Movatterモバイル変換


[0]ホーム

URL:


RU2782034C2 - Compositions and methods for modulation of hbv and ttr expression - Google Patents

Compositions and methods for modulation of hbv and ttr expression
Download PDF

Info

Publication number
RU2782034C2
RU2782034C2RU2018136140ARU2018136140ARU2782034C2RU 2782034 C2RU2782034 C2RU 2782034C2RU 2018136140 ARU2018136140 ARU 2018136140ARU 2018136140 ARU2018136140 ARU 2018136140ARU 2782034 C2RU2782034 C2RU 2782034C2
Authority
RU
Russia
Prior art keywords
nucleoside
group
antisense
compound
oligonucleotide
Prior art date
Application number
RU2018136140A
Other languages
Russian (ru)
Other versions
RU2782034C3 (en
RU2018136140A3 (en
RU2018136140A (en
Inventor
Тхажа П. Пракаш
Пунит П. Сет
Эрик Е. Свейз
Original Assignee
Ионис Фармасьютикалз, Инк.
Priority date (The priority date is an assumption and is not a legal conclusion. Google has not performed a legal analysis and makes no representation as to the accuracy of the date listed.)
Filing date
Publication date
Application filed by Ионис Фармасьютикалз, Инк.filedCriticalИонис Фармасьютикалз, Инк.
Publication of RU2018136140ApublicationCriticalpatent/RU2018136140A/en
Publication of RU2018136140A3publicationCriticalpatent/RU2018136140A3/ru
Application grantedgrantedCritical
Publication of RU2782034C2publicationCriticalpatent/RU2782034C2/en
Publication of RU2782034C3publicationCriticalpatent/RU2782034C3/en

Links

Abstract

FIELD: pharmacology; medicine.
SUBSTANCE: group of inventions relates to the field of pharmacology and medicine, and it is aimed at the treatment of transthyretin amyloidosis. An oligomeric compound is disclosed, while an anionic form of the oligomeric compound is presented by the following chemical structure (SEQ ID NO: 12). In addition, a form of free acid, sodium salt of the above-mentioned oligomeric compound, and an oligomeric compound containing modified oligonucleotide and a conjugating group, characterized by the following formula (SEQ ID NO: 12), are disclosed. A pharmaceutical composition for the treatment of transthyretin amyloidosis, based on the above-mentioned compounds, the use of presented compounds in the production of a drug for the treatment of transthyretin amyloidosis, and, in addition, a method for the treatment of transthyretin amyloidosis in a subject, including administration to the subject of therapeutically effective amount of the oligomeric compound or the pharmaceutical composition containing the specified oligomeric compound, are also disclosed.
EFFECT: group of inventions provides effective treatment of transthyretin amyloidosis.
Figure 00000420
15 cl, 108 tbl, 113 ex

Description

Translated fromRussian

ПЕРЕЧЕНЬ ПОСЛЕДОВАТЕЛЬНОСТЕЙSEQUENCE LIST

Настоящее изобретение зарегистрировано вместе с перечнем последовательностей в электронном формате. Перечень последовательностей представлен в виде файла под названием BIOL0248WOSEQ_ST25.txt, созданного 1 мая 2014 года, размером 16 Кб. Информация о перечне последовательностей в электронном формате в полном объеме включена в настоящий документ посредством ссылки.The present invention is registered with a sequence listing in electronic format. The sequence listing is presented as a file called BIOL0248WOSEQ_ST25.txt, created on May 1, 2014, with a size of 16 KB. Sequence listing information in electronic format is incorporated herein by reference in its entirety.

УРОВЕНЬ ТЕХНИКИBACKGROUND OF THE INVENTION

Принцип, лежащий в основе антисмысловой технологии, заключается в том, что антисмысловое соединение гибридизуется с целевой нуклеиновой кислотой и модулирует количество, активность и/или функцию целевой нуклеиновой кислоты. Например, в некоторых случаях антисмысловые соединения приводят к изменению транскрипции или трансляции мишени. Такое модулирование экспрессии может быть достигнуто, например, разрушением целевой мРНК или ингибированием по механизму замещения. Пример модулирования целевой функции РНК за счет разрушения представляет собой разрушение за счет РНКазы Н целевой РНК при гибридизации с ДНК-подобным антисмысловым соединением. Другой пример модулирования генной экспрессии за счет направленного разрушения представляет собой РНК-интерференция (РНКи). РНКи относится к антисмысловому сайленсингу гена по механизму, в котором применяется РНК-индуцируемый комплекс сайленсинга (RISC). Дополнительный пример модулирования целевой функции РНК представляет собой механизм замещения, такой как использует в естественных условиях микроРНК. МикроРНК представляют собой небольшие некодирующие РНК, которые регулируют экспрессию РНК, кодирующих белки. Связывание антисмыслового соединения с микроРНК препятствует связыванию микроРНК с ее матричными РНК мишенями, и, следовательно, затрудняет функцию микроРНК. МикроРНК-миметики могут усиливать естественную функцию микроРНК. Некоторые антисмысловые соединения изменяют сплайсинг пре-мРНК. Независимо от конкретного механизма, специфичность в отношении последовательностей делает антисмысловые соединения перспективными в качестве средств для подтверждения наличия цели и функционализации генов, а также в качестве терапевтических средств для селективного модулирования экспрессии генов, участвующих в патогенезе заболеваний.The principle behind antisense technology is that an antisense compound hybridizes to a target nucleic acid and modulates the amount, activity and/or function of the target nucleic acid. For example, in some cases, antisense compounds lead to a change in transcription or translation of the target. Such modulation of expression can be achieved, for example, by disruption of the target mRNA or by substitutional inhibition. An example of modulating target RNA function by disruption is RNase H disruption of target RNA when hybridized to a DNA-like antisense compound. Another example of modulating gene expression by targeted disruption is RNA interference (RNAi). RNAi refers to antisense gene silencing by a mechanism that uses the RNA-inducible silencing complex (RISC). An additional example of modulating RNA target function is a displacement mechanism, such as miRNA uses in vivo. MicroRNAs are small non-coding RNAs that regulate the expression of RNAs that code for proteins. Binding of the antisense compound to the microRNA prevents the microRNA from binding to its messenger RNA targets, and therefore hinders the function of the microRNA. miRNA mimetics can enhance the natural function of miRNAs. Some antisense compounds alter pre-mRNA splicing. Regardless of the specific mechanism, sequence specificity makes antisense compounds promising as agents for target confirmation and gene functionalization, as well as therapeutic agents for selectively modulating the expression of genes involved in disease pathogenesis.

Антисмысловая технология представляет собой эффективный способ модулирования экспрессии одного или более специфических генных продуктов и, следовательно, может быть признана исключительно подходящей в ряде терапевтических, диагностических и исследовательских применений. Химически модифицированные нуклеозиды могут быть внедрены в антисмысловые соединения для усиления одного или более свойств, таких как устойчивость к нуклеазе, фармакокинетика или аффинность к целевой нуклеиновой кислоте. В 1998 году антисмысловое соединение Vitravene® (фомивирсен; разработанный компанией Isis Pharmaceuticals Inc., Карлсбад, штат Калифорния) стал первым антисмысловым лекарством, получившим разрешение на продажу от Администрации США по пищевым продуктам и лекарственным веществам (FDA), и в настоящее время представляет собой средство для лечения вызванного цитомегалогенвирусом (CMV) ретинита у пациентов со СПИДом.Antisense technology is an effective way to modulate the expression of one or more specific gene products and, therefore, may be considered exceptionally suitable in a number of therapeutic, diagnostic and research applications. Chemically modified nucleosides can be incorporated into antisense compounds to enhance one or more properties such as nuclease resistance, pharmacokinetics, or affinity for the target nucleic acid. In 1998, the antisense compound Vitravene® (fomivirsen; developed by Isis Pharmaceuticals Inc., Carlsbad, California) became the first antisense drug to receive marketing authorization from the US Food and Drug Administration (FDA), and is currently an agent for the treatment of cytomegalovirus (CMV)-induced retinitis in patients with AIDS.

Новые химические модификации обладают улучшенной активностью и эффективностью антисмысловых соединений, раскрывая потенциал для пероральной доставки, а также для усовершенствования подкожного введения, снижения возможных побочных эффектов, и приводят к улучшению удобства для пациента. Химические модификации, усиливающие активность антисмысловых соединений, позволяют осуществлять введение более низких доз, что снижает возможность токсичности, а также уменьшает общую стоимость лечения. Модификации, увеличивающие устойчивость к разрушению, приводят к более медленному выведению из организма, обеспечивая возможность менее частого введения доз. Различные типы химических модификаций могут быть комбинированы в одном соединении для дальнейшей оптимизации эффективности соединения.New chemical modifications have improved potency and potency of antisense compounds, opening the potential for oral delivery as well as improved subcutaneous administration, reduced potential side effects, and improved patient comfort. Chemical modifications that enhance the activity of antisense compounds allow lower doses to be administered, reducing the potential for toxicity as well as reducing the overall cost of treatment. Modifications that increase resistance to degradation result in slower clearance from the body, allowing for less frequent dosing. Various types of chemical modifications can be combined in a single compound to further optimize compound efficiency.

СУЩНОСТЬ ИЗОБРЕТЕНИЯSUMMARY OF THE INVENTION

В некоторых вариантах реализации настоящего описания приведены конъюгированные антисмысловые соединения. В некоторых вариантах реализации настоящего описания приведены конъюгированные антисмысловые соединения, содержащие антисмысловый олигонуклеотид, комплементарный транскрипту нуклеиновой кислоты. В некоторых вариантах реализации настоящего описания приведены способы, включающие контакт клетки с конъюгированным антисмысловым соединением, содержащим антисмысловый олигонуклеотид, комплементарный транскрипту нуклеиновой кислоты. В некоторых вариантах реализации настоящего описания приведены способы, включающие контакт клетки с конъюгированным антисмысловым соединением, содержащим антисмысловый олигонуклеотид, и уменьшение количества или активности транскрипта нуклеиновой кислоты в клетке.In some embodiments of the present disclosure, conjugated antisense compounds are provided. In some embodiments of the present disclosure, conjugated antisense compounds are provided comprising an antisense oligonucleotide complementary to a nucleic acid transcript. In some embodiments of the present disclosure, methods are provided comprising contacting a cell with a conjugated antisense compound comprising an antisense oligonucleotide complementary to a nucleic acid transcript. In some embodiments of the present disclosure, methods are provided comprising contacting a cell with a conjugated antisense compound comprising an antisense oligonucleotide and reducing the amount or activity of a nucleic acid transcript in the cell.

Ранее был описан асиалогликопротеиновый рецептор (ASGP-R). См., например, Park et al., PNAS, том 102, №47, cc. 17125-17129 (2005). Такие рецепторы экспрессируются на клетках печени, в частности, гепатоцитах. Кроме того, было показано, что соединения, содержащие кластеры трех N-ацетилгалактозаминовых (GalNAc) лигандов, способны связываться с ASGP-R, приводя к захвату указанного соединения в клетку. См., например, Khorev et al., Bioorganic and Medicinal Chemistry, 16, 9, cc. 5216-5231 (май, 2008). Соответственно, конъюгаты, содержащие такие кластеры GalNAc, применяли для облегчения захвата некоторых соединений в клетки печени, в частности, гепатоциты. Например, было показано, что некоторые GalNAc-содержащие конъюгаты увеличивают активность дуплексных миРНК соединений в клетках печени in vivo. В таких случаях GalNAc-содержащий конъюгат, как правило, прикрепляется к смысловой спирали дуплекса миРНК. Поскольку смысловая спираль отбрасывается перед окончательной гибридизацией антисмысловой спирали с целевой нуклеиновой кислотой, то маловероятно, что такой конъюгат будет влиять на активность. Как правило, конъюгат присоединяется к 3'-концу смысловой спирали миРНК. См., например, патент США 8106022. Некоторые конъюгирующие группы, описанные в настоящем документе, более активны и/или синтезируются легче, чем конъюгирующие группы, описанные ранее.The asialoglycoprotein receptor (ASGP-R) has previously been described. See, for example, Park et al., PNAS, vol. 102, no. 47, pp. 17125-17129 (2005). Such receptors are expressed on liver cells, in particular hepatocytes. In addition, it has been shown that compounds containing clusters of three N-acetylgalactosamine (GalNAc) ligands are able to bind to ASGP-R, leading to the uptake of said compound into the cell. See, for example, Khorev et al., Bioorganic and Medicinal Chemistry, 16, 9, cc. 5216-5231 (May, 2008). Accordingly, conjugates containing such GalNAc clusters have been used to facilitate the uptake of certain compounds into liver cells, in particular hepatocytes. For example, some GalNAc-containing conjugates have been shown to increase the activity of duplex siRNA compounds in liver cells in vivo. In such cases, the GalNAc-containing conjugate is usually attached to the sense helix of the siRNA duplex. Since the sense helix is discarded prior to final hybridization of the antisense helix to the target nucleic acid, it is unlikely that such a conjugate would affect activity. Typically, the conjugate is attached to the 3' end of the siRNA sense helix. See, for example, US Pat. No. 8,106,022. Some of the conjugation groups described herein are more active and/or more easily synthesized than the conjugation groups described previously.

В некоторых вариантах реализации настоящего изобретения конъюгаты присоединяются к одноцепочечным антисмысловым соединениям, включая, но не ограничиваясь ими, антисмысловые соединения на основе РНКазы H и антисмысловые соединения, которые изменяют сплайсинг целевой нуклеиновой кислоты пре-мРНК. В таких вариантах реализации изобретения конъюгат должен оставаться присоединенным к антисмысловому соединению достаточно долго для обеспечения преимущества (улучшенного захвата в клетки), но затем он должен либо расщепляться, либо иным образом не препятствовать последующим стадиям, необходимым для активности, таким как гибридизация с целевой нуклеиновой кислотой и взаимодействие с РНКазой H или ферментами, связанными со сплайсингом или модулированием сплайсинга. Такой баланс свойств более важен при подготовке одноцепочечных антисмысловых соединений, чем соединений миРНК, где конъюгат может быть просто присоединен к смысловой спирали. В настоящем документе описаны одноцепочечные антисмысловые соединения, обладающие улучшенной активностью в клетках печени in vivo, по сравнению с таким же антисмысловым соединением, не имеющим конъюгата. Учитывая необходимый баланс свойств для этих соединений, такая улучшенная активность является неожиданной.In some embodiments of the present invention, the conjugates are attached to single-stranded antisense compounds, including, but not limited to, RNase H-based antisense compounds and antisense compounds that alter splicing of the target pre-mRNA nucleic acid. In such embodiments, the conjugate must remain attached to the antisense compound long enough to provide the benefit (improved uptake into cells), but then must either cleave or otherwise not interfere with subsequent steps required for activity, such as hybridization to the target nucleic acid. and interaction with RNase H or enzymes associated with splicing or splicing modulation. This balance of properties is more important in the preparation of single-stranded antisense compounds than in siRNA compounds where the conjugate can be simply attached to the sense helix. This document describes single chain antisense compounds having improved activity in liver cells in vivo compared to the same antisense compound without a conjugate. Given the necessary balance of properties for these compounds, this improved activity is unexpected.

В некоторых вариантах реализации изобретения конъюгирующие группы по настоящему документу содержат расщепляемый фрагмент. Как было отмечено, не ограничиваясь каким-либо механизмом, логично, что конъюгат должен сохраняться у соединения достаточно долго для обеспечения усиления захвата, но после этого желательно, чтобы некоторая его часть или, в идеале, весь конъюгат расщеплялся, выделяя исходное соединение (например, антисмысловое соединение) в его наиболее активной форме. В некоторых вариантах реализации изобретения расщепляемый фрагмент представляет собой расщепляемый нуклеозид. Такие варианты реализации изобретения используют эндогенные нуклеазы в клетке за счет присоединения остальной части конъюгата (кластера) к антисмысловому олигонуклеотиду через нуклеозид при помощи одной или более расщепляемых связей, таких как фосфодиэфирные связи. В некоторых вариантах реализации изобретения кластер связан с расщепляемым нуклеозидом через фосфодиэфирную связь. В некоторых вариантах реализации изобретения расщепляемый нуклеозид присоединен к антисмысловому олигонуклеотиду (антисмысловому соединению) фосфодиэфирной связью. В некоторых вариантах реализации изобретения конъюгирующая группа может содержать два или три расщепляемых нуклеозида. В таких вариантах реализации изобретения указанные расщепляемые нуклеозиды связаны друг с другом, с антисмысловым соединением и/или с кластером посредством расщепляемых связей (таких как фосфодиэфирная связь). Некоторые конъюгаты по настоящему документу не содержат расщепляемый нуклеозид, а вместо этого содержат расщепляемую связь. Показано, что достаточное расщепление конъюгата из олигонуклеотида обеспечивается по меньшей мере за счет одной связи, которая легко поддается расщеплению в клетке (расщепляемая связь).In some embodiments of the invention, the conjugating groups of the present document contain a cleavable moiety. As noted, without being limited to any mechanism, it is logical that the conjugate should be retained at the compound long enough to provide increased uptake, but after that it is desirable that some of it, or ideally all of the conjugate, is cleaved, releasing the parent compound (for example, antisense compound) in its most active form. In some embodiments, the cleavable fragment is a cleavable nucleoside. Such embodiments exploit endogenous nucleases in the cell by attaching the remainder of the conjugate (cluster) to the antisense oligonucleotide via the nucleoside via one or more cleavable bonds, such as phosphodiester bonds. In some embodiments, the cluster is linked to the cleavable nucleoside via a phosphodiester bond. In some embodiments, the cleavable nucleoside is attached to the antisense oligonucleotide (antisense compound) by a phosphodiester linkage. In some embodiments of the invention, the conjugating group may contain two or three cleavable nucleosides. In such embodiments, said cleavable nucleosides are linked to each other, to the antisense compound, and/or to the cassette via cleavable bonds (such as a phosphodiester bond). Some of the conjugates herein do not contain a cleavable nucleoside, but instead contain a cleavable bond. It has been shown that sufficient cleavage of the conjugate from the oligonucleotide is provided by at least one bond that is easily cleavable in the cell (cleavable bond).

В некоторых вариантах реализации изобретения конъюгированные антисмысловые соединения представляют собой пролекарства. Такие пролекарства вводят животному, и они в конечном итоге метаболизируются до более активной формы. Например, конъюгированные антисмысловые соединения расщепляются с удалением всего или части конъюгата, приводя к активной (или более активной) форме антисмыслового соединения, не содержащего всего или части конъюгата.In some embodiments, the conjugated antisense compounds are prodrugs. Such prodrugs are administered to an animal and are eventually metabolized to a more active form. For example, conjugated antisense compounds are cleaved to remove all or part of the conjugate, resulting in an active (or more active) form of the antisense compound that does not contain all or part of the conjugate.

В некоторых вариантах реализации изобретения конъюгаты присоединены на 5'-конце олигонуклеотида. Некоторые такие 5'-конъюгаты расщепляются более эффективно, чем аналоги, имеющие такую же конъюгирующую группу, присоединенную на 3'-конце. В некоторых вариантах реализации изобретения улучшенная активность может коррелировать с улучшенным расщеплением. В некоторых вариантах реализации изобретения олигонуклеотиды, содержащие конъюгат на 5'-конце, обладают более высокой эффективностью, чем олигонуклеотиды, содержащие конъюгат на 3'-конце (см., например, Примеры 56, 81, 83 и 84). Кроме того, 5'-присоединение обеспечивает более простой синтез олигонуклеотида. Как правило, олигонуклеотиды синтезируют на твердой подложке в направлении от 3' к 5'. Для получения 3'-конъюгированного олигонуклеотида, как правило присоединяют предварительно конъюгированный 3'-нуклеозид к твердой подложке, а затем обычным путем создают олигонуклеотид. Однако присоединение такого конъюгированного нуклеозида к твердой подложке усложняет синтез. Кроме того, применяя такой подход, конъюгат затем присутствует в ходе всего синтеза олигонуклеотида и может разрушаться во время последующих стадий или может ограничивать типы реакций и реагентов, которые можно применять. Применяя структуры и методики, описанные в настоящем документе для 5'-конъюгированных олигонуклеотидов, можно синтезировать олигонуклеотид при помощи стандартных автоматизированных методик и внедрять конъюгат вместе с последним (5'-крайний) нуклеозидом или после отделения олигонуклеотида от твердой подложки.In some embodiments, the conjugates are attached at the 5' end of the oligonucleotide. Some of these 5'-conjugates cleave more efficiently than analogs having the same conjugate group attached at the 3'-end. In some embodiments of the invention, improved activity may correlate with improved digestion. In some embodiments of the invention, oligonucleotides containing the conjugate at the 5' end are more effective than oligonucleotides containing the conjugate at the 3' end (see, for example, Examples 56, 81, 83 and 84). In addition, the 5'-attachment provides an easier synthesis of the oligonucleotide. Typically, oligonucleotides are synthesized on a solid support in the 3' to 5' direction. To obtain a 3'-conjugated oligonucleotide, the pre-conjugated 3'-nucleoside is typically attached to a solid support, and then the oligonucleotide is created in the usual way. However, attaching such a conjugated nucleoside to a solid support complicates the synthesis. In addition, using this approach, the conjugate is then present throughout the synthesis of the oligonucleotide and may be degraded during subsequent steps or may limit the types of reactions and reagents that can be used. Using the structures and techniques described herein for 5'-conjugated oligonucleotides, an oligonucleotide can be synthesized using standard automated techniques and the conjugate can be inserted along with the last (5'-outer) nucleoside or after separation of the oligonucleotide from a solid support.

С учетом известного уровня техники и настоящего описания, специалисты в данной области техники могут легко получить любые из конъюгатов и конъюгированных олигонуклеотидов, описанных в настоящем документе. Кроме того, синтез некоторых таких конъюгатов и конъюгированных олигонуклеотидов, описанных в настоящем документе, проще и/или требует меньше стадий и, следовательно, менее дорогой, чем синтез ранее описанных конъюгатов, что дает преимущество при производстве. Например, синтез некоторых конъюгирующих групп состоит из меньшего количество синтетических стадий, что приводит к увеличению выхода, по сравнению с ранее описанными группами конъюгата. Конъюгирующие группы, такие как GalNAc3-10 в Примере 46 и GalNAc3-7 в Примере 48, гораздо проще, чем ранее описанные конъюгаты, такие как описаны в публикациях U.S. 8106022 или U.S. 7262177, для которых необходима сборка большего количества химических промежуточных соединений. Соответственно, эти и другие конъюгаты, описанные в настоящем документе, обладают преимуществом по сравнению с ранее описанными соединениями для применения с любым олигонуклеотидом, включая одноцепочечные олигонуклеотиды и любую спираль двухцепочечных олигонуклеотидов (например, миРНК).Given the prior art and the present description, those skilled in the art can readily prepare any of the conjugates and conjugated oligonucleotides described herein. In addition, the synthesis of some of these conjugates and conjugated oligonucleotides described herein is simpler and/or requires fewer steps and therefore less expensive than the synthesis of previously described conjugates, which provides a manufacturing advantage. For example, the synthesis of some conjugate groups consists of fewer synthetic steps, resulting in higher yields than previously described conjugate groups. Conjugate groups such as GalNAc3-10 in Example 46 and GalNAc3-7 in Example 48 are much simpler than previously described conjugates such as those described in U.S. 8106022 or U.S. 7262177, which require assembly of more chemical intermediates. Accordingly, these and other conjugates described herein are advantageous over previously described compounds for use with any oligonucleotide, including single-stranded oligonucleotides and any helix of double-stranded oligonucleotides (eg, siRNA).

Точно так же в настоящем документе описаны конъюгирующие группы, имеющие ровно один или два лиганда GalNAc. Как показано, такие конъюгированные группы усиливают активность антисмысловых соединений. Такие соединения гораздо проще получить, чем конъюгаты, содержащие три лиганда GalNAc. Конъюгирующие группы, содержащие один или два лиганда GalNAc, могут быть присоединены к любым антисмысловым соединениям, включая одноцепочечные олигонуклеотиды и любую спираль двухцепочечных олигонуклеотидов (например, миРНК).Similarly, conjugation groups having exactly one or two GalNAc ligands are described herein. Such conjugated groups have been shown to enhance the activity of antisense compounds. Such compounds are much easier to prepare than conjugates containing three GalNAc ligands. Conjugating groups containing one or two GalNAc ligands can be attached to any antisense compounds, including single stranded oligonucleotides and any helix of double stranded oligonucleotides (eg, siRNA).

В некоторых вариантах реализации изобретения конъюгаты, описанные в настоящем документе, существенно не изменяют некоторые показатели переносимости. Например, в настоящем документе показано, что конъюгированные антисмысловые соединения являются не более иммуногенными, чем не конъюгированные исходные соединения. Поскольку активность улучшается, то варианты реализации, в которых переносимость остается такой же (или, в действительности, если даже переносимость ухудшается лишь незначительно, по сравнению с приростом активности), обладают улучшенными характеристиками для терапии.In some embodiments of the invention, the conjugates described herein do not significantly change some indicators of tolerability. For example, conjugated antisense compounds are shown herein to be no more immunogenic than unconjugated parent compounds. Since activity improves, embodiments in which tolerability remains the same (or, in fact, if tolerability deteriorates only slightly compared to the increase in activity), have improved characteristics for therapy.

В некоторых вариантах реализации изобретения конъюгация позволяет изменять антисмысловые соединения так, чтобы они обладали менее выраженными последствиями в отсутствие конъюгации. Например, в некоторых вариантах реализации изобретения замена одной или более тиофосфатных связей полностью тиофосфатного антисмыслового соединения на фосфодиэфирные связи приводит к улучшению некоторых показателей переносимости. Например, в некоторых случаях такие антисмысловые соединения, имеющие один или более фосфодиэфиров, являются менее иммуногенными, чем такие же соединения, в которых каждая связь представляет собой тиофосфат. Однако в некоторых случаях, как показано в Примере 26, такое же замещение одной или более тиофсофатных связей на фосфодиэфирные связи приводит также к снижению клеточного захвата и/или к снижению активности. В некоторых вариантах реализации изобретения конъюгированные антисмысловые соединения, описанные в настоящем документе, допускают такое изменение связей с небольшим снижением или без снижения захвата и активности, по сравнению с конъюгированным полностью тиофосфатным аналогом. В действительности, в некоторых вариантах реализации, например, в Примерах 44, 57, 59 и 86, олигонуклеотиды, содержащие конъюгат и по меньшей мере одну фосфодиэфирную межнуклеозидную связь, фактически демонстрируют повышенную активность in vivo даже по сравнению с полностью тиофосфатным аналогом, также содержащим такой же конъюгат. Более того, поскольку конъюгация приводит к значительному увеличению захвата/активности, то небольшое снижение такого существенного прироста может быть приемлемым для достижения улучшенной переносимости. Соответственно, в некоторых вариантах реализации изобретения конъюгированные антисмысловые соединения содержат по меньшей мере одну фосфодиэфирную связь.In some embodiments of the invention, conjugation allows you to change the antisense compounds so that they have less pronounced effects in the absence of conjugation. For example, in some embodiments of the invention, the replacement of one or more thiophosphate bonds of a fully thiophosphate antisense compound with phosphodiester bonds results in an improvement in some indicators of tolerability. For example, in some instances, such antisense compounds having one or more phosphodiesters are less immunogenic than the same compounds in which each bond is a thiophosphate. However, in some cases, as shown in Example 26, the same substitution of one or more thiophosate bonds with phosphodiester bonds also results in a decrease in cellular uptake and/or a decrease in activity. In some embodiments of the invention, the conjugated antisense compounds described herein allow such a change in bonds with little or no reduction in uptake and activity, compared with the conjugated all thiophosphate analog. Indeed, in some embodiments, such as in Examples 44, 57, 59, and 86, oligonucleotides containing the conjugate and at least one phosphodiester internucleoside bond actually exhibit enhanced in vivo activity even when compared to the all-thiophosphate analog also containing such or the conjugate. Moreover, since conjugation results in a significant increase in uptake/activity, a small reduction in such a significant increase may be acceptable in order to achieve improved tolerability. Accordingly, in some embodiments, the conjugated antisense compounds contain at least one phosphodiester bond.

В некоторых вариантах реализации изобретения конъюгация антисмысловых соединений по настоящему документу приводит к улучшенной доставке, захвату и активности в гепатоцитах. Следовательно, в ткань печени доставляется большее количество соединения. Однако в некоторых вариантах реализации изобретения такая улучшенная доставка сама по себе не объясняет общего увеличения активности. В некоторых таких вариантах реализации изобретения большее количество соединения поступает в гепатоциты. В некоторых вариантах реализации изобретения даже такой улучшенный захват гепатоцитов сам по себе не объясняет общего увеличения активности. В таких вариантах реализации изобретения увеличивается продуктивный захват конъюгированного соединения. Например, как показано в Примере 102, некоторые варианты реализации GalNAc-содержащих конъюгатов увеличивают обогащение антисмысловых олигонуклеотидов в гепатоцитах, по сравнению с не паренхимальными клетками. Такое обогащение преимущественно для олигонуклеотидов, которые нацелены на гены, экспрессируемые в гепатоцитах.In some embodiments of the invention, conjugation of antisense compounds of the present document results in improved delivery, uptake, and activity in hepatocytes. Consequently, more of the compound is delivered to the liver tissue. However, in some embodiments of the invention, such improved delivery alone does not explain the overall increase in activity. In some such embodiments of the invention, a greater amount of the compound enters the hepatocytes. In some embodiments of the invention, even this improved capture of hepatocytes does not in itself explain the overall increase in activity. In such embodiments of the invention, the productive uptake of the conjugated compound is increased. For example, as shown in Example 102, some embodiments of GalNAc-containing conjugates increase the enrichment of antisense oligonucleotides in hepatocytes compared to non-parenchymal cells. This enrichment is advantageous for oligonucleotides that target genes expressed in hepatocytes.

В некоторых вариантах реализации изобретения конъюгированные антисмысловые соединения по настоящему документу приводят к уменьшению воздействия на почки. Например, как показано в Примере 20, концентрации антисмысловых олигонуклеотидов, содержащих некоторые варианты реализации GalNAc-содержащих конъюгатов, в почках ниже, чем концентрации антисмысловых олигонуклеотидов, не имеющих GalNAc-содержащего конъюгата. Это имеет несколько благоприятных терапевтических эффектов. Для терапевтических показаний, в которых не требуется проявление активности в почках, воздействие на почки подвергает их риску токсичности без соответствующей пользы. Более того, высокая концентрация в почках обычно приводит к выводу соединения с мочой, обеспечивая более быстрое выведение. Соответственно, для внепочечных мишеней накопление в почках является нежелательным.In some embodiments of the invention, the conjugated antisense compounds of the present document result in a reduction in renal exposure. For example, as shown in Example 20, concentrations of antisense oligonucleotides containing certain embodiments of GalNAc-containing conjugates in the kidney are lower than concentrations of antisense oligonucleotides lacking a GalNAc-containing conjugate. This has several beneficial therapeutic effects. For therapeutic indications that do not require activity in the kidneys, exposure to the kidneys exposes them to the risk of toxicity without corresponding benefit. Moreover, the high concentration in the kidneys usually results in the excretion of the compound in the urine, allowing for faster elimination. Accordingly, for extrarenal targets, accumulation in the kidneys is undesirable.

В некоторых вариантах реализации настоящего описания приведены конъюгированные антисмысловые соединения, представленные формулой:In some embodiments of the present disclosure, conjugated antisense compounds are represented by the formula:

Figure 00000001
Figure 00000001

гдеwhere

А представляет собой антисмысловый олигонуклеотид;A is an antisense oligonucleotide;

В представляет собой расщепляемый фрагмент;B is a cleavable fragment;

С представляет собой линкер конъюгата;C is a conjugate linker;

D представляет собой группу ветвления;D is a branch group;

каждый E представляет собой связку;each E is a bunch;

каждый F представляет собой лиганд; иeach F is a ligand; and

q представляет собой целое число от 1 до 5.q is an integer from 1 to 5.

На приведенной выше схеме и в аналогичных схемах в настоящем документе группа ветвления «D» разветвляется такое количество раз, которое необходимо для соответствия количеству групп (E-F), указанному количеством «q». Так, если q=1, то формула представляет собой:In the above diagram and in similar diagrams herein, branching group "D" branches as many times as necessary to match the number of groups (E-F) indicated by the number "q". So, if q=1, then the formula is:

Figure 00000002
Figure 00000002

если q=2, то формула представляет собой:if q=2, then the formula is:

Figure 00000003
Figure 00000003

если q=3, то формула представляет собой:if q=3, then the formula is:

Figure 00000004
Figure 00000004

если q=4, то формула представляет собой:if q=4, then the formula is:

Figure 00000005
Figure 00000005

если q=5, то формула представляет собой:if q=5, then the formula is:

Figure 00000006
Figure 00000006

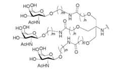
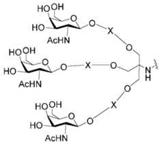
Б некоторых вариантах реализации изобретения приведены конъюгированные антисмысловые соединения, имеющие структуру:In some embodiments of the invention, conjugated antisense compounds are provided having the structure:

Figure 00000007
Figure 00000007

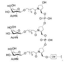
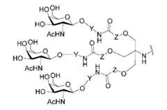
В некоторых вариантах реализации изобретения приведены конъюгированные антисмысловые соединения, имеющие структуру:In some embodiments of the invention, conjugated antisense compounds are provided having the structure:

Figure 00000008
Figure 00000008

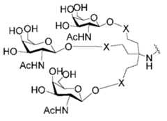
В некоторых вариантах реализации изобретения приведены конъюгированные антисмысловые соединения, имеющие структуру:In some embodiments of the invention, conjugated antisense compounds are provided having the structure:

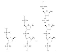
Figure 00000009
Figure 00000009

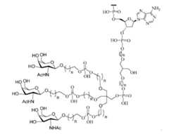
В некоторых вариантах реализации изобретения приведены конъюгированные антисмысловые соединения, имеющие структуру:In some embodiments of the invention, conjugated antisense compounds are provided having the structure:

Figure 00000010
Figure 00000010

В вариантах реализации, имеющих более одной конкретной переменной (например, более одного «m» или «n»), если не указано иное, каждая такая конкретная переменная выбрана независимо. Следовательно, для структуры, имеющей более одного n, каждый n выбран независимо, так что они могут быть или не быть одинаковыми между собой.In embodiments having more than one particular variable (eg, more than one "m" or "n"), unless otherwise noted, each such particular variable is independently selected. Therefore, for a structure having more than one n, each n is chosen independently, so they may or may not be the same.

ПОДРОБНОЕ ОПИСАНИЕ ИЗОБРЕТЕНИЯDETAILED DESCRIPTION OF THE INVENTION

Следует понимать, что и приведенное выше общее описание, и следующее подробное описание являются лишь иллюстративными и пояснительными, и они не ограничивают настоящее описание. В настоящем документе использование единственного числа включает множественное число, если специально не указано иное. При использовании в настоящем документе, термин «или» означает «и/или», если не указано иное. Кроме того, использование термина «включая», а также других форм, таких как «включает» и «включенный», не является ограничивающим. Также, такие термины как «элемент» или «компонент» охватывают как элементы и компоненты, содержащие одну единицу, так и элементы и компоненты, которые содержат более одной субъединицы, если специально не указано иное.It is to be understood that both the foregoing general description and the following detailed description are illustrative and explanatory only and do not limit the present description. In this document, the use of the singular includes the plural unless specifically stated otherwise. As used herein, the term "or" means "and/or" unless otherwise indicated. In addition, the use of the term "including" as well as other forms such as "includes" and "included" is not limiting. Also, terms such as "element" or "component" include both elements and components containing a single unit, and elements and components that contain more than one subunit, unless specifically indicated otherwise.

Названия разделов, используемые в настоящем документе, предназначены лишь для организационных целей, и их не следует толковать как ограничение описанного объекта изобретения. Все документы или части документов, цитируемые в настоящей заявке, включая, но не ограничиваясь ими, патенты, патентные заявки, статьи, книги и монографии, в явной форме включены в настоящий документ посредством ссылки в полном объеме для всех целей.The section headings used herein are for organizational purposes only and should not be construed as limiting the subject matter described. All documents or portions of documents cited in this application, including but not limited to patents, patent applications, articles, books and monographs, are expressly incorporated herein by reference in their entirety for all purposes.

А. ОпределенияA. Definitions

При отсутствии конкретных определений, номенклатура, используемая в связи с ними, а также в связи с приемами и методиками аналитической химии, синтетической органической химии, а также медицинской и фармацевтической химии, описанная в настоящем документе, является общеизвестной и общепринятой в данной области техники. Для химического синтеза и химического анализа могут быть использованы стандартные методики. Некоторые такие методики и приемы приведены, например, в публикациях "Carbohydrate Modifications in Antisense Research" под редакцией Sangvi и Cook, American Chemical Society, федеральный округ Вашингтон, 1994; "Remington's Pharmaceutical Sciences," Mack Publishing Co., Истон, штат Пенсильвания, 21е издание, 2005; и "Antisense Drug Technology, Principles, Strategies, and Applications" под редакцией Stanley Т. Crooke, CRC Press, Бока-Ратон, штат Флорида; а также в книге Sambrook et al., "Molecular Cloning, A laboratory Manual," 2е издание, Cold Spring Harbor Laboratory Press, 1989, которые включены в настоящий документ посредством ссылки для всех целей. Если это допустимо, все патенты, заявки, опубликованные заявки и другие публикации, а также другие данные, упоминаемые в тексте настоящего описания, включены в настоящий документ посредством ссылки в полном объеме.In the absence of specific definitions, the nomenclature used in connection with them, as well as in connection with the techniques and methods of analytical chemistry, synthetic organic chemistry, and medical and pharmaceutical chemistry, described in this document, is well known and generally accepted in the art. For chemical synthesis and chemical analysis, standard techniques can be used. Some such techniques and techniques are given, for example, in "Carbohydrate Modifications in Antisense Research" by Sangvi and Cook, American Chemical Society, Washington DC, 1994; "Remington's Pharmaceutical Sciences," Mack Publishing Co., Easton, PA, 21stedition , 2005; and Antisense Drug Technology, Principles, Strategies, and Applications, edited by Stanley T. Crooke, CRC Press, Boca Raton, Fla.; and also in Sambrook et al., "Molecular Cloning, A laboratory Manual,"2nd Edition, Cold Spring Harbor Laboratory Press, 1989, which are incorporated herein by reference for all purposes. If applicable, all patents, applications, published applications and other publications, as well as other data mentioned in the text of this description, are incorporated herein by reference in their entirety.

Если не указано иное, следующие термины имеют следующие значения:Unless otherwise indicated, the following terms have the following meanings:

При использовании в настоящем документе, «нуклеозид» означает соединение, содержащее фрагмент азотистые основания и сахарный фрагмент. Нуклеозиды включают, но не ограничиваются ими, природные нуклеозиды (которые находятся в ДНК и РНК) и модифицированные нуклеозиды. Нуклеозиды могут быть связаны с фосфатным фрагментом.As used herein, "nucleoside" means a compound containing a nitrogenous base moiety and a sugar moiety. Nucleosides include, but are not limited to, natural nucleosides (which are found in DNA and RNA) and modified nucleosides. Nucleosides can be linked to a phosphate moiety.

При использовании в настоящем документе, «химическая модификация» означает химическое отличие в соединении, по сравнению с природным аналогом. Химические модификации олигонуклеотидов включают нуклеозидные модификации (включая модификации сахарного фрагмента и модификации азотистые основания) и модификации межнуклеозидных связей. В отношении олигонуклеотида химическая модификация включает не только отличия в последовательности азотистых оснований.As used herein, "chemical modification" means a chemical difference in a compound from its natural counterpart. Chemical modifications of oligonucleotides include nucleoside modifications (including sugar moiety modifications and nitrogenous base modifications) and modifications of internucleoside bonds. In relation to an oligonucleotide, chemical modification does not only include differences in the sequence of nitrogenous bases.

При использовании в настоящем документе, «фуранозил» означает структуру, содержащую 5-членное кольцо, содержащее четыре атома углерода и один атом кислорода.As used herein, "furanosyl" means a structure containing a 5-membered ring containing four carbon atoms and one oxygen atom.

При использовании в настоящем документе, «природный сахарный фрагмент» означает рибофуранозил, встречающийся в природной РНК, или дезоксирибофуранозил, встречающийся в природной ДНК.As used herein, "natural sugar moiety" means ribofuranosyl found in natural RNA or deoxyribofuranosyl found in natural DNA.

При использовании в настоящем документе, «сахарный фрагмент» означает природный сахарный фрагмент или модифицированный сахарный фрагмент нуклеозида.As used herein, "sugar moiety" means a naturally occurring sugar moiety or a modified sugar moiety of a nucleoside.

При использовании в настоящем документе, «модифицированный сахарный фрагмент» означает замещенный сахарный фрагмент или заменитель сахара.As used herein, "modified sugar moiety" means a substituted sugar moiety or sugar substitute.

При использовании в настоящем документе, «замещенный сахарный фрагмент» означает фуранозил, который не является природным сахарным фрагментом. Замещенные сахарные фрагменты включают, но не ограничиваются ими, фуранозилы, содержащие заместители в 2'-положении, 3'-положении, 5'-положении и/или 4'-положении. Некоторые замещенные сахарные фрагменты представляют собой бициклические сахарные фрагменты.As used herein, "substituted sugar moiety" means furanosyl that is not a naturally occurring sugar moiety. Substituted sugar moieties include, but are not limited to, furanosyls containing substituents at the 2' position, 3' position, 5' position, and/or 4' position. Some substituted sugar moieties are bicyclic sugar moieties.

При использовании в настоящем документе, «2'-замещенный сахарный фрагмент» означает фуранозил, содержащий заместитель в 2'-положении, отличный от Н или ОН. Если не указано иное, то 2'-замещенный сахарный фрагмент не является бициклическим сахарным фрагментом (т.е. 2'-заместитель 2'-замещенного сахарного фрагмента не образует мостик с другим атомом радикала фуранозного кольца).As used herein, "2'-substituted sugar moiety" means furanosyl containing a substituent at the 2'-position other than H or OH. Unless otherwise indicated, a 2'-substituted sugar moiety is not a bicyclic sugar moiety (i.e., the 2'-substituent of a 2'-substituted sugar moiety does not form a bridge with another atom of the furanose ring radical).

При использовании в настоящем документе, «МОЕ» означает -OCH2CH2OCH3.As used herein, "MY" means -OCH2 CH2 OCH3 .

При использовании в настоящем документе, «2'-F нуклеозид» относится к нуклеозиду, содержащему сахар, который содержит фтор в 2'-положении. Если не указано иное, то фтор в 2'-F нуклеозиде находится в рибо-положении (заменяя ОН природной рибозы).As used herein, "2'-F nucleoside" refers to a sugar-containing nucleoside that contains fluorine at the 2'-position. Unless otherwise noted, the fluorine in the 2'-F nucleoside is in the ribo position (replacing the OH of the natural ribose).

При использовании в настоящем документе, термин «заменитель сахара» означает структуру, которая не содержит фуранозила и способна заменять природный сахарный фрагмент нуклеозида, так что образующиеся нуклеозидные субъединицы могут связываться вместе и/или связываться с другими нуклеозидами с образованием олигомерного соединения, которое может гибридизоваться с комплементарным олигомерным соединением. Такие структуры включают кольца, содержащие другое количество атомов, чем фуранозил (например, 4, 6 или 7-членные кольца); замену кислорода фуранозила некислородным атомом (например, углеродом, серой или азотом); или одновременное изменение количество атомов и замену кислорода. Такие структуры также могут содержать замещения, соответствующие замещениям, описанным для замещенных сахарных фрагментов (например, 6-членные карбоциклические бициклические заменители сахара, необязательно содержащие дополнительные заместители). Заменители сахара включают также более сложные сахарные заместители (например, некольцевые системы пептидной нуклеиновой кислоты). Заменители сахара включают, без ограничения, морфолино, циклогексенилы и циклогекситолы.As used herein, the term "sugar substitute" means a structure that does not contain furanosyl and is capable of replacing the natural sugar moiety of a nucleoside such that the resulting nucleoside subunits can bind together and/or bind to other nucleosides to form an oligomeric compound that can hybridize to complementary oligomeric compound. Such structures include rings containing a different number of atoms than furanosyl (eg 4, 6 or 7 membered rings); replacing the oxygen of furanosyl with a non-oxygen atom (eg carbon, sulfur or nitrogen); or the simultaneous change in the number of atoms and the replacement of oxygen. Such structures may also contain substitutions corresponding to those described for substituted sugar moieties (eg, 6-membered carbocyclic bicyclic sugar substitutes, optionally containing additional substituents). Sugar substitutes also include more complex sugar substituents (eg non-circular peptide nucleic acid systems). Sugar substitutes include, without limitation, morpholinos, cyclohexenyls, and cyclohexitols.

При использовании в настоящем документе, «бициклический сахарный фрагмент» означает модифицированный сахарный фрагмент, содержащий 4-7-членное кольцо (включая, но не ограничиваясь фуранозилом), содержащее мостик, связывающий два атома 4-7-членного кольца с образованием второго кольца, что приводит к получению бициклической структуры. В некоторых вариантах реализации изобретения 4-7-членное кольцо представляет собой сахарное кольцо. В некоторых вариантах реализации изобретения 4-7-членное кольцо представляет собой фуранозил. В некоторых таких вариантах реализации изобретения мостик соединяет 2'-углерод и 4'-углерод фуранозила.As used herein, "bicyclic sugar moiety" means a modified sugar moiety containing a 4- to 7-membered ring (including but not limited to furanosyl) containing a bridge linking two atoms of the 4- to 7-membered ring to form a second ring such that leads to a bicyclic structure. In some embodiments, the 4-7 membered ring is a sugar ring. In some embodiments, the 4-7 membered ring is furanosyl. In some such embodiments, a bridge connects the 2' carbon and the 4' carbon of furanosyl.

При использовании в настоящем документе, «нуклеотид» означает нуклеозид, дополнительно содержащий фосфатную связывающую группу. При использовании в настоящем документе, «связанные нуклеозиды» могут быть или не быть связаны фосфатными связями и, следовательно, включают, но не ограничиваются ими, «связанные нуклеотиды». При использовании в настоящем документе, «связанные нуклеозиды» представляют собой нуклеозиды, которые связаны в непрерывную последовательность (т.е. между связанными нуклеозидами нет дополнительных нуклеозидов).As used herein, "nucleotide" means a nucleoside further containing a phosphate linking group. As used herein, "linked nucleosides" may or may not be linked by phosphate bonds and therefore includes, but is not limited to, "linked nucleotides". As used herein, "linked nucleosides" are nucleosides that are linked in a contiguous sequence (ie, there are no additional nucleosides between linked nucleosides).

При использовании в настоящем документе, «азотистое основание» означает группу атомов, которая может быть связана с сахарным фрагментом с образованием нуклеозида, который может быть внедрен в олигонуклеотид, и при этом указанная группа атомов может связываться с комплементарным природным азотистым основанием другого олигонуклеотида или нуклеиновой кислоты. Азотистые основания могут быть природными или могут быть модифицированными.As used herein, "nucleobase" means a group of atoms that can be bonded to a sugar moiety to form a nucleoside that can be incorporated into an oligonucleotide, and said group of atoms can bind to the complementary natural nitrogenous base of another oligonucleotide or nucleic acid. . The nitrogenous bases may be natural or may be modified.

При использовании в настоящем документе, термины «немодифицированное азотистое основание» или «природное азотистое основание» означают природные гетероциклические азотистые основания РНК или ДНК: пуриновые основания аденин (А) и гуанин (G) и пиримидиновые основания тимин (Т), цитозин (С) (включая 5-метил С) и урацил (U).As used herein, the terms "unmodified nitrogenous base" or "natural nitrogenous base" means the natural heterocyclic nitrogenous bases of RNA or DNA: the purine bases adenine (A) and guanine (G) and the pyrimidine bases thymine (T), cytosine (C) (including 5-methyl C) and uracil (U).

При использовании в настоящем документе, «модифицированное азотистое основание» означает любое азотистое основание, которое не является природным азотистым основанием.As used herein, "modified nitrogenous base" means any nitrogenous base that is not a naturally occurring nitrogenous base.

При использовании в настоящем документе, «модифицированный нуклеозид» означает нуклеозид, содержащий по меньшей мере одну химическую модификацию, по сравнению с природными нуклеозидами РНК или ДНК. Модифицированные нуклеозиды содержат модифицированный сахарный фрагмент и/или модифицированное азотистое основание.As used herein, "modified nucleoside" means a nucleoside containing at least one chemical modification compared to natural RNA or DNA nucleosides. Modified nucleosides contain a modified sugar moiety and/or a modified nitrogenous base.

При использовании в настоящем документе, «бициклический нуклеозид» или «BNA» означает нуклеозид, содержащий бициклический сахарный фрагмент.As used herein, "bicyclic nucleoside" or "BNA" means a nucleoside containing a bicyclic sugar moiety.

При использовании в настоящем документе, «стерически затрудненный этил-нуклеозид» или «cEt» означает нуклеозид, содержащий бициклический сахарный фрагмент, который содержит мостик 4'-СН(СН3)-O-2'.As used herein, "hindered ethyl nucleoside" or "cEt" means a nucleoside containing a bicyclic sugar moiety that contains a 4'-CH(CH3 )-O-2' bridge.

При использовании в настоящем документе, «нуклеозид закрытой нуклеиновой кислоты» или «LNA» означает нуклеозид, содержащий бициклический сахарный фрагмент, который содержит мостик 4'-СН2-O-2'.As used herein, "closed nucleic acid nucleoside" or "LNA" means a nucleoside containing a bicyclic sugar moiety that contains a 4'-CH2 -O-2' bridge.

При использовании в настоящем документе, «2'-замещенный нуклеозид» означает нуклеозид, содержащий заместитель в 2'-положении, отличный от H или ОН. Если не указано иное, то 2'-замещенный нуклеозид не является бициклический нуклеозидом.As used herein, "2'-substituted nucleoside" means a nucleoside containing a substituent at the 2'-position other than H or OH. Unless otherwise stated, a 2'-substituted nucleoside is not a bicyclic nucleoside.

При использовании в настоящем документе, «дезоксинуклеозид» означает нуклеозид, содержащий 2'-Н фуранозный сахарный фрагмент, находящийся в природных дезоксирибонуклеозидах (ДНК). В некоторых вариантах реализации изобретения 2'-дезоксинуклеозид может содержать модифицированное азотистое основание или может содержать азотистое основание РНК (например, урацил).As used herein, "deoxynucleoside" means a nucleoside containing a 2'-H furanose sugar moiety found in naturally occurring deoxyribonucleosides (DNA). In some embodiments, the 2'-deoxynucleoside may contain a modified nitrogenous base, or may contain an RNA nitrogenous base (eg, uracil).

При использовании в настоящем документе, «олигонуклеотид» означает соединение, содержащее множество связанных нуклеозидов. В некоторых вариантах реализации изобретения олигонуклеотид содержит один или более немодифицированных рибонуклеозидов (РНК) и/или немодифицированных дезоксирибонуклеозидов (ДНА), и/или один или более модифицированных нуклеозидов.As used herein, "oligonucleotide" means a compound containing a plurality of linked nucleosides. In some embodiments, the oligonucleotide contains one or more unmodified ribonucleosides (RNA) and/or unmodified deoxyribonucleosides (DNAs), and/or one or more modified nucleosides.

При использовании в настоящем документе, «олигонуклеозид» означает олигонуклеотид, в котором ни один из межнуклеозидных связей не содержит атом фосфора. При использовании в настоящем документе, олигонуклеотиды включают олигонуклеозиды.As used herein, "oligonucleoside" means an oligonucleotide in which none of the internucleoside bonds contains a phosphorus atom. As used herein, oligonucleotides include oligonucleosides.

При использовании в настоящем документе, «модифицированный олигонуклеотид» означает олигонуклеотид, содержащий по меньшей мере один модифицированный нуклеозид и/или по меньшей мере одну модифицированную межнуклеозидную связь.As used herein, "modified oligonucleotide" means an oligonucleotide containing at least one modified nucleoside and/or at least one modified internucleoside bond.

При использовании в настоящем документе, «связь» или «связывающая группа» означает группу атомов, которая связывает вместе две или более других групп атомов.As used herein, "bond" or "linking group" means a group of atoms that links together two or more other groups of atoms.

При использовании в настоящем документе, «межнуклеозидная связь» означает ковалентную связь между соседними нуклеозидами в олигонуклеотид е.As used herein, "internucleoside bond" means a covalent bond between adjacent nucleosides in an oligonucleotide e.

При использовании в настоящем документе, «природная межнуклеозидная связь» означает фосфодиэфирную связь 3' с 5'.As used herein, "natural internucleoside bond" means a phosphodiester bond 3' to 5'.

При использовании в настоящем документе, «модифицированная межнуклеозидная связь» означает любую межнуклеозидную связь, отличную от природной межнуклеозидной связи.As used herein, "modified internucleoside bond" means any internucleoside bond other than a naturally occurring internucleoside bond.

При использовании в настоящем документе, «концевая межнуклеозидная связь» означает связь между последними двумя нуклеозидами олигонуклеотида или его определенной области.As used herein, "terminal internucleoside bond" means the bond between the last two nucleosides of an oligonucleotide or a defined region thereof.

При использовании в настоящем документе, «фосфорная связывающая группа» означает связывающую группу, содержащую атом фосфора. Фосфорные связывающие группы включают, без ограничения, группы, имеющие формулу:As used herein, "phosphorus linking group" means a linking group containing a phosphorus atom. Phosphorus linking groups include, without limitation, groups having the formula:

Figure 00000011
Figure 00000011

где:where:

Ra и Rd, каждый независимо, представляют собой О, S, СН2, NH или NJ1, где J1 представляет собой C16 алкил или замещенный C16 алкил;Ra and Rd are each independently O, S, CH2 , NH or NJ1 where J1 is C1 -C6 alkyl or substituted C1 -C6 alkyl;

Rb представляет собой О или S;Rb is O or S;

Rc представляет собой ОН, SH, C1-C6 алкил, замещенный C1-C6 алкил, C1-C6 алкокси, замещенный C16 алкокси, амино или замещенный амино; иRc is OH, SH, C1 -C6 alkyl, substituted C1 -C6 alkyl, C1 -C6 alkoxy, substituted C1 -C6 alkoxy, amino, or substituted amino; and

J1 представляет собой Rb представляет собой О или S.J1 is Rb is O or S.

Фосфорные связывающие группы включают, без ограничения, фосфодиэфир, тиофосфат, дитиофосфат, фосфонат, фосфорамидат, фосфортиоамидат, тионоалкилфосфонат, фосфотриэфиры, тионоалкилфосфотриэфиры и боранофосфат.Phosphorus linking groups include, without limitation, phosphodiester, thiophosphate, dithiophosphate, phosphonate, phosphoramidate, phosphorothioamidate, thionoalkylphosphonate, phosphotriesters, thionoalkylphosphotriesters, and boranophosphate.

При использовании в настоящем документе, «межнуклеозидная фосфорная связывающая группа» означает фосфорную связывающую группу, которая напрямую связывает два нуклеозида.As used herein, "internucleoside phosphorus linking group" means a phosphorus linking group that directly links two nucleosides.

При использовании в настоящем документе, «не межнуклеозидная фосфорная связывающая группа» означает фосфорную связывающую группу, которая не связывает напрямую два нуклеозида. В некоторых вариантах реализации изобретения не межнуклеозидная фосфорная связывающая группа связывает нуклеозид с группой, отличной от нуклеозида. В некоторых вариантах реализации изобретения не межнуклеозидная фосфорная связывающая группа связывает две группы, ни одна из которых не является нуклеозидом.As used herein, "non-internucleoside phosphorus linking group" means a phosphorus linking group that does not directly link two nucleosides. In some embodiments, a non-internucleoside phosphorus linking group links the nucleoside to a group other than the nucleoside. In some embodiments, a non-internucleoside phosphorus linking group links two groups, neither of which is a nucleoside.

При использовании в настоящем документе, «нейтральная связывающая группа» означает связывающую группу, которая не имеет заряда. Нейтральные связывающие группы включают, без ограничения, фосфотриэфиры, метилфосфонаты, MMI (-СН2-N(CH3)-O-), амид-3 (-CH2-C(=O)-N(H)-), амид-4 (-CH2-N(H)-C(=O)-), формацеталь (-O-СН2-О-) и тиоформацеталь (-S-CH2-O-). Дополнительные нейтральные связывающие группы включают неионные связи, содержащие силокасан (диалкилсилоксан), карбоновый сложный эфир, карбоксамид, сульфид, сульфоновый сложный эфир и амиды (см., например: Carbohydrate Modifications in Antisense Research; под ред. Y.S. Sanghvi и P.D. Cook, ACS Symposium, серия 580; главы 3 и 4, (cc. 40-65)). Дополнительные нейтральные связывающие группы включают неионные связи, содержащие смешанные составные части N, О, S и СН2.As used herein, "neutral linking group" means a linking group that has no charge. Neutral linking groups include, without limitation, phosphotriesters, methylphosphonates, MMI (-CH2 -N(CH3 )-O-), amide-3 (-CH2 -C(=O)-N(H)-), amide -4 (-CH2 -N(H)-C(=O)-), forma acetal (-O-CH2 -O-) and thioformacetal (-S-CH2 -O-). Additional neutral linking groups include non-ionic bonds containing siloxane (dialkylsiloxane), carboxylic ester, carboxamide, sulfide, sulfonic ester and amides (see, for example: Carbohydrate Modifications in Antisense Research; ed. YS Sanghvi and PD Cook, ACS Symposium , series 580; chapters 3 and 4, (pp. 40-65)). Additional neutral linking groups include nonionic bonds containing mixed constituents of N, O, S and CH2 .

При использовании в настоящем документе, «межнуклеозидная нейтральная связывающая группа» означает нейтральную связывающую группу, которая напрямую связывает два нуклеозида.As used herein, "internucleoside neutral linking group" means a neutral linking group that directly links two nucleosides.

При использовании в настоящем документе, «не межнуклеозидная нейтральная связывающая группа» означает нейтральную связывающую группу, которая не связывает напрямую два нуклеозида. В некоторых вариантах реализации изобретения не межнуклеозидная нейтральная связывающая группа связывает нуклеозид с группой, отличной от нуклеозида. В некоторых вариантах реализации изобретения не межнуклеозидная нейтральная связывающая группа связывает две группы, ни одна из которых не является нуклеозидом.As used herein, "non-internucleoside neutral linking group" means a neutral linking group that does not directly link two nucleosides. In some embodiments, the non-internucleoside neutral linking group links the nucleoside to a group other than the nucleoside. In some embodiments, a non-internucleoside neutral linking group links two groups, neither of which is a nucleoside.

При использовании в настоящем документе, «олигомерное соединение» означает полимерную структуру, содержащую две или более субструктур. В некоторых вариантах реализации изобретения олигомерное соединение содержит олигонуклеотид. В некоторых вариантах реализации изобретения олигомерное соединение содержит одну или более конъюгированных групп и/или концевых групп. В некоторых вариантах реализации изобретения олигомерное соединение состоит из олигонуклеотида. Олигомерные соединения включают также природные нуклеиновые кислоты. В некоторых вариантах реализации изобретения олигомерное соединение содержит скелет одной или более связанных мономерных субъединиц, при этом каждая связанная мономерная субъединица прямо или косвенно присоединена к гетероциклическому основному фрагменту. В некоторых вариантах реализации изобретения олигомерные соединения могут содержать также мономерные субъединицы, которые не связаны с гетероциклическим основным фрагментом, обеспечивая таким образом сайты с удаленными основаниями. В некоторых вариантах реализации изобретения связи, соединяющие мономерные субъединицы, сахарные фрагменты или заменители и гетероциклические основные фрагменты, могут быть независимо модифицированы. В некоторых вариантах реализации изобретения единица связь-сахар, которая может содержать или не содержать гетероциклическое основание, может быть замещена миметиком, таким как мономеры в пептидных нуклеиновых кислотах.As used herein, "oligomeric compound" means a polymeric structure containing two or more substructures. In some embodiments of the invention, the oligomeric compound contains an oligonucleotide. In some embodiments of the invention, the oligomeric compound contains one or more conjugated groups and/or end groups. In some embodiments of the invention, the oligomeric compound consists of an oligonucleotide. Oligomeric compounds also include natural nucleic acids. In some embodiments of the invention, the oligomeric compound contains the backbone of one or more linked monomeric subunits, with each linked monomeric subunit directly or indirectly attached to the heterocyclic main fragment. In some embodiments of the invention, oligomeric compounds may also contain monomeric subunits that are not associated with a heterocyclic basic fragment, thus providing sites with deleted bases. In some embodiments, the bonds connecting the monomeric subunits, sugar moieties or substitutes, and the heterocyclic base moieties can be independently modified. In some embodiments, the sugar bond unit, which may or may not contain a heterocyclic base, may be substituted with a mimetic, such as monomers in peptide nucleic acids.

При использовании в настоящем документе, «концевая группа» означает один или более атомов, присоединенных к любому или к обоим 3'- или 5'-концам олигонуклеотида. В некоторых вариантах реализации изобретения концевая группа представляет собой конъюгирующую группу. В некоторых вариантах реализации изобретения концевая группа содержит один или более нуклеозидов концевой группы.As used herein, "end group" means one or more atoms attached to either or both of the 3' or 5' ends of an oligonucleotide. In some embodiments of the invention, the end group is a conjugate group. In some embodiments of the invention, the end group contains one or more end group nucleosides.

При использовании в настоящем документе, «конъюгат» или «конъюгирующая группа» означает атом или группу атомов, связанную с олигонуклеотидом или олигомерным соединением. Как правило, конъюгирующие группы модифицируют одно или более свойств соединения, к которому они присоединены, включая, но не ограничиваясь ими, свойства фармакодинамики, фармакокинетики, связывания, поглощения, клеточного распределения, клеточного захвата, заряда и/или выведения.As used herein, "conjugate" or "conjugating group" means an atom or group of atoms associated with an oligonucleotide or oligomeric compound. Typically, conjugating groups modify one or more properties of the compound to which they are attached, including, but not limited to, pharmacodynamic, pharmacokinetic, binding, uptake, cellular distribution, cellular uptake, charge, and/or excretion properties.

При использовании в настоящем документе, «линкер конъюгата» или «линкер» в контексте конъюгирующие группы означает часть конъюгирующие группы, содержащую любой атом или группу атомов и ковалентно связывающую (1) олигонуклеотид с другой частью конъюгирующие группы или (2) две или более частей конъюгирующие группы.As used herein, "conjugate linker" or "linker" in the context of conjugate groups means a portion of a conjugate group containing any atom or group of atoms and covalently linking (1) an oligonucleotide to another portion of a conjugate group or (2) two or more portions of a conjugate group. groups.

Конъюгирующие группы показаны в настоящем документе как радикалы, обеспечивающие связь для образования ковалентного присоединения к олигомерному соединению, такому как антисмысловый олигонуклеотид. В некоторых вариантах реализации изобретения точка присоединения у олигомерного соединения представляет собой 3'-атом кислорода 3'-гидроксильной группы 3'-концевого нуклеозида олигомерного соединения. В некоторых вариантах реализации изобретения точка присоединения у олигомерного соединения представляет собой 5'-атом кислорода 5'-гидроксильной группы 5'-концевого нуклеозида олигомерного соединения. В некоторых вариантах реализации изобретения связь для образования присоединения к олигомерному соединению представляет собой расщепляемую связь. В некоторых таких вариантах реализации изобретения такая расщепляемая связь составляет весь или часть расщепляемого фрагмента.Conjugating groups are shown herein as radicals that provide a bond to form a covalent attachment to an oligomeric compound, such as an antisense oligonucleotide. In some embodiments, the point of attachment at the oligomeric compound is the 3' oxygen atom of the 3'-hydroxyl group of the 3'-terminal nucleoside of the oligomeric compound. In some embodiments, the point of attachment at the oligomeric compound is the 5' oxygen atom of the 5'-hydroxyl group of the 5'-terminal nucleoside of the oligomeric compound. In some embodiments, the bond to form an attachment to the oligomeric compound is a cleavable bond. In some such embodiments, such a cleavable bond constitutes all or part of the cleavable moiety.

В некоторых вариантах реализации изобретения конъюгирующие группы содержат расщепляемый фрагмент (например, расщепляемую связь или расщепляемый нуклеозид) и часть углеводного кластера, такую как часть кластера GalNAc. Такая часть углеводного кластера содержит: нацеливающий фрагмент и, необязательно, линкер конъюгата. В некоторых вариантах реализации изобретения часть углеводного кластера определяют по количеству и сущности лиганда. Например, в некоторых вариантах реализации изобретения часть углеводного кластера содержит три группы GalNAc и обозначена «GalNAc3». В некоторых вариантах реализации изобретения часть углеводного кластера содержит 4 группы GalNAc и обозначена «GalNAc4». Конкретные части углеводных кластеров (имеющие конкретную связку, группы ветвления и линкера конъюгата) описаны в настоящем документе и обозначены римской цифрой с последующим нижним индексом «а». Соответственно, «GalNac3-1a» относится к конкретной части углеводного кластера конъюгирующие группы, имеющей 3 группы GalNac и конкретно определенную связку, группы ветвления и линкера. Такой фрагмент углеводного кластера присоединен к олигомерному соединению через расщепляемый фрагмент, такой как расщепляемая связь или расщепляемый нуклеозид.In some embodiments, the conjugating groups contain a cleavable moiety (eg, a cleavable bond or a cleavable nucleoside) and a portion of a carbohydrate cassette, such as a portion of a GalNAc cassette. This portion of the carbohydrate cassette contains: a targeting moiety and, optionally, a conjugate linker. In some embodiments of the invention, the portion of the carbohydrate cluster is determined by the amount and nature of the ligand. For example, in some embodiments, the carbohydrate cassette portion contains three GalNAc groups and is designated "GalNAc3 ". In some embodiments of the invention, part of the carbohydrate cluster contains 4 GalNAc groups and is designated "GalNAc4 ". Specific portions of the carbohydrate cassettes (having a specific linkage, branch groups, and conjugate linker) are described herein and are denoted by a Roman numeral followed by the subscript "a". Accordingly, “GalNac3-1a ” refers to a specific portion of the carbohydrate cassette of a conjugating group having 3 GalNac groups and a specifically defined ligament, branching group and linker. Such a carbohydrate cassette moiety is attached to the oligomeric compound via a cleavable moiety, such as a cleavable bond or a cleavable nucleoside.

При использовании в настоящем документе, «расщепляемый фрагмент» означает связь или группу, которая может быть расщеплена при физиологических условиях. В некоторых вариантах реализации изобретения расщепляемый фрагмент расщепляется внутри клетки или во внутриклеточных отделах, таких как лизосома. В некоторых вариантах реализации изобретения расщепляемый фрагмент расщепляется эндогенными ферментами, такими как нуклеазы. В некоторых вариантах реализации изобретения расщепляемый фрагмент содержит группу атомов, имеющую один, два, три, четыре или более четырех расщепляемых связей.As used herein, "cleavable moiety" means a bond or group that can be cleaved under physiological conditions. In some embodiments, the cleavable fragment is cleaved within the cell or in intracellular compartments such as the lysosome. In some embodiments, the cleavable fragment is cleaved by endogenous enzymes such as nucleases. In some embodiments, the cleavable moiety contains a group of atoms having one, two, three, four, or more than four cleavable bonds.

При использовании в настоящем документе, «расщепляемая связь» означает любую химическую связь, которая может быть расщеплена. В некоторых вариантах реализации изобретения расщепляемая связь выбрана из: амида, полиамида, сложного эфира, эфира, одного или обоих сложных эфиров фосфодиэфира, фосфатного сложного эфира, карбамата, дисульфида или пептида.As used herein, "cleavable bond" means any chemical bond that can be cleaved. In some embodiments, the cleavable bond is selected from: an amide, a polyamide, an ester, an ester, one or both of a phosphodiester, a phosphate ester, a carbamate, a disulfide, or a peptide.

При использовании в настоящем документе, «углеводный кластер» означает соединение, имеющее один или более углеводных остатков, присоединенных к скелету или связывающей группе, (см., например, публикацию Maier et al., "Synthesis of Antisense Oligonucleotides Conjugated to a Multivalent Carbohydrate Cluster for Cellular Targeting," Bioconjugate Chemistry, 2003, (14): 18-29, которая в полном объеме включена в настоящий документ посредством ссылки, или Rensen et al., "Design and Synthesis of Novel N-Acetylgalactosamine-Terminated Glycolipids for Targeting of Lipoproteins to the Hepatic Asiaglycoprotein Receptor," J. Med. Chem. 2004, (47): 5798-5808, где приведены примеры углеводных конъюгированных кластеров).As used herein, "carbohydrate cluster" means a compound having one or more carbohydrate residues attached to a backbone or linking group (see, for example, Maier et al., "Synthesis of Antisense Oligonucleotides Conjugated to a Multivalent Carbohydrate Cluster for Cellular Targeting," Bioconjugate Chemistry, 2003, (14): 18-29, which is incorporated herein by reference in its entirety, or Rensen et al., "Design and Synthesis of Novel N-Acetylgalactosamine-Terminated Glycolipids for Targeting of Lipoproteins to the Hepatic Asiaglycoprotein Receptor," J. Med. Chem. 2004, (47): 5798-5808 for examples of carbohydrate conjugated clusters).

При использовании в настоящем документе, «производное углевода» означает любое соединение, которое может быть синтезировано с применением углевода в качестве исходного материала или промежуточного соединения.As used herein, "carbohydrate derivative" means any compound that can be synthesized using a carbohydrate as a starting material or an intermediate.

При использовании в настоящем документе, «углевод» означает природный углевод, модифицированный углевод или производное углевода.As used herein, "carbohydrate" means a naturally occurring carbohydrate, a modified carbohydrate, or a carbohydrate derivative.

При использовании в настоящем документе, «защитная группа» означает любое соединение или защитную группу, известную специалистам в данной области техники. Не ограничивающие примеры защитных групп представлены в публикации "Protective Groups in Organic Chemistry", Т.W. Greene, P.G.M. Wuts, ISBN 0-471-62301-6, John Wiley & Sons, Inc, Нью-Йорк, полное содержание которой включено в настоящий документ посредством ссылки.As used herein, "protecting group" means any compound or protecting group known to those skilled in the art. Non-limiting examples of protective groups are provided in the publication "Protective Groups in Organic Chemistry", T.W. Greene, P.G.M. Wuts, ISBN 0-471-62301-6, John Wiley & Sons, Inc, New York, the entire contents of which are hereby incorporated by reference.

При использовании в настоящем документе, «одноцепочечное» означает олигомерное соединение, которое не гибридизовано с его комплементом и которое не имеет достаточной самокомплементарностью для образования усточивого собственного дуплекса.As used herein, "single stranded" means an oligomeric compound that is not hybridized to its complement and that does not have sufficient self complementarity to form a stable self duplex.

При использовании в настоящем документе, «двухцепочечное» означает пару олигомерных соединений, которые гибридизованы друг с другом, или одно самокомплементарное олигомерное соединение, которое образует шпилечную структуру. В некоторых вариантах реализации изобретения двухцепочечное олигомерное соединение содержит первое и второе олигомерное соединение.As used herein, "double-stranded" means a pair of oligomeric compounds that are hybridized to each other, or a single self-complementary oligomeric compound that forms a hairpin structure. In some embodiments, the double-stranded oligomeric compound comprises a first and a second oligomeric compound.

При использовании в настоящем документе, «антисмысловое соединение» означает соединение, содержащее или состоящее из олигонуклеотида, по меньшей мере часть которого комплементарна целевой нуклеиновой кислоте, с которой возможна его гибридизация, что приводит к получению по меньшей мере одной антисмысловой активности.As used herein, "antisense compound" means a compound containing or consisting of an oligonucleotide at least a portion of which is complementary to a target nucleic acid with which it can hybridize, resulting in at least one antisense activity.

При использовании в настоящем документе, «антисмысловая активность» означает любое обнаруживаемое и/или измеримое изменение, обусловленное гибридизацией антисмыслового соединения с его целевой нуклеиновой кислотой. В некоторых вариантах реализации изобретения антисмысловая активность включает модулирование количества или активности транскрипта целевой нуклеиновой кислоты (например, мРНК). В некоторых вариантах реализации изобретения антисмысловая активность включает модулирование сплайсинга пре-мРНК.As used herein, "antisense activity" means any detectable and/or measurable change due to hybridization of an antisense compound to its target nucleic acid. In some embodiments, antisense activity includes modulating the amount or activity of a target nucleic acid transcript (eg, mRNA). In some embodiments, the antisense activity includes modulating pre-mRNA splicing.

При использовании в настоящем документе, «антисмысловое соединение на основе РНКазы Н» означает антисмысловое соединение, в котором по меньшей мере часть антисмысловой активности антисмыслового соединения обусловлена гибридизацией антисмыслового соединения с целевой нуклеиновой кислотой и последующим расщеплением целевой нуклеиновой кислоты под действием РНКазы Н.As used herein, "RNase H-based antisense compound" means an antisense compound in which at least a portion of the antisense activity of the antisense compound is due to hybridization of the antisense compound to a target nucleic acid and subsequent cleavage of the target nucleic acid by RNase H.

При использовании в настоящем документе, «антисмысловое соединение на основе RISC» означает антисмысловое соединение, в котором по меньшей мере часть антисмысловой активности антисмыслового соединения обусловлена РНК-индуцируемым комплексом сайленсинга (RISC).As used herein, "RISC-based antisense compound" means an antisense compound in which at least a portion of the antisense activity of the antisense compound is due to an RNA-induced silencing complex (RISC).

При использовании в настоящем документе, «обнаружение» или «измерение» означает, что выполнено испытание или анализ для обнаружения или измерения. Такое обнаружение и/или измерение может приводить к результату с нулевым значением. Следовательно, даже если испытание для обнаружения или измерения приводит к обнаружению отсутствия активности (нулевой активности), то стадия обнаружения или измерения активности была выполнена.As used herein, "detection" or "measurement" means that a test or analysis is performed to detect or measure. Such detection and/or measurement may result in a null value. Therefore, even if the detection or measurement test results in the detection of no activity (no activity), the activity detection or measurement step has been performed.

При использовании в настоящем документе, «обнаруживаемая и/или измеримая активность» означает статистически значимую активность, которая не является нулевой.As used herein, "detectable and/or measurable activity" means a statistically significant activity that is not null.

При использовании в настоящем документе, «по существу не измененный» означает небольшое или отсутствие изменения конкретного параметра, в частности, по сравнению с другим параметром, который изменился гораздо больше. В некоторых вариантах реализации изобретения параметр является по существу не измененным, если его изменение составило менее 5%. В некоторых вариантах реализации изобретения параметр является по существу не измененным, если его изменение составило менее двух раз, тогда как изменение другого параметра составило по меньшей мере десять раз. Например, в некоторых вариантах реализации изобретения антисмысловая активность представляет собой изменение количества целевой нуклеиновой кислоты. В некоторых таких вариантах реализации изобретения количество нецелевой нуклеиновой кислоты является по существу не измененным, если оно изменяется гораздо меньше, чем изменяется количество целевой нуклеиновой кислоты, но это изменение не обязательно должно быть нулевым.As used herein, "substantially unchanged" means little or no change in a particular parameter, particularly when compared to another parameter that has changed much more. In some embodiments of the invention, a parameter is substantially unchanged if its change is less than 5%. In some embodiments of the invention, a parameter is essentially unchanged if its change was less than two times, while the change in another parameter was at least ten times. For example, in some embodiments of the invention, the antisense activity is a change in the amount of the target nucleic acid. In some such embodiments, the amount of a non-target nucleic acid is essentially unchanged if it changes much less than the amount of the target nucleic acid changes, but this change need not be zero.

При использовании в настоящем документе, «экспрессия» означает процесс, посредством которого ген в конечном итоге преобразуется в белок. Экспрессия включает, но не ограничивается этим, транскрипцию, пост-транскрипционную модификацию (например, сплайсинг, полиаденилирование, добавление 5'-кэпа) и трансляцию.As used herein, "expression" refers to the process by which a gene is ultimately converted into a protein. Expression includes, but is not limited to, transcription, post-transcriptional modification (eg, splicing, polyadenylation, addition of a 5' cap), and translation.

При использовании в настоящем документе, «целевая нуклеиновая кислота» означает молекулу нуклеиновой кислоты, с которой предполагается гибридизация антисмыслового соединения с получением желаемой антисмысловой активности. Антисмысловые олигонуклеотиды обладают достаточной комплементарностью их целевым нуклеиновым кислотам для обеспечения гибридизации при физиологических условиях.As used herein, "target nucleic acid" means the nucleic acid molecule to which an antisense compound is intended to hybridize to produce the desired antisense activity. Antisense oligonucleotides have sufficient complementarity to their target nucleic acids to allow hybridization under physiological conditions.

При использовании в настоящем документе, «комплементарность азотистых оснований» или «комплементарность» в отношении азотистых оснований означает азотистое основание, которое способно к спариванию оснований с другим азотистым основанием. Например, в ДНК аденин (А) комплементарен тимину (Т). Например, в РНК аденин (А) комплементарен урацилу (U). В некоторых вариантах реализации изобретения комплементарное азотистое основание означает азотистое основание антисмыслового соединения, которое способно к спариванию оснований с азотистым основанием его целевой нуклеиновой кислоты. Например, если азотистое основание в определенном положении антисмыслового соединения способно к водородному связыванию с азотистым основанием в определенном положении целевой нуклеиновой кислоты, то это положение водородного связывания между олигонуклеотидом и целевой нуклеиновой кислотой считается комплементарным по этой паре азотистых оснований. Азотистые основания, содержащие определенные модификации, могут сохранять способность к спариванию с противоположным азотистым основанием и, следовательно, все еще могут обладать комплементарностью азотистых оснований.As used herein, “complementarity of nitrogenous bases” or “complementarity” with respect to nitrogenous bases means a nitrogenous base that is capable of base pairing with another nitrogenous base. For example, in DNA, adenine (A) is complementary to thymine (T). For example, in RNA, adenine (A) is complementary to uracil (U). In some embodiments, complementary nucleobase means the nucleobase of an antisense compound that is capable of base pairing with the nucleobase of its target nucleic acid. For example, if a nitrogenous base at a specific position of the antisense compound is capable of hydrogen bonding to a nitrogenous base at a specific position of the target nucleic acid, then that hydrogen bonding position between the oligonucleotide and the target nucleic acid is considered complementary at that nitrogenous base pair. Nitrogenous bases containing certain modifications may retain the ability to pair with the opposite nitrogenous base and, therefore, may still have the complementarity of the nitrogenous bases.

При использовании в настоящем документе, «не комплементарные» в отношении азотистых оснований означает пару азотистых оснований, которые не образуют водородные связи друг с другом.As used herein, "non-complementary" with respect to nitrogenous bases means a pair of nitrogenous bases that do not form hydrogen bonds with each other.

При использовании в настоящем документе, «комплементарные» в отношении олигомерных соединений (например, связанных нуклеозидов, олигонуклеотидов или нуклеиновых кислот) означает способность таких олигомерных соединений или их областей к гибридизации с другим олигомерным соединением или его областью за счет комплементарности азотистых оснований. Комплементарные олигомерные соединения не обязательно должны обладать комплементарностью азотистых оснований в каждом нуклеозиде. До не которой степени допустимы некоторые несоответствия. В некоторых вариантах реализации изобретения комплементарные олигомерные соединения или области комплементарны по 70% азотистых оснований (комплементарность 70%). В некоторых вариантах реализации изобретения комплементарные олигомерные соединения или области комплементарны на 80%. В некоторых вариантах реализации изобретения комплементарные олигомерные соединения или области комплементарны на 90%. В некоторых вариантах реализации изобретения комплементарные олигомерные соединения или области комплементарны на 95%. В некоторых вариантах реализации изобретения комплементарные олигомерные соединения или области комплементарны на 100%.As used herein, "complementary" with respect to oligomeric compounds (e.g., linked nucleosides, oligonucleotides, or nucleic acids) means the ability of such oligomeric compounds, or regions thereof, to hybridize with another oligomeric compound, or region thereof, by complementarity of nitrogenous bases. Complementary oligomeric compounds do not have to have the complementarity of the nitrogenous bases in each nucleoside. To some extent, some inconsistencies are acceptable. In some embodiments, complementary oligomeric compounds or regions are 70% complementary to nitrogenous bases (70% complementarity). In some embodiments, complementary oligomeric compounds or regions are 80% complementary. In some embodiments of the invention, complementary oligomeric compounds or regions are 90% complementary. In some embodiments of the invention, complementary oligomeric compounds or regions are 95% complementary. In some embodiments, complementary oligomeric compounds or regions are 100% complementary.

При использовании в настоящем документе, «несоответствие» означает азотистое основание первого олигомерного соединения, которое не способно спариваться с азотистым основанием в соответствующем положении второго олигомерного соединения при выравнивании первого и второго олигомерного соединения. Любое или оба первое и второе олигомерные соединения могут быть олигонуклеотидами.As used herein, "mismatch" means a nitrogenous base of the first oligomeric compound that is unable to pair with the nitrogenous base at the corresponding position of the second oligomeric compound when the first and second oligomeric compounds are aligned. Any or both of the first and second oligomeric compounds may be oligonucleotides.

При использовании в настоящем документе, «гибридизация» означает спаривание комплементарных олигомерных соединений (например, антисмыслового соединения и его целевой нуклеиновой кислоты). Не ограничиваясь конкретным механизмом, наиболее распространенный механизм спаривания включает водородное связывание, которое может представлять собой уотсон-криковское, хугстиновское или обратное хугстиновское водородное связывание между комплементарными азотистыми основаниями.As used herein, "hybridization" means the pairing of complementary oligomeric compounds (eg, an antisense compound and its target nucleic acid). Without being limited to a particular mechanism, the most common pairing mechanism involves hydrogen bonding, which can be Watson-Crick, Hoogsteen, or reverse Hoogsteen hydrogen bonding between complementary nitrogenous bases.

При использовании в настоящем документе, «специфически гибридизуется» означает способность олигомерного соединения гибридизоваться с одним сайтом нуклеиновой кислоты с большей аффинностью, чем оно гибридизуется с другим сайтом нуклеиновой кислоты.As used herein, "specifically hybridizes" means the ability of an oligomeric compound to hybridize to one nucleic acid site with greater affinity than it hybridizes to another nucleic acid site.

При использовании в настоящем документе, «полностью комплементарный» в отношении олигонуклеотида или его части означает, что каждое азотистое основание олигонуклеотида или его части способно к спариванию с азотистым основанием комплементарной нуклеиновой кислоты или ее непрерывной частью. Следовательно, полностью комплементарная область не содержит несоответствий или не гибридизованных азотистых оснований в обеих спиралях.As used herein, "fully complementary" in relation to an oligonucleotide or portion thereof means that each nitrogenous base of the oligonucleotide or portion thereof is capable of pairing with the nitrogenous base of a complementary nucleic acid or a continuous portion thereof. Therefore, a fully complementary region contains no mismatches or unhybridized nitrogenous bases in both helices.

При использовании в настоящем документе, «процент комплементарности» означает процент азотистых оснований олигомерного соединения, которые комплементарны равной по длине части целевой нуклеиновой кислоты. Процент комплементарности рассчитывают делением количества азотистых оснований олигомерного соединения, которые комплементарны азотистым основаниям в соответствующих положениях целевой нуклеиновой кислоты, на общую длину олигомерного соединения.As used herein, "percent complementarity" means the percentage of nitrogenous bases of an oligomeric compound that are complementary to an equal length portion of the target nucleic acid. The percent complementarity is calculated by dividing the number of nitrogenous bases of the oligomeric compound that are complementary to the nitrogenous bases at the corresponding positions of the target nucleic acid by the total length of the oligomeric compound.

При использовании в настоящем документе, «процент идентичности» означает количество азотистых оснований в первой нуклеиновой кислоте, которые относятся к тому же типу (независимо от химической модификации), что и азотистые основания в соответствующих положениях второй нуклеиновой кислоты, деленное на общее количество азотистых оснований в первой нуклеиновой кислоте.As used herein, "percent identity" means the number of nucleobases in the first nucleic acid that are of the same type (regardless of chemical modification) as the nucleobases at the corresponding positions in the second nucleic acid, divided by the total number of nucleobases in first nucleic acid.

При использовании в настоящем документе, «модулирование» означает изменение количества или качества молекулы, функции или активности, по сравнению с количеством или качеством молекулы, функции или активности до модулирования. Например, модулирование включает изменение, как увеличение (стимуляцию или индукцию), так и снижение (ингибирование или уменьшение) генной экспрессии. В качестве дополнительного примера, модулирование экспрессии может включать изменение выбора сайта сплайсинга при процессинге пре-мРНК, что приводит к изменению абсолютного или относительного количества определенного сплайс-варианта, по сравнению с его количеством в отсутствие модулирования.As used herein, "modulating" means changing the amount or quality of a molecule, function, or activity, compared to the amount or quality of the molecule, function, or activity prior to modulation. For example, modulation includes changing, either increasing (stimulating or inducing) or decreasing (inhibiting or decreasing) gene expression. As a further example, modulating expression may include changing the splicing site selection during pre-mRNA processing, resulting in a change in the absolute or relative amount of a particular splice variant, compared to its amount in the absence of modulation.

При использовании в настоящем документе, «химический мотив» означает характерный участок химических модификаций в олигонуклеотиде или его области. Мотивы могут быть определены по модификациям в определенных нуклеозидах и/или в определенных связывающих группах олигонуклеотида.As used herein, "chemical motif" means a characteristic site of chemical modifications in an oligonucleotide or region thereof. Motifs can be identified by modifications in certain nucleosides and/or in certain linking groups of the oligonucleotide.

При использовании в настоящем документе, «нуклеозидный мотив» означает характерный участок нуклеозидных модификаций в олигонуклеотиде или его области. Связи такого олигонуклеотида могут быть модифицированными или немодифицированными. Если не указано иное, мотивы, описывающие в настоящем документе только нуклеозиды, представляют собой нуклеозидные мотивы. Следовательно, в таких случаях связи не ограничены.As used herein, "nucleoside motif" means a characteristic site of nucleoside modifications in an oligonucleotide or region thereof. The bonds of such an oligonucleotide may be modified or unmodified. Unless otherwise indicated, motifs describing only nucleosides herein are nucleoside motifs. Therefore, in such cases, the connections are not limited.

При использовании в настоящем документе, «сахарный мотив» означает характерный участок сахарных модификаций в олигонуклеотиде или его области.As used herein, "sugar motif" means a characteristic site of sugar modifications in an oligonucleotide or region thereof.

При использовании в настоящем документе, «связывающий мотив» означает характерный участок связывающих модификаций в олигонуклеотиде или его области. Нуклеозиды такого олигонуклеотида могут быть модифицированными или немодифицированными. Если не указано иное, мотивы, описывающие в настоящем документе только связи, представляют собой связывающие мотивы. Следовательно, в таких случаях нуклеозиды не ограничены.As used herein, "binding motif" means a characteristic site of binding modifications in an oligonucleotide or region thereof. The nucleosides of such an oligonucleotide may be modified or unmodified. Unless otherwise indicated, motifs that describe only links herein are linking motifs. Therefore, in such cases, nucleosides are not limited.

При использовании в настоящем документе, «мотив модификации азотистых оснований» означает характерный участок модификаций азотистых оснований вдоль олигонуклеотида. Если не указано иное, то мотив модификации азотистых основанц не зависит от последовательности азотистых оснований.As used herein, "nucleobase modification motif" means a characteristic site of nitrogenous base modifications along an oligonucleotide. Unless otherwise stated, the nitrogenous base modification motif is independent of the sequence of the nitrogenous bases.

При использовании в настоящем документе, «мотив последовательности» означает характерный участок азотистых оснований, расположенных вдоль олигонуклеотида или его части. Если не указано иное, то мотив последовательности не зависит от химических модификаций и, следовательно, может иметь любую комбинацию химических модификация, включая отсутствие химических модификаций.As used herein, "sequence motif" means a characteristic region of nitrogenous bases located along an oligonucleotide or portion thereof. Unless otherwise indicated, the sequence motif is independent of chemical modifications and therefore may have any combination of chemical modifications, including no chemical modifications.

При использовании в настоящем документе, «тип модификации» в отношении нуклеозида или нуклеозида определенного «типа» означает химическую модификацию нуклеозида и включает модифицированные и немодифицированные нуклеозиды. Соответственно, если не указано иное, «нуклеозид, имеющий модификацию первого типа» может быть немодифицированным нуклеозидом.As used herein, "type of modification" in relation to a nucleoside or nucleoside of a certain "type" means a chemical modification of the nucleoside and includes modified and unmodified nucleosides. Accordingly, unless otherwise indicated, "a nucleoside having a modification of the first type" may be an unmodified nucleoside.

При использовании в настоящем документе, «по-разному модифицированные» означает химические модификации или химические заместители, которые отличны друг от друга, включая их отсутствие или модификации. Так, например, МОЕ нуклеозид и немодифицированный нуклеозид ДНК являются «по-разному модифицированными», даже несмотря на то, что нуклеозид ДНК является немодифицированным. Точно так же, ДНК и РНК являются «по-разному модифицированными», даже несмотря на то, что оба представляют собой природные немодифицированные нуклеозиды. Нуклеозиды, которые являются одинаковыми, но содержат различные азотистые основания, не являются по-разному модифицированными. Например, нуклеозид, содержащий 2'-ОМе модифицированный сахар и немодифицированное адениновое нуклооснование, и нуклеозид, содержащий 2'-ОМе модифицированный сахар и немодифицированное тиминовое азотистое основание, не являются по-разному модифицированными.As used herein, "differently modified" means chemical modifications or chemical substituents that are different from each other, including their absence or modifications. Thus, for example, the MOE nucleoside and the unmodified DNA nucleoside are "differently modified" even though the DNA nucleoside is unmodified. Similarly, DNA and RNA are "differently modified" even though both are naturally occurring, unmodified nucleosides. Nucleosides that are the same but contain different nitrogenous bases are not differently modified. For example, a nucleoside containing a 2'-OMe modified sugar and an unmodified adenine nucleobase and a nucleoside containing a 2'-OMe modified sugar and an unmodified thymine nitrogenous base are not differently modified.

При использовании в настоящем документе, «модификации одного типа» относится к модификациям, которые являются одинаковыми друг относительно друга, включая отсутствие модификаций. Так, например, два немодифицированных нуклеозида ДНК имеют «модификацию одного типа», даже несмотря на то, что нуклеозид ДНК является немодифицированным. Такие нуклеозиды, имеющие модификацию одного типа, могут содержать различные азотистые основания.As used herein, "same type modifications" refers to modifications that are the same with respect to each other, including no modifications. Thus, for example, two unmodified DNA nucleosides have "the same type of modification" even though the DNA nucleoside is unmodified. Such nucleosides having a modification of the same type may contain different nitrogenous bases.

При использовании в настоящем документе, «отдельные области» означает части олигонуклеотида, в которых химические модификации или мотив химических модификаций любой из соседних частей содержит по меньшей мере одно отличие для обеспечения возможности различать области друг от друга.As used herein, "distinct regions" means portions of an oligonucleotide in which the chemical modifications or chemical modification motif of any of the neighboring portions contain at least one difference to enable the regions to be distinguished from each other.

При использовании в настоящем документе, «фармацевтически приемлемый носитель или разбавитель» означает любое вещество, подходящее для применения при введении животному. В некоторых вариантах реализации изобретения фармацевтически приемлемый носитель или разбавитель представляет собой стерильный солевой раствор. В некоторых вариантах реализации изобретения такой стерильный солевой раствор представляет собой солевой раствор фармацевтической марки.As used herein, "pharmaceutically acceptable carrier or diluent" means any substance suitable for use when administered to an animal. In some embodiments of the invention, the pharmaceutically acceptable carrier or diluent is a sterile saline solution. In some embodiments, such sterile saline is pharmaceutical grade saline.

При использовании в настоящем документе, термин «метаболическое расстройство» означает заболевание или патологическое состояние, которое характеризуется, прежде всего, дисрегуляцией метаболизма - сложного набора химических реакций, связанных с расщеплением пищи с выработкой энергии.As used herein, the term "metabolic disorder" means a disease or pathological condition characterized primarily by dysregulation of metabolism, a complex set of chemical reactions associated with the breakdown of food to produce energy.

При использовании в настоящем документе, термин «сердечно-сосудистое расстройство» означает заболевание или патологическое состояние, которое характеризуется, прежде всего, ухудшенной функцией сердца или кровеносных сосудов.As used herein, the term "cardiovascular disorder" means a disease or pathological condition characterized primarily by impaired function of the heart or blood vessels.

При использовании в настоящем документе, термин «моно- или полициклическая кольцевая система» включает все кольцевые системы, выбранные из одиночных или полициклических радикальных кольцевых систем, в которых указанные кольца конденсированы или связаны, и включает одиночные или смешанные кольцевые системы, индивидуально выбранные из алифатических, алициклических, арильных, гетероарильных, аралкильных, арилалкильных, гетероциклических, гетероарильных, гетероароматических и гетероарилалкильных. Такие моно- и полициклические структуры могут содержать кольца, каждое из которых имеет одинаковую степень насыщенности, или каждое независимо имеет переменные степени насыщенности, включая полностью насыщенные, частично насыщенные или полностью ненасыщенные. Каждое кольцо может содержать кольцевые атомы, выбранные из С, N, О и S с образованием гетероциклических колец, а также колец, содержащих только кольцевые атомы С, которые могут быть представлены в смешанном мотиве, как, например, в бензимидазоле, в котором одно кольцо имеет только кольцевые атомы углерода, а конденсированное кольцо имеет два атома азота. Моно- или полициклическая кольцевая система может быть дополнительно замещена группами заместителей, как, например, фталимид, который имеет две группы =O, присоединенные к одному из колец. Моно- или полициклические кольцевые системы могут быть присоединены к исходным молекулам при помощи различных способов, таких как непосредственно через кольцевой атом, путем конденсации через несколько кольцевых атомов, через группу заместителя или через бифункциональный связывающий фрагмент.As used herein, the term "mono- or polycyclic ring system" includes all ring systems selected from single or polycyclic radical ring systems in which said rings are fused or linked, and includes single or mixed ring systems individually selected from aliphatic, alicyclic, aryl, heteroaryl, aralkyl, arylalkyl, heterocyclic, heteroaryl, heteroaromatic and heteroarylalkyl. Such mono- and polycyclic structures may contain rings, each of which has the same degree of saturation, or each independently has varying degrees of saturation, including fully saturated, partially saturated or fully unsaturated. Each ring may contain ring atoms selected from C, N, O, and S to form heterocyclic rings, as well as rings containing only C ring atoms, which may be present in a mixed motif, such as in benzimidazole, in which one ring has only ring carbon atoms, while the fused ring has two nitrogen atoms. The mono- or polycyclic ring system may be further substituted with substituent groups, such as phthalimide, which has two ═O groups attached to one of the rings. Mono- or polycyclic ring systems can be attached to parent molecules in a variety of ways, such as directly through a ring atom, by condensation through multiple ring atoms, through a substituent group, or through a bifunctional linking moiety.

При использовании в настоящем документе, «пролекарство» означает неактивную или менее активную форму соединения, которая при введении субъекту метаболизируется с образованием активного или более активного соединения (например, лекарства).As used herein, "prodrug" means an inactive or less active form of a compound that, when administered to a subject, is metabolized to form an active or more active compound (eg, drug).

При использовании в настоящем документе, «заместитель» и «группа заместителя» означает атом или группу, которая вытесняет атом или группу указанного исходного соединения. Например, заместитель модифицированного нуклеозида представляет собой любой атом или группу, которая отлична от атома или группы, находящейся в природном нуклеозиде (например, модифицированный 2'-заместитель представляет собой любой атом или группу в 2'-положении нуклеозида, отличную от H или ОН). Группы заместителей могут быть защищенными или не защищенными. В некоторых вариантах реализации изобретения соединения настоящего описания имеют заместители в одном или более чем в одном положении исходного соединения. Заместители также могут быть дополнительно замещены другими группами заместителей и могут быть присоединены напрямую или через связывающую группу, такую как алкильная или углеводородная группа, к исходному соединению.As used herein, "substituent" and "substituent group" means an atom or group that displaces an atom or group of the specified parent compound. For example, a modified nucleoside substituent is any atom or group that is different from the atom or group found in the naturally occurring nucleoside (e.g., a modified 2' substituent is any atom or group at the 2' position of the nucleoside other than H or OH) . Substituent groups may or may not be protected. In some embodiments of the invention, the compounds of the present description have substituents in one or more than one position of the parent compound. The substituents may also be further substituted with other substituent groups and may be attached directly or via a linking group such as an alkyl or hydrocarbon group to the parent compound.

Точно так же, при использовании в настоящем документе, «заместитель» в отношении химической функциональной группы означает атом или группу атомов, которая отлична от атома или группы атомов, обычно содержащихся в указанной функциональной группе. В некоторых вариантах реализации изобретения заместитель вытесняет атом водорода функциональной группы (например, в некоторых вариантах реализации изобретения заместитель замещенной метальной группы представляет собой атом или группу, отличную от водорода, которая вытесняет один или более атомов водорода незамещенной метальной группы). Если не указано иное, группы, которые могут быть использованы в качестве заместителей, включают, без ограничения, галоген, гидроксил, алкил, алкенил, алкинил, ацил (-C(O)Raa), карбоксил (-C(O)O-Raa), алифатические группы, алициклические группы, алкокси, замещенный окси (-O-Raa), арил, аралкил, гетероциклический радикал, гетероарил, гетероарилалкил, амино (-N(Rbb)(Rcc)), имино (=NRbb), амидо (-C(O)N(Rbb)(Rcc) или -N(Rbb)C(O)Raa), азидо (-N3), нитро (-NO2), циано (-CN), карбамидо (-OC(O)N(Rbb)(Rcc) или -N(Rbb)C(O)ORaa), уреидо (-N(Rbb)C(O)-N(Rbb)(Rcc)), тиоуреидо (-N(Rbb)C(S)N(Rbb)(Rcc)), гуанидинил (-N(Rbb)C(=NRbb)N(Rbb)(Rcc)), амидинил (-C(=NRbb)N(Rbb)(Rcc) или -N(Rbb)C(=NRbb)(Raa)), тиол (-SRbb), сульфинил (-S(O)Rbb), сульфонил (-S(O)2Rbb) и сульфонамидил (-S(O)2N(Rbb)(Rcc) или -N(Rbb)S-(O)2Rbb). Где каждый Raa, Rbb и Rcc независимо представляет собой Н, необязательно связанную химическую функциональную группу или дополнительную группу заместителя, при этом предпочтительный перечень включает, без ограничения, алкил, алкенил, алкинил, алифатические, алококси, ацил, арил, аралкил, гетероарил, алициклические, гетероциклические и гетероарилалкил. Выбранные заместители с соединениями, описанными в настоящем документе, находятся в рекурсивной степени.Similarly, as used herein, "substituent" in relation to a chemical functional group means an atom or group of atoms that is different from the atom or group of atoms normally contained in the specified functional group. In some embodiments, a substituent displaces a hydrogen atom of a functional group (for example, in some embodiments, a substituent on a substituted methyl group is an atom or group other than hydrogen that displaces one or more hydrogen atoms of an unsubstituted methyl group). Unless otherwise indicated, groups which may be used as substituents include, without limitation, halogen, hydroxyl, alkyl, alkenyl, alkynyl, acyl (-C(O)Raa ), carboxyl (-C(O)ORaa ), aliphatic groups, alicyclic groups, alkoxy, substituted oxy (-ORaa ), aryl, aralkyl, heterocyclic radical, heteroaryl, heteroarylalkyl, amino (-N(Rbb )(Rcc )), imino (=NRbb ), amido (-C(O)N(Rbb )(Rcc ) or -N(Rbb )C(O)Raa ), azido (-N3 ), nitro (-NO2 ), cyano (-CN) , urea (-OC(O)N(Rbb )(Rcc ) or -N(Rbb )C(O)ORaa ), ureido (-N(Rbb )C(O)-N(Rbb ) (Rcc )), thioureido (-N(Rbb )C(S)N(Rbb )(Rcc )), guanidinyl (-N(Rbb )C(=NRbb )N(Rbb )(Rcc )), amidinyl (-C(=NRbb )N(Rbb )(Rcc ) or -N(Rbb )C(=NRbb )(Raa )), thiol (-SRbb ), sulfinyl ( -S(O)Rbb ), sulfonyl (-S(O)2 Rbb ) and sulfonamidyl (-S(O)2 N(Rbb )(Rcc ) or -N(Rbb )S-(O)2Rbb) . Where each Raa , Rbb and Rcc is independently H, an optionally linked chemical functional group or an additional substituent group, with the preferred list including, without limitation, alkyl, alkenyl, alkynyl, aliphatic, alkoxy, acyl, aryl, aralkyl, heteroaryl, alicyclic, heterocyclic and heteroarylalkyl. Selected substituents with the compounds described herein are in the recursive degree.

При использовании в настоящем документе, «алкил», используемый в настоящем документе, означает насыщенный прямой или разветвленный углеводородный радикал, содержащий до двадцати четырех атомов углерода. Примеры алкильных групп включают, без ограничения, метил, этил, пропил, бутил, изопропил, н-гексил, октил, децил, додецил и т.п. Алкильные группы обычно содержат от 1 до около 24 атомов углерода, более часто от 1 до около 12 атомов углерода (С112 алкил), при этом более предпочтительно от 1 до около 6 атомов углерода.As used herein, "alkyl" as used herein means a saturated straight or branched hydrocarbon radical containing up to twenty-four carbon atoms. Examples of alkyl groups include, without limitation, methyl, ethyl, propyl, butyl, isopropyl, n-hexyl, octyl, decyl, dodecyl, and the like. Alkyl groups typically contain from 1 to about 24 carbon atoms, more often from 1 to about 12 carbon atoms (C1 -C12 alkyl), with more preferably from 1 to about 6 carbon atoms.

При использовании в настоящем документе, «алкенил» означает прямой или разветвленный углеводородный радикал, содержащий до двадцати четырех атомов углерода и имеющий по меньшей мере одну двойную углерод-углеродную связь. Примеры алкенильных групп включают, без ограничения, этенил, пропенил, бутенил, 1-метил-2-бутен-1-ил, диены, такие как 1,3-бутадиен и т.п. Алкенильные группы обычно содержат от 2 до около 24 атомов углерода, более часто от 2 до около 12 атомов углерода, при этом более предпочтительно от 2 до около 6 атомов углерода. Алкенильные группы, используемые в настоящем документе, могут необязательно содержать одну или более дополнительных групп заместителей.As used herein, "alkenyl" means a straight or branched hydrocarbon radical containing up to twenty-four carbon atoms and having at least one carbon-carbon double bond. Examples of alkenyl groups include, without limitation, ethenyl, propenyl, butenyl, 1-methyl-2-buten-1-yl, dienes such as 1,3-butadiene, and the like. Alkenyl groups typically contain from 2 to about 24 carbon atoms, more often from 2 to about 12 carbon atoms, with more preferably from 2 to about 6 carbon atoms. The alkenyl groups used herein may optionally contain one or more additional substituent groups.

При использовании в настоящем документе, «алкинил» означает прямой или разветвленный углеводородный радикал, содержащий до двадцати четырех атомов углерода и имеющий по меньшей мере одну тройную углерод-углеродную связь. Примеры алкинильных групп включают, без ограничения, этинил, 1-пропинил, 1-бутинил и т.п. Алкинильные группы обычно содержат от 2 до около 24 атомов углерода, более часто от 2 до около 12 атомов углерода, при этом более предпочтительно от 2 до около 6 атомов углерода. Алкинильные группы, используемые в настоящем документе, могут необязательно содержать одну или более дополнительных групп заместителей.As used herein, "alkynyl" means a straight or branched hydrocarbon radical containing up to twenty-four carbon atoms and having at least one carbon-carbon triple bond. Examples of alkynyl groups include, without limitation, ethynyl, 1-propynyl, 1-butynyl, and the like. Alkynyl groups typically contain from 2 to about 24 carbon atoms, more often from 2 to about 12 carbon atoms, with more preferably from 2 to about 6 carbon atoms. The alkynyl groups used herein may optionally contain one or more additional substituent groups.

При использовании в настоящем документе, «ацил» означает радикал, образованный за счет удаления гидроксильной группы от органической кислоты, и имеет общую формулу -С(O)-Х, где X обычно является алифатическим, алициклическим или ароматическим. Примеры включают алифатические карбонилы, ароматические карбонилы, алифатические сульфонилы, ароматические сульфинилы, алифатические сульфинилы, ароматические фосфаты, алифатические фосфаты и т.п. Ацильные группы, используемые в настоящем документе, могут необязательно содержать дополнительные группы заместителей.As used herein, "acyl" means a radical formed by removal of a hydroxyl group from an organic acid and has the general formula -C(O)-X, where X is usually aliphatic, alicyclic or aromatic. Examples include aliphatic carbonyls, aromatic carbonyls, aliphatic sulfonyls, aromatic sulfinyls, aliphatic sulfinyls, aromatic phosphates, aliphatic phosphates, and the like. The acyl groups used herein may optionally contain additional substituent groups.

При использовании в настоящем документе, «алициклическая» означает циклическую кольцевую систему, в которой кольцо является алифатическим. Кольцевая система может содержать одно или более колец, при этом по меньшей мере одно кольцо является алифатическим. Предпочтительные алициклические системы включают кольца, имеющие от около 5 до около 9 атомов углерода в кольце. Алициклические группы, используемые в настоящем документе, могут необязательно содержать дополнительные группы заместителей.As used herein, "alicyclic" means a cyclic ring system in which the ring is aliphatic. The ring system may contain one or more rings, with at least one ring being aliphatic. Preferred alicyclic systems include rings having from about 5 to about 9 ring carbon atoms. The alicyclic groups used herein may optionally contain additional substituent groups.

При использовании в настоящем документе, «алифатический» означает прямой или разветвленный углеводородный радикал, содержащий до двадцати четырех атомов углерода, в котором насыщенность между любыми двумя атомами углерода представляет собой одинарную, двойную или тройную связь. Алифатическая группа предпочтительно содержит от 1 до около 24 атомов углерода, более часто от 1 до около 12 атомов углерода, при этом более предпочтительно от 1 до около 6 атомов углерода. Прямая или разветвленная цепь алифатической группы может быть прервана одним или более гетероатомами, которые включают азот, кислород, серу и фосфор. Такие алифатические группы, прерванные гетероатомами, включают, без ограничения, полиалкокси, такие как полиалкиленгликоли, полиамины и полиимины. Алифатические группы, используемые в настоящем документе, могут необязательно содержать дополнительные группы заместителей.As used herein, "aliphatic" means a straight or branched hydrocarbon radical of up to twenty-four carbons in which the saturation between any two carbons is a single, double or triple bond. The aliphatic group preferably contains from 1 to about 24 carbon atoms, more often from 1 to about 12 carbon atoms, with more preferably from 1 to about 6 carbon atoms. The straight or branched chain aliphatic group may be interrupted by one or more heteroatoms which include nitrogen, oxygen, sulfur and phosphorus. Such aliphatic groups interrupted by heteroatoms include, without limitation, polyalkoxy such as polyalkylene glycols, polyamines and polyimines. The aliphatic groups used herein may optionally contain additional substituent groups.

При использовании в настоящем документе, «алкокси» означает радикал, образованный между алкильной группой и атомом кислорода, при этом атом кислорода применяется для присоединения алкокси-группы к исходной молекуле. Примеры алкокси-групп включают, без ограничения, метокси, этокси, пропокси, изопропокси, н-бутокси, втор-бутокси, трет-бутокси, н-пентокси, неопентокси, н-гексокси и т.п. Алкокси-группы, используемые в настоящем документе, могут необязательно содержать дополнительные группы заместителей.As used herein, "alkoxy" means a radical formed between an alkyl group and an oxygen atom, whereby the oxygen atom is used to attach the alkoxy group to the parent molecule. Examples of alkoxy groups include, without limitation, methoxy, ethoxy, propoxy, isopropoxy, n-butoxy, sec-butoxy, t-butoxy, n-pentoxy, neopentoxy, n-hexoxy, and the like. The alkoxy groups used herein may optionally contain additional substituent groups.

При использовании в настоящем документе, «аминоалкил» означает аминозамещенный С112 алкильный радикал. Алкильная часть указанного радикала образует ковалентную связь с исходной молекулой. Аминогруппа может быть расположена в любом положении, и аминоалкильная группа может быть замещена дополнительной группой заместителя в алкильной и/или амино-части.As used herein, "aminoalkyl" means an amino-substituted C1 -C12 alkyl radical. The alkyl part of the indicated radical forms a covalent bond with the parent molecule. The amino group may be located at any position, and the aminoalkyl group may be substituted with an additional substituent group on the alkyl and/or amino moiety.

При использовании в настоящем документе, «аралкил» и «арилалкил» означает ароматическую группу, которая ковалентно связана с С112 алкильным радикалом. Часть алкильного радикала образовавшейся аралкильной (или арилалкильной) группы образует ковалентную связь с исходной молекулой. Примеры включают, без ограничения, бензил, фенетил и т.п. Аралкильные группы, используемые в настоящем документе, могут необязательно содержать дополнительные группы заместителей, присоединенные к алкильной, арильной или к обеим группам, которые образуют указанную радикальную группу.As used herein, "aralkyl" and "arylalkyl" means an aromatic group that is covalently attached to a C1 -C12 alkyl radical. Part of the alkyl radical of the resulting aralkyl (or arylalkyl) group forms a covalent bond with the parent molecule. Examples include, without limitation, benzyl, phenethyl, and the like. The aralkyl groups used herein may optionally contain additional substituent groups attached to the alkyl, aryl, or both groups that form said radical group.

При использовании в настоящем документе, «арил» и «ароматический» означает радикалы моно- или полициклической карбоциклической кольцевой системы, имеющие одно или более ароматических колец. Примеры арильных групп включают, без ограничения, фенил, нафтил, тетрагидронафтил, инданил, инденил и т.п. Предпочтительные арильные кольцевые системы имеют от около 5 до около 20 атомов углерода в одном или более кольцах. Арильные группы, используемые в настоящем документе, могут необязательно содержать дополнительные группы заместителей.As used herein, "aryl" and "aromatic" means radicals of a mono- or polycyclic carbocyclic ring system having one or more aromatic rings. Examples of aryl groups include, without limitation, phenyl, naphthyl, tetrahydronaphthyl, indanyl, indenyl, and the like. Preferred aryl ring systems have from about 5 to about 20 carbon atoms in one or more rings. The aryl groups used herein may optionally contain additional substituent groups.

При использовании в настоящем документе, «галоген» и «галоген» означает атом, выбранный из фтора, хлора, брома и йода.As used herein, "halogen" and "halogen" means an atom selected from fluorine, chlorine, bromine and iodine.

При использовании в настоящем документе, «гетероарил» и «гетероароматический» означает радикал, содержащий моно- или полициклическое ароматическое кольцо, кольцевую систему или конденсированную кольцевую систему, в котором по меньшей мере одно из колец является ароматическим и содержит один или более гетероатомов. Гетероарил включает также конденсированные кольцевые системы, включая системы, в которых одно или более из конденсированных колец не содержат гетероатомов. Гетероарильные группы, как правило, содержат один кольцевой атом, выбранный из серы, азота или кислорода. Примеры гетероарильных групп включают, без ограничения, пиридинил, пиразинил, пиримидинил, пирролил, пиразолил, имидазолил, тиазолил, оксазолил, изооксазолил, тиадиазолил, оксадиазолил, тиофенил, фуранил, хинолинил, изохинолинил, бензимидазолил, бензоксазолил, хиноксалинил и т.п. Гетероарильные радикалы могут быть присоединены к исходной молекуле напрямую или через связывающий фрагмент, такой как алифатическая группа или гетероатом. Гетероарильные группы, используемые в настоящем документе, могут необязательно содержать дополнительные группы заместителей.As used herein, "heteroaryl" and "heteroaromatic" means a radical containing a mono- or polycyclic aromatic ring, ring system, or fused ring system in which at least one of the rings is aromatic and contains one or more heteroatoms. Heteroaryl also includes fused ring systems, including systems in which one or more of the fused rings do not contain heteroatoms. Heteroaryl groups typically contain one ring atom selected from sulfur, nitrogen, or oxygen. Examples of heteroaryl groups include, without limitation, pyridinyl, pyrazinyl, pyrimidinyl, pyrrolyl, pyrazolyl, imidazolyl, thiazolyl, oxazolyl, isooxazolyl, thiadiazolyl, oxadiazolyl, thiophenyl, furanyl, quinolinyl, isoquinolinyl, benzimidazolyl, benzoxazolyl, quinoxalinyl, and the like. Heteroaryl radicals can be attached to the parent molecule directly or through a linking moiety such as an aliphatic group or a heteroatom. The heteroaryl groups used herein may optionally contain additional substituent groups.

При использовании в настоящем документе, «конъюгированное соединение» означает любые атомы, группы атомов или группу связанных атомов, подходящую для применения в качестве конъюгирующие группы. В некоторых вариантах реализации изобретения конъюгированные соединения могут обладать или влиять на одно или более свойств, включая, но не ограничиваясь этим, свойства фармакодинамики, фармакокинетики, связывания, адсорбции, клеточного распределения, клеточного захвата, заряда и/или выведения.As used herein, "conjugated compound" means any atoms, groups of atoms, or group of linked atoms suitable for use as a conjugate group. In some embodiments, the conjugate compounds may have or affect one or more properties, including, but not limited to, pharmacodynamic, pharmacokinetic, binding, adsorption, cellular distribution, cellular uptake, charge, and/or excretion properties.

При использовании в настоящем документе, если не указано или немодифицировано иным образом, «двухцепочечные» относится к двум отдельным олигомерным соединениям, которые гибридизованы друг с другом. Такие двухцепочечные соединения могут иметь один или более не гибридизованных нуклеозидов у одного или обоих концов одной или обеих спиралей (выступы) и/или один или более внутренних не гибридизованных нуклеозидов (несоответствий), при условии, что существует достаточная комплементарность для сохранения гибридизации при физиологически релевантных условиях.As used herein, unless specified or otherwise modified, "double-stranded" refers to two separate oligomeric compounds that are hybridized to each other. Such double-stranded compounds may have one or more non-hybridized nucleosides at one or both ends of one or both helices (overhangs) and/or one or more internal non-hybridized nucleosides (mismatches), provided that sufficient complementarity exists to maintain hybridization at physiologically relevant conditions.

В. Некоторые соединенияB. Some compounds

В некоторых вариантах реализации настоящего изобретения приведены конъюгированные антисмысловые соединения, содержащие антисмысловые олигонуклеотиды и конъюгат.In some embodiments, the invention provides conjugated antisense compounds comprising antisense oligonucleotides and a conjugate.

а. Некоторые антисмысловые олигонуклеотидыa. Some antisense oligonucleotides

В некоторых вариантах реализации настоящего изобретения приведены антисмысловые олигонуклеотиды. Такие антисмысловые олигонуклеотиды содержат связанные нуклеозиды, и каждый нуклеозид содержит сахарный фрагмент и азотистое основание. Структура таких антисмысловых олигонуклеотидов может быть рассмотрена с точки зрения химических особенностей (например, модификаций и характерных участков модификаций) и последовательности азотистых оснований (например, последовательность антисмыслового олигонуклеотида, сущность и последовательность целевой нуклеиновой кислоты).In some embodiments of the present invention, antisense oligonucleotides are provided. Such antisense oligonucleotides contain linked nucleosides, and each nucleoside contains a sugar moiety and a nitrogenous base. The structure of such antisense oligonucleotides can be viewed in terms of chemical features (eg, modifications and characteristic sites of modifications) and sequence of nitrogenous bases (eg, sequence of the antisense oligonucleotide, entity and sequence of the target nucleic acid).

i. Некоторые химические особенностиi. Some chemical features

В некоторых вариантах реализации изобретения антисмысловый олигонуклеотид содержит одну или более модификаций. В некоторых таких вариантах реализации изобретения антисмысловые олигонуклеотиды содержат один или более модифицированных нуклеозидов и/или модифицированных межнуклеозидных связей. В некоторых вариантах реализации изобретения модифицированные нуклеозиды содержат модифицированный сахарный фрагмент и/или модифицированное азотистое основание.In some embodiments, the antisense oligonucleotide contains one or more modifications. In some such embodiments, the antisense oligonucleotides contain one or more modified nucleosides and/or modified internucleoside bonds. In some embodiments of the invention, the modified nucleosides contain a modified sugar moiety and/or a modified nitrogenous base.

1. Некоторые сахарные фрагменты1. Some sugar fragments

В некоторых вариантах реализации изобретения соединения настоящего описания содержат один или более модифицированных нуклеозидов, содержащих модифицированный сахарный фрагмент. Такие соединения, содержащие один или более модифицированных по сахару нуклеозидов, могут обладать желаемыми свойствами, такими как улучшенная стабильность к нуклеазе или увеличенная связывающая аффинность к целевой нуклеиновой кислоте, по сравнению с олигонуклеотидом, содержащим только нуклеозиды, которые содержат природные сахарные фрагменты. В некоторых вариантах реализации изобретения модифицированные сахарные фрагменты представляют собой замещенные сахарные фрагменты. В некоторых вариантах реализации изобретения модифицированные сахарные фрагменты представляют собой заменители сахара. Такие заменители сахара могут содержать одно или более замещений, соответствующих замещениям замещенных сахарных фрагментов.In some embodiments of the invention, the compounds of the present description contain one or more modified nucleosides containing a modified sugar moiety. Such compounds containing one or more sugar-modified nucleosides may have desirable properties, such as improved nuclease stability or increased binding affinity for the target nucleic acid, compared to an oligonucleotide containing only nucleosides that contain naturally occurring sugar moieties. In some embodiments, the modified sugar moieties are substituted sugar moieties. In some embodiments, the modified sugar moieties are sugar substitutes. Such sugar substitutes may contain one or more substitutions corresponding to those of the substituted sugar moieties.

В некоторых вариантах реализации изобретения модифицированные сахарные фрагменты представляют собой замещенные сахарные фрагменты, содержащие один или более немостиковых сахарных заместителей, включая, но не ограничиваясь этим, заместители в 2' и/или 5'-положениях. Примеры заместителей сахара, подходящих для 2'-положения, включают, но не ограничиваются ими: 2'-F, 2'-ОСН3 («ОМе» или «О-метил») и 2'-О(СН2)2OCH3 («МОЕ»). В некоторых вариантах реализации изобретения заместитель сахара в 2'-положении выбран из аллила, амино, азидо, тио, О-аллила, O-C110 алкила, О-C110 замещенного алкила; OCF3, O(CH2)2SCH3, O(CH2)2-O-N(Rm)(Rn) и O-CH2-C(=O)-N(Rm)(Rn), где каждый Rm и Rn независимо представляет собой Н или замещенный или незамещенный C110 алкил. Примеры заместителей сахара в 5'-положении включают, но не ограничиваются ими: 5'-метил (R или S), 5'-винил и 5'-метокси. В некоторых вариантах реализации изобретения замещенные сахара содержат более одного немостикового сахарного заместителя, например, 2'-F-5'-метил-сахарные фрагменты (см., например, Международную заявку РСТ WO 2008/101157, где приведены дополнительные 5', 2'-бис-замещенные сахарные фрагменты и нуклеозиды).In some embodiments, the modified sugar moieties are substituted sugar moieties containing one or more non-bridging sugar substituents, including, but not limited to, substituents at the 2' and/or 5' positions. Examples of sugar substituents suitable for the 2'-position include, but are not limited to: 2'-F, 2'-OCH3 ("OMe" or "O-methyl") and 2'-O(CH2 )2 OCH3 ("MY"). In some embodiments, the 2' sugar substituent is selected from allyl, amino, azido, thio, O-allyl, OC1 -C10 alkyl, O-C1 -C10 substituted alkyl; OCF3 , O(CH2 )2 SCH3 , O(CH2 )2 -ON(Rm)(Rn) and O-CH2 -C(=O)-N(Rm)(Rn), where each Rm and Rn is independently H or substituted or unsubstituted C1 -C10 alkyl. Examples of sugar substituents at the 5' position include, but are not limited to: 5'-methyl (R or S), 5'-vinyl, and 5'-methoxy. In some embodiments, the substituted sugars contain more than one non-bridging sugar substituent, such as 2'-F-5'-methyl sugar moieties (see, for example, PCT International Application WO 2008/101157 for additional 5', 2' -bis-substituted sugar fragments and nucleosides).

Нуклеозиды, содержащие 2'-замещенные сахарные фрагменты, упоминаются как 2'-замещенные нуклеозиды. В некоторых вариантах реализации изобретения 2'-замещенный нуклеозид содержит 2'-группу заместителя, выбранную из галогена, аллила, амино, азидо, SH, CN, OCN, CF3, OCF3, О, S или М(Rm)-алкила; О, S или N(Rm)-алкенила; О, S или N(Rm)-алкинила; О-алкиленил-О-алкила, алкинила, алкарила, аралкила, О-алкарила, О-аралкила, O(CH2)2SCH3, O-(CH2)2-O-N(Rm)(Rn) или O-CH2-C(=O)-N(Rm)(Rn), где каждый Rm и Rn независимо представляет собой Н, аминозащитную группу или замещенный или незамещенный C110 алкил. Эти 2'-группы заместителей могут быть дополнительно замещены одной или более группами заместителей, независимо выбранными из гидроксила, амино, алкокси, карбокси, бензила, фенила, нитро (NO2), тиола, тиоалкокси (S-алкила), галогена, алкила, арила, алкенила и алкинила.Nucleosides containing 2'-substituted sugar moieties are referred to as 2'-substituted nucleosides. In some embodiments, the 2'-substituted nucleoside contains a 2'-substituent group selected from halogen, allyl, amino, azido, SH, CN, OCN, CF3 , OCF3 , O, S, or M(Rm )-alkyl ; O, S or N(Rm )-alkenyl; O, S or N(Rm )-alkynyl; O-alkylenyl-O-alkyl, alkynyl, alkaryl, aralkyl, O-alkaryl, O-aralkyl, O(CH2 )2 SCH3 , O-(CH2 )2 -ON(Rm )(Rn ) or O -CH2 -C(=O)-N(Rm )(Rn ), where each Rm and Rn independently represents H, an amino protecting group, or substituted or unsubstituted C1 -C10 alkyl. These 2' substituent groups may be further substituted with one or more substituent groups independently selected from hydroxyl, amino, alkoxy, carboxy, benzyl, phenyl, nitro (NO2 ), thiol, thioalkoxy (S-alkyl), halogen, alkyl, aryl, alkenyl and alkynyl.

В некоторых вариантах реализации изобретения 2'-замещенный нуклеозид содержит 2'-группу заместителя, выбранную из F, NH2, N3, OCF3, О-СН3, O(СН2)3NH2, СН2-СН=СН2, O-CH2-CH=CH2, ОСН2СН2ОСН3, O(CH2)2SCH3, O-(CH2)2-O-N(Rm)(Rn), O(CH2)2O(CH2)2N(CH3)2 и N-замещенного ацетамида (O-CH2-C(=O)-N(Rm)(Rn), где каждый Rm и Rn независимо представляет собой Н, аминозащитную группу или замещенный или незамещенный C110 алкил.In some embodiments, the 2'-substituted nucleoside contains a 2'-substituent group selected from F, NH2 , N3 , OCF3 , O-CH3 , O(CH2 )3 NH2 , CH2 -CH=CH2 , O-CH2 -CH=CH2 , OCH2 CH2 OCH3 , O(CH2 )2 SCH3 , O-(CH2 )2 -ON(Rm )(Rn ), O(CH2 )2 O(CH2 )2 N(CH3 )2 and N-substituted acetamide (O-CH2 -C(=O)-N(Rm )(Rn ), where each Rm and Rn independently represents is H, an amino protecting group, or a substituted or unsubstituted C1 -C10 alkyl.

В некоторых вариантах реализации изобретения 2'-замещенный нуклеозид содержит сахарный фрагмент, содержащий 2'-группу заместителя, выбранную из F, OCF3, О-СН3, ОСН2СН2ОСН3, O(CH2)2SCH3, O-(CH2)2-O-N(CH3)2, -O(CH2)2O(CH2)2N(CH3)2 и О-CH2-C(=O)-N(H)CH3.In some embodiments, the 2'-substituted nucleoside contains a sugar moiety containing a 2' substituent group selected from F, OCF3 , O-CH3 , OCH2 CH2 OCH3 , O(CH2 )2 SCH3 , O -(CH2 )2 -ON(CH3 )2 , -O(CH2 )2 O(CH2 )2 N(CH3 )2 and O-CH2 -C(=O)-N(H)CH3 .

В некоторых вариантах реализации изобретения 2'-замещенный нуклеозид содержит сахарный фрагмент, содержащий 2'-группу заместителя, выбранную из F, О-СН3 и ОСН2СН2ОСН3.In some embodiments, the 2'-substituted nucleoside contains a sugar moiety containing a 2' substituent group selected from F, O-CH3 and OCH2 CH2 OCH3 .

Некоторые модифицированные сахарные фрагменты содержат мостиковый сахарный заместитель, который образует второе кольцо, что приводит к получению бициклического сахарного фрагмента. В некоторых таких вариантах реализации изобретения бициклический сахарный фрагмент содержит мостик между 4' и 2' атомами фуранозного кольца. Примеры таких 4'-2' сахарных заместителей включают, но не ограничиваются ими: -[C(Ra)(Rb)]n-, -[C(Ra)(Rb)]n-O-, -C(RaRb)-N(R)-O- или -C(RaRb)-O-N(R)-; 4'-CH2-2', 4'-(CH2)2-2', 4'-(CH2)3-2', 4'-(CH2)-O-2' (LNA); 4'-(CH2)-S-2'; 4'-(CH2)2-O-2' (ENA); 4'-CH(CH3)-O-2' (cEt) и 4'-СН(СН2ОСН3)-O-2', и его аналоги (см., например, патент США 7399845, выданный 15 июля 2008 года); 4'-С(СН3)(СН3)-O-2' и его аналоги (см., например, WO 2009/006478, опубликованный 8 января 2009 года); 4'-CH2-N(OCH3)-2' и его аналоги (см., например, WO 2008/150729, опубликованный 11 декабря 2008 года); 4'-СН2-O-N(CH3)-2' (см., например, US 2004/0171570, опубликованный 2 сентября 2004 года); 4'-CH2-O-N(R)-2' и 4'-CH2-N(R)-O-2'-, где каждый R независимо представляет собой Н, защитную группу или C1-C12 алкил; 4'-CH2-N(R)-O-2', где R представляет собой Н, C1-C12 алкил или защитную группу (см., например, патент США 7427672, выданный 23 сентября 2008 года); 4'-СН2-С(Н)(СН3)-2' (см., например, Chattopadhyaya, et al., J. Org. Chem., 2009, 74, 118-134); и 4'-CH2-C(=CH2)-2' и его аналоги (см. опубликованную Международную заявку РСТ WO 2008/154401, опубликованную 8 декабря 2008 года).Some modified sugar moieties contain a bridging sugar substituent that forms a second ring, resulting in a bicyclic sugar moiety. In some such embodiments, the bicyclic sugar moiety contains a bridge between the 4' and 2' atoms of the furanose ring. Examples of such 4'-2' sugar substituents include, but are not limited to: -[C(Ra )(Rb )]n -, -[C(Ra )(Rb )]n -O-, -C (Ra Rb )-N(R)-O- or -C(Ra Rb )-ON(R)-; 4'-CH2 -2', 4'-(CH2 )2 -2', 4'-(CH2 )3 -2', 4'-(CH2 )-O-2'(LNA);4'-(CH2 )-S-2';4'-(CH2 )2 -O-2'(ENA);4'-CH(CH3 )-O-2' (cEt) and 4'-CH(CH2 OCH3 )-O-2', and analogs thereof (see, for example, US Pat. of the year); 4'-C(CH3 )(CH3 )-O-2' and its analogs (see, for example, WO 2009/006478 published January 8, 2009); 4'-CH2 -N(OCH3 )-2' and its analogues (see, for example, WO 2008/150729 published December 11, 2008); 4'-CH2 -ON(CH3 )-2' (see, for example, US 2004/0171570 published September 2, 2004); 4'-CH2 -ON(R)-2' and 4'-CH2 -N(R)-O-2'-, where each R is independently H, a protective group or C1 -C12 alkyl; 4'-CH2 -N(R)-O-2', where R represents H, C1 -C12 alkyl or a protective group (see, for example, US patent 7427672 issued September 23, 2008); 4'-CH2 -C(H)(CH3 )-2' (see, for example, Chattopadhyaya, et al., J. Org. Chem., 2009, 74, 118-134); and 4'-CH2 -C(=CH2 )-2' and its analogs (see PCT International Application WO 2008/154401 published December 8, 2008).

В некоторых вариантах реализации изобретения такие мостики 4'-2' независимо содержат от 1 до 4 связанных групп, независимо выбранных из -[C(Ra)(Rb)]n-, -C(Ra)=C(Rb)-, -C(Ra)=N-, -C(=NRa)-, -C(=O)-, -C(=S)-, -O-, -Si(Ra)2-, -S(=O)x- и -N(Ra)-;In some embodiments of the invention such bridges 4'-2' independently contain from 1 to 4 linked groups, independently selected from -[C(Ra )(Rb )]n -, -C(Ra )=C(Rb )-, -C(Ra )=N-, -C(=NRa )-, -C(=O)-, -C(=S)-, -O-, -Si(Ra )2 - , -S(=O)x - and -N(Ra )-;

где:where:

x равен 0, 1 или 2;x is 0, 1, or 2;

n равен 1, 2, 3 или 4;n is 1, 2, 3 or 4;

каждый Ra и Rb независимо представляет собой Н, защитную группу, гидроксил, C1-C12 алкил, замещенный C1-C12 алкил, C2-C12 алкенил, замещенный C2-C12 алкенил, С2-C12 алкинил, замещенный C2-C12 алкинил, C5-C20 арил, замещенный С520 арил, гетероциклический радикал, замещенный гетероциклический радикал, гетероарил, замещенный гетероарил, С57 алициклический радикал, замещенный С57 алициклический радикал, галоген, OJ1, NJ1J2, SJ1, N3, COOJ1, ацил (C(=O)-H), замещенный ацил, CN, сульфонил (S(=O)2-J1) или сульфоксил (S(=O)-J1); иeach Ra and Rb is independently H, a protecting group, hydroxyl, C1 -C12 alkyl, substituted C1 -C12 alkyl, C2 -C12 alkenyl, substituted C2 -C12 alkenyl, C2 -C12 alkynyl, substituted C2 -C12 alkynyl, C5 -C20 aryl, substituted C5 -C20 aryl, heterocyclic radical, substituted heterocyclic radical, heteroaryl, substituted heteroaryl, C5 -C7 alicyclic radical, substituted C5 - C7 alicyclic radical, halogen, OJ1 , NJ1 J2 , SJ1 , N3 , COOJ1 , acyl (C(=O)-H), substituted acyl, CN, sulfonyl (S(=O)2 -J1 ) or sulfoxyl (S(=O)-J1 ); and

каждый J1 и J2 независимо представляет собой Н, C1-C12 алкил, замещенный С112 алкил, C2-C12 алкенил, замещенный C2-C12 алкенил, C2-C12 алкинил, замещенный C2-C12 алкинил, С520 арил, замещенный С520 арил, ацил (С(=O)-Н), замещенный ацил, гетероциклический радикал, замещенный гетероциклический радикал, C1-C12 аминоалкил, замещенный C1-C12 аминоалкил или защитную группу.each J1 and J2 is independently H, C1 -C12 alkyl substituted with C1 -C12 alkyl, C2 -C12 alkenyl substituted with C2 -C12 alkenyl, C2 -C12 alkynyl substituted with C2 -C12 alkynyl, C5 -C20 aryl, substituted C5 -C20 aryl, acyl (C (= O) -H), substituted acyl, heterocyclic radical, substituted heterocyclic radical, C1 -C12 aminoalkyl, substituted C1 -C12 aminoalkyl or a protective group.

Нуклеозиды, содержащие бициклические сахарные фрагменты, упоминаются как бициклические нуклеозиды или BNA. Бициклические нуклеозиды включают, но не ограничиваются ими, (А) α-L-метиленокси (4'-СН2-O-2') BNA, (В) β-D-метиленокси (4'-СН2-O-2') BNA (также упоминаемый как закрытая нуклеиновая кислота или LNA), (С) этиленокси (4'-(CH2)2-O-2') BNA, (D) аминоокси (4'-CH2-O-N(R)-2') BNA, (E) оксиамино (4'-CH2-N(R)-O-2') BNA, (F) метил(метиленокси) (4'-СН(СН3)-O-2') BNA (также упоминаемый как стерически затрудненный этил или cEt), (G) метилен-тио (4'-CH2-S-2') BNA, (H) метилен-амино (4'-CH2-N(R)-2') BNA, (I) метил-карбоциклический (4'-СН2-СН(СН3)-2') BNA и (J) пропилен-карбоциклический (4'-(CH2)3-2') BNA, как показано ниже.Nucleosides containing bicyclic sugar moieties are referred to as bicyclic nucleosides or BNAs. Bicyclic nucleosides include, but are not limited to, (A) α-L-methyleneoxy (4'-CH2 -O-2') BNA, (B) β-D-methyleneoxy (4'-CH2 -O-2' ) BNA (also referred to as closed nucleic acid or LNA), (C) ethyleneoxy (4'-(CH2 )2 -O-2') BNA, (D) aminooxy (4'-CH2 -ON(R)- 2') BNA, (E) hydroxyamino (4'-CH2 -N(R)-O-2') BNA, (F) methyl(methyleneoxy) (4'-CH(CH3 )-O-2') BNA (also referred to as hindered ethyl or cEt), (G) methylene-thio (4'-CH2 -S-2') BNA, (H) methylene-amino (4'-CH2 -N(R)- 2') BNA, (I) methyl carbocyclic (4'-CH2 -CH(CH3 )-2') BNA and (J) propylene carbocyclic (4'-(CH2 )3-2 ') BNA, as shown below.

Figure 00000012
Figure 00000012

где Вх представляет собой фрагмент азотистого основания, а R независимо представляет собой Н, защитную группу или С112 алкил.where Bx represents a fragment of a nitrogenous base, and R independently represents H, a protective group or C1 -C12 alkyl.

В данной области техники известны дополнительные бициклические сахарные фрагменты, например: Singh et al., Chem. Commun., 1998, 4, 455-456; Koshkin et al., Tetrahedron, 1998, 54, 3607-3630; Wahlestedt et al., Proc. Natl. Acad. Sci. U.S.A., 2000, 97, 5633-5638; Kumar et al., Bioorg. Med. Chem. Lett., 1998, 8, 2219-2222; Singh et al., J. Org. Chem., 1998, 63, 10035-10039; Srivastava et al., J. Am. Chem. Soc., 129(26) 8362-8379 (4 июля 2007 года); Elayadi et al., Curr. Opinion Invens. Drugs, 2001, 2, 558-561; Braasch et al., Chem. Biol, 2001, 8, 1-7; Oram et al., Curr. Opinion Mol. Ther., 2001, 3, 239-243; патенты США №7053207 6268490 6770748 6794499 7034133 6525191 6670461 и 7399845; WO 2004/106356, WO 1994/14226, WO 2005/021570 и WO 2007/134181; публикации патентов США № US 2004/0171570, US 2007/0287831 и US 2008/0039618; патенты США с серийными номерами 12/129154 60/989574 61/026995 61/026998 61/056564 61/086231 61/097787 и 61/099844; и Международные заявки РСТ № PCT/US 2008/064591, PCT/US 2008/066154 и PCT/US 2008/068922.Additional bicyclic sugar moieties are known in the art, for example: Singh et al., Chem. Commun., 1998, 4, 455-456; Koshkin et al., Tetrahedron, 1998, 54, 3607-3630; Wahlestedt et al., Proc. Natl. Acad. sci. U.S.A., 2000, 97, 5633-5638; Kumar et al., Bioorg. Med. Chem. Lett., 1998, 8, 2219-2222; Singh et al., J. Org. Chem., 1998, 63, 10035-10039; Srivastava et al., J. Am. Chem. Soc., 129(26) 8362-8379 (July 4, 2007); Elayadi et al., Curr. Opinion Invens. Drugs, 2001, 2, 558-561; Braasch et al., Chem. Biol, 2001, 8, 1-7; Oram et al. Curr. Opinion Mol. Ther., 2001, 3, 239-243; US Pat. WO 2004/106356, WO 1994/14226, WO 2005/021570 and WO 2007/134181; US Patent Publication Nos. US 2004/0171570, US 2007/0287831 and US 2008/0039618; US patents with serial numbers 12/129154 60/989574 61/026995 61/026998 61/056564 61/086231 61/097787 and 61/099844; and PCT International Application Nos. PCT/US 2008/064591, PCT/US 2008/066154 and PCT/US 2008/068922.

В некоторых вариантах реализации изобретения бициклические сахарные фрагменты и нуклеозиды, содержащие такие бициклические сахарные фрагменты, дополнительно определяют по изомерной конфигурации. Например, нуклеозид, содержащий мостик 4'-2'-метилен-окси, может быть в α-L конфигурации или в β-D конфигурации. Ранее α-L-метиленокси (4'-СН2-O-2') бициклические нуклеозиды были внедрены в антисмысловые олигонуклеотиды, которые обладают антисмысловой активностью (Frieden et al., Nucleic Acids Research, 2003, 21, 6365-6372).In some embodiments, bicyclic sugar moieties and nucleosides containing such bicyclic sugar moieties are further defined by isomeric configuration. For example, a nucleoside containing a 4'-2'-methylene-oxy bridge may be in the α-L configuration or in the β-D configuration. Previously, α-L-methyleneoxy (4'-CH2 -O-2') bicyclic nucleosides have been incorporated into antisense oligonucleotides that have antisense activity (Frieden et al., Nucleic Acids Research, 2003, 21, 6365-6372).

В некоторых вариантах реализации изобретения замещенные сахарные фрагменты содержат один или более немостиковых сахарных заместителей и один или более мостиковых сахарных заместителей (например, 5'-замещенные и 4'-2'-мостиковые сахара), (см., например, Международную заявку РСТ WO 2007/134181, опубликованную 11/22/07, в которой LNA замещена, например, 5'-метильной или 5'-виниловой группой).In some embodiments, the substituted sugar moieties contain one or more non-bridging sugar substituents and one or more bridging sugar substituents (e.g., 5'-substituted and 4'-2'-bridged sugars), (see, for example, PCT International Application WO 2007/134181, published 11/22/07, in which the LNA is substituted, for example, with a 5'-methyl or 5'-vinyl group).

В некоторых вариантах реализации изобретения модифицированные сахарные фрагменты представляют собой заменители сахара. В некоторых таких вариантах реализации изобретения атом кислорода природного сахара является замещенным, например, атомом серы, углерода или азота. В некоторых таких вариантах реализации изобретения такой модифицированный сахарный фрагмент содержит также мостиковые и/или немостиковые заместители, как описано выше. Например, некоторые заменители сахара содержат 4'-атом серы и замещение в 2'-положении (см., например, опубликованную патентную заявку США US 2005/0130923, опубликованную 16 июня 2005 года) и/или 5'-положении. В качестве дополнительного примера, были описаны карбоциклические бициклические нуклеозиды, имеющие мостик 4'-2' (см., например, Freier et al., Nucleic Acids Research, 1997, 25(22), 4429-4443 и Albaek et al., J. Org. Chem., 2006, 71, 7731-7740).In some embodiments, the modified sugar moieties are sugar substitutes. In some such embodiments, the natural sugar oxygen atom is substituted, for example, with a sulfur, carbon, or nitrogen atom. In some such embodiments, such a modified sugar moiety also contains bridging and/or non-bridging substituents, as described above. For example, some sugar substitutes contain a 4' sulfur atom and a substitution at the 2' position (see, for example, US Published Application US 2005/0130923 published June 16, 2005) and/or the 5' position. As a further example, carbocyclic bicyclic nucleosides having a 4'-2' bridge have been described (see, for example, Freier et al., Nucleic Acids Research, 1997, 25(22), 4429-4443 and Albaek et al., J Org. Chem., 2006, 71, 7731-7740).

В некоторых вариантах реализации изобретения заменители сахара содержат кольца, имеющие не 5 атомов. Например, в некоторых вариантах реализации изобретения заменитель сахара содержит морфолино. Морфолино-соединения и их применение в олигомерных соединениях было описано в многочисленных патентах и опубликованных статьях (см., например: Braasch et at., Biochemistry, 2002, 41, 4503-4510; и патенты США 5698685; 5166315; 5185444; и 5034506). При использовании в настоящем документе, термин «морфолино» означает заменитель сахара, имеющий следующую структуру:In some embodiments of the invention, sugar substitutes contain rings having more than 5 atoms. For example, in some embodiments of the invention, the sugar substitute contains morpholino. Morpholino compounds and their use in oligomeric compounds have been described in numerous patents and published articles (see, for example: Braasch et at., Biochemistry, 2002, 41, 4503-4510; and US Pat. . As used herein, the term "morpholino" means a sugar substitute having the following structure:

Figure 00000013
Figure 00000013

В некоторых вариантах реализации изобретения морфолино могут быть модифицированными, например, добавлением или изменением различных групп заместителей в представленной выше структуре морфолино. Такие заменители сахара упомянуты в настоящем документе как «модифицированные морфолино».In some embodiments, the morpholino can be modified, for example, by adding or changing various substituent groups in the morpholino structure above. Such sweeteners are referred to herein as "modified morpholinos".

В качестве другого примера, в некоторых вариантах реализации изобретения заменитель сахара содержит шестичленный тетрагидропиран. Такие тетрагидропираны могут быть дополнительно модифицированы или замещены. Нуклеозиды, содержащие такие модифицированные тетрагидропираны, включают, но не ограничиваются ими, гекситоловую нуклеиновую кислоту (HNA), анитоловую нуклеиновую кислоту (ANA), манитоловую нуклеиновую кислоту (MNA) (см. Leumann, CJ. Bioorg. & Med. Chem. (2002) 10:841-854), фтор-HNA (F-HNA) и соединения, имеющие Формулу VI:As another example, in some embodiments of the invention, the sugar substitute contains a six-membered tetrahydropyran. Such tetrahydropyrans may be further modified or substituted. Nucleosides containing such modified tetrahydropyrans include, but are not limited to, hexitol nucleic acid (HNA), anitolic nucleic acid (ANA), manitol nucleic acid (MNA) (see Leumann, CJ. Bioorg. & Med. Chem. (2002 ) 10:841-854), fluoro-HNA (F-HNA) and compounds having Formula VI:

Figure 00000014
Figure 00000014

где независимо для каждого из указанного по меньшей мере одного тетрагидропиранового нуклеозидного аналога Формулы VI:where independently for each of the specified at least one tetrahydropyran nucleoside analogue of Formula VI:

Вх представляет собой фрагмент азотистого основания;Bx is a fragment of a nitrogenous base;

Т3 и Т4, каждый независимо, представляют собой межнуклеозидную связывающую группу, связывающую тетрагидропирановый нуклеозидный аналог с антисмысловым соединением, или один из Т3 и Т4 представляет собой межнуклеозидную связывающую группу, связывающую тетрагидропирановый нуклеозидный аналог с антисмысловым соединением, а другой из Т3 и Т4 представляет собой Н, гидроксил-защитную группу, связанную конъюгирующую группу или 5' или 3'-концевую группу;T3 and T4 are each independently an internucleoside linking group linking a tetrahydropyran nucleoside analog to an antisense compound, or one of T3 and T4 is an internucleoside linking group linking a tetrahydropyran nucleoside analog to an antisense compound and the other of T3 and T4 is H, a hydroxyl protecting group, a linked conjugating group, or a 5' or 3' end group;

q1, q2, q3, q4, q5, q6 и q7, каждый независимо, представляют собой Н, C16 алкил, замещенный C1-C6 алкил, С26 алкенил, замещенный С26 алкенил, С26 алкинил или замещенный С26 алкинил; иq1 , q2 , q3 , q4 , q5 , q6 and q7 are each independently H, C1 -C6 alkyl, substituted C1 -C6 alkyl, C2 -C6 alkenyl, substituted C2 -C6 alkenyl, C2 -C6 alkynyl or substituted C2 -C6 alkynyl; and

каждый из R1 и R2 независимо выбран из: водорода, галогена, замещенного или незамещенного алкокси, NJ1J2, SJ1, N3, OC(=X)J1, OC(=X)NJ1J2, NJ3C(=X)NJ1J2 и CN, где X представляет собой О, S или NJ1, и каждый J1, J2 и J3 независимо представляет собой Н или C1-C6 алкил.each of R1 and R2 is independently selected from: hydrogen, halogen, substituted or unsubstituted alkoxy, NJ1 J2 , SJ1 , N3 , OC(=X)J1 , OC(=X)NJ1 J2 , NJ3 C(=X)NJ1 J2 and CN, where X represents O, S or NJ1 and each J1 , J2 and J3 independently represents H or C1 -C6 alkyl.

В некоторых вариантах реализации изобретения приведены модифицированные ТНР нуклеозиды Формулы VI, в которых каждый q1, q2, q3, q4, q5, q6 и q7 представляет собой H. В некоторых вариантах реализации изобретения по меньшей мере один из q1, q2, q3, q4, q5, q6 и q7 отличен от H. В некоторых вариантах реализации изобретения по меньшей мере один из q1, q2, q3, q4, q5, q6 и q7 представляет собой метил. В некоторых вариантах реализации изобретения приведены ТНР нуклеозиды Формулы VI, в которых один из R1 и R2 представляет собой F. В некоторых вариантах реализации изобретения R1 представляет собой фтор, a R2 представляет собой Н, R1 представляет собой метокси, a R2 представляет собой Н, и R1 представляет собой метоксиэтокси, a R2 представляет собой Н.In some embodiments, THP-modified nucleosides of Formula VI are provided wherein each q1 , q2 , q3 , q4 , q5 , q6 , and q7 is H. In some embodiments, at least one of q1 , q2 , q3 , q4 , q5 , q6 , and q7 are other than H. In some embodiments, at least one of q1 , q2 , q3 , q4 , q5 , q6 and q7 is methyl. In some embodiments, THP nucleosides of Formula VI are provided wherein one of R1 and R2 is F. In some embodiments, R1 is fluoro and R2 is H, R1 is methoxy and R2 is H and R1 is methoxyethoxy and R2 is H.

В данной области техники известны также многие другие бициклические и трициклические кольцевые системы заменителей сахара, которые могут быть использованы для модификации нуклеозидов для внедрения в антисмысловые соединеия (см., например, обзорную статью: Leumann, J.С, Bioorganic & Medicinal Chemistry, 2002, 10, 841-854).Many other bicyclic and tricyclic ring sugar substitute systems are also known in the art that can be used to modify nucleosides for insertion into antisense compounds (see, for example, the review article: Leumann, J.C, Bioorganic & Medicinal Chemistry, 2002, 10, 841-854).

Без ограничения, приведены также комбинации модификаций, такие как 2'-F-5'-метил-замещенные нуклеозиды (см. Международную заявку РСТ WO 2008/101157, опубликованную 8/21/08, где описаны другие 5', 2'-бис-замещенные нуклеозиды) и замена атома кислорода рибозильного кольца на S и дополнительное замещение в 2'-положении (см. опубликованную заявку на патент США US 2005-0130923, опубликованную 16 июня 2005 года) или, альтернативно, 5'-замещение бициклической нуклеиновой кислоты (см. Международную заявку РСТ WO 2007/134181, опубликованную 11/22/07, в которой 4'-СН2-O-2' бициклический нуклеозид дополнительно замещен в 5'-положении 5'-метильной или 5'-виниловой группой). Был описан также синтез и получение карбоциклических бициклических нуклеозидов вместе с их олигомеризацией и биохимическими исследованиями (см., например, Srivastava et al., J. Am. Chem. Soc. 2007, 129(26), 8362-8379).Without limitation, combinations of modifications are also given, such as 2'-F-5'-methyl-substituted nucleosides (see PCT application WO 2008/101157, published 8/21/08, which describes other 5', 2'-bis -substituted nucleosides) and replacement of the oxygen atom of the ribosyl ring with S and additional substitution at the 2'-position (see US Published Application US 2005-0130923 published June 16, 2005) or alternatively 5'-substitution of a bicyclic nucleic acid (see PCT International Application WO 2007/134181, published 11/22/07, in which the 4'-CH2 -O-2' bicyclic nucleoside is additionally substituted at the 5'-position with a 5'-methyl or 5'-vinyl group) . The synthesis and preparation of carbocyclic bicyclic nucleosides along with their oligomerization and biochemical studies have also been described (see, for example, Srivastava et al., J. Am. Chem. Soc. 2007, 129(26), 8362-8379).

В некоторых вариантах реализации настоящего описания приведены олигонуклеотиды, содержащие модифицированные нуклеозиды. Такие модифицированные нуклеотиды могут содержать модифицированные сахара, модифицированные азотистые основания и/или модифицированные связи. Конкретные модификации выбирают так, чтобы полученные олигонуклеотиды обладали желаемыми характеристиками. В некоторых вариантах реализации изобретения олигонуклеотиды содержат один или более РНК-подобных нуклеозидов. В некоторых вариантах реализации изобретения олигонуклеотиды содержат один или более ДНК-подобных нуклеотидов.In some embodiments of the present description, oligonucleotides containing modified nucleosides are provided. Such modified nucleotides may contain modified sugars, modified nitrogenous bases, and/or modified bonds. Specific modifications are chosen so that the resulting oligonucleotides have the desired characteristics. In some embodiments of the invention, the oligonucleotides contain one or more RNA-like nucleosides. In some embodiments of the invention, the oligonucleotides contain one or more DNA-like nucleotides.

2. Некоторые модификации азотистых оснований2. Some modifications of nitrogenous bases

В некоторых вариантах реализации изобретения нуклеозиды настоящего описания содержат одно или более немодифицированных азотистых оснований. В некоторых вариантах реализации изобретения нуклеозиды настоящего описания содержат одно или более модифицированных азотистых оснований.In some embodiments of the invention, the nucleosides of the present description contain one or more unmodified nitrogenous bases. In some embodiments of the invention, the nucleosides of the present description contain one or more modified nitrogenous bases.

В некоторых вариантах реализации изобретения модифицированные азотистые основания выбраны из: универсальных оснований, гидрофобных оснований, смещанных оснований, увеличенных в размере оснований и фторированных оснований, описанных в настоящем документе. 5-замещенные пиримидины, 6-азапиримидины и N-2, N-6 и O-6-замещенные пурины, включая 2-аминопропиладенин, 5-пропинилурацил; 5-пропинилцитозин; 5-гидроксиметил-цитозин, ксантин, гипоксантин, 2-аминоаденин, 6-метил и другие алкильные производные аденина и гуанина, 2-пропил и другие алкильные производные аденина и гуанина, 2-тиоурацил, 2-тиотимин и 2-тиоцитозин, 5-галогенурацил и цитозин, 5-пропинил (-С=С-СН3) урацил и цитозин и другие алкинильные производные пиримидиновых оснований, 6-азоурацил, цитозин и тимин, 5-урацил (псевдоурацил), 4-тиоурацил, 8-галоген, 8-амино, 8-тиол, 8-тиоалкил, 8-гидроксил и другие 8-замещенные аденины и гуанины, 5-галоген, в частности, 5-бром, 5-трифторметил и другие 5-замещенные урацилы и цитозины, 7-метилгуанин и 7-метиладенин, 2-F-аденин, 2-аминоаденин, 8-азагуанин и 8-азааденин, 7-деазагуанин и 7-деазааденин, 2-деазагуанин и 3-деазааденин, универсальные основания, гидрофобные основания, смешанные основания, увеличенные в размере основания и фторированные основания, описанные в настоящем документе. Допонительные модифицированные азотистые основания включают трициклические пиримидины, такие как феноксазина цитидин ([5,4-b][1,4]бензоксазин-2(3Н)-он), фенотиазина цитидин (1Н-пиримидо[5,4-b][1,4]бензотиазин-2(3Н)-он), так называемые G-clamp, такие как замещенный феноксазина цитидин (например, 9-(2-аминоэтокси)-Н-пиримидо[5,4-b][1,4]бензоксазин-2(3Н)-он), карбазола цитидин (2Н-пиримидо[4,5-b]индол-2-он), пиридоиндола цитидин (Н-пиридо[3',2':4,5]пирроло[2,3-d]пиримидин-2-он). Модифицированные азотистые основания также могут включать азотистые основания, в которых пуриновое или пиримидиновое основание заменено другими гетероциклами, например, 7-деаза-аденин, 7-деазагуанозин, 2-аминопиридин и 2-пиридон. Дополнительные азотистые основания включают азотистые основания, описанные в патенте США №3687808, описанные в публикации The Concise Encyclopedia Of Polymer Science And Engineering, Kroschwitz, J.I., ред., John Wiley & Sons, 1990, 858-859; описанные авторами Englisch et al., Angewandte Chemie, Международное издание, 1991, 30, 613; и описанные в публикации Sanghvi, Y.S., глава 15, Antisense Research and Applications, Crooke, S.T. и Lebleu, В., ред., CRC Press, 1993, 273-288.In some embodiments, the modified nitrogenous bases are selected from: universal bases, hydrophobic bases, displaced bases, enlarged bases, and fluorinated bases described herein. 5-substituted pyrimidines, 6-azapyrimidines and N-2, N-6 and O-6-substituted purines, including 2-aminopropyladenine, 5-propynyluracil; 5-propynylcytosine; 5-hydroxymethyl-cytosine, xanthine, hypoxanthine, 2-aminoadenine, 6-methyl and other alkyl derivatives of adenine and guanine, 2-propyl and other alkyl derivatives of adenine and guanine, 2-thiouracil, 2-thiothymine and 2-thiocytosine, 5- halouracil and cytosine, 5-propynyl (-C=C-CH3 ) uracil and cytosine and other alkynyl derivatives of pyrimidine bases, 6-azouracil, cytosine and thymine, 5-uracil (pseudouracil), 4-thiouracil, 8-halogen, 8 -amino, 8-thiol, 8-thioalkyl, 8-hydroxyl and other 8-substituted adenines and guanines, 5-halogen, in particular 5-bromo, 5-trifluoromethyl and other 5-substituted uracils and cytosines, 7-methylguanine and 7-methyladenine, 2-F-adenine, 2-aminoadenine, 8-azaguanine and 8-azaadenine, 7-deazaguanine and 7-deazaadenine, 2-deazaguanine and 3-deazaadenine, universal bases, hydrophobic bases, mixed bases, enlarged bases and fluorinated bases described herein. Additional modified nitrogenous bases include tricyclic pyrimidines such as phenoxazine cytidine ([5,4-b][1,4]benzoxazin-2(3H)-one), phenothiazine cytidine (1H-pyrimido[5,4-b][1 ,4]benzothiazin-2(3H)-one), the so-called G-clamp, such as substituted phenoxazine cytidine (e.g. 9-(2-aminoethoxy)-H-pyrimido[5,4-b][1,4] benzoxazin-2(3Н)-one), carbazole cytidine (2Н-pyrimido[4,5-b]indol-2-one), pyridoindole cytidine (Н-pyrido[3',2':4,5]pyrrolo[2 ,3-d]pyrimidin-2-one). Modified nitrogenous bases may also include nitrogenous bases in which the purine or pyrimidine base has been replaced by other heterocycles, such as 7-deaza-adenine, 7-deazaguanosine, 2-aminopyridine, and 2-pyridone. Additional nitrogenous bases include the nitrogenous bases described in US Pat. No. 3,687,808, described in The Concise Encyclopedia Of Polymer Science And Engineering, Kroschwitz, JI, ed., John Wiley & Sons, 1990, 858-859; described by Englisch et al., Angewandte Chemie, International Edition, 1991, 30, 613; and described in Sanghvi, YS, chapter 15, Antisense Research and Applications, Crooke, ST and Lebleu, B., eds., CRC Press, 1993, 273-288.

Иллюстративные патенты США, в которых описано получение некоторых из вышеупомянутых модифицированных азотистых оснований, а также других модифицированных азотистых оснований, включают, без ограничения, U.S. 3687808; 4845205; 5130302; 5134066; 5175273; 5367066; 5432272; 5457187; 5459255; 5484908; 5502177; 5525711; 5552540; 5587469; 5594121; 5596091; 5614617; 5645985; 5681941; 5750692; 5763588; 5830653 и 6005096, некоторые из которых находятся на рассмотрении одновременно с настоящей заявкой, и каждый из которых включен в настоящий документ посредством ссылки в полном объеме.Illustrative US patents that describe the preparation of some of the aforementioned modified nitrogenous bases, as well as other modified nitrogenous bases, include, without limitation, U.S. 3687808; 4845205; 5130302; 5134066; 5175273; 5367066; 5432272; 5457187; 5459255; 5484908; 5502177; 5525711; 5552540; 5587469; 5594121; 5596091; 5614617; 5645985; 5681941; 5750692; 5763588; 5,830,653 and 6,005,096, some of which are pending concurrently with this application, and each of which is incorporated herein by reference in its entirety.

3. Некоторые межнуклеозидные связи3. Some internucleoside bonds

В некоторых вариантах реализации настоящего описания приведены олигонуклеотиды, содержащие связанные нуклеозиды. В таких вариантах реализации изобретения нуклеозиды могут быть связаны вместе при помощи любой межнуклеозидной связи. Два основных класса межнуклеозидных связывающих групп определяются по наличию или отсутствию атома фосфора. Иллюстративные фосфорсодержащие межнуклеозидные связи включают, но не ограничиваются ими, фосфодиэфиры (РО), фосфотриэфиры, метилфосфонаты, фосфорамидаты и тиофосфаты (PS). Иллюстративные не содержащие фосфора межнуклеозидные связывающие группы включают, но не ограничиваются ими, метиленметилимино (-CH2-N(CH3)-O-CH2-), тиодиэфир (-O-C(O)-S-), тионокарбамат (-O-C(O)(NH)-S-); силоксан (-O-Si(H)2-O-); и N,N'-диметилгидразин (-CH2-N(CH3)-N(CH3)-). Модифицированные связи, в сравнении с природными фосфодиэфирными связями, могут быть использованы для изменения, обычно увеличения устойчивости олигонуклеотида к нуклеазе. В некоторых вариантах реализации изобретения межнуклеозидные связи, имеющие хиральный атом, могут быть получены в виде рацемической смеси или в виде отдельных энантиомеров. Иллюстративные хиральные связи включают, но не ограничиваются ими, алкилфосфонаты и тиофосфаты. Способы получения фосфорсодержащих и не содержащих фосфора межнуклеозидных связей хорошо известны специалистам в данной области техники.In some embodiments of the present description, oligonucleotides containing linked nucleosides are provided. In such embodiments, the nucleosides may be linked together via any internucleoside bond. The two main classes of internucleoside linking groups are defined by the presence or absence of a phosphorus atom. Exemplary phosphorus-containing internucleoside linkages include, but are not limited to, phosphodiesters (PO), phosphotriesters, methylphosphonates, phosphoramidates, and thiophosphates (PS). Exemplary phosphorus-free internucleoside linking groups include, but are not limited to, methylenemethylimino (-CH2 -N(CH3 )-O-CH2 -), thiodiether (-OC(O)-S-), thionocarbamate (-OC( O)(NH)-S-); siloxane (-O-Si(H)2 -O-); and N,N'-dimethylhydrazine (-CH2 -N(CH3 )-N(CH3 )-). Modified linkages, compared to natural phosphodiester linkages, can be used to alter, typically increase, the nuclease resistance of an oligonucleotide. In some embodiments of the invention, internucleoside bonds having a chiral atom can be obtained as a racemic mixture or as individual enantiomers. Illustrative chiral bonds include, but are not limited to, alkyl phosphonates and thiophosphates. Methods for making phosphorus-containing and phosphorus-free internucleoside bonds are well known to those skilled in the art.

Олигонуклеотиды, описанные в настоящем документе, содержат один или более асимметричных центров и, следовательно, могут образовывать энантиомеры, диастереомеры и другие стереоизомерные конфигурации, которые в соответствии с абсолютной стереохимией могут быть определены как (R) или (S), или, как для аномеров сахара, или как (D) или (L), как для аминокислот и т.д. В антисмысловые соединения, представленные в настоящем документе, включены все такие возможные изомеры, а также их рацемические и оптически чистые формы.The oligonucleotides described herein contain one or more asymmetric centers and, therefore, can form enantiomers, diastereomers, and other stereoisomeric configurations, which, according to absolute stereochemistry, can be defined as (R) or (S), or, as for anomers sugar, or as (D) or (L), as for amino acids, etc. Antisense compounds provided herein include all such possible isomers, as well as their racemic and optically pure forms.

Нейтральные связывающие линкеры включают, без ограничения, фосфотриэфиры, метилфосфонаты, MMI (3'-CH2-N(CH3)-O-5'), амид-3 (3'-CH2-C(=O)-N(H)-5'), амид-4 (3'-CH2-N(H)-C(=O)-5'), формацеталь (3'-O-СН2-O-5') и тиоформацеталь (3'-S-CH2-O-5'). Дополнительные нейтральные межнуклеозидные связи включают неионные связи, содержащие силокасан (диалкилсилоксан), карбоновый сложный эфир, карбоксамид, сульфид, сульфоновый сложный эфир и амиды (см., например: Carbohydrate Modifications in Antisense Research; Y.S. Sanghvi и P.D. Cook, ред., ACS Symposium Series 580; главы 3 и 4, 40-65). Дополнительные нейтральные межнуклеозидные связи включают неионные связи, содержащие смешанные составные части N, О, S и СН2.Neutral binding linkers include, without limitation, phosphotriesters, methylphosphonates, MMI (3'-CH2 -N(CH3 )-O-5'), amide-3 (3'-CH2 -C(=O)-N( H)-5'), amide-4 (3'-CH2 -N(H)-C(=O)-5'), formaacetal (3'-O-CH2 -O-5') and thioformacetal ( 3'-S-CH2 -O-5'). Additional neutral internucleoside bonds include non-ionic bonds containing siloxane (dialkylsiloxane), carboxylic ester, carboxamide, sulfide, sulfonic ester, and amides (see, for example: Carbohydrate Modifications in Antisense Research; YS Sanghvi and PD Cook, eds., ACS Symposium Series 580; chapters 3 and 4, 40-65). Additional neutral internucleoside bonds include non-ionic bonds containing mixed constituents of N, O, S and CH2 .

4. Некоторые мотивы4. Some motives

В некоторых вариантах реализации изобретения антисмысловые олигонуклеотиды содержат один или более модифицированных нуклеозидов (например, нуклеозид, содержащий модифицированный сахар и/или модифицированное азотистое основание) и/или один или более модифицированных межнуклеозидных связей. Характерный участок таких модификаций в олигонуклеотиде упоминается в настоящем документе как мотив. В некоторых вариантах реализации изобретения мотивы сахара, азотистые основания и линкера не зависят друг от друга.In some embodiments, the antisense oligonucleotides contain one or more modified nucleosides (eg, a nucleoside containing a modified sugar and/or a modified nitrogenous base) and/or one or more modified internucleoside linkages. A characteristic site of such modifications in an oligonucleotide is referred to herein as a motif. In some embodiments, the sugar, nitrogenous base, and linker motifs are independent of each other.

а. Некоторые сахарные мотивыa. Some sugar motifs

В некоторых вариантах реализации изобретения олигонуклеотиды содержат один или более типов модифицированных сахарных фрагментов и/или природных сахарных фрагментов, расположенных вдоль олигонуклеотида или его области определенным образом или в виде мотива сахарной модификации. Такие мотивы могут содержать любые сахарные модификации, рассмотренные в настоящем документе и/или другие известные модификации сахара.In some embodiments of the invention, the oligonucleotides contain one or more types of modified sugar fragments and/or natural sugar fragments, located along the oligonucleotide or its region in a certain way or in the form of a sugar modification motif. Such motifs may include any of the sugar modifications discussed herein and/or other known sugar modifications.

В некоторых вариантах реализации изобретения олигонуклеотиды содержат или состоят из области, имеющей сахарный мотив гэпмера, который содержит две внешних области или «крыла» и центральную или внутреннюю область, или «гэп». Эти три области сахарного мотива гэпмера (5'-крыло, гэп и 3'-крыло) образуют непрерывную последовательность азотистых оснований, в которой по меньшей мере некоторые из сахарных фрагментов нуклеозидов в каждом крыле отличаются по меньшей мере от некоторых сахарных фрагментов нуклеозидов в гэпе. В частности, по меньшей мере те сахарные фрагменты нуклеозидов каждого крыла, которые расположены ближе всего к гэпу (3'-ближайший нуклеозид 5'-крыла и 5'-ближайший нуклеозид 3'-крыла), отличаются от сахарного фрагмента соседних нуклеозидов в гэпе, определяя таким образом границу между крыльями и гэпом. В некоторых вариантах реализации изобретения сахарные фрагменты в гэпе являются одинаковыми между собой. В некоторых вариантах реализации изобретения гэп содержит один или более нуклеозидов, имеющих сахарный фрагмент, который отличается от сахарного фрагмента одного или более других нуклеозидов в гэпе. В некоторых вариантах реализации изобретения сахарные мотивы двух крыльев являются одинаковыми между собой (симметричный сахарный гэпмер). В некоторых вариантах реализации изобретения сахарные мотивы 3'-крыла отличаются от сахарного мотива 3'-крыла (асимметричный сахарный гэпмер).In some embodiments, the oligonucleotides comprise or consist of a region having a gapmer sugar motif that contains two outer regions or "wings" and a central or inner region or "gap". These three gapmer sugar motif regions (5'-wing, gap, and 3'-wing) form a contiguous sequence of nitrogenous bases in which at least some of the nucleoside sugar moieties in each wing differ from at least some of the nucleoside sugar moieties in the gap. In particular, at least those sugar moieties of the nucleosides of each wing that are closest to the gap (3'-nearest nucleoside of the 5'-wing and 5'-nearest nucleoside of the 3'-wing) differ from the sugar moiety of adjacent nucleosides in the gap, thus defining the boundary between the wings and the gap. In some embodiments of the invention, the sugar fragments in the gap are the same among themselves. In some embodiments, the gap contains one or more nucleosides having a sugar moiety that is different from the sugar moiety of one or more other nucleosides in the gap. In some embodiments, the sugar motifs of the two wings are the same (symmetrical sugar gapmer). In some embodiments, the 3'-wing sugar motifs are different from the 3'-wing sugar motif (asymmetric sugar gapmer).

i. Некоторые 5'-крыльяi. Some 5'-wings

В некоторых вариантах реализации изобретения 5'-крыло гэпмера состоит из 1-8 связанных нуклеозидов. В некоторых вариантах реализации изобретения 5'-крыло гэпмера состоит из 1-7 связанных нуклеозидов. В некоторых вариантах реализации изобретения 5'-крыло гэпмера состоит из 1-6 связанных нуклеозидов. В некоторых вариантах реализации изобретения 5'-крыло гэпмера состоит из 1-5 связанных нуклеозидов. В некоторых вариантах реализации изобретения 5'-крыло гэпмера состоит из 2-5 связанных нуклеозидов. В некоторых вариантах реализации изобретения 5'-крыло гэпмера состоит из 3-5 связанных нуклеозидов. В некоторых вариантах реализации изобретения 5'-крыло гэпмера состоит из 4 или 5 связанных нуклеозидов. В некоторых вариантах реализации изобретения 5'-крыло гэпмера состоит из 1-4 связанных нуклеозидов. В некоторых вариантах реализации изобретения 5'-крыло гэпмера состоит из 1-3 связанных нуклеозидов. В некоторых вариантах реализации изобретения 5'-крыло гэпмера состоит из 1 или 2 связанных нуклеозидов. В некоторых вариантах реализации изобретения 5'-крыло гэпмера состоит из 2-4 связанных нуклеозидов. В некоторых вариантах реализации изобретения 5'-крыло гэпмера состоит из 2 или 3 связанных нуклеозидов. В некоторых вариантах реализации изобретения 5'-крыло гэпмера состоит из 3 или 4 связанных нуклеозидов. В некоторых вариантах реализации изобретения 5'-крыло гэпмера состоит из 1 нуклеозида. В некоторых вариантах реализации изобретения 5'-крыло гэпмера состоит из 2 связанных нуклеозидов. В некоторых вариантах реализации изобретения 5'-крыло гэпмера состоит из 3 связанных нуклеозидов. В некоторых вариантах реализации изобретения 5'-крыло гэпмера состоит из 4 связанных нуклеозидов. В некоторых вариантах реализации изобретения 5'-крыло гэпмера состоит из 5 связанных нуклеозидов. В некоторых вариантах реализации изобретения 5'-крыло гэпмера состоит из 6 связанных нуклеозидов.In some embodiments, the 5'-wing of the gapmer consists of 1-8 linked nucleosides. In some embodiments, the 5'-wing of the gapmer consists of 1-7 linked nucleosides. In some embodiments, the 5'-wing of the gapmer consists of 1-6 linked nucleosides. In some embodiments, the 5'-wing of the gapmer consists of 1-5 linked nucleosides. In some embodiments, the 5'-wing of the gapmer consists of 2-5 linked nucleosides. In some embodiments, the 5'-wing of the gapmer consists of 3-5 linked nucleosides. In some embodiments, the 5'-wing of the gapmer consists of 4 or 5 linked nucleosides. In some embodiments, the 5'-wing of the gapmer consists of 1-4 linked nucleosides. In some embodiments, the 5'-wing of the gapmer consists of 1-3 linked nucleosides. In some embodiments, the 5'-wing of the gapmer consists of 1 or 2 linked nucleosides. In some embodiments, the 5'-wing of the gapmer consists of 2-4 linked nucleosides. In some embodiments, the 5'-wing of the gapmer consists of 2 or 3 linked nucleosides. In some embodiments, the 5'-wing of the gapmer consists of 3 or 4 linked nucleosides. In some embodiments, the 5'-wing of the gapmer consists of 1 nucleoside. In some embodiments, the 5'-wing of the gapmer consists of 2 linked nucleosides. In some embodiments, the 5'-wing of the gapmer consists of 3 linked nucleosides. In some embodiments, the 5'-wing of the gapmer consists of 4 linked nucleosides. In some embodiments, the 5'-wing of the gapmer consists of 5 linked nucleosides. In some embodiments, the 5'-wing of the gapmer consists of 6 linked nucleosides.

В некоторых вариантах реализации изобретения 5'-крыло гэпмера содержит по меньшей мере один бициклический нуклеозид. В некоторых вариантах реализации изобретения 5'-крыло гэпмера содержит по меньшей мере два бициклических нуклеозида. В некоторых вариантах реализации изобретения 5'-крыло гэпмера содержит по меньшей мере три бициклических нуклеозида. В некоторых вариантах реализации изобретения 5'-крыло гэпмера содержит по меньшей мере четыре бициклических нуклеозида. В некоторых вариантах реализации изобретения 5'-крыло гэпмера содержит по меньшей мере один стерически затрудненный этил-нуклеозид. В некоторых вариантах реализации изобретения 5'-крыло гэпмера содержит по меньшей мере один LNA нуклеозид. В некоторых вариантах реализации изобретения каждый нуклеозид 5'-крыла гэпмера представляет собой бициклический нуклеозид. В некоторых вариантах реализации изобретения каждый нуклеозид 5'-крыла гэпмера представляет собой стерически затрудненный этил-нуклеозид. В некоторых вариантах реализации изобретения каждый нуклеозид 5'-крыла гэпмера представляет собой LNA нуклеозид.In some embodiments, the 5'-wing of the gapmer contains at least one bicyclic nucleoside. In some embodiments, the 5'-wing of the gapmer contains at least two bicyclic nucleosides. In some embodiments, the 5'-wing of the gapmer contains at least three bicyclic nucleosides. In some embodiments, the 5'-wing of the gapmer contains at least four bicyclic nucleosides. In some embodiments, the 5'-wing of the gapmer contains at least one hindered ethyl nucleoside. In some embodiments, the 5'-wing of the gapmer contains at least one LNA nucleoside. In some embodiments, each gapmer 5'-wing nucleoside is a bicyclic nucleoside. In some embodiments, each 5'-wing nucleoside of the gapmer is a hindered ethyl nucleoside. In some embodiments, each gapmer 5'-wing nucleoside is an LNA nucleoside.

В некоторых вариантах реализации изобретения 5'-крыло гэпмера содержит по меньшей мере один не бициклический модифицированный нуклеозид. В некоторых вариантах реализации изобретения 5'-крыло гэпмера содержит по меньшей мере один 2'-замещенный нуклеозид. В некоторых вариантах реализации изобретения 5'-крыло гэпмера содержит по меньшей мере один 2'-МОЕ нуклеозид. В некоторых вариантах реализации изобретения 5'-крыло гэпмера содержит по меньшей мере один 2'-ОМе нуклеозид. В некоторых вариантах реализации изобретения каждый нуклеозид 5'-крыла гэпмера представляет собой не бициклический модифицированный нуклеозид. В некоторых вариантах реализации изобретения каждый нуклеозид 5'-крыла гэпмера представляет собой 2'-замещенный нуклеозид. В некоторых вариантах реализации изобретения каждый нуклеозид 5'-крыла гэпмера представляет собой 2'-МОЕ нуклеозид. В некоторых вариантах реализации изобретения каждый нуклеозид 5'-крыла гэпмера представляет собой 2'-ОМе нуклеозид.In some embodiments, the 5'-wing of the gapmer contains at least one non-bicyclic modified nucleoside. In some embodiments, the 5'-wing of the gapmer contains at least one 2'-substituted nucleoside. In some embodiments, the 5'-wing of the gapmer contains at least one 2'-MOE nucleoside. In some embodiments, the 5'-wing of the gapmer contains at least one 2'-OMe nucleoside. In some embodiments, each gapmer 5'-wing nucleoside is a non-bicyclic modified nucleoside. In some embodiments, each gapmer 5'-wing nucleoside is a 2'-substituted nucleoside. In some embodiments, each gapmer 5'-wing nucleoside is a 2'-MOE nucleoside. In some embodiments, each gapmer 5'-wing nucleoside is a 2'-OMe nucleoside.

В некоторых вариантах реализации изобретения 5'-крыло гэпмера содержит по меньшей мере один 2'-дезоксинуклеозид. В некоторых вариантах реализации изобретения каждый нуклеозид 5'-крыла гэпмера представляет собой 2'-дезоксинуклеозид. В некоторых вариантах реализации изобретения 5'-крыло гэпмера содержит по меньшей мере один рибонуклеозид. В некоторых вариантах реализации изобретения каждый нуклеозид 5'-крыла гэпмера представляет собой рибонуклеозид. В некоторых вариантах реализации изобретения один, более одного или каждый из нуклеозидов 5'-крыла представляет собой РНК-подобный нуклеозид.In some embodiments, the 5'-wing of the gapmer contains at least one 2'-deoxynucleoside. In some embodiments, each gapmer 5'-wing nucleoside is a 2'-deoxynucleoside. In some embodiments, the 5'-wing of the gapmer contains at least one ribonucleoside. In some embodiments of the invention, each nucleoside of the 5'-wing of the gapmer is a ribonucleoside. In some embodiments, one, more than one, or each of the 5'-wing nucleosides is an RNA-like nucleoside.

В некоторых вариантах реализации изобретения 5'-крыло гэпмера содержит по меньшей мере один бициклический нуклеозид и по меньшей мере один не бициклический модифицированный нуклеозид. В некоторых вариантах реализации изобретения 5'-крыло гэпмера содержит по меньшей мере один бициклический нуклеозид и по меньшей мере один 2'-замещенный нуклеозид. В некоторых вариантах реализации изобретения 5'-крыло гэпмера содержит по меньшей мере один бициклический нуклеозид и по меньшей мере один 2'-МОЕ нуклеозид. В некоторых вариантах реализации изобретения 5'-крыло гэпмера содержит по меньшей мере один бициклический нуклеозид и по меньшей мере один 2'-ОМе нуклеозид. В некоторых вариантах реализации изобретения 5'-крыло гэпмера содержит по меньшей мере один бициклический нуклеозид и по меньшей мере один 2'-дезоксинуклеозид.In some embodiments, the 5'-wing of the gapmer contains at least one bicyclic nucleoside and at least one non-bicyclic modified nucleoside. In some embodiments, the 5'-wing of the gapmer contains at least one bicyclic nucleoside and at least one 2'-substituted nucleoside. In some embodiments, the 5'-wing of the gapmer contains at least one bicyclic nucleoside and at least one 2'-MOE nucleoside. In some embodiments, the 5'-wing of the gapmer contains at least one bicyclic nucleoside and at least one 2'-OMe nucleoside. In some embodiments, the 5'-wing of the gapmer contains at least one bicyclic nucleoside and at least one 2'-deoxynucleoside.

В некоторых вариантах реализации изобретения 5'-крыло гэпмера содержит по меньшей мере один стерически затрудненный этил-нуклеозид и по меньшей мере один не бициклический модифицированный нуклеозид. В некоторых вариантах реализации изобретения 5'-крыло гэпмера содержит по меньшей мере один стерически затрудненный этил-нуклеозид и по меньшей мере один 2'-замещенный нуклеозид. В некоторых вариантах реализации изобретения 5'-крыло гэпмера содержит по меньшей мере один стерически затрудненный этил-нуклеозид и по меньшей мере один 2'-МОЕ нуклеозид. В некоторых вариантах реализации изобретения 5'-крыло гэпмера содержит по меньшей мере один стерически затрудненный этил-нуклеозид и по меньшей мере один 2'-ОМе нуклеозид. В некоторых вариантах реализации изобретения 5'-крыло гэпмера содержит по меньшей мере один стерически затрудненный этил-нуклеозид и по меньшей мере один 2'-дезоксинуклеозид.In some embodiments, the 5'-wing of the gapmer contains at least one hindered ethyl nucleoside and at least one non-bicyclic modified nucleoside. In some embodiments, the 5'-wing of the gapmer contains at least one hindered ethyl nucleoside and at least one 2'-substituted nucleoside. In some embodiments, the 5'-wing of the gapmer contains at least one hindered ethyl nucleoside and at least one 2'-MOE nucleoside. In some embodiments, the 5'-wing of the gapmer contains at least one hindered ethyl nucleoside and at least one 2'-OMe nucleoside. In some embodiments, the 5'-wing of the gapmer contains at least one hindered ethyl nucleoside and at least one 2'-deoxynucleoside.

ii. Некоторые 3'-крыльяii. Some 3'-wings

В некоторых вариантах реализации изобретения 3'-крыло гэпмера состоит из 1-8 связанных нуклеозидов. В некоторых вариантах реализации изобретения 3'-крыло гэпмера состоит из 1-7 связанных нуклеозидов. В некоторых вариантах реализации изобретения 3'-крыло гэпмера состоит из 1-6 связанных нуклеозидов. В некоторых вариантах реализации изобретения 3'-крыло гэпмера состоит из 1-5 связанных нуклеозидов. В некоторых вариантах реализации изобретения 3'-крыло гэпмера состоит из 2-5 связанных нуклеозидов. В некоторых вариантах реализации изобретения 3'-крыло гэпмера состоит из 3-5 связанных нуклеозидов. В некоторых вариантах реализации изобретения 3'-крыло гэпмера состоит из 4 или 5 связанных нуклеозидов. В некоторых вариантах реализации изобретения 3'-крыло гэпмера состоит из 1-4 связанных нуклеозидов. В некоторых вариантах реализации изобретения 3'-крыло гэпмера состоит из 1-3 связанных нуклеозидов. В некоторых вариантах реализации изобретения 3'-крыло гэпмера состоит из 1 или 2 связанных нуклеозидов. В некоторых вариантах реализации изобретения 3'-крыло гэпмера состоит из 2-4 связанных нуклеозидов. В некоторых вариантах реализации изобретения 3'-крыло гэпмера состоит из 2 или 3 связанных нуклеозидов. В некоторых вариантах реализации изобретения 3'-крыло гэпмера состоит из 3 или 4 связанных нуклеозидов. В некоторых вариантах реализации изобретения 3'-крыло гэпмера состоит из 1 нуклеозида. В некоторых вариантах реализации изобретения 3'-крыло гэпмера состоит из 2 связанных нуклеозидов. В некоторых вариантах реализации изобретения 3'-крыло гэпмера состоит из 3 связанных нуклеозидов. В некоторых вариантах реализации изобретения 3'-крыло гэпмера состоит из 4 связанных нуклеозидов. В некоторых вариантах реализации изобретения 3'-крыло гэпмера состоит из 5 связанных нуклеозидов. В некоторых вариантах реализации изобретения 3'-крыло гэпмера состоит из 6 связанных нуклеозидов.In some embodiments, the 3'-wing of the gapmer consists of 1-8 linked nucleosides. In some embodiments, the 3'-wing of the gapmer consists of 1-7 linked nucleosides. In some embodiments, the 3'-wing of the gapmer consists of 1-6 linked nucleosides. In some embodiments, the 3'-wing of the gapmer consists of 1-5 linked nucleosides. In some embodiments, the 3'-wing of the gapmer consists of 2-5 linked nucleosides. In some embodiments, the 3'-wing of the gapmer consists of 3-5 linked nucleosides. In some embodiments, the 3'-wing of the gapmer consists of 4 or 5 linked nucleosides. In some embodiments, the 3'-wing of the gapmer consists of 1-4 linked nucleosides. In some embodiments, the 3'-wing of the gapmer consists of 1-3 linked nucleosides. In some embodiments, the 3'-wing of the gapmer consists of 1 or 2 linked nucleosides. In some embodiments, the 3'-wing of the gapmer consists of 2-4 linked nucleosides. In some embodiments, the 3'-wing of the gapmer consists of 2 or 3 linked nucleosides. In some embodiments, the 3'-wing of the gapmer consists of 3 or 4 linked nucleosides. In some embodiments, the 3'-wing of the gapmer consists of 1 nucleoside. In some embodiments, the 3'-wing of the gapmer consists of 2 linked nucleosides. In some embodiments, the 3'-wing of the gapmer consists of 3 linked nucleosides. In some embodiments, the 3'-wing of the gapmer consists of 4 linked nucleosides. In some embodiments, the 3'-wing of the gapmer consists of 5 linked nucleosides. In some embodiments, the 3'-wing of the gapmer consists of 6 linked nucleosides.

В некоторых вариантах реализации изобретения 3'-крыло гэпмера содержит по меньшей мере один бициклический нуклеозид. В некоторых вариантах реализации изобретения 3'-крыло гэпмера содержит по меньшей мере один стерически затрудненный этил-нуклеозид. В некоторых вариантах реализации изобретения 3'-крыло гэпмера содержит по меньшей мере один LNA нуклеозид. В некоторых вариантах реализации изобретения каждый нуклеозид 3'-крыла гэпмера представляет собой бициклический нуклеозид. В некоторых вариантах реализации изобретения каждый нуклеозид 3'-крыла гэпмера представляет собой стерически затрудненный этил-нуклеозид. В некоторых вариантах реализации изобретения каждый нуклеозид 3'-крыла гэпмера представляет собой LNA нуклеозид.In some embodiments, the 3'-wing of the gapmer contains at least one bicyclic nucleoside. In some embodiments, the 3'-wing of the gapmer contains at least one hindered ethyl nucleoside. In some embodiments, the 3'-wing of the gapmer contains at least one LNA nucleoside. In some embodiments, each gapmer 3'-wing nucleoside is a bicyclic nucleoside. In some embodiments of the invention, each nucleoside of the 3'-wing of the gapmer is a hindered ethyl nucleoside. In some embodiments, each gapmer 3'-wing nucleoside is an LNA nucleoside.

В некоторых вариантах реализации изобретения 3'-крыло гэпмера содержит по меньшей мере один не бициклический модифицированный нуклеозид. В некоторых вариантах реализации изобретения 3'-крыло гэпмера содержит по меньшей мере два не бициклических модифицированных нуклеозида. В некоторых вариантах реализации изобретения 3'-крыло гэпмера содержит по меньшей мере три не бициклических модифицированных нуклеозида. В некоторых вариантах реализации изобретения 3'-крыло гэпмера содержит по меньшей мере четыре не бициклических модифицированных нуклеозида. В некоторых вариантах реализации изобретения 3'-крыло гэпмера содержит по меньшей мере один 2'-замещенный нуклеозид. В некоторых вариантах реализации изобретения 3'-крыло гэпмера содержит по меньшей мере один 2'-МОЕ нуклеозид. В некоторых вариантах реализации изобретения З'-крыло гэпмера содержит по меньшей мере один 2'-ОМе нуклеозид. В некоторых вариантах реализации изобретения каждый нуклеозид З'-крыла гэпмера представляет собой не бициклический модифицированный нуклеозид. В некоторых вариантах реализации изобретения каждый нуклеозид 3'-крыла гэпмера представляет собой 2'-замещенный нуклеозид. В некоторых вариантах реализации изобретения каждый нуклеозид 3'-крыла гэпмера представляет собой 2'-МОЕ нуклеозид. В некоторых вариантах реализации изобретения каждый нуклеозид 3'-крыла гэпмера представляет собой 2'-ОМе нуклеозид.In some embodiments, the 3'-wing of the gapmer contains at least one non-bicyclic modified nucleoside. In some embodiments, the 3'-wing of the gapmer contains at least two non-bicyclic modified nucleosides. In some embodiments, the 3'-wing of the gapmer contains at least three non-bicyclic modified nucleosides. In some embodiments, the 3'-wing of the gapmer contains at least four non-bicyclic modified nucleosides. In some embodiments, the 3'-wing of the gapmer contains at least one 2'-substituted nucleoside. In some embodiments, the 3'-wing of the gapmer contains at least one 2'-MOE nucleoside. In some embodiments, the 3'-wing of the gapmer contains at least one 2'-OMe nucleoside. In some embodiments, each gapmer 3'-wing nucleoside is a non-bicyclic modified nucleoside. In some embodiments, each gapmer 3'-wing nucleoside is a 2'-substituted nucleoside. In some embodiments, each gapmer 3'-wing nucleoside is a 2'-MOE nucleoside. In some embodiments, each gapmer 3'-wing nucleoside is a 2'-OMe nucleoside.

В некоторых вариантах реализации изобретения 3'-крыло гэпмера содержит по меньшей мере один 2'-дезоксинуклеозид. В некоторых вариантах реализации изобретения каждый нуклеозид 3'-крыла гэпмера представляет собой 2'-дезоксинуклеозид. В некоторых вариантах реализации изобретения 3'-крыло гэпмера содержит по меньшей мере один рибонуклеозид. В некоторых вариантах реализации изобретения каждый нуклеозид 3'-крыла гэпмера представляет собой рибонуклеозид. В некоторых вариантах реализации изобретения один, более одного или каждый из нуклеозидов 5'-крыла представляет собой РНК-подобный нуклеозид.In some embodiments, the 3'-wing of the gapmer contains at least one 2'-deoxynucleoside. In some embodiments, each gapmer 3'-wing nucleoside is a 2'-deoxynucleoside. In some embodiments, the 3'-wing of the gapmer contains at least one ribonucleoside. In some embodiments of the invention, each nucleoside of the 3'-wing of the gapmer is a ribonucleoside. In some embodiments, one, more than one, or each of the 5'-wing nucleosides is an RNA-like nucleoside.

В некоторых вариантах реализации изобретения 3'-крыло гэпмера содержит по меньшей мере один бициклический нуклеозид и по меньшей мере один не бициклический модифицированный нуклеозид. В некоторых вариантах реализации изобретения 3'-крыло гэпмера содержит по меньшей мере один бициклический нуклеозид и по меньшей мере один 2'-замещенный нуклеозид. В некоторых вариантах реализации изобретения 3'-крыло гэпмера содержит по меньшей мере один бициклический нуклеозид и по меньшей мере один 2'-МОЕ нуклеозид. В некоторых вариантах реализации изобретения 3'-крыло гэпмера содержит по меньшей мере один бициклический нуклеозид и по меньшей мере один 2'-ОМе нуклеозид. В некоторых вариантах реализации изобретения 3'-крыло гэпмера содержит по меньшей мере один бициклический нуклеозид и по меньшей мере один 2'-дезоксинуклеозид.In some embodiments, the 3'-wing of the gapmer contains at least one bicyclic nucleoside and at least one non-bicyclic modified nucleoside. In some embodiments, the 3'-wing of the gapmer contains at least one bicyclic nucleoside and at least one 2'-substituted nucleoside. In some embodiments, the 3'-wing of the gapmer contains at least one bicyclic nucleoside and at least one 2'-MOE nucleoside. In some embodiments, the 3'-wing of the gapmer contains at least one bicyclic nucleoside and at least one 2'-OMe nucleoside. In some embodiments, the 3'-wing of the gapmer contains at least one bicyclic nucleoside and at least one 2'-deoxynucleoside.

В некоторых вариантах реализации изобретения 3'-крыло гэпмера содержит по меньшей мере один стерически затрудненный этил-нуклеозид и по меньшей мере один не бициклический модифицированный нуклеозид. В некоторых вариантах реализации изобретения 3'-крыло гэпмера содержит по меньшей мере один стерически затрудненный этил-нуклеозид и по меньшей мере один 2'-замещенный нуклеозид. В некоторых вариантах реализации изобретения 3'-крыло гэпмера содержит по меньшей мере один стерически затрудненный этил-нуклеозид и по меньшей мере один 2'-МОЕ нуклеозид. В некоторых вариантах реализации изобретения 3'-крыло гэпмера содержит по меньшей мере один стерически затрудненный этил-нуклеозид и по меньшей мере один 2'-ОМе нуклеозид. В некоторых вариантах реализации изобретения 3'-крыло гэпмера содержит по меньшей мере один стерически затрудненный этил-нуклеозид и по меньшей мере один 2'-дезоксинуклеозид.In some embodiments, the 3'-wing of the gapmer contains at least one hindered ethyl nucleoside and at least one non-bicyclic modified nucleoside. In some embodiments, the 3'-wing of the gapmer contains at least one hindered ethyl nucleoside and at least one 2'-substituted nucleoside. In some embodiments, the 3'-wing of the gapmer contains at least one hindered ethyl nucleoside and at least one 2'-MOE nucleoside. In some embodiments, the 3'-wing of the gapmer contains at least one hindered ethyl nucleoside and at least one 2'-OMe nucleoside. In some embodiments, the 3'-wing of the gapmer contains at least one hindered ethyl nucleoside and at least one 2'-deoxynucleoside.

В некоторых вариантах реализации изобретения 3'-крыло гэпмера содержит по меньшей мере один LNA нуклеозид и по меньшей мере один не бициклический модифицированный нуклеозид. В некоторых вариантах реализации изобретения 3'-крыло гэпмера содержит по меньшей мере один LNA нуклеозид и по меньшей мере один 2'-замещенный нуклеозид. В некоторых вариантах реализации изобретения 3'-крыло гэпмера содержит по меньшей мере один LNA нуклеозид и по меньшей мере один 2'-МОЕ нуклеозид. В некоторых вариантах реализации изобретения 3'-крыло гэпмера содержит по меньшей мере один LNA нуклеозид и по меньшей мере один 2'-ОМе нуклеозид. В некоторых вариантах реализации изобретения 3'-крыло гэпмера содержит по меньшей мере один LNA нуклеозид и по меньшей мере один 2'-дезоксинуклеозид.In some embodiments, the 3'-wing of the gapmer contains at least one LNA nucleoside and at least one non-bicyclic modified nucleoside. In some embodiments, the 3'-wing of the gapmer contains at least one LNA nucleoside and at least one 2'-substituted nucleoside. In some embodiments, the 3'-wing of the gapmer contains at least one LNA nucleoside and at least one 2'-MOE nucleoside. In some embodiments, the 3'-wing of the gapmer contains at least one LNA nucleoside and at least one 2'-OMe nucleoside. In some embodiments, the 3'-wing of the gapmer contains at least one LNA nucleoside and at least one 2'-deoxynucleoside.

В некоторых вариантах реализации изобретения 3'-крыло гэпмера содержит по меньшей мере один бициклический нуклеозид, по меньшей мере один не бициклический модифицированный нуклеозид и по меньшей мере один 2'-дезоксинуклеозид. В некоторых вариантах реализации изобретения 3'-крыло гэпмера содержит по меньшей мере один стерически затрудненный этил-нуклеозид, по меньшей мере один не бициклический модифицированный нуклеозид и по меньшей мере один 2'-дезоксинуклеозид. В некоторых вариантах реализации изобретения 3'-крыло гэпмера содержит по меньшей мере один LNA нуклеозид, по меньшей мере один не бициклический модифицированный нуклеозид и по меньшей мере один 2'-дезоксинуклеозид.In some embodiments, the 3'-wing of the gapmer contains at least one bicyclic nucleoside, at least one non-bicyclic modified nucleoside, and at least one 2'-deoxynucleoside. In some embodiments, the 3'-wing of the gapmer contains at least one hindered ethyl nucleoside, at least one non-bicyclic modified nucleoside, and at least one 2'-deoxynucleoside. In some embodiments, the 3'-wing of the gapmer contains at least one LNA nucleoside, at least one non-bicyclic modified nucleoside, and at least one 2'-deoxynucleoside.

В некоторых вариантах реализации изобретения 3'-крыло гэпмера содержит по меньшей мере один бициклический нуклеозид, по меньшей мере один 2'-замещенный нуклеозид и по меньшей мере один 2'-дезоксинуклеозид. В некоторых вариантах реализации изобретения 3'-крыло гэпмера содержит по меньшей мере один стерически затрудненный этил-нуклеозид, по меньшей мере один 2'-замещенный нуклеозид и по меньшей мере один 2'-дезоксинуклеозид. В некоторых вариантах реализации изобретения 3'-крыло гэпмера содержит по меньшей мере один LNA нуклеозид, по меньшей мере один 2'-замещенный нуклеозид и по меньшей мере один 2'-дезоксинуклеозид.In some embodiments, the 3'-wing of the gapmer contains at least one bicyclic nucleoside, at least one 2'-substituted nucleoside, and at least one 2'-deoxynucleoside. In some embodiments, the 3'-wing of the gapmer contains at least one hindered ethyl nucleoside, at least one 2'-substituted nucleoside, and at least one 2'-deoxynucleoside. In some embodiments, the 3'-wing of the gapmer contains at least one LNA nucleoside, at least one 2'-substituted nucleoside, and at least one 2'-deoxynucleoside.

В некоторых вариантах реализации изобретения 3'-крыло гэпмера содержит по меньшей мере один бициклический нуклеозид, по меньшей мере один 2'-МОЕ нуклеозид и по меньшей мере один 2'-дезоксинуклеозид. В некоторых вариантах реализации изобретения 3'-крыло гэпмера содержит по меньшей мере один стерически затрудненный этил-нуклеозид, по меньшей мере один 2'-МОЕ нуклеозид и по меньшей мере один 2'-дезоксинуклеозид. В некоторых вариантах реализации изобретения 3'-крыло гэпмера содержит по меньшей мере один LNA нуклеозид, по меньшей мере один 2'-МОЕ нуклеозид и по меньшей мере один 2'-дезоксинуклеозид.In some embodiments, the 3'-wing of the gapmer contains at least one bicyclic nucleoside, at least one 2'-MOE nucleoside, and at least one 2'-deoxynucleoside. In some embodiments, the 3'-wing of the gapmer contains at least one hindered ethyl nucleoside, at least one 2'-MOE nucleoside, and at least one 2'-deoxynucleoside. In some embodiments, the 3'-wing of the gapmer contains at least one LNA nucleoside, at least one 2'-MOE nucleoside, and at least one 2'-deoxynucleoside.

В некоторых вариантах реализации изобретения 3'-крыло гэпмера содержит по меньшей мере один бициклический нуклеозид, по меньшей мере один 2'-ОМе нуклеозид и по меньшей мере один 2'-дезоксинуклеозид. В некоторых вариантах реализации изобретения 3'-крыло гэпмера содержит по меньшей мере один стерически затрудненный этил-нуклеозид, по меньшей мере один 2'-ОМе нуклеозид и по меньшей мере один 2'-дезоксинуклеозид. В некоторых вариантах реализации изобретения 3'-крыло гэпмера содержит по меньшей мере один LNA нуклеозид, по меньшей мере один 2'-ОМе нуклеозид и по меньшей мере один 2'-дезоксинуклеозид.In some embodiments, the 3'-wing of the gapmer contains at least one bicyclic nucleoside, at least one 2'-OMe nucleoside, and at least one 2'-deoxynucleoside. In some embodiments, the 3'-wing of the gapmer contains at least one hindered ethyl nucleoside, at least one 2'-OMe nucleoside, and at least one 2'-deoxynucleoside. In some embodiments, the 3'-wing of the gapmer contains at least one LNA nucleoside, at least one 2'-OMe nucleoside, and at least one 2'-deoxynucleoside.

iii. Некоторые центральные области (гэпы)iii. Some central regions (gaps)

В некоторых вариантах реализации изобретения гэп гэпмера состоит из 6-20 связанных нуклеозидов. В некоторых вариантах реализации изобретения гэп гэпмера состоит из 6-15 связанных нуклеозидов. В некоторых вариантах реализации изобретения гэп гэпмера состоит из 6-12 связанных нуклеозидов. В некоторых вариантах реализации изобретения гэп гэпмера состоит из 6-10 связанных нуклеозидов. В некоторых вариантах реализации изобретения гэп гэпмера состоит из 6-9 связанных нуклеозидов. В некоторых вариантах реализации изобретения гэп гэпмера состоит из 6-8 связанных нуклеозидов. В некоторых вариантах реализации изобретения гэп гэпмера состоит из 6 или 7 связанных нуклеозидов. В некоторых вариантах реализации изобретения гэп гэпмера состоит из 7-10 связанных нуклеозидов. В некоторых вариантах реализации изобретения гэп гэпмера состоит из 7-9 связанных нуклеозидов. В некоторых вариантах реализации изобретения гэп гэпмера состоит из 7 или 8 связанных нуклеозидов. В некоторых вариантах реализации изобретения гэп гэпмера состоит из 8-10 связанных нуклеозидов. В некоторых вариантах реализации изобретения гэп гэпмера состоит из 8 или 9 связанных нуклеозидов. В некоторых вариантах реализации изобретения гэп гэпмера состоит из 6 связанных нуклеозидов. В некоторых вариантах реализации изобретения гэп гэпмера состоит из 7 связанных нуклеозидов. В некоторых вариантах реализации изобретения гэп гэпмера состоит из 8 связанных нуклеозидов. В некоторых вариантах реализации изобретения гэп гэпмера состоит из 9 связанных нуклеозидов. В некоторых вариантах реализации изобретения гэп гэпмера состоит из 10 связанных нуклеозидов. В некоторых вариантах реализации изобретения гэп гэпмера состоит из 11 связанных нуклеозидов. В некоторых вариантах реализации изобретения гэп гэпмера состоит из 12 связанных нуклеозидов.In some embodiments, the gap gapmer consists of 6-20 linked nucleosides. In some embodiments, the gap gapmer consists of 6-15 linked nucleosides. In some embodiments, the gap gapmer consists of 6-12 linked nucleosides. In some embodiments, the gap gapmer consists of 6-10 linked nucleosides. In some embodiments, the gap gapmer consists of 6-9 linked nucleosides. In some embodiments, the gap gapmer consists of 6-8 linked nucleosides. In some embodiments, the gap gapmer consists of 6 or 7 linked nucleosides. In some embodiments, the gap gapmer consists of 7-10 linked nucleosides. In some embodiments, the gap gapmer consists of 7-9 linked nucleosides. In some embodiments, the gap gapmer consists of 7 or 8 linked nucleosides. In some embodiments, the gap gapmer consists of 8-10 linked nucleosides. In some embodiments, the gap gapmer consists of 8 or 9 linked nucleosides. In some embodiments, the gap gapmer consists of 6 linked nucleosides. In some embodiments, the gap gapmer consists of 7 linked nucleosides. In some embodiments, the gap gapmer consists of 8 linked nucleosides. In some embodiments, the gap gapmer consists of 9 linked nucleosides. In some embodiments, the gap gapmer consists of 10 linked nucleosides. In some embodiments, the gap gapmer consists of 11 linked nucleosides. In some embodiments, the gap gapmer consists of 12 linked nucleosides.

В некоторых вариантах реализации изобретения каждый нуклеозид гэпа гэпмера представляет собой 2'-дезоксинуклеозид. В некоторых вариантах реализации изобретения гэп содержит один или более модифицированных нуклеозидов. В некоторых вариантах реализации изобретения каждый нуклеозид гэпа гэпмера представляет собой 2'-дезоксинуклеозид или представляет собой модифицированный «ДНК-подобный» нуклеозид. В таких вариантах реализации изобретения «ДНК-подобный» означает, что нуклеозид имеет такие же характеристики, что и ДНК, то есть что дуплекс, содержащий гэпмер и молекулу РНК может активировать РНКазу Н. Например, было показано, что при некоторых условиях 2'-(ara)-F поддерживает активацию РНКазы Н и, следовательно, является ДНК-подобным. В некоторых вариантах реализации изобретения один или более нуклеозидов гэпа гэпмера не представляет собой 2'-дезоксинуклеозид и не является ДНК-подобным. В некоторых таких вариантах реализации изобретения гэпмер тем не менее поддерживает активацию РНКазы Н (например, за счет количества или положения не-ДНК нуклеозидов).In some embodiments, each nucleoside of the gap gapmer is a 2'-deoxynucleoside. In some embodiments, the gap contains one or more modified nucleosides. In some embodiments, each gap gapmer nucleoside is a 2'-deoxynucleoside or is a modified "DNA-like" nucleoside. In such embodiments, "DNA-like" means that the nucleoside has the same characteristics as DNA, i.e. that a duplex containing a gapmer and an RNA molecule can activate RNase H. For example, it has been shown that, under certain conditions, 2'- (ara)-F supports RNase H activation and is therefore DNA-like. In some embodiments, one or more gap gapmer nucleosides is not a 2'-deoxynucleoside and is not DNA-like. In some such embodiments, the gapmer nevertheless maintains RNase H activation (eg, through the number or position of non-DNA nucleosides).

В некоторых вариантах реализации изобретения гэпы содержат участок немодифицированного 2'-дезоксинуклеозида, прерванный одним или более модифицированными нуклеозидами, что приводит к образованию трех субрайонов (двух участков одного или более 2'-дезоксинуклеозидов и участка одного или более прерывающих модифицированных нуклеозидов). В некоторых вариантах реализации изобретения ни один участок немодифицированных 2'-дезоксинуклеозидов не длиннее 5, 6 или 7 нуклеозидов. В некоторых вариантах реализации изобретения такие короткие участки образуются за счет применения коротких гэп-областей. В некоторых вариантах реализации изобретения короткие участки образуются за счет прерывания более длинной области гэп.In some embodiments, the gaps contain a region of an unmodified 2'-deoxynucleoside interrupted by one or more modified nucleosides, resulting in three subregions (two regions of one or more 2'-deoxynucleosides and a region of one or more interrupting modified nucleosides). In some embodiments, no portion of the unmodified 2'-deoxynucleosides is longer than 5, 6, or 7 nucleosides. In some embodiments of the invention, such short sections are formed by using short gap regions. In some embodiments of the invention, short sections are formed by interrupting a longer gap region.

В некоторых вариантах реализации изобретения гэп содержит один или более модифицированных нуклеозидов. В некоторых вариантах реализации изобретения гэп содержит один или более модифицированных нуклеозидов, выбранных из cEt, FHNA, LNA и 2-тиотимидина. В некоторых вариантах реализации изобретения гэп содержит один модифицированный нуклеозид. В некоторых вариантах реализации изобретения гэп содержит 5'-замещенный сахарный фрагмент, выбранный из 5'-Ме и 5'-(R)-Me. В некоторых вариантах реализации изобретения гэп содержит два модифицированных нуклеозида. В некоторых вариантах реализации изобретения гэп содержит три модифицированных нуклеозида. В некоторых вариантах реализации изобретения гэп содержит четыре модифицированных нуклеозида. В некоторых вариантах реализации изобретения гэп содержит два или более модифицированных нуклеозидов, и каждый модифицированный нуклеозид является таким же. В некоторых вариантах реализации изобретения гэп содержит два или более модифицированных нуклеозидов, и каждый модифицированный нуклеозид является другим.In some embodiments, the gap contains one or more modified nucleosides. In some embodiments, the gap contains one or more modified nucleosides selected from cEt, FHNA, LNA, and 2-thiothymidine. In some embodiments, the gap contains a single modified nucleoside. In some embodiments, the gap contains a 5'-substituted sugar moiety selected from 5'-Me and 5'-(R)-Me. In some embodiments, the gap contains two modified nucleosides. In some embodiments, the gap contains three modified nucleosides. In some embodiments, the gap contains four modified nucleosides. In some embodiments, the gap contains two or more modified nucleosides, and each modified nucleoside is the same. In some embodiments, the gap contains two or more modified nucleosides, and each modified nucleoside is different.

В некоторых вариантах реализации изобретения гэп содержит одну или более модифицированных связей. В некоторых вариантах реализации изобретения гэп содержит одну или более метилфосфонатных связей. В некоторых вариантах реализации изобретения гэп содержит две или более модифицированных связей. В некоторых вариантах реализации изобретения гэп содержит одну или более модифицированных связей и один или более модифицированных нуклеозидов. В некоторых вариантах реализации изобретения гэп содержит одну модифицированную связь и один модифицированный нуклеозид. В некоторых вариантах реализации изобретения гэп содержит две модифицированных связи и два или более модифицированных нуклеозидов.In some embodiments, the gap contains one or more modified bonds. In some embodiments of the invention, the gap contains one or more methylphosphonate linkages. In some embodiments, the gap contains two or more modified bonds. In some embodiments, the gap contains one or more modified bonds and one or more modified nucleosides. In some embodiments, the gap contains one modified bond and one modified nucleoside. In some embodiments, the gap contains two modified bonds and two or more modified nucleosides.

b. Некоторые мотивы межнуклеозидных связейb. Some motifs of internucleoside bonds

В некоторых вариантах реализации изобретения олигонуклеотиды содержат модифицированные межнуклеозидные связи, расположенные вдоль олигонуклеотида или его области определенным образом или в виде мотива модифицированной межнуклеозидной связи. В некоторых вариантах реализации изобретения олигонуклеотиды содержат область, имеющую мотив чередующихся межнуклеозидных связей. В некоторых вариантах реализации изобретения олигонуклеотиды по настоящему описанию содержат область одинаково модифицированных межнуклеозидных связей. В некоторых таких вариантах реализации изобретения олигонуклеотид содержит область, которая равномерно связана тиофосфатными межнуклеозидными связями. В некоторых вариантах реализации изобретения олигонуклеотид равномерно связан тиофосфатными межнулеозидными связями. В некоторых вариантах реализации изобретения каждая межнуклеозидная связь олигонуклеотида выбран из фосфодиэфира и тиофосфата. В некоторых вариантах реализации изобретения каждая межнуклеозидная связь олигонуклеотида выбран из фосфодиэфира и тиофосфата, и по меньшей мере одна межнуклеозидная связь представляет собой тиофосфат.In some embodiments of the invention, the oligonucleotides contain modified internucleoside bonds located along the oligonucleotide or its region in a certain way or in the form of a modified internucleoside bond motif. In some embodiments of the invention, the oligonucleotides contain a region having a motif of alternating internucleoside bonds. In some embodiments of the invention, the oligonucleotides according to the present description contain a region of identically modified internucleoside bonds. In some such embodiments, the oligonucleotide contains a region that is uniformly linked by thiophosphate internucleoside bonds. In some embodiments of the invention, the oligonucleotide is uniformly linked by thiophosphate internucleoside bonds. In some embodiments of the invention, each internucleoside bond of the oligonucleotide is selected from a phosphodiester and a thiophosphate. In some embodiments, each internucleoside bond of the oligonucleotide is selected from a phosphodiester and a thiophosphate, and at least one internucleoside bond is a thiophosphate.

В некоторых вариантах реализации изобретения олигонуклеотид содержит по меньшей мере 6 тиофосфатных межнуклеозидных связей. В некоторых вариантах реализации изобретения олигонуклеотид содержит по меньшей мере 7 тиофосфатных межнуклеозидных связей. В некоторых вариантах реализации изобретения олигонуклеотид содержит по меньшей мере 8 тиофосфатных межнуклеозидных связей. В некоторых вариантах реализации изобретения олигонуклеотид содержит по меньшей мере 9 тиофосфатных межнуклеозидных связей. В некоторых вариантах реализации изобретения олигонуклеотид содержит по меньшей мере 10 тиофосфатных межнуклеозидных связей. В некоторых вариантах реализации изобретения олигонуклеотид содержит по меньшей мере 11 тиофосфатных межнуклеозидных связей. В некоторых вариантах реализации изобретения олигонуклеотид содержит по меньшей мере 12 тиофосфатных межнуклеозидных связей. В некоторых вариантах реализации изобретения олигонуклеотид содержит по меньшей мере 13 тиофосфатных межнуклеозидных связей. В некоторых вариантах реализации изобретения олигонуклеотид содержит по меньшей мере 14 тиофосфатных межнуклеозидных связей.In some embodiments of the invention, the oligonucleotide contains at least 6 thiophosphate internucleoside bonds. In some embodiments of the invention, the oligonucleotide contains at least 7 thiophosphate internucleoside bonds. In some embodiments of the invention, the oligonucleotide contains at least 8 thiophosphate internucleoside bonds. In some embodiments of the invention, the oligonucleotide contains at least 9 thiophosphate internucleoside bonds. In some embodiments of the invention, the oligonucleotide contains at least 10 thiophosphate internucleoside bonds. In some embodiments of the invention, the oligonucleotide contains at least 11 thiophosphate internucleoside bonds. In some embodiments of the invention, the oligonucleotide contains at least 12 thiophosphate internucleoside bonds. In some embodiments of the invention, the oligonucleotide contains at least 13 thiophosphate internucleoside bonds. In some embodiments of the invention, the oligonucleotide contains at least 14 thiophosphate internucleoside bonds.

В некоторых вариантах реализации изобретения олигонуклеотид содержит по меньшей мере один блок по меньшей мере из 6 смежных тиофосфатных межнуклеозидных связей. В некоторых вариантах реализации изобретения олигонуклеотид содержит по меньшей мере один блок по меньшей мере из 7 смежных тиофосфатных межнуклеозидных связей. В некоторых вариантах реализации изобретения олигонуклеотид содержит по меньшей мере один блок по меньшей мере из 8 смежных тиофосфатных межнуклеозидных связей. В некоторых вариантах реализации изобретения олигонуклеотид содержит по меньшей мере один блок по меньшей мере из 9 смежных тиофосфатных межнуклеозидных связей. В некоторых вариантах реализации изобретения олигонуклеотид содержит по меньшей мере один блок по меньшей мере из 10 смежных тиофосфатных межнуклеозидных связей. В некоторых вариантах реализации изобретения олигонуклеотид содержит по меньшей мере один блок по меньшей мере из 12 смежных тиофосфатных межнуклеозидных связей. В некоторых таких вариантах реализации изобретения по меньшей мере один такой блок расположен на 3'-конце олигонуклеотида. В некоторых таких вариантах реализации изобретения по меньшей мере один такой блок расположен в пределах 3 нуклеозидов 3'-конца олигонуклеотида. В некоторых вариантах реализации изобретения олигонуклеотид содержит менее 15 тиофосфатных межнуклеозидных связей. В некоторых вариантах реализации изобретения олигонуклеотид содержит менее 14 тиофосфатных межнуклеозидных связей. В некоторых вариантах реализации изобретения олигонуклеотид содержит менее 13 тиофосфатных межнуклеозидных связей. В некоторых вариантах реализации изобретения олигонуклеотид содержит менее 12 тиофосфатных межнуклеозидных связей. В некоторых вариантах реализации изобретения олигонуклеотид содержит менее 11 тиофосфатных межнуклеозидных связей. В некоторых вариантах реализации изобретения олигонуклеотид содержит менее 10 тиофосфатных межнуклеозидных связей. В некоторых вариантах реализации изобретения олигонуклеотид содержит менее 9 тиофосфатных межнуклеозидных связей. В некоторых вариантах реализации изобретения олигонуклеотид содержит менее 8 тиофосфатных межнуклеозидных связей. В некоторых вариантах реализации изобретения олигонуклеотид содержит менее 7 тиофосфатных межнуклеозидных связей. В некоторых вариантах реализации изобретения олигонуклеотид содержит менее 6 тиофосфатных межнуклеозидных связей. В некоторых вариантах реализации изобретения олигонуклеотид содержит менее 5 тиофосфатных межнуклеозидных связей.In some embodiments of the invention, the oligonucleotide contains at least one block of at least 6 adjacent thiophosphate internucleoside bonds. In some embodiments of the invention, the oligonucleotide contains at least one block of at least 7 adjacent thiophosphate internucleoside bonds. In some embodiments of the invention, the oligonucleotide contains at least one block of at least 8 adjacent thiophosphate internucleoside bonds. In some embodiments of the invention, the oligonucleotide contains at least one block of at least 9 adjacent thiophosphate internucleoside bonds. In some embodiments of the invention, the oligonucleotide contains at least one block of at least 10 adjacent thiophosphate internucleoside bonds. In some embodiments of the invention, the oligonucleotide contains at least one block of at least 12 adjacent thiophosphate internucleoside bonds. In some such embodiments, at least one such block is located at the 3' end of the oligonucleotide. In some such embodiments, at least one such block is located within 3 nucleosides of the 3' end of the oligonucleotide. In some embodiments of the invention, the oligonucleotide contains less than 15 thiophosphate internucleoside bonds. In some embodiments of the invention, the oligonucleotide contains less than 14 thiophosphate internucleoside bonds. In some embodiments of the invention, the oligonucleotide contains less than 13 thiophosphate internucleoside bonds. In some embodiments of the invention, the oligonucleotide contains less than 12 thiophosphate internucleoside bonds. In some embodiments of the invention, the oligonucleotide contains less than 11 thiophosphate internucleoside bonds. In some embodiments of the invention, the oligonucleotide contains less than 10 thiophosphate internucleoside bonds. In some embodiments of the invention, the oligonucleotide contains less than 9 thiophosphate internucleoside bonds. In some embodiments of the invention, the oligonucleotide contains less than 8 thiophosphate internucleoside bonds. In some embodiments of the invention, the oligonucleotide contains less than 7 thiophosphate internucleoside bonds. In some embodiments of the invention, the oligonucleotide contains less than 6 thiophosphate internucleoside bonds. In some embodiments, the oligonucleotide contains less than 5 thiophosphate internucleoside bonds.

с. Некоторые мотивы модификаций азотистых основанийWith. Some motives for the modification of nitrogenous bases

В некоторых вариантах реализации изобретения олигонуклеотиды содержат химические модификации азотистых оснований, расположенные вдоль олигонуклеотида или его области определенным образом или в виде мотива модификации азотистых оснований. В некоторых таких вариантах реализации изобретения модификации азотистых оснований расположены в разорванном мотиве. В некоторых вариантах реализации изобретения модификации азотистых оснований расположены в чередующемся мотиве. В некоторых вариантах реализации изобретения каждое азотистое основание является модифицированным. В некоторых вариантах реализации изобретения ни одно из азотистых оснований не является химически модифицированным.In some embodiments of the invention, the oligonucleotides contain chemical modifications of nitrogenous bases, located along the oligonucleotide or its region in a certain way or in the form of a modification of nitrogenous bases. In some such embodiments, the nitrogenous base modifications are located in a broken motif. In some embodiments of the invention, modifications of nitrogenous bases are located in an alternating motif. In some embodiments of the invention, each nitrogenous base is modified. In some embodiments of the invention, none of the nitrogenous bases is chemically modified.

В некоторых вариантах реализации изобретения олигонуклеотиды содержат блок модифицированных азотистых оснований. В некоторых таких вариантах реализации изобретения блок находится на 3'-конце олигонуклеотида. В некоторых вариантах реализации изобретения блок находится в пределах 3 нуклеотидов 3'-конца олигонуклеотида. В некоторых таких вариантах реализации изобретения блок находится на 5'-конце олигонуклеотида. В некоторых вариантах реализации изобретения блок находится в пределах 3 нуклеотидов 5'-конца олигонуклеотида.In some embodiments of the invention, the oligonucleotides contain a block of modified nitrogenous bases. In some such embodiments, the block is located at the 3' end of the oligonucleotide. In some embodiments, the block is within 3 nucleotides of the 3' end of the oligonucleotide. In some such embodiments, the block is located at the 5' end of the oligonucleotide. In some embodiments, the block is within 3 nucleotides of the 5' end of the oligonucleotide.

В некоторых вариантах реализации изобретения модификации азотистых оснований зависят от природного основания в конкретном положении олигонуклеотида. Например, в некоторых вариантах реализации изобретения каждый пурин или каждый пиримидин в олигонуклеотиде является модифицированным. В некоторых вариантах реализации изобретения модифицированным является каждый аденин. В некоторых вариантах реализации изобретения модифицированным является каждый гуанин. В некоторых вариантах реализации изобретения модифицированным является каждый тимин. В некоторых вариантах реализации изобретения модифицированным является каждый цитозин. В некоторых вариантах реализации изобретения модифицированным является каждый урацил.In some embodiments of the invention, modifications of nitrogenous bases depend on the natural base at a particular position of the oligonucleotide. For example, in some embodiments of the invention, each purine or each pyrimidine in the oligonucleotide is modified. In some embodiments of the invention, each adenine is modified. In some embodiments of the invention, each guanine is modified. In some embodiments, each thymine is modified. In some embodiments of the invention, each cytosine is modified. In some embodiments of the invention, each uracil is modified.

В некоторых вариантах реализации изобретения некоторые, все или никакие из цитозиновых фрагментов в олигонуклеотиде не представляют собой 5-метилцитозиновые фрагменты. В настоящем документе 5-метилцитозин не является «модифицированным азотистым основанием». Соответственно, если не указано иное, то немодифицированные азотистые основания включают как цитозиновые остатки, содержащие 5-метил, так и те, которые не содержат 5-метил. В некоторых вариантах реализации изобретения оговорено состояние метилирования всех или некоторых цитозиновых азотистых оснований.In some embodiments of the invention, some, all or none of the cytosine fragments in the oligonucleotide are not 5-methylcytosine fragments. As used herein, 5-methylcytosine is not a "modified nitrogenous base". Accordingly, unless otherwise indicated, unmodified nitrogenous bases include both cytosine residues containing 5-methyl and those that do not contain 5-methyl. In some embodiments, the methylation state of all or some of the cytosine nitrogenous bases is specified.

В некоторых вариантах реализации изобретения химические модификации азотистых оснований включают присоединение некоторых конъюгирующих групп к азотистым основаниям. В некоторых вариантах реализации изобретения каждый пурин или каждый пиримидин в олигонуклеотиде может быть необязательно модифицирован так, чтобы он содержал конъюгирующую группу.In some embodiments of the invention, chemical modifications of the nitrogenous bases include the addition of certain conjugating groups to the nitrogenous bases. In some embodiments of the invention, each purine or each pyrimidine in the oligonucleotide may be optionally modified to contain a conjugating group.

d. Некоторые общие длиныd. Some common lengths

В некоторых вариантах реализации настоящего описания приведены олигонуклеотиды любого из различных диапазонов длин. В некоторых вариантах реализации изобретения олигонуклеотиды содержат от X до Y связанных нуклеозидов, где X представляет собой наименьшее количество нуклеозидов в диапазоне, a Y представляет собой наибольшее количество нуклеозидов в диапазоне. В некоторых таких вариантах реализации изобретения каждый X и Y независимо выбран из 8, 9, 10, 11, 12, 13, 14, 15, 16, 17, 18, 19, 20, 21, 22, 23, 24, 25, 26, 27, 28, 29, 30, 31, 32, 33, 34, 35, 36, 37, 38, 39, 40, 41, 42, 43, 44, 45, 46, 47, 48, 49 и 50; при условии, что X≤Y. Например, в некоторых вариантах реализации изобретения олигонуклеотид может состоять из 8-9, 8-10, 8-11, 8-12, 8-13, 8-14, 8-15, 8-16, 8-17, 8-18, 8-19, 8-20, 8-21, 8-22, 8-23, 8-24, 8-25, 8-26, 8-27, 8-28, 8-29, 8-30, 9-10, 9-11, 9-12, 9-13, 9-14, 9-15, 9-16, 9-17, 9-18, 9-19, 9-20, 9-21, 9-22, 9-23, 9-24, 9-25, 9-26, 9-27, 9-28, 9-29, 9-30, 10-11, 10-12, 10-13, 10-14, 10-15, 10-16, 10-17, 10-18, 10-19, 10-20, 10-21, 10-22, 10-23, 10-24, 10-25, 10-26, 10-27, 10-28, 10-29, 10-30, 11-12, 11-13, 11-14, 11-15, 11-16, 11-17, 11-18, 11-19, 11-20, 11-21, 11-22, 11-23, 11-24, 11-25, 11-26, 11-27, 11-28, 11-29, 11-30, 12-13, 12-14, 12-15, 12-16, 12-17, 12-18, 12-19, 12-20, 12-21, 12-22, 12-23, 12-24, 12-25, 12-26, 12-27, 12-28, 12-29, 12-30, 13-14, 13-15, 13-16, 13-17, 13-18, 13-19, 13-20, 13-21, 13-22, 13-23, 13-24, 13-25, 13-26, 13-27, 13-28, 13-29, 13-30, 14-15, 14-16, 14-17, 14-18, 14-19, 14-20, 14-21, 14-22, 14-23, 14-24, 14-25, 14-26, 14-27, 14-28, 14-29, 14-30, 15-16, 15-17, 15-18, 15-19, 15-20, 15-21, 15-22, 15-23, 15-24, 15-25, 15-26, 15-27, 15-28, 15-29, 15-30, 16-17, 16-18, 16-19, 16-20, 16-21, 16-22, 16-23, 16-24, 16-25, 16-26, 16-27, 16-28, 16-29, 16-30, 17-18, 17-19, 17-20, 17-21, 17-22, 17-23, 17-24, 17-25, 17-26, 17-27, 17-28, 17-29, 17-30, 18-19, 18-20, 18-21, 18-22, 18-23, 18-24, 18-25, 18-26, 18-27, 18-28, 18-29, 18-30, 19-20, 19-21, 19-22, 19-23, 19-24, 19-25, 19-26, 19-29, 19-28, 19-29, 19-30, 20-21, 20-22, 20-23, 20-24, 20-25, 20-26, 20-27, 20-28, 20-29, 20-30, 21-22, 21-23, 21-24, 21-25, 21-26, 21-27, 21-28, 21-29, 21-30, 22-23, 22-24, 22-25, 22-26, 22-27, 22-28, 22-29, 22-30, 23-24, 23-25, 23-26, 23-27, 23-28, 23-29, 23-30, 24-25, 24-26, 24-27, 24-28, 24-29, 24-30, 25-26, 25-27, 25-28, 25-29, 25-30, 26-27, 26-28, 26-29, 26-30, 27-28, 27-29, 27-30, 28-29, 28-30 или 29-30 связанных нуклеозидов. В тех вариантах реализации, в которых количество нуклеозидов в олигонуклеотиде соединения является ограниченным, либо до диапазона, либо до определенного числа, то соединение может, тем не менее, дополнительно содержать другие дополнительные заместители. Например, олигонуклеотид, содержащий 8-30 нуклеозидов, исключает олигонуклеотиды, имеющие 31 нуклеозид, но, если не указано иное, такой олигонуклеотид может дополнительно содержать, например, одну или более конъюгирующих групп, концевых групп или других заместителей.In some embodiments of the present disclosure, oligonucleotides are provided in any of various length ranges. In some embodiments, the oligonucleotides contain X to Y linked nucleosides, where X is the fewest nucleosides in the range and Y is the most nucleosides in the range. In some such embodiments, each X and Y is independently selected from 8, 9, 10, 11, 12, 13, 14, 15, 16, 17, 18, 19, 20, 21, 22, 23, 24, 25, 26 , 27, 28, 29, 30, 31, 32, 33, 34, 35, 36, 37, 38, 39, 40, 41, 42, 43, 44, 45, 46, 47, 48, 49 and 50; provided that X≤Y. For example, in some embodiments of the invention, the oligonucleotide may consist of 8-9, 8-10, 8-11, 8-12, 8-13, 8-14, 8-15, 8-16, 8-17, 8-18 , 8-19, 8-20, 8-21, 8-22, 8-23, 8-24, 8-25, 8-26, 8-27, 8-28, 8-29, 8-30, 9 -10, 9-11, 9-12, 9-13, 9-14, 9-15, 9-16, 9-17, 9-18, 9-19, 9-20, 9-21, 9-22 , 9-23, 9-24, 9-25, 9-26, 9-27, 9-28, 9-29, 9-30, 10-11, 10-12, 10-13, 10-14, 10 -15, 10-16, 10-17, 10-18, 10-19, 10-20, 10-21, 10-22, 10-23, 10-24, 10-25, 10-26, 10-27 , 10-28, 10-29, 10-30, 11-12, 11-13, 11-14, 11-15, 11-16, 11-17, 11-18, 11-19, 11-20, 11 -21, 11-22, 11-23, 11-24, 11-25, 11-26, 11-27, 11-28, 11-29, 11-30, 12-13, 12-14, 12-15 , 12-16, 12-17, 12-18, 12-19, 12-20, 12-21, 12-22, 12-23, 12-24, 12-25, 12-26, 12-27, 12 -28, 12-29, 12-30, 13-14, 13-15, 13-16, 13-17, 13-18, 13-19, 13-20, 13-21, 13-22, 13-23 , 13-24, 13-25, 13-26, 13-27, 13-28, 13-29, 13-30, 14-15, 14-16, 14-17, 14-18, 14-19, 14 -20, 14-21, 14-22, 14-23, 14-24, 14-25, 14-26, 14-27, 14-28, 14-29, 14-30, 15-16, 15-17 , 15-18, 15-1 9, 15-20, 15-21, 15-22, 15-23, 15-24, 15-25, 15-26, 15-27, 15-28, 15-29, 15-30, 16-17, 16-18, 16-19, 16-20, 16-21, 16-22, 16-23, 16-24, 16-25, 16-26, 16-27, 16-28, 16-29, 16- 30, 17-18, 17-19, 17-20, 17-21, 17-22, 17-23, 17-24, 17-25, 17-26, 17-27, 17-28, 17-29, 17-30, 18-19, 18-20, 18-21, 18-22, 18-23, 18-24, 18-25, 18-26, 18-27, 18-28, 18-29, 18- 30, 19-20, 19-21, 19-22, 19-23, 19-24, 19-25, 19-26, 19-29, 19-28, 19-29, 19-30, 20-21, 20-22, 20-23, 20-24, 20-25, 20-26, 20-27, 20-28, 20-29, 20-30, 21-22, 21-23, 21-24, 21- 25, 21-26, 21-27, 21-28, 21-29, 21-30, 22-23, 22-24, 22-25, 22-26, 22-27, 22-28, 22-29, 22-30, 23-24, 23-25, 23-26, 23-27, 23-28, 23-29, 23-30, 24-25, 24-26, 24-27, 24-28, 24- 29, 24-30, 25-26, 25-27, 25-28, 25-29, 25-30, 26-27, 26-28, 26-29, 26-30, 27-28, 27-29, 27-30, 28-29, 28-30 or 29-30 linked nucleosides. In those embodiments in which the number of nucleosides in the oligonucleotide of the compound is limited, either to a range or to a certain number, the compound may, however, additionally contain other additional substituents. For example, an oligonucleotide containing 8-30 nucleosides excludes oligonucleotides having 31 nucleosides, but unless otherwise indicated, such an oligonucleotide may additionally contain, for example, one or more conjugating groups, end groups, or other substituents.

Более того, если олигонуклеотид описан общим диапазоном длины и областями, имеющими определенную длину, и если сумма указанных длин областей меньше, чем верхняя граница диапазона общей длины, то олигонуклеотид может иметь дополнительные нуклеозиды, помимо тех, которые находятся в указанных областях, при условии, что общее количество нуклеозидов не превышает верхнюю границу диапазона общей длины.Moreover, if an oligonucleotide is described by a total length range and regions having a specific length, and if the sum of said region lengths is less than the upper limit of the total length range, then the oligonucleotide may have additional nucleosides in addition to those in the indicated regions, provided that the total number of nucleosides does not exceed the upper limit of the total length range.

5. Некоторые химические мотивы антисмысловых олигонуклеотидов5. Some chemical motifs of antisense oligonucleotides

В некоторых вариантах реализации изобретения химические структурные особенности антисмысловых олигонуклеотидов описываются их сахарным мотивом, мотивом межнуклеозидной связи, мотивом модификации азотистые основания и общей длиной. В некоторых вариантах реализации изобретения такие параметры не зависят друг от друга. Так, каждая межнуклеозидная связь олигонуклеотида, имеющий сахарный мотив гэпмера, может быть модифицированным или немодифицированным и может повторять или не повторять характер модификации сахарных модификаций гэпмера. Следовательно, межнуклеозидные связи в областях крыльев сахара-гэпмера могут быть одинаковыми или отличными друг от друга и могут быть одинаковыми или отличными от межнуклеозидных связей области гэп. Точно так же, такие сахар-гэпмерные олигонуклеотиды могут содержать одно или более модифицированных азотистых оснований, независимо от характера сахарных модификаций гэпмера. Специалистам в данной области техники понятно, что такие мотивы могут быть комбинированы с получением множества олигонуклеотидов.In some embodiments, the chemical structural features of antisense oligonucleotides are described by their sugar motif, internucleoside bond motif, nitrogenous base modification motif, and overall length. In some embodiments of the invention, such parameters are independent of each other. Thus, each internucleoside bond of an oligonucleotide having a gapmer sugar motif may be modified or unmodified and may or may not repeat the pattern of modification of the gapmer sugar modifications. Therefore, the internucleoside bonds in the wing regions of the gapmer sugar may be the same or different from each other and may be the same or different from the internucleoside bonds of the gap region. Similarly, such sugar gapmer oligonucleotides may contain one or more modified nitrogenous bases, regardless of the nature of the gapmer sugar modifications. Those skilled in the art will recognize that such motifs can be combined to form multiple oligonucleotides.

В некоторых вариантах реализации изобретения выбор межнуклеозидной связи и модификации нуклеозида не зависят друг от друга.In some embodiments of the invention, the choice of internucleoside bond and modification of the nucleoside are independent of each other.

i. Некоторые последовательности и мишениi. Some sequences and targets

В некоторых вариантах реализации настоящего изобретения приведены антисмысловые олигонуклеотиды, имеющие последовательность, комплементарную целевой нуклеиновой кислоте. Такие антисмысловые соединения могут гибридизоваться с целевой нуклеиновой кислотой с получением по меньшей мере одной антисмысловой активности. В некоторых вариантах реализации изобретения антисмысловые соединения специфически гибридизуются с одной или более целевыми нуклеиновыми кислотами. В некоторых вариантах реализации изобретения специфически гибридизующееся антисмысловое соединение имеет последовательность азотистых оснований, содержащую область с достаточной комплементарностью целевой нуклеиновой кислоте для обеспечения возможности гибридизации и получению антисмысловой активности, и недостаточной комплементарностью любой нецелевой нуклеиновой кислоте для предотвращения или снижения неспецифической гибридизации с последовательностями нецелевых нуклеиновых кислот в условиях, в которых необходима специфическая гибридизация (например, в физиологических условиях для in vivo или терапевтических применений и в условиях выполнения анализов - в случае in vitro анализов). В некоторых вариантах реализации изобретения олигонуклеотиды являются селективными между мишенью и не мишенью, даже если мишень и не мишень содержат целевую последовательность. В таких вариантах реализации изобретения селективность может быть результатом относительной доступности целевой области одной молекулы нуклеиновой кислоты, по сравнению с другой.In some embodiments of the present invention, antisense oligonucleotides are provided having a sequence complementary to the target nucleic acid. Such antisense compounds can hybridize to a target nucleic acid to produce at least one antisense activity. In some embodiments, the antisense compounds specifically hybridize to one or more target nucleic acids. In some embodiments, a specifically hybridizing antisense compound has a nitrogenous base sequence containing a region with sufficient complementarity to the target nucleic acid to allow hybridization and obtain antisense activity, and insufficient complementarity to any non-target nucleic acid to prevent or reduce non-specific hybridization with non-target nucleic acid sequences in conditions under which specific hybridization is required (eg, under physiological conditions for in vivo or therapeutic applications, and under assay conditions for in vitro assays). In some embodiments of the invention, the oligonucleotides are selective between target and non-target, even if the target and non-target contain the target sequence. In such embodiments, selectivity may result from the relative availability of the target region of one nucleic acid molecule over another.

В некоторых вариантах реализации настоящего описания приведены антисмысловые соединения, содержащие олигонуклеотиды, которые полностью комплементарны целевой нуклеиновой кислоте по всей длине олигонуклеотида. В некоторых вариантах реализации изобретения олигонуклеотиды на 99% комплементарны целевой нуклеиновой кислоте. В некоторых вариантах реализации изобретения олигонуклеотиды на 95% комплементарны целевой нуклеиновой кислоте. В некоторых вариантах реализации изобретения такие олигонуклеотиды на 90% комплементарны целевой нуклеиновой кислоте.In some embodiments of the present description, antisense compounds are provided that contain oligonucleotides that are fully complementary to the target nucleic acid along the entire length of the oligonucleotide. In some embodiments, the oligonucleotides are 99% complementary to the target nucleic acid. In some embodiments, the oligonucleotides are 95% complementary to the target nucleic acid. In some embodiments, such oligonucleotides are 90% complementary to the target nucleic acid.

В некоторых вариантах реализации изобретения такие олигонуклеотиды на 85% комплементарны целевой нуклеиновой кислоте. В некоторых вариантах реализации изобретения такие олигонуклеотиды на 80% комплементарны целевой нуклеиновой кислоте. В некоторых вариантах реализации изобретения антисмысловое соединение содержит область, которая полностью комплементарна целевой нуклеиновой кислоте, и по меньшей мере на 80% комплементарно целевой нуклеиновой кислоте по всей длине олигонуклеотида. В некоторых таких вариантах реализации изобретения область полной комплементарности имеет от 6 до 14 нуклеозидов в длину.In some embodiments, such oligonucleotides are 85% complementary to the target nucleic acid. In some embodiments, such oligonucleotides are 80% complementary to the target nucleic acid. In some embodiments, the antisense compound contains a region that is fully complementary to the target nucleic acid, and at least 80% complementary to the target nucleic acid over the entire length of the oligonucleotide. In some such embodiments, the region of complete complementarity is 6 to 14 nucleosides in length.

В некоторых вариантах реализации изобретения олигонуклеотиды содержат область гибридизации и концевую область. В некоторых таких вариантах реализации изобретения область гибридизации состоит из 12-30 связанных нуклеозидов и полностью комплементарна целевой нуклеиновой кислоте. В некоторых вариантах реализации изобретения область гибридизации содержит одно несоответствие в сравнении с целевой нуклеиновой кислотой. В некоторых вариантах реализации изобретения область гибридизации содержит два несоответствия в сравнении с целевой нуклеиновой кислотой. В некоторых вариантах реализации изобретения область гибридизации содержит три несоответствия в сравнении с целевой нуклеиновой кислотой. В некоторых вариантах реализации изобретения концевая область состоит из 1-4 концевых нуклеозидов. В некоторых вариантах реализации изобретения концевые нуклеозиды находятся на 3'-конце. В некоторых вариантах реализации изобретения один или более концевых нуклеозидов не комплементарны целевой нуклеиновой кислоте.In some embodiments of the invention, the oligonucleotides contain a hybridization region and a terminal region. In some such embodiments, the hybridization region consists of 12-30 linked nucleosides and is fully complementary to the target nucleic acid. In some embodiments, the hybridization region contains one mismatch compared to the target nucleic acid. In some embodiments of the invention, the hybridization region contains two mismatches in comparison with the target nucleic acid. In some embodiments of the invention, the hybridization region contains three mismatches in comparison with the target nucleic acid. In some embodiments of the invention, the terminal region consists of 1-4 terminal nucleosides. In some embodiments, the terminal nucleosides are at the 3' end. In some embodiments of the invention, one or more terminal nucleosides are not complementary to the target nucleic acid.

Антисмысловые механизмы включают любой механизм, затрагивающий гибридизацию олигонуклеотида с целевой нуклеиновой кислотой, при этом гибридизация приводит к биологическому эффекту. В некоторых вариантах реализации изобретения такая гибридизация приводит либо к разрушению, либо к применению целевой нуклеиновой кислоты с сопутствующим подавлением или стимулированием клеточного механизма, затрагивающего, например, трансляцию, транскрипцию или сплайсинг целевой нуклеиновой кислоты.Antisense mechanisms include any mechanism that involves hybridization of an oligonucleotide to a target nucleic acid such that the hybridization results in a biological effect. In some embodiments of the invention, such hybridization results in either the destruction or use of the target nucleic acid with concomitant suppression or stimulation of a cellular mechanism affecting, for example, translation, transcription, or splicing of the target nucleic acid.

Один из типов антисмыслового механизма, затрагивающий разрушение целевой РНК представляет собой антисмысл, опосредованный РНКазой Н. РНКаза Н представляет собой клеточную эндонуклеазу, которая расщепляет спираль РНК дуплекса РНК:ДНК. В данной области техники известно, что одноцепочечные антисмысловые соединения, которые являются «ДНК-подобными», вызывают активность РНКазы Н в клетках млекопитающих. Следовательно, активация РНКазы Н приводит к расщеплению РНК-мишени, посредством этого в значительной степени усиливая эффективность подавления генной экспрессии, опосредованного ДНК-подобным олигонуклеотидом.One type of antisense mechanism affecting target RNA degradation is RNase H-mediated antisense. RNase H is a cellular endonuclease that cleaves the RNA helix of an RNA:DNA duplex. Single-stranded antisense compounds that are "DNA-like" are known in the art to induce RNase H activity in mammalian cells. Therefore, activation of RNase H leads to cleavage of the target RNA, thereby greatly enhancing the efficiency of gene expression suppression mediated by the DNA-like oligonucleotide.

В некоторых вариантах реализации изобретения конъюгирующая группа содержит расщепляемый фрагмент. В некоторых вариантах реализации изобретения конъюгирующая группа содержит одну или более расщепляемых связей. В некоторых вариантах реализации изобретения конъюгирующая группа содержит линкер. В некоторых вариантах реализации изобретения линкер содержит фрагмент, связывающий белки. В некоторых вариантах реализации изобретения конъюгирующая группа содержит фрагмент, нацеливающий на клетку (упоминаемый также как группа, нацеливающая на клетку). В некоторых вариантах реализации изобретения фрагмент, нацеливающий на клетку, содержит группу ветвления. В некоторых вариантах реализации изобретения фрагмент, нацеливающий на клетку, содержит одну или более связок. В некоторых вариантах реализации изобретения фрагмент, нацеливающий на клетку, содержит углевод или углеводный кластер.In some embodiments of the invention, the conjugating group contains a cleavable fragment. In some embodiments of the invention, the conjugating group contains one or more cleavable bonds. In some embodiments of the invention, the conjugating group contains a linker. In some embodiments of the invention, the linker contains a fragment that binds proteins. In some embodiments, the conjugating group contains a cell-targeting moiety (also referred to as a cell-targeting group). In some embodiments of the invention, the cell-targeting fragment contains a branching group. In some embodiments of the invention, the cell-targeting fragment contains one or more ligaments. In some embodiments of the invention, the fragment targeting the cell contains a carbohydrate or carbohydrate cluster.

ii. Некоторые расщепляемые фрагментыii. Some Split Fragments

В некоторых вариантах реализации изобретения расщепляемый фрагмент представляет собой расщепляемую связь. В некоторых вариантах реализации изобретения расщепляемый фрагмент содержит расщепляемую связь. В некоторых вариантах реализации изобретения конъюгирующая группа содержит расщепляемый фрагмент. В некоторых таких вариантах реализации изобретения расщепляемый фрагмент присоединяется к антисмысловому олигонуклеотиду. В некоторых таких вариантах реализации изобретения расщепляемый фрагмент присоединяется непосредственно к фрагменту, нацеливающему на клетку. В некоторых таких вариантах реализации изобретения расщепляемый фрагмент присоединяется к линкеру конъюгата. В некоторых вариантах реализации изобретения расщепляемый фрагмент содержит фосфат или фосфодиэфир. В некоторых вариантах реализации изобретения расщепляемый фрагмент представляет собой расщепляемый нуклеозид или нуклеозидный аналог. В некоторых вариантах реализации изобретения нуклеозид или нуклеозидный аналог содержит необязательно защищенное гетероциклическое основание, выбранное из пурина, замещенного пурина, пиримидина или замещенного пиримидина. В некоторых вариантах реализации изобретения расщепляемый фрагмент представляет собой нуклеозид, содержащий необязательно защищенное гетероциклическое основание, выбранное из урацила, тимина, цитозина, 4-N-бензоилцитозина, 5-метилцитозина, 4-N-бензоил-5-метилцитозина, аденина, 6-N-бензоиладенина, гуанина и 2-N-изобутирилгуанина. В некоторых вариантах реализации изобретения расщепляемый фрагмент представляет собой 2'-дезоксинуклеозид, который присоединен к 3'-положению антисмыслового олигонуклеотида фосфодиэфирной связью и присоединен к линкеру фосфодиэфирной или тиофосфатной связью. В некоторых вариантах реализации изобретения расщепляемый фрагмент представляет собой 2'-дезоксиаденозин, который присоединен к 3'-положению антисмыслового олигонуклеотида фосфодиэфирной связью и присоединен к линкеру фосфодиэфирной или тиофосфатной связью. В некоторых вариантах реализации изобретения расщепляемый фрагмент представляет собой 2'-дезоксиаденозин, который присоединен к 3'-положению антисмыслового олигонуклеотида фосфодиэфирной связью и присоединен к линкеру фосфодиэфирной связью.In some embodiments of the invention, the cleavable fragment is a cleavable bond. In some embodiments, the cleavable fragment contains a cleavable bond. In some embodiments of the invention, the conjugating group contains a cleavable fragment. In some such embodiments, the cleavage fragment is attached to an antisense oligonucleotide. In some such embodiments, the cleavable fragment is attached directly to the cell-targeting fragment. In some such embodiments, the cleavable moiety is attached to a conjugate linker. In some embodiments, the cleavable fragment contains a phosphate or phosphodiester. In some embodiments, the cleavable fragment is a cleavable nucleoside or nucleoside analogue. In some embodiments, the nucleoside or nucleoside analog comprises an optionally protected heterocyclic base selected from purine, substituted purine, pyrimidine, or substituted pyrimidine. In some embodiments, the cleavable fragment is a nucleoside containing an optionally protected heterocyclic base selected from uracil, thymine, cytosine, 4-N-benzoylcytosine, 5-methylcytosine, 4-N-benzoyl-5-methylcytosine, adenine, 6-N -benzoyladenine, guanine and 2-N-isobutyrylguanine. In some embodiments, the cleavable moiety is a 2'-deoxynucleoside that is attached to the 3' position of the antisense oligonucleotide by a phosphodiester bond and attached to the linker by a phosphodiester or thiophosphate bond. In some embodiments, the cleavable fragment is a 2'-deoxyadenosine that is attached to the 3' position of the antisense oligonucleotide by a phosphodiester bond and attached to the linker by a phosphodiester or thiophosphate bond. In some embodiments, the cleavable fragment is a 2'-deoxyadenosine that is attached to the 3' position of the antisense oligonucleotide by a phosphodiester bond and attached to the linker by a phosphodiester bond.

В некоторых вариантах реализации изобретения расщепляемый фрагмент присоединен к 3'-положению антисмыслового олигонуклеотида. В некоторых вариантах реализации изобретения расщепляемый фрагмент присоединен к 5'-положению антисмыслового олигонуклеотида. В некоторых вариантах реализации изобретения расщепляемый фрагмент присоединен к 2'-положению антисмыслового олигонуклеотида. В некоторых вариантах реализации изобретения расщепляемый фрагмент присоединен к антисмысловому олигонуклеотиду фосфодиэфирной связью. В некоторых вариантах реализации изобретения расщепляемый фрагмент присоединен к указанному линкеру либо фосфодиэфирной, либо тиофосфатной связью. В некоторых вариантах реализации изобретения расщепляемый фрагмент присоединен к указанному линкеру фосфодиэфирной связью. В некоторых вариантах реализации изобретения конъюгирующая группа не содержит расщепляемый фрагмент.In some embodiments, the cleavable fragment is attached to the 3' position of the antisense oligonucleotide. In some embodiments, the cleavable fragment is attached to the 5' position of the antisense oligonucleotide. In some embodiments, the cleavable fragment is attached to the 2' position of the antisense oligonucleotide. In some embodiments, the cleavable fragment is attached to the antisense oligonucleotide by a phosphodiester linkage. In some embodiments of the invention, the cleavable fragment is attached to the specified linker either by a phosphodiester or a thiophosphate bond. In some embodiments of the invention, the cleavable fragment is attached to the specified linker by a phosphodiester bond. In some embodiments of the invention, the conjugating group does not contain a cleavable fragment.

В некоторых вариантах реализации изобретения расщепляемый фрагмент расщепляется после введения указанного комплекса в организм животного только после его поглощения целевой клеткой. Внутри клетки расщепляемый фрагмент расщепляется, высвобождая таким образом активный антисмысловый олигонуклеотид. Не ограничиваясь теорией, предполагается, что расщепляемый фрагмент расщепляется под действием одной или более нуклеаз внутри клетки. В некоторых вариантах реализации изобретения одна или более нуклеаз расщепляют фосфодиэфирную связь между расщепляемым фрагментом и линкером. В некоторых вариантах реализации изобретения расщепляемый фрагмент имеет структуру, выбранную из следующих:In some embodiments of the invention, the cleavable fragment is cleaved after the introduction of the specified complex in the body of the animal only after its absorption by the target cell. Inside the cell, the cleavage fragment is cleaved, thus releasing the active antisense oligonucleotide. Without being limited by theory, it is believed that the cleavage fragment is cleaved by one or more nucleases within the cell. In some embodiments, one or more nucleases cleave the phosphodiester bond between the cleavable moiety and the linker. In some embodiments of the invention, the cleavable fragment has a structure selected from the following:

Figure 00000015
Figure 00000015

где каждый из Вх, Bx1, Вх2 и Вх3 независимо представляет собой гетероциклический основной фрагмент. В некоторых вариантах реализации изобретения расщепляемый фрагмент имеет структуру, выбранную из следующих:where each of Bx, Bx1 , Bx2 and Bx3 independently represents a heterocyclic basic fragment. In some embodiments of the invention, the cleavable fragment has a structure selected from the following:

Figure 00000016
Figure 00000016

iii. Некоторые линкерыiii. Some linkers

В некоторых вариантах реализации изобретения конъюгируюгдие группы содержат линкер. В некоторых таких вариантах реализации изобретения линкер ковалентно связан с расщепляемым фрагментом. В некоторых таких вариантах реализации изобретения линкер ковалентно связан с антисмысловым олигонуклеотидом. В некоторых вариантах реализации изобретения линкер ковалентно связан с фрагментом, нацеливающим на клетку. В некоторых вариантах реализации изобретения линкер дополнительно содержит ковалентное присоединение к твердой подложке. В некоторых вариантах реализации изобретения линкер дополнительно содержит ковалентное присоединение к белковому связывающему фрагменту. В некоторых вариантах реализации изобретения линкер дополнительно содержит ковалентное присоединение к твердой подложке и дополнительно содержит ковалентное присоединение к белковому связывающему фрагменту. В некоторых вариантах реализации изобретения линкер содержит несколько положений для присоединения связанных лигандов. В некоторых вариантах реализации изобретения линкер содержит несколько положений для присоединения связанных лигандов и не присоединен к группе ветвления. В некоторых вариантах реализации изобретения линкер дополнительно содержит одну или более расщепляемых связей. В некоторых вариантах реализации изобретения конъюгирующая группа не содержит линкер.In some embodiments of the invention, the conjugated groups contain a linker. In some such embodiments, the linker is covalently linked to the cleavable moiety. In some such embodiments, the linker is covalently linked to the antisense oligonucleotide. In some embodiments, the linker is covalently linked to the cell-targeting moiety. In some embodiments of the invention, the linker further comprises a covalent attachment to a solid support. In some embodiments of the invention, the linker further comprises a covalent attachment to the protein binding fragment. In some embodiments of the invention, the linker further comprises a covalent attachment to a solid support and further comprises a covalent attachment to the protein binding moiety. In some embodiments of the invention, the linker contains several positions for attaching associated ligands. In some embodiments of the invention, the linker contains multiple positions for attaching bound ligands and is not attached to a branching group. In some embodiments of the invention, the linker further comprises one or more cleavable bonds. In some embodiments of the invention, the conjugating group does not contain a linker.

В некоторых вариантах реализации изобретения линкер содержит по меньшей мере одну линейную группу, содержащую группы, выбранные из алкильных, амидных, дисульфидных, полиэтиленгликолевых, тиоэфирных (-S-) и гидроксиламино (-O-N(H)-) групп. В некоторых вариантах реализации изобретения линейная группа содержит группы, выбранные из алкильных, амидных и простых эфирных групп. В некоторых вариантах реализации изобретения линейная группа содержит группы, выбранные из алкильных и простых эфирных групп. В некоторых вариантах реализации изобретения линейная группа содержит по меньшей мере одну фосфорную связывающую группу. В некоторых вариантах реализации изобретения линейная группа содержит по меньшей мере одну фосфодиэфирную группу. В некоторых вариантах реализации изобретения линейная группа содержит по меньшей мере одну нейтральную связывающую группу. В некоторых вариантах реализации изобретения линейная группа ковалентно присоединена к фрагменту, нацеливающему на клетку, и к расщепляемому фрагменту. В некоторых вариантах реализации изобретения линейная группа ковалентно присоединена к фрагменту, нацеливающему на клетку, и к антисмысловому олигонуклеотиду. В некоторых вариантах реализации изобретения линейная группа ковалентно присоединена к фрагменту, нацеливающему на клетку, к расщепляемому фрагменту и к твердой подложке. В некоторых вариантах реализации изобретения линейная группа ковалентно присоединена к фрагменту, нацеливающему на клетку, к расщепляемому фрагменту, к твердой подложке и к белковому связывающему фрагменту. В некоторых вариантах реализации изобретения линейная группа содержит одну или более расщепляемых связей.In some embodiments of the invention, the linker contains at least one linear group containing groups selected from alkyl, amide, disulfide, polyethylene glycol, thioether (-S-) and hydroxylamino (-O-N(H)-) groups. In some embodiments of the invention, the linear group contains groups selected from alkyl, amide and ether groups. In some embodiments of the invention, the linear group contains groups selected from alkyl and ether groups. In some embodiments of the invention, the linear group contains at least one phosphorus linking group. In some embodiments of the invention, the linear group contains at least one phosphodiester group. In some embodiments of the invention, the linear group contains at least one neutral linking group. In some embodiments, the linear group is covalently attached to the cell-targeting moiety and to the cleavable moiety. In some embodiments, the linear group is covalently attached to the cell-targeting moiety and to the antisense oligonucleotide. In some embodiments, the linear group is covalently attached to the cell-targeting moiety, to the cleavable moiety, and to the solid support. In some embodiments, the linear group is covalently attached to the cell-targeting moiety, to the cleavable moiety, to the solid support, and to the protein binding moiety. In some embodiments of the invention, the linear group contains one or more cleavable bonds.

В некоторых вариантах реализации изобретения линкер содержит линейную группу, ковалентно присоединенную к группе скелета. В некоторых вариантах реализации изобретения скелет содержит разветвленную алифатическую группу, которая содержит группы, выбранные из алкильных, амидных, дисульфидных, полиэтиленгликолевых, простых эфирных, тиоэфирных и гидроксиламиногрупп. В некоторых вариантах реализации изобретения скелет содержит разветвленную алифатическую группу, которая содержит группы, выбранные из алкильных, амидных и простых эфирных групп. В некоторых вариантах реализации изобретения скелет содержит по меньшей мере одну моно- или полициклическую кольцевую систему. В некоторых вариантах реализации изобретения скелет содержит по меньшей мере две моно- или полициклические кольцевые системы. В некоторых вариантах реализации изобретения линейная группа ковалентно присоединена к группе скелета, а группа скелета ковалентно присоединена к расщепляемому фрагменту и линкеру. В некоторых вариантах реализации изобретения линейная группа ковалентно присоединена к группе скелета, а группа скелета ковалентно присоединена к расщепляемому фрагменту, линкеру и твердой подложке. В некоторых вариантах реализации изобретения линейная группа ковалентно присоединена к группе скелета, а группа скелета ковалентно присоединена к расщепляемому фрагменту, линкеру и белковому связывающему фрагменту. В некоторых вариантах реализации изобретения линейная группа ковалентно присоединена к группе скелета, а группа скелета ковалентно присоединена к расщепляемому фрагменту, линкеру, белковому связывающему фрагменту и твердой подложке. В некоторых вариантах реализации изобретения группа скелета содержит одну или более расщепляемых связей.In some embodiments of the invention, the linker contains a linear group covalently attached to the backbone group. In some embodiments, the backbone contains a branched aliphatic group that contains groups selected from alkyl, amide, disulfide, polyethylene glycol, ether, thioether, and hydroxylamino groups. In some embodiments, the backbone contains a branched aliphatic group that contains groups selected from alkyl, amide, and ether groups. In some embodiments of the invention, the backbone contains at least one mono- or polycyclic ring system. In some embodiments, the backbone contains at least two mono- or polycyclic ring systems. In some embodiments, the linear group is covalently attached to the backbone group and the backbone group is covalently attached to the cleavable moiety and the linker. In some embodiments, the linear group is covalently attached to the backbone group and the backbone group is covalently attached to the cleavable moiety, the linker, and the solid support. In some embodiments, the linear group is covalently attached to the backbone group, and the backbone group is covalently attached to the cleavable moiety, the linker, and the protein binding moiety. In some embodiments, the linear group is covalently attached to the backbone group and the backbone group is covalently attached to the cleavable moiety, the linker, the protein binding moiety, and the solid support. In some embodiments, the backbone group contains one or more cleavable bonds.

В некоторых вариантах реализации изобретения линкер содержит фрагмент, связывающий белки. В некоторых вариантах реализации изобретения фрагмент, связывающий белки, представляет собой липид, такой как, например, включая, но не ограничиваясь ими, холестерин, холевая кислота, адамантан-уксусная кислота, 1-пирен-масляная кислота, дигидротестостерон, 1,3-бис-O(гексадецил)глицерин, геранилоксигексиловая группа, гексадецилглицерин, борнеол, ментол, 1,3-пропандиол, гептадециловая группа, пальмитиновая кислота, миристиновая кислота, О3-(олеоил)литохолевая кислота, О3-(олеоил)холеновая кислота, диметокситритил или феноксазин, витамин (например, фолат, витамин А, витамин Е, биотин, пиридоксаль), пептид, углевод (например, моносахарид, дисахарид, трисахарид, тетрасахарид, олигосахарид, полисахарид), эндосомолитический компонент, стероид (например, уваол, гецигенин, диосгенин), терпен (например, тритерпен, например, сарсасапогенин, фриделин, литохолевая кислота, дериватизованная эпифриделанолом) или катионный липид. В некоторых вариантах реализации изобретения фрагмент, связывающий белки, представляет собой насыщенную или ненасыщенную жирную кислоту с длиной цепи от С16 до С22, холестерин, холевую кислоту, витамин Е, адамантан или 1-пентафторпропил.In some embodiments of the invention, the linker contains a fragment that binds proteins. In some embodiments, the protein-binding moiety is a lipid, such as, for example, including but not limited to, cholesterol, cholic acid, adamantane-acetic acid, 1-pyrene-butyric acid, dihydrotestosterone, 1,3-bis -O(hexadecyl)glycerol, geranyloxyhexyl group, hexadecylglycerol, borneol, menthol, 1,3-propanediol, heptadecyl group, palmitic acid, myristic acid, O3-(oleoyl)lithocholic acid, O3-(oleoyl)cholenic acid, dimethoxytrityl or phenoxazine , vitamin (eg, folate, vitamin A, vitamin E, biotin, pyridoxal), peptide, carbohydrate (eg, monosaccharide, disaccharide, trisaccharide, tetrasaccharide, oligosaccharide, polysaccharide), endosomolytic component, steroid (eg, uvaol, hecigenin, diosgenin) , a terpene (eg, a triterpene, eg, sarsasapogenin, friedelin, lithocholic acid derivatized with epifridelanol), or a cationic lipid. In some embodiments, the protein-binding moiety is a C16 to C22 saturated or unsaturated fatty acid, cholesterol, cholic acid, vitamin E, adamantane, or 1-pentafluoropropyl.

В некоторых вариантах реализации изобретения линкер имеет структуру, выбранную из:In some embodiments of the invention, the linker has a structure selected from:

Figure 00000017
Figure 00000017

где каждый n независимо равен от 1 до 20; и р равен от 1 до 6.where each n is independently 1 to 20; and p is between 1 and 6.

В некоторых вариантах реализации изобретения линкер имеет структуру, выбранную из:In some embodiments of the invention, the linker has a structure selected from:

Figure 00000018
Figure 00000018

где каждый n независимо равен от 1 до 20.where each n is independently between 1 and 20.

В некоторых вариантах реализации изобретения линкер имеет структуру, выбранную из:In some embodiments of the invention, the linker has a structure selected from:

Figure 00000019
Figure 00000019

где n равен от 1 до 20.where n is between 1 and 20.

В некоторых вариантах реализации изобретения линкер имеет структуру, выбранную из:In some embodiments of the invention, the linker has a structure selected from:

Figure 00000020
Figure 00000020

где каждый L независимо представляет собой фосфорную связывающую группуwhere each L is independently a phosphorus linking group

или нейтральную связывающую группу; иor a neutral linking group; and

каждый n независимо равен от 1 до 20.each n is independently 1 to 20.

В некоторых вариантах реализации изобретения линкер имеет структуру, выбранную из:

Figure 00000021
In some embodiments of the invention, the linker has a structure selected from:
Figure 00000021

Figure 00000022
Figure 00000022

В некоторых вариантах реализации изобретения линкер имеет структуру, выбранную из:In some embodiments of the invention, the linker has a structure selected from:

Figure 00000023
Figure 00000023

В некоторых вариантах реализации изобретения линкер имеет структуру, выбранную из:In some embodiments of the invention, the linker has a structure selected from:

Figure 00000024
Figure 00000024

В некоторых вариантах реализации изобретения линкер имеет структуру, выбранную из:In some embodiments of the invention, the linker has a structure selected from:

Figure 00000025
Figure 00000025

где n равен от 1 до 20.where n is between 1 and 20.

В некоторых вариантах реализации изобретения линкер имеет структуру, выбранную из:In some embodiments of the invention, the linker has a structure selected from:

Figure 00000026
Figure 00000026

В некоторых вариантах реализации изобретения линкер имеет структуру, выбранную из:In some embodiments of the invention, the linker has a structure selected from:

Figure 00000027
Figure 00000027

В некоторых вариантах реализации изобретения линкер имеет структуру, выбранную из:In some embodiments of the invention, the linker has a structure selected from:

Figure 00000028
Figure 00000028

В некоторых вариантах реализации изобретения линкер конъюгата имеет структуру:In some embodiments, the conjugate linker has the structure:

Figure 00000029
Figure 00000029

В некоторых вариантах реализации изобретения линкер конъюгата имеет структуру:In some embodiments, the conjugate linker has the structure:

Figure 00000030
Figure 00000030

Б некоторых вариантах реализации изобретения линкер имеет структуру, выбранную из:In some embodiments of the invention, the linker has a structure selected from:

Figure 00000031
Figure 00000031

Б некоторых вариантах реализации изобретения линкер имеет структуру, выбранную из:In some embodiments of the invention, the linker has a structure selected from:

Figure 00000032
Figure 00000032

где каждый n независимо равен 0, 1, 2, 3, 4, 5, 6 или 7.where each n is independently 0, 1, 2, 3, 4, 5, 6, or 7.

iv. Некоторые фрагменты, нацеливающие на клеткуiv. Some fragments targeting a cell

В некоторых вариантах реализации изобретения конъюгирующие группы содержат фрагменты, нацеливающие на клетку. Некоторые такие фрагменты, нацеливающие на клетку, увеличивают клеточный захват антисмысловых соединений. В некоторых вариантах реализации изобретения фрагменты, нацеливающие на клетку, содержат группу ветвления, одну или более связок и один или более лигандов. В некоторых вариантах реализации изобретения фрагменты, нацеливающие на клетку, содержат группу ветвления, одну или более связок, один или более лигандов и одну или более расщепляемых связей.In some embodiments of the invention, the conjugating groups contain fragments that target the cell. Some of these cell-targeting moieties increase cellular uptake of antisense compounds. In some embodiments, cell-targeting moieties comprise a branch group, one or more linkages, and one or more ligands. In some embodiments, cell-targeting moieties comprise a branch group, one or more ligaments, one or more ligands, and one or more cleavable bonds.

1. Некоторые группы ветвления1. Some branch groups

В некоторых вариантах реализации изобретения конъюгирующие группы содержат нацеливающий фрагмент, содержащий группу ветвления и по меньшей мере два связанных лиганда. В некоторых вариантах реализации изобретения группа ветвления присоединяет линкер конъюгата. В некоторых вариантах реализации изобретения группа ветвления присоединяет расщепляемый фрагмент. В некоторых вариантах реализации изобретения группа ветвления присоединяет антисмысловый олигонуклеотид. В некоторых вариантах реализации изобретения группа ветвления ковалентно присоединена к линкеру и каждому из связанных лигандов. В некоторых вариантах реализации изобретения группа ветвления содержит разветвленную алифатическую группу, которая содержит группы, выбранные из алкильных, амидных, дисульфидных, полиэтиленгликолевых, простых эфирных, тиоэфирных и гидроксиламино-групп. В некоторых вариантах реализации изобретения группа ветвления содержит группы, выбранные из алкильных, амидных и простых эфирных групп. В некоторых вариантах реализации изобретения группа ветвления содержит группы, выбранные из алкильных и простых эфирных групп. В некоторых вариантах реализации изобретения группа ветвления содержит моно- или полициклическую кольцевую систему. В некоторых вариантах реализации изобретения группа ветвления содержит одну или более расщепляемых связей. В некоторых вариантах реализации изобретения конъюгирующая группа не содержит группу ветвления.In some embodiments of the invention, the conjugating groups contain a targeting fragment containing a branching group and at least two linked ligands. In some embodiments, a branching group attaches a conjugate linker. In some embodiments, the branching group attaches a cleavable fragment. In some embodiments, the branching group attaches an antisense oligonucleotide. In some embodiments of the invention, the branch group is covalently attached to the linker and each of the associated ligands. In some embodiments, the branching group contains a branched aliphatic group that contains groups selected from alkyl, amide, disulfide, polyethylene glycol, ether, thioether, and hydroxylamino groups. In some embodiments, the branching group contains groups selected from alkyl, amide, and ether groups. In some embodiments, the branch group contains groups selected from alkyl and ether groups. In some embodiments of the invention, the branch group contains a mono- or polycyclic ring system. In some embodiments, the branch group contains one or more cleavable bonds. In some embodiments of the invention, the conjugating group does not contain a branching group.

В некоторых вариантах реализации изобретения группа ветвления имеет структуру, выбранную из:In some embodiments, the branch group has a structure selected from:

Figure 00000033
Figure 00000033

Figure 00000034
Figure 00000034

где каждый n независимо равен от 1 до 20;where each n is independently 1 to 20;

j равен от 1 до 3; иj is from 1 to 3; and

m равен от 2 до 6.m is from 2 to 6.

В некоторых вариантах реализации изобретения группа ветвления имеет структуру, выбранную из:In some embodiments, the branch group has a structure selected from:

Figure 00000035
Figure 00000035

где каждый n независимо равен от 1 до 20; иwhere each n is independently 1 to 20; and

m равен от 2 до 6.m is from 2 to 6.

В некоторых вариантах реализации изобретения группа ветвления имеет структуру, выбранную из:In some embodiments, the branch group has a structure selected from:

Figure 00000036
Figure 00000036

В некоторых вариантах реализации изобретения группа ветвления имеет структуру, выбранную из:In some embodiments, the branch group has a structure selected from:

Figure 00000037
Figure 00000037

где каждый A1 независимо представляет собой О, S, С=O или NH; иwhere each A1 independently represents O, S, C=O or NH; and

каждый n независимо равен от 1 до 20.each n is independently 1 to 20.

В некоторых вариантах реализации изобретения группа ветвления имеет структуру, выбранную из:In some embodiments, the branch group has a structure selected from:

Figure 00000038
Figure 00000038

где каждый A1 независимо представляет собой О, S, С=O или NH; иwhere each A1 independently represents O, S, C=O or NH; and

каждый n независимо равен от 1 до 20.each n is independently 1 to 20.

В некоторых вариантах реализации изобретения группа ветвления имеет структуру, выбранную из:In some embodiments, the branch group has a structure selected from:

Figure 00000039
Figure 00000039

где A1 представляет собой О, S, С=O или NH; иwhere A1 represents O, S, C=O or NH; and

каждый n независимо равен от 1 до 20.each n is independently 1 to 20.

В некоторых вариантах реализации изобретения группа ветвления имеет структуру, выбранную из:In some embodiments, the branch group has a structure selected from:

Figure 00000040
Figure 00000040

В некоторых вариантах реализации изобретения группа ветвления имеет структуру, выбранную из:In some embodiments, the branch group has a structure selected from:

Figure 00000041
Figure 00000041

В некоторых вариантах реализации изобретения группа ветвления имеет структуру, выбранную из:In some embodiments, the branch group has a structure selected from:

Figure 00000042
Figure 00000042

2. Некоторые связки2. Some links

В некоторых вариантах реализации изобретения конъюгирующие группы содержат одну или более связок, ковалентно присоединенных к группе ветвления. В некоторых вариантах реализации изобретения конъюгирующие группы содержат одну или более связок, ковалентно присоединенных к связывающей группе. В некоторых вариантах реализации изобретения каждая связка представляет собой линейную алифатическую группу, содержащую одну или более групп, выбранных из алкильных, простых эфирных, тиоэфирных, дисульфидных, амидных и полиэтиленгликолевых групп в любой комбинации. В некоторых вариантах реализации изобретения каждая связка представляет собой линейную алифатическую группу, содержащую одну или более групп, выбранных из алкильных, замещенных алкильных, простых эфирных, тиоэфирных, дисульфидных, амидных, фосфодиэфирных и полиэтиленгликолевых групп в любой комбинации. В некоторых вариантах реализации изобретения каждая связка представляет собой линейную алифатическую группу, содержащую одну или более групп, выбранных из алкильных, простых эфирных и амидных групп в любой комбинации. В некоторых вариантах реализации изобретения каждая связка представляет собой линейную алифатическую группу, содержащую одну или более групп, выбранных из алкильных, замещенных алкильных, фосфодиэфирных, простых эфирных и амидных групп в любой комбинации. В некоторых вариантах реализации изобретения каждая связка представляет собой линейную алифатическую группу, содержащую одну или более групп, выбранных из алкила и фосфодиэфира в любой комбинации. В некоторых вариантах реализации изобретения каждая связка содержит по меньшей мере одну фосфорную связывающую группу или нейтральную связывающую группу.In some embodiments of the invention, the conjugating groups contain one or more ligaments covalently attached to the branching group. In some embodiments of the invention, the conjugating groups contain one or more ligaments covalently attached to the linking group. In some embodiments of the invention, each linkage is a linear aliphatic group containing one or more groups selected from alkyl, ether, thioether, disulfide, amide, and polyethylene glycol groups in any combination. In some embodiments, each linkage is a linear aliphatic group containing one or more groups selected from alkyl, substituted alkyl, ether, thioether, disulfide, amide, phosphodiester, and polyethylene glycol groups in any combination. In some embodiments of the invention, each linkage is a linear aliphatic group containing one or more groups selected from alkyl, ether and amide groups in any combination. In some embodiments, each linkage is a linear aliphatic group containing one or more groups selected from alkyl, substituted alkyl, phosphodiester, ether, and amide groups in any combination. In some embodiments of the invention, each linkage is a linear aliphatic group containing one or more groups selected from alkyl and phosphodiester in any combination. In some embodiments of the invention, each link contains at least one phosphorus linking group or a neutral linking group.

В некоторых вариантах реализации изобретения связка содержит одну или более расщепляемых связей. В некоторых вариантах реализации изобретения связка присоединена к группе ветвления через амидную или простую эфирную группу. В некоторых вариантах реализации изобретения связка присоединена к группе ветвления через фосфордиэфирную группу. В некоторых вариантах реализации изобретения связка присоединена к группе ветвления через фосфорную связывающую группу или через нейтральную связывающую группу. В некоторых вариантах реализации изобретения связка присоединена к группе ветвления через простую эфирную группу. В некоторых вариантах реализации изобретения связка присоединена к лиганду либо через амидную, либо через простую эфирную группу. В некоторых вариантах реализации изобретения связка присоединена к лиганду через простую эфирную группу. В некоторых вариантах реализации изобретения связка присоединена к лиганду либо через амидную, либо через простую эфирную группу. В некоторых вариантах реализации изобретения связка присоединена к лиганду через простую эфирную группу.In some embodiments, the bond contains one or more cleavable bonds. In some embodiments, the linkage is attached to the branching group through an amide or ether group. In some embodiments, the linkage is attached to the branching group via a phosphorodiester group. In some embodiments, the linkage is attached to the branching group via a phosphorus linking group or via a neutral linking group. In some embodiments, the linkage is attached to the branching group via an ether group. In some embodiments, the linkage is attached to the ligand through either an amide or an ether group. In some embodiments, the linkage is attached to the ligand through an ether group. In some embodiments, the linkage is attached to the ligand through either an amide or an ether group. In some embodiments, the linkage is attached to the ligand through an ether group.

В некоторых вариантах реализации изобретения каждая связка имеет длину от около 8 до около 20 атомов в цепи между лигандом и группой ветвления. В некоторых вариантах реализации изобретения каждая связка имеет длину от около 10 до около 18 атомов в цепи между лигандом и группой ветвления. В некоторых вариантах реализации изобретения каждая связка имеет длину около 13 атомов в цепи.In some embodiments of the invention, each bond has a length of from about 8 to about 20 atoms in the chain between the ligand and the branch group. In some embodiments of the invention, each bond has a length of from about 10 to about 18 atoms in the chain between the ligand and the branch group. In some embodiments of the invention, each bond has a length of about 13 atoms in the chain.

В некоторых вариантах реализации изобретения связка имеет структуру, выбранную из:In some embodiments of the invention, the ligament has a structure selected from:

Figure 00000043
Figure 00000043

где каждый n независимо равен от 1 до 20; иwhere each n is independently 1 to 20; and

каждый р равен от 1 до около 6.each p is between 1 and about 6.

В некоторых вариантах реализации изобретения связка имеет структуру, выбранную из:In some embodiments of the invention, the ligament has a structure selected from:

Figure 00000044
Figure 00000044

В некоторых вариантах реализации изобретения связка имеет структуру, выбранную из:In some embodiments of the invention, the ligament has a structure selected from:

Figure 00000045
Figure 00000045

где каждый n независимо равен от 1 до 20.where each n is independently between 1 and 20.

Б некоторых вариантах реализации изобретения связка имеет структуру, выбранную из:In some embodiments of the invention, the ligament has a structure selected from:

Figure 00000046
Figure 00000046

где L представляет собой либо фосфорную связывающую группу, либо нейтральную связывающую группу;where L is either a phosphorus linking group or a neutral linking group;

Z1 представляет собой C(=O)O-R2;Z1 is C(=O)OR2 ;

Z2 представляет собой Н, C1-C6 алкил или замещенный C1-C6 алкил;Z2 represents H, C1 -C6 alkyl or substituted C1 -C6 alkyl;

R2 представляет собой Н, C1-C6 алкил или замещенный C16 алкил; иR2 is H, C1 -C6 alkyl or substituted C1 -C6 alkyl; and

каждый m1 независимо равен от 0 до 20, при этом по меньшей мере один m1 больше 0 для каждой связки.each m1 is independently 0 to 20, with at least one m1 greater than 0 for each bundle.

Б некоторых вариантах реализации изобретения связка имеет структуру, выбранную из:In some embodiments of the invention, the ligament has a structure selected from:

Figure 00000047
Figure 00000047

Б некоторых вариантах реализации изобретения связка имеет структуру, выбранную из:In some embodiments of the invention, the ligament has a structure selected from:

Figure 00000048
Figure 00000048

где Z2 представляет собой Н или СН3; иwhere Z2 represents H or CH3 ; and

каждый m1 независимо равен от 0 до 20, при этом по меньшей мере один m1each m1 is independently 0 to 20, with at least one m1

больше 0 для каждой связки.greater than 0 for each bundle.

Б некоторых вариантах реализации изобретения связка имеет структуру, выбранную из:In some embodiments of the invention, the ligament has a structure selected from:

Figure 00000049
или
Figure 00000050
где каждый n независимо равен 0, 1, 2, 3, 4, 5, 6 или 7
Figure 00000049
or
Figure 00000050
where each n is independently 0, 1, 2, 3, 4, 5, 6, or 7

В некоторых вариантах реализации изобретения связка содержит фосфорную связывающую группу. В некоторых вариантах реализации изобретения связка не содержит ни одной амидной связи. В некоторых вариантах реализации изобретения связка содержит фосфорную связывающую группу и не содержит ни одной амидной связи.In some embodiments of the invention, the ligament contains a phosphorus linking group. In some embodiments of the invention, the ligament does not contain any amide bond. In some embodiments of the invention, the ligament contains a phosphorus linking group and does not contain any amide bond.

3. Некоторые лиганды3. Some ligands

В некоторых вариантах реализации настоящего описания приведены лиганды, при этом каждый лиганд ковалентно присоединен к связке. В некоторых вариантах реализации изобретения каждый лиганд выбран так, чтобы он обладал аффинностью по меньшей мере к одному типу рецептора на клетке-мишени. В некоторых вариантах реализации изобретения лиганды выбраны так, чтобы они обладали аффинностью по меньшей мере к одному типу рецептора на поверхности клетки печени млекопитающего. В некоторых вариантах реализации изобретения лиганды выбраны так, чтобы они обладали аффинностью к печеночному асиалогликопротеиновому рецептору (ASGP-R). В некоторых вариантах реализации изобретения каждый лиганд представляет собой углевод. В некоторых вариантах реализации изобретения каждый лиганд независимо выбран из галактозы, N-ацетилгалактозамина, маннозы, глюкозы, глюкозамина и фукозы. В некоторых вариантах реализации изобретения каждый лиганд представляет собой N-ацетилгалактозамин (GalNAc). В некоторых вариантах реализации изобретения нацеливающий фрагмент содержит 2-6 лигандов. В некоторых вариантах реализации изобретения нацеливающий фрагмент содержит 3 лиганда. В некоторых вариантах реализации изобретения нацеливающий фрагмент содержит 3 N-ацетилгалактозаминовых лиганда.In some embodiments of the present disclosure, ligands are provided, with each ligand covalently attached to the ligament. In some embodiments, each ligand is selected to have affinity for at least one type of receptor on the target cell. In some embodiments, the ligands are selected to have affinity for at least one type of receptor on the surface of a mammalian liver cell. In some embodiments, the ligands are selected to have affinity for the hepatic asialoglycoprotein receptor (ASGP-R). In some embodiments of the invention, each ligand is a carbohydrate. In some embodiments, each ligand is independently selected from galactose, N-acetylgalactosamine, mannose, glucose, glucosamine, and fucose. In some embodiments of the invention, each ligand is N-acetylgalactosamine (GalNAc). In some embodiments of the invention, the targeting fragment contains 2-6 ligands. In some embodiments of the invention, the targeting fragment contains 3 ligands. In some embodiments of the invention, the targeting fragment contains 3 N-acetylgalactosamine ligands.

В некоторых вариантах реализации изобретения лиганд представляет собой углевод, углеводное производное, модифицированный углевод, поливалентный углеводный кластер, полисахарид, модифицированный полисахарид или полисахаридное производное. В некоторых вариантах реализации изобретения лиганд представляет собой аминосахар или тиосахар. Например, аминосахара могут быть выбраны из любого количества соединений, известных в данной области техники, например, глюкозамина, сиаловой кислоты, α-D-галактозамина, N-ацетилгалактозамина, 2-ацетамидо-2-дезокси-D-галактопиранозы (GalNAc), 2-амино-3-O-[(R)-1-карбоксиэтил]-2-дезокси-β-D-глюкопиранозы (β-мурамовой кислоты), 2-дезокси-2-метиламино-L-глюкопиранозы, 4,6-дидезокси-4-формамидо-2,3-ди-O-метил-D-маннопиранозы, 2-дезокси-2-сульфоамино-D-глюкопиранозы и N-сульфо-D-глюкозамина, и N-гликолоил-α-нейраминовой кислоты. Например, тиосахара могут быть выбраны из группы, состоящей из 5-тио-β-D-глюкопиранозы, метил 2,3,4-три-О-ацетил-1-тио-6-O-тритил-α-D-глюкопиранозида, 4-тио-β-D-галактопиранозы и этил 3,4,6,7-тетра-O-ацетил-2-дезокси-1,5-дитио-α-D-глюко-гептопиранозида.In some embodiments, the ligand is a carbohydrate, a carbohydrate derivative, a modified carbohydrate, a polyvalent carbohydrate cluster, a polysaccharide, a modified polysaccharide, or a polysaccharide derivative. In some embodiments, the ligand is an amino sugar or a thio sugar. For example, amino sugars can be selected from any number of compounds known in the art, for example, glucosamine, sialic acid, α-D-galactosamine, N-acetylgalactosamine, 2-acetamido-2-deoxy-D-galactopyranose (GalNAc), 2 -amino-3-O-[(R)-1-carboxyethyl]-2-deoxy-β-D-glucopyranose (β-muramic acid), 2-deoxy-2-methylamino-L-glucopyranose, 4,6-dideoxy -4-formamido-2,3-di-O-methyl-D-mannopyranose, 2-deoxy-2-sulfoamino-D-glucopyranose and N-sulfo-D-glucosamine, and N-glycocoyl-α-neuraminic acid. For example, the thiosugar may be selected from the group consisting of 5-thio-β-D-glucopyranose, methyl 2,3,4-tri-O-acetyl-1-thio-6-O-trityl-α-D-glucopyranoside, 4-thio-β-D-galactopyranose and ethyl 3,4,6,7-tetra-O-acetyl-2-deoxy-1,5-dithio-α-D-gluco-heptopyranoside.

В некоторых вариантах реализации изобретения «GalNac» или «Gal-NAc» относится к 2-(ацетиламино)-2-дезокси-D-галактопиранозе, обычно упоминаемой в литературе как N-ацетилгалактозамин. В некоторых вариантах реализации изобретения «N-ацетилгалактозамин» относится к 2-(ацетиламино)-2-дезокси-Б-галактопиранозе. В некоторых вариантах реализации изобретения «GalNac» или «Gal-NAc» относится к 2-(ацетиламино)-2-дезокси-D-галактопиранозе. В некоторых вариантах реализации изобретения «GalNac» или «Gal-NAc» относится к 2-(ацетиламино)-2-дезокси-D-галактопиранозе, которая включает и β-форму: 2-(ацетиламино)-2-дезокси-β-D-галактопиранозу, и α-форму: 2-(ацетиламино)-2-дезокси-D-галактопиранозу. В некоторых вариантах реализации изобретения обе формы, β-форма: 2-(ацетиламино)-2-дезокси-β-D-галактопираноза, и α-форма: 2-(ацетиламино)-2-дезокси-D-галактопираноза, могут быть применены взаимозаменяемо. Соответственно, в структурах, в которых изображена одна форма, подразумевается, что эти структуры включают также и другую форму. Например, если показана структура для α-формы: 2-(ацетиламино)-2-дезокси-D-галактопиранозы, то подразумевается, что эта структура включает также и другую форму. В некоторых предпочтительных вариантах реализации изобретения β-форма 2-(ацетиламино)-2-дезокси-D-галактопиранозы является предпочтительным вариантом реализации.In some embodiments, "GalNac" or "Gal-NAc" refers to 2-(acetylamino)-2-deoxy-D-galactopyranose, commonly referred to in the literature as N-acetylgalactosamine. In some embodiments of the invention "N-acetylgalactosamine" refers to 2-(acetylamino)-2-deoxy-B-galactopyranose. In some embodiments, "GalNac" or "Gal-NAc" refers to 2-(acetylamino)-2-deoxy-D-galactopyranose. In some embodiments, "GalNac" or "Gal-NAc" refers to 2-(acetylamino)-2-deoxy-D-galactopyranose, which includes the β form: 2-(acetylamino)-2-deoxy-β-D -galactopyranose, and α-form: 2-(acetylamino)-2-deoxy-D-galactopyranose. In some embodiments, both β-form: 2-(acetylamino)-2-deoxy-β-D-galactopyranose and α-form: 2-(acetylamino)-2-deoxy-D-galactopyranose can be used interchangeably. Accordingly, structures in which one form is depicted are intended to include the other form as well. For example, if a structure is shown for the α-form: 2-(acetylamino)-2-deoxy-D-galactopyranose, this structure is understood to include the other form as well. In some preferred embodiments, the β-form of 2-(acetylamino)-2-deoxy-D-galactopyranose is the preferred embodiment.

Figure 00000051
Figure 00000051

2-(Ацетил амино)-2-дезокси-D-галактопираноза2-(Acetyl amino)-2-deoxy-D-galactopyranose

Figure 00000052
Figure 00000052

2-(Ацетиламино)-2-дезокси-β-D-галактопираноза2-(Acetylamino)-2-deoxy-β-D-galactopyranose

Figure 00000053
Figure 00000053

2-(Ацетиламино)-2-дезокси-α-D-галактопираноза2-(Acetylamino)-2-deoxy-α-D-galactopyranose

В некоторых вариантах один или более лигандов имеют структуру, выбранную из:In some embodiments, one or more ligands have a structure selected from:

Figure 00000054
Figure 00000054

где каждый R1 выбран из ОН и NHCOOH.where each R1 is selected from OH and NHCOOH.

В некоторых вариантах один или более лигандов имеют структуру, выбранную из:In some embodiments, one or more ligands have a structure selected from:

Figure 00000055
Figure 00000055

В некоторых вариантах один или более лигандов имеют структуру, выбранную из:In some embodiments, one or more ligands have a structure selected from:

Figure 00000056
Figure 00000056

В некоторых вариантах один или более лигандов имеют структуру, выбранную из:In some embodiments, one or more ligands have a structure selected from:

Figure 00000057
Figure 00000057

i. Некоторые конъюгатыi. Some conjugates

В некоторых вариантах реализации изобретения конъюгирующие группы содержат структурные особенности, представленные выше. В некоторых таких вариантах реализации изобретения конъюгирующие группы имеют следующую структуру:In some embodiments of the invention, the conjugating groups contain the structural features presented above. In some such embodiments, the conjugating groups have the following structure:

Figure 00000058
Figure 00000058

где каждый n независимо равен от 1 до 20.where each n is independently between 1 and 20.

В некоторых таких вариантах реализации изобретения конъюгирующие группы имеют следующую структуру:In some such embodiments, the conjugating groups have the following structure:

Figure 00000059
Figure 00000059

В некоторых таких вариантах реализации изобретения конъюгирующие группы имеют следующую структуру:In some such embodiments, the conjugating groups have the following structure:

Figure 00000060
Figure 00000060

где каждый n независимо равен от 1 до 20;where each n is independently 1 to 20;

Z представляет собой Н или связанную твердую подложку;Z is H or a bonded solid support;

Q представляет собой антисмысловое соединение;Q is an antisense compound;

X представляет собой О или S; иX is O or S; and

Вх представляет собой гетероциклический основной фрагмент.Bx is a heterocyclic basic fragment.

В некоторых таких вариантах реализации изобретения конъюгирующие группы имеют следующую структуру:In some such embodiments, the conjugating groups have the following structure:

Figure 00000061
Figure 00000061

В некоторых таких вариантах реализации изобретения конъюгирующие группы имеют следующую структуру:In some such embodiments, the conjugating groups have the following structure:

Figure 00000062
Figure 00000062

В некоторых таких вариантах реализации изобретения конъюгирующие группы имеют следующую структуру:In some such embodiments, the conjugating groups have the following structure:

Figure 00000063
Figure 00000063

В некоторых таких вариантах реализации изобретения конъюгирующие группы имеют следующую структуру:In some such embodiments, the conjugating groups have the following structure:

Figure 00000064
Figure 00000064

В некоторых таких вариантах реализации изобретения конъюгирующие группы имеют следующую структуру:In some such embodiments, the conjugating groups have the following structure:

Figure 00000065
Figure 00000065

В некоторых таких вариантах реализации изобретения конъюгирующие группы имеют следующую структуруIn some such embodiments, the conjugating groups have the following structure

Figure 00000066
Figure 00000066

В некоторых таких вариантах реализации изобретения конъюгирующие группы имеют следующую структуру:In some such embodiments, the conjugating groups have the following structure:

Figure 00000067
Figure 00000067

В некоторых таких вариантах реализации изобретения конъюгирующие группы имеют следующую структуру:In some such embodiments, the conjugating groups have the following structure:

Figure 00000068
Figure 00000068

В некоторых вариантах реализации изобретения конъюгаты не содержат пирролидин.In some embodiments of the invention, the conjugates do not contain pyrrolidine.

В некоторых таких вариантах реализации изобретения конъюгирующие группы имеют следующую структуру:In some such embodiments, the conjugating groups have the following structure:

Figure 00000069
Figure 00000069

В некоторых таких вариантах реализации изобретения конъюгирующие группы имеют следующую структуру:In some such embodiments, the conjugating groups have the following structure:

Figure 00000070
Figure 00000070

В некоторых таких вариантах реализации изобретения конъюгирующие группы имеют следующую структуру:In some such embodiments, the conjugating groups have the following structure:

Figure 00000071
Figure 00000071

В некоторых таких вариантах реализации изобретения конъюгирующие группы имеют следующую структуру:In some such embodiments, the conjugating groups have the following structure:

Figure 00000072
Figure 00000072

В некоторых таких вариантах реализации изобретения конъюгирующие группы имеют следующую структуру:In some such embodiments, the conjugating groups have the following structure:

Figure 00000073
Figure 00000073

В некоторых таких вариантах реализации изобретения конъюгирующие группы имеют следующую структуру:In some such embodiments, the conjugating groups have the following structure:

Figure 00000074
Figure 00000074

В некоторых таких вариантах реализации изобретения конъюгирующие группы имеют следующую структуру:In some such embodiments, the conjugating groups have the following structure:

Figure 00000075
Figure 00000075

В некоторых таких вариантах реализации изобретения конъюгирующие группы имеют следующую структуру:In some such embodiments, the conjugating groups have the following structure:

Figure 00000076
Figure 00000076

В некоторых таких вариантах реализации изобретения конъюгирующие группы имеют следующую структуру:In some such embodiments, the conjugating groups have the following structure:

Figure 00000077
Figure 00000077

В некоторых таких вариантах реализации изобретения конъюгирующие группы имеют следующую структуру:In some such embodiments, the conjugating groups have the following structure:

Figure 00000078
Figure 00000078

В некоторых таких вариантах реализации изобретения конъюгирующие группы имеют следующую структуру:In some such embodiments, the conjugating groups have the following structure:

Figure 00000079
Figure 00000079

В некоторых вариантах реализации изобретения фрагмент конъюгирующие группы, нацеливающий на клетку, имеет следующую структуру:In some embodiments, the cell-targeting moiety of the conjugating group has the following structure:

Figure 00000080
Figure 00000080

где X представляет собой замещенную или незамещенную связку из шести-одиннадцати последовательно связанных атомов.where X is a substituted or unsubstituted bond of six to eleven consecutively bonded atoms.

В некоторых вариантах реализации изобретения фрагмент конъюгирующие группы, нацеливающий на клетку, имеет следующую структуру:In some embodiments, the cell-targeting moiety of the conjugating group has the following structure:

Figure 00000081
Figure 00000081

где X представляет собой замещенную или незамещенную связку из десяти последовательно связанных атомов.where X is a substituted or unsubstituted bond of ten consecutively bonded atoms.

В некоторых вариантах реализации изобретения фрагмент конъюгирующие группы, нацеливающий на клетку, имеет следующую структуру:In some embodiments, the cell-targeting moiety of the conjugating group has the following structure:

Figure 00000082
Figure 00000082

где X представляет собой замещенную или незамещенную связку из четыре х-одиннадцати последовательно связанных атомов, и при этом указанная связка содержит только одну амидную связь.where X is a substituted or unsubstituted linkage of four x-eleven successively linked atoms, and while the specified link contains only one amide bond.

В некоторых вариантах реализации изобретения фрагмент конъюгирующие группы, нацеливающий на клетку, имеет следующую структуру:In some embodiments, the cell-targeting moiety of the conjugating group has the following structure:

Figure 00000083
Figure 00000083

где Y и Z независимо выбраны из С112 замещенной или незамещенной алкильной, алкенильной или алкинильной группы или группы, содержащей эфир, кетон, амид, сложный эфир, карбамат, амин, пиперидин, фосфат, фосфодиэфир, тиофосфат, триазол, пирролидин, дисульфид или тиоэфир.where Y and Z are independently selected from a C1 -C12 substituted or unsubstituted alkyl, alkenyl or alkynyl group or a group containing an ester, ketone, amide, ester, carbamate, amine, piperidine, phosphate, phosphodiester, thiophosphate, triazole, pyrrolidine, disulfide or thioether.

В некоторых таких вариантах реализации изобретения фрагмент конъюгирующие группы, нацеливающий на клетку, имеет следующую структуру:In some such embodiments, the cell-targeting moiety of the conjugating group has the following structure:

Figure 00000084
Figure 00000084

где Y и Z независимо выбраны из С112 замещенной или незамещенной алкильной группы или группы, содержащей ровно один эфир или ровно два эфира, амид, амин, пиперидин, фосфат, фосфодиэфир или тиофосфат.where Y and Z are independently selected from C1 -C12 substituted or unsubstituted alkyl group or a group containing exactly one ester or exactly two esters, amide, amine, piperidine, phosphate, phosphodiester or thiophosphate.

В некоторых таких вариантах реализации изобретения фрагмент конъюгирующие группы, нацеливающий на клетку, имеет следующую структуру:In some such embodiments, the cell-targeting moiety of the conjugating group has the following structure:

Figure 00000085
Figure 00000085

где Y и Z независимо выбраны из С112 замещенной или незамещенной алкильной группы.where Y and Z are independently selected from C1 -C12 substituted or unsubstituted alkyl group.

В некоторых таких вариантах реализации изобретения фрагмент конъюгирующие группы, нацеливающий на клетку, имеет следующую структуру:In some such embodiments, the cell-targeting moiety of the conjugating group has the following structure:

Figure 00000086
Figure 00000086

где тип независимо выбраны из 1, 2, 3, 4, 5, 6, 7, 8, 9, 10, 11 и 12.where the type is independently selected from 1, 2, 3, 4, 5, 6, 7, 8, 9, 10, 11 and 12.

В некоторых таких вариантах реализации изобретения фрагмент конъюгирующие группы, нацеливающий на клетку, имеет следующую структуру:In some such embodiments, the cell-targeting moiety of the conjugating group has the following structure:

Figure 00000087
Figure 00000087

где m равен 4, 5, 6, 7 или 8, и n равен 1, 2, 3 или 4.where m is 4, 5, 6, 7 or 8 and n is 1, 2, 3 or 4.

В некоторых вариантах реализации изобретения фрагмент конъюгирующие группы, нацеливающий на клетку, имеет следующую структуру:In some embodiments, the cell-targeting moiety of the conjugating group has the following structure:

Figure 00000088
Figure 00000088

где X представляет собой замещенную или незамещенную связку из четырех-тринадцати последовательно связанных атомов, и при этом X не содержит эфирную группу.where X is a substituted or unsubstituted bunch of four to thirteen consecutive atoms, and while X does not contain an ester group.

В некоторых вариантах реализации изобретения фрагмент конъюгирующие группы, нацеливающий на клетку, имеет следующую структуру:In some embodiments, the cell-targeting moiety of the conjugating group has the following structure:

Figure 00000089
Figure 00000089

где X представляет собой замещенную или незамещенную связку из восьми последовательно связанных атомов, и при этом X не содержит эфирную группу.where X is a substituted or unsubstituted bunch of eight consecutive atoms, and while X does not contain an ester group.

В некоторых вариантах реализации изобретения фрагмент конъюгирующие группы, нацеливающий на клетку, имеет следующую структуру:In some embodiments, the cell-targeting moiety of the conjugating group has the following structure:

Figure 00000090
Figure 00000090

где X представляет собой замещенную или незамещенную связку из четырех-тринадцати последовательно связанных атомов, и при этом указанная связка содержит только одну амидную связь, а X не содержит эфирную группу.where X is a substituted or unsubstituted linkage of four to thirteen successively linked atoms, and while the specified linkage contains only one amide bond, and X does not contain an ester group.

В некоторых вариантах реализации изобретения фрагмент конъюгирующие группы, нацеливающий на клетку, имеет следующую структуру:In some embodiments, the cell-targeting moiety of the conjugating group has the following structure:

Figure 00000091
Figure 00000091

где X представляет собой замещенную или незамещенную связку из четыре х-тринадцати последовательно связанных атомов, и при этом указанная связка состоит из амидной связи и замещенной или незамещенной С211 алкильной группы.where X is a substituted or unsubstituted linkage of four x-thirteen successively linked atoms, and while the specified linkage consists of an amide bond and a substituted or unsubstituted C2 -C11 alkyl group.

В некоторых вариантах реализации изобретения фрагмент конъюгирующие группы, нацеливающий на клетку, имеет следующую структуру:In some embodiments, the cell-targeting moiety of the conjugating group has the following structure:

Figure 00000092
Figure 00000092

где Y выбран из С112 замещенной или незамещенной алкильной, алкенильной или алкинильной группы или группы, содержащей эфир, кетон, амид, сложный эфир, карбамат, амин, пиперидин, фосфат, фосфодиэфир, тиофосфат, триазол, пирролидин, дисульфид или тиоэфир.where Y is selected from a C1 -C12 substituted or unsubstituted alkyl, alkenyl or alkynyl group or a group containing an ether, ketone, amide, ester, carbamate, amine, piperidine, phosphate, phosphodiester, thiophosphate, triazole, pyrrolidine, disulfide or thioether .

В некоторых таких вариантах реализации изобретения фрагмент конъюгирующие группы, нацеливающий на клетку, имеет следующую структуру:In some such embodiments, the cell-targeting moiety of the conjugating group has the following structure:

Figure 00000093
Figure 00000093

где Y выбран из С112 замещенной или незамещенной алкильной группы или группы, содержащей эфир, амин, пиперидин, фосфат, фосфодиэфир или тиофосфат.where Y is selected from C1 -C12 substituted or unsubstituted alkyl group or a group containing an ether, amine, piperidine, phosphate, phosphodiester or thiophosphate.

В некоторых таких вариантах реализации изобретения фрагмент конъюгирующие группы, нацеливающий на клетку, имеет следующую структуру:In some such embodiments, the cell-targeting moiety of the conjugating group has the following structure:

Figure 00000094
Figure 00000094

где Y выбран из С112 замещенной или незамещенной алкильной группы.where Y is selected from C1 -C12 substituted or unsubstituted alkyl group.

В некоторых таких вариантах реализации изобретения фрагмент конъюгирующие группы, нацеливающий на клетку, имеет следующую структуру:In some such embodiments, the cell-targeting moiety of the conjugating group has the following structure:

Figure 00000095
Figure 00000095

где n равен 1, 2, 3, 4, 5, 6, 7, 8, 9, 10, 11 или 12.where n is 1, 2, 3, 4, 5, 6, 7, 8, 9, 10, 11, or 12.

В некоторых таких вариантах реализации изобретения фрагмент конъюгирующие группы, нацеливающий на клетку, имеет следующую структуру:In some such embodiments, the cell-targeting moiety of the conjugating group has the following structure:

Figure 00000096
Figure 00000096

где n равен 4, 5, 6, 7 или 8.where n is 4, 5, 6, 7 or 8.

b. Некоторые конъюгированные антисмысловые соединенияb. Certain conjugated antisense compounds

С представляет собой линкер конъюгата D представляет собой группу ветвленияC is a conjugate linker D is a branch group

В некоторых вариантах реализации изобретения конъюгаты связаны с нуклеозидом антисмыслового олигонуклеотида в 2', 3' или 5' положении нуклеозида. В некоторых вариантах реализации изобретения конъюгированное антисмысловое соединение имеет следующую структуру:In some embodiments, the conjugates are linked to the nucleoside of the antisense oligonucleotide at the 2', 3', or 5' position of the nucleoside. In some embodiments, the conjugated antisense compound has the following structure:

Figure 00000097
Figure 00000097

гдеwhere

А представляет собой антисмысловый олигонуклеотид;A is an antisense oligonucleotide;

В представляет собой расщепляемый фрагментB is a cleavable fragment

С представляет собой линкер конъюгатаC is the conjugate linker

D представляет собой группу ветвленияD is a branch group

каждый Е представляет собой связку;each E is a bunch;

каждый F представляет собой лиганд; иeach F is a ligand; and

q представляет собой целое число от 1 до 5.q is an integer from 1 to 5.

В некоторых вариантах реализации изобретения конъюгированное антисмысловое соединение имеет следующую структуру:In some embodiments, the conjugated antisense compound has the following structure:

Figure 00000098
Figure 00000098

гдеwhere

А представляет собой антисмысловый олигонуклеотид;A is an antisense oligonucleotide;

каждый Е представляет собой связку;each E is a bunch;

каждый F представляет собой лиганд; иeach F is a ligand; and

q представляет собой целое число от 1 до 5.q is an integer from 1 to 5.

В некоторых таких вариантах реализации изобретения линкер конъюгата содержит по меньшей мере одну расщепляемую связь.In some such embodiments, the conjugate linker contains at least one cleavable bond.

В некоторых таких вариантах реализации изобретения группа ветвления содержит по меньшей мере одну расщепляемую связь.In some such embodiments, the branch group contains at least one cleavable bond.

В некоторых вариантах реализации изобретения каждая связка содержит по меньшей мере одну расщепляемую связь.In some embodiments of the invention, each ligament contains at least one cleavable bond.

В некоторых вариантах реализации изобретения конъюгаты связаны с нуклеозидом антисмыслового олигонуклеотида в 2', 3' или 5' положении нуклеозида.In some embodiments, the conjugates are linked to the nucleoside of the antisense oligonucleotide at the 2', 3', or 5' position of the nucleoside.

В некоторых вариантах реализации изобретения конъюгированное антисмысловое соединение имеет следующую структуру:In some embodiments, the conjugated antisense compound has the following structure:

Figure 00000099
Figure 00000099

гдеwhere

А представляет собой антисмысловый олигонуклеотид;A is an antisense oligonucleotide;

В представляет собой расщепляемый фрагментB is a cleavable fragment

С представляет собой линкер конъюгатаC is the conjugate linker

каждый Е представляет собой связку;each E is a bunch;

каждый F представляет собой лиганд; иeach F is a ligand; and

q представляет собой целое число от 1 до 5.q is an integer from 1 to 5.

В некоторых вариантах реализации изобретения конъюгаты связаны с нуклеозидом антисмыслового олигонуклеотида в 2', 3' или 5' положении нуклеозида. В некоторых вариантах реализации изобретения конъюгированное антисмысловое соединение имеет следующую структуру:In some embodiments, the conjugates are linked to the nucleoside of the antisense oligonucleotide at the 2', 3', or 5' position of the nucleoside. In some embodiments, the conjugated antisense compound has the following structure:

Figure 00000100
Figure 00000100

гдеwhere

А представляет собой антисмысловый олигонуклеотид;A is an antisense oligonucleotide;

С представляет собой линкер конъюгатаC is the linker of the conjugate

каждый Е представляет собой связку;each E is a bunch;

каждый F представляет собой лиганд; иeach F is a ligand; and

q представляет собой целое число от 1 до 5.q is an integer from 1 to 5.

В некоторых вариантах реализации изобретения конъюгированное антисмысловое соединение имеет следующую структуру:In some embodiments, the conjugated antisense compound has the following structure:

Figure 00000101
Figure 00000101

гдеwhere

А представляет собой антисмысловый олигонуклеотид;A is an antisense oligonucleotide;

В представляет собой расщепляемый фрагментB is a cleavable fragment

D представляет собой группу ветвленияD is a branch group

каждый Е представляет собой связку;each E is a bunch;

каждый F представляет собой лиганд; иeach F is a ligand; and

q представляет собой целое число от 1 до 5.q is an integer from 1 to 5.

В некоторых вариантах реализации изобретения конъюгированное антисмысловое соединение имеет следующую структуру:In some embodiments, the conjugated antisense compound has the following structure:

Figure 00000102
Figure 00000102

гдеwhere

А представляет собой антисмысловый олигонуклеотид;A is an antisense oligonucleotide;

D представляет собой группу ветвленияD is a branch group

каждый Е представляет собой связку;each E is a bunch;

каждый F представляет собой лиганд; иeach F is a ligand; and

q представляет собой целое число от 1 до 5.q is an integer from 1 to 5.

В некоторых таких вариантах реализации изобретения линкер конъюгата содержит по меньшей мере одну расщепляемую связь.In some such embodiments, the conjugate linker contains at least one cleavable bond.

В некоторых вариантах реализации изобретения каждая связка содержит по меньшей мере одну расщепляемую связь.In some embodiments of the invention, each ligament contains at least one cleavable bond.

В некоторых вариантах реализации изобретения конъюгированное антисмысловое соединение имеет структуру, выбранную из следующих:In some embodiments, the conjugated antisense compound has a structure selected from the following:

Figure 00000103
Figure 00000103

Б некоторых вариантах реализации изобретения конъюгированное антисмысловое соединение имеет структуру, выбранную из следующих:In some embodiments, the conjugated antisense compound has a structure selected from the following:

Figure 00000104
Figure 00000104

Б некоторых вариантах реализации изобретения конъюгированное антисмысловое соединение имеет структуру, выбранную из следующих:In some embodiments, the conjugated antisense compound has a structure selected from the following:

Figure 00000105
Figure 00000105

Иллюстративные патенты Соединенных штатов Америки, публикации патентных заявок Соединенных штатов Америки и публикации международных патентных заявок, в которых описано получение некоторых из указанных выше конъюгатов, конъюгированных антисмысловых соединений, связок, линкеров, групп ветвления, лигандов, расщепляемых фрагментов, а также других модификаций, включают, без ограничения, US 5994517, US 6300319, US 6660720, US 6906182, US 7262177, US 7491805, US 8106022, US 7723509, US 2006/0148740, US 2011/0123520, WO 2013/033230 и WO 2012/037254, каждая из которых включена в настоящий документ посредством ссылки в полном объеме.Illustrative United States Patents, United States Patent Application Publications, and International Patent Application Publications that describe the preparation of some of the above conjugates, conjugated antisense compounds, linkages, linkers, branching groups, ligands, cleavable moieties, and other modifications, include , without limitation, US 5994517, US 6300319, US 6660720, US 6906182, US 7262177, US 7491805, US 8106022, US 7723509, US 2006/0148740, US 2011/0123520, WO 2013/02032 each of WO 2013/02032 which is incorporated herein by reference in its entirety.

Иллюстративные публикации, в которых описано получение некоторых из указанных выше конъюгатов, конъюгированных антисмысловых соединений, связок, линкеров, групп ветвления, лигандов, расщепляемых фрагментов, а также других модификаций, включают, без ограничения, BIESSEN et al., "The Cholesterol Derivative of a Triantennary Galactoside with High Affinity for the Hepatic Asialoglycoprotein Receptor: a Potent Cholesterol Lowering Agent" J. Med. Chem. (1995) 38:1846-1852, BIESSEN et al., "Synthesis of Cluster Galactosides with High Affinity for the Hepatic Asialoglycoprotein Receptor" J. Med. Chem. (1995) 38:1538-1546, LEE et al., "New and more efficient multivalent glyco-ligands for asialoglycoprotein receptor of mammalian hepatocytes" Bioorganic & Medicinal Chemistry (2011) 19:2494-2500, RENSEN et al., "Determination of the Upper Size Limit for Uptake and Processing of Ligands by the Asialoglycoprotein Receptor on Hepatocytes in Vitro and in Vivo" J. Biol. Chem. (2001) 276(40):37577-37584, RENSEN et al., "Design and Synthesis of Novel N-Acetylgalactosamine-Terminated Glycolipids for Targeting of Lipoproteins to the Hepatic Asialoglycoprotein Receptor" J. Med. Chem. (2004) 47:5798-5808, SLIEDREGT et al., "Design and Synthesis of Novel Amphiphilic Dendritic Galactosides for Selective Targeting of Liposomes to the Hepatic Asialoglycoprotein Receptor" J. Med. Chem. (1999) 42:609-618 и Valentijn et al., "Solid-phase synthesis of lysine-based cluster galactosides with high affinity for the Asialoglycoprotein Receptor" Tetrahedron, 1997, 53(2), 159-110, каждая из которых включена в настоящий документ посредством ссылки в полном объеме.Illustrative publications that describe the preparation of some of the above conjugates, conjugated antisense compounds, tethers, linkers, branching groups, ligands, cleavable moieties, and other modifications include, without limitation, BIESSEN et al., "The Cholesterol Derivative of a Triantennary Galactoside with High Affinity for the Hepatic Asialoglycoprotein Receptor: a Potent Cholesterol Lowering Agent" J. Med. Chem. (1995) 38:1846-1852, BIESSEN et al., "Synthesis of Cluster Galactosides with High Affinity for the Hepatic Asialoglycoprotein Receptor" J. Med. Chem. (1995) 38:1538-1546, LEE et al., "New and more efficient multivalent glyco-ligands for asialoglycoprotein receptor of mammalian hepatocytes" Bioorganic & Medicinal Chemistry (2011) 19:2494-2500, RENSEN et al., "Determination of the Upper Size Limit for Uptake and Processing of Ligands by the Asialoglycoprotein Receptor on Hepatocytes in Vitro and in Vivo" J. Biol. Chem. (2001) 276(40):37577-37584, RENSEN et al., "Design and Synthesis of Novel N-Acetylgalactosamine-Terminated Glycolipids for Targeting of Lipoproteins to the Hepatic Asialoglycoprotein Receptor" J. Med. Chem. (2004) 47:5798-5808, SLIEDREGT et al., "Design and Synthesis of Novel Amphiphilic Dendritic Galactosides for Selective Targeting of Liposomes to the Hepatic Asialoglycoprotein Receptor" J. Med. Chem. (1999) 42:609-618 and Valentijn et al., "Solid-phase synthesis of lysine-based cluster galactosides with high affinity for the Asialoglycoprotein Receptor" Tetrahedron, 1997, 53(2), 159-110, each of which is included herein by reference in its entirety.

В некоторых вариантах реализации изобретения конъюгированные антисмысловые соединения содержат олигонуклеотид на основе РНКазы Н (такой как гэпмер) или сплайс-модулирующий олигонуклеотид (такой как полностью модифицированный олигонуклеотид) и любую конъюгирующую группу, содержащую по меньшей мере одну, две или три группы GalNAc. В некоторых вариантах реализации изобретения конъюгированное антисмысловое соединение содержит любую конъюгирующую группу, приведенную в следующих ссылках: Lee, Carbohydr Res, 1978, 67, 509-514; Connolly et al., J Biol Chem, 1982, 257, 939-945; Pavia et al., Int J Pep Protein Res, 1983, 22, 539-548; Lee et al., Biochem, 1984, 23, 4255-4261; Lee et al., Glycoconjugate J, 1987, 4, 317-328; Toyokuni et al., Tetrahedron Lett, 1990, 31, 2673-2676; Biessen et al., J Med Chem, 1995, 38, 1538-1546; Valentijn et al., Tetrahedron, 1997, 53, 759-770; Kim et al., Tetrahedron Lett, 1997, 38, 3487-3490; Lee et al., Bioconjug Chem, 1997, 8, 762-765; Kato et al., Glycobiol, 2001, 11, 821-829; Rensen et al., J Biol Chem, 2001, 276, 37577-37584; Lee et al., Methods Enzymol, 2003, 362, 38-43; Westerlind et al., Glycoconj J, 2004, 21, 227-241; Lee et al., Bioorg Med Chem Lett, 2006, 16(19), 5132-5135; Maierhofer et al., Bioorg Med Chem, 2007, 15, 7661-7676; Khorev et al, Bioorg Med Chem, 200Я, 16, 5216-5231; Lee et al., BioorgMed Chem, 2011, 19, 2494-2500; Kornilova et al., Analyt Biochem, 2012, 425, 43-46; Pujol et al., Angew Chemie Int Ed Engl, 2012, 51, 7445-7448; Biessen et al., J Med Chem, 1995, 38, 1846-1852; Sliedregt et al., J Med Chem, 1999, 42, 609-618; Rensen et al., J Med Chem, 2004, 47, 5798-5808; Rensen et al., Arterioscler Thromb Vase Biol, 2006, 26, 169-175; van Rossenberg et al., Gene Ther, 2004, 11, 457-464; Sato et al., J Am Chem Soc, 2004, 126, 14013-14022; Lee et al., J Org Chem, 2012, 77, 7564-7571; Biessen et al., FASEB J, 2000, 14, 1784-1792; Rajur et al., Bioconjug Chem, 1997, 8, 935-940; Duff et al., Methods Enzymol, 2000, 313, 297-321; Maier et al., Bioconjug Chem, 2003, 14, 18-29; Jayaprakash et al., Org Lett, 2010, 12, 5410-5413; Manoharan, Antisense Nucleic Acid Drug Dev, 2002, 12, 103-128; Merwin et al, Bioconjug Chem, 1994, 5, 612-620; Tomiya et al., Bioorg Med Chem, 2013, 21, 5275-5281; Международные заявки WO 1998/013381; WO 2011/038356; WO 1997/046098; WO 2008/098788; WO 2004/101619; WO 2012/037254; WO 2011/120053; WO 2011/100131; WO 2011/163121; WO 2012/177947; WO 2013/033230; WO 2013/075035; WO 2012/083185; WO 2012/083046; WO 2009/082607; WO 2009/134487; WO 2010/144740; WO 2010/148013; WO1997/020563; WO 2010/088537; WO 2002/043771; WO 2010/129709; WO 2012/068187; WO 2009/126933; WO 2004/024757; WO 2010/054406; WO 2012/089352; WO 2012/089602; WO 2013/166121; WO 2013/165816; патенты США 4751219; 8552163; 6908903; 7262177; 5994517; 6300319; 8106022; 7491805; 7491805; 7582744; 8137695; 6383812; 6525031; 6660720; 7723509; 8541548; 8344125; 8313772; 8349308; 8450467; 8501930; 8158601; 7262177; 6906182; 6620916; 8435491; 8404862; 7851615; опубликованные заявки на патент США US 2011/0097264; US 2011/0097265; US 2013/0004427; US 2005/0164235; US 2006/0148740; US 2008/0281044; US 2010/0240730; US 2003/0119724; US 2006/0183886; US 2008/0206869; US 2011/0269814; US 2009/0286973; US 2011/0207799; US 2012/0136042; US 2012/0165393; US 2008/0281041; US 2009/0203135; US 2012/0035115; US 2012/0095075; US 2012/0101148; US 2012/0128760; US 2012/0157509; US 2012/0230938; US 2013/0109817; US 2013/0121954; US 2013/0178512; US 2013/0236968; US 2011/0123520; US 2003/0077829; US 2008/0108801; и US 2009/0203132; каждая из которых включена посредством ссылки в полном объеме.In some embodiments, the conjugated antisense compounds comprise an RNase H-based oligonucleotide (such as a gapmer) or a splice-modulating oligonucleotide (such as a fully modified oligonucleotide) and any conjugation group containing at least one, two, or three GalNAc groups. In some embodiments, the conjugated antisense compound contains any of the conjugating groups listed in the following references: Lee, Carbohydr Res, 1978, 67, 509-514; Connolly et al., J Biol Chem, 1982, 257, 939-945; Pavia et al., Int J Pep Protein Res, 1983, 22, 539-548; Lee et al., Biochem, 1984, 23, 4255-4261; Lee et al., Glycoconjugate J, 1987, 4, 317-328; Toyokuni et al., Tetrahedron Lett, 1990, 31, 2673-2676; Biessen et al., J Med Chem, 1995, 38, 1538-1546; Valentijn et al., Tetrahedron, 1997, 53, 759-770; Kim et al., Tetrahedron Lett, 1997, 38, 3487-3490; Lee et al., Bioconjug Chem, 1997, 8, 762-765; Kato et al., Glycobiol, 2001, 11, 821-829; Rensen et al., J Biol Chem, 2001, 276, 37577-37584; Lee et al., Methods Enzymol, 2003, 362, 38-43; Westerlind et al., Glycoconj J, 2004, 21, 227-241; Lee et al., Bioorg Med Chem Lett, 2006, 16(19), 5132-5135; Maierhofer et al., Bioorg Med Chem, 2007, 15, 7661-7676; Khorev et al, Bioorg Med Chem, 200J, 16, 5216-5231; Lee et al., BioorgMed Chem, 2011, 19, 2494-2500; Kornilova et al., Analyt Biochem, 2012, 425, 43-46; Pujol et al., Angew Chemie Int Ed Engl, 2012, 51, 7445-7448; Biessen et al., J Med Chem, 1995, 38, 1846-1852; Sliedregt et al., J Med Chem, 1999, 42, 609-618; Rensen et al., J Med Chem, 2004, 47, 5798-5808; Rensen et al., Arterioscler Thromb Vase Biol, 2006, 26, 169-175; van Rossenberg et al., Gene Ther, 2004, 11, 457-464; Sato et al., J Am Chem Soc, 2004, 126, 14013-14022; Lee et al., J Org Chem, 2012, 77, 7564-7571; Biessen et al., FASEB J, 2000, 14, 1784-1792; Rajur et al., Bioconjug Chem, 1997, 8, 935-940; Duff et al., Methods Enzymol, 2000, 313, 297-321; Maier et al., Bioconjug Chem, 2003, 14, 18-29; Jayaprakash et al., Org Lett, 2010, 12, 5410-5413; Manoharan, Antisense Nucleic Acid Drug Dev, 2002, 12, 103-128; Merwin et al, Bioconjug Chem, 1994, 5, 612-620; Tomiya et al., Bioorg Med Chem, 2013, 21, 5275-5281; International applications WO 1998/013381; W02011/038356; WO 1997/046098; W02008/098788; WO2004/101619; W02012/037254; WO 2011/120053; WO 2011/100131; WO 2011/163121; WO2012/177947; WO2013/033230; WO2013/075035; WO2012/083185; W02012/083046; W02009/082607; WO2009/134487; WO2010/144740; WO2010/148013; WO1997/020563; W02010/088537; W02002/043771; WO2010/129709; WO2012/068187; WO2009/126933; WO2004/024757; WO2010/054406; W02012/089352; W02012/089602; WO 2013/166121; WO 2013/165816; US Patents 4,751,219; 8552163; 6908903; 7262177; 5994517; 6300319; 8106022; 7491805; 7491805; 7582744; 8137695; 6383812; 6525031; 6660720; 7723509; 8541548; 8344125; 8313772; 8349308; 8450467; 8501930; 8158601; 7262177; 6906182; 6620916; 8435491; 8404862; 7851615; published US patent applications US 2011/0097264; US 2011/0097265; US 2013/0004427; US 2005/0164235; US 2006/0148740; US 2008/0281044; US 2010/0240730; US 2003/0119724; US 2006/0183886; US 2008/0206869; US 2011/0269814; US 2009/0286973; US 2011/0207799; US 2012/0136042; US 2012/0165393; US 2008/0281041; US 2009/0203135; US 2012/0035115; US 2012/0095075; US 2012/0101148; US 2012/0128760; US 2012/0157509; US 2012/0230938; US 2013/0109817; US 2013/0121954; US 2013/0178512; US 2013/0236968; US 2011/0123520; US 2003/0077829; US 2008/0108801; and US 2009/0203132; each of which is incorporated by reference in its entirety.

С.Некоторые применения и особенностиC.Some applications and features

В некоторых вариантах реализации изобретения конъюгированные антисмысловые соединения демонстрируют эффективное снижение целевой РНК in vivo. В некоторых вариантах реализации изобретения неконъюгированные антисмысловые соединения накапливаются в почках. В некоторых вариантах реализации изобретения конъюгированные антисмысловые соединения накапливаются в печени. В некоторых вариантах реализации изобретения конъюгированные антисмысловые соединения являются хорошо переносимыми. Такие свойства делают конъюгированные антисмысловые соединения особенно пригодными для ингибирования многих целевых РНК, включая, но не ограничиваясь ими, те, которые участвуют в метаболических, сердечно-сосудистых и других заболеваниях, расстройства или патологических состояниях. Таким образом, в настоящем документе приведены способы лечения таких заболеваний, расстройств или патологических состояний приведением тканей печени в контакт с конъюгированными антисмысловыми соединениями, нацеленными на РНК, связанные с такими заболеваниями, расстройствами или патологическими состояниями. Следовательно, приведены также способы улучшения любых из множества метаболических, сердечно-сосудистых и других заболеваний, расстройств или патологических состояний при помощи конъюгированных антисмысловых соединений настоящего изобретения.In some embodiments, the conjugated antisense compounds exhibit effective reduction of the target RNA in vivo. In some embodiments of the invention, unconjugated antisense compounds accumulate in the kidney. In some embodiments, the conjugated antisense compounds accumulate in the liver. In some embodiments, the conjugated antisense compounds are well tolerated. Such properties make conjugated antisense compounds particularly useful for inhibiting many target RNAs, including, but not limited to, those involved in metabolic, cardiovascular, and other diseases, disorders, or pathological conditions. Thus, provided herein are methods of treating such diseases, disorders, or conditions by contacting liver tissues with conjugated antisense compounds that target RNAs associated with such diseases, disorders, or conditions. Therefore, methods for improving any of a variety of metabolic, cardiovascular, and other diseases, disorders, or conditions using the conjugated antisense compounds of the present invention are also provided.

В некоторых вариантах реализации изобретения конъюгированные антисмысловые соединения являются более эффективными, чем неконъюгированные аналоги при определенной концентрации в ткани. Не ограничиваясь какой-либо теорией или механизмом, в некоторых вариантах реализации изобретения конъюгат может обеспечивать возможность более эффективного вхождения конъюгированного антисмыслового соединения в клетку или возможность более продуктивного вхождения в клетку. Например, в некоторых вариантах реализации изобретения конъюгированные антисмысловые соединения могут демонстрировать более значительное снижение мишени, по сравнению с неконъюгированным аналогом, при этом и конъюгированное антисмысловое соединение, и его неконъюгированный аналог находятся в ткани в одинаковых концентрациях. Например, в некоторых вариантах реализации изобретения конъюгированные антисмысловые соединения могут демонстрировать более значительное снижение мишени, по сравнению с их неконъюгированными аналогами, при этом и конъюгированное антисмысловое соединение, и его неконъюгированный аналог находятся в печени в одинаковых концентрациях.In some embodiments of the invention, conjugated antisense compounds are more effective than unconjugated analogs at a certain tissue concentration. Without being limited by any theory or mechanism, in some embodiments of the invention, the conjugate may allow more efficient entry of the conjugated antisense compound into the cell, or the possibility of more productive entry into the cell. For example, in some embodiments, the conjugated antisense compounds may exhibit greater target reduction than the unconjugated counterpart, with both the conjugated antisense compound and its unconjugated analogue present in tissue at the same concentrations. For example, in some embodiments, conjugated antisense compounds may exhibit greater target reduction than their unconjugated counterparts, with both the conjugated antisense compound and its unconjugated analogue present in the liver at the same concentrations.

Ранее был рассмотрен продуктивный и непродуктивный захват олигонуклеотидов (см., например, Geary, R. S., Е. Wancewicz, et al. (2009). "Effect of Dose and Plasma Concentration on Liver Uptake and Pharmacologic Activity of a 2'-Methoxyethyl Modified Chimeric Antisense Oligonucleotide Targeting PTEN." Biochem. Pharmacol. 78(3): 284-91; и Koller, E., Т. M. Vincent, et al. (2011). "Mechanisms of single-stranded phosphorothioate modified antisense oligonucleotide accumulation in hepatocytes." Nucleic Acids Res. 39(11): 4795-807). Конъюгирующие группы, описанные в настоящем документе, могут улучшать продуктивный захват.Productive and non-productive uptake of oligonucleotides has been discussed previously (see e.g. Geary, R. S., E. Wancewicz, et al. (2009). "Effect of Dose and Plasma Concentration on Liver Uptake and Pharmacologic Activity of a 2'-Methoxyethyl Modified Chimeric Antisense Oligonucleotide Targeting PTEN." Biochem. Pharmacol. 78(3): 284-91; and Koller, E., T. M. Vincent, et al. (2011). "Mechanisms of single-stranded phosphorothioate modified antisense oligonucleotide accumulation in hepatocytes." Nucleic Acids Res. 39(11): 4795-807). The conjugating groups described herein may improve productive capture.

В некоторых вариантах реализации изобретения конъюгирующие группы, описанные в настоящем документе, могут дополнительно усиливать эффективность за счет увеличения аффинности конъюгированного антисмыслового соединения к конкретному типу клетки или ткани. В некоторых вариантах реализации изобретения конъюгирующие группы, описанные в настоящем документе, могут дополнительно усиливать эффективность за счет увеличения распознавания конъюгированного антисмыслового соединения одним или более рецепторами клеточной поверхности. В некоторых вариантах реализации изобретения конъюгирующие группы, описанные в настоящем документе, могут дополнительно усиливать эффективность за счет облегчения эндоцитоза конъюгированного антисмыслового соединения.In some embodiments, the conjugating groups described herein may further enhance efficacy by increasing the affinity of the conjugated antisense compound for a particular cell or tissue type. In some embodiments, the conjugating groups described herein may further enhance efficacy by increasing recognition of the conjugated antisense compound by one or more cell surface receptors. In some embodiments, the conjugating groups described herein may further enhance efficacy by facilitating endocytosis of the conjugated antisense compound.

В некоторых вариантах реализации изобретения расщепляемый фрагмент может дополнительно усиливать эффективность за счет обеспечения возможности расщепления конъюгата из антисмыслового олигонуклеотида после попадания конъюгированного антисмыслового соединения в клетку. Соответственно, в некоторых вариантах реализации изобретения конъюгированные антисмысловые соединения могут быть введены в более низких дозах, чем необходимы для неконъюгированных антисмысловых олигонуклеотидов.In some embodiments, the cleavable fragment may further enhance efficiency by allowing the conjugate from the antisense oligonucleotide to be cleaved after the conjugated antisense compound enters the cell. Accordingly, in some embodiments, the conjugated antisense compounds may be administered at lower doses than needed for the unconjugated antisense oligonucleotides.

Ранее в антисмысловые олигонуклеотиды уже были внедрены тиофосфатные связи. Такие тиофосфатные связи являются устойчивыми к нуклеазам и за счет этого улучшают стабильность олигонуклеотида. Кроме того, тиофосфатные связи связывают также некоторые белки, что приводит к накоплению антисмыслового олигонуклеотида в печени. Олигонуклеотиды с меньшим количеством тиофосфатных связей меньше накапливаются в печени и больше - в почках (см., например, Geary, R., "Pharmacokinetic Properties of 2'-O-(2-Methoxyethyl)-Modified Oligonucleotide Analogs in Rats," Journal of Pharmacology and Experimental Therapeutics, том 296, №3, 890-897; и Pharmacological Properties of 2 '-O-Methoxyethyl Modified Oligonucleotides in Antisense a Drug Technology, глава 10, Crooke, S.T., ред., 2008). В некоторых вариантах реализации изобретения олигонуклеотиды с меньшим количеством тиофсофатных межнуклеозидных связей и с большим количеством фосфодиэфирных межнуклеозидных связей меньше накапливаются в печени и больше - в почках. При лечении заболеваний печени это нежелательно по нескольким причинам: (1) меньше лекарства попадает в центр желаемого действия (печень); (2) лекарство выводится с мочой; (3) почки подвергаются воздействию относительно высокой концентрации лекарства, что может приводить к токсичности в почках. Следовательно, для заболеваний печени тиофсофатные связи обеспечивают важное преимущество.Previously, thiophosphate bonds have already been introduced into antisense oligonucleotides. Such thiophosphate bonds are nuclease resistant and thereby improve the stability of the oligonucleotide. In addition, thiophosphate bonds also bind certain proteins, leading to accumulation of the antisense oligonucleotide in the liver. Oligonucleotides with fewer thiophosphate bonds accumulate less in the liver and more in the kidneys (see, for example, Geary, R., "Pharmacokinetic Properties of 2'-O-(2-Methoxyethyl)-Modified Oligonucleotide Analogs in Rats," Journal of Pharmacology and Experimental Therapeutics, vol. 296, no. 3, 890-897; and Pharmacological Properties of 2'-O-Methoxyethyl Modified Oligonucleotides in Antisense a Drug Technology, chapter 10, Crooke, S.T., ed., 2008). In some embodiments of the invention, oligonucleotides with fewer thiophosate internucleoside bonds and with more phosphodiester internucleoside bonds accumulate less in the liver and more in the kidneys. This is undesirable in the treatment of liver disease for several reasons: (1) less drug reaches the site of desired action (liver); (2) the drug is excreted in the urine; (3) the kidneys are exposed to a relatively high concentration of the drug, which can lead to toxicity in the kidneys. Therefore, for liver diseases, thiophosate bonds provide an important advantage.

Однако в некоторых вариантах реализации изобретения введение олигонуклеотидов, равномерно связанных тиофсофатными межнуклеозидными связями, вызывает одну или более провоспалительных реакций. (См., например: J Lab Clin Med. 1996 Sep; 128(3):329-38. "Amplification of antibody production by phosphorothioate oligodeoxynucleotides". Branda et al.; и см. также, например: Toxicologic Properties in Antisense a Drag Technology, глава 12, страницы 342-351, Crooke, S.T., ред., 2008). В некоторых вариантах реализации изобретения введение олигонуклеотидов, в которых большая часть межнуклеозидных связей содержит тиофосфатные межнуклеозидные связи, вызывает одну или более провоспалительных реакций.However, in some embodiments of the invention, the introduction of oligonucleotides, uniformly linked by thiophosate internucleoside bonds, causes one or more pro-inflammatory reactions. (See, for example: J Lab Clin Med. 1996 Sep; 128(3):329-38. "Amplification of antibody production by phosphorothioate oligodeoxynucleotides", Branda et al.; and see also, for example: Toxicologic Properties in Antisense a Drag Technology, chapter 12, pages 342-351, Crooke, S.T., ed., 2008). In some embodiments of the invention, the introduction of oligonucleotides, in which most of the internucleoside bonds contains thiophosphate internucleoside bonds, causes one or more pro-inflammatory reactions.

В некоторых вариантах реализации изобретения степень провоспалительного эффекта может зависеть от нескольких переменных (например, модификация скелета, нецелевое действие, модификации азотистых оснований и/или модификации нуклеозида), см., например: Toxicologic Properties in Antisense a Drug Technology, глава 12, страницы 342-351, Crooke, S.T., ред., 2008). В некоторых вариантах реализации изобретения степень провоспалительного эффекта может быть ослаблена за счет подбора одной или более переменных. Например, степень провоспалительного эффекта данного олигонуклеотида может быть ослаблена за счет замены любого количества тиофосфатных межнуклеозидных связей на фосфодиэфирные межнуклеозидные связи с уменьшением посредством этого общего количества тиофосфатных межнуклеозидных связей.In some embodiments, the degree of pro-inflammatory effect may depend on several variables (e.g., skeletal modification, off-target, nitrogenous base modifications, and/or nucleoside modifications), see, for example: Toxicologic Properties in Antisense a Drug Technology, chapter 12, page 342 -351, Crooke, S.T., ed., 2008). In some embodiments of the invention, the degree of pro-inflammatory effect can be attenuated by the selection of one or more variables. For example, the extent of the pro-inflammatory effect of a given oligonucleotide can be attenuated by replacing any number of thiophosphate internucleoside bonds with phosphodiester internucleoside bonds, thereby reducing the total number of thiophosphate internucleoside bonds.

В некоторых вариантах реализации изобретения может быть желательно снизить количество тиофосфатных связей, если это может быть выполнено без потери стабильности и без сдвига распределения из печени в почки. Например, в некоторых вариантах реализации изобретения количество тиофосфатных связей может быть уменьшено за счет замены тиофосфатных связей на фосфодиэфирные связи. В таком варианте реализации изобретения антисмысловое соединение, имеющее меньшее количество тиофосфатных связей и большее количество фосфодиэфирных связей, может вызывать меньшее количество провоспалительных реакций или не вызывать провоспалительных реакций. Хотя антисмысловое соединение, имеющее меньшее количество тиофосфатных связей и большее количество фосфодиэфирных связей, может вызывать меньшее количество провоспалительных реакций, антисмысловое соединение, имеющее меньшее количество тиофосфатных связей и большее количество фосфодиэфирных связей, может не накапливаться в печени и может быть менее эффективным в такой же или аналогичной дозе, по сравнению с антисмысловым соединением, имеющим большее количество тиофосфатных связей. Поэтому в некоторых вариантах реализации изобретения желательно разработать антисмысловое соединение, которое имеет множество фосфодиэфирных связей и множество тиофосфатных связей, но которое при этом обладает также стабильностью и хорошим распределением в печени.In some embodiments of the invention, it may be desirable to reduce the number of thiophosphate bonds, if this can be done without loss of stability and without shifting the distribution from the liver to the kidneys. For example, in some embodiments of the invention, the number of thiophosphate bonds can be reduced by replacing thiophosphate bonds with phosphodiester bonds. In such an embodiment, an antisense compound having fewer thiophosphate bonds and more phosphodiester bonds may elicit fewer or no pro-inflammatory responses. Although an antisense compound having fewer thiophosphate bonds and more phosphodiester bonds may cause fewer pro-inflammatory reactions, an antisense compound having fewer thiophosphate bonds and more phosphodiester bonds may not accumulate in the liver and may be less effective in the same or a similar dose compared to an antisense compound having more thiophosphate bonds. Therefore, in some embodiments of the invention, it is desirable to develop an antisense compound that has many phosphodiester bonds and many thiophosphate bonds, but which also has stability and good distribution in the liver.

В некоторых вариантах реализации изобретения конъюгированные антисмысловые соединения больше накапливаются в печени и меньше - в почках, чем неконъюгированные аналоги, даже если некоторые тиофосфатные связи заменены менее провоспалительными фосфодиэфирными межнуклеозидными связями. В некоторых вариантах реализации изобретения конъюгированные антисмысловые соединения больше накапливаются в печени и не так сильно выводятся с мочой, как их неконъюгированные аналоги, даже если некоторые тиофосфатные связи заменены менее провоспалительными фосфодиэфирными межнуклеозидными связями. В некоторых вариантах реализации изобретения применение конъюгата обеспечивает возможность разрабатывать более эффективные и лучше переносимые антисмысловые лекарства. Действительно, в некоторых вариантах реализации изобретения конъюгированные антисмысловые соединения имеют более широкий терапевтический индекс, чем неконъюгированные аналоги. Это позволяет вводить конъюгированное антисмысловое соединение в более высокой абсолютной дозе благодаря меньшему риску провоспалительной реакции и меньшему риску токсичности для почек. Такая более высокая доза дает возможность вводить дозу реже, поскольку ожидается такой же коэффициент очищения (метаболизм). Кроме того, поскольку соединение является более эффективным, как описано выше, то можно допускать снижение концентрации перед введением следующей дозы, без потери терапевтической активности, что обеспечивает еще более продолжительные периоды между введениями доз.In some embodiments, conjugated antisense compounds accumulate more in the liver and less in the kidneys than unconjugated analogs, even if some of the thiophosphate bonds are replaced by less pro-inflammatory phosphodiester internucleoside bonds. In some embodiments, conjugated antisense compounds accumulate more in the liver and are not as highly excreted in the urine as their unconjugated counterparts, even if some of the thiophosphate bonds are replaced by less pro-inflammatory phosphodiester internucleoside bonds. In some embodiments of the invention, the use of a conjugate allows the development of more effective and better tolerated antisense drugs. Indeed, in some embodiments of the invention, conjugated antisense compounds have a broader therapeutic index than unconjugated analogs. This allows the conjugated antisense compound to be administered at a higher absolute dose due to less risk of a pro-inflammatory response and less risk of renal toxicity. This higher dose makes it possible to administer the dose less frequently, since the same clearance ratio (metabolism) is expected. In addition, since the compound is more effective as described above, a decrease in concentration before the next dose can be allowed without loss of therapeutic activity, which allows for even longer periods between doses.

В некоторых вариантах реализации изобретения сохраняется необходимость во внедрении некоторого количества тиофосфатных связей. Например, концевые связи легко подвергаются действию экзонуклеаз, и поэтому в некоторых вариантах реализации изобретения эти связи представляют собой тиофосфатные или другие модифицированные связи. Межнуклеозидные связи, соединяющие два дезоксинуклеозида, легко подвергаются действию эндонуклеаз, и поэтому в некоторых вариантах реализации изобретения эти связи представляют собой тиофосфатные или другие модифицированные связи. Межнуклеозидные связи между модифицированным нуклеозидом и дезоксинуклеозидом, где дезоксинуклеозид расположен на 5'-стороне связывающего дезоксинуклеозида, легко подвергаются действию эндонуклеаз, и поэтому в некоторых вариантах реализации изобретения эти связи представляют собой тиофосфатные или другие модифицированные связи. Межнуклеозидные связи между двумя модифицированными нуклеозидами определенных типов и между дезоксинуклеозидом и модифицированным нуклеозидом определенного типа, где модифицированный нуклеозид расположен на 5'-стороне линкера, являются достаточно устойчивыми к нуклеазному расщеплению, поэтому связь может быть фосфодиэфиром.In some embodiments of the invention, it remains necessary to introduce a certain amount of thiophosphate bonds. For example, terminal bonds are easily attacked by exonucleases, and therefore, in some embodiments of the invention, these bonds are thiophosphate or other modified bonds. Internucleoside bonds connecting two deoxynucleosides are readily attacked by endonucleases and therefore, in some embodiments, these bonds are thiophosphate or other modified bonds. Internucleoside bonds between a modified nucleoside and a deoxynucleoside, where the deoxynucleoside is located on the 5' side of the binding deoxynucleoside, are readily attacked by endonucleases, and therefore, in some embodiments, these bonds are thiophosphate or other modified bonds. Internucleoside bonds between two specific types of modified nucleosides and between a deoxynucleoside and a specific type of modified nucleoside, where the modified nucleoside is located on the 5' side of the linker, are sufficiently resistant to nuclease cleavage that the bond may be a phosphodiester.

В некоторых вариантах реализации изобретения антисмысловый олигонуклеотид конъюгированного антисмыслового соединения содержит менее 16 тиофосфатных связей. В некоторых вариантах реализации изобретения антисмысловый олигонуклеотид конъюгированного анти смыслового соединения содержит менее 15 тиофосфатных связей. В некоторых вариантах реализации изобретения антисмысловый олигонуклеотид конъюгированного анти смыслового соединения содержит менее 14 тиофосфатных связей. В некоторых вариантах реализации изобретения антисмысловый олигонуклеотид конъюгированного анти смыслового соединения содержит менее 13 тиофосфатных связей. В некоторых вариантах реализации изобретения антисмысловый олигонуклеотид конъюгированного анти смыслового соединения содержит менее 12 тиофосфатных связей. В некоторых вариантах реализации изобретения антисмысловый олигонуклеотид конъюгированного анти смыслового соединения содержит менее 11 тиофосфатных связей. В некоторых вариантах реализации изобретения антисмысловый олигонуклеотид конъюгированного анти смыслового соединения содержит менее 10 тиофосфатных связей. В некоторых вариантах реализации изобретения антисмысловый олигонуклеотид конъюгированного анти смыслового соединения содержит менее 9 тиофосфатных связей. В некоторых вариантах реализации изобретения антисмысловый олигонуклеотид конъюгированного анти смыслового соединения содержит менее 8 тиофосфатных связей.In some embodiments, the antisense oligonucleotide of the conjugated antisense compound contains less than 16 thiophosphate bonds. In some embodiments, the antisense oligonucleotide of the conjugated antisense compound contains less than 15 thiophosphate bonds. In some embodiments, the antisense oligonucleotide of the conjugated antisense compound contains less than 14 thiophosphate bonds. In some embodiments, the antisense oligonucleotide of the conjugated antisense compound contains less than 13 thiophosphate bonds. In some embodiments, the antisense oligonucleotide of the conjugated antisense compound contains less than 12 thiophosphate bonds. In some embodiments, the antisense oligonucleotide of the conjugated antisense compound contains less than 11 thiophosphate bonds. In some embodiments, the antisense oligonucleotide of the conjugated antisense compound contains less than 10 thiophosphate bonds. In some embodiments, the antisense oligonucleotide of the conjugated antisense compound contains less than 9 thiophosphate bonds. In some embodiments, the antisense oligonucleotide of the conjugated antisense compound contains less than 8 thiophosphate bonds.

В некоторых вариантах реализации изобретения антисмысловые соединения, содержащие одну или более конъюгирующих групп, описанных в настоящем документе, обладают повышенной активностью и/или эффективностью, и/или переносимостью, по сравнению с исходным антисмысловый соединением, не имеющим такой одной или нескольких конъюгирующих групп. Соответственно, в некоторых вариантах реализации изобретения присоединение таких конъюгирующих групп к олигонуклеотиду является желательным. Такие конъюгирующие группы могут быть присоединены у 5'- и/или 3'-конца олигонуклеотида. В некоторых случаях синтетически желательно присоединение на 5'-конце. Как правило, олигонуклеотиды синтезируют присоединением 3'-концевого нуклеозида к твердой подложке с последующим связыванием нуклеозидов от 3' к 5' при помощи методик, общеизвестных в данной области техники. Соответственно, если конъюгирующая группа необходима на З'-конце, то можно (1) присоединить конъюгирующую группу к 3'-концевому нуклеозиду и присоединить этот конъюгированный нуклеозид к твердой подложке для последующего получения олигонуклеотида или (2) присоединить конъюгирующую группу к 3'-концевому нуклеозиду готового олигонуклеотида после синтеза. Ни один из этих подходов не является особенно эффективным, и поэтому оба они затратны. В частности, присоединение конъюгированного нуклеозида к твердой подложке, хотя и приведено в настоящем документе в разделе «Примеры», не является эффективным способом. В некоторых вариантах реализации изобретения присоединение конъюгирующие группы к 5'-концевому нуклеозиду синтетически проще, чем присоединение к З'-концу. Можно присоединить неконъюгированный 3'-концевой нуклеозид к твердой подложке и получить олигонуклеотид по стандартным и хорошо описанным реакциям. Затем нужно лишь присоединить 5'-нуклеозид, имеющий конъюгирующую группу, на последней стадии связывания. В некоторых вариантах реализации изобретения это более эффективно, чем присоединение конъюгированного нуклеозида непосредственно к твердой подложке, как это обычно делают для получения 3'-конъюгированного олигонуклеотида. В представленных в настоящем документе Примерах показано присоединение к 5'-концу. Кроме того, некоторые конъюгирующие группы имеют синтетические преимущества. Например, некоторые конъюгирующие группы, содержащие фосфорные связывающие группы, получают синтетически проще и более эффективно, чем другие конъюгирующие группы, включая конъюгирующие группы, описанные ранее (например, WO/2012/037254).In some embodiments, antisense compounds containing one or more of the conjugation groups described herein have increased potency and/or efficacy and/or tolerability compared to the parent antisense compound lacking such one or more conjugation groups. Accordingly, in some embodiments of the invention, the attachment of such conjugating groups to the oligonucleotide is desirable. Such conjugating groups may be attached at the 5' and/or 3' end of the oligonucleotide. In some cases, the addition at the 5' end is synthetically desirable. Typically, oligonucleotides are synthesized by attaching a 3'-terminal nucleoside to a solid support, followed by linking the nucleosides 3' to 5' using techniques well known in the art. Accordingly, if a conjugation group is needed at the 3' end, then one can (1) attach the conjugation group to the 3' end of the nucleoside and attach this conjugated nucleoside to a solid support to subsequently obtain an oligonucleotide, or (2) attach the conjugation group to the 3' end nucleoside of the finished oligonucleotide after synthesis. Neither of these approaches is particularly efficient, and therefore both are costly. In particular, attachment of a conjugated nucleoside to a solid support, although described in the Examples section of this document, is not an efficient method. In some embodiments of the invention, the addition of conjugating groups to the 5'-terminal nucleoside is synthetically simpler than attachment to the 3'-terminus. It is possible to attach an unconjugated 3'-terminal nucleoside to a solid support and prepare an oligonucleotide according to standard and well-documented reactions. Then it is only necessary to attach the 5'-nucleoside having a conjugating group in the last coupling step. In some embodiments, this is more efficient than attaching the conjugated nucleoside directly to a solid support, as is commonly done to produce a 3'-conjugated oligonucleotide. The Examples provided herein show attachment to the 5' end. In addition, some conjugating groups have synthetic advantages. For example, some conjugate groups containing phosphorus linking groups are synthetically easier and more efficient than other conjugate groups, including the conjugate groups previously described (eg, WO/2012/037254).

В некоторых вариантах реализации изобретения конъюгированные антисмысловые соединения вводят субъекту. В таких вариантах реализации изобретения антисмысловые соединения, содержащие одну или более конъюгирующих групп, описанных в настоящем документе, обладают повышенной активностью и/или эффективностью, и/или переносимостью, по сравнению с исходным антисмысловым соединением, не имеющим такой одной или нескольких конъюгирующих групп. Не ограничиваясь механизмом, предполагается, что конъюгирующая группа способствует распределению, доставке и/или поглощению в целевой клетке или ткани. В некоторых вариантах реализации, после попадания в целевую клетку или ткань желательно, чтобы вся или часть конъюгирующие группы расщеплялась с высвобождением активного олигонуклеотида. В некоторых вариантах реализации изобретения не обязательно, чтобы из олигонуклеотида расщеплялась вся конъюгирующая группа. Например, в Примере 20а конъюгированный олигонуклеотид вводили мышам и обнаруживали множество различных химических частиц, каждая из которых содержала различные части конъюгирующие группы, оставшиеся на олигонуклеотиде (Таблица 10а). Это конъюгированное антисмысловое соединение показало хорошую эффективность (Таблица 10). Так, в некоторых вариантах реализации изобретения такой метаболитный профиль многократного частичного расщепления конъюгирующие группы не влияет на активность/эффективность. Тем не менее, в некоторых вариантах реализации изобретения желательно, чтобы пролекарство (конъюгированный олигонуклеотид) давало одно активное соединение. В некоторых случаях, при обнаружении многочисленных форм активного соединения, может быть необходимо определить относительные количества и действие для каждой из них. В некоторых вариантах реализации, при необходимости регуляционного тестирования (например, FDA США или другого органа), желательно иметь одну (или преимущественно одну) активную частицу. В некоторых таких вариантах реализации изобретения желательно, чтобы такая одна активная частица представляла собой антисмысловый олигонуклеотид, не содержащий никаких частей конъюгирующие группы. В некоторых вариантах реализации изобретения конъюгирующие группы на 5'-конце более вероятно приводят к полному метаболизму конъюгирующие группы. Не ограничиваясь механизмом, может быть, что эндогенные ферменты, отвечающие за метаболизм на 5'-конце (например, 5'-нуклеазы), более активны/эффективны, чем 3'-аналоги. В некоторых вариантах реализации изобретения определенные конъюгирующие группы более подвержены метаболизму до одной активной частицы. В некоторых вариантах реализации изобретения некоторые конъюгирующие группы более подвержены метаболизму до олигонуклеотида.In some embodiments, the conjugated antisense compounds are administered to a subject. In such embodiments, antisense compounds containing one or more of the conjugation groups described herein have increased potency and/or efficacy and/or tolerability compared to the parent antisense compound lacking such one or more conjugation groups. Without being limited to the mechanism, it is assumed that the conjugating group facilitates distribution, delivery and/or uptake in the target cell or tissue. In some embodiments, after entering the target cell or tissue, it is desirable that all or part of the conjugating groups are cleaved to release the active oligonucleotide. In some embodiments of the invention, it is not necessary that the entire conjugating group be cleaved from the oligonucleotide. For example, in Example 20a, the conjugated oligonucleotide was injected into mice and many different chemical species were found, each containing different parts of the conjugating group remaining on the oligonucleotide (Table 10a). This conjugated antisense compound showed good efficacy (Table 10). Thus, in some embodiments of the invention, such a metabolite profile of multiple partial cleavage of the conjugating groups does not affect the activity/efficiency. However, in some embodiments of the invention it is desirable that the prodrug (conjugated oligonucleotide) gives one active connection. In some cases, when multiple forms of the active compound are found, it may be necessary to determine the relative amounts and effects for each of them. In some embodiments, where regulatory testing is required (eg, by the US FDA or other authority), it is desirable to have one (or predominantly one) active particle. In some such embodiments of the invention, it is desirable that such a single active particle was an antisense oligonucleotide that does not contain any parts of the conjugating group. In some embodiments, conjugation groups at the 5' end are more likely to result in complete metabolism of the conjugation groups. Without being limited by mechanism, it may be that endogenous enzymes responsible for metabolism at the 5' end (eg, 5' nucleases) are more active/efficient than their 3' counterparts. In some embodiments of the invention, certain conjugating groups are more susceptible to metabolism to a single active species. In some embodiments of the invention, some conjugating groups are more susceptible to metabolism to the oligonucleotide.

D. АнтисенсD. Antisense

В некоторых вариантах реализации изобретения олигомерные соединения настоящего изобретения представляют собой антисмысловые соединения. В таких вариантах реализации изобретения олигомерное соединение комплементарно целевой нуклеиновой кислоте. В некоторых вариантах реализации изобретения целевая нуклеиновая кислота представляет собой РНК. В некоторых вариантах реализации изобретения целевая нуклеиновая кислота представляет собой некодирующую РНК. В некоторых вариантах реализации изобретения целевая нуклеиновая кислота кодирует белок. В некоторых вариантах реализации изобретения целевая нуклеиновая кислота выбрана из мРНК, пре-мРНК, микроРНК, некодирующей РНК, включая малую некодирующую РНК, и промотор-нацеливаемой РНК. В некоторых вариантах реализации изобретения олигомерные соединения по меньшей мере частично комплементарны более чем одной целевой нуклеиновой кислоте. Например, олигомерные соединения настоящего изобретения могут представлять собой миметики микроРНК, которые обычно связываются с несколькими мишенями.In some embodiments, the oligomeric compounds of the present invention are antisense compounds. In such embodiments, the oligomeric compound is complementary to the target nucleic acid. In some embodiments, the target nucleic acid is RNA. In some embodiments of the invention, the target nucleic acid is a non-coding RNA. In some embodiments, the target nucleic acid encodes a protein. In some embodiments, the target nucleic acid is selected from mRNA, pre-mRNA, miRNA, non-coding RNA, including small non-coding RNA, and promoter-targeted RNA. In some embodiments, the oligomeric compounds are at least partially complementary to more than one target nucleic acid. For example, the oligomeric compounds of the present invention may be microRNA mimetics that typically bind to multiple targets.

В некоторых вариантах реализации изобретения антисмысловые соединения содержат часть, имеющую последовательность азотистых оснований, которая по меньшей мере на 70% комплементарна последовательности азотистых оснований целевой нуклеиновой кислоты. В некоторых вариантах реализации изобретения антисмысловые соединения содержат часть, имеющую последовательность азотистых оснований, которая по меньшей мере на 80% комплементарна последовательности азотистых оснований целевой нуклеиновой кислоты. В некоторых вариантах реализации изобретения антисмысловые соединения содержат часть, имеющую последовательность азотистых оснований, которая по меньшей мере на 90% комплементарна последовательности азотистых оснований целевой нуклеиновой кислоты. В некоторых вариантах реализации изобретения антисмысловые соединения содержат часть, имеющую последовательность азотистых оснований, которая по меньшей мере на 95% комплементарна последовательности азотистых оснований целевой нуклеиновой кислоты. В некоторых вариантах реализации изобретения антисмысловые соединения содержат часть, имеющую последовательность азотистых оснований, которая по меньшей мере на 98% комплементарна последовательности азотистых оснований целевой нуклеиновой кислоты. В некоторых вариантах реализации изобретения антисмысловые соединения содержат часть, имеющую последовательность азотистых оснований, которая на 100% комплементарна последовательности азотистых оснований целевой нуклеиновой кислоты. В некоторых вариантах реализации изобретения антисмысловые соединения по меньшей мере на 70%, 80%, 90%, 95%, 98% или 100% комплементарны последовательности азотистых оснований целевой нуклеиновой кислоты по всей длине антисмыслового соединения.In some embodiments, the antisense compounds comprise a moiety having a nitrogen base sequence that is at least 70% complementary to the nitrogen base sequence of the target nucleic acid. In some embodiments, the antisense compounds comprise a moiety having a nitrogen base sequence that is at least 80% complementary to the nitrogen base sequence of the target nucleic acid. In some embodiments, the antisense compounds comprise a moiety having a nitrogen base sequence that is at least 90% complementary to the nitrogen base sequence of the target nucleic acid. In some embodiments, the antisense compounds comprise a moiety having a nitrogen base sequence that is at least 95% complementary to the nitrogen base sequence of the target nucleic acid. In some embodiments, the antisense compounds comprise a moiety having a nitrogen base sequence that is at least 98% complementary to the nitrogen base sequence of the target nucleic acid. In some embodiments, the antisense compounds comprise a moiety having a nitrogen base sequence that is 100% complementary to the nitrogen base sequence of the target nucleic acid. In some embodiments, the antisense compounds are at least 70%, 80%, 90%, 95%, 98%, or 100% complementary to the nucleic acid sequence of the target nucleic acid over the entire length of the antisense compound.

Антисмысловые механизмы включают любой механизм, затрагивающий гибридизацию олигомерного соединения с целевой нуклеиновой кислотой, при этом гибридизация приводит к биологическому эффекту. В некоторых вариантах реализации изобретения такая гибридизация приводит либо к разрушению, либо к применению целевой нуклеиновой кислоты с сопутствующим подавлением или стимулированием клеточного механизма, затрагивающего, например, трансляцию, транскрипцию или полиаденилированией целевой нуклеиновой кислоты или нуклеиновой кислоты, с которой целевая кислота может взаимодействовать иным образом.Antisense mechanisms include any mechanism involving the hybridization of an oligomeric compound with a target nucleic acid such that the hybridization results in a biological effect. In some embodiments of the invention, such hybridization results in either the destruction or use of the target nucleic acid with concomitant suppression or stimulation of a cellular mechanism affecting, for example, translation, transcription, or polyadenylation of the target nucleic acid or a nucleic acid with which the target acid may otherwise interact. .

Один из типов антисмыслового механизма, затрагивающий разрушение целевой РНК представляет собой антисмысл, опосредованный РНКазой Н. РНКаза Н представляет собой клеточную эндонуклеазу, которая расщепляет спираль РНК дуплекса РНК:ДНК. В данной области техники известно, что одноцепочечные антисмысловые соединения, которые являются «ДНК-подобными», вызывают активность РНКазы Н в клетках млекопитающих. Следовательно, активация РНКазы Н приводит к расщеплению РНК-мишени, посредством этого в значительной степени усиливая эффективность подавления генной экспрессии, опосредованного ДНК-подобным олигонуклеотидом.One type of antisense mechanism affecting target RNA degradation is RNase H-mediated antisense. RNase H is a cellular endonuclease that cleaves the RNA helix of an RNA:DNA duplex. Single-stranded antisense compounds that are "DNA-like" are known in the art to induce RNase H activity in mammalian cells. Therefore, activation of RNase H leads to cleavage of the target RNA, thereby greatly enhancing the efficiency of gene expression suppression mediated by the DNA-like oligonucleotide.

Антисмысловые механизмы включают также, без ограничения, РНКи механизмы, в которых применяется путь RISC. Такие РНКи механизмы включают, без ограничения, миРНК, оцРНК и микроРНК механизмы. Такие механизмы включают создание миметика микроРНК и/или анти-микро РНК.Antisense mechanisms also include, without limitation, RNAi mechanisms that use the RISC pathway. Such RNAi mechanisms include, without limitation, miRNA, ssRNA, and miRNA mechanisms. Such mechanisms include the creation of miRNA mimetic and/or anti-miRNA.

Антисмысловые механизмы включают также, без ограничения, механизмы, которые гибридизуют или имитируют некодирующую РНК, отличную от микроРНК или мРНК. Такие некодирующие РНК включают, но не ограничиваются ими, промотор-нацеленную РНК и малую и длинную РНК, которая влияет на транскрипцию или трансляцию одной или более нуклеиновых кислот.Antisense mechanisms also include, without limitation, mechanisms that hybridize or mimic non-coding RNA other than miRNA or mRNA. Such non-coding RNAs include, but are not limited to, promoter-targeted RNA and small and long RNAs that affect transcription or translation of one or more nucleic acids.

В некоторых вариантах реализации изобретения олигонуклеотиды, содержащие описанные в настоящем документе конъюгаты, представляют собой РНКи соединения. В некоторых вариантах реализации изобретения олигомерные олигонуклеотиды, содержащие описанные в настоящем документе конъюгаты, представляют собой оцРНК соединения. В некоторых вариантах реализации изобретения олигонуклеотиды, содержащие описанные в настоящем документе конъюгаты, спарены со вторым олигомерным соединением с образованием миРНК. В некоторых таких вариантах реализации изобретения второе олигомерное соединение также содержит конъюгат. В некоторых вариантах реализации изобретения второе олигомерное соединение представляет собой любую модифицированную или немодифицированную нуклеиновую кислоту. В некоторых вариантах реализации изобретения олигонуклеотиды, содержащие описанные в настоящем документе конъюгаты, представляют собой антисмысловую цепь в миРНК соединении. В некоторых вариантах реализации изобретения олигонуклеотиды, содержащие описанные в настоящем документе конъюгаты, представляют собой смысловую цепь в миРНК соединении. В тех вариантах реализации, в которых конъюгированное олигомерное соединение представляет собой двухцепочечную миРНК, конъюгат может находиться на смысловой цепи, антисмысловой цепи или и на смысловой цепи, и на антисмысловой цепи.In some embodiments of the invention, the oligonucleotides containing the conjugates described herein are RNAi compounds. In some embodiments, the oligomeric oligonucleotides containing the conjugates described herein are ssRNA compounds. In some embodiments of the invention, oligonucleotides containing the conjugates described herein are paired with a second oligomeric compound to form an siRNA. In some such embodiments, the second oligomeric compound also contains a conjugate. In some embodiments, the second oligomeric compound is any modified or unmodified nucleic acid. In some embodiments of the invention, oligonucleotides containing the conjugates described herein are an antisense strand in an siRNA compound. In some embodiments of the invention, oligonucleotides containing the conjugates described herein represent the sense strand in an siRNA compound. In those embodiments in which the conjugated oligomeric compound is a double-stranded siRNA, the conjugate may be on the sense strand, the antisense strand, or both the sense strand and the antisense strand.

D. Целевые нуклеиновые кислоты, области и сегментыD. Target nucleic acids, regions and segments

В некоторых вариантах реализации изобретения конъюгированные антисмысловые соединения нацелены на любую нуклеиновую кислоту. В некоторых вариантах реализации изобретения целевая нуклеиновая кислота кодирует белок-мишень, который является клинически значимым. В таких вариантах реализации изобретения модулирование целевой нуклеиновой кислоты приводит к благоприятному клиническому эффекту. Некоторые целевые нуклеиновые кислоты включают, но не ограничиваются ими, целевые нуклеиновые кислоты, представленные в Таблице 1.In some embodiments, the conjugated antisense compounds target any nucleic acid. In some embodiments, the target nucleic acid encodes a target protein that is clinically relevant. In such embodiments, the modulation of the target nucleic acid results in a beneficial clinical effect. Some target nucleic acids include, but are not limited to, the target nucleic acids shown in Table 1.

Figure 00000106
Figure 00000106

Процесс таргетинга обычно включает определение по меньшей мере одной целевой области, сегмента или сайта в целевой нуклеиновой кислоте для антисмыслового взаимодействия с возникновением в результате такого желаемого эффекта.The targeting process typically includes identifying at least one target region, segment, or site in a target nucleic acid for antisense interaction to result in that desired effect.

В некоторых вариантах реализации изобретения целевая область представляет собой структурно определенную область нуклеиновой кислоты. Например, в некоторых таких вариантах реализации изобретения целевая область может охватывать 3' UTR, 5' UTR, экзон, интрон, кодирующую область, область инициации трансляции, область терминации трансляции или другую определенную область или целевой сегмент нуклеиновой кислоты.In some embodiments, the target region is a structurally defined region of a nucleic acid. For example, in some such embodiments, the target region may encompass a 3'UTR, a 5'UTR, an exon, an intron, a coding region, a translation initiation region, a translation termination region, or another defined region or target nucleic acid segment.

В некоторых вариантах реализации изобретения целевой сегмент представляет собой часть целевой области по меньшей мере из около 8 азотистых оснований, на которую нацелено конъюгированное антисмысловое соединение. Целевые сегменты могут содержать последовательности ДНК или РНК, которые содержат по меньшей мере 8 смежных азотистых оснований от 5'-конца одного из целевых сегментов (остальные азотистые основания тянутся друг за другом из той же ДНК или РНК, начинаясь сразу перед 5'-концом целевого сегмента и продолжаясь до момента, когда ДНК или РНК будет содержать от около 8 до около 30 азотистых оснований). Целевые сегменты представлены также последовательностми ДНК или РНК, которые содержат по меньшей мере 8 смежных азотистых оснований от З'-конца одного из целевых сегментов (остальные азотистые основания тянутся друг за другом из той же ДНК или РНК, начинаясь сразу после 3'-конца целевого сегмента и продолжаясь до момента, когда ДНК или РНК будет содержать от около 8 до около 30 азотистых оснований). Целевые сегменты также могут быть представлены последовательностями ДНК или РНК, которые содержат по меньшей мере 8 смежных азотистых оснований из внутренней части последовательности целевого сегмента, и могут тянуться в любом или в обоих направлениях до момента, когда конъюгированное антисмысловое соединение будет содержать от около 8 до около 30 азотистых оснований.In some embodiments, the target segment is the portion of the target region of at least about 8 bases targeted by the conjugated antisense compound. Target segments may contain DNA or RNA sequences that contain at least 8 contiguous nitrogen bases from the 5' end of one of the target segments (the remaining nitrogen bases extend one after the other from the same DNA or RNA, starting just before the 5' end of the target segment). segment and continuing until the DNA or RNA contains from about 8 to about 30 nitrogenous bases). Target segments are also represented by DNA or RNA sequences that contain at least 8 adjacent nitrogenous bases from the 3'-end of one of the target segments (the remaining nitrogenous bases extend one after another from the same DNA or RNA, starting immediately after the 3'-end of the target segment). segment and continuing until the DNA or RNA contains from about 8 to about 30 nitrogenous bases). Target segments can also be DNA or RNA sequences that contain at least 8 contiguous nitrogenous bases from the interior of the target segment sequence, and can extend in either or both directions until the conjugated antisense compound contains from about 8 to about 30 nitrogenous bases.

В некоторых вариантах реализации изобретения антисмысловые соединения, нацеленные на нуклеиновые кислоты, перечисленные в Таблице 1, могут быть модифицированы так, как описано в настоящем документе. В некоторых вариантах реализации изобретения антисмысловые соединения могут иметь модифицированный сахарный фрагмент, немодифицированный сахарный фрагмент или смесь модифицированных и немодифицированных сахарных фрагментов, как описано в настоящем документе. В некоторых вариантах реализации изобретения антисмысловые соединения могут иметь модифицированная межнуклеозидная связь, немодифицированная межнуклеозидная связь или смесь модифицированных и немодифицированных межнуклеозидных связей, как описано в настоящем документе. В некоторых вариантах реализации изобретения антисмысловые соединения могут иметь модифицированное азотистое основание, немодифицированное азотистое основание или смесь модифицированных и немодифицированных азотистых оснований, как описано в настоящем документе. В некоторых вариантах реализации изобретения антисмысловые соединения могут иметь мотив, описанный в настоящем документе.In some embodiments, antisense compounds that target the nucleic acids listed in Table 1 may be modified as described herein. In some embodiments, antisense compounds may have a modified sugar moiety, an unmodified sugar moiety, or a mixture of modified and unmodified sugar moieties, as described herein. In some embodiments, antisense compounds may have a modified internucleoside bond, an unmodified internucleoside bond, or a mixture of modified and unmodified internucleoside bonds, as described herein. In some embodiments, antisense compounds may have a modified nucleobase, an unmodified nucleobase, or a mixture of modified and unmodified nucleobases, as described herein. In some embodiments, antisense compounds may have the motif described herein.

В некоторых вариантах реализации изобретения антисмысловые соединения, нацеленные на нуклеиновые кислоты, перечисленные в Таблице 1, могут быть конъюгированы так, как описано в настоящем документе.In some embodiments, antisense compounds that target the nucleic acids listed in Table 1 may be conjugated as described herein.

1. Гепатит В (HBV)1. Hepatitis B (HBV)

Гепатит В представляет собой вирусное заболевание, передающееся парентерально через зараженный материал, такой как кровь и продукты крови, загрязненные иглы, половым путем и вертикально от инфицированной или несущей вирус матери к ее потомству. По оценкам Всемирной организации изобретения здравоохранения, во всем мире инфицировано более 2 миллиардов людей, при этом ежегодно происходит около 4 миллионов острых случаев, 1 миллионов смертей в год и 350-400 миллионов хронических носителей (Всемирная организация здравоохранения: Geographic Prevalence of Hepatitis В Prevalence, 2004. http://www.who.int/vaccines-surveillance/graphics/htmls/hepbprev.htm).Hepatitis B is a viral disease transmitted parenterally through contaminated material such as blood and blood products, contaminated needles, sexually and vertically from an infected or carrier mother to her offspring. The World Health Organization estimates that more than 2 billion people are infected worldwide, with about 4 million acute cases, 1 million deaths per year, and 350-400 million chronic carriers each year (World Health Organization: Geographic Prevalence of Hepatitis in Prevalence, 2004. http://www.who.int/vaccines-surveillance/graphics/htmls/hepbprev.htm).

Вирус HBV представляет собой двухцепочечный гепатотропный вирус, который инфицирует только людей и человекоподобных приматов. Вирусная репликация происходит преимущественно в печени и, в меньшей степени, в почках, поджелудочной железе, костном мозге и селезенке (Hepatitis В virus biology. Microbiol Mol Biol Rev. 64: 2000; 51-68.). Вирусные и иммунные маркеры могут быть обнаружены в крови и являются характеристическими профилями антигенов-антител, развивающимися с течением времени. Первый обнаруживаемый вирусный маркер представляет собой HBsAg, за ним следует антиген е гепатита В (HBeAg) и ДНК HBV. В инкубационном периоде титры могут быть высокими, но уровни ДНК и HBeAg HBV начинают резко снижаться в начале заболевания и могут не быть обнаруживаемыми на пике клинической болезни (Hepatitis В virus infection-natural history and clinical consequences. N Engl J Med. 350: 2004; 1118-1129). HBeAg представляет собой вирусный маркер, обнаруживаемый в крови, который коррелирует с активной вирусной репликацией и, следовательно, высокой вирусной нагрузкой и инфективностью (Hepatitis В е antigen-the dangerous end game of hepatitis B. N Engl J Med. 347: 2002; 208-210). Наличие анти-HBsAg и анти-HBcAg (IgG) указывает на выздоровление и иммунитет у ранее инфицированного индивидуума.The HBV virus is a double-stranded hepatotropic virus that only infects humans and primates. Viral replication occurs predominantly in the liver and, to a lesser extent, in the kidneys, pancreas, bone marrow and spleen (Hepatitis B virus biology. Microbiol Mol Biol Rev. 64: 2000; 51-68.). Viral and immune markers can be detected in the blood and are characteristic antigen-antibody profiles that develop over time. The first detectable viral marker is HBsAg, followed by hepatitis B e antigen (HBeAg) and HBV DNA. During the incubation period, titers may be high, but HBV DNA and HBeAg levels begin to decline rapidly at the onset of the disease and may not be detectable at the peak of clinical illness (Hepatitis B virus infection-natural history and clinical consequences. N Engl J Med. 350: 2004; 1118-1129). HBeAg is a viral marker found in the blood that correlates with active viral replication and hence high viral load and infectivity (Hepatitis B e antigen-the dangerous end game of hepatitis B. N Engl J Med. 347: 2002; 208- 210). The presence of anti-HBsAg and anti-HBcAg (IgG) indicates recovery and immunity in a previously infected individual.

В настоящее время терапии для хронической инфекции HBV, рекомендованные Американской ассоциацией по изучению заболеваний печени (AASLD) и Европейской ассоциацией по изучению печени (EASL), включают интерферон-альфа (INFa), пегилированный интерферон-альфа-2а (Peg-IFN2a), энтекавир и тенофовир. Терапии нуклеозидами и азотистыми основаниями, энтекавир и тенофовир, являются успешными для снижения вирусной нагрузки, но скорости сероконверсии HBeAg и снижения HBsAg даже ниже, чем скорости, достижимые при помощи IFNa терапии. Применяют также другие аналогичные терапии, включая ламивудин (3ТС), телбивудин (LdT) и адефовир, но терапевтическая эффективность терапий с нуклеозидами/азотистыми основаниями в целом ограничена появлением резистентности.Currently, therapies for chronic HBV infection recommended by the American Association for the Study of Liver Diseases (AASLD) and the European Association for the Study of the Liver (EASL) include interferon-alpha (INFa), pegylated interferon-alpha-2a (Peg-IFN2a), entecavir and tenofovir. The nucleoside and nitrogenous base therapies, entecavir and tenofovir, are successful in reducing viral load, but rates of HBeAg seroconversion and HBsAg reduction are even lower than those achievable with IFNa therapy. Other similar therapies have also been used, including lamivudine (3TC), telbivudine (LdT), and adefovir, but the therapeutic efficacy of nucleoside/nitrous base therapies is generally limited by the emergence of resistance.

Следовательно, в данной области техники существует необходимость в открытии и разработке новых противовирусных терапий. Кроме того, существует необходимость в новых анти-HBV терапиях, способных увеличивать скорости сероконверсии HBeAg и HBsAg. В недавних клинических исследованиях была обнаружена корреляция между сероконверсией и снижением HBeAg (Fried et al (2008) Hepatology 47:428), и снижением HBsAg (Moucari et al (2009) Hepatology 49:1151). Снижение уровней антигенов может обеспечивать возможность иммунологического контроля инфекции HBV, поскольку предполагается, что высокие уровни антигенов вызывают иммунологическую толерантность. Существующие нуклеозидные терапии для HBV могут значительно снижать уровни HBV в сыворотке, но мало влияют на уровни HBeAg и HBsAg.Therefore, there is a need in the art for the discovery and development of new antiviral therapies. In addition, there is a need for new anti-HBV therapies capable of increasing HBeAg and HBsAg seroconversion rates. In recent clinical studies, a correlation has been found between seroconversion and reduction in HBeAg (Fried et al (2008) Hepatology 47:428), and reduction in HBsAg (Moucari et al (2009) Hepatology 49:1151). Decreased levels of antigens may allow immunological control of HBV infection, as high levels of antigens are expected to induce immunological tolerance. Existing nucleoside therapies for HBV can significantly reduce serum HBV levels, but have little effect on HBeAg and HBsAg levels.

Антисмысловые соединения, нацеленные на HBV, были описаны ранее в WO 2011/047312, WO 2012/145674 и WO 2012/145697, полное содержание каждого из которых включено в настоящий документ посредством ссылки. Запланированы клинические исследования для оценки влияния антисмысловых соединения, нацеленных на HBV, на пациентов. Однако все еще существует необходимость в обеспечении пациентов дополнительными и более эффективными возможностями лечения.Antisense compounds targeting HBV have been described previously in WO 2011/047312, WO 2012/145674 and WO 2012/145697, the entire content of each of which is incorporated herein by reference. Clinical studies are planned to evaluate the effect of HBV-targeting antisense compounds on patients. However, there is still a need to provide patients with additional and more effective treatment options.

Некоторые конъюгированные антисмысловые соединения, нацеленные на нуклеиновую кислоту HBVCertain Conjugated Antisense Compounds Targeting the HBV Nucleic Acid

В некоторых вариантах реализации изобретения конъюгированные антисмысловые соединения нацелены на нуклеиновую кислоту HBV, имеющую последовательность с номером доступа GENBANK® U95551.1, которая включена в настоящий документ как SEQ ID NO: 1. В некоторых таких вариантах реализации изобретения конъюгированное антисмысловое соединение, нацеленное на SEQ ID NO: 1, по меньшей мере на 90%, по меньшей мере на 95% или на 100% комплементарно SEQ ID NO: 1.In some embodiments, conjugated antisense compounds target an HBV nucleic acid having the sequence GENBANK® U95551.1, which is incorporated herein as SEQ ID NO: 1. In certain such embodiments, a conjugated antisense compound that targets SEQ ID NO: 1 is at least 90%, at least 95%, or 100% complementary to SEQ ID NO: 1.

В некоторых вариантах реализации изобретения конъюгированное антисмысловое соединение, нацеленное на SEQ ID NO: 1, содержит по меньшей мере 8 смежных азотистых оснований последовательности SEQ ID NO: 3. В некоторых вариантах реализации изобретения конъюгированное антисмысловое соединение, нацеленное на SEQ ID NO: 1, содержит последовательность азотистых оснований SEQ ID NO: 3.In some embodiments, a conjugated antisense compound targeted to SEQ ID NO: 1 contains at least 8 contiguous nitrogenous bases of the sequence of SEQ ID NO: 3. In some embodiments, a conjugated antisense compound targeted to SEQ ID NO: 1 contains sequence of nitrogenous bases SEQ ID NO: 3.

В некоторых вариантах реализации изобретения конъюгированное антисмысловое соединение, нацеленное на SEQ ID NO: 1, содержит по меньшей мере 8 смежных азотистых оснований последовательности SEQ ID NO: 4. В некоторых вариантах реализации изобретения конъюгированное антисмысловое соединение, нацеленное на SEQ ID NO: 1, содержит последовательность азотистых оснований SEQ ID NO: 4.In some embodiments, a conjugated antisense compound targeted at SEQ ID NO: 1 contains at least 8 contiguous nitrogenous bases of SEQ ID NO: 4. In some embodiments, a conjugated antisense compound targeted at SEQ ID NO: 1 comprises sequence of nitrogenous bases SEQ ID NO: 4.

В некоторых вариантах реализации изобретения конъюгированное антисмысловое соединение, нацеленное на SEQ ID NO: 1, содержит по меньшей мере 8 смежных азотистых оснований последовательности SEQ ID NO: 5. В некоторых вариантах реализации изобретения конъюгированное антисмысловое соединение, нацеленное на SEQ ID NO: 1, содержит последовательность азотистых оснований SEQ ID NO: 5.In some embodiments, a conjugated antisense compound targeted to SEQ ID NO: 1 contains at least 8 contiguous nitrogenous bases of the sequence of SEQ ID NO: 5. In some embodiments, a conjugated antisense compound targeted to SEQ ID NO: 1 contains sequence of nitrogenous bases SEQ ID NO: 5.

В некоторых вариантах реализации изобретения конъюгированное антисмысловое соединение, нацеленное на SEQ ID NO: 1, содержит по меньшей мере 8 смежных азотистых оснований последовательности SEQ ID NO: 6. В некоторых вариантах реализации изобретения конъюгированное антисмысловое соединение, нацеленное на SEQ ID NO: 1, содержит последовательность азотистых оснований SEQ ID NO: 6.In some embodiments, a conjugated antisense compound targeted to SEQ ID NO: 1 contains at least 8 contiguous nitrogenous bases of the sequence of SEQ ID NO: 6. In some embodiments, a conjugated antisense compound targeted to SEQ ID NO: 1 contains sequence of nitrogenous bases SEQ ID NO: 6.

В некоторых вариантах реализации изобретения конъюгированное антисмысловое соединение, нацеленное на SEQ ID NO: 1, содержит по меньшей мере 8 смежных азотистых оснований последовательности SEQ ID NO: 7. В некоторых вариантах реализации изобретения конъюгированное антисмысловое соединение, нацеленное на SEQ ID NO: 1, содержит последовательность азотистых оснований SEQ ID NO: 7.In some embodiments, a conjugated antisense compound targeted to SEQ ID NO: 1 contains at least 8 contiguous nitrogenous bases of the sequence of SEQ ID NO: 7. In some embodiments, a conjugated antisense compound targeted to SEQ ID NO: 1 contains sequence of nitrogenous bases SEQ ID NO: 7.

В некоторых вариантах реализации изобретения конъюгированное антисмысловое соединение, нацеленное на SEQ ID NO: 1, содержит по меньшей мере 8 смежных азотистых оснований последовательности SEQ ID NO: 8. В некоторых вариантах реализации изобретения конъюгированное антисмысловое соединение, нацеленное на SEQ ID NO: 1, содержит последовательность азотистых оснований SEQ ID NO: 8.In some embodiments, a conjugated antisense compound targeted to SEQ ID NO: 1 contains at least 8 contiguous nitrogenous bases of SEQ ID NO: 8. In some embodiments, a conjugated antisense compound targeted to SEQ ID NO: 1 contains sequence of nitrogenous bases SEQ ID NO: 8.

В некоторых вариантах реализации изобретения конъюгированное антисмысловое соединение, нацеленное на SEQ ID NO: 1, содержит по меньшей мере 8 смежных азотистых оснований последовательности SEQ ID NO: 9. В некоторых вариантах реализации изобретения конъюгированное антисмысловое соединение, нацеленное на SEQ ID NO: 1, содержит последовательность азотистых оснований SEQ ID NO: 9.In some embodiments, a conjugated antisense compound targeted to SEQ ID NO: 1 contains at least 8 contiguous nitrogen bases of SEQ ID NO: 9. In some embodiments, a conjugated antisense compound targeted to SEQ ID NO: 1 contains sequence of nitrogenous bases SEQ ID NO: 9.

В некоторых вариантах реализации изобретения конъюгированное антисмысловое соединение, нацеленное на SEQ ID NO: 1, содержит по меньшей мере 8 смежных азотистых оснований последовательности SEQ ID NO: 10. В некоторых вариантах реализации изобретения конъюгированное антисмысловое соединение, нацеленное на SEQ ID NO: 1, содержит последовательность азотистых оснований SEQ ID NO: 10.In some embodiments, a conjugated antisense compound targeted at SEQ ID NO: 1 contains at least 8 contiguous nitrogenous bases of SEQ ID NO: 10. In some embodiments, a conjugated antisense compound targeted at SEQ ID NO: 1 comprises sequence of nitrogenous bases SEQ ID NO: 10.

В некоторых вариантах реализации изобретения конъюгированное антисмысловое соединение, нацеленное на SEQ ID NO: 1, содержит по меньшей мере 8 смежных азотистых оснований последовательности SEQ ID NO: 11. В некоторых вариантах реализации изобретения конъюгированное антисмысловое соединение, нацеленное на SEQ ID NO: 1, содержит последовательность азотистых оснований SEQ ID NO: 11.In some embodiments, a conjugated antisense compound targeted to SEQ ID NO: 1 contains at least 8 contiguous nitrogen bases of the sequence of SEQ ID NO: 11. In some embodiments, a conjugated antisense compound targeted to SEQ ID NO: 1 contains sequence of nitrogenous bases SEQ ID NO: 11.

Figure 00000107
Figure 00000107

В некоторых вариантах реализации изобретения соединение, имеющее следующую химическую структуру, содержит или состоит из ISIS 505358 с 5'-Х, где X представляет собой конъюгирующую группу, описанную в настоящем документе:In some embodiments, a compound having the following chemical structure contains or consists of ISIS 505358 with 5'-X, where X is the conjugation group described herein:

Figure 00000108
Figure 00000108

В некоторых вариантах реализации изобретения соединение содержит или состоит из ISIS 712408, имеющего следующую химическую структуру:In some embodiments, the compound contains or consists of ISIS 712408 having the following chemical structure:

Figure 00000109
Figure 00000109

В некоторых вариантах реализации изобретения соединение содержит или состоит из ISIS 695324, имеющего следующую химическую структуру:In some embodiments, the compound contains or consists of ISIS 695324 having the following chemical structure:

Figure 00000110
Figure 00000110

В некоторых вариантах реализации изобретения соединение содержит или состоит из SEQ ID NO: 3, 5'-GalNAc и химических модификаций и представлено следующей химической структурой:In some embodiments of the invention, the compound contains or consists of SEQ ID NO: 3, 5'-GalNAc and chemical modifications and is represented by the following chemical structure:

Figure 00000111
Figure 00000111

где любой R1 представляет собой ОСН2СН2ОСН3 (МОЕ), a R2 представляет собой Н; или R1 и R2 вместе образуют мостик, при этом R1 представляет собой -О-, a R2 представляет собой -СН2-, -СН(СН3)- или -СН2СН2-, и R1 и R2 напрямую связаны так, что образующийся мостик выбран из: -О-СН2-, -О-СН(СН3)- и -О-СН2СН2-;where any R1 is OCH2 CH2 OCH3 (MOE) and R2 is H; or R1 and R2 together form a bridge, wherein R1 is -O- and R2 is -CH2 -, -CH(CH3 )- or -CH2 CH2 -, and R1 and R2 are directly connected so that the resulting bridge is selected from: -O-CH2 -, -O-CH(CH3 )- and -O-CH2 CH2 -;

и для каждой пары из R3 и R4 у одного кольца, независимо для каждого кольца: любой R3 выбран из Н и -ОСН2СН2ОСН3, a R4 представляет собой Н; или R3 и R4 вместе образуют мостик, при этом R3 представляет собой -О-, a R4 представляет собой -СН2-, -СН(СН3)-или -СН2СН2-, и R3 и R4 напрямую связаны так, что образующийся мостик выбран из: -О-СН2-, -О-СН(СН3)- и О-СН2СН2-;and for each pair of R3 and R4 on one ring, independently for each ring: any R3 is selected from H and —OCH2 CH2 OCH3 and R4 is H; or R3 and R4 together form a bridge, wherein R3 is —O— and R4 is —CH2 —, —CH(CH3 )—or —CH2 CH2 —, and R3 and R4 are directly connected so that the resulting bridge is selected from: -O-CH2 -, -O-CH(CH3 )- and O-CH2 CH2 -;

и R5 выбран из Н и -СН3;and R5 is selected from H and -CH3 ;

a Z выбран из S' и О'.a Z is selected from S' and O'.

В некоторых вариантах реализации изобретения соединение содержит антисмысловый олигонуклеотид, описанный в публикации WO 2012/145697, полное содержание которой включено в настоящий документ посредством ссылки, и конъюгирующую группу, описанную в настоящем документе. В некоторых вариантах реализации изобретения соединение содержит антисмысловый олигонуклеотид, имеющий последовательность азотистых оснований любой из SEQ ID NO 5-310, 321-802, 804-1272, 1288-1350, 1364-1372, 1375, 1376 и 1379, описанных в WO 2012/145697, и конъюгирующую группу, описанную в настоящем документе. В некоторых вариантах реализации изобретения соединение содержит антисмысловый олигонуклеотид, описанный в публикации WO 2011/047312, полное содержание которой включено в настоящий документ посредством ссылки, и конъюгирующую группу, описанную в настоящем документе. В некоторых вариантах реализации изобретения соединение содержит антисмысловый олигонуклеотид, имеющий последовательность азотистых оснований любой из SEQ ID NO 14-22, описанных в WO 2011/047312, и конъюгирующую группу, описанную в настоящем документе. В некоторых вариантах реализации изобретения соединение содержит антисмысловый олигонуклеотид, описанный в публикации WO 2012/145674, полное содержание которой включено в настоящий документ посредством ссылки, и конъюгирующую группу, описанную в настоящем документе. В некоторых вариантах реализации изобретения соединение содержит антисмысловый олигонуклеотид, имеющий последовательность азотистых оснований любой из SEQ ID NO 18-35, описанных в WO 2012/145674. В некоторых вариантах реализации изобретения соединение содержит двухцепочечный олигонуклеотид, описанный в публикации WO 2013/159109, полное содержание которой включено в настоящий документ посредством ссылки, и конъюгирующую группу, описанную в настоящем документе. В некоторых вариантах реализации изобретения соединение содержит двухцепочечный олигонуклеотид, в котором одна спираль имеет последовательность азотистых оснований любой из SEQ ID NO 30-125, описанных в WO 2013/159109. Последовательности азотистых оснований всех вышеупомянутых ссылочных SEQ ID NO включены в настоящий документ посредством ссылки.In some embodiments, the compound contains an antisense oligonucleotide as described in WO 2012/145697, the entire content of which is incorporated herein by reference, and a conjugation group as described herein. In some embodiments, the compound contains an antisense oligonucleotide having the nitrogenous base sequence of any of SEQ ID NOs 5-310, 321-802, 804-1272, 1288-1350, 1364-1372, 1375, 1376, and 1379 described in WO 2012/ 145697, and the conjugating group described in this document. In some embodiments, the compound contains an antisense oligonucleotide as described in WO 2011/047312, the entire content of which is incorporated herein by reference, and a conjugation group as described herein. In some embodiments, the compound contains an antisense oligonucleotide having the nitrogenous base sequence of any of SEQ ID NOs 14-22 described in WO 2011/047312 and a conjugation group as described herein. In some embodiments, the compound contains an antisense oligonucleotide as described in WO 2012/145674, the entire content of which is incorporated herein by reference, and a conjugation group as described herein. In some embodiments, the compound comprises an antisense oligonucleotide having the nitrogenous base sequence of any of SEQ ID NOs 18-35 described in WO 2012/145674. In some embodiments, the compound contains a double-stranded oligonucleotide as described in WO 2013/159109, the entire content of which is incorporated herein by reference, and a conjugation group as described herein. In some embodiments, the compound comprises a double-stranded oligonucleotide wherein one helix has the sequence of nitrogenous bases of any of SEQ ID NOs 30-125 described in WO 2013/159109. The nitrogenous base sequences of all of the aforementioned reference SEQ ID NOs are incorporated herein by reference.

Терапевтические показания для HBVTherapeutic indications for HBV

В некоторых вариантах реализации настоящего изобретения приведены способы применения конъюгированного антисмыслового соединения, нацеленного на нуклеиновую кислоту HBV, для модулирования экспрессии HBV у субъекта. В некоторых вариантах реализации изобретения экспрессия HBV снижена.In some embodiments of the present invention, methods are provided for using a conjugated antisense compound that targets an HBV nucleic acid to modulate HBV expression in a subject. In some embodiments of the invention, the expression of HBV is reduced.

В некоторых вариантах реализации настоящего изобретения приведены способы применения конъюгированного антисмыслового соединения, нацеленного на нуклеиновую кислоту HBV, в фармацевтической композиции для лечения субъекта. В некоторых вариантах реализации изобретения субъект страдает патологическим состоянием, связанным с HBV. В некоторых вариантах реализации изобретения патологическое состояние, связанное с HBV, включает, но не ограничивается ими, хроническую HBV инфекцию, воспаление, фиброз, цирроз, рак печени, сывороточный гепатит, разлитие желчи, рак печени, воспаление печени, фиброз печени, цирроз печени, печеночную недостаточность, диффузное гепатоцеллюлярное воспалительное заболевание, гемофагоцитарный синдром, сывороточный гепатит и HBV виремию. В некоторых вариантах реализации изобретения патологическое состояние, связанное с hBV, может характеризоваться симптомами, которые могут включать любой или все из следующих признаков: гриппоподобное заболевание, слабость, боль, головная боль, лихорадка, потеря аппетита, диарея, разлитие желчи, тошнота и рвота, боль в области печени, стул глинистого или серого цвета, общий зуд и моча темного цвета, в сочетании с положительным тестом на наличие вируса гепатита В, вирусного антигена гепатита В или положительным тестом на наличие антитела, специфичного к вирусному антигену гепатита В. В некоторых вариантах реализации изобретения субъект имеет риск патологического состояния, связанного с HBV. Сюда входят субъекты, имеющие один или более факторов риска для развития патологического состояния, связанного с HBV, включая половой контакт с индивидуумом, инифицированным вирусом гепатита В, проживание в одном доме с индивидуумом с пожизненной инфекцией вируса гепатита В, воздействие крови человека, инфицированного вирусом гепатита В, инъекция запрещенных веществ субъектом с гемофилией и посещение мест распространения гепатита В. В некоторых вариантах реализации изобретения у субъекта идентифицирована необходимость лечения патологического состояния, связанного с HBV.In some embodiments of the present invention, methods are provided for using a conjugated antisense compound that targets an HBV nucleic acid in a pharmaceutical composition for treating a subject. In some embodiments of the invention, the subject suffers from a pathological condition associated with HBV. In some embodiments of the invention, the pathological condition associated with HBV includes, but is not limited to, chronic HBV infection, inflammation, fibrosis, cirrhosis, liver cancer, serum hepatitis, bile effusion, liver cancer, liver inflammation, liver fibrosis, cirrhosis, liver failure, diffuse hepatocellular inflammatory disease, hemophagocytic syndrome, serum hepatitis and HBV viremia. In some embodiments of the invention, the pathological condition associated with hBV may be characterized by symptoms, which may include any or all of the following signs: flu-like illness, weakness, pain, headache, fever, loss of appetite, diarrhea, bile effusion, nausea and vomiting, pain in the liver, clay-colored or gray stools, general itching and dark-colored urine, in combination with a positive test for the presence of hepatitis B virus, hepatitis B viral antigen, or a positive test for the presence of an antibody specific for hepatitis B viral antigen. In some embodiments carrying out the invention, the subject is at risk of a pathological condition associated with HBV. This includes subjects who have one or more risk factors for developing an HBV-related condition, including sexual contact with an individual infected with hepatitis B virus, living in the same household with an individual with lifelong hepatitis B virus infection, exposure to the blood of a person infected with hepatitis B virus B, Injection of Prohibited Substances by a Subject with Hemophilia and Visiting Hepatitis B Sites. In some embodiments, the subject is identified as being in need of treatment for an HBV-related condition.

В некоторых вариантах реализации изобретения предложен способ снижения уровней ДНК HBV и/или антигенов HBV у животного, инфицированного HBV, включающий введение указанному животному конъюгированного антисмыслового соединения, нацеленного на нуклеиновую кислоту HBV. В некоторых вариантах рализации изобретения антиген представляет собой HBsAG или HBeAG. В некоторых вариантах реализации изобретения количество антигена HBV может быть существенно снижено, что приводит к сероконверсии.In some embodiments, a method is provided for reducing levels of HBV DNA and/or HBV antigens in an HBV-infected animal, comprising administering to said animal a conjugated antisense compound that targets an HBV nucleic acid. In some embodiments of the invention, the antigen is HBsAG or HBeAG. In some embodiments of the invention, the amount of HBV antigen can be significantly reduced, resulting in seroconversion.

В некоторых вариантах реализации настоящего изобретения приведены способы применения конъюгированного антисмыслового соединения, нацеленного на нуклеиновую кислоту HBV, для производства лекарственного средства.In some embodiments of the present invention, methods are provided for using a conjugated antisense compound targeted to an HBV nucleic acid for the manufacture of a drug.

В некоторых вариантах реализации настоящего изобретения предложено конъюгированное антисмысловое соединение, нацеленное на нуклеиновую кислоту HBV, или его фармацевтически приемлемая соль для применения в терапии.In some embodiments, the present invention provides a conjugated antisense compound that targets an HBV nucleic acid, or a pharmaceutically acceptable salt thereof, for use in therapy.

В некоторых вариантах реализации изобретения предложено конъюгированное антисмысловое соединение, нацеленное на нуклеиновую кислоту HBV, для применения при лечении патологическг состояния, связанного с HBV. Патологическое состояние, связанное с HBV, включает, но не ограничивается ими, хроническую HBV инфекцию, воспаление, фиброз, цирроз, рак печени, сывороточный гепатит, разлитие желчи, рак печени, воспаление печени, фиброз печени, цирроз печени, печеночную недостаточность, диффузное гепатоцеллюлярное воспалительное заболевание, гемофагоцитарный синдром, сывороточный гепатит и HBV виремию.In some embodiments, a conjugated antisense compound targeted to an HBV nucleic acid is provided for use in the treatment of an HBV-associated condition. The pathological condition associated with HBV includes, but is not limited to, chronic HBV infection, inflammation, fibrosis, cirrhosis, liver cancer, serum hepatitis, bile effusion, liver cancer, liver inflammation, liver fibrosis, cirrhosis, liver failure, diffuse hepatocellular inflammatory disease, hemophagocytic syndrome, serum hepatitis and HBV viremia.

В некоторых вариантах реализации изобретения предложено конъюгированное антисмысловое соединение, нацеленное на нуклеиновую кислоту HBV, для применения для снижения уровней ДНК HBV и/или антигена HBV у животного инфицированного HBV, включающего введение указанному животному конъюгированного антисмыслового соединения, нацеленного на нуклеиновую кислоту HBV. В некоторых вариантах рализации изобретения антиген представляет собой HBsAG или HBeAG. В некоторых вариантах реализации изобретения количество антигена HBV может быть существенно снижено, что приводит к сероконверсии.In some embodiments, a conjugated antisense compound targeted to an HBV nucleic acid is provided for use in reducing levels of HBV DNA and/or HBV antigen in an HBV infected animal, comprising administering to said animal a conjugated antisense compound targeted to the HBV nucleic acid. In some embodiments of the invention, the antigen is HBsAG or HBeAG. In some embodiments of the invention, the amount of HBV antigen can be significantly reduced, resulting in seroconversion.

Следует понимать, что любое из описанных в настоящем документе соединений можно применять в вышеупомянутых способах и применениях. Например, в некоторых вариантах реализации изобретения конъюгированное антисмысловое соединение, нацеленное на нуклеиновую кислоту HBV, в вышеупомянутых способах и применениях может включать, но не органичиваясь ими, конъюгированное антисмысловое соединение, нацеленное на SEQ ID NO: 1, которое содержит по меньшей мере 8 смежных азотистых оснований последовательности SEQ ID NO: 3-11; конъюгированное антисмысловое соединение, нацеленное на SEQ ID NO: 1, которое содержит последовательность азотистых оснований любой из SEQ ID NO: 3-11; соединение, содержащее или состоящее из ISIS 505358, ISIS 509934, ISIS 510100, ISIS 552023, ISIS 552024, ISIS 552032, ISIS 552859, ISIS 552925, или ISIS 577119 и конъюгирующие группы; соединение, содержащее антисмысловый олигонуклеотид, описанный в публикации WO 2012/145697, полное описание которой включено в настоящий документ посредством ссылки, и конъюгирующую группу; соединение, содержащее антисмысловый олигонуклеотид, имеющий последовательность азотистых оснований любой из SEQ ID NO 5-310, 321-802, 804-1272, 1288-1350, 1364-1372, 1375, 1376 и 1379, описанных в WO 2012/145697, и конъюгирующую группу, описанную в настоящем документе; соединение, содержащее антисмысловый олигонуклеотид, имеющий последовательность азотистых оснований любой из SEQ ID NO 14-22, описанных в WO 2011/047312, и конъюгирующую группу, описанную в настоящем документе; соединение, содержащее антисмысловый олигонуклеотид, имеющий последовательность азотистых оснований любой из SEQ ID NO 18-35, описанных в WO 2012/145674; или соединение, содержащее двухцепочечный олигонуклеотид, в котором одна спираль имеет последовательность азотистых оснований любой из SEQ ID NO 30-125, описанных в WO 2013/159109.It should be understood that any of the compounds described herein can be used in the above methods and applications. For example, in some embodiments, a conjugated antisense compound targeted to an HBV nucleic acid in the above methods and uses may include, but is not limited to, a conjugated antisense compound targeted to SEQ ID NO: 1 that contains at least 8 contiguous nitrogenous bases of the sequence SEQ ID NO: 3-11; a conjugated antisense compound targeting SEQ ID NO: 1, which contains a nitrogenous base sequence of any of SEQ ID NO: 3-11; a compound containing or consisting of ISIS 505358, ISIS 509934, ISIS 510100, ISIS 552023, ISIS 552024, ISIS 552032, ISIS 552859, ISIS 552925, or ISIS 577119 and conjugating groups; a compound containing an antisense oligonucleotide as described in WO 2012/145697, the entire disclosure of which is incorporated herein by reference, and a conjugating group; a compound containing an antisense oligonucleotide having the sequence of nitrogenous bases of any of SEQ ID NOs 5-310, 321-802, 804-1272, 1288-1350, 1364-1372, 1375, 1376 and 1379 described in WO 2012/145697, and conjugating the group described in this document; a compound containing an antisense oligonucleotide having a nitrogenous base sequence of any of SEQ ID NOs 14-22 described in WO 2011/047312 and a conjugating group as described herein; a compound containing an antisense oligonucleotide having a nitrogenous base sequence of any of SEQ ID NOs 18-35 described in WO 2012/145674; or a compound containing a double-stranded oligonucleotide in which one helix has the sequence of nitrogenous bases of any of SEQ ID NO 30-125 described in WO 2013/159109.

2. Транстиретин (TTR)2. Transthyretin (TTR)

TTR (также известный как преальбумин, гипертироксинемия, диспреальбуминемическая, тироксин; старческий системный амилоидоз, амилоидная полиневропатия, амилоидоз I, PALB; дистранстиретинемическая, HST2651; ТВРА; диспреальбуминемическая эутиреоидная гипертироксинемия) представляет собой белок сыворотки/плазмы и спинномозговой жидкости, отвечающий за транспорт тироксина и ретинола (Sakaki et al, Mol Biol Med. 1989, 6:161-8). Структурно TTR представляет собой гомотетрамер; точечные мутации и неправильное скручивание белка приводит к отложению амилоидных фибрилл и сопровождается такими расстройствами как старческий системный амилоидоз (SSA), семейная амилоидная полиневропатия (FAP) и семейная амилоидная кардиопатия (FAC).TTR (also known as prealbumin, hyperthyroxinemia, dysprealbuminaemic, thyroxine; senile systemic amyloidosis, amyloid polyneuropathy, amyloidosis I, PALB; distransthyretinemic, HST2651; TVPA; dysprealbuminemic euthyroid hyperthyroxinemia) is a serum/plasma and cerebrospinal fluid protein responsible for the transport of thyroxine and retinol (Sakaki et al, Mol Biol Med. 1989, 6:161-8). Structurally, TTR is a homotetramer; point mutations and misfolding of the protein leads to the deposition of amyloid fibrils and is associated with disorders such as senile systemic amyloidosis (SSA), familial amyloid polyneuropathy (FAP) and familial amyloid cardiopathy (FAC).

TTR синтезируется, в основном, печенью и хориоидным сплетением головного мозга, а также, в меньшей степени, сетчаткой глаза у людей (Pallia, Clin Chem Lab Med, 2002, 40, 1292-1300). Транстиретин, которые синтезирован в печени, секретируется в кровь, тогда как транстиретин из хориоидного сплетения предназначен для спинномозговой жидкости (CSF). Синтез транстиретина в хориоидном сплетении составляет около 20% от общего локального синтеза белка и целых 25% от общего белка CSF (Dickson et al., J Biol Chem, 1986, 261, 3475-3478).TTR is synthesized primarily by the liver and choroid plexus of the brain, and to a lesser extent by the human retina (Pallia, Clin Chem Lab Med, 2002, 40, 1292-1300). Transthyretin, which is synthesized in the liver, is secreted into the blood, while transthyretin from the choroid plexus is destined for cerebrospinal fluid (CSF). Synthesis of transthyretin in the choroid plexus accounts for about 20% of total local protein synthesis and as much as 25% of total CSF protein (Dickson et al., J Biol Chem, 1986, 261, 3475-3478).

Благодаря возможности выполнения генетических и иммуногистохимических диагностических тестов, были обнаружены пациенты с TTR амилоидозом во многих народах мира. Недавние исследования показали, что TTR амилоидоз представляет собой не редкое эндемическое заболевание, как считалось ранее, и может поражать не менее 25% взрослого населения (Tanskanen et al, Ann Med. 2008;40(3):232-9).Thanks to the ability to perform genetic and immunohistochemical diagnostic tests, patients with TTR amyloidosis have been found in many peoples of the world. Recent studies have shown that TTR amyloidosis is not a rare endemic disease, as previously thought, and may affect at least 25% of the adult population (Tanskanen et al, Ann Med. 2008;40(3):232-9).

На биохимическом уровне TTR был определено как основной белковый компонент в амилоидных отложениях пациентов с FAP (Costa et al, Proc. Natl. Acad. Sci. USA 1978, 75:4499 4503), а позже было обнаружено, что замена метионина на валин в положении 30 этого белка представляет собой наиболее распространенный молекулярный дефект, вызывающий это заболевание (Saraiva et al, J. Clin. Invest. 1984, 74: 104-119). При FAP происходит повсеместное системное внеклеточное отложение скоплений TTR, и амилоидные фибриллы возникают по всей соединительной ткани, особенно в периферической нервной системе (Sousa and Saraiva, Prog. Neurobiol. 2003, 71: 385^-00). После отложения TTR происходит аксонная дегенерация, берущая начало в немиелинизированных и миелинизированных волокнах малого диаметра, что в конечном итоге приводит к потере нейронов в ганглионарных центрах.On a biochemical level, TTR was identified as the major protein component in the amyloid deposits of FAP patients (Costa et al, Proc. Natl. Acad. Sci. USA 1978, 75:4499 4503) 30 of this protein is the most common molecular defect causing this disease (Saraiva et al, J. Clin. Invest. 1984, 74: 104-119). In FAP, ubiquitous systemic extracellular deposition of TTR aggregates occurs and amyloid fibrils occur throughout connective tissue, especially in the peripheral nervous system (Sousa and Saraiva, Prog. Neurobiol. 2003, 71: 385^-00). After TTR deposition, axonal degeneration occurs, originating in unmyelinated and myelinated small diameter fibers, which ultimately leads to the loss of neurons in the ganglion centers.

Антисмысловые соединения, нацеленные на TTR, были описаны ранее в US 2005/0244869, WO 2010/017509 и WO 2011/139917, полное содержание каждого из которых включено в настоящий документ посредством ссылки. Антисмысловое олигоазотистое основание, нацеленное на TTR, ISIS-TTRrx, в настоящее время проходит 2/3 фазу клинических испытаний для исследования его эффективности при лечении субъектов, страдающих семейной амилоидной полиневропатией. Однако все еще существует необходимость в обеспечении пациентов дополнительными и более эффективными возможностями лечения.TTR-targeting antisense compounds have been previously described in US 2005/0244869, WO 2010/017509 and WO 2011/139917, the entire contents of each of which are incorporated herein by reference. An antisense oligonuclear base targeting TTR, ISIS-TTRrx, is currently undergoing phase 2/3 clinical trials to investigate its efficacy in the treatment of subjects suffering from familial amyloid polyneuropathy. However, there is still a need to provide patients with additional and more effective treatment options.

Некоторые конъюгированные антисмысловые соединения, нацеленные на нуклеиновую кислоту TTRSome Conjugated Antisense Compounds Targeting the TTR Nucleic Acid

В некоторых вариантах реализации изобретения конъюгированные антисмысловые соединения нацелены на нуклеиновую кислоту TTR, имеющую последовательность с номером доступа GENBANK® NM 000371.3, которая включена в настоящий документ как SEQ ID NO: 2. В некоторых таких вариантах реализации изобретения конъюгированное антисмысловое соединение, нацеленное на SEQ ID NO: 2, по меньшей мере на 90%, по меньшей мере на 95% или на 100% комплементарно SEQ ID NO: 2.In some embodiments, conjugated antisense compounds target a TTR nucleic acid having the sequence GENBANK® accession number NM 000371.3, which is incorporated herein as SEQ ID NO: 2. In certain such embodiments, a conjugated antisense compound targeted to SEQ ID NO: 2 is at least 90%, at least 95%, or 100% complementary to SEQ ID NO: 2.

В некоторых вариантах реализации изобретения конъюгированное антисмысловое соединение, нацеленное на SEQ ID NO: 2, содержит по меньшей мере 8 смежных азотистых оснований любой из SEQ ID NO: 12-19. В некоторых вариантах реализации изобретения конъюгированное антисмысловое соединение, нацеленное на SEQ ID NO: 2, содержит последовательность азотистых оснований любой из SEQ ID NO: 12-19.In some embodiments, the conjugated antisense compound targeted to SEQ ID NO: 2 contains at least 8 contiguous nitrogenous bases of any of SEQ ID NO: 12-19. In some embodiments, the conjugated antisense compound targeted to SEQ ID NO: 2 contains a nitrogenous base sequence of any of SEQ ID NO: 12-19.

В некоторых вариантах реализации изобретения конъюгированное антисмысловое соединение, нацеленное на SEQ ID NO: 2, содержит по меньшей мере 8 смежных азотистых оснований последовательности SEQ ID NO: 12. В некоторых вариантах реализации изобретения конъюгированное антисмысловое соединение, нацеленное на SEQ ID NO: 2, содержит последовательность азотистых оснований SEQ ID NO: 12.In some embodiments, a conjugated antisense compound targeted at SEQ ID NO: 2 contains at least 8 contiguous nitrogenous bases of SEQ ID NO: 12. In some embodiments, a conjugated antisense compound targeted at SEQ ID NO: 2 comprises sequence of nitrogenous bases SEQ ID NO: 12.

В некоторых вариантах реализации изобретения конъюгированное антисмысловое соединение, нацеленное на SEQ ID NO: 2, содержит по меньшей мере 8 смежных азотистых оснований последовательности SEQ ID NO: 13. В некоторых вариантах реализации изобретения конъюгированное антисмысловое соединение, нацеленное на SEQ ID NO: 2, содержит последовательность азотистых оснований SEQ ID NO: 13.In some embodiments, a conjugated antisense compound targeted at SEQ ID NO: 2 contains at least 8 contiguous nitrogenous bases of SEQ ID NO: 13. In some embodiments, a conjugated antisense compound targeted at SEQ ID NO: 2 comprises sequence of nitrogenous bases SEQ ID NO: 13.

В некоторых вариантах реализации изобретения конъюгированное антисмысловое соединение, нацеленное на SEQ ID NO: 2, содержит по меньшей мере 8 смежных азотистых оснований последовательности SEQ ID NO: 14. В некоторых вариантах реализации изобретения конъюгированное антисмысловое соединение, нацеленное на SEQ ID NO: 2, содержит последовательность азотистых оснований SEQ ID NO: 14.In some embodiments, a conjugated antisense compound targeted at SEQ ID NO: 2 contains at least 8 contiguous nitrogenous bases of SEQ ID NO: 14. In some embodiments, a conjugated antisense compound targeted at SEQ ID NO: 2 comprises sequence of nitrogenous bases SEQ ID NO: 14.

В некоторых вариантах реализации изобретения конъюгированное антисмысловое соединение, нацеленное на SEQ ID NO: 2, содержит по меньшей мере 8 смежных азотистых оснований последовательности SEQ ID NO: 15. В некоторых вариантах реализации изобретения конъюгированное антисмысловое соединение, нацеленное на SEQ ID NO: 2, содержит последовательность азотистых оснований SEQ ID NO: 15.In some embodiments, a conjugated antisense compound targeted to SEQ ID NO: 2 contains at least 8 contiguous nitrogenous bases of SEQ ID NO: 15. In some embodiments, a conjugated antisense compound targeted to SEQ ID NO: 2 contains sequence of nitrogenous bases SEQ ID NO: 15.

В некоторых вариантах реализации изобретения конъюгированное антисмысловое соединение, нацеленное на SEQ ID NO: 16, содержит по меньшей мере 8 смежных азотистых оснований последовательности SEQ ID NO: 78. В некоторых вариантах реализации изобретения конъюгированное антисмысловое соединение, нацеленное на SEQ ID NO: 16, содержит последовательность азотистых оснований SEQ ID NO: 78.In some embodiments, a conjugated antisense compound targeted at SEQ ID NO: 16 contains at least 8 contiguous nitrogen bases of SEQ ID NO: 78. In some embodiments, a conjugated antisense compound targeted at SEQ ID NO: 16 contains sequence of nitrogenous bases SEQ ID NO: 78.

В некоторых вариантах реализации изобретения конъюгированное антисмысловое соединение, нацеленное на SEQ ID NO: 2, содержит по меньшей мере 8 смежных азотистых оснований последовательности SEQ ID NO: 17. В некоторых вариантах реализации изобретения конъюгированное антисмысловое соединение, нацеленное на SEQ ID NO: 2, содержит последовательность азотистых оснований SEQ ID NO: 17.In some embodiments, a conjugated antisense compound targeted at SEQ ID NO: 2 contains at least 8 contiguous nitrogenous bases of SEQ ID NO: 17. In some embodiments, a conjugated antisense compound targeted at SEQ ID NO: 2 comprises sequence of nitrogenous bases SEQ ID NO: 17.

В некоторых вариантах реализации изобретения конъюгированное антисмысловое соединение, нацеленное на SEQ ID NO: 2, содержит по меньшей мере 8 смежных азотистых оснований последовательности SEQ ID NO: 18. В некоторых вариантах реализации изобретения конъюгированное антисмысловое соединение, нацеленное на SEQ ID NO: 2, содержит последовательность азотистых оснований SEQ ID NO: 18.In some embodiments, a conjugated antisense compound targeting SEQ ID NO: 2 contains at least 8 contiguous nitrogenous bases of SEQ ID NO: 18. In some embodiments, a conjugated antisense compound targeted to SEQ ID NO: 2 contains sequence of nitrogenous bases SEQ ID NO: 18.

В некоторых вариантах реализации изобретения конъюгированное антисмысловое соединение, нацеленное на SEQ ID NO: 2, содержит по меньшей мере 8 смежных азотистых оснований последовательности SEQ ID NO: 19. В некоторых вариантах реализации изобретения конъюгированное антисмысловое соединение, нацеленное на SEQ ID NO: 2, содержит последовательность азотистых оснований SEQ ID NO: 19.In some embodiments, a conjugated antisense compound targeted to SEQ ID NO: 2 contains at least 8 contiguous nitrogenous bases of SEQ ID NO: 19. In some embodiments, a conjugated antisense compound targeted to SEQ ID NO: 2 contains sequence of nitrogenous bases SEQ ID NO: 19.

Figure 00000112
Figure 00000112

Figure 00000113
Figure 00000113

В некоторых вариантах реализации изобретения соединение, имеющее следующую химическую структуру, содержит или состоит из ISIS 420915 с 5'-Х, где X представляет собой конъюгирующую группу, описанную в настоящем документе:In some embodiments of the invention, a compound having the following chemical structure contains or consists of ISIS 420915 with 5'-X, where X is the conjugate group described herein:

Figure 00000114
Figure 00000114

В некоторых вариантах реализации изобретения соединение содержит или состоит из ISIS 682877, имеющего следующую химическую структуру:In some embodiments, the compound comprises or consists of ISIS 682877 having the following chemical structure:

Figure 00000115
Figure 00000115

В некоторых вариантах реализации изобретения соединение содержит или состоит из ISIS 682884, имеющего следующую химическую структуру:In some embodiments, the compound comprises or consists of ISIS 682884 having the following chemical structure:

Figure 00000116
Figure 00000116

В некоторых вариантах реализации изобретения соединение содержит или состоит из SEQ ID NO: 12, 5'-GalNAc и химических модификаций, и представлено следующей химической структурой:In some embodiments, the compound contains or consists of SEQ ID NO: 12, 5'-GalNAc and chemical modifications, and is represented by the following chemical structure:

Figure 00000117
Figure 00000117

где любой R1 представляет собой -ОСН2СН2ОСН3 (МОЕ), a R2 представляет собой Н; или R1 и R2 вместе образуют мостик, при этом R1 представляет собой -О-, a R2 представляет собой -СН2-, -СН(СН3)- или -СН2СН2-, и R1 и R2 напрямую связаны так, что образующийся мостик выбран из: -О-СН2-, -О-СН(СН3)- и О-СН2СН2-;where any R1 represents-OCH2 CH2 OCH3 (MOE), and R2 represents H; or R1 and R2 together form a bridge, wherein R1 is -O- and R2 is -CH2 -, -CH(CH3 )- or -CH2 CH2 -, and R1 and R2 are directly connected so that the resulting bridge is selected from: -O-CH2 -, -O-CH(CH3 )- and O-CH2 CH2 -;

и для каждой пары из R3 и R4 у одного кольца, независимо для каждого кольца: любой R3 выбран из Н и -ОСН2СН2ОСН3, a R4 представляет собой Н; или R3 и R4 вместе образуют мостик, при этом R3 представляет собой -О-, a R4 представляет собой -СН2-, -СН(СН3)-или -СН2СН2-, и R3 и R4 напрямую связаны так, что образующийся мостик выбран из: -О-СН2-, -О-СН(СН3)- и -О-СН2СН2-;and for each pair of R3 and R4 on one ring, independently for each ring: any R3 is selected from H and —OCH2 CH2 OCH3 and R4 is H; or R3 and R4 together form a bridge, wherein R3 is —O— and R4 is —CH2 —, —CH(CH3 )—or —CH2 CH2 —, and R3 and R4 are directly connected so that the resulting bridge is selected from: -O-CH2 -, -O-CH(CH3 )- and -O-CH2 CH2 -;

и R5 выбран из Н и -CH3;and R5 is selected from H and -CH3 ;

a Z выбран из S' и О'.a Z is selected from S' and O'.

В некоторых вариантах реализации изобретения соединение содержит антисмысловый олигонуклеотид, описанный в публикации WO 2011/139917 или US 8101743, полное содержание которых включено в настоящий документ посредством ссылки, и конъюгирующую группу. В некоторых вариантах реализации изобретения соединение содержит антисмысловый олигонуклеотид, имеющий последовательность азотистых оснований любой из SEQ ID NO 8-160, 170-177, описанных в WO 2011/139917, и конъюгирующую группу, описанную в настоящем документе. В некоторых вариантах реализации изобретения соединение содержит антисмысловый олигонуклеотид, имеющий последовательность азотистых оснований любой из SEQ ID NO 12-89, описанных в US 8 101 743, и конъюгирующую группу, описанную в настоящем документе. В некоторых вариантах реализации изобретения соединение содержит антисмысловый олигонуклеотид, имеющий последовательность азотистых оснований, комплементарную предпочтительному целевому сегменту любой из SEQ ID NO 90-133, описанных в US 8101743, и конъюгирующую группу, описанную в настоящем документе. Последовательности азотистых оснований всех вышеупомянутых справочных SEQ ID NO включены в настоящий документ посредством ссылки.In some embodiments, the compound contains an antisense oligonucleotide as described in WO 2011/139917 or US 8101743, the entire content of which is incorporated herein by reference, and a conjugating group. In some embodiments, the compound comprises an antisense oligonucleotide having the nitrogenous base sequence of any of SEQ ID NOs 8-160, 170-177 described in WO 2011/139917 and a conjugation group as described herein. In some embodiments, the compound contains an antisense oligonucleotide having the nitrogenous base sequence of any of SEQ ID NOs 12-89 described in US 8 101 743 and a conjugation group as described herein. In some embodiments, the compound contains an antisense oligonucleotide having a nitrogenous base sequence complementary to the preferred target segment of any of SEQ ID NOs 90-133 described in US 8101743 and a conjugation group described herein. The nitrogenous base sequences of all of the aforementioned reference SEQ ID NOs are incorporated herein by reference.

Терапевтические показания для TTRTherapeutic indications for TTR

В некоторых вариантах реализации настоящего изобретения приведены способы применения конъюгированного антисмыслового соединения, нацеленного на нуклеиновую кислоту TTR, для модулирования экспрессии TTR у субъекта. В некоторых вариантах реализации изобретения экспрессия TTR снижена.In some embodiments of the present invention, methods are provided for using a conjugated antisense compound that targets a TTR nucleic acid to modulate TTR expression in a subject. In some embodiments of the invention, TTR expression is reduced.

В некоторых вариантах реализации настоящего изобретения приведены способы применения конъюгированного антисмыслового соединения, нацеленного на нуклеиновую кислоту TTR, в фармацевтической композиции для лечения субъекта. В некоторых вариантах реализации изобретения субъект страдает заболеванием, расстройством или патологическим состоянием, связанным с транстиретином, или его симптомом. В некоторых вариантах реализации изобретения заболевание, расстройство или патологическое состояние, связанное с транстиретином, представляет собой транстиретиновый амилоидоз. «Амилоидоз, связанный с транстиретином» или «транстиретиновый амилоидоз», или «транстиретиновое амилоидное заболевание», при использовании в настоящем документе, представляет собой любую патологию или заболевание, связанное с дисфункцией или дисрегуляцией транстиретина, которая приводит к образованию содержащих транстиретин амилоидных фибрилл. Транстиретиновый амилоидоз включает, но не ограничивается ими, наследственный TTR амилоидоз, лептоменингеальный амилоидоз, семейную амилоидную полиневропатию (FAP), семейную амилоидную кардиомиопатию, семейный окулолептоменингеальный амилоидоз, старческий амилоидоз сердца или старческий системный амилоидоз.In some embodiments of the present invention, methods are provided for using a conjugated antisense compound that targets a TTR nucleic acid in a pharmaceutical composition for treating a subject. In some embodiments of the invention, the subject suffers from a disease, disorder or pathological condition associated with transthyretin, or its symptom. In some embodiments of the invention, the disease, disorder or pathological condition associated with transthyretin is transthyretin amyloidosis. "Transthyretin-associated amyloidosis" or "transthyretin amyloidosis" or "transthyretin amyloid disease", as used herein, is any pathology or disease associated with transthyretin dysfunction or dysregulation that results in the formation of transthyretin-containing amyloid fibrils. Transthyretin amyloidosis includes, but is not limited to, hereditary TTR amyloidosis, leptomeningeal amyloidosis, familial amyloid polyneuropathy (FAP), familial amyloid cardiomyopathy, familial oculoleptomeningeal amyloidosis, senile cardiac amyloidosis, or senile systemic amyloidosis.

В некоторых вариантах реализации настоящего изобретения приведены способы применения конъюгированного антисмыслового соединения, нацеленного на нуклеиновую кислоту TTR, для производства лекарственного средства.In some embodiments of the present invention, methods are provided for using a conjugated antisense compound targeted to a TTR nucleic acid for the manufacture of a drug.

В некоторых вариантах реализации настоящего изобретения предложено конъюгированное антисмысловое соединение, нацеленное на нуклеиновую кислоту TTR, или его фармацевтически приемлемая соль для применения в терапии.In some embodiments, the present invention provides a conjugated antisense compound that targets a TTR nucleic acid, or a pharmaceutically acceptable salt thereof, for use in therapy.

В некоторых вариантах реализации изобретения предложено конъюгированное антисмысловое соединение, нацеленное на нуклеиновую кислоту TTR, для применения при лечении заболевания, расстройства, патологического состояния или его симптома, связанного с транстиретином. В некоторых вариантах реализации изобретения заболевание, расстройство или патологическое состояние, связанное с транстиретином, представляет собой транстиретиновый амилоидоз.In some embodiments, a conjugated antisense compound targeted to a TTR nucleic acid is provided for use in the treatment of a transthyretin-associated disease, disorder, condition, or symptom thereof. In some embodiments of the invention, the disease, disorder or pathological condition associated with transthyretin is transthyretin amyloidosis.

Следует понимать, что любое из описанных в настоящем документе соединений можно применять в вышеупомянутых способах и применениях. Например, в некоторых вариантах реализации изобретения конъюгированное антисмысловое соединение, нацеленное на нуклеиновую кислоту TTR, в вышеупомянутых способах и применениях может включать, но не органичиваясь ими, конъюгированное антисмысловое соединение, нацеленное на SEQ ID NO: 2, которое содержит по меньшей мере 8 смежных азотистых оснований любой из SEQ ID NO: 12-19; конъюгированное антисмысловое соединение, нацеленное на SEQ ID NO: 2, которое содержит последовательность азотистых оснований любой из SEQ ID NO: 12-19; соединение, содержащее или состоящее из ISIS 420915, ISIS 304299, ISIS 420921, ISIS 420922, ISIS 420950, ISIS 420955, ISIS 420957 или ISIS 420959 и конъюгирующие группы; соединение, содержащее антисмысловый олигонуклеотид, описанный в WO 2011/139917 или US 8101743, полное содержание каждой из которых включено в настоящий документ посредством ссылки, и конъюгирующую группу; соединение, содержащее антисмысловый олигонуклеотид, имеющий последовательность азотистых оснований любой из SEQ ID NO 8-160, 170-177, описанных в WO 2011/139917, и конъюгирующую группу, описанную в настоящем документе; антисмысловый олигонуклеотид, имеющий последовательность азотистых оснований любой из SEQ ID NO 12-89, описанных в US 8101743, и конъюгирующую группу, описанную в настоящем документе; или соединение, содержащее антисмысловый олигонуклеотид, имеющий последовательность азотистых оснований, комплементарную предпочтительному целевому сегменту любой из SEQ ID NO 90-133, описанных в US 8101743, и конъюгирующую группу, описанную в настоящем документе. Последовательности азотистых оснований всех вышеупомянутых справочных SEQ ID NO включены в настоящий документ посредством ссылки.It should be understood that any of the compounds described herein can be used in the above methods and applications. For example, in some embodiments, a conjugated antisense compound targeting a TTR nucleic acid in the above methods and uses may include, but is not limited to, a conjugated antisense compound targeted to SEQ ID NO: 2 that contains at least 8 contiguous nitrogenous bases of any of SEQ ID NOs: 12-19; a conjugated antisense compound targeting SEQ ID NO: 2, which contains a nitrogenous base sequence of any of SEQ ID NO: 12-19; a compound containing or consisting of ISIS 420915, ISIS 304299, ISIS 420921, ISIS 420922, ISIS 420950, ISIS 420955, ISIS 420957 or ISIS 420959 and conjugating groups; a compound containing an antisense oligonucleotide described in WO 2011/139917 or US 8101743, the entire content of each of which is incorporated herein by reference, and a conjugating group; a compound containing an antisense oligonucleotide having a nitrogenous base sequence of any of SEQ ID NOs 8-160, 170-177 described in WO 2011/139917 and a conjugating group as described herein; an antisense oligonucleotide having a nitrogenous base sequence of any of SEQ ID NOs 12-89 described in US 8101743 and a conjugating group as described herein; or a compound containing an antisense oligonucleotide having a nitrogenous base sequence complementary to the preferred target segment of any of SEQ ID NOs 90-133 described in US 8101743 and a conjugating group as described herein. The nitrogenous base sequences of all of the aforementioned reference SEQ ID NOs are incorporated herein by reference.

Е. Некоторые фармацевтические композицииE. Certain Pharmaceutical Compositions

В некоторых вариантах реализации настоящего описания приведены фармацевтические композиции, содержащие одно или более антисмысловых соединений. В некоторых вариантах реализации изобретения такая фармацевтическая композиция содержит подходящий фармацевтически приемлемый разбавитель или носитель. В некоторых вариантах реализации изобретения фармацевтическая композиция содержит стерильный солевой раствор и одно или более антисмысловых соединений. В некоторых вариантах реализации изобретения такая фармацевтическая композиция состоит из стерильного солевого раствора и одного или более антисмысловых соединений. В некоторых вариантах реализации изобретения стерильный солевой раствор представляет собой солевой раствор фармацевтической марки. В некоторых вариантах реализации изобретения фармацевтическая композиция содержит одно или более антисмысловых соединений и стерильную воду. В некоторых вариантах реализации изобретения фармацевтическая композиция состоит из одного или более антисмысловых соединений и стерильной воды. В некоторых вариантах реализации изобретения стерильный солевой раствор представляет собой воду фармацевтической марки. В некоторых вариантах реализации изобретения фармацевтическая композиция содержит одно или более антисмысловых соединений и фосфатно-солевой буферный раствор (PBS). В некоторых вариантах реализации изобретения фармацевтическая композиция состоит из одного или более антисмысловых соединений и фосфатно-солевого буферного раствора (PBS). В некоторых вариантах реализации изобретения стерильный солевой раствор представляет собой PBS фармацевтической марки.In some embodiments of the present disclosure, pharmaceutical compositions are provided that contain one or more antisense compounds. In some embodiments of the invention, such a pharmaceutical composition contains a suitable pharmaceutically acceptable diluent or carrier. In some embodiments of the invention, the pharmaceutical composition contains a sterile saline solution and one or more antisense compounds. In some embodiments of the invention, such a pharmaceutical composition consists of a sterile saline solution and one or more antisense compounds. In some embodiments, the sterile saline solution is pharmaceutical grade saline. In some embodiments of the invention, the pharmaceutical composition contains one or more antisense compounds and sterile water. In some embodiments of the invention, the pharmaceutical composition consists of one or more antisense compounds and sterile water. In some embodiments, the sterile saline solution is pharmaceutical grade water. In some embodiments of the invention, the pharmaceutical composition contains one or more antisense compounds and phosphate-buffered saline (PBS). In some embodiments of the invention, the pharmaceutical composition consists of one or more antisense compounds and phosphate buffered saline (PBS). In some embodiments, the sterile saline solution is pharmaceutical grade PBS.

В некоторых вариантах реализации изобретения антисмысловые соединения могут быть смешаны с фармацевтически приемлемыми активными и/или инертными веществами для получения фармацевтических композиций или составов. Композиции и способы составления фармацевтических композиций зависят от множества критериев, включая, но не ограничиваясь этим, способ введения, тяжесть заболевания или дозу, подлежащую введению.In some embodiments of the invention, antisense compounds can be mixed with pharmaceutically acceptable active and/or inert substances to obtain pharmaceutical compositions or formulations. Compositions and methods of formulating pharmaceutical compositions depend on a variety of criteria, including, but not limited to, the route of administration, the severity of the disease, or the dose to be administered.

Фармацевтические композиции, содержащие антисмысловые соединения, охватывают любые фармацевтически приемлемые соли, сложные эфиры или соли таких сложных эфиров. В некоторых вариантах реализации изобретения фармацевтические композиции, содержащие антисмысловые соединения, содержат один или более олигонуклеотидов, которые при введении млекопитающему, включая человека, могут обеспечивать (прямо или косвенно) его биологически активный метаболит или остаток. Соответственно, например, настоящее описание относится также к фармацевтически приемлемым солям антисмысловых соединений, пролекарствам, фармацевтически приемлемым солям таких пролекарств и к другим биоэквивалентам. Подходящие фармацевтически приемлемые соли включают, но не ограничиваются ими, соли натрия и калия.Pharmaceutical compositions containing antisense compounds encompass any pharmaceutically acceptable salts, esters or salts of such esters. In some embodiments of the invention, pharmaceutical compositions containing antisense compounds contain one or more oligonucleotides that, when administered to a mammal, including a human, can provide (directly or indirectly) its biologically active metabolite or residue. Accordingly, for example, the present disclosure also relates to pharmaceutically acceptable salts of antisense compounds, prodrugs, pharmaceutically acceptable salts of such prodrugs, and other bioequivalents. Suitable pharmaceutically acceptable salts include, but are not limited to, the sodium and potassium salts.

Пролекарство может включать внедрение дополнительных нуклеозидов у одного или обоих концов олигонуклеотид а, которые расщепляются в организме под действием эндогенных нуклеаз с образованием активного антисмыслового олигонуклеотида.The prodrug may include the introduction of additional nucleosides at one or both ends of the oligonucleotide a, which are cleaved in the body by endogenous nucleases to form an active antisense oligonucleotide.

В многочисленных способах в терапиях с нуклеиновыми кислотами были применены липидные фрагменты. В некоторых таких способах нуклеиновую кислоту вводят в предварительно сформированные липосомы или липоплексы, полученные из смесей катионных липидов и нейтральных липидов. В некоторых способах получают ДНК комплексы с моно- или поликатионными липидами без участия нейтрального липида. В некоторых вариантах реализации изобретения липидный фрагмент выбиран для улучшения распределения фармацевтического агента в определенной клетке или ткани. В некоторых вариантах реализации изобретения липидный фрагмент выбиран для улучшения распределения фармацевтического агента в жировой ткани. В некоторых вариантах реализации изобретения липидный фрагмент выбиран для улучшения распределения фармацевтического агента в мышечной ткани.Lipid moieties have been used in numerous methods in nucleic acid therapies. In some such methods, the nucleic acid is introduced into preformed liposomes or lipoplexes prepared from mixtures of cationic lipids and neutral lipids. In some methods, DNA complexes with mono- or polycationic lipids are obtained without the participation of a neutral lipid. In some embodiments, the lipid moiety is selected to improve the distribution of the pharmaceutical agent in a particular cell or tissue. In some embodiments, the lipid moiety is selected to improve the distribution of the pharmaceutical agent in adipose tissue. In some embodiments of the invention, the lipid fragment is selected to improve the distribution of the pharmaceutical agent in muscle tissue.

В некоторых вариантах реализации изобретения фармацевтические композиции, представленные в настоящем документе, содержат один или более модифицированных олигонуклеотидов и одно или более вспомогательных веществ. В некоторых таких вариантах реализации изобретения вспомогательные вещества выбраны из воды, солевых растворов, спирта, полиэтиленгликолей, желатина, лактозы, амилазы, стеарата магния, талька, кремниевой кислоты, вязкого парафина, гидроксиметилцеллюлозы и полив инилпирро лид она.In some embodiments of the invention, the pharmaceutical compositions provided herein contain one or more modified oligonucleotides and one or more excipients. In some such embodiments, the excipients are selected from water, saline solutions, alcohol, polyethylene glycols, gelatin, lactose, amylase, magnesium stearate, talc, silicic acid, viscous paraffin, hydroxymethyl cellulose, and pouring inyl pyrrolidone.

В некоторых вариантах реализации изобретения фармацевтическая композиция, представленная в настоящем документе, содержит систему доставки. Примеры систем доставки включают, но не ограничиваются ими, липосомы и эмульсии. Некоторые системы доставки подходят для получения некоторых фармацевтических композиций, включая композиции, содержащие гидрофобные соединения. В некоторых вариантах реализации изобретения применяют некоторые органические растворители, такие как диметилсульфоксид.In some embodiments of the invention, the pharmaceutical composition provided herein contains a delivery system. Examples of delivery systems include, but are not limited to, liposomes and emulsions. Certain delivery systems are suitable for preparing certain pharmaceutical compositions, including compositions containing hydrophobic compounds. In some embodiments of the invention, some organic solvents are used, such as dimethyl sulfoxide.

В некоторых вариантах реализации изобретения фармацевтическая композиция, представленная в настоящем документе, содержит одну или более тканеспецифичных молекул доставки, предназначенных для доставки одного или более фармацевтических агентов настоящего описания в определенную ткань или типы клеток. Например, в некоторых вариантах реализации изобретения фармацевтические композиции включают липосомы, покрытые тканеспецифичным антителом.In some embodiments of the invention, the pharmaceutical composition provided herein contains one or more tissue-specific delivery molecules designed to deliver one or more pharmaceutical agents of the present description in a specific tissue or cell types. For example, in some embodiments of the invention, the pharmaceutical compositions include liposomes coated with a tissue-specific antibody.

В некоторых вариантах реализации изобретения фармацевтическая композиция, представленная в настоящем документе, содержит систему совместного растворителя. Некоторые такие системы совместных растворителей содержат, например, бензиловый спирт, неполярное поверхностно-активное вещество, смешиваемый с водой органический полимер и водную фазу. В некоторых вариантах реализации изобретения такие системы совместных растворителей применяют для гидрофобных соединений. Не ограничивающий пример такой системы совместных растворителей представляет собой система совместных растворителей VPD, которая представляет собой раствор абсолютного этанола, содержащего 3% масс./об. бензилового спирта, 8% масс/об. неполярного поверхностно-активного вещества Polysorbate 80™ и 65% масс/об. полиэтиленгликоля 300. Пропорции таких систем совместных растворителей могут существенно варьироваться без значителного изменения их характеристик растворимости и токсичности. Кроме того, может варьироваться сущность компонентов совместных растворителей: например, вместо Polysorbate 80™ могут быть применены другие поверхностно-активные вещества; может варьироваться размер фракции полиэтиленгликоля; вместо полиэтиленгликоля могут быть применены другие биосовместимые полимеры, например, поливинилпирролидон; и вместо декстрозы могут быть применены другие сахара или полисахариды.In some embodiments of the invention, the pharmaceutical composition provided herein contains a co-solvent system. Some such co-solvent systems contain, for example, benzyl alcohol, a non-polar surfactant, a water-miscible organic polymer, and an aqueous phase. In some embodiments, such co-solvent systems are used for hydrophobic compounds. A non-limiting example of such a co-solvent system is the VPD co-solvent system, which is an absolute ethanol solution containing 3% wt./vol. benzyl alcohol, 8% w/v. non-polar surfactant Polysorbate 80™ and 65% w/v. polyethylene glycol 300. The proportions of such co-solvent systems can vary substantially without significantly altering their solubility and toxicity characteristics. In addition, the nature of the components of the co-solvents may vary: for example, other surfactants may be used instead of Polysorbate 80™; the size of the polyethylene glycol fraction may vary; instead of polyethylene glycol, other biocompatible polymers can be used, for example, polyvinylpyrrolidone; and other sugars or polysaccharides may be used instead of dextrose.

В некоторых вариантах реализации изобретения фармацевтическую композицию, представленную в настоящем документе, получают для перорального введения. В некоторых вариантах реализации изобретения фармацевтические композиции получают для буккального введения.In some embodiments of the invention, the pharmaceutical composition provided herein is prepared for oral administration. In some embodiments of the invention, pharmaceutical compositions are prepared for buccal administration.

В некоторых вариантах реализации изобретения фармацевтическую композицию получают для введения инъекцией (например, внутривенной, подкожной, внутримышечной и т.д.). В некоторых таких вариантах реализации изобретения фармацевтическая композиция содержит носитель и составлена в водном растворе, таком как вода или физиологически совместимые буферы, такие как раствор Хэнкса, раствор Рингера или физиологический солевой буфер. В некоторых вариантах реализации изобретения включены другие ингредиенты (например, ингредиенты, улучшающие растворимость или служащие консервантами). В некоторых вариантах реализации изобретения суспензии для инъекций получают при помощи подходящих жидких носителей, суспендирующих агентов и т.п. Некоторые фармацевтические композиции для инъекций представлены в форме разовой дозы, например, в ампулах, или в многодозовых контейнерах. Некоторые фармацевтические композиции для инъекций представляют собой суспензии, растворы или эмульсии в масляных или водных жидких носителях, и они могут содержать вспомогательные агенты, такие как суспендирующие, стабилизирующие и/или диспергирующие агенты. Некоторые растворители, подходящие для применения в фармацевтических композициях для инъекций, включают, но не ограничиваются ими, липофильные растворители и жирные масла, такие как кунжутное масло, синтетические сложные эфиры жирных кислот, такие как этилолеат или триглицериды, и липосомы. Водные суспензии для инъекций могут содержать вещества, которые увеличивают вязкость суспензии, такие как карбоксиметилцеллюлоза натрия, сорбит или декстран. Такие суспензии могут также необязательно содержать подходящие стабилизаторы или агенты, которые увеличивают растворимость фармацевтических агентов с обеспечением возможности получения высококонцентрированных растворов.In some embodiments of the invention, the pharmaceutical composition is prepared for administration by injection (eg, intravenous, subcutaneous, intramuscular, etc.). In some such embodiments, the pharmaceutical composition contains a carrier and is formulated in an aqueous solution such as water or physiologically compatible buffers such as Hanks' solution, Ringer's solution, or physiological saline buffer. In some embodiments of the invention, other ingredients are included (for example, ingredients that improve solubility or serve as preservatives). In some embodiments, injection suspensions are prepared using suitable liquid carriers, suspending agents, and the like. Some pharmaceutical compositions for injection are presented in unit dose form, for example in ampoules, or in multi-dose containers. Some injectable pharmaceutical compositions are suspensions, solutions or emulsions in oily or aqueous liquid vehicles and may contain adjuvants such as suspending, stabilizing and/or dispersing agents. Some solvents suitable for use in injectable pharmaceutical compositions include, but are not limited to, lipophilic solvents and fatty oils such as sesame oil, synthetic fatty acid esters such as ethyl oleate or triglycerides, and liposomes. Aqueous injection suspensions may contain substances which increase the viscosity of the suspension, such as sodium carboxymethylcellulose, sorbitol or dextran. Such suspensions may also optionally contain suitable stabilizers or agents which increase the solubility of the pharmaceutical agents so that highly concentrated solutions can be obtained.

В некоторых вариантах реализации изобретения фармацевтическую композицию получают для трансмукозального введения. В некоторых таких вариантах реализации изобретения в составе применяют пенетранты, соответствующие барьеру, через который необходимо проникнуть. Такие пенетранты общеизвестны в данной области техники.In some embodiments of the invention, the pharmaceutical composition is prepared for transmucosal administration. In some such embodiments, penetrants are used in the formulation to match the barrier to be penetrated. Such penetrants are well known in the art.

В некоторых вариантах реализации изобретения фармацевтическая композиция, представленная в настоящем документе, содержит олигонуклеотид в терапевтически эффективном количестве. В некоторых вариантах реализации изобретения терапевтически эффективное количество является достаточным для предотвращения, облегчения или облегчения симптомов заболевания или для увеличения продолжительности жизни субъекта, подлежащего лечению. Определение терапевтически эффективного количества находится в пределах возможностей специалистов в данной области техники.In some embodiments of the invention, the pharmaceutical composition provided herein contains the oligonucleotide in a therapeutically effective amount. In some embodiments, the therapeutically effective amount is sufficient to prevent, alleviate, or alleviate the symptoms of a disease or to increase the lifespan of the subject being treated. Determining a therapeutically effective amount is within the ability of those skilled in the art.

В некоторых вариантах реализации изобретения один или более модифицированных олигонуклеотидов, представленных в настоящем документе, составляют в виде пролекарства. В некоторых вариантах реализации изобретения при введении in vivo пролекарство химически превращается в биологически, фармацевтически или терапевтически более активную форму олигонуклеотида. В некоторых вариантах реализации изобретения пролекарства пригодны благодаря тому, что их проще вводить, чем соответствующую активную форму. Например, в некоторых случаях пролекарство может быть более биодоступным (например, при пероральном введении), чем соответствующая активная форма. В некоторых случаях пролекарство может обладать улучшенной растворимостью, по сравнению с соответствующей активной формой. В некоторых вариантах реализации изобретения пролекарства менее растворимы в воде, чем соответствующая активная форма. В некоторых случаях такие пролекарства обладают превосходной передачей через клеточные мембраны, при этом растворимость в воде ухудшает их подвижность. В некоторых вариантах реализации изобретения пролекарство представляет собой сложный эфир. В некоторых таких вариантах реализации изобретения сложный эфир при введении метаболически гидролизуется до карбоновой кислоты. В некоторых случаях соединение, содержащее карбоновую кислоту, представляет собой соответствующую активную форму. В некоторых вариантах реализации изобретения пролекарство содержит короткий пептид (полиаминокислоту), связанный с кислотной группой. В некоторых таких вариантах реализации изобретения пептид расщепляется при введении с образованием соответствующей активной формы.In some embodiments, one or more of the modified oligonucleotides provided herein are formulated as a prodrug. In some embodiments, when administered in vivo, the prodrug is chemically converted to a biologically, pharmaceutically, or therapeutically more active form of the oligonucleotide. In some embodiments, prodrugs are useful because they are easier to administer than the corresponding active form. For example, in some cases, the prodrug may be more bioavailable (eg, when administered orally) than the corresponding active form. In some cases, the prodrug may have improved solubility as compared to the corresponding active form. In some embodiments, the prodrugs are less water soluble than the corresponding active form. In some cases, such prodrugs have excellent transmission across cell membranes, while water solubility impairs their mobility. In some embodiments, the prodrug is an ester. In some such embodiments, the ester is metabolically hydrolyzed to a carboxylic acid upon administration. In some cases, the compound containing the carboxylic acid is the corresponding active form. In some embodiments, the prodrug contains a short peptide (polyamino acid) linked to an acid group. In some such embodiments, the peptide is cleaved upon administration to form the corresponding active form.

В некоторых вариантах реализации настоящего описания приведены композиции и способы снижения количества или активности целевой нуклеиновой кислоты в клетке. В некоторых вариантах реализации изобретения клетка находится в организме животного. В некоторых вариантах реализации изобретения животное представляет собой млекопитающее. В некоторых вариантах реализации изобретения животное представляет собой грызуна. В некоторых вариантах реализации изобретения животное представляет собой примата. В некоторых вариантах реализации изобретения животное представляет собой примата, не являющегося человеком. В некоторых вариантах реализации изобретения животное представляет собой человека.In some embodiments of the present disclosure, compositions and methods for reducing the amount or activity of a target nucleic acid in a cell are provided. In some embodiments of the invention, the cell is in the body of an animal. In some embodiments of the invention, the animal is a mammal. In some embodiments of the invention, the animal is a rodent. In some embodiments of the invention, the animal is a primate. In some embodiments, the animal is a non-human primate. In some embodiments of the invention, the animal is a human.

В некоторых вариантах реализации настоящего описания приведены способы введения животному фармацевтической композиции, содержащей олигонуклеотид настоящего описания. Подходящие способы введения включают, но не ограничиваются ими, пероральный, ректальный, трансмукозальный, интестинальный, энтеральный, местный, суппозитории, через ингаляции, интратекальный, интрацеребровентрикулярный, внутрибрюшинный, интраназальный, интраокулярный, внутриопухолевый и парентеральный (например, внутривенный, внутримышечный, интрамедуллярный и подкожный). В некоторых вариантах реализации изобретения вводят фармацевтические интратекальные средства для достижения местного, а не системного воздействия. Например, фармацевтические композиции могут быть введены инъекцией непосредственно в область желаемого эффекта (например, в печень).In some embodiments of the present disclosure, methods are provided for administering to an animal a pharmaceutical composition comprising an oligonucleotide of the present disclosure. Suitable routes of administration include, but are not limited to, oral, rectal, transmucosal, intestinal, enteral, topical, suppositories, inhalation, intrathecal, intracerebroventricular, intraperitoneal, intranasal, intraocular, intratumoral, and parenteral (e.g., intravenous, intramuscular, intramedullary, and subcutaneous ). In some embodiments of the invention, pharmaceutical intrathecal agents are administered to achieve local rather than systemic effects. For example, pharmaceutical compositions may be injected directly into the area of desired effect (eg, the liver).

Неограничивающее описание и включение посредством ссылкиNon-limiting description and inclusion by reference

Несмотря на то, что некоторые соединения, композиции и способы, описанные в настоящем документе, были подробно описаны в соответствии с некоторыми вариантами реализации изобретения, следующие примеры служат лишь для иллюстрации соединений, описанных в настоящем документе, и их не следует считать их ограничением. Каждая из ссылок, номера доступа GenBank и подобные ссылки, упоминаемые в настоящей заявке, включены в настоящий документ посредством ссылки в полном объеме.While some of the compounds, compositions, and methods described herein have been described in detail in accordance with certain embodiments of the invention, the following examples are merely illustrative of the compounds described herein and should not be considered limiting. Each of the references, GenBank access numbers and like references referred to in this application are incorporated herein by reference in their entirety.

Некоторые соединения, композиции и способы в настоящем документе описаны как «содержащие точно» или «содержащие только» определенное количество конкретных элементов или характеристик. Такие описания использованы для обозначения того, что, хотя соединение, композиция или способ может включать другие дополнительные элементы, количество конкретного элемента или характеристики представляет собой определенное число. Например, «конъюгат, содержащий ровно один GalNAc» представляет собой конъюгат, который содержит один и ровно один GalNAc, хотя он может содержать другие элементы, помимо указанного одного GalNAc.Certain compounds, compositions, and methods are described herein as "exactly" or "containing only" a certain number of specific elements or characteristics. Such descriptions are used to indicate that while a compound, composition, or method may include other optional elements, the amount of a particular element or characteristic is a certain number. For example, "conjugate containing exactly one GalNAc" is a conjugate that contains one and exactly one GalNAc, although it may contain elements other than the specified one GalNAc.

Несмотря на то, что перечень последовательностей, сопровождающий этот файл, указывает каждую последовательность либо как «РНК», либо как «ДНА», по необходимости, в действительности эти последовательности могут быть модифицированы любой комбинацией химических модификаций. Специалистам в данной области техники понятно, что такое обозначение как «РНК» или «ДНК» для описания модифицированных олигонуклеотидов, является в некоторых случаях произвольным. Например, олигонуклеотид, содержащий нуклеозид, содержащий 2'-ОН сахарный фрагмент и тиминовое основание, может быть описан как ДНК, имеющая модифицированный сахар (2'-ОН вместо природного 2'-Н в ДНК) или как РНК, имеющая модифицированное основание (тимин (метилированный урацил) вместо природного урацила в РНК).Although the sequence listing that accompanies this file specifies each sequence as either "RNA" or "DNA", as needed, these sequences can actually be modified with any combination of chemical modifications. Those skilled in the art will recognize that such designation as "RNA" or "DNA" to describe modified oligonucleotides is arbitrary in some cases. For example, an oligonucleotide containing a nucleoside containing a 2'-OH sugar moiety and a thymine base can be described as DNA having a modified sugar (2'-OH instead of the natural 2'-H in DNA) or as RNA having a modified base (thymine (methylated uracil) instead of natural uracil in RNA).

Соответственно, последовательности нуклеиновых кислот, представленные в настоящем документе, включая, но не ограничиваясь ими, последовательности в перечне последовательностей, предназначены для охвата нуклеиновых кислот, содержащих любую комбинацию природных или модифицированных РНК и/или ДНК, включая, но не ограничиваясь ими, такие нуклеиновые кислоты, которые содержат модифицированные азотистые основания. В качестве дополнительного примера и без ограничения, олигонуклеотид, содержащий последовательность азотистых оснований «ATCGATCG», хватывает любые олигонуклеотиды, имеющие такую последовательность азотистых оснований, модифицированных или немодифицированных, включая, но не ограничиваясь ими, такие соединения, которые содержат РНК основания, такие как те, которые имеют последовательность «AUCGAUCG», и те, которые имеют некоторые ДНК основания и некоторые РНК основания, такие как «AUCGATCG», а также олигонуклеотиды, имеющие другие модифицированные основания, такие как «ATmeCGAUCG», гдеmeC означает цитозиновое основание, содержащее метиловую группу в 5-положении.Accordingly, the nucleic acid sequences provided herein, including but not limited to those in the sequence listing, are intended to encompass nucleic acids containing any combination of naturally occurring or modified RNA and/or DNA, including but not limited to such nucleic acids. acids that contain modified nitrogenous bases. As a further example and without limitation, an oligonucleotide containing the nitrogenous base sequence "ATCGATCG" encompasses any oligonucleotides having such a nitrogenous base sequence, modified or unmodified, including, but not limited to, those compounds that contain an RNA base, such as those that have the sequence "AUCGAUCG" and those that have some DNA bases and some RNA bases such as "AUCGATCG", as well as oligonucleotides having other modified bases such as "ATme CGAUCG", whereme C stands for cytosine base containing a methyl group at the 5-position.

ПРИМЕРЫEXAMPLES

Следующие примеры иллюстрируют некоторые варианты реализации настоящего описания и не являются ограничивающими. Более того, если приведены конкретные варианты реализации, авторы изобретения подразумевают общее применение указанных конкретных вариантов реализации. Например, описание олигонуклеотида, содержащего конкретный мотив, дает обоснованное основание для дополнительных олигонуклеотидов, содержащих такой же или похожий мотив. И, например, если конкретная высокоаффинная модификация возникает в определенном положении, то в этом же положении считаются подходящими другие высокоаффинные модификации, если не указано иное.The following examples illustrate some embodiments of the present disclosure and are non-limiting. Moreover, when specific embodiments are given, the inventors intend the general application of said specific embodiments. For example, a description of an oligonucleotide containing a particular motif provides a valid basis for additional oligonucleotides containing the same or similar motif. And, for example, if a particular high affinity modification occurs at a certain position, then other high affinity modifications are considered appropriate at that position, unless otherwise indicated.

Пример 1. Общий способ получения фосфорамидитов. Соединений 1, 1а и 2Example 1. General method for obtaining phosphoramidites. Compounds 1, 1a and 2

Figure 00000118
Figure 00000118

Вх представляет собой гетероциклическое основаниеBx is a heterocyclic base

Соединения 1, 1a и 2 получили по методикам, общеизвестным в данной области техники, описанным в данном описании (см. Seth et al., Bioorg. Med. Chem., 2011, 21(4), 1122-1125, J. Org. Chem., 2010, 75(5), 1569-1581, Nucleic Acids Symposium Series, 2008, 52(1), 553-554); и см. также опубликованные Международные заявки РСТ (WO 2011/115818. WO 2010/077578, WO 2010/036698, WO 2009/143369, WO 2009/006478 и WO 2007/090071) и патент США 7569686).Compounds 1, 1a and 2 were prepared according to procedures well known in the art as described herein (see Seth et al., Bioorg. Med. Chem., 2011, 21(4), 1122-1125, J. Org. Chem., 2010, 75(5), 1569-1581, Nucleic Acids Symposium Series, 2008, 52(1), 553-554); and see also published PCT International Applications (WO 2011/115818, WO 2010/077578, WO 2010/036698, WO 2009/143369, WO 2009/006478 and WO 2007/090071) and US Pat.

Пример 2. Получение Соединения 7Example 2 Preparation of Compound 7

Figure 00000119
Figure 00000119

Соединение 3 (2-ацетамидо-1,3,4,6-тетра-O-ацетил-2-дезокси-β-D-галактопираноза или галактозамина пентаацетат) имеется в продаже. Соединение 5 получили по опубликованным методикам (Weber et al., J. Med. Chem., 1991, 34, 2692).Compound 3 (2-acetamido-1,3,4,6-tetra-O-acetyl-2-deoxy-β-D-galactopyranose or galactosamine pentaacetate) is commercially available. Compound 5 was prepared according to published procedures (Weber et al., J. Med. Chem., 1991, 34, 2692).

Пример 3. Получение Соединения 11Example 3 Preparation of Compound 11

Figure 00000120
Figure 00000120

Соединения 8 и 9 имеются в продаже.Compounds 8 and 9 are commercially available.

Пример 4. Получение Соединения 18Example 4 Preparation of Compound 18

Figure 00000121
Figure 00000121

Соединение 11 получили по способам, описанным в Примере 3. Соединение 14 имеется в продаже. Соединение 17 получили по такому же способу, как описан в публикации Rensen et al., J. Med. Chem., 2004, 47, 5798-5808.Compound 11 was prepared according to the methods described in Example 3. Compound 14 is commercially available. Compound 17 was prepared in the same manner as described in Rensen et al., J. Med. Chem., 2004, 47, 5798-5808.

Пример 5. Получение Соединения 23Example 5 Preparation of Compound 23

Figure 00000122
Figure 00000122

Соединения 19 и 21 имеются в продаже.Compounds 19 and 21 are commercially available.

Пример 6. Получение Соединения 24Example 6 Preparation of Compound 24

Figure 00000123
Figure 00000123

Соединения 18 и 23 получили так, как описано в способах в Примерах 4 и 5.Compounds 18 and 23 were prepared as described in the methods in Examples 4 and 5.

Пример 7. Получение Соединения 25Example 7 Preparation of Compound 25

Figure 00000124
Figure 00000124

Соединение 24 получили по способам, представленным в Примере 6.Compound 24 was obtained according to the methods presented in Example 6.

Пример 8. Получение Соединения 26Example 8 Preparation of Compound 26

Figure 00000125
Figure 00000125

Соединение 24 получили по способам, представленным в Примере 6.Compound 24 was obtained according to the methods presented in Example 6.

Пример 9. Общее получение конъюгированных ASO, содержащих GalNAc3-1 на 3'-конце, Соединения 29Example 9 General preparation of conjugated ASOs containing GalNAc3 -1 at the 3' end, Compounds 29

Figure 00000126
Figure 00000126

Figure 00000127
Figure 00000127

Где защищенный GalNAc3-1 имеет структуру:Where protected GalNAc3 -1 has the structure:

Figure 00000128
Figure 00000128

Кластерная часть GalNAc3 конъюгирующей группы GalNAc3-1 (GalNAc3-1a) может быть комбинирована с любым расщепляемым фрагментом с получением различных конъюгирующих групп. При этом GalNAc3-1a имеет формулу:The GalNAc3 cluster portion of the GalNAc 3 -1 conjugating group (GalNAc 3-1a) can be combined with any cleavable moiety to form various conjugating groups. In this case, GalNAc3 -1a has the formula:

Figure 00000129
Figure 00000129

Твердую подложку, связывающую защищенный GalNAc3-1, Соединение 25, получили по способам, представленным в Примере 7. Олигомерное Соединение 29, содержащее GalNAc3-1 на 3'-конце, получили по стандартным методика в автоматическом синтезаторе ДНК/РНК (см. Dupouy et al., Angew. Chem. Int. ред., 2006, 45, 3623-3627). Фосфорамидитные строительные блоки. Соединения 1 и 1а, получили по способам, представленным в Примере 1. Изображенные фосфорамидиты являются иллюстративными и не предназначены для ограничения, поскольку могут быть применены другие фосфорамидитные строительные блоки для получения олигомерных соединений, имеющих желаемую последовательность и состав. Порядок и количество фосфорамидитов, добавляемых к твердой подложке, может быть подобрано для получения разорванных олигомерных соединений, описанных в настоящем документе. Такие разорванные олигомерные соединения могут иметь желаемый состав и последовательность оснований, продиктованную любой данной мишенью.A solid support binding the protected GalNAc3 -1, Compound 25, was prepared according to the methods presented in Example 7. An oligomeric Compound 29 containing GalNAc3 -1 at the 3' end was prepared according to standard procedures in an automated DNA/RNA synthesizer (see Dupouy et al., Angew Chem Int ed 2006, 45, 3623-3627). Phosphoramide building blocks. Compounds 1 and 1a were prepared according to the methods presented in Example 1. The phosphoramidites depicted are illustrative and are not intended to be limiting as other phosphoramidite building blocks can be used to prepare oligomeric compounds having the desired sequence and composition. The order and amount of phosphoramidites added to the solid support can be adjusted to produce the broken oligomeric compounds described herein. Such broken oligomeric compounds may have the desired composition and base sequence dictated by any given target.

Пример 10. Общее получение конъюгированных ASO, содержащих GalNAc3-1 на 5'-конце, Соединения 34Example 10 General preparation of conjugated ASOs containing GalNAc3 -1 at the 5' end, Compounds 34

Figure 00000130
Figure 00000130

Figure 00000131
Figure 00000131

Unylinker™ 30 имеется в продаже. Олигомерное соединение 34, содержащее кластер GalNAc3-1 на 5'-конце, получили по стандартным способам в автоматическом синтезаторе ДНК/РНК (см. Dupouy et al., Angew. Chem. Int. Ed., 2006, 45, 3623-3627). Фосфорамидитные строительные блоки. Соединения 1 и 1a, получили по способам, представленным в Примере 1. Изображенные фосфорамидиты являются иллюстративными и не предназначены для ограничения, поскольку могут быть применены другие фосфорамидитные строительные блоки для получения олигомерного соединения, имеющего желаемую последовательность и состав. Порядок и количество фосфорамидитов, добавляемых к твердой подложке, может быть подобрано для получения разорванных олигомерных соединений, описанных в настоящем документе. Такие разорванные олигомерные соединения могут иметь желаемый состав и последовательность оснований, продиктованную любой данной мишенью.Unylinker™ 30 is commercially available. Oligomeric compound 34 containing a GalNAc3 -1 cassette at the 5' end was prepared by standard methods in an automatic DNA/RNA synthesizer (see Dupouy et al., Angew. Chem. Int. Ed., 2006, 45, 3623-3627 ). Phosphoramide building blocks. Compounds 1 and 1a were prepared according to the methods presented in Example 1. The phosphoramidites depicted are illustrative and are not intended to be limiting as other phosphoramidite building blocks can be used to produce an oligomeric compound having the desired sequence and composition. The order and amount of phosphoramidites added to the solid support can be adjusted to produce the broken oligomeric compounds described herein. Such broken oligomeric compounds may have the desired composition and base sequence dictated by any given target.

Пример 11. Получение Соединения 39Example 11 Preparation of Compound 39

Figure 00000132
Figure 00000132

Соединения 4, 13 и 23 получили по способам, описанным в Примерах 2, 4 и 5. Соединение 35 получили по таким же способам, как описаны в публикации Rouchaud et al., Eur. J. Org. Chem., 2011, 12, 2346-2353.Compounds 4, 13 and 23 were prepared according to the methods described in Examples 2, 4 and 5. Compound 35 was prepared according to the same methods as described in Rouchaud et al., Eur. J. Org. Chem., 2011, 12, 2346-2353.

Пример 12. Получение Соединения 40Example 12 Preparation of Compound 40

Figure 00000133
Figure 00000133

Соединение 38 получили по способам, представленным в Примере 11.Compound 38 was obtained according to the methods presented in Example 11.

Пример 13. Получение Соединения 44Example 13 Preparation of Compound 44

Figure 00000134
Figure 00000134

Figure 00000135
Figure 00000135

Соединения 23 и 36 получили по способам, представленным в Примерах 5 и 11. Соединение 41 получили по таким же способам, как описаны в публикации WO 2009082607.Compounds 23 and 36 were prepared according to the methods presented in Examples 5 and 11. Compound 41 was prepared according to the same methods as described in WO 2009082607.

Пример 14. Получение Соединения 45Example 14 Preparation of Compound 45

Figure 00000136
Figure 00000136

Соединение 43 получили по способам, представленным в Примере 13.Compound 43 was obtained according to the methods presented in Example 13.

Пример 15. Получение Соединения 47Example 15 Preparation of Compound 47

Figure 00000137
Figure 00000137

Соединение 46 имеется в продаже.Compound 46 is commercially available.

Пример 16. Получение Соединения 53Example 16 Preparation of Compound 53

Figure 00000138
Figure 00000138

Соединения 48 и 49 имеются в продаже. Соединения 17 и 47 получили так, как описано в способах в Примерах 4 и 15.Compounds 48 and 49 are commercially available. Compounds 17 and 47 were prepared as described in the methods in Examples 4 and 15.

Пример 17. Получение Соединения 54Example 17 Preparation of Compound 54

Figure 00000139
Figure 00000139

Соединение 53 получили по способам, представленным в Примере 16.Compound 53 was obtained according to the methods presented in Example 16.

Пример 18. Получение Соединения 55Example 18 Preparation of Compound 55

Figure 00000140
Figure 00000140

Соединение 53 получили по способам, представленным в Примере 16.Compound 53 was obtained according to the methods presented in Example 16.

Пример 19. Общий способ получения конъюгированных ASO, содержащих GalNAc3-1 в 3'-положении, при помощи твердо фазных методик (получение ISIS 647535, 647536 и 651900)Example 19 General Method for the Preparation of Conjugated ASOs Containing GalNAc3 -1 at the 3' Position Using Solid Phase Methods (preparation of ISIS 647535, 647536 and 651900)

Если не указано иное, все реагенты и растворы, применяемые для синтеза олигомерных соединений, приобретены у коммерческих поставщиков. Стандартные фосфорамидитные строительные блоки и твердую подложку применили для внедрения нуклеозидных остатков, которые включают, например, остатки Т, A, G иmC. 0,1 М раствор фосфорамидита в безводном ацетонитриле применили для β-D-2'-дезоксирибонуклеозида и 2'-МОЕ.Unless otherwise noted, all reagents and solutions used for the synthesis of oligomeric compounds were purchased from commercial suppliers. Standard phosphoramidite building blocks and a solid support were used to introduce nucleoside residues, which include, for example, T, A, G, andm C residues. -MY.

Синтез антисмысловых олигонуклеотидов (ASO) выполнили на синтезаторе ABI 394 (в масштабе 1-2 мкмоль) или на синтезаторе AKTA Oligopilot производства GE Healthcare Bioscience (в масштабе 40-200 мкмоль) по способу фосфорамидитного связывания на твердой подложке VIMAD, наполненной GalNAc3-1 (110 мкмоль/г, Guzaev et al., 2003), упакованной в колонку. Для стадии связывания фосфорамидиты вводили в 4-кратном избытке по сравнению с загрузкой на твердой подложке, а конденсацию фосфорамидита выполняли в течение 10 минут. Все остальные стадии выполняли по протоколам, предоставленным производителем. Для удаления диметокситритильной (DMT) группы с 5'-гидроксильной группы нуклеотида применили 6% раствор дихлоруксусной кислоты в толуоле. На стадии связывания в качестве активатора применили 4,5-дицианоимидазол (0,7 М) в безводном CH3CN. Тиофосфатные связи внедряли сульфированием при помощи 0,1 М раствора гидрида ксантана в 1:1 смеси пиридина/CH3CN в течение 3 минут времени контакта. В качестве окислительного агента для обеспечения фосфодиэфирных межнуклеозидных связей применили 20% раствор трет-бутилгидропероксида в CH3CN, содержащий 6% воды, в течение 12 минут времени контакта.Synthesis of antisense oligonucleotides (ASOs) was performed on an ABI 394 synthesizer (1-2 µmol scale) or an AKTA Oligopilot synthesizer manufactured by GE Healthcare Bioscience (40-200 µmol scale) by the phosphoramidite binding method on a VIMAD solid support filled with GalNAc3 -1 (110 µmol/g, Guzaev et al., 2003) packed into a column. For the binding step, the phosphoramidites were added in a 4-fold excess compared to the loading on a solid support, and the condensation of the phosphoramidite was carried out for 10 minutes. All other steps were performed according to protocols provided by the manufacturer. A 6% solution of dichloroacetic acid in toluene was used to remove the dimethoxytrityl (DMT) group from the 5'-hydroxyl group of the nucleotide. In the coupling step, 4,5-dicyanoimidazole (0.7 M) in anhydrous CH3 CN was used as an activator. Thiophosphate bonds were introduced by sulfonation with a 0.1 M solution of xanthan hydride in a 1:1 mixture of pyridine/CH3 CN for 3 minutes of contact time. A 20% solution of tert-butyl hydroperoxide in CH3 CN containing 6% water was used as an oxidizing agent to provide phosphodiester internucleoside bonds for 12 minutes of contact time.

После сборки желаемой последовательности цианоэтил-фосфатные защитные группы снимали при помощи 1:1 (об./об.) смеси триэтиламина и ацетонитрила в течение 45 минут времени контакта. Связанные с твердой подложкой ASO суспендировали в водном растворе аммиака (28-30 масс. %) и нагревали при 55°С в течение 6 часов.After assembling the desired sequence, the cyanoethyl phosphate protecting groups were removed with a 1:1 (v/v) mixture of triethylamine and acetonitrile over a 45 minute contact time. Associated with a solid support ASO suspended in an aqueous solution of ammonia (28-30 wt.%) and heated at 55°C for 6 hours.

Затем отфильтровывали не связанные ASO и выпаривали аммиак кипячением. Остаток очищали жидкостной хроматографией высокого давления на сильной анионообменной колонке (GE Healthcare Bioscience, Source 30Q, 30 мкм, 2,54 х 8 см, А=100 мМ ацетата аммония в 30% водном CH3CN, В=1,5 М NaBr в А, 0-40% В за 60 мин., скорость потока 14 мл.мин-1, λ=260 нм). Остаток обессоливали при помощи ВЭЖХ на обращенно-фазовой колонке с получением желаемых ASO с выделенным выходом 15-30% относительно первоначальной загрузки на твердую подложку. ASO характеризовали при помощи ион-парной ВЭЖХ, совмещенной с МС-анализом на системе Agilent 1100 MSD.The unbound ASO was then filtered off and the ammonia was evaporated by boiling. The residue was purified by high pressure liquid chromatography on a strong anion exchange column (GE Healthcare Bioscience, Source 30Q, 30 μm, 2.54 x 8 cm, A=100 mM ammonium acetate in 30% aqueous CH3 CN, B=1.5 M NaBr in A, 0-40% B in 60 min, flow rate 14 ml min-1, λ=260 nm). The residue was desalted by HPLC on a reversed phase column to give the desired ASOs in an isolated yield of 15-30% relative to the initial load on a solid support. ASO was characterized by ion pair HPLC combined with MS analysis on an Agilent 1100 MSD system.

Антисмысловые олигонуклеотиды, не содержащие конъюгат, синтезировали по стандартным способам синтеза олигонуклеотидов, общеизвестным в данной области техники.Conjugate-free antisense oligonucleotides were synthesized according to standard oligonucleotide synthesis methods well known in the art.

Применяя эти способы, получили три отдельных антисмысловых соединения, нацеленных на ApoC III. Как показано ниже в Таблице 4, каждое из трех антисмысловых соединений, нацеленных на ApoC III, имеет одну и ту же последовательность азотистых оснований. ISIS 304801 представляет собой 5-10-5 МОЕ гэпмер, содержащий только тиофосфатные связи; ISIS 647535 является таким же, как ISIS 304801, за исключением того, что он содержит GalNAc3-1, конъюгированный у его 3'-конца; и ISIS 647536 является таким же, как ISIS 647535, за исключением того, что некоторые межнуклеозидные связи этого соединения представляют собой фосфодиэфирные связи. Как дополнительно показано в Таблице 4, были синтезированы два отдельных антисмысловых соединения, нацеленных на SRB-1. ISIS 440762 представляет собой 2-10-2 cEt гэпмер, содержащий только тиофосфатные межнуклеозидные связи; ISIS 651900 является таким же, как ISIS 440762, за исключением того, что он содержит GalNAc3-1 у его 3'-конца.Using these methods, three separate antisense compounds targeted to ApoC III were obtained. As shown in Table 4 below, each of the three ApoC III antisense compounds has the same nitrogenous base sequence. ISIS 304801 is a 5-10-5 MOE gapmer containing only thiophosphate linkages; ISIS 647535 is the same as ISIS 304801 except that it contains GalNAc3 -1 conjugated at its 3'end; and ISIS 647536 is the same as ISIS 647535 except that some of the internucleoside bonds of this compound are phosphodiester bonds. As further shown in Table 4, two separate antisense compounds were synthesized that targeted SRB-1. ISIS 440762 is a 2-10-2 cEt gapmer containing only thiophosphate internucleoside bonds; ISIS 651900 is the same as ISIS 440762 except that it contains GalNAc3 -1 at its 3' end.

Figure 00000141
Figure 00000141

Нижние индексы: «е» означает 2'-МОЕ модифицированный нуклеозид; «d» означает β-D-2'-дезоксирибонуклеозид; «k» означает 6'-(S)-СН3 бициклический нуклеозид (например, cEt); «s» означает тиофосфатные межнуклеозидные связи (PS); «о» означает фосфодиэфирные межнуклеозидные связи (РО); и «о'» означает -O-Р(=O)(ОН)-. Верхний индекс «m» означает 5-метилцитозины. «GalNAc3-1» означает конъюгирующую группу, имеющую структуру, изображенную ранее в Примере 9. Следует отметить, что GalNAc3-1 содержит расщепляемый аденозин, который связывает ASO с остальной частью конъюгата, который обозначен как «GalNAc3-1a». Номенклатура, используемая в представленной выше таблице, показывает полную последовательность азотистых оснований, включая аденозин, который является частью конъюгата. Следовательно, в представленной выше таблице последовательности также могут быть перечислены с окончанием «GalNAc3-1», без «Ado». Такое условное применение нижнего индекса «а» для обозначения части конъюгирующие группы, не содержащей расщепляемого нуклеозида или расщепляемого фрагмента, применяется во всех представленных Примерах. Эта часть конъюгирующие группы, не содержащая расщепляемого фрагмента, упоминается в настоящем документе как «кластер» или «кластер конъюгата» или «кластер GalNAc3». В некоторых случаях конъюгирующая группа для удобства описана путем отдельного представления ее кластера и ее расщепляемого фрагмента.Subscripts: "e" means 2'-MOE modified nucleoside; "d" means β-D-2'-deoxyribonucleoside;"k" is a 6'-(S)-CH3 bicyclic nucleoside (eg cEt); "s" stands for thiophosphate internucleoside linkages (PS); "o" means phosphodiester internucleoside bonds (RO); and "o'" means -O-P(=O)(OH)-. The superscript "m" stands for 5-methylcytosines. "GalNAc3 -1" means a conjugate group having the structure shown earlier in Example 9. It should be noted that GalNAc3 -1 contains cleavable adenosine, which binds ASO to the rest of the conjugate, which is designated as "GalNAc3 -1a ". The nomenclature used in the table above shows the complete sequence of nitrogenous bases, including adenosine, which is part of the conjugate. Therefore, in the table above, sequences can also be listed with the ending "GalNAc3 -1", without "Ado ". This conditional use of the subscript "a" to denote the part of the conjugating group that does not contain a cleavable nucleoside or a cleavable fragment is used in all of the Examples presented. This part of the conjugating group that does not contain a cleavable fragment is referred to herein as a "cluster" or "conjugate cluster" or "GalNAc3 cluster". In some cases, the conjugating group is described for convenience by separately representing its cluster and its cleavable moiety.

Пример 20. Дозозависимое антисмысловое ингибирование человеческого ApoC III у huApoC III трансгенных мышейExample 20 Dose-Dependent Antisense Inhibition of Human ApoC III in huApoC III Transgenic Mice

ISIS 304801 и ISIS 647535, каждый из которых нацелен на человеческий ApoC III и описан выше, отдельно испытывали и оценивали в дозозависимом исследовании на их способность ингибировать человеческий ApoC III у трансгенных мышей с человеческим ApoC III.ISIS 304801 and ISIS 647535, each targeting human ApoC III and described above, were separately tested and evaluated in a dose-dependent study for their ability to inhibit human ApoC III in human ApoC III transgenic mice.

ЛечениеTreatment

Трансгенных мышей с человеческим ApoC III выдерживали при 12-часовом цикле освещения/темноты и обеспечивали свободный доступ к пище Teklad lab. До начала эксперимента животных акклиматизировали по меньшей мере в течение 7 дней в исследовательской лаборатории. Приготовили ASO в PBS и стерилизовали фильтрованием через фильтр 0,2 микрона. ASO растворили в 0,9% PBS для инъекций.Human ApoC III transgenic mice were maintained on a 12 hour light/dark cycle and allowed free access to Teklad lab food. Prior to the start of the experiment, the animals were acclimatized for at least 7 days in the research laboratory. Prepared ASO in PBS and sterilized by filtration through a 0.2 micron filter. ASO was dissolved in 0.9% PBS for injection.

Трансгенным мышам с человеческим ApoC III один раз в неделю в течение двух неделю внутрибрюшинно вводили инъекции ISIS 304801 или 647535 при 0,08, 0,25, 0,75, 2,25 или 6,75 мкмоль/кг или PBS в качестве контрольного образца. Каждая экспериментальная группа состояла из 4 животных. Через сорок восемь часов после введения последней дозы каждую мышь обескровили и умертвили, и собрали ткани.Human ApoC III transgenic mice were intraperitoneally injected once a week for two weeks with ISIS 304801 or 647535 at 0.08, 0.25, 0.75, 2.25, or 6.75 µmol/kg or PBS as control . Each experimental group consisted of 4 animals. Forty-eight hours after the last dose, each mouse was bled and sacrificed, and tissues were collected.

Анализ мРНК ApoC IIIApoC III mRNA analysis

Уровни мРНК ApoC III в печени мышей определили при помощи ПЦР в реальном времени и реагента для количественного определения РНК RIBOGREEN® (Molecular Probes, Inc. Юджин, штат Орегон) по стандартным протоколам. Уровни мРНК ApoC III определяли относительно общей РНК (при помощи Ribogreen), затем нормализовали к контрольному образцу, обработанному PBS. Результаты, показанные ниже, представлены как средний процент уровней мРНК ApoC III для каждой экспериментальной группы, нормализованных к контрольному образцу, обработанному PBS, и обозначены как «% PBS». Ниже в Таблице 5 представлена также полумаксимальная эффективная доза (ED50) для каждого ASO.ApoC III mRNA levels in mouse liver were determined using real-time PCR and RIBOGREEN® RNA quantitation reagent (Molecular Probes, Inc. Eugene, Oregon) according to standard protocols. ApoC III mRNA levels were determined relative to total RNA (using Ribogreen), then normalized to a PBS treated control. The results shown below are presented as the average percentage of ApoC III mRNA levels for each experimental group, normalized to the PBS-treated control, and are labeled "% PBS". Table 5 below also shows the half maximum effective dose (ED50 ) for each ASO.

Показано, что оба антисмысловых соединения снижают РНК ApoC III, по сравнению с контрольным образцом, обработанным PBS. Кроме того, антисмысловое соединение, конъюгированное с GalNAc3-1 (ISIS 647535), было значительно более эффективным, чем антисмысловое соединение, не содержащее конъюгат GalNAc3-1 (ISIS 304801).Both antisense compounds were shown to reduce ApoC III RNA compared to a control sample treated with PBS. In addition, the antisense compound conjugated to GalNAc3 -1 (ISIS 647535) was significantly more effective than the antisense compound not containing the GalNAc3 -1 conjugate (ISIS 304801).

Figure 00000142
Figure 00000142

Анализ белка ApoC III (турбидиметрический анализ)ApoC III protein assay (turbidimetric assay)

Анализ белка ApoC III в плазме выполнили по способам, описанным в работе Graham et al. Circulation Research, до печати, опубликованной онлайн 29 марта 2013 года.Plasma ApoC III protein analysis was performed according to the methods described by Graham et al. Circulation Research, prior to print, published online March 29, 2013.

Около 100 мкл плазмы, выделенной из мышей, анализировали без разбавления, применяя клинический анализатор Olympus и имеющийся в продаже турбидиметрический аналитический набор ApoC III (Kamiya, кат. № KAI-006, Kamiya Biomedical, Сиэтл, штат Вашингтон). Протокол анализа выполняли по описанию поставщика.Approximately 100 μl of plasma isolated from mice was analyzed without dilution using an Olympus clinical analyzer and a commercially available ApoC III turbidimetric assay kit (Kamiya, cat. no. KAI-006, Kamiya Biomedical, Seattle, WA). The analysis protocol was performed according to the supplier's description.

Как показано ниже в Таблице 6, оба антисмысловых соединения снижают белок ApoC III, по сравнению с PBS контрольным образцом. Кроме того, антисмысловое соединение, конъюгированное с GalNAc3-1 (ISIS 647535), было значительно более эффективным, чем антисмысловое соединение, не содержащее конъюгат GalNAc3-1 (ISIS 304801).As shown in Table 6 below, both antisense compounds reduced the ApoC III protein compared to the PBS control. In addition, the antisense compound conjugated to GalNAc3 -1 (ISIS 647535) was significantly more effective than the antisense compound not containing the GalNAc3 -1 conjugate (ISIS 304801).

Figure 00000143
Figure 00000143

Триглицериды и холестерин плазмы выделили по способу Bligh и Dyer (Bligh, E.G. and Dyer, W.J. Can. J. Biochem. Physiol. 37: 911-917, 1959) (Bligh, E and Dyer, W, Can J Biochem Physiol, 37, 911-917, 1959) (Bligh, E and Dyer, W, Can J Biochem Physiol, 37, 911-917, 1959) и измерили при помощи клинического анализатора Beckmann Coulter и имеющихся в продаже реагентов.Plasma triglycerides and cholesterol were isolated according to the method of Bligh and Dyer (Bligh, E. G. and Dyer, W. J. Can. J. Biochem. Physiol. 37: 911-917, 1959) (Bligh, E and Dyer, W, Can J Biochem Physiol, 37, 911-917, 1959) (Bligh, E and Dyer, W, Can J Biochem Physiol, 37, 911-917, 1959) and measured using a Beckmann Coulter clinical analyzer and commercially available reagents.

Уровни триглицеридов измерили относительно мышей, инъецированных PBS, и выразили как «% PBS». Результаты представлены в Таблице 7. Показано, что оба антисмысловых соединения снижают уровни триглицеридов. Кроме того, антисмысловое соединение, конъюгированное с GalNAc3-1 (ISIS 647535), было значительно более эффективным, чем антисмысловое соединение, не содержащее конъюгат GalNAc3-1 (ISIS 304801).Triglyceride levels were measured relative to mice injected with PBS and expressed as "% PBS". The results are shown in Table 7. Both antisense compounds were shown to reduce triglyceride levels. In addition, the antisense compound conjugated to GalNAc3 -1 (ISIS 647535) was significantly more effective than the antisense compound not containing the GalNAc3 -1 conjugate (ISIS 304801).

Figure 00000144
Figure 00000144

Образцы плазмы анализировали при помощи ВЭЖХ для определения количества общего холестерина и различных фракций холестерина (HDL и LDL). Результаты представлены в Таблицах 8 и 9. Показано, что оба антисмысловых соединения снижают общие уровни холестерина; оба снижают LDL; и оба повышают HDL. Кроме того, антисмысловое соединение, конъюгированное с GalNAc3-1 (ISIS 647535), было значительно более эффективным, чем антисмысловое соединение, не содержащее конъюгат GalNAc3-1 (ISIS 304801). Увеличение уровней HDL и снижение уровней LDL представляет собой благоприятный сердечно-сосудистый эффект антисмыслового ингибирования ApoC III.Plasma samples were analyzed by HPLC to determine the amount of total cholesterol and various fractions of cholesterol (HDL and LDL). The results are presented in Tables 8 and 9. Both antisense compounds were shown to reduce total cholesterol levels; both lower LDL; and both increase HDL. In addition, the antisense compound conjugated to GalNAc3 -1 (ISIS 647535) was significantly more effective than the antisense compound not containing the GalNAc3 -1 conjugate (ISIS 304801). An increase in HDL levels and a decrease in LDL levels represent the beneficial cardiovascular effect of antisense inhibition of ApoC III.

Figure 00000145
Figure 00000145

Figure 00000146
Figure 00000146

Фармакокинетический анализ (ФК)Pharmacokinetic analysis (PK)

Оценили также ФК ASO. Образцы печени и почек измельчили и экстрагировали по стандартным протоколам. Образцы анализировали на MSD1 при помощи ИП-ВЭЖХ-МС. Определили содержание (мкг/г) в ткани ISIS 304801 и 647535 полной длины, и результаты представлены в Таблице 10. Показано, что концентрации в печени антисмысловых соединений полной длины были схожими для двух антисмысловых соединений. Следовательно, даже несмотря на то, что CalNAc3-1-конъюгированное антисмысловое соединение является более активным в печени (как показано по данным РНК и белка, представленным выше), его содержание в печени не намного выше. Действительно, рассчитанное значение ЕС50 (представленное в Таблице 10) подтверждает, что наблюдаемое увеличение эффективности конъюгированного соединения не может быть приписано исключительно повышенному накоплению. Такой результат позволяет предположить, что конъюгат улучшает эффективность по другому механизму, чем простое накопление в печени, возможно за счет увеличения продуктивного захвата антисмыслового соединения в клетки.We also appreciated FC ASO. Liver and kidney samples were crushed and extracted according to standard protocols. Samples were analyzed for MSD1 using IP-HPLC-MS. The tissue content (µg/g) of full length ISIS 304801 and 647535 was determined and the results are shown in Table 10. Liver concentrations of full length antisense compounds were shown to be similar for the two antisense compounds. Therefore, even though the CalNAc3 -1 conjugated antisense compound is more active in the liver (as shown by the RNA and protein data presented above), its liver content is not much higher. Indeed, the calculated EC50 value (shown in Table 10) confirms that the observed increase in conjugate potency cannot be attributed solely to increased uptake. This result suggests that the conjugate improves performance by a different mechanism than simple hepatic accumulation, possibly by increasing the productive uptake of the antisense compound into cells.

Эти результаты показывают также, что концентрация GalNAc3-1-конъюгированного антисмыслового соединения почках ниже, чем концентрация антисмыслового соединения, не содержащего конъюгата GalNAc. Это имеет несколько благоприятных терапевтических эффектов. Для терапевтических показаний, в которых не требуется проявление активности в почках, воздействие на почки подвергает их риску токсичности без соответствующей пользы. Более того, высокая концентрация в почках обычно приводит к выводу соединения с мочой, обеспечивая более быстрое выведение. Соответственно, для внепочечных мишеней накопление в почках является нежелательным. Эти данные позволяют предположить, что конъюгирование с GalNAc3-1 снижает накопление в почках.These results also show that the concentration of the GalNAc3 -1-conjugated antisense compound in the kidneys is lower than the concentration of the antisense compound not containing the GalNAc conjugate. This has several beneficial therapeutic effects. For therapeutic indications that do not require activity in the kidneys, exposure to the kidneys exposes them to the risk of toxicity without corresponding benefit. Moreover, the high concentration in the kidneys usually results in the excretion of the compound in the urine, allowing for faster elimination. Accordingly, for extrarenal targets, accumulation in the kidneys is undesirable. These data suggest that conjugation with GalNAc3 -1 reduces renal accumulation.

Figure 00000147
Figure 00000147

Figure 00000148
Figure 00000148

Идентифицировали также метаболиты ISIS 647535 и подтвердили их массы при помощи масс-спектрометрического анализа высокого разрешения. Сайты расщепления и структуры наблюдаемых метаболитов представлены ниже. Относительный % от общей длины ASO рассчитали по стандартным приемам, а результаты представлены в Таблице 10а. Основной метаболит ISIS 647535 представляет собой ASO полной длины без всего конъюгата (то есть ISIS 304801), который образуется в результате расщепления по сайту расщепления А, представленному ниже. Кроме того, наблюдали также дополнительные метаболиты, образующиеся из других сайтов расщепления. Эти результаты позволяют предположить, что может быть пригодным также внедрение других расщепляемых связей, таких как сложные эфиры, пептиды, дисульфиды, фосфорамидаты или ацил-гидразоны, между сахаром GalNAc3-1 и ASO, которые могут расщепляться под действием ферментов внутри клетки или которые могут расщепляться в восстановительной среде цитозоля, или которые лабильны в кислотном рН внутри эндосом и лизосом.The metabolites of ISIS 647535 were also identified and their masses confirmed by high resolution mass spectrometric analysis. The cleavage sites and structures of the observed metabolites are presented below. The relative % of the total length of the ASO was calculated according to standard methods, and the results are presented in Table 10a. The major metabolite of ISIS 647535 is a full length ASO without all of the conjugate (ie ISIS 304801) which results from cleavage at cleavage site A below. In addition, additional metabolites generated from other cleavage sites were also observed. These results suggest that the introduction of other cleavable bonds, such as esters, peptides, disulfides, phosphoramidates or acyl hydrazones, between the GalNAc3 -1 sugar and ASO, which can be cleaved by enzymes within the cell or which can cleave in the reducing environment of the cytosol, or which are labile in acidic pH within endosomes and lysosomes.

Figure 00000149
Figure 00000149

Figure 00000150
Figure 00000150

Figure 00000151
Figure 00000151

Figure 00000152
Figure 00000152

Пример 21. Антисмысловое ингибирование человеческого ApoC III у трансгенных мышей с ApoC III в исследовании одного введенияExample 21 Antisense Inhibition of Human ApoC III in ApoC III Transgenic Mice in a Single Administration Study

ISIS 304801, 647535 и 647536, каждый из которых нацелен на человеческий ApoC III и описан в Таблице 4, дополнительно оценивали в исследовании однокраного введения на их способность ингибировать человеческий ApoC III у трансгенных мышей с человеческим ApoC III.ISIS 304801, 647535 and 647536, each targeting human ApoC III and described in Table 4, were further evaluated in a single dose study for their ability to inhibit human ApoC III in human ApoC III transgenic mice.

ЛечениеTreatment

Трансгенных мышей с человеческим ApoC III выдерживали при 12-часовом цикле освещения/темноты и обеспечивали свободный доступ к пище Teklad lab. До начала эксперимента животных акклиматизировали по меньшей мере в течение 7 дней в исследовательской лаборатории. Приготовили ASO в PBS и стерилизовали фильтрованием через фильтр 0,2 микрона. ASO растворили в 0,9% PBS для инъекций.Human ApoC III transgenic mice were maintained on a 12 hour light/dark cycle and allowed free access to Teklad lab food. Prior to the start of the experiment, the animals were acclimatized for at least 7 days in the research laboratory. Prepared ASO in PBS and sterilized by filtration through a 0.2 micron filter. ASO was dissolved in 0.9% PBS for injection.

Трансгенным мышам с человеческим ApoC III внутрибрюшинно ввели однократную инъекцию дозы, представленной ниже, соединения ISIS 304801, 647535 или 647536 (описанных выше), или PBS в качестве контрольного образца. Экспериментальная группа состояла из 3 животных, а контрольная группа состояла из 4 животных. Перед лечением, а также после последней дозы у каждой мыши брали кровь и анализировали образцы плазмы. Мышей умертвили через 72 часа после последнего введения.Human ApoC III transgenic mice were intraperitoneally injected with a single injection of the dose below, compound ISIS 304801, 647535 or 647536 (described above), or PBS as a control. The experimental group consisted of 3 animals and the control group consisted of 4 animals. Before treatment, as well as after the last dose, blood was taken from each mouse and plasma samples were analyzed. Mice were sacrificed 72 hours after the last injection.

Образцы собрали и анализировали для определения уровней мРНК ApoC III и белка в печени; триглицеридов в плазме; и холестерина, включая фракции HDL и LDL, которые анализировали так, как описано выше (Пример 20). Данные этих анализов представлены ниже в Таблицах 11-15. Уровни трансаминазы в печени, аланин-аминотрансферазы (ALT) и аспартат-аминотрансферазы (AST) в сыворотке измеряли относительно мышей, инъецированных солевым раствором, применяя стандартные протоколы. Уровни ALT и AST показали, что антисмысловые соединения хорошо переносятся при всех введенных дозах.Samples were collected and analyzed to determine levels of ApoC III mRNA and protein in the liver; plasma triglycerides; and cholesterol, including HDL and LDL fractions, which were analyzed as described above (Example 20). The data of these analyzes are presented below in Tables 11-15. Serum levels of liver transaminase, alanine aminotransferase (ALT), and aspartate aminotransferase (AST) were measured relative to saline-injected mice using standard protocols. ALT and AST levels indicated that the antisense compounds were well tolerated at all doses administered.

Эти результаты демонстрируют усиление эффективности антисмысловых соединений, содержащих конъюгат GalNAc3-1 на 3'-конце (ISIS 647535 и 647536), по сравнению с антисмысловым соединением, не содаржащим конъюгат GalNAc3-1 (ISIS 304801). Кроме того, ISIS 647536, который содержит конъюгат GalNAc3-1 и несколько фосфодиэфирных связей, был таким же эффективным, как ISIS 647535, который содержит тот же конъюгат, и все межнуклеозидные связи в этом ASO являются тиофосфатными.These results demonstrate increased potency of antisense compounds containing a GalNAc3 -1 conjugate at the 3' end (ISIS 647535 and 647536) compared to an antisense compound not containing a GalNAc3 -1 conjugate (ISIS 304801). In addition, ISIS 647536, which contains a GalNAc3 -1 conjugate and several phosphodiester bonds, was as effective as ISIS 647535, which contains the same conjugate and all internucleoside bonds in this ASO are thiophosphate.

Figure 00000153
Figure 00000153

Figure 00000154
Figure 00000154

Figure 00000155
Figure 00000155

Figure 00000156
Figure 00000156

Figure 00000157
Figure 00000157

Figure 00000158
Figure 00000158

Figure 00000159
Figure 00000159

Figure 00000160
Figure 00000160

Эти результаты подтверждают, что конъюгат GalNAc3-1 улучшает эффективность антисмыслового соединения. Эти результаты показывают также равную эффективность CalNAc3-1-конъюгированных антисмысловых соединений, в которых антисмысловые олигонуклеотиды имеют смешанные связи (ISIS 647536, который имеет шесть фосфодиэфирных связей), и полностью тиофосфатной версии того же антисмыслового соединения (ISIS 647535).These results confirm that the GalNAc3 -1 conjugate improves the performance of the antisense compound. These results also show equal potency of CalNAc3 -1-conjugated antisense compounds in which the antisense oligonucleotides have mixed linkages (ISIS 647536, which has six phosphodiester linkages) and the fully thiophosphate version of the same antisense compound (ISIS 647535).

Тиофосфатные связи обеспечивают несколько свойств антисмысловых соединений. Например, они устойчивы к нуклеазному расщеплению и связываются с белками, что приводит к накоплению соединения в печени, а не в почках/моче. Эти свойства являются желательными, особенно при лечении показаний в печени. Однако тиофосфатные связи связаны также с воспалительной реакцией. Соответственно, уменьшение количества тиофосфатных связей в соединении предположительно снижает риск воспаления, но снижает также концентрацию соединения в печени, повышает концентрацию в почках и моче, снижает стабильность в присутствии нуклеаз и уменьшает общую эффективность. Представленные результаты демонстрируют, что CalNAc3-1-конъюгированное антисмысловое соединение, в котором некоторые тиофосфатные связи заменены фосфодиэфирными связями, настолько же эффективно против мишени в печени, как и аналог, содержащий только тиофосфатные связи. Такие соединения предположительно являются менее провоспалительными (см. Пример 24, в котором описан эксперимент, демонстрирующий, что уменьшение тиофосфатов (PS) приводит к снижению воспалительного действия).Thiophosphate bonds provide several properties for antisense compounds. For example, they are resistant to nuclease digestion and bind to proteins resulting in accumulation of the compound in the liver rather than in the kidney/urine. These properties are desirable, especially in the treatment of hepatic indications. However, thiophosphate bonds are also associated with an inflammatory response. Accordingly, reducing the number of thiophosphate bonds in the compound presumably reduces the risk of inflammation, but also reduces the concentration of the compound in the liver, increases the concentration in the kidneys and urine, reduces the stability in the presence of nucleases and reduces the overall effectiveness. The results presented demonstrate that a CalNAc3 -1-conjugated antisense compound in which some of the thiophosphate linkages are replaced by phosphodiester linkages is as effective against a liver target as an analog containing only thiophosphate linkages. Such compounds are believed to be less pro-inflammatory (see Example 24, which describes an experiment demonstrating that a decrease in thiophosphates (PS) leads to a decrease in inflammatory action).

Пример 22. Влияние модифицированного CalNAc3-1-конъюгированного ASO, нацеленного на SRB-1, in vivoExample 22 Effect of Modified CalNAc3 -1-Conjugated ASO Targeting SRB-1 in Vivo

ISIS 440762 и 651900, каждый из которых нацелен на SRB-1 и описан в Таблице 4, оценили в дозозависимом исследовании на их способность ингибировать SRB-1 у Balb/c мышей.ISIS 440762 and 651900, each targeting SRB-1 and described in Table 4, were evaluated in a dose-dependent study for their ability to inhibit SRB-1 in Balb/c mice.

ЛечениеTreatment

Шестинедельным самцам мышей Balb/c (Jackson Laboratory, Бар-Харбор, штат Мэн) ввели однократную подкожную инъекцию дозы, представленной ниже, соединения ISIS 440762, 651900 или PBS в качестве контрольного образца. Каждая экспериментальная группа состояла из 4 животных. Мышей умертвили через 48 часов после последнего введения для определения уровней мРНК SRB-1 в печени при помощи ПЦР в реальном времени и реагента для количественного определения РНК RIBOGREEN® (Molecular Probes, Inc., Юджин, штат Орегон) по стандартным протоколам. Уровни мРНК SRB-1 определяли относительно общей РНК (при помощи Ribogreen), затем нормализовали к контрольному образцу, обработанному PBS. Результаты, показанные ниже, представлены как средний процент уровней мРНК SRB-1 для каждой экспериментальной группы, нормализованных к контрольному образцу, обработанному PBS, и обозначены как «% PBS».Six week old male Balb/c mice (Jackson Laboratory, Bar Harbor, Maine) were given a single subcutaneous injection of the dose below with ISIS 440762, 651900 or PBS as a control. Each experimental group consisted of 4 animals. Mice were sacrificed 48 hours after the last injection to determine hepatic SRB-1 mRNA levels using real-time PCR and RIBOGREEN® RNA quantitation reagent (Molecular Probes, Inc., Eugene, Oregon) according to standard protocols. SRB-1 mRNA levels were determined relative to total RNA (using Ribogreen), then normalized to a PBS treated control. The results shown below are presented as the average percentage of SRB-1 mRNA levels for each experimental group, normalized to the PBS-treated control, and are labeled "% PBS".

Как показано в Таблице 16, оба антисмысловых соединения снижают уровни мРНК SRB-1. Кроме того, антисмысловое соединение, содержащее конъюгат GalNAc3-1 (ISIS 651900), было значительно более эффективным, чем антисмысловое соединение, не содержащее конъюгат GalNAc3-1 (ISIS 440762). Эти результаты демонстрируют, что преимущество эффективности конъюгатов GalNAc3-1 наблюдается при применении антисмысловых олигонуклеотидов, комплементарных различным мишеням и имеющих различные химически модифицированные нуклеозиды, в этом случае модифицированные нуклеозиды содержат стерически затрудненные этил-сахарные фрагменты (бициклический сахарный фрагмент).As shown in Table 16, both antisense compounds reduce SRB-1 mRNA levels. In addition, the antisense compound containing the GalNAc3 -1 conjugate (ISIS 651900) was significantly more effective than the antisense compound not containing the GalNAc3 -1 conjugate (ISIS 440762). These results demonstrate that the performance advantage of GalNAc3 -1 conjugates is observed when using antisense oligonucleotides complementary to different targets and having different chemically modified nucleosides, in this case the modified nucleosides contain sterically hindered ethyl sugar moieties (bicyclic sugar moiety).

Figure 00000161
Figure 00000161

Пример 23. Протокол анализа человеческих мононуклеарных клеток периферической крови (hPBMC)Example 23 Human Peripheral Blood Mononuclear Cell (hPBMC) Assay Protocol

Анализ hPBMC выполнили при помощи пробирочного способа BD Vautainer CPT.hPBMC analysis was performed using the BD Vautainer CPT tube method.

Получили образец цельной крови, полученной от доноров-добровольцев, давших информированное согласие в Медицинской клинике США (Faraday & El Camino Real, Карлсбад), и собрали его в 4-15 пробирки BD Vacutainer CPT по 8 мл (VWR, кат. № BD362753). Приблизительный исходный общий объем цельной крови в пробирках CPT для каждого донора записали в формуляре анализа РВМС.Received a whole blood sample from consenting volunteer donors at the US Medical Clinic (Faraday & El Camino Real, Carlsbad) and collected it into 4-15 8 ml BD Vacutainer CPT tubes (VWR, cat. no. BD362753) . The approximate baseline total volume of whole blood in CPT tubes for each donor was recorded on the PBMC Analysis Form.

Перед центрифугированием образец крови незамедлительно повторно перемешали, осторожно переворачивая пробирки 8-10 раз. Пробирки CPT центрифугировали при комнатной температуре (18-25°С) в горизонтальном (с избыточной поворачиваемостью) роторе в течение 30 минут с фактором разделения (RCF) 1500-1800 с затормаживанием (2700 об./мин. Beckman Allegra 6R). Клетки сняли с лейкоцитарной поверхности раздела (между слоями фиколла и полимерного геля); перенесли в стерильную 50 мл коническую пробирку и сгруппировали по 5 CPT пробирок/50 мл коническая пробирка/донор. Затем клетки дважды промыли PBS (без Са++, Mg++; GIBCO). Пробирки пополнили до 50 мл и перемешали, переворачивая несколько раз. Затем образец центрифугировали при 330 х g в течение 15 при комнатной температуре (1215 об./мин в Beckman Allegra 6R) и аспирировали максимальное количество надосадочной жидкости, не нарушая осадок. Клеточный осадок сняли, осторожно поворачивая пробирку, и повторно суспендировали клетки в RPMI+10% FBS+пенициллин/стрептомицин (~1 мл / 10 мл исходного объема цельной крови). Пипеткой взяли 600 мкл образца и поместили во флакон с пробой (Beckman Coulter), содержащий 600 мкл реагента VersaLyse (Beckman Coulter, кат. №А09777), и осторожно перемешивали на вортексе в течение 10-15 секунд. Образец оставили инкубироваться в течение 10 минут при комнатной температуре, и снова перемешали перед подсчетом. Суспензию клеток считывали на анализаторе жизнеспособности клеток Vicell XR (Beckman Coulter), используя клетки типа РВМС (сохранили фактор разбавления 1:11 с другими параметрами). Записали количество живых клеток/мл и жизнеспособность. Клеточную суспензию разбавили до 1 х 107 живых РВМС/мл в RPMI+10% FBS+пенициллин/стрептомицин.Prior to centrifugation, the blood sample was immediately remixed by gently inverting the tubes 8-10 times. The CPT tubes were centrifuged at room temperature (18-25° C.) in a horizontal (oversteered) rotor for 30 minutes with a separation factor (RCF) of 1500-1800 with braking (2700 rpm. Beckman Allegra 6R). The cells were removed from the leukocyte interface (between the ficoll and polymer gel layers); transferred to a sterile 50 ml conical tube and grouped at 5 CPT tubes/50 ml conical tube/donor. The cells were then washed twice with PBS (without Ca++ , Mg++ ; GIBCO). The tubes were refilled to 50 ml and mixed by inverting several times. The sample was then centrifuged at 330 xg for 15 at room temperature (1215 rpm in a Beckman Allegra 6R) and aspirated as much of the supernatant as possible without disturbing the pellet. The cell pellet was removed by gently swirling the tube and the cells were resuspended in RPMI+10% FBS+penicillin/streptomycin (~1 ml/10 ml of original whole blood volume). 600 µl of sample was pipetted and placed into a sample vial (Beckman Coulter) containing 600 µl of VersaLyse reagent (Beckman Coulter cat #A09777) and gently vortexed for 10-15 seconds. The sample was left to incubate for 10 minutes at room temperature and mixed again before counting. The cell suspension was read on a Vicell XR cell viability analyzer (Beckman Coulter) using PBMC cells (keep dilution factor 1:11 with other parameters). Recorded the number of live cells/ml and viability. The cell suspension was diluted to 1 x 107 live PBMC/ml in RPMI+10% FBS+penicillin/streptomycin.

Клетки поместили на планшет при 5 х 105 в 50 мкл/лунку 96-луночного тканевого культурального планшета (Falcon Microtest). 50 мкл/лунку 2х концентрации олигомеров/контроля, разбавленных в RPMI+10% FBS+пенициллин/стрептомицин, добавили в соответствии с экспериментальной матрицей (в целом 100 мкл/лунку). Планшеты поместили на шейкер и оставили перемешиваться приблизительно на 1 минуту. После инкубации в течеие 24 часов при 37°С; 5% СО2, планшеты центрифугировали при 400 х g в течение 10 минут, затем удалили надосадочную жидкость для анализа цитокинов MSD (то есть человеческих IL-6, IL-10, IL-8 и МСР-1).Cells were plated at 5 x 105 in 50 µl/well of a 96-well tissue culture plate (Falcon Microtest). 50 µl/well 2x concentration of oligomers/control diluted in RPMI+10% FBS+penicillin/streptomycin was added according to the experimental matrix (100 µl/well in total). The plates were placed on a shaker and left to mix for approximately 1 minute. After incubation for 24 hours at 37°C; 5% CO2 , the plates were centrifuged at 400 x g for 10 minutes, then the supernatant was removed for analysis of MSD cytokines (ie human IL-6, IL-10, IL-8 and MCP-1).

Пример 24. Оценка провоспалительных эффектов в анализе hPBMC для GalNAc3-1-конъюгированных ASOExample 24 Evaluation of pro-inflammatory effects in the hPBMC assay for GalNAc3 -1-conjugated ASO

Антисмысловые олигонуклеотиды (ASO), перечисленные в Таблице 17, оценили на провоспалительное действие в анализе hPBMC; используя протокол, описанный в Примере 23. ISIS 353512 представляет собой внутренний стандарт, который, как известно, обладает высоким ответом на высвобождение IL-6 в этом анализе. hPBMC выделили из свежых образцов, полученных от доноров-добровольцев, и обработали ASO в концентрациях 0, 0,0128, 0,064, 0,32, 1,6, 8, 40 и 200 мкМ. Через 24 часа обработки измерили уровни цитокинов.The antisense oligonucleotides (ASOs) listed in Table 17 were evaluated for proinflammatory effects in the hPBMC assay; using the protocol described in Example 23. ISIS 353512 is an internal standard known to have a high response to IL-6 release in this assay. hPBMC were isolated from fresh samples obtained from volunteer donors and treated with ASO at concentrations of 0, 0.0128, 0.064, 0.32, 1.6, 8, 40 and 200 μM. After 24 hours of treatment, the levels of cytokines were measured.

Уровни IL-6 применили в качестве первичного показания. ЕС50 и Emax рассчитали по стандартным способам. Результаты выразили как среднее отношение Emax/ЕС50 для двух доноров и обозначили как «Emax/ЕС50». Более низкое соотношение означает относительное снижение провоспалительного ответа, а более высокое соотношение означает относительное увеличение провоспалительного ответа.IL-6 levels were used as the primary indication. EC50 and Emax were calculated according to standard methods. The results were expressed as the average ratio of Emax /EC50 for two donors and designated as "Emax /EC50 ". A lower ratio means a relative decrease in the pro-inflammatory response, and a higher ratio means a relative increase in the pro-inflammatory response.

В отношении исследуемых соединений, наименее провоспалительным соединением было ASO, соединенное при помощи PS/PO (ISIS 616468). GalNAc3-1-конъюгированное ASO, ISIS 647535, было немного менее провоспалительным, чем его неконъюгированный аналог, ISIS 304801. Эти результаты показывают, что внедрение нескольких РО связей снижает провоспалительную реакцию, а добавление конъюгата GalNAc3-1 не делает соединение более провоспалительным, и может снижать провоспалительную реакцию. Соответственно, можно ожидать, что антисмысловое соединение, содержащее смешанные PS/PO связи и конъюгат GalNAc3-1, может вызывать более слабые провоспалительные реакции, по сравнению с антисмысловым соединением, связанным только посредством PS, с конъюгатом GalNAc3-1 или без него. Эти результаты показывают, что CalNAc3-1-конъюгированные антисмысловые соединения, в частности, соединения, имеющие меньшее содержание PS, являются менее провоспалительными.With respect to the compounds studied, the least pro-inflammatory compound was ASO coupled with PS/PO (ISIS 616468). GalNAc3 -1 conjugated ASO, ISIS 647535, was slightly less pro-inflammatory than its unconjugated counterpart, ISIS 304801. These results indicate that the insertion of multiple PO bonds reduces the pro-inflammatory response, and the addition of the GalNAc3 -1 conjugate does not make the compound more pro-inflammatory. and may reduce the pro-inflammatory response. Accordingly, an antisense compound containing mixed PS/PO linkages and a GalNAc3 -1 conjugate would be expected to elicit weaker pro-inflammatory responses compared to an antisense compound linked via PS alone, with or without a GalNAc3 -1 conjugate. These results indicate that CalNAc3 -1 conjugated antisense compounds, in particular compounds having lower PS content, are less pro-inflammatory.

В целом, эти результаты позволяют предположить, что GalNAc3-1-конъюгированное соединение, в частности, соединение со сниженным содержанием PS, может быть введено в более высокой дозе, чем аналогичное полностью PS антисмысловое соединение без конъюгата GalNAc3-1. Поскольку не ожидается, что период полувыведения для этих соединений будет существенно различаться, то такое введение в более высокой дозе обусловит менее частое введение доз. В действительности, такое введение может быть еще более редким, поскольку CaINAc3-1-конъюгированные соединения являются более эффективными (см. Примеры 20-22), а повторное введение дозы необходимо только при снижении концентрации соединения ниже желаемого уровня, при этом такой желаемый уровень обусловлен эффективностью.Overall, these results suggest that a GalNAc3 -1 conjugated compound, in particular a PS-reduced compound, can be administered at a higher dose than an analogous fully PS antisense compound without a GalNAc3 -1 conjugate. Since the half-life of these compounds is not expected to vary significantly, this higher dose administration will result in less frequent dosing. In fact, such administration may be even rarer, since CaINAc3 -1-conjugated compounds are more effective (see Examples 20-22), and re-dose is necessary only when the concentration of the compound falls below the desired level, while this desired level driven by efficiency.

Figure 00000162
Figure 00000162

Нижние индексы: «е» означает 2'-МОЕ модифицированный нуклеозид; «d» означает β-D-2'-дезоксирибонуклеозид; «k» означает 6'-(S)-CH3 бициклический нуклеозид (например, cEt); «s» означает тиофосфатные межнуклеозидные связи (PS); «о» означает фосфодиэфирные межнуклеозидные связи (РО); и «o'» означает -O-Р(=O)(ОН)-. Верхний индекс «m» означает 5-метилцитозины. «Ado'-GalNAc3-1a» означает конъюгат, имеющий структуру GalNAc3-1, представленную в Примере 9, присоединенный к 3'-концу указанного антисмыслового олигонуклеотида.Subscripts: "e" means 2'-MOE modified nucleoside; "d" means β-D-2'-deoxyribonucleoside;"k" means 6'-(S)-CH3 bicyclic nucleoside (eg, cEt); "s" stands for thiophosphate internucleoside linkages (PS); "o" means phosphodiester internucleoside bonds (RO); and "o'" means -O-P(=O)(OH)-. The superscript "m" stands for 5-methylcytosines. "Ado' -GalNAc3 -1a "means a conjugate having the GalNAc3 -1 structure shown in Example 9 attached to the 3' end of said antisense oligonucleotide.

Figure 00000163
Figure 00000163

Figure 00000164
Figure 00000164

Пример 25. Влияние модифицированного CalNAc3-1-конъюгированного ASO, нацеленного на человеческий АроС III, in vitroExample 25 Effect of Modified CalNAc3 -1-Conjugated ASO Targeting Human ApoC III in Vitro

ISIS 304801 и 647535, описанные выше, испытали in vitro. Первичные гепатоцитарные клетки трансгенных мышей при плотности 25000 клеток на лунку обработали концентрациями 0,03, 0,08, 0,24, 0,74, 2,22, 6,67 и 20 мкМ модифицированных олигонуклеотидов. После обработки в течение около 16 часов, из клеток выделили РНК и измерили уровни мРНК при помощи количественной ПЦР в реальном времени, а уровни мРНК hApoC III скорректировали в соответствии с общим содержанием РНК, измеренным при помощи RIBOGREEN.ISIS 304801 and 647535 described above were tested in vitro. Primary hepatocyte cells of transgenic mice at a density of 25,000 cells per well were treated with concentrations of 0.03, 0.08, 0.24, 0.74, 2.22, 6.67 and 20 μM of the modified oligonucleotides. After treatment for about 16 hours, RNA was isolated from the cells and mRNA levels were measured by quantitative real-time PCR, and hApoC III mRNA levels were adjusted according to total RNA measured by RIBOGREEN.

IC50 рассчитали по стандартным способам, а результаты представлены в Таблице 19. Показано, что наблюдали сравнимую эффективность в клетках, обработанных ISIS 647535, по сравнению с контрольным образцом, ISIS 304801.IC50 was calculated by standard methods and the results are shown in Table 19. Comparable efficacy was shown to be observed in cells treated with ISIS 647535 compared to the control, ISIS 304801.

Figure 00000165
Figure 00000165

В этом эксперименте in vitro не наблюдали такого большого преимущества эффективности конъюгирования с GalNAc3-1, как наблюдали in vivo. Последующие эксперименты свободного захвата в первичных гепатоцитах in vitro не показали повышенной эффективности олигонуклеотидов, содержащих различные конъюгаты GalNAc, по сравнению с олигонуклеотидами, не содержащими конъюгаты GalNAc (см. Примеры 60, 82 и 92).In this experiment in vitro did not see such a big advantage in the efficiency of conjugation with GalNAc3 -1, as observed in vivo. Subsequent free uptake experiments in primary hepatocytes in vitro showed no increased efficacy of oligonucleotides containing various GalNAc conjugates compared to oligonucleotides not containing GalNAc conjugates (see Examples 60, 82 and 92).

Пример 26. Влияние связей PO/PS на кативность ASO в отношении АроС IIIExample 26 Effect of PO/PS Linkages on ASO Activity for ApoC III

Трансгенным мышам с человеческим АроС III внутрибрюшинной инъекцией вводили 25 мг/кг ISIS 304801 или ISIS 616468 (оба описаны выше) или PBS в качестве контрольного образца, один раз в неделю в течение двух недель. Экспериментальная группа состояла из 3 животных, а контрольная группа состояла из 4 животных. Перед лечением, а также после последней дозы у каждой мыши брали кровь и анализировали образцы плазмы. Мышей умертвили через 72 часа после последнего введения.Human ApoC III transgenic mice were injected intraperitoneally with 25 mg/kg of ISIS 304801 or ISIS 616468 (both described above) or PBS as control, once a week for two weeks. The experimental group consisted of 3 animals and the control group consisted of 4 animals. Before treatment, as well as after the last dose, blood was taken from each mouse and plasma samples were analyzed. Mice were sacrificed 72 hours after the last injection.

Образцы собрали и анализировали для определения уровней белка АроС III в печени, как описано выше (Пример 20). Данные этих анализов представлены ниже в Таблице 20.Samples were collected and analyzed to determine liver levels of ApoC III protein as described above (Example 20). The data from these analyzes are presented below in Table 20.

Эти результаты демонстрируют снижение эффективности антисмысловых соединений с PO/PS (ISIS 616468) в крыльях, по сравнению с соединениями, содержащими только PS (ISIS 304801).These results demonstrate the reduced efficacy of PO/PS antisense compounds (ISIS 616468) in wings compared to PS-only compounds (ISIS 304801).

Figure 00000166
Figure 00000166

Пример 27. Соединение 56Example 27 Compound 56

Figure 00000167
Figure 00000167

Соединение 56 имеется в продаже у компании Glen Research или может быть получено по опубликованным методикам, описанным авторами Shchepinov et al., Nucleic Acids Research, 1997, 25(22), 4447-4454.Compound 56 is commercially available from Glen Research or can be prepared according to the published procedures described by Shchepinov et al., Nucleic Acids Research, 1997, 25(22), 4447-4454.

Пример 28. Получение Соединения 60Example 28 Preparation of Compound 60

Figure 00000168
Figure 00000168

Соединение 4 получили по способам, описанным в Примере 2. Соединение 57 имеется в продаже. Соединение 60 подтвердили структурным анализом.Compound 4 was prepared according to the methods described in Example 2. Compound 57 is commercially available. Compound 60 was confirmed by structural analysis.

Соединение 57 является иллюстративным, и его не следует считать ограничивающим, поскольку могут быть применены другие монозащищенные замещенные или незамещенные алкилдиолы, включая, но не ограничиваясь ими, те, которые представлены в данном описании, для получения фосфорамидитов, имеющих желаемый состав.Compound 57 is illustrative and should not be considered limiting as other mono-protected substituted or unsubstituted alkyl diols, including but not limited to those described herein, may be used to produce phosphoramidites having the desired composition.

Пример 29. Получение Соединения 63Example 29 Preparation of Compound 63

Figure 00000169
Figure 00000169

Соединения 61 и 62 получили по таким же способам, как описаны авторами Tober et al., Eur. J. Org. Chem., 2013, 3, 566-577; и Jiang et al., Tetrahedron, 2007, 63(19), 3982-3988.Compounds 61 and 62 were prepared according to the same methods as described by Tober et al., Eur. J. Org. Chem., 2013, 3, 566-577; and Jiang et al., Tetrahedron, 2007, 63(19), 3982-3988.

Альтернативно, Соединение 63 получили по таким же способам, как описаны в научной и патентной литературе авторами Kim et al., Synlett, 2003, 12, 1838-1840; и Kim et al., в опубликованной Международной заявке РСТ WO 2004063208.Alternatively, Compound 63 was prepared according to the same methods as described in the scientific and patent literature by Kim et al., Synlett, 2003, 12, 1838-1840; and Kim et al., in PCT International Publication WO 2004063208.

Пример 30. Получение Соединения 63bExample 30 Preparation of Compound 63b

Figure 00000170
Figure 00000170

Соединение 63а получили по таким же способам, как описаны авторами Hanessian et al., Canadian Journal of Chemistry, 1996, 74(9), 1731-1737.Compound 63a was prepared according to the same methods as described by Hanessian et al., Canadian Journal of Chemistry, 1996, 74(9), 1731-1737.

Пример 31. Получение Соединения 63dExample 31 Preparation of Compound 63d

Figure 00000171
Figure 00000171

Соединение 63 с получили по таким же способам, как описаны авторами Chen et al., Chinese Chemical Letters, 1998, 9(5), 451-453.Compound 63c was prepared according to the same methods as described by Chen et al., Chinese Chemical Letters, 1998, 9(5), 451-453.

Пример 32. Получение Соединения 67Example 32 Preparation of Compound 67

Figure 00000172
Figure 00000172

Соединение 64 получили по способам, представленным в Примере 2. Соединение 65 получили по таким же способам, как описаны авторами Or et al., в опубликованной Международной заявке РСТ WO 2009003009. Защитные группы, применяемые для Соединения 65, являются иллюстративными, и их не следует считать ограничением, поскольку могут быть применены другие защитные группы, включая, но не ограничиваясь ими, те, которые представлены в данном описании.Compound 64 was prepared according to the methods presented in Example 2. Compound 65 was prepared according to the same methods as described by Or et al. in PCT International Application WO 2009003009. The protecting groups used for Compound 65 are illustrative and should not be be considered a limitation as other protecting groups may be used, including but not limited to those described herein.

Пример 33. Получение Соединения 70Example 33 Preparation of Compound 70

Figure 00000173
Figure 00000173

Соединение 64 получили по способам, описанным в Примере 2. Соединение 68 имеется в продаже. Защитная группа, примененная для Соединения 68, является иллюстративной, и ее не следует считать ограничением, поскольку могут быть применены другие защитные группы, включая, но не ограничиваясь ими, те, которые представлены в данном описании.Compound 64 was prepared according to the methods described in Example 2. Compound 68 is commercially available. The protecting group used for Compound 68 is illustrative and should not be considered limiting as other protecting groups may be used, including but not limited to those described herein.

Пример 34. Получение Соединения 75аExample 34 Preparation of Compound 75a

Figure 00000174
Figure 00000174

Соединение 75 получили по опубликованным методикам, описанным авторами Shchepinov et al., Nucleic Acids Research, 1997, 25(22), 4447-4454.Compound 75 was prepared according to the published procedures described by Shchepinov et al., Nucleic Acids Research, 1997, 25(22), 4447-4454.

Пример 35. Получение Соединения 79Example 35 Preparation of Compound 79

Figure 00000175
Figure 00000175

Соединение 76 получили по опубликованным методикам, описанным авторами Shchepinov et al., Nucleic Acids Research, 1997, 25(22), 4447-4454.Compound 76 was prepared according to the published procedures described by Shchepinov et al., Nucleic Acids Research, 1997, 25(22), 4447-4454.

Пример 36. Получение Соединения 79aExample 36 Preparation of Compound 79a

Figure 00000176
Figure 00000176

Соединение 77 получили по способам, представленным в Примере 35.Compound 77 was obtained according to the methods presented in Example 35.

Пример 37. Общий способ получения коньюгированного олигомерного соединения 82, содержащего фосфодиэфир-связанный конъюгат GaINAc3-2 на 5'-конце, на твердой подложке (Способ I)Example 37 General Method for Preparation of Conjugated Oligomeric Compound 82 Containing a Phosphodiester-Linked GaINAc3 -2 Conjugate at the 5' End, on a Solid Support (Method I)

Figure 00000177
Figure 00000177

Figure 00000178
Figure 00000178

где GalNAc3-2 имеет структуру:where GalNAc3 -2 has the structure:

Figure 00000179
Figure 00000179

Кластерная часть GalNAc3 конъюгирующей группы GalNAc3-2 (GalNAc3-2a) может быть комбинирована с любым расщепляемым фрагментом с получением различных конъюгирующих групп. При этом GalNAc3-2a имеет формулу:The GalNAc3 cluster portion of the GalNAc 3 -2 conjugating group (GalNAc 3-2a) can be combined with any cleavable moiety to form various conjugating groups. While GalNAc3 -2a has the formula:

Figure 00000180
Figure 00000180

VIMAD-связанное олигомерное соединение 79b получили по стандартным способам в автоматическом синтезаторе ДНК/РНК (см. Dupouy et al., Angew. Chem. Int. Ed., 2006, 45, 3623-3627). Фосфорамидитные Соединения 56 и 60 получили так, как описано в способах в Примерах 27 и 28, соответственно. Изображенные фософорамидиты являются иллюстративными, и их не следует считать ограничением, поскольку могут быть применены другие фосфорамидитные строительные блоки, включая, но не ограничиваясь ими, те, которые представлены в данном описании, для получения олигомерного соединения, содержащего фосфодиэфир-связанную конъюгирующую группу на 5'-конце. Порядок и количество фосфорамидитов, добавляемых к твердой подложке, может быть подобрано для получения олигомерных соединений, описанных в настоящем документе, которые имеют любую желаемую последовательность и состав.VIMAD-linked oligomeric compound 79b was prepared according to standard methods in an automatic DNA/RNA synthesizer (see Dupouy et al., Angew. Chem. Int. Ed., 2006, 45, 3623-3627). Phosphoramidite Compounds 56 and 60 were prepared as described in the methods in Examples 27 and 28, respectively. The phosphoramidites depicted are illustrative and should not be considered limiting, as other phosphoramidite building blocks, including but not limited to those presented herein, may be used to prepare an oligomeric compound containing a 5' phosphodiester-linked conjugating group. -end. The order and amount of phosphoramidites added to the solid support can be adjusted to produce the oligomeric compounds described herein which have any desired sequence and composition.

Пример 33. Альтернативный способ получения олигомерного соединения 32, содержащего фосфодиэфир-связанный конъюгат CalNAc3-2 на 5'-конце (Способ II)Example 33 Alternative Method for the Preparation of Oligomeric Compound 32 Containing a Phosphodiester-Linked CalNAc3 -2 Conjugate at the 5' End (Method II)

Figure 00000181
Figure 00000181

VIMAD-связанное олигомерное соединение 76b получили по стандартным способам в автоматическом синтезаторе ДНК/РНК (см. Dupouy et al., Angew. Chem. Int. Ed., 2006, 45, 3623-3627). GalNAc3-2-кластерный фосфорамидит, Соединение 79, получили по способам, представленным в Примере 35. Альтернативный способ обеспечивает возможность одностадийной установки фосфодиэфир-связанного GalNAc3-2 конъюгата на олигомерное соединение на последней стадии синтеза. Изображенные фософорамидиты являются иллюстративными, и их не следует считать ограничением, поскольку могут быть применены другие фосфорамидитные строительные блоки, включая, но не ограничиваясь ими, те, которые представлены в данном описании, для получения олигомерных соединений, содержащих фосфодиэфирный конъюгат на 5'-конце. Порядок и количество фосфорамидитов, добавляемых к твердой подложке, может быть подобрано для получения олигомерных соединений, описанных в настоящем документе, которые имеют любую желаемую последовательность и состав.VIMAD-linked oligomeric compound 76b was prepared according to standard methods in an automatic DNA/RNA synthesizer (see Dupouy et al., Angew. Chem. Int. Ed., 2006, 45, 3623-3627). GalNAc3 -2-clustered phosphoramidite, Compound 79, was prepared according to the methods presented in Example 35. An alternative method allows one-step installation of the phosphodiester-bound GalNAc3 -2 conjugate onto the oligomeric compound in the last step of the synthesis. The depicted phosphoramidites are illustrative and should not be considered limiting as other phosphoramidite building blocks, including but not limited to those described herein, may be used to prepare oligomeric compounds containing a phosphodiester conjugate at the 5' end. The order and amount of phosphoramidites added to the solid support can be adjusted to produce the oligomeric compounds described herein which have any desired sequence and composition.

Пример 39. Общий способ получения олигомерного соединения 83h, содержащего конъюгат CalNAc3-3 на 5'-конце (CalNAc3-1, модифицированный для 5'-концевого присоединения), на твердой подложкеExample 39 General Method for Preparation of Oligomeric Compound 83h Containing a CalNAc3 -3 Conjugate at the 5' End (CalNAc3 -1 Modified for 5' End Attachment) on a Solid Support

Figure 00000182
Figure 00000182

Соединение 18 получили по способам, описанным в Примере 4. Соединения 83а и 83b имеются в продаже. Олигомерное Соединение 83е, содержащее связанный через фосфодиэфир гексиламин, получили по стандартным способам синтеза олигонуклеотидов. В результате обработки защищенного олигомерного соединения водным раствором аммиака получили 5'-GalNAc3-3 конъюгированное олигомерное соединение (83h).Compound 18 was prepared according to the methods described in Example 4. Compounds 83a and 83b are commercially available. Oligomeric Compound 83e containing phosphodiester-linked hexylamine was prepared by standard methods for the synthesis of oligonucleotides. Treatment of the protected oligomeric compound with aqueous ammonia gave a 5'-GalNAc3 -3 conjugated oligomeric compound (83h).

где GalNAc3-3 имеет структуру:where GalNAc3 -3 has the structure:

Figure 00000184
Figure 00000184

Кластерная часть GalNAc3 конъюгирующей группы GalNAc3-3 (GalNAc3-3a) может быть комбинирована с любым расщепляемым фрагментом с получением различных конъюгирующих групп. При этом GalNAc3-3a имеет формулу:The GalNAc3 cluster portion of the GalNAc 3 -3 conjugating group (GalNAc 3-3a) can be combined with any cleavable moiety to form various conjugating groups. In this case, GalNAc3 -3a has the formula:

Figure 00000185
Figure 00000185

Пример 40. Общий способ получения олигомерного соединения 39, содержащего фосфодиэфир-связанный конъюгат GalNAc3-4 на 3'-конце, на твердой подложкеExample 40 General method for preparing oligomeric compound 39 containing a phosphodiester-linked GalNAc3 -4 conjugate at the 3' end on a solid support

Figure 00000186
Figure 00000186

Figure 00000187
Figure 00000187

где GalNAc3-4 имеет структуру:where GalNAc3 -4 has the structure:

Figure 00000188
Figure 00000188

Где СМ представляет собой расщепляемый фрагмент. В некоторых вариантах реализации изобретения расщепляемый фрагмент представляет собой:Where SM is a split fragment. In some embodiments, the cleavable fragment is:

Figure 00000189
Figure 00000189

Кластерная часть GalNAc3 конъюгирующей группы GalNAc3-4 (GalNAc3-4а) может быть комбинирована с любым расщепляемым фрагментом с получением различных конъюгирующих групп. При этом GalNAc3-4a имеет формулу:The GalNAc3 cluster portion of the GalNAc 3 -4 conjugating group (GalNAc 3-4a) can be combined with any cleavable moiety to form different conjugating groups. While GalNAc3 -4a has the formula:

Figure 00000190
Figure 00000190

Защищенное Соединение 30 на функционализированной твердой подложке Unylinker имеется в продаже. Соединение 84 получили по таким же способам, как описаны в литературе (см. Shchepinov et at., Nucleic Acids Research, 1997, 25(22), 4447-4454; Shchepinov et at., Nucleic Acids Research, 1999, 27, 3035-3041; и Hornet et at., Nucleic Acids Research, 1997, 25, 4842-4849).Protected Connection 30 on a functionalized Unylinker solid support is commercially available. Compound 84 was obtained according to the same methods as described in the literature (see Shchepinov et at., Nucleic Acids Research, 1997, 25(22), 4447-4454; Shchepinov et at., Nucleic Acids Research, 1999, 27, 3035- 3041; and Hornet et at., Nucleic Acids Research, 1997, 25, 4842-4849).

Фосфорамидитные строительные блоки, Соединения 60 и 79а, получили по способам, представленным в Примерах 28 и 36. Изображенные фосфорамидиты являются иллюстративными и не предназначены для ограничения, поскольку могут быть применены другие фосфорамидитные строительные блоки для получения олигомерного соединения, имеющего фосфодиэфир-связанный конъюгат на 3'-конце, которое имеет желаемую последовательность и состав. Порядок и количество фосфорамидитов, добавляемых к твердой подложке, может быть подобрано для получения олигомерных соединений, описанных в настоящем документе, которые имеют любую желаемую последовательность и состав.Phosphoramidite building blocks, Compounds 60 and 79a, were prepared according to the methods presented in Examples 28 and 36. The depicted phosphoramidites are illustrative and are not intended to be limiting as other phosphoramidite building blocks may be used to prepare an oligomeric compound having a phosphodiester-linked conjugate at 3 '-end, which has the desired sequence and composition. The order and amount of phosphoramidites added to the solid support can be adjusted to produce the oligomeric compounds described herein which have any desired sequence and composition.

Пример 41. Общий способ получения ASO, содержащих фосфодиэфир-связанный конъюгат GalNAc3-2 (см. Пример 37, Вх представляет собой аденин) в 5'-положении, по твердофазному способу (получение ISIS 661134)Example 41 General Method for the Preparation of ASOs Containing a Phosphodiester-Linked GalNAc3 -2 Conjugate (See Example 37, Bx is adenine) at the 5' Position, by Solid Phase Method (Preparation of ISIS 661134)

Если не указано иное, все реагенты и растворы, примененные для синтеза олигомерных соединений, приобретены у коммерческих поставщиков. Стандартные фосфорамидитные строительные блоки и твердую подложку применили для внедрения нуклеозидных остатков, которые включают, например, остатки Т, A, G иmC. Фосфорамидитные соединения 56 и 60 применили для синтеза фосфодиэфир-связанного конъюгата GalNAc3-2 на 5'-конце. 0,1 М раствор фосфорамидита в безводном ацетонитриле применили для β-В-2'-дезоксирибонуклеозида и 2'-МОЕ.Unless otherwise noted, all reagents and solutions used for the synthesis of oligomeric compounds were purchased from commercial suppliers. Standard phosphoramidite building blocks and a solid support were used to introduce nucleoside residues, which include, for example, T, A, G andm C residues. Phosphoramidite compounds 56 and 60 were used to synthesize a phosphodiester-linked GalNAc3 -2 conjugate at the 5' end. A 0.1 M solution of phosphoramidite in anhydrous acetonitrile was used for β-B-2'-deoxyribonucleoside and 2'-MOE.

Синтез антисмысловых олигонуклеотидов (ASO) выполнили на синтезаторе ABI 394 (в масштабе 1-2 мкмоль) или на синтезаторе AKTA Oligopilot производства GE Healthcare Bioscience (в масштабе 40-200 мкмоль) по способу фосфорамидитного связывания на твердой подложке VIMAD (110 мкмоль/г, Guzaev et at., 2003), упакованной в колонку. Для стадии связывания фосфорамидиты вводили в 4-кратном избытке по сравнению с первоначальной загрузкой на твердой подложке, а связывание фосфорамидита выполняли в течение 10 минут. Все остальные стадии выполняли по протоколам, предоставленным производителем. Для удаления диметокситритильных (DMT) групп с 5'-гидроксильных групп нуклеотида применили 6% раствор дихлоруксусной кислоты в толуоле. На стадии связывания в качестве активатора применили 4,5-дицианоимидазол (0,7 М) в безводном CH3CN. Тиофосфатные связи внедряли сульфированием при помощи 0,1 М раствора гидрида ксантана в 1:1 смеси пиридина/CH3CK в течение 3 минут времени контакта. В качестве окислительного агента для обеспечения фосфодиэфирных межнуклеозидных связей применили 20% раствор трет-бутилгидропероксида в CH3CN, содержащий 6% воды, в течение 12 минут времени контакта.Synthesis of antisense oligonucleotides (ASOs) was performed on an ABI 394 synthesizer (1-2 µmol scale) or an AKTA Oligopilot synthesizer from GE Healthcare Bioscience (40-200 µmol scale) by the VIMAD solid support phosphoramidite coupling method (110 µmol/g, Guzaev et at., 2003) packed into a column. For the binding step, the phosphoramidites were added in a 4-fold excess compared to the initial load on the solid support, and the binding of the phosphoramidite was carried out for 10 minutes. All other steps were performed according to protocols provided by the manufacturer. To remove dimethoxytrityl (DMT) groups from the 5'-hydroxyl groups of the nucleotide, a 6% solution of dichloroacetic acid in toluene was used. In the coupling step, 4,5-dicyanoimidazole (0.7 M) in anhydrous CH3 CN was used as an activator. Thiophosphate bonds were introduced by sulfonation with a 0.1 M solution of xanthan hydride in a 1:1 mixture of pyridine/CH3 CK for 3 minutes of contact time. A 20% solution of tert-butyl hydroperoxide in CH3 CN containing 6% water was used as an oxidizing agent to provide phosphodiester internucleoside bonds for 12 minutes of contact time.

После сборки желаемой последовательности цианоэтил-фосфатные защитные группы снимали при помощи 20% диэтиламина в толуоле (об./об.) в течение 45 минут времени контакта. Связанные с твердой подложкой ASO суспендировали в водном растворе аммиака (28-30 масс. %) и нагревали при 55°С в течение 6 часов.After assembling the desired sequence, the cyanoethyl phosphate protecting groups were removed with 20% diethylamine in toluene (v/v) for 45 minutes of contact time. Associated with a solid support ASO suspended in an aqueous solution of ammonia (28-30 wt.%) and heated at 55°C for 6 hours.

Затем отфильтровывали не связанные ASO и выпаривали аммиак кипячением. Остаток очищали жидкостной хроматографией высокого давления на сильной анионообменной колонке (GE Healthcare Bioscience, Source 30Q, 30 мкм, 2,54 × 8 см, А = 100 мМ ацетата аммония в 30% водном CH3CN, В = 1,5 М NaBr в А, 0-40% В за 60 мин., скорость потока 14 мл. мин-1, λ=260 нм). Остаток обессоливали при помощи ВЭЖХ на обращенно-фазовой колонке с получением желаемых ASO с выделенным выходом 15-30% относительно первоначальной загрузки на твердую подложку. ASO характеризовали при помощи ион-парной ВЭЖХ, совмещенной с МС-анализом на системе Agilent 1100 MSD.The unbound ASO was then filtered off and the ammonia was evaporated by boiling. The residue was purified by high pressure liquid chromatography on a strong anion exchange column (GE Healthcare Bioscience, Source 30Q, 30 μm, 2.54 x 8 cm, A = 100 mM ammonium acetate in 30% aqueous CH3 CN, B = 1.5 M NaBr in A, 0-40% B in 60 min, flow rate 14 ml min-1, λ=260 nm). The residue was desalted by HPLC on a reversed phase column to give the desired ASOs in an isolated yield of 15-30% relative to the initial load on a solid support. ASO was characterized by ion pair HPLC combined with MS analysis on an Agilent 1100 MSD system.

Figure 00000191
Figure 00000191

Нижние индексы: «е» означает 2'-МОЕ модифицированный нуклеозид; «d» означает β-В-2'-дезоксирибонуклеозид; «k» означает 6'-(S)-CH3 бициклический нуклеозид (например, cEt); «s» означает тиофосфатные межнуклеозидные связи (PS); «о» означает фосфодиэфирные межнуклеозидные связи (РО); и «o'» означает -O-Р(=O)(ОН)-. Верхний индекс «m» означает 5-метилцитозины. Структура GalNAc3-2a представлена в Примере 37.Subscripts: "e" means 2'-MOE modified nucleoside; "d" means β-B-2'-deoxyribonucleoside;"k" means 6'-(S)-CH3 bicyclic nucleoside (eg, cEt); "s" stands for thiophosphate internucleoside linkages (PS); "o" means phosphodiester internucleoside bonds (RO); and "o'" means -O-P(=O)(OH)-. The superscript "m" stands for 5-methylcytosines. The structure of GalNAc3 -2a is shown in Example 37.

Пример 42. Общий способ получения ASO, содержащих конъюгат GalNAc3-3 в 5'-положении, по твердофазным методикам (получение ISIS 661166)Example 42 General Method for the Preparation of ASOs Containing a GalNAc3 -3 Conjugate at the 5' Position by Solid Phase Methods (Preparation of ISIS 661166)

Синтез ISIS 661166 выполнили по таким же способам, как представлены в Примерах 39 и 41.The synthesis of ISIS 661166 was carried out according to the same methods as presented in Examples 39 and 41.

ISIS 661166 представляет собой 5-10-5 МОЕ гэпмер, в котором 5'-положение содержит конъюгат GalNAc3-3. Это ASO характеризовали при помощи ион-парной ВЭЖХ, совмещенной с МС-анализом на системе Agilent 1100 MSD.ISIS 661166 is a 5-10-5 MY gapmer in which the 5' position contains a GalNAc3 -3 conjugate. This ASO was characterized by ion pair HPLC combined with MS analysis on an Agilent 1100 MSD system.

Figure 00000192
Figure 00000192

Нижние индексы: «е» означает 2'-МОЕ модифицированный нуклеозид; «d» означает β-D-2'-дезоксирибонуклеозид; «s» означает тиофосфатные межнуклеозидные связи (PS); «о» означает фосфодиэфирные межнуклеозидные связи (РО); и «o'» означает -O-Р(=O)(ОН)-. Верхний индекс «т» означает 5-метилцитозины. Структура «5'-GalNAc3-3а» представлена в Примере 39.Subscripts: "e" means 2'-MOE modified nucleoside; "d" means β-D-2'-deoxyribonucleoside;"s" stands for thiophosphate internucleoside linkages (PS); "o" means phosphodiester internucleoside bonds (RO); and "o'" means -O-P(=O)(OH)-. Superscript "t" means 5-methylcytosines. The structure of "5'-GalNAc3 -3a" is shown in Example 39.

Пример 43 Дозозависимое исследование фосфодиэфир-связанного GalNAc3-2 (см. Примеры 37 и 41, Вх представляет собой аденин) на 5'-конце, нацеленного на SRB-1, in vivoExample 43 Dose-dependent study of phosphodiester-bound GalNAc3 -2 (see Examples 37 and 41, Bx is adenine) at the 5' end targeted to SRB-1 in vivo

ISIS 661134 (см. Пример 41), содержащий фосфодиэфир-связанный конъюгат GalNAc3-2 на 5'-конце, испытывали в дозозависимом исследовании на антисмысловое ингибирование SRB-1 у мышей. Неконъюгированные ISIS 440762 и 651900 (конъюгат GalNAc3-1 у 3'-коца, см. Пример 9) включены в исследование для сравнения и описаны ранее в Таблице 4.ISIS 661134 (see Example 41), containing a phosphodiester-linked GalNAc3 -2 conjugate at the 5' end, was tested in a dose-dependent study for antisense inhibition of SRB-1 in mice. Unconjugated ISIS 440762 and 651900 (GalNAc3 -1 conjugate at the 3' end, see Example 9) are included in the study for comparison and are described previously in Table 4.

ЛечениеTreatment

Шестинедельным самцам мышей Balb/c (Jackson Laboratory, Бар-Харбор, штат Мэн) ввели однократную подкожную инъекцию дозы, представленной ниже, соединения ISIS 440762, 651900, 661134 или PBS в качестве контрольного образца. Каждая экспериментальная группа состояла из 4 животных. Мышей умертвили через 72 часов после последнего введения для определения уровней мРНК SRB-1 в печени при помощи ПЦР в реальном времени и реагента для количественного определения РНК RIBOGREEN® (Molecular Probes, Inc., Юджин, штат Орегон) по стандартным протоколам. Уровни мРНК SRB-1 определяли относительно общей РНК (при помощи Ribogreen), затем нормализовали к контрольному образцу, обработанному PBS. Результаты, показанные ниже, представлены как средний процент уровней мРНК SRB-1 для каждой экспериментальной группы, нормализованных к контрольному образцу, обработанному PBS, и обозначены как «% PBS». ED50 измеряли по таким же способам, как описаны ранее, и они представлены ниже.Six week old male Balb/c mice (Jackson Laboratory, Bar Harbor, Maine) were given a single subcutaneous injection of the dose below with ISIS 440762, 651900, 661134 or PBS as control. Each experimental group consisted of 4 animals. Mice were sacrificed 72 hours after the last injection to determine hepatic SRB-1 mRNA levels using real-time PCR and RIBOGREEN® RNA quantitation reagent (Molecular Probes, Inc., Eugene, Oregon) according to standard protocols. SRB-1 mRNA levels were determined relative to total RNA (using Ribogreen), then normalized to a PBS treated control. The results shown below are presented as the average percentage of SRB-1 mRNA levels for each experimental group, normalized to the PBS-treated control, and are labeled "% PBS". ED50 was measured by the same methods as described previously, and they are presented below.

Как показано в Таблице 22, лечение антисмыеловыми олигонуклеотидами снижает уровни мРНК SRB-1 дозозависимым образом. Действительно, антисмысловые олигонуклеотиды, содержащие фосфодиэфир-связанный конъюгат GalNAc3-2 на 5'-конце (ISIS 661134) или конъюгат GalNAc3-1, связанный на 3'-конце (ISIS 651900), демонстрируют значительное улучшение эффективности, по сравнению с неконъюгированным антисмысловым олигонуклеотидом (ISIS 440762). Кроме того, ISIS 661134, который содержит фосфодиэфир-связанный конъюгат GalNAc3-2 на 5'-конце, был настолько же эффективным, как ISIS 651900, который содержит конъюгат GalNAc3-1 на З'-конце.As shown in Table 22, treatment with anti-smeel oligonucleotides reduces SRB-1 mRNA levels in a dose-dependent manner. Indeed, antisense oligonucleotides containing a phosphodiester-linked GalNAc3 -2 conjugate at the 5' end (ISIS 661134) or a GalNAc3 -1 conjugate linked at the 3' end (ISIS 651900) show a significant improvement in potency compared to unconjugated antisense oligonucleotide (ISIS 440762). In addition, ISIS 661134, which contains a phosphodiester-linked GalNAc3 -2 conjugate at the 5' end, was as effective as ISIS 651900, which contains a GalNAc3 -1 conjugate at the 3' end.

Figure 00000193
Figure 00000193

Figure 00000194
Figure 00000194

Структуры 3' GalNAc3-1 и 5' GalNAc3-2 описаны ранее в Примерах 9 и 37.The structures of 3' GalNAc3 -1 and 5' GalNAc3 -2 are described previously in Examples 9 and 37.

Фармакокинетический анализ (ФК)Pharmacokinetic analysis (PK)

ФК для ASO из группы высокой дозы (7 мг/кг) исследовали и оценили таким же образом, как описано в Примере 20. Образцы печени измельчили и экстрагировали по стандартным протоколам. Идентифицировали метаболиты полной длины 661134 (5' GalNAc3-2) и ISIS 651900 (3' GalNAc3-1) и подтвердили их массы при помощи масс-спектрометрического анализа высокого разрешения. Результаты показали, что основной метаболит, обнаруженный для ASO, содержащего фосфодиэфир-связанный конъюгат GalNAc3-2 на 5'-конце (ISIS 661134), представлял собой ISIS 440762 (данные не показаны). Не наблюдали никаких дополнительных метаболитов в обнаруживаемом количестве. В отличие от него, для ASO, содержащего конъюгат GalNAc3-1 на 3'-конце (ISIS 651900), наблюдали дополнительные метаболиты, аналогичные тем, которые описаны ранее в Таблице 10а. Эти результаты позволяют предположить, что наличие фосфодиэфир-связанного конъюгата GalNAc3-1 или GalNAc3-2 может улучшать ФК профиль ASO без ухудшения их эффективности.The PK for ASO from the high dose group (7 mg/kg) was investigated and evaluated in the same manner as described in Example 20. Liver samples were minced and extracted according to standard protocols. Full length metabolites 661134 (5' GalNAc3 -2) and ISIS 651900 (3' GalNAc3 -1) were identified and their masses confirmed by high resolution mass spectrometric analysis. The results indicated that the major metabolite found for ASO containing a phosphodiester-linked GalNAc3 -2 conjugate at the 5' end (ISIS 661134) was ISIS 440762 (data not shown). No additional metabolites were observed in detectable amounts. In contrast, for ASO containing a GalNAc3 -1 conjugate at the 3' end (ISIS 651900), additional metabolites were observed, similar to those described previously in Table 10a. These results suggest that the presence of a phosphodiester-linked GalNAc3 -1 or GalNAc3 -2 conjugate may improve the PK profile of ASO without compromising their performance.

Пример 44. Влияние PO/PS связей на антисмысловое ингибирование ASO, содержащих конъюгат GalNAc3-1 (см. Пример 9) на 3'-конце, нацеленных на SRB-1Example 44 Effect of PO/PS Linkages on Antisense Inhibition of ASOs Containing a GalNAc3 -1 Conjugate (see Example 9) at the 3' End Targeting SRB-1

ISIS 655861 и 655862, содержащие конъюгат GalNAc3-1 на 3'-конце, каждый из которых нацелен на SRB-1, испытали в исследовании однократного введения на их способность ингибировать SRB-1 у мышей. Исходное неконъюгированное соединение, ISIS 353382, включили в исследование для сравнения.ISIS 655861 and 655862 containing a GalNAc3 -1 conjugate at the 3' end, each targeting SRB-1, were tested in a single dose study for their ability to inhibit SRB-1 in mice. The original unconjugated compound, ISIS 353382, was included in the study for comparison.

Эти ASO представляют собой 5-10-5 МОЕ гэпмеры, в которых гэп-область содержит десять 2'-дезоксирибонуклеозидов, и каждая область крыльев содержит пять 2'-МОЕ модифицированных нуклеозидов. Эти ASO получили по таким же способам, как показаны ранее в Примере 19, и они описаны ниже в Таблице 23.These ASOs are 5-10-5 MOE gapmers in which the gap region contains ten 2'-deoxyribonucleosides and each wing region contains five 2'-MOE modified nucleosides. These ASOs were prepared by the same methods as shown previously in Example 19 and are described below in Table 23.

Figure 00000195
Figure 00000195

Нижние индексы: «е» означает 2'-МОЕ модифицированный нуклеозид; «d» означает β-D-2'-дезоксирибонуклеозид; «s» означает тиофосфатные межнуклеозидные связи (PS); «о» означает фосфодиэфирные межнуклеозидные связи (РО); и «o'» означает -O-Р(=O)(ОН)-. Верхний индекс «т» означает 5-метилцитозины. Структура «GalNAc3-1» представлена в Примере 9.Subscripts: "e" means 2'-MOE modified nucleoside; "d" means β-D-2'-deoxyribonucleoside;"s" stands for thiophosphate internucleoside linkages (PS); "o" means phosphodiester internucleoside bonds (RO); and "o'" means -O-P(=O)(OH)-. Superscript "t" means 5-methylcytosines. The structure of "GalNAc3 -1" is presented in Example 9.

ЛечениеTreatment

Шестинедельным самцам мышей Balb/c (Jackson Laboratory, Бар-Харбор, штат Мэн) ввели однократную подкожную инъекцию дозы, представленной ниже, соединения ISIS 353382, 655861, 655862 или PBS в качестве контрольного образца. Каждая экспериментальная группа состояла из 4 животных. Перед лечением, а также после последней дозы у каждой мыши брали кровь и анализировали образцы плазмы. Мышей умертвили через 72 часов после последнего введения для определения уровней мРНК SRB-1 в печени при помощи ПЦР в реальном времени и реагента для количественного определения РНК RIBOGREEN® (Molecular Probes, Inc., Юджин, штат Орегон) по стандартным протоколам. Уровни мРНК SRB-1 определяли относительно общей РНК (при помощи Ribogreen), затем нормализовали к контрольному образцу, обработанному PBS. Результаты, показанные ниже, представлены как средний процент уровней мРНК SRB-1 для каждой экспериментальной группы, нормализованных к контрольному образцу, обработанному PBS, и обозначены как «% PBS». ED50 измеряли по таким же способам, как описаны ранее, и они представлены ниже.Six week old male Balb/c mice (Jackson Laboratory, Bar Harbor, Maine) were given a single subcutaneous injection of the dose below with compound ISIS 353382, 655861, 655862 or PBS as a control. Each experimental group consisted of 4 animals. Before treatment, as well as after the last dose, blood was taken from each mouse and plasma samples were analyzed. Mice were sacrificed 72 hours after the last injection to determine hepatic SRB-1 mRNA levels using real-time PCR and RIBOGREEN® RNA quantitation reagent (Molecular Probes, Inc., Eugene, Oregon) according to standard protocols. SRB-1 mRNA levels were determined relative to total RNA (using Ribogreen), then normalized to a PBS treated control. The results shown below are presented as the average percentage of SRB-1 mRNA levels for each experimental group, normalized to the PBS-treated control, and are labeled "% PBS". ED50 was measured by the same methods as described previously, and they are presented below.

Как показано в Таблице 24, лечение антисмыеловыми олигонуклеотидами снижает уровни мРНК SRB-1 дозозависимым образом, по сравнению с контрольным образцом, обработанным PBS. Действительно, антисмысловые олигонуклеотиды, содержащие конъюгат GalNAc3-1 на 3'-конце (ISIS 655861 и 655862), демонстрируют значительное усиление эффективности, по сравнению с неконъюгированным антисмысловым олигонуклеотидом (ISIS 353382). Кроме того, ISIS 655862 со смешанными PS/PO связями демонстрирует усиление эффективности, по сравнению с соединением, содержащим только PS (ISIS 655861).As shown in Table 24, treatment with anti-smeel oligonucleotides reduces SRB-1 mRNA levels in a dose-dependent manner compared to a PBS-treated control. Indeed, antisense oligonucleotides containing a GalNAc3 -1 conjugate at the 3' end (ISIS 655861 and 655862) show a significant increase in potency compared to an unconjugated antisense oligonucleotide (ISIS 353382). In addition, ISIS 655862 with mixed PS/PO bonds shows an increase in efficiency compared to a connection containing only PS (ISIS 655861).

Figure 00000196
Figure 00000196

Figure 00000197
Figure 00000197

Уровни трансаминазы в печени, аланин-аминотрансферазы (ALT) и аспартат-аминотрансферазы (AST) в сыворотке измеряли относительно мышей, инъецированных солевым раствором, применяя стандартные протоколы. Оценили также массу органов. Результаты показывают, что не наблюдали какого-либо увеличения уровней трансаминазы (Таблица 25) или массы органов (данные не показаны) у мышей, обработанных ASO, по сравнению с PBS контролем. Кроме того, ASO со смешанными PS/PO связями (ISIS 655862) демонстрирует схожие уровни трансаминазы, по сравнению с соединением, содержащим только PS (ISIS 655861).Serum levels of liver transaminase, alanine aminotransferase (ALT), and aspartate aminotransferase (AST) were measured relative to saline-injected mice using standard protocols. Organ weight was also assessed. The results show that no increase in transaminase levels (Table 25) or organ weight (data not shown) was observed in ASO-treated mice compared to PBS controls. In addition, ASO with mixed PS/PO linkages (ISIS 655862) shows similar transaminase levels compared to the PS-only compound (ISIS 655861).

Figure 00000198
Figure 00000198

Пример 45. Получение PFP эфира, Соединения 110аExample 45 Preparation of PFP ester Compound 110a

Figure 00000199
Figure 00000199

Figure 00000200
Figure 00000200

Соединение 4 (9,5 г, 28,8 ммоль) обработали по отдельности соединением 103а или 103b (38 ммоль) и TMSOTf (0,5 экв.), и молекулярными ситами в дихлор метане (200 мл), и перемешивали в течение 16 часов при комнатной температуре. Затем органический слой отфильтровали через целит, затем промыли бикарбонатом натрия, водой и насыщенным солевым раствором. Затем отделили органический слой и высушили над сульфатом натрия, отфильтровали и упарили под пониженным давлением. Полученное маслянистое вещество очистили силикате левой хроматографией (2%-10% метанол/дихлорметан) с получением соединений 104а и 104b с выходом>80%. Данные ЖХМС и протонного ЯМР согласовались с указанной структурой.Compound 4 (9.5 g, 28.8 mmol) was treated separately with compound 103a or 103b (38 mmol) and TMSOTf (0.5 eq.), and molecular sieves in dichloromethane (200 ml), and stirred for 16 hours at room temperature. The organic layer was then filtered through celite, then washed with sodium bicarbonate, water and brine. The organic layer was then separated and dried over sodium sulfate, filtered and evaporated under reduced pressure. The resulting oil was purified by silicate left chromatography (2%-10% methanol/dichloromethane) to give compounds 104a and 104b in >80% yield. The LCMS and proton NMR data were consistent with the indicated structure.

Соединения 104а и 104b обработали в тех же условиях, что и соединения 100a-d (Пример 47), с получением соединений 105а и 105b с выходом >90%. Данные ЖХМС и протонного ЯМР согласовались с указанной структурой.Compounds 104a and 104b were treated under the same conditions as compounds 100a-d (Example 47) to give compounds 105a and 105b in >90% yield. The LCMS and proton NMR data were consistent with the indicated structure.

Соединения 105а и 105b по отдельности обработали соединением 90 при тех же условиях, что и соединения 901a-d, с получением соединений 106а (80%) и 106b (20%). Данные ЖХМС и протонного ЯМР согласовались с указанной структурой.Compounds 105a and 105b were separately treated with compound 90 under the same conditions as compounds 901a-d to give compounds 106a (80%) and 106b (20%). The LCMS and proton NMR data were consistent with the indicated structure.

Соединения 106а и 106b обработали в тех же условиях, что и соединения 96a-d (Пример 47), с получением соединения 107а (60%) и 107b (20%). Данные ЖХМС и протонного ЯМР согласовались с указанной структурой.Compounds 106a and 106b were treated under the same conditions as compounds 96a-d (Example 47) to give compounds 107a (60%) and 107b (20%). The LCMS and proton NMR data were consistent with the indicated structure.

Соединения 107а и 107b обработали в тех же условиях, что и соединения 97a-d (Пример 47), с получением соединений 108а и 108b с выходом 40-60%. Данные ЖХМС и протонного ЯМР согласовались с указанной структурой.Compounds 107a and 107b were treated under the same conditions as compounds 97a-d (Example 47) to give compounds 108a and 108b in 40-60% yield. The LCMS and proton NMR data were consistent with the indicated structure.

Соединения 108а (60%) и 108b (40%) обработали в тех же условиях, что и соединения 100а-d (Пример 47), с получением соединений 109а и 109b с выходом >80%. Данные ЖХМС и протонного ЯМР согласовались с указанной структурой.Compounds 108a (60%) and 108b (40%) were treated under the same conditions as compounds 100a-d (Example 47) to give compounds 109a and 109b in >80% yield. The LCMS and proton NMR data were consistent with the indicated structure.

Соединение 109а обработали в тех же условиях, что и соединения 101a-d (Пример 47), с получением соединения 110а с выходом 30-60%. Данные ЖХМС и протонного ЯМР согласовались с указанной структурой. Альтернативно, Соединение 110b может быть получено таким же образом, исходя из Соединения 109b.Compound 109a was treated under the same conditions as compounds 101a-d (Example 47) to give compound 110a in 30-60% yield. The LCMS and proton NMR data were consistent with the indicated structure. Alternatively, Compound 110b can be prepared in the same manner starting from Compound 109b.

Пример 46. Общий способ конъюгирования с PFP эфирами (олигонуклеотид 111); получение ISIS 666881 (GalNAc3-10)Example 46 General method for conjugation with PFP esters (oligonucleotide 111); obtaining ISIS 666881 (GalNAc3 -10)

Синтезировали и очистили 5'-гексиламино-модифицированный олигонуклеотид по стандартным способам твердофазного получения олигонуклеотидов. 5'-Гексиламино-модифицированный олигонуклеотид растворили в 0,1 М растворе тетрабората натрия, рН 8,5 (200 мкл) и добавили 3 эквивалента выбранного PFP-эстерифицированного кластера GalNAc3, растворенного в ДМСО (50 мкл). Если при добавлении раствора ASO эфир PFP выпадал в осадок, то добавляли ДМСО до перехода всего эфира PFP в раствор. Реакция была завершена через около 16 часов перемешивания при комнатной температуре. Полученный раствор разбавили водой до 12 мл, а затем центрифугировали при 3000 об./мин. в центробежном фильтре с отсечением по массе 3000 Да. Этот прием повторили два раза для удаления низкомолекулярных примесей. Затем раствор лиофилизировали досуха и повторно растворили в концентрированном водном растворе аммиака, и перемешивали при комнатной температуре в течение 2,5 часов, затем концентрировали in vacuo для удаления большей части аммиака. Конъюгированный олигонуклеотид очистили и обессолили при помощи ОФ-ВЭЖХ, и лиофилизировали с получением GalNAc3 конъюгированного олигонуклеотида.The 5'-hexylamino-modified oligonucleotide was synthesized and purified using standard methods for solid phase oligonucleotide production. The 5'-Hexylamino-modified oligonucleotide was dissolved in 0.1 M sodium tetraborate, pH 8.5 (200 μl) and 3 equivalents of the selected PFP-esterified GalNAc3 cassette dissolved in DMSO (50 μl) were added. If the PFP ester precipitated when the ASO solution was added, then DMSO was added until all the PFP ether went into solution. The reaction was complete after about 16 hours of stirring at room temperature. The resulting solution was diluted with water to 12 ml and then centrifuged at 3000 rpm. in a centrifugal filter with a mass cut-off of 3000 Da. This procedure was repeated twice to remove low molecular weight impurities. The solution was then lyophilized to dryness and redissolved in concentrated aqueous ammonia and stirred at room temperature for 2.5 hours, then concentrated in vacuo to remove most of the ammonia. The conjugated oligonucleotide was purified and desalted by RP-HPLC, and lyophilized to give a GalNAc3 conjugated oligonucleotide.

Figure 00000201
Figure 00000201

Олигонуклеотид 111 конъюгирован с GalNAc3-10. Кластерная часть GalNAc3 конъюгирующей группы GalNAc3-10 (GalNAc3-10a) может быть комбинирована с любым расщепляемым фрагментом с получением различных коньюгирующих групп.В некоторых вариантах реализации изобретения расщепляемый фрагмент представляет собой -Р(=O)(ОН)-Ad-Р(=O)(ОН)-, как показано ниже в олигонуклеотиде (ISIS 666881), синтезированном с GalNAc3-10. Структура GalNAc3-10 (GalNAc3-10a-CM-) представлена ниже:Oligonucleotide 111 is conjugated with GalNAc3 -10. The GalNAc3 cluster portion of the GalNAc 3 -10 conjugating group (GalNAc 3-10a) can be combined with any cleavable moiety to form different conjugating groups. In some embodiments, the cleavable moiety is -P(=O)(OH)-Ad -P(=O)(OH)- as shown below in the oligonucleotide (ISIS 666881) synthesized from GalNAc3 -10. The structure of GalNAc3 -10 (GalNAc3 -10a -CM-) is shown below:

Figure 00000202
Figure 00000202

По указанному общему способу получили ISIS 666881. Синтезировали и очистили 5'-гексиламино-модифицированный олигонуклеотид, ISIS 660254, по стандартным способам твердофазного получения олигонуклеотидов. ISIS 660254 (40 мг, 5,2 мкмоль) растворили в 0,1 М растворе тетрабората натрия, рН 8,5 (200 мкл) и добавили 3 эквивалента РБР эфира (Соединения 110а), растворенного в ДМСО (50 мкл). Эфир РБР выпал в осадок при добавлении раствора ASO, поэтому потребовалось добавление дополниетльного количества ДМСО (600 мкл) для полного растворения PEP эфира.ISIS 666881 was prepared using this general method. A 5'-hexylamine modified oligonucleotide, ISIS 660254, was synthesized and purified using standard solid phase oligonucleotide preparation methods. ISIS 660254 (40 mg, 5.2 µmol) was dissolved in 0.1 M sodium tetraborate, pH 8.5 (200 µl) and 3 equivalents of PBR ether (Compound 110a) dissolved in DMSO (50 µl) was added. The PBR ester precipitated upon addition of the ASO solution, so additional DMSO (600 µl) was required to completely dissolve the PEP ester.

Реакция была завершена через 16 часов перемешивания при комнатной температуре. Раствор разбавили водой до общего объема 12 мл, а затем центрифугировали при 3000 об./мин. в центробежном фильтре с отсечением по массе 3000 Да. Этот прием повторили два раза для удаления низкомолекулярных примесей. Раствор лиофилизировали досуха и повторно растворили в концентрированном водном растворе аммиака, перемешивая при комнатной температуре в течение 2,5 часов, затем концентрировали in vacuo для удаления большей части аммиака. Конъюгированный олигонуклеотид очистили и обессолили при помощи ОФ-ВЭЖХ, и лиофилизировали с получением ISIS 666881 с выходом 90% по массе (42 мг, 4,7 мкмоль).The reaction was complete after 16 hours of stirring at room temperature. The solution was diluted with water to a total volume of 12 ml and then centrifuged at 3000 rpm. in a centrifugal filter with a mass cut-off of 3000 Da. This procedure was repeated twice to remove low molecular weight impurities. The solution was lyophilized to dryness and redissolved in concentrated aqueous ammonia with stirring at room temperature for 2.5 hours, then concentrated in vacuo to remove most of the ammonia. The conjugated oligonucleotide was purified and desalted by RP-HPLC and lyophilized to give ISIS 666881 in 90% w/w yield (42 mg, 4.7 µmol).

GalNAc3-10-конъюгированньш олигонуклеотидGalNAc3 -10-conjugated oligonucleotide

Figure 00000203
Figure 00000203

Заглавные буквы указывают азотистое основание для каждого нуклеозида, аmC означает 5-метилцитозин. Нижние индексы: «е» означает 2'-МОЕ модифицированный нуклеозид; «d» означает β-D-2'-дезоксирибонуклеозид; «s» означает тиофосфатную межнуклеозидную связь (PS); «о» означает фосфодиэфирную межнуклеозидную связь (РО); и «o'» означает -O-Р(=O)(ОН)-. Конъюгирующие группы выделены жирным шрифтом.Capital letters indicate the nitrogenous base for each nucleoside, andm C stands for 5-methylcytosine. Subscripts: "e" means 2'-MOE modified nucleoside; "d" means β-D-2'-deoxyribonucleoside;"s" means thiophosphate internucleoside bond (PS); "o" means phosphodiester internucleoside bond (PO); and "o'" means -O-P(=O)(OH)-. Conjugate groups are shown in bold.

Пример 47. Получение олигонуклеотида 102, содержащего GalNAc3-8Example 47 Preparation of Oligonucleotide 102 Containing GalNAc3 -8

Figure 00000204
Figure 00000204

Figure 00000205
Figure 00000205

Figure 00000206
Figure 00000206

Трехкислотное соединение 90 (4 г, 14,43 ммоль) растворили в ДМФА (120 мл) и N,N-диизопропилэтиламине (12,35 мл, 72 ммоль). По каплям добавили пентафторфенила трифторацетат (8,9 мл, 52 ммоль) в атмосфере аргона и оставили реакционную смесь перемешиваться при комнатной температуре в течение 30 минут. Добавили Boc-диамин 91а или 91b (68,87 ммоль) вместе с N,N-диизопропилэтиламином (12,35 мл, 72 ммоль) и оставили реакционную смесь перемешиваться при комнатной температуре в течение 16 часов. Затем упарили ДМФА на >75% под пониженным давлением, а затем растворили смесь в дихлорметане. Органический слой промыли бикарбонатом натрия, водой и насыщенным солевым раствором. Затем отделили органический слой и высушили над сульфатом натрия, отфильтровали и упарили под пониженным давлением до маслянистого остатка. Полученное маслянистое вещество очистили силикагелевой хроматографией (2%~>10% метанол/дихлорметан) с получением соединений 92а и 92b с приблизительным выходом 80%. Данные ЖХМС и протонного ЯМР согласовались с указанной структурой.Triacid compound 90 (4 g, 14.43 mmol) was dissolved in DMF (120 ml) and N,N-diisopropylethylamine (12.35 ml, 72 mmol). Pentafluorophenyl trifluoroacetate (8.9 ml, 52 mmol) was added dropwise under argon atmosphere and the reaction mixture was allowed to stir at room temperature for 30 minutes. Boc-diamine 91a or 91b (68.87 mmol) was added along with N,N-diisopropylethylamine (12.35 ml, 72 mmol) and the reaction mixture was allowed to stir at room temperature for 16 hours. The DMF was then evaporated to >75% under reduced pressure and then the mixture was dissolved in dichloromethane. The organic layer was washed with sodium bicarbonate, water and brine. The organic layer was then separated and dried over sodium sulfate, filtered and evaporated under reduced pressure to an oily residue. The resulting oily substance was purified by silica gel chromatography (2%~10% methanol/dichloromethane) to give compounds 92a and 92b in an approximate yield of 80%. The LCMS and proton NMR data were consistent with the indicated structure.

Соединение 92а или 92b (6,7 ммоль) обрабатывали 20 мл дихлорметана и 20 мл трифторуксусной кислоты при комнатной температуре в течение 16 часов. Полученный раствор выпарили, а затем растворили в метаноле и обрабатывали смолой DOWEX-OH в течение 30 минут. Полученный раствор отфильтровали и упарили до маслянистого вещества под пониженным давлением с получением 85-90% выхода соединений 93а и 93b.Compound 92a or 92b (6.7 mmol) was treated with 20 ml of dichloromethane and 20 ml of trifluoroacetic acid at room temperature for 16 hours. The resulting solution was evaporated and then dissolved in methanol and treated with DOWEX-OH resin for 30 minutes. The resulting solution was filtered and evaporated to an oil under reduced pressure to give 85-90% yield of compounds 93a and 93b.

Соединения 7 или 64 (9,6 ммоль) обрабатывали HBTU (3,7 г, 9,6 ммоль) и N,N-диизопропилэтиламином (5 мл) в ДМ ФА (20 мл) в течение 15 минут. К смеси добавили либо соединение 93а, либо 93b (3 ммоль) и оставили перемешиваться при комнатной температуре на 16 часов. Затем упарили ДМФА на >75% под пониженным давлением, а затем растворили смесь в дихлорметане. Органический слой промыли бикарбонатом натрия, водой и насыщенным солевым раствором. Затем отделили органический слой и высушили над сульфатом натрия, отфильтровали и упарили под пониженным давлением до маслянистого остатка. Полученное маслянистое вещество очистили силикагелевой хроматографией (5%->20% метанол/дихлорметан) с получением соединений 96a-d с выходом 20-40%. Данные ЖХМС и протонного ЯМР согласовались с указанной структурой.Compounds 7 or 64 (9.6 mmol) were treated with HBTU (3.7 g, 9.6 mmol) and N,N-diisopropylethylamine (5 ml) in DMFA (20 ml) for 15 minutes. Either compound 93a or 93b (3 mmol) was added to the mixture and left to stir at room temperature for 16 hours. The DMF was then evaporated to >75% under reduced pressure and then the mixture was dissolved in dichloromethane. The organic layer was washed with sodium bicarbonate, water and brine. The organic layer was then separated and dried over sodium sulfate, filtered and evaporated under reduced pressure to an oily residue. The resulting oily substance was purified by silica gel chromatography (5%->20% methanol/dichloromethane) to give compounds 96a-d in 20-40% yield. The LCMS and proton NMR data were consistent with the indicated structure.

Соединения 96a-d (0,75 ммоль) по отдельности гидрировали на никеле Ренея в течение 3 часов в этаноле (75 мл). Затем катализатор удалили фильтрованием через целит, а этанол удалили под пониженным давлением с получением соединений 97a-d с выходом 80-90%. Данные ЖХМС и протонного ЯМР согласовались с указанной структурой.Compounds 96a-d (0.75 mmol) were individually hydrogenated on Raney nickel for 3 hours in ethanol (75 ml). The catalyst was then removed by filtration through Celite and the ethanol removed under reduced pressure to give compounds 97a-d in 80-90% yield. The LCMS and proton NMR data were consistent with the indicated structure.

Соединение 23 (0,32 г, 0,53 ммоль) обрабатывали HBTU (0,2 г, 0,53 ммоль) N,N-диизопропилэтиламином (0,19 мл, 1,14 ммоль) в ДМФА (30 мл) в течение 15 минут. К смеси по отдельности добавили соединения 97a-d (0,38 ммоль) и оставили перемешиваться при комнатной температуре на 16 часов. Затем упарили ДМФА на >75% под пониженным давлением, а затем растворили смесь в дихлорметане. Органический слой промыли бикарбонатом натрия, водой и насыщенным солевым раствором. Затем отделили органический слой и высушили над сульфатом натрия, отфильтровали и упарили под пониженным давлением до маслянистого остатка. Полученное маслянистое вещество очистили силикагелевой хроматографией (2%-->20% метанол/дихлорметан) с получением соединений 98a-d с выходом 30-40%. Данные ЖХМС и протонного ЯМР согласовались с указанной структурой.Compound 23 (0.32 g, 0.53 mmol) was treated with HBTU (0.2 g, 0.53 mmol) N,N-diisopropylethylamine (0.19 ml, 1.14 mmol) in DMF (30 ml) for 15 minutes. Compounds 97a-d (0.38 mmol) were added separately to the mixture and left to stir at room temperature for 16 hours. The DMF was then evaporated to >75% under reduced pressure and then the mixture was dissolved in dichloromethane. The organic layer was washed with sodium bicarbonate, water and brine. The organic layer was then separated and dried over sodium sulfate, filtered and evaporated under reduced pressure to an oily residue. The resulting oily substance was purified by silica gel chromatography (2%-->20% methanol/dichloromethane) to give compounds 98a-d in 30-40% yield. The LCMS and proton NMR data were consistent with the indicated structure.

Соединение 99 (0,17 г, 0,76 ммоль) обрабатывали HBTU (0,29 г, 0,76 ммоль) и N,N-диизопропилэтиламином (0,35 мл, 2,0 ммоль) в ДМФА (50 мл) в течение 15 минут. К смеси по отдельности добавили соединения 97a-d (0,51 ммоль) и оставили перемешиваться при комнатной температуре на 16 часов. Затем упарили ДМФА на >75% под пониженным давлением, а затем растворили смесь в дихлорметане. Органический слой промыли бикарбонатом натрия, водой и насыщенным солевым раствором. Затем отделили органический слой и высушили над сульфатом натрия, отфильтровали и упарили под пониженным давлением до маслянистого остатка. Полученное маслянистое вещество очистили силикагелевой хроматографией (5%-->20% метанол/дихлорметан) с получением соединений 100а-d с выходом 40-60%. Данные ЖХМС и протонного ЯМР согласовались с указанной структурой.Compound 99 (0.17 g, 0.76 mmol) was treated with HBTU (0.29 g, 0.76 mmol) and N,N-diisopropylethylamine (0.35 ml, 2.0 mmol) in DMF (50 ml) in within 15 minutes. Compounds 97a-d (0.51 mmol) were added separately to the mixture and left to stir at room temperature for 16 hours. The DMF was then evaporated to >75% under reduced pressure and then the mixture was dissolved in dichloromethane. The organic layer was washed with sodium bicarbonate, water and brine. The organic layer was then separated and dried over sodium sulfate, filtered and evaporated under reduced pressure to an oily residue. The resulting oily substance was purified by silica gel chromatography (5%-->20% methanol/dichloromethane) to give compounds 100a-d in 40-60% yield. The LCMS and proton NMR data were consistent with the indicated structure.

Соединения 100a-d (0,16 ммоль) по отдельности гидрировали на 10% Pd(OH)2/C в течение 3 часов в метаноле/этилацетате (1:1, 50 мл). Затем катализатор удалили фильтрованием через целит, а органические растворители удалили под пониженным давлением с получением соединений 101a-d с выходом 80-90%. Данные ЖХМС и протонного ЯМР согласовались с указанной структурой.Compounds 100a-d (0.16 mmol) were individually hydrogenated in 10% Pd(OH)2 /C for 3 hours in methanol/ethyl acetate (1:1, 50 ml). The catalyst was then removed by filtration through Celite, and the organic solvents were removed under reduced pressure to give compounds 101a-d in 80-90% yield. The LCMS and proton NMR data were consistent with the indicated structure.

Соединения 101a-d (0,15 ммоль) по отдельности растворили в ДМФА (15 мл) и пиридине (0,016 мл, 0,2 ммоль). По каплям добавили пентафторфенила трифторацетат (0,034 мл, 0,2 ммоль) в атмосфере аргона и оставили реакционную смесь перемешиваться при комнатной температуре в течение 30 минут. Затем упарили ДМФА на >75% под пониженным давлением, а затем растворили смесь в дихлорметане. Органический слой промыли бикарбонатом натрия, водой и насыщенным солевым раствором. Затем отделили органический слой и высушили над сульфатом натрия, отфильтровали и упарили под пониженным давлением до маслянистого остатка. Полученное маслянистое вещество очистили силикагелевой хроматографией (2%-->5% метанол/дихлорметан) с получением соединений 102a-d с приблизительным выходом 80%. Данные ЖХМС и протонного ЯМР согласовались с указанной структурой.Compounds 101a-d (0.15 mmol) were separately dissolved in DMF (15 ml) and pyridine (0.016 ml, 0.2 mmol). Pentafluorophenyl trifluoroacetate (0.034 ml, 0.2 mmol) was added dropwise under argon atmosphere and the reaction mixture was allowed to stir at room temperature for 30 minutes. The DMF was then evaporated to >75% under reduced pressure and then the mixture was dissolved in dichloromethane. The organic layer was washed with sodium bicarbonate, water and brine. The organic layer was then separated and dried over sodium sulfate, filtered and evaporated under reduced pressure to an oily residue. The resulting oily substance was purified by silica gel chromatography (2%-->5% methanol/dichloromethane) to give compounds 102a-d in an approximate yield of 80%. The LCMS and proton NMR data were consistent with the indicated structure.

Figure 00000207
Figure 00000207

Олигомерное Соединение 102, содержащее конъюгирующую группу GalNAc3-8, получили по общим способам, представленным в Примере 46. Кластерная часть GalNAc3 конъюгирующей группы GalNAc3-8 (GalNAc3-8a) может быть комбинирована с любым расщепляемым фрагментом для получения различных коньюгирующих групп. В предпочтительном варианте реализации изобретения расщепляемый фрагмент представляет собой -P(=O)(OH)-Ad-P(=O)(OH)-.Oligomeric Compound 102 containing a GalNAc3 -8 conjugation group was prepared according to the general methods presented in Example 46. The GalNAc3 cluster portion of the GalNAc 3 -8 conjugation group (GalNAc 3-8a) can be combined with any cleavable moiety to produce various conjugating moieties. groups. In a preferred embodiment, the cleavable fragment is -P(=O)(OH)-Ad -P(=O)(OH)-.

Структура GalNAc3-8 (GalNAc3-8a-CM-) представлена ниже:The structure of GalNAc3 -8 (GalNAc3 -8a -CM-) is shown below:

Figure 00000208
Figure 00000208

Пример 48. Получение олигонуклеотида 119, содержащего GalNAc3-7Example 48 Preparation of Oligonucleotide 119 Containing GalNAc3 -7

Figure 00000209
Figure 00000209

Figure 00000210
Figure 00000210

Соединение 112 синтезировали по способу, описанному в литературе (J. Med. Chem. 2004, 47, 5798-5808).Compound 112 was synthesized according to the method described in the literature (J. Med. Chem. 2004, 47, 5798-5808).

Соединение 112 (5 г, 8,6 ммоль) растворили в 1:1 смеси метанола/этил ацетата (22 мл/22 мл). Добавили гидроксид палладия на углероде (0,5 г). Реакционную смесь перемешивали при комнатной температуре в атмосфере водорода в течение 12 часов. Реакционную смесь отфильтровали через слой целита и промыли этот слой 1:1 смесью метанол а/этил ацетата. Фильтрат и промывочные растворы объединили и концентрировали досуха с получением Соединения 105а (количественно). Структуру подтвердили по ЖХМС.Compound 112 (5 g, 8.6 mmol) was dissolved in 1:1 methanol/ethyl acetate (22 ml/22 ml). Palladium hydroxide on carbon (0.5 g) was added. The reaction mixture was stirred at room temperature under a hydrogen atmosphere for 12 hours. The reaction mixture was filtered through a pad of celite and the pad was washed 1:1 with methanol a/ethyl acetate. The filtrate and washings were combined and concentrated to dryness to give Compound 105a (quantitatively). The structure was confirmed by LCMS.

Соединение 113 (1,25 г, 2,7 ммоль), HBTU (3,2 г, 8,4 ммоль) и DIEA (2,8 мл, 16,2 ммоль) растворили в безводном ДМФА (17 мл) и перемешивали реакционную смесь при комнатной температуре в течение 5 минут. К этой смеси добавили раствор Соединения 105а (3,77 г, 8,4 ммоль) в безводном ДМФА (20 мл). Реакционную смесь перемешивали при комнатной температуре в течение 6 часов. Растворитель удалили под пониженным давлением с получением маслянистого вещества. Остаток растворили в CH2Cl2 (100 мл) и промыли насыщенным водным раствором NaHCO3 (100 мл) и насыщенным солевым раствором (100 мл). Органическую фазу отделили, высушили (Na2SO4), отфильтровали и выпарили. Остаток очистили силикагелевой колоночной хроматографией и элюировали от 10 до 20% МеОН в дихлорметане с получением Соединения 114 (1,45 г, 30%). Структуру подтвердили анализом ЖХМС и1Н ЯМР.Compound 113 (1.25 g, 2.7 mmol), HBTU (3.2 g, 8.4 mmol) and DIEA (2.8 ml, 16.2 mmol) were dissolved in anhydrous DMF (17 ml) and the reaction mixture was stirred. mixture at room temperature for 5 minutes. To this mixture was added a solution of Compound 105a (3.77 g, 8.4 mmol) in anhydrous DMF (20 ml). The reaction mixture was stirred at room temperature for 6 hours. The solvent was removed under reduced pressure to give an oily substance. The residue was dissolved in CH2 Cl2 (100 ml) and washed with saturated aqueous NaHCO3 (100 ml) and brine (100 ml). The organic phase was separated, dried (Na2 SO4 ), filtered and evaporated. The residue was purified by silica gel column chromatography and eluted with 10 to 20% MeOH in dichloromethane to give Compound 114 (1.45 g, 30%). The structure was confirmed by LCMS analysis and1 H NMR.

Соединение 114 (1,43 г, 0,8 ммоль) растворили в 1:1 смеси метанола/этилацетата (4 мл/4 мл). Добавили палладий на углероде (влажный, 0,14 г). Реакционную смесь продували водородом и перемешивали при комнатной температуре в атмосфере водорода в течение 12 часов. Реакционную смесь отфильтровали через слой целита. Слой целита промыли метанолом/этил ацетатом (1:1). Фильтрат и промывочные растворы объединили и выпарили под пониженным давлением с получением Соединения 115 (количественно). Структуру подтвердили анализом ЖХМС и1Н ЯМР.Compound 114 (1.43 g, 0.8 mmol) was dissolved in 1:1 methanol/ethyl acetate (4 ml/4 ml). Palladium on carbon (wet, 0.14 g) was added. The reaction mixture was purged with hydrogen and stirred at room temperature under a hydrogen atmosphere for 12 hours. The reaction mixture was filtered through a pad of celite. The Celite layer was washed with methanol/ethyl acetate (1:1). The filtrate and washings were combined and evaporated under reduced pressure to give Compound 115 (quantitatively). The structure was confirmed by LCMS analysis and1 H NMR.

Соединение 83а (0,17 г, 0,75 ммоль), HBTU (0,31 г, 0,83 ммоль) и DIEA (0,26 мл, 1,5 ммоль) растворили в безводном ДМФА (5 мл) и перемешивали реакционную смесь при комнатной температуре в течение 5 минут. К этой смеси добавили раствор Соединения 115 (1,22 г, 0,75 ммоль) в безводном ДМФА и перемешивали реакционную смесь при комнатной температуре в течение 6 часов. Растворитель удалили под пониженным давлением, а остаток растворили в CH2Cl2. Органический слой промыли насыщенным водным раствором NaHCO3 и насыщенным солевым раствором, и высушили над безводным Na2SO4, и отфильтровали. Органический слой концентрировали досуха, а полученный остаток очистили силикагелевой колоночной хроматографией и элюировали от 3 до 15% МеОН в дихлорметане с получением Соединения 116 (0,84 г, 61%). Структуру подтвердили анализом ЖХМС и1Н ЯМР.Compound 83a (0.17 g, 0.75 mmol), HBTU (0.31 g, 0.83 mmol) and DIEA (0.26 ml, 1.5 mmol) were dissolved in anhydrous DMF (5 ml) and the reaction mixture was stirred. mixture at room temperature for 5 minutes. To this mixture was added a solution of Compound 115 (1.22 g, 0.75 mmol) in anhydrous DMF, and the reaction mixture was stirred at room temperature for 6 hours. The solvent was removed under reduced pressure and the residue was dissolved in CH2 Cl2 . The organic layer was washed with saturated aqueous NaHCO3 and brine, and dried over anhydrous Na2 SO4 and filtered. The organic layer was concentrated to dryness and the resulting residue was purified by silica gel column chromatography and eluted with 3 to 15% MeOH in dichloromethane to give Compound 116 (0.84 g, 61%). The structure was confirmed by LCMS analysis and1 H NMR.

Figure 00000211
Figure 00000211

Соединение 116 (0,74 г, 0,4 ммоль) растворили в 1:1 смеси метанол а/этил ацетата (5 мл/5 мл). Добавили палладий на углероде (влажный, 0,074 г). Реакционную смесь продували водородом и перемешивали при комнатной температуре в атмосфере водорода в течение 12 часов. Реакционную смесь отфильтровали через слой целита. Слой целита промыли метанолом/этил ацетатом (1:1). Фильтрат и промывочные растворы объединили и выпарили под пониженным давлением с получением соединения 117 (0,73 г, 98%). Структуру подтвердили анализом ЖХМС и1H ЯМР.Compound 116 (0.74 g, 0.4 mmol) was dissolved in 1:1 methanol a/ethyl acetate (5 ml/5 ml). Palladium on carbon (wet, 0.074 g) was added. The reaction mixture was purged with hydrogen and stirred at room temperature under a hydrogen atmosphere for 12 hours. The reaction mixture was filtered through a pad of celite. The Celite layer was washed with methanol/ethyl acetate (1:1). The filtrate and washings were combined and evaporated under reduced pressure to give compound 117 (0.73 g, 98%). The structure was confirmed by LCMS and1 H NMR analysis.

Соединение 117 (0,63 г, 0,36 ммоль) растворили в безводном ДМФА (3 мл). К этому раствору добавили N,N-диизопропилэтиламин (70 мкл, 0,4 ммоль) и пентафторфенила трифторацетат (72 мкл, 0,42 ммоль). Реакционную смесь перемешивали при комнатной температуре в течение 12 часов и вылили в насыщенный водный раствор NaHCO3. Смесь экстрагировали дихлорметаном, промыли насыщенным солевым раствором и высушили над безводным Na2SO4. Дихлорметановый раствор концентрировали досуха и очистили силикагелевой колоночной хроматографией, и элюировали от 5 до 10% МеОН в дихлорметане с получением соединения 118 (0,51 г, 79%). Структуру подтвердили по ЖХМС и1Н, а также1H и19F ЯМР.Compound 117 (0.63 g, 0.36 mmol) was dissolved in anhydrous DMF (3 ml). To this solution were added N,N-diisopropylethylamine (70 μl, 0.4 mmol) and pentafluorophenyl trifluoroacetate (72 μl, 0.42 mmol). The reaction mixture was stirred at room temperature for 12 hours and poured into saturated aqueous NaHCO3 . The mixture was extracted with dichloromethane, washed with brine and dried over anhydrous Na2 SO4 . The dichloromethane solution was concentrated to dryness and purified by silica gel column chromatography and eluted with 5 to 10% MeOH in dichloromethane to give compound 118 (0.51 g, 79%). The structure was confirmed by LCMS and1 H, as well as1 H and19 F NMR.

Figure 00000212
Figure 00000212

Олигомерное Соединение 119, содержащее конъюгиругощуго группу GalNAc3-7, получили по общим способам, представленным в Примере 46. Кластерная часть GalNAc3 конъюгирующей группы GalNAc3-7 (GalNAc3-7a) может быть комбинирована с любым расщепляемым фрагментом для получения различных конъюгирующих групп. В некоторых вариантах реализации изобретения расщепляемый фрагмент представляет собой -Р(=O)(ОН)-Ad-Р(=O)(ОН)-.Oligomeric Compound 119 containing a GalNAc3 -7 conjugating group was prepared according to the general methods presented in Example 46. The GalNAc3 cluster portion of the GalNAc 3 -7 conjugating group (GalNAc 3-7a) can be combined with any cleavable moiety to produce various conjugating moieties. groups. In some embodiments, the cleavable moiety is -P(=O)(OH)-Ad -P(=O)(OH)-.

Структура GalNAc3-7 (GalNAc3-7a-CM-) представлена ниже:The structure of GalNAc3 -7 (GalNAc3 -7a-CM-) is shown below:

Figure 00000213
Figure 00000213

Пример 49. Получение олигонуклеотида 132, содержащего GalNAc3-5Example 49 Preparation of oligonucleotide 132 containing GalNAc3 -5

Figure 00000214
Figure 00000214

Соединение 120 (14,01 г, 40 ммоль) и HBTU (14,06 г, 37 ммоль) растворили в безводном ДМФА (80 мл). Добавили триэтиламин (11,2 мл, 80,35 ммоль) и перемешивали в течение 5 минут. Реакционную смесь охладили на ледяной бане и добавили раствор соединения 121 (10 г, ммоль) в безводном ДМФА (20 мл). Добавили дополнительное количество триэтиламина (4,5 мл, 32,28 ммоль) и перемешивали реакционную смесь в течение 18 часов в атмосфере аргона. Реакцию контролировали по ТСХ (этилацетат : гексан; 1:1; Rf=0,47). Растворитель удалили под пониженным давлением. Остаток растворили в EtOAc (300 мл) и промыли 1 М раствором NaHSO4 (3×150 мл), насыщенным водным раствором NaHCO3 (3×150 мл) и насыщенным солевым раствором (2×100 мл). Органический слой высушили при помощи Na2SO4. Высушивающий агент удалили фильтрованием, а органический слой концентрировали на ротационном испарителе. Неочищенную смесь очистили силикагелевой колоночной хроматографией и элюировали при помощи 35-50% EtOAc в гексане с получением соедиения 122 (15,50 г, 78,13%). Структуру подтвердили анализом ЖХМС и1Н ЯМР. Масса m/z 589,3 [М+Н]+.Compound 120 (14.01 g, 40 mmol) and HBTU (14.06 g, 37 mmol) were dissolved in anhydrous DMF (80 ml). Triethylamine (11.2 ml, 80.35 mmol) was added and stirred for 5 minutes. The reaction mixture was cooled in an ice bath and a solution of compound 121 (10 g, mmol) in anhydrous DMF (20 ml) was added. Added additional amount of triethylamine (4.5 ml, 32.28 mmol) and stirred the reaction mixture for 18 hours in an argon atmosphere. The reaction was monitored by TLC (ethyl acetate:hexane; 1:1; Rf=0.47). The solvent was removed under reduced pressure. The residue was dissolved in EtOAc (300 ml) and washed with 1 M NaHSO4 (3×150 ml), saturated aqueous NaHCO3 (3×150 ml) and brine (2×100 ml). The organic layer was dried with Na2 SO4 . The drying agent was removed by filtration and the organic layer was concentrated on a rotary evaporator. The crude mixture was purified by silica gel column chromatography and eluted with 35-50% EtOAc in hexanes to give compound 122 (15.50 g, 78.13%). The structure was confirmed by LCMS analysis and1 H NMR. Mass m/z 589.3 [M+H]+ .

К охлажденному раствору соединения 122 (7,75 г, 13,16 ммоль), растворенного в метаноле (15 мл) добавили раствор LiOH (92,15 ммоль) в воде (20 мл) и ТГФ (10 мл). Реакционную смесь перемешивали при комнатной температуре в течение 45 минут и контролировали по ТСХ (EtOAc: гексан; 1:1). Реакционную смесь концентрировали до половины объема под пониженным давлением. Оставшийся раствор охладили на ледяной бане и нейтрализовали добавлением концентрированной HCl. Реакционную смесь разбавили, экстрагировали EtOAc (120 мл) и промыли насыщенным солевым раствором (100 мл). При стоянии в течение ночи образовалась и осветлилась эмульсия.To a cooled solution of compound 122 (7.75 g, 13.16 mmol) dissolved in methanol (15 ml) was added a solution of LiOH (92.15 mmol) in water (20 ml) and THF (10 ml). The reaction mixture was stirred at room temperature for 45 minutes and monitored by TLC (EtOAc:hexane; 1:1). The reaction mixture was concentrated to half volume under reduced pressure. The remaining solution was cooled in an ice bath and neutralized by adding concentrated HCl. The reaction mixture was diluted, extracted with EtOAc (120 ml) and washed with brine (100 ml). On standing overnight, an emulsion formed and cleared.

Органический спой отделили, высушили (Na2SO4), отфильтровали и выпарили с получением Соединения 123 (8,42 г). Избыточную массу вероятно обусловливает остаточная соль. ЖХМС согласовался со структурой. Продукт применили без какой-либо дополнительной очистки. Мол. масса, расчетная: 574,36% мол. масса, найденная: 575,3 [М+Н]+.The organic spy was separated, dried (Na2 SO4 ), filtered and evaporated to give Compound 123 (8.42 g). The excess weight is likely due to residual salt. The LCMS agreed with the structure. The product was used without any further purification. Mol. mass, calculated: 574.36% mol. mass found: 575.3 [M+H]+ .

Figure 00000215
Figure 00000215

Соединение 126 синтезировали по способу, описанному в литературе (J. Am. Chem. Soc. 2011, 133, 958-963).Compound 126 was synthesized according to the method described in the literature (J. Am. Chem. Soc. 2011, 133, 958-963).

Figure 00000216
Figure 00000216

Figure 00000217
Figure 00000217

Соединение 123 (7,419 г, 12,91 ммоль), HOBt (3,49 г, 25,82 ммоль) и соединение 126 (6,33 г, 16,14 ммоль) растворили в ДМФА (40 мл), а полученную реакционную смесь охладили на ледяной бане. К этой смеси добавили N,N-диизопропилэтиламин (4,42 мл, 25,82 ммоль), РуВор (8,7 г, 16,7 ммоль), затем связывающий агент Вор (1,17 г, 2,66 ммоль) в атмосфере аргона. Ледяную баню убрали, а раствор оставили нагреваться до комнатной температуры. Реакция завершилась через 1 час, что определили по ТСХ (ДХМ:МеОН:АА; 89:10:1). Реакционную смесь концентрировали под пониженным давлением. Остаток растворили в EtOAc (200 мл) и промыли 1 М раствором NaHSO4 (3×100 мл), насыщенным водным раствором NaHCO3 (3×100 мл) и насыщенным солевым раствором (2×100 мл). Органическую фазу отделили, высушили (Na2SO4), отфильтровали и концентрировали. Остаток очистили силикагелевой колоночной хроматографией с градиентом от 50% гексанов в EtOAc до 100% EtOAc с получением Соединения 127 (9,4 г) в виде белого пенистого вещества. ЖХМС и1H ЯМР согласовались со структурой. Масса m/z 778,4 [М+Н]+.Compound 123 (7.419 g, 12.91 mmol), HOBt (3.49 g, 25.82 mmol) and compound 126 (6.33 g, 16.14 mmol) were dissolved in DMF (40 ml) and the resulting reaction mixture cooled in an ice bath. To this mixture was added N,N-diisopropylethylamine (4.42 ml, 25.82 mmol), PyBop (8.7 g, 16.7 mmol) followed by the coupling agent Bop (1.17 g, 2.66 mmol) in argon atmosphere. The ice bath was removed and the solution was allowed to warm to room temperature. The reaction was complete after 1 hour as determined by TLC (DCM:MeOH:AA; 89:10:1). The reaction mixture was concentrated under reduced pressure. The residue was dissolved in EtOAc (200 ml) and washed with 1 M NaHSO4 (3×100 ml), saturated aqueous NaHCO3 (3×100 ml) and brine (2×100 ml). The organic phase was separated, dried (Na2 SO4 ), filtered and concentrated. The residue was purified by silica gel column chromatography with a gradient of 50% hexanes in EtOAc to 100% EtOAc to give Compound 127 (9.4 g) as a white foam. LCMS and1 H NMR were consistent with the structure. Mass m/z 778.4 [M+H]+ .

Трифторуксусную кислоту (12 мл) добавили к раствору соединения 127 (1,57 г, 2,02 ммоль) в дихлорметане (12 мл) и перемешивали при комнатной температуре в течение 1 часа. Реакционную смесь выпарили совместно с толуолом (30 мл) под пониженным давлением досуха. Полученный остаток два раза совместно выпарили с ацетонитрилом (30 мл) и толуолом (40 мл) с получением Соединения 128 (1,67 г) в виде трифторацетатной соли, и применили его на следующей стадии без дополнительной очистки. ЖХМС и1Н ЯМР согласовались со структурой. Масса m/z 478,2 [М+Н]+.Trifluoroacetic acid (12 ml) was added to a solution of compound 127 (1.57 g, 2.02 mmol) in dichloromethane (12 ml) and stirred at room temperature for 1 hour. The reaction mixture was co-evaporated with toluene (30 ml) under reduced pressure to dryness. The resulting residue was co-evaporated twice with acetonitrile (30 ml) and toluene (40 ml) to give Compound 128 (1.67 g) as the trifluoroacetate salt and used in the next step without further purification. LCMS and1 H NMR were consistent with the structure. Mass m/z 478.2 [M+H]+ .

Соединение 7 (0,43 г, 0,963 ммоль), HATU (0,35 г, 0,91 ммоль) и HOAt (0,035 г, 0,26 ммоль) смешали вместе и высушивали в течение 4 часов над Р2О5 под пониженным давлением в круглодонной колбе, а затем растворили в безводном ДМ ФА (1 мл) и перемешивали в течение 5 минут. К этой смеси добавили раствор соединения 128 (0,20 г, 0,26 ммоль) в безводном ДМФА (0,2 мл) и добавили N,N-диизопропилэтиламин (0,2 мл). Реакционную смесь перемешивали при комнатной температуре в атмосфере аргона. Реакция завершилась через 30 минут, что определили по ЖХМС и ТСХ (7% МеОН/ДХМ). Реакционную смесь концентрировали под пониженным давлением. Остаток растворили в ДХМ (30 мл) и промыли 1 М раствором NaHSO4 (3×20 мл), насыщенным водным раствором NaHCO3 (3×20 мл) и насыщенным солевым раствором (3×20 мл). Органическую фазу отделили, высушили над Na2SO4, отфильтровали и концентрировали. Остаток очистили силикагелевой колоночной хроматографией, применив 5-15% МеОН в дихлорметане, с получением Соединения 129 (96,6 мг). ЖХМС и1Н ЯМР согласовались со структурой. Масса m/z 883,4 [М+2Н]+.Compound 7 (0.43 g, 0.963 mmol), HATU (0.35 g, 0.91 mmol) and HOAt (0.035 g, 0.26 mmol) were mixed together and dried for 4 hours over P2 O5 under reduced pressure in a round bottom flask, and then dissolved in anhydrous DM FA (1 ml) and stirred for 5 minutes. To this mixture was added a solution of compound 128 (0.20 g, 0.26 mmol) in anhydrous DMF (0.2 ml) and N,N-diisopropylethylamine (0.2 ml) was added. The reaction mixture was stirred at room temperature under argon. The reaction was complete after 30 minutes as determined by LCMS and TLC (7% MeOH/DCM). The reaction mixture was concentrated under reduced pressure. The residue was dissolved in DCM (30 ml) and washed with 1 M NaHSO4 (3×20 ml), saturated aqueous NaHCO3 (3×20 ml) and brine (3×20 ml). The organic phase was separated, dried over Na2 SO4 , filtered and concentrated. The residue was purified by silica gel column chromatography using 5-15% MeOH in dichloromethane to give Compound 129 (96.6 mg). LCMS and1 H NMR were consistent with the structure. Mass m/z 883.4 [M+2H]+ .

Соединение 129 (0,09 г, 0,051 ммоль) растворили в метаноле (5 мл) в 20 мл сцинтилляционной пробирке. К нему добавили небольшое количество 10% Pd/C (0,015 мг) и продували реакционный сосуд газообразным H2. Реакционную смесь перемешивали при комнатной температуре в атмосфере H2 в течение 18 часов. Реакционную смесь отфильтровали через слой Целита, а слой Целита промыли метанолом. Фильтрат и промывочные растворы слили вместе и концентрировали под пониженным давлением с получением Соединения 130 (0,08 г). ЖХМС и1H ЯМР согласовались со структурой. Продукт применили без дополнительной очистки. Масса m/z 838,3 [М+2Н]+.Compound 129 (0.09 g, 0.051 mmol) was dissolved in methanol (5 ml) in a 20 ml scintillation tube. A small amount of 10% Pd/C (0.015 mg) was added thereto, and the reaction vessel was purged with H2 gas. The reaction mixture was stirred at room temperature under H2 atmosphere for 18 hours. The reaction mixture was filtered through a pad of Celite and the pad of Celite was washed with methanol. The filtrate and washings were combined and concentrated under reduced pressure to give Compound 130 (0.08 g). LCMS and1 H NMR were consistent with the structure. The product was used without further purification. Mass m/z 838.3 [M+2H]+ .

В 10 мл мерную круглодонную колбу добавили соединение 130 (75,8 мг, 0,046 ммоль), 0,37 М раствор пиридина в ДМФА (200 мкл) и установили мешалку. К этому раствору по каплям добавили 0,7 М раствор пентафторфенила трифторацетата в ДМФА (100 мкл) при перемешивании. Реакция завершилась через 1 час, что определили по ЖХМС. Растворитель удалили под пониженным давлением, а остаток растворили в CHCl3 (~10 мл). Органический слой обработали NaHSO4 (1 М, 10 мл), насыщенным водным раствором NaHCO3 (10 мл) и насыщенным солевым раствором (10 мл), каждый по три раза. Органическую фазу отделили и высушили над Na2SO4, отфильтровали и концентрировали с получением Соединения 131 (77,7 мг). ЖХМС согласовался со структурой. Применили без дополнительной очистки. Масса m/z 921,3 [М+2Н]+.Compound 130 (75.8 mg, 0.046 mmol), 0.37 M solution of pyridine in DMF (200 µl) was added to a 10 ml volumetric round bottom flask and a stirrer was installed. To this solution, a 0.7 M solution of pentafluorophenyl trifluoroacetate in DMF (100 μl) was added dropwise with stirring. The reaction was complete after 1 hour as determined by LCMS. The solvent was removed under reduced pressure and the residue was dissolved in CHCl3 (~10 ml). The organic layer was treated with NaHSO4 (1 M, 10 ml), saturated aqueous NaHCO3 (10 ml) and brine (10 ml), each three times. The organic phase was separated and dried over Na2 SO4 , filtered and concentrated to give Compound 131 (77.7 mg). The LCMS agreed with the structure. Applied without further purification. Mass m/z 921.3 [M+2H]+ .

Figure 00000218
Figure 00000218

Олигомерное Соединение 132, содержащее конъюгирующую группу GalNAc3-5, получили по общим способам, представленным в Примере 46. Кластерная часть GalNAc3 конъюгирующей группы GalNAc3-5 (GalNAc3-5a) может быть комбинирована с любым расщепляемым фрагментом для получения различных коньюгирующих групп. В некоторых вариантах реализации изобретения расщепляемый фрагмент представляет собой -P(=O)(OH)-Ad-P(=O)(OH)-.Oligomeric Compound 132 containing a GalNAc3 -5 conjugation group was prepared according to the general methods presented in Example 46. The GalNAc3 cluster portion of the GalNAc 3 -5 conjugation group (GalNAc 3-5a) can be combined with any cleavable moiety to produce various conjugating moieties. groups. In some embodiments, the cleavable fragment is -P(=O)(OH)-Ad -P(=O)(OH)-.

Структура GalNAc3-5 (GalNAc3-5a-CM-) представлена ниже:The structure of GalNAc3 -5 (GalNAc3 -5a -CM-) is shown below:

Figure 00000219
Figure 00000219

Пример 50. Получение олигонуклеотида 144, содержащего GalNAc4-11Example 50 Preparation of Oligonucleotide 144 Containing GalNAc4 -11

Figure 00000220
Figure 00000220

Figure 00000221
Figure 00000221

Синтез Соединения 134. Б колбу Меррифилда добавили аминометиловую смолу VIMAD (2,5 г, 450 мкмоль/г), которую промыли ацетонитрилом, диметилформамидом, дихлорметаном и ацетонитрилом. Смолу оставили набухать в ацетон игр иле (4 мл). Соединение 133 предварительно активировали в 100 мл круглодонной колбе путем добавления 20 (1,0 ммоль, 0,747 г), TBTU (1,0 ммоль, 0,321 г), ацетонитрила (5 мл) и DIEA (3,0 ммоль, 0,5 мл). Этот раствор оставили перемешиваться на 5 минут, а затем добавили в колбу Меррифилда при встряхивании. Суспензию оставили встряхиваться на 3 часа. Реакционную смесь слили, а смолу промыли ацетонитрилом, ДМФА и ДХМ. Заполнение новой смолы количественно определили по измерению абсорбции DMT катиона при 500 нм (коэффициент экстинкции = 76000) в ДХМ, которое составило 238 мкмоль/г. Смолу кэпировали трехкратным суспендированием в растворе уксусного ангидрида в течение десяти минут.Synthesis of Compound 134 VIMAD aminomethyl resin (2.5 g, 450 μmol/g) was added to a Merrifield flask, which was washed with acetonitrile, dimethylformamide, dichloromethane and acetonitrile. The resin was allowed to swell in acetone and silt (4 ml). Compound 133 was pre-activated in a 100 ml round bottom flask by adding 20 (1.0 mmol, 0.747 g), TBTU (1.0 mmol, 0.321 g), acetonitrile (5 ml) and DIEA (3.0 mmol, 0.5 ml ). This solution was allowed to stir for 5 minutes and then added to the Merrifield flask with shaking. The suspension was left to shake for 3 hours. The reaction mixture was decanted and the resin was washed with acetonitrile, DMF and DCM. The filling of the new resin was quantified by measuring the absorption of the DMT cation at 500 nm (extinction coefficient = 76,000) in DCM, which was 238 µmol/g. The resin was capped by suspending three times in acetic anhydride solution for ten minutes.

Соединение 141, связанное с твердой подложкой, синтезировали многократным повторением способов твердофазного синтеза пептидов при помощи Fmoc. Взяли небольшое количество твердой подложки и суспендировали в водном растворе аммиака (28-30 масс. %) в течение 6 часов. Расщепленное соединение анализировали по ЖХ-МС и наблюдали, что масса согласуется со структурой. Масса m/z 1063,8 [М+2Н]+.Compound 141 bound to a solid support was synthesized by repeated repetition of Fmoc solid phase peptide synthesis methods. A small amount of solid support was taken and suspended in an aqueous ammonia solution (28-30 wt %) for 6 hours. The cleaved compound was analyzed by LC-MS and observed that the mass is consistent with the structure. Mass m/z 1063.8 [M+2H]+ .

Соединение 142, связанное с твердой подложкой, синтезировали по способам твердофазного синтеза пептидов.Compound 142 bound to a solid support was synthesized by solid phase peptide synthesis methods.

Figure 00000222
Figure 00000222

Соединение 143, связанное с твердой подложкой, синтезировали при помощи стандартного твердофазного синтеза на ДНК синтезаторе.Compound 143 bound to a solid support was synthesized using standard solid phase synthesis on a DNA synthesizer.

Соединение 143, связанное с твердой подложкой, суспендировали в водном аммиаке (28-30 масс. %) и нагревали при 55°С в течение 16 часов. Раствор охладили, а твердую подложку отфильтровали. Фильтрат концентрировали, а остаток растворили в воде и очистили при помощи ВЭЖХ на сильной анионообменной колонке. Фракции, содержащие соединение 144 полной длины, слили вместе и обессолили. Полученное GalNAc4-11-конъюгированное олигомерное соединение анализировали при помощи ЖХМС и наблюдали, что масса согласуется со структурой.Compound 143 bound to the solid support was suspended in aqueous ammonia (28-30 wt %) and heated at 55° C. for 16 hours. The solution was cooled and the solid support was filtered off. The filtrate was concentrated and the residue was dissolved in water and purified by HPLC on a strong anion exchange column. Fractions containing full length compound 144 were pooled and desalted. The resulting GalNAc4 -11-conjugated oligomeric compound was analyzed by LCMS and observed that the mass was consistent with the structure.

Кластерная часть GalNAc4 конъюгирующей группы GalNAc4-11 (GalNAc4-11a) может быть комбинирована с любым расщепляемым фрагментом с получением различных конъюгирующих групп. В некоторых вариантах реализации изобретения расщепляемый фрагмент представляет собой -P(=O)(OH)-Ad-P(=O)(OH)-.The GalNAc4 cluster portion of the GalNAc 4 -11 conjugating group (GalNAc 4-11a) can be combined with any cleavable moiety to form different conjugating groups. In some embodiments, the cleavable fragment is -P(=O)(OH)-Ad -P(=O)(OH)-.

Структура GalNAc4-11 (GalNAc4-11а-СМ) представлена ниже:The structure of GalNAc4 -11 (GalNAc4 -11a -CM) is shown below:

Figure 00000223
Figure 00000223

Пример 51. Получение олигонуклеотида 155, содержащего GalNAc3-6Example 51 Preparation of Oligonucleotide 155 Containing GalNAc3 -6

Figure 00000224
Figure 00000224

Соединение 146 синтезировали так, как описано в литературе (Analytical Biochemistry 1995, 229, 54-60).Compound 146 was synthesized as described in the literature (Analytical Biochemistry 1995, 229, 54-60).

Figure 00000225
Figure 00000225

Соединение 4 (15 г, 45,55 ммоль) и соединение 35b (14,3 грамм, 57 ммоль) растворили в CH2Cl2 (200 мл). Добавили активированные молекулярные сита (4 Å, 2 г, порошкообразные) и оставили реакционную смесь перемешиваться в течение 30 минут в атмосфере азота. Добавили TMS-OTf (4,1 мл, 22,77 ммоль) и оставили реакционную смесь перемешиваться при комнатной температуре в течение ночи. После завершения реакции смесь погасили, вылив в насыщенный водный раствор NaHCO3 (500 мл) с дробленым льдом (~150 г). Органический слой отделили, промыли насыщенным солевым раствором, высушили над MgSO4, отфильтровали и концентрировали до оранжевого маслянистого вещества под пониженным давлением. Неочищенный материал очистили силикагелевой колоночной хроматографией и алюировали 2-10% МеОН в CH2Cl2 с получением Соединения 112 (16,53 г, 63%). Данные ЖХМС и1H ЯМР согласовались с предполагаемым соединением.Compound 4 (15 g, 45.55 mmol) and compound 35b (14.3 grams, 57 mmol) were dissolved in CH2 Cl2 (200 ml). Added activated molecular sieves (4 Å, 2 g, powdered) and left the reaction mixture to stir for 30 minutes under nitrogen atmosphere. Added TMS-OTf (4.1 ml, 22.77 mmol) and left the reaction mixture to stir at room temperature overnight. After completion of the reaction, the mixture was quenched by pouring into saturated aqueous NaHCO3 (500 ml) with crushed ice (~150 g). The organic layer was separated, washed with brine, dried over MgSO4 , filtered and concentrated to an orange oil under reduced pressure. The crude material was purified by silica gel column chromatography and eluted with 2-10% MeOH in CH2 Cl2 to give Compound 112 (16.53 g, 63%). LCMS and1 H NMR data were consistent with the putative compound.

Соединение 112 (4,27 г, 7,35 ммоль) растворили в 1:1 МеОН/EtOAc (40 мл). Реакционную смесь очистили пропусканием потока аргона через раствор в течение 15 минут. Добавили катализатор Перлмана (гидроксид палладия на углероде, 400 мг) и пропускали через раствор газообразный водород в течение 30 минут. После завершения (ТСХ, 10% МеОН в CH2Cl2, и ЖХМС), катализатор удалили фильтрованием через слой целита. Фильтрат концентрировали на ротационном испарителе и быстро высушили под высоким вакуумом с получением Соединения 105а (3,28 г). Данные ЖХМС и1Н ЯМР согласовались с желаемым продуктом.Compound 112 (4.27 g, 7.35 mmol) was dissolved in 1:1 MeOH/EtOAc (40 mL). The reaction mixture was purified by passing a stream of argon through the solution for 15 minutes. Pearlman's catalyst (palladium hydroxide on carbon, 400 mg) was added and hydrogen gas was bubbled through the solution for 30 minutes. After completion (TLC, 10% MeOH in CH2 Cl2 , and LCMS), the catalyst was removed by filtration through a Celite pad. The filtrate was concentrated on a rotary evaporator and dried quickly under high vacuum to give Compound 105a (3.28 g). LCMS and1 H NMR data were consistent with the desired product.

Соединение 147 (2,31 г, 11 ммоль) растворили в безводном ДМ ФА (100 мл). Добавили N,N-диизопропилэтиламин (DIEA, 3,9 мл, 22 ммоль), затем HBTU (4 г, 10,5 ммоль). Реакционную смесь оставили перемешиваться в течение ~15 минут в атмосфере азота. К этой смеси добавили раствор соединения 105а (3,3 г, 7,4 ммоль) в сухом ДМФА и перемешивали в течение 2 часов в атмосфере азота. Реакционную смесь разбавили EtOAc и промыли насыщенным водным раствором NaHCO3 и насыщенным солевым раствором. Органическую фазу отделили, высушили (MgSO4), отфильтровали и концентрировали до оранжевого сиропообразного вещества. Неочищенный материал очистили колоночной хроматографией с 2-5% МеОН в CH2Cl2 с получением Соединения 148 (3,44 г, 73%). Данные ЖХМС и1Н ЯМР согласовались с предполагаемым продуктом.Compound 147 (2.31 g, 11 mmol) was dissolved in anhydrous DMFA (100 ml). N,N-diisopropylethylamine (DIEA, 3.9 ml, 22 mmol) was added followed by HBTU (4 g, 10.5 mmol). The reaction mixture was allowed to stir for ~15 minutes under nitrogen. To this mixture was added a solution of compound 105a (3.3 g, 7.4 mmol) in dry DMF and stirred for 2 hours under nitrogen. The reaction mixture was diluted with EtOAc and washed with saturated aqueous NaHCO3 and brine. The organic phase was separated, dried (MgSO4 ), filtered and concentrated to an orange syrup. The crude material was purified by column chromatography with 2-5% MeOH in CH2 Cl2 to give Compound 148 (3.44 g, 73%). LCMS and1 H NMR data were consistent with the expected product.

Соединение 148 (3,3 г, 5,2 ммоль) растворили в 1:1 МеОН/EtOAc (75 мл). Реакционную смесь очистили пропусканием потока аргона через раствор в течение 15 минут. Добавили катализатор Перлмана (гидроксид палладия на углероде (350 мг). Через раствор продували газообразный водород в течение 30 минут. После завершения (ТСХ, 10% МеОН в ДХМ, и ЖХМС), катализатор удалили фильтрованием через слой целита. Фильтрат концентрировали на ротационном испарителе и быстро высушили под высоким вакуумом с получением Соединения 149 (2,6 г). Данные ЖХМС согласовались с желаемым продуктом. Остаток растворили в сухом ДМФА (10 мл) и сразу применили на следующей стадии.Compound 148 (3.3 g, 5.2 mmol) was dissolved in 1:1 MeOH/EtOAc (75 ml). The reaction mixture was purified by passing a stream of argon through the solution for 15 minutes. Pearlman's catalyst (palladium hydroxide on carbon (350 mg) was added. Hydrogen gas was bubbled through the solution for 30 minutes. After completion (TLC, 10% MeOH in DCM, and LCMS), the catalyst was removed by filtration through a pad of celite. The filtrate was concentrated on a rotary evaporator and dried rapidly under high vacuum to give Compound 149 (2.6 g) LCMS data agreed with the desired product The residue was dissolved in dry DMF (10 ml) and used immediately in the next step.

Figure 00000226
Figure 00000226

Соединение 146 (0,68 г, 1,73 ммоль) растворили в сухом ДМФА (20 мл). К нему добавили DIEA (450 мкл, 2,6 ммоль, 1,5 экв.) и HBTU (1,96 г, 0,52 ммоль). Реакционную смесь оставили перемешиваться в течение 15 минут при комнатной температуре в атмосфере азота. Добавили раствор соединения 149 (2,6 г) в безводном ДМФА (10 мл). рН реакционной смеси довели до рН=9-10 добавлением DIEA (при необходимости). Реакционную смесь оставили перемешиваться при комнатной температуре в атмосфере азота в течение 2 часов. После завершения реакции смесь разбавили EtOAc (100 мл) и промыли насыщенным водным раствором NaHCO3, затем насыщенным солевым раствором. Органическую фазу отделили, высушили над MgSO4, отфильтровали и концентрировали. Остаток очистили силикагелевой колоночной хроматографией и элюировали 2-10% МеОН в CH2Cl2 с получением Соединения 150 (0,62 г, 20%). Данные ЖХМС и1Н ЯМР согласовались с желаемым продуктом.Compound 146 (0.68 g, 1.73 mmol) was dissolved in dry DMF (20 ml). To this was added DIEA (450 μl, 2.6 mmol, 1.5 eq.) and HBTU (1.96 g, 0.52 mmol). The reaction mixture was allowed to stir for 15 minutes at room temperature under nitrogen. A solution of compound 149 (2.6 g) in anhydrous DMF (10 ml) was added. The pH of the reaction mixture was adjusted to pH=9-10 by adding DIEA (if necessary). The reaction mixture was allowed to stir at room temperature under nitrogen for 2 hours. After completion of the reaction, the mixture was diluted with EtOAc (100 ml) and washed with saturated aqueous NaHCO3 then brine. The organic phase was separated, dried over MgSO4 , filtered and concentrated. The residue was purified by silica gel column chromatography and eluted with 2-10% MeOH in CH2 Cl2 to give Compound 150 (0.62 g, 20%). LCMS and1 H NMR data were consistent with the desired product.

Соединение 150 (0,62 г) растворили в 1:1 MeOH/EtOAc (5 л). Реакционную смесь очистили пропусканием потока аргона через раствор в течение 15 минут. Добавили катализатор Перлмана (гидроксид палладия на углероде (60 мг). Через раствор продували газообразный водород в течение 30 минут. После завершения (ТСХ, 10% МеОН в ДХМ, и ЖХМС), катализатор удалили фильтрованием (тефлоновый фильтр с переходной канюлей шприца, 0,45 мкм). Фильтрат концентрировали на ротационном испарителе и быстро высушили под высоким вакуумом с получением Соединения 151 (0,57 г). Данные ЖХМС согласовались с желаемым продуктом. Продукт растворили в 4 мл сухого ДМФА и сразу применили на следующей стадии.Compound 150 (0.62 g) was dissolved in 1:1 MeOH/EtOAc (5 L). The reaction mixture was purified by passing a stream of argon through the solution for 15 minutes. Pearlman's catalyst (palladium hydroxide on carbon (60 mg) was added. Hydrogen gas was bubbled through the solution for 30 minutes. After completion (TLC, 10% MeOH in DCM, and LCMS), the catalyst was removed by filtration (Teflon filter with syringe adapter, 0 45 µm) The filtrate was concentrated on a rotary evaporator and dried rapidly under high vacuum to give Compound 151 (0.57 g).

Figure 00000227
Figure 00000227

Соединение 83а (0,11 г, 0,33 ммоль) растворили в безводном ДМФА (5 мл) и добавили N,N-диизопропилэтиламин (75 мкл, 1 ммоль) и PFP-ТФК (90 мкл, 0,76 ммоль). При соприкосновении реакционная смесь стала пурпурной и постепенно изменила цвет на оранжевый в течение следующих 30 минут. Ход реакции контролировали по ТСХ и ЖХМС. После завершения (образования эфира PFP) добавили раствор соединения 151 (0,57 г, 0,33 ммоль) в ДМФА. рН реакционной смеси довели до рН=9-10 добавлением N,N-диизопропилэтиламин (при необходимости). Реакционную смесь перемешивали в атмосфере азота в течение ~30 минут. После завершения реакции большую часть растворителя удалили под пониженным давлением. Остаток разбавили CH2Cl2 и промыли насыщенным водным раствором NaHCO3, затем насыщенным солевым раствором. Органическую фазу отделили, высушили над MgSO4, отфильтровали и концентрировали до оранжевого сиропообразного вещества. Остаток очистили силикагелевой колоночной хроматографией (2-10% МеОН в CH2Cl2) с получением Соединения 152 (0,35 г, 55%). Данные ЖХМС и1Н ЯМР согласовались с желаемым продуктом.Compound 83a (0.11 g, 0.33 mmol) was dissolved in anhydrous DMF (5 ml) and N,N-diisopropylethylamine (75 μl, 1 mmol) and PFP-TFA (90 μl, 0.76 mmol) were added. On contact, the reaction mixture turned purple and gradually changed color to orange over the next 30 minutes. The progress of the reaction was monitored by TLC and LCMS. After completion (formation of the PFP ester), a solution of compound 151 (0.57 g, 0.33 mmol) in DMF was added. The pH of the reaction mixture was adjusted to pH=9-10 by adding N,N-diisopropylethylamine (if necessary). The reaction mixture was stirred under nitrogen for ~30 minutes. After completion of the reaction, most of the solvent was removed under reduced pressure. The residue was diluted with CH2 Cl2 and washed with saturated aqueous NaHCO3 then brine. The organic phase was separated, dried over MgSO4 , filtered and concentrated to an orange syrup. The residue was purified by silica gel column chromatography (2-10% MeOH in CH2 Cl2 ) to give Compound 152 (0.35 g, 55%). LCMS and1 H NMR data were consistent with the desired product.

Соединение 152 (0,35 г, 0,182 ммоль) растворили в 1:1 МеОН/EtOAc (10 мл). Реакционную смесь очистили пропусканием потока аргона через раствор в течение 15 минут. Добавили катализатор Перлмана (гидроксид палладия на углероде (35 мг). Через раствор продували газообразный водород в течение 30 минут. После завершения (ТСХ, 10% МеОН в ДХМ, и ЖХМС), катализатор удалили фильтрованием (тефлоновый фильтр с переходной канюлей шприца, 0,45 мкм). Фильтрат концентрировали на ротационном испарителе и быстро высушили под высоким вакуумом с получением Соединения 153 (0,33 г, количественно). Данные ЖХМС согласовались с желаемым продуктом.Compound 152 (0.35 g, 0.182 mmol) was dissolved in 1:1 MeOH/EtOAc (10 mL). The reaction mixture was purified by passing a stream of argon through the solution for 15 minutes. Pearlman's catalyst (palladium hydroxide on carbon (35 mg) was added. Hydrogen gas was bubbled through the solution for 30 minutes. After completion (TLC, 10% MeOH in DCM, and LCMS), the catalyst was removed by filtration (Teflon filter with syringe adapter, 0 .45 µm) The filtrate was concentrated on a rotary evaporator and dried rapidly under high vacuum to give Compound 153 (0.33 g, quant.) LCMS data was consistent with the desired product.

Соединение 153 (0,33 г, 0,18 ммоль) растворили в безводном ДМФА (5 мл) при перемешивании в атмосфере азота. К нему добавили N,N-диизопропилэтиламин (65 мкл, 0,37 ммоль) и PFP-ТФК (35 мкл, 0,28 ммоль). Реакционную смесь перемешивали в атмосфере азота в течение ~30 минут. При соприкосновении реакционная смесь стала пурпурной и постепенно изменила цвет на оранжевый. рН реакционной смеси поддерживали при рН=9-10 добавлением дополнительного количества N,N-диизопропилэтиламина. Ход реакции контролировали по ТСХ и ЖХМС. После завершения реакции большую часть растворителя удалили под пониженным давлением. Остаток разбавили CH2Cl2 (50 мл) и промыли насыщенным водным раствором NaHCO3, затем насыщенным солевым раствором. Органический слой отделили, высушили над MgSO4, отфильтровали и концентрировали до оранжевого сиропообразного вещества. Остаток очистили колоночной хроматографией и элюировали 2-10% МеОН в CH2Cl2 с получением Соединения 154 (0,29 г, 79%). Данные ЖХМС и1Н ЯМР согласовались с желаемым продуктом.Compound 153 (0.33 g, 0.18 mmol) was dissolved in anhydrous DMF (5 ml) with stirring under nitrogen atmosphere. To this was added N,N-diisopropylethylamine (65 μl, 0.37 mmol) and PFP-TFA (35 μl, 0.28 mmol). The reaction mixture was stirred under nitrogen for ~30 minutes. On contact, the reaction mixture turned purple and gradually changed color to orange. The pH of the reaction mixture was maintained at pH=9-10 by adding more N,N-diisopropylethylamine. The progress of the reaction was monitored by TLC and LCMS. After completion of the reaction, most of the solvent was removed under reduced pressure. The residue was diluted with CH2 Cl2 (50 ml) and washed with saturated aqueous NaHCO3 then brine. The organic layer was separated, dried over MgSO4 , filtered and concentrated to an orange syrup. The residue was purified by column chromatography and eluted with 2-10% MeOH in CH2 Cl2 to give Compound 154 (0.29 g, 79%). LCMS and1 H NMR data were consistent with the desired product.

Figure 00000228
Figure 00000228

Олигомерное Соединение 155, содержащее конъюгирующую группу GalNAc3-6, получили по общим способам, представленным в Примере 46. Кластерная часть GalNAc3 конъюгирующей группы GalNAc3-6 (GalNAc3-6a) может быть комбинирована с любым расщепляемым фрагментом для получения различных конъюгирующих групп. В некоторых вариантах реализации изобретения расщепляемый фрагмент представляет собой -P(=O)(OH)-Ad-P(=O)(OH)-.Oligomeric Compound 155 containing a GalNAc3 -6 conjugation group was prepared according to the general methods presented in Example 46. The GalNAc3 cluster portion of the GalNAc 3 -6 conjugation group (GalNAc 3-6a) can be combined with any cleavable moiety to produce various conjugating moieties. groups. In some embodiments, the cleavable fragment is -P(=O)(OH)-Ad -P(=O)(OH)-.

Структура GalNAc3-6 (GalNAc3-6a-CM-) представлена ниже:The structure of GalNAc3 -6 (GalNAc3 -6a -CM-) is shown below:

Figure 00000229
Figure 00000229

Пример 52. Получение олигонуклеотида 160, содержащего GalNAc3-9Example 52 Preparation of Oligonucleotide 160 Containing GalNAc3 -9

Figure 00000230
Figure 00000230

Соединение 156 синтезировали по способу, описанному в литературе (J. Med. Chem. 2004, 47, 5798-5808).Compound 156 was synthesized according to the method described in the literature (J. Med. Chem. 2004, 47, 5798-5808).

Соединение 156 (18,60 г, 29,28 ммоль) растворили в метаноле (200 мл). Добавили палладий на углероде (6,15 г, загрузка 10 масс. % (в пересчете на сухое вещество), матрица из порошкообразного углерода, влажный). Реакционную смесь перемешивали при комнатной температуре в атмосфере водорода в течение 18 часов. Реакционную смесь отфильтровали через слой цел ига и тщательно промыли слой целита метанолом. Объединенный фильтрат промыли и концентрировали досуха. Остаток очистили силикагелевой колоночной хроматографией и элюировали 5-10% метанола в дихлорметане с получением Соединения 157 (14,26 г, 89%). Масса m/z 544,1 [М-Н]-.Compound 156 (18.60 g, 29.28 mmol) was dissolved in methanol (200 ml). Palladium on carbon (6.15 g, loading 10 wt % (dry basis), powdered carbon matrix, wet) was added. The reaction mixture was stirred at room temperature under a hydrogen atmosphere for 18 hours. The reaction mixture was filtered through a pad of celite and the pad of celite was thoroughly washed with methanol. The combined filtrate was washed and concentrated to dryness. The residue was purified by silica gel column chromatography and eluted with 5-10% methanol in dichloromethane to give Compound 157 (14.26 g, 89%). Mass m/z 544.1 [M-N]- .

Соединение 157 (5 г, 9,17 ммоль) растворили в безводном ДМФА (30 мл). Добавили HBTU (3,65 г, 9,61 ммоль) и N,N-диизопропилэтиламин (13,73 мл, 78,81 ммоль) и перемешивали реакционную смесь при комнатной температуре в течение 5 минут. К нему добавили раствор соединения 47 (2,96 г, 7,04 ммоль). Реакционную смесь перемешивали при комнатной температуре в течение 8 часов. Реакционную смесь вылили в насыщенный водный раствор NaHCO3. Смесь экстрагировали этилацетатом, а органический слой промыли насыщенным солевым раствором и высушили (Na2SO4), отфильтровали и выпарили. Полученный остаток очистили силикагелевой колоночной хроматографией и элюировали 50% этилацетатом в гексане с получением Соединения 158 (8,25 г, 73,3%). Структуру подтвердили анализом МС и1H ЯМР.Compound 157 (5 g, 9.17 mmol) was dissolved in anhydrous DMF (30 ml). HBTU (3.65 g, 9.61 mmol) and N,N-diisopropylethylamine (13.73 ml, 78.81 mmol) were added and the reaction mixture was stirred at room temperature for 5 minutes. To this was added a solution of compound 47 (2.96 g, 7.04 mmol). The reaction mixture was stirred at room temperature for 8 hours. The reaction mixture was poured into saturated aqueous NaHCO3 . The mixture was extracted with ethyl acetate and the organic layer was washed with brine and dried (Na2 SO4 ), filtered and evaporated. The resulting residue was purified by silica gel column chromatography and eluted with 50% ethyl acetate in hexane to give Compound 158 (8.25 g, 73.3%). The structure was confirmed by MS and1 H NMR analysis.

Соединение 158 (7,2 г, 7,61 ммоль) высушили над Р2О5 под пониженным давлением. Высушенное соединение растворили в безводном ДМФА (50 мл). К нему добавили 1H-тетразол (0,43 г, 6,09 ммоль) и N-метилимидазол (0,3 мл, 3,81 ммоль), и цианоэтил-N,N,N,N-тетраизопропил-фосфородиамидит (3,65 мл, 11,50 ммоль). Реакционную смесь перемешивали в атмосфере аргона в течение 4 часов. Реакционную смесь разбавили этилацетатом (200 мл). Реакционную смесь промыли насыщенным раствором NaHCO3 и насыщенным солевым раствором. Органическую фазу отделили, высушили (Na2SO4), отфильтровали и выпарили. Остаток очистили силикагелевой колоночной хроматографией и элюировали 50-90% этилацетатом в гексане с получением Соединения 159 (7,82 г, 80,5%). Структуру подтвердили анализом ЖХМС и31Р ЯМР.Compound 158 (7.2 g, 7.61 mmol) was dried over P2 O5 under reduced pressure. The dried compound was dissolved in anhydrous DMF (50 ml). To this was added 1H-tetrazole (0.43 g, 6.09 mmol) and N-methylimidazole (0.3 ml, 3.81 mmol), and cyanoethyl-N,N,N,N-tetraisopropylphosphorodiamidite (3, 65 ml, 11.50 mmol). The reaction mixture was stirred under argon for 4 hours. The reaction mixture was diluted with ethyl acetate (200 ml). The reaction mixture was washed with saturated NaHCO3 solution and brine. The organic phase was separated, dried (Na2 SO4 ), filtered and evaporated. The residue was purified by silica gel column chromatography and eluted with 50-90% ethyl acetate in hexane to give Compound 159 (7.82 g, 80.5%). The structure was confirmed by LCMS and31 P NMR analysis.

Figure 00000231
Figure 00000231

Олигомерное соединение 160, содержащее коньюгирующую группу GalNAc3-9, получили по стандартным способам синтеза олигонуклеотидов. Три единицы соединения 159 связали с твердой подложкой, затем с фосфорамидитами нуклеотидов. В результате обработки защищенного олигомерного соединения водным аммиаком получили соединение 160. Кластерная часть GalNAc3 конъюгирующей группы GalNAc3-9 (GalNAc3-9а) может быть комбинирована с любым расщепляемым фрагментом для получения различных конъюгирующих групп. В некоторых вариантах реализации изобретения расщепляемый фрагмент представляет собой -P(=O)(OH)-Ad-P(=O)(OH)-. Структура GalNAc3-9 (GalNAc3-9a-CM) представлена ниже:Oligomeric compound 160 containing a GalNAc3 -9 conjugating group was prepared using standard methods for the synthesis of oligonucleotides. Three units of compound 159 were bound to a solid support, then to nucleotide phosphoramidites. Treatment of the protected oligomeric compound with aqueous ammonia provided compound 160. The GalNAc3 cluster portion of the GalNAc 3 -9 conjugation group (GalNAc 3-9a) can be combined with any cleavable moiety to form various conjugation groups. In some embodiments, the cleavable fragment is -P(=O)(OH)-Ad -P(=O)(OH)-. The structure of GalNAc3 -9 (GalNAc3 -9a -CM) is shown below:

Figure 00000232
Figure 00000232

Пример 53. Альтернативный способ получения Соединения 18 (GalNAc3-1a и GalNAc3-3а)Example 53 Alternative Preparation of Compound 18 (GalNAc3 -1a and GalNAc3 -3a)

Figure 00000233
Figure 00000233

Выполнили реакцию лактона 161 с диаминопропаном (3-5 экв.) или моно-Вос-защищинным диаминопропаном (1 экв.) с получением спирта 162а или 162b. При применении для описанной выше реакции незащищенного про панд нами на, избыток диамина удалили выпариванием под высоким вакуумом, а свободную аминогруппу в 162а защитили при помощи CbzCl с получением 162b в виде белого твердого вещества после очистки колоночной хроматографией. Спирт 162b затем взаимодействовал с соединением 4 в присутствии TMSOTf с получением 163а, которое преобразовали в 163b путем снятия Cbz группы при помощи каталитического гидрирования. Пентафторфениловый (PFP) эфир 164 получили взаимодействием трехкислотного соединения 113 (см. Пример 48) с РЕР-ТФК (3,5 экв.) и пиридином (3,5 экв.) в ДМФА (от 0,1 до 0,5 М). Триэфир 164 непосредственно взаимодействовал с амином 163b (3-4 экв.) и DIPEA (3-4 экв.) с получением Соединения 18. Представленный выше способ значительно облегчает очистку промежуточных соединений и минимизирует образование побочных продуктов, которые образуются при применении способа, описанного в Примере 4.Lactone 161 was reacted with diaminopropane (3-5 eq.) or mono-Boc-protective diaminopropane (1 eq.) to give alcohol 162a or 162b. Using unprotected propandnam for the above reaction, the excess diamine was removed by evaporation under high vacuum and the free amino group in 162a was protected with CbzCl to give 162b as a white solid after purification by column chromatography. Alcohol 162b was then reacted with compound 4 in the presence of TMSOTf to give 163a, which was converted to 163b by removing the Cbz group by catalytic hydrogenation. Pentafluorophenyl (PFP) ester 164 was prepared by reacting triacid compound 113 (see Example 48) with PEP-TFA (3.5 eq.) and pyridine (3.5 eq.) in DMF (0.1 to 0.5 M) . Triester 164 reacted directly with amine 163b (3-4 eq.) and DIPEA (3-4 eq.) to give Compound 18. Example 4.

Пример 54. Альтернативный способ получения Соединения 18 (GalNAc3 и GalNAc3-3a)Example 54 Alternative Preparation of Compound 18 (GalNAc3 and GalNAc3 -3a)

Figure 00000234
Figure 00000234

Три-PFP эфир 164 получили из кислоты 113 по способу, приведенному выше в Примере 53, выполнили реакцию этого эфира с моно-Вос-защищенным диамином с получением 165 практически с количественным выходом. Вое группы сняли хлористоводородной кислотой или трифторуксусной кислотой с получением триамина, который взаимодействовал с активированной кислотой PFP 166 в присутствии подходящего основания, такого как DIPEA, с получением Соединения 18.The tri-PFP ester 164 was prepared from the acid 113 by the method described above in Example 53, this ester was reacted with a mono-Boc-protected diamine to give 165 in almost quantitative yield. All groups were removed with hydrochloric acid or trifluoroacetic acid to give a triamine which was reacted with activated acid PFP 166 in the presence of a suitable base such as DIPEA to give Compound 18.

PFP-защищенную кислоту Gal-NAc 166 получили из соответствующей кислоты обработкой PFP-ТФК (1-1,2 экв.) и пиридином (1-1,2 экв.) в ДМФА. Кислоту-предшественник, в свою очередь, получили из соответствующего спирта окислением с применением TEMPO (0,2 экв.) и BAIB в ацетонитриле и воде. Спирт-предшественник получили из сахарного промежуточного соединения 4 взаимодействием с 1,6-гександиолом (или 1,5-гександиолом или другим диолом для других значений n) (2-4 экв.) и TMSOTf, применив условия, описанные ранее в Примере 47.The PFP-protected acid Gal-NAc 166 was prepared from the corresponding acid by treatment with PFP-TFA (1-1.2 eq.) and pyridine (1-1.2 eq.) in DMF. The precursor acid was in turn prepared from the corresponding alcohol by oxidation using TEMPO (0.2 eq.) and BAIB in acetonitrile and water. The precursor alcohol was prepared from sugar intermediate 4 by reaction with 1,6-hexanediol (or 1,5-hexanediol or other diol for other n values) (2-4 eq) and TMSOTf using the conditions previously described in Example 47.

Пример 55. Дозозависимое исследование олигонуклеотидов, содержащих либо 3', либо 5'-конъюгирующую группу (сравнение GalNAc3-1, 3, 8 и 9), нацеленных на SRB-1, in vivoExample 55 Dose-dependent study of oligonucleotides containing either a 3' or 5' conjugating group (comparison of GalNAc3 -1, 3, 8 and 9) targeted to SRB-1 in vivo

Олигонуклеотиды, перечисленные ниже, испытали в дозозависимом исследовании антисмыслового ингибирования SRB-1 у мышей. Неконъюгированный ISIS 353382 включили в качестве стандарта. Каждая из различных конъюгирующих групп GalNAc3 была присоединена либо к 3', либо к 5'-концу соответствующего олигонуклеотида при помощи фосфодиэфир-связанного 2'-дезоксиаденозинового нуклеозида (расщепляемый фрагмент).The oligonucleotides listed below were tested in a dose-dependent study of antisense inhibition of SRB-1 in mice. Unconjugated ISIS 353382 was included as a standard. Each of the various GalNAc3 conjugating groups was attached to either the 3' or 5' end of the respective oligonucleotide with a phosphodiester-linked 2'-deoxyadenosine nucleoside (cleavable fragment).

Figure 00000235
Figure 00000235

Заглавные буквы указывают азотистое основание для каждого нуклеозида, аmC означает 5-метилцитозин. Нижние индексы: «е» означает 2'-МОЕ модифицированный нуклеозид; «d» означает β-D-2'-дезоксирибонуклеозид; «s» означает тиофосфатную межнуклеозидную связь (PS); «о» означает фосфодиэфирную межнуклеозидную связь (РО); и «o'» означает -O-Р(=O)(ОН)-. Конъюгирующие группы выделены жирным шрифтом.Capital letters indicate the nitrogenous base for each nucleoside, andm C stands for 5-methylcytosine. Subscripts: "e" means 2'-MOE modified nucleoside; "d" means β-D-2'-deoxyribonucleoside;"s" means thiophosphate internucleoside bond (PS); "o" means phosphodiester internucleoside bond (PO); and "o'" means -O-P(=O)(OH)-. Conjugate groups are shown in bold.

Структура GalNAc3-1a показана ранее в Примере 9. Структура GalNAc3-9 показана ранее в Примере 52. Структура GalNAc3-3 показана ранее в Примере 39. Структура GalNAc3-8 показана ранее в Примере 47.The structure of GalNAc3 -1a is shown earlier in Example 9. The structure of GalNAc3 -9 is shown earlier in Example 52. The structure of GalNAc3 -3 is shown earlier in Example 39. The structure of GalNAc3 -8 is shown earlier in Example 47.

ЛечениеTreatment

Шестинедельным самцам мышей Balb/c (Jackson Laboratory, Бар-Харбор, штат Мэн) ввели однократную подкожную инъекцию дозы, представленной ниже, соединения ISIS 353382, 655861, 664078, 661161, 665001 или солевого раствора. Каждая экспериментальная группа состояла из 4 животных. Мышей умертвили через 72 часов после последнего введения для определения уровней мРНК SRB-1 в печени при помощи ПЦР в реальном времени и реагента для количественного определения РНК RIBOGREEN® (Molecular Probes, Inc., Юджин, штат Орегон) по стандартным протоколам. Результаты, показанные ниже, представлены как средний процент уровней мРНК SRB-1 для каждой экспериментальной группы, нормализованных к контрольному образцу, обработанному солевым раствором.Six week old male Balb/c mice (Jackson Laboratory, Bar Harbor, Maine) were given a single subcutaneous injection of the dose below of ISIS 353382, 655861, 664078, 661161, 665001 or saline. Each experimental group consisted of 4 animals. Mice were sacrificed 72 hours after the last injection to determine hepatic SRB-1 mRNA levels using real-time PCR and RIBOGREEN® RNA quantitation reagent (Molecular Probes, Inc., Eugene, Oregon) according to standard protocols. The results shown below are presented as the average percentage of SRB-1 mRNA levels for each experimental group, normalized to a saline treated control.

Как показано в Таблице 27, лечение антисмыеловыми олигонуклеотидами снижает уровни мРНК SRB-1 дозозависимым образом. Действительно, антисмысловые олигонуклеотиды, содержащие фосфодиэфир-связанные конъюгаты GalNAc3-1 и GalNAc3-9 на 3'-конце (ISIS 655861 и ISIS 664078), а также конъюгаты GalNAc3-3 и GalNAc3-8, связанные на 5'-конце (ISIS 661161 и ISIS 665001) демонстрируют существенное улучшение эффективности, по сравнению с неконъюгированным антисмысловым олигонуклеотидом (ISIS 353382). Кроме того, ISIS 664078, содержащий конъюгат GalNAc3-9 на 3'-конце, был по существу настолько же эффективным, как ISIS 655861, который содержит конъюгат GalNAc3-1 на 3'-конце. 5'-конъюгированные антисмысловые олигонуклеотиды, ISIS 661161 и ISIS 665001, содержащие GalNAc3-3 или GalNAc3-9, соответственно, обладают повышенной эффективностью, по сравнению с 3'-конъюгированными антисмысловыми соединениями (ISIS 655861 и ISIS 664078).As shown in Table 27, treatment with anti-smeel oligonucleotides reduces SRB-1 mRNA levels in a dose-dependent manner. Indeed, antisense oligonucleotides containing phosphodiester-linked GalNAc3 -1 and GalNAc3 -9 conjugates at the 3' end (ISIS 655861 and ISIS 664078), as well as GalNAc3 -3 and GalNAc3 -8 conjugates linked at the 5'- end (ISIS 661161 and ISIS 665001) show a significant improvement in performance over the unconjugated antisense oligonucleotide (ISIS 353382). In addition, ISIS 664078 containing a GalNAc3 -9 conjugate at the 3' end was essentially as effective as ISIS 655861 which contains a GalNAc3 -1 conjugate at the 3' end. The 5'-conjugated antisense oligonucleotides, ISIS 661161 and ISIS 665001, containing GalNAc3 -3 or GalNAc3 -9, respectively, have increased potency compared to 3'-conjugated antisense compounds (ISIS 655861 and ISIS 664078).

Figure 00000236
Figure 00000236

Уровни трансаминазы в печени, аланин-аминотрансферазы (ALT) и аспартат-аминотрансферазы (AST) в сыворотке измеряли относительно мышей, инъецированных солевым раствором, применяя стандартные протоколы. Оценили также общий билирубин и азот мочевины крови (АМК). Проверили изменение массы тела, которое существенно не отличалось от группы с солевым раствором. Значения ALT, AST, общего билирубина и АМК представлены ниже в таблице.Serum levels of liver transaminase, alanine aminotransferase (ALT), and aspartate aminotransferase (AST) were measured relative to saline-injected mice using standard protocols. Total bilirubin and blood urea nitrogen (BUN) were also assessed. The change in body weight was checked, which was not significantly different from the saline group. The values of ALT, AST, total bilirubin and BUN are presented in the table below.

Figure 00000237
Figure 00000237

Figure 00000238
Figure 00000238

Пример 56. Дозозависимое исследование олигонуклеотидов, содержащих либо 3', либо 5'-конъюгирующую группу (сравнение GalNAc3-1, 2, 3, 5, 6, 7 и 10), нацеленных на SRB-1, in vivoExample 56 Dose-dependent study of oligonucleotides containing either a 3' or 5' conjugating group (comparison of GalNAc3 -1, 2, 3, 5, 6, 7 and 10) targeted to SRB-1 in vivo

Олигонуклеотиды, перечисленные ниже, испытали в дозозависимом исследовании антисмыслового ингибирования SRB-1 у мышей. Неконъюгированный ISIS 353382 включили в качестве стандарта. Каждая из различных конъюгирующих групп GalNAc3 была присоединена к 5'-концу соответствующего олигонуклеотида фосфодиэфир-связанным 2'-дезоксиаденозиновым нуклеозидом (расщепляемый фрагмент), за исключением ISIS 655861, в котором конъюгирующая группа GalNAc3 присоединена к 3'-концу.The oligonucleotides listed below were tested in a dose-dependent study of antisense inhibition of SRB-1 in mice. Unconjugated ISIS 353382 was included as a standard. Each of the various GalNAc3 conjugating groups was attached to the 5' end of the respective oligonucleotide with a phosphodiester-linked 2'-deoxyadenosine nucleoside (cleavable fragment), with the exception of ISIS 655861, in which a GalNAc3 conjugating group was attached to the 3' end.

Figure 00000239
Figure 00000239

Figure 00000240
Figure 00000240

Заглавные буквы указывают азотистое основание для каждого нуклеозида, аmC означает 5-метилцитозин. Нижние индексы: «е» означает 2'-МОЕ модифицированный нуклеозид; «d» означает β-D-2'-дезоксирибонуклеозид; «s» означает тиофосфатную межнуклеозидную связь(PS); «о» означает фосфодиэфирную межнуклеозидную связь(РО); и «o'» означает -O-Р(=O)(ОН)-. Конъюгирующие группы выделены жирным шрифтом.Capital letters indicate the nitrogenous base for each nucleoside, andm C stands for 5-methylcytosine. Subscripts: "e" means 2'-MOE modified nucleoside; "d" means β-D-2'-deoxyribonucleoside;"s" means thiophosphate internucleoside bond (PS); "o" means a phosphodiester internucleoside bond (PO); and "o'" means -O-P(=O)(OH)-. Conjugate groups are shown in bold.

Структура GalNAc3-1a показана ранее в Примере 9. Структура GalNAc3-2а показана ранее в Примере 37. Структура GalNAc3-3а показана ранее в Примере 39. Структура GalNAc3-5 а показана ранее в Примере 49. Структура GalNAc3-6a показана ранее в Примере 51. Структура GalNAc3-7a показана ранее в Примере 48. Структура GalNAc3-10 а показана ранее в Примере 46.The structure of GalNAc3 -1a is shown earlier in Example 9. The structure of GalNAc3 -2a is shown earlier in Example 37. The structure of GalNAc3 -3a is shown earlier in Example 39. The structure of GalNAc3 -5 a is shown earlier in Example 49. The structure of GalNAc3-6a shown earlier in Example 51. Structure of GalNAc3-7a shown earlier in Example 48. Structureof GalNAc 3-10 a shown earlier in Example 46.

ЛечениеTreatment

Шестинедельным самцам мышей Balb/c (Jackson Laboratory, Бар-Харбор, штат Мэн) ввели однократную подкожную инъекцию дозы, представленной ниже, соединения ISIS 353382, 655861, 664507, 661161, 666224, 666961, 666981, 666881 или солевого раствора. Каждая экспериментальная группа состояла из 4 животных. Мышей умертвили через 72 часов после последнего введения для определения уровней мРНК SRB-1 в печени при помощи ПЦР в реальном времени и реагента для количественного определения РНК RIBOGREEN® (Molecular Probes, Inc., Юджин, штат Орегон) по стандартным протоколам. Результаты, показанные ниже, представлены как средний процент уровней мРНК SRB-1 для каждой экспериментальной группы, нормализованных к контрольному образцу, обработанному солевым раствором.Six week old male Balb/c mice (Jackson Laboratory, Bar Harbor, Maine) were given a single subcutaneous injection of the dose below of ISIS 353382, 655861, 664507, 661161, 666224, 666961, 666981, 666881, or saline. Each experimental group consisted of 4 animals. Mice were sacrificed 72 hours after the last injection to determine hepatic SRB-1 mRNA levels using real-time PCR and RIBOGREEN® RNA quantitation reagent (Molecular Probes, Inc., Eugene, Oregon) according to standard protocols. The results shown below are presented as the average percentage of SRB-1 mRNA levels for each experimental group, normalized to a saline treated control.

Как показано в Таблице 30, лечение антисмыеловыми олигонуклеотидами снижает уровни мРНК SRB-1 дозозависимым образом. Действительно, конъюгированные антисмысловые олигонуклеотиды демонстрируют значительное усиление эффективности, по сравнению с неконъюгированным антисмысловым олигонуклеотидом (ISIS 353382). 5'-конъюгированные антисмысловые олигонуклеотиды демонстрируют небольшое усиление эффективности, по сравнению с 3'-конъюгированным антисмысловым олигонуклеотидом.As shown in Table 30, treatment with anti-smeel oligonucleotides reduces SRB-1 mRNA levels in a dose-dependent manner. Indeed, conjugated antisense oligonucleotides show a significant increase in potency compared to unconjugated antisense oligonucleotide (ISIS 353382). The 5'-conjugated antisense oligonucleotides show a slight increase in potency compared to the 3'-conjugated antisense oligonucleotide.

Figure 00000241
Figure 00000241

Уровни трансаминазы в печени, аланин-аминотрансферазы (ALT) и аспартат-аминотрансферазы (AST) в сыворотке измеряли относительно мышей, инъецированных солевым раствором, применяя стандартные протоколы. Оценили также общий билирубин и азот мочевины крови (АМК). Проверили изменение массы тела, которое существенно не отличалось от группы с солевым раствором. Значения ALT, AST, общего билирубина и АМК представлены ниже в Таблице 31.Serum levels of liver transaminase, alanine aminotransferase (ALT), and aspartate aminotransferase (AST) were measured relative to saline-injected mice using standard protocols. Total bilirubin and blood urea nitrogen (BUN) were also assessed. The change in body weight was checked, which was not significantly different from the saline group. ALT, AST, total bilirubin, and BUN values are shown in Table 31 below.

Figure 00000242
Figure 00000242

Figure 00000243
Figure 00000243

Пример 57. Исследование продолжительности действия олигонуклеотидов, содержащих 3'-конъюгирующую группу, нацеленных на АроС III, in vivoExample 57 In Vivo Duration Study of Oligonucleotides Containing a 3'-Conjugating Group Targeting ApoC III

Мышам однократно ввели инъекцию дозы, указанной ниже, и в течение 42 дней наблюдали уровни АроС-III и триглицеридов в плазме (TG в плазме). Исследование выполнили, используя в каждой группе 3 трансгенных мышей, которые экспрессируют человеческий АРОС-III.Mice were injected with the dose indicated below once and the levels of ApoC-III and plasma triglycerides (plasma TG) were monitored for 42 days. The study was performed using in each group 3 transgenic mice that express human AROS-III.

Figure 00000244
Figure 00000244

Figure 00000245
Figure 00000245

Заглавные буквы указывают азотистое основание для каждого нуклеозида, аmC означает 5-метилцитозин. Нижние индексы: «е» означает 2'-МОЕ модифицированный нуклеозид; «d» означает β-D-2'-дезоксирибонуклеозид; «s» означает тиофосфатную межнуклеозидную связь(PS); «о» означает фосфодиэфирную межнуклеозидную связь(РО); и «o'» означает -0-Р(=O)(ОН)-. Конъюгирующие группы выделены жирным шрифтом.Capital letters indicate the nitrogenous base for each nucleoside, andm C stands for 5-methylcytosine. Subscripts: "e" means 2'-MOE modified nucleoside; "d" means β-D-2'-deoxyribonucleoside;"s" means thiophosphate internucleoside bond (PS); "o" means a phosphodiester internucleoside bond (PO); and "o'" means -0-P(=O)(OH)-. Conjugate groups are shown in bold.

Структура GalNAc3-1a показана ранее в Примере 9.The structure of GalNAc3 -1a is shown earlier in Example 9.

Figure 00000246
Figure 00000246

Как можно видеть в представленной выше таблице, продолжительность действия увеличивается при добавлении 3'-конъюгирующие группы, по сравнению с неконъюгированным олигонуклеотидом. Дополнительное увеличение продолжительности действия наблюдали для смешанного конъюгированного PO/PS олигонуклеотида 647536, по сравнению с конъюгированным олигонуклеотидом 647535, содержащим только PS.As can be seen in the table above, the duration of action is increased with the addition of 3'-conjugating groups, as compared to the unconjugated oligonucleotide. An additional increase in duration of action was observed for mixed PO/PS-conjugated oligonucleotide 647536, compared to PS-only conjugated oligonucleotide 647535.

Пример 58. Дозозависимое исследование олигонуклеотидов, содержащих 3'-конъюгирующую группу (сравнение GaINAc3-1 и GaINAc4-11), нацеленных на SRB-1, in vivoExample 58 Dose-Dependent Study of Oligonucleotides Containing a 3'-Conjugating Group (Comparison of GaINAc3-1 and GaINAc4-11) Targeting SRB-1 in Vivo

Олигонуклеотиды, перечисленные ниже, испытали в дозозависимом исследовании антисмыслового ингибирования SRB-1 у мышей. Неконъюгированный ISIS 440762 включили в качестве неконъюгированного стандарта. Каждая из конъюгирующих групп была присоединена к 3'-концу соответствующего олигонуклеотида при помощи расщепляемого фрагмента фосфодиэфир-связанного 2'-дезоксиаденозинового нуклеозида.The oligonucleotides listed below were tested in a dose-dependent study of antisense inhibition of SRB-1 in mice. Unconjugated ISIS 440762 was included as an unconjugated standard. Each of the conjugating groups was attached to the 3' end of the respective oligonucleotide with a cleavable fragment of a phosphodiester-linked 2'-deoxyadenosine nucleoside.

Структура GaINAc3-1a показана ранее в Примере 9. Структура GaINAc3-11a показана ранее в Примере 50.The structure of GaINAc3 -1a is shown earlier in Example 9. The structure of GaINAc3 -11a is shown earlier in Example 50.

ЛечениеTreatment

Шестинедельным самцам мышей Balb/c (Jackson Laboratory, Бар-Харбор, штат Мэн) ввели однократную подкожную инъекцию дозы, представленной ниже, соединения ISIS 440762, 651900, 663748 или солевого раствора. Каждая экспериментальная группа состояла из 4 животных. Мышей умертвили через 72 часов после последнего введения для определения уровней мРНК SRB-1 в печени при помощи ПЦР в реальном времени и реагента для количественного определения РНК RIBOGREEN® (Molecular Probes, Inc., Юджин, штат Орегон) по стандартным протоколам. Результаты, показанные ниже, представлены как средний процент уровней мРНК SRB-1 для каждой экспериментальной группы, нормализованных к контрольному образцу, обработанному солевым раствором.Six-week-old male Balb/c mice (Jackson Laboratory, Bar Harbor, Maine) were given a single subcutaneous injection of the dose below, compound ISIS 440762, 651900, 663748, or saline. Each experimental group consisted of 4 animals. Mice were sacrificed 72 hours after the last injection to determine hepatic SRB-1 mRNA levels using real-time PCR and RIBOGREEN® RNA quantitation reagent (Molecular Probes, Inc., Eugene, Oregon) according to standard protocols. The results shown below are presented as the average percentage of SRB-1 mRNA levels for each experimental group, normalized to a saline treated control.

Как показано в Таблице 34, лечение антисмыеловыми олигонуклеотидами снижает уровни мРНК SRB-1 дозозависимым образом. Антисмысловые олигонуклеотиды, содержащие фосфодиэфир-связанные конъюгаты GaINAc3-1 и GaINAc4-11 на 3'-конце (ISIS 651900 и ISIS 663748), демонстрируют значительное усиление эффективности, по сравнению с неконъюгированным антисмысловым олигонуклеотидом (ISIS 440762). Эти два конъюгированных олигонуклеотида, GaINAc3-1 и GaINAc4-11, были одинаково эффективными.As shown in Table 34, treatment with anti-smeel oligonucleotides reduces SRB-1 mRNA levels in a dose-dependent manner. Antisense oligonucleotides containing phosphodiester-linked GaINAc3 -1 and GaINAc4 -11 conjugates at the 3' end (ISIS 651900 and ISIS 663748) show a significant increase in potency compared to the unconjugated antisense oligonucleotide (ISIS 440762). These two conjugated oligonucleotides, GaINAc3 -1 and GaINAc4 -11, were equally effective.

Figure 00000247
Figure 00000247

Заглавные буквы указывают азотистое основание для каждого нуклеозида, аmC означает 5-метилцитозин. Нижние индексы: «е» означает 2'-МОЕ модифицированный нуклеозид; «k» означает 6,-(S)-CH3 бициклический нуклеозид; «d» означает β-D-2'-дезоксирибонуклеозид; «s» означает тиофосфатные межнуклеозидные связи (PS); «о» означает фосфодиэфирные межнуклеозидные связи (РО); и «o'» означает -O-Р(=O)(ОН)-. Конъюгирующие группы выделены жирным шрифтом.Capital letters indicate the nitrogenous base for each nucleoside, andm C stands for 5-methylcytosine. Subscripts: "e" means 2'-MOE modified nucleoside; "k" means 6,-(S)-CH3 bicyclic nucleoside; "d" means β-D-2'-deoxyribonucleoside;"s" stands for thiophosphate internucleoside linkages (PS); "o" means phosphodiester internucleoside bonds (RO); and "o'" means -O-P(=O)(OH)-. Conjugate groups are shown in bold.

Уровни трансаминазы в печени, аланин-аминотрансферазы (ALT) и аспартат-аминотрансферазы (AST) в сыворотке измеряли относительно мышей, инъецированных солевым раствором, применяя стандартные протоколы. Оценили также общий билирубин и азот мочевины крови (АМК). Проверили изменение массы тела, которое существенно не отличалось от группы с солевым раствором. Значения ALT, AST, общего билирубина и АМК представлены ниже в Таблице 35.Serum levels of liver transaminase, alanine aminotransferase (ALT), and aspartate aminotransferase (AST) were measured relative to saline-injected mice using standard protocols. Total bilirubin and blood urea nitrogen (BUN) were also assessed. The change in body weight was checked, which was not significantly different from the saline group. ALT, AST, total bilirubin, and BUN values are shown in Table 35 below.

Figure 00000248
Figure 00000248

Figure 00000249
Figure 00000249

Пример 59. Действие GaINAc3-1-конъюгированных ASO, нацеленных на FXI, in vivoExample 59 Action of GaINAc3 -1-Conjugated ASOs Targeting FXI in Vivo

Олигонуклеотиды, перечисленные ниже, испытали в исследовании действия многократных нарастающих доз на антисмысловое ингибирование FXI у мышей. ISIS 404071 включили в качестве неконъюгированного стандарта. Каждая из конъюгирующих групп была присоединена к 3'-концу соответствующего олигонуклеотида при помощи расщепляемого фрагмента фосфодиэфир-связанного 2'-дезоксиаденозинового нуклеозида.The oligonucleotides listed below were tested in a multiple escalating dose study on antisense inhibition of FXI in mice. ISIS 404071 was included as an unconjugated standard. Each of the conjugating groups was attached to the 3' end of the respective oligonucleotide with a cleavable fragment of a phosphodiester-linked 2'-deoxyadenosine nucleoside.

Figure 00000250
Figure 00000250

Заглавные буквы указывают азотистое основание для каждого нуклеозида, аmC означает 5-метилцитозин. Нижние индексы: «е» означает 2'-МОЕ модифицированный нуклеозид; «d» означает β-D-2'-дезоксирибонуклеозид; «s» означает тиофосфатную межнуклеозидную связь(PS); «о» означает фосфодиэфирную межнуклеозидную связь(РО); и «o'» означает -O-Р(=O)(ОН)-. Конъюгирующие группы выделены жирным шрифтом.Capital letters indicate the nitrogenous base for each nucleoside, andm C stands for 5-methylcytosine. Subscripts: "e" means 2'-MOE modified nucleoside; "d" means β-D-2'-deoxyribonucleoside;"s" means thiophosphate internucleoside bond (PS); "o" means a phosphodiester internucleoside bond (PO); and "o'" means -O-P(=O)(OH)-. Conjugate groups are shown in bold.

Структура GaINAc3-1a показана ранее в Примере 9.The structure of GaINAc3 -1a is shown earlier in Example 9.

ЛечениеTreatment

Шестинедельным самцам мышей Balb/c (Jackson Laboratory, Бар-Харбор, штат Мэн) дважды в неделю в течение 3 недель вводили подкожную инъекцию дозы, представленной ниже, соединения ISIS 404071, 656172, 656173 или PBS в качестве контрольного образца. Каждая экспериментальная группа состояла из 4 животных. Мышей умертвили через 72 часов после последнего введения для определения уровней мРНК FXI в печени при помощи ПЦР в реальном времени и реагента для количественного определения РНК RIBOGREEN® (Molecular Probes, Inc., Юджин, штат Орегон) по стандартным протоколам. Измерили также уровни белка FXI в плазме при помощи твердофазного иммуноферментного анализа. Уровни мРНК FXI определяли относительно общей РНК (при помощи RIBOGREEN®), затем нормализовали к контрольному образцу, обработанному PBS. Результаты, показанные ниже, представлены как средний процент уровней мРНК FXI для каждой экспериментальной группы. Данные нормализовали к контрольному образцу, обработанному PBS, и обозначили как «% PBS». ED50S измеряли по таким же способам, как описаны ранее, и они представлены ниже.Six-week-old male Balb/c mice (Jackson Laboratory, Bar Harbor, Maine) were injected subcutaneously twice weekly for 3 weeks at the dose below with compound ISIS 404071, 656172, 656173 or PBS as control. Each experimental group consisted of 4 animals. Mice were sacrificed 72 hours after the last injection to determine hepatic FXI mRNA levels using real-time PCR and RIBOGREEN® RNA quantitation reagent (Molecular Probes, Inc., Eugene, Oregon) according to standard protocols. Plasma FXI protein levels were also measured by enzyme-linked immunosorbent assay. FXI mRNA levels were determined relative to total RNA (using RIBOGREEN®), then normalized to a PBS-treated control. The results shown below are presented as the average percentage of FXI mRNA levels for each experimental group. The data was normalized to a PBS-treated control and labeled "% PBS". ED50S was measured by the same methods as described previously and they are presented below.

Figure 00000251
Figure 00000251

Как показано в Таблице 37, лечение антисмыеловыми олигонуклеотидами снижает уровни мРНК FXI дозозависимым образом. Олигонуклеотиды, содержащие конъюгирующую группу 3'-GaINAc3-1, демонстрируют значительное усиление эффективности, по сравнению с неконъюгированным антисмысловым олигонуклеотидом (ISIS 404071). Между эти двумя конъюгированными олигонуклеотидами дополнительное усиление эффективности было обеспечено за счет замены некоторых PS связей на РО (ISIS 656173).As shown in Table 37, treatment with anti-smeel oligonucleotides reduces FXI mRNA levels in a dose-dependent manner. Oligonucleotides containing a 3'-GaINAc3 -1 conjugating group show a significant increase in potency compared to an unconjugated antisense oligonucleotide (ISIS 404071). Between these two conjugated oligonucleotides, further efficiency gains were achieved by replacing some of the PS bonds with POs (ISIS 656173).

Как показано в Таблице 37а, лечение антисмысловыми олигонуклеотидами снижает уровни белка FXI дозозависимым образом. Олигонуклеотиды, содержащие конъюгирующую группу 3'-GaINAc3-1, демонстрируют значительное усиление эффективности, по сравнению с неконъюгированным антисмысловым олигонуклеотидом (ISIS 404071). Между эти двумя конъюгированными олигонуклеотидами дополнительное усиление эффективности было обеспечено за счет замены некоторых PS связей на РО (ISIS 656173).As shown in Table 37a, treatment with antisense oligonucleotides reduces FXI protein levels in a dose-dependent manner. Oligonucleotides containing a 3'-GaINAc3 -1 conjugating group show a significant increase in potency compared to an unconjugated antisense oligonucleotide (ISIS 404071). Between these two conjugated oligonucleotides, further efficiency gains were achieved by replacing some of the PS bonds with POs (ISIS 656173).

Figure 00000252
Figure 00000252

Уровни трансаминазы в печени, аланин-аминотрансферазы (ALT) и аспартат-аминотрансферазы (AST) в сыворотке измеряли относительно мышей, инъецированных солевым раствором, применяя стандартные протоколы. Оценили также общий билирубин, общий альбумин, CRE и азот мочевины крови (АМК). Проверили изменение массы тела, которое существенно не отличалось от группы с солевым раствором. Значения ALT, AST, общего билирубина и АМК представлены ниже в таблице.Serum levels of liver transaminase, alanine aminotransferase (ALT), and aspartate aminotransferase (AST) were measured relative to saline-injected mice using standard protocols. Total bilirubin, total albumin, CRE, and blood urea nitrogen (BUN) were also assessed. The change in body weight was checked, which was not significantly different from the saline group. The values of ALT, AST, total bilirubin and BUN are presented in the table below.

Figure 00000253
Figure 00000253

Figure 00000254
Figure 00000254

Пример 60. Действие конъюгированных ASO, нацеленных на SRB-1, in vitroExample 60 In vitro activity of conjugated ASOs targeting SRB-1

Олигонуклеотиды, перечисленные ниже, испытали в исследовании действия многократных нарастающих доз на антисмысловое ингибирование SRB-1 в первичных гепатоцитах мышей. ISIS 353382 включили в качестве неконъюгированного стандарта. Каждая из конъюгирующих групп была присоединена к 3' или 5'-концу соответствующего олигонуклеотида при помощи расщепляемого фрагмента фосфодиэфир-связанного 2'-дезоксиаденозинового нуклеозида.The oligonucleotides listed below were tested in a multiple escalating dose study on antisense inhibition of SRB-1 in primary mouse hepatocytes. ISIS 353382 was included as an unconjugated standard. Each of the conjugating groups was attached to the 3' or 5' end of the respective oligonucleotide with a cleavable fragment of a phosphodiester-linked 2'-deoxyadenosine nucleoside.

Figure 00000255
Figure 00000255

Figure 00000256
Figure 00000256

Заглавные буквы указывают азотистое основание для каждого нуклеозида, аmC означает 5-метилцитозин. Нижние индексы: «е» означает 2'-МОЕ модифицированный нуклеозид; «d» означает β-D-2'-дезоксирибонуклеозид; «s» означает тиофосфатную межнуклеозидную связь(Р8); «о» означает фосфодиэфирную межнуклеозидную связь(РО); и «o'» означает -O-Р(=O)(ОН)-. Конъюгирующие группы выделены жирным шрифтом.Capital letters indicate the nitrogenous base for each nucleoside, andm C stands for 5-methylcytosine. Subscripts: "e" means 2'-MOE modified nucleoside; "d" means β-D-2'-deoxyribonucleoside;"s" means thiophosphate internucleoside bond (P8); "o" means a phosphodiester internucleoside bond (PO); and "o'" means -O-P(=O)(OH)-. Conjugate groups are shown in bold.

Структура GaINAc3-1a показана ранее в Примере 9. Структура GaINAc3-3a показана ранее в Примере 39. Структура GaINAc3-8a показана ранее в Примере 47. Структура GaINAc3-9а показана ранее в Примере 52. Структура GaINAc3-6a показана ранее в Примере 51. Структура GaINAc3-2a показана ранее в Примере 37. Структура GaINAc3-10а показана ранее в Примере 46. Структура GaINAc3-5a показана ранее в Примере 49. Структура GaINAc3-7a показана ранее в Примере 48.The GaINAc3 -1a structure is shown earlier in Example 9. The GaINAc3 -3a structure is shown earlier in Example 39. The GaINAc3 -8a structure is shown earlier in Example 47. The GaINAc3 -9a structure is shown earlier in Example 52. The GaINAc3 -6a structure shown earlier in Example 51. The structure of GaINAc3 -2a is shown earlier in Example 37. The structure of GaINAc3 -10a is shown earlier in Example 46. The structure of GaINAc3 -5a is shown earlier in Example 49. The structure of GaINAc3 -7a is shown earlier in Example 48.

ЛечениеTreatment

Олигонуклеотиды, перечисленные выше, испытывали in vitro в первичных гепатоцитарных клетках мышей, помещенных на планшеты при плотности 25000 клеток на лунку и обработанных 0,03, 0,08, 0,24, 0,74, 2,22, 6,67 или 20 нМ модифицированного олигонуклеотида. После обработки в течение около 16 часов, из клеток выделили РНК и измерили уровни мРНК при помощи количественной ПЦР в реальном времени, а уровни мРНК SRB-1 III скорректировали в соответствии с общим содержанием РНК, измеренным при помощи RIBOGREEN®.The oligonucleotides listed above were tested in vitro in primary mouse hepatocyte cells plated at a density of 25,000 cells per well and treated with 0.03, 0.08, 0.24, 0.74, 2.22, 6.67, or 20 nM modified oligonucleotide. After treatment for about 16 hours, RNA was isolated from the cells and mRNA levels were measured by quantitative real-time PCR, and SRB-1 III mRNA levels were adjusted according to total RNA measured by RIBOGREEN®.

IC50 рассчитали по стандартным способам, а результаты представлены в Таблице 40. Результаты показывают, что при условиях свободного поглощения, в которых не применяли никакие реагенты или электроимпульсные приемы для искусственного ускорения входа олигонуклеотидов в клетки, олигонуклеотиды, содержащие конъюгат GaINAc, были существенно более эффективными в гепатоцитах, чем исходный олигонуклеотид (ISIS 353382), который не содержит конъюгат GaINAc.IC50 was calculated according to standard methods and the results are presented in Table 40. The results show that under free uptake conditions, in which no reagents or electropulse techniques were used to artificially accelerate the entry of oligonucleotides into cells, oligonucleotides containing the GaINAc conjugate were significantly more effective in hepatocytes than the original oligonucleotide (ISIS 353382), which does not contain the GaINAc conjugate.

Figure 00000257
Figure 00000257

Пример 61. Получение олигомерного соединения 175, содержащего GaINAc3-12Example 61 Preparation of Oligomeric Compound 175 Containing GaINAc3 -12

Figure 00000258
Figure 00000258

Figure 00000259
Figure 00000259

Figure 00000260
Figure 00000260

Figure 00000261
Figure 00000261

Соединение 169 имеется в продаже. Соединение 172 получили добавлением 6ензил(перфторфенил)глутаратак соединению 171. Бензил(перфторф енил)глутарат получили добавлением PFP-ТФК и DIEA к 5-(бензилокси)-5-оксопентановой кислоте в ДМФА. Олигомерное Соединение 175, содержащее коньюгирующую группу GaINAc3-12, получили из соединения 174 по общим способам, представленным в Примере 46. Кластерная часть GaINAc3 коньюгирующей группы GaINAc3-12 (GaTNAc3-12a) может быть комбинирована с любым расщепляемым фрагментом для получения различных коньюгирующ их групп. В некоторых вариантах реализации изобретения расщепляемый фрагмент представляет собой -Р(=O)(ОН)-Ad-Р(=O)(ОН)-. Структура GaINAc3-12 (GaINAc3-12a-CM-) представлена ниже:Compound 169 is commercially available. Compound 172 was prepared by adding 6-enzyl(perfluorophenyl)glutarate to compound 171. Benzyl(perfluorophenyl)glutarate was prepared by adding PFP-TFA and DIEA to 5-(benzyloxy)-5-oxopentanoic acid in DMF. Oligomeric Compound 175 containing the GaINAc3 -12 conjugation group was prepared from compound 174 by the general methods presented in Example 46. The GaINAc3 cluster portion of the GaINAc 3 -12 conjugation group (GaTNAc 3-12a) can be combined with any cleavable moiety to obtain different conjugating groups. In some embodiments, the cleavable moiety is -P(=O)(OH)-Ad -P(=O)(OH)-. The structure of GaINAc3 -12 (GaINAc3 -12a -CM-) is shown below:

Figure 00000262
Figure 00000262

Figure 00000263
Figure 00000263

Figure 00000264
Figure 00000264

Соединение 176 получили по общему способу, представленному в Примере 2. Олигомерное соединение 180, содержащее конъюгирующую группу GaINAc3-13, получили из соединения 177 по общим способам, представленным в Примере 49. Кластерная часть GaINAc3 конъюгирующей группы GaINAc3-13 (GaINAc3-13a) может быть комбинирована с любым расщепляемым фрагментом для получения различных конъюгирующих групп. В некоторых вариантах реализации изобретения расщепляемый фрагмент представляет собой -P(=O)(OH)-Ad-P(=O)(OH)-. Структура GaINAc3-13 (GaINAc3-13a-CM-) представлена ниже:Compound 176 was prepared according to the general method presented in Example 2. Oligomeric compound 180 containing the GaINAc3 -13 conjugation group was obtained from compound 177 according to the general methods presented in Example 49. The GaINAc3 cluster portion of the GaINAc3 -13 conjugation group (GaINAc3 -13a ) can be combined with any cleavable moiety to obtain various conjugating groups. In some embodiments, the cleavable fragment is -P(=O)(OH)-Ad -P(=O)(OH)-. The structure of GaINAc3-13 (GaINAc3 -13a -CM-) is shown below:

Figure 00000265
Figure 00000265

Пример 63. Получение олигомерного соединения 188, содержащего GaINAc3-14Example 63 Preparation of Oligomeric Compound 188 Containing GaINAc3 -14

Figure 00000266
Figure 00000266

Figure 00000267
Figure 00000267

Соединения 181 и 185 имеются в продаже. Олигомерное Соединение 188, содержащее конъюгирующую группу GaINAc3-14, получили из соединения 187 по общим способам, представленным в Примере 46. Кластерная часть GaINAc3 конъюгирующей группы GaINAc3-14 (GaINAc3-14a) может быть комбинирована с любым расщепляемым фрагментом для получения различных конъюгирующих групп. В некоторых вариантах реализации изобретения расщепляемый фрагмент представляет собой -Р(=O)(ОН)-Ad-Р(=O)(ОН)-. Структура GaINAc3-14 (GaINAc3-14a-CM-) представлена ниже:Compounds 181 and 185 are commercially available. Oligomeric Compound 188 containing the GaINAc3 -14 conjugation group was prepared from compound 187 by the general methods presented in Example 46. The GaINAc3 cluster portion of the GaINAc 3 -14 conjugation group (GaINAc 3-14a) can be combined with any cleavable moiety to obtaining various conjugating groups. In some embodiments, the cleavable moiety is -P(=O)(OH)-Ad -P(=O)(OH)-. The structure of GaINAc3 -14 (GaINAc3 -14a -CM-) is shown below:

Figure 00000268
Figure 00000268

Пример 64. Получение олигомерного соединения 197, содержащего GaINAc3-15Example 64 Preparation of Oligomeric Compound 197 Containing GaINAc3 -15

Figure 00000269
Figure 00000269

Figure 00000270
Figure 00000270

Соединение 189 имеется в продаже. Соединение 195 получили по общему способу, представленному в Примере 31. Олигомерное соединение 197, содержащее конъюгирующую группу GaINAc3-15, получили из соединений 194 и 195, применив стандартные способы синтеза олигонуклеотидов. Кластерная часть GaINAc3 конъюгирующей группы GaINAc3-15 (GaINAc3-15a) может быть комбинирована с любым расщепляемым фрагментом с получением различных конъюгирующих групп. В некоторых вариантах реализации изобретения расщепляемый фрагмент представляет собой -P(=O)(OH)-Ad-P(=O)(OH)-. Структура GaINAc3-15 (GaINAc3-15a-CM-) представлена ниже:Compound 189 is commercially available. Compound 195 was obtained according to the general method presented in Example 31. Oligomeric compound 197 containing the conjugating group GaINAc3 -15 was obtained from compounds 194 and 195 using standard methods for the synthesis of oligonucleotides. The GaINAc3 cluster portion of the GaINAc 3 -15 conjugating group (GaINAc 3-15a) can be combined with any cleavable moiety to form different conjugating groups. In some embodiments, the cleavable fragment is -P(=O)(OH)-Ad -P(=O)(OH)-. The structure of GaINAc3 -15 (GaINAc3 -15a -CM-) is shown below:

Figure 00000271
Figure 00000271

Пример 65. Дозозависимое исследование олигонуклеотидов, содержащих 5'-конъюгирующую группу (сравнение GaINAc3-3, 12, 13, 14 и 15), нацеленных на SRB-1, in vivoExample 65 Dose-dependent study of oligonucleotides containing a 5'-conjugating group (comparison of GaINAc3 -3, 12, 13, 14 and 15) targeted to SRB-1 in vivo

Олигонуклеотиды, перечисленные ниже, испытали в дозозависимом исследовании антисмыслового ингибирования SRB-1 у мышей. Неконъюгированный ISIS 353382 включили в качестве стандарта. Каждая из конъюгирующих групп GaINAc3 была присоединена к 5'-концу соответствующего олигонуклеотида при помощи расщепляемого фрагмента фосфодиэфир-связанного 2'-дезоксиаденозинового нуклеозида.The oligonucleotides listed below were tested in a dose-dependent study of antisense inhibition of SRB-1 in mice. Unconjugated ISIS 353382 was included as a standard. Each of the GaINAc3 conjugating groups was attached to the 5' end of the respective oligonucleotide with a cleavable fragment of a phosphodiester-linked 2'-deoxyadenosine nucleoside.

Figure 00000272
Figure 00000272

Figure 00000273
Figure 00000273

Заглавные буквы указывают азотистое основание для каждого нуклеозида, аmC означает 5-метилцитозин. Нижние индексы: «е» означает 2'-МОЕ модифицированный нуклеозид; «d» означает β-D-2'-дезоксирибонуклеозид; «s» означает тиофосфатную межнуклеозидную связь (PS); «о» означает фосфодиэфирную межнуклеозидную связь(РО); и «o'» означает -O-Р(=O)(ОН)-. Конъюгирующие группы выделены жирным шрифтом.Capital letters indicate the nitrogenous base for each nucleoside, andm C stands for 5-methylcytosine. Subscripts: "e" means 2'-MOE modified nucleoside; "d" means β-D-2'-deoxyribonucleoside;"s" means thiophosphate internucleoside bond (PS); "o" means a phosphodiester internucleoside bond (PO); and "o'" means -O-P(=O)(OH)-. Conjugate groups are shown in bold.

Структура GaINAc3-3a показана ранее в Примере 39. Структура GaINAc3-12а показана ранее в Примере 61. Структура GaINAc3-13а показана ранее в Примере 62. Структура GaINAc3-14a показана ранее в Примере 63. Структура GaINAc3-15а показана ранее в Примере 64.The structure of GaINAc3 -3a is shown earlier in Example 39. The structure of GaINAc3 -12a is shown earlier in Example 61. The structure of GaINAc3 -13a is shown earlier in Example 62. The structure of GaINAc3 -14a is shown earlier in Example 63. The structure of GaINAc3 -15a shown earlier in Example 64.

ЛечениеTreatment

Шести-восьминедельным мышам C57bl6 (Jackson Laboratory, Бар-Харбор, штат Мэн) один или два раза ввели подкожную инъекцию дозы, представленной ниже, соединения ISIS 353382, 661161, 671144, 670061, 671261, 671262 или солевого раствора. Мыши, которым вводили дозу два раза, вторую дозу вводили через три дня после первой дозы. Каждая экспериментальная группа состояла из 4 животных. Мышей умертвили через 72 часов после последнего введения для определения уровней мРНК SRB-1 в печени при помощи ПЦР в реальном времени и реагента для количественного определения РНК RTBOGREEN® (Molecular Probes, Inc., Юджин, штат Орегон) по стандартным протоколам. Результаты, показанные ниже, представлены как средний процент уровней мРНК SRB-1 для каждой экспериментальной группы, нормализованных к контрольному образцу, обработанному солевым раствором.Six to eight week old C57bl6 mice (Jackson Laboratory, Bar Harbor, Maine) were injected once or twice subcutaneously with the dose below, compound ISIS 353382, 661161, 671144, 670061, 671261, 671262, or saline. Mice dosed twice were given a second dose three days after the first dose. Each experimental group consisted of 4 animals. Mice were sacrificed 72 hours after the last injection to determine hepatic SRB-1 mRNA levels using real-time PCR and RTBOGREEN® RNA quantitation reagent (Molecular Probes, Inc., Eugene, Oregon) according to standard protocols. The results shown below are presented as the average percentage of SRB-1 mRNA levels for each experimental group, normalized to a saline treated control.

Как показано в Таблице 42, лечение антисмыеловыми олигонуклеотидами снижает уровни мРНК SRB-1 дозозависимым образом. Не наблюдали значительной разницы нокдауна мишени между животными, получавшими одну дозу, и животными, получавшими две дозы (см. ISIS 353382 в дозах 30 и 2 × 15 мг/кг; и ISIS 661161 в дозах 5 и 2 х 2,5 мг/кг). Антисмысловые олигонуклеотиды, содержащие фосфодиэфир-связанные конъюгаты GaINAc3-3, 12, 13, 14 и 15, демонстрируют существенное усиление эффективности, по сравнению с неконъюгированным антисмысловым олигонуклеотидом (ISIS 335382).As shown in Table 42, treatment with anti-smeel oligonucleotides reduces SRB-1 mRNA levels in a dose-dependent manner. No significant difference in target knockdown was observed between single-dose and two-dose animals (see ISIS 353382 at 30 and 2 x 15 mg/kg; and ISIS 661161 at 5 and 2 x 2.5 mg/kg ). Antisense oligonucleotides containing phosphodiester-linked conjugates GaINAc3 -3, 12, 13, 14 and 15 show a significant increase in potency compared to the unconjugated antisense oligonucleotide (ISIS 335382).

Figure 00000274
Figure 00000274

Уровни трансаминазы в печени, аланин-аминотрансферазы (ALT) и аспартат-аминотрансферазы (AST) в сыворотке измеряли относительно мышей, инъецированных солевым раствором, применяя стандартные протоколы. Оценили также общий билирубин и азот мочевины крови (АМК). Проверили изменение массы тела, которое существенно не отличалось от группы с солевым раствором (данные не показаны). Значения ALT, AST, общего билирубина и АМК представлены ниже в Таблице 43.Serum levels of liver transaminase, alanine aminotransferase (ALT), and aspartate aminotransferase (AST) were measured relative to saline-injected mice using standard protocols. Total bilirubin and blood urea nitrogen (BUN) were also assessed. The change in body weight was checked, which was not significantly different from the saline group (data not shown). ALT, AST, total bilirubin and BUN values are presented in Table 43 below.

Figure 00000275
Figure 00000275

Figure 00000276
Figure 00000276

Пример 66. Влияние различных расщепляемых фрагментов на антисмысловое ингибирование in vivo под действием олигонуклеотидов, нацеленных на SRB-1, содержащих кластер 5'-GaINAc3Example 66 Effect of Various Cleavable Moieties on In Vivo Antisense Inhibition by SRB-1 Targeting Oligonucleotides Containing the 5'-GaINAc3 Cluster

Олигонуклеотиды, перечисленные ниже, испытали в дозозависимом исследовании антисмыслового ингибирования SRB-1 у мышей. Каждая из конъюгирующих групп GaINAc3 была присоединена к 5'-концу соответствующего олигонуклеотида при помощи фосфодиэфир-связанного нуклеозида (расщепляемый фрагмент (СМ)).The oligonucleotides listed below were tested in a dose-dependent study of antisense inhibition of SRB-1 in mice. Each of the GaINAc3 conjugating groups was attached to the 5' end of the respective oligonucleotide with a phosphodiester-linked nucleoside (cleavable fragment (CM)).

Figure 00000277
Figure 00000277

Figure 00000278
Figure 00000278

Заглавные буквы указывают азотистое основание для каждого нуклеозида, аmC означает 5-метилцитозин. Нижние индексы: «е» означает 2'-МОЕ модифицированный нуклеозид; «d» означает β-D-2'-дезоксирибонуклеозид; «s» означает тиофосфатную межнуклеозидную связь (PS); «о» означает фосфодиэфирную межнуклеозидную связь(РО); и «o'» означает -O-Р(=O)(ОН)-. Конъюгирующие группы выделены жирным шрифтом.Capital letters indicate the nitrogenous base for each nucleoside, andm C stands for 5-methylcytosine. Subscripts: "e" means 2'-MOE modified nucleoside; "d" means β-D-2'-deoxyribonucleoside;"s" means thiophosphate internucleoside bond (PS); "o" means a phosphodiester internucleoside bond (PO); and "o'" means -O-P(=O)(OH)-. Conjugate groups are shown in bold.

Структура GaINAc3-3a показана ранее в Примере 39. Структура GaINAc3-13a показана ранее в Примере 62.The structure of GaINAc3 -3a is shown earlier in Example 39. The structure of GaINAc3 -13a is shown earlier in Example 62.

ЛечениеTreatment

Шести-восьминедельным мышам C57bl6 (Jackson Laboratory, Бар-Харбор, штат Мэн) ввели однократную подкожную инъекцию дозы, представленной ниже, соединения ISIS 661161, 670699, 670700, 670701, 671165 или солевого раствора. Каждая экспериментальная группа состояла из 4 животных. Мышей умертвили через 72 часов после последнего введения для определения уровней мРНК SRB-1 в печени при помощи ПЦР в реальном времени и реагента для количественного определения РНК RIBOGREEN® (Molecular Probes, Inc., Юджин, штат Орегон) по стандартным протоколам. Результаты, показанные ниже, представлены как средний процент уровней мРНК SRB-1 для каждой экспериментальной группы, нормализованных к контрольному образцу, обработанному солевым раствором.Six to eight week old C57bl6 mice (Jackson Laboratory, Bar Harbor, Maine) were given a single subcutaneous injection of the dose below of ISIS 661161, 670699, 670700, 670701, 671165 or saline. Each experimental group consisted of 4 animals. Mice were sacrificed 72 hours after the last injection to determine hepatic SRB-1 mRNA levels using real-time PCR and RIBOGREEN® RNA quantitation reagent (Molecular Probes, Inc., Eugene, Oregon) according to standard protocols. The results shown below are presented as the average percentage of SRB-1 mRNA levels for each experimental group, normalized to a saline treated control.

Как показано в Таблице 45, лечение антисмыеловыми олигонуклеотидами снижает уровни мРНК SRB-1 дозозависимым образом. Все антисмысловые олигонуклеотиды, содержащие различные расщепляемые фрагменты, демонстрируют одинаковую эффективность.As shown in Table 45, treatment with anti-smeel oligonucleotides reduces SRB-1 mRNA levels in a dose-dependent manner. All antisense oligonucleotides containing different cleavable fragments show the same efficiency.

Figure 00000279
Figure 00000279

Уровни трансаминазы в печени, аланин-аминотрансферазы (ALT) и аспартат-аминотрансферазы (AST) в сыворотке измеряли относительно мышей, инъецированных солевым раствором, применяя стандартные протоколы. Оценили также общий билирубин и азот мочевины крови (АМК). Проверили изменение массы тела, которое существенно не отличалось от группы с солевым раствором (данные не показаны). Значения ALT, AST, общего билирубина и АМК представлены ниже в Таблице 46.Serum levels of liver transaminase, alanine aminotransferase (ALT), and aspartate aminotransferase (AST) were measured relative to saline-injected mice using standard protocols. Total bilirubin and blood urea nitrogen (BUN) were also assessed. The change in body weight was checked, which was not significantly different from the saline group (data not shown). ALT, AST, total bilirubin, and BUN values are shown in Table 46 below.

Figure 00000280
Figure 00000280

Figure 00000281
Figure 00000281

Figure 00000282
Figure 00000282

Олигомерное соединение 199, содержащее конъюгирующую группу GaINAc3-16, получили по общим способам, представленным в Примерах 7 и 9. Кластерная часть GaINAc3 конъюгирующей группы GaINAc3-16 (GaINAc3-16a) может быть комбинирована с любым расщепляемым фрагментом для получения различных конъюгирующих групп. В некоторых вариантах реализации изобретения расщепляемый фрагмент представляет собой -Р(=O)(OH)-Ad-Р(=O)(ОН)-. Структура GaINAc3-16 (GaINAc3-16a-CM-) представлена ниже:Oligomeric compound 199 containing a GaINAc3 -16 conjugation group was prepared according to the general methods presented in Examples 7 and 9. The GaINAc3 cluster portion of the GaINAc 3 -16 conjugation group (GaINAc 3-16a) can be combined with any cleavable moiety to obtain various conjugating groups. In some embodiments, the cleavable fragment is -P(=O)(OH)-Ad -P(=O)(OH)-. The structure of GaINAc3 -16 (GaINAc3 -16a -CM-) is shown below:

Figure 00000283
Figure 00000283

Олигомерное соединение 200, содержащее коньюгирующую группу GaINAc3-17, получили по общим способам, представленным в Примере 46. Кластерная часть GaINAc3 конъюгирующей группы GaINAc3-17 (GaINAc3-17a) может быть комбинирована с любым расщепляемым фрагментом для получения различных конъюгирующих групп. В некоторых вариантах реализации изобретения расщепляемый фрагмент представляет собой -P(=O)(OH)-Ad-P(=O)(OH)-. Структура GaINAc3-17 (GaINAc3-17a-CM-) представлена ниже:Oligomeric compound 200 containing a GaINAc3 -17 conjugation group was prepared according to the general methods presented in Example 46. The GaINAc3 cluster portion of the GaINAc 3 -17 conjugation group (GaINAc 3-17a) can be combined with any cleavable moiety to produce various conjugating moieties. groups. In some embodiments, the cleavable fragment is -P(=O)(OH)-Ad -P(=O)(OH)-. The structure of GaINAc3 -17 (GaINAc3 -17a -CM-) is shown below:

Figure 00000284
Figure 00000284

Пример 69. Получение олигомерного соединения 201, содержащего GaINAc3-18Example 69 Preparation of Oligomeric Compound 201 Containing GaINAc3 -18

Олигомерное соединение 201, содержащее конъюгирующую группу GaINAc3-18, получили по общим способам, представленным в Примере 46. Кластерная часть GaINAc3 конъюгирующей группы GaINAc3-18 (GaINAc3-18a) может быть комбинирована с любым расщепляемым фрагментом для получения различных конъюгирующих групп. В некоторых вариантах реализации изобретения расщепляемый фрагмент представляет собой -P(=O)(OH)-Ad-P(=O)(OH)-. Структура GaINAc3-18 (GaINAc3-18a-CM-) представлена ниже:Oligomeric compound 201 containing a GaINAc3 -18 conjugation group was prepared according to the general methods presented in Example 46. The GaINAc3 cluster portion of the GaINAc 3 -18 conjugation group (GaINAc 3-18a) can be combined with any cleavable moiety to produce various conjugating moieties. groups. In some embodiments, the cleavable fragment is -P(=O)(OH)-Ad -P(=O)(OH)-. The structure of GaINAc3 -18 (GaINAc3 -18a -CM-) is shown below:

Figure 00000285
Figure 00000285

Пример 70. Получение олигомерного соединения 204, содержащего GaINAc3-19Example 70 Preparation of Oligomeric Compound 204 Containing GaINAc3 -19

Figure 00000286
Figure 00000286

Олигомерное Соединение 204, содержащее коньюгирующую группу GaINAc3-19, получили из соединения 64 по общим способам, представленным в Примере 52. Кластерная часть GaINAc3 конъюгирующей группы GaINAc3-19 (GaINAc3-19a) может быть комбинирована с любым расщепляемым фрагментом для получения различных конъюгирующих групп. В некоторых вариантах реализации изобретения расщепляемый фрагмент представляет собой -Р(=O)(ОН)-Ad-Р(=O)(ОН)-. Структура GaINAc3-19 (GaINAc3-19a-CM-) представлена ниже:Oligomeric Compound 204 containing the GaINAc3 -19 conjugation group was prepared from compound 64 by the general methods presented in Example 52. The GaINAc3 cluster portion of the GaINAc 3 -19 conjugation group (GaINAc 3-19a) can be combined with any cleavable moiety to obtaining various conjugating groups. In some embodiments, the cleavable moiety is -P(=O)(OH)-Ad -P(=O)(OH)-. The structure of GaINAc3 -19 (GaINAc3 -19a -CM-) is shown below:

Figure 00000287
Figure 00000287

Пример 71. Получение олигомерного соединения 210, содержащего GaINAc3-20Example 71 Preparation of Oligomeric Compound 210 Containing GaINAc3 -20

Figure 00000288
Figure 00000288

Соединение 205 получили добавлением PFP-ТФК и DIEA к 6-(2,2,2-трифторацетамидо)гексановой кислоте в ацетонитриле, которую получили добавлением трифторуксусного ангидрида к 6-аминогексановой кислоте. Реакционную смесь нагрели до 80°С, затем охладили до комнатной температуры. Олигомерное Соединение 210, содержащее конъюгирующую группу GaINAc3-20, получили из соединения 208 по общим способам, представленным в Примере 52. Кластерная часть GaINAc3 конъюгирующей группы GaINAc3-20 (GaINAc3-20a) может быть комбинирована с любым расщепляемым фрагментом для получения различных конъюгирующих групп. В некоторых вариантах реализации изобретения расщепляемый фрагмент представляет собой -P(=O)(OH)-Ad-Р(=O)(ОН)-. Структура GaINAc3-20 (GaINAc3-20a-CM-) представлена ниже:Compound 205 was prepared by adding PFP-TFA and DIEA to 6-(2,2,2-trifluoroacetamido)hexanoic acid in acetonitrile, which was prepared by adding trifluoroacetic anhydride to 6-aminohexanoic acid. The reaction mixture was heated to 80°C, then cooled to room temperature. Oligomeric Compound 210 containing the GaINAc3 -20 conjugation group was prepared from compound 208 by the general methods presented in Example 52. The GaINAc3 cluster portion of the GaINAc 3 -20 conjugation group (GaINAc 3-20a) can be combined with any cleavable moiety to obtaining various conjugating groups. In some embodiments, the cleavable fragment is -P(=O)(OH)-Ad -P(=O)(OH)-. The structure of GaINAc3 -20 (GaINAc3 -20a -CM-) is shown below:

Figure 00000289
Figure 00000289

Пример 72. Получение олигомерного соединения 215, содержащего GaINAc3-21Example 72 Preparation of Oligomeric Compound 215 Containing GaINAc3 -21

Figure 00000290
Figure 00000290

Соединение 211 имеется в продаже. Олигомерное Соединение 215, содержащее конъюгирующую группу GaINAc3-21, получили из соединения 213 по общим способам, представленным в Примере 52. Кластерная часть GaINAc3 конъюгирующей группы GaINAc3-21 (GaINAc3-21a) может быть комбинирована с любым расщепляемым фрагментом для получения различных конъюгирующих групп. В некоторых вариантах реализации изобретения расщепляемый фрагмент представляет собой -P(=O)(OH)-Ad-Р(=O)(ОН)-. Структура GaINAc3-21 (GaINAc3-21a-CM-) представлена ниже:Compound 211 is commercially available. Oligomeric Compound 215 containing a GaINAc3 -21 conjugation group was prepared from compound 213 by the general methods presented in Example 52. The GaINAc3 cluster portion of the GaINAc 3 -21 conjugation group (GaINAc 3-21a) can be combined with any cleavable moiety to obtaining various conjugating groups. In some embodiments, the cleavable fragment is -P(=O)(OH)-Ad -P(=O)(OH)-. The structure of GaINAc3 -21 (GaINAc3 -21a -CM-) is shown below:

Figure 00000291
Figure 00000291

Пример 73. Получение олигомерного соединения 221, содержащего GaINAc3-22Example 73 Preparation of Oligomeric Compound 221 Containing GaINAc3 -22

Figure 00000292
Figure 00000292

Figure 00000293
Figure 00000293

Соединение 220 получили из соединения 219, применив тетразолид диизопропиламмония. Олигомерное соединение 221, содержащее конъюгирующую группу GalNAc3-21, получили из соединения 220 по общему способу, представленному в Примере 52. Кластерная часть GalNAc3 конъюгирующей группы GalNAc3-22 (GalNAc3-22a) может быть комбинирована с любым расщепляемым фрагментом для получения различных конъюгирующих групп. В некоторых вариантах реализации изобретения расщепляемый фрагмент представляет собой -Р(=O)(ОН)-Ad-Р(=O)(ОН)-. Структура GalNAc3-22 (GalNAc3-22a-CM-) представлена ниже:Compound 220 was prepared from compound 219 using diisopropylammonium tetrazolide. Oligomeric compound 221 containing a GalNAc3 -21 conjugation group was prepared from compound 220 by the general method shown in Example 52. The GalNAc3 cluster portion of the GalNAc 3 -22 conjugation group (GalNAc 3-22a) can be combined with any cleavable moiety to obtaining various conjugating groups. In some embodiments, the cleavable moiety is -P(=O)(OH)-Ad -P(=O)(OH)-. The structure of GalNAc3 -22 (GalNAc3 -22a -CM-) is shown below:

Figure 00000294
Figure 00000294

Пример 74. Влияние различных расщепляемых фрагментов на антисмысловое ингибирование in vivo под действием олигонуклеотидов, нацеленных на SRB-1, содержащих конъюгат 5'-GalNAc3Example 74 Effect of Various Cleavable Moieties on In Vivo Antisense Inhibition by SRB-1 Targeting Oligonucleotides Containing 5'-GalNAc3 Conjugate

Олигонуклеотиды, перечисленные ниже, испытали в дозозависимом исследовании i антисмыслового ингибирования SRB-1 у мышей. Каждая из конъюгирующих групп GalNAc3 была присоединена к 5'-концу соответствующего олигонуклеотида.The oligonucleotides listed below were tested in a dose-dependent study i antisense inhibition of SRB-1 in mice. Each of the GalNAc3 conjugating groups was attached to the 5' end of the corresponding oligonucleotide.

Figure 00000295
Figure 00000295

Во всех таблицах заглавные буквы указывают азотистое основание для каждого) нуклеозида, аmC означает 5-метилцитозин. Нижние индексы: «е» означает 2'-МОЕ модифицированный нуклеозид; «d» означает β-D-2'-дезоксирибонуклеозид; «s» означает тиофосфатную межнуклеозидную связь(PS); «о» означает фосфодиэфирную межнуклеозидную связь(РО); и «o'» означает -O-Р(=O)(ОН)-. Конъюгирующие группы выделены жирным шрифтом.In all tables, capital letters indicate the nitrogenous base for each) nucleoside, andm C means 5-methylcytosine. Subscripts: "e" means 2'-MOE modified nucleoside; "d" means β-D-2'-deoxyribonucleoside;"s" means thiophosphate internucleoside bond (PS); "o" means a phosphodiester internucleoside bond (PO); and "o'" means -O-P(=O)(OH)-. Conjugate groups are shown in bold.

Структура GalNAc3-3a показана ранее в Примере 39. Структура GalNAc3-17а показана ранее в Примере 68, а структура GalNAc3-18а показана ранее в Примере 69.The structure of GalNAc3 -3a is shown earlier in Example 39. The structure of GalNAc3 -17a is shown earlier in Example 68 and the structure of GalNAc3 -18a is shown earlier in Example 69.

ЛечениеTreatment

Шести-восьминедельным мышам C57dl6 (Jackson Laboratory, Бар-Харбор, штат Мэн) ввели однократную подкожную инъекцию дозы, представленной ниже,) олигонуклеотида, перечисленного в Таблице 47, или солевого раствора. Каждая экспериментальная группа состояла из 4 животных. Мышей умертвили через 72 часов после последнего введения для определения уровней мРНК SRB-1 в печени при помощи ПЦР в реальном времени и реагента для количественного определения РНК RIBOGREEN® (Molecular Probes, Inc., Юджин, штат Орегон) по стандартным протоколам. Результаты, показанные ниже, представлены как средний процент уровней мРНК SRB-1 для каждой экспериментальной группы, нормализованных к контрольному образцу, обработанному солевым раствором.Six to eight week old C57dl6 mice (Jackson Laboratory, Bar Harbor, Maine) were given a single subcutaneous injection of the dose below) of the oligonucleotide listed in Table 47 or saline. Each experimental group consisted of 4 animals. Mice were sacrificed 72 hours after the last injection to determine hepatic SRB-1 mRNA levels using real-time PCR and RIBOGREEN® RNA quantitation reagent (Molecular Probes, Inc., Eugene, Oregon) according to standard protocols. The results shown below are presented as the average percentage of SRB-1 mRNA levels for each experimental group, normalized to a saline treated control.

Как показано в Таблице 48, лечение антисмыеловыми олигонуклеотидами снижает уровни мРНК SRB-1 дозозависимым образом. Антисмысловые олигонуклеотиды, содержащие конъюгат GalNAc, демонстрируют равные эффективности и являются значительно более эффективными, чем исходный олигонуклеотид, не имеющий конъюгата GalNAc.As shown in Table 48, treatment with anti-smeel oligonucleotides reduces SRB-1 mRNA levels in a dose-dependent manner. Antisense oligonucleotides containing a GalNAc conjugate show equal potency and are significantly more effective than the original oligonucleotide lacking a GalNAc conjugate.

Figure 00000296
Figure 00000296

Уровни трансаминазы в печени, аланин-аминотрансферазы (ALT) и аспартат-аминотрансферазы (AST) в сыворотке измеряли относительно мышей, инъецированных солевым раствором, применяя стандартные протоколы. Оценили также общий билирубин и азот мочевины крови (АМК). Проверили изменение массы тела, которое существенно не отличалось от группы с солевым раствором (данные не показаны). Значения ALT, AST, общего билирубина и АМК представлены ниже в Таблице 49.Serum levels of liver transaminase, alanine aminotransferase (ALT), and aspartate aminotransferase (AST) were measured relative to saline-injected mice using standard protocols. Total bilirubin and blood urea nitrogen (BUN) were also assessed. The change in body weight was checked, which was not significantly different from the saline group (data not shown). ALT, AST, total bilirubin, and BUN values are shown in Table 49 below.

Figure 00000297
Figure 00000297

Пример 75. Фармакокинетический анализ олигонуклеотидов, содержащих 5'-конъюгирующую группуExample 75 Pharmacokinetic Analysis of Oligonucleotides Containing a 5'-Conjugating Group

ФК ASO, представленных выше в Таблицах 41, 44 и 47, оценили с применением образцов печени, которые получили после выполнения способов лечения, описанных в Примерах 65, 66 и 74. Образцы печени измельчили и экстрагировали по стандартным протоколам, и анализировали при помощи ИП-ВЭЖХ-МС вместе с внутренним стандартом. Суммарный уровень (мкг/г) всех метаболитов в ткани измерили интегрированием соответствующих УФ пиков, а уровни в ткани ASO полной длины, не содержащих конъюгата («исходное», в данном случае Isis №353382), измерили с применением подходящих ион-экстракционных хроматограмм (EIC).The FA of ASO shown in Tables 41, 44 and 47 above was evaluated using liver samples obtained after performing the treatments described in Examples 65, 66 and 74. Liver samples were minced and extracted according to standard protocols and analyzed using IP- HPLC-MS along with internal standard. The total level (μg/g) of all metabolites in tissue was measured by integrating the corresponding UV peaks, and tissue levels of full-length ASO containing no conjugate ("base", in this case Isis #353382) were measured using appropriate ion-extraction chromatograms ( EIC).

Figure 00000298
Figure 00000298

Результаты, представленные выше в Таблице 50, демонстрируют, что наблюдали более высокие уровни в печени олигонуклеотидов, содержащих конъюгирующую группу GalNAc3, чем исходного олигонуклеотида, не содержащего конъюгирующую группу GalNAc3 (ISIS 353382) через 72 часа после введения олигонуклеотида, особенно с учетом введения различных доз для олигонуклеотидов с группой конъюгата GalNAc3 и без нее. Кроме того, через 72 часа 40-98% каждого олигонуклеотида, содержащего конъюгирующую группу GalNAc3, было метаболизировано до исходного соединения, что указывает на то, что конъюгирующие группы GalNAc3 расщепляются в указанных олигонуклеотидах.The results presented in Table 50 above demonstrate that higher levels were observed in the liver of oligonucleotides containing the GalNAc3 conjugation group than the original oligonucleotide not containing the GalNAc3 conjugation group (ISIS 353382) 72 hours after the administration of the oligonucleotide, especially considering the administration of various doses for oligonucleotides with and without a GalNAc3 conjugate group. In addition, after 72 hours, 40-98% of each oligonucleotide containing a GalNAc3 conjugating group was metabolized to the parent compound, indicating that the GalNAc3 conjugating groups were cleaved in these oligonucleotides.

Пример 76. Получение олигомерного соединения 230, содержащего GalNAc3-23Example 76 Preparation of Oligomeric Compound 230 Containing GalNAc3 -23

Figure 00000299
Figure 00000299

Figure 00000300
Figure 00000300

Figure 00000301
Figure 00000301

Соединение 222 имеется в продаже. 44,48 мл (0,33 моль) соединения 222 обрабатывали тозилхлоридом (25,39 г, 0,13 моль) в пиридине (500 мл) в течение 16 часов. Затем реакционную смесь выпарили до маслянистого вещества, растворили в EtOAc и промыли водой, насыщенным раствором NaHCO3, насыщенным солевым раствором и высушили над Na2SO4. Этилацетат концентрировали досуха и очистили колоночной хроматографией, элюировали EtOAc в гексанах (1:1), затем 10% метанола в CH2Cl2 с получением соединения 223 в виде бесцветного маслянистого вещества. Данные ЖХМС и ЯМР согласовались с указанной структурой. 10 г (32,86 ммоль) 1 -тозилтриэти лен гликоля (соединение 223) обрабатывали азидом натрия (10,68 г, 164,28 ммоль) в ДМСО (100 мп) при комнатной температуре в течение 17 часов. Затем реакционную смесь вылили в воду и экстрагировали EtOAc. Органический слой три раза промыли водой и высушили над Na2SO4. Органический слой концентрировали досуха с получением 5,3 г соединения 224 (92%). Данные ЖХМС и ЯМР согласовались с указанной структурой. 1-Азидотриэтиленгликоль (соединение 224, 5,53 г, 23,69 ммоль) и соединение 4 (6 г, 18,22 ммоль) обработали 4А молекулярными ситами (5 г) и TMSOTf (1,65 мп, 9,11 ммоль) в дихлорметане (100 мл) под инертной атмосферой. Через 14 часов реакционную смесь отфильтровали для удаления сит, а органический слой промыли насыщенным раствором NaHCO3, водой, насыщенным солевым раствором и высушили над Na2SO4. Органический слой концентрировали досуха и очистили колоночной хроматографией, элюировали градиентом от 2 до 4% метанола в дихлорметане с получением соединения 225. Данные ЖХМС и ЯМР согласовались со структурой. Соединение 225 (11,9 г, 23,59 ммоль) гидрировали в EtOAc/метаноле (4:1, 250 мл) на катализаторе Перлмана. Через 8 часов катализатор удалили фильтрованием, а растворители удалили досуха с получением соединения 226. Данные ЖХМС и ЯМР согласовались со структурой.Compound 222 is commercially available. 44.48 ml (0.33 mol) of compound 222 was treated with tosyl chloride (25.39 g, 0.13 mol) in pyridine (500 ml) for 16 hours. The reaction mixture was then evaporated to an oil, dissolved in EtOAc and washed with water, saturated NaHCO3 solution, brine and dried over Na2 SO4 . Ethyl acetate was concentrated to dryness and purified by column chromatography, eluting with EtOAc in hexanes (1:1) then 10% methanol in CH2 Cl2 to give compound 223 as a colorless oil. The LCMS and NMR data were consistent with the indicated structure. 10 g (32.86 mmol) of 1-tosyltriethylene glycol (compound 223) was treated with sodium azide (10.68 g, 164.28 mmol) in DMSO (100 mP) at room temperature for 17 hours. The reaction mixture was then poured into water and extracted with EtOAc. The organic layer was washed three times with water and dried over Na2 SO4 . The organic layer was concentrated to dryness to give 5.3 g of compound 224 (92%). The LCMS and NMR data were consistent with the indicated structure. 1-Azidotriethylene glycol (compound 224, 5.53 g, 23.69 mmol) and compound 4 (6 g, 18.22 mmol) were treated with 4A molecular sieves (5 g) and TMSOTf (1.65 mp, 9.11 mmol) in dichloromethane (100 ml) under an inert atmosphere. After 14 hours the reaction mixture was filtered to remove sieves and the organic layer was washed with saturated NaHCO3 , water, brine and dried over Na2 SO4 . The organic layer was concentrated to dryness and purified by column chromatography, eluting with a gradient of 2 to 4% methanol in dichloromethane to give compound 225. LCMS and NMR data were consistent with the structure. Compound 225 (11.9 g, 23.59 mmol) was hydrogenated in EtOAc/methanol (4:1, 250 mL) over a Pearlman catalyst. After 8 hours the catalyst was removed by filtration and the solvents were removed to dryness to give compound 226. LCMS and NMR data were consistent with the structure.

Для получения соединения 227 раствор нитрометантриспропионовой кислоты (4,17 г, 15,04 ммоль) и основание Хюнига (10,3 мл, 60,17 ммоль) в ДМФА (100 мл) по каплям обработали пентафтортрифтор ацетатом (9,05 мл, 52,65 ммоль). Через 30 минут реакционную смесь вылили в ледяную воду и экстрагировали EtOAc. Органический слой промыли водой, насыщенным солевым раствором и высушили над Na2SO4. Органический слой концентрировали досуха, а затем перекристаллизовали из гептана с получением соединения 227 в виде белого твердого вещества. Данные ЖХМС и ЯМР согласовались с указанной структурой. Соединение 227 (1,5 г, 1,93 ммоль) и соединение 226 (3,7 г, 7,74 ммоль) перемешивали при комнатной температуре в ацетонитриле (15 мл) в течение 2 часов. Затем реакционную смесь выпарили досуха и очистили колоночной хроматографией, элюируя градиентом от 2 до 10% метанола в дихлорметане, с получением соединения 228. Данные ЖХМС и ЯМР согласовались со структурой. Соединение 228 (1,7 г, 1,02 ммоль) обработали никелем Ренея (около 2 г, влажный) в этаноле (100 мл) в атмосфере водорода. Через 12 часов катализатор удалили фильтрованием, а органический слой выпарили до твердого вещества, которое применили непосредственно на следующей стадии. Данные ЖХМС и ЯМР согласовались с указанной структурой. Это твердое вещество (0,87 г, 0,53 ммоль) обработали бензилглутаровой кислотой (0,18 г, 0,8 ммоль), HBTU (0,3 г, 0,8 ммоль) и DIEA (273,7 мкл, 1,6 ммоль) в ДМФА (5 мл). Через 16 часов ДМФА удалили под пониженным давлением при 65°С до маслянистого вещества, и это маслянистое вещество растворили в дихлорметане. Органический слой промыли насыщенным раствором NaHCO3, насыщенным солевым раствором и высушили над Na2SO4. После выпаривания органического слоя соединение очистили колоночной хроматографией и элюировали градиентом от 2 до 20% метанола в дихлорметане с получением связанного продукта. Данные ЖХМС и ЯМР согласовались с указанной структурой. С бензилового эфира сняли защиту на катализаторе Перлмана в атмосфере водорода в течение 1 часа. Затем катализатор удалили фильтрованием, а растворители удалили досуха с получением кислоты. Данные ЖХМС и ЯМР согласовались с указанной структурой. Эту кислоту (486 мг, 0,27 ммоль) растворили в сухом ДМФА (3 мл). Добавили пиридин (53,61 мкл, 0,66 ммоль) и продули реакционную смесь аргоном. К реакционной смеси медленно добавили пентафтортрифтор ацетат (46,39 мкл, 0,4 ммоль). Цвет реакционной смеси изменился с бледно-желтого на винный, и появился легкий дымок, который улетучился с потоком аргона. Реакционную смесь оставили перемешиваться при комнатной температуре на один час (завершение реакции подтвердили по ЖХМС). Растворитель удалили под пониженным давлением (ротационный испаритель) при 70°С. Остаток разбавили ДХМ и промыли 1 н. NaHSO4, насыщенным солевым раствором, насыщенным раствором бикарбоната натрия и снова насыщенным солевым раствором. Органический слой высушили над Na2SO4, отфильтровали и концентрировали досуха с получением 225 мг соединения 229 в виде хрупкой желтой пены. Данные ЖХМС и ЯМР согласовались с указанной структурой.To obtain compound 227, a solution of nitromethanetripropionic acid (4.17 g, 15.04 mmol) and Hunig's base (10.3 ml, 60.17 mmol) in DMF (100 ml) was treated dropwise with pentafluorotrifluoro acetate (9.05 ml, 52 .65 mmol). After 30 minutes the reaction mixture was poured into ice water and extracted with EtOAc. The organic layer was washed with water, brine and dried over Na2 SO4 . The organic layer was concentrated to dryness and then recrystallized from heptane to give compound 227 as a white solid. The LCMS and NMR data were consistent with the indicated structure. Compound 227 (1.5 g, 1.93 mmol) and compound 226 (3.7 g, 7.74 mmol) were stirred at room temperature in acetonitrile (15 ml) for 2 hours. The reaction mixture was then evaporated to dryness and purified by column chromatography eluting with a gradient of 2 to 10% methanol in dichloromethane to give compound 228. LCMS and NMR data were consistent with the structure. Compound 228 (1.7 g, 1.02 mmol) was treated with Raney nickel (ca. 2 g, wet) in ethanol (100 ml) under a hydrogen atmosphere. After 12 hours the catalyst was removed by filtration and the organic layer was evaporated to a solid which was used directly in the next step. The LCMS and NMR data were consistent with the indicated structure. This solid (0.87 g, 0.53 mmol) was treated with benzylglutaric acid (0.18 g, 0.8 mmol), HBTU (0.3 g, 0.8 mmol) and DIEA (273.7 µl, 1 .6 mmol) in DMF (5 ml). After 16 hours, DMF was removed under reduced pressure at 65°C to an oily substance, and this oily substance was dissolved in dichloromethane. The organic layer was washed with saturated NaHCO3 , brine and dried over Na2 SO4 . After evaporation of the organic layer, the compound was purified by column chromatography and eluted with a gradient of 2 to 20% methanol in dichloromethane to give the bound product. The LCMS and NMR data were consistent with the indicated structure. The benzyl ether was deprotected on a Pearlman catalyst under a hydrogen atmosphere for 1 hour. The catalyst was then removed by filtration and the solvents were removed to dryness to give the acid. The LCMS and NMR data were consistent with the indicated structure. This acid (486 mg, 0.27 mmol) was dissolved in dry DMF (3 ml). Pyridine (53.61 µl, 0.66 mmol) was added and the reaction mixture was purged with argon. Pentafluorotrifluoroacetate (46.39 µl, 0.4 mmol) was slowly added to the reaction mixture. The color of the reaction mixture changed from pale yellow to burgundy, and a light haze appeared, which escaped with a stream of argon. The reaction mixture was allowed to stir at room temperature for one hour (completion of the reaction was confirmed by LCMS). The solvent was removed under reduced pressure (rotary evaporator) at 70°C. The residue was diluted with DCM and washed with 1N. NaHSO4 , brine, brine, and again brine. The organic layer was dried over Na2 SO4 , filtered and concentrated to dryness to give 225 mg of compound 229 as a brittle yellow foam. The LCMS and NMR data were consistent with the indicated structure.

Олигомерное Соединение 230, содержащее конъюгирующую группу GalNAc3-23, получили из соединения 229 по общим способам, представленным в Примере 46. Кластерная часть GalNAc3 конъюгирующей группы GalNAc3-23 (GalNAc3-23a) может быть комбинирована с любым расщепляемым фрагментом для получения различных конъюгирующих групп. Структура GalNAc3-23 (GalNAc3-23a-CM) представлена ниже:Oligomeric Compound 230 containing a GalNAc3 -23 conjugation group was prepared from compound 229 by the general methods presented in Example 46. The GalNAc3 cluster portion of the GalNAc 3 -23 conjugation group (GalNAc 3-23a) can be combined with any cleavable moiety to obtaining various conjugating groups. The structure of GalNAc3 -23 (GalNAc3 -23a -CM) is shown below:

Figure 00000302
Figure 00000302

Пример 77. Антисмысловое ингибирование in vivo под действием олигонуклеотидов, нацеленных на SRB-1, содержащих конъюгат GalNAc3Example 77 In Vivo Antisense Inhibition by SRB-1 Targeting Oligonucleotides Containing a GalNAc3 Conjugate

Олигонуклеотиды, перечисленные ниже, испытали в дозозависимом исследовании антисмыслового ингибирования SRB-1 у мышей.The oligonucleotides listed below were tested in a dose-dependent study of antisense inhibition of SRB-1 in mice.

Figure 00000303
Figure 00000303

Figure 00000304
Figure 00000304

Структура GalNAc3-1a показана ранее в Примере 9, GalNAc3-3а показана в Примере 39, GalNAc3-9а показана в Примере 52, GalNAc3-10а показана в Примере 46, GalNAc3-19a показана в Примере 70, GalNAc3-20a показана в Примере 71, и GalNAc3-23a показана в Примере 76.The structure of GalNAc3 -1a is shown earlier in Example 9, GalNAc3 -3a is shown in Example 39, GalNAc3 -9a is shown in Example 52, GalNAc3 -10a is shown in Example 46, GalNAc3 -19a is shown in Example 70, GalNAc3 -20a is shown in Example 71 and GalNAc3 -23a is shown in Example 76.

ЛечениеTreatment

Шести-восьминедельным мышам C57dl6 (Jackson Laboratory, Бар-Харбор, штат Мэн) ввели однократную подкожную инъекцию дозы, представленной ниже, олигонуклеотида, перечисленного в Таблице 51, или солевого раствора. Каждая экспериментальная группа состояла из 4 животных. Мышей умертвили через 72 часов после последнего введения для определения уровней мРНК SRB-1 в печени при помощи ПЦР в реальном времени и реагента для количественного определения РНК RIBOGREEN® (Molecular Probes, Inc., Юджин, штат Орегон) по стандартным протоколам. Результаты, показанные ниже, представлены как средний процент уровней мРНК SRB-1 для каждой экспериментальной группы, нормализованных к контрольному образцу, обработанному солевым раствором.Six to eight week old C57dl6 mice (Jackson Laboratory, Bar Harbor, Maine) were given a single subcutaneous injection of the dose below, the oligonucleotide listed in Table 51, or saline. Each experimental group consisted of 4 animals. Mice were sacrificed 72 hours after the last injection to determine hepatic SRB-1 mRNA levels using real-time PCR and RIBOGREEN® RNA quantitation reagent (Molecular Probes, Inc., Eugene, Oregon) according to standard protocols. The results shown below are presented as the average percentage of SRB-1 mRNA levels for each experimental group, normalized to a saline treated control.

Как показано в Таблице 52, лечение антисмыеловыми олигонуклеотидами снижает уровни мРНК SRB-1 дозозависимым образом.As shown in Table 52, treatment with anti-smeel oligonucleotides reduces SRB-1 mRNA levels in a dose-dependent manner.

Figure 00000305
Figure 00000305

Figure 00000306
Figure 00000306

Измерили также уровни трансаминазы в печени, аланин-аминотрансферазы (ALT) и аспартат-аминотрансферазы (AST) в сыворотке, применяя стандартные протоколы. Оценили также общий билирубин и азот мочевины крови (АМК). Проверили изменение массы тела, которое существенно не отличалось от группы с солевым раствором (данные не показаны). Значения ALT, AST, общего билирубина и АМК представлены ниже вHepatic transaminase, alanine aminotransferase (ALT), and serum aspartate aminotransferase (AST) levels were also measured using standard protocols. Total bilirubin and blood urea nitrogen (BUN) were also assessed. The change in body weight was checked, which was not significantly different from the saline group (data not shown). ALT, AST, total bilirubin and BUN values are presented below in

Figure 00000307
Figure 00000307

Figure 00000308
Figure 00000308

Пример 78. Антисмысловое ингибирование in vivo под действием олигонуклеотидов, нацеленных на ангиотензиноген, содержащих конъюгат GalNAc3Example 78 In Vivo Antisense Inhibition by Angiotensinogen Targeting Oligonucleotides Containing a GalNAc3 Conjugate

Олигонуклеотиды, перечисленные ниже, испытали в дозозависимом исследовании антисмыслового ингибирования ангиотензиногена (AGT) у нормотензивных мышей Спрага-Доули.The oligonucleotides listed below were tested in a dose-dependent antisense angiotensinogen (AGT) inhibition study in normotensive Sprague-Dawley mice.

Figure 00000309
Figure 00000309

Структура GalNAc3-1a показана ранее в Примере 9.The structure of GalNAc3 -1a is shown earlier in Example 9.

ЛечениеTreatment

Шестинедельным самцам крыс Спрага-Доули один раз в неделю вводили подкожную инъекцию дозы, представленной ниже, в целом три дозы олигонуклеотида, перечисленного в Таблице 54, или PBS. Каждая экспериментальная группа состояла из 4 животных. Крыс умертвили через 72 часа после последней дозы. Уровни мРНК AGT в печени измерили при помощи ПЦР в реальном времени и реагента для количественного определения РНК RIBOGREEN® (Molecular Probes, Inc., Юджин, штат Орегон) по стандартным протоколам. Уровни белка AGT в плазме измерили при помощи твердофазного иммуноферментного анализа для определения общего ангиотензиногена (кат. № JP27412, IBL International, Торонто, штат Онтарио) с разбавлением плазмы 1:20000. Результаты, показанные ниже, представлены как средний процент от уровней мРНК AGT в печени или от уровней белка AGT в плазме для каждой экспериментальной группы, нормализованных к контрольному образцу с PBS.Six-week-old male Sprague-Dawley rats were injected subcutaneously once a week with the dose below, for a total of three doses of the oligonucleotide listed in Table 54, or PBS. Each experimental group consisted of 4 animals. Rats were sacrificed 72 hours after the last dose. Liver AGT mRNA levels were measured using real-time PCR and RIBOGREEN® RNA quantitation reagent (Molecular Probes, Inc., Eugene, OR) according to standard protocols. Plasma AGT protein levels were measured using a total angiotensinogen enzyme-linked immunosorbent assay (Cat. No. JP27412, IBL International, Toronto, Ontario) with a plasma dilution of 1:20,000. The results shown below are presented as the mean percentage of liver AGT mRNA levels or plasma AGT protein levels for each experimental group, normalized to PBS control.

Как показано в Таблице 55, лечение антисмысловыми олигонуклеотидами снижает уровни мРНК AGT в печени и уровни белка в плазме дозозависимым образом, и олигонуклеотид, содержащий конъюгат GalNAc, был значительно более эффективным, чем исходный олигонуклеотид, не содержащий конъюгата GalNAc.As shown in Table 55, treatment with antisense oligonucleotides reduced hepatic AGT mRNA levels and plasma protein levels in a dose-dependent manner, and the oligonucleotide containing the GalNAc conjugate was significantly more effective than the original oligonucleotide not containing the GalNAc conjugate.

Figure 00000310
Figure 00000310

Figure 00000311
Figure 00000311

Измерили также уровни трансаминазы в печени, аланин-аминотрансферазы (ALT) и аспартат-аминотрансферазы (AST) в плазме, а также массу тела в момент умерщвления, применяя стандартные протоколы. Результаты представлены ниже в Таблице 56.Hepatic transaminase, alanine aminotransferase (ALT) and aspartate aminotransferase (AST) plasma levels were also measured, as well as body weight at the time of sacrifice using standard protocols. The results are presented below in Table 56.

Figure 00000312
Figure 00000312

Пример 79. Продолжительность действия in vivo олигонуклеотидов, нацеленных на АРОС-III, содержащих конъюгат GalNAc3Example 79 Duration of In Vivo Action of Oligonucleotides Targeting APOC-III Containing a GalNAc3 Conjugate

Олигонуклеотиды, перечисленные ниже в Таблице 57, испытали в исследовании однократной дозы на продолжительность действия у мышей.The oligonucleotides listed in Table 57 below were tested in a single dose duration study in mice.

Figure 00000313
Figure 00000313

Figure 00000314
Figure 00000314

Структура GalNAc3-1a показана ранее в Примере 9, GalNAc3-3a показана в Примере 39, GalNAc3-7a показана в Примере 48, GalNAc3-10a показана в Примере 46, и GalNAc3-13a показана в Примере 62.The structure of GalNAc3 -1a is shown earlier in Example 9, GalNAc3 -3a is shown in Example 39, GalNAc3 -7a is shown in Example 48, GalNAc3 -10a is shown in Example 46, and GalNAc3 -13a is shown in Example 62.

ЛечениеTreatment

Шести-восьминедельным трансгенным мышам, экспрессирующим человеческий АРОС-III, ввели однократную подкожную инъекцию олигонуклеотида, перечисленного в Таблице 57, или PBS. Каждая экспериментальная группа состояла из 3 животных. Образцы крови брали до введения дозы для определения исходного значения, а также через 72 часа, 1 неделю, 2 недели, 3 недели, 4 недели, 5 недель и 6 недель после введения дозы. Уровни триглицеридов и белка АРОС-III в плазме измерили так, как описано в Примере 20. Результаты, показанные ниже, представлены как средний процент от уровней триглицеридов и АРОС-III в плазме для каждой экспериментальной группы, нормализованных и исходным значениям, и они демонстрируют, что олигонуклеотиды, содержащие конъюгирующую группу GalNAc, обладают более продолжительным действием, чем исходный олигонуклеотид, не содержащий конъюгирующую группу (ISIS 304801) даже несмотря на то, что доза исходного соединения была в три раза выше, чем доза олигонуклеотидов, содержащих конъюгирующую группу GalNAc.Six to eight week old transgenic mice expressing human APOC-III were given a single subcutaneous injection of the oligonucleotide listed in Table 57 or PBS. Each experimental group consisted of 3 animals. Blood samples were taken pre-dose to determine baseline, and 72 hours, 1 week, 2 weeks, 3 weeks, 4 weeks, 5 weeks and 6 weeks post-dose. Plasma triglyceride and APOC-III protein levels were measured as described in Example 20. The results shown below are presented as the mean percentage of triglyceride and APOC-III plasma levels for each experimental group, normalized and baseline, and they demonstrate that oligonucleotides containing the GalNAc conjugation group have a longer duration of action than the original oligonucleotide without the conjugation group (ISIS 304801) even though the dose of the original compound was three times higher than the dose of the oligonucleotides containing the GalNAc conjugation group.

Figure 00000315
Figure 00000315

Figure 00000316
Figure 00000316

Figure 00000317
Figure 00000317

Пример 80. Антисмысловое ингибирование in vivo под действием олигонуклеотидов, нацеленных на альфа-1 антитрипсин (А1АТ), содержащих конъюгат GalNAc3Example 80 In vivo antisense inhibition by oligonucleotides targeting alpha-1 antitrypsin (A1AT) containing a GalNAc3 conjugate

Олигонуклеотиды, перечисленные ниже в Таблице 59, испытали в исследовании дозозависимого ингибирования A1AT у мышей.The oligonucleotides listed in Table 59 below were tested in a dose dependent A1AT inhibition study in mice.

Figure 00000318
Figure 00000318

Структура GalNAc3-1a показана ранее в Примере 9, GalNAc3-3a показана в Примере 39, GalNAc3-7a показана в Примере 48, GalNAc3-10a показана в Примере 46, и GalNAc3-13a показана в Примере 62.The structure of GalNAc3 -1a is shown earlier in Example 9, GalNAc3 -3a is shown in Example 39, GalNAc3 -7a is shown in Example 48, GalNAc3 -10a is shown in Example 46, and GalNAc3 -13a is shown in Example 62.

ЛечениеTreatment

Шестинедельным самцам мышей C57BL/6 (Jackson Laboratory, Бар-Харбор, штат Мэн) один раз в неделю вводили подкожную инъекцию дозы, представленной ниже, в целом три дозы олигонуклеотида, перечисленного в Таблице 59, или PBS. Каждая экспериментальная группа состояла из 4 животных. Мышей умертвили через 72 часа после последнего введения. Уровни мРНК А1АТ в печени определили при помощи ПЦР в реальном времени и реагента для количественного определения РНК RIBOGREEN® (Molecular Probes, Inc., Юджин, штат Орегон) по стандартным протоколам. Уровни белка А1АТ в плазме определили при помощи твердофазного иммуноферментного анализа для определения мышиного альфа 1-антитрипсина (кат. № 41-A1AMS-E01, Alpco, Салем, штат Нью-Гэмпшир). Результаты, показанные ниже, представлены как средний процент уровней мРНК А1АТ в печени и белка в плазме для каждой экспериментальной группы, нормализованных к контрольному образцу с PBS.Six week old male C57BL/6 mice (Jackson Laboratory, Bar Harbor, Maine) were injected subcutaneously once a week with the dose below, for a total of three doses of the oligonucleotide listed in Table 59 or PBS. Each experimental group consisted of 4 animals. Mice were sacrificed 72 hours after the last injection. Liver A1AT mRNA levels were determined using real-time PCR and RIBOGREEN® RNA quantitation reagent (Molecular Probes, Inc., Eugene, Oregon) according to standard protocols. Plasma A1AT protein levels were determined using an enzyme-linked immunosorbent assay for mouse alpha 1 antitrypsin (Cat. No. 41-A1AMS-E01, Alpco, Salem, NH). The results shown below are presented as the mean percentage of liver A1AT mRNA and plasma protein levels for each experimental group, normalized to the PBS control.

Как показано в Таблице 60, лечение антисмысловыми олигонуклеотидами снижает уровни мРНК А1АТ в печени и уровни белка А1АТ в плазме дозозависимым образом. Олигонуклеотиды, содержащие конъюгат GalNAc, были значительно более эффективными, чем исходное соединение (ISIS 476366).As shown in Table 60, antisense oligonucleotide treatment reduces hepatic A1AT mRNA levels and plasma A1AT protein levels in a dose-dependent manner. Oligonucleotides containing the GalNAc conjugate were significantly more effective than the parent compound (ISIS 476366).

Figure 00000319
Figure 00000319

Во время умерщвления измерили уровни трансаминазы в печени и АМК в плазме по стандартным протоколам. Измерили также массы тела и массы органов. Результаты представлены ниже в Таблице 61. Масса тела представлена как % относительно исходного значения. Массы органов представлены как % от массы тела относительно контрольной группы с PBS.At the time of sacrifice, liver transaminase and plasma BUN levels were measured according to standard protocols. Body weights and organ weights were also measured. The results are shown in Table 61 below. Body weight is presented as % of baseline. Organ weights are presented as % of body weight relative to the PBS control group.

Figure 00000320
Figure 00000320

Пример 81. Продолжительность действия in vivo олигонуклеотидов, нацеленных на А1АТ, содержащих кластер GalNAc3Example 81 In vivo duration of action of A1AT-targeted oligonucleotides containing the GalNAc3 cassette

Олигонуклеотиды, перечисленные в Таблице 59, испытали в исследовании однократной дозы на продолжительность действия у мышей.The oligonucleotides listed in Table 59 were tested in a single dose duration study in mice.

ЛечениеTreatment

Шестинедельным самцам мышей C57BL/6 ввели однократную подкожную инъекцию олигонуклеотида, перечисленного в Таблице 59, или PBS. Каждая экспериментальная группа состояла из 4 животных. Образцы крови брали за день до введения дозы для определения исходного значения, а также на 5, 12, 19 и 25 день после | введения дозы. Уровни белка А1АТ в плазме измерили при помощи твердофазного иммуноферментного анализа (см. Пример 80). Результаты, показанные ниже, представлены как средний процент уровней белка А1АТ в плазме для каждой экспериментальной группы, нормализованных к исходным уровням. Результаты демонстрируют, что олигонуклеотиды, содержащие конъюгат GalNAc, были более эффективными и имели более продолжительное действие, чем исходное соединение без конъюгата GalNAc (ISIS 476366). Кроме того, олигонуклеотиды, содержащие 5'-GalNAc конъюгат (ISIS 678381, 678382, 678383 и 678384), были, в целом, еще более эффективными с еще более продолжительным действием, чем олигонуклеотид, содержащий 3'-GalNAc конъюгат (ISIS 656326).Six week old male C57BL/6 mice were given a single subcutaneous injection of the oligonucleotide listed in Table 59 or PBS. Each experimental group consisted of 4 animals. Blood samples were taken the day before the dose to determine the initial value, as well as 5, 12, 19 and 25 days after | dose administration. Plasma A1AT protein levels were measured by enzyme-linked immunosorbent assay (see Example 80). The results shown below are presented as the average percentage of A1AT protein levels in plasma for each experimental group, normalized to baseline levels. The results demonstrate that the oligonucleotides containing the GalNAc conjugate were more effective and lasted longer than the parent compound without the GalNAc conjugate (ISIS 476366). In addition, oligonucleotides containing 5'-GalNAc conjugate (ISIS 678381, 678382, 678383 and 678384) were, in general, even more effective with even longer duration of action than oligonucleotide containing 3'-GalNAc conjugate (ISIS 656326).

Figure 00000321
Figure 00000321

Figure 00000322
Figure 00000322

Пример 82. Антисмысловое ингибирование in vitro под действием олигонуклеотидов, нацеленных на SRB-1, содержащих конъюгат GalNAc3Example 82 In Vitro Antisense Inhibition by SRB-1 Targeting Oligonucleotides Containing a GalNAc3 Conjugate

Первичные гепатоциты печени мышей высеивали в 96-луночные планшеты при 15000 клеток на лунку за 2 часа до обработки. Олигонуклеотиды, перечисленные в Таблице 63, добавили в концентрации 2, 10, 50 или 250 нМ в среде Уильяма Е, и инкубировали клетки в течение ночи при 37°С в 5% СО2. Клетки лизировали через 16 часов после добавления олигонуклеотида, а общую РНК очистили при помощи RNease 3000 BioRobot (Qiagen). Уровни мРНК SRB-1 определили при помощи ПЦР в реальном времени и реагента для количественного определения РНК RIBOGREEN® (Molecular Probes, Inc., Юджин, штат Орегон) по стандартным протоколам. Значения IC50 определили при помощи программы Prism 4 (GraphPad). Результаты демонстрируют, что олигонуклеотиды, содержащие множество различных конъюгирующих групп GalNAc и множество различных расщепляемых фрагментов, являются значительно более эффективными в in vitro эксперименте свободного поглощения, чем исходные олигонуклеотиды, не содержащие конъюгирующую группу GalNAc (ISIS 353382 и 666841).Primary mouse liver hepatocytes were plated in 96-well plates at 15,000 cells/well 2 hours prior to treatment. The oligonucleotides listed in Table 63 were added at 2, 10, 50 or 250 nM in William E medium and the cells were incubated overnight at 37° C. in 5% CO2 . Cells were lysed 16 hours after adding the oligonucleotide and total RNA was purified using RNease 3000 BioRobot (Qiagen). SRB-1 mRNA levels were determined using real-time PCR and RIBOGREEN® RNA quantitation reagent (Molecular Probes, Inc., Eugene, Oregon) according to standard protocols. IC50 values were determined using the Prism 4 program (GraphPad). The results demonstrate that oligonucleotides containing a variety of different GalNAc conjugation groups and a variety of different cleavable moieties are significantly more efficient in an in vitro free uptake experiment than the original oligonucleotides lacking a GalNAc conjugation group (ISIS 353382 and 666841).

Figure 00000323
Figure 00000323

Figure 00000324
Figure 00000324

Figure 00000325
Figure 00000325

Структура GalNAc3-1a показана ранее в Примере 9, GalNAc3-3a показана в Примере 39, GalNAc3-5а показана в Примере 49, GalNAc3-6a показана в Примере 51, GalNAc3-7a показана в Примере 48, GalNAc3-8a показана в Примере 47, GalNAc3-9a показана в Примере 52, GalNAc3-10a показана в Примере 46, GalNAc3-12a показана в Примере 61, GalNAc3-13a показана в Примере 62, GalNAc3-14а показана в Примере 63, GalNAc3-15а показана в Примере 64, GalNAc3-17a показана в Примере 68, GalNAc3-18a показана в Примере 69, GalNAc3-19а показана в Примере 70, GalNAc3-20a показана в Примере 71, и GalNAc3-23a показана в Примере 76.The structure of GalNAc3 -1a is shown earlier in Example 9, GalNAc3 -3a is shown in Example 39, GalNAc3 -5a is shown in Example 49, GalNAc3 -6a is shown in Example 51, GalNAc3 -7a is shown in Example 48, GalNAc3 -8a is shown in Example 47, GalNAc3 -9a is shown in Example 52, GalNAc3 -10a is shown in Example 46, GalNAc3 -12a is shown in Example 61, GalNAc3 -13a is shown in Example 62, GalNAc3 -14a shown in Example 63, GalNAc3 -15a shown in Example 64, GalNAc3 -17a shown in Example 68, GalNAc3 -18a shown in Example 69, GalNAc3 -19a shown in Example 62 70, GalNAc3 -20a is shown in Example 71 and GalNAc3 -23a is shown in Example 76.

Пример 83. Антисмысловое ингибирование in vivo под действием олигонуклеотидов, нацеленных на фактор XI, содержащих кластер GalNAc3Example 83 In Vivo Antisense Inhibition by Factor XI Targeting Oligonucleotides Containing the GalNAc3 Cluster

Олигонуклеотиды, перечисленные ниже в Таблице 64, испытали в исследовании дозозависимого ингибирования фактора XI у мышей.The oligonucleotides listed in Table 64 below were tested in a dose dependent factor XI inhibition study in mice.

Figure 00000326
Figure 00000326

Figure 00000327
Figure 00000327

Структура GalNAc3-1a показана ранее в Примере 9, GalNAc3-3a показана в Примере 39, GalNAc3-7a показана в Примере 48, GalNAc3-10a показана в Примере 46, и GalNAc3-13a показана в Примере 62.The structure of GalNAc3 -1a is shown earlier in Example 9, GalNAc3 -3a is shown in Example 39, GalNAc3 -7a is shown in Example 48, GalNAc3 -10a is shown in Example 46, and GalNAc3 -13a is shown in Example 62.

ЛечениеTreatment

Шести-восьминедельным мышам один раз в неделю вводили подкожную инъекцию дозы, представленной ниже, в целом три дозы олигонуклеотида, перечисленного ниже, или PBS. Каждая экспериментальная группа состояла из 4 животных. Мышей умертвили через 72 часа после последней дозы. Уровни мРНК фактора XI в печени измерили при помощи ПЦР в реальном времени и нормализовали к циклофилину по стандартным протоколам. Измерили также трансаминазы в печени, АМК и билирубин. Результаты, показанные ниже, представлены как средний процент для каждой экспериментальной группы, нормализованный к контролю с PBS.Six to eight week old mice were injected subcutaneously once a week with the dose below, for a total of three doses of the oligonucleotide listed below, or PBS. Each experimental group consisted of 4 animals. Mice were sacrificed 72 hours after the last dose. Liver factor XI mRNA levels were measured by real-time PCR and normalized to cyclophilin according to standard protocols. Liver transaminases, BUN and bilirubin were also measured. The results shown below are presented as the average percentage for each experimental group, normalized to the PBS control.

Как показано в Таблице 65, лечение антисмысловыми олигонуклеотидами снижает уровни мРНК фактора XI в печени дозозависимым образом. Результаты демонстрируют, что олигонуклеотиды, содержащие конъюгат GalNAc, были более эффективными, чем исходное соединение без конъюгата GalNAc (ISIS 404071). Кроме того, олигонуклеотиды, содержащие 5'-GalNAc конъюгат (ISIS 663086, 678347, 678348 и 678349), были еще более эффективными, чем олигонуклеотид, содержащий 3'-GalNAc конъюгат (ISIS 656173).As shown in Table 65, treatment with antisense oligonucleotides reduces hepatic factor XI mRNA levels in a dose-dependent manner. The results demonstrate that the oligonucleotides containing the GalNAc conjugate were more effective than the parent compound without the GalNAc conjugate (ISIS 404071). In addition, oligonucleotides containing 5'-GalNAc conjugate (ISIS 663086, 678347, 678348 and 678349) were even more effective than oligonucleotide containing 3'-GalNAc conjugate (ISIS 656173).

Figure 00000328
Figure 00000328

Figure 00000329
Figure 00000329

Пример 84. Продолжительность действия in vivo олигонуклеотидов, нацеленных на фактор XI, содержащих конъюгат GalNAc3Example 84 Duration of In Vivo Action of Oligonucleotides Targeting Factor XI Containing GalNAc3 Conjugate

Олигонуклеотиды, перечисленные в Таблице 64, испытали в исследовании однократной дозы на продолжительность действия у мышей.The oligonucleotides listed in Table 64 were tested in a single dose duration study in mice.

ЛечениеTreatment

Шести-восьминедельным мышам ввели однократную подкожную инъекцию олигонуклеотида, перечисленного в Таблице 64, или PBS. Каждая экспериментальная группа состояла из 4 животных. Образцы крови брали из хвостовой вены за день до введения дозы для определения исходного значения, а также на 3, 10 и 17 день после введения дозы. Уровни белка фактора XI в плазме определяли твердофазным иммуноферментным анализом, применяя иммобилизованные и биотинилированные детекторные антитела для фактора XI производства R&D Systems, Миннеаполис, штат Миннесота (кат. № AF2460 и №BAF2460, соответственно), а также реагент OptEIA, набор В (кат. № 550534, BD Biosciences, Сан-Хосе, штат Калифорния). Результаты, показанные ниже, представлены как средний процент уровней белка фактора XI в плазме для каждой экспериментальной группы, нормализованных к исходным уровням. Результаты демонстрируют, что олигонуклеотиды, содержащие конъюгат GalNAc, были более эффективными и имели более продолжительное действие, чем исходное соединение без конъюгата GalNAc (ISIS 404071). Кроме того, олигонуклеотиды, содержащие 5'-GalNAc конъюгат (ISIS 663086, 678347, 678348 и 678349), были еще более эффективными с еще более продолжительным действием, чем олигонуклеотид, содержащий 3'-GalNAc конъюгат (ISIS 656173).Six to eight weeks old mice were given a single subcutaneous injection of the oligonucleotide listed in Table 64 or PBS. Each experimental group consisted of 4 animals. Blood samples were taken from the tail vein the day before dosing to determine the initial value, as well as 3, 10 and 17 days after dosing. Plasma factor XI protein levels were determined by enzyme-linked immunosorbent assay using immobilized and biotinylated factor XI detection antibodies from R&D Systems, Minneapolis, Minnesota (p/n AF2460 and p/n BAF2460, respectively) and OptEIA reagent kit B (p/n. No. 550534, BD Biosciences, San Jose, CA). The results shown below are presented as the mean percentage of factor XI plasma protein levels for each treatment group, normalized to baseline levels. The results demonstrate that the oligonucleotides containing the GalNAc conjugate were more effective and lasted longer than the parent compound without the GalNAc conjugate (ISIS 404071). In addition, oligonucleotides containing 5'-GalNAc conjugate (ISIS 663086, 678347, 678348 and 678349) were even more effective with even longer duration of action than oligonucleotide containing 3'-GalNAc conjugate (ISIS 656173).

Figure 00000330
Figure 00000330

Figure 00000331
Figure 00000331

Пример 85. Антисмысловое ингибирование in vivo под действием олигонуклеотидов, нацеленных на SRB-1, содержащих конъюгат GalNAc3Example 85 In Vivo Antisense Inhibition by SRB-1 Targeting Oligonucleotides Containing a GalNAc3 Conjugate

Олигонуклеотиды, перечисленные в Таблице 63, испытали в дозозависимом исследовании антисмыслового ингибирования SRB-1 у мышей.The oligonucleotides listed in Table 63 were tested in a dose-dependent study of antisense inhibition of SRB-1 in mice.

ЛечениеTreatment

Шести-восьминедельным мышам C57BL/6 один раз в неделю вводили подкожную инъекцию дозы, представленной ниже, в целом три дозы олигонуклеотида, перечисленного в Таблице 63, или солевого раствора. Каждая экспериментальная группа состояла из 4 животных. Мышей умертвили через 48 часов после последнего введения для определения уровней мРНК SRB-1 в печени при помощи ПЦР в реальном времени и реагента для количественного определения РНК RIBOGREEN® (Molecular Probes, Inc., Юджин, штат Орегон) по стандартным протоколам. Результаты, показанные ниже, представлены как средний процент уровней мРНК SRB-1 в печени для каждой экспериментальной группы, нормализованных к контрольному образцу, обработанному солевым раствором.Six to eight week old C57BL/6 mice were injected subcutaneously once a week with the dose below, for a total of three doses of the oligonucleotide listed in Table 63 or saline. Each experimental group consisted of 4 animals. Mice were sacrificed 48 hours after the last injection to determine hepatic SRB-1 mRNA levels using real-time PCR and RIBOGREEN® RNA quantitation reagent (Molecular Probes, Inc., Eugene, Oregon) according to standard protocols. The results shown below are presented as the average percentage of liver SRB-1 mRNA levels for each experimental group, normalized to a saline treated control.

Как показано в Таблицах 67 и 68, лечение антисмысловыми олигонуклеотидами снижает уровни мРНК SRB-1 дозозависимым образом.As shown in Tables 67 and 68, treatment with antisense oligonucleotides reduces SRB-1 mRNA levels in a dose-dependent manner.

Figure 00000332
Figure 00000333
Figure 00000332
Figure 00000333

Измерили также уровни трансаминазы в печени, общего билирубина, АМК и массы тела по стандартным протоколам. Средние значения для каждой экспериментальной группы представлены ниже в Таблице 69.The levels of liver transaminase, total bilirubin, BUN, and body weight were also measured according to standard protocols. The mean values for each experimental group are presented below in Table 69.

Figure 00000334
Figure 00000334

Пример 86. Антисмысловое ингибирование in vivo под действием олигонуклеотидов, нацеленных на TTR, содержащих кластер GalNAc3Example 86 In Vivo Antisense Inhibition by TTR Targeting Oligonucleotides Containing the GalNAc3 Cluster

Олигонуклеотиды, перечисленные ниже в Таблице 70, испытали в дозозависимом исследовании антисмыслового ингибирования человеческого транстиретина (TTR) у трансгенных мышей, экспрессирующих человеческий TTR ген.The oligonucleotides listed in Table 70 below were tested in a dose-dependent human transthyretin (TTR) antisense inhibition study in transgenic mice expressing the human TTR gene.

ЛечениеTreatment

Восьминедельным TTR трансгенным мышам один раз в неделю в течение трех недель, в целом три дозы, вводили подкожную инъекцию олигонуклеотида и дозы, перечисленных в представленных ниже таблицах, или PBS. Каждая экспериментальная группа состояла из 4 животных. Мышей умертвили через 72 часа после последнего введения. В течение эксперимента в различных временных точках брали образцы крови из хвостовой вены и измеряли уровни белка TTR в плазме, ALT и AST, которые представлены в Таблицах 72-74. После умерщвления животных измерили уровни ALT, AST и человеческого TTR в плазме, а также массы тела, массы органов и уровни мРНК человеческого TTR в печени. Уровни белка TTR измерили при помощи клинического анализатора (AU480, Beckman Coulter, штат Калифорния). ПЦР в реальном времени и реагент для количественного определения РНК RIBOGREEN® (Molecular Probes, Inc., Юджин, штат Орегон) применяли по стандартным протоколам для определения уровней мРНК человеческого TTR в печени. Результаты, показанные в Таблицах 71-74, представляют собой средние значения для каждой экспериментальной группы. Уровни мРНК представляют собой средние значения относительно среднего значения для PBS группы. Уровни белка в плазме представляют собой средние значения относительно среднего значения для PBS группы в исходном состоянии. Массы тела представляют собой среднее процентное изменение массы от исходного значения до умерщвления для каждой отдельной экспериментальной группы. Представленные массы органов нормализованы к массе тела животного, а затем представлена средняя нормализованная масса органов для каждой экспериментальной группы относительно средней нормализованной массы органов для PBS группы.Eight-week-old TTR transgenic mice once a week for three weeks, for a total of three doses, were injected subcutaneously with the oligonucleotide and the doses listed in the tables below, or with PBS. Each experimental group consisted of 4 animals. Mice were sacrificed 72 hours after the last injection. During the experiment, at various time points, blood samples were taken from the tail vein and plasma levels of TTR protein, ALT and AST were measured, which are presented in Tables 72-74. Plasma levels of ALT, AST, and human TTR were measured after sacrifice, as well as body weights, organ weights, and human TTR mRNA levels in the liver. TTR protein levels were measured using a clinical analyzer (AU480, Beckman Coulter, CA). Real-time PCR and RIBOGREEN® RNA quantification reagent (Molecular Probes, Inc., Eugene, OR) were used according to standard protocols to determine liver levels of human TTR mRNA. The results shown in Tables 71-74 are the mean values for each experimental group. mRNA levels are averages relative to the average for the PBS group. Plasma protein levels are mean values relative to the mean of the PBS group at baseline. Body weights are the average percentage change in weight from baseline to sacrifice for each individual experimental group. The reported organ weights are normalized to the body weight of the animal, and then the mean normalized organ weight for each experimental group is presented relative to the mean normalized organ weight for the PBS group.

В Таблицах 71-74 «BL» означает исходное значения измерений, выполненных непосредственно перед введением первой дозы. Как показано в Таблицах 71 и 72, лечение антисмысловыми олигонуклеотидами снижает уровни экспрессии TTR дозозависимым образом. Олигонуклеотиды, содержащие конъюгат GalNAc, были более эффективными, чем исходное соединение без конъюгата GalNAc (ISIS 420915). Кроме того, олигонуклеотиды, содержащие конъюгат GalNAc и смешанные PS/PO межнуклеозидные связи, были еще более эффективными, чем олигонуклеотид, содержащий конъюгат GalNAc и только PS связи.In Tables 71-74, "BL" refers to baseline measurements taken just before the first dose. As shown in Tables 71 and 72, treatment with antisense oligonucleotides reduces TTR expression levels in a dose-dependent manner. Oligonucleotides containing the GalNAc conjugate were more effective than the parent compound without the GalNAc conjugate (ISIS 420915). In addition, oligonucleotides containing a GalNAc conjugate and mixed PS/PO internucleoside bonds were even more effective than an oligonucleotide containing a GalNAc conjugate and only PS bonds.

Figure 00000335
Figure 00000335

Figure 00000336
Figure 00000336

Легенда для Таблицы 72 представлена в Примере 74. Структура GalNAc3-1 показана в Примере 9. Структура GalNAc3-3а показана в Примере 39. Структура GalNAc3-7а показана в Примере 48. Структура GalNAc3-10a показана в Примере 46. Структура GalNAc3-13a показана в Примере 62. Структура GalNAc3-19a показана в Примере 70.The legend for Table 72 is shown in Example 74. The structure of GalNAc3 -1 is shown in Example 9. The structure of GalNAc3 -3a is shown in Example 39. The structure of GalNAc3 -7a is shown in Example 48. The structure of GalNAc3 -10a is shown in Example 46. The structure of GalNAc3 -13a is shown in Example 62. The structure of GalNAc3 -19a is shown in Example 70.

Figure 00000337
Figure 00000337

Figure 00000338
Figure 00000338

Figure 00000339
Figure 00000339

Figure 00000340
Figure 00000340

Figure 00000341
Figure 00000341

Figure 00000342
Figure 00000342

Пример 87. Продолжительность действия in vivo однократных доз олигонуклеотидов, нацеленных на TTR, содержащих кластер GalNAc3Example 87 Duration of In Vivo Action of Single Doses of TTR Targeting Oligonucleotides Containing the GalNAc3 Cluster

ISIS №420915 и 660261 (см. Таблицу 70) испытали в исследовании однократной дозы на продолжительность действия у мышей. ISIS №420915, 682883 и 682885 (см. Таблицу 70) также испытали в исследовании однократной дозы на продолжительность действия у мышей.ISIS Nos. 420915 and 660261 (see Table 70) were tested in a single dose duration study in mice. ISIS Nos. 420915, 682883 and 682885 (see Table 70) were also tested in a single dose duration study in mice.

ЛечениеTreatment

Восьминедельным самцам трансгенных мышей, которые экспрессируют человеческий TTR, ввели однократную подкожную инъекцию 100 мг/кг ISIS №420915 или 13,5 мг/кг ISIS №660261. Каждая экспериментальная группа состояла из 4 животных. Образцы крови из хвостовой вены брали до введения дозы для определения исходных показателей и на 3-й, 7-й, 10-й, 17-й, 24-й и 39-й день после введения дозы. Уровни белка TTR в плазме измеряли так, как описано в Примере 86. Результаты, показанные ниже, представлены как средний процент уровней TTR в плазме для каждой экспериментальной группы, нормализованных к исходным уровням.Eight week old male transgenic mice that express human TTR were given a single subcutaneous injection of 100 mg/kg ISIS #420915 or 13.5 mg/kg ISIS #660261. Each experimental group consisted of 4 animals. Blood samples were taken from the tail vein before dosing for baseline measurements and on days 3, 7, 10, 17, 24 and 39 post-dose. Plasma TTR protein levels were measured as described in Example 86. The results shown below are presented as the average percentage of plasma TTR levels for each experimental group, normalized to baseline levels.

Figure 00000343
Figure 00000343

Figure 00000344
Figure 00000344

ЛечениеTreatment

Восьминедельным самкам трансгенных мышей, которые экспрессируют человеческий TTR, ввели однократную подкожную инъекцию 100 мг/кг ISIS №420915, 10,0 мг/кг ISIS №682883 или 10,0 мг/кг ISIS №682885. Каждая экспериментальная группа состояла из 4 животных. Образцы крови из хвостовой вены брали до введения дозы для определения исходных показателей и на 3-й, 7-й, 10-й, 17-й, 24-й и 39-й день после введения дозы. Уровни белка TTR в плазме измеряли так, как описано в Примере 86. Результаты, показанные ниже, представлены как средний процент уровней TTR в плазме для каждой экспериментальной группы, нормализованных к исходным уровням.Eight week old female transgenic mice that express human TTR were given a single subcutaneous injection of 100 mg/kg ISIS #420915, 10.0 mg/kg ISIS #682883, or 10.0 mg/kg ISIS #682885. Each experimental group consisted of 4 animals. Blood samples were taken from the tail vein before dosing for baseline measurements and on days 3, 7, 10, 17, 24 and 39 post-dose. Plasma TTR protein levels were measured as described in Example 86. The results shown below are presented as the average percentage of plasma TTR levels for each experimental group, normalized to baseline levels.

Figure 00000345
Figure 00000345

Figure 00000346
Figure 00000346

Результаты в Таблицах 75 и 76 демонстрируют, что олигонуклеотиды, содержащие конъюгат GalNAc, являются более эффективными и имеют более продолжительное действие, чем исходный олигонуклеотид без конъюгата (ISIS 420915).The results in Tables 75 and 76 demonstrate that the oligonucleotides containing the GalNAc conjugate are more effective and have a longer duration of action than the original oligonucleotide without the conjugate (ISIS 420915).

Пример 88. Сплайсинг-модулирование in vivo под действием олигонуклеотидов, нацеленных на SMN, содержащих конъюгат GalNAc3Example 88 In Vivo Splicing Modulation by SMN-Targeting Oligonucleotides Containing a GalNAc3 Conjugate

Олигонуклеотиды, перечисленные в Таблице 77, испытали на сплайсинг-модулирование человеческих генов выживаемости мотонейронов (SMN) у мышей.The oligonucleotides listed in Table 77 were tested for splicing modulation of human survival motor neuron (SMN) genes in mice.

Figure 00000347
Figure 00000347

Структура GalNAc3-7a показана ранее в Примере 48. «X» означает 5'-первичный амин, полученный компанией Gene Tools (Филомат, штат Орегон), a GalNAc3-7b означает структуру GalNAc3-7a, не содержащую часть -NH-С6-О связи, как показано ниже:The structure of GalNAc3 -7a is shown previously in Example 48. "X" is a 5'-primary amine obtained from Gene Tools (Philomat, Oregon), and GalNAc3 -7b is a GalNAc3 -7a structure containing no part -NH-C6 -O bond as shown below:

Figure 00000348
Figure 00000348

ISIS №703421 и 703422 представляют собой морфолино-олигонуклеотиды, при этом каждый нуклеотид из двух олигонуклеотидов представляет собой морфолино-нуклеотид.ISIS Nos. 703421 and 703422 are morpholino oligonucleotides, with each nucleotide of the two oligonucleotides being a morpholino nucleotide.

ЛечениеTreatment

Шестинедельным трансгенным мышам, экспрессирующим человеческий SMN, ввели однократную подкожную инъекцию олигонуклеотид а, перечисленного в Таблице 78, или солевого раствора. Каждая экспериментальная группа состояла из 2 самцов и 2 самок. Мышей умертвили через 3 дня после введения дозы для определения уровней мРНК человеческого SMN в печени с экзоном 7 и без него, применив ПЦР в реальном времени по стандартным протоколам. Общую РНК измерили при помощи реагента Ribogreen. Уровни мРНК SMN нормализовали к общей мРНК, а затем нормализовали к средним значениям в группе, обработанной солевым раствором. Полученные средние отношения мРНК SMN, содержащей экзон 7, к мРНК SMN, не содержащей экзон 7, представлены в Таблице 78. Результаты демонстрируют, что полностью модифицированные олигонуклеотиды, которые модулируют сплайсинг и содержат конъюгат GalNAc, являются значительно более эффективными для изменения сплайсинга в печени, чем исходные олигонуклеотиды, не содержащие конъюгат GalNAc. Кроме того, эта тенденция сохраняется для химизма многократных модификаций, включая 2'-МОЕ и морфолино-модифицированные олигонуклеотиды.Six-week-old transgenic mice expressing human SMN were given a single subcutaneous injection of oligonucleotide a listed in Table 78 or saline. Each experimental group consisted of 2 males and 2 females. Mice were sacrificed 3 days post-dose to determine liver levels of human SMN mRNA with and without exon 7 using real-time PCR according to standard protocols. Total RNA was measured using the Ribogreen reagent. SMN mRNA levels were normalized to total mRNA and then normalized to the average values in the saline treated group. The resulting average ratios of exon 7-containing SMN mRNA to exon-7-free SMN mRNA are shown in Table 78. The results demonstrate that fully modified oligonucleotides that modulate splicing and contain a GalNAc conjugate are significantly more effective in altering splicing in the liver, than the original oligonucleotides that do not contain the conjugate GalNAc. In addition, this trend holds for the chemistry of multiple modifications, including 2'-MOE and morpholino-modified oligonucleotides.

Figure 00000349
Figure 00000349

Figure 00000350
Figure 00000350

Пример 89. Антисмысловое ингибирование in vivo под действием олигонуклеотидов, нацеленных на аполипопротеин А (Аро(а)), содержащих конъюгат GalNAc3Example 89 In vivo antisense inhibition by oligonucleotides targeting apolipoprotein A (Apo(a)) containing a GalNAc3 conjugate

Олигонуклеотиды, перечисленные ниже в Таблице 79, испытали в исследовании дозозависимого ингибирования Аро(а) у трансгенных мышей.The oligonucleotides listed in Table 79 below were tested in a dose dependent Apo(a) inhibition study in transgenic mice.

Figure 00000351
Figure 00000351

Структура GalNAc3-7a показана в Примере 48.The structure of GalNAc3 -7a is shown in Example 48.

ЛечениеTreatment

Восьминедельным самкам мышей C57BL/6 (Jackson Laboratory, Бар-Харбор, штат Мэн) один раз в неделю вводили подкожную инъекцию дозы, представленной ниже, в целом шесть доз олигонуклеотида, перечисленного в Таблице 79, или PBS. Каждая экспериментальная группа состояла из 3-4 животных. Образцы крови из хвостовой вены брали за день до введения первой дозы и еженедельно после введения каждой дозы для определения уровней белка Аро(а) в плазме. Мышей умертвили через два дня после последнего введения. Уровни мРНК Аро(а) в печени определили при помощи ПЦР в реальном времени и реагента для количественного определения РНК RIBOGREEN® (Molecular Probes, Inc., Юджин, штат Орегон) по стандартным протоколам. Уровни белка Аро(а) в плазме определили при помощи твердофазного иммуноферментного анализа, и определили уровни трансаминазы в печени. Результаты анализа мРНК и белка в плазме в Таблице 80 представлены как среднее процентное значение для экспериментальной группы относительно группы, обработанной PBS. Уровни белка в плазме дополнительно нормализовали к исходному значению (BL) для группы с PBS. Средние абсолютные уровни трансаминазы и массы тела (% относительно среднего исходного значения) представлены в Таблице 81.Eight week old female C57BL/6 mice (Jackson Laboratory, Bar Harbor, Maine) were injected subcutaneously with the dose below once a week for a total of six doses of the oligonucleotide listed in Table 79 or PBS. Each experimental group consisted of 3-4 animals. Blood samples were taken from the tail vein the day before the first dose and weekly after each dose to determine plasma Apo(a) protein levels. Mice were sacrificed two days after the last injection. Hepatic Apo(a) mRNA levels were determined using real-time PCR and RIBOGREEN® RNA quantitation reagent (Molecular Probes, Inc., Eugene, Oregon) according to standard protocols. Plasma Apo(a) protein levels were determined by enzyme-linked immunosorbent assay and liver transaminase levels were determined. The results of the analysis of mRNA and protein in plasma in Table 80 are presented as the average percentage for the experimental group relative to the group treated with PBS. Plasma protein levels were further normalized to baseline (BL) for the PBS group. Mean absolute transaminase levels and body weight (% relative to mean baseline) are presented in Table 81.

Как показано в Таблице 80, лечение олигонуклеотидами снижает уровни мРНК Аро(а) в печени и уровни белка в плазме дозозависимым образом. Кроме того, олигонуклеотид, содержащий конъюгат GalNAc, был значительно более эффективным с более продолжительным действием, чем исходный олигонуклеотид, не содержащий конъюгат GalNAc. Как показано в Таблице 81, представленные олигонуклеотиды не влияют на уровни трансаминазы и массы тела, что указывает на хорошую переносимость олигонуклеотидов.As shown in Table 80, oligonucleotide treatment reduces liver Apo(a) mRNA levels and plasma protein levels in a dose-dependent manner. In addition, the oligonucleotide containing the GalNAc conjugate was significantly more effective with a longer duration of action than the original oligonucleotide not containing the GalNAc conjugate. As shown in Table 81, the presented oligonucleotides do not affect transaminase levels and body weight, indicating good tolerability of the oligonucleotides.

Figure 00000352
Figure 00000352

Figure 00000353
Figure 00000353

Пример 90. Антисмысловое ингибирование in vivo под действием олигонуклеотидов, нацеленных на TTR, содержащих кластер GalNAc3Example 90 In Vivo Antisense Inhibition by TTR Targeting Oligonucleotides Containing the GalNAc3 Cluster

Олигонуклеотиды, перечисленные ниже в Таблице 82, испытали в дозозависимом исследовании антисмыслового ингибирования человеческого транстиретина (TTR) у трансгенных мышей, экспрессирующих человеческий TTR ген.The oligonucleotides listed in Table 82 below were tested in a dose-dependent human transthyretin (TTR) antisense inhibition study in transgenic mice expressing the human TTR gene.

ЛечениеTreatment

TTR трансгенным мышам один раз в неделю в течение трех недель, в целом три дозы, вводили подкожную инъекцию олигонуклеотида и дозы, перечисленных в Таблице 83, или PBS. Каждая экспериментальная группа состояла из 4 животных. Перед введением первой дозы взяли образец крови из хвостовой вены для определения уровней белка TTR в плазме в исходном состоянии (BL). Мышей умертвили через 72 часа после последнего введения. Уровни белка TTR измерили при помощи клинического анализатора (AU480, Beckman Coulter, штат Калифорния). ПЦР в реальном времени и реагент для количественного определения РНК RIBOGREEN® (Molecular Probes, Inc., Юджин, штат Орегон) применяли по стандартным протоколам для определения уровней мРНК человеческого TTR в печени. Результаты, показанные в Таблице 83, представляют собой средние значения для каждой экспериментальной группы. Уровни мРНК представляют собой средние значения относительно среднего значения для PBS группы. Уровни белка в плазме представляют собой средние значения относительно среднего значения для PBS группы в исходном состоянии. «BL» означает исходное значения измерений, выполненных непосредственно перед введением первой дозы. Как показано в Таблице 83, лечение антисмысловыми олигонуклеотидами снижает уровни экспрессии TTR дозозависимым образом. Олигонуклеотид, содержащий конъюгат GalNAc, был более эффективным, чем исходное соединение без конъюгата GalNAc (ISIS 420915), а олигонуклеотиды, содержащие фосфодиэфирный или дезоксиаденозиновый расщепляемый фрагмент, демонстрировали значительное усиление эффективности, по сравнению с исходным соединением, не содержащим конъюгат (см. ISIS №682883 и 666943 по сравнению с 420915, а также см. Примеры 86 и 87).TTR transgenic mice once a week for three weeks for a total of three doses were injected subcutaneously with the oligonucleotide and the doses listed in Table 83 or PBS. Each experimental group consisted of 4 animals. Prior to the first dose, a blood sample was taken from the tail vein to determine plasma TTR protein levels at baseline (BL). Mice were sacrificed 72 hours after the last injection. TTR protein levels were measured using a clinical analyzer (AU480, Beckman Coulter, CA). Real-time PCR and RIBOGREEN® RNA quantification reagent (Molecular Probes, Inc., Eugene, OR) were used according to standard protocols to determine liver levels of human TTR mRNA. The results shown in Table 83 are the averages for each experimental group. mRNA levels are averages relative to the average for the PBS group. Plasma protein levels are mean values relative to the mean of the PBS group at baseline. "BL" refers to baseline measurements taken just before the first dose. As shown in Table 83, treatment with antisense oligonucleotides reduces TTR expression levels in a dose-dependent manner. The oligonucleotide containing the GalNAc conjugate was more effective than the parent compound without the GalNAc conjugate (ISIS 420915), and the oligonucleotides containing the phosphodiester or deoxyadenosine cleavage moiety showed a significant increase in efficiency compared to the parent compound not containing the conjugate (see ISIS no. 682883 and 666943 versus 420915, and also see Examples 86 and 87).

Figure 00000354
Figure 00000354

Figure 00000355
Figure 00000355

Легенда для Таблицы 82 представлена в Примере 74. Структура GalNAc3-3а показана в Примере 39. Структура GalNAc3-7а показана в Примере 48. Структура GalNAc3-10a показана в Примере 46. Структура GalNAc3-13a показана в Примере 62.The legend for Table 82 is shown in Example 74. The structure of GalNAc3 -3a is shown in Example 39. The structure of GalNAc3 -7a is shown in Example 48. The structure of GalNAc3 -10a is shown in Example 46. The structure of GalNAc3 -13a is shown in Example 62.

Figure 00000356
Figure 00000356

Пример 91. Антисмысловое ингибирование in vivo под действием олигонуклеотидов, нацеленных на фактор VII, содержащих конъюгат GalNAc3, у приматов, не являющихся человекомExample 91 In Vivo Antisense Inhibition by Factor VII Targeting Oligonucleotides Containing a GalNAc3 Conjugate in Non-Human Primates

Олигонуклеотиды, перечисленные ниже в Таблице 84, испытали в нетерминальном исследовании повышения дозы на антисмысловое ингибирование фактора VII у обезьян.The oligonucleotides listed in Table 84 below were tested in a non-terminal dose escalation study for factor VII antisense inhibition in monkeys.

ЛечениеTreatment

Обезьянам, ранее не подверженным экспериментам, на 0-й, 15-й и 29-й день вводили подкожные инъекции повышающихся доз олигонуклеотидов, перечисленных в Таблице 84, или PBS. Каждая экспериментальная группа состояла из 4 самцов и 1 самки. Перед введением первой дозы и в различные временные точки после нее брали образцы крови для определения уровней белка фактора VII в плазме. Уровни белка фактора VII определяли с помощью твердофазного иммуноферментного анализа. Результаты, показанные в Таблице 85, представляют собой средние значения для каждой экспериментальной группы относительно среднего значения для группы PBS в исходном состоянии (BL), измерения выполнены непосредственно перед введением первой дозы. Как показано в Таблице 85, лечение антисмысловыми олигонуклеотидами снижает уровни экспрессии фактора VII дозозависимым образом, и олигонуклеотид, содержащий конъюгат GalNAc, был значительно более эффективным у обезьян, чем олигонуклеотид, не содержащий конъюгата GalNAc.Previously unexperimented monkeys were given subcutaneous injections of increasing doses of the oligonucleotides listed in Table 84 or PBS on days 0, 15 and 29. Each experimental group consisted of 4 males and 1 female. Before the introduction of the first dose and at various time points after it took blood samples to determine the levels of factor VII protein in plasma. Factor VII protein levels were determined by ELISA. The results shown in Table 85 are the mean values for each experimental group relative to the mean value for the PBS group at baseline (BL), measured immediately before the first dose. As shown in Table 85, treatment with antisense oligonucleotides reduces factor VII expression levels in a dose-dependent manner, and the oligonucleotide containing the GalNAc conjugate was significantly more effective in monkeys than the oligonucleotide not containing the GalNAc conjugate.

Figure 00000357
Figure 00000357

Легенда для Таблицы 84 представлена в Примере 74. Структура GalNAc3-10 а показана в Примере 46.The legend for Table 84 is shown in Example 74. The structure of GalNAc3 -10 a is shown in Example 46.

Figure 00000358
Figure 00000358

Figure 00000359
Figure 00000359

Пример 92. Антисмысловое ингибирование в первичных гепатоцитах под действием олигонуклеотидов, нацеленных на Аро-CIII, содержащих конъюгат GalNAc3Example 92 Antisense Inhibition in Primary Hepatocytes by Apo-CIII Targeting Oligonucleotides Containing a GalNAc3 Conjugate

Первичные мышиные гепатоциты высеивали в 96-луночные планшеты при 15000 клеток на лунку и добавляли олигонуклеотиды, перечисленные в Таблице 86, нацеленные на мышиный АроС-III в концентрации 0,46, 1,37, 4,12 или 12,35, 37,04, 111,11 или 333,33 нМ, или 1,00 мкМ. После инкубации с олигонуклеотидами в течение 24 часов клеки лизировали и очистили общую РНК при помощи RNeasy (Qiagen). Уровни мРНК АроС-III определили при помощи ПЦР в реальном времени и реагента для количественного определения РНК RIBOGREEN® (Molecular Probes, Inc.) по стандартным протоколам. Значения IC50 определили при помощи программы Prism 4 (GraphPad). Результаты демонстрируют, что независимо от того, является ли расщепляемый фрагмент фосфодиэфиром или фосфодиэфир-связанным дезоксиаденозином, олигонуклеотиды, содержащие конъюгат GalNAc, были значительно более эффективными, чем исходный олигонуклеотид, не содержащий конъюгата.Primary mouse hepatocytes were seeded in 96-well plates at 15,000 cells per well and the oligonucleotides listed in Table 86 were added, targeting mouse ApoC-III at a concentration of 0.46, 1.37, 4.12 or 12.35, 37.04 , 111.11 or 333.33 nM, or 1.00 µM. After incubation with oligonucleotides for 24 hours, cells were lysed and total RNA was purified using RNeasy (Qiagen). ApoC-III mRNA levels were determined using real-time PCR and RIBOGREEN® RNA quantification reagent (Molecular Probes, Inc.) according to standard protocols. IC50 values were determined using the Prism 4 software (GraphPad). The results demonstrate that regardless of whether the cleavage fragment is a phosphodiester or a phosphodiester-linked deoxyadenosine, the oligonucleotides containing the GalNAc conjugate were significantly more effective than the original oligonucleotide containing no conjugate.

Figure 00000360
Figure 00000360

Figure 00000361
Figure 00000361

Структура GalNAc3-1a показана ранее в Примере 9, GalNAc3-3a показана в Примере 39, GalNAc3-7a показана в Примере 48, GalNAc3-10a показана в Примере 46, и GalNAc3-13a показана в Примере 62, и GalNAc3-19a показана в Примере 70.The structure of GalNAc3 -1a is shown earlier in Example 9, GalNAc3 -3a is shown in Example 39, GalNAc3 -7a is shown in Example 48, GalNAc3 -10a is shown in Example 46, and GalNAc3 -13a is shown in Example 62, and GalNAc3 -19a is shown in Example 70.

Пример 93. Антисмысловое ингибирование in vivo под действием олигонуклеотидов, нацеленных на SRB-1, содержащих смешанные крылья и 5'-GalNAc3 конъюгатExample 93 In Vivo Antisense Inhibition by SRB-1 Targeting Oligonucleotides Containing Mixed Wings and 5'-GalNAc3 Conjugate

Олигонуклеотиды, перечисленные в Таблице 87, испытали в дозозависимом исследовании антисмыслового ингибирования SRB-1 у мышей.The oligonucleotides listed in Table 87 were tested in a dose-dependent study of antisense inhibition of SRB-1 in mice.

Figure 00000362
Figure 00000362

Структура GalNAc3-3a показана ранее в Примере 39, а структура GalNAc3-7a показана ранее в Примере 48. Нижние индексы: «е» означает 2'-МОЕ модифицированный нуклеозид; «d» означает β-D-2'-дезоксирибонуклеозид; «k» означает 6'-(S)-СН3 бициклический нуклеозид (cEt); «s» означает тиофосфатные межнуклеозидные связи (PS); «о» означает фосфодиэфирные межнуклеозидные связи (РО). Верхний индекс «m» означает 5-метилцитозины.The structure of GalNAc3 -3a is shown earlier in Example 39, and the structure of GalNAc3 -7a is shown earlier in Example 48. Subscripts: "e" means 2'-MOE modified nucleoside; "d" means β-D-2'-deoxyribonucleoside;"k" means 6'-(S)-CH3 bicyclic nucleoside (cEt); "s" stands for thiophosphate internucleoside linkages (PS); "o" means phosphodiester internucleoside bonds (RO). The superscript "m" stands for 5-methylcytosines.

ЛечениеTreatment

Шести-восьминедельным мышам C57bl6 (Jackson Laboratory, Бар-Харбор, штат Мэн) ввели однократную подкожную инъекцию дозы, представленной ниже, олигонуклеотида, перечисленного в Таблице 87, или солевого раствора. Каждая экспериментальная группа состояла из 4 животных. Мышей умертвили через 72 часа после последнего введения. Уровни мРНК SRB-1 в печени измерили при помощи ПЦР в реальном времени. Уровни мРНК SRB-1 нормализовали к уровням мРНК циклофилина по стандартным протоколам. Результаты, показанные ниже, представлены как средний процент уровней мРНК SRB-1 для каждой экспериментальной группы, по сравнению с контрольной группой, обработанной солевым раствором. Как показано в Таблице 88, лечение антисмысловыми олигонуклеотидами снижает уровни мРНК SRB-1 дозозависимым образом, а гэпмерные олигонуклеотиды, содержащие конъюгат GalNAc и имеющие крылья, которые представляют собой либо полностью cEt, либо смешанные сахарные модификации, были существенно более эффективными, чем исходный олигонуклеотид, не содержащий конъюгата и содержащий полностью cEt модифицированные крылья.Six to eight week old C57bl6 mice (Jackson Laboratory, Bar Harbor, Maine) were given a single subcutaneous injection of the dose below, the oligonucleotide listed in Table 87, or saline. Each experimental group consisted of 4 animals. Mice were sacrificed 72 hours after the last injection. Liver SRB-1 mRNA levels were measured by real-time PCR. SRB-1 mRNA levels were normalized to cyclophilin mRNA levels according to standard protocols. The results shown below are presented as the mean percentage of SRB-1 mRNA levels for each experimental group compared to the saline treated control group. As shown in Table 88, treatment with antisense oligonucleotides reduces SRB-1 mRNA levels in a dose-dependent manner, and gapmer oligonucleotides containing a GalNAc conjugate and having wings that are either all-cEt or mixed sugar modifications were significantly more effective than the original oligonucleotide, conjugate-free and fully cEt modified wings.

Измерили также массы тела, уровни трансаминазы в печени, общий билирубин и АМК, а средние значения для каждой экспериментальной группы представлены в Таблице 88. Масса тела показана как средний процент массы тела относительно исходной массы тела (% BL), измеренный непосредственно перед введением дозы олигонуклеотида.Body weights, liver transaminase levels, total bilirubin, and BUN were also measured, and the mean values for each experimental group are presented in Table 88. Body weight is shown as the mean percentage of body weight relative to baseline body weight (% BL) measured immediately before dosing the oligonucleotide .

Figure 00000363
Figure 00000363

Figure 00000364
Figure 00000364

Пример 94. Антисмысловое ингибирование in vivo под действием олигонуклеотидов, нацеленных на SRB-1, содержащих 2'-сахарные модификации и 5'-GalNAc3 конъюгатExample 94 In Vivo Antisense Inhibition by SRB-1 Targeting Oligonucleotides Containing 2'-Sugar Modifications and a 5'-GalNAc3 Conjugate

Олигонуклеотиды, перечисленные в Таблице 89, испытали в дозозависимом исследовании антисмыслового ингибирования SRB-1 у мышей.The oligonucleotides listed in Table 89 were tested in a dose-dependent study of antisense inhibition of SRB-1 in mice.

Figure 00000365
Figure 00000365

Нижний индекс «m» означает 2'-O-метил-модифицированный нуклеозид. Полная легенда к таблице представлена в Примере 74. Структура GalNAc3-3а показана ранее в Примере 39, а структура GalNAc3-7a показана ранее в Примере 48.The subscript "m" denotes a 2'-O-methyl modified nucleoside. The full legend to the table is provided in Example 74. The structure of GalNAc3 -3a is shown earlier in Example 39, and the structure of GalNAc3 -7a is shown earlier in Example 48.

ЛечениеTreatment

Исследование выполнили по протоколу, описанному в Примере 93. Результаты представлены ниже в Таблице 90 и демонстрируют, что и 2'-МОЕ, и 2'-ОМе-модифицированные олигонуклеотиды, содержащие конъюгат GalNAc, были значительно более эффективными, чем соответствующие исходные олигонуклеотиды, не содержащие конъюгата. Результаты измерений массы тела, трансаминазы в печени, общего билирубина и АМК демонстрируют, что эти соединения хорошо переносятся.The study was performed according to the protocol described in Example 93. The results are presented below in Table 90 and demonstrate that both 2'-MOE and 2'-OMe-modified oligonucleotides containing the GalNAc conjugate were significantly more effective than the corresponding original oligonucleotides, not containing a conjugate. The results of measurements of body weight, liver transaminase, total bilirubin and BUN demonstrate that these compounds are well tolerated.

Figure 00000366
Figure 00000366

Figure 00000367
Figure 00000367

Пример 95. Антисмысловое ингибирование in vivo под действием олигонуклеотидов, нацеленных на SRB-1, содержащих бициклические нуклеозиды и 5'-GalNAc3 конъюгатExample 95 In Vivo Antisense Inhibition by SRB-1 Targeting Oligonucleotides Containing Bicyclic Nucleosides and 5'-GalNAc3 Conjugate

Олигонуклеотиды, перечисленные в Таблице 91, испытали в дозозависимом исследовании антисмыслового ингибирования SRB-1 у мышей.The oligonucleotides listed in Table 91 were tested in a dose-dependent study of antisense inhibition of SRB-1 in mice.

Figure 00000368
Figure 00000368

Нижний индекс «g» означает фтор-HNA нуклеозид, нижний индекс «l» означает закрытый нуклеозид, содержащий мостик 2'-O-СН2-4'. Другие сокращения представлены в легенде таблицы Примера 74. Структура GalNAc3-1а показана ранее в Примере 9, структура GalNAc3-3а показана ранее в Примере 39, а структура GalNAc3-7a показана ранее в Примере 48.The subscript "g" means a fluoro-HNA nucleoside, the subscript "l" means a closed nucleoside containing a 2'-O-CH2 -4' bridge. Other abbreviations are shown in the table legend of Example 74. The structure of GalNAc3 -1a is shown earlier in Example 9, the structure of GalNAc3 -3a is shown earlier in Example 39, and the structure of GalNAc3 -7a is shown earlier in Example 48.

ЛечениеTreatment

Исследование выполнили по протоколу, описанному в Примере 93. Результаты представлены ниже в Таблице 92 и демонстрируют, что олигонуклеотиды, содержащие конъюгат GalNAc и различные бициклические нуклеозидные модификации, были значительно более эффективными, чем исходный олигонуклеотид, не содержащий конъюгата и содержащий бициклические нуклеозидные модификации. Кроме того, олигонуклеотид, содержащий конъюгат GalNAc и фтор-HNA модификации, был существенно более эффективным, чем исходное соединение, не содержащее конъюгата и содержащее фтор-HNA модификации. Результаты измерений массы тела, трансаминазы в печени, общего билирубина и АМК демонстрируют, что эти соединения хорошо переносятся.The study was performed according to the protocol described in Example 93. The results are presented in Table 92 below and demonstrate that oligonucleotides containing the GalNAc conjugate and various bicyclic nucleoside modifications were significantly more effective than the original oligonucleotide containing no conjugate and containing bicyclic nucleoside modifications. In addition, the oligonucleotide containing the conjugate of GalNAc and the fluoro-HNA modification was significantly more effective than the parent compound containing no conjugate and containing the fluoro-HNA modification. The results of measurements of body weight, liver transaminase, total bilirubin and BUN demonstrate that these compounds are well tolerated.

Figure 00000369
Figure 00000369

Пример 96. Связывание белка плазмы антисмысловыми олигонуклеотидами, содержащими конъюгирующую группу GalNAc3Example 96 Plasma Protein Binding by Antisense Oligonucleotides Containing a GalNAc3 Conjugating Group

Олигонуклеотиды, перечисленные в Таблице 57, нацеленные на АроС-III, и олигонуклеотиды в Таблице 93, нацеленные на Аро(а), испытали в анализе ультрафильтрации для оценки связывания белка в плазме.The oligonucleotides listed in Table 57 targeting ApoC-III and the oligonucleotides in Table 93 targeting Apo(a) were tested in an ultrafiltration assay to assess plasma protein binding.

Figure 00000370
Figure 00000370

Легенда таблицы представлена в Примере 74. Структура GalNAc3-7а показана ранее в Примере 48.The table legend is shown in Example 74. The structure of GalNAc3 -7a is shown earlier in Example 48.

Элементы для ультрафильтрации Ultrafree-MC (номинальное ограничение молекулярной массы 30000, слабосвязывающая регенерированная целлюлозная мембрана, Millipore, Бедфорд, штат Массачусетс) предварительно кондиционировали с 300 мкл 0,5% Tween 80 и центрифугировали при 2000 g в течение 10 минут, затем с 300 мкл 300 мкг/мл раствора контрольного олигонуклеотида в Н2О и центрифугировали при 2000 g в течение 16 минут. Для оценки неспецифического связывания с фильтрами каждого исследуемого олигонуклеотида из Таблиц 57 и 93, применяемых в испытаниях, 300 мкл 250 нг/мл раствора олигонуклеотида в in при рН 7,4 поместили в предварительно кондиционированные фильтры и центрифугировали при 2000 г в течение 16 минут. Нефильтрованные и фильтрованные образцы анализировали твердофазным иммуноферментным анализом для определения концентраций олигонуклеотидов. Для получения средней концентрации для каждого образца применяли три экземпляра. Среднюю концентрацию фильтрованного образца относительно нефильтрованного образца применяли для определения процента олигонуклеотида, прошедшего через фильтр без плазмы (% выделения).Ultrafree-MC ultrafiltration elements (nominal molecular weight limit 30,000, low binding regenerated cellulose membrane, Millipore, Bedford, MA) were preconditioned with 300 µl of 0.5% Tween 80 and centrifuged at 2000 g for 10 minutes, then with 300 µl 300 μg/ml solution of the control oligonucleotide in H2 O and centrifuged at 2000 g for 16 minutes. To assess non-specific binding to the filters of each test oligonucleotide from Tables 57 and 93 used in the tests, 300 μl of a 250 ng/ml solution of the oligonucleotide in in at pH 7.4 was placed in preconditioned filters and centrifuged at 2000 g for 16 minutes. Unfiltered and filtered samples were analyzed by enzyme-linked immunosorbent assay to determine the concentrations of oligonucleotides. Three copies were used to obtain an average concentration for each sample. The average concentration of the filtered sample relative to the unfiltered sample was used to determine the percentage of oligonucleotide that passed through the filter without plasma (% recovery).

Замороженные образцы цельной плазмы, собранные в К3-ЭДТК и полученные от здоровых, не принимающих лекарства людей-добровольцев, яванских макак и мышей CD-1, приобрели у компании Bioreclamation LLC (Вестбери, штат Нью-Йорк). Исследуемые олигонуклеотиды добавляли к 1,2 мл аликвотам плазмы в двух концентрациях (5 и 150 мкг/мл). Аликвоту (300 мкл) каждого маркированного образца плазмы поместили на предварительно кондиционированный фильтровальный элемент и инкубировали при 37 °С в течение 30 минут, затем сразу выполнили центрифугирование при 2000 g в течение 16 минут. Аликвоты фильтрованных и нефильтрованных маркированных образцов плазмы анализировали твердофазным иммуноферментным анализом для определения концентрации олигонуклеотида в каждом образце. Применили три экземпляра каждой концентрации для определения среднего процента связанного и несвязанного олигонуклеотида в каждом образце. Среднюю концентрацию фильтрованного образца относительно концентрации нефильтрованного образца применили для определения процента олигонуклеотида в плазме, не связанного с белками плазмы (% несвязанного). Окончательные значения несвязанного олигонуклеотида корректировали на неспецифическое связывание путем деления % несвязанного на % выделения для каждого олигонуклеотида. Окончательные значения % связанного олигонуклеотида определили вычитанием окончательных значений % несвязанного из 100. Результаты показаны в Таблице 94 для двух концентраций испытанного олигонуклеотида (5 и 150 мкг/мл) в плазме каждого вида. Результаты демонстрируют, что конъюгирующие группы GalNAc не оказывают существенного влияния на связывание белка плазмы. Кроме того, олигонуклеотиды, содержащие только PS межнуклеозидные связи и смешанные PO/PS связи, - оба варианта связывают белки плазмы, при этом олигонуклеотиды, содержащие только PS связи, связывают белки плазмы в несколько большей степени, чем олигонуклеотиды, содержащие смешанные PO/PS связи.Frozen whole plasma samples collected in K3-EDTA from healthy, unmedicated human volunteers, cynomolgus monkeys, and CD-1 mice were purchased from Bioreclamation LLC (Westbury, NY). The test oligonucleotides were added to 1.2 ml plasma aliquots at two concentrations (5 and 150 μg/ml). An aliquot (300 µl) of each labeled plasma sample was placed on a preconditioned filter element and incubated at 37°C for 30 minutes, followed immediately by centrifugation at 2000 g for 16 minutes. Aliquots of filtered and unfiltered labeled plasma samples were analyzed by enzyme-linked immunosorbent assay to determine the concentration of oligonucleotide in each sample. Used three copies of each concentration to determine the average percentage of bound and unbound oligonucleotide in each sample. The average concentration of the filtered sample relative to the concentration of the unfiltered sample was used to determine the percentage of plasma oligonucleotide not bound to plasma proteins (% unbound). The final unbound oligonucleotide values were corrected for non-specific binding by dividing the % unbound by the % recovery for each oligonucleotide. The final % bound oligonucleotide values were determined by subtracting the final % unbound values from 100. The results are shown in Table 94 for two concentrations of the tested oligonucleotide (5 and 150 μg/ml) in plasma of each species. The results demonstrate that the GalNAc conjugating groups do not significantly affect plasma protein binding. In addition, oligonucleotides containing only PS internucleoside bonds and mixed PO/PS bonds both bind plasma proteins, while oligonucleotides containing only PS bonds bind plasma proteins to a slightly greater extent than oligonucleotides containing mixed PO/PS bonds. .

Figure 00000371
Figure 00000371

Пример 97. Модифицированные олигонуклеотиды, нацеленные на TTR, содержащие конъюгирующую группу GalNAc3Example 97 Modified TTR Targeting Oligonucleotides Containing a GalNAc3 Conjugation Group

Олигонуклеотиды, представленные в Таблице 95, содержащие конъюгат GalNAc, предназначены для воздействия на TTR.The oligonucleotides shown in Table 95 containing the GalNAc conjugate are designed to affect the TTR.

Figure 00000372
Figure 00000372

Легенда для Таблицы 95 представлена в Примере 74. Структура GalNAc3-1 показана в Примере 9. Структура GalNAc3-3а показана в Примере 39. Структура GalNAc3-7a показана в Примере 48. Структура GalNAc3-10а показана в Примере 46. Структура GalNAc3-13a показана в Примере 62. Структура GalNAc3-19a показана в Примере 70.The legend for Table 95 is shown in Example 74. The structure of GalNAc3 -1 is shown in Example 9. The structure of GalNAc3 -3a is shown in Example 39. The structure of GalNAc3 -7a is shown in Example 48. The structure of GalNAc3 -10a is shown in Example 46. The structure of GalNAc3 -13a is shown in Example 62. The structure of GalNAc3 -19a is shown in Example 70.

Пример 98. Оценка провоспалительного действия олигонуклеотидов, содержащих конъюгат GalNAc, в анализе hPMBCExample 98 Evaluation of the pro-inflammatory effect of oligonucleotides containing a GalNAc conjugate in the hPMBC assay

Олигонуклеотиды, перечисленные в Таблице 96, исследовали на провоспалительное действие в анализе hPMBC, описанном в Примерах 23 и 24 (см. Таблицы 17, 70, 82 и 95, где представлено описание олигонуклеотидов). ISIS 353512 обладает высоким ответом, и его применяли в качестве положительного контроля, а другие олигонуклеотиды описаны в Таблицах 70, 82 и 95. Результаты, представленные в Таблице 96, получены с применением крови, полученной от одного донора-добровольца. Результаты демонстрируют, что олигонуклеотиды, содержащие смешанные PO/PS межнуклеозидные связи, вызывают значительно более слабые провоспалительные реакции, по сравнению с теми же олигонуклеотидами, содержащими только PS связи. Кроме того, в этом анализе конъюгирующая группа GalNAc не оказывает существенного влияния.The oligonucleotides listed in Table 96 were tested for pro-inflammatory activity in the hPMBC assay described in Examples 23 and 24 (see Tables 17, 70, 82 and 95 for a description of the oligonucleotides). ISIS 353512 has a high response and was used as a positive control, and other oligonucleotides are described in Tables 70, 82 and 95. The results presented in Table 96 are from blood obtained from a single volunteer donor. The results demonstrate that oligonucleotides containing mixed PO/PS internucleoside bonds elicit significantly weaker pro-inflammatory responses compared to the same oligonucleotides containing only PS bonds. In addition, in this assay, the GalNAc conjugating group was not significantly affected.

Figure 00000373
Figure 00000373

Пример 99. Связывающие аффинности олигонуклеотидов, содержащих конъюгат GalNAc, в отношении асиалогликопротеинового рецептораExample 99 Binding Affinities of Oligonucleotides Containing a GalNAc Conjugate for the Asialoglycoprotein Receptor

Связывающие аффинности олигонуклеотидов, перечисленных в Таблице 97 (см. Таблицу 63, в которой представлено описание олигонуклеотидов), в отношении асиалогликопротеинового рецептора испытали в анализе конкурентного связывания рецепторов. Конкурирующий лиганд, α1-кислый гликопротеин (AGP), инкубировали в 50 мМ ацетатно-натриевом буфере (рН 5) с 1 ед. нейраминидазы-агарозы в течение 16 часов при 37°С, а>90% дезалилирование подтвердили анализом с сиаловой кислотой или эксклюзионной хроматографией (SEC). Для йодирования АГФ применили монохлорид йода по способу, описанному авторами Atsma et al. (см. J Lipid Res. январь 1991 г.; 32(1):173-81.) В этом способе дезалилированный α1-кислый гликопротеин (de-AGP) добавляли к 10 мМ хлориду йода, Na125I и 1 М глицина в 0,25 М NaOH. После инкубации в течение 10 минут при комнатной температуре,125I -меченный de-AGP отделили от свободного125I двукратным концентрированием смеси с применением спин-колонки с номинальным отсечением по молекулярной массе 3 кД. Белок испытали на эффективность мечения и чистоту на системе ВЭЖХ, оснащенной колонкой Agilent SEC-3 (7,8×300 мм) и счетчиком B-RAM. Конкуретные исследования с применением 1251-меченного de-AGP и ASO, содержащих различные GalNAc-кластеры, выполнили следующим образом. Человеческие клетки HepG2 (106 клеток/мл) поместили на 6-луночные планшеты в 2 мл соответствующей питательной среды. Применяли среду MEM с добавлением 10% фетальной бычьей сыворотки (FBS), 2 мМ L-глутамина и 10 мМ HEPES. Клетки выращивали в течение 16-20 часов при 37°С с 5% и 10% СО2, соответственно. Перед экспериментом клетки промыли средой без FBS. Клетки выращивали в течение 30 минут при 37°С с 1 мл конкурентной смеси, содержащей соответствующую питательную среду с 2% FBS, 10-8 М125I -меченным de-AGP и ASO, содержащим GalNAc-кластер в концентрациях в диапазоне от 10-11 до 10-5 М. Неспецифическое связывание определили в присутствии 10-2 М GalNAc сахара. Клетки дважды промыли средой без FBS для удаления несвязанного125I-меченного de-AGP и конкурирующего GalNAc ASO. Клетки лизировали с применением буфера RLT производства компании Qiagen, содержащего 1% β-меркаптоэтанола. Лизаты перенесли в круглодонные аналитические пробирки после быстрого 10-минутного цикла замораживания/оттаивания, и анализировали на γ-счетчике. Неспецифическое связывание вычли, а затем разделили импульсы белка125I на значение импульсов при самой низкой концентрации GalNAc-ASO. Кривые ингибирования построили по уравнению моносайтового конкурентного связывания, применив алгоритм нелинейной регрессии для расчета связывающей аффиности (KD).The binding affinities of the oligonucleotides listed in Table 97 (see Table 63 for a description of the oligonucleotides) for the asialoglycoprotein receptor were tested in a competitive receptor binding assay. The competing ligand, α1-acid glycoprotein (AGP), was incubated in 50 mM sodium acetate buffer (pH 5) with 1 u. neuraminidase-agarose for 16 hours at 37°C, and >90% dezalylation was confirmed by analysis with sialic acid or size exclusion chromatography (SEC). For iodination of AHF, iodine monochloride was used according to the method described by Atsma et al. (See J Lipid Res. January 1991; 32(1):173-81.) In this method, desalylated α1-acid glycoprotein (de-AGP) was added to 10 mM iodine chloride, Na125 I and 1 M glycine in 0.25 M NaOH. After incubation for 10 minutes at room temperature,125 I-labeled de-AGP was separated from free125 I by doubling the mixture using a spin column with a nominal molecular weight cutoff of 3 kD. The protein was tested for labeling efficiency and purity on an HPLC system equipped with an Agilent SEC-3 (7.8 x 300 mm) column and B-RAM counter. Competitive studies using 1251-labeled de-AGP and ASO containing various GalNAc clusters were performed as follows. Human HepG2 cells (106 cells/ml) were plated in 6-well plates in 2 ml of appropriate growth medium. Used medium MEM supplemented with 10% fetal bovine serum (FBS), 2 mm L-glutamine and 10 mm HEPES. Cells were grown for 16-20 hours at 37°C with 5% and 10% CO2 , respectively. Before the experiment, the cells were washed with the medium without FBS. Cells were grown for 30 minutes at 37°C with 1 ml of a competitive mixture containing the appropriate nutrient medium with 2% FBS, 10-8 M125 I-labeled de-AGP and ASO containing the GalNAc cluster in concentrations ranging from 10- 11 to 10-5 M. Non-specific binding was determined in the presence of 10-2 M GalNAc sugar. Cells were washed twice with FBS-free medium to remove unbound125 I-labeled de-AGP and competing GalNAc ASO. Cells were lysed using Qiagen's RLT buffer containing 1% β-mercaptoethanol. The lysates were transferred to round bottom assay tubes after a quick 10 minute freeze/thaw cycle and analyzed on a γ-counter. Non-specific binding was subtracted, and then the125 I protein pulses were divided by the value of the pulses at the lowest concentration of GalNAc-ASO. Inhibition curves were constructed from the monosite competitive binding equation using a non-linear regression algorithm to calculate binding affinity (KD ).

Результаты в Таблице 97 были получены в экспериментах, выполненных в пять разных дней. Результаты для олигонуклеотидов, отмеченных верхним индексом «а», представляют собой средние значения экспериментов, выполненных в два разных дня. Результаты демонстрируют, что олигонуклеотиды, содержащие конъюгирующую группу GalNAc на 5'-конце, связывают асиалогликопротеиновый рецептор человеческих клеток HepG2 с аффинностью, которая в 1,5-16 раз больше, чем для олигонуклеотидов, содержащих конъюгирующую группу GalNAc на 3'-конце.The results in Table 97 were obtained from experiments performed on five different days. The results for oligonucleotides marked with a superscript "a" are the average of experiments performed on two different days. The results demonstrate that oligonucleotides containing a GalNAc conjugation group at the 5' end bind the human cell asialoglycoprotein receptor HepG2 with an affinity that is 1.5-16 times greater than oligonucleotides containing a GalNAc conjugation group at the 3' end.

Figure 00000374
Figure 00000374

Пример 100. Антисмысловое ингибирование in vivo под действием олигонуклеотидов, содержащих конъюгирующую группу GalNAc, нацеленных на Аро(а), in vivoExample 100 In vivo Antisense Inhibition by Oligonucleotides Containing a GalNAc Conjugating Group Targeting Apo(a) in Vivo

Олигонуклеотиды, перечисленные ниже в Таблице 98а, испытали в исследовании однократной дозы на продолжительность действия у мышей.The oligonucleotides listed in Table 98a below were tested in a single dose duration study in mice.

Figure 00000375
Figure 00000375

Структура GalNAc3-7а показана в Примере 48.The structure of GalNAc3 -7a is shown in Example 48.

ЛечениеTreatment

Каждой самке трансгенных мышей, экспрессирующих человеческий Аро(а), один раз в неделю, в целом 6 доз, вводили подкожную инъъекцию олигонуклеотида и дозы, перечисленной в Таблице 98b, или PBS. Каждая экспериментальная группа состояла из 3 животных. Образцы крови брали за день до введения дозы для определения исходных уровней белка Аро(а) в плазме, а также через 72 часа, 1 неделю и 2 недели после введения первой дозы. Дополнительные пробы крови брали через 3 недели, 4 недели, 5 недель и 6 недель после введения первой дозы. Уровни белка Аро(а) в плазме измеряли при помощи твердофазного иммуноферментного анализа. Результаты в Таблице 98b представлены как средний процент от уровней белка Аро(а) в плазме для каждой экспериментальной группы, нормализованных к исходным уровням (% BL). Результаты показывают, что олигонуклеотиды, содержащие конъюгирующую группу GalNAc, демонстрируют эффективное снижение экспрессии Аро(а). Этот мощный эффект наблюдали для олигонуклеотида, содержащего только PS межнуклеозидные связи, и для олигонуклеотида, содержащего смешанные РО и PS связи.Each female transgenic mouse expressing human Apo(a), once a week for a total of 6 doses, was injected subcutaneously with the oligonucleotide and the dose listed in Table 98b or PBS. Each experimental group consisted of 3 animals. Blood samples were taken the day before dosing to determine baseline plasma levels of Apo(a) protein, as well as 72 hours, 1 week and 2 weeks after the first dose. Additional blood samples were taken at 3 weeks, 4 weeks, 5 weeks and 6 weeks after the first dose. Plasma Apo(a) protein levels were measured by enzyme-linked immunosorbent assay. The results in Table 98b are presented as the mean percentage of Apo(a) plasma protein levels for each experimental group, normalized to baseline levels (% BL). The results show that oligonucleotides containing a GalNAc conjugation group show an effective reduction in Apo(a) expression. This powerful effect was observed for an oligonucleotide containing only PS internucleoside bonds and for an oligonucleotide containing mixed PO and PS bonds.

Figure 00000376
Figure 00000376

Figure 00000377
Figure 00000377

Пример 101. Антисмысловое ингибирование олигонуклеотидами, содержащими кластер GalNAc, связанный через стабильный фрагментExample 101 Antisense Inhibition by Oligonucleotides Containing a GalNAc Cluster Linked Via a Stable Fragment

Олигонуклеотиды, перечисленные в Таблице 99, испытали на ингибирование экспрессии мышиного АРОС-III in vivo. Мышам С57В1/6 ввели однократную подкожную инъекцию олигонуклеотида, перечисленного в Таблице 99, или PBS. Каждая экспериментальная группа состояла из 4 животных. Каждой мыши, обработанной соединением ISIS 440670, вели дозу 2, 6, 20 или 60 мг/кг. Каждой мыши, обработанной соединением ISIS 680772 или 696847, ввели 0,6, 2, 6 или 20 мг/кг. Конъюгирующая группа GalNAc в ISIS 696847 связана через стабильный фрагмент, тиофосфатную связь, вместо легко расщепляемого фосфодиэфир-содержащей связи. Животных умертвили через 72 часа после введения дозы. Уровни мРНК АРОС-III в печени измерили при помощи ПЦР в реальном времени. Уровни мРНК АРОС-III нормализовали к уровням мРНК циклофилина по стандартным протоколам. Результаты представлены в Таблице 99 как средний процент уровней мРНК АРОС-III для каждой экспериментальной группы, по сравнению с контрольной группой, обработанной солевым раствором. Результаты демонстрируют, что олигонуклеотиды, содержащие конъюгирующую группу GalNAc, были существенно более эффективными, чем олигонуклеотид, не содержащий конъюгирующую группу. Кроме того, олигонуклеотид, содержащий конъюгирующую группу GalNAc, связанную с олигонуклеотидом через расщепляемый фрагмент (ISIS 680772), был еще более эффективным, чем олигонуклеотид, содержащий конъюгирующую группу GalNAc, связанную с олигонуклеотидом через стабильный фрагмент (ISIS 696847).The oligonucleotides listed in Table 99 were tested for inhibition of murine APOC-III expression in vivo. C57B1/6 mice were given a single subcutaneous injection of the oligonucleotide listed in Table 99 or PBS. Each experimental group consisted of 4 animals. Each mouse treated with ISIS 440670 was dosed at 2, 6, 20, or 60 mg/kg. Each mouse treated with ISIS 680772 or 696847 was injected with 0.6, 2, 6 or 20 mg/kg. The conjugating group of GalNAc in ISIS 696847 is linked through a stable moiety, a thiophosphate bond, instead of an easily cleavable phosphodiester-containing bond. Animals were sacrificed 72 hours after dosing. AROS-III mRNA levels in the liver were measured by real-time PCR. AROS-III mRNA levels were normalized to cyclophilin mRNA levels according to standard protocols. The results are presented in Table 99 as the mean percentage of APOC-III mRNA levels for each experimental group compared to the saline-treated control group. The results demonstrate that oligonucleotides containing a GalNAc conjugation group were significantly more effective than an oligonucleotide without a conjugation group. In addition, an oligonucleotide containing a GalNAc conjugation group linked to the oligonucleotide via a cleavable fragment (ISIS 680772) was even more effective than an oligonucleotide containing a GalNAc conjugating group linked to the oligonucleotide via a stable fragment (ISIS 696847).

Figure 00000378
Figure 00000378

Figure 00000379
Figure 00000379

Структура GalNAc3-7a показана в Примере 48.The structure of GalNAc3 -7a is shown in Example 48.

Пример 102. Распределение в печени антисмысловых олигонуклеотидов, содержащих конъюгат GalNAcExample 102 Hepatic Distribution of Antisense Oligonucleotides Containing a GalNAc Conjugate

Оценили распределение в печени ISIS 353382 (см. Таблицу 23), который не содержит конъюгата GalNAc, и ISIS 655861 (см. Таблицу 23), который содержит конъюгат GalNAc. Самцам мышей balb/c ввели однократную подкожную инъекцию ISIS 353382 или 655861 в дозе, перечисленной в Таблице 100. Каждая экспериментальная группа состояла из 3 животных, за исключением группы с дозой 18 мг/кг для ISIS 655861, которая состояла из 2 животных. Животных умертвили через 48 часов после введения дозы для определения распределения олигонуклеотидов в печени. Для измерения количества молекул антисмыслового олигонуклеотида на клетку, метку трис-бипиридина рутения (II) (MSD TAG, Meso Scale Discovery) конъюгировали с олигонуклеотидным образцом, применяемым для обнаружения антисмысловых олигонуклеотидов. Результаты, представленные в Таблице 100, представляют собой средние концентрации олигонуклеотида для каждой экспериментальной группы в единицах измерения миллионов молекул олигонуклеотида на клетку. Результаты демонстрируют, что при равных дозах олигонуклеотид, содержащий конъюгат GalNAc, содержался в более высоких концентрациях в целом в печени и в гепатоцитах, чем олигонуклеотид, не содержащий конъюгата GalNAc. Кроме того, олигонуклеотид, содержащий конъюгат GalNAc, содержался в более низких концентрациях в непаренхиматозных клетках печени, чем олигонуклеотид, не содержащий конъюгата GalNAc. И тогда как концентрации ISIS 655861 в гепатоцитах и непаренхиматозных клетках печени были одинаковыми в расчете на одну клетку, содержание гепатоцитов в печени составляет около 80% по объему. Следовательно, основная часть олигонуклеотида ISIS 655861, содержащегося в печени, находилась в гепатоцитах, тогда как основная часть олигонуклеотида ISIS 353382, содержащегося в печени, находилась в непаренхиматозных клетках печени.Liver distribution of ISIS 353382 (see Table 23) which does not contain GalNAc conjugate and ISIS 655861 (see Table 23) which contains GalNAc conjugate was assessed. Male balb/c mice were given a single subcutaneous injection of ISIS 353382 or 655861 at the dose listed in Table 100. Each experimental group consisted of 3 animals, except for the 18 mg/kg dose group for ISIS 655861, which consisted of 2 animals. Animals were sacrificed 48 hours post-dose to determine liver distribution of oligonucleotides. To measure the number of antisense oligonucleotide molecules per cell, a ruthenium(II) tris-bipyridine label (MSD TAG, Meso Scale Discovery) was conjugated to an oligonucleotide sample used to detect antisense oligonucleotides. The results presented in Table 100 are the average oligonucleotide concentrations for each experimental group in units of millions of oligonucleotide molecules per cell. The results demonstrate that at equal doses, the oligonucleotide containing the GalNAc conjugate was contained in higher concentrations in general in the liver and in hepatocytes than the oligonucleotide not containing the GalNAc conjugate. In addition, the oligonucleotide containing the GalNAc conjugate was present at lower concentrations in non-parenchymal liver cells than the oligonucleotide not containing the GalNAc conjugate. And while the concentrations of ISIS 655861 in hepatocytes and non-parenchymal cells of the liver were the same per cell, the content of hepatocytes in the liver is about 80% by volume. Therefore, the main part of the ISIS 655861 oligonucleotide contained in the liver was located in hepatocytes, while the main part of the ISIS 353382 oligonucleotide contained in the liver was located in non-parenchymal cells of the liver.

Figure 00000380
Figure 00000380

Figure 00000381
Figure 00000381

Пример 103. Продолжительность действия in vivo олигонуклеотидов, нацеленных на АРОС-III, содержащих конъюгат GalNAc3Example 103 In vivo duration of action of oligonucleotides targeting APOC-III containing a GalNAc3 conjugate

Олигонуклеотиды, перечисленные ниже в Таблице 101, испытали в исследовании однократной дозы на продолжительность действия у мышей.The oligonucleotides listed in Table 101 below were tested in a single dose duration study in mice.

Figure 00000382
Figure 00000382

Структура GalNAc3-3a показана в примере 39, а GalNAc3-19а показана в Примере 70.The structure of GalNAc3 -3a is shown in Example 39 and GalNAc3 -19a is shown in Example 70.

ЛечениеTreatment

Самкам трансгенных мышей, экспрессирующим человеческий АРОС-III, ввели однократную подкожную инъекцию олигонуклеотида, перечисленного в Таблице 101, или PBS. Каждая экспериментальная группа состояла из 3 животных. Образцы крови из брали до введения дозы для определения исходных показателей и на 3-й, 7-й, 14-й, 21-й, 28-й, 35-й и 42-й день после введения дозы. Уровни триглицеридов и белка АРОС-III в плазме измеряли так, как описано в Примере 20. Результаты в Таблице 102 представлены как средний процент уровней триглицеридов и АРОС-III в плазме для каждой экспериментальной группы, нормализованных к исходным уровням. Сравнение результатов в Таблице 58 примера 79 с результатами, представленными ниже в Таблице 102, демонстрирует, что олигонуклеотиды, содержащие смесь фосфодиэфирных и тиофосфатных межнуклеозидных связей, обладают увеличенной продолжительностью действия, чем эквивалентные олигонуклеотиды, содержащие только тиофосфатные межнуклеозидные связи.Female transgenic mice expressing human AROS-III were given a single subcutaneous injection of the oligonucleotide listed in Table 101 or PBS. Each experimental group consisted of 3 animals. Blood samples were taken from pre-dose to determine baseline and on days 3, 7, 14, 21, 28, 35 and 42 post-dose. Plasma triglyceride and APOC-III protein levels were measured as described in Example 20. The results in Table 102 are presented as the mean percentage of triglyceride and APOC-III plasma levels for each treatment group, normalized to baseline levels. Comparison of the results in Table 58 of Example 79 with the results shown in Table 102 below demonstrates that oligonucleotides containing a mixture of phosphodiester and thiophosphate internucleoside bonds have an increased duration of action than equivalent oligonucleotides containing only thiophosphate internucleoside bonds.

Figure 00000383
Figure 00000383

Пример 104. Синтез олигонуклеотидов, содержащих конъюгат 5'-GalNAc2Example 104 Synthesis of Oligonucleotides Containing 5'-GalNAc2 Conjugate

Figure 00000384
Figure 00000384

Соединение 120 имеется в продаже, а синтез соединения 126 описан в Примере 49. Соединение 120 (1 г, 2,89 ммоль), HBTU (0,39 г, 2,89 ммоль) и HOBt (1,64 г, 4,33 ммоль) растворили в ДМФА (10 мл) и добавили N,N-диизопропилэтиламин (1,75 мл, 10,1 ммоль). Примерно через 5 минут в реакционную смесь добавили бензиловый эфир аминогексановой кислоты (1,36 г, 3,46 ммоль). Через 3 часа реакционную смесь вылили в 100 мл 1 М раствора NaHSO4 и экстрагировали 2 × 50 мл этилацетата. Органические слои объединили и промыли 3 × 40 мл насыщенного раствора NaHCO3 и 2 х насыщенным солевым раствором, высушили при помощи Na2SO4, отфильтровали и концентрировали. Продукт очистили силикагелевой колоночной хроматографией (ДХМ:ЕА:гексаны, 1:1:1) с получением соединения 231. Данные ЖХМС и ЯМР согласовались со структурой. Соединение 231 (1,34 г, 2,438 ммоль) растворили в дихлорметане (10 мл) и добавили трифторуксусную кислоту (10 мл). После перемешивания при комнатной температуре в течение 2 часов, реакционную смесь концентрировали под пониженным давлением и выпарили вместе с толуолом (3 × 10 мл). Остаток высушили под пониженным давлением с получением соединения 232 в виде трифторацетатной соли. Синтез соединения 166 описан в Примере 54. Соединение 166 (3,39 г, 5,40 ммоль) растворили в ДМФА (3 мл). Раствор соединения 232 (1,3 г, 2,25 ммоль) растворили в ДМФА (3 мл) и добавили N,N-диизопропилэтиламин (1,55 мл). Реакционную смесь перемешивали при комнатной температуре в течение 30 минут, затем вылили в воду (80 мл), а водный слой экстрагировали EtOAc (2×100 мл). Органическую фазу отделили и промыли насыщенным водным раствором NaHCO3 (3 × 80 ил), 1 М NaHSO4 (3 × 80 мл) и насыщенным солевым раствором (2 × 80 мл), затем высушили (Na2SO4), отфильтровали и концентрировали. Остаток очистили силикагелевой колоночной хроматографией с получением соединения 233. Данные ЖХМС и ЯМР согласовались со структурой. Соединение 233 (0,59 г, 0,48 ммоль) растворили в метаноле (2,2 мл) и этилацетате (2,2 мл). Добавили палладий на углероде (10 масс. % Pd/C, влажный, 0,07 г) и перемешивали реакционную смесь в атмосфере водорода в течение 3 часов. Реакционную смесь отфильтровали через слой целита и концентрировали с получением карбоновой кислоты. Карбоновую кислоту (1,32 г, 1,15 ммоль, не содержащая кластера кислота) растворили в ДМФА (3,2 мл). К ней добавили добавили N,N-диизопропилэтиламин (0,3 мл, 1,73 ммоль) и PFP-ТФК (0,30 мл, 1,73 ммоль). Через 30 минут перемешивания при комнатной температуре реакционную смесь вылили в воду (40 мл) и экстрагировали EtOAc (2 × 50 мл). Выполнили стандартную процедуру выделения продукта, как описано выше, с получением соединения 234. Данные ЖХМС и ЯМР согласовались со структурой. Олигонуклеотид 235 получили по общему способу, описанному в Примере 46. Кластерная часть GalNAc2 (GalNAc2-24a) конъюгирующей группы GalNAc2-24 может быть комбинирована с любым расщепляемым фрагментом, содержащимся в олигонуклеотиде, с получением различных конъюгирующих групп. Структура GalNAc2-24 (GalNAc2-24a-CM) представлена ниже:Compound 120 is commercially available, and the synthesis of compound 126 is described in Example 49. Compound 120 (1 g, 2.89 mmol), HBTU (0.39 g, 2.89 mmol) and HOBt (1.64 g, 4.33 mmol) was dissolved in DMF (10 ml) and N,N-diisopropylethylamine (1.75 ml, 10.1 mmol) was added. After about 5 minutes, aminohexanoic acid benzyl ester (1.36 g, 3.46 mmol) was added to the reaction mixture. After 3 hours, the reaction mixture was poured into 100 ml of 1 M NaHSO4 solution and extracted with 2 × 50 ml of ethyl acetate. The organic layers were combined and washed with 3 x 40 ml saturated NaHCO3 solution and 2 x brine, dried with Na 2 SO4 , filtered and concentrated. The product was purified by silica gel column chromatography (DCM:EA:hexanes, 1:1:1) to give compound 231. LCMS and NMR data were consistent with the structure. Compound 231 (1.34 g, 2.438 mmol) was dissolved in dichloromethane (10 ml) and trifluoroacetic acid (10 ml) was added. After stirring at room temperature for 2 hours, the reaction mixture was concentrated under reduced pressure and co-evaporated with toluene (3 x 10 ml). The residue was dried under reduced pressure to give compound 232 as the trifluoroacetate salt. The synthesis of compound 166 is described in Example 54. Compound 166 (3.39 g, 5.40 mmol) was dissolved in DMF (3 ml). A solution of compound 232 (1.3 g, 2.25 mmol) was dissolved in DMF (3 ml) and N,N-diisopropylethylamine (1.55 ml) was added. The reaction mixture was stirred at room temperature for 30 minutes, then poured into water (80 ml) and the aqueous layer was extracted with EtOAc (2×100 ml). The organic phase was separated and washed with saturated aqueous NaHCO3 (3 x 80 yl), 1 M NaHSO4 (3 x 80 ml) and brine (2 x 80 ml), then dried (Na2 SO4 ), filtered and concentrated . The residue was purified by silica gel column chromatography to give compound 233. LCMS and NMR data were consistent with the structure. Compound 233 (0.59 g, 0.48 mmol) was dissolved in methanol (2.2 ml) and ethyl acetate (2.2 ml). Palladium on carbon (10 wt.% Pd/C, wet, 0.07 g) was added and the reaction mixture was stirred under a hydrogen atmosphere for 3 hours. The reaction mixture was filtered through a pad of celite and concentrated to give the carboxylic acid. The carboxylic acid (1.32 g, 1.15 mmol, non-clustered acid) was dissolved in DMF (3.2 ml). To this was added N,N-diisopropylethylamine (0.3 ml, 1.73 mmol) and PFP-TFA (0.30 ml, 1.73 mmol). After 30 minutes of stirring at room temperature, the reaction mixture was poured into water (40 ml) and extracted with EtOAc (2×50 ml). Followed the standard product isolation procedure as described above to give compound 234. LCMS and NMR data were consistent with the structure. Oligonucleotide 235 was prepared by the general method described in Example 46. The GalNAc2 (GalNAc2 -24a ) cluster portion of the GalNAc2-24 conjugation group can be combined with any cleavable moiety contained in the oligonucleotide to form various conjugation groups. The structure of GalNAc2 -24 (GalNAc2 -24a -CM) is shown below:

Figure 00000385
Figure 00000385

Пример 105. Синтез олигонуклеотидов, содержащих конъюгат GalNAc1-25Example 105 Synthesis of Oligonucleotides Containinga GalNAc 1-25 Conjugate

Figure 00000386
Figure 00000386

Синтез соединения 166 описан в Примере 54. Олигонуклеотид 236 получили по общему способу, описанному в Примере 46.The synthesis of compound 166 is described in Example 54. Oligonucleotide 236 was prepared according to the general method described in Example 46.

Альтернативно, олигонуклеотид 236 синтезировали по схеме, изображенной ниже, а соединение 238 применяли для получения олигонуклеотида 236 по способам, описанным в Примере 10.Alternatively, oligonucleotide 236 was synthesized according to the scheme shown below, and compound 238 was used to prepare oligonucleotide 236 according to the methods described in Example 10.

Figure 00000387
Figure 00000387

Кластерная часть GalNAc1 (GalNAc1-25a) конъюгирующей группы GalNAc1-25 может быть комбинирована с любым расщепляемым фрагментом, содержащемся в олигонуклеотиде, с получением различных конъюгирующих групп. Структура GalNAc1-25 (GalNAc1-25a-CM) представлена ниже:The cluster portion of the GalNAc1 (GalNAc1 -25a ) conjugating group GalNAc1 -25 can be combined with any cleavable fragment contained in the oligonucleotide to form different conjugating groups. The structure of GalNAc1 -25 (GalNAc1 -25a -CM) is shown below:

Figure 00000388
Figure 00000388

Пример 106. Антисмысловое ингибирование in vivo под действием олигонуклеотидов, нацеленных на SRB-1, содержащих конъюгат 5'-GalNAc2 или 5'-GalNAc3Example 106 In vivo antisense inhibition by oligonucleotides targeting SRB-1 containing a 5'-GalNAc2 or 5'-GalNAc3 conjugate

Олигонуклеотиды, перечисленные в Таблицах 103 и 104, испытали в дозозависимых исследованиях антисмыслового ингибирования SRB-1 у мышей.The oligonucleotides listed in Tables 103 and 104 were tested in dose-dependent antisense inhibition studies of SRB-1 in mice.

ЛечениеTreatment

Шестинедельным самцам мышей C57BL/6 (Jackson Laboratory, Бар-Харбор, штат Мэн) ввели однократную подкожную инъекцию 2, 7 или 20 мг/кг ISIS №440762; или 0,2, 0,6, 2, 6 или 20 мг/кг ISIS №686221, 686222 или 708561; или солевого раствора. Каждая экспериментальная группа состояла из 4 животных. Мышей умертвили через 72 часа после последнего введения. Уровни мРНК SRB-1 в печени измерили при помощи ПЦР в реальном времени. Уровни мРНК SRB-1 нормализовали к уровням мРНК циклофилина по стандартным протоколам. Антисмысловые олигонуклеотиды снижают уровни мРНК SRB-1 дозозависимым образом, а результаты ED50 представлены в Таблицах 103 и 104. Хотя в предыдущих исследованиях показано, что тривалентные GalNAc-конъюгированные олигонуклеотиды существенно более эффективны, чем двухвалентные GalNAc-конъюгированные олигонуклеотиды, которые, в свою очередь, существенно более эффективны, чем одновалентные GalNAc-конъюгированные олигонуклеотиды (см., например, Khorev et al., Bioorg. & Med. Chem., том 16, 5216-5231 (2008)), обработка антисмысловыми олигонуклеотидами, содержащими одновалентные, двухвалентные и тривалентные кластеры GalNAc, приводит к снижению уровней мРНК SRB-1 с одинаковой эффективностью, как показано в Таблицах 103 и 104.Six-week-old male C57BL/6 mice (Jackson Laboratory, Bar Harbor, Maine) were given a single subcutaneous injection of 2, 7, or 20 mg/kg ISIS No. 440762; or 0.2, 0.6, 2, 6 or 20 mg/kg ISIS No. 686221, 686222 or 708561; or saline solution. Each experimental group consisted of 4 animals. Mice were sacrificed 72 hours after the last injection. Liver SRB-1 mRNA levels were measured by real-time PCR. SRB-1 mRNA levels were normalized to cyclophilin mRNA levels according to standard protocols. Antisense oligonucleotides reduce SRB-1 mRNA levels in a dose-dependent manner, and ED50 results are shown in Tables 103 and 104. Although previous studies have shown that trivalent GalNAc-conjugated oligonucleotides are significantly more effective than bivalent GalNAc-conjugated oligonucleotides, which in turn , are significantly more efficient than monovalent GalNAc-conjugated oligonucleotides (see, for example, Khorev et al., Bioorg. & Med. Chem., vol. 16, 5216-5231 (2008)), treatment with antisense oligonucleotides containing monovalent, divalent and trivalent GalNAc clusters resulted in the reduction of SRB-1 mRNA levels with equal efficiency, as shown in Tables 103 and 104.

Figure 00000389
Figure 00000389

Легенда к таблице представлена в Примере 93. Структура GalNAc3-13a показана в Примере 62, а структура GalNAc2-24a показана в Примере 104.The table legend is shown in Example 93. The structure of GalNAc3 -13a is shown in Example 62 and the structure of GalNAc2 -24a is shown in Example 104.

Figure 00000390
Figure 00000390

Легенда к таблице представлена в Примере 93. Структура GalNAc1-25a показана в Примере 105.The table legend is shown in Example 93. The structure of GalNAc1 -25a is shown in Example 105.

Оценили также концентрации олигонуклеотидов, представленных в Таблицах 103 и 104, в печени, применив способы, описанные в Примере 75. Результаты, показанные ниже в Таблицах 104а и 104b, представляют собой средние значения общего содержания антисмысловых олигонуклеотидов в тканях для каждой экспериментальной группы, измеренные по УФ, в единицах измерения мкг олигонуклеотид а на грамм ткани печени. Результаты демонстрируют, что олигонуклеотиды, содержащие конъюгирующую группу GalNAc, накапливаются в печени в существенно более высоких количествах, чем при той же дозе олигонуклеотида, не содержащего конъюгирующую группу GalNAc. Кроме того, антисмысловые олигонуклеотиды, содержащие один, два или три лиганда GalNAc в своих соответствующих группах конъюгата, накапливаются в печени в равных количествах. Этот результат является неожиданным с учетом данных, представленных выше в литературном источнике Khorev et al., и он согласуется с данными активности, представленными выше в Таблицах 103 и 104.The concentrations of the oligonucleotides presented in Tables 103 and 104 in the liver were also evaluated using the methods described in Example 75. The results shown in Tables 104a and 104b below are the average values of the total content of antisense oligonucleotides in tissues for each experimental group, measured by UV, in units of µg oligonucleotide a per gram of liver tissue. The results demonstrate that oligonucleotides containing a GalNAc conjugation group accumulate in the liver at significantly higher levels than the same dose of an oligonucleotide lacking a GalNAc conjugation group. In addition, antisense oligonucleotides containing one, two or three GalNAc ligands in their respective conjugate groups accumulate in the liver in equal amounts. This result is unexpected given the data presented above in the literature by Khorev et al., and is consistent with the activity data presented above in Tables 103 and 104.

Figure 00000391
Figure 00000391

Figure 00000392
Figure 00000392

Figure 00000393
Figure 00000393

Пример 107. Синтез олигонуклеотидов, содержащих конъюгат GalNAc1-26 или GalNAc1-27Example 107 Synthesisof Oligonucleotides Containinga GalNAc 1-26 or GalNAc 1-27 Conjugate

Figure 00000394
Figure 00000394

Олигонуклеотид 239 синтезировали связыванием соединения 47 (см. Пример 15) с кислотой 64 (см. Пример 32), применяя HBTU и DIEA в ДМФА. Полученное амид-содержащее соединение тиофосфорилировали, затем присоединили к 5'-концу олигонуклеотида по способам, описанным в Примере 10. Кластерная часть GalNAc1 (GalNAc1-26a) конъюгирующей группы GalNAc1-26 может быть комбинирована с любым расщепляемым фрагментом, содержащимся в олигонуклеотиде, с получением различных конъюгирующих групп.Структура GalNAc1-26 (GalNAc1-26a-CM) представлена ниже:Oligonucleotide 239 was synthesized by coupling compound 47 (see Example 15) with acid 64 (see Example 32) using HBTU and DIEA in DMF. The resulting amide-containing compound was thiophosphorylated, then attached to the 5' end of the oligonucleotide according to the methods described in Example 10. The GalNAc1 (GalNAc1 -26a ) cluster portion of the GalNAc1 -26 conjugating group can be combined with any cleavable moiety contained in oligonucleotide, with obtaining various conjugating groups. The structure of GalNAc1 -26 (GalNAc1 -26a -CM) is presented below:

Figure 00000395
Figure 00000395

Для присоединения конъюгирующие группы GalNAc1 к 3'-концу олигонуклеотида амид, образованный по реакции соединений 47 и 64, присоединили к твердой подложке по способам, описанным в Примере 7. Затем выполнили синтез олигонуклеотида по способам, описанным в Примере 9, с получением олигонуклеотида 240.To attach the conjugating groups of GalNAc1 to the 3'-end of the oligonucleotide, the amide formed by the reaction of compounds 47 and 64 was attached to a solid support according to the methods described in Example 7. Then, the synthesis of the oligonucleotide was performed according to the methods described in Example 9, obtaining oligonucleotide 240 .

Figure 00000396
Figure 00000396

Кластерная часть GalNAc1 (GalNAc1-27a) конъюгирующей группы GalNAc1-27 может быть комбинирована с любым расщепляемым фрагментом, содержащемся в олигонуклеотиде, с получением различных конъюгирующих групп. Структура GalNAc1-27 (GalNAc1-27а-СМ) представлена ниже:The cluster portion of the GalNAc1 (GalNAc1 -27a ) conjugating group GalNAc1 -27 can be combined with any cleavable fragment contained in the oligonucleotide to form different conjugating groups. The structure of GalNAc1 -27 (GalNAc1 -27a-CM) is shown below:

Figure 00000397
Figure 00000397

Пример 108. Антисмысловое ингибирование in vivo под действием олигонуклеотидов, содержащих конъюгирующую группу GalNAc, нацеленных на Аро(а), in vivoExample 108 In vivo antisense inhibition by oligonucleotides containing a GalNAc conjugating group targeting Apo(a) in vivo

Олигонуклеотиды, перечисленные ниже в Таблице 105, испытали в исследовании однократной дозы на мышах.The oligonucleotides listed in Table 105 below were tested in a single dose study in mice.

Figure 00000398
Figure 00000398

Figure 00000399
Figure 00000399

Структура GalNAc3-7а показана в Примере 48.The structure of GalNAc3 -7a is shown in Example 48.

ЛечениеTreatment

Самцам трансгенных мышей, экспрессирующим человеческий Аро(а), ввели однократную подкожную инъекцию олигонуклеотид а и дозы, перечисленных в Таблице 106, или PBS. Каждая экспериментальная группа состояла из 4 животных. Образцы крови брали за день до введения дозы для определения исходных уровней белка Аро(а) в плазме, а также через 1 неделю после введения первой дозы. Образцы крови брали дополнительно еженедельно в течение около 8 недель. Уровни белка Аро(а) в плазме измеряли при помощи твердофазного иммуноферментного анализа. Результаты в Таблице 106 представлены как средний процент от уровней белка Аро(а) в плазме для каждой экспериментальной группы, нормализованных к исходным уровням (% BL). Результаты показывают, что антисмысловые олигонуклеотиды снижают экспрессию белка Аро(а). Кроме того, олигонуклеотиды, содержащие конъюгирующую группу GalNAc, демонстрируют еще более эффективное снижение экспрессии Аро(а), чем олигонуклеотид, не содержащий конъюгирующую группу.Male transgenic mice expressing human Apo(a) were given a single subcutaneous injection of oligonucleotide a and the doses listed in Table 106 or PBS. Each experimental group consisted of 4 animals. Blood samples were taken the day before dosing to determine baseline plasma levels of Apo(a) protein and also 1 week after the first dose. Blood samples were taken additionally weekly for about 8 weeks. Plasma Apo(a) protein levels were measured by enzyme-linked immunosorbent assay. The results in Table 106 are presented as the mean percentage of Apo(a) plasma protein levels for each experimental group, normalized to baseline levels (% BL). The results show that antisense oligonucleotides reduce Apo(a) protein expression. In addition, oligonucleotides containing a GalNAc conjugation group show an even more effective reduction in Apo(a) expression than an oligonucleotide without a conjugation group.

Figure 00000400
Figure 00000400

Figure 00000401
Figure 00000401

Пример 109. Синтез олигонуклеотидов, содержащих конъюгат GalNAc1-28 или GalNAc1-29Example 109 Synthesisof Oligonucleotides Containinga GalNAc 1-28 or GalNAc 1-29 Conjugate

Figure 00000402
Figure 00000402

Олигонуклеотид 241 синтезировали по таким же способам, как описаны в Примере 71, с получением фосфор амидитного промежуточного соединения, после чего выполнили приемы, описанные в Примере 10, для синтеза олигонуклеотида. Кластерная часть GalNAc1 (GalNAc1-28a) конъюгирующей группы GalNAc1-28 может быть комбинирована с любым расщепляемым фрагментом, содержащемся в олигонуклеотиде, с получением различных конъюгирующих групп. Структура GalNAc1-28 (GalNAc1-28a-CM) представлена ниже:Oligonucleotide 241 was synthesized by the same methods as described in Example 71 to obtain a phosphorus amidite intermediate, followed by the steps described in Example 10 to synthesize the oligonucleotide. The cluster portion of the GalNAc1 (GalNAc1 -28a ) of the GalNAc1 -28 conjugating group can be combined with any cleavable moiety contained in the oligonucleotide to form different conjugating groups. The structure of GalNAc1 -28 (GalNAc1 -28a -CM) is shown below:

Figure 00000403
Figure 00000403

Для присоединения конъюгирующие группы GalNAc1 к 3'-концу олигонуклеотида применяли такие же способы, как описаны в Примере 71, с получение гидроксильного промежуточного соединения, которое затем присоединили к твердой подложке по способам, описанным в Примере 7. Затем выполнили синтез олигонуклеотида по способам, описанным в Примере 9, с получением олигонуклеотида 242.To attach the GalNAc1 conjugating groups to the 3' end of the oligonucleotide, the same methods as described in Example 71 were used to obtain a hydroxyl intermediate, which was then attached to a solid support according to the methods described in Example 7. The synthesis of the oligonucleotide was then performed according to the methods described in Example 9 to give oligonucleotide 242.

Figure 00000404
Figure 00000404

Кластерная часть GalNAc1 (GalNAc1-29a) конъюгирующей группы GalNAc1-29 может быть комбинирована с любым расщепляемым фрагментом, содержащемся в олигонуклеотиде, с получением различных конъюгирующих групп. Структура GalNAc1-29 (GalNAc1-29а-СМ) представлена ниже:The GalNAc1 cluster portion (GalNAc1 -29a ) of the GalNAc1 -29 conjugating group can be combined with any cleavable moiety contained in the oligonucleotide to form different conjugating groups. The structure of GalNAc1 -29 (GalNAc1 -29a -CM) is shown below:

Figure 00000405
Figure 00000405

Пример 110. Синтез олигонуклеотидов, содержащих конъюгат GalNAc1-30Example 110 Synthesis of Oligonucleotides Containing a GalNAc1-30 Conjugate

Figure 00000406
Figure 00000406

Олигонуклеотид 246, содержащий конъюгирующую группу GalNAc1-30, где Y выбран из О, S, замещенного или незамещенного C110 алкила, амино, замещенного амино, азидо, алкенила или алкинила, синтезировали так, как показано выше. Кластерная часть GalNAc1 (GalNAc1-30а) конъюгирующей группы GalNAc1-30 может быть комбинирована с любым расщепляемым фрагментом с получением различных конъюгирующих групп. В некоторых вариантах реализации изобретения Y представляет собой часть расщепляемого фрагмента. В некоторых вариантах реализации изобретения Y представляет собой часть стабильного фрагмента, а расщепляемый фрагмент находится в олигонуклеотиде. Структура GalNAc1-30a представлена ниже:Oligonucleotide 246 containing a conjugating group GalNAc1-30 , where Y is selected from O, S, substituted or unsubstituted C1 -C10 alkyl, amino, substituted amino, azido, alkenyl, or alkynyl, was synthesized as shown above. The GalNAc1 cluster portion (GalNAc1 -30a) of the GalNAc1 -30 conjugating group can be combined with any cleavable moiety to form different conjugating groups. In some embodiments of the invention, Y is part of a cleavable fragment. In some embodiments of the invention, Y is part of a stable fragment, and the cleavable fragment is in the oligonucleotide. The structure of GalNAc1 -30a is shown below:

Figure 00000407
Figure 00000407

Пример 111. Синтез олигонуклеотидов, содержащих конъюгат GalNAc2-31 или GalNAc2-32Example 111 Synthesis of Oligonucleotides Containing a GalNAc2 -31 or GalNAc2 -32 Conjugate

Figure 00000408
Figure 00000408

Олигонуклеотид 250, содержащий конъюгирующую группу GalNAc2-31, где Y выбран из О, S, замещенного или незамещенного C110 алкила, амино, замещенного амино, азидо, алкенила или алкинила, синтезировали так, как показано выше. Кластерная часть GalNAc2 (GalNAc2-31a) конъюгирующей группы GalNAc2-31 может быть комбинирована с любым расщепляемым фрагментом с получением различных конъюгирующих групп. В некоторых вариантах реализации изобретения Y-содержащая группа, которая находится непосредственно возле 5'-конца олигонуклеотида, представляет собой часть расщепляемого фрагмента. В некоторых вариантах реализации изобретения Y-содержащая группа, которая находится непосредственно возле 5'-конца олигонуклеотид а, представляет собой часть стабильного фрагмента, а расщепляемый фрагмент находится в олигонуклеотиде. Структура GalNAc2-31a представлена ниже:Oligonucleotide 250 containing a conjugating group GalNAc2 -31, where Y is selected from O, S, substituted or unsubstituted C1 -C10 alkyl, amino, substituted amino, azido, alkenyl or alkynyl, was synthesized as shown above. The GalNAc2 cluster portion (GalNAc2 -31a ) of the GalNAc2 -31 conjugating group can be combined with any cleavable moiety to form different conjugating groups. In some embodiments of the invention, the Y-containing group, which is located immediately near the 5'end of the oligonucleotide, is part of the cleavable fragment. In some embodiments of the invention, the Y-containing group, which is located immediately near the 5'-end of the oligonucleotide a, is part of a stable fragment, and the cleavable fragment is in the oligonucleotide. The structure of GalNAc2 -31a is shown below:

Figure 00000409
Figure 00000409

Синтез олигонуклеотид а, содержащего конъюгат GalNAc2-32, представлен ниже.The synthesis of oligonucleotide a containing the GalNAc2 -32 conjugate is shown below.

Figure 00000410
Figure 00000410

Олигонуклеотид 252, содержащий конъюгирующую группу GalNAc2-32, где Y выбран из О, S, замещенного или незамещенного C110 алкила, амино, замещенного амино, азидо, алкенила или алкинила, синтезировали так, как показано выше. Кластерная часть GalNAc2 (GalNAc2-32a) конъюгирующей группы GalNAc2-32 может быть комбинирована с любым расщепляемым фрагментом с получением различных конъюгирующих групп. В некоторых вариантах реализации изобретения Y-содержащая группа, которая находится непосредственно возле 5'-конца олигонуклеотида, представляет собой часть расщепляемого фрагмента. В некоторых вариантах реализации изобретения Y-содержащая группа, которая находится непосредственно возле 5'-конца олигонуклеотида, представляет собой часть стабильного фрагмента, а расщепляемый фрагмент находится в олигонуклеотиде. Структура GalNAc2-32a представлена ниже:Oligonucleotide 252 containing a conjugating group GalNAc2 -32, where Y is selected from O, S, substituted or unsubstituted C1 -C10 alkyl, amino, substituted amino, azido, alkenyl, or alkynyl, was synthesized as shown above. The GalNAc2 cluster portion (GalNAc2 -32a ) of the GalNAc2 -32 conjugating group can be combined with any cleavable moiety to form different conjugating groups. In some embodiments of the invention, the Y-containing group, which is located immediately near the 5'end of the oligonucleotide, is part of the cleavable fragment. In some embodiments of the invention, the Y-containing group, which is located immediately near the 5'end of the oligonucleotide, is part of a stable fragment, and the cleavable fragment is in the oligonucleotide. The structure of GalNAc2 -32a is shown below:

Figure 00000411
Figure 00000411

Пример 112. Модифицированные олигонуклеотиды, содержащие конъюгат GalNAc1Example 112 Modified Oligonucleotides Containing GalNAc1 Conjugate

Олигонуклеотиды в Таблице 107, нацеленные на SRB-1, были синтезированы с группой конъюгата GalNAc1 для дополнительной проверки эффективности олигонуклеотидов, содержащих конъюгирующие группы, которые содержат лиганд GalNAc.The oligonucleotides in Table 107 targeting SRB-1 were synthesized with a GalNAc1 conjugate group to further test the efficacy of oligonucleotides containing conjugation groups that contain the GalNAc ligand.

Figure 00000412
Figure 00000412

Figure 00000413
Figure 00000413

Пример 113. Модифицированные олигонуклеотиды, содержащие конъюгирующую группу GalNAc, нацеленные на вирус гепатита В (HBV)Example 113 Modified Oligonucleotides Containing a GalNAc Conjugation Group Targeting Hepatitis B Virus (HBV)

Олигонуклеотиды, перечисленные ниже в Таблице 108, предназначены для воздействия на HBV. В некоторых вариантах реализации изобретения расщепляемый фрагмент представляет собой фосфодиэфирную связь.The oligonucleotides listed in Table 108 below are intended to target HBV. In some embodiments, the cleavable moiety is a phosphodiester bond.

Figure 00000414
Figure 00000414

--->--->

ПЕРЕЧЕНЬ ПОСЛЕДОВАТЕЛЬНОСТЕЙ SEQUENCE LIST

<110> АЙСИС ФАРМАСЬЮТИКАЛС, ИНК.<110> ISIS PHARMACEUTICALS, INC.

<120> КОМПОЗИЦИИ И СПОСОБЫ МОДУЛИРОВАНИЯ ЭКСПРЕССИИ HBV И TTR<120> COMPOSITIONS AND METHODS FOR MODULATING HBV AND TTR EXPRESSION

<130> BIOL0248WO<130>BIOL0248WO

<150> 61/818442<150> 61/818442

<151> 2013-05-01<151> 2013-05-01

<150> 61/823826<150> 61/823826

<151> 2013-05-15<151> 2013-05-15

<150> 61/843887<150> 61/843887

<151> 2013-07-08<151> 2013-07-08

<150> 61/871673<150> 61/871673

<151> 2013-08-29<151> 2013-08-29

<150> 61/880790<150> 61/880790

<151> 2013-09-20<151> 2013-09-20

<150> 61/976991<150> 61/976991

<151> 2014-04-08<151> 2014-04-08

<150> 61/986867<150> 61/986867

<151> 2014-04-30<151> 2014-04-30

<160> 53<160> 53

<170> PatentIn версии 3.5<170> PatentIn version 3.5

<210> 1<210> 1

<211> 3182<211> 3182

<212> ДНК<212> DNA

<213> Вирус гепатита B<213> Hepatitis B virus

<400> 1<400> 1

aattccacaa cctttcacca aactctgcaa gatcccagag tgagaggcct gtatttccct 60aattccacaa cctttcacca aactctgcaa gatcccagag tgagaggcct gtatttccct 60

gctggtggct ccagttcagg agcagtaaac cctgttccga ctactgcctc tcccttatcg 120gctggtggct ccagttcagg agcagtaaac cctgttccga ctactgcctc tcccttatcg 120

tcaatcttct cgaggattgg ggaccctgcg ctgaacatgg agaacatcac atcaggattc 180tcaatcttct cgaggattgg ggaccctgcg ctgaacatgg agaacatcac atcaggattc 180

ctaggacccc ttctcgtgtt acaggcgggg tttttcttgt tgacaagaat cctcacaata 240ctaggacccc ttctcgtgtt acaggcgggg tttttcttgt tgacaagaat cctcacaata 240

ccgcagagtc tagactcgtg gtggacttct ctcaattttc tagggggaac taccgtgtgt 300300

cttggccaaa attcgcagtc cccaacctcc aatcactcac caacctcctg tcctccaact 360cttggccaaa attcgcagtc cccaacctcc aatcactcac caacctcctg tcctccaact 360

tgtcctggtt atcgctggat gtgtctgcgg cgttttatca tcttcctctt catcctgctg 420tgtcctggtt atcgctggat gtgtctgcgg cgttttatca tcttcctctt catcctgctg 420

ctatgcctca tcttcttgtt ggttcttctg gactatcaag gtatgttgcc cgtttgtcct 480ctatgcctca tcttcttgtt ggttcttctg gactatcaag gtatgttgcc cgtttgtcct 480

ctaattccag gatcctcaac caccagcacg ggaccatgcc gaacctgcat gactactgct 540ctaattccag gatcctcaac caccagcacg ggaccatgcc gaacctgcat gactactgct 540

caaggaacct ctatgtatcc ctcctgttgc tgtaccaaac cttcggacgg aaattgcacc 600caaggaacct ctatgtatcc ctcctgttgc tgtaccaaac cttcggacgg aaattgcacc 600

tgtattccca tcccatcatc ctgggctttc ggaaaattcc tatgggagtg ggcctcagcc 660tgtattccca tcccatcatc ctgggctttc ggaaaattcc tatgggagtg ggcctcagcc 660

cgtttctcct ggctcagttt actagtgcca tttgttcagt ggttcgtagg gctttccccc 720cgttctctcct ggctcagttt actagtgcca tttgttcagt ggttcgtagg gctttccccc 720

actgtttggc tttcagttat atggatgatg tggtattggg ggccaagtct gtacagcatc 780actgtttggc tttcagttat atggatgatg tggtattggg ggccaagtct gtacagcatc 780

ttgagtccct ttttaccgct gttaccaatt ttcttttgtc tttgggtata catttaaacc 840ttgagtccct ttttaccgct gttaccaatt ttcttttgtc tttggggtata catttaaacc 840

ctaacaaaac aaagagatgg ggttactctc tgaattttat gggttatgtc attggaagtt 900ctaacaaaac aaagagatgg ggttactctc tgaattttat gggttatgtc attggaagtt 900

atgggtcctt gccacaagaa cacatcatac aaaaaatcaa agaatgtttt agaaaacttc 960atgggtcctt gccacaagaa cacatcatac aaaaaatcaa agaatgtttt agaaaacttc 960

ctattaacag gcctattgat tggaaagtat gtcaacgaat tgtgggtctt ttgggttttg 10201020

ctgccccatt tacacaatgt ggttatcctg cgttaatgcc cttgtatgca tgtattcaat 1080ctgccccatt tacacaatgt ggttatcctg cgttaatgcc cttgtatgca tgtattcaat 1080

ctaagcaggc tttcactttc tcgccaactt acaaggcctt tctgtgtaaa caatacctga 1140ctaagcaggc tttcactttc tcgccaactt acaaggcctt tctgtgtaaa caatacctga 1140

acctttaccc cgttgcccgg caacggccag gtctgtgcca agtgtttgct gacgcaaccc 1200acctttaccc cgttgcccgg caacggccag gtctgtgcca agtgtttgct gacgcaaccc 1200

ccactggctg gggcttggtc atgggccatc agcgcgtgcg tggaaccttt tcggctcctc 1260ccactggctg gggcttggtc atgggccatc agcgcgtgcg tggaaccttt tcggctcctc 1260

tgccgatcca tactgcggaa ctcctagccg cttgttttgc tcgcagcagg tctggagcaa 1320tgccgatcca tactgcggaa ctcctagccg cttgttttgc tcgcagcagg tctggagcaa 1320

acattatcgg gactgataac tctgttgtcc tctcccgcaa atatacatcg tatccatggc 1380acattatcgg gactgataac tctgttgtcc tctcccgcaa atatacatcg tatccatggc 1380

tgctaggctg tgctgccaac tggatcctgc gcgggacgtc ctttgtttac gtcccgtcgg 14401440

cgctgaatcc tgcggacgac ccttctcggg gtcgcttggg actctctcgt ccccttctcc 1500cgctgaatcc tgcggacgac ccttctcggg gtcgcttggg actctctcgt ccccttctcc 1500

gtctgccgtt ccgaccgacc acggggcgca cctctcttta cgcggactcc ccgtctgtgc 1560gtctgccgtt ccgaccgacc acggggcgca cctctcttta cgcggactcc ccgtctgtgc 1560

cttctcatct gccggaccgt gtgcacttcg cttcacctct gcacgtcgca tggagaccac 1620cttctcatct gccggaccgt gtgcacttcg cttcacctct gcacgtcgca tggagaccac 1620

cgtgaacgcc caccgaatgt tgcccaaggt cttacataag aggactcttg gactctctgc 1680cgtgaacgcc caccgaatgt tgcccaaggt cttacataag aggactcttg gactctctgc 1680

aatgtcaacg accgaccttg aggcatactt caaagactgt ttgtttaaag actgggagga 1740aatgtcaacg accgaccttg aggcatactt caaagactgt ttgtttaaag actgggagga 1740

gttgggggag gagattagat taaaggtctt tgtactagga ggctgtaggc ataaattggt 1800gttgggggag gagattagat taaaggtctt tgtactagga ggctgtaggc ataaattggt 1800

ctgcgcacca gcaccatgca actttttcac ctctgcctaa tcatctcttg ttcatgtcct 1860ctgcgcacca gcaccatgca actttttcac ctctgcctaa tcatctcttg ttcatgtcct 1860

actgttcaag cctccaagct gtgccttggg tggctttggg gcatggacat cgacccttat 1920actgttcaag cctccaagct gtgccttggg tggctttggg gcatggacat cgacccttat 1920

aaagaatttg gagctactgt ggagttactc tcgtttttgc cttctgactt ctttccttca 1980aaagaatttg gagctactgt ggagttactc tcgtttttgc cttctgactt ctttccttca 1980

gtacgagatc ttctagatac cgcctcagct ctgtatcggg aagccttaga gtctcctgag 2040gtacgagatc ttctagatac cgcctcagct ctgtatcggg aagccttaga gtctcctgag 2040

cattgttcac ctcaccatac tgcactcagg caagcaattc tttgctgggg ggaactaatg 2100cattgttcac ctcaccatac tgcactcagg caagcaattc tttgctgggg ggaactaatg 2100

actctagcta cctgggtggg tgttaatttg gaagatccag catctagaga cctagtagtc 2160actctagcta cctgggtggg tgttaatttg gaagatccag catctagaga cctagtagtc 2160

agttatgtca acactaatat gggcctaaag ttcaggcaac tcttgtggtt tcacatttct 2220agttatgtca acactaatat gggcctaaag ttcaggcaac tcttgtggtt tcacatttct 2220

tgtctcactt ttggaagaga aaccgttata gagtatttgg tgtctttcgg agtgtggatt 22802280

cgcactcctc cagcttatag accaccaaat gcccctatcc tatcaacact tccggaaact 23402340

actgttgtta gacgacgagg caggtcccct agaagaagaa ctccctcgcc tcgcagacga 2400actgttgtta gacgacgagg caggtcccct agaagaagaa ctccctcgcc tcgcagacga 2400

aggtctcaat cgccgcgtcg cagaagatct caatctcggg aacctcaatg ttagtattcc 2460aggtctcaat cgccgcgtcg cagaagatct caatctcggg aacctcaatg ttagtattcc 2460

ttggactcat aaggtgggga actttactgg tctttattct tctactgtac ctgtctttaa 2520ttggactcat aaggtgggga actttactgg tctttattct tctactgtac ctgtctttaa 2520

tcctcattgg aaaacaccat cttttcctaa tatacattta caccaagaca ttatcaaaaa 25802580

atgtgaacag tttgtaggcc cacttacagt taatgagaaa agaagattgc aattgattat 2640atgtgaacag tttgtaggcc cacttacagt taatgagaaa agaagattgc aattgattat 2640

gcctgctagg ttttatccaa aggttaccaa atatttacca ttggataagg gtattaaacc 2700gcctgctagg ttttatccaa aggttaccaa atatttacca ttggataagg gtattaaacc 2700

ttattatcca gaacatctag ttaatcatta cttccaaact agacactatt tacacactct 2760ttattatcca gaacatctag ttaatcatta cttccaaact agacactatt tacacactct 2760

atggaaggcg ggtatattat ataagagaga aacaacacat agcgcctcat tttgtgggtc 2820atggaaggcg ggtatattat ataagagaga aacaacacat agcgcctcat tttgtgggtc 2820

accatattct tgggaacaag atctacagca tggggcagaa tctttccacc agcaatcctc 2880accatattct tgggaacaag atctacagca tggggcagaa tctttccacc agcaatcctc 2880

tgggattctt tcccgaccac cagttggatc cagccttcag agcaaacaca gcaaatccag 2940tgggattctt tcccgaccac cagttggatc cagccttcag agcaaacaca gcaaatccag 2940

attgggactt caatcccaac aaggacacct ggccagacgc caacaaggta ggagctggag 3000attgggactt caatcccaac aaggacacct ggccagacgc caacaaggta ggagctggag 3000

cattcgggct gggtttcacc ccaccgcacg gaggcctttt ggggtggagc cctcaggctc 3060cattcgggct gggtttcacc ccaccgcacg gaggcctttt ggggtggagc cctcaggctc 3060

agggcatact acaaactttg ccagcaaatc cgcctcctgc ctccaccaat cgccagacag 3120agggcatact acaaactttg ccagcaaatc cgcctcctgc ctccaccaat cgccagacag 3120

gaaggcagcc taccccgctg tctccacctt tgagaaacac tcatcctcag gccatgcagt 3180gaaggcagcc taccccgctg tctccacctt tgagaaacac tcatcctcag gccatgcagt 3180

gg 3182gg 3182

<210> 2<210> 2

<211> 938<211> 938

<212> ДНК<212> DNA

<213> Homo sapiens<213> Homo sapiens

<400> 2<400> 2

gttgactaag tcaataatca gaatcagcag gtttgcagtc agattggcag ggataagcag 60gttgactaag tcaataatca gaatcagcag gtttgcagtc agattggcag ggataagcag 60

cctagctcag gagaagtgag tataaaagcc ccaggctggg agcagccatc acagaagtcc 120cctagctcag gagaagtgag tataaaagcc ccaggctggg agcagccatc acagaagtcc 120

actcattctt ggcaggatgg cttctcatcg tctgctcctc ctctgccttg ctggactggt 180actcattctt ggcaggatgg cttctcatcg tctgctcctc ctctgccttg ctggactggt 180

atttgtgtct gaggctggcc ctacgggcac cggtgaatcc aagtgtcctc tgatggtcaa 240atttgtgtct gaggctggcc ctacggggcac cggtgaatcc aagtgtcctc tgatggtcaa 240

agttctagat gctgtccgag gcagtcctgc catcaatgtg gccgtgcatg tgttcagaaa 300agttctagat gctgtccgag gcagtcctgc catcaatgtg gccgtgcatg tgttcagaaa 300

ggctgctgat gacacctggg agccatttgc ctctgggaaa accagtgagt ctggagagct 360ggctgctgat gacacctggg agccatttgc ctctgggaaa accagtgagt ctggagagct 360

gcatgggctc acaactgagg aggaatttgt agaagggata tacaaagtgg aaatagacac 420gcatgggctc acaactgagg aggaatttgt agaagggata tacaaagtgg aaatagacac 420

caaatcttac tggaaggcac ttggcatctc cccattccat gagcatgcag aggtggtatt 480caaatcttac tggaaggcac ttggcatctc cccattccat gagcatgcag aggtggtatt 480

cacagccaac gactccggcc cccgccgcta caccattgcc gccctgctga gcccctactc 540cacagccaac gactccggcc cccgccgcta caccattgcc gccctgctga gcccctactc 540

ctattccacc acggctgtcg tcaccaatcc caaggaatga gggacttctc ctccagtgga 600ctattccacc acggctgtcg tcaccaatcc caaggaatga gggacttctc ctccagtgga 600

cctgaaggac gagggatggg atttcatgta accaagagta ttccattttt actaaagcag 660cctgaaggac gagggatggg atttcatgta accaaggta ttccatttt actaaagcag 660

tgttttcacc tcatatgcta tgttagaagt ccaggcagag acaataaaac attcctgtga 720tgttttcacc tcatatgcta tgttagaagt ccaggcagag acaataaaac attcctgtga 720

aaggcacttt tcattccact ttaacttgat tttttaaatt cccttattgt cccttccaaa 780aaggcacttt tcattccact ttaacttgat tttttaaatt cccttattgt cccttccaaa 780

aaaaagagaa tcaaaatttt acaaagaatc aaaggaattc tagaaagtat ctgggcagaa 840aaaaagagaa tcaaaatttt acaaagaatc aaaggaattc tagaaagtat ctgggcagaa 840

cgctaggaga gatccaaatt tccattgtct tgcaagcaaa gcacgtatta aatatgatct 900cgctaggaga gatccaaatt tccattgtct tgcaagcaaa gcacgtatta aatatgatct 900

gcagccatta aaaagacaca ttctgtaaaa aaaaaaaa 938gcagccatta aaaagacaca ttctgtaaaa aaaaaaaa 938

<210> 3<210> 3

<211> 20<211> 20

<212> ДНК<212> DNA

<213> Искусственная последовательность<213> Artificial sequence

<220><220>

<223> Синтетический олигонуклеотид<223> Synthetic oligonucleotide

<400> 3<400> 3

gcagaggtga agcgaagtgc 20gcagaggtga agcgaagtgc 20

<210> 4<210> 4

<211> 20<211> 20

<212> ДНК<212> DNA

<213> Искусственная последовательность<213> Artificial sequence

<220><220>

<223> Синтетический олигонуклеотид<223> Synthetic oligonucleotide

<400> 4<400> 4

ccaatttatg cctacagcct 20ccaatttatg cctacagcct 20

<210> 5<210> 5

<211> 17<211> 17

<212> ДНК<212> DNA

<213> Искусственная последовательность<213> Artificial sequence

<220><220>

<223> Синтетический олигонуклеотид<223> Synthetic oligonucleotide

<400> 5<400> 5

ggcatagcag caggatg 17ggcatagcag caggatg 17

<210> 6<210> 6

<211> 20<211> 20

<212> ДНК<212> DNA

<213> Искусственная последовательность<213> Artificial sequence

<220><220>

<223> Синтетический олигонуклеотид<223> Synthetic oligonucleotide

<400> 6<400> 6

aggagttccg cagtatggat 20aggagttccg cagtatggat 20

<210> 7<210> 7

<211> 20<211> 20

<212> ДНК<212> DNA

<213> Искусственная последовательность<213> Artificial sequence

<220><220>

<223> Синтетический олигонуклеотид<223> Synthetic oligonucleotide

<400> 7<400> 7

gtgaagcgaa gtgcacacgg 20gtgaagcgaa gtgcacacgg 20

<210> 8<210> 8

<211> 20<211> 20

<212> ДНК<212> DNA

<213> Искусственная последовательность<213> Artificial sequence

<220><220>

<223> Синтетический олигонуклеотид<223> Synthetic oligonucleotide

<400> 8<400> 8

gtgcagaggt gaagcgaagt 20gtgcagaggt gaagcgaagt 20

<210> 9<210> 9

<211> 16<211> 16

<212> ДНК<212> DNA

<213> Искусственная последовательность<213> Artificial sequence

<220><220>

<223> Синтетический олигонуклеотид<223> Synthetic oligonucleotide

<400> 9<400> 9

aggtgaagcg aagtgc 16aggtgaagcg aagtgc 16

<210> 10<210> 10

<211> 16<211> 16

<212> ДНК<212> DNA

<213> Искусственная последовательность<213> Artificial sequence

<220><220>

<223> Синтетический олигонуклеотид<223> Synthetic oligonucleotide

<400> 10<400> 10

tccgcagtat ggatcg 16tccgcagtat ggatcg 16

<210> 11<210> 11

<211> 18<211> 18

<212> ДНК<212> DNA

<213> Искусственная последовательность<213> Artificial sequence

<220><220>

<223> Синтетический олигонуклеотид<223> Synthetic oligonucleotide

<400> 11<400> 11

aatttatgcc tacagcct 18aattatgcc tacagcct 18

<210> 12<210> 12

<211> 20<211> 20

<212> ДНК<212> DNA

<213> Искусственная последовательность<213> Artificial sequence

<220><220>

<223> Синтетический олигонуклеотид<223> Synthetic oligonucleotide

<400> 12<400> 12

tcttggttac atgaaatccc 20tcttggttac atgaaatccc 20

<210> 13<210> 13

<211> 20<211> 20

<212> ДНК<212> DNA

<213> Искусственная последовательность<213> Artificial sequence

<220><220>

<223> Синтетический олигонуклеотид<223> Synthetic oligonucleotide

<400> 13<400> 13

cttggttaca tgaaatccca 20cttggttaca tgaaatccca 20

<210> 14<210> 14

<211> 20<211> 20

<212> ДНК<212> DNA

<213> Искусственная последовательность<213> Artificial sequence

<220><220>

<223> Синтетический олигонуклеотид<223> Synthetic oligonucleotide

<400> 14<400> 14

ggaatactct tggttacatg 20ggaatactct tggttacatg 20

<210> 15<210> 15

<211> 20<211> 20

<212> ДНК<212> DNA

<213> Искусственная последовательность<213> Artificial sequence

<220><220>

<223> Синтетический олигонуклеотид<223> Synthetic oligonucleotide

<400> 15<400> 15

tggaatactc ttggttacat 20tggaatactc ttggttacat 20

<210> 16<210> 16

<211> 20<211> 20

<212> ДНК<212> DNA

<213> Искусственная последовательность<213> Artificial sequence

<220><220>

<223> Синтетический олигонуклеотид<223> Synthetic oligonucleotide

<400> 16<400> 16

ttttattgtc tctgcctgga 20ttttttgtc tctgcctgga 20

<210> 17<210> 17

<211> 20<211> 20

<212> ДНК<212> DNA

<213> Искусственная последовательность<213> Artificial sequence

<220><220>

<223> Синтетический олигонуклеотид<223> Synthetic oligonucleotide

<400> 17<400> 17

gaatgtttta ttgtctctgc 20gaatgtttta ttgtctctgc 20

<210> 18<210> 18

<211> 20<211> 20

<212> ДНК<212> DNA

<213> Искусственная последовательность<213> Artificial sequence

<220><220>

<223> Синтетический олигонуклеотид<223> Synthetic oligonucleotide

<400> 18<400> 18

aggaatgttt tattgtctct 20aggaatgttt tattgtctct 20

<210> 19<210> 19

<211> 20<211> 20

<212> ДНК<212> DNA

<213> Искусственная последовательность<213> Artificial sequence

<220><220>

<223> Синтетический олигонуклеотид<223> Synthetic oligonucleotide

<400> 19<400> 19

acaggaatgt tttattgtct 20acaggaatgt tttattgtct 20

<210> 20<210> 20

<211> 20<211> 20

<212> ДНК<212> DNA

<213> Искусственная последовательность<213> Artificial sequence

<220><220>

<223> Синтетический олигонуклеотид<223> Synthetic oligonucleotide

<400> 20<400> 20

agcttcttgt ccagctttat 20agcttcttgt ccagctttat 20

<210> 21<210> 21

<211> 21<211> 21

<212> ДНК<212> DNA

<213> Искусственная последовательность<213> Artificial sequence

<220><220>

<223> Синтетический олигонуклеотид<223> Synthetic oligonucleotide

<400> 21<400> 21

agcttcttgt ccagctttat a 21agcttcttgt ccagctttat a 21

<210> 22<210> 22

<211> 14<211> 14

<212> ДНК<212> DNA

<213> Искусственная последовательность<213> Artificial sequence

<220><220>

<223> Синтетический олигонуклеотид<223> Synthetic oligonucleotide

<400> 22<400> 22

tcagtcatga cttc 14tcagtcatga cttc 14

<210> 23<210> 23

<211> 15<211> 15

<212> ДНК<212> DNA

<213> Искусственная последовательность<213> Artificial sequence

<220><220>

<223> Синтетический олигонуклеотид<223> Synthetic oligonucleotide

<400> 23<400> 23

tcagtcatga cttca 15tcagtcatga cttca 15

<210> 24<210> 24

<211> 20<211> 20

<212> ДНК<212> DNA

<213> Искусственная последовательность<213> Artificial sequence

<220><220>

<223> Синтетический олигонуклеотид<223> Synthetic oligonucleotide

<400> 24<400> 24

gctgattaga gagaggtccc 20gctgattaga gagaggtccc 20

<210> 25<210> 25

<211> 20<211> 20

<212> ДНК<212> DNA

<213> Искусственная последовательность<213> Artificial sequence

<220><220>

<223> Синтетический олигонуклеотид<223> Synthetic oligonucleotide

<400> 25<400> 25

tcccatttca ggagacctgg 20tcccatttca ggagacctgg 20

<210> 26<210> 26

<211> 15<211> 15

<212> ДНК<212> DNA

<213> Искусственная последовательность<213> Artificial sequence

<220><220>

<223> Синтетический олигонуклеотид<223> Synthetic oligonucleotide

<400> 26<400> 26

atcagtcatg acttc 15atcagtcatg acttc 15

<210> 27<210> 27

<211> 20<211> 20

<212> ДНК<212> DNA

<213> Искусственная последовательность<213> Artificial sequence

<220><220>

<223> Синтетический олигонуклеотид<223> Synthetic oligonucleotide

<400> 27<400> 27

cggtgcaagg cttaggaatt 20cggtgcaagg cttaggaatt 20

<210> 28<210> 28

<211> 20<211> 20

<212> ДНК<212> DNA

<213> Искусственная последовательность<213> Artificial sequence

<220><220>

<223> Синтетический олигонуклеотид<223> Synthetic oligonucleotide

<400> 28<400> 28

gcttcagtca tgacttcctt 20gcttcagtca tgacttcctt 20

<210> 29<210> 29

<211> 21<211> 21

<212> ДНК<212> DNA

<213> Искусственная последовательность<213> Artificial sequence

<220><220>

<223> Синтетический олигонуклеотид<223> Synthetic oligonucleotide

<400> 29<400> 29

gcttcagtca tgacttcctt a 21gcttcagtca tgacttcctt a 21

<210> 30<210> 30

<211> 21<211> 21

<212> ДНК<212> DNA

<213> Искусственная последовательность<213> Artificial sequence

<220><220>

<223> Синтетический олигонуклеотид<223> Synthetic oligonucleotide

<400> 30<400> 30

agcttcagtc atgacttcct t 21agcttcagtc atgacttcct t 21

<210> 31<210> 31

<211> 20<211> 20

<212> ДНК<212> DNA

<213> Искусственная последовательность<213> Artificial sequence

<220><220>

<223> Синтетический олигонуклеотид<223> Synthetic oligonucleotide

<400> 31<400> 31

tggtaatcca ctttcagagg 20tggtaatcca ctttcagagg 20

<210> 32<210> 32

<211> 21<211> 21

<212> ДНК<212> DNA

<213> Искусственная последовательность<213> Artificial sequence

<220><220>

<223> Синтетический олигонуклеотид<223> Synthetic oligonucleotide

<400> 32<400> 32

tggtaatcca ctttcagagg a 21tggtaatcca ctttcagagg a 21

<210> 33<210> 33

<211> 21<211> 21

<212> ДНК<212> DNA

<213> Искусственная последовательность<213> Artificial sequence

<220><220>

<223> Синтетический олигонуклеотид<223> Synthetic oligonucleotide

<400> 33<400> 33

tgcttcagtc atgacttcct t 21tgcttcagtc atgacttcct t 21

<210> 34<210> 34

<211> 20<211> 20

<212> ДНК<212> DNA

<213> Искусственная последовательность<213> Artificial sequence

<220><220>

<223> Синтетический олигонуклеотид<223> Synthetic oligonucleotide

<400> 34<400> 34

cactgatttt tgcccaggat 20cactgatttt tgcccaggat 20

<210> 35<210> 35

<211> 21<211> 21

<212> ДНК<212> DNA

<213> Искусственная последовательность<213> Artificial sequence

<220><220>

<223> Синтетический олигонуклеотид<223> Synthetic oligonucleotide

<400> 35<400> 35

cactgatttt tgcccaggat a 21cactgatttt tgcccaggat a 21

<210> 36<210> 36

<211> 21<211> 21

<212> ДНК<212> DNA

<213> Искусственная последовательность<213> Artificial sequence

<220><220>

<223> Синтетический олигонуклеотид<223> Synthetic oligonucleotide

<400> 36<400> 36

aagcttcttg tccagcttta t 21aagcttcttg tccagcttta t 21

<210> 37<210> 37

<211> 20<211> 20

<212> ДНК<212> DNA

<213> Искусственная последовательность<213> Artificial sequence

<220><220>

<223> Синтетический олигонуклеотид<223> Synthetic oligonucleotide

<400> 37<400> 37

acccaattca gaaggaagga 20acccaattca gaaggaagga 20

<210> 38<210> 38

<211> 21<211> 21

<212> ДНК<212> DNA

<213> Искусственная последовательность<213> Artificial sequence

<220><220>

<223> Синтетический олигонуклеотид<223> Synthetic oligonucleotide

<400> 38<400> 38

acccaattca gaaggaagga a 21acccaattca gaaggaagga a 21

<210> 39<210> 39

<211> 21<211> 21

<212> ДНК<212> DNA

<213> Искусственная последовательность<213> Artificial sequence

<220><220>

<223> Синтетический олигонуклеотид<223> Synthetic oligonucleotide

<400> 39<400> 39

aacccaattc agaaggaagg a 21aacccaattc agaaggaagg a 21

<210> 40<210> 40

<211> 21<211> 21

<212> ДНК<212> DNA

<213> Искусственная последовательность<213> Artificial sequence

<220><220>

<223> Синтетический олигонуклеотид<223> Synthetic oligonucleotide

<400> 40<400> 40

atggtaatcc actttcagag g 21atggtaatcc actttcagag g 21

<210> 41<210> 41

<211> 20<211> 20

<212> ДНК<212> DNA

<213> Искусственная последовательность<213> Artificial sequence

<220><220>

<223> Синтетический олигонуклеотид<223> Synthetic oligonucleotide

<400> 41<400> 41

tcttggttac atgaaatccc 20tcttggttac atgaaatccc 20

<210> 42<210> 42

<211> 21<211> 21

<212> ДНК<212> DNA

<213> Искусственная последовательность<213> Artificial sequence

<220><220>

<223> Синтетический олигонуклеотид<223> Synthetic oligonucleotide

<400> 42<400> 42

tcttggttac atgaaatccc a 21tcttggttac atgaaatccc a 21

<210> 43<210> 43

<211> 20<211> 20

<212> ДНК<212> DNA

<213> Искусственная последовательность<213> Artificial sequence

<220><220>

<223> Синтетический олигонуклеотид<223> Synthetic oligonucleotide

<400> 43<400> 43

attcactttc ataatgctgg 20attcactttc ataatgctgg 20

<210> 44<210> 44

<211> 21<211> 21

<212> ДНК<212> DNA

<213> Искусственная последовательность<213> Artificial sequence

<220><220>

<223> Синтетический олигонуклеотид<223> Synthetic oligonucleotide

<400> 44<400> 44

attcactttc ataatgctgg a 21attcactttc ataatgctgg a 21

<210> 45<210> 45

<211> 21<211> 21

<212> ДНК<212> DNA

<213> Искусственная последовательность<213> Artificial sequence

<220><220>

<223> Синтетический олигонуклеотид<223> Synthetic oligonucleotide

<400> 45<400> 45

atcttggtta catgaaatcc c 21atcttggtta catgaaatcc c 21

<210> 46<210> 46

<211> 20<211> 20

<212> ДНК<212> DNA

<213> Искусственная последовательность<213> Artificial sequence

<220><220>

<223> Синтетический олигонуклеотид<223> Synthetic oligonucleotide

<400> 46<400> 46

atgcatggtg atgcttctga 20atgcatggtg atgcttctga 20

<210> 47<210> 47

<211> 20<211> 20

<212> ДНК<212> DNA

<213> Искусственная последовательность<213> Artificial sequence

<220><220>

<223> Синтетический олигонуклеотид<223> Synthetic oligonucleotide

<400> 47<400> 47

cagctttatt agggacagca 20cagctttatt agggacagca 20

<210> 48<210> 48

<211> 21<211> 21

<212> ДНК<212> DNA

<213> Искусственная последовательность<213> Artificial sequence

<220><220>

<223> Синтетический олигонуклеотид<223> Synthetic oligonucleotide

<400> 48<400> 48

cagctttatt agggacagca a 21cagctttatt agggacagca a 21

<210> 49<210> 49

<211> 21<211> 21

<212> ДНК<212> DNA

<213> Искусственная последовательность<213> Artificial sequence

<220><220>

<223> Синтетический олигонуклеотид<223> Synthetic oligonucleotide

<400> 49<400> 49

acagctttat tagggacagc a 21acagctttat tagggacagc a 21

<210> 50<210> 50

<211> 16<211> 16

<212> ДНК<212> DNA

<213> Искусственная последовательность<213> Artificial sequence

<220><220>

<223> Синтетический олигонуклеотид<223> Synthetic oligonucleotide

<400> 50<400> 50

ttcagtcatg acttcc 16ttcagtcatg acttcc 16

<210> 51<210> 51

<211> 18<211> 18

<212> ДНК<212> DNA

<213> Искусственная последовательность<213> Artificial sequence

<220><220>

<223> Синтетический олигонуклеотид<223> Synthetic oligonucleotide

<220><220>

<221> misc_feature (разные свойства)<221> misc_feature (misc_feature)

<222> (1)..(4)<222> (1)..(4)

<223> основания в указанных положениях представляют собой РНК<223> bases at the indicated positions are RNA

<220><220>

<221> misc_feature (разные свойства)<221> misc_feature (misc_feature)

<222> (15)..(18)<222> (15)..(18)

<223> основания в указанных положениях представляют собой РНК<223> bases at the indicated positions are RNA

<400> 51<400> 51

gcuucagtca tgactucc 18gcuucagtca tgactucc 18

<210> 52<210> 52

<211> 21<211> 21

<212> ДНК<212> DNA

<213> Искусственная последовательность<213> Artificial sequence

<220><220>

<223> Синтетический олигонуклеотид<223> Synthetic oligonucleotide

<400> 52<400> 52

tgctccgttg gtgcttgttc a 21tgctccgttg gtgcttgttc a 21

<210> 53<210> 53

<211> 20<211> 20

<212> ДНК<212> DNA

<213> Искусственная последовательность<213> Artificial sequence

<220><220>

<223> Синтетический олигонуклеотид<223> Synthetic oligonucleotide

<400> 53<400> 53

tgctccgttg gtgcttgttc 20tgctccgttg gtgcttgttc 20

<---<---

Claims (32)

Translated fromRussian
1. Олигомерное соединение, при этом анионная форма олигомерного соединения характеризуется следующей химической структурой:1. An oligomeric compound, wherein the anionic form of the oligomeric compound is characterized by the following chemical structure:
Figure 00000415
Figure 00000415
(SEQ ID NO: 12).(SEQ ID NO: 12).2. Олигомерное соединение, характеризующееся следующей химической структурой:2. Oligomeric compound characterized by the following chemical structure:
Figure 00000416
Figure 00000416
(SEQ ID NO: 12), или его соль.(SEQ ID NO: 12), or a salt thereof.3. Соединение по п. 2, которое представляет собой соль натрия или соль калия.3. A compound according to claim 2 which is a sodium salt or a potassium salt.4. Олигомерное соединение, характеризующееся следующей химической структурой:4. Oligomeric compound characterized by the following chemical structure:
Figure 00000417
Figure 00000417
(SEQ ID NO: 12).(SEQ ID NO: 12).5. Олигомерное соединение, содержащее модифицированный олигонуклеотид и конъюгирующую группу, характеризующееся следующей формулой:5. An oligomeric compound containing a modified oligonucleotide and a conjugating group, characterized by the following formula:GalNAC3-7a-o,TesmCeoTeoTeoGeoGdsTdsTdsAdsmCdsAdsTdsGdsAdsAdsAeoTeomCesmCesmCe (SEQ ID NO: 12); гдеGalNAC3 -7ao ,Tesm Ceo Teo Teo Geo Gds Tds Tds Adsm Cds Ads Tds Gds Ads Ads Aeo Teom Cesm Cesm Ce (SEQ ID NO: 12); whereA=адениновое азотистое основание,A=adenine nitrogenous base,mC=5-метилцитозиновое азотистое основание,m C=5-methylcytosine nitrogenous base,G=гуаниновое азотистое основание,G=guanine nitrogenous base,Т=тиминовое азотистое основание,T=thymine nitrogenous base,е=2'-OCH2CH2OCH3 рибозильный сахарный фрагмент,e=2'-OCH2 CH2 OCH3 ribosyl sugar moiety,d=β-D-2'-дезоксирибозильный сахарный фрагмент,d=β-D-2'-deoxyribosyl sugar moiety,s=тиофосфатная межнуклеозидная связь,s=thiophosphate internucleoside bond,о=фосфодиэфирная межнуклеозидная связь и GalNAc3-7a-o'-=o=phosphodiester internucleoside bond and GalNAc3 -7ao '-=
Figure 00000418
Figure 00000418
где расщепляемый фрагмент (СМ) представляет собой 5'-Р(ОН)(=O)-O-3'.where the cleavable fragment (CM) is 5'-P(OH)(=O)-O-3'.6. Фармацевтическая композиция для лечения транстиретинового амилоидоза, содержащая терапевтически эффективное количество соединения по любому из пп. 1-5 и фармацевтически приемлемый носитель или разбавитель.6. Pharmaceutical composition for the treatment of transthyretin amyloidosis, containing a therapeutically effective amount of a compound according to any one of paragraphs. 1-5 and a pharmaceutically acceptable carrier or diluent.7. Применение соединения по любому из пп. 1-5 при производстве лекарственного средства для лечения транстиретинового амилоидоза.7. The use of a compound according to any one of paragraphs. 1-5 in the manufacture of a medicament for the treatment of transthyretin amyloidosis.8. Применение композиции по п. 6 при производстве лекарственного средства для лечения транстиретинового амилоидоза.8. Use of the composition according to claim 6 in the manufacture of a medicament for the treatment of transthyretin amyloidosis.9. Применение по п. 7 или 8, отличающееся тем, что транстиретиновый амилоидоз представляет собой старческий системный амилоидоз (SSA), семейную амилоидную полиневропатию (FAP) или семейную амилоидную кардиопатию (FAC).9. The use according to claim 7 or 8, wherein the transthyretin amyloidosis is senile systemic amyloidosis (SSA), familial amyloid polyneuropathy (FAP) or familial amyloid cardiopathy (FAC).10. Способ лечения транстиретинового амилоидоза у субъекта, включающий введение субъекту терапевтически эффективного количества олигомерного соединения по любому из пп. 1-5.10. A method of treating transthyretin amyloidosis in a subject, comprising administering to the subject a therapeutically effective amount of an oligomeric compound according to any one of paragraphs. 1-5.11. Способ лечения транстиретинового амилоидоза у субъекта, включающий введение субъекту терапевтически эффективного количества композиции по п. 6.11. A method of treating transthyretin amyloidosis in a subject, comprising administering to the subject a therapeutically effective amount of a composition according to claim 6.12. Способ лечения транстиретинового амилоидоза по п. 10 или 11, отличающийся тем, что транстиретиновый амилоидоз представляет собой старческий системный амилоидоз (SSA), семейную амилоидную полиневропатию (FAP) или семейную амилоидную кардиопатию (FAC).12. A method of treating transthyretin amyloidosis according to claim 10 or 11, wherein the transthyretin amyloidosis is senile systemic amyloidosis (SSA), familial amyloid polyneuropathy (FAP), or familial amyloid cardiopathy (FAC).13. Применение олигомерного соединения по любому из пп. 1-5 для лечения транстиретинового амилоидоза.13. The use of an oligomeric compound according to any one of paragraphs. 1-5 for the treatment of transthyretin amyloidosis.14. Применение композиции по п. 6 для лечения транстиретинового амилоидоза.14. Use of a composition according to claim 6 for the treatment of transthyretin amyloidosis.15. Применение по п. 13 или 14, отличающееся тем, что транстиретиновый амилоидоз представляет собой старческий системный амилоидоз (SSA), семейную амилоидную полиневропатию (FAP) или семейную амилоидную кардиопатию (FAC).15. Use according to claim 13 or 14, characterized in that the transthyretin amyloidosis is senile systemic amyloidosis (SSA), familial amyloid polyneuropathy (FAP) or familial amyloid cardiopathy (FAC).
RU2018136140A2014-05-01 Compositions and methods for modulating the expression of HBV and TTRRU2782034C3 (en)

Applications Claiming Priority (14)

Application NumberPriority DateFiling DateTitle
US201361818442P2013-05-012013-05-01
US61/818,4422013-05-01
US201361823826P2013-05-152013-05-15
US61/823,8262013-05-15
US201361843887P2013-07-082013-07-08
US61/843,8872013-07-08
US201361871673P2013-08-292013-08-29
US61/871,6732013-08-29
US201361880790P2013-09-202013-09-20
US61/880,7902013-09-20
US201461976991P2014-04-082014-04-08
US61/976,9912014-04-08
US201461986867P2014-04-302014-04-30
US61/986,8672014-04-30

Related Parent Applications (1)

Application NumberTitlePriority DateFiling Date
RU2015151202ADivisionRU2670614C9 (en)2013-05-012014-05-01Compositions and methods for modulating hbv and ttr expression

Related Child Applications (1)

Application NumberTitlePriority DateFiling Date
RU2022126658ADivisionRU2022126658A (en)2022-10-13 COMPOSITIONS AND METHODS FOR MODULATING HBV AND TTR EXPRESSION

Publications (4)

Publication NumberPublication Date
RU2018136140A RU2018136140A (en)2018-12-17
RU2018136140A3 RU2018136140A3 (en)2022-04-27
RU2782034C2true RU2782034C2 (en)2022-10-21
RU2782034C3 RU2782034C3 (en)2025-09-29

Family

ID=

Citations (4)

* Cited by examiner, † Cited by third party
Publication numberPriority datePublication dateAssigneeTitle
SU1834904A3 (en)*1987-05-281993-08-15Ucb Sa WAY OF OBTAINING LAST -. DNA trinity, containing a human encoding fragment of human proapolyoprotein A-1 2
WO2009073809A2 (en)*2007-12-042009-06-11Alnylam Pharmaceuticals, Inc.Carbohydrate conjugates as delivery agents for oligonucleotides
WO2011139917A1 (en)*2010-04-292011-11-10Isis Pharmaceuticals, Inc.Modulation of transthyretin expression
US20120225927A1 (en)*2008-10-202012-09-06Dinah Wen-Yee SahCompositions and methods for inhibiting expression of transthyretin

Patent Citations (4)

* Cited by examiner, † Cited by third party
Publication numberPriority datePublication dateAssigneeTitle
SU1834904A3 (en)*1987-05-281993-08-15Ucb Sa WAY OF OBTAINING LAST -. DNA trinity, containing a human encoding fragment of human proapolyoprotein A-1 2
WO2009073809A2 (en)*2007-12-042009-06-11Alnylam Pharmaceuticals, Inc.Carbohydrate conjugates as delivery agents for oligonucleotides
US20120225927A1 (en)*2008-10-202012-09-06Dinah Wen-Yee SahCompositions and methods for inhibiting expression of transthyretin
WO2011139917A1 (en)*2010-04-292011-11-10Isis Pharmaceuticals, Inc.Modulation of transthyretin expression

Non-Patent Citations (1)

* Cited by examiner, † Cited by third party
Title
KAZUKO MACHIDA et al. Postmortem findings in a patient with cerebral amyloid angiopathy actively treated with corticosteroid. Amyloid, 2012, vol.19(1), рр.47-52. TAKAYUKI KUROSAWA et al. Selective silencing of mutant transthyretin allele by small interfering RNAs. Biochemical and Biophysical Research Communications, 2005, vol.337, рр.1012-1018.*

Similar Documents

PublicationPublication DateTitle
JP7633311B2 (en) Compositions and methods for modulating HBV and TTR expression
RU2782034C2 (en)Compositions and methods for modulation of hbv and ttr expression
HK40053557A (en)Compositions and methods for modulating ttr expression
EA046363B1 (en) OLIGOMERIC COMPOUNDS FOR MODULATING TTR EXPRESSION

[8]ページ先頭

©2009-2025 Movatter.jp