
Изобретение относится к радиоприемным устройствам с квадратурной цифровой обработкой сигналов и может быть использовано в радиолокационных станциях.The invention relates to radio receivers with quadrature digital signal processing and can be used in radar stations.
При построении современных радиоприемных устройств с квадратурной цифровой обработкой сигнала в составе РЛС, комплексов имитирующих многоцелевую обстановку, имитаторов радиолокационных целей и других устройств, особо актуальным является обеспечение линейной работы приемного тракта. Нарушение линейности приводит к искажению принятого сигнала и, как следствие, ухудшению рабочих характеристик всего устройства. В случае РЛС это вероятность правильного обнаружения, способность обнаруживать слабый сигнал на фоне сильных помех, разрешающая способность по наклонной дальности и азимуту.When constructing modern radio receivers with quadrature digital signal processing as part of the radar, complexes simulating a multi-purpose environment, simulators of radar targets and other devices, ensuring the linear operation of the receiving path is especially relevant. Violation of linearity leads to a distortion of the received signal and, as a consequence, a deterioration in the performance of the entire device. In the case of a radar, this is the probability of correct detection, the ability to detect a weak signal against a background of strong interference, resolving power in oblique range and azimuth.
Кроме того, в радиоприемных устройствах с цифровой обработкой нелинейные искажения в аналоговом и цифровом тракте приведут к появлению побочных гармонических составляющих в рабочей полосе сигнала, устранить которые будет практически невозможно.In addition, in digitally processed radio receivers, nonlinear distortions in the analog and digital paths will lead to the appearance of secondary harmonic components in the signal working band, which will be practically impossible to eliminate.
Наиболее узким местом с точки зрения динамического диапазона в радиоприемных устройствах с цифровой обработкой квадратур является аналого-цифровой преобразователь. Как правило, это устройство характеризуется более узким динамическим диапазоном входных сигналов по сравнению с другими элементами приемника. Это связано с разрядностью АЦП. Чем меньше величина разрядности, тем меньше динамический диапазон входных сигналов, который АЦП может передать без искажений. В то же время, разрядность связана с частотой дискретизации.The bottleneck in terms of dynamic range in radio receivers with digital quadrature processing is the analog-to-digital converter. As a rule, this device is characterized by a narrower dynamic range of input signals compared to other elements of the receiver. This is due to the capacity of the ADC. The lower the bit size, the smaller the dynamic range of the input signals that the ADC can transmit without distortion. At the same time, bit depth is related to the sampling rate.
Если принять, что АЦП оцифровывает как положительную, так и отрицательную полуволну входного сигнала, то его динамический диапазон (в дБ) будет равен:If we assume that the ADC digitizes both the positive and negative half-waves of the input signal, then its dynamic range (in dB) will be equal to:
где Pmax.АЦП/Pmin.АЦП - максимальное/минимальное допустимое значение мощности сигнала на входе АЦП, Umax.АЦП/Umin.АЦП - максимальное/минимальное допустимое значение напряжения сигнала на входе АЦП, N - разрядность АЦП. Так 8-разрядный АЦП теоретически будет иметь динамический диапазон по мощности 42,11 дБ. На практике чаще всего эта цифра будет меньше с учетом влияния собственных шумов и других факторов. В то же время для современных радиоприемных устройств наблюдается тенденция по расширению мгновенной полосы обработки сигнала за счет использования сложномодулированных сигналов. Так РЛС с синтезированной апертурой антенны обрабатывает сигналы с полосой до 1 ГГц и выше. Для обработки сигналов с такой полосой необходимо, чтобы частота дискретизации используемых АЦП по теореме Котельникова-Найквиста превышала верхнюю частоту в спектре полезного сигнала промежуточной частоты как минимум в два раза. За счет применения квадратурной обработки частота дискретизации снижается в два раза. Но в то же время чем выше частота дискретизации, тем меньше разрядность АЦП. Так АЦП с частотами преобразования 1 ГГц и выше, как правило, имеют разрядность не более 8-10, а это накладывает ограничения на динамический диапазон обрабатываемых сигналов. Таким образом, задача расширения динамического диапазона входных сигналов для радиоприемных устройств с цифровой обработкой является актуальной и требует принятия специальных мер.where Pmax .ADC / Pmin .ADC is the maximum / minimum allowable value of the signal power at the input of the ADC, Umax. ADC / Umin. ADC is the maximum / minimum allowable value of the signal voltage at the input of the ADC, N is the resolution of the ADC. So an 8-bit ADC will theoretically have a dynamic power range of 42.11 dB. In practice, most often this figure will be less, taking into account the influence of intrinsic noise and other factors. At the same time, for modern radio receivers, there is a tendency to expand the instantaneous signal processing band due to the use of complex modulated signals. So a radar with a synthesized aperture of the antenna processes signals with a band up to 1 GHz and higher. To process signals with such a band, it is necessary that the sampling frequency of the used ADCs by the Kotelnikov-Nyquist theorem is at least two times higher than the upper frequency in the spectrum of the useful signal of the intermediate frequency. Through the use of quadrature processing, the sampling rate is reduced by half. But at the same time, the higher the sampling rate, the lower the ADC bit depth. So ADCs with conversion frequencies of 1 GHz and higher, as a rule, have a resolution of no more than 8-10, and this imposes restrictions on the dynamic range of the processed signals. Thus, the task of expanding the dynamic range of the input signals for radio receivers with digital processing is relevant and requires special measures.
Известны аналоги радиоприемного устройства с цифровыми выходами и расширенным динамическим диапазоном [1], [2].Known analogues of a radio receiver with digital outputs and an extended dynamic range [1], [2].
Аналог [1] (радиоприемное устройство когерентной РЛС) представляет собой систему из параллельно включенных n-каналов приема сигнала со специально выбранными для каждого приемника векторными смещениями рабочего диапазона и формированием на выходе сумм одноименных частей огибающей выходного сигнала параллельных приемников. Недостатком устройства является незначительный динамический диапазон отдельного когерентного приемника, и, как следствие, требуется большое количество параллельных каналов обработки для получения требуемой линейности всего приемного тракта. Большое количество каналов приводит к очень сложной и громоздкой технической реализации устройства, а также возникают искажения выходного сигнала из-за невозможности идеально состыковать друг с другом все n приемных каналов. Также гетеродин и фазовращатель имеют повышенный уровень побочных составляющих в спектре выходного сигнала фазовращателя, что приводит к ошибке корректировки квадратур применяемых сигналов.The analogue [1] (coherent radar receiving device) is a system of parallel-connected n-channels for receiving a signal with vector displacements of the operating range specially selected for each receiver and generating at the output sums of the same parts of the envelope of the output signal of parallel receivers. The disadvantage of this device is the insignificant dynamic range of a single coherent receiver, and, as a result, a large number of parallel processing channels are required to obtain the required linearity of the entire receiving path. A large number of channels leads to a very complex and cumbersome technical implementation of the device, as well as distortion of the output signal due to the inability to perfectly fit together all n receiving channels. Also, the local oscillator and the phase shifter have an increased level of side components in the spectrum of the output signal of the phase shifter, which leads to an error in the correction of the quadrature of the applied signals.
Аналог [2] (приемник когерентной РЛС с большим динамическим диапазоном) также представляет собой многоканальную систему, состоящую из n-каналов. Каждый канал состоит из аналогового сумматора, резонансных усилителей с управляемым коэффициентом передачи, двух синхронных преобразователей частоты, фильтров нижних частот и АЦП. Выходные квадратурные цифровые сигналы от каждого из каналов складываются в цифровых сумматорах. Данный аналог, в отличие от предыдущего, лишен побочных составляющих в спектре выходного сигнала и позволяет вести когерентную обработку фазо-кодоманипулированных сигналов. Недостатком является повышенная сложность технической реализации многоканальной системы, влияние разброса электрических параметров элементов схемы на качество результирующего сигнала и, как следствие, повышенные требования к элементам схемы, повышенный уровень шумов квантования в результирующем сигнале из-за использования большого количества АЦП, искажения выходных квадратурных сигналов вследствие неидеальной сшивки динамического диапазона из множества отдельных.The analogue [2] (a coherent radar receiver with a large dynamic range) is also a multichannel system consisting of n-channels. Each channel consists of an analog adder, resonant amplifiers with a controlled transmission coefficient, two synchronous frequency converters, low-pass filters and an ADC. The output quadrature digital signals from each channel are added up in digital adders. This analogue, unlike the previous one, is devoid of side components in the spectrum of the output signal and allows coherent processing of phase-coded signals. The disadvantage is the increased complexity of the technical implementation of the multichannel system, the influence of the dispersion of the electrical parameters of the circuit elements on the quality of the resulting signal and, as a consequence, the increased requirements for circuit elements, an increased level of quantization noise in the resulting signal due to the use of a large number of ADCs, distortion of the output quadrature signals due to imperfect cross-linking of the dynamic range from many individual ones.
Наиболее близким по технической сущности к заявляемому радиоприемному устройству с цифровыми выходами и расширенным динамическим диапазоном является радиолокационный приемник сложных сигналов [3], принятый в качестве прототипа.The closest in technical essence to the claimed radio receiver with digital outputs and an extended dynamic range is a radar receiver of complex signals [3], adopted as a prototype.
Радиолокационный приемник содержит регулируемый входной усилитель, два параллельно соединенных с ним квадратурных канала, каждый из которых состоит из последовательно соединенных фазового детектора, управляемые входы которого подключены к источнику квадратурных колебаний, АЦП, устройства вычитания постоянной составляющей (блоки сравнения), фильтры нижних частот. Фазовые детекторы соединены с источником квадратурных колебаний, выход которого также соединен с хронизатором и фильтрами нижних частот. Приемник также содержит блок хранения констант и блок автоматической регулировки усиления (АРУ), выход которого соединен с управляемым входом усилителя. Выходной сигнал поступает в блок селекции движущихся целей.The radar receiver contains an adjustable input amplifier, two quadrature channels connected in parallel with it, each of which consists of a phase detector connected in series, the controllable inputs of which are connected to a quadrature oscillation source, ADC, DC component subtractor (comparison blocks), low-pass filters. Phase detectors are connected to a quadrature oscillation source, the output of which is also connected to a chronizer and low-pass filters. The receiver also contains a constant storage unit and an automatic gain control (AGC) unit, the output of which is connected to a controlled input of the amplifier. The output signal enters the block selection of moving targets.
Сущность данного известного решения состоит в том, что между выходом АЦП и входом блока селекции включена схема адаптивного вычитания постоянной составляющей и параллельно ее выходу подключен блок АРУ, выход которого управляет регулируемым усилителем. Устройство АРУ выполнено из последовательно соединенных детектора, блока сравнения с фиксированным пороговым уровнем, фильтра низких частот и цифроаналогового преобразователя.The essence of this known solution is that between the output of the ADC and the input of the selection block, an adaptive subtraction of the constant component is switched on and an AGC block is connected parallel to its output, the output of which controls an adjustable amplifier. The AGC device is made of a series-connected detector, a comparison unit with a fixed threshold level, a low-pass filter and a digital-to-analog converter.
В этом устройстве входной сигнал поступает на регулируемый усилитель, смещается на промежуточную частоту с помощью двух фазовых детекторов с формированием двух квадратурных сигналов (имеющих сдвиг по фазе друг относительно друга 90°), которые преобразуются в цифровую форму двумя аналогово-цифровыми преобразователями, выполняется компенсация постоянной и флюктуационной составляющей на выходе каждой квадратур, осуществляется регулировка коэффициентом передачи усилителя в соответствии с результатом оценки среднеквадратичного значения случайного процесса на выходе блоков компенсации постоянной составляющей.In this device, the input signal is fed to an adjustable amplifier, shifted to an intermediate frequency using two phase detectors with the formation of two quadrature signals (having a phase shift relative to each other 90 °), which are converted into digital form by two analog-to-digital converters, constant compensation and fluctuation component at the output of each quadrature, the gain of the amplifier is adjusted in accordance with the result of the evaluation of the rms value I was a random process at the output of the compensation blocks DC component.
Однако данное устройство прототип [3] имеет свои недостатки. Так схема компенсации постоянной составляющей осуществляет устранение постоянной составляющей, вызванной как собственными шумами фазовых детекторов и АЦП, так и полезным сигналом, что в ряде случаев является недопустимым, поскольку нулевые частоты в спектре сигнала также могут нести полезную информацию. Кроме того, из-за регулировки коэффициента передачи входного усилителя радиоприемного устройства происходит сжатие динамического диапазона сигнала на выходе всего устройства. При этом теряется информация об уровне сигнала, поскольку нет обратной связи по выходу. Использование аналогового управляющего сигнала для регулировки коэффициента передачи регулируемого усилителя приводит к повышению нестабильности работы схемы АРУ при внешних воздействующих факторах.However, this prototype device [3] has its drawbacks. Thus, the DC component compensation circuit eliminates the DC component caused by the intrinsic noise of phase detectors and ADCs, as well as a useful signal, which in some cases is unacceptable, since zero frequencies in the signal spectrum can also carry useful information. In addition, due to the adjustment of the gain of the input amplifier of the radio receiving device, the dynamic range of the signal is compressed at the output of the entire device. In this case, information about the signal level is lost, since there is no feedback on the output. The use of an analogue control signal for adjusting the gain of an adjustable amplifier leads to an increase in the instability of the AGC circuit with external factors.
Техническим результатом (задачей) предлагаемого решения является расширение динамического диапазона по входу устройства при одновременном сохранении информации об уровне сигнала на квадратурных цифровых выходах радиоприемного устройства и передача нулевых частот в спектре полезного сигнала при одновременной компенсации паразитной постоянной составляющей на выходе АЦП.The technical result (task) of the proposed solution is to expand the dynamic range at the input of the device while maintaining information about the signal level at the quadrature digital outputs of the radio receiving device and transmitting zero frequencies in the spectrum of the useful signal while simultaneously compensating for the stray DC component at the ADC output.
Технический результат достигается за счет того, что в состав приемника с цифровым выходом вводится устройство формирования цифрового управляющего сигнала, обеспечивающего управление коэффициентом усиления регулируемого усилителя исходя из информации об уровне выходного сигнала АЦП. По цифровым квадратурным выходам радиоприемного устройства вводится устройство восстановления динамического диапазона, чтобы сохранить информацию об уровне сигнала. При этом достигаются высокие требования в части линейности работы аналого-цифрового преобразователя.The technical result is achieved due to the fact that a digital control signal generating device is introduced into the receiver with a digital output, which provides control of the gain of the adjustable amplifier based on information about the level of the ADC output signal. On the digital quadrature outputs of the radio receiver, a dynamic range recovery device is introduced to store signal level information. At the same time, high requirements are achieved in terms of the linearity of the analog-to-digital converter.
В каждом квадратурном канале радиоприемного устройства с цифровыми выходами, содержащем последовательно соединенные фазовые детекторы и АЦП, между выходом детекторов и АЦП включены буфер и схема компенсации смещения нуля на выходе АЦП. Также параллельно выходам АЦП подключена схема определения уровня сигнала промежуточной частоты, устанавливающая коэффициент передачи входного регулируемого усилителя.In each quadrature channel of a radio receiver with digital outputs containing phase-detectors and ADCs connected in series, a buffer and a zero offset compensation circuit are included between the detectors and ADCs at the ADC output. Also parallel to the outputs of the ADC is a circuit for determining the signal level of the intermediate frequency, which sets the gain of the input adjustable amplifier.
Устройство компенсации смещения нуля на выходе АЦП состоит из схемы вычитания постоянной составляющей (из полезного сигнала) и блока хранения констант. Выходной сигнал АЦП каждого из квадратурных каналов поступает через буферы на вход схемы вычитания константы, на второй вход этой схемы подается цифровой код, считываемый из блока хранения констант.The zero offset compensation device at the ADC output consists of a circuit for subtracting the constant component (from the useful signal) and a constant storage unit. The ADC output signal of each of the quadrature channels is fed through buffers to the input of the constant subtraction circuit, and a digital code is read from the constant storage unit to the second input of this circuit.
Блок автоматической регулировки усиления (АРУ) включает схемы сравнения сигнала с верхним и нижним пороговым уровнем, выход каждой из этих схем подключен к входу устройства формирования цифрового управляющего сигнала, осуществляющего установку коэффициента передачи регулируемого усилителя и схемы восстановления динамического диапазона на выходах квадратурных каналов приемника.The automatic gain control unit (AGC) includes a circuit for comparing a signal with an upper and lower threshold level, the output of each of these circuits is connected to the input of a digital control signal generating device that sets the gain of the adjustable amplifier and the dynamic range recovery circuit at the outputs of the receiver's quadrature channels.
Приведена структурная схема предложенного радиоприемного устройства с цифровыми выходами и расширенным динамическим диапазоном. Приемник содержит регулируемый усилитель 1, фазовый детектор 2, источник квадратурных колебаний 3, аналого-цифровой преобразователь 4, устройство формирования цифрового управляющего сигнала 5, буфер 6, устройство сравнения сигнала с нижним пороговым уровнем 7, устройство сравнения сигнала с верхним пороговым уровнем 8, дешифратор команд 9, устройство вычитания постоянной составляющей 10, блок хранения констант 11 и устройство восстановления динамического диапазона на выходе приемника 12.The block diagram of the proposed radio receiver with digital outputs and an extended dynamic range is presented. The receiver contains an
Принцип работы устройства заключается в следующем. Входной сигнал поступает на вход 1 регулируемого усилителя 1 с цифровой электрической регулировкой. Усилитель с цифровой регулировкой усиления состоит из декодера (дешифратора) команд, преобразующего цифровой управляющий сигнал в сигнал управления коэффициентом передачи, и регулируемого усилителя.The principle of operation of the device is as follows. The input signal is fed to input 1 of an
Использование данного устройства позволяет осуществлять регулировку коэффициента передачи приемного тракта таким образом, чтобы сигнал на входе АЦП 4 находился в линейной части его динамического диапазона. Обозначим сигнал на входе 1 перестраиваемого СВЧ усилителя 1 как Sвx(t).Using this device allows you to adjust the gain of the receive path so that the signal at the input of the
Величина определяет динамический диапазон входных сигналов, где Рmaх/Pmin - максимальная/минимальная мощность сигнала Sвx(t). Сигнал на выходе усилителя с учетом его коэффициента передачи Кусил будет равен Kусил.⋅Sвх(t). Основной критерий при выборе усилителя - максимальная скорость перестройки коэффициента передачи и линейная работа во всем динамическом диапазоне ΔPвх входных сигналов. Для простоты положим, что в начальный момент времени работы изделия коэффициент передачи усилителя 1 равен максимальной величине Кусил.макс.Value determines the dynamic range of the input signals, where Pmax / Pmin - the maximum / minimum signal power Sin (t). The signal at the output of the amplifier, taking into account its transmission coefficient Kuforces, will be equal to Kuforces. ⋅Sin (t). The main criterion for selecting an amplifier - the maximum speed adjustment gain and linear operation over the entire dynamic range of input signalsRin ΔP. For simplicity, we assume that at the initial time of the product’s operation, the gain of
Следующим элементом в приемном тракте, подключаемым к выходу 3 регулируемого усилителя, является фазовый детектор 2. Данное устройство обеспечивает перенос спектра полезного сигнала Kусил.⋅Sвх(t) на промежуточную частоту (далее ПЧ). Формирование двух квадратурных каналов обработки сигнала обеспечивается за счет того, что в схеме используются два фазовых детектора. При этом выходной сигнал усилителя подается одновременно на входы 1 фазовых детекторов, а сигнал гетеродина подается на входы 2 фазовых детекторов с выхода 2 и 3 источника квадратурных колебаний 3. Источник квадратурных колебаний 3 представляет собой генератор гармонических колебаний, выход 2 которого идет напрямую на гетеродинный вход 2 фазового детектора, а выход 3 является выходом фазовращателя на 90°, через который проходит сигнал генератора и далее поступает на вход 2 второго фазового детектора.The next element in the receiving path, connected to the
В качестве генератора гармонических колебаний используется перестраиваемый синтезатор частоты с фазовой автоподстройкой частоты (далее ФАПЧ). Конструктивно он может быть выполнен в виде отдельной интегральной схемы. Наличие такого синтезатора позволяет установить требуемую частоту гетеродина, с точностью до нескольких кГц, причем данная процедура выполняется путем программной загрузки управляющей информации в рабочие регистры синтезатора. Малый уровень фазовых шумов за счет применения системы ФАПЧ обеспечивает выполнение условия когерентности за время обработки сигнала. Установка требуемой частоты выполняется посредством загрузки управляющей информации в рабочие регистры синтезатора через управляющий вход 1 источника квадратурных колебаний. Управляющая информация поступает с выхода 1 дешифратора команд.A tunable frequency synthesizer with phase-locked loop (PLL) is used as a harmonic oscillation generator. Structurally, it can be made in the form of a separate integrated circuit. The presence of such a synthesizer allows you to set the required local oscillator frequency, with an accuracy of several kHz, and this procedure is performed by programmatically loading control information into the working registers of the synthesizer. The low level of phase noise due to the use of the PLL system ensures that the coherence condition is satisfied during the signal processing. The required frequency is set by loading the control information into the working registers of the synthesizer through the
Выбор частоты синтезатора определяется мгновенной рабочей полосой сигнала. Если обозначить нижнюю границу рабочего диапазона как Fниж., а верхнюю как Fвepx., то частота синтезатора должна быть равна Fсинт.=(Fниж.+Fвepx.)/2, т.е. центральной частоте рабочего диапазона. Ширина рабочей полосы сигнала при этом ΔF=Fвepx. - Fниж.. Тогда полоса промежуточной частоты после преобразования по частоте вниз фазовым детектором для указанной выше частоты гетеродина будет составлять ΔFПЧ=0…±ΔF/2 для каждой из квадратур.The choice of synthesizer frequency is determined by the instantaneous working band of the signal. If you designate the lower limit of the operating range as Flower. , and the top as FВepx. , then the frequency of the synthesizer should be equal to Fsynt. = (F down. + Fupx. ) / 2, i.e. the center frequency of the operating range. The width of the working band of the signal is ΔF = Fvepx. - Flower . Then, the intermediate frequency band after down-converting by the phase detector for the local oscillator frequency indicated above will be ΔFIF = 0 ... ± ΔF / 2 for each quadrature.
Преобразование аналогового сигнала с выхода фазового детектора в цифровой выполняет АЦП. При этом частота дискретизации должна превышать верхнюю границу полосы ПЧ ΔF/2 как минимум в 2 раза.The conversion of the analog signal from the output of the phase detector to digital is performed by the ADC. In this case, the sampling frequency should exceed the upper boundary of the IF bandwidth ΔF / 2 at least 2 times.
Далее цифровой сигнал промежуточной частоты с выхода АЦП поступает на вход буферов 6, которые необходимы для сопряжения частоты дискретизации АЦП с тактовой частотой обработки сигнала в радиоприемном устройстве. Данные элементы осуществляют прием цифрового сигнала от АЦП, его накопление и передачу на более низкой частоте, но с большей информационной емкостью, на вход 1 устройства вычитания константы из полезного сигнала.Next, a digital signal of intermediate frequency from the output of the ADC is fed to the input of
Выходной сигнал буферов проходит через схему компенсации смещения нуля на выходе АЦП, состоящую из элементов 10 и 11, поступает на устройство определения уровня сигнала промежуточной частоты и устанавливающее коэффициент передачи входного регулируемого усилителя и устройства восстановления динамического диапазона на выходе приемника.The output signal of the buffers passes through a zero offset compensation circuit at the ADC output, consisting of
Дешифратор команд 9 представляет собой элемент, выполняющий операцию приема информации от внешнего управляющего устройства, декодирование принятых посылок и их дальнейшую адресацию и передачу по информационным шинам к основным управляемым элементам схемы: источник квадратурных колебаний, блоки хранения констант, устройства сравнения сигнала с нижним/верхним пороговым уровнем и устройство формирования цифрового управляющего сигнала.The decoder commands 9 is an element that performs the operation of receiving information from an external control device, decoding the received packages and their further addressing and transmission via information buses to the main control elements of the circuit: a quadrature oscillation source, constant storage units, signal comparison devices with a lower / upper threshold level and device for generating a digital control signal.
В данной реализации радиоприемного устройства с цифровыми выходами предусматривается два режима работы. В зависимости от того, какой используется режим работы, различается алгоритм функционирования схемы компенсации смещения нуля на выходе АЦП, состоящей из блоков 10 и 11. Первый режим -калибровка. В данном режиме после подачи напряжения питания на все узлы устройства, от внешнего устройства управления через интерфейсный вход «г» на вход 3 дешифратора 9 поступают команды для предварительной настройки элементов схемы. Это необходимо для устранения дополнительных источников внесения ошибки в смещение выходного сигнала АЦП. Для этого регулируемый СВЧ усилитель 1 с помощью устройства формирования цифрового управляющего сигнала устанавливается в состояние минимального коэффициента передачи, а перестраиваемый синтезатор частоты источника квадратурных колебаний 3 не формирует гетеродинный сигнал для фазовых детекторов 2. При этом на входах АЦП 4 будет присутствовать постоянное паразитное напряжение, вызванное собственными шумами радиоприемного устройства, погрешностью установки опорного напряжения АЦП и амплитудным разбалансом квадратурных сигналов. Обозначим ΔSАЦП.ВЫХ.1(t) и ΔSАЦП.BЫХ.2(t) как паразитное ненулевое смещение на выходе АЦП первого и второго квадратурного каналов, соответственно. Данные ошибки без искажений пройдут через буферы 6 и попадают на вход 1 устройств вычитания постоянной составляющей 10.In this implementation of a radio receiver with digital outputs, two operating modes are provided. Depending on which mode of operation is used, the algorithm for functioning of the zero offset compensation circuit at the ADC output, consisting of
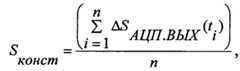
Перед началом калибровки после предварительной настройки элементов схемы с выхода 2 блока хранения констант 11 поступает постоянная величина, равная 0. При этом устройство 10 выполняет операцию вычитания из входного сигнала, приходящего на вход 1 с выхода буфера, постоянной величины равной 0, считываемой из блока хранения констант. Таким образом, входной сигнал, который представляет собой ΔSАЦП.ВЫХ.1(t) (или ΔSАЦП.BЫХ.2(t) в зависимости от канала) проходит на выход 3 устройства 10 без изменений. После поступления команды калибровки от внешнего устройства управления, дешифратор 9 формирует команду сохранения, поступающую на вход 1 блока хранения констант. При этом в течение определенного времени выполняется накопление с усреднением в блок хранения констант величины ΔSАЦП.ВЫХ.1(t) (ΔSАЦП.BЫХ.2(t) для второго канала обработки). По сути в блок хранения констант заносится величина где n - количество усреднений, ΔSАЦП.ВЫХ.1(ti) - отсчет сигнала в момент времени ti. Таким образом, Sконст. представляет собой математическое ожидание случайного процесса ΔSАЦП.ВЫХ..Before starting calibration, after presetting the circuit elements, a constant value equal to 0 is received from the output of the
После окончания калибровки устройство вычитания постоянной составляющей 10 отнимает от входного сигнала SБУФ(t), поступающего на вход 1 с выхода буфера 6, константную величину Sконст., приходящую со 2 выхода блока хранения констант 11. Выходной сигнал устройства вычитания независимо от знака полезного сигнала и величины Sконст. будет равен SВых.выч(t) = SБУФ(t)-Sконст. Поскольку до начала второго режима работы SБУФ(t) равен величине ΔS АЦП.ВЫХ.(t), то выходной сигнал будет равен SВых.выч(t) = SБУФ(t)-Sконст≈0.After calibration, the device for subtracting the
Второй режим работы радиоприемного устройства - рабочий режим. В этом режиме внешнее устройство управления через вход «г» передает команды инициализации для основных блоков схемы. При этом с помощью дешифратора команд устанавливается коэффициент передачи регулируемого усилителя в максимальное значение, задается частота источника квадратурных колебаний в соответствии с рабочим диапазоном, передается значение порога для двух устройств сравнения сигнала с нижним/верхним пороговым уровнем, устанавливается время, в течение которого происходит определение уровня сигнала на выходе АЦП, коэффициент передачи устройства восстановления динамического диапазона на выходе приемника устанавливается в минимальное значение.The second mode of operation of the radio receiver is the operating mode. In this mode, the external control device through the input "g" transmits initialization commands for the main blocks of the circuit. At the same time, using the command decoder, the gain of the adjustable amplifier is set to the maximum value, the frequency of the quadrature oscillation source is set in accordance with the operating range, the threshold value is transmitted for two signal comparison devices with a lower / upper threshold level, and the time during which the level is determined the signal at the ADC output, the transmission coefficient of the dynamic range recovery device at the receiver output is set to the minimum value Ie.
Запись цифрового кода в блок хранения констант осуществляется в момент калибровки устройства и производится с выхода схемы вычитания.The digital code is written to the constant storage unit at the time of calibration of the device and is performed from the output of the subtraction circuit.
В рабочем режиме входной полезный сигнал, пройдя через элементы СВЧ тракта, а также АЦП и буферы попадает на вход устройства вычитания. Из сигнала вычитается паразитное ненулевое смещение Sконст., которое считывается из блока хранения констант и которое было зафиксировано в режиме калибровки радиоприемного устройства. Далее полезный сигнал с выхода 3 устройства вычитания 10 одного из квадратурных каналов поступает на входы схемы АРУ, состоящей из устройств сравнения сигнала с нижним и верхним пороговым уровнем, а также устройства формирования цифрового управляющего сигнала. Величина порогов Dнижн и Dвеpx устройств 7 и 8 задается с помощью дешифратора команд 9 через входы 2. Устройство 7 выполняет операцию взятия модуля сигнала SВых.выч(t) и сравнивает |SВых.выч(t)| с нижним пороговым уровнем Dнижн. Если |SВых.выч(t)| < Dнижн. то вырабатывается логическая «1», в противном случае - «0». В устройстве 8 осуществляется операция взятия модуля сигнала SВых.выч(t) и сравнение верхнего порога DBepx. с сигналом |SВых.выч(t)|. Если |SВых.выч(t)| > Dвepx., то устройство 8 вырабатывает в данный момент времени логическую «1», в противном случае - «0». Выбор величины порогов определяется исходя из следующих условий:In the operating mode, the input useful signal, passing through the elements of the microwave path, as well as the ADC and the buffers, enters the input of the subtraction device. The parasitic nonzero offset Sconst is subtracted from the signal. , which is read from the constant storage unit and which was recorded in the calibration mode of the radio receiver. Next, the useful signal from the
1) Dвepx. должен быть меньше на 20% максимально возможного значения на выходе АЦП.1) Dupx . should be less than 20% of the maximum possible value at the output of the ADC.
2) Dнижн. должен быть больше на 20% минимально возможного значения на выходе АЦП.2) Dlower should be 20% more than the minimum possible value at the output of the ADC.
Таким образом, выбор порогов определяется исходя из того, чтобы полезный сигнал находился в середине рабочего диапазона АЦП, не заходя в область переполнения разрядной сетки и шумов квантования.Thus, the choice of thresholds is determined based on the fact that the useful signal is in the middle of the ADC operating range, without going into the region of overflow of the discharge grid and quantization noise.
Устройство 5 выполняет формирование цифрового управляющего сигнала для регулируемого усилителя 1 и устройства восстановления динамического диапазона на выходах приемника в соответствии с информацией, поступающей от устройств сравнения сигнала 7-8. Данный элемент состоит из двух счетчиков, которые подсчитывают количество логических «1» поступающих от устройств 7-8 в течение времени tподсч.. По окончании времени подсчета содержимое счетчиков сравнивается с величинами Nвepx. и Nнижн., которые передаются в устройство 5 через дешифратор команд. Величина t подсч. определяет временной интервал, достаточный для определения уровня сигнала на выходе АЦП, и программно задается также с помощью дешифратора команд.The
Величины Nвepx и Nнижн. определяют количество цифровых выборок полезного сигнала, которые должны превысить Dвepx. и Dнижн. в течение времени tподсч., чтобы сработала схема АРУ.The values of NVepx and Nlower. determine the number of digital samples of the desired signal that must exceed Dvepx. and Dlower during time tcount. so that the AGC circuit works.
Алгоритм работы устройства 5 следующий:The algorithm of the
1) С момента запуска рабочего режима в течение времени tподсч., осуществляется запуск счетчиков, подсчитывающих количество «1» на выходе устройств сравнения 7 и 8.1) Since the start of the operating mode for a time tcounting. , the counters counting the number “1” at the output of the
2) Если после окончания времени t подсч., содержимое счетчика, подсчитывающего «1» на выходе устройства 8, превышает величину Nвepx., то устройство 5 формирует цифровой управляющий сигнал для регулируемого усилителя таким образом, чтобы уменьшить его коэффициент передачи на величину dKP (шаг регулировки коэффициента передачи). При этом для устройств 12 восстановления динамического диапазона на выходе приемника, которые по своей технической реализации представляют собой цифровые регулируемые усилители, формируется цифровой управляющий сигнал, который увеличивает коэффициент передачи цифрового квадратурного канала на величину dKP. Т.е. при сжатии динамического диапазона по входу устройства происходит обратно пропорциональное его расширение по выходам, и информация об уровне сигнала не искажается. В том случае, если текущий коэффициент передачи регулируемого усилителя Кус.меньше величины dKP, то коэффициент передачи устанавливается в минимальное значение Кус.мин..2) If after the end of time tcounts. , the contents of the counter counting “1” at the output of the
Если содержимое счетчика, подсчитывающего «1» на выходе устройства 7, превышает величину Nнижн., то устройство 5 формирует цифровой управляющий сигнал для регулируемого усилителя таким образом, чтобы увеличить его коэффициент передачи на величину dKP. При этом для устройств 12 восстановления динамического диапазона на выходе приемника формируется цифровой управляющий сигнал, который уменьшает коэффициент передачи по выходу квадратурных каналов на величину dKP. В том случае, если текущий коэффициент передачи регулируемого усилителя Кус. равен максимальной величине Кус.макс., то коэффициент передачи устанавливается в максимальное значение Кус.макс..If the contents of the counter counting "1" at the output of the
После окончания цикла (длительность tподсч.) измерения уровня полезного сигнала счетчики устройства 5 сбрасываются, при этом цифровые управляющие сигналы для регулируемого усилителя 1 и устройства 12 остаются без изменений.After the end of the cycle (duration tcount ), the measurement of the useful signal level counters of the
3) Запускается новый цикл измерений длительностью tподсч..3) A new measurement cycle isstarted with a duration tcounting. .
4) Повторяются действия по п. 2-3 до тех пор, пока не будет остановлена работа радиоприемного устройства.4) The steps of paragraph 2-3 are repeated until the operation of the radio receiver is stopped.
Диапазон регулировки коэффициента передачи усилителя 1, равный ΔKР=Kус.макс./Kус.мин., определяет основные возможности схемы АРУ по расширению динамического диапазона сигналов на входе АЦП.The range of adjustment of the gain of the
Достигаемый технический результат:Achievable technical result:
Использование регулируемого усилителя 1 и устройства восстановления динамического диапазона на выходе приемника 12 с диапазоном регулировки коэффициента передачи ΔKp позволяет расширить динамический диапазон сигналов на входе АЦП на величину ΔKp без значительного усложнения технической реализации радиоприемного устройства. Схема компенсации смещения нуля на выходе АЦП позволяет повысить точность определения уровня выходного сигнала и передачи полезной постоянной составляющей в спектре квадратурных сигналов промежуточной частоты. Введение цифрового управления коэффициента передачи регулируемого усилителя и устройства восстановления динамического диапазона на выходах радиоприемника улучшает стабильность и точность работы схемы АРУ, кроме того возрастает надежность и высокая повторяемость результатов при серийном производстве.The use of an
Этот результат достигается за счет того, что в каждом квадратурном канале радиоприемного устройства с цифровыми выходами, содержащем последовательно соединенные фазовые детекторы и АЦП, между выходом детекторов и АЦП включены буфер и схема компенсации смещения нуля на выходе АЦП, которая запоминает постоянную составляющую в момент калибровки устройства при отсутствии полезного сигнала на входе и вычитает ее из полезного сигнала в процессе работы, а также параллельно выходам АЦП подключена схема определения уровня сигнала промежуточной частоты и устанавливающая коэффициент передачи входного регулируемого усилителя таким образом, чтобы сигнал на входе АЦП не приводил к его перегрузке (переполнению разрядной сетки) и превышал собственные шумы квантования АЦП). Введение по цифровым выходам дополнительного устройства восстановления динамического диапазона позволяет восстановить информацию об уровне сигнала на выходах радиоприемного устройства.This result is achieved due to the fact that in each quadrature channel of a radio receiving device with digital outputs containing phase-detectors and ADCs connected in series, a buffer and a zero offset compensation circuit are included between the detectors and ADCs at the ADC output, which remembers the constant component at the time of calibrating the device in the absence of a useful signal at the input and subtracts it from the useful signal during operation, as well as parallel to the ADC outputs, a circuit for determining the signal level frequency and setting the gain of the input adjustable amplifier so that the signal at the input of the ADC does not lead to its overload (overflow of the bit grid) and exceeds the inherent noise of quantization of the ADC). The introduction of the digital outputs of the additional dynamic range recovery device allows you to restore information about the signal level at the outputs of the radio receiver.
Аналог 1 - «Радиоприемное устройство когерентной РЛС», патент РФ 2189054.Analog 1 - "Radio coherent radar device", RF patent 2189054.
Аналог 2 - «Приемник когерентной РЛС с большим динамическим диапазоном», патент РФ 2231807.Analog 2 - "Coherent radar receiver with a large dynamic range", RF patent 2231807.
Рабочий прототип 3 - «Радиолокационный приемник сложных сигналов», патент РФ 2033625.Working prototype 3 - "Radar receiver of complex signals", RF patent 2033625.
| Application Number | Priority Date | Filing Date | Title | 
|---|---|---|---|
| RU2018113780ARU2701719C1 (en) | 2018-04-16 | 2018-04-16 | Radio receiving device for rs with extended dynamic range | 
| Application Number | Priority Date | Filing Date | Title | 
|---|---|---|---|
| RU2018113780ARU2701719C1 (en) | 2018-04-16 | 2018-04-16 | Radio receiving device for rs with extended dynamic range | 
| Publication Number | Publication Date | 
|---|---|
| RU2701719C1true RU2701719C1 (en) | 2019-10-01 | 
| Application Number | Title | Priority Date | Filing Date | 
|---|---|---|---|
| RU2018113780ARU2701719C1 (en) | 2018-04-16 | 2018-04-16 | Radio receiving device for rs with extended dynamic range | 
| Country | Link | 
|---|---|
| RU (1) | RU2701719C1 (en) | 
| Publication number | Priority date | Publication date | Assignee | Title | 
|---|---|---|---|---|
| RU2729038C1 (en)* | 2019-11-25 | 2020-08-04 | Акционерное общество "Концерн "Созвездие" | Radio receiver with digital self-corrupted frequency correction | 
| RU2835059C1 (en)* | 2024-09-16 | 2025-02-21 | Акционерное общество "Концерн "Созвездие" | Radio receiving device with smooth control of blurring signal amplitude | 
| Publication number | Priority date | Publication date | Assignee | Title | 
|---|---|---|---|---|
| US4893316A (en)* | 1985-04-04 | 1990-01-09 | Motorola, Inc. | Digital radio frequency receiver | 
| RU2033625C1 (en)* | 1991-04-12 | 1995-04-20 | Нижегородский научно-исследовательский институт радиотехники | Radar receiver of complex signals | 
| RU2163416C2 (en)* | 1994-04-28 | 2001-02-20 | Квэлкомм Инкорпорейтед | Method and device for automatic gain control in digital radio receiver | 
| RU2254590C1 (en)* | 2004-02-11 | 2005-06-20 | Федеральное Государственное Унитарное Предприятие "Нижегородский Научно-Исследовательский Институт Радиотехники" | Radar receiver with large dynamic range by intermodulation of third order | 
| EP1603297A2 (en)* | 2004-06-04 | 2005-12-07 | Broadcom Corporation | Method and system for analog and digital RF receiver interface | 
| WO2006009468A1 (en)* | 2004-07-21 | 2006-01-26 | Nera, Asa | A multi gigahertz high capacity digital radio frequency (rf) link transceiver terminal assembly, and method for same. | 
| US20140044221A1 (en)* | 2012-08-08 | 2014-02-13 | Electronics And Telecommunications Research Institute | Digital rf receiver | 
| RU2614345C1 (en)* | 2015-12-21 | 2017-03-24 | Федеральное государственное бюджетное образовательное учреждение высшего профессионального образования "Поволжский государственный технологический университет" | Method of exapanding dynamic range in radio systems | 
| Publication number | Priority date | Publication date | Assignee | Title | 
|---|---|---|---|---|
| US4893316A (en)* | 1985-04-04 | 1990-01-09 | Motorola, Inc. | Digital radio frequency receiver | 
| RU2033625C1 (en)* | 1991-04-12 | 1995-04-20 | Нижегородский научно-исследовательский институт радиотехники | Radar receiver of complex signals | 
| RU2163416C2 (en)* | 1994-04-28 | 2001-02-20 | Квэлкомм Инкорпорейтед | Method and device for automatic gain control in digital radio receiver | 
| RU2254590C1 (en)* | 2004-02-11 | 2005-06-20 | Федеральное Государственное Унитарное Предприятие "Нижегородский Научно-Исследовательский Институт Радиотехники" | Radar receiver with large dynamic range by intermodulation of third order | 
| EP1603297A2 (en)* | 2004-06-04 | 2005-12-07 | Broadcom Corporation | Method and system for analog and digital RF receiver interface | 
| WO2006009468A1 (en)* | 2004-07-21 | 2006-01-26 | Nera, Asa | A multi gigahertz high capacity digital radio frequency (rf) link transceiver terminal assembly, and method for same. | 
| US20140044221A1 (en)* | 2012-08-08 | 2014-02-13 | Electronics And Telecommunications Research Institute | Digital rf receiver | 
| RU2614345C1 (en)* | 2015-12-21 | 2017-03-24 | Федеральное государственное бюджетное образовательное учреждение высшего профессионального образования "Поволжский государственный технологический университет" | Method of exapanding dynamic range in radio systems | 
| Publication number | Priority date | Publication date | Assignee | Title | 
|---|---|---|---|---|
| RU2729038C1 (en)* | 2019-11-25 | 2020-08-04 | Акционерное общество "Концерн "Созвездие" | Radio receiver with digital self-corrupted frequency correction | 
| RU2835059C1 (en)* | 2024-09-16 | 2025-02-21 | Акционерное общество "Концерн "Созвездие" | Radio receiving device with smooth control of blurring signal amplitude | 
| Publication | Publication Date | Title | 
|---|---|---|
| US8750441B2 (en) | Signal cancellation to reduce phase noise, period jitter, and other contamination in local oscillator, frequency timing, or other timing generators or signal sources | |
| RU2163416C2 (en) | Method and device for automatic gain control in digital radio receiver | |
| US8340167B2 (en) | Method and apparatus for measuring and correcting receiver parameters | |
| US6781474B2 (en) | Apparatus and method for tuning a filter | |
| US5604465A (en) | Adaptive self-calibration for fast tuning phaselock loops | |
| US11626882B1 (en) | Dual-structure acquisition circuit for frequency synthesis | |
| KR101136246B1 (en) | System and method for tuning a radio receiver | |
| US20210242947A1 (en) | Local oscillator leakage detecting and cancellation | |
| US6421099B1 (en) | Automatic frequency tracking apparatus and method for a television signal receiving system | |
| US20110096864A1 (en) | Programmable digital clock control scheme to minimize spur effect on a receiver | |
| US6882208B1 (en) | Adjustment of amplitude and DC offsets in a digital receiver | |
| US8165554B2 (en) | Quadrature correction method for analog television reception using direct-conversion tuners | |
| US7039385B1 (en) | Method and apparatus for automatic center frequency tuning of tunable bandpass filters | |
| RU2701719C1 (en) | Radio receiving device for rs with extended dynamic range | |
| US4600924A (en) | Automatic frequency control for radar receiver | |
| US7688149B2 (en) | Phase locked loop, phase detecting method for the phase locked loop, and receiver using the same | |
| US6091943A (en) | Combining oscillator with a phase-indexed control circuit for a radio receiver | |
| US10680626B2 (en) | Method and associated signal system improving mitigation of injection-pulling effect | |
| KR100599099B1 (en) | Receiver of Wireless Communication System and Method for Compensating Phase Difference between I and Y Signals | |
| US8189117B2 (en) | Receiver for amplitude-modulated signals | |
| RU2033625C1 (en) | Radar receiver of complex signals | |
| JP7143602B2 (en) | Receiving device, receiving method | |
| US3017508A (en) | Automatic gain control system | |
| KR100281360B1 (en) | Weak Field Compensator for Phase-locked Loop FM / AM Tuner | |
| KR100539867B1 (en) | Local oscillation frequency automatic control device of wireless terminal | 
| Date | Code | Title | Description | 
|---|---|---|---|
| MM4A | The patent is invalid due to non-payment of fees | Effective date:20200417 |