
Изобретение относится к области радиотехники и связи, в частности к устройствам квазикогерентного приема дискретно-кодированных многочастотных радиосигналов, и может найти применение в информационных радиоканалах систем управления беспилотными летательными аппаратами, в частности в активных и полуактивных радиолокационных головках самонаведения и в устройствах синхронизации радиолиний телеуправления летательными аппаратами.The invention relates to the field of radio engineering and communications, in particular to devices for quasi-coherent reception of discrete-coded multi-frequency radio signals, and can be used in information radio channels of control systems for unmanned aerial vehicles, in particular in active and semi-active radar homing heads and in devices for synchronization of radio lines for telecontrol of aircraft ...
Наиболее близким по технической сущности к заявляемому объекту, является дискриминатор для синхронизации по задержке В-частотного дискретно-кодированного сигнала (см. Патент №2479139 МПК Η04L 7/02), выбранный в качестве прототипа.The closest in technical essence to the claimed object is a discriminator for delay synchronization of a B-frequency discrete-coded signal (see Patent No. 2479139 IPC
Известный дискриминатор содержит, последовательно соединенные смеситель, первый вход которого является входом дискриминатора, первый фильтр, выход которого является выходом дискриминатора, первый управляющий элемент, перестраиваемый генератор несущей частоты, фазовращатель на 90°, первый и второй перемножители, первый сумматор, первый усилитель и второй фильтр выход которого является дополнительным выходом устройства, соединенные последовательно второй сумматор, первый вход которого соединен с выходом первого сумматора, а второй вход с выходом второго фильтра, третий фильтр, второй управляющий элемент и генератор опорного сигнала, выход которого подключен ко вторым входам смесителя и первого перемножителя, а также третий перемножитель и четвертый перемножитель, выход которого подключен ко второму входу первого сумматора, при этом первый вход третьего перемножителя соединен с выходом генератора опорного сигнала, а также содержит объединенные первыми входами с входом дискриминатора пятый и шестой перемножители, выход пятого перемножителя подключен ко второму входу второго перемножителя, а выход шестого перемножителя подключен ко второму входу четвертого перемножителя, вторые входы третьего и пятого перемножителей подключены ко входу фазовращателя на 90°, первый вход первого перемножителя соединен со вторым входом шестого перемножителя.The known discriminator contains, serially connected mixer, the first input of which is the input of the discriminator, the first filter, the output of which is the output of the discriminator, the first control element, the tunable carrier frequency generator, the 90 ° phase shifter, the first and second multipliers, the first adder, the first amplifier and the second filter whose output is an additional output of the device, connected in series to the second adder, the first input of which is connected to the output of the first adder, and the second input to the output of the second filter, the third filter, the second control element and the reference signal generator, the output of which is connected to the second inputs of the mixer and the first multiplier, as well as the third multiplier and the fourth multiplier, the output of which is connected to the second input of the first adder, while the first input of the third multiplier is connected to the output of the reference signal generator, and also contains the fifth inputs combined with the input of the discriminator and the sixth multipliers, the output of the fifth multiplier is connected to the second input of the second multiplier, and the output of the sixth multiplier is connected to the second input of the fourth multiplier, the second inputs of the third and fifth multipliers are connected to the input of the 90 ° phase shifter, the first input of the first multiplier is connected to the second input of the sixth multiplier.
Важным положительным свойством дискриминатора по патенту является корректировка оценочного значения задержки принимаемого сигнала при изменении относительной скорости между объектами за счет выработки соответствующего компенсирующего напряжения, что позволило обеспечить высокую точность в указанных условиях.An important positive property of the discriminator according to the patent is the correction of the estimated value of the delay of the received signal when the relative speed between the objects changes due to the generation of an appropriate compensating voltage, which made it possible to ensure high accuracy under these conditions.
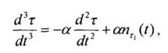
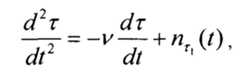
Однако при организации связи между движущимися объектами, имеющими различные параметры движения, на величину задержки τ принимаемых сигналов могут оказывать существенное влияние изменение относительного ускорения взаимодействующих объектов. Устройство-прототип рассчитано на работу в условиях, когда случайная задержка радиосигнала τ представляет собой процесс, который можно описать следующим стохастическим дифференциальным уравнениемHowever, when organizing communication between moving objects with different motion parameters, the delay τ of the received signals can be significantly influenced by a change in the relative acceleration of interacting objects. The prototype device is designed to operate under conditions where the random radio signal delay τ is a process that can be described by the following stochastic differential equation
где ν - постоянный коэффициент,where ν is a constant coefficient,
- нормальный белый шум с нулевым средним значением и дельта-функцией корреляции- normal white noise with zero mean and delta correlation function
Нетрудно видеть [Тузов Г.И. Статистическая теория приема сложных сигналов. - М: Сов. радио, 1977], что устройство-прототип нормально функционирует только при равномерном изменении относительной скорости между движущимися объектами, т.е. при постоянном относительном ускорении.It is not difficult to see [G.I. Statistical theory of complex signal reception. - M: Sov. radio, 1977] that the prototype device functions normally only with a uniform change in the relative speed between moving objects, ie. at constant relative acceleration.
При маневрировании объектов происходит существенное изменение, как относительной скорости, так и ускорения, в связи с чем описанная выше модель не соответствует реальным физическим процессам, поскольку задержка принимаемого сигнала, как показано в [Ярлыков М.С., Черняков М.В. Оптимизация асинхронных адресных систем радиосвязи. - М.: Связь, 1979], зависит от величины и характера изменения относительной скорости и ускорения. При этомWhen maneuvering objects, there is a significant change in both the relative speed and acceleration, and therefore the model described above does not correspond to real physical processes, since the delay of the received signal, as shown in [Yarlykov MS, Chernyakov MV Optimization of asynchronous addressable radio communication systems. - M .: Communication, 1979], depends on the magnitude and nature of the change in the relative speed and acceleration. Wherein
где α - постоянный коэффициент,where α is a constant coefficient,
В данных условиях дискриминационная характеристика устройства-прототипа изменяется (уменьшается зона захвата и крутизна характеристики, ухудшается ее линейность, смещается точка равновесия) и, как следствие, ухудшается точность, что является существенным недостатком известного технического решения.Under these conditions, the discriminatory characteristic of the prototype device changes (the capture zone and the steepness of the characteristic decrease, its linearity deteriorates, the equilibrium point shifts) and, as a consequence, the accuracy deteriorates, which is a significant drawback of the known technical solution.
Технический результат от использования предлагаемого дискриминатора для синхронизации по задержке В-частотного дискретно-кодированного сигнала заключается в отличие от прототипа в повышении точности синхронизации дискриминатора в условиях изменения относительной скорости и ускорения между объектами за счет использования априорного уравнения задержки адекватного происходящим процессам.The technical result from the use of the proposed discriminator for the delay synchronization of the B-frequency discrete-coded signal is, in contrast to the prototype, in increasing the synchronization accuracy of the discriminator under conditions of change in the relative speed and acceleration between objects by using the a priori delay equation adequate to the ongoing processes.
Поставленная задача решается за счет того, что в дискриминатор для синхронизации по задержке В-частотного дискретно-кодированного сигнала, содержащий так же, как и прототип, последовательно соединенные смеситель, первый вход которого является входом дискриминатора, первый фильтр, выход которого является выходом дискриминатора, первый управляющий элемент, перестраиваемый генератор несущей частоты, фазовращатель на 90°, первый и второй перемножители, первый сумматор, первый усилитель и второй фильтр выход которого является дополнительным выходом устройства, соединенные последовательно второй сумматор, первый вход которого соединен с выходом первого сумматора, третий фильтр, второй управляющий элемент и генератор опорного сигнала, выход которого подключен ко вторым входам смесителя и первого перемножителя, а также третий перемножитель и четвертый перемножитель, выход которого подключен ко второму входу первого сумматора, при этом первый вход третьего перемножителя соединен с выходом генератора опорного сигнала, а также содержит объединенные первыми входами с входом дискриминатора пятый и шестой перемножители, выход пятого перемножителя подключен ко второму входу второго перемножителя, а выход шестого перемножителя подключен ко второму входу четвертого перемножителя, вторые входы третьего и пятого перемножителей подключены ко входу фазовращателя на 90°, первый вход первого перемножителя соединен со вторым входом шестого перемножителя, в отличие от прототипа между выходом первого сумматора и вторым входом второго сумматора в него введены последовательно соединенные второй усилитель, третий сумматор и четвертый фильтр, ко второму входу третьего сумматора подключен выход второго фильтра, а выход четвертого фильтра является вторым дополнительным выходом устройства.The problem is solved due to the fact that the discriminator for delay synchronization of the B-frequency discrete-coded signal, which contains, like the prototype, serially connected mixer, the first input of which is the input of the discriminator, the first filter, the output of which is the output of the discriminator, the first control element, a tunable carrier frequency generator, a 90 ° phase shifter, the first and second multipliers, the first adder, the first amplifier and the second filter, the output of which is an additional output of the device, connected in series; the second adder, the first input of which is connected to the output of the first adder, the third filter , the second control element and the reference signal generator, the output of which is connected to the second inputs of the mixer and the first multiplier, as well as the third multiplier and the fourth multiplier, the output of which is connected to the second input of the first adder, while the first input of the third multiplier is connected to the output of the generator of the reference signal, and also contains the fifth and sixth multipliers combined by the first inputs with the discriminator input, the output of the fifth multiplier is connected to the second input of the second multiplier, and the output of the sixth multiplier is connected to the second input of the fourth multiplier, the second inputs of the third and fifth multipliers are connected to the input of the phase shifter at 90 °, the first input of the first multiplier is connected to the second input of the sixth multiplier, in contrast to the prototype, between the output of the first adder and the second input of the second adder, a second amplifier, a third adder and a fourth filter are connected to it in series, the output of the second filter is connected to the second input of the third adder , and the output of the fourth filter is the second additional output of the device.
Сущность изобретения поясняется чертежом, на котором представлена структурная схема предлагаемого дискриминатора.The essence of the invention is illustrated by the drawing, which shows a block diagram of the proposed discriminator.
Дискриминатор для синхронизации по задержке В-частотного дискретно-кодированного сигнала содержащий так же, как и прототип, последовательно соединенные смеситель 1, первый вход которого является входом дискриминатора, первый фильтр 2, выход которого является выходом дискриминатора, первый управляющий элемент 3, перестраиваемый генератор несущей частоты 4, фазовращатель 5 на 90°, первый 6 и второй 7 перемножители, первый сумматор 8, первый усилитель 9 и второй фильтр 10 выход которого является дополнительным выходом устройства, соединенные последовательно второй сумматор 11, первый вход которого соединен с выходом первого сумматора, третий фильтр 12, второй управляющий элемент 13 и генератор опорного сигнала 14, выход которого подключен ко вторым входам смесителя 1 и первого перемножителя 6, а также третий перемножитель 15 и четвертый перемножитель 16, выход которого подключен ко второму входу первого сумматора 8, при этом первый вход третьего перемножителя 15 соединен с выходом генератора опорного сигнала 14, а также содержит объединенные первыми входами с входом дискриминатора пятый 17 и шестой 18 перемножители, выход пятого перемножителя 17 подключен ко второму входу второго перемножителя 7, а выход шестого перемножителя 18 подключен ко второму входу четвертого перемножителя 16, вторые входы третьего 15 и пятого 17 перемножителей подключены ко входу фазовращателя 5 на 90°, первый вход первого перемножителя 6 соединен со вторым входом шестого перемножителя 18. В отличие от прототипа между выходом первого сумматора и вторым входом второго сумматора в него введены последовательно соединенные второй усилитель 19, третий сумматор 20 и четвертый фильтр 21, ко второму входу третьего сумматора 20 подключен выход второго фильтра 10, а выход четвертого фильтра 21 является вторым дополнительным выходом устройства.A discriminator for delay synchronization of a B-frequency discrete-coded signal containing, like the prototype, serially connected
Устройство работает следующим образом.The device works as follows.
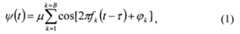
Принимаемое колебание, представляющее собой аддитивную смесь дискретно-кодированного В-частотного сигнала видаThe received vibration, which is an additive mixture of a discrete-coded B-frequency signal of the form
где μ - амплитудный множитель;where μ is the amplitude factor;
fk и ϕk - соответственно частотный и фазовый код (k=1…В);fk and ϕk - frequency and phase code, respectively (k = 1 ... B);
τ - неизвестная флуктуирующая задержка,τ - unknown fluctuating delay,
и помехи (например, белого гауссова шума), поступает на второй вход смесителя 1, на первый вход которого с генератора 14 подается опорный сигнал видаand interference (for example, white Gaussian noise) is fed to the second input of
где μ' - амплитудный множитель опорного сигнала;where μ 'is the amplitude factor of the reference signal;
- оцененное значение задержки τ принимаемого сигнала.is the estimated value of the delay τ of the received signal.
В фильтре 2 вырабатывается сигнал ошибки, который через управляющий элемент 3 (как и в прототипе) осуществляет необходимую перестройку генератора 4 по задержке.In the
Напряжение на выходе генератора 4 можно представить в видеThe voltage at the output of the
На выходе фазовращателя 5 напряжение имеет видAt the output of the
На выходах перемножителей 15 и 17, 18 и 6 выделяются напряжения, представляющие собой соответственно косинусные и синусные uc, us квадратуры колебаний ψοπ(t) и y(t). Так же, как в устройстве-прототипеAt the outputs of
На выходах перемножителей 16 и 7 напряжения имеют вид соответственноAt the outputs of
При этом на выходе сумматора 8 получается напряжениеIn this case, a voltage is obtained at the output of the
При изменениях относительных скоростей и ускорений взаимодействующих объектов оцененное значение задержки сигнала, входящее в выражения для напряжений u16 и u7, существенно отличается от действительного значения задержки. Для компенсации указанного отклонения с помощью усилителя 9 и интегрирующего фильтра 10 вырабатывается промежуточное напряжение u10 видаWith changes in the relative speeds and accelerations of interacting objects, the estimated value the signal delay included in the expressions for the voltages u16 and u7 differs significantly from the actual value of the delay. To compensate for this deviation, an intermediate voltage u10 of the form is generated by means of
где k- коэффициент усиления усилителя 9.where k is the gain of the
Напряжение u10 суммируется с напряжением u19 и на выходе сумматора 20 формируется напряжение u20=u10+u19, которое после прохождения интегрирующего фильтра 21 принимает видThe voltage u10 is added to the voltage u19and the voltage u 20 = u10 + u19 is formed at the output of the
Напряжение u21 суммируется с напряжением u8 и на выходе сумматора 11 формируется напряжение u11=u21+u8, которое при соответствующем выборе значений коэффициентов усиления усилителей 9 и 19 равноThe voltage u21 is added to the voltage u8and the voltage u 11 = u21 + u8 is formed at the output of the
Где - соответственно, синусные и косинусные квадратуры опорного колебания ψоп(t), учитывающие изменения задержки принимаемого сигнала при изменении взаимного положения (т.е. относительных скоростей и ускорений) взаимодействующих объектов.Where - respectively, sine and cosine quadratures of the reference oscillation ψop (t), taking into account changes in the delay of the received signal when changing the relative position (i.e., relative speeds and accelerations) of interacting objects.
Как и в прототипе, фильтр 12 выполнен в виде интегрирующего усилителя и напряжение на его выходе имеет видAs in the prototype, the
т.е. прямо пропорционально производной от огибающей функции автокорреляции ψоп(t).those. directly proportional to the derivative of the envelope of the autocorrelation function ψop (t).
Напряжением u12 через управляющий элемент 13 осуществляется следящая перестройка генератора 14.The voltage u12 through the
Выходы интегрирующих фильтров 10 и 21 являются дополнительными выходами дискриминатора, на которых выделяются напряжения, соответствующие текущим значениям скорости и ускорения изменения задержки. Они могут быть использованы, например, для построения приемных устройств на базе следящих корреляторов с перекрестными обратными связями.The outputs of the
Результаты проведенного математического моделирования показали, что для типовых условий функционирования повышение точности синхронизации, достигаемое применением заявляемого устройства, по сравнению с устройством-прототипом, составляет 14…33%.The results of the carried out mathematical modeling showed that for typical operating conditions, the increase in synchronization accuracy achieved by using the claimed device, in comparison with the prototype device, is 14 ... 33%.
Введение новых элементов - усилителя, сумматора и фильтра, а также новых связей, выгодно отличает заявляемое устройство от указанного прототипа, т.к. обеспечивает повышение точности в условиях изменения относительных ускорений взаимодействующих объектов.The introduction of new elements - an amplifier, an adder and a filter, as well as new connections, favorably distinguishes the claimed device from the specified prototype, because provides improved accuracy in conditions of change in the relative accelerations of interacting objects.
Все вновь вводимые элементы широко используются в устройствах радиолокации и связи, описаны в литературе и их практическая реализация не вызывает трудностей.All newly introduced elements are widely used in radar and communication devices, are described in the literature and their practical implementation does not cause difficulties.
| Application Number | Priority Date | Filing Date | Title | 
|---|---|---|---|
| RU2021109192ARU2762717C1 (en) | 2021-04-02 | 2021-04-02 | Discriminator for synchronization by delay of a b-frequency discretely encoded signal | 
| Application Number | Priority Date | Filing Date | Title | 
|---|---|---|---|
| RU2021109192ARU2762717C1 (en) | 2021-04-02 | 2021-04-02 | Discriminator for synchronization by delay of a b-frequency discretely encoded signal | 
| Publication Number | Publication Date | 
|---|---|
| RU2762717C1true RU2762717C1 (en) | 2021-12-22 | 
| Application Number | Title | Priority Date | Filing Date | 
|---|---|---|---|
| RU2021109192ARU2762717C1 (en) | 2021-04-02 | 2021-04-02 | Discriminator for synchronization by delay of a b-frequency discretely encoded signal | 
| Country | Link | 
|---|---|
| RU (1) | RU2762717C1 (en) | 
| Publication number | Priority date | Publication date | Assignee | Title | 
|---|---|---|---|---|
| RU2785572C1 (en)* | 2022-03-15 | 2022-12-08 | Федеральное государственное казенное военное образовательное учреждение высшего образования "Военный учебно-научный центр Военно-Морского Флота "Военно-морская академия им. Адмирала Флота Советского Союза Н.Г. Кузнецова" | Discriminator for delay synchronization of a b-frequency discretely coded signal | 
| Publication number | Priority date | Publication date | Assignee | Title | 
|---|---|---|---|---|
| US4229821A (en)* | 1977-09-09 | 1980-10-21 | U.S. Philips Corporation | System for data transmission by means of an angle-modulated carrier of constant amplitude | 
| SU915264A1 (en)* | 1979-11-11 | 1982-03-23 | Mi Radiotekh Inst | Digital device for monitoring binary train delay | 
| RU2065253C1 (en)* | 1994-03-17 | 1996-08-10 | Георгий Иванович Тузов | Method for signal search and for initial synchronization of channels in satellite communication system and device for implementation of said method | 
| RU2079855C1 (en)* | 1994-06-07 | 1997-05-20 | Российский институт радионавигации и времени | System to transmit and receive discrete information over radio channels of pulse-phase radio navigation system | 
| RU2223607C1 (en)* | 2002-08-05 | 2004-02-10 | Открытое акционерное общество "Научно-производственное предприятие "Радар ммс" | Discriminator for delay synchronization of discretely coded b- frequency signal | 
| US8036307B2 (en)* | 1996-08-29 | 2011-10-11 | Cisco Technology, Inc. | Spatio-temporal processing for communication | 
| RU2431919C1 (en)* | 2010-09-15 | 2011-10-20 | Федеральное Государственное Автономное Образовательное Учреждение Высшего Профессионального Образования "Сибирский Федеральный Университет" (Сфу) | Correlation receiver of noise-like signals | 
| RU2479139C1 (en)* | 2011-12-16 | 2013-04-10 | Открытое акционерное общество "Научно-производственное предприятие "Радар ммс" | Discriminator for synchronisation by delay of b-frequency discretely-coded signal | 
| Publication number | Priority date | Publication date | Assignee | Title | 
|---|---|---|---|---|
| US4229821A (en)* | 1977-09-09 | 1980-10-21 | U.S. Philips Corporation | System for data transmission by means of an angle-modulated carrier of constant amplitude | 
| SU915264A1 (en)* | 1979-11-11 | 1982-03-23 | Mi Radiotekh Inst | Digital device for monitoring binary train delay | 
| RU2065253C1 (en)* | 1994-03-17 | 1996-08-10 | Георгий Иванович Тузов | Method for signal search and for initial synchronization of channels in satellite communication system and device for implementation of said method | 
| RU2079855C1 (en)* | 1994-06-07 | 1997-05-20 | Российский институт радионавигации и времени | System to transmit and receive discrete information over radio channels of pulse-phase radio navigation system | 
| US8036307B2 (en)* | 1996-08-29 | 2011-10-11 | Cisco Technology, Inc. | Spatio-temporal processing for communication | 
| RU2223607C1 (en)* | 2002-08-05 | 2004-02-10 | Открытое акционерное общество "Научно-производственное предприятие "Радар ммс" | Discriminator for delay synchronization of discretely coded b- frequency signal | 
| RU2431919C1 (en)* | 2010-09-15 | 2011-10-20 | Федеральное Государственное Автономное Образовательное Учреждение Высшего Профессионального Образования "Сибирский Федеральный Университет" (Сфу) | Correlation receiver of noise-like signals | 
| RU2479139C1 (en)* | 2011-12-16 | 2013-04-10 | Открытое акционерное общество "Научно-производственное предприятие "Радар ммс" | Discriminator for synchronisation by delay of b-frequency discretely-coded signal | 
| Publication number | Priority date | Publication date | Assignee | Title | 
|---|---|---|---|---|
| RU2785572C1 (en)* | 2022-03-15 | 2022-12-08 | Федеральное государственное казенное военное образовательное учреждение высшего образования "Военный учебно-научный центр Военно-Морского Флота "Военно-морская академия им. Адмирала Флота Советского Союза Н.Г. Кузнецова" | Discriminator for delay synchronization of a b-frequency discretely coded signal | 
| RU2811561C1 (en)* | 2023-02-27 | 2024-01-15 | Федеральное государственное казенное военное образовательное учреждение высшего образования "Военный учебно-научный центр Военно-Морского Флота "Военно-морская академия им. Адмирала Флота Советского Союза Н.Г. Кузнецова" | Discriminator for synchronization by delay of b-frequency discretely encoded signal | 
| Publication | Publication Date | Title | 
|---|---|---|
| CN107425922B (en) | A carrier frequency offset compensation circuit and method for inter-satellite optical communication | |
| US2787787A (en) | Receiving arrangements for electric communication systems | |
| RU2762717C1 (en) | Discriminator for synchronization by delay of a b-frequency discretely encoded signal | |
| RU2479139C1 (en) | Discriminator for synchronisation by delay of b-frequency discretely-coded signal | |
| Zhang et al. | Search-range-correction-based Doppler shift acquisition for space communications | |
| RU2785572C1 (en) | Discriminator for delay synchronization of a b-frequency discretely coded signal | |
| SU1246907A3 (en) | Device for generating pseudoerror signal | |
| CN108226919B (en) | Method for computationally simple range-doppler angle tracking using a GOERZEL filter | |
| US3706990A (en) | Devices for eliminating fixed-echoes | |
| RU2617373C1 (en) | Optimal method of binding to mobile ground target and forecasting its parameters based on modified, invariant to underlying surface relief, elevation procedure of distance calculation | |
| US3137459A (en) | Closed loop servo control system | |
| Tyapkin et al. | Application of Blind Signal Separation Methods in the Problems on Improving the Interference Immunity of Space Communication Systems with Quadrature Amplitude Modulation | |
| RU2223607C1 (en) | Discriminator for delay synchronization of discretely coded b- frequency signal | |
| RU2811561C1 (en) | Discriminator for synchronization by delay of b-frequency discretely encoded signal | |
| RU194735U1 (en) | QUASI-OPTIMAL PROCESSING DEVICE FOR MULTI-FREQUENCY PSEUD NOISE SIGNAL | |
| RU2483341C1 (en) | Method of counteracting radioelectronic control systems | |
| Salnikova et al. | Detection of the fluctuating pulse with unknown time of arrival and intensity | |
| RU2647405C1 (en) | Adaptive system with reference model for control of aircraft | |
| CN118625364B (en) | Positioning method based on factor graph and filtering collaborative fusion | |
| RU2139568C1 (en) | Sighting-navigation complex | |
| US3325736A (en) | Doppler cancelation system | |
| RU2692238C2 (en) | Radar station with synthesis of aperture and continuous linear-frequency-modulated radiation | |
| US3502989A (en) | Receiver employing correlation techniques | |
| SU1484105A1 (en) | Airborne two-coordinate radio direction finder | |
| RU2233431C1 (en) | Inertial satellite navigation system |