

Изобретение относится к горной промышленности и бурению скважин с применением алмазного бурового инструмента.The invention relates to the mining industry and well drilling using a diamond drilling tool.
Известно буровое долото, содержащее корпус с лопастями, на которых расположены резцы с алмазными породоразрушающими пластинами, плоскость режущей поверхности которых развернута относительно линии проекции на плоскость забоя, проходящей через центр плоскости пластины и ось долота под острым углом в пределах от 5 до 35°, с чередованием указанного угла наклона по часовой стрелке и против нее на следующем друг за другом соседнем резце при установке резцов по кольцевой траектории на радиально-кольцевых венцах [RU №2735319 от 19.07.2019, опубл. 30.10.2020].A drill bit is known, comprising a body with blades, on which cutters with diamond rock-cutting plates are located, the plane of the cutting surface of which is turned relative to the projection line on the face plane passing through the center of the plane of the plate and the axis of the bit at an acute angle ranging from 5 to 35 °, with alternating the specified angle of inclination clockwise and counterclockwise on the successive adjacent incisor when installing incisors along an annular trajectory on radial annular rims [RU No. 2735319 of 07/19/2019, publ. 10/30/2020].
Недостатком аналога является необходимость применения сложной технологии ориентирования всех резцов долота и размещения резцов только по кольцевой траектории. При этом никак не учитывается возможность улучшения очистки режущей поверхности резцов долота промывочной жидкостью.The disadvantage of the analogue is the need to use complex technology for orienting all the cutters of the bit and placing the cutters only along the annular trajectory. This does not take into account the possibility of improving the cleaning of the cutting surface of the bit cutters with a flushing liquid.
Известно буровое долото, содержащее тело с лопастями, каждая из которых имеет ряд расположенных на ней резцов с абразивным слоем из поликристаллических алмазов, таким образом, что два соседних резца повернуты навстречу друг другу [US №2020/0149350, опубл. 14.05.2000].Known drill bit containing a body with blades, each of which has a number of cutters located on it with an abrasive layer of polycrystalline diamonds, so that two adjacent cutters are turned towards each other [US No. 2020/0149350, publ. May 14, 2000].
Недостатком аналога является то, что для борьбы с вибрациями и повышения производительности необходимо применение сложной технологии ориентирования в долоте резцов попарно, что осуществляется изменением переднего и фронтального углов их установки. К тому же конструкция долота не учитывает возможности использования струи промывочной жидкости с целью полноценной очистки и предразрушения горной породы.The disadvantage of analogue is that to combat vibrations and increase productivity, it is necessary to use a complex technology for orienting the cutters in the bit in pairs, which is carried out by changing the front and front angles of their installation. In addition, the design of the bit does not take into account the possibility of using a jet of drilling fluid for the purpose of complete cleaning and pre-destruction of the rock.
Наиболее близким техническим решением является буровое долото, содержащее корпус и матрицу с резцами, содержащими абразивный слой и имеющие по меньшей мере одну канавку или канал на режущих гранях, причем часть резца может иметь V-образную форму. [US 8739904 от 29.06.2009, опубл. 03.06.2014].The closest technical solution is a drill bit containing a body and a matrix with cutters containing an abrasive layer and having at least one groove or channel on the cutting edges, and part of the cutter may have a V-shape. [US 8739904 dated 06/29/2009, publ. 06/03/2014].
В данном техническом решении направление действующих на резец сил, которое осуществляется за счет конструктивных особенностей резца, не используется для повышения эффективности разрушения породы и нуждается в дополнительной технологии ориентирования резца в буровом инструменте посредством изменения переднего и фронтального углов его установки. К тому же представленная конструкция резца не учитывает необходимости полноценной очистки канавок от разрушенной породы. В случае загрязнения канавок, резец теряет свои антивибрационные способности.In this technical solution, the direction of the forces acting on the cutter, which is carried out due to the design features of the cutter, is not used to increase the efficiency of rock destruction and requires additional technology for orienting the cutter in the drilling tool by changing the front and front angles of its installation. In addition, the presented design of the cutter does not take into account the need for a complete cleaning of the grooves from the destroyed rock. If the grooves are dirty, the cutter loses its anti-vibration ability.
В предлагаемом изобретении за счет формы режущей поверхности резца, не изменяя величины переднего и фронтального углов его установки, осуществляется равномерное распределение сил, действующих на резец так, что их взаимодействие предотвращает поперечные колебания долота и благоприятствует концентрации напряжений в породе, что повышает его разрушающую способность. При этом, поступающая к резцу промывочная жидкость устремляется в углубление, расположенное строго в центре резца, что улучшает очистку наиболее заполненной шламом его части.In the proposed invention, due to the shape of the cutting surface of the cutter, without changing the size of the front and front angles of its installation, a uniform distribution of forces acting on the cutter is carried out so that their interaction prevents transverse vibrations of the bit and favors stress concentration in the rock, which increases its destructive ability. At the same time, the flushing liquid entering the cutter rushes into a recess located strictly in the center of the cutter, which improves cleaning of its most sludge-filled part.
Предлагаемое изобретение направлено на борьбу с вибрациями, улучшение очистки и разрушающей способности долота.The present invention is aimed at combating vibrations, improving cleaning and breaking capacity of the bit.
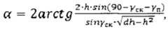
Достигается это тем, долото для бурения, содержащее корпус и матрицу с резцами, имеющими режущую поверхность абразивного слоя из поликристаллических алмазов в виде продольного углубления, нанесенного на торцевую часть цилиндрического корпуса с круглым основанием, отличающееся тем, что режущая поверхность резцов выполнена в виде вогнутого конуса, угол вершины которого определяется по формуле:This is achieved by a drilling bit containing a body and a matrix with cutters having a cutting surface of an abrasive layer of polycrystalline diamonds in the form of a longitudinal recess applied to the end part of a cylindrical body with a round base, characterized in that the cutting surface of the cutters is made in the form of a concave cone , whose vertex angle is determined by the formula:
где: γск - угол скалывания породы режущей поверхностью резца;where: γsk is the angle of rock shearing by the cutting surface of the cutter;
γп - передний угол установки резца; d - диаметр резца;γp - front angle of the cutter; d - cutter diameter;
h - глубина внедрения резца в породу,h - depth of penetration of the cutter into the rock,
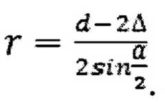
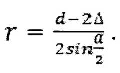
или в виде вогнутой сферы, радиус которой определяется по формуле;or in the form of a concave sphere, the radius of which is determined by the formula;
где: Δ - размер буртиков торцевой части корпуса между краем резца и краем углубления в виде вогнутой сферы.where: Δ is the size of the flanges of the end part of the body between the edge of the cutter and the edge of the recess in the form of a concave sphere.
Совокупность признаков заявляемого изобретения, не обнаружены в известных технических решениях, что предполагает соответствие конструкции заявляемого долота критерию новизны.The totality of the features of the claimed invention are not found in known technical solutions, which implies that the design of the claimed bit corresponds to the criterion of novelty.
Соответствие изобретательскому уровню подтверждается тем, что при внедрении резцов долота в породу на определенную глубину, поверхность резцов, выполненная в виде вогнутого конуса или вогнутой сферы, способствует тому, что результирующая усилия резания-скалывания породы на каждом резце не концентрируется в центре их режущей грани, а разделяется на два вектора усилия, направленных на встречу друг другу, что гасит вибрации долота. При этом угол конуса углубления, определяемый как позволяет направить созданные усилия и струю промывочной жидкости через центр резца в пласт, что повышает разрушающую способность и очистку долота.Compliance with the inventive step is confirmed by the fact that when the bit cutters are introduced into the rock to a certain depth, the surface of the cutters, made in the form of a concave cone or a concave sphere, contributes to the fact that the resulting force of cutting and chipping of the rock on each cutter is not concentrated in the center of their cutting edge, and is divided into two force vectors aimed at meeting each other, which dampens the vibration of the bit. In this case, the angle of the cone of the recess, defined as allows you to direct the created forces and the jet of flushing fluid through the center of the cutter into the formation, which increases the destructive ability and cleaning of the bit.
Изобретение позволяет повысить ресурс долота для бурения.EFFECT: invention allows to increase the bit resource for drilling.
Указанный технический результат достигается тем, что долото для бурения, содержащее корпус и матрицу с резцами, имеющими режущую поверхность абразивного слоя из поликристаллических алмазов в виде продольного углубления, нанесенного на торцевую часть цилиндрического корпуса с круглым основанием, причем режущая поверхность резцов выполнена в виде вогнутого конуса, угол вершины которого рассчитывается по формуле где: γск - угол скалывания породы режущей поверхностью резца; γп - передний угол установки резца; d -диаметр резца; h - глубина внедрения резца в породу, или режущая поверхность резцов выполнена в виде вогнутой сферы, радиус которой определяется по формулеThe specified technical result is achieved by the fact that a drilling bit containing a body and a matrix with cutters having a cutting surface of an abrasive layer of polycrystalline diamonds in the form of a longitudinal recess applied to the end part of a cylindrical body with a round base, and the cutting surface of the cutters is made in the form of a concave cone , whose vertex angle is calculated by the formula where: γsk is the angle of rock shearing by the cutting surface of the cutter; γp - front angle of the cutter; d - cutter diameter; h is the depth of penetration of the cutter into the rock, or the cutting surface of the cutters is made in the form of a concave sphere, the radius of which is determined by the formula
где: Δ - размер буртиков торцевой части корпуса между краем резца и краем углубления в виде вогнутой сферы.where: Δ is the size of the flanges of the end part of the body between the edge of the cutter and the edge of the recess in the form of a concave sphere.
Сущность изобретения поясняется чертежами, где:The essence of the invention is illustrated by drawings, where:
на фиг. 1 показана конструкция резцов долота, режущая поверхность которых выполнена в виде продольного конусного углубления;in fig. 1 shows the design of the bit cutters, the cutting surface of which is made in the form of a longitudinal conical recess;
на фиг. 2 показана конструкция резцов долота, режущая поверхность которых выполнена в виде продольной вогнутой сферы;in fig. 2 shows the design of the bit cutters, the cutting surface of which is made in the form of a longitudinal concave sphere;
на фиг. 3 показана схема распределения сил в пределах двух резцов при бурении известным долотом;in fig. 3 shows a diagram of the distribution of forces within two cutters when drilling with a known bit;
на фиг. 4 показан вид сверху схемы распределения сил в пределах одного резца предложенной конструкции долота;in fig. 4 shows a top view of the distribution of forces within one cutter of the proposed bit design;
на фиг. 5 показан вид сбоку схемы распределения сил в пределах одного резца предложенной конструкции долота;in fig. 5 shows a side view of the distribution of forces within one cutter of the proposed bit design;
на фиг. 6 показан вид сверху схемы распределения сил при бурении долотом, армированного резцами, режущая поверхность которых выполнена в виде продольной вогнутой сферы;in fig. 6 shows a top view of the distribution of forces during drilling with a bit reinforced with cutters, the cutting surface of which is made in the form of a longitudinal concave sphere;
на фиг. 7 показана расчетная схема для определения длина образующей конуса углубления режущей поверхности резцаin fig. 7 shows a calculation scheme for determining the length of the generatrix of the cone of the recess of the cutting surface of the cutter
На фиг. 1-7 обозначено: 1 - абразивный слой из поликристаллических алмазов; 2 - корпус резца; 3 - режущая грань резца; 4 - пределы области разрушения породы; 5 - матрица долота; R - вектор усилия резания-скалывания породы.In FIG. 1-7 marked: 1 - abrasive layer of polycrystalline diamonds; 2 - cutter body; 3 - cutting edge of the cutter; 4 - limits of the rock destruction area; 5 - bit matrix; R is the force vector of cutting-cleavage of the rock.
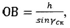
Долото для бурения содержит корпус и матрицу 5. Матрица 5 армируется резцами. Резцы имеют режущую поверхность в виде абразивного слоя из поликристаллических алмазов 7, нанесенного на торцевую часть цилиндрического корпуса резца 2 с круглым основанием. В процессе бурения известным долотом равнодействующая усилия резания-скалывания породы (R), создаваемая каждым резцом, концентрируется под прямым углом к центру его режущей грани 3 (фиг. 3). При такой конструкции долота уровень сил трения на режущей поверхности резцов довольно низкий, что приводит к возникновению поперечных колебаний резцов. В случае анизотропности перебуриваемых горных пород или наклонно-направленного бурения такие колебания усиливаются, что приводит к вибрациям долота. Вибрации подобного происхождения осложняют эксплуатацию забойных телеметрических систем и повышают уровень динамических ударных нагрузок на вооружение, ограничивающий ресурс бурового инструмента.The drilling bit contains a body and a matrix 5. The matrix 5 is reinforced with cutters. The cutters have a cutting surface in the form of an abrasive layer of polycrystalline diamonds 7 deposited on the end part of the cylindrical body of the
При бурении долотом, армированным резцами, режущая поверхность которых выполнена в виде продольного конусного углубления или вогнутой сферы, результирующая усилия резания-скалывания породы делится на два вектора R1 и R2, которые направлены на встречу друг другу (фиг. 4, фиг. 6). Противодействуя, усилия R1 и R2 предотвращают поперечные колебания резцов и таким образом гасят вибрации долота.When drilling with a bit reinforced with cutters, the cutting surface of which is made in the form of a longitudinal conical recess or a concave sphere, the resulting force of cutting-cleavage of the rock is divided into two vectors R1 and R2 , which are directed towards each other (Fig. 4, Fig. 6 ). Opposing forces R1 and R2 prevent transverse vibrations of the cutters and thus dampen the vibration of the bit.
Согласно фиг. 4, показывающей распределение сил при взаимодействии резца с породой, когда два вектора усилия резания-скалывания R1 и R2 направлены так, что пределы области разрушения породы 4 от действия этих усилий будут соприкасаться в точке, находящейся в плоскости, проходящей через ось резца, уголAccording to FIG. 4, showing the distribution of forces during the interaction of the cutter with the rock, when the two vectors of the cutting-chipping force R1 and R2 are directed so that the limits of the area of destruction of the
гдеа - длина вектора R; В - длина образующей конуса углубления режущей поверхности резца.wherea is the length of the vector R; B - the length of the generatrix of the cone of the recess of the cutting surface of the cutter.
Рассмотрим схему взаимодействия резца с породой на виде сбоку (фиг. 3). Имеем значенияConsider the scheme of interaction of the cutter with the rock in the side view (Fig. 3). We have meaning
где γск - угол скалывания породы перед передней гранью резца; γп - передний угол установки резца.where γsk is the angle of rock shearing in front of the front face of the cutter; γp - front angle of the cutter.
где h - глубина резания-скалывания породы.where h is the depth of cutting-cleavage of the rock.
ТогдаThen
Длина образующей конуса углубления режущей поверхности резца В будет зависеть от диаметра резца d и глубины резания-скалывания породы h (фиг. 7)и составитThe length of the generatrix of the cone of the recess of the cutting surface of the cutter B will depend on the diameter of the cutter d and the depth of cutting-cleavage of the rock h (Fig. 7) and will be
Таким образом, угол вершины конуса углубления режущей поверхности резца, способствующего гашению поперечных колебаний должен быть равенThus, the apex angle of the cone of the deepening of the cutting surface of the cutter, which contributes to the damping of transverse vibrations, should be equal to
Радиус вогнутой сферы режущей поверхности определяется значением угла α и согласно схеме (фиг. 6), показывающей распределение сил при взаимодействии резца, режущая поверхность которого выполнена в виде продольной вогнутой сферы, определяется какThe radius of the concave sphere of the cutting surface is determined by the value of the angle α and, according to the diagram (Fig. 6), showing the distribution of forces during the interaction of the cutter, the cutting surface of which is made in the form of a longitudinal concave sphere, is defined as
где Δ - размер буртиков (см. фиг. 6)where Δ is the size of the beads (see Fig. 6)
Гашение поперечных колебаний резцов позволит увеличить ресурс долота, устраняя воздействие на резцы ударных нагрузок. К тому же предложенная форма режущей поверхности в виде продольного углубления будет способствовать направлению струи промывочного агента, поступающего из промывочных каналов долота, строго в центр режущей грани, а оттуда прямо в пласт, что будет способствовать предразрушению породы путем ее разрыхления и улучшению очистки резца от шлама в самой нагруженной его части.The damping of transverse vibrations of the cutters will increase the resource of the bit, eliminating the impact of shock loads on the cutters. In addition, the proposed shape of the cutting surface in the form of a longitudinal recess will facilitate the direction of the jet of flushing agent coming from the flushing channels of the bit, strictly to the center of the cutting edge, and from there directly into the formation, which will contribute to the pre-destruction of the rock by loosening it and improve the cleaning of the cutter from cuttings. in the busiest part of it.
| Application Number | Priority Date | Filing Date | Title | 
|---|---|---|---|
| RU2021104866ARU2764761C1 (en) | 2021-02-25 | 2021-02-25 | Drill bit | 
| Application Number | Priority Date | Filing Date | Title | 
|---|---|---|---|
| RU2021104866ARU2764761C1 (en) | 2021-02-25 | 2021-02-25 | Drill bit | 
| Publication Number | Publication Date | 
|---|---|
| RU2764761C1true RU2764761C1 (en) | 2022-01-21 | 
| Application Number | Title | Priority Date | Filing Date | 
|---|---|---|---|
| RU2021104866ARU2764761C1 (en) | 2021-02-25 | 2021-02-25 | Drill bit | 
| Country | Link | 
|---|---|
| RU (1) | RU2764761C1 (en) | 
| Publication number | Priority date | Publication date | Assignee | Title | 
|---|---|---|---|---|
| US5460233A (en)* | 1993-03-30 | 1995-10-24 | Baker Hughes Incorporated | Diamond cutting structure for drilling hard subterranean formations | 
| US20100243334A1 (en)* | 2005-12-20 | 2010-09-30 | Varel International, Ind., L.P. | Auto adaptable cutting structure | 
| US20110031036A1 (en)* | 2009-08-07 | 2011-02-10 | Baker Hughes Incorporated | Superabrasive cutters with grooves on the cutting face, and drill bits and drilling tools so equipped | 
| US20200131855A1 (en)* | 2014-11-13 | 2020-04-30 | Us Synthetic Corporation | Polycrystalline diamond compact including at least one mechanically-stressed polycrystalline diamond table and methods of making the same | 
| US20200149350A1 (en)* | 2018-11-12 | 2020-05-14 | Ulterra Drilling Technologies, L.P. | Drill bit | 
| RU2735319C1 (en)* | 2019-07-19 | 2020-10-30 | федеральное государственное бюджетное образовательное учреждение высшего образования "Самарский государственный технический университет" | Drilling bit with pdc cutters | 
| Publication number | Priority date | Publication date | Assignee | Title | 
|---|---|---|---|---|
| US5460233A (en)* | 1993-03-30 | 1995-10-24 | Baker Hughes Incorporated | Diamond cutting structure for drilling hard subterranean formations | 
| US20100243334A1 (en)* | 2005-12-20 | 2010-09-30 | Varel International, Ind., L.P. | Auto adaptable cutting structure | 
| US20110031036A1 (en)* | 2009-08-07 | 2011-02-10 | Baker Hughes Incorporated | Superabrasive cutters with grooves on the cutting face, and drill bits and drilling tools so equipped | 
| US20200131855A1 (en)* | 2014-11-13 | 2020-04-30 | Us Synthetic Corporation | Polycrystalline diamond compact including at least one mechanically-stressed polycrystalline diamond table and methods of making the same | 
| US20200149350A1 (en)* | 2018-11-12 | 2020-05-14 | Ulterra Drilling Technologies, L.P. | Drill bit | 
| RU2735319C1 (en)* | 2019-07-19 | 2020-10-30 | федеральное государственное бюджетное образовательное учреждение высшего образования "Самарский государственный технический университет" | Drilling bit with pdc cutters | 
| Publication | Publication Date | Title | 
|---|---|---|
| RU2332554C2 (en) | Drill bit, system and method of well-boring in subsurface bed | |
| US7258176B2 (en) | Drill bit | |
| US10174475B2 (en) | Rotary press-in steel pipe pile | |
| RU2696741C1 (en) | Blade bit with wear-resistant cutting structure (embodiments) | |
| RU138425U1 (en) | DRILLING CUTTING BIT | |
| RU2681762C2 (en) | Drill bit with grooves in crushing surface | |
| JP4954542B2 (en) | Drilling rod, drilling bit and drilling tool | |
| RU2671386C2 (en) | Percussive drill bit with multiple sets of front cutting inserts | |
| RU2764761C1 (en) | Drill bit | |
| RU2413833C1 (en) | Drilling tool (its versions) | |
| CN208564438U (en) | A kind of rotor block formula borehole-enlarging drilling tool of stepped bit | |
| CN208220640U (en) | A kind of PDC drill bit of band point knuckle-tooth | |
| RU2670306C1 (en) | Asymmetric cutter for a drilling tool | |
| RU2445439C1 (en) | Crown bit | |
| RU190484U1 (en) | Drill bit | |
| RU2520974C1 (en) | Roller bit | |
| RU2822227C1 (en) | Bladed drilling bit | |
| RU2603308C1 (en) | Drill bit | |
| RU2652727C1 (en) | Blade chisel with cylindrical cutting structure | |
| RU2723779C1 (en) | Rock cutting elements of cutting and cutting-chipping type | |
| RU2652726C1 (en) | Blade chisel with wear-resistant cylindrical cutting structure | |
| US1551717A (en) | Drill bit | |
| US3738435A (en) | Vibrating percussion bit | |
| RU2631948C1 (en) | Drilling bit of cutting and rotating type | |
| RU163879U1 (en) | DRILLING HEAD |