
Предлагаемое изобретение относится к области квантовой электроники, устройствам для генерирования неоднородного профиля магнитного поля, и может быть использовано в атомно-лучевых стандартах частоты с пучками, например, стронция, рубидия или цезия.The proposed invention relates to the field of quantum electronics, devices for generating a non-uniform magnetic field profile, and can be used in atomic-beam frequency standards with beams, for example, strontium, rubidium or cesium.
Принцип действия замедлителя Зеемана атомного пучка (ЗЗ) основывается на замедлении теплового атомного пучка, проходящего по оси ЗЗ, встречным лазерным пучком. Эффективность замедления обеспечивается степенью монотонности неоднородного магнитного поля и воздействия лазерного пучка, встречного атомному пучку, что ведет к компенсации доплеровского сдвига путем компенсации изменением зеемановского сдвига. Т.е. профиль резонансного магнитного поля вдоль ЗЗ должен соответствовать градиенту доплеровского сдвига.The principle of operation of the Zeeman moderator of an atomic beam (ЗЗ) is based on the slowing down of a thermal atomic beam passing along the ЗЗ axis by a counterpropagating laser beam. The deceleration efficiency is provided by the degree of monotonicity of the inhomogeneous magnetic field and the action of a laser beam counterpropagating to the atomic beam, which leads to compensation for the Doppler shift by compensating by changing the Zeeman shift. Those. the profile of the resonant magnetic field along the ZZ should correspond to the gradient of the Doppler shift.
Основным на сегодня является способ реализации резонансного профиля магнитного поля с использованием соленоида с током, предварительно размещенного до отжига и откачки сверхвакуумной системы на трубе - части данной вакуумной системы.The main one today is the method of realizing the resonance profile of the magnetic field using a solenoid with a current, previously placed before annealing and pumping out of the supervacuum system on the pipe - part of this vacuum system.
В данном способе используется простой в реализации соленоид из провода с током, которая размещается на трубе ЗЗ, входящей в состав сверхвакуумной системы, например, атомного спектроскопа. Соленоид имеет сравнительно небольшое число витков - 200-400, которые представляют собой многослойную структуру, способ намотки которых обеспечивает необходимый градиент и направление магнитного поля. Данный градиент невозможно реализовать без точного соблюдения продольного сечения с точным соблюдением позиций витков. Поскольку любой соленоид, создающий градиентное магнитное поле, можно разбить на последовательность секций прямоугольного сечения, можно ввести тонкие переборки между данными секциями и осуществлять намотку прямоугольных катушек без нарушения сверхвысокого вакуума, что существенно сокращает трудоемкость сборки, и контроль количества витков, а также соответствие позиций витков расчетным. Следовательно, необходим специальный сборный каркас, который будет позволять легко размещать витки соленоида вокруг вакуумной трубы без нарушения сверхвысокого вакуума. Реализация соленоида с использованием каркаса с реализацией намотки «на месте» по принципу веретена без изъятия секции трубы позволит ускорить процесс создания вакуумного спектроскопа и атомных часов в целом.In this method, an easy-to-implement solenoid made of a wire with a current is used, which is placed on the ZZ pipe, which is part of a supervacuum system, for example, an atomic spectroscope. The solenoid has a relatively small number of turns - 200-400, which are a multilayer structure, the winding method of which provides the necessary gradient and direction of the magnetic field. This gradient cannot be realized without exact observance of the longitudinal section with exact observance of the positions of the turns. Since any solenoid that creates a gradient magnetic field can be divided into a sequence of rectangular sections, it is possible to introduce thin bulkheads between these sections and wind rectangular coils without breaking the ultra-high vacuum, which significantly reduces the complexity of the assembly, and control of the number of turns, as well as the correspondence of the positions of the turns calculated. Therefore, a special prefabricated frame is needed that will allow easy placement of the solenoid loops around the vacuum tube without breaking the ultra-high vacuum. The implementation of the solenoid using a frame with the implementation of winding "in place" according to the spindle principle without removing the pipe section will speed up the process of creating a vacuum spectroscope and an atomic clock as a whole.
Известен ЗЗ (Патент №: RU (11) 2490836 (13) C1, Date of Patent: 12.05.2012), являющийся аналогом предлагаемого изобретения, содержащий блок формирования неоднородного магнитного поля состоит из соленоида, предназначенного для формирования неоднородного магнитного поля, и источника его питания, работающего в непрерывном режиме. Источник атомного пучка и соленоид блока формирования неоднородного магнитного поля располагаются в вакуумированном объеме, необходимая степень давления в котором поддерживается вакуумным насосом.Known ZZ (Patent No.: RU (11) 2490836 (13) C1, Date of Patent: 05/12/2012), which is an analogue of the proposed invention, containing a block for generating an inhomogeneous magnetic field consists of a solenoid designed to form an inhomogeneous magnetic field, and its source power supply operating in continuous mode. The source of the atomic beam and the solenoid of the unit for the formation of an inhomogeneous magnetic field are located in an evacuated volume, the required degree of pressure in which is maintained by a vacuum pump.
Однако в указанном ЗЗ используется размещение блока формирования профиля неоднородного магнитного поля непосредственно в вакуумированном объеме, что влечет за собой сложность его размещения, невозможность модификации ЗЗ без серьезного нарушения сверхвысокого вакуума рабочей установки.However, in the specified ZZ, the placement of the unit for forming the profile of an inhomogeneous magnetic field directly in the evacuated volume is used, which entails the complexity of its placement, the impossibility of modifying the ZZ without seriously disturbing the ultrahigh vacuum of the working installation.
Кроме того, известно ЗЗ (Patent No: ЕР 1871149 А1, Date of Patent: Dec. 26, 2007), являющееся прототипом предлагаемого изобретения и содержащее соленоид, размещенный на вакуумной трубе, внутренний канал имеет поперечное сечение перпендикулярно продольной оси, при этом площадь поперечного сечения внутреннего канала увеличивается монотонно по продольной оси в части секции охлаждения.In addition, it is known ZZ (Patent No: EP 1871149 A1, Date of Patent: Dec. 26, 2007), which is a prototype of the present invention and contains a solenoid located on a vacuum tube, the inner channel has a cross section perpendicular to the longitudinal axis, while the area of the transverse the section of the inner channel increases monotonically along the longitudinal axis in a part of the cooling section.
Однако в указанном устройстве используется размещение соленоида с током ЗЗ на вакуумной трубе, что обеспечивает повышенную сложность перестройки или оптимизации, модифицирования профиля магнитного поля на оси, а также отсутствует возможность изменять структуру соленоида без изъятия секции ЗЗ из вакуумной системы.However, this device uses the placement of a solenoid with a ZZ current on a vacuum tube, which provides an increased complexity of restructuring or optimization, modifying the magnetic field profile on the axis, and there is no possibility to change the structure of the solenoid without removing the ZZ section from the vacuum system.
Задачей предлагаемого изобретения является устранение недостатков прототипа.The objective of the present invention is to eliminate the disadvantages of the prototype.
Техническим результатом, получаемым от внедрения изобретения, является упрощение размещения соленоида ЗЗ с током на вакуумной части установки без нарушения сверхвысокого вакуума, обеспечивает строгое соблюдение расчетных величин профилей магнитных полей и гибкость настройки ЗЗ.The technical result obtained from the implementation of the invention is to simplify the placement of the ZZ solenoid with a current on the vacuum part of the installation without breaking the ultrahigh vacuum, ensures strict adherence to the calculated values of the magnetic field profiles and the flexibility of setting the ZZ.
Поставленный технический результат достигается тем, что замедлитель Зеемана атомного пучка включает в себя трубу сверхвысокого вакуума с направленными по ее оси атомным и встречным ему лазерным пучками и закрепленный на трубе блок формирования неоднородного профиля магнитного поля. Блок формирования состоит из разъемных полуоснований с переборками, плоскости которых перпендикулярны оси атомного пучка, при том, разъемные полуоснования с переборками выполнены из немагнитного материала. Между переборками, при помощи вращения полуоснований вокруг вакуумной трубы, намотаны секции соленоида. При том, шаг размещения переборок определяется длиной секций прямоугольного сечения намотки соленоида блока формирования профиля магнитного поля, которые соединяют полуоснования в законченную конструкцию замедлителя.The stated technical result is achieved by the fact that the Zeeman moderator of the atomic beam includes an ultrahigh vacuum tube with atomic and counterpropagating laser beams directed along its axis and a block for forming an inhomogeneous magnetic field profile attached to the tube. The forming unit consists of split half-bases with bulkheads, the planes of which are perpendicular to the axis of the atomic beam, while the split half-bases with bulkheads are made of non-magnetic material. Solenoid sections are wound between the bulkheads by rotating the half-bases around the vacuum tube. Moreover, the step of placing the bulkheads is determined by the length of the sections of the rectangular section of the winding of the solenoid of the magnetic field profile forming unit, which connect the half-bases into the finished moderator structure.
Изобретение поясняется чертежами.The invention is illustrated by drawings.
На ФИГ. 1 приведен чертеж полуоснования ЗЗ с переборками.FIG. 1 shows a drawing of the half-base of the ZZ with bulkheads.
на ФИГ. 2 приведен чертеж полуоснования ЗЗ с переборками с примером размещения намоток частей соленоида с током.in FIG. 2 shows a drawing of the half-base of the ZZ with bulkheads with an example of the arrangement of the windings of the parts of the solenoid with current.
на ФИГ. 3 приведен чертеж полу оснований ЗЗ с переборками.in FIG. 3 shows a drawing of the ground floor bases with bulkheads.
на ФИГ. 4 (помещается в реферат) приведен чертеж ЗЗ в сборе с участком вакуумной трубы.in FIG. 4 (placed in the abstract) shows a drawing of the ZZ assembled with a section of the vacuum tube.
ЗЗ (ФИГ. 1) содержит: 1 - полуоснование ЗЗ из немагнитного материала, 2 - переборки.ЗЗ (FIG. 1) contains: 1 - semi-base of ЗЗ made of non-magnetic material, 2 - bulkheads.
ЗЗ (ФИГ. 2) содержит: 1 - полуоснование ЗЗ из немагнитного материала, 2 - переборки, 3 - секции соленоида, намотанные медным проводом.ЗЗ (FIG. 2) contains: 1 - semi-base of ЗЗ made of non-magnetic material, 2 - bulkheads, 3 - solenoid sections wound with copper wire.
ЗЗ (ФИГ. 3) содержит: 1 - полуоснование ЗЗ из немагнитного материала, 2 - переборки.ЗЗ (FIG. 3) contains: 1 - semi-base of ЗЗ made of non-magnetic material, 2 - bulkheads.
ЗЗ (ФИГ. 4) содержит: 1 - полуоснование ЗЗ из немагнитного материала, 2 - переборки, 3 - секции соленоида, намотанные медным проводом, 4 - труба свервысокого вакуума для атомного и встречного ему лазерного пучков, 5 - вход атомного пучка (выход лазерного пучка), 6 - вход лазерного пучка (выход атомного пучка).ЗЗ (FIG. 4) contains: 1 - semi-base of ЗЗ made of non-magnetic material, 2 - bulkheads, 3 - solenoid sections wound with copper wire, 4 - super-high vacuum tube for atomic and oncoming laser beams, 5 - atomic beam input (laser output beam), 6 - input of the laser beam (output of the atomic beam).
При этом центр входа лазерного пучка 6 совпадает с выходом атомного пучка 5, а также с осью ЗЗ, а части соленоида 3 соединены с полуоснованиями 1, так что результирующее поле соленоида 3 направлено коллинеарно или совпадает с линией вход лазерного пучка 6 - вход атомного пучка 5, полуоснования 1 с переборками 2 при помощи секций соленоида 3 соединяются в целый ЗЗ вокруг вакуумной трубы 4.In this case, the center of the entrance of the
Полуоснование 1 с переборками 2 могут быть выполнены из немагнитного материала типа ВТ-1, а также алюминиевых сплавов АМГ-6, -5, соленоид 3 из провода эмалированного ПЭТВ-2 (d=1 мм).
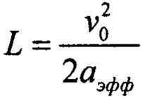
Устройство работает следующим образом, атомы, попадая в зону неоднородного магнитного поля, начинают замедляться с некоторым ускорением вследствие рассеяния при воздействии встречного лазерного пучка. Верхнее ограничение для данного ускорения составляет где k - волновой вектор, Г - ширина линии охлаждающего перехода, m - масса атома.The device works as follows, the atoms, falling into the zone of an inhomogeneous magnetic field, begin to decelerate with some acceleration due to scattering under the action of a counterpropagating laser beam. The upper limit for this acceleration is where k is the wave vector, Г is the line width of the cooling transition, and m is the mass of the atom.
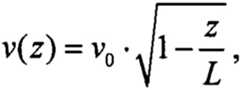
При этом скорость атомов, на входе ЗЗ и на некотором расстоянии от входа описывается выражением где v0 - скорость атомов на входе ЗЗ, z - положение атомов, - расстояние замедления (расстояние на котором скорость атомов v0 снижается до некоторого заданного значения). Допплеровский сдвиг, возникающий в данном процессе, должен быть скомпенсирован Зеемановским сдвигом от магнитного поля. Профиль неоднородного магнитного поля, соответствующий условию замедления атомов описывается выражениемIn this case, the velocity of atoms at the entrance of the ZZ and at a certain distance from the entrance is described by the expression where v0 is the velocity of the atoms at the entrance of the ЗЗ, z is the position of the atoms, - the deceleration distance (the distance at which the velocity of the atoms v0 decreases to a certain specified value). The Doppler shift arising in this process must be compensated for by the Zeeman shift from the magnetic field. The profile of an inhomogeneous magnetic field corresponding to the condition for the deceleration of atoms is described by the expression
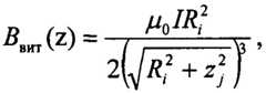
В случае ЗЗ катушки с проводом, соответствующее поле можно получить, применяя метод суперпозиции магнитных полей отдельных витков катушки ЗЗ. Поле вдоль оси витка с током описывается выражением где μ0 - магнитная постоянная, I - сила тока в витках соленоида, R - радиус витка с током, z - расстояние от центра витка с током до расчетной точки.In the case of a ZZ coil with a wire, the corresponding field can be obtained using the method of superposition of the magnetic fields of individual turns of the ZZ coil. The field along the axis of the loop with current is described by the expression where μ0 is the magnetic constant, I is the current in the turns of the solenoid, R is the radius of the turn with current, z is the distance from the center of the turn with the current to the calculated point.
Неоднородное магнитное поле вдоль оси ЗЗ есть сумма вкладов каждого элемента (витка с током), которые расположены в определенных позициях и размещены вокруг оси ЗЗ, где М - общее количество слоев намотки соленоида, L - количество элементарных витков в слое намотки соленоида ЗЗ.An inhomogeneous magnetic field along the ZZ axis is the sum of the contributions of each element (loop with current), which are located in certain positions and placed around the ZZ axis, where M is the total number of layers of winding of the solenoid, L is the number of elementary turns in the layer of winding of the solenoid ЗЗ.
Таким образом, посредством вращения полуоснований с переборками и одновременной намоткой медного провода, на вакуумной трубе обеспечивается возможность размещения соленоида с током ЗЗ без нарушения сверхвысокого вакуума системы, уменьшение временных затрат и повышение возможности настройки неоднородности магнитного поля замедлителя Зеемана.Thus, by rotating the half-bases with bulkheads and simultaneously winding a copper wire on a vacuum tube, it is possible to place a solenoid with a ZZ current without disturbing the ultrahigh vacuum of the system, reducing the time spent and increasing the ability to adjust the magnetic field inhomogeneity of the Zeeman moderator.
| Application Number | Priority Date | Filing Date | Title | 
|---|---|---|---|
| RU2020141451ARU2752462C1 (en) | 2020-12-15 | 2020-12-15 | Atomic beam zeeman moderator | 
| Application Number | Priority Date | Filing Date | Title | 
|---|---|---|---|
| RU2020141451ARU2752462C1 (en) | 2020-12-15 | 2020-12-15 | Atomic beam zeeman moderator | 
| Publication Number | Publication Date | 
|---|---|
| RU2752462C1true RU2752462C1 (en) | 2021-07-28 | 
| Application Number | Title | Priority Date | Filing Date | 
|---|---|---|---|
| RU2020141451ARU2752462C1 (en) | 2020-12-15 | 2020-12-15 | Atomic beam zeeman moderator | 
| Country | Link | 
|---|---|
| RU (1) | RU2752462C1 (en) | 
| Publication number | Priority date | Publication date | Assignee | Title | 
|---|---|---|---|---|
| CN115643666A (en)* | 2022-11-08 | 2023-01-24 | 中国人民解放军战略支援部队航天工程大学 | Permanent magnet Zeeman speed reducer | 
| Publication number | Priority date | Publication date | Assignee | Title | 
|---|---|---|---|---|
| EP1871149A1 (en)* | 2006-06-22 | 2007-12-26 | Sony Deutschland Gmbh | Zeeman-slower, coil for a Zeeman-slower device and method for cooling an atom beam | 
| RU124846U1 (en)* | 2012-05-12 | 2013-02-10 | Открытое акционерное общество "Российский институт радионавигации и времени" | ZEEMANOVSKY Slowdown of the atomic beam | 
| RU2490836C1 (en)* | 2012-05-12 | 2013-08-20 | Открытое акционерное общество "Российский институт радионавигации и времени" | Zeeman atomic beam retarder | 
| US8710428B1 (en)* | 2012-02-22 | 2014-04-29 | AOSense, Inc. | Permanent magnet axial field zeeman slower | 
| CN105939565A (en)* | 2016-07-05 | 2016-09-14 | 华东师范大学 | Permanent magnet Zeeman reducer | 
| CN106888546A (en)* | 2015-12-16 | 2017-06-23 | 中国计量科学研究院 | Zeeman decelerator based on annular permanent magnet | 
| RU2693551C1 (en)* | 2018-11-26 | 2019-07-03 | Российская Федерация, от имени которой выступает Федеральное агентство по техническому регулированию и метрологии (Росстандарт) | Atomic beam zeeman retarder | 
| Publication number | Priority date | Publication date | Assignee | Title | 
|---|---|---|---|---|
| EP1871149A1 (en)* | 2006-06-22 | 2007-12-26 | Sony Deutschland Gmbh | Zeeman-slower, coil for a Zeeman-slower device and method for cooling an atom beam | 
| US8710428B1 (en)* | 2012-02-22 | 2014-04-29 | AOSense, Inc. | Permanent magnet axial field zeeman slower | 
| RU124846U1 (en)* | 2012-05-12 | 2013-02-10 | Открытое акционерное общество "Российский институт радионавигации и времени" | ZEEMANOVSKY Slowdown of the atomic beam | 
| RU2490836C1 (en)* | 2012-05-12 | 2013-08-20 | Открытое акционерное общество "Российский институт радионавигации и времени" | Zeeman atomic beam retarder | 
| CN106888546A (en)* | 2015-12-16 | 2017-06-23 | 中国计量科学研究院 | Zeeman decelerator based on annular permanent magnet | 
| CN105939565A (en)* | 2016-07-05 | 2016-09-14 | 华东师范大学 | Permanent magnet Zeeman reducer | 
| RU2693551C1 (en)* | 2018-11-26 | 2019-07-03 | Российская Федерация, от имени которой выступает Федеральное агентство по техническому регулированию и метрологии (Росстандарт) | Atomic beam zeeman retarder | 
| Publication number | Priority date | Publication date | Assignee | Title | 
|---|---|---|---|---|
| CN115643666A (en)* | 2022-11-08 | 2023-01-24 | 中国人民解放军战略支援部队航天工程大学 | Permanent magnet Zeeman speed reducer | 
| Publication | Publication Date | Title | 
|---|---|---|
| JP3961925B2 (en) | Beam accelerator | |
| US9854662B2 (en) | Hybrid linear accelerator with a broad range of regulated electron and X-ray beam parameters includes both standing wave and traveling wave linear sections for providing a multiple-energy high-efficiency electron beam or X-ray beam useful for security inspection, non-destructive testing, radiation therapy, and other applications | |
| RU2752462C1 (en) | Atomic beam zeeman moderator | |
| KR100927995B1 (en) | Electron eddy resonance ion source device and manufacturing method thereof | |
| KR20080021760A (en) | High-Efficiency Monochromatic X-Ray Source Using Optical Undulator | |
| EP3876679B1 (en) | Synchrocyclotron for extracting beams of various energies and related method | |
| RU2693551C1 (en) | Atomic beam zeeman retarder | |
| CN213782473U (en) | A kind of external seed free electron laser device | |
| JP2013506942A (en) | Accelerator and method for operating the accelerator | |
| JP2003086399A (en) | Charged particle beam extraction device, circular accelerator and circular accelerator system | |
| Li et al. | Phase matching strategy for the undulator system in the European X-ray Free Electron Laser | |
| CN119178423A (en) | Cold atom sensor with improved noise | |
| US10736205B2 (en) | Electron beam transport system | |
| RU2490836C1 (en) | Zeeman atomic beam retarder | |
| Bober et al. | Designing Zeeman slower for strontium atoms-towards optical atomic clock | |
| JP2007165220A (en) | Induction accelerator and charged particle beam acceleration method | |
| JP4399604B2 (en) | Charged particle beam trajectory control apparatus and control method therefor | |
| JP2002008899A (en) | Eddy current correction device for vacuum chamber | |
| US7807986B1 (en) | Ion implanter and method for adjusting ion beam | |
| Levichev et al. | Undulators and other insertion devices | |
| JP2009009892A (en) | H-mode drift tube linear accelerator and manufacturing method thereof | |
| Aitken et al. | The design and construction of a 29 MeV microtron | |
| JP3984918B2 (en) | FFAG betatron | |
| Calabretta et al. | Commissioning of the K800 INFN Cyclotron | |
| SU1048975A1 (en) | Method of generating synchrotron radiation and device for effecting same |