




Однопозиционный мультипликативный разностно-относительный способ определения координат местоположения источников радиоизлучении (ИРИ) относится к области радиотехники, а именно к системам радиоконтроля для определения местоположения источников радиоизлучения УКВ-СВЧ диапазонов как цифровых, так и аналоговых видов связи, размещенных как на Земле, так и в пространстве, сведения о которых отсутствуют в базе данных (например, государственной радиочастотной службы или государственной службы надзора за связью). Изобретение может быть использовано также при поиске местоположения средств радиосвязи, как возможных источников помех связи.A single-position multiplicative difference-relative method for determining the coordinates of the location of sources of radio emission (IRI) relates to the field of radio engineering, namely, radio monitoring systems for determining the location of sources of radio waves of the VHF-microwave ranges of both digital and analog modes of communication, located both on Earth and in space, information about which is not available in the database (for example, the state radio frequency service or the state communication supervision service). The invention can also be used in the search for the location of radio communications, as possible sources of communication interference.
Известны способы определения координат ИРИ, в которых используются пассивные пеленгаторы в количестве не менее трех, центр тяжести области пересечения выявленных азимутов которых на фронт прихода волны принимается за оценку местоположения. Основными принципами работы таких пеленгаторов являются амплитудные, фазовые и интерферометрические [1, 2]. К их недостаткам следует отнести высокую степень сложности антенных систем, коммутационных устройств и необходимость применения многоканальных радиоприемников.Known methods for determining the coordinates of the IRI, in which passive direction finders are used in an amount of at least three, the center of gravity of the region of intersection of the revealed azimuths of which at the wave arrival front is taken as the location estimate. The basic principles of operation of such direction finders are amplitude, phase, and interferometric [1, 2]. Their disadvantages include a high degree of complexity of antenna systems, switching devices and the need for multi-channel radios.
Наличие в федеральных округах государственной радиочастотной службы взаимосвязанных через центральный пункт разветвленной сети радиоконтрольных постов (РКП), оборудованных средствами приема радиосигналов, измерения и обработки их параметров, позволяет дополнить их функции и задачами определения местоположения тех ИРИ, сведения о которых отсутствуют в базе данных, не прибегая к использованию сложных и дорогостоящих пеленгаторов.The presence in the federal districts of the state radio-frequency service interconnected through a central point of an extensive network of radio monitoring posts (RCP) equipped with means for receiving radio signals, measuring and processing their parameters, allows you to supplement their functions and tasks of determining the location of those IRI, information about which is not in the database, is not resorting to the use of complex and expensive direction finders.
Из других известных способов и устройств близкими аналогами предлагаемого способа по технической сущности и предназначенными для использования при радиоконтроле, могут быть [3, 4]. Способ [3] основан на приеме сигналов тремя антеннами, образующими две пары измерительных баз, измерении разностей времени прихода сигналов ИРИ и детерминированных вычислений искомых координат.Of other known methods and devices, close analogues of the proposed method according to the technical nature and intended for use in radio monitoring, can be [3, 4]. The method [3] is based on the reception of signals by three antennas forming two pairs of measuring bases, measuring the differences in the arrival time of the IRI signals and deterministic calculations of the desired coordinates.
К недостаткам способа следует отнести:The disadvantages of the method include:
1) Большое количество антенн.1) A large number of antennas.
2) Способ не ориентирован на использование РКП.2) The method is not focused on the use of RCP.
3) Измерительные базы для вычисления разности времен прихода сигналов ИРИ парами антенн существенно ограничивают разнос этих антенн, не говоря о нецелесообразности и большой технической сложности реализации способа.3) Measuring bases for calculating the difference in the arrival times of the IRI signals by antenna pairs significantly limit the separation of these antennas, not to mention the inappropriateness and great technical complexity of the implementation of the method.
Разнесенный разностно-дальномерный пеленгатор [4], состоящий из двух периферийных пунктов, центрального и системы единого времени. Периферийные пункты предназначены для приема, хранения, обработки сигналов и передачи фрагментов сигналов на ЦП, на котором вычисляется разность времени прихода сигналов. В системе единого времени применяется хронизатор, представляющий привязанный к шкале единого времени хранитель шкалы текущего времени (часы), предназначенный для привязки записываемых в ЗУ значений уровня сигнала к значению времени приема.Diversity difference-range direction finding [4], consisting of two peripheral points, a central and a single time system. The peripheral points are intended for receiving, storing, processing signals and transmitting signal fragments to the CPU, on which the difference of the signal arrival time is calculated. In the system of single time, a chroniser is used, which represents the keeper of the current time scale (hours) attached to the scale of the single time, designed to bind the signal level values recorded in the memory to the value of the reception time.
Данному пеленгатору свойственны следующие недостатки:This direction finder has the following disadvantages:
1) Не адаптирован к РКП, используемым в филиалах федеральных округов государственной радиочастотной службы или государственной службы надзора за связью.1) Not adapted to the RCP used in the branches of the federal districts of the state radio frequency service or the state service for supervision of communications.
2) Большое количество специализированных пеленгационных (но не радиоконтрольных) постов.2) A large number of specialized direction finding (but not radio monitoring) posts.
3) Необоснованное и нераскрытое (хотя бы до функциональной схемы) применение системы единого времени на ЦП и хронизаторов на ПП, синхронизированных с системой единого времени.3) Unreasonable and undisclosed (at least up to the functional diagram) application of a single time system on a CPU and time clocks on a PC synchronized with a single time system.
4) Необходимость в наличии радиоканалов с большой пропускной способностью (до 625 Мбод) для передачи даже фрагментов сигналов с ПП1 и ПП2 на ЦП.4) The need for radio channels with high bandwidth (up to 625 Mbaud) for the transmission of even fragments of signals from PP1 and PP2 to the CPU.
5) Для организации радиоканала необходимы радиопередающие устройства и получение разрешения на их работу в определенных условиях эксплуатации.5) To organize a radio channel, radio transmitting devices and obtaining permission for their operation in certain operating conditions are required.
Известен угломерно-корреляционный способ оценивания местоположения наземных источников радиоизлучения [5], заключающийся в том, что на борту самолета-пеленгатора одновременно измеряют собственные координаты местоположения x(k), угол курса ψ(k), пеленг ИРИ (φи(k)), отличающийся тем, что бортовая вычислительная система (БВС) осуществляет разбиение участка местности вокруг ИРИ с грубо определенными прямоугольными координатами xц, zц на I×J прямоугольников с координатами центров xi, zi; для каждого прямоугольника и всех точек пеленгации рассчитывают ожидаемые значения пеленгов, затем осуществляют поиск элементарного участка местности возможного местоположения ИРИ, которому соответствует совокупность измеренных значений пеленгов, определяют текущее местоположение ИРИ по величине функционала качества, характеризующего степень соответствия текущей измеренной совокупности пеленгов и их ожидаемых расчетных значений, соответствующих элементарным участкам местности, координаты которых известны. При этом в качестве функционала качества используется экстремум взаимно корреляционной функции реализации φи(k) и φij(k), определяющий совпадение текущего местоположения ИРИ с измеренным элементарным участком местности, координаты которого известны, или взвешенные суммы квадратов разностей текущих измеренных и расчетных значений пеленгов φи(k) и φij(k). При этом критерием совпадения текущей реализации пеленгов и их расчетных значений является минимум функционала качества.Known goniometric-correlation method for estimating the location of terrestrial radio sources [5], which consists in the fact that on the board-finder plane simultaneously measure its own location coordinates x (k), the angle rate ψ (k), IRI bearing (φand (k)) characterized in that the on-board computer system (BVS) splits the terrain around the IRI with roughly defined rectangular coordinates xc , zc into I × J rectangles with the coordinates of the centers xi , zi ; for each rectangle and all direction finding points, the expected bearing values are calculated, then an elementary terrain is searched for the possible location of the IRI, which corresponds to the set of measured bearings, the current location of the IRI is determined by the value of the quality functional characterizing the degree of correspondence of the current measured set of bearings and their expected calculated values corresponding to elementary terrain, the coordinates of which are known. At the same time, the extremum of the cross-correlation function of the implementation of φand (k) and φij (k) is used as the quality functional, which determines the coincidence of the current location of the IRI with the measured elementary area, the coordinates of which are known, or the weighted sum of squares of the differences of the current measured and calculated values of bearings φand (k) and φij (k). Moreover, the criterion for the coincidence of the current implementation of bearings and their calculated values is the minimum of functionality quality.
Недостатки этого аналога:The disadvantages of this analogue:
1.Способ рассчитан только на применение на борту самолета-пеленгатора,1. The method is designed only for use on board a direction-finding aircraft,
2. Требуется измерение собственных координат местоположения самолета-пеленгатора,2. Requires the measurement of the own coordinates of the location of the aircraft,
3. Требуется предварительное грубое определение координат местоположения ИРИ (КМПИРИ),3. Requires preliminary rough determination of the coordinates of the location of the IRI (KMPIR),
4. Требуется разбиение участка местности вокруг предполагаемого местоположения ИРИ,4. Requires a breakdown of the area around the intended location of the IRI,
5. Требуется измерение пеленгов на каждый участок местности возможного местоположения ИРИ5. Requires the measurement of bearings on each plot of the terrain of a possible location of Iran
6. Не применим для определения координат местоположения ИРИ в пространстве.6. Not applicable to determine the coordinates of the location of the IRI in space.
Известно также техническое решение [6], которое относится к радиолокации, в частности к определению местоположения источников радиоизлучений. Техническим результатом является обеспечение возможности определения координат источников радиоизлучений однопозиционной наземной радиолокационной станцией независимо от условий местности.Also known is a technical solution [6], which relates to radar, in particular to determining the location of radio emission sources. The technical result is the ability to determine the coordinates of the sources of radio emissions from a one-position ground-based radar station, regardless of terrain conditions.
Указанный технический результат достигается также тем, что радиолокационная станция содержит пассивный канал обнаружения, включающий последовательно соединенные антенну и приемник, а также блок вычисления координат, содержащий последовательно соединенные устройство измерения сдвига принимаемых сигналов во времени и устройство вычисления координат.The specified technical result is also achieved by the fact that the radar station contains a passive detection channel, including a series-connected antenna and a receiver, as well as a coordinate calculation unit containing a series-connected device for measuring the shift of the received signals in time and a coordinate calculation device.
Суть предлагаемого способа состоит в следующем.The essence of the proposed method is as follows.
Для определения координат источника радиоизлучения используют два канала: пассивный и активный каналы обнаружения. Вся система размещена на одной позиции. Антенна пассивного канала обнаружения направлена на источник и принимает его прямое радиоизлучение. Для измерения дальности до источника радиоизлучения с угловыми координатами ∈и (угол места) и βи (азимут) используется объект, отражающий радиоизлучение этого источника. При этом с помощью активного канала обнаружения, работающего в пассивном режиме, осуществляют операции поиска, обнаружения и измерения угловых координат (угла места - ∈O и азимута - βO) объекта, отражающего излучение, коррелированное с прямым излучением (т.е. осуществляют поиск отражающего объекта). По положению максимума взаимной корреляционной функции излучений, принятых двумя каналами обнаружения, определяют величину временного сдвига Δt этих излучений. После чего осуществляют зондирование направления с координатами ∈O, βO и измеряют дальность R0 до объекта, при необходимости уточняют координаты ∈O, βO.To determine the coordinates of the source of radio emission, two channels are used: passive and active detection channels. The whole system is placed in one position. The antenna of the passive detection channel is directed to the source and receives its direct radio emission. To measure the distance to a source of radio emission with angular coordinates ∈and (elevation angle) and βand (azimuth) an object is used that reflects the radio emission of this source. In this case, using the active detection channel, operating in the passive mode, search, detect and measure the angular coordinates (elevation angle - ∈O and azimuth - βO ) of an object that reflects radiation correlated with direct radiation (i.e., search reflective object). By the maximum position of the mutual correlation function of the radiation received by the two detection channels, determine the value of the time shift Δt of these emissions. After that, they probe the directions with coordinates ∈O , βO and measure the distance R0 to the object, if necessary, specify coordinates ∈O , βO.
Недостатками этого аналога являются:The disadvantages of this analogue are:
1. Способ может применяться только к цифровым (дискретным) видам связи.1. The method can be applied only to digital (discrete) forms of communication.
2. Необходимы два канала: активный и пассивный, что совершенно недопустимо в военных условиях применения из за демаскирования средства.2. Two channels are needed: active and passive, which is completely unacceptable in military conditions of use due to the unmasking of funds.
3. Необходимость измерения сдвига принимаемых сигналов во времени требует системы жесткой синхронизации.3. The need to measure the shift of the received signals in time requires a tight synchronization system.
4. Необходимость осуществления операций поиска, обнаружения и измерения угловых координат (угла места - ∈O и азимута - βO) объекта, отражающего излучение. При наличии множественных рассредоточенных в пространстве перемещающихся объектов, как, например, отражателей, при постановке пассивных помех комплексам радиоэлектронного противодействия, способ оказывается неработоспособным.4. The need for operations to search for, detect and measure angular coordinates (elevation angle - ∈O and azimuth - βO ) of an object that reflects radiation. In the presence of multiple moving objects dispersed in space, such as, for example, reflectors, when posing passive interference to electronic countermeasures, the method is inoperative.
Известно решение [7], которое может быть аналогом предлагаемому способу.A solution is known [7], which can be an analogue of the proposed method.
Способ [7] относится к пассивным системам радиоконтроля и предназначен для определения КМПИРИ УКВ-СВЧ диапазонов, использующих цифровые (дискретные) виды сигналов из одного РКП. Способ определения местоположения ИРИ основан на измерении направления на ИРИ, оценке относительной временной задержки с последующим вычислением координат ИРИ как точки пересечения линии направления на источник и гиперболической линии положения. Все измерения производятся на одном приемном пункте. При этом оценка относительной временной задержки определяется путем определения расхождения времени прихода сигнала от источника относительно опорной временной шкалы, сформированной на основе оценки временной структуры сигнала источника, местоположение которого полагается известным, определяемой на основе сравнения оценок расхождения времени прихода сигналов по времени от источников с известным и оцениваемым местоположением, функционирующих в единой системе синхронизации цифровыми (дискретными) видами сигналов.The method [7] relates to passive radio monitoring systems and is intended to determine KMPIRI of the VHF-microwave ranges using digital (discrete) types of signals from one RCP. The method of determining the location of the IRI is based on measuring the direction of the IRI, estimating the relative time delay, followed by calculating the coordinates of the IRI as the point of intersection of the direction line to the source and the hyperbolic position line. All measurements are made at one receiving point. The estimate of the relative time delay is determined by determining the discrepancy in the time of arrival of the signal from the source relative to the reference time scale, formed on the basis of the estimate of the time structure of the signal of the source, the location of which is assumed to be known, determined by comparing the estimates of the discrepancy in the time of arrival of signals from the sources with estimated location, functioning in a single synchronization system with digital (discrete) types of signals.
Недостатками прототипа являются:The disadvantages of the prototype are:
1). Способ распространяется только на цифровые (дискретные) виды связи с четко выраженным периодом следования импульсов тактовой (цикловой) синхронизации, функционирующие в единой системе синхронизации, временные параметры которой и точность их определения существенно влияют на оценку относительной временной задержки, а следовательно, и точность определения координат искомого ИРИ.one). The method applies only to digital (discrete) types of communication with a clearly defined repetition period of clock (cycle) synchronization pulses operating in a single synchronization system, the time parameters of which and the accuracy of their determination significantly affect the estimation of the relative time delay, and therefore the accuracy of determining the coordinates sought Iran.
2) Отсутствует решение по повышению точности оценки определения координат искомого ИРИ, например, путем увеличении числа корреспондентов из состава радиосети и усреднения результатов вычисления координат искомого ИРИ применительно к каждому из корреспондентов радиосети;2) There is no decision to improve the accuracy of estimating the determination of the coordinates of the desired IRI, for example, by increasing the number of correspondents from the radio network and averaging the results of calculating the coordinates of the desired IRI for each of the correspondents of the radio network;
3) Должна быть априорно известна (либо доступна оцениванию) частотно-временная структура сигнала (частота (период) следования импульсов тактовой (цикловой) синхронизации). При этом оценивание частотно-временной структуры сигнала приводит к появлению дополнительной погрешности вычисления координат искомого ИРИ и появлению дополнительных временных и аппаратурных затрат при внедрении способа.3) The frequency-time structure of the signal (the frequency (period) of the following pulses of clock (cycle) synchronization) must be a priori known (or accessible to estimation). Moreover, the estimation of the frequency-time structure of the signal leads to the appearance of an additional error in calculating the coordinates of the desired IRI and the appearance of additional time and hardware costs when implementing the method.
4) Область применения способа ограничивается наземными средствами связи.4) The scope of the method is limited to terrestrial communications.
5) Область применения способа ограничивается тем, что для реализации способа необходимо иметь:5) The scope of the method is limited to the fact that for the implementation of the method it is necessary to have:
а) особое радиоприемное устройство, в котором дополнительно должен быть введен автокоррелятор,a) a special radio receiving device, in which an autocorrelator must also be introduced,
б) пеленгатор, удовлетворяющий требованиям по достаточной точности пеленгования исходя из точности определения координат искомого ИРИ. Наиболее близким аналогом, выбранным за прототип предлагаемого способа, является [8].b) a direction finder that meets the requirements for sufficient direction finding accuracy based on the accuracy of determining the coordinates of the desired IRI. The closest analogue selected for the prototype of the proposed method is [8].
В этом мультипликативном разностно-относительном способе стационарно-мобильного определения координат местоположения источника радиоизлучения для измерения уровней сигналов ИРИ используют один стационарный пост радиоконтроля в качестве базового, а мобильный пост радиоконтроля соединяют с базовым линией связи и перемещают не менее чем по М≥2 точкам, по измеренным на мобильном и базовом радиоконтрольном посту уровням сигналов составляют на последнем и мультипликативных функций, представляющих сочетания, взятые по два и по три, из вычисленных парных сочетаний (М+1) разностей отношений расстояний, рассчитанных от точек измерения до местоположения искомого ИРИ по заданным его координатам, и вычисленных парных сочетаний (М+1) обратных отношений соответствующих измеренных величин уровней сигналов искомого ИРИ с учетом дифракционных потерь на рассчитанных по цифровым картам местности трассах распространения радиосигнала, дихотомически или методом наискорейшего спуска изменяют значение каждого из параметров местоположения ИРИ при неизменных значениях двух других и находят точки экстремумов парных мультипликативных функций и точки перегиба мультипликативных функций, взятых по три, фиксируя после) усреднения каждый найденный в этих точках параметр местоположения источника как окончательный.In this multiplicative difference-relative method of a stationary-mobile determination of the coordinates of the location of a radio emission source, one stationary radio monitoring post is used as the base for measuring the IRI signal levels, and the mobile radio monitoring post is connected to the base communication line and moved by at least M ≥2 points the signal levels measured at the mobile and base radio monitoring post are at the last and multiplicative functions representing combinations taken in two and three from calculated paired combinations (M + 1) of differences of the distance relations calculated from the measurement points to the location of the desired IRI at its given coordinates, and calculated pair combinations (M + 1) of the inverse relations of the corresponding measured signal levels of the desired IRI taking into account diffraction losses on the radio propagation paths calculated using digital terrain maps, dichotomously or by the method of steepest descent, change the value of each of the IRI location parameters at constant values of the other two and find points extreme points paired multiplicative functions and inflection points multiplicative functions taken in three, fixing after ) averaging each source location parameter found at these points as final.
Основными недостатками прототипа [8] являются:The main disadvantages of the prototype [8] are:
1) Многопостовость. Требуются стационарный и мобильный пост радиоконтроля.1) Multi-posting. Stationary and mobile radio monitoring post are required.
2) Многопозиционность. Измерение необходимо выполнять на нескольких позициях.2) Multiposition. Measurement must be performed at several positions.
3) Необходимость применения средств связи, что демаскирует местоположение измерителей.3) The need to use means of communication, which unmasks the location of the meters.
4) Высокая стоимость аппаратной части при реализации способа и высокая стоимость его обслуживания.4) The high cost of the hardware when implementing the method and the high cost of its maintenance.
5) Используют для определения координат искомого ИРИ мультипликативные функции, представляющие сочетания, взятые только по два и по три, что является искусственным сокращением количества решений, а следовательно, ограничением возможности повышения точности определения координат местоположения искомого ИРИ.5) Multiplicative functions are used to determine the coordinates of the desired IRI, representing combinations taken only in two and three, which is an artificial reduction in the number of solutions, and therefore, a limitation on the possibility of increasing the accuracy of determining the coordinates of the location of the desired IRI.
6) Не используется аналитический способ определения координат местоположения искомого ИРИ.6) The analytical method for determining the location coordinates of the desired IRI is not used.
7) Отсутствует решение по повышению точности оценки определения координат местоположения искомого ИРИ, например, путем усреднения результатов вычисления.7) There is no solution to improve the accuracy of estimating the location coordinates of the desired IRI, for example, by averaging the calculation results.
Целью настоящего изобретения является разработка способа, обеспечивающего определение координат местоположения ИРИ УКВ СВЧ диапазонов из одного РКП без недостатков, присущих прототипу. Эта цель достигается с помощью признаков, указанных в формуле изобретения, общих с прототипом: способ определения координат местоположения ИРИ, основанный на измерении параметров искомого ИРИ на одном РКП и вычислении тех же параметров для постов, местоположение которых полагается известным, и отличительных признаков, состоящих в том, что многократно измеряют напряженность поля искомого ИРИ и пеленг на него, применяя РКП с логопериодической поворотной антенной системой (ЛПАС), вычисляют среднеквадратическое отклонение азимута от среднего, задают координаты местоположения n виртуальных постов (ВП) на расстоянии нескольких угловых минут от РКП вокруг азимутального луча с РКП на ИРИ в секторе утроенного среднеквадратического отклонения азимута на ИРИ от его среднего значения, увеличивая расстояния между ВП и приближая их местоположения (МП ВП) к лучу от РКП на ИРИ, по мере удаления от РКП составляют перечень из q базовых РЭС (БРЭС) по базе данных используемого РКП, находящихся в том же секторе утроенного среднеквадратического отклонения азимута на ИРИ, вычисляют по специализированной программе напряженность поля, создаваемую в месте расположения n ВП и РКП каждым из q БРЭС согласно их перечню и калибруют пары РКП/ВПj путем переопределения координат местоположения каждого из q БРЭС, для чего: задают координаты пробной точки ПТ(xi,yi,zi) как точки возможного местоположения БРЭС и по заданным координатам РКП (xo,yo,zo) и ВПj(xj,yj,zj) создают набор из n функций foj=(αoj-βoj) разностей независимых отношений(ФРНО) - отношения расстояния от РКП до i - го положения ПТ(xi,yi,zi) к расстоянию от ВПj того же положения ПТ и вычисленных обратных отношений напряженностей поля в точке расположения ВПj к напряженности на РКП, составляют набор из мультипликативных функций из ФРНО представляющий сумму произведений ФРНО от двух до n, получают поднаборы первых частных производных четных функций по каждой из искомых координат ИРИ в виде и поднаборы вторых частных производных нечетных мультипликативных функций из набора Foj - представляющие функционалы по каждой из искомых координат ИРИ, решают эти функционалы численным способом, изменяя значение каждой из координат ПТ(xi,yi,zi) при неизменных значениях ее двух других и находят точки экстремумов функционалов как переопределенные координаты базовых РЭС, а затем получают по этим координатам калибровочные характеристики для каждой пары РКП/ВПj по долготе (КХД), широте (КХШ) и высоте (КХВ) как зависимости разности вычисленных и истинных координат q базовых РЭС от вычисленных координат, устанавливают корреляционную зависимость по напряженности поля (КЗН) между МП РКП и МП ВПj, определяют по среднему значению измеренной на РКП напряженности искомого ИРИ и КЗН соответствующего ВПj величину напряженности поля искомого ИРИ на каждом ВПj, создают для искомого ИРИ наборы ФРНО, наборы и поднаборы мультипликативных функций, четные и нечетные функционалы и решают их аналогично переопределению координат базовых РЭС, определяя координаты местоположения ПТ(xi, yi, zi) соответствующие точкам экстремумов функционалов как точкам с координатами местоположения искомого ИРИ, корректируют их по соответствующим КХ и фиксируют уже как окончательные координаты местоположения искомого ИРИ.The aim of the present invention is to develop a method for determining the location coordinates of the IRI VHF microwave ranges from one RCP without the disadvantages inherent in the prototype. This goal is achieved using the features specified in the claims that are common with the prototype: a method for determining the coordinates of the location of the IRI, based on measuring the parameters of the desired IRI on one RCP and calculating the same parameters for posts whose location is assumed to be known, and distinguishing features, consisting in the fact that repeatedly measure the field strength of the desired IRI and bearing on it, using the RCP with log-periodic rotary antenna system (LPAS), calculate the standard deviation of the azimuth from the average it is set by the coordinates of the location of n virtual posts (VP) at a distance of several angular minutes from the RCP around the azimuthal beam from the RCP to the IRI in the sector of the triple standard deviation of the azimuth of the IRI from its average value, increasing the distance between the EP and approximating their location (MP VP) to the beam from the RCP to IRI, as they move away from the RCP, they compile a list of q basic RESs (BRES) based on the database of the used RPCs located in the same sector of the triple standard deviation of the azimuth for IRI, calculated by the specialist ized program field intensity generated in place n VI location and RCP each of q BRES according to their list and calibrated pair RCP / VPj by redefining the position coordinates of each of q BRES, for which: coordinates are designated test points TP (xi, yi, zi ) as points of the possible location of BRES and according to the given coordinates of the RCP (xo , yo , zo ) and VPj (xj , yj , zj ) create a set of n functions foj = (αoj -βoj ) differences of independent relations (FRNO) - distance relationships from the RCP to the i-th position of the PT (xi , yi , zi ) to the distance from VPj of the same PT position and calculated inverse relations of field strengths at the location of VPj to tension on the RCP, make up a set of multiplicative functions from FRNO representing the sum of the FRNO products from two to n, one gets the subsets of the first partial derivatives of even functions for each of the sought coordinates of the IRI in the form and subsets of second partial derivatives odd multiplicative functions from the set Foj - representing the functionals for each of the sought coordinates of the IRI, solve these functionals numerically by changing the value of each of the coordinates of the PT (xi , yi , zi ) at constant values of its two others and find the extremum points of the functionals as the redefined coordinates of the basic RES, and then these characteristics are used to obtain the calibration characteristics for each pair of RCP / VPj in longitude (QCD), latitude (KHS) and height (KXV) as the dependences of the difference between the calculated and true coordinates q of the basic RES field coordinates, establish the correlation dependence of the field strength (SCF) between the MF RCP and MP VPj, determine the average field strength of the desired IRI measured on the RCP of the desired IRI and the SC of the corresponding VPj for each VPj, create sets of FRNO for the desired IRI, sets and subsets multiplicative functions, odd and even decide functionals and their similar redefinition base coordinate RES, determining location coordinates of the UT(x i, y i, z i) corresponding to points extrema of the function als to the points with the coordinates of the desired location of Iran, correct their corresponding BCH and fixed already as the final desired location coordinates of Iran.
Заявленный способ поясняется чертежами, на которых показаны:The claimed method is illustrated by drawings, which show:
фиг. 1. корреляционная зависимость напряженности (КЗН) поля на одном из ВП и напряженностью поля на РКП,FIG. 1. the correlation dependence of the field strength (KZN) on one of the airspace and the field strength on the RCP,
фиг. 2. первый вид мультипликативных функций Fчт четных произведений разностей независимых отношений,FIG. 2. the first type of multiplicative functions FTh even products of differences of independent relations,
фиг. 3. второй вид мультипликативных функций Fнчт произведений нечетных разностей независимых отношений,FIG. 3. the second type of multiplicative functions Fnct products of odd differences of independent relations,
фиг. 4. калибровочная характеристика способа по широте,FIG. 4. the calibration characteristic of the method in latitude,
фиг. 5. калибровочная характеристика способа по долготе.FIG. 5. longitude calibration characteristic of the method.
В основе однопозиционного способа лежит философский и физический принципы. Философский принцип способа опирается на закон всеобщей взаимосвязи, который подразумевает устойчивую, повторяющуюся связь между всеми объектами, процессами и системами на Земле и во Вселенной. Закон касается не только макромира, но и любого вещества, каждого объекта, находящегося на нашей планете и во всей Вселенной.The one-way method is based on philosophical and physical principles. The philosophical principle of the method is based on the law of universal interconnection, which implies a stable, repeating connection between all objects, processes and systems on Earth and in the Universe. The law applies not only to the macrocosm, but also to any substance, every object located on our planet and throughout the Universe.
В физической основе предложенного способа лежит энергетический принцип, заключающийся в измерении (или вычислении) напряженности поля ИРИ в нескольких точках пространства с известными координатами их местоположения. При этом напряженность поля ИРИ на РКП измеряют, а в дополнительной точке (точках) вычисляют. В качестве дополнительной точки в способе предложен виртуальный пост (ВП), координаты которого и параметры его виртуальной антенны (диаграмма направленности и высота подвеса) задаются. При использовании n ВП их размещают не на одной прямой с РКП, а на расстоянии нескольких угловых минут от РКП вокруг азимутального луча с РКП на ИРИ в секторе утроенного среднеквадратического отклонения азимута на ИРИ от его среднего значения, увеличивая расстояния между ВП и приближая их местоположения (МП ВП) к лучу от РКП на ИРИ по мере удаления от РКП. Вычисление напряженности на ВП основано на принципе корреляционной зависимости (КЗ) напряженности поля на них, создаваемой в заданном диапазоне частот некоторым множеством источников радиоизлучения, находящихся согласно базе данных в зоне электромагнитной доступности РКП, от напряженности поля на РКП, по одной определенной программе, например ПИАР [9]. При этом диаграмма направленности виртуальной антенны и высота ее подвеса для расчета напряженности на ВП выбираются такими же, как и на РКП. Основное влияние на КЗ оказывает расстояние и характер трассы распространения радиоволн при прохождении до точек их приема. В качестве примера на фиг. 1 приведена КЗ напряженностей поля между РКП и одним из ВП. Определение же координат местоположения ИРИ основано на мультипликативном разностно-относительном принципе поиска по пространству положения пробной точки (ПТ), как текущего возможного местоположения искомого ИРИ, и фиксации такого ее положения, при котором все четные разностно-относительные функции (фиг. 2) достигают экстремума, а нечетные (фиг. 3) - точки перегиба.The physical basis of the proposed method is the energy principle, which consists in measuring (or calculating) the field strength of the IRI at several points in space with known coordinates of their location. In this case, the field strength of the IRI on the RCP is measured, and calculated at an additional point (s). As an additional point in the method, a virtual post (VP) is proposed, the coordinates of which and the parameters of its virtual antenna (radiation pattern and suspension height) are set. When using n VP, they are placed not on a straight line with the RCP, but at a distance of several angular minutes from the RCP around the azimuthal beam from the RCP to IRI in the sector of the triple standard deviation of the azimuth in the IRI from its average value, increasing the distance between the EP and approximating their location ( MP VP) to the beam from the RCP in the IRI as you move away from the RCP. The calculation of the voltage at the airspace is based on the principle of the correlation dependence (CG) of the field strength on them, created in a given frequency range by a number of sources of radio emission, located according to the database in the zone of electromagnetic accessibility of the RCP, from the field strength at the RCP, according to one specific program, for example, PR [9]. In this case, the directivity pattern of the virtual antenna and the height of its suspension for calculating the tension on the airspace are chosen the same as on the RCP. The main influence on the short circuit is provided by the distance and nature of the propagation path of radio waves when passing to the points of their reception. As an example in FIG. Figure 1 shows the short-circuit of the field strengths between the RCP and one of the airspace. The determination of the coordinates of the location of the IRI is based on the multiplicative difference-relative principle of searching in space the position of the test point (PT), as the current possible location of the desired IRI, and fixing its position at which all even difference-relative functions (Fig. 2) reach an extremum, and odd (Fig. 3) - inflection points.
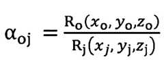
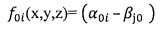
Рассмотрим подробнее получение указанных выше мультипликативных функций, используемых при поиске координат местоположения ИРИ. После задания исходного положения ПТ путем присвоения ей координат вычисляют расстояния от i-го местоположения ПТ, до каждой j-й точки, включая один РКП (с индексом 0 в формуле) и все n ВП (j = n+1), по формуле Затем вычисляют попарные независимые отношения этих расстояний. Обозначив РКП цифрой 0, а цифрами 1,2,3…n номера соответствующих ВПj, представим эти отношения расстояний для пар РКП/ВПj в виде, например, Для пар ВПj/ВПj таких отношений может быть получено n. Аналогично составляют и обратные им отношения напряженностей полей:Let us consider in more detail the obtaining of the above multiplier functions used in the search for the coordinates of the location of the IRI. After setting the initial position of the point by assigning coordinates to it, calculate the distance from the i-th location of the point to each j-th point, including one RCP (with
Всего может быть также составлено n отношений. Полученные отношения сравнивают путем вычитания и получают функцию f попарных разностей отношений расстояний и обратных им отношений напряженностей. Например, эту разность для РКП и ВП1 определяют как f01=(α01-β10). Для РКП и ВП2, как f02=(α02-β20).In total, n relationships can also be composed. The obtained relations are compared by subtraction and a function f of pairwise differences of the distance relations and the inverse tension relations is obtained. For example, this difference for RCP and VP1 is defined as f01 = (α01 -β10 ). For RCP and VP2 , as f02 = (α02 -β20 ).
Для РКП и ВПn определяют как f0n=(α0n-βn0). Таких функций f0n попарных независимых разностей отношений расстояний и обратных им отношений напряженностей поля их комбинаций всего может быть составлено n функций. Из этих попарных разностей отношений составляют первый вид мультипликативных функций fчт - функций, содержащих четное количество сомножителей в виде разностей отношений. Например, для пар: РКП и ВП1 и РКП и ВП2 : fчт,01.02 = f01 * f02. Для пар: РКП и ВП1 и РКП и ВП3 - fчт,01.03 = f01 * f03.For RCP and VP,n is defined as f0n = (α0n- βn0 ). Such functions f0n pairwise independent differences of the distance relations and the inverse relations of the field strengths of their combinations in total can be composed of n functions. Of these pairwise differences of relations, the first type of multiplicative functions fTh - are the functions containing an even number of factors in the form of difference of relations. For example, for pairs: RCP and VP1 and RCP and VP2 : fThu, 01.02 = f01 * f02 . For pairs: RCP and VP1 and RCP and VP3 - fThu, 01.03 = f01 * f03 .
Для пар: РКП и ВП1, РКП и ВП2, РКП и ВП3 РКП и ВП4 - fчт01,02,03,04 = f01 * f02 * f03 * f04 и т д. Всего может быть составлено таких четных мультипликативных функций. Примеры графического отображения функций приведены на фиг. 2. Для этих функций с целью определения координат местоположения искомого ИРИ находят точки их экстремума. Для этого берут частные производные четных функций F по каждой из координат и приравнивают их к нулю,For pairs: RCP and VP1 , RCP and VP2 , RCP and VP3, RCP and VP4 - fth01.02.02.03.04 = f01 * f02 * f03 * f04 , etc. Total can be composed such even multiplicative functions. Examples of graphical display of functions are shown in FIG. 2. For these functions, in order to determine the coordinates of the location of the desired IRI, their extremum points are found. To do this, take the partial derivatives of even functions F with respect to each coordinate and equate them to zero,
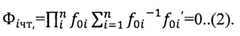
Теперь они представляют функционалы искомых координат. Функционал - это такая функция, аргументы которой также представляют собою функции переменных. Координаты находятся в точке экстремума функционала. Известно [10, с. 500], что чтобы дифференцируемый функционал достигал в точке x0 экстремума, необходимо, чтобы его дифференциал в этой точке равнялся нулю. И наоборот, если дифференциал функционала в точке x0 равен нулю, следовательно, эта точка является экстремумом функционала и в ней находится искомый источник. Получим выражения для этих функционалов. Запишем мультипликативную функцию в виде произведения произвольного количества сомножителей, каждый из которых представляет функцию разности отношений (ФРО) Мультипликативную функцию представим в виде Здесь отсутствуют для упрощения координаты (x, y, z). Известно, что производная произведения n функций равна сумме произведений производной каждой из функций на все остальные функции. Следовательно, функционал четной мультипликативной функции имеет вид Упростим запись этого функционала. Для этого умножим и разделим каждое произведение на ƒ0iƒ0i-1. Тогда запись четного функционала будет иметь вид: Так как мультипликативная функция не равна нулю по определению, то функционал (2) будет равен нулю только тогда, когда каждое слагаемое равно нулю. Тогда четный функционал будет иметь вид: Количество функционалов равно количеству мультипликативных функций.Now they represent the functionals of the desired coordinates. A functional is a function whose arguments also represent variable functions. The coordinates are at the extremum point of the functional. It is known [10, p. 500], so that the differentiable functional reaches an extremum at the point x0 , it is necessary that its differential at this point be equal to zero. And vice versa, if the differential of the functional at the point x0 is equal to zero, therefore, this point is the extremum of the functional and the desired source is located in it. We obtain expressions for these functionals. We write the multiplicative function in the form of the product of an arbitrary number of factors, each of which represents a function of the difference of relations (FRO) We represent the multiplicative function in the form The coordinates (x, y, z) are absent here for simplicity. It is known that the derivative of the product of n functions is equal to the sum of the products of the derivative of each function and all other functions. Therefore, the functional of an even multiplicative function has the form Simplify the recording of this functionality. To do this, multiply and divide each product by ƒ0i ƒ0i-1 . Then the entry of even functionality will look like: Since the multiplicative function is not equal to zero by definition, the functional (2) will be equal to zero only when each term is equal to zero. Then the even functional will look like: The number of functionals is equal to the number of multiplicative functions.
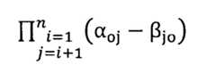
Составляют также функции произведения нечетных разностей отношений: трех, пяти, семи и. т.д. Например, для РКП, ВП1 и ВП2:. Пример графического отображения таких функций приведен на фиг. 3. Всего может быть составленофункций, для которых находят их точки перегиба, приравнивая к нулю вторые частные производные по каждой из координат:. Найдем выражение функционала для нечетных мультипликативных функций. Для этого возьмем производную от первой производной, представленной в (2).Also constitute functions products of odd differences of relations: three, five, seven and. etc. For example, for RCP, VP1 and VP2 : . An example of a graphical display of such functions is shown in FIG. 3. Total can be made up functions , for which their inflection points are found, equating to zero the second partial derivatives with respect to each of the coordinates: . We find the expression of the functional for odd multiplicative functions. For this, we take the derivative of the first derivative presented in (2).
Так как мультипликативная функция не равна нулю по определению, то функционал нечетных мультипликативных функций можно записать в сокращенном виде:Since the multiplicative function is not equal to zero by definition, the functional of odd multiplicative functions can be written in abbreviated form:
Общее количество мультипликативных функций и их функционалов равно:The total number of multiplicative functions and their functionals is equal to:
Первоначально способ калибруют. Это целесообразно для повышения точности определения координат местоположения ИРИ путем их корректировки В качестве эталона используют базовые РЭС (БРЭС). Составляют перечень этих РЭС. В него включают те РЭС, которые находятся согласно базе данных используемого РКП в секторе утроенного среднеквадратического отклонения азимута на ИРИ. Такой выбор БРЭС обеспечивает лучшие результаты корректировки КМПИРИ, так как эталонные средства (БРЭС) и искомый ИРИ оказываются в одном геометрическом пространстве. Калибровка состоит в получении калибровочных характеристик (КХ) всех пар РКП/ВПj. Калибровочные характеристики представляют зависимость разности истинных значений широт, долгот и высот местоположения базовых источников радиоизлучений как функции ошибки определения координат. Для получения КХ необходимо переопределить координаты выбранных БРЭС, Для этого рассчитывают по специальной программе [9] напряженность поля от всех базовых РЭС согласно перечню для используемого РКП, и каждого ВП, используя сведения о координатах РКП, ВП и базовых РЭС. Составляют набор ФРНО, в каждой функции которого величина полученная в результате вычисления по программе [9], является постоянной, но различной для каждой пары РКП/ВПj. Составляют мультипликативные функции из набора ФРНО во всех их сочетаниях. На их основе получают функционалы четных и нечетных мультипликативных функций. По полученным функционалам определяют точки экстремума, соответствующие КМПИРИ. При этом их координаты вычисляют численным методом (последовательного приближения, методом наискорейшего спуска или по методу дихотомии, например методу поразрядного уравновешивания или другим методом). Для использования, например, метода поразрядного уравновешивания априори должны быть известны диапазоны D значений искомых величин. Эти диапазоны обычно известны исходя из известных параметров зоны электромагнитной доступности используемых РКП. Тем более, при переопределении координат базовых РЭС, естественно, эти диапазоны известны. В соответствии с алгоритмом поразрядного уравновешивания первоначально путем присвоения пробной точке (ПТ) задают в качестве координат начального ее местоположения среднее из диапазона D значение определяемой величины (например, широты) при фиксированных, но лежащих в известных диапазонах значений долготы и высоты. Если значение мультипликативной функции окажется меньше нуля, то к первоначальному значению широты местоположения ПТ добавляют 1/4 часть диапазона по широте. В противном случае из первоначального значения широты вычитают 1/4 часть диапазона ее значения. Затем опять производят вычисление расстояний от нового положения ПТ до РКП и ВП и оценку результатов сравнения, как описано выше. При этом добавляют (или вычитают) уже 1/8 часть диапазона, затем 1/16 часть и т.д. Такие итерации продолжают до тех пор, пока результат сравнения не окажется по модулю меньше заранее заданного значения погрешности дискретизации каждого параметра местоположения где m - количество итераций. После определения точки экстремума функционала с координатой по широте, ближайшей к широте местоположения искомого источника (а первоначально по способу таковым является базовое РЭС), приступают к вычислению по такому же алгоритму следующей координаты местоположения источника - долготы или высоты. Найденные координаты всех точек экстремумов Фчт и перегиба Фнчт функционалов по всем Мчт и МЗнчт сочетаниям представляют координаты источников (базовых РЭС или искомого ИРИ). Эти координаты используют для получения калибровочных характеристик (КХ) пар РКП/ВПj. Калибровочные характеристики получают для всех пар РКП/ВП. На фиг. 4 показан пример КХ по широте, а на фиг. 5. - по долготе. Получение координат местоположения искомого ИРИ выполняют аналогично изложенному для базовых РЭС. Только при получении набора функций разности отношений вместо величины βjo, полученной для переопределения координат местоположения базовых РЭС расчетным путем по программе [9], используют значения, полученные по результатам измерения на РКП напряженности поля, создаваемой искомым ИРИ, и результатам расчета напряженности поля на BПj по его КЗН. После корректировки координат конечного положения ПТ последние усредняют по всем точкам экстремума и перегиба и фиксируют уже как окончательные координаты местоположения ПТ. То есть фиксируют как искомые координаты местоположения ИРИ.Initially, the method is calibrated. This is advisable to improve the accuracy of determining the coordinates of the location of the IRI by adjusting them. As a reference, basic RESs (BRESs) are used. Make a list of these RES. It includes those RES that are according to the database used by the RCP in the sector of the triple standard deviation of the azimuth in the IRI. Such a choice of BRES provides the best results of the correction of the IMDI, since the reference means (BRES) and the desired IRI are in the same geometric space. Calibration consists in obtaining the calibration characteristics (CX) of all RCP / VPj pairs. Calibration characteristics represent the dependence of the difference in the true values of latitudes, longitudes, and heights of the location of the basic sources of radio emissions as a function of the error in determining the coordinates. To obtain the KH, it is necessary to redefine the coordinates of the selected BRES, For this purpose, according to the special program [9], the field strength from all the basic RESs is calculated according to the list for the RCP used, and each VP using the information on the coordinates of the RCP, VP and basic RES. Make up a set of FRNO, in each function of which value obtained as a result of calculation according to the program [9], is constant, but different for each pair of RCP / VPj. They make multiplicative functions from the set of FRNO in all their combinations. On their basis, functionals of even and odd multiplicative functions are obtained. Using the obtained functionals, the extremum points corresponding to KMPIR are determined. At the same time, their coordinates are calculated by the numerical method (sequential approximation, the method of steepest descent, or by the method of dichotomy, for example, the method of bitwise balancing or another method). To use, for example, the method of bitwise balancing a priori, the ranges D of the values of the sought quantities must be known. These ranges are usually known based on the known parameters of the electromagnetic accessibility zone used by the RCP. Moreover, when redefining the coordinates of the basic RES, of course, these ranges are known. In accordance with the bitwise balancing algorithm, initially, by assigning a test point (PT), the average value from the range D is determined as the coordinates of its initial location by the value of the determined value (for example, latitude) at fixed, but lying in known ranges of values of longitude and altitude. If the value of the multiplicative function turns out to be less than zero, then 1/4 of the latitude range is added to the initial value of the latitude of the PT location. Otherwise, 1/4 of the range of its value is subtracted from the original latitude value. Then again calculate the distances from the new position of the PT to the RCP and VP and evaluate the results of the comparison, as described above. In this case, 1/8 of the range is added (or subtracted), then 1/16 of the range, etc. Such iterations continue until the result of the comparison is in absolute value less than a predetermined value of the sampling error of each location parameter where m is the number of iterations. After determining the extremum point of the functional with the latitude coordinate closest to the latitude of the location of the source you are looking for (and initially the basic RES is the method), we proceed to calculate the following coordinates of the source location — longitude or altitude — using the same algorithm. The found coordinates of all extreme points ФTh and the inflection ФНнт of functionals for all МTh and МЗннт combinations represent the coordinates of the sources (base RES or the desired IRI). These coordinates are used to obtain the calibration characteristics (CX) of the RCP / VPj pairs. Calibration characteristics are obtained for all pairs of RCP / VP. In FIG. 4 shows an example of a latitudinal latitude, and FIG. 5. - in longitude. Obtaining the coordinates of the location of the desired IRI is performed similarly to the basic RES. Only when receiving a set of relationship difference functions Instead of the value βjo obtained for redefining the coordinates of the location of the basic RES by calculation using the program [9], the values obtained from the results of measuring the field strength created by the desired IRI on the RCP and the results of calculating the field strength at BPj using its SCZ are used. After adjusting the coordinates of the final position of the PT, the latter are averaged over all points of the extremum and inflection and fixed already as the final coordinates of the location of the PT. That is, fix as the desired coordinates of the location of the IRI.
За счет усреднения повышают точность определения координат, которая существенно зависит от общего количества усреднений М=Мчт+Мнчт=2n-(n+1), определяемого количеством ВП. Для оценки точности определения координат приведем таблицу количества усреднений для различного количества n BПj.Due to averaging, they increase the accuracy of determining the coordinates, which substantially depends on the total number of averagings M = MTh + MLst = 2n - (n + 1), determined by the number of VP. To assess the accuracy of determining the coordinates, we present a table of the number of averagings for various amounts of n BPj.
Из таблицы видно, что в отличие от прототипа оценки среднего линейного и среднеквадратического отклонения вычисляемых координат могут быть существенно улучшены. Среднее линейное отклонение снижается в М раз, а среднеквадратическое отклонение в раз. Например, при n = 12 точность среднего линейного отклонения повышают в 4083 раз, а среднеквадратического отклонения - примерно в 64 раза, чем при однократном вычислении в прототипе.The table shows that, in contrast to the prototype estimates of the average linear and standard deviation of the calculated coordinates can be significantly improved. The average linear deviation is reduced by M times, and the standard deviation by time. For example, with n = 12, the accuracy of the average linear deviation is increased by 4083 times, and the standard deviation is approximately 64 times than with a single calculation in the prototype.
Итак, алгоритмически предусматривается выполнение следующих операций: ПТ(xi,yi,zi).So, algorithmically provides for the following operations: PT (xi , yi , zi ).
1. Ha РКП многократно измеряют напряженность поля искомого ИРИ и пеленг на него, применяя РКП с логопериодической поворотной антенной системой (ЛПАС).1. Ha RCP repeatedly measure the field strength of the desired IRI and bearing on it, using RCP with log-periodic rotary antenna system (LPAS).
2. Вычисляют среднеквадратическое отклонение азимута.2. The standard deviation of the azimuth is calculated.
3. Задают координаты местоположения n виртуальных постов ВПj(xj,yj,zj) на расстоянии нескольких угловых минут от РКП вокруг азимутального луча с РКП (xo,yo,zo) на ИРИ в секторе утроенного среднеквадратического отклонения азимута на ИРИ, увеличивая расстояния между ВП и приближая их местоположения (МП ВП) к лучу от РКП на ИРИ по мере удаления от РКП.3. Set the coordinates of the location of n virtual posts VPj (xj , yj , zj ) at a distance of several angular minutes from the RCP around the azimuthal beam from the RCP (xo , yo , zo ) on the IRI in the sector of triple the standard deviation of the azimuth by IRI, increasing the distance between the VP and approximating their location (MP VP) to the beam from the RCP to the IRI as you move away from the RCP.
4. Составляют перечень из q базовых РЭС по базе данных используемого РКП, находящихся в том же секторе утроенного среднеквадратического отклонения азимута на ИРИ. РКП (xo,yo,zo) и ВПj(xj,yj,zj)4. Make a list of q basic RES according to the database used by the RCP located in the same sector of the triple standard deviation of the azimuth in the IRI. RCP (xo , yo , zo ) and VPj (xj , yj , zj )
5. Вычисляют по специализированной программе напряженность поля, создаваемую в месте расположения n ВПj(xj,yj,zj) и РКП (xo,yo,zo) каждым из q базовых РЭС согласно их перечню.5. Using the specialized program, the field strength is calculated at the location of n VPj (xj , yj , zj ) and RCP (xo , yo , zo ) by each of q base RES according to their list.
6. Выбирают какой-либо численный метод определения координат местоположения ИРИ (базовых РЭС или искомого источника): метод последовательного приближения, дихотомический (описанный выше), или метод наискорейшего спуска, или любой другой.6. Choose any numerical method for determining the coordinates of the location of the IRI (base RES or the desired source): the sequential approximation method, dichotomous (described above), or the fastest descent method, or any other.
7. Задают предельные координаты местоположения ПТ(xi,yi,zi).7. Set the limiting coordinates of the location of the PT (xi , yi , zi ).
8. Создают для базовых РЭС согласно их перечню наборы ФРНО, используя базу данных, а в качестве напряженности поля на РКП и BПj - значения, полученные в п. 5, наборы и поднаборы мультипликативных функций, четные и нечетные функционалы.8. Create for the basic RES according to their list sets of FRNOs using the database, and as the field strength on the RCP and BPj - the values obtained in
9. Решают полученные функционалы выбранным численным методом, переопределяя тем самым координаты местоположения каждого из q базовых РЭС.9. The obtained functionals are solved by the selected numerical method, thereby redefining the location coordinates of each of the q base RESs.
10. Получают по переопределенным координатам базовых РЭС калибровочные характеристики каждой пары РКП/ВПj по долготе (КХД), широте (КХШ) и высоте (КХВ) как зависимости разности вычисленных и истинных координат q базовых РЭС от вычисленных координат.10. Using the redefined coordinates of the basic RES, the calibration characteristics of each pair of RCP / VPj in longitude (QCD), latitude (KHS) and height (KHS) are obtained as the dependences of the difference between the calculated and true coordinates q of the basic RES on the calculated coordinates.
11. Устанавливают корреляционную зависимость между вычисленными напряженностями поля в точках размещения РКП и каждого из BПj, используя результаты п. 5.11. Establish a correlation between the calculated field strengths at the points of RCP placement and each of BPj, using the results of p. 5.
12. По измеренной на РКП напряженности поля искомого ИРИ и корреляционным зависимостям (КЗН) пар РКП/BПj определяют напряженность поля на каждом из BПj.12. From the measured field strength of the desired IRI and the correlation dependences (SCI) of the RCP / VPj pairs, the field strength at each of BPj is determined.
13. Создают для искомого ИРИ наборы ФРНО, используя в качестве напряженности поля на РКП и ВП значения, полученные в п. 1 и п. 12, наборы и поднаборы мультипликативных функций, четные и нечетные функционалы.13. Create the FRNO sets for the required IRI, using the values obtained in
14. Решают эти функционалы численным способом аналогично переопределению координат базовых РЭС, то есть вычисляют в соответствии с выбранным методом координаты местоположения ПТ до достижения функционалами точек экстремума.14. Solve these functionals in a numerical way, similar to redefining the coordinates of the basic RES, that is, they calculate in accordance with the chosen method the coordinates of the location of the PT until the functionals reach the extremum points.
15. Найденные координаты всех точек экстремумов Мчт или перегиба Mчт мультипликативных функций по всем Мчт и Мнчт сочетаниям корректируют по калибровочным характеристикам пар РКП/BПj).15. The found coordinates of all extreme points MTh or inflection MTh of multiplicative functions for all MTh and Mlow combinations are adjusted according to the calibration characteristics of the RCP / VPj pairs).
16. Откалиброванные координаты местоположения искомого ИРИ усредняют по всем М = Мчт+Мнчт сочетаниям мультипликативных функций и фиксируют как окончательные координаты местоположения искомого источника радиоизлучения.16. The calibrated coordinates of the location of the desired IRI are averaged over all M = MTh + Mncht combinations of multiplicative functions and recorded as the final coordinates of the location of the sought source of radio emission.
В заявляемом способе по сравнению с прототипом устранены многопостовость, многопозиционность, необходимость в средствах связи, сняты искусственные ограничения в количестве сочетаний мультипликативных функций. А введение процедуры калибровки способа и возможность существенного увеличения статистики для усреднений позволяет получать КМПИРИ с большей точностью.In the inventive method, in comparison with the prototype, multi-posting, multi-positioning, the need for communications are eliminated, artificial restrictions are removed in the number of combinations of multiplicative functions. And the introduction of the method calibration procedure and the possibility of a significant increase in statistics for averaging allows you to get KMPIRI with greater accuracy.
Проведенный анализ уровня техники позволяет установить, что аналоги и наиболее близкий из них - прототип, характеризующиеся совокупностью признаков, тождественных всем признакам заявляемого способа определения координат местоположения ИРИ, отсутствуют и, следовательно, заявляемый способ обладает свойством новизны.The analysis of the prior art allows us to establish that the analogues and the closest of them are the prototype, characterized by a combination of features that are identical to all the features of the proposed method for determining the coordinates of the IRI, are absent and, therefore, the claimed method has the property of novelty.
Исследование известных решений в данной и смежных областях техники с целью выявления признаков, совпадающих с отличительными от прототипа признаками заявляемого способа, показало, что он не следует явным образом из уровня техники, из которого не выявлена также известность влияния преобразований, предусматриваемых существенными признаками заявляемого изобретения, на достижение указанного результата, что позволяет считать заявляемый объект соответствующим уровню патентоспособности "изобретательский уровень".The study of known solutions in this and related fields of technology in order to identify signs that match the distinctive features of the prototype of the features of the proposed method showed that it does not follow explicitly from the prior art, from which the influence of transformations provided for by the essential features of the claimed invention is also not known, to achieve the specified result, which allows us to consider the claimed object corresponding to the level of patentability "inventive step".
Источники информацииInformation sources
1. Сборник материалов курсов повышения квалификации специалистов радиочастотных центров федеральных округов. Книга 2 - СПб.: СПбГУТ. 2003.1. The collection of materials of continuing education courses for specialists of radio frequency centers of federal districts. Book 2 - SPb .: SPbSUT. 2003.
2. Липатников В.А., Соломатин А.И., Терентьев А.В. Радиопеленгация. Теория и практика. СПб. ВАС, 2006 г. - 356 с.2. Lipatnikov V.A., Solomatin A.I., Terentyev A.V. Direction finding. Theory and practice. SPb. YOU, 2006 - 356 s.
3. Разностно-дальномерный способ пеленгования источника радиоизлучения. Патент РФ №2325666, С2. Авторы: Сайбель А.Г., Сидоров П.А.3. Difference-range measuring method of direction finding of a source of radio emission. RF patent №2325666, C2. Authors: Saibel A.G., Sidorov P.A.
4. Разнесенный разностно-дальномерный пеленгатор. Патент РФ №2382378, С1. Авторы: Ивасенко А.В., Сайбель А.Г., Хохлов П.Ю.4. Diversity differential range finder direction finder. RF patent No. 2382378, C1. Authors: Ivasenko A.V., Saibel A.G., Khokhlov P.Yu.
5. Угломерно-корреляционный способ определения местоположения наземных источников радиоизлучения. Патент РФ №2458358, С1. Авторы: Верба В.С., Гандурин В.А., Косогор А.А., Меркулов В.И., Миляков Д.А., Тетеруков А.Г., Чернов В.С.5. Goniometric-correlation method for determining the location of ground-based sources of radio emission. RF patent No. 2458358, C1. Authors: Verba V.S., Gandurin V.A., Kosogor A.A., Merkulov V.I., Milyakov D.A., Teterukov A.G., Chernov V.S.
6. Способ определения координат источника радиоизлучения и радиолокационная станция для его реализации. Патент РФ 2217773 С1. Авторы: Беляев Б.Г., Голубев Г.Н., Жибинов В.А., Кисляков В.И., Лужных С.Н.6. A method for determining the coordinates of a source of radio emission and a radar station for its implementation. RF patent 2217773 C1. Authors: Belyaev B.G., Golubev G.N., Zhibinov V.A., Kislyakov V.I., Luzhnykh S.N.
7. Способ местоопределения источников радиоизлучений. Патент РФ №2248584 С2. Авторы: Лузинов В.А. (RU), Устинов К.В. (RU)7. A method for determining the sources of radio emissions. RF patent №2248584 C2. Authors: Luzinov V.A. (RU), Ustinov K.V. (RU)
8. Мультипликативный разностно-относительный способ стационарно-мобильного определения координат местоположения источников радиоизлучений. Патент РФ №2558637 С2. Авторы: Логинов Ю.И., (RU), Екимов О.Б., (RU), Антипин Б.M., (RU), Гриценко А.А., (RU), Портнаго Л.Б. (RU).8. The multiplicative difference-relative method of a stationary-mobile determination of the coordinates of the location of radio emission sources. RF patent No. 2558637 C2. Authors: Loginov Yu.I., (RU), Ekimov O.B., (RU), Antipin B.M., (RU), Gritsenko A.A., (RU), Portnago L.B. (RU).
9. Проектирование и анализ радиосетей. Описание и инструкция по эксплуатации. Ярославль, 2009.9. Design and analysis of radio networks. Description and instruction manual. Yaroslavl, 2009.
10. А.Н. Колмогоров, С.В. Фомин. Элементы теории функций и функционального анализа. – М.: Наука. 1976 г.10. A.N. Kolmogorov, S.V. Fomin. Elements of function theory and functional analysis. - M .: Science. 1976
| Application Number | Priority Date | Filing Date | Title | 
|---|---|---|---|
| RU2017116904ARU2651793C1 (en) | 2017-05-15 | 2017-05-15 | One-position multiplicative difference-relative method for determining of radio frequencies sources location coordinates | 
| Application Number | Priority Date | Filing Date | Title | 
|---|---|---|---|
| RU2017116904ARU2651793C1 (en) | 2017-05-15 | 2017-05-15 | One-position multiplicative difference-relative method for determining of radio frequencies sources location coordinates | 
| Publication Number | Publication Date | 
|---|---|
| RU2651793C1true RU2651793C1 (en) | 2018-04-24 | 
| Application Number | Title | Priority Date | Filing Date | 
|---|---|---|---|
| RU2017116904ARU2651793C1 (en) | 2017-05-15 | 2017-05-15 | One-position multiplicative difference-relative method for determining of radio frequencies sources location coordinates | 
| Country | Link | 
|---|---|
| RU (1) | RU2651793C1 (en) | 
| Publication number | Priority date | Publication date | Assignee | Title | 
|---|---|---|---|---|
| US5625364A (en)* | 1994-07-08 | 1997-04-29 | Lockheed Sanders, Inc. | Apparatus and method for finding a signal emission source | 
| US6791493B1 (en)* | 2003-08-21 | 2004-09-14 | Northrop Grumman Corporation | Method for using signal frequency change to differentially resolve long baseline interferometer measurements | 
| RU2363011C1 (en)* | 2008-03-12 | 2009-07-27 | Государственное образовательное учреждение высшего профессионального образования Воронежское высшее военное авиационное инженерное училище (военный институт) Министерства Обороны Российской Федерации | Method to determine radio-frequency radiation source | 
| US7952521B2 (en)* | 2004-06-25 | 2011-05-31 | Thales | Multiparametric direction finding method comprising the separation of the incidence and nuisance parameters | 
| RU2458637C1 (en)* | 2011-03-15 | 2012-08-20 | Наиль Валерианович Гибадулин | Method of laparoscopic correction of duodenogastric reflux | 
| WO2013085587A1 (en)* | 2011-12-06 | 2013-06-13 | Raytheon Company | Position optimization | 
| RU2510044C1 (en)* | 2012-08-07 | 2014-03-20 | Общество с ограниченной ответственностью "Специальный Технологический Центр" | Method and apparatus for determining coordinates of radio-frequency radiation sources | 
| Publication number | Priority date | Publication date | Assignee | Title | 
|---|---|---|---|---|
| US5625364A (en)* | 1994-07-08 | 1997-04-29 | Lockheed Sanders, Inc. | Apparatus and method for finding a signal emission source | 
| US6791493B1 (en)* | 2003-08-21 | 2004-09-14 | Northrop Grumman Corporation | Method for using signal frequency change to differentially resolve long baseline interferometer measurements | 
| US7952521B2 (en)* | 2004-06-25 | 2011-05-31 | Thales | Multiparametric direction finding method comprising the separation of the incidence and nuisance parameters | 
| RU2363011C1 (en)* | 2008-03-12 | 2009-07-27 | Государственное образовательное учреждение высшего профессионального образования Воронежское высшее военное авиационное инженерное училище (военный институт) Министерства Обороны Российской Федерации | Method to determine radio-frequency radiation source | 
| RU2458637C1 (en)* | 2011-03-15 | 2012-08-20 | Наиль Валерианович Гибадулин | Method of laparoscopic correction of duodenogastric reflux | 
| WO2013085587A1 (en)* | 2011-12-06 | 2013-06-13 | Raytheon Company | Position optimization | 
| RU2510044C1 (en)* | 2012-08-07 | 2014-03-20 | Общество с ограниченной ответственностью "Специальный Технологический Центр" | Method and apparatus for determining coordinates of radio-frequency radiation sources | 
| Publication | Publication Date | Title | 
|---|---|---|
| RU2632922C2 (en) | Multiposition passive radar complex implementing combined one-step method of determining aircraft location at stage of landing | |
| RU2615491C1 (en) | Method for simultaneous measuring two angular objective coordinates in review amplitude monopulse radar system with antenna array and digital signal processing | |
| RU2668566C2 (en) | One-position multiplicative difference-relative method for determining of radio frequencies sources location coordinates | |
| RU2430385C2 (en) | Method of locating radio radiation sources | |
| RU2643513C1 (en) | Single-position method for determining coordinates of radio-frequency source location | |
| RU2657237C1 (en) | One-way method of the radio frequency sources location | |
| RU2666555C2 (en) | One-position correlation goniometric relative-long-dimensional method for determining the coordinates of the location of radio emission sources | |
| RU2651793C1 (en) | One-position multiplicative difference-relative method for determining of radio frequencies sources location coordinates | |
| RU2738249C1 (en) | Method of generating received spatial-time signal reflected from observed multipoint target during operation of radar system, and bench simulating test space-time signals reflected from observed multipoint target, for testing sample of radar system | |
| RU2651796C1 (en) | One-position correlation multiplicative difference-relative method for determining coordinates of the radio frequency emissions sources location | |
| Yaro et al. | Position estimation error performance model for a minimum configuration 3-D multilateration | |
| RU2647495C1 (en) | Multiplicative difference-relative method for determination of coordinates of position of pulsed radio-frequency source | |
| RU2651587C1 (en) | Multiplicative difference-relative method for determination of coordinates of position of pulsed radio-frequency source | |
| RU2643154C1 (en) | Single-position multiplicative virtual-real method for determining coordinates of radio-frequency source location | |
| RU2768011C1 (en) | Method for single-step adaptive determination of coordinates of radio-frequency sources | |
| RU2674248C2 (en) | One-position correlation goniometric method for determining coordinates of location of radio emission sources | |
| RU2643780C1 (en) | Single-position multiplicative differential-relative method to determine location coordinates of radio radiation sources | |
| Kelner et al. | The empirical verification of the location method based on the Doppler effect | |
| Nabila et al. | A 3D Multilateration Using RF Burst | |
| RU2686373C2 (en) | Radio frequency sources coordinates one-position correlation relative ranging location determination method | |
| RU2671828C2 (en) | One-positional angle-dimensional method for determining radio emission source fixup values | |
| RU2671826C1 (en) | One-position correlation goniometric method for determining coordinate of radio emission sources | |
| CN114035182A (en) | Multi-station time difference multivariable short wave target positioning method based on ionosphere reflection | |
| RU2666520C2 (en) | One-way method of the radio frequency sources location | |
| RU2263927C2 (en) | Method of evaluating parameters of trajectory of radio-frequency radiation sources in two-positioned passive goniometrical radar station |