Movatterモバイル変換


[0]ホーム

URL:


RU2680472C1 - Method and system for improving the quality of user life - Google Patents

Method and system for improving the quality of user life
Download PDF

Info

Publication number
RU2680472C1
RU2680472C1RU2018136777ARU2018136777ARU2680472C1RU 2680472 C1RU2680472 C1RU 2680472C1RU 2018136777 ARU2018136777 ARU 2018136777ARU 2018136777 ARU2018136777 ARU 2018136777ARU 2680472 C1RU2680472 C1RU 2680472C1
Authority
RU
Russia
Prior art keywords
user
data
life
quality
analysis
Prior art date
Application number
RU2018136777A
Other languages
Russian (ru)
Inventor
Пётр Павлович Кузнецов
Original Assignee
Пётр Павлович Кузнецов
Priority date (The priority date is an assumption and is not a legal conclusion. Google has not performed a legal analysis and makes no representation as to the accuracy of the date listed.)
Filing date
Publication date
Application filed by Пётр Павлович КузнецовfiledCriticalПётр Павлович Кузнецов
Priority to RU2018136777ApriorityCriticalpatent/RU2680472C1/en
Application grantedgrantedCritical
Publication of RU2680472C1publicationCriticalpatent/RU2680472C1/en
Priority to PCT/RU2019/000153prioritypatent/WO2020080969A1/en

Links

Classifications

Landscapes

Abstract

FIELD: medicine.SUBSTANCE: group of inventions relates to medicine, namely to biomedical and IT technologies of the health industry, and can be used to improve user quality of life. System contains computer-readable storage medium containing computer-readable instructions executable by one or more processors, which, when executed, implement the method that includes: obtaining personal data about a user; obtaining data on occupations that improve quality of human life; processing of user data, including calculation of social factors and medical factors on the basis of data obtained; processing of data on occupations, which includes formation of occupations list and the definition of contraindications for each occupation from specified list of occupations; analysis of the processed data, and the analysis includes use of a predictive model, where the prediction is carried out using a random forest algorithm, moreover, data analysis includes identification of correlations between social factors and medical factors, by comparing them on a timeline, determination of weights for each social factor, characterizing its impact on each medical factor, determining, based on contraindications, a list of critical classes, leading to a deterioration in the quality of life of the user below a given level; generating a user’s quality of life prediction based on data analysis; output prediction of quality of life to the user; formation of a list of classes recommended for improving user quality of life and outputting them to the user; fulfillment of the above: obtaining data, processing the received data, analyzing the processed data, generating a prediction of quality of life and outputting a prediction of quality of life to a user with a given first frequency; analysis of the current state of the user, which includes obtaining data on current state of the user, data on current state of the user includes photo plethysmography data, data on user's motor activity and on electrical conductivity of the user's skin; analysis of data on the user current state, including calculation of the parameters of the user current state, moreover, these parameters are entered into the predictive model used, and prediction of quality of life is adjusted, moreover, if the user's quality of life prognosis deteriorates, the user is notified of the need to change behavior; moreover, analysis of current state of the user is performed with the second frequency, more frequent than the first frequency.EFFECT: group of inventions provides effective improvement in quality of life, due to use of individual approach to assessing the state of the user, based on regular monitoring his condition, various aspects of life, as well as the correctness of prescriptions fulfilled.22 cl, 7 tbl

Description

Translated fromRussian

Область техникиTechnical field

Группа изобретений относится к медицине, а именно к биомедицинским и IT-технологиям индустрии здоровья, и может быть использована для формирования активного долголетия индивида.The group of inventions relates to medicine, namely to biomedical and IT technologies of the health industry, and can be used to form an active longevity of an individual.

Настоящая разработка предназначена для добровольного применения пациентом и личным врачом навигационного инструмента в повседневной жизни, для организации мероприятий на основе принципов 4Р-медицины, для управления образовательным процессом и персоналом (HR), для рейтингования участников групп с учетом показателей здоровья, для навигации застрахованных в рамках различных видов личного страхования и т.п. Сегменты рынка индустрии здоровья: В2С (услуги физическим лицам, например, при планировании семьи или ребенка), В2В (услуги службам управления персоналом корпораций или страховым компаниям), В2В2С (услуги медицинским организациям всех уровней, личным врачам и пациентам онлайн и офлайн). Путем обработки искусственным интеллектом web-данных о здоровье индивида врачебно-цифровая система подсказывает пациенту и лечащему врачу действия в отношении укрепления здоровья, режима труда и отдыха, строит графики и стратегию физического, ментального, профессионального, социального развития, осуществляет мониторинг показателей здоровья (сотрудника или застрахованного), в том числе, с учетом состояния близких, детей.This development is intended for the voluntary use by the patient and personal doctor of a navigation tool in everyday life, for organizing events based on the principles of 4P medicine, for managing the educational process and personnel (HR), for rating group members based on health indicators, for navigating the insured within various types of personal insurance, etc. Segments of the health industry market: B2C (services to individuals, for example, when planning a family or a child), B2B (services to personnel management services of corporations or insurance companies), B2B2C (services to medical organizations at all levels, personal doctors and patients online and offline). By processing artificial web-data about the health of an individual with an artificial intelligence, a digital medical system prompts the patient and the attending physician to take actions to improve health, work and rest, build schedules and strategies for physical, mental, professional, social development, and monitor health indicators (employee or insured), including, taking into account the condition of loved ones, children.

Нарастающие технологические волны изменили способ доставки биомедицинской информации пациенту и медицинскому персоналу. С появлением нового поколения компьютеров резко трансформировались: привычная и принятая большинством граждан иерархическая модель системы общественного здравоохранения; модель управления медицинской помощью на уровне медицинской организации любой формы собственности и подчиненности; организация и доставка информационных и медицинских услуг пациентам и персоналу; форма оказания медицинской помощи и мониторинга показателей здоровья (в значительной степени переходя к дистанционному взаимодействию с системой общественного здравоохранения); поддержка принятия медицинских и организационных решений, индустрии здоровья и образования. Применение ресурсов, предназначенных для охраны здоровья, трансформируется от фокуса на системах к фокусу на потребителе услуг (Кузнецов П.П. Биоинформатика и индустрия здоровья - пути трансформации в экономику знаний. Медицинские информационные системы. 2016, №4, с. 37-47). Население прогрессивно стареет, вовлекая огромные ресурсы в процесс оплаты сервиса и биомедицинских услуг лицам преклонного возраста. Если ранее пациент обращался в поликлинику, больницу по потребности, то существующие информационные системы (в том числе благодаря дистанционной и мобильной медицине) могут видеть проблемы персоны и активно предлагать варианты их решений.Rising technological waves have changed the way biomedical information is delivered to the patient and medical staff. With the advent of a new generation of computers, they have dramatically transformed: the familiar and accepted by most citizens hierarchical model of the public health system; medical care management model at the level of a medical organization of any form of ownership and subordination; organization and delivery of information and medical services to patients and staff; the form of medical care and monitoring of health indicators (to a large extent, moving to remote interaction with the public health system); supporting the adoption of medical and organizational decisions, the health and education industries. The use of resources intended for health protection is being transformed from a focus on systems to a focus on a consumer of services (Kuznetsov P.P. Bioinformatics and the health industry - ways of transformation into a knowledge economy. Medical information systems. 2016, No. 4, pp. 37-47) . The population is aging progressively, involving huge resources in the process of paying for services and biomedical services to the elderly. If previously the patient contacted the clinic or hospital as needed, then existing information systems (including thanks to remote and mobile medicine) can see the person’s problems and actively propose solutions.

Уровень техникиState of the art

Известен метод, представленный в патенте WO 2016197452 А1, направленный на сбор данных о пациенте через интеллектуальный терминал на серверы и дальнейшую обработку, для выдачи пользователю данных с целью управления здоровьем, анализа. Интеллектуальный терминал без участия врача собирает исходную важную информацию о здоровье пользователя, которую он сам ввел, а также собирает жалобы пользователя и отправляет на сервер. Основываясь на медицинских данных, на сервере комплектуются программы для управления персональным здоровьем. Онлайн-сервис может сочетать в себе программу питания, тренировок, принятия лекарств. Возможно психологическое консультирование, анализ заболеваний, разработка образовательного пути, мониторинг показателей здоровья, руководство по образу жизни и т.д. Однако, данная система основана только на введенной изначально информации и жалобах пользователя. Это не позволяет придать индивидуальный характер процессу составления плана биомедицинских мероприятий, направленного на укрепление здоровья, и выступать личному врачу в качестве организатора мониторинга показателей здоровья по всем органам и системам путем применения инструментов mHealth (мобильной медицины), IоТ (интернета вещей) и IoMT (интернета медицинского оборудования).The known method presented in patent WO 2016197452 A1, aimed at collecting patient data through an intelligent terminal on servers and further processing, to provide the user with data for the purpose of health management, analysis. An intelligent terminal without the participation of a doctor collects initial important information about the user's health, which he himself entered, as well as collects user complaints and sends to the server. Based on medical data, programs for managing personal health are completed on the server. An online service can combine a program of nutrition, training, and medication. Psychological counseling, analysis of diseases, development of an educational path, monitoring of health indicators, lifestyle guidelines, etc. are possible. However, this system is based only on initially entered information and user complaints. This does not allow us to give individual character to the process of drawing up a plan of biomedical measures aimed at improving health, and to act as an organizer of monitoring health indicators for all organs and systems by using the tools mHealth (mobile medicine), IoT (Internet of things) and IoMT (Internet medical equipment).

Известно решение, представленное в патенте US 20160294959, направленное на создание системы и способа проектирования «службы образа жизни». Решение предполагает сбор BigData о жизни, анализирует личные действия пользователя, исходя из собранных данных, и оценивает его возможное поведение на основе анализа личных действий для прогнозирования дальнейшего поведения в рекомендуемом направлении. Исполнение рекомендаций может улучшить качество жизни и оказать помощь в управлении деятельностью пользователя. Данное изобретение относится к способу управления образом жизни и направлено на отслеживание и корректирование поведения пользователя. Однако данное решение не учитывает текущие жизненные показатели пользователя, что сказывается на эффективности проводимый мероприятий.The known solution presented in patent US 20160294959, aimed at creating a system and method for designing a "lifestyle service". The solution involves collecting BigData about life, analyzes the user's personal actions based on the data collected, and evaluates his possible behavior based on an analysis of personal actions to predict further behavior in the recommended direction. Compliance with recommendations can improve the quality of life and help manage user activities. This invention relates to a lifestyle management method and is directed to tracking and adjusting user behavior. However, this solution does not take into account the user's current vital signs, which affects the effectiveness of the measures taken.

Раскрытие изобретенияDisclosure of invention

Решаемой технической проблемой является повышение уровня человеческого потенциала пользователя с использованием мотивации достижения лучших результатов и улучшения качества его жизни, в условиях ускорения получения и обработки информации.The technical problem to be solved is to increase the level of human potential of the user using the motivation to achieve better results and improve the quality of his life, in conditions of accelerating the receipt and processing of information.

Технический результат изобретения заключается в эффективном повышении качества жизни, обусловленном использованием индивидуального подхода к оценке состояния пользователя, основанном на регулярном мониторинге его состояния, различных аспектов жизни, а также правильности выполняемых предписаний.The technical result of the invention is to effectively improve the quality of life, due to the use of an individual approach to assessing the state of the user, based on regular monitoring of his condition, various aspects of life, as well as the correctness of the requirements.

Кроме того, изобретение в части «системы», дополнительно позволяет увеличить производительность системы при решении поставленной задачи, а также увеличить объем и вариативность обрабатываемых данных по сравнению с известными аналогами (т.е. позволяет производить обработку данных с получением результата (продукта) за меньшее количество времени). Кроме того, обработка данных в соответствии с заявляемым способом требует меньшего количества машинного времени и ресурсов для получения результата, в том числе оперативной памяти. Также изменение физического состояния блоков обработки, связанное с добавлением нового функционала, обеспечивает возможность меньшее количество раз запускать систему для получения результата, следовательно, экономить энергию, потребляемую данной системой. Использование отдельных независимых блоков системы (за счет использования функционала, обеспечивающего выборку из огромного массива внешних баз данных и обработку по определенному алгоритму с использованием целевых показателей) снижает и вероятность ошибки, влияющей на получение более точного и достоверного результата.In addition, the invention in terms of the "system", additionally allows you to increase system performance when solving the problem, as well as to increase the volume and variability of the processed data in comparison with known analogues (that is, it allows you to process data to obtain a result (product) for less amount of time). In addition, data processing in accordance with the claimed method requires less computer time and resources to obtain a result, including RAM. Also, the change in the physical state of the processing units associated with the addition of new functionality provides the ability to run the system fewer times to obtain a result, therefore, to save the energy consumed by this system. The use of separate independent blocks of the system (due to the use of a functional that provides sampling from a huge array of external databases and processing according to a certain algorithm using target indicators) also reduces the likelihood of an error affecting obtaining a more accurate and reliable result.

Разработанная технология (и «система» и «способ») обеспечивает постоянное получение объективной и достоверной информации об индивиде, что позволяет выдавать персональные рекомендации и формировать, а в последствии и корректировать, индивидуальный план биомедицинских и социальных мероприятий в процессе жизненного пути. Это помогает в том числе в планировании задач социального характера (создание семьи, рождение детей, обучение и переподготовка, профессиональная деятельность, организация бизнеса и своевременный выход из него, планирование отпуска, оперативных вмешательств и т.д.).The developed technology (both the "system" and the "method") ensures the continuous receipt of objective and reliable information about the individual, which allows issuing personal recommendations and forming, and subsequently adjusting, the individual plan of biomedical and social events in the process of life. This helps, among other things, in planning tasks of a social nature (creating a family, having children, training and retraining, professional activities, organizing a business and timely exit from it, planning holidays, surgical interventions, etc.).

Для достижения указанных результатов, нами разработан способ улучшения качества жизни пользователя, включающий в себя:To achieve these results, we have developed a way to improve the quality of life of the user, including:

1. получение персональных данных о пользователе;1. receiving personal data about the user;

2. получение данных о занятиях, повышающих качество жизни человека;2. obtaining data on activities that enhance the quality of human life;

3. обработку полученных данных о пользователе, включающую в себя вычисление социальных факторов и медицинских факторов на основе полученных данных;3. processing the received data about the user, including the calculation of social factors and medical factors based on the received data;

4. обработку данных о занятиях, включающую в себя формирование списка занятий и определение противопоказаний для каждого занятия из указанного списка занятий;4. processing of data about classes, which includes the formation of a list of classes and the definition of contraindications for each class from the specified list of classes;

5. анализ обработанных данных, причем анализ включает в себя использование прогностической модели, где прогнозирование осуществляется с помощью алгоритма случайного леса, причем анализ данных включает в себя:5. analysis of the processed data, and the analysis includes the use of a predictive model, where forecasting is carried out using a random forest algorithm, and the data analysis includes:

5.1. выявление корреляций между социальными факторами и медицинскими факторами, путем их сопоставления на временной шкале,5.1. identification of correlations between social factors and medical factors, by comparing them on a timeline,

5.2. определение весов для каждого социального фактора, характеризующих его влияние на каждый медицинский фактор,5.2. determination of weights for each social factor characterizing its influence on each medical factor,

5.3. определение, на основе противопоказаний, списка критических занятий, приводящих к ухудшению качества жизни пользователя ниже заданного уровня;5.3. determination, on the basis of contraindications, of a list of critical activities leading to a deterioration in the quality of life of a user below a predetermined level;

6. генерирование прогноза качества жизни пользователя на основе анализа обработанных данных;6. generating a forecast of the user's quality of life based on an analysis of the processed data;

7. вывод прогноза качества жизни пользователю;7. conclusion of the forecast of quality of life to the user;

8. формирование списка рекомендованных для повышения качества жизни пользователя занятий и вывод их пользователю;8. The formation of a list of recommended classes to improve the quality of life of the user and their output to the user

9. выполнение вышеуказанных: получения данных, обработки полученных данных, анализа обработанных данных, генерирования прогноза качества жизни и вывода прогноза качества жизни пользователю с заданной первой периодичностью;9. the implementation of the above: obtaining data, processing the obtained data, analyzing the processed data, generating a forecast of quality of life and outputting a forecast of quality of life to the user with a given first periodicity;

10. выполнение анализа текущего состояния пользователя, включающее в себя:10. analysis of the current state of the user, including:

10.1. получение данных о текущем состоянии пользователя, причем данные о текущем состоянии пользователя включают в себя данные фотоплетизмографии, данные о двигательной активности пользователя и данные об электрической проводимости кожи пользователя;10.1. obtaining data on the current state of the user, and data on the current state of the user include photoplethysmography data, data on the user's physical activity and data on the electrical conductivity of the user's skin;

10.2. анализ данных о текущем состоянии пользователя, включающий в себя вычисление параметров текущего состояния пользователя, причем указанные параметры вводятся в используемую прогностическую модель, и производится коррекция прогноза качества жизни, причем10.2. analysis of data on the current state of the user, including the calculation of the parameters of the current state of the user, and these parameters are entered into the used prognostic model, and the forecast of the quality of life is adjusted, and

если прогноз качества жизни пользователя ухудшается, то пользователь получает оповещение о необходимости изменения поведения;if the forecast of the user's quality of life deteriorates, then the user is notified of the need to change behavior;

10.3. причем анализ текущего состояния пользователя выполняется со второй периодичностью, более частой, чем первая периодичность.10.3. moreover, the analysis of the current state of the user is performed with a second frequency more frequent than the first frequency.

В частном случае реализации описанного выше способа, пользователь может дополнительно получить сгенерированные индивидуальные рекомендации для улучшения качества жизни. При этом генерирование рекомендаций включает в себя составление персонального плана биомедицинских и социальных мероприятий.In the particular case of the implementation of the above method, the user can additionally receive the generated individual recommendations to improve the quality of life. Moreover, the generation of recommendations includes the preparation of a personal plan of biomedical and social events.

Получение данных о пользователе включает в себя получение персональных данных пользователя, данных об образовании, данных о профессиональном опыте, данных о генетических рисках, образе жизни пользователя и данных о состоянии здоровья пользователя. Социальные факторы включают в себя фактор образования, психологический фактор и профессиональный фактор. Персональные данные пользователя включают в себя одно или более из группы, содержащей: имя пользователя, дату рождения, пол, телефон, адрес электронной почты, адреса страниц в социальных сетях, адрес места жительства. Данные об образовании включают в себя уровень образования, названия образовательных учреждений, наличие профессиональных сертификатов, даты начала и окончания прохождения обучения, результаты тестов на интеллект. Данные о профессиональном опыте включают в себя наименования должностей, уровни дохода, количество подчиненных, даты начала и окончания работы в указанных должностях. Данные о генетических рисках включают в себя данные о родственниках пользователя и/или данные генетических тестов пользователя. Данные о родственниках пользователя включают в себя данные о состоянии здоровья указанных родственников и психологические данные о родственниках. Данные об образе жизни включают в себя данные о занятиях спортом и вредных привычках пользователя.Obtaining user data includes obtaining user personal data, education data, professional experience data, genetic risk data, user lifestyle and user health data. Social factors include the education factor, psychological factor, and occupational factor. User’s personal data includes one or more of the group consisting of: username, date of birth, gender, phone, email address, addresses of pages on social networks, address of place of residence. Education data includes the level of education, the names of educational institutions, the availability of professional certificates, the start and end dates of training, the results of intelligence tests. Data on professional experience include job titles, income levels, number of subordinates, start and end dates in these positions. Genetic risk data includes user relatives and / or user genetic test data. Information about the user's relatives includes data on the state of health of said relatives and psychological data on relatives. Lifestyle data includes data on sports and bad habits of the user.

Психологический фактор вычисляется на основе данных, включающих в себя страницы в социальных сетях и адрес места жительства пользователя.The psychological factor is calculated based on data including pages on social networks and the user's address of residence.

Медицинские факторы включают в себя минимальный возраст дожития, скорость снижения потенциала здоровья, динамику изменения темпов снижения потенциала здоровья, риски предрасположенности к заболеваниям. Минимальный возраст дожития вычисляется на основе данных о времени дожития органа, средней продолжительности жизни человека и биологического возраста. Скорость снижения потенциала здоровья вычисляется на основе данных о возрасте пользователя, данных о генетических рисках и данных о состоянии здоровья пользователя. Динамика изменения темпов снижения потенциала здоровья вычисляется на основе данных о состоянии здоровья пользователя в разные периоды жизни. Риски предрасположенности к заболеваниям вычисляются на основе данных о генетических рисках пользователя. Анализ обработанных данных включает в себя сопоставление обработанных данных по времени и установление зависимости между социальными и медицинскими факторами. Анализ обработанных данных дополнительно включает в себя сравнение показателей пользователя с эталонными показателями.Medical factors include the minimum age of survival, the rate of decline in health potential, the dynamics of changes in the rate of decline in health potential, and the risks of predisposition to diseases. The minimum age of survival is calculated on the basis of data on the survival time of the organ, the average life expectancy of a person, and biological age. The rate of decline in health potential is calculated based on data on the user's age, data on genetic risks and data on the user's health status. The dynamics of changes in the rate of decline in health potential is calculated on the basis of data on the user's health status in different periods of life. Disease predisposition risks are calculated based on user genetic risk data. Analysis of the processed data includes a comparison of the processed data over time and the establishment of a relationship between social and medical factors. The analysis of the processed data further includes a comparison of user metrics with reference metrics.

Другим объектом нашей разработки явилась система для улучшения качества жизни пользователя, включающая в себя:Another object of our development was a system to improve the quality of life of the user, including:

1. модуль получения данных, выполненный с возможностью ввода данных о пользователе и получения данных о занятиях, повышающих1. a data acquisition module, configured to enter user data and obtain activity data that enhance

качество жизни человека;human quality of life;

2. модуль обработки данных для вычисления социальных и медицинских факторов на основе полученных данных, выполненный с возможностью получения данных от внешних систем, формирования списка занятий и определения противопоказаний для каждого занятия из указанного списка занятий;2. a data processing module for calculating social and medical factors based on the received data, configured to receive data from external systems, generate a list of classes and determine contraindications for each class from the specified list of classes;

3. измерительный модуль, выполненный с возможностью регистрации двигательной активности пользователя, кровяного потока с помощью фотоплетизмографии и проводимости кожи пользователя;3. a measuring module, configured to record the motor activity of the user, blood flow using photoplethysmography and conduction of the skin of the user;

4. модуль анализа данных, выполненный с возможностью сопоставления социальных и медицинских факторов, генерирования прогноза качества жизни пользователя, формирования списка рекомендованных для повышения качества жизни пользователя занятий и вычисления параметров текущего состояния пользователя, причем анализ включает в себя:4. a data analysis module, made with the possibility of comparing social and medical factors, generating a forecast of the user's quality of life, forming a list of classes recommended for improving the quality of life of the user and calculating the parameters of the user's current state, the analysis includes

4.1. использование прогностической модели, где прогнозирование осуществляется с помощью алгоритма случайного леса,4.1. using a predictive model where forecasting is carried out using a random forest algorithm,

4.2. сопоставление социальных факторов и медицинских факторов на временной шкале с выявлением корреляций между социальными факторами и медицинскими факторами,4.2. a comparison of social factors and medical factors on a timeline with the identification of correlations between social factors and medical factors,

4.3. определение весов для каждого социального фактора, характеризующих его влияние на каждый медицинский фактор,4.3. determination of weights for each social factor characterizing its influence on each medical factor,

4.4. определение, на основе противопоказаний, списка критических занятий, приводящих к ухудшению качества жизни пользователя ниже заданного уровня;4.4. determination, on the basis of contraindications, of a list of critical activities leading to a deterioration in the quality of life of a user below a predetermined level;

4.5. причем указанные параметры текущего состояния пользователя вводятся в используемую прогностическую модель для коррекции прогноза качества жизни;4.5. moreover, the specified parameters of the current state of the user are introduced into the used prognostic model to correct the forecast of quality of life;

5. модуль вывода, выполненный с возможностью представления пользователю сгенерированного прогноза качества жизни, списка рекомендованных для повышения качества жизни пользователя занятий и оповещения пользователя о необходимости изменения поведения.5. an output module, configured to provide the user with a generated forecast of the quality of life, a list of classes recommended for improving the quality of life of the user and notifying the user of the need to change behavior.

При этом внешними системами являются страницы в сети Интернет, профессиональные базы данных, медицинские экспертные системы, базы данных городов, предприятий, учебных заведений, статистические базы данных.Moreover, external systems are Internet pages, professional databases, medical expert systems, databases of cities, enterprises, educational institutions, and statistical databases.

Что касается конструктивной реализации разработанной нами «системы», то на основании приведенного описания изобретения специалист в данной области может реализовать программные средства, на базе соответствующих компьютерных аппаратных средств общего назначения или особого назначения, в результате чего могут быть сформированы компьютерная система и/или компьютерные компоненты согласно вариантам осуществления настоящего изобретения; могут быть сформированы компьютерная система и/или компьютерные компоненты для реализации предложенного способа в рамках вариантов осуществления настоящего изобретения и/или может быть сформирован носитель считываемой компьютером информации, в том числе программных средств, посредством которых могут быть реализованы аспекты вариантов осуществления предложенного способа. Заявленная система может быть реализована с помощью программно-аппаратного комплекса или компьютерной системы, включающей в себя, по меньшей мере, процессор, обеспечивающий выполнение команд из соответствующих блоков. В качестве компьютерно-реализуемой системы может быть использован персональный компьютер, например, с операционной системой Windows, содержащий центральный процессор, оперативное запоминающее устройство, накопитель на жестком диске (или блок памяти, или хранилище данных, или базы данных), клавиатуру, монитор, коммуникационные устройства для обеспечения работы с интернет ресурсами (сетевую карту и/или модем), а также выходное устройство (блок вывода данных/отображения обработанных данных, например, монитор, или монитор совместно с принтером). При этом известно, что процессор представляет собой электронный блок, либо интегральную схему (микропроцессор), исполняющую машинные инструкции (код программ) - главная часть аппаратного обеспечения. В зависимости от введенных в процессор машинных инструкций решается соответствующая задача.As for the constructive implementation of the “system” developed by us, on the basis of the above description of the invention, a person skilled in the art can implement software on the basis of appropriate general purpose or special purpose computer hardware, as a result of which a computer system and / or computer components can be formed according to embodiments of the present invention; a computer system and / or computer components may be formed to implement the proposed method within the framework of embodiments of the present invention, and / or a carrier of computer readable information, including software, by which aspects of the embodiments of the proposed method can be implemented, can be formed. The claimed system can be implemented using a hardware-software complex or a computer system that includes at least a processor that provides the execution of commands from the corresponding blocks. As a computer-implemented system can be used a personal computer, for example, with the Windows operating system, containing a central processor, random access memory, hard disk drive (or memory block, or data storage, or database), keyboard, monitor, communication devices for working with Internet resources (network card and / or modem), as well as an output device (data output / processed data display unit, for example, a monitor, or a monitor together with a printer) . It is also known that the processor is an electronic unit or an integrated circuit (microprocessor) that executes machine instructions (program code) - the main part of the hardware. Depending on the machine instructions entered into the processor, the corresponding task is solved.

Еще одним объектом нашей разработки является машиночитаемый носитель данных, содержащий исполняемые одним или более процессором машиночитаемые инструкции, которые при их исполнении реализуют выполнение способа улучшения качества жизни пользователя по описанному выше способу.Another object of our development is a machine-readable storage medium containing machine-readable instructions executed by one or more processors, which, when executed, implement a method for improving the quality of life of a user by the method described above.

Ключевым аспектом нашей разработки является регулярный мониторинг текущего состояния качества жизни пользователя, о результатах которого пользователь получает сведения и информацию о необходимости внесения изменений в структуру своего жизненного цикла. Индивидуальные рекомендации могут содержать подсказки алгоритмов поведенческих реакций, социального и биомедицинского характера. Подсказки формируются, например, с учетом персональной психографики на основе анкетирования и/или данных из web-источников, с учетом аналогий поведенческих психотипов в прошлом и в фамильной истории, как результат обмена данными с применением технологий blockchain при формировании индивидуальных рекомендаций.A key aspect of our development is regular monitoring of the current state of the user's quality of life, the results of which the user receives information and information on the need to make changes to the structure of his life cycle. Individual recommendations may contain tips on behavioral response algorithms of a social and biomedical nature. Hints are formed, for example, taking into account personal psychographics based on questionnaires and / or data from web sources, taking into account analogies of behavioral psychotypes in the past and in family history, as a result of data exchange using blockchain technologies when forming individual recommendations.

Сбор данных врачебно-цифровая система осуществляет на основании добровольного согласия клиента в соответствии с законодательством страны из доступных источников: социальные сети, медицинские организации, корпоративная почта, mHealth, Wearable и другие. Посредствам использования application programming interface (API) разнородная информация преобразуется в необходимый для вычисления вид и, основываясь на заложенных в ней алгоритмах, представляется в понятном для потребителей (пациентов и врачей) виде (сводной информации по общему состоянию здоровья пользователя) и строит стратегию по улучшению показателей и достижению целевых результатов.The medical-digital system collects data on the basis of the voluntary consent of the client in accordance with the legislation of the country from available sources: social networks, medical organizations, corporate mail, mHealth, Wearable and others. By using the application programming interface (API), heterogeneous information is converted into the form necessary for calculation and, based on the algorithms laid down in it, is presented in a form that is understandable to consumers (patients and doctors) (a summary of the general health status of the user) and builds a strategy to improve indicators and achievement of target results.

Ниже представлены примеры учета, анализа и обработки данных, используемых в настоящем изобретении. При этом стоит отметить, что приведенные ниже конкретные параметры, данные не ограничивают объем заявленного изобретения. При реализации данного изобретения могут быть использованы и иные параметры и расчеты, при условии сохранения выполняемой функции и достигаемого результата. Так, например, при расчете биологического возраста могут быть использованы различные методики, позволяющие определить этот параметр.The following are examples of accounting, analysis and data processing used in the present invention. It should be noted that the following specific parameters, data do not limit the scope of the claimed invention. When implementing the present invention, other parameters and calculations may be used, provided that the function performed and the result achieved are maintained. So, for example, in calculating the biological age, various methods can be used to determine this parameter.

Персональными данными пользователя являются, в том числе:User’s personal data is, including:

• ФИО клиента, пол, дата и место рождения.• Name of client, gender, date and place of birth.

Это позволяет программе максимально точно идентифицировать пользователя для корректной оценки и анализа поступающей информации.This allows the program to accurately identify the user for the correct assessment and analysis of incoming information.

• Телефон, email, ссылки на социальные сети (Вконтакте, Одноклассники, FaceBook и др.).• Phone, email, links to social networks (Vkontakte, Odnoklassniki, FaceBook, etc.).

Информация поможет программе провести дополнительную идентификацию физического лица, анализ его социальных факторов таких как (темперамент, характер и психологическое здоровье, социальный круг общения, получить оценку пользователя со стороны его окружения). Данные показатели характеризуются на основе комментариев, которые пользователь когда-либо осуществлял, фотографиям, выставленным в профили, и так далее (например, методика World Well being Project (UPenn)). Если клиент не даст ссылки на профили в социальных сетях, система предложит пройти соответствующие тесты (тест Айзенка, тест на психологическое здоровье (ТПЗ)).Information will help the program to carry out additional identification of an individual, analysis of his social factors such as (temperament, character and psychological health, social circle of communication, get a user's rating from his surroundings). These indicators are characterized on the basis of comments that the user has ever made, photos posted in profiles, and so on (for example, the World Well being Project (UPenn) methodology). If the client does not provide links to profiles on social networks, the system will offer to pass the appropriate tests (Eysenck test, psychological health test (TPZ)).

• Адрес места жительства: регион, населенный пункт, номер дома, номер квартиры.• Address of residence: region, settlement, house number, apartment number.

Эта информация поможет произвести анализ социальной и экономической обстановки в месте постоянного проживания, уровень системы образования, экологическая обстановка. Индексация этого фактора производится по уже собранной информации по населенным пунктам.This information will help to analyze the social and economic situation in the place of permanent residence, the level of the education system, and the environmental situation. Indexing of this factor is carried out according to already collected information on settlements.

• Уровень образования.• The level of education.

Позволит определить программе, например, по 7 бальной шкале, сумму набранного образования за весь период жизни. При этом подсчет баллов производится, например, следующим образом: школьное начальное образование - 1 балл; школьное (основное) - 2 балла; школьное среднее - 3 балла; среднее профессиональное - 4 балла; высшее - 5 баллов; ученная степень - 6 баллов. В случае, если речь идет о младенце или о ребенке, который находится на дошкольном образовании, ему присваивается 0 баллов с корректировкой на его возраст. Если пользователь был зачислен в школу ранее или позже установленного времени (например, в 6 лет или в 8 лет вместо 7) пользователь указывает это в опросе. Получив подобную информацию, система «сдвигает» в меньшую или большую сторону временную школу, отводимую на получение среднего образования. При прохождении всех этапов обучения человек сможет получить максимальный балл, равный 15.Allows you to determine the program, for example, on a 7-point scale, the amount of education for the entire period of life. In this case, the points are calculated, for example, as follows: primary school education - 1 point; school (basic) - 2 points; school average - 3 points; secondary vocational - 4 points; higher - 5 points; academic degree - 6 points. In the case of a baby or a child who is in pre-school education, he is assigned 0 points adjusted for his age. If the user was enrolled in the school earlier or later than the set time (for example, at 6 years old or at 8 years old instead of 7), the user indicates this in the survey. Having received such information, the system “shifts” to a smaller or greater side the temporary school allocated to secondary education. With all the stages of training, a person will be able to get a maximum score of 15.

• Название образовательного учреждения.• Name of educational institution.

Использование таких сведений позволит программе проанализировать качество предоставляемых в учебном заведении образовательных услуг. Данный показатель учитывает в том числе: результаты мониторинга оценки качества образования в школе PISA, оценку эффективности обучения в разных странах TIMSS, независимую систему оценки качества образования PIRLS.The use of such information will allow the program to analyze the quality of educational services provided at the institution. This indicator takes into account, inter alia: the results of monitoring the assessment of the quality of education at the PISA school, the assessment of the effectiveness of education in different countries TIMSS, and the independent system for assessing the quality of education PIRLS.

• Профессиональные сертификации.• Professional certifications.

В этом случае интегрально учитываются все полученные пользователем профессиональные сертификаты (IELTS, MBA, PMI и др.). При этом учитывается дата начала прохождения обучения и дата окончания.In this case, all professional certificates received by the user (IELTS, MBA, PMI, etc.) are integrally taken into account. In this case, the start date of training and the end date are taken into account.

• «Профессиональный опыт».• "Professional experience".

Показатель учитывает, например, следующее:The indicator takes into account, for example, the following:

- Период времени, с какого… по какой… пользователь работал на должности,- The time period from which ... to which ... the user worked in the position,

- Наименование должности, количество людей, находящихся в подчинении на каждой из должностей.- The name of the post, the number of people subordinate to each of the posts.

На основании полученных данных, разработанная система присвоит соответствующий балл занимаемой должности по следующей формуле:Based on the data received, the developed system will assign the corresponding score to the position according to the following formula:

Figure 00000001
, где:
Figure 00000001
where:

Bprof - сумма балов профессионального опыта;Bprof - the sum of points of professional experience;

Bi - балл, назначаемый за занимаемую должность, присваиваемый в соответствии с таблицей должностей (таблица 1);Bi - point assigned for the position held, assigned in accordance with the table of posts (table 1);

Figure 00000002
- коэффициент управляемого персонала, получаемый из таблицы 2, зависит от количества персонала, находившегося в подчинении пользователя на i-й должности;
Figure 00000002
- the coefficient of the managed personnel obtained from table 2 depends on the number of personnel subordinate to the user in the i-th position;

Figure 00000003
- коэффициент времени, получаемый из таблицы 3, в зависимости от времени занимания i-й должности пользователем.
Figure 00000003
- time coefficient obtained from table 3, depending on the time the user occupies the i-th position.

Figure 00000004
Figure 00000004

Figure 00000005
Figure 00000005

Figure 00000006
Figure 00000006

Figure 00000007
Figure 00000007

• Уровень дохода, который получал человек на каждой из указанной должности.• The level of income that a person received in each of the indicated positions.

Данная информация также анализируется программой, и каждому из уровней дохода присваивается соответствующий балл. Пример присвоения баллов указан в таблице 4:This information is also analyzed by the program, and each of the income levels is assigned a corresponding score. An example of scoring is shown in table 4:

Figure 00000008
Figure 00000008

•Данные близких родственников.• Data from close relatives.

Разработанная система устанавливает связи между пользователями, назвавшими друг друга близкими родственниками (родственниками 1-й линии) и учитывает введенную ими информацию о себе при оценке показателей здоровья их родственников 1-й линии (наследственные факторы, которые могли передаться индивиду и тем самым скорректировать его медицинские факторы, некоторые из психологических факторов).The developed system establishes relationships between users who call each other close relatives (first-line relatives) and take into account the information they entered about themselves when assessing the health indicators of their first-line relatives (hereditary factors that could be transmitted to the individual and thereby correct his medical factors, some of the psychological factors).

• Занятия физической культурой.• Physical education.

Какие средние физические нагрузки? Насколько регулярны? Предыдущие виды спорта, которыми клиент занимался с временным периодом занятий, спортивные достижения, почему перестал заниматься? Эти и другие вопросы, позволяют уточнить в целом состояние пользователя. Например, если человек занимается спортом или когда-либо занимался, рейтинг повышается, а если не занимался - понижается.What are the average physical activity? How regular? Previous sports that the client did with the time period of classes, sports achievements, why did he stop doing? These and other questions allow us to clarify the overall state of the user. For example, if a person goes in for sports or has ever been involved, the rating goes up, and if he doesn't go in, he goes down.

После сбора информации начинается расчет, аналитика, готовится система рекомендаций врачу и пациенту по методологии улучшения показателей.After collecting the information, the calculation begins, analytics, a system of recommendations to the doctor and patient is prepared according to the methodology for improving indicators.

Полученные данные анализируются. Анализ может заключаться, например, в нижеприведенной обработке.The data obtained is analyzed. The analysis may consist, for example, in the processing below.

Образовательный фактор:Educational factor:

Модуль оценки интеллектуального уровня и достижений в области образования и науки - информационно-аналитическая система, осуществляющая оценку, мониторинг и интерпретацию уровня развития пользователя, сформированную из следующих компонентов:The module for assessing the intellectual level and achievements in the field of education and science is an information-analytical system that evaluates, monitors and interprets the level of user development, formed from the following components:

1. База данных (персональные данные пользователя, таблица коэффициентов уровней образования, таблица поправочных коэффициентов по форме образования, таблица весов за научное творчество, таблица коэффициентов профессиональной аттестации).1. Database (user personal data, table of coefficients of education levels, table of correction factors for the form of education, table of weights for scientific creativity, table of coefficients of professional certification).

2. Алгоритм оценки дошкольного образования2. Algorithm for evaluating preschool education

3. Алгоритм оценки школьного образования.3. Algorithm for assessing school education.

4. Алгоритм оценки высшего образования.4. Algorithm for assessing higher education.

5. Алгоритм оценки научного развития.5. Algorithm for assessing scientific development.

6. Алгоритм оценки профессионального развития.6. Algorithm for assessing professional development.

7. Алгоритма оценки интеллектуального уровня.7. The algorithm for assessing the intellectual level.

8. Программно-аппаратные шлюзы для взаимодействия с внешними информационно-коммуникационными системами (национальные органы статистического учета, национальные органы образования, ВУЗы, рейтинговые агентства).8. Software and hardware gateways for interacting with external information and communication systems (national statistical offices, national education authorities, universities, rating agencies).

9. Средства защиты персональных данных.9. Means of protection of personal data.

1. База данных:1. Database:

а) Унифицированные таблицы, содержащие поправочные весовые коэффициенты, соответствующие уровням образования. В основе их формирования лежат:a) Unified tables containing correction weights corresponding to educational levels. The basis of their formation are:

- нормативно-правовые документы министерства образования национального уровня;- regulatory documents of the Ministry of Education at the national level;

- словарь аббревиатур.- dictionary of abbreviations.

Таблицы формируются исходя из цели создания матрицы уровней образования, где каждой ступени присваивается коэффициент.Tables are formed based on the goal of creating a matrix of educational levels, where each level is assigned a coefficient.

б) Таблица поправочных коэффициентов по форме образования, содержащие весовые коэффициенты, соответствующие форме образования. В основе их формирования лежат статистические данные по эффективности форм образования.b) A table of correction factors for the form of education, containing weights corresponding to the form of education. Their formation is based on statistical data on the effectiveness of forms of education.

в) Таблица весов за научное творчество формируются в целях определения вклада научных трудов пользователя в его интеллектуальное развитие.c) A table of scales for scientific creativity is formed in order to determine the contribution of the user's scientific works to his intellectual development.

г) Таблица коэффициентов профессиональной аттестации - формируется в соответствии с рейтинговыми показателями профессиональных сертификаций.d) The table of coefficients of professional certification - is formed in accordance with the rating indicators of professional certification.

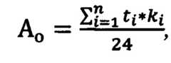
2. Алгоритм оценки школьного образования - алгоритм и программный код, осуществляющие следующие действия:2. Algorithm for assessing school education - an algorithm and program code that perform the following actions:

- расчет поправочных коэффициентов учебного заведения в соответствии с рейтингом по региону (по принципу оценки учебных заведений рейтингом национального министерства образования) по следующей формуле:- Calculation of the correction factors of the educational institution in accordance with the rating for the region (according to the principle of assessment of educational institutions by the rating of the national Ministry of Education) according to the following formula:

Figure 00000009
, где
Figure 00000009
where

Figure 00000010
- средняя оценка за пройденный этап;
Figure 00000010
- average mark for the completed stage;

Figure 00000011
- оценка, полученная за предмет в конце этапа;
Figure 00000011
- score received for the subject at the end of the stage;

n - количество предметов.n is the number of items.

- расчет оценки школьного образования (начального, общего, среднего или средне-специального) по итогам окончания учебного периода по следующей формуле:- Calculation of the assessment of school education (primary, general, secondary or secondary special) at the end of the educational period according to the following formula:

Figure 00000012
, где:
Figure 00000012
where:

Н1 - оценка школьного образования;H1 - assessment of school education;

Тi - средний балл, полученный за этап образования;Ti - the average score obtained for the education stage;

Кrr - коэффициент рейтинга региона по качеству образования;Torr is the coefficient of the rating of the region in terms of the quality of education;

Кrt- коэффициент рейтинга учебного заведения по городу, в котором она расположена;Tort is the rating coefficient of the educational institution in the city in which it is located;

К- коэффициент рейтинга учебного заведения в стране;Krc is the rating coefficient of the educational institution in the country;

Figure 00000013
- средняя оценка по итогам окончания i-го этапа.
Figure 00000013
- the average score at the end of the i-th stage.

Коэффициенты рейтингов система загружает самостоятельно из известных источников по принципу BigData и подставляет в имеющиеся формулы.The rating coefficients are downloaded by the system independently from well-known sources according to the BigData principle and substituted into existing formulas.

3. Алгоритм оценки высшего образования - алгоритм и программный код, осуществляющие следующие действия:3. Algorithm for assessing higher education - an algorithm and program code that perform the following actions:

оценку уровня полученного высшего образования с учетом поправочных коэффициентов по форме обучения, рейтинга учебного заведения;assessment of the level of higher education, taking into account correction factors in the form of training, rating of the institution;

формирование информации о рейтинге учебного заведения. Сбор информации осуществляется путем интеграции с аппаратно-программными комплексами национальных и мировых рейтингов, таких как Times Higher Education The World University Rankings, QS World University Rankings, Academic Ranking of World Universities).formation of information on the rating of the educational institution. Information is collected by integration with the hardware and software systems of national and world ratings, such as Times Higher Education The World University Rankings, QS World University Rankings, Academic Ranking of World Universities).

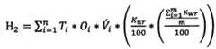
Для оценки суммы баллов, полученных человеком за период обучения в высшем учебном заведении, используется формула:To assess the amount of points received by a person during the period of study at a higher educational institution, the formula is used:

Figure 00000014
, где:
Figure 00000014
where:

Н2 - оценка по итогам окончания высшего образования;N2 - assessment on the basis of graduation;

Ti - оценка, полученная за этап образования;Ti - grade obtained for the education stage;

Оi - коэффициент за выбор формы обучения (очное, очно-заочное, вечернее, онлайн);Оi - coefficient for the choice of the form of education (full-time, part-time, evening, online);

Кnr- коэффициент национального рейтинга вуза;Tonr is the coefficient of the national rating of the university;

Кwr - коэффициент международного рейтинга вуза;Towr is the coefficient of the international ranking of the university;

n - количество периодов обучения;n is the number of training periods;

m - количество международных рейтингов, в которые включен вуз;m - the number of international ratings in which the university is included;

Figure 00000010
- средняя оценка по итогам окончания этапа, равная сумме баллов, полученных по всем учебным дисциплинам, деленное на количество дисциплин (информация берется из выпускного аттестата/диплома).
Figure 00000010
- the average score at the end of the stage, equal to the sum of points obtained in all academic disciplines, divided by the number of disciplines (information is taken from the graduation certificate / diploma).

4. Алгоритм оценки научного развития - алгоритм и программный код, осуществляющие следующие действия:4. Algorithm for assessing scientific development - an algorithm and program code that perform the following actions:

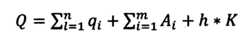
оценку научного потенциала пользователя по следующей формуле:assessment of the scientific potential of the user according to the following formula:

Figure 00000015
, где:
Figure 00000015
where:

Q - оценка научного развития пользователя;Q - assessment of the scientific development of the user;

qi - сумма баллов, поученных за ученые степени;qi - the sum of points earned for academic degrees;

n - количество полученных ученых степеней;n is the number of degrees obtained;

Ai - сумма баллов, полученных за участия в конференциях, олимпиадах и т.д.Ai - the sum of the points received for participating in conferences, competitions, etc.

m - количество олимпиад, конференций и т.д., в которых участвовал пользователь;m - the number of Olympiads, conferences, etc., in which the user participated;

h - индекс Хирша;h is the Hirsch index;

K - количество опубликованных статей.K is the number of published articles.

5. Алгоритм оценки профессионального развития - алгоритм и программный код, осуществляющие оценку прохождения пользователем профессиональных сертификаций (таких как IELTS, MBA, TOEFL, PMI и др.). Расчет производится по следующей формуле:5. Algorithm for assessing professional development - an algorithm and program code that assesses the user's passing of professional certifications (such as IELTS, MBA, TOEFL, PMI, etc.). The calculation is carried out according to the following formula:

Figure 00000016
, где:
Figure 00000016
where:

H3 - оценка профессионального развития;H3 - assessment of professional development;

bi - балл при прохождении профессиональной сертификации, при этом присваивается 1 балл при получении нового сертификата и 0,1 балла при продлении действия ранее полученного.bi - point when passing professional certification, while 1 point is assigned when a new certificate is received and 0.1 points when extending the previously received certificate.

6. Алгоритм оценки интеллектуального уровня пользователя и достижений в образе образования и науки - алгоритм и программный код, осуществляющие следующие действия:6. Algorithm for assessing the user's intellectual level and achievements in the image of education and science - an algorithm and program code that perform the following actions:

оценка уровня IQ пользователя или иные аналогичные показатели, осуществляется посредством проведения тестирования с помощью теста, например теста Ганса Айзенка;assessment of the user's IQ level or other similar indicators is carried out by conducting testing using a test, for example, the Hans Eisenck test;

оценку интеллектуального уровня пользователя и достижений в образе образования и науки по следующей формуле:assessment of the user's intellectual level and achievements in the image of education and science according to the following formula:

IQ(t)=IQ1+H1(t)+H2(t)+Q(t)+Н3, где:IQ (t) = IQ1 + H1 (t) + H2 (t) + Q (t) + H3 , where:

IQ1 - уровень IQ пользователя, полученный в результате тестирования;IQ1 - user IQ level obtained as a result of testing;

IQ(t) - уровень интеллектуального уровня пользователя и достижений в образе образования и науки в заданное время t;IQ (t) is the level of the user's intellectual level and achievements in the image of education and science at a given time t;

H1(t)+H2(t)+Q(t)+Н3 - вышеописанные коэффициенты, подсчитанные в заданное значение t.H1 (t) + H2 (t) + Q (t) + H3 are the above-described coefficients calculated in a given value of t.

Психологический фактор:Psychological factor:

Расчет производится по формуле:The calculation is made according to the formula:

Figure 00000017
Figure 00000017

Fпси(t) - психологический фактор на заданную единицу времени;Fpsi (t) - psychological factor for a given unit of time;

T(t) - темперамент на заданную единицу времени рассчитанный по тесту Айзенка;T (t) - temperament for a given unit of time calculated by the Eysenck test;

k(t) - характер на заданную единицу времени, рассчитанный по тесту Айзенка;k (t) - character for a given unit of time, calculated by the Eysenck test;

y(t) - удовлетворенность потребностей на заданную единицу времени (получается с помощью опроса пользователя, когда пользователь выставляет оценку параметру от 0 до 10 по своему усмотрению);y (t) is the satisfaction of needs for a given unit of time (obtained by polling the user when the user evaluates the parameter from 0 to 10 at his discretion);

Figure 00000018
- индекс удовлетворенности жизни на заданную единицу времени (получается с помощью опроса пользователя, когда пользователь выставляет оценку параметру от 0 до 10 по своему усмотрению);
Figure 00000018
- life satisfaction index for a given unit of time (obtained by polling the user when the user evaluates the parameter from 0 to 10 at his discretion);

r(t) - законопослушность на заданную единицу времени (интегральный параметр, равный сумме баллов, полученных пользователем за наличие административных правонарушений, действующих судебных решений, штрафов и т.д. умноженную на минус 1. При этом за каждое нарушение (судебное решение, штраф) присваивается 1 балл.r (t) - law-abiding for a given unit of time (an integral parameter equal to the amount of points received by the user for the presence of administrative offenses, court decisions, fines, etc. multiplied by minus 1. Moreover, for each violation (court decision, penalty ) 1 point is assigned.

c(t) - уровень социальной обстановки, определяется как размер бюджетных расходов поселения в расчете на одного жителя поселения.c (t) - level of social situation, defined as the size of the budget expenditures of the settlement per one resident of the settlement.

Профессиональный фактор:Professional factor:

Модуль оценки профессионального уровня. Для оценки профессионального уровня пользователя система производит оценку профессионального пути пользователя, с учетом приобретенного им образования и региона осуществления профессиональной деятельности.Professional Assessment Module. To assess the professional level of the user, the system evaluates the professional path of the user, taking into account the education acquired by him and the region of professional activity.

Блок представляет собой информационно-коммуникационную технологию, состоящую из следующих частей:The block is an information and communication technology consisting of the following parts:

1. База данных (персональные данные пользователя, таблица коэффициентов должностей, таблицы коэффициентов стажа).1. Database (personal data of the user, a table of job ratios, tables of employment coefficients).

2. Алгоритм расчета поправочных коэффициентов.2. The algorithm for calculating correction factors.

3. Алгоритм поэтапного расчетного профессиональных достижений.3. The algorithm of phased calculated professional achievements.

4. Программно-аппаратные шлюзы для взаимодействия с внешними информационно-коммуникационными системами (национальные органы статистического учета).4. Software and hardware gateways for interaction with external information and communication systems (national statistical offices).

5. Средства зашиты персональных данных.5. Means of protection of personal data.

1. База данных:1. Database:

а) унифицированные таблицы, содержащие информацию о списке должностей, структурированную по отраслям, видам деятельности, производствам с весовым коэффициентом. В основе их формирования лежат:a) unified tables containing information on the list of posts, structured by industry, type of activity, production with a weight coefficient. The basis of their formation are:

- национальный классификатор профессий рабочих, должностей служащих и тарифных разрядов;- national classifier of occupations of workers, positions of employees and tariff categories;

- нормативно-правовые базы профессионального уровня;- legal and regulatory frameworks of a professional level;

- тарифно-квалификационный справочник работ и профессий рабочих;- Tariff and qualification reference book of jobs and occupations of workers;

- словарь иностранных должностных аббревиатур.- Dictionary of foreign official abbreviations.

Таблицы формируются исходя из цели создания матрицы должностей, где каждой должности присваивается коэффициент.Tables are formed based on the purpose of creating a matrix of posts, where each post is assigned a coefficient.

б) унифицированные таблицы времени, которое пользователь занимал должность.b) unified tables of the time that the user occupied the position.

2. Алгоритма расчета поправочных коэффициентов - алгоритм и программный код, осуществляющие следующие действия:2. Algorithm for calculating correction factors - an algorithm and program code that perform the following actions:

- расчет соответствия должности образованию пользователя на данном временном периоде с учетом биоритмов;- calculation of the correspondence of the position to the user's education for a given time period taking into account biorhythms;

- расчет коэффициента карьерного роста.- calculation of career growth rate.

3. Алгоритм поэтапного расчетного профессиональных достижений - алгоритм и программный код, осуществляющие следующие действия:3. The algorithm of phased calculated professional achievements - an algorithm and program code that perform the following actions:

1-й этап - формирование информации об уровне заработных плат должностей, занимаемых пользователем в оцениваемые периоды. Сбор информации осуществляется путем интеграции аппаратно-программных комплексов рекрутинговых агентств через шлюз.1st stage - the formation of information about the level of salaries of posts occupied by the user in the estimated periods. Information is collected through the integration of hardware and software systems of recruiting agencies through a gateway.

2-й этап - формирование таблицы поправочных коэффициентов в зависимости от соответствия заработной платы пользователя на исследуемой должности к уровню, сформированному по запросу в рекрутинговые агентства.2nd stage - the formation of a table of correction factors depending on the correspondence of the user's salary in the studied position to the level formed at the request of recruiting agencies.

3-й этап - расчет профессионального уровня пользователя по следующей формуле:3rd stage - the calculation of the professional level of the user according to the following formula:

Figure 00000019
, где:
Figure 00000019
where:

P(t) - оценка профессионального уровня пользователя в заданное время t;P (t) - assessment of the user's professional level at a given time t;

Ti - расчетное значение профессионального уровня в i-й профессиональный период;Ti - the calculated value of the professional level in the i-th professional period;

n - число профессиональных периодов.n is the number of professional periods.

При этом расчетное значение профессионального уровня Тi - рассчитывается для каждого i-ro уровня по следующей формуле:In this case, the calculated value of the professional level Ti - is calculated for each i-ro level according to the following formula:

Ti=Tpi * 0i * Ki*Zi * Si, где:Ti = Tpi * 0i * Ki * Zi * Si , where:

Tpi - весовой коэффициент занимаемой в i-й профессиональный период, взятый из унифицированной таблицы;Tpi - weight coefficient occupied in the i-th professional period, taken from a unified table;

Oi -коэффициент соответствия должности в i-й профессиональный период уровню образования в этот временной период;Oi is the coefficient of correspondence of the position in the i-th professional period to the level of education in this time period;

Ki - коэффициент карьерного роста в i-й профессиональный период;Ki - career growth rate in the i-th professional period;

Zi -коэффициент соответствия получаемой i-й профессиональный период зарплаты зарплатам на рынке по данной должности (при отсутствии информации принимается равным 1);Zi is the correspondence coefficient of the obtained i-th professional period of salaries to salaries in the market for this position (in the absence of information, it is taken equal to 1);

Si - коэффициент стажа, взятый из унифицированной таблицы коэффициентов стажа (срока пребывания на данной должности).Si - the coefficient of experience, taken from a unified table of coefficients of experience (tenure in this position).

Медицинский факторMedical factor

Модуль оценки потенциала здоровья. Для оценки потенциала здоровья организм пользователя принимается за единую систему взаимосвязанных органов и морфофункциональных систем, подверженную процессу износа вплоть до окончательного вывода из строя. На длительность эксплуатации данной системы влияют как внешние факторы воздействия (экология, психоэмоциональная среда, внешнее окружение, условия проживания и т.д.), так и внутренние факторы (образ жизни, вредность профессии, наличие вредных привычек, наследственных болезней).Health potential assessment module. To assess the potential for health, the user's body is taken for a single system of interconnected organs and morphofunctional systems, subject to the process of wear and tear until the final failure. The duration of the operation of this system is affected by both external factors of influence (ecology, psychoemotional environment, external environment, living conditions, etc.) and internal factors (lifestyle, harmfulness of the profession, the presence of bad habits, hereditary diseases).

Расчет потенциала здоровья осуществляется в несколько этапов.The calculation of the health potential is carried out in several stages.

Первый этап. Расчет стартовых условий. При этом в систему вводится значения:First step. Calculation of starting conditions. In this case, the following values are entered into the system:

• на каких органах или системах органов, осуществлялись оперативные вмешательства;• on which organs or organ systems, surgical interventions were carried out;

• органы или системы органов, отсутствующие у пользователя;• organs or organ systems that the user does not have;

• наличие хронических заболеваний;• the presence of chronic diseases;

• наличие хронических заболеваний у ближайших родственников (мать, отец), которые могут передаться пользователю по наследству.• the presence of chronic diseases in the immediate family (mother, father), which can be passed on to the user by inheritance.

Если при вводе в систему данных пользователь не указал органы, на которых осуществлялись оперативные вмешательства либо отсутствующие органы, хронические заболевания у себя и у родственников, то присваивается 100 процентов. Если пользователь указывает наличие тех или иных факторов, то расчетное значение потенциала здоровья высчитывается по формуле:If, when entering into the data system, the user did not indicate the organs on which the operative interventions were performed or the missing organs, chronic diseases at home and at relatives, then 100 percent is assigned. If the user indicates the presence of certain factors, then the calculated value of the health potential is calculated by the formula:

Рнач = 100 - F1 - F2 - F3 - F4, гдеPbeg = 100 - F1 - F2 - F3 - F4 , where

Рнач - начальное значение потенциала здоровья пользователяPnach - the initial value of the user's health potential

Fi - значение потерь системы, рассчитываемое, как сумма потерь всех показателей, взятых из таблицы потерьFi - the value of system losses, calculated as the sum of the losses of all indicators taken from the table of losses

Figure 00000020
где
Figure 00000020
Where

i - меняется от 1 до 4i - varies from 1 to 4

n - равно максимальному значению количества введенных в систему данных (органов, на которые осуществлялись вмешательства либо отсутствующих, хронических заболеваний у себя и у родственников 1-й линии).n - is equal to the maximum value of the number of data entered into the system (organs on which interventions were carried out or absent, chronic diseases in themselves and in relatives of the 1st line).

Таблица потерь составляется на основании влияния фактора на жизнедеятельность организма, при которой фактору присваивается значение 100 в случае, если при наличии данного фактора жизнедеятельность организма невозможна, и, 0, если наличие данного фактора не оказывает какого- либо существенного влияния на организм.The table of losses is compiled on the basis of the influence of the factor on the vital activity of the body, in which the factor is assigned a value of 100 if the presence of this factor does not allow the vital activity of the body, and 0, if the presence of this factor does not have any significant effect on the body.

Например. Отсутствие головы не позволит организму жить, отсутствие пальца на ноге не повлияет на жизнедеятельность организма.For example. The absence of a head will not allow the body to live, the absence of a toe will not affect the vital activity of the body.

Второй этап. Определение расчетного потенциала организма.Second phase. Determination of the estimated potential of the body.

Для определения расчетного потенциала организма пользователя в заданный момент времени берется среднее значение продолжительности жизни для категории жителей, к которой относится пользователь по основным характеристикам: (пол, возраст, национальность, страна проживания).To determine the estimated potential of the user's body at a given point in time, the average life expectancy is taken for the category of residents to which the user belongs by the main characteristics: (gender, age, nationality, country of residence).

Полученное значение сравнивается со средним значением продолжительности жизни ближайших родственников пользователя (родственников 1-й линии). Расчетное значение продолжительности жизни пользователя при соблюдении всех медицинских мероприятий и правильного образа жизни будет рассчитываться по следующей формуле:The resulting value is compared with the average life expectancy of the user's next of kin (1st line relatives). The estimated value of the user's life expectancy, subject to all medical measures and the right lifestyle, will be calculated using the following formula:

Figure 00000021
где:
Figure 00000021
Where:

Gpac - расчетное значение продолжительности жизни пользователяGpac is the estimated value of the user's lifespan

Gcp- среднее значение продолжительности жизни, соответствующее половому признаку пользователя и месту его проживания;Gcp - the average value of life expectancy corresponding to the sex of the user and his place of residence;

Gp - среднее значение продолжительности жизни родственников пользователя (1-й линии), умерших не в результате несчастного случая.Gp - the average life expectancy of the user's relatives (1st line) who died not as a result of an accident.

Третий этап. Определение биологического возраста пользователя. Определение биологического возраста пользователя, может производиться по различным методикам, например, описанным в патентах на изобретение РФ:The third stage. Determination of the biological age of the user. Determination of the biological age of the user can be carried out by various methods, for example, described in patents for the invention of the Russian Federation:

• №2302198 «Способ определения биологического возраста человека»,• No. 2302198 "Method for determining the biological age of a person",

• №2102924 «Способ определения биологического возраста человека»,• No. 2102924 "Method for determining the biological age of a person",

• №2387374 «Способ определения биологического возраста человека и скорости старения».• No. 2387374 "A method for determining the biological age of a person and the rate of aging."

При этом, с целью минимизации погрешности вычислений для дальнейших расчетов принимается среднее значение биологического возраста пользователя, которое рассчитывается по формуле:At the same time, in order to minimize the calculation error for further calculations, the average value of the biological age of the user is taken, which is calculated by the formula:

Figure 00000022
где:
Figure 00000022
Where:

Врас - среднее значение биологического возраста пользователя;Inraces - the average value of the biological age of the user;

B1 В2, В3 - расчетное значение биологического возраста пользователя, полученной по методикам 1, 2 или 3, соответственно.B1 B2 , B3 - the calculated value of the biological age of the user, obtained by the methods 1, 2 or 3, respectively.

Четвертый этап. Определение расчетного времени дожития.The fourth stage. Determination of estimated survival time.

Метод состоит в определении возраста дожития пользователя и рассчитывается как:The method consists in determining the age of the user's survival and is calculated as:

Fдож = Gрас - Bрас, где:Doge F = Graces - Braces , where:

Fдож - время дожития пользователя.Doge F - user survival time.

Пятый этап. Расчет фактического потенциала здоровья.The fifth stage. Calculation of actual health potential.

Фактического потенциала здоровья пользователя рассчитывается как остаток начального потенциала и износа системы. При этом за годы эксплуатации принимается максимальное значение биологического возраста, определенное на основании вышеназванных методик.The user's actual health potential is calculated as the remainder of the initial potential and system wear. Moreover, over the years of operation, the maximum value of biological age, determined on the basis of the above methods, is taken.

Figure 00000023
где:
Figure 00000023
Where:

Рфакт - фактический потенциал пользователя;Pfact - the actual potential of the user;

max(В1, В2, В3) - максимальное значение биологического возраста пользователя, полученное при исполнении третьего этапа.max (В1 , В2 , В3 ) - the maximum value of the biological age of the user obtained during the execution of the third stage.

Шестой этап. Определение динамики скорости старения.Sixth stage. Determination of the dynamics of the rate of aging.

Метод заключается в сравнении скорости старения пользователя со значением его средней скорости старения, полученное по следующей формуле:The method consists in comparing the user's aging rate with the value of his average aging rate obtained by the following formula:

Figure 00000024
где:
Figure 00000024
Where:

VScp - средняя скорость старения пользователя;VScp - average user aging rate;

VSi - скорость старения пользователя рассчитанное в i-й период по известной методике, например, описанной в №2387374 «Способ определения биологического возраста человека и скорости старения».VSi is the user's aging rate calculated in the i-th period by a known method, for example, described in No. 2387374 "Method for determining the biological age of a person and the aging rate".

Затем производится сравнение VScp и VSтeк, а также VSnpeд и VSтeк,Then a comparison is made between VScp and VStech , as well as VSforward and VStech ,

где:Where:

VSтeк - текущая скорость старения пользователя, полученное при последнем расчете;VStech - current user aging rate obtained during the last calculation;

VSnpeд - предыдущее измерение скорости старения пользователя.VSnpd - previous measurement of the user's aging rate.

Если VScp<VSтeк и VSnpeд<VSтeк, то организм пользователя находится в зоне риска, о чем система извещает пользователя.If VScp <VStech and VSforward <VStech , then the user's body is in the risk zone, which the system notifies the user about.

Если VScp<VSтeк, но VSnpeд>VSтeк, то организм пользователя все еще находится в зоне риска, но показатели улучшаются.If VScp <VStech , but VSforward > VStech , then the user's body is still at risk, but performance is improving.

Если VScp>VSтeк и VSnpeд>VSтeк, то организм пользователя находится в зоне комфорта.If VScp > VStech and VSforward > VStech , then the user's body is in the comfort zone.

Если VScp>VSтeк, но VSnpeд<VSтeк, то организм пользователя все еще находится в зоне комфорта, но показатели ухудшаются.If VScp > VStech , but VSforward <VStech , then the user's body is still in the comfort zone, but the performance is deteriorating.

Седьмой этап. Оценка рисков предрасположенности к заболеваниям.Seventh stage. Disease predisposition risk assessment.

Метод заключается в использовании данных, полученных по результатам генетических анализов, для определения органов и систем пользователя, находящихся в зоне риска. При отсутствии генетических исследований система предлагает пользователю ответить на опросник по известным ему заболеваниям ближайших родственников, а также осуществляет поиск информации о заболеваниях ближайших родственников в своей базе данных, доступной для системы информации в медицинских учреждениях, социальных сетях.The method consists in using data obtained from the results of genetic analyzes to determine the organs and systems of the user at risk. In the absence of genetic research, the system prompts the user to answer the questionnaire on the diseases of the next of kin known to him, and also searches for information about the diseases of the next of kin in his database, accessible for the information system in medical institutions, social networks.

Собранная информация позволяет разделить органы и системы пользователя на зоны риска по предрасположенности к тем или иным заболеваниям из-за генетических особенностей организма: высокий риск (установлен результатом генетических исследований и/или встречается у всех исследованных родственников); средний риск (установлен результатом генетических исследований и/или встречается не менее чем у 2/3 исследованных родственников); минимальный риск (установлен результатом генетических исследований и/или встречается у 1/3 исследованных родственников).The information collected allows us to divide the user's organs and systems into risk zones according to their predisposition to certain diseases due to the genetic characteristics of the body: high risk (established by the result of genetic studies and / or found in all the relatives studied); medium risk (established by the result of genetic studies and / or occurs in at least 2/3 of the examined relatives); minimal risk (established by the result of genetic studies and / or occurs in 1/3 of the examined relatives).

Фактор Физической активности:Physical Activity Factor:

В соответствии с классификацией и рекомендациями уровней физической активности человека (Потребности человека в энергии Доклад о совместной консультации экспертов ФАО / ВОЗ / УООН, Рим, Италия, 17-24 октября 2001 года) для обеспечения здоровья сердечно-сосудистой системы необходим коэффициент физической активности не ниже 1,75.In accordance with the classification and recommendations of the levels of physical activity of a person (Human needs for energy, Report on a joint consultation of experts FAO / WHO / UNU, Rome, Italy, October 17-24, 2001), to ensure the health of the cardiovascular system, a physical activity factor of at least 1.75.

расчет данного коэффициента у пользователя производится в несколько этапов.Calculation of this coefficient by the user is carried out in several stages.

1-й этап. Первичная оценка коэффициента активности. Производится на основании опроса пользователя. Пример опросной таблицы представлен в таблице 5.1st stage. Initial assessment of activity coefficient. Based on a user survey. An example of a questionnaire is presented in table 5.

Figure 00000025
Figure 00000025

Figure 00000026
Figure 00000026

По итогам опроса производится расчет первичного коэффициента активности по следующей формуле:According to the results of the survey, the primary activity coefficient is calculated according to the following formula:

Figure 00000027
где:
Figure 00000027
Where:

Аo - первичный коэффициент активности пользователя, полученный в результате опроса;Ando is the primary coefficient of user activity obtained as a result of the survey;

ti - время, затраченное пользователем на i-й вид деятельности, согласно таблице опроса;ti - time spent by the user on the i-th activity, according to the survey table;

ki - коэффициент активности по i-му виду деятельности, согласно таблице опроса;ki - activity coefficient for the i-th activity, according to the survey table;

n - количество видов деятельности, включенных в таблицу опроса.n is the number of activities included in the survey table.

2-й этап. Ежедневный мониторинг физической активности пользователя. Производится на основании оценки данных, поступающих из смартфона, фитнес-треккеров и другого носимого оборудования пользователя. Расчет производится по формуле:2nd stage. Daily monitoring of the user's physical activity. It is made based on the assessment of data coming from a smartphone, fitness trackers and other wearable equipment of the user. The calculation is made according to the formula:

Figure 00000028
где:
Figure 00000028
Where:

Атек - текущий коэффициент активности пользователя, рассчитанный на основании мониторируемых показателей;Andtech - the current coefficient of user activity, calculated on the basis of monitored indicators;

Figure 00000029
- зафиксированное время, которое пользователь затратил на i-й мониторируемый вид деятельности.
Figure 00000029
- the fixed time that the user spent on the i-th type of activity being monitored.

Монитарируемые виды деятельности должны совпадать с видами деятельности, вошедшими в опросную таблицу. В случае невозможности снятия показателя вида деятельности в процессе мониторинга, система запрашивает данные о времени деятельности по нему у пользователя.The monitored activities should coincide with the activities included in the questionnaire. If it is impossible to take an indicator of the type of activity during the monitoring process, the system requests data on the time of activity for it from the user.

3-й этап. Выработка рекомендаций. В зависимости от результатов сравнения предыдущего коэффициента активности с последующим, медицинских показателей пользователя на момент сравнения, система вырабатывает рекомендации, основанные на рекомендациях ВОЗ, по увеличению (снижению) физической активности пользователя.3rd stage. Making recommendations. Depending on the results of comparing the previous activity coefficient with the subsequent medical indicators of the user at the time of comparison, the system develops recommendations based on WHO recommendations for increasing (decreasing) the user's physical activity.

Фактор материального состояния:Material Factor:

Метод оценки материального состояния пользователя состоит из нескольких этапов, содержащих прогностический подход.The method of assessing the material condition of the user consists of several stages containing a predictive approach.

1-й этап. Оценка стартового значения материального состояния пользователя. Производится по итогам опроса об имущественном положении пользователя (финансовая составляющая: зарплата, дополнительный доход, вклады, накопления, обязательства; имущественная составляющая: недвижимое имущество, движимое имущество; инвестиционная составляющая: акции и облигации, паи и доли в предприятиях, драгоценные металлы, прочие активы). Дополнительно оцениваются сложившиеся потребности пользователя в ресурсах (оплата коммунальных услуг, содержание семьи, оплата лечения, проезда, учебы и т.д.)1st stage. Assessment of the starting value of the material condition of the user. Based on the results of a survey on the user's property status (financial component: salary, additional income, deposits, savings, liabilities; property component: real estate, movable property; investment component: shares and bonds, shares and shares in enterprises, precious metals, other assets ) Additionally, the current needs of the user in resources are estimated (payment of utilities, family support, payment of treatment, travel, study, etc.)

2-й этап. Определение ожидаемого уровня материального состояния пользователя. Производится по итогам опроса об уровне материального состояния, к которому стремится пользователь распределенный на три составляющих (финансовую, имущественную, инвестиционную).2nd stage. Determination of the expected level of material condition of the user. Based on the results of a survey on the level of material condition, to which the user seeks to be divided into three components (financial, property, investment).

3-й этап. Сравнение стартового уровня с ожидаемым по всем составляющим и параметрам опроса.3rd stage. Comparison of the starting level with the expected in all components and parameters of the survey.

4-й этап. Составление таблицы среднего материального состояния специалиста уровня пользователя на основании данных, получаемых из web-пространства. Сравнение полученного результата со стартовым значением и ожидаемым.4th stage. Compilation of a table of the average material condition of a user-level specialist based on data obtained from a web space. Comparison of the result with the starting value and expected.

5-й этап. Оценка репутации пользователя производится по проверкам наличия негативной информации пользователя на сайтах служб судебных приставов, информации в бюро кредитных историй (загружается пользователем), базах данных судов, базах данных неоплаченных штрафов за административные правонарушения, задолженностей за коммунальные услуги и т.д.5th stage. The user's reputation is assessed by checking the availability of negative user information on the websites of the bailiff services, information in the credit bureau (uploaded by the user), court databases, databases of unpaid fines for administrative offenses, debts for utilities, etc.

6-й этап. Проведение расчета минимального необходимого дохода для покрытия всех потребностей пользователя по следующей формуле:6th stage. Calculation of the minimum required income to cover all the needs of the user according to the following formula:

Nmin = 1,2 * (Umin + Fmin + Emin + Hemin + Crmin + Vmin), где:Nmin = 1.2 * (Umin + Fmin + Emin + Hemin + Crmin + Vmin ), where:

Nmin - минимальная сумма необходимого дохода для нормального существования пользователя;Nmin - the minimum amount of necessary income for the normal existence of the user;

Umin - минимальные коммунальные расходы, складывающиеся из необходимых платежей за аренду жилья, оплата коммунальных расходов;Umin - minimum utility costs, consisting of the necessary payments for rental housing, payment of utility costs;

Fmin - минимальные расходы на питание пользователя и членов семьи, находящихся на иждивении (в том числе животных);Fmin - the minimum cost of food for the user and family members who are dependent (including animals);

Emin - минимальные средства, направляемые пользователем на обучение себя и членов семьи;Emin - the minimum funds allocated by the user to educate themselves and family members;

Hemin - минимальные средства, затрачиваемые пользователем на медицинские мероприятия для себя и челнов семьи, находящихся на иждивении (в том числе животных);Hemin - the minimum funds spent by the user on medical events for himself and the family members who are dependent (including animals);

Crmin - кредитные обязательства пользователя - минимальные обязательные платежи по долговым обязательствам пользователя;Crmin - user's credit obligations - minimum obligatory payments on the user's debt obligations;

Vmin- транспортные расходы пользователя, складывающиеся из минимального количества средств, которые пользователь ежемесячно тратит на проезд в транспорте (в том числе на покупку бензина) на себя и членов семьи, находящихся на иждивении.Vmin- the user's transportation costs, consisting of the minimum amount of funds that the user spends every month on travel in transport (including the purchase of gasoline) for himself and his family members who are dependent.

Сумма данных обязательств умножается на коэффициент 1,2 для создания резервного фонда в размере 20 процентов от суммы необходимых затрат. Данные средства направляются на покрытие непредвиденных расходов (10 процентов) и направляются в фонд накопления для решения стратегических задач (покупка необходимых вещей, оплата дорогостоящего лечения, снижение долговой нагрузки).The amount of these obligations is multiplied by a factor of 1.2 to create a reserve fund in the amount of 20 percent of the amount of necessary costs. These funds are used to cover unforeseen expenses (10 percent) and are sent to the accumulation fund for solving strategic tasks (buying the necessary things, paying for expensive treatment, reducing the debt burden).

7-й этап. Мониторинг движения по карточным счетам пользователя на основании контроля за банковскими CMC-оповещениями (с разрешения пользователя) и ежедневного опроса пользователя о состоянии банковских счетов.7th stage. Monitoring the movement on the user's card accounts based on the control of bank CMC alerts (with the permission of the user) and a daily survey of the user about the status of bank accounts.

Информация, полученная системой на основании данных из CMC-оповещений о списании (зачислении) средств на банковскую карту пользователя, а также по ежедневному опросу пользователя о пополнении счета, произведенных расходах (когда, на что, в какой сумме, с какого счета) позволяет системе классифицировать произведенные затраты по статьям расхода, сравнить их с планом необходимых затрат. При превышении допустимых расходов система извещает пользователя о риске дефолта.The information received by the system on the basis of data from CMC notifications about debiting (crediting) funds to a user's bank card, as well as on a daily survey of a user about topping up an account, expenses incurred (when, for what, in what amount, from which account) allows the system classify the costs incurred by expense items, compare them with the plan of necessary costs. If the allowable costs are exceeded, the system notifies the user of the risk of default.

8-й этап. Предоставление информации пользователю с рекомендациями о возможных направлениях улучшения его уровня материального состояния. Рекомендации носят прогностический характер, при их выработки используются положения теории финансового анализа.8th stage. Providing information to the user with recommendations on possible directions for improving his level of material condition. The recommendations are prognostic in nature, when they are developed, the provisions of the theory of financial analysis are used.

Система учитывает остаток средств на счете пользователя, сравнивает его с планом необходимых затрат и, в случае превышения остатка над расходами предлагает пользователю возможные варианты размещения временно свободных средств.The system takes into account the balance of funds in the user's account, compares it with the plan of necessary costs and, in case of excess of the balance over expenses, offers the user possible options for placing temporarily free funds.

Фактор питания:Nutrition Factor:

Расчет схемы правильного питания производится с учетом индивидуальных особенностей пользователя, его материального состояния, места нахождения пользователя и времени года. Расчет состоит из нескольких этапов.The calculation of the proper nutrition scheme is made taking into account the individual characteristics of the user, his financial condition, location of the user and time of year. The calculation consists of several stages.

1-й этап. Определение действующего рациона и порядка питания пользователя. Производится на основании опросных листов, включающих данные о времени и частоте приема пищи, составе рациона пользователя, наличия аллергических реакций (противопоказаний) на пищевые продукты, вкусовые предпочтения пользователя.1st stage. Determination of the current diet and nutritional order of the user. It is made on the basis of questionnaires, including data on the time and frequency of food intake, the composition of the user's diet, the presence of allergic reactions (contraindications) to food products, and taste preferences of the user.

2-й этап. Оценка состояния пользователя на основании медицинских и персональных данных, введенных пользователем в систему (соответствие рост весовых и возрастных показателей, состояние органов и морфофункциональных систем, их соответствие гендерно возрастным характеристикам пользователя). Выделение рисковых и критических зон.2nd stage. Assessment of the user's condition on the basis of medical and personal data entered by the user into the system (correspondence to the growth of weight and age indicators, the state of organs and morphofunctional systems, their compliance with the gender and age characteristics of the user). Highlighting risk and critical zones.

3-й этап. Анализ соответствия действующего рациона и порядка питания текущему состоянию пользователя.3rd stage. Analysis of the conformity of the current ration and nutrition order to the current state of the user.

4-й этап. Выработка рекомендаций по коррекции рациона и питания пользователя с учетом его текущего физического состояния, поставленной главной цели, материального состояния, времени года и места проживания пользователя.4th stage. Development of recommendations for the correction of the user's diet and nutrition, taking into account his current physical condition, the main goal, material condition, time of year and place of residence of the user.

При разработке настоящего изобретения мы основывались на определении «качества жизни», сформулированном экспертами ВОЗ, согласно которому, качество жизни - «это индивидуальное соотношение положения в жизни общества в контексте культуры и систем ценности этого общества с целями данного индивидуума, его планами, возможностями и степенью общего неустройства». ВОЗ также были разработаны ключевые критерии качества жизни и их составляющие (World Health Organization. Quality of life group. What is it Quality of life? Wid. Hth. Forum. 1996. V.l. P.29):In developing the present invention, we based on the definition of “quality of life” formulated by WHO experts, according to which, quality of life is “an individual correlation of the situation in the life of society in the context of the culture and value systems of this society with the goals of this individual, his plans, capabilities and degree general disorder. " WHO has also developed key criteria for quality of life and their components (World Health Organization. Quality of life group. What is it Quality of life? Wid. Hth. Forum. 1996. V.l. P.29):

1. физические (сила, энергия, усталость, боль, дискомфорт, сон, отдых);1. physical (strength, energy, fatigue, pain, discomfort, sleep, rest);

2. психологические (положительные и отрицательные эмоции, мышление, изучение, запоминание, концентрация, самооценка, внешний вид, негативные переживания);2. psychological (positive and negative emotions, thinking, studying, remembering, concentration, self-esteem, appearance, negative experiences);

3. уровень независимости (повседневная активность, работоспособность, зависимость от лечения и лекарств);3. level of independence (daily activity, performance, dependence on treatment and drugs);

4. общественная жизнь (личные взаимоотношения, общественная ценность субъекта, сексуальная активность);4. public life (personal relationships, social value of the subject, sexual activity);

5. окружающая среда (благополучие, безопасность, быт, обеспеченность, доступность и качество медицинского и социального обеспечения, доступность информации, возможность обучения и повышения квалификации, досуг, экология).5. environment (well-being, safety, life, security, accessibility and quality of medical and social security, access to information, the possibility of training and advanced training, leisure, ecology).

При этом, анализ литературы показал, что единых критериев и норм оценки качества жизни не существует, а основными инструментами для изучения качества жизни являются стандартизированные опросники, основанные на психометрических методах.Moreover, an analysis of the literature showed that there are no uniform criteria and norms for assessing the quality of life, and the standardized questionnaires based on psychometric methods are the main tools for studying the quality of life.

Для подтверждения действительного улучшения качества жизни пользователя при использовании разработанной нами группы изобретения были проведены исследования. Для чего были сформированы четыре группы исследования, репрезентативные по составу включенных в них пользователей.To confirm the actual improvement in the quality of life of the user when using the group of inventions developed by us, studies were conducted. Why were four study groups formed, representative of the composition of the users included in them.

На первом этапе исследования оценивалась значимость учитываемых факторов, в связи с чем, группы 1 и 2 отличались перечнем факторов. Так, в первую группу вошли 20 пользователей, у которых учитывались факторы: политический, экономический и медицинский. Во вторую группу были включены 20 пользователей, у которых оценивалось влияние на качество жизни - медицинских и социальных факторов.At the first stage of the study, the significance of the factors considered was evaluated, and therefore, groups 1 and 2 differed in the list of factors. So, the first group included 20 users who took into account factors: political, economic and medical. The second group included 20 users who evaluated the impact on the quality of life - medical and social factors.

На втором этапе исследования оценивалось влияние индивидуального мониторинга изменения качества жизни с последующей корректировкой жизненного цикла пользователя на основании полученной оценки и составленных индивидуальных рекомендаций. Для чего также были сформированы группы: группа 1 (те же пользователи, которые участвовали на 1 этапе исследования) - пользователи, которым с заданной периодичностью направлялись стандартизированные рекомендации, направленные на поддержание приверженности к улучшению качества жизни; группа 2 (те же пользователи, которые участвовали на 1 этапе исследования) - пользователи, которым регулярно предоставлялись индивидуальные оценка текущего качества жизни и рекомендации (в случае необходимости) по ее коррекции, основанные на индивидуальной оценке параметров пользователя.At the second stage of the study, the impact of individual monitoring of changes in the quality of life was assessed with subsequent adjustment of the user's life cycle based on the received assessment and individual recommendations made. For which groups were also formed: group 1 (the same users who participated in stage 1 of the study) - users who were sent standardized recommendations with a given frequency to maintain commitment to improving the quality of life; group 2 (the same users who participated in stage 1 of the study) - users who are regularly provided with an individual assessment of the current quality of life and recommendations (if necessary) for its correction, based on an individual assessment of user parameters.

Данные о результатах сравнения групп, представлены в таблицах 6 и 7.Data on the results of the comparison of groups are presented in tables 6 and 7.

Figure 00000030
Figure 00000030

Figure 00000031
Figure 00000031

Из таблиц 6 и 7 однозначно следует, что на улучшение качества жизни пользователя оказывают влияние - учет комплекса определенных факторов - медицинского и социального, а также индивидуальный подход к мониторингу состояния пользователя с последующим предоставлением ему индивидуальных рекомендаций по коррекции жизненного цикла. Это позволяет добиться достоверно лучших результатов улучшения качества жизни пользователя, оптимизировав (улучшив) ее.It clearly follows from tables 6 and 7 that improving the quality of life of a user is influenced by taking into account a set of certain factors - medical and social, as well as an individual approach to monitoring the state of the user with subsequent provision of individual recommendations for correcting the life cycle. This allows you to achieve significantly better results in improving the quality of life of the user, optimizing (improving) it.

Claims (49)

Translated fromRussian
1. Способ улучшения качества жизни пользователя, включающий в себя:1. A way to improve the quality of life of the user, including:получение персональных данных о пользователе;receiving personal data about the user;получение данных о занятиях, повышающих качество жизни человека;obtaining data on activities that enhance the quality of human life;обработку полученных данных о пользователе, включающую в себя вычисление социальных факторов и медицинских факторов на основе полученных данных;processing received user data, including the calculation of social factors and medical factors based on the received data;обработку данных о занятиях, включающую в себя формирование списка занятий и определение противопоказаний для каждого занятия из указанного списка занятий;processing data about classes, which includes the formation of a list of classes and determination of contraindications for each class from the specified list of classes;анализ обработанных данных, причем анализ включает в себя использование прогностической модели, где прогнозирование осуществляется с помощью алгоритма случайного леса, причем анализ данных включает в себяanalysis of the processed data, and the analysis includes the use of a predictive model, where forecasting is carried out using a random forest algorithm, and the data analysis includesвыявление корреляций между социальными факторами и медицинскими факторами, путем их сопоставления на временной шкале,identification of correlations between social factors and medical factors, by comparing them on a timeline,определение весов для каждого социального фактора, характеризующих его влияние на каждый медицинский фактор,determination of weights for each social factor characterizing its influence on each medical factor,определение, на основе противопоказаний, списка критических занятий, приводящих к ухудшению качества жизни пользователя ниже заданного уровня;determination, on the basis of contraindications, of a list of critical activities leading to a deterioration in the quality of life of a user below a predetermined level;генерирование прогноза качества жизни пользователя на основе анализа данных;generating a forecast of a user's quality of life based on data analysis;вывод прогноза качества жизни пользователю;conclusion of the forecast of quality of life to the user;формирование списка рекомендованных для повышения качества жизни пользователя занятий и вывод их пользователю;formation of a list of classes recommended for improving the quality of life of the user and displaying them to the user;выполнение вышеуказанных: получения данных, обработки полученных данных, анализа обработанных данных, генерирования прогноза качества жизни и вывода прогноза качества жизни пользователю с заданной первой периодичностью;the implementation of the above: obtaining data, processing the obtained data, analyzing the processed data, generating a forecast of quality of life and outputting a forecast of quality of life to the user with a given first periodicity;выполнение анализа текущего состояния пользователя, включающее в себяanalysis of the current state of the user, includingполучение данных о текущем состоянии пользователя, причем данные о текущем состоянии пользователя включают в себя данные фотоплетизмографии, данные о двигательной активности пользователя и данные об электрической проводимости кожи пользователя;obtaining data on the current state of the user, and data on the current state of the user include photoplethysmography data, data on the user's physical activity and data on the electrical conductivity of the user's skin;анализ данных о текущем состоянии пользователя, включающий в себя вычисление параметров текущего состояния пользователя, причем указанные параметры вводятся в используемую прогностическую модель, и производится коррекция прогноза качества жизни, причемanalysis of data on the current state of the user, including the calculation of the parameters of the current state of the user, and these parameters are entered into the used prognostic model, and the forecast of the quality of life is adjusted, andесли прогноз качества жизни пользователя ухудшается, то пользователь получает оповещение о необходимости изменения поведения;if the forecast of the user's quality of life deteriorates, then the user is notified of the need to change behavior;причем анализ текущего состояния пользователя выполняется со второй периодичностью, более частой, чем первая периодичность.moreover, the analysis of the current state of the user is performed with a second frequency more frequent than the first frequency.2. Способ по п. 1, в котором получение данных о пользователе включает в себя получение персональных данных пользователя, данных об образовании, данных о профессиональном опыте, данных о генетических рисках, образе жизни пользователя и данных о состоянии здоровья пользователя.2. The method according to claim 1, wherein obtaining user data includes obtaining user personal data, education data, professional experience data, genetic risk data, user lifestyle, and user health data.3. Способ по п. 1, в котором социальные факторы включают в себя фактор образования, психологический фактор и профессиональный фактор.3. The method of claim 1, wherein the social factors include an educational factor, a psychological factor, and a professional factor.4. Способ по п. 2, в котором персональные данные пользователя включают в себя одно или более из группы, содержащей: имя пользователя, дату рождения, пол, телефон, адрес электронной почты, адреса страниц в социальных сетях, адрес места жительства.4. The method according to claim 2, in which the user's personal data includes one or more of the group consisting of: username, date of birth, gender, phone, email address, social network page addresses, address of residence.5. Способ по п. 2, в котором данные об образовании включают в себя уровень образования, названия образовательных учреждений, наличие профессиональных сертификатов, даты начала и окончания прохождения обучения, результаты тестов на интеллект.5. The method according to p. 2, in which the data on education includes the level of education, the names of educational institutions, the availability of professional certificates, the start and end dates of training, the results of intelligence tests.6. Способ по п. 2, в котором данные о профессиональном опыте включают в себя наименования должностей, уровни дохода, количество подчиненных, даты начала и окончания работы в указанных должностях.6. The method according to p. 2, in which data on professional experience include job titles, income levels, number of subordinates, start and end dates of work in these positions.7. Способ по п. 2, в котором данные о генетических рисках включают в себя данные о родственниках пользователя и/или данные генетических тестов пользователя.7. The method of claim 2, wherein the genetic risk data includes data on the user's relatives and / or user genetic test data.8. Способ по п. 7, в котором данные о родственниках пользователя включают в себя данные о состоянии здоровья указанных родственников и психологические данные о родственниках.8. The method according to claim 7, in which the information about the user's relatives includes data on the state of health of said relatives and psychological data about the relatives.9. Способ по п. 2, в котором данные об образе жизни включают в себя данные о занятиях спортом и вредных привычках пользователя.9. The method according to claim 2, in which the data on the lifestyle includes data on sports and bad habits of the user.10. Способ по п. 3, в котором психологический фактор вычисляется на основе данных, включающих в себя страницы в социальных сетях и адрес места жительства пользователя.10. The method according to p. 3, in which the psychological factor is calculated based on data including pages on social networks and the user's address of residence.11. Способ по п. 1, в котором медицинские факторы включают в себя минимальный возраст дожития, скорость снижения потенциала здоровья, динамику изменения темпов снижения потенциала здоровья, риски предрасположенности к заболеваниям.11. The method according to p. 1, in which medical factors include the minimum age of survival, the rate of decline in health potential, the dynamics of changes in the rate of decline in health potential, the risks of predisposition to diseases.12. Способ по п. 11, в котором минимальный возраст дожития вычисляется на основе данных о времени дожития органа, средней продолжительности жизни человека и биологического возраста.12. The method according to p. 11, in which the minimum age of survival is calculated on the basis of data on the survival time of the organ, the average life expectancy of a person and biological age.13. Способ по п. 11, в котором скорость снижения потенциала здоровья вычисляется на основе данных о возрасте пользователя, данных о генетических рисках и данных о состоянии здоровья пользователя.13. The method according to claim 11, in which the rate of decline of the health potential is calculated on the basis of data on the user's age, data on genetic risks and data on the state of health of the user.14. Способ по п. 11, в котором динамика изменения темпов снижения потенциала здоровья вычисляется на основе данных о состоянии здоровья пользователя в разные периоды жизни.14. The method according to p. 11, in which the dynamics of changes in the rate of decline in health potential is calculated on the basis of data on the user's health status in different periods of life.15. Способ по п. 11, в котором риски предрасположенности к заболеваниям вычисляются на основе данных о генетических рисках пользователя.15. The method according to claim 11, in which the risks of predisposition to diseases are calculated on the basis of data on the genetic risks of the user.16. Способ по п. 1, в котором анализ обработанных данных включает в себя сопоставление обработанных данных по времени и установление зависимости между социальными и медицинскими факторами.16. The method according to p. 1, in which the analysis of the processed data includes a comparison of the processed data over time and establishing a relationship between social and medical factors.17. Способ по п. 16, в котором анализ обработанных данных дополнительно включает в себя сравнение показателей пользователя с эталонными показателями.17. The method according to p. 16, in which the analysis of the processed data further includes comparing user metrics with reference metrics.18. Способ по п. 1, дополнительно включающий в себя генерирование рекомендаций пользователю для улучшения качества жизни.18. The method according to claim 1, further comprising generating recommendations to the user to improve the quality of life.19. Способ по п. 18, в котором генерирование рекомендаций включает в себя составление персонального плана биомедицинских и социальных мероприятий.19. The method according to p. 18, in which the generation of recommendations includes the preparation of a personal plan of biomedical and social events.20. Система для улучшения качества жизни пользователя, включающая в себя:20. A system for improving the quality of life of a user, including:модуль получения данных, выполненный с возможностью ввода данных о пользователе и получения данных о занятиях, повышающих качество жизни человека;a data acquisition module configured to input user data and obtain data on activities that enhance a person’s quality of life;модуль обработки данных для вычисления социальных и медицинских факторов на основе полученных данных, выполненный с возможностью получения данных от внешних систем, формирования списка занятий и определения противопоказаний для каждого занятия из указанного списка занятий;a data processing module for calculating social and medical factors based on the received data, configured to receive data from external systems, generate a list of classes and determine contraindications for each class from the specified list of classes;измерительный модуль, выполненный с возможностью регистрации двигательной активности пользователя, кровяного потока с помощью фотоплетизмографии и проводимости кожи пользователя;a measuring module configured to record a user's motor activity, blood flow using photoplethysmography and user skin conduction;модуль анализа данных, выполненный с возможностью сопоставления социальных и медицинских факторов, генерирования прогноза качества жизни пользователя, формирования списка рекомендованных для повышения качества жизни пользователя занятий и вычисления параметров текущего состояния пользователя, причем анализ включает в себя:a data analysis module configured to compare social and medical factors, generate a forecast of a user's quality of life, generate a list of classes recommended for improving a user's quality of life, and calculate parameters of a user's current state, and the analysis includes:использование прогностической модели, где прогнозирование осуществляется с помощью алгоритма случайного леса,using a predictive model where forecasting is carried out using a random forest algorithm,сопоставление социальных факторов и медицинских факторов на временной шкале с выявлением корреляций между социальными факторами и медицинскими факторами,a comparison of social factors and medical factors on a timeline with the identification of correlations between social factors and medical factors,определение весов для каждого социального фактора, характеризующих его влияние на каждый медицинский фактор,determination of weights for each social factor characterizing its influence on each medical factor,определение, на основе противопоказаний, списка критических занятий, приводящих к ухудшению качества жизни пользователя ниже заданного уровня;determination, on the basis of contraindications, of a list of critical activities leading to a deterioration in the quality of life of a user below a predetermined level;причем указанные параметры текущего состояния пользователя вводятся в используемую прогностическую модель для коррекции прогноза качества жизни;moreover, the specified parameters of the current state of the user are introduced into the used prognostic model to correct the forecast of quality of life;модуль вывода, выполненный с возможностью представления пользователю сгенерированного прогноза качества жизни, списка рекомендованных для повышения качества жизни пользователя занятий и оповещения пользователя о необходимости изменения поведения.an output module configured to present to the user a generated forecast of quality of life, a list of classes recommended to improve the quality of life of the user, and to notify the user of the need to change behavior.21. Система по п. 20, в которой внешними системами являются страницы в сети Интернет, профессиональные базы данных, медицинские экспертные системы, базы данных городов, предприятий, учебных заведений, статистические базы данных.21. The system of claim 20, wherein the external systems are pages on the Internet, professional databases, medical expert systems, databases of cities, enterprises, educational institutions, and statistical databases.22. Машиночитаемый носитель данных, содержащий исполняемые одним или более процессором машиночитаемые инструкции, которые при их исполнении реализуют выполнение способа улучшения качества жизни пользователя по любому из пп. 1-19.22. A computer-readable storage medium containing machine-readable instructions executed by one or more processors, which, when executed, implement a method for improving a user's quality of life according to any one of claims. 1-19.
RU2018136777A2018-10-182018-10-18Method and system for improving the quality of user lifeRU2680472C1 (en)

Priority Applications (2)

Application NumberPriority DateFiling DateTitle
RU2018136777ARU2680472C1 (en)2018-10-182018-10-18Method and system for improving the quality of user life
PCT/RU2019/000153WO2020080969A1 (en)2018-10-182019-03-12Method and system for optimizing the quality of life of a user

Applications Claiming Priority (1)

Application NumberPriority DateFiling DateTitle
RU2018136777ARU2680472C1 (en)2018-10-182018-10-18Method and system for improving the quality of user life

Publications (1)

Publication NumberPublication Date
RU2680472C1true RU2680472C1 (en)2019-02-21

Family

ID=65479425

Family Applications (1)

Application NumberTitlePriority DateFiling Date
RU2018136777ARU2680472C1 (en)2018-10-182018-10-18Method and system for improving the quality of user life

Country Status (2)

CountryLink
RU (1)RU2680472C1 (en)
WO (1)WO2020080969A1 (en)

Cited By (1)

* Cited by examiner, † Cited by third party
Publication numberPriority datePublication dateAssigneeTitle
RU2827489C2 (en)*2019-05-292024-09-27ЭйчКейДжи ЭПИТЕРАПЬЮТИКС ЛИМИТЕДEpiaging: new ecosystem for healthy aging management

Citations (2)

* Cited by examiner, † Cited by third party
Publication numberPriority datePublication dateAssigneeTitle
US20160294959A1 (en)*2013-06-252016-10-06Ajou University Industry-Academic Cooperation FoundationLifestyle service design system and method
WO2016197452A1 (en)*2015-06-062016-12-15深圳市华科安测信息技术有限公司Big data-based health management method and health management system

Patent Citations (2)

* Cited by examiner, † Cited by third party
Publication numberPriority datePublication dateAssigneeTitle
US20160294959A1 (en)*2013-06-252016-10-06Ajou University Industry-Academic Cooperation FoundationLifestyle service design system and method
WO2016197452A1 (en)*2015-06-062016-12-15深圳市华科安测信息技术有限公司Big data-based health management method and health management system

Non-Patent Citations (1)

* Cited by examiner, † Cited by third party
Title
Повышение качества жизни людей зрелого возраста. Лучшие практики. Обмен опытом. Сборник. Составление и общая редакция: Гульнара Брик. М., 2017. 128 с. Андреева О.Н. Способы оценки уровня и качества жизни населения, Ойкумена. 2013. N 2, сс. 112-120.*

Cited By (1)

* Cited by examiner, † Cited by third party
Publication numberPriority datePublication dateAssigneeTitle
RU2827489C2 (en)*2019-05-292024-09-27ЭйчКейДжи ЭПИТЕРАПЬЮТИКС ЛИМИТЕДEpiaging: new ecosystem for healthy aging management

Also Published As

Publication numberPublication date
WO2020080969A1 (en)2020-04-23

Similar Documents

PublicationPublication DateTitle
Chabris et al.Individual laboratory-measured discount rates predict field behavior
Sloan et al.Health economics
Ruger et al.Out-of-pocket healthcare spending by the poor and chronically ill in the Republic of Korea
Wayment et al.Doing and being: Mindfulness, health, and quiet ego characteristics among Buddhist practitioners
Wang et al.Estimation of deprivation level functions using a numerical rating scale
Collinsworth et al.Effectiveness of a community health worker–led diabetes self-management education program and implications for CHW involvement in care coordination strategies
US20140372133A1 (en)System and method for incentive-based health improvement programs and services
HoffmanHealth Care's Market Bureaucracy
SalonerDoes expanding public insurance prevent material hardship for families with children?
Schneider et al.The physician-patient relationship revisited: the patient’s view
RU2680472C1 (en)Method and system for improving the quality of user life
GhoshPersistence in Physicians' Locations: Long-run Evidence from Decentralised Loan Repayment Programs
MwihiaPerformance of Public Hospitals in Kenya: the essential role of management
YusufImpact of government health expenditure on economic growth in Nigeria from 1981–2016
Wickrama et al.Person–work mismatch, retirement context, and the progression of depressive symptoms over mid-later years: a dyadic analysis of couples in enduring marriages
FasanmadeThe impact of industrial disharmony in the health system outcomes: a case study of the Nigerian Health Sector
Lee et al.Citizenship in radiology: defining a concept and proposing its measure
Hinson et al.Marketing in Healthcare-related Industries
Negwaya et al.An investigation of the factors influencing levels of staff engagement in a provincial, referral hospital: The case of Bindura Provincial Hospital
Priya et al.SERVICE QUALITY OF HEALTH CARE SECTOR (A study based on Government Hospitals)
Grüne et al.Modifying exercise and physical therapy in medical rehabilitation to promote a physically active lifestyle: Protocol for a multicenter controlled hybrid type 2 effectiveness-implementation study in three German rehabilitation centers
LevesonMedical Care Cost Incentives: Some Questions and Approaches for Research
HtweA Comparative Study on the Performance of Private Hospital in Yangon Region.(Maung Maung Htwe, 2024)
McDonald JrExperiences of African American Patients Who Use Financial Counseling Services in US Hospitals: A Multiple Case Study
KaurSustaining Wellness: Comprehensive Insights Into Workplace Wellness Programs

[8]ページ先頭

©2009-2025 Movatter.jp