| WO2011088927A2 (en)* | 2010-01-21 | 2011-07-28 | Robert Bosch Gmbh | Device for measuring dielectric properties of liquid media | 
| RU2473889C1 (en)* | 2011-09-05 | 2013-01-27 | Учреждение Российской академии наук Институт проблем управления им. В.А. Трапезникова РАН | Method of measuring physical quantity | 
| WO2016043630A1 (en)* | 2014-09-18 | 2016-03-24 | Общество С Ограниченной Ответственностью "Нефтяные И Газовые Измерительные Технологий" | Method for in-flow measurement of proportion of water in mixture with hydrocarbon liquid, and device for implementing same | 
| US9551686B1 (en)* | 2013-03-09 | 2017-01-24 | William F. Griffith | Apparatus and method of non-invasive analysis and identification of physical materials in real time | 
| RU2626409C1 (en)* | 2016-09-22 | 2017-07-27 | Федеральное государственное бюджетное учреждение науки Институт проблем управления им. В.А. Трапезникова Российской академии наук | Method of measuring physical properties of liquid | 
| RU2659569C1 (en)* | 2017-09-27 | 2018-07-03 | Федеральное государственное бюджетное учреждение науки Институт проблем управления им. В.А. Трапезникова Российской академии наук | Dielectric fluid moisture content measurement method | 
| RU2661349C1 (en)* | 2017-09-27 | 2018-07-16 | Федеральное государственное бюджетное учреждение науки Институт проблем управления им. В.А. Трапезникова Российской академии наук | Dielectric fluid moisture content determination method | 
| Publication number | Priority date | Publication date | Assignee | Title | 
|---|---|---|---|---|
| WO2011088927A2 (en)* | 2010-01-21 | 2011-07-28 | Robert Bosch Gmbh | Device for measuring dielectric properties of liquid media | 
| RU2473889C1 (en)* | 2011-09-05 | 2013-01-27 | Учреждение Российской академии наук Институт проблем управления им. В.А. Трапезникова РАН | Method of measuring physical quantity | 
| US9551686B1 (en)* | 2013-03-09 | 2017-01-24 | William F. Griffith | Apparatus and method of non-invasive analysis and identification of physical materials in real time | 
| WO2016043630A1 (en)* | 2014-09-18 | 2016-03-24 | Общество С Ограниченной Ответственностью "Нефтяные И Газовые Измерительные Технологий" | Method for in-flow measurement of proportion of water in mixture with hydrocarbon liquid, and device for implementing same | 
| RU2626409C1 (en)* | 2016-09-22 | 2017-07-27 | Федеральное государственное бюджетное учреждение науки Институт проблем управления им. В.А. Трапезникова Российской академии наук | Method of measuring physical properties of liquid | 
| RU2659569C1 (en)* | 2017-09-27 | 2018-07-03 | Федеральное государственное бюджетное учреждение науки Институт проблем управления им. В.А. Трапезникова Российской академии наук | Dielectric fluid moisture content measurement method | 
| RU2661349C1 (en)* | 2017-09-27 | 2018-07-16 | Федеральное государственное бюджетное учреждение науки Институт проблем управления им. В.А. Трапезникова Российской академии наук | Dielectric fluid moisture content determination method | 
| Publication | Publication Date | Title | 
|---|---|---|
| CN100523834C (en) | Circular waveguide standing wave measurement device for eight mm waveband dielectric measurement | |
| RU2626409C1 (en) | Method of measuring physical properties of liquid | |
| RU2473889C1 (en) | Method of measuring physical quantity | |
| RU2285913C1 (en) | Device for measuring physical properties of liquid | |
| RU2365903C1 (en) | Method for measurement of moisture content and salt content in oil | |
| RU2786527C1 (en) | Method for measurement of physical properties of liquid | |
| RU2426099C1 (en) | Device for determination of concentration of substances mixture | |
| RU2332659C1 (en) | Method of measurement of fluid physical properties | |
| RU2199731C1 (en) | Device for determination of oil product humidity in pipe line | |
| RU2536164C1 (en) | Device to detect concentration of mixture of substances | |
| US4358731A (en) | Apparatus and method for moisture measurement | |
| RU2762058C1 (en) | Device for measuring the physical properties of a dielectric liquid | |
| RU2761954C1 (en) | Method for measuring the physical properties of a dielectric liquid | |
| RU2661349C1 (en) | Dielectric fluid moisture content determination method | |
| RU2536184C1 (en) | Concentration meter | |
| RU2192646C1 (en) | Device determining dielectric permittivity of liquid | |
| RU2767585C1 (en) | Method of measuring physical properties of dielectric liquid | |
| RU2164021C2 (en) | Device determining concentration of mixture of various substances | |
| RU2152024C1 (en) | Concentration meter | |
| RU2275620C2 (en) | Device for measuring physical properties of liquid | |
| RU2691288C1 (en) | Method for measuring inner diameter of metal pipe | |
| RU2786526C2 (en) | Method for measurement of physical quantity | |
| RU2659569C1 (en) | Dielectric fluid moisture content measurement method | |
| RU2775643C1 (en) | Method for measuring the level of dielectric liquid in a container | |
| RU2775867C1 (en) | Method for measuring the level of dielectric liquid in a tank |