

Предлагаемое изобретение относится к технике высоких напряжений и может быть использовано для диагностики технического состояния цифровых трансформаторов по параметрам частичных разрядов в изоляции.The present invention relates to high voltage technology and can be used to diagnose the technical condition of digital transformers by the parameters of partial discharges in isolation.
Широко известны цифровые трансформаторы тока и напряжения (например «Цифровой трансформатор тока и напряжения» по патенту на полезную модель №174411, МПК G01R 19/00, 2017 г., «Высоковольтное комбинированное цифровое устройство для измерения тока и напряжения» по патенту на полезную модель №159 201 МПК G01R 19/00,, 2017 г. и др.) включающие содержащий питающий электромагнитный трансформатор, измерительный электромагнитный трансформатор тока, магнитотранзисторный преобразователь и пояс Роговского, охватывающие токопровод с измеряемым током, цилиндрический шунт с внутренней полостью, включенный в рассечку токопровода и первичный преобразователь напряжения, помещенный внутрь опорного изолятора. Цифровые измерительные трансформаторы предназначены для преобразования величин тока и напряжения в первичных цепях в цифровой код во вторичных цепях, содержащий информацию о мгновенных значениях токов и напряжений, которые используются для целей измерения, определения параметров качества электроэнергии, учета электроэнергии, релейной защиты и автоматики. При лабораторных, приемо-сдаточных испытаниях, а также в процессе эксплуатации изоляция цифровых измерительных трансформаторов подвергается воздействию высокого напряжения. При этом внутри изоляции, на границах раздела изоляционных материалов и вблизи проводящих частей возможно возникновение разрядных процессов различной интенсивности с различными механизмами развития. Некоторые из этих разрядов связаны с процессами ионизации околокатодного или околоанодного пространства или представляют собой поверхностные разряды, другая часть является следствием низкого качества изготовления изоляционных материалов или следствием развития внутреннего дефекта изоляции. Особую опасность для измерительных трансформаторов представляют именно внутренние частичные разряды, которые вызывают деградацию изоляции. Данные разряды начинаются как локальные перекрытия дефектных зон диэлектрика и со временем могут вызвать пробой изоляции.Digital current and voltage transformers are widely known (for example, “Digital current and voltage transformer” according to utility model patent No. 174411, IPC G01R 19/00, 2017, “High-voltage combined digital device for measuring current and voltage” according to the utility model patent No. 159 201 MPK G01R 19/00 ,, 2017, etc.) comprising a supplying electromagnetic transformer, a measuring electromagnetic current transformer, a magnetotransistor converter and a Rogowski belt, covering the current-carrying conductor with a measured current, cylindrically the first shunt with an internal cavity, included in the dissection of the current lead and the primary voltage Converter, placed inside the reference insulator. Digital measuring transformers are designed to convert current and voltage values in primary circuits to a digital code in secondary circuits, containing information on instantaneous values of currents and voltages, which are used for measurement purposes, determination of electric power quality parameters, electric power accounting, relay protection and automation. During laboratory, acceptance tests, as well as during operation, the insulation of digital measuring transformers is exposed to high voltage. Moreover, inside the insulation, at the interfaces of insulating materials and near conductive parts, discharge processes of various intensities with different development mechanisms can occur. Some of these discharges are associated with the processes of ionization of the near-cathode or near-anode space or are surface discharges, the other part is the result of poor manufacturing quality of insulating materials or the development of an internal insulation defect. Particularly dangerous for measuring transformers are precisely internal partial discharges that cause insulation degradation. These discharges begin as local overlap of the defective zones of the dielectric and, over time, can cause breakdown of insulation.
Таким образом, для обеспечения надежной работы цифровых трансформаторов тока и напряжения и предотвращения аварий, связанных с повреждением изоляции от частичных разрядов, необходимо осуществлять мониторинг разрядных процессов, определять их количественные и качественные характеристики, тенденции развития.Thus, to ensure reliable operation of digital current and voltage transformers and to prevent accidents associated with damage to insulation from partial discharges, it is necessary to monitor discharge processes, determine their quantitative and qualitative characteristics, development trends.
Известен способ мониторинга частичных разрядов в электрической системе (Патент на изобретение РФ №2532142 «Способ и система мониторинга частичных разрядов», МПК G01R 31/12 (2006.01), 2014 г), в котором: принимают импульс от электрической системы; идентифицируют, является ли импульс шумом или дублированным сигналом; если импульс является шумом или дублированным сигналом, тогда этот импульс отбрасывают; разбивают импульс на две или более частотные составляющие; нормализуют эти две или более частотные составляющие к виду максимального уровня; сравнивают две или более нормализованные частотные составляющие, связанные с принятым импульсом, с другим сохраненным множеством нормализованных, предварительно заданных частотных составляющих, связанных с другими импульсами, для идентифицирования сходных импульсов, указывающих известное состояние отказа; если импульс идентифицирован как импульс, указывающий известное состояние отказа, сохраняют данные в базе данных, связывая импульс с двумя или более нормализованными частотными составляющими и известным состоянием отказа; группируют спектр отказов импульсов со сходными нормализованными частотными составляющими в диаграмме разброса, сохраняемой в базе данных; если нормализованные частотные составляющие импульса не сходны с нормализованными частотными составляющими текущей группы, создают новую группу спектра отказов импульсов, сохраняемую в базе данных; и если импульс идентифицирован как указывающий известное состояние отказа, уведомляют пользователя о наличии состояния отказа.A known method for monitoring partial discharges in an electrical system (Patent for the invention of the Russian Federation No. 2532142 "Method and system for monitoring partial discharges", IPC G01R 31/12 (2006.01), 2014), in which: take a pulse from the electrical system; identify whether the pulse is a noise or a duplicate signal; if the pulse is noise or a duplicated signal, then this pulse is discarded; break the pulse into two or more frequency components; normalize these two or more frequency components to the maximum level view; comparing two or more normalized frequency components associated with the received pulse, with another stored set of normalized, predefined frequency components associated with other pulses, to identify similar pulses indicating a known failure state; if the pulse is identified as a pulse indicating a known failure state, data is stored in the database, linking the pulse to two or more normalized frequency components and a known failure state; grouping the spectrum of pulse failures with similar normalized frequency components in a scatter diagram stored in a database; if the normalized frequency components of the pulse are not similar to the normalized frequency components of the current group, create a new group of the spectrum of failure pulses stored in the database; and if the pulse is identified as indicating a known failure state, notify the user of the presence of the failure state.
К недостаткам данного способа можно отнести отсутствие отслеживания процессов развития величины кажущегося заряда, интенсивности разрядов и энергетических характеристик частичных разрядов, поскольку одно только спектральное содержание записываемых сигналов не дает полного представления о происходящих высокочастотных процессах.The disadvantages of this method include the lack of tracking the processes of development of the apparent charge, discharge intensity and energy characteristics of partial discharges, since the spectral content of the recorded signals alone does not give a complete picture of the high-frequency processes taking place.
Известен Способ мониторинга частичных разрядов в электрической системе (Патент на изобретение РФ №2505828 «Устройство мониторинга частичных разрядов», МПК G01R 31/12 (2006.01), 2014 г.), заключающийся в том, что определяют нижний порог срабатывания триггера и верхний порог срабатывания триггера, при этом нижний и верхний пороги срабатывания триггера являются уровнями амплитуды электрических импульсов, и верхний порог срабатывания триггера соответствует более высокой амплитуде, чем нижний порог срабатывания триггера, определяют длительность меньшего временного интервала, отслеживают по меньшей мере одну фазу электрической системы с целью обнаружения импульса на протяжении меньшего временного интервала, определяют максимальную амплитуду импульса, возникающего в электрической системе на протяжении меньшего временного интервала, устанавливают, превышает ли измеренная максимальная амплитуда импульса нижний порог срабатывания триггера и (или) верхний порог срабатывания триггера, присваивают импульсу коэффициент пульсации, если максимальная амплитуда импульса превышает нижний порог срабатывания триггера и (или) верхний порог срабатывания триггера, регистрируют импульс или касающуюся его информацию, если коэффициент пульсации, соответствующий импульсу, меньше предварительно заданного порогового коэффициента пульсаций в меньшем временном интервале, применяют временной сдвиг подвижного триггера, так что, если импульс превышает нижний порог срабатывания триггера, но не верхний порог срабатывания триггера, а коэффициент пульсации равен предварительно заданному числу пульсаций, регистрируют промежуток во времени на протяжении меньшего временного интервала, в котором это имеет место, и прекращают регистрацию импульсов с амплитудой, превышающей нижний порог срабатывания триггера, но не верхний порог срабатывания триггера, до наступления этого промежутка во времени в следующем меньшем временном интервале, и переустанавливают на ноль промежуток во времени временного сдвига подвижного триггера, и начинают регистрацию на протяжении следующего меньшего временного интервала импульсов с амплитудой, превышающей только нижний порог срабатывания триггера, после того, как величина временного сдвига подвижного триггера становится равной величине меньшего временного интервала, и сохраняют зарегистрированные импульсы в запоминающем устройстве.There is a Method of monitoring partial discharges in an electrical system (Patent for the invention of the Russian Federation No. 2505828 "Device for monitoring partial discharges", IPC G01R 31/12 (2006.01), 2014), which consists in determining the lower trigger threshold and the upper threshold trigger, while the lower and upper thresholds of the trigger are the levels of the amplitude of the electrical pulses, and the upper threshold of the trigger corresponds to a higher amplitude than the lower threshold of the trigger, determine the duration is less about the time interval, at least one phase of the electrical system is monitored in order to detect an impulse over a shorter time interval, the maximum amplitude of the impulse arising in the electrical system over the shorter time interval is determined, it is determined whether the measured maximum amplitude of the impulse exceeds the trigger trigger threshold and (or) the upper threshold of the trigger, assign a pulse ripple coefficient if the maximum amplitude of the pulse exceeds the lower trigger trigger threshold and / or trigger trigger threshold, record the pulse or information relating to it if the ripple coefficient corresponding to the pulse is less than a predetermined threshold ripple coefficient in a shorter time interval, apply the time shift of the movable trigger, so if the pulse exceeds the lower the trigger threshold, but not the upper trigger threshold, and the ripple coefficient is equal to a predetermined number of ripples, record the interval during nor during the shorter time interval in which this takes place, and the registration of pulses with an amplitude exceeding the lower trigger threshold, but not the upper trigger threshold, is stopped until this time interval occurs in the next shorter time interval, and reset to zero in time of the time shift of the movable trigger, and registration is started over the next shorter time interval of pulses with an amplitude exceeding only the lower threshold Igger, after the magnitude of the time shift of the movable trigger becomes equal to the value of a shorter time interval, and the registered pulses are stored in the storage device.
Недостатком указанного способа является низкая достоверность результатов из-за отсутствия возможности контроля частотных характеристик высокочастотных всплесков, а так же фазы возникновения относительно питающего напряжения, и возможного наложения сигналов с более низкой или высокой частотой от различного вида естественных разрядных процессов (например, от коронного разряда).The disadvantage of this method is the low reliability of the results due to the inability to control the frequency characteristics of high-frequency bursts, as well as the phase of occurrence relative to the supply voltage, and the possible imposition of signals with a lower or higher frequency from various types of natural discharge processes (for example, from corona discharge) .
Известен способ диагностики высоковольтного оборудования по параметрам частичных разрядов (Патент на изобретение РФ №2536795, МПК G01R 31/12 (2006.01), 2014 г.), заключающийся в том, что электромагнитное поле частичных разрядов в изоляции воспринимают индуктивным и емкостным датчиками, выходные сигналы которых фильтруют, усиливают и умножают один на другой и в соответствии со знаком произведения формируют информативные сигналы, первый из этих сигналов пропорционален текущему среднему значению кажущегося заряда частичных разрядов, а второй - текущему среднему значению длительности импульсов тока, вызванных частичными разрядами, с помощью первого сигнала корректируется скорость изменения напряженности электрического поля в изоляции, обеспечивая стабилизацию текущего среднего значения кажущегося заряда частичных разрядов, а с помощью второго определяют зависимость длительности импульсов тока, вызванных частичными разрядами, от напряжения на высоковольтном вводе диагностируемого оборудования.A known method for the diagnosis of high-voltage equipment according to the parameters of partial discharges (Patent for the invention of the Russian Federation No. 2536795, IPC G01R 31/12 (2006.01), 2014), which consists in the fact that the electromagnetic field of partial discharges in isolation is perceived by inductive and capacitive sensors, the output signals which are filtered, amplified and multiplied one by one and in accordance with the sign of the product form informative signals, the first of these signals is proportional to the current average value of the apparent charge of partial discharges, and the second to the current the average value of the duration of current pulses caused by partial discharges, using the first signal, adjusts the rate of change of the electric field strength in the insulation, stabilizing the current average value of the apparent charge of partial discharges, and using the second determines the dependence of the duration of current pulses caused by partial discharges on the voltage on high-voltage input of the diagnosed equipment.
Недостатком указанного способа является низкая достоверность результатов из-за применения усилителей, которые вносят искажение в измеряемый высокочастотный сигнал и потери информации о частотном спектре и длительности импульсов высокочастотных разрядов в связи с применением усредняющей RC-цепи и амплитудного модулятора, а так же из-за отсутствия возможности фиксации интенсивности возникновения отдельных частичных разрядов и отсутствия возможности определения вида разряда.The disadvantage of this method is the low reliability of the results due to the use of amplifiers that introduce distortion into the measured high-frequency signal and loss of information about the frequency spectrum and pulse duration of high-frequency discharges due to the use of an averaging RC circuit and an amplitude modulator, as well as due to the lack of the possibility of fixing the intensity of the occurrence of individual partial discharges and the inability to determine the type of discharge.
Все вышеперечисленные способы не пригодны для применения в условиях реальной эксплуатации для определения технического состояния цифрового трансформатора по параметрам частичных разрядов. Заявителю не известны способы определения технического состояния цифровых трансформаторов по параметрам частичных разрядов в изоляции, обладающие высокой точностью и обеспечивающие достоверность результатов.All of the above methods are not suitable for use in actual use to determine the technical condition of a digital transformer by the parameters of partial discharges. The applicant does not know how to determine the technical condition of digital transformers by the parameters of partial discharges in isolation, which are highly accurate and ensure the reliability of the results.
В основу изобретения положена задача разработки способа определения технического состояния цифровых трансформаторов, основанного на достоверных реальных измерениях расширенного числа признаков однозначно характеризующих вид и количественные характеристики импульсов частичных разрядов, свидетельствующих о развития дефектов внутри изоляции.The basis of the invention is the task of developing a method for determining the technical condition of digital transformers, based on reliable real measurements of an expanded number of features that uniquely characterize the type and quantitative characteristics of partial discharge pulses, indicating the development of defects inside the insulation.
Технический результат изобретения заключается в повышении надежности функционирования цифровых трансформаторов за счет точности и своевременности выявления развития дефектов внутри изоляции по параметрам частичных разрядов.The technical result of the invention is to increase the reliability of the operation of digital transformers due to the accuracy and timeliness of identifying the development of defects inside the insulation according to the parameters of partial discharges.
Технический результат достигается тем что, в способе определения технического состояния цифрового трансформатора по параметрам частичных разрядов в изоляции, цифровой трансформатор, снабженный резистивным делителем напряжения, помещенным внутрь опорного изолятора, дополнительно оснащают индуктивным датчиком, который помещают внутрь опорного изолятора и подключают между электростатическим экраном и заземленными частями трансформатора; напряжение промышленной частоты регистрируют резистивным делителем напряжения, высокочастотный импульс напряжения от тока частичного разряда регистрируют индуктивным датчиком; зарегистрированные сигналы фильтруют, производят аналого-цифровое преобразование; для оцифрованных сигналов вычисляют фазу высокочастотного импульса напряжения от тока частичного разряда относительно напряжения промышленной частоты, амплитуду и полярность высокочастотного импульса напряжения от тока частичного разряда, количество высокочастотных импульсов напряжения от токов частичных разрядов за период изменения напряжения промышленной частоты, кажущийся заряд, максимальное значение кажущегося заряда за время наблюдения, среднее значение кажущегося заряда за время наблюдения, средние ток и мощность частичных разрядов за период изменения напряжения промышленной частоты, энергию частичного разряда; производят нормализацию и преобразование Фурье высокочастотных импульсов напряжения от токов частичных разрядов, вычисляют эффективное время и частоту указанных импульсов; производят построение время-частотного распределения высокочастотных импульсов напряжения от токов частичных разрядов, производят построение на одном графике амплитудно-фазо-частотного распределения высокочастотных импульсов напряжения от токов частичных разрядов и периода изменения напряжения промышленной частоты, по которым отделяют шум и другие разрядные процессы от внутренних частичных разрядов и определяют диапазоны фаз возникновения частичных разрядов, производят построение зависимостей амплитуды кажущегося заряда и действующего значения напряжения промышленной частоты от времени, по которым определяют величину напряжения зажигания частичного разряда и величину кажущегося заряда, сравнивают величину кажущегося заряда за время наблюдения с пороговым значением, по результатам сравнения делают выводы о возможности дальнейшей эксплуатации трансформатора.The technical result is achieved by the fact that, in the method for determining the technical condition of a digital transformer by the parameters of partial discharges in isolation, a digital transformer equipped with a resistive voltage divider placed inside the reference insulator is additionally equipped with an inductive sensor, which is placed inside the reference insulator and connected between the electrostatic screen and the grounded parts of a transformer; industrial frequency voltage is recorded by a resistive voltage divider, a high-frequency voltage pulse from a partial discharge current is recorded by an inductive sensor; registered signals are filtered, analog-to-digital conversion is performed; for the digitized signals, the phase of the high-frequency voltage pulse from the partial discharge current relative to the industrial frequency voltage is calculated, the amplitude and polarity of the high-frequency voltage pulse from the partial discharge current, the number of high-frequency voltage pulses from the partial discharge currents for the period of variation of the industrial frequency voltage, apparent charge, maximum value of the apparent charge during the observation, the average value of the apparent charge during the observation, the average current and power are partial x discharges for a period of voltage variation of industrial frequency, partial discharge energy; normalize and Fourier transform the high-frequency voltage pulses from the partial discharge currents, calculate the effective time and frequency of these pulses; constructing the time-frequency distribution of high-frequency voltage pulses from partial discharge currents, plotting the amplitude-phase-frequency distribution of high-frequency voltage pulses from partial discharge currents and the period of variation of the industrial frequency voltage, by which noise and other discharge processes are separated from internal partial discharges and determine the ranges of the phases of the occurrence of partial discharges, build the dependences of the amplitude of the apparent charge and action Enikeev frequency voltage value from the time at which ignition voltage value is determined of partial discharge and the magnitude of the apparent charge, comparing the magnitude of the apparent charge during the observation with the threshold value from the comparison result that the potential of further operation of the transformer.
Сущность изобретения поясняется чертежами. На фиг. 1 приведено устройство, реализующее способ определения технического состояния цифрового трансформатора по параметрам частичных разрядов в изоляции. На фиг. 2 приведено время-частотное распределение высокочастотных импульсов напряжения от токов частичных разрядов. На фиг. 3 приведено амплитудно-фазо-частотное распределение высокочастотных импульсов напряжения от токов частичных разрядов и период изменения напряжения промышленной частоты. На фиг. 4 приведены зависимости амплитуды кажущегося заряда и действующего значения промышленной частоты от времени.The invention is illustrated by drawings. In FIG. 1 shows a device that implements a method for determining the technical condition of a digital transformer by the parameters of partial discharges in isolation. In FIG. Figure 2 shows the time-frequency distribution of high-frequency voltage pulses from partial discharge currents. In FIG. 3 shows the amplitude-phase-frequency distribution of high-frequency voltage pulses from currents of partial discharges and the period of variation of the voltage of the industrial frequency. In FIG. Figure 4 shows the dependences of the amplitude of the apparent charge and the effective value of the industrial frequency on time.
На фиг. 1 изображен цифровой трансформатор, включающий преобразователь тока 1, и снабженный резистивным делителем напряжения, содержащим резистивный элемент верхнего плеча 2 и резистивный элемент нижнего плеча 3, помещенные внутрь опорного изолятора 4. Цифровой трансформатор дополнительно оснащен индуктивным датчиком 5, который помещен внутрь опорного изолятора 4 и подключен между электростатическим экраном 6 первичной обмотки преобразователя тока 1 и заземленными частями трансформатора.In FIG. 1 shows a digital transformer including a
Резистивный элемент верхнего плеча 2 и резистивный элемент нижнего плеча 3 резистивного делителя напряжения подключены через фильтр низких частот 7 к аналого-цифровому преобразователю низкочастотного сигнала 8. Индуктивный датчик 5 соединен через фильтр высоких частот 9 с аналого-цифровым преобразователем высокочастотного сигнала 10. Выходы аналого-цифрового преобразователя низкочастотного сигнала 8 и аналого-цифрового преобразователя высокочастотного сигнала 10 подключены к контроллеру обработки цифрового сигнала 11, соединенного с блоком памяти 12, связанного через блок передачи данных 13, с внешней базой данных 14.The resistive element of the
Способ определения технического состояния цифрового трансформатора по параметрам частичных разрядов в изоляции осуществляется следующим образом. Цифровой трансформатор, снабженный резистивным делителем напряжения, помещенным внутрь опорного изолятора 4, дополнительно оснащают индуктивным датчиком 5, который помещают внутрь опорного изолятора 4 и подключают между электростатическим экраном 6 и заземленными частями трансформатора.A method for determining the technical condition of a digital transformer by the parameters of partial discharges in isolation is as follows. A digital transformer equipped with a resistive voltage divider placed inside the
В процессе работы цифрового трансформатора по первичной обмотке электромагнитного преобразователя тока 1 протекает ток нагрузки, при этом относительно заземленных частей к трансформатору приложено фазное напряжение промышленной частоты, которое после масштабного преобразования в резистивном элементе верхнего плеча 2 резистивного делителя напряжения регистрируют в резистивном элементе нижнего плеча 3 резистивного делителя напряжения. Зарегистрированный сигнал подвергают низкочастотной фильтрации в фильтре низких частот 7 для исключения высокочастотных помех и оцифровывают в аналого-цифровом преобразователе низкочастотного сигнала 8. Под воздействием высокого напряжения внутри изоляции, на границах раздела изоляционных материалов и вблизи проводящих частей (например, в изоляции первичной обмотки электромагнитного преобразователя тока, в изоляции вторичной обмотки электромагнитного преобразователя тока от первичной обмотки, в стеклотекстолитовой основе, во внешнем и в основном слоях изоляции) возможно возникновение разрядных процессов. При этом происходит падение напряжения в неоднородностях изоляции и перераспределение заряда между емкостью изоляции и параллельно подключенными к ней емкостями, что формирует высокочастотный ток в электрической цепи, регистрируемый в виде высокочастотного импульса напряжения индуктивным датчиком 5. Зарегистрированный сигнал подвергают высокочастотной фильтрации в фильтре высоких частот 9 для исключения помех и оцифровывают в аналого-цифровом преобразователе высокочастотного сигнала 10. В контроллере обработки цифрового сигнала 11 для оцифрованных сигналов вычисляют фазу высокочастотного импульса напряжения от тока частичного разряда относительно напряжения промышленной частоты, амплитуду и полярность высокочастотного импульса напряжения от тока частичного разряда, количество высокочастотных импульсов напряжения от тока частичного разряда за период изменения напряжения промышленной частоты, кажущийся заряд, максимальное значение кажущегося заряда за время наблюдения, среднее значение кажущегося заряда за время наблюдения, средние ток и мощность частичных разрядов за период изменения напряжения промышленной частоты, энергию частичного разряда. Так же в контроллере обработки цифрового сигнала 11 производят нормализацию и преобразование Фурье высокочастотного импульса напряжения от тока частичного разряда, вычисляют эффективное время и частоту указанного импульса.During the operation of the digital transformer, a load current flows through the primary winding of the
Преобразование Фурье цифрового сигнала производят после определения фазы его возникновения.The Fourier transform of a digital signal is carried out after determining the phase of its occurrence.
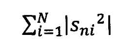
Нормализацию цифрового сигнала производят после определения его фазы по выражению:The digital signal is normalized after determining its phase by the expression:
где Where
s - i-ая выборка вектора значений сигнала;s is the i-th sample of the vector of signal values;
N - количество выборок дискретного сигнала. Эквивалентное время рассчитывают по выражению:N is the number of samples of a discrete signal. Equivalent time is calculated by the expression:
где Where
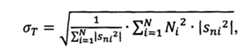
- спектральная плотность мощности нормализованного сигнала; - spectral power density of the normalized signal;
Ni - значение i-го отсчета времени. Эквивалентную частоту рассчитывают по выражениюNi is the value of the i-th time reference. The equivalent frequency is calculated by the expression
где Where
sni(fi) - Фурье преобразование нормализованного высокочастотного сигнала;sni (fi ) - Fourier transform of the normalized high-frequency signal;
fi - i-oe значение частоты дискретного Фурье преобразования.fi - i-oe value of the frequency of the discrete Fourier transform.
Полученные результаты вычислений сохраняют в блоке памяти блоком памяти 12 и через блок передачи данных 13 передают во внешнюю базу данных 14. Хранящуюся во внешней базе данных 14 информацию используют при построении время-частотного распределения высокочастотных импульсов напряжения от токов частичных разрядов (фиг. 2), при построении на одном графике амплитудно-фазо-частотного распределения высокочастотных импульсов напряжения от токов частичных разрядов и периода изменения напряжения промышленной частоты (фиг. 3), при построении зависимостей амплитуды кажущегося заряда и действующего значения напряжения промышленной частоты от времени (фиг. 4), обеспечивающих получение более полного представления о происходящих высокочастотных процессах и возможность определения вида разряда. По графику время-частотного распределения высокочастотных импульсов напряжения от токов частичных разрядов (фиг. 2) выделяют области разрядов со схожими энергетическими характеристиками. По графику амплитудно-фазо-частотного распределения высокочастотных импульсов напряжения от токов частичных разрядов и периода изменения напряжения промышленной частоты (фиг. 3) для выделенных областей отделяют шум и импульсы напряжения других разрядов от различного вида разрядных процессов (например, от коронного разряда). Определяют диапазон фаз возникновения высокочастотных импульсов напряжения, по которому определяют высокочастотные импульсы напряжения от внутренних частичных разрядов. По зависимостям амплитуды кажущегося заряда (сплошная линия на фиг. 4) и действующего значения напряжения промышленной частоты от времени (пунктирная линия на фиг. 4) определяют величину напряжения зажигания частичного разряда и величину кажущегося заряда. Сравнивают величину кажущегося заряда за время наблюдения с пороговым значением (штрих-пунктирная линия на фиг. 4), определенными опытным путем или, например, регламентируемыми ГОСТ 7746-2015 и ГОСТ 1983-2015, по результатам сравнения делают выводы о возможности дальнейшей эксплуатации трансформатора.The obtained calculation results are stored in the memory unit by the
Предлагаемый способ позволяет осуществлять мониторинг разрядных процессов, определять их количественные и качественные характеристики, точно и своевременно выявлять развития дефектов внутри изоляции по параметрам частичных разрядов, предотвращать аварии, связанные с повреждением изоляции от частичных разрядов, обеспечивая повышение надежности функционирования цифровых трансформаторов.The proposed method allows to monitor the discharge processes, determine their quantitative and qualitative characteristics, accurately and timely detect the development of defects inside the insulation by the parameters of partial discharges, prevent accidents associated with damage to the insulation from partial discharges, providing increased reliability of the operation of digital transformers.
| Application Number | Priority Date | Filing Date | Title | 
|---|---|---|---|
| RU2018146407ARU2700368C1 (en) | 2018-12-26 | 2018-12-26 | Method for determining technical state of a digital transformer based on parameters of partial discharges in insulation | 
| Application Number | Priority Date | Filing Date | Title | 
|---|---|---|---|
| RU2018146407ARU2700368C1 (en) | 2018-12-26 | 2018-12-26 | Method for determining technical state of a digital transformer based on parameters of partial discharges in insulation | 
| Publication Number | Publication Date | 
|---|---|
| RU2700368C1true RU2700368C1 (en) | 2019-09-16 | 
| Application Number | Title | Priority Date | Filing Date | 
|---|---|---|---|
| RU2018146407ARU2700368C1 (en) | 2018-12-26 | 2018-12-26 | Method for determining technical state of a digital transformer based on parameters of partial discharges in insulation | 
| Country | Link | 
|---|---|
| RU (1) | RU2700368C1 (en) | 
| Publication number | Priority date | Publication date | Assignee | Title | 
|---|---|---|---|---|
| RU195528U1 (en)* | 2019-05-29 | 2020-01-30 | ООО "Оптиметрик" | High voltage multifunction measuring device | 
| CN111257705A (en)* | 2020-02-21 | 2020-06-09 | 广东电网有限责任公司 | High-voltage cable partial discharge on-line detection system and detection positioning method | 
| RU2724991C1 (en)* | 2019-09-03 | 2020-06-29 | федеральное государственное бюджетное образовательное учреждение высшего образования "Ивановский государственный энергетический университет имени В.И. Ленина" (ИГЭУ) | Method for determining technical state of insulation of a digital transformer based on partial discharge parameters | 
| CN113406445A (en)* | 2021-03-24 | 2021-09-17 | 上海朋禾智能科技有限公司 | Transformer partial discharge multidimensional data online detection method | 
| CN114994407A (en)* | 2022-06-30 | 2022-09-02 | 山东东辰节能电力设备有限公司 | Transformer data monitoring system and method | 
| CN118376895A (en)* | 2024-06-21 | 2024-07-23 | 上海凌至物联网有限公司 | Method and system for detecting and positioning partial discharge defect of high-voltage sleeve | 
| Publication number | Priority date | Publication date | Assignee | Title | 
|---|---|---|---|---|
| WO1996035128A1 (en)* | 1995-05-02 | 1996-11-07 | Abb Research Ltd. | Monitoring of internal partial discharges on a power transformer | 
| RU2393494C1 (en)* | 2009-05-08 | 2010-06-27 | Валерий Сергеевич Поляков | Device for continuously monitoring partial discharge signals in insulation of three-phase high voltage devices under operation conditions | 
| RU2505828C2 (en)* | 2008-08-25 | 2014-01-27 | Эском Холдингс Лимитед | Apparatus for monitoring partial discharges | 
| RU2536795C1 (en)* | 2013-08-06 | 2014-12-27 | Федеральное государственное бюджетное образовательное учреждение высшего профессионального образования "Владимирский государственный университет имени Александра Григорьевича и Николая Григорьевича Столетовых" (ВлГУ) | High-voltage diagnostic method against partial discharge parameters | 
| CN206710490U (en)* | 2016-08-31 | 2017-12-05 | 广州供电局有限公司 | One kind on-line monitoring intelligent voltage transformer | 
| Publication number | Priority date | Publication date | Assignee | Title | 
|---|---|---|---|---|
| WO1996035128A1 (en)* | 1995-05-02 | 1996-11-07 | Abb Research Ltd. | Monitoring of internal partial discharges on a power transformer | 
| RU2505828C2 (en)* | 2008-08-25 | 2014-01-27 | Эском Холдингс Лимитед | Apparatus for monitoring partial discharges | 
| RU2393494C1 (en)* | 2009-05-08 | 2010-06-27 | Валерий Сергеевич Поляков | Device for continuously monitoring partial discharge signals in insulation of three-phase high voltage devices under operation conditions | 
| RU2536795C1 (en)* | 2013-08-06 | 2014-12-27 | Федеральное государственное бюджетное образовательное учреждение высшего профессионального образования "Владимирский государственный университет имени Александра Григорьевича и Николая Григорьевича Столетовых" (ВлГУ) | High-voltage diagnostic method against partial discharge parameters | 
| CN206710490U (en)* | 2016-08-31 | 2017-12-05 | 广州供电局有限公司 | One kind on-line monitoring intelligent voltage transformer | 
| Publication number | Priority date | Publication date | Assignee | Title | 
|---|---|---|---|---|
| RU195528U1 (en)* | 2019-05-29 | 2020-01-30 | ООО "Оптиметрик" | High voltage multifunction measuring device | 
| RU2724991C1 (en)* | 2019-09-03 | 2020-06-29 | федеральное государственное бюджетное образовательное учреждение высшего образования "Ивановский государственный энергетический университет имени В.И. Ленина" (ИГЭУ) | Method for determining technical state of insulation of a digital transformer based on partial discharge parameters | 
| CN111257705A (en)* | 2020-02-21 | 2020-06-09 | 广东电网有限责任公司 | High-voltage cable partial discharge on-line detection system and detection positioning method | 
| CN113406445A (en)* | 2021-03-24 | 2021-09-17 | 上海朋禾智能科技有限公司 | Transformer partial discharge multidimensional data online detection method | 
| CN114994407A (en)* | 2022-06-30 | 2022-09-02 | 山东东辰节能电力设备有限公司 | Transformer data monitoring system and method | 
| CN118376895A (en)* | 2024-06-21 | 2024-07-23 | 上海凌至物联网有限公司 | Method and system for detecting and positioning partial discharge defect of high-voltage sleeve | 
| Publication | Publication Date | Title | 
|---|---|---|
| RU2700368C1 (en) | Method for determining technical state of a digital transformer based on parameters of partial discharges in insulation | |
| AT511807B1 (en) | METHOD AND DEVICE FOR ONLINE RECOGNITION OF STATE-OF-CHARGE INSULATION IN AN ELECTRICAL MACHINE | |
| US20120130663A1 (en) | On-line diagnostic method for health monitoring of a transformer | |
| US20060279292A1 (en) | Method and apparatus for measuring a dielectric response of an electrical insulating system | |
| CN103968939B (en) | Mean displacement method-based transformer winding loosening fault detection method | |
| RU2724991C1 (en) | Method for determining technical state of insulation of a digital transformer based on partial discharge parameters | |
| WO2015058068A1 (en) | Method and apparatus for measuring partial discharge charge value in frequency domain | |
| US11125802B2 (en) | Method and testing device for measuring partial discharge pulses of a shielded cable | |
| Rodrigo et al. | Study of partial discharge charge evaluation and the associated uncertainty by means of high frequency current transformers | |
| JP2019191142A (en) | Winding insulation deterioration diagnostic device of rotary machine | |
| US12416658B2 (en) | State analysis of an electrical operating resource | |
| JPH03209180A (en) | Method and device for inspecting insulating system condition | |
| Xu et al. | Loss current studies of partial discharge activity | |
| Setayeshmehr et al. | On-line monitoring of transformer via transfer function | |
| Badicu et al. | Detection of bushing insulation defects by diagnostic monitoring | |
| RU2553281C1 (en) | Device for detecting partial discharges | |
| RU2700369C1 (en) | Technical monitoring device of digital transformer by parameters of partial discharges in insulation | |
| James et al. | Interpretation of partial discharge quantities as measured at the terminals of HV power transformers | |
| Saha et al. | Investigating some important parameters of the PDC measurement technique for the insulation condition assessment of power transformer | |
| CN114966517B (en) | A method and device for testing abnormality of transformer winding | |
| Winkelmann et al. | Influence of the permitted parameter variations on the determined QIEC value according to IEC 60270 | |
| RU186984U1 (en) | Partial discharge measuring device, taking into account the influence of a power source, included in the grounding branch of the test object | |
| Shen et al. | Experimental Investigating on on-line monitoring of insulation system of power transformers | |
| Nasirpour et al. | Evaluation of online techniques utilized for extracting the transformer transfer function | |
| JP2025132323A (en) | Partial discharge measurement system and its measurement device, partial discharge measurement method, and partial discharge measurement program | 
| Date | Code | Title | Description | 
|---|---|---|---|
| QB4A | Licence on use of patent | Free format text:LICENCE FORMERLY AGREED ON 20200204 Effective date:20200204 |