

Изобретение относится к фармакологии и медицине, а именно к векторизированным водосовместимым частицам на основе биосовместимых амфифильных полимеров в виде наноразмерных мицеллярных структур, способных проникать через гематоэнцефалический барьер и направленно доставлять в структуры мозга нерастворимые и плохорастворимые лекарственные вещества.The invention relates to pharmacology and medicine, namely to vectorized water-compatible particles based on biocompatible amphiphilic polymers in the form of nanoscale micellar structures capable of penetrating the blood-brain barrier and delivering insoluble and poorly soluble medicinal substances to the brain structures.
Уровень техникиState of the art
Адресная доставка лекарственных препаратов и биологически активных веществ к органам и тканям в организме человека является одной из основных проблем повышения эффективности лечения заболеваний самой различной этиологии. Особенно эта проблема актуальна в случае доставки лекарственных препаратов к тканям мозга. Стоящая перед медициной необходимость лечения заболеваний центральной нервной системы (ЦНС) (патологические изменения, психические отклонения, раковые опухоли с локализацией в ЦНС и др.) формирует задачи целенаправленного влияния на клетки ЦНС и доставки к ним необходимых лекарственных средств. А это подразумевает необходимость преодоления помимо ретикуло-эндотелиальной системы организма преодоление и гематоэнцефалического барьера (ГЭБ).Targeted delivery of drugs and biologically active substances to organs and tissues in the human body is one of the main problems of increasing the effectiveness of treatment of diseases of various etiologies. This problem is especially relevant in the case of drug delivery to the brain tissues. The medical need for the treatment of diseases of the central nervous system (CNS) (pathological changes, mental abnormalities, cancerous tumors localized in the central nervous system, etc.) creates the task of purposefully influencing the cells of the central nervous system and delivering the necessary drugs to them. And this implies the need to overcome, in addition to the reticulo-endothelial system of the body, overcoming the blood-brain barrier (BBB).
Известны способы получения липосомальных форм различных фармацевтических препаратов (амфотерицин В, доксорубицин, цисплатин, кверцетин и др.) и попытки их использования для транспорта лекарственных веществ в организме. Хотя липосомальные системы доставки на основе природных жиров (липидов) и обеспечивают некоторую защиту инкапсулированных препаратов, неустойчивость структуры, проникновение активного вещества сквозь липосомальную мембрану во внешнюю среду и достаточно большие размеры липосом ограничивают область их применения.Known methods for producing liposomal forms of various pharmaceuticals (amphotericin B, doxorubicin, cisplatin, quercetin, etc.) and attempts to use them for the transport of drugs in the body. Although liposomal delivery systems based on natural fats (lipids) provide some protection for encapsulated drugs, the instability of the structure, the penetration of the active substance through the liposomal membrane into the external environment, and the rather large size of liposomes limit their field of application.
Еще одним направлением получения наноразмерных систем доставки лекарственных веществ является разработка наноразмерных частиц, состоящих, в частности, из внутреннего ядра, образованного структурированными полисахаридами, с привитыми на их наружной части жирными кислотами и покрытыми слоем из фосфолипидов. Недостатком таких систем доставки является то, что они не способствуют повышению водосовместимости плохо- или нерастворимых в воде лекарственных веществ, а, следовательно, не могут быть использованы для транспорта таких лекарственных субстанций в организме человека.Another direction of obtaining nanoscale drug delivery systems is the development of nanosized particles, consisting, in particular, of an inner core formed by structured polysaccharides, grafted on their outer part with fatty acids and coated with a layer of phospholipids. The disadvantage of such delivery systems is that they do not increase the water compatibility of poorly or insoluble medicinal substances in water, and, therefore, cannot be used for the transport of such medicinal substances in the human body.
В настоящее время одним из наиболее перспективных направлений в создании наноразмерных систем доставки лекарственных веществ является использование для этих целей природных или синтетических амфифильных (дифильных) полимеров. Известно, что амфифильные полимеры способны формировать самоорганизующиеся наноструктуры за счет наличия в их цепи гидрофобных и гидрофильных фрагментов. Варьируя химическое строение синтезируемых полимеров, природу и распределение функциональных групп, удается эффективно управлять процессом молекулярной сборки, добиваясь получения сложных регулярных структур различного строения, обладающих уникальными свойствами.Currently, one of the most promising directions in the creation of nanoscale drug delivery systems is the use of natural or synthetic amphiphilic (amphiphilic) polymers for these purposes. It is known that amphiphilic polymers are capable of forming self-organizing nanostructures due to the presence of hydrophobic and hydrophilic fragments in their chains. By varying the chemical structure of the synthesized polymers, the nature and distribution of functional groups, it is possible to effectively control the process of molecular assembly, achieving complex regular structures of various structures with unique properties.
J. Kreuter (J.Anat. 1996 Dec; 189 (Pt 3): 503-505) предложен способ получения системы доставки лекарств через ГЭБ на основе полимерных носителей (полиметилметакрилата, полиалкилцианакрилата и др.) с добавлением полисорбата-80. В публикации Julie A. Straub et al. (Pharm. Res. 2005 Mar; 22 (3); 347-355) также предложен способ доставки гидрофобных лекарственных средств на основе паклитаксела (AI-850) с добавлением полисорбата-80. Общим недостатком предложенных способов является получение достаточно крупных частиц, более 1 мкм, что резко увеличивает скорость их поглощения ретикуло-эндотелиальной системой (тем самым, уменьшая время их циркуляции в организме), а также затрудняет их проникновение через ГЭБ.J. Kreuter (J. Anat. 1996 Dec; 189 (Pt 3): 503-505) proposes a method for preparing a drug delivery system across the BBB based on polymeric carriers (polymethyl methacrylate, polyalkyl cyanoacrylate, etc.) with the addition of polysorbate-80. Julie A. Straub et al. (Pharm. Res. 2005 Mar; 22 (3); 347-355) also proposed a method for the delivery of hydrophobic drugs based on paclitaxel (AI-850) with the addition of polysorbate-80. A common disadvantage of the proposed methods is the production of sufficiently large particles, more than 1 micron, which sharply increases the rate of their absorption by the reticuloendothelial system (thereby reducing the time of their circulation in the body), and also makes it difficult for them to penetrate the BBB.
В патенте US6117454 описан способ переноса лекарственных веществ через гематоэнцефалический барьер млекопитающих, в котором для направленной доставки лекарств или диагностических средств к ЦНС путем преодоления гематоэнцефалического барьера используют наночастицы. Согласно патенту US 6117454, во время или после полимеризации соответствующих мономеров, таких как цианоакрилат, добавляют лекарство, которое включают в получаемые полибутилцианакрилатные наночастицы или адсорбируют на их поверхность. Как полагают, эти комплексы наночастиц и лекарства способны преодолевать гематоэнцефалический барьер и направленно доставлять лекарства к ЦНС, если они покрыты соответствующим поверхностно-активным веществом. Полиоксиэтилен-20-сорбитанмонолаурат (Tween® 20), полиоксиэтилен-20-сорбитанмонопальмитат (Tween® 40), полиоксиэтилен-20-сорбитанмоностеарат (Tween® 60), полиоксиэтилен-20-сорбитанмоноолеат (Tween® 80) и их смеси заявлены в качестве соответствующих поверхностно-активных веществ, позволяющих наполненным лекарством полибутилцианакрилатным наночастицам пересекать гематоэнцефалический барьер. Существенными недостатками такого способа является использование токсичных цианоакрилатов для получения наночастиц, модификация поверхности частиц различными полиоксиэтиленами, а также невозможность модификации поверхности таких частиц пептидными векторами.US Pat. No. 6,117,454 describes a method for transporting drugs across the blood-brain barrier of mammals, in which nanoparticles are used for targeted delivery of drugs or diagnostics to the CNS by overcoming the blood-brain barrier. According to US Pat. No. 6,117,454, during or after the polymerization of the corresponding monomers, such as cyanoacrylate, a drug is added, which is incorporated into the polybutyl cyanoacrylate nanoparticles obtained or adsorbed onto their surface. It is believed that these complexes of nanoparticles and drugs are capable of crossing the blood-brain barrier and targeting drugs to the central nervous system if they are coated with an appropriate surfactant. Polyoxyethylene-20-sorbitan monolaurate (Tween® 20), polyoxyethylene-20-sorbitan monopalmitate (Tween® 40), polyoxyethylene-20-sorbitan monostearate (Tween® 60), polyoxyethylene-20-sorbitan monooleate (Tween® 80), respectively, and mixtures thereof are claimed as surfactants that allow drug-loaded polybutylcyanoacrylate nanoparticles to cross the blood-brain barrier. Significant disadvantages of this method are the use of toxic cyanoacrylates to obtain nanoparticles, modification of the particle surface with various polyoxyethylene, and the impossibility of modifying the surface of such particles with peptide vectors.
Ближайшим аналогом настоящего изобретения является техническое решение, известное из RU2423104 (C2). В патенте раскрывается способ получения системы направленной доставки лекарств для введения фармакологически активных веществ в центральную нервную систему млекопитающих через гематоэнцефалический барьер. Данная система представляет собой наночастицы на основе поли(DL-лактида) и/или поли(DL-лактид-согликолида), в которых содержится фармакологически активное вещество, абсорбируемое, адсорбируемое и/или включаемое в наночастицы, и содержит TPGS (D-α-токоферолполиэтиленгликоль 1000 сукцинат) или имеет покрытие из поверхностно-активного вещества плюроник 188. Известными недостатками описанного способа являются сложность модификации таких частиц пептидными векторами (ввиду отсутствия на поверхности частиц реакционно активных групп), использование для стабилизации поверхности частиц плюроников, а также их чувствительность к замораживанию и, как следствие, необходимости добавления маннитола как криозащитного агента.The closest analogue of the present invention is a technical solution known from RU2423104 (C2). The patent discloses a method for producing a targeted drug delivery system for introducing pharmacologically active substances into the central nervous system of mammals through the blood-brain barrier. This system is nanoparticles based on poly (DL-lactide) and / or poly (DL-lactide-soglycolide), which contain a pharmacologically active substance that is absorbed, adsorbed and / or incorporated into nanoparticles, and contains TPGS (D-α- tocopherol polyethylene glycol 1000 succinate) or is coated with the surfactant Pluronic 188. The known disadvantages of the described method are the difficulty of modifying such particles with peptide vectors (due to the absence of reactive groups on the particle surface), the use of pluronic particles to stabilize the surface of the particles, and their sensitivity to freezing and, as a consequence, the need to add mannitol as a cryoprotective agent.
Несмотря на то, что в последние годы технологии направленного транспорта лекарственных веществ активно разрабатываются, существует множество нерешенных проблем, требующих поиска новых технологических решений.Despite the fact that in recent years, technologies for targeted transport of medicinal substances have been actively developed, there are many unsolved problems that require the search for new technological solutions.
Раскрытие изобретенияDisclosure of invention
Задачей настоящего изобретения является разработка системы направленной доставки нерастворимых и плохорастворимых биологически активных веществ (БАВ) к выбранным мишеням центральной нервной системы (ЦНС) млекопитающих, обеспечивающей эффективность, специфичность, высокую стабильность в кровотоке, пролонгирование активности лекарственных веществ, пониженную токсичность, возможность контроля распределения и высвобождения лекарственных веществ при введении пациенту, простоту получения.The objective of the present invention is to develop a system for the targeted delivery of insoluble and poorly soluble biologically active substances (BAS) to selected targets of the central nervous system (CNS) of mammals, providing efficacy, specificity, high stability in the bloodstream, prolongation of drug activity, reduced toxicity, the ability to control distribution and release of medicinal substances when administered to a patient, ease of production.
В результате осуществления изобретения достигаются следующие технические результаты:As a result of the invention, the following technical results are achieved:
- разработаны биосовместимые наноразмерные носители для направленной доставки БАВ на основе полимерных наночастиц, модифицированных пептидными векторами, способные проникать через гематоэнцефалический барьер и доставлять БАВ к выбранным мишеням в ЦНС;- developed biocompatible nanoscale carriers for targeted delivery of biologically active substances based on polymer nanoparticles modified with peptide vectors, capable of penetrating the blood-brain barrier and delivering biologically active substances to selected targets in the central nervous system;
- разработанные векторизированные биосовместимые полимерные мицеллярные носители водосовместимы, при этом их структура позволяет включать в них молекулы нерастворимых и плохорастворимых в воде биологически активных веществ, решая задачу их направленной доставки в клетки и ткани ЦНС;- the developed vectorized biocompatible polymeric micellar carriers are water compatible, while their structure allows them to include molecules of insoluble and poorly soluble in water biologically active substances, solving the problem of their targeted delivery to cells and tissues of the central nervous system;
- разработанные векторизированные водосовместимые полимерные мицеллярные носители способствуют повышению стабильности биологически активных веществ в кровотоке, а также их стабилизации при хранении,- the developed vectorized water-compatible polymeric micellar carriers increase the stability of biologically active substances in the bloodstream, as well as their stabilization during storage,
- использование разработанных векторизированных водосовместимых полимерных мицеллярных носителей также позволяет обеспечить продолжительное высвобождение биологически активных веществ в организме с возможностью контроля распределения и высвобождения биологически активных веществ, а наличие пептидного вектора позволяет увеличить терапевтическую эффективность БАВ путем “нацеливания” наночастиц на определенные клетки или группы клеток, увеличения биодоступности биологически активных и лекарственных веществ или проявления синергии пептидного вектора и лекарственного вещества;- the use of the developed vectorized water-compatible polymeric micellar carriers also allows for a prolonged release of biologically active substances in the body with the ability to control the distribution and release of biologically active substances, and the presence of a peptide vector allows increasing the therapeutic efficiency of biologically active substances by “targeting” nanoparticles to certain cells or groups of cells, increasing bioavailability of biologically active and medicinal substances or manifestations of synergy between the peptide vector and the medicinal substance;
- основу разработанных векторизированных водосовместимых полимерных мицеллярных носителей составляют мицеллярные частицы, состоящие из биосовместимых амфифильных полимеров, что обеспечивает их пониженную токсичность на организм пациента; кроме того, включение молекул биологически активных веществ в состав таких наноразмерных носителей позволяет существенно снизить проявление их аллергенности;- the basis of the developed vectorized water-compatible polymeric micellar carriers is made up of micellar particles consisting of biocompatible amphiphilic polymers, which ensures their reduced toxicity to the patient's body; in addition, the inclusion of molecules of biologically active substances in the composition of such nanoscale carriers can significantly reduce the manifestation of their allergenicity;
- получение векторизированных водосовместимых полимерных мицеллярных носителей по изобретению не требует использования высокотоксичных соединений, а значит многократной очистки и инактивации промежуточных соединений на каждой стадии, что делает процесс их получения относительно простым и недорогим, пригодным к масштабированию, а получаемые частицы - безопасными для применения.- the production of vectorized water-compatible polymeric micellar carriers according to the invention does not require the use of highly toxic compounds, and therefore repeated purification and inactivation of intermediates at each stage, which makes the process of their preparation relatively simple and inexpensive, scalable, and the resulting particles safe for use.
Решение поставленной задачи и достижение указанного технического результата обеспечивается путем создания векторизованных водосовместимых полимерных мицеллярных носителей (частиц) для доставки биологически активных веществ (БАВ), представляющих собой мицеллы, состоящие из амфифильных полимеров со среднечисловой молекулярной массой от 1 до 12 кДа, имеющих в гидрофильной части реакционноспособные группы, способные ковалентно связывать пептидный вектор,The solution to this problem and the achievement of the specified technical result is ensured by creating vectorized water-compatible polymeric micellar carriers (particles) for the delivery of biologically active substances (BAS), which are micelles consisting of amphiphilic polymers with a number average molecular weight from 1 to 12 kDa, having in the hydrophilic part reactive groups capable of covalently binding a peptide vector,
при этом амфифильные полимеры имеют общую формулуwhile amphiphilic polymers have the general formula
в которойwherein
[---M---]n - гидрофильная часть, состоящая из одинаковых или нескольких различных нерегулярно упорядоченных мономеров М, выбранных из группы:[--- M ---]n - hydrophilic part, consisting of the same or several different irregularly ordered monomers M, selected from the group:
где R1независимопредставляет собой H, С1-4алкил,where Ronewhateverrepresents H, C1-4alkyl,
R – гидрофобная часть общего строенияR - hydrophobic part of the general structure
,,
где X выбирается независимо и представляет собой H, OH, NH2 или NH3Cl,where X is independently selected and represents H, OH, NH2 or NH3 Cl,
а реакционноспособная группа представляет собой аминную, карбоксильную, амидную или альдегидную группу, причем в амфифильном полимере по меньшей мере 1 мольн.% мономеров составляют мономеры, содержащие реакционноспособную группу,and the reactive group is an amine, carboxyl, amide or aldehyde group, wherein in the amphiphilic polymer at least 1 mol% of the monomers are monomers containing a reactive group,
при этом количество пептидных векторов, ковалентно связанных с мицеллой, составляет не менее одной молекулы пептида на мицеллу.the number of peptide vectors covalently bound to a micelle is at least one peptide molecule per micelle.
В некоторых предпочтительных вариантах изобретения пептидный вектор представляет собой пептид TAT, Annexin V, TRAIL или FALGEA.In some preferred embodiments, the peptide vector is a TAT, Annexin V, TRAIL, or FALGEA peptide.
Изобретение также относится к наноразмерным формам для направленной доставки биологически активных веществ (БАВ), содержащих, по меньшей мере, одно биологически активное вещество и векторизованный водосовместимый полимерный мицеллярный носитель, описанный выше.The invention also relates to nanoscale forms for targeted delivery of biologically active substances (BAS) containing at least one biologically active substance and the vectorized water-compatible polymeric micellar carrier described above.
Такие векторизованные водосовместимые полимерные мицеллярные носители могут доставлять биологически активные вещества через гемато-энцефалический барьер.Such vectorized water-compatible polymeric micellar carriers can deliver biologically active substances across the blood-brain barrier.
Изобретение также относится к применению вышеописанных векторизованных водосовместимых полимерных мицеллярных носителей для направленной доставки нерастворимых или плохорастворимых биологически активных веществ в центральную нервную систему.The invention also relates to the use of the above-described vectorized water-compatible polymeric micellar carriers for the targeted delivery of insoluble or poorly soluble biologically active substances to the central nervous system.
В некоторых вариантах воплощения изобретения биологически активные вещества доставляют к внутренним структурам клетки-мишени.In some embodiments of the invention, the biologically active substances are delivered to the internal structures of the target cell.
В некоторых вариантах воплощения изобретения биологически активные вещества доставляют к нейронам головного мозга, расположенным в определенных структурах мозга.In some embodiments of the invention, biologically active substances are delivered to brain neurons located in certain brain structures.
В некоторых вариантах воплощения изобретения биологически активные вещества доставляют к опухолевым клеткам.In some embodiments, the biologically active substances are delivered to tumor cells.
В некоторых вариантах воплощения изобретения биологически активное вещество представляет собой лекарственное вещество или диагностическое (в том числе контрастное) вещество.In some embodiments, the active agent is a drug or diagnostic (including contrast) agent.
Настоящее изобретение также относится к способу получения вышеописанных векторизованных водосовместимых полимерных мицеллярных носителей посредством присоединения к амфифильным полимерам пептидов, путем ковалентного связывания пептидов и реакционноспособных групп амфифильного полимера.The present invention also relates to a method for preparing the above-described vectorized water-compatible polymeric micellar carriers by attaching peptides to amphiphilic polymers, by covalently linking peptides and reactive groups of the amphiphilic polymer.
Краткое описание рисунковBrief Description of Figures
Фиг. 1 - пространственная модель векторизованной водосовместимой полимерной мицеллярной частицы (носителя) для доставки биологически активных веществ через гемато-энцефалический барьер по изобретению.FIG. 1 is a spatial model of a vectorized water-compatible polymeric micellar particle (carrier) for delivery of biologically active substances through the blood-brain barrier according to the invention.
Фиг. 2 - МРТ визуализация глиобластомы, показывающая накопление контрастного вещества (ионов гадолиния) после введения в хвостовую вену мыши в составе векторизованных водосовместимых полимерных мицеллярных частиц (носителей) на основе амфифильного сополимера акриловой кислоты и N-винилпирролидона с ковалентно связанным пептидом FALGEA.FIG. 2 - MRI visualization of glioblastoma, showing the accumulation of contrast agent (gadolinium ions) after injection into the tail vein of a mouse as part of vectorized water-compatible polymeric micellar particles (carriers) based on an amphiphilic copolymer of acrylic acid and N-vinylpyrrolidone with a covalently linked peptide FALGEA.
Фиг. 3 - изображение сетчатки глаза мыши методом ICON после введения в хвостовую вену векторизованных водосовместимых полимерных мицеллярных частиц (носителей) на основе амфифильного сополимера метакриловой кислоты и N-винилпирролидона с ковалентно связанным пептидом Annexin V.FIG. 3 - image of the mouse retina by the ICON method after the introduction into the tail vein of vectorized water-compatible polymeric micellar particles (carriers) based on an amphiphilic copolymer of methacrylic acid and N-vinylpyrrolidone with a covalently bound Annexin V peptide.
Термины и определенияTerms and Definitions
Определения некоторых терминов, используемых в данном описании, приведены ниже. Если не определено отдельно, технические и научные термины в данной заявке имеют стандартные значения, общепринятые в научной и технической литературе. Кроме того, если не указано иное, все вхождения функциональных групп выбираются независимо.Some of the terms used in this description are defined below. Unless otherwise specified, technical and scientific terms in this application have the standard meanings generally accepted in the scientific and technical literature. In addition, unless otherwise indicated, all occurrences of functional groups are selected independently.
В описании и в формуле изобретения термины«включает»,«включающий»интерпретируются как означающие «включает, помимо всего прочего». Указанные термины не предназначены для того, чтобы их истолковывали как «состоит только из».In the description and in the claims, the terms"includes" ,"including" are interpreted as meaning "includes, among other things". These terms are not intended to be construed as “consists only of”.
Термин «алкил», сам по себе или как часть другого заместителя, относится к насыщенным углеводородным группам с прямой или разветвленной цепью, включая углеводородные группы, имеющие указанное число атомов углерода (то есть, С1-6 подразумевает от одного до шести атомов углерода). Примеры алкилов включают метил, этил, н-пропил, изопропил, н-бутил, втор-бутил, трет-бутил, н-пентил, втор-пентил и н-гексил, но не ограничиваются ими.The term"alkyl" , by itself or as part of another substituent, refers to straight or branched chain saturated hydrocarbon groups, including hydrocarbon groups having the indicated number of carbon atoms (i.e., C1-6 means one to six carbon atoms) ... Examples of alkyls include, but are not limited to, methyl, ethyl, n-propyl, isopropyl, n-butyl, sec-butyl, tert-butyl, n-pentyl, sec-pentyl, and n-hexyl.
Под«биологически активным веществом» (БАВ) подразумевают вещество, обладающее физиологической активностью, т.е. способностью влиять на процессы жизнедеятельности организма человека или животных, вырабатываемое организмом или сходное с ним. Физиологическая активность веществ может рассматриваться как с точки зрения возможности их медицинского применения, так и с точки зрения поддержания нормальной жизнедеятельности организма человека или животных, а также с точки зрения профилактики (предотвращения) возникновения каких-либо нарушений.By"biologically active substance" (BAS) is meant a substance with physiological activity, i. E. the ability to influence the life processes of the human or animal organism, produced by the organism or similar to it. The physiological activity of substances can be considered both from the point of view of the possibility of their medical use, and from the point of view of maintaining normal vital functions of the human or animal organism, as well as from the point of view of prevention (prevention) of the occurrence of any disorders.
Под«лекарственным веществом» подразумевают биологически активное вещество, обладающее лечебными или профилактическими свойствами и предназначенное для изготовления лекарственных средств.By"drug substance" is meant a biologically active substance with therapeutic or prophylactic properties and intended for the manufacture of drugs.
Под«диагностическим веществом» подразумевают вещество, используемое в диагностических исследованиях, чаще всего такие диагностические средства используют для контрастирования исследуемых структур или отдельных клеток.By"diagnostic substance" is meant a substance used in diagnostic studies, most often such diagnostic tools are used to contrast the structures or individual cells under study.
В данном изобретении термин«векторизованный амфифильный полимер» означает, что полимер состоит из водорастворимого полимерного и гидрофобного неполимерного фрагментов, причем звенья водорастворимого полимерного фрагмента ковалентно связаны с пептидными векторами.In this invention, the term"vectorized amphiphilic polymer" means that the polymer consists of a water-soluble polymeric and hydrophobic non-polymeric fragments, and the units of the water-soluble polymer fragment are covalently linked to peptide vectors.
Под«вектором» понимают соединение, обеспечивающее адресность доставки лекарственного средства к фармакологической мишени. Выбор вектора осуществляется в зависимости от выбранной фармакологической мишени так, чтобы обеспечить к ней доставку лекарственного средства. При этом мишенью могут быть как поверхностные/ мембранные структуры клетки определенного типа (например, но не ограничиваясь, нейрона или опухолевой клетки), клеточные рецепторы, так и внутриклеточные структуры (для проникающих в клетку векторов). При этом структура «векторизованная водосовместимая полимерная мицеллярная частица - биологически активное вещество» должна быть, как минимум, стабильной и нетоксичной.By"vector" is meant a compound that provides targeting of drug delivery to a pharmacological target. The choice of the vector is carried out depending on the selected pharmacological target so as to ensure the delivery of the drug to it. In this case, the target can be both the surface / membrane structures of a cell of a certain type (for example, but not limited to, a neuron or tumor cell), cellular receptors, and intracellular structures (for vectors entering the cell). In this case, the structure "vectorized water-compatible polymeric micellar particle - biologically active substance" should be at least stable and non-toxic.
«Пептидный вектор» - вектор, имеющий пептидную природу. Такие пептидные векторы хорошо известны из уровня техники. В некоторых вариантах изобретения пептидный вектор представляет собой пептид TAT, Annexin V, TRAIL, FALGEA, пенетратин, VP22 или полиаргинин (polyR), но не ограничивается ими."Peptide vector" - a vector having a peptide nature. Such peptide vectors are well known in the art. In some embodiments, the peptide vector is, but is not limited to, a TAT, Annexin V, TRAIL, FALGEA, penetratin, VP22, or polyarginine (polyR) peptide.
Подробное описание изобретенияDetailed description of the invention
В отличие от обычного введения лекарственного вещества и его распространения по всему организму, направленная доставка позволяет снизить дозу вводимого биологически активного вещества и минимизировать его воздействие на органы, ткани и клетки, не являющиеся мишенями терапии. При агрессивной терапии опухолей аспект направленной доставки высокотоксичных онкологических препаратов приобретает особое значение. Особенно актуальна направленная доставка биологически активных веществ в центральную нервную систему, структуры которой, выполняющие совершенно разные функции, расположены очень плотно.In contrast to the usual administration of a drug and its distribution throughout the body, targeted delivery allows you to reduce the dose of the administered biologically active substance and minimize its effect on organs, tissues and cells that are not targets of therapy. In aggressive tumor therapy, the aspect of targeted delivery of highly toxic cancer drugs is of particular importance. Particularly relevant is the targeted delivery of biologically active substances to the central nervous system, the structures of which, performing completely different functions, are very densely located.
Настоящее изобретение относится к векторизированным водосовместимым частицам на основе биосовместимых амфифильных полимеров в виде наноразмерных мицеллярных структур, способных проникать через гематоэнцефалический барьер и направленно доставлять в структуры мозга, к выбранным клеткам-мишеням ЦНС, нерастворимые и плохорастворимые БАВ. В зависимости от целей, с помощью предлагаемых векторизированных частиц БАВ может быть доставлено, например, к поверхности клетки, внутрь клетки, к синапсу. Такая направленная доставка позволяет увеличить терапевтическую эффективность и специфичность БАВ путем «нацеливания» наночастиц на определенные клетки или группы клеток, а также проявления синергии пептидного вектора и БАВ.The present invention relates to vectorized water-compatible particles based on biocompatible amphiphilic polymers in the form of nanosized micellar structures capable of penetrating the blood-brain barrier and targeted delivery of insoluble and poorly soluble biologically active substances to brain structures, to selected CNS target cells. Depending on the purpose, using the proposed vectorized particles, biologically active substances can be delivered, for example, to the cell surface, inside the cell, to the synapse. Such targeted delivery makes it possible to increase the therapeutic efficacy and specificity of biologically active substances by “targeting” nanoparticles to certain cells or groups of cells, as well as manifesting the synergy of the peptide vector and biologically active substances.
Векторизованные водосовместимые полимерные мицеллярные носители (частицы) для доставки БАВ по изобретению представляют собой мицеллы, образованные амфифильными полимерами, ковалентно связывающими пептидные векторы, причем мицеллы имеют очень малый размер – всего 10-200 нм (см. Фиг.1). Образование ковалентной связи происходит между реакционноспособными группами в гидрофильной части полимера и пептидного вектора. При этом каждый амфифильный полимер, входящий в состав мицеллы, может быть связан более чем с одним пептидным вектором. Количество векторных пептидов, связываемых одной мицеллой, может различаться и зависит от множества параметров, таких как молекулярная масса, стерический размер, активность пептидного вектора, размер мицеллы и др. Каждая мицелла связывает по меньшей мере один пептидный вектор. Выбор конкретного пептидного вектора зависит от мишени, к которой необходимо доставить БАВ, поэтому пептидные векторы, связанные с одной мицеллой, одинаковы. Пептидные векторы хорошо известны из уровня техники, в зависимости от выбранной мишени для доставки БАВ это может быть, например, TAT, Annexin V, TRAIL, FALGEA, пенетратин, VP22 или полиаргинин (polyR), но не ограничиваясь ими.Vectorized water-compatible polymeric micellar carriers (particles) for the delivery of biologically active substances according to the invention are micelles formed by amphiphilic polymers covalently linking peptide vectors, and micelles have a very small size - only 10-200 nm (see Fig. 1). The formation of a covalent bond occurs between reactive groups in the hydrophilic part of the polymer and the peptide vector. Moreover, each amphiphilic polymer that is part of a micelle can be associated with more than one peptide vector. The number of vector peptides bound by one micelle can vary and depends on many parameters, such as molecular weight, steric size, activity of the peptide vector, micelle size, etc. Each micelle binds at least one peptide vector. The choice of a specific peptide vector depends on the target to which it is necessary to deliver biologically active substances; therefore, the peptide vectors associated with one micelle are the same. Peptide vectors are well known in the art, depending on the selected target for the delivery of biologically active substances, this can be, for example, TAT, Annexin V, TRAIL, FALGEA, penetratin, VP22 or polyarginine (polyR), but not limited to them.
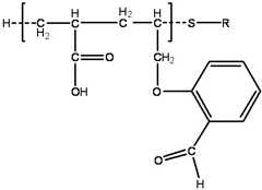
Амфифильные полимеры, входящие в состав мицеллярных частиц (носителей) согласно изобретению, представляют собой линейные карбоцепные полимеры, содержащие один концевой гидрофобный фрагмент R, связанный с основной цепью (представляющей собой гидрофильный фрагмент) сульфидной группой, имеющих среднечисловую молекулярную массу от 1 до 12 кДа.The amphiphilic polymers included in the micellar particles (carriers) according to the invention are linear carbochain polymers containing one terminal hydrophobic R moiety linked to the main chain (which is a hydrophilic moiety) by a sulfide group having a number average molecular weight of 1 to 12 kDa.
Общая формула амфифильных полимеров, входящих в состав мицелл согласно изобретению, представляет собойThe general formula of the amphiphilic polymers included in the micelles according to the invention is
гдеwhere
[---M---]n - гидрофильная часть - линейный водорастворимый карбоцепной полимер, как это более подробно раскрыто далее в описании и в формуле изобретения;[--- M ---]n - hydrophilic moiety - a linear water-soluble carbo-chain polymer, as disclosed in more detail later in the description and in the claims;
R - гидрофобная часть, представляющая собой линейный или разветвленный алкильный радикал с числом атомов углерода в углеродной цепи 9-20.R is a hydrophobic moiety representing a linear or branched alkyl radical with the number of carbon atoms in the carbon chain from 9 to 20.
Гидрофильная и гидрофобная части амфифильных полимеров связаны между собой сульфидной группой S.The hydrophilic and hydrophobic parts of amphiphilic polymers are linked by the S sulfide group.
Амфифильные полимеры, входящие в состав мицеллярных частиц согласно изобретению, являются биосовместимыми и биоразлагаемыми; структура амфифильных полимеров по изобретению позволяет синтезировать их одностадийным способом, без дополнительной модификации, что позволяет, во-первых, регулировать среднечисловую молекулярную массу непосредственно в процессе синтеза, в результате чего готовый продукт получают с высоким выходом и высокой степенью чистоты (низким количеством примесей), что сводит к минимуму (практически исключает) возможность их токсического воздействия на живой организм; кроме того, возможность использования одностадийного способа синтеза позволяет значительно интенсифицировать процесс получения конечного продукта: снизить временные и энергетические затраты, упростить аппаратное оформление всего процесса, что значительно снижает его стоимость.The amphiphilic polymers of the micellar particles of the invention are biocompatible and biodegradable; the structure of amphiphilic polymers according to the invention allows them to be synthesized in a one-step way, without additional modification, which allows, firstly, to regulate the number average molecular weight directly during the synthesis process, as a result of which the finished product is obtained in high yield and high purity (low amount of impurities), which minimizes (practically excludes) the possibility of their toxic effects on a living organism; In addition, the possibility of using a one-stage synthesis method makes it possible to significantly intensify the process of obtaining the final product: to reduce time and energy costs, to simplify the hardware design of the entire process, which significantly reduces its cost.
Во-вторых, наличие реакционноспособных групп в составе амфифильных полимеров обеспечивает возможность присоединения к ним пептидных векторов, как это более подробно описано далее.Secondly, the presence of reactive groups in the composition of amphiphilic polymers makes it possible to attach peptide vectors to them, as described in more detail below.
В качестве линейного водорастворимого карбоцепного полимера, входящего в состав амфифильных полимеров, мицеллярные частицы могут содержать как гомополимеры, например, поли-N-винилпирролидон, поли-N-изопропилакриламид, полиэтиленамин, поли-2-аллилоксибензальдегид, полиакриламид, полиакриловую кислоту, полиметакриловую кислоту, поли-N-диалкилакриламид, так и сополимеры, как регулярные, так и нерегулярные, в которых распределение мономеров по длине носит случайный характер. Ключевым параметром является наличие реакционноспособных групп в составе гидрофильной части амфифильного карбоцепного полимера. Реакционноспособная группа представляет собой аминную, карбоксильную, амидную или альдегидную группу, причем в амфифильном полимере по меньшей мере 1 мольн.% мономеров составляют мономеры, содержащие реакционноспособную группу. При этом амфифильные полимеры, входящие в одну мицеллу, необязательно должны быть одинаковыми.As a linear water-soluble carbo-chain polymer included in the composition of amphiphilic polymers, micellar particles can contain as homopolymers, for example, poly-N-vinyl pyrrolidone, poly-N-isopropylacrylamide, polyethylene amine, poly-2-allyloxybenzaldehyde, polyacrylamide, polymethacrylic acid, poly-N-dialkylacrylamide, and copolymers, both regular and irregular, in which the distribution of monomers along the length is random. The key parameter is the presence of reactive groups in the hydrophilic part of the amphiphilic carbon chain polymer. The reactive group is an amine, carboxyl, amide or aldehyde group, wherein in the amphiphilic polymer at least 1 mole% of the monomers are monomers containing a reactive group. In this case, the amphiphilic polymers included in one micelle do not have to be the same.
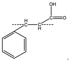
Общие формулы некоторых неограничивающих вариантов предлагаемых амфифильных полимеров, содержащих реакционноспособные группы, могут быть представлены следующим образом:General formulas of some non-limiting variants of the proposed amphiphilic polymers containing reactive groups can be represented as follows:
1) Амфифильный гомополимер акриловой кислоты:1) Amphiphilic acrylic acid homopolymer:
2) Амфифильный гомополимер метакриловой кислоты:2) Amphiphilic homopolymer of methacrylic acid:
3) Амфифильный сополимер акриловой кислоты и N-винилпирролидона:3) Amphiphilic copolymer of acrylic acid and N-vinylpyrrolidone:
4) Амфифильный сополимер акриловой кислоты и акриламида:4) Amphiphilic copolymer of acrylic acid and acrylamide:
5) Амфифильный сополимер акриловой кислоты и 2-аллилоксибензальдегида:5) Amphiphilic copolymer of acrylic acid and 2-allyloxybenzaldehyde:
В приведенных структурах R – гидрофобная часть амфифильного полимера, представляющая собой линейный или разветвленный алкильный радикал общего строенияIn the above structures, R is the hydrophobic part of the amphiphilic polymer, which is a linear or branched alkyl radical of general structure
,,
где X представляет собой H, OH, NH2 или NH3Cl.where X represents H, OH, NH2 or NH3 Cl.
Получение амфифильных полимеров, входящих в состав векторизованных водосовместимых полимерных мицеллярных частиц согласно изобретению, подробно описано в уровне технике (см., например, патент RU2580649).The preparation of amphiphilic polymers included in the vectorized water-compatible polymeric micellar particles according to the invention is described in detail in the prior art (see, for example, patent RU2580649).
Изобретение также относится к наноразмерным формам для направленной доставки нерастворимых и плохорастворимых БАВ, представляющих собой БАВ, включенные в векторизованные водосовместимые полимерные мицеллярные частицы, описанные выше. В качестве таких БАВ могут быть использованы любые водонерастворимые или плохорастворимые вещества, которые необходимо направленно доставить к мишеням в головном мозге человека или млекопитающих (например, лекарственные или диагностические, контрастные вещества).The invention also relates to nanoscale forms for the targeted delivery of insoluble and poorly soluble BAS, which are BAS included in the vectorized water-compatible polymeric micellar particles described above. As such biologically active substances, any water-insoluble or poorly soluble substances can be used that need to be targeted to targets in the human or mammalian brain (for example, medicinal or diagnostic, contrast agents).
Наноразмерные формы (фармацевтические композиции, системы доставки) для доставки БАВ согласно изобретению получают путем солюбилизации БАВ водорастворимыми амфифильными полимерами по изобретению методом самоассоциации дифильных веществ в водных средах при критической концентрации их мицелообразования (ККМ) или критической концентрации агрегации (ККА) в водных средах с образованием структур в виде сферических частиц - мицелл. При этом векторы гидрофобных фрагментов амфифильных молекул полимера обращены внутрь частиц, образуя внутреннее ядро, которое содержит нерастворимое или плохорастворимое БАВ.Nanosized forms (pharmaceutical compositions, delivery systems) for the delivery of biologically active substances according to the invention are obtained by solubilizing biologically active substances with water-soluble amphiphilic polymers according to the invention by the method of self-association of amphiphilic substances in aqueous media at a critical concentration of micelle formation (CMC) or a critical concentration of aggregation (CAC) in aqueous media with the formation structures in the form of spherical particles - micelles. In this case, the vectors of hydrophobic fragments of amphiphilic polymer molecules face inside the particles, forming an inner core that contains an insoluble or poorly soluble BAS.
В качестве БАВ в рамках настоящего изобретения могут быть использованы, нерастворимые и плохорастворимые биологически активные молекулы, относящиеся к следующим группам: снотворные, успокаивающие, анальгезирующие, противосудорожные лекарственные вещества, транквилизаторы, антидепрессанты, противомикробные вещества, в том числе антибиотики, противовирусные и противопаразитарные лекарственные вещества и др. БАВ также могут представлять собой нерастворимые и плохорастворимые биологически активные молекулы, используемые для проведения диагностики, например контрастировании тканей при проведении исследований. Необходимо понимать, что приведенный перечень не является ограничивающим и приведен здесь лишь с целью иллюстрации возможных вариантов воплощения изобретения.As biologically active substances in the framework of the present invention, insoluble and poorly soluble biologically active molecules belonging to the following groups can be used: hypnotics, sedatives, analgesics, anticonvulsants, tranquilizers, antidepressants, antimicrobial substances, including antibiotics, antiviral and antiparasitic drugs and other biologically active substances can also be insoluble and poorly soluble biologically active molecules used for diagnostics, for example, tissue contrast during research. It should be understood that the above list is not limiting and is provided here only for the purpose of illustrating possible embodiments of the invention.
Как известно, многие БАВ обладают высокой чувствительностью (подвергаются деструкции, теряют фармакологические свойства) к повышенной температуре, воздействию излучения (солнечный свет, УФ излучение), а также к воздействию кислорода воздуха. Заключение БАВ в векторизованные водосовместимые полимерные мицеллярные частицы по изобретению повышает стабильность таких БАВ при хранении, что позволяет продлить срок годности лекарственных препаратов, упростить режим их хранения. Кроме того, мицеллы позволяют защитить БАВ и в биологических средах, а небольшой размер мицеллярных частиц по изобретению (10-200 нм) позволяет им циркулировать в кровотоке долгое время, избегая захвата портальной системой печени и ретикуло-эндотелиальной системой, обеспечивая высокую стабильность в кровотоке и пролонгирование активности лекарственных веществ.As you know, many biologically active substances are highly sensitive (undergo destruction, lose their pharmacological properties) to elevated temperature, exposure to radiation (sunlight, UV radiation), as well as to the effects of atmospheric oxygen. Conclusion of biologically active substances in vectorized water-compatible polymeric micellar particles according to the invention increases the stability of such biologically active substances during storage, which makes it possible to extend the shelf life of drugs, to simplify their storage regime. In addition, micelles make it possible to protect biologically active substances in biological media, and the small size of micellar particles according to the invention (10-200 nm) allows them to circulate in the bloodstream for a long time, avoiding capture by the portal system of the liver and the reticuloendothelial system, providing high stability in the bloodstream and prolongation of the activity of medicinal substances.
Возможность контроля распределения и высвобождения БАВ при введении мицеллярных частиц пациенту обеспечивается путем изменения их размера, заряда и пептидного вектора.The ability to control the distribution and release of biologically active substances when micellar particles are administered to a patient is provided by changing their size, charge, and peptide vector.
Возможность объективного проявления технического результата при использовании изобретения подтверждена достоверными данными, приведенными в примерах, содержащих сведения экспериментального характера, полученные в процессе проведения исследований по методикам, принятым в данной области. Сущность изобретения поясняется рисунками.The possibility of objective manifestation of the technical result when using the invention is confirmed by reliable data given in the examples containing information of an experimental nature obtained in the process of conducting research according to the methods adopted in this field. The essence of the invention is illustrated by drawings.
Следует понимать, что эти и все приведенные в материалах заявки примеры не являются ограничивающими и приведены только для иллюстрации настоящего изобретения.It should be understood that these and all examples given in the application materials are not limiting and are given only to illustrate the present invention.
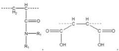
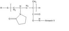
Структура некоторых вариантов амфифильных полимеров, содержащих ковалентно-связанные пептидные векторы, и входящих в состав векторизованных водосовместимых полимерных мицеллярных частиц по изобретению, может быть представлена следующим образом:The structure of some variants of amphiphilic polymers containing covalently linked peptide vectors, and included in the vectorized water-compatible polymeric micellar particles according to the invention, can be represented as follows:
1. Амфифильный гомополимер акриловой кислоты, содержащий вектор для распознавания клеток глиобластомы головного мозга человека (FALGEA):1. Amphiphilic homopolymer of acrylic acid containing a vector for recognition of human brain glioblastoma cells (FALGEA):
2. Амфифильный сополимер N-винил-2-пирролидона и метакриловой кислоты, содержащий вектор для распознавания апоптирующих глиальных клеток (Annexin V):2. Amphiphilic copolymer of N-vinyl-2-pyrrolidone and methacrylic acid containing a vector for recognition of apoptotic glial cells (Annexin V):
Следует отметить, что согласно изобретению, пептидные векторы могут связываться как с концевыми, так и не с концевыми мономерами гидрофильной части амфифильных полимеров. При этом каждый амфифильный полимер, входящий в состав векторизованных водосовместимых полимерных мицеллярных частиц по изобретению, может быть связан более чем с одним пептидным вектором. С точки зрения химии, пептидные векторы могут присоединяться по всем доступными (химически и стерически) группам амфифильных полимеров, которых в полимере должно быть не менее 1 мольн.%.It should be noted that according to the invention, peptide vectors can bind to both terminal and non-terminal monomers of the hydrophilic portion of the amphiphilic polymers. Moreover, each amphiphilic polymer included in the vectorized water-compatible polymeric micellar particles according to the invention can be associated with more than one peptide vector. From the point of view of chemistry, peptide vectors can be attached to all available (chemically and sterically) groups of amphiphilic polymers, which must be at least 1 mol% in the polymer.
Получение наноразмерных форм для направленной доставки нерастворимых и плохорастворимых БАВ на основе векторизованных водосовместимых полимерных мицеллярных частицObtaining nanoscale forms for targeted delivery of insoluble and poorly soluble biologically active substances based on vectorized water-compatible polymer micellar particles
Наноразмерные формы для направленной доставки нерастворимых и плохорастворимых БАВ могут быть получены из амфифильных полимеров эмульсионным методом (нанопреципитация). Количество амфифильных полимеров при этом должно быть таким, чтобы в конечном растворе его концентрация была больше критической концентрации агрегации.Nanosized forms for the targeted delivery of insoluble and poorly soluble biologically active substances can be obtained from amphiphilic polymers by the emulsion method (nanoprecipitation). In this case, the amount of amphiphilic polymers should be such that its concentration in the final solution is greater than the critical concentration of aggregation.
Наноразмерные формы для направленной доставки нерастворимых и плохорастворимых БАВ образуются при добавлении в процессе получения наночастиц необходимого количества БАВ. Количество включаемого БАВ варьируется от 0.1 до 50 масс. %.Nanosized forms for the targeted delivery of insoluble and poorly soluble biologically active substances are formed when the required amount of biologically active substances is added during the preparation of nanoparticles. The amount of BAS included varies from 0.1 to 50 wt. %.
Расчетное количество амфифильного полимера растворяют в бидистиллированной обеспыленной воде, а БАВ растворяют в органическом растворителе (например, хлороформе, метиленхлориде или этиацетате) при перемешивании без нагревания. Затем полученный раствор БАВ в органическом растворителе добавляют при интенсивном перемешивании по каплям к раствору амфифильного полимера в бидистиллированной воде. Полученную эмульсию интенсивно перемешивают 10-20 минут, а затем подвергают воздействию ультразвукового излучения 12-24 минуты при мощности 60 Вт и импульсном режиме (1 сек. через 1 сек.) (на приборе “VibraCell”, США). Органический растворитель отгоняют на роторном испарителе, а полученную массу лиофильно сушат.The calculated amount of the amphiphilic polymer is dissolved in bidistilled dust-free water, and the BAS is dissolved in an organic solvent (for example, chloroform, methylene chloride or ethyl acetate) with stirring without heating. Then the resulting solution of biologically active substances in an organic solvent is added dropwise with vigorous stirring to a solution of the amphiphilic polymer in bidistilled water. The resulting emulsion is intensively stirred for 10-20 minutes, and then exposed to ultrasonic radiation for 12-24 minutes at a power of 60 W and a pulsed mode (1 sec. After 1 sec.) (On a VibraCell device, USA). The organic solvent is distilled off on a rotary evaporator, and the resulting mass is lyophilized.
Получение мицеллярных частиц, содержащих ковалентно связанные пептидные векторыPreparation of micellar particles containing covalently linked peptide vectors
Мицеллярные частицы, содержащие ковалентно связанные пептидные векторы, согласно изобретению получают посредством присоединения к полученным мицеллярным частицам пептидов по N-концу. Присоединение осуществляют в два этапа:Micellar particles containing covalently linked peptide vectors according to the invention are obtained by attaching peptides to the obtained micellar particles at the N-terminus. Accession is carried out in two stages:
1) На первом этапе проводят активацию реакционноспособных групп амфифильных полимеров, входящих в состав мицеллярных частиц, посредством последовательного химического взаимодействия с карбодиимидом в растворителе и сукцинимидом или этил-(2Z)-2-циано-2-гидроксииминоацетатом (Oxyma).1) At the first stage, the reactive groups of amphiphilic polymers included in the micellar particles are activated by sequential chemical interaction with carbodiimide in a solvent and succinimide or ethyl (2Z ) -2-cyano-2-hydroxyiminoacetate (Oxyma).
2) На втором этапе к мицеллярным частицам с активированными реакционноспособными группами, добавляют водный раствор пептида.2) At the second stage, an aqueous solution of the peptide is added to the micellar particles with activated reactive groups.
3) Смесь инкубируют при комнатной температуре. После окончания реакции мицеллярные частицы с ковалентно связанным пептидом отделяют от примесей с помощью диализа.3) The mixture is incubated at room temperature. After the end of the reaction, micellar particles with a covalently bound peptide are separated from impurities by dialysis.
Благодаря наличию реакционноспособных групп в составе амфифильных полимеров, а, следовательно, и в составе мицеллярных частиц, удается эффективно присоединять к мицеллярным частицам различные пептиды. В свете настоящего изобретения в качестве пептидов выбирают пептиды, обладающие свойствами векторов.Due to the presence of reactive groups in the composition of amphiphilic polymers, and, consequently, in the composition of micellar particles, it is possible to effectively attach various peptides to micellar particles. In the light of the present invention, peptides are selected as having the properties of vectors.
В некоторых неограничивающих вариантах изобретения в качестве пептидного вектора могут быть использованы, например TAT (клеточно-проникающий пептидный вектор), Annexin V (пептидный вектор, обладающий собственной биологической активностью), TRAIL (векторный пептид большой молекулярной массы, порядка 30 кДа), FALGEA (векторный пептид низкой молекулярной массы (606 Да)).In some non-limiting embodiments of the invention, the peptide vector can be used, for example, TAT (cell-penetrating peptide vector), Annexin V (peptide vector with its own biological activity), TRAIL (vector peptide of large molecular weight, about 30 kDa), FALGEA ( vector peptide of low molecular weight (606 Da)).
Предпочтительно, карбодиимид выбирают из группы, включающей дициклогексилкарбодиимид, диизопропилкарбодиимид, 1-этил-3-(3-диметиламинопропил)карбодиимид, но не ограничиваются ими.Preferably, the carbodiimide is selected from, but not limited to, dicyclohexylcarbodiimide, diisopropylcarbodiimide, 1-ethyl-3- (3-dimethylaminopropyl) carbodiimide.
Также, предпочтительно, растворитель для проведения реакции выбирают из группы, включающей: воду, диметилсульфоксид, хлороформ, хлористый метилен, циклогексан, диметилформамид.Also, preferably, the reaction solvent is selected from the group consisting of: water, dimethyl sulfoxide, chloroform, methylene chloride, cyclohexane, dimethylformamide.
В частных случаях воплощения изобретения в качестве растворителя для присоединения пептидов TAT, Annexin V и FALGEA, используют диметилсульфоксид, хлороформ, хлористый метилен, циклогексан, диметилформамид, но не ограничиваются ими. В других частных вариантах воплощения изобретения в качестве растворителя для присоединения пептида TRAIL выбирают воду.In particular cases of the embodiment of the invention, dimethyl sulfoxide, chloroform, methylene chloride, cyclohexane, dimethylformamide are used as a solvent for attaching the peptides TAT, Annexin V and FALGEA, but are not limited to them. In other particular embodiments, water is chosen as the solvent for attaching the TRAIL peptide.
Ниже представлены примеры получения некоторых мицеллярных частиц с ковалентно связанными пептидными векторами по изобретению.Below are examples of the preparation of some micellar particles with covalently linked peptide vectors according to the invention.
Пример 1.Example 1.
Мицеллярные частицы с ковалентно связанным пептидом Annexin V на основе сополимера N-винилпирролидона и акриловой кислоты получают следующим образом. Расчётное количество сополимера растворяют в диметилсульфоксиде в хорошо промытой плоскодонной колбе с притертой пробкой. К полученному раствору добавляют дициклогексилкарбодиимид и сукцинимид. Полученный раствор инкубируют при комнатной температуре в течение двух часов. Навеску пептида Annexin V растворяют в минимальном количестве диметилсульфоксида. Затем эти два раствора совмещают и инкубируют полученную смесь при комнатной температуре в течение часа. По истечении времени содержимое колбы диализуют против воды в течение 3-5 суток. Выход мицеллярных частиц с ковалентно связанным пептидом Annexin V составляет 86%.Micellar particles with covalently linked Annexin V peptide based on a copolymer of N-vinylpyrrolidone and acrylic acid are prepared as follows. The calculated amount of the copolymer is dissolved in dimethyl sulfoxide in a well-washed flat-bottomed flask with a ground stopper. Dicyclohexylcarbodiimide and succinimide are added to the resulting solution. The resulting solution is incubated at room temperature for two hours. A weighed portion of the Annexin V peptide is dissolved in a minimum amount of dimethyl sulfoxide. Then these two solutions are combined and the resulting mixture is incubated at room temperature for an hour. After the time has elapsed, the contents of the flask are dialyzed against water for 3-5 days. The yield of micellar particles with covalently linked Annexin V peptide is 86%.
Пример 2.Example 2.
Мицеллярные частицы с ковалентно связанным пептидом TRAIL на основе сополимера N-винилпирролидона и метакриловой кислоты получают следующим образом. Расчётное количество сополимера растворяют в дистиллированной воде в хорошо промытой плоскодонной колбе с притертой пробкой. К полученному раствору добавляют 1-этил-3-(3-диметиламинопропил)карбодиимид и этил-(2Z)-2-циано-2-гидроксииминоацетат. Полученный раствор инкубируют при комнатной температуре в течение 30 мин. Навеску пептида TRAIL растворяют в минимальном количестве дистиллированной воды. Затем эти два раствора совмещают и инкубируют полученную смесь при комнатной температуре в течение 30 мин. По истечении времени содержимое колбы диализуют против воды в течение 3-5 суток. Выход мицеллярных частиц с ковалентно связанным пептидом TRAIL составляет 81%.Micellar particles with a covalently linked TRAIL peptide based on a copolymer of N-vinylpyrrolidone and methacrylic acid are prepared as follows. The calculated amount of the copolymer is dissolved in distilled water in a well-washed flat-bottomed flask with a ground stopper. To the resulting solution were added 1-ethyl-3- (3-dimethylaminopropyl) carbodiimide and ethyl (2Z ) -2-cyano-2-hydroxyiminoacetate. The resulting solution is incubated at room temperature for 30 minutes. A portion of the TRAIL peptide is dissolved in a minimum amount of distilled water. Then these two solutions are combined and the resulting mixture is incubated at room temperature for 30 minutes. After the time has elapsed, the contents of the flask are dialyzed against water for 3-5 days. The yield of micellar particles with covalently linked TRAIL peptide is 81%.
Пример 3.Example 3.
Мицеллярные частицы с ковалентно связанным пептидом TAT на основе гомополимера акриловой кислоты получают следующим образом. Расчётное количество гомополимера растворяют в хлороформе. К полученному раствору добавляют диизопропилкарбодиимид и сукцинимид. Полученный раствор инкубируют при комнатной температуре в течение трех часов. Навеску пептида TAT растворяют в минимальном количестве диметилсульфоксида. Затем эти два раствора совмещают и инкубируют полученную смесь при комнатной температуре в течение часа. По истечении времени содержимое колбы диализуют против воды в течение 3-5 суток. Выход мицеллярных частиц с ковалентно связанным пептидом TAT составляет 83%.Micellar particles with covalently linked TAT peptide based on acrylic acid homopolymer are prepared as follows. The calculated amount of the homopolymer is dissolved in chloroform. Diisopropylcarbodiimide and succinimide are added to the resulting solution. The resulting solution is incubated at room temperature for three hours. A weighed portion of the TAT peptide is dissolved in a minimum amount of dimethyl sulfoxide. Then these two solutions are combined and the resulting mixture is incubated at room temperature for an hour. After the time has elapsed, the contents of the flask are dialyzed against water for 3-5 days. The yield of micellar particles with covalently linked TAT peptide is 83%.
Подтверждение возможности включения лекарственных веществ в мицеллы, образованные амфифильными полимерами с ковалентно связанными пептидными векторами по изобретениюConfirmation of the possibility of including drugs in micelles formed by amphiphilic polymers with covalently linked peptide vectors according to the invention
Благодаря своей амфифильной природе, мицеллярные частицы, включающие ковалентно связанные пептидные векторы, обладают возможностью солюбилизовать плохорастворимые и нерастворимые в воде лекарственные вещества. Данные по солюбилизации ряда лекарственных веществ приведены в таблице 1.Due to their amphiphilic nature, micellar particles, including covalently linked peptide vectors, have the ability to solubilize poorly soluble and water-insoluble drugs. The data on the solubilization of a number of drugs are shown in Table 1.
Таблица 1.Результаты измерения степени включения лекарственных веществ в мицеллы, образованные амфифильными полимерами с ковалентно связанными пептидными векторами.Table 1. Results of measuring the degree of incorporation of drugs into micelles formed by amphiphilic polymers with covalently linked peptide vectors.
Гидрофильный фрагмент - сополимер метакриловой кислоты и N-винилпирролидона гидрофобный фрагмент - октадецил (H(CH2)18-), пептидный вектор - Annexin V или FALGEA.Hydrophilic fragment - copolymer of methacrylic acid and N-vinylpyrrolidone; hydrophobic fragment - octadecyl (H (CH2 )18 -), peptide vector - Annexin V or FALGEA.
Подтверждение возможности нацеливания полимерных мицеллярных частицConfirmation of the Targeting Possibility of Polymeric Micellar Particles
на основе амфифильных полимеровbased on amphiphilic polymers
с ковалентно связанными пептидными векторами по изобретениюwith covalently linked peptide vectors of the invention
на выбранные мишениon selected targets
In vivo исследования проводились на мышах с имплантированной глиобластомой с использованием полимерных мицеллярных частиц на основе амфифильного сополимера акриловой кислоты и N-винилпирролидона с ковалентно связанным пептидом FALGEA. Из литературных данных известно, что короткоцепочечный пептидный вектор FALGEA способен селективно связываться с мутировавшим глиобластома-специфическим рецептором EGFRvIII, тем самым проявляя эффект “нацеливания”. Исследование проводилось с помощью магнито-резонансной томографии, в качестве контрастного вещества использовалась соль гадолиния, которая в целях эксперимента комплексно связывалась с поверхностью мицеллярных частиц. В качестве БАВ использовался куркумин, включенный в полимерные мицеллы. Результаты, демонстрирующие усиление накопления сигнала контрастного вещества в глиобластоме, показаны на Фиг. 2.In vivo studies were carried out on mice with implanted glioblastoma using polymer micellar particles based on an amphiphilic copolymer of acrylic acid and N-vinylpyrrolidone with a covalently linked FALGEA peptide. It is known from the literature that the short-chain peptide vector FALGEA is able to selectively bind to the mutated glioblastoma-specific receptor EGFRvIII, thereby exhibiting a “targeting” effect. The study was carried out using magnetic resonance imaging, gadolinium salt was used as a contrast agent, which for the purpose of the experiment was complexly bound to the surface of micellar particles. Curcumin included in polymer micelles was used as a biologically active substance. Results demonstrating the enhancement of contrast agent signal accumulation in glioblastoma are shown in FIG. 2.
По окончанииin vivo исследований готовились препараты ткани глиобластомы и методом атомно-абсорбционной спектроскопии определялась концентрация ионов гадолиния. Сравнительные результаты определения концентрации ионов гадолиния в тканях глиобластомы представлены в таблице 2.At the end ofin vivo studies, glioblastoma tissue preparations were prepared and the concentration of gadolinium ions was determined by atomic absorption spectroscopy. Comparative results of determining the concentration of gadolinium ions in glioblastoma tissues are presented in Table 2.
Таблица 2.Результаты определения концентрации ионов гадолиния в тканях глиобластомы после введения полимерных мицеллярных частиц на основе амфифильного сополимера акриловой кислоты и N-винилпирролидона с ковалентно связанным пептидом FALGEA и без ковалентно связанного пептида.Table 2. The results of determining the concentration of gadolinium ions in glioblastoma tissues after the introduction of polymer micellar particles based on an amphiphilic copolymer of acrylic acid and N-vinylpyrrolidone with a covalently bound FALGEA peptide and without a covalently bound peptide.
Проведенный эксперимент демонстрирует достоверное существенное увеличение накопление в тканях глиобластомы полимерных мицеллярных частиц с ковалентно связанным пептидом FALGEA по сравнению с мицеллярными частицами, не имеющими нацеливающего вектора.This experiment demonstrates a significant increase in the accumulation of polymer micellar particles with a covalently bound FALGEA peptide in glioblastoma tissues as compared to micellar particles without a targeting vector.
Подтверждение преодоления ГЭБ полимерными мицеллярными частицами на основе амфифильных полимеров с ковалентно связанными пептидными векторами по изобретениюConfirmation of overcoming the BBB by polymer micellar particles based on amphiphilic polymers with covalently linked peptide vectors according to the invention
In vivo исследования проводились с помощью метода конфокальной нейровизуализации сетчатки (ICON метод). В хвостовую вену мыши вводили раствор полимерных мицеллярных частиц на основе амфифильного сополимера метакриловой кислоты и N-винилпирролидона с ковалентно связанным пептидным вектором Annexin V. В качестве контрастных веществ использовались включенные в полимерные мицеллы флуоресцентные красители DiI и FITC, плохорастворимые в воде. Снимок сетчатки проводился непосредственно в момент введения (0 мин), через 1 минуту после введения и через 5 минут после введения. Результаты показаны на Фиг. 3.In vivo studies were carried out using the method of confocal neuroimaging of the retina (ICON method). A solution of polymer micellar particles based on an amphiphilic copolymer of methacrylic acid and N-vinylpyrrolidone with a covalently linked peptide vector Annexin V was injected into the tail vein of the mouse. The fluorescent dyes DiI and FITC incorporated into the polymer micelles, poorly soluble in water, were used as contrast agents. A snapshot of the retina was taken immediately at the time of injection (0 min), 1 minute after injection and 5 minutes after injection. The results are shown in FIG. 3.
Как показано на Фиг. 3, через 5 минут после введения полимерных мицеллярных частиц наблюдается флуоресценция клеток за пределами капилляров, что свидетельствует о преодолении гемато-ретинального барьера – одного из участков гемато-энцефалического барьера (ГЭБ).As shown in FIG. 3, 5 minutes after the introduction of polymer micellar particles, fluorescence of cells outside the capillaries is observed, which indicates the overcoming of the blood-retinal barrier - one of the areas of the blood-brain barrier (BBB).
Таким образом, векторизованные водосовместимые полимерные мицеллярные носители по изобретению могут быть эффективно использованы для доставки нерастворимых и плохорастворимых биологически активных веществ к выбранным мишеням центральной нервной системы.Thus, the vectorized water-compatible polymeric micellar carriers according to the invention can be effectively used to deliver insoluble and poorly soluble biologically active substances to selected targets of the central nervous system.
Несмотря на то, что изобретение описано со ссылкой на раскрываемые варианты воплощения, для специалистов в данной области должно быть очевидно, что конкретные подробно описанные эксперименты приведены лишь в целях иллюстрирования настоящего изобретения, и их не следует рассматривать как каким-либо образом ограничивающие объем изобретения. Должно быть понятно, что возможно осуществление различных модификаций без отступления от сути настоящего изобретения.Although the invention has been described with reference to the disclosed embodiments, it should be apparent to those skilled in the art that the specific experiments described in detail are provided for the purpose of illustrating the present invention only and should not be construed as in any way limiting the scope of the invention. It should be understood that various modifications are possible without departing from the spirit of the present invention.
| Application Number | Priority Date | Filing Date | Title | 
|---|---|---|---|
| RU2020132115ARU2752177C1 (en) | 2020-09-29 | 2020-09-29 | Vectorized water-compatible polymer micellar particles for delivery of biologically active substances through blood-brain barrier | 
| Application Number | Priority Date | Filing Date | Title | 
|---|---|---|---|
| RU2020132115ARU2752177C1 (en) | 2020-09-29 | 2020-09-29 | Vectorized water-compatible polymer micellar particles for delivery of biologically active substances through blood-brain barrier | 
| Publication Number | Publication Date | 
|---|---|
| RU2752177C1true RU2752177C1 (en) | 2021-07-23 | 
| Application Number | Title | Priority Date | Filing Date | 
|---|---|---|---|
| RU2020132115ARU2752177C1 (en) | 2020-09-29 | 2020-09-29 | Vectorized water-compatible polymer micellar particles for delivery of biologically active substances through blood-brain barrier | 
| Country | Link | 
|---|---|
| RU (1) | RU2752177C1 (en) | 
| Publication number | Priority date | Publication date | Assignee | Title | 
|---|---|---|---|---|
| RU2325151C2 (en)* | 2006-06-29 | 2008-05-27 | ООО "Научно-производственный центр "Амфион" | Method of delivering water-insoluble and poorly soluble bioactive substances and pharmaceutical form based on it | 
| CN101264330A (en)* | 2006-07-18 | 2008-09-17 | 上海市肿瘤研究所 | A polymer material drug-loading system for targeted therapy and its preparation method and application | 
| US20100331819A1 (en)* | 2009-06-24 | 2010-12-30 | Abbott Cardiovascular Systems Inc. | Drug Delivery System and Method of Treatment of Vascular Diseases Using Photodynamic Therapy | 
| RU2580649C1 (en)* | 2015-03-27 | 2016-04-10 | Общество С Ограниченной Ответственностью "Научно-Производственный Центр "Амфион" | Water-compatible polymer compositions for delivery of biologically active substances | 
| Publication number | Priority date | Publication date | Assignee | Title | 
|---|---|---|---|---|
| RU2325151C2 (en)* | 2006-06-29 | 2008-05-27 | ООО "Научно-производственный центр "Амфион" | Method of delivering water-insoluble and poorly soluble bioactive substances and pharmaceutical form based on it | 
| CN101264330A (en)* | 2006-07-18 | 2008-09-17 | 上海市肿瘤研究所 | A polymer material drug-loading system for targeted therapy and its preparation method and application | 
| US20100331819A1 (en)* | 2009-06-24 | 2010-12-30 | Abbott Cardiovascular Systems Inc. | Drug Delivery System and Method of Treatment of Vascular Diseases Using Photodynamic Therapy | 
| RU2580649C1 (en)* | 2015-03-27 | 2016-04-10 | Общество С Ограниченной Ответственностью "Научно-Производственный Центр "Амфион" | Water-compatible polymer compositions for delivery of biologically active substances | 
| Title | 
|---|
| Штильман М.И. и др., Новые наноразмерные макромолекулярные системы для медицинской технологии / Международный конгресс Биотехнология: состояние и перспективы развития. Выпуск 17. 2019.* | 
| Publication | Publication Date | Title | 
|---|---|---|
| Sasikala et al. | An implantable smart magnetic nanofiber device for endoscopic hyperthermia treatment and tumor-triggered controlled drug release | |
| Labieniec-Watala et al. | PAMAM dendrimers: destined for success or doomed to fail? Plain and modified PAMAM dendrimers in the context of biomedical applications | |
| Bae et al. | Nanomaterials for cancer therapy and imaging | |
| CA2184242C (en) | Drug targeting system, method for preparing same and its use | |
| Ban et al. | PMPC modified PAMAM dendrimer enhances brain tumor‐targeted drug delivery | |
| Parashar et al. | Synthesis, characterization and in vivo evaluation of PEGylated PPI dendrimer for safe and prolonged delivery of insulin | |
| CN103623430B (en) | A preparation method and application of targeted co-loaded drug delivery system nanoparticles based on polylactic acid-glycolic acid copolymer | |
| KR20100062990A (en) | Injectable polymer-lipid blend for localized drug delivery | |
| Singh et al. | CuAAC ensembled 1, 2, 3-triazole linked nanogels for targeted drug delivery: A review | |
| WO2006041613A2 (en) | Nanoparticles for targeting hepatoma cells | |
| Jain et al. | Polymeric micelles as drug delivery system: recent advances, approaches, applications and patents | |
| Hong et al. | Curcumin-loaded hybrid nanoparticles: microchannel-based preparation and antitumor activity in a mouse model | |
| Lee et al. | Tumor-penetrable nitric oxide-releasing nanoparticles potentiate local antimelanoma therapy | |
| Nagpal et al. | Nanomaterials for skin antifungal therapy: An updated review | |
| Islam et al. | Nanostructured biomaterials for targeted drug delivery | |
| Keservani et al. | Nanoparticulate nanocarriers in drug delivery | |
| US20220175687A1 (en) | Nanoparticles for drug delivery to brain | |
| WO2011009991A2 (en) | Dendritic pic micelles with bioactive proteins | |
| Kordbacheh et al. | Cell-penetrating peptide functionalized ZIF-8 (Zn, Fe)/doxorubicin/chitosan-grafted-polycaprolactone/curcumin against A549 lung cancer cells | |
| Gulyaev et al. | Polymeric Drug Delivery Systems in Biomedicine | |
| Betancourt et al. | Controlled release and nanotechnology | |
| RU2752177C1 (en) | Vectorized water-compatible polymer micellar particles for delivery of biologically active substances through blood-brain barrier | |
| WO2024113429A1 (en) | Targeted bionic polypeptide nano delivery carrier, nano nucleic acid delivery system, preparation method therefor, and use thereof | |
| Mann et al. | Potential applications of polymeric-nanomaterial as drug delivery carriers in the biomedical field | |
| Sharma et al. | Role of nanocarriers for inflammation treatment |