


Изобретение относится к области электротехники и информационно-измерительной, вычислительной техники.The invention relates to the field of electrical engineering and information-measuring, computing.
Измерительные трансформаторы напряжения (ТН) являются важнейшими элементами электрических сетей, так как являются первичными устройствами для учета и контроля электроэнергии, систем релейной защиты и автоматики. На сегодняшний день на объектах электроэнергетики используются массивные, громоздкие и дорогостоящие ТН, что особенно характерно для сетей 110 кВ и выше. Это обусловлено применением изоляционных конструкций, рассчитанных на класс напряжения сети. Значительно удешевить и упростить первичные измерители напряжения позволит предлагаемое устройство для определения фазного напряжения линии электропередач, тока утечки и поверхностного сопротивления линейного подвесного изолятора воздушной линии электропередач, которое далее в тексте обозначается термином датчик напряжения. Такой измеритель позволит надежно измерять фазное напряжение линий электропередач как в нормальном режиме, так и в аварийных режимах.Measuring voltage transformers (VT) are the most important elements of electrical networks, as they are the primary devices for metering and control of electricity, relay protection systems and automation. To date, massive, bulky and expensive voltage transformers are used at electric power facilities, which is especially typical for networks of 110 kV and higher. This is due to the use of insulating structures designed for the voltage class of the network. Significantly reduce the cost and simplify the primary voltage meters will allow the proposed device to determine the phase voltage of the power line, leakage current and surface resistance of a linear pendant insulator overhead power line, which is further referred to in the text as the voltage sensor. Such a meter will make it possible to reliably measure the phase voltage of power lines both in normal mode and in emergency conditions.
Для измерения напряжения в электроустановках выше 1000 В используют электромагнитные и емкостные трансформаторы напряжения (ТН), которые предназначены для понижения высокого напряжения до стандартного значения 100 или и для отделения цепей измерения и релейной защиты от первичных цепей высокого напряжения. Электромагнитные ТН состоят из обмоток высокого и низкого напряжения и магнитопровода. Принцип их действия основан на возбуждении обмотками высокого напряжения магнитного потока в магнитопроводе, который наводит во вторичных обмотках электродвижущую силу (ЭДС). По величине ЭДС вторичных обмоток можно судить о величине первичного напряжения с учетом коэффициента трансформации. Погрешности ТН зависят от размеров магнитопровода, магнитных свойств стали, конструкции обмоток, сечения проводов, а также от присоединенной нагрузки и первичного напряжения. Электромагнитные ТН часто подвергаются различного рода повреждениям. Основной причиной этого являются феррорезонансные процессы, приводящие к перегреву и повреждению обмоток ТН ввиду их малой мощности (Кадомская К. Антирезонансные трансформаторы напряжения. Эффективность применения / К. Кадомская, О. Лаптев// Новости Электротехники. - 2006. - №6 (42)). Емкостные ТН используются в электроустановках 110 кВ и выше. При напряжении 500-1150 кВ они по экономическим показателям, надежности превосходят электромагнитные ТН. Емкостной ТН состоит из емкостного делителя напряжения и присоединенного к нему электромагнитного согласующего устройства. Делитель напряжения состоит из двух конденсаторов, включенных последовательно. Они присоединяются одним концом к проводнику, напряжение которого подлежит измерению, а другим - к земле. Электромагнитное согласующее устройство состоит из реактора и понижающего трансформатора специальной конструкции, к вторичным зажимам которого присоединены измерительные приборы и устройства релейной зашиты. В основу делителя положена обратная зависимость отношений приложенных напряжений и величин емкостей конденсаторов. Погрешности емкостного ТН зависят от отклонения частоты от номинального значения, температуры воздуха, утечки по фарфоровой изоляции конденсаторов. Серьезным источником погрешности могут являться феррорезонансные колебания напряжения (поскольку в схему ТН входит емкость делителя и нелинейная индуктивность трансформатора), для подавления которых применяют демпфирующие устройства различных типов (Васильев А.А. Электрическая часть станций и подстанций (2-е изд., перераб. и допол.) / А.А. Васильев. - М.: Энергоатомиздат, 1990. - 576 с.).To measure the voltage in electrical installations above 1000 V, electromagnetic and capacitive voltage transformers (VT) are used, which are designed to lower the high voltage to a standard value of 100 or and to separate the measurement and relay protection circuits from the primary high voltage circuits. Electromagnetic VTs consist of high and low voltage windings and a magnetic circuit. The principle of their operation is based on the excitation by the windings of a high voltage magnetic flux in the magnetic circuit, which induces an electromotive force (EMF) in the secondary windings. By the magnitude of the EMF of the secondary windings, one can judge the magnitude of the primary voltage, taking into account the transformation coefficient. VT errors depend on the dimensions of the magnetic circuit, the magnetic properties of steel, the design of the windings, the cross-section of the wires, as well as the connected load and primary voltage. Electromagnetic VTs often undergo various kinds of damage. The main reason for this is ferroresonance processes leading to overheating and damage to the windings of the VT due to their low power (Kadomskaya K. Antiresonant voltage transformers. Application efficiency / K. Kadomskaya, O. Laptev // Electrical Engineering News. - 2006. - No. 6 (42) ) Capacitive VTs are used in electrical installations of 110 kV and higher. At a voltage of 500-1150 kV they are economically reliable and superior to electromagnetic VTs. Capacitive VT consists of a capacitive voltage divider and an electromagnetic matching device connected to it. The voltage divider consists of two capacitors connected in series. They are connected at one end to a conductor, the voltage of which is to be measured, and the other to the ground. The electromagnetic matching device consists of a reactor and a special-purpose step-down transformer, to the secondary terminals of which are connected measuring devices and relay protection devices. The divider is based on the inverse relationship between the ratios of the applied voltages and the capacitance values of the capacitors. The errors of capacitive VT depend on the deviation of the frequency from the nominal value, air temperature, leakage on the porcelain insulation of capacitors. A serious source of error can be ferroresonant voltage fluctuations (since the VT circuit includes a divider capacitance and non-linear transformer inductance), to suppress which damping devices of various types are used (Vasiliev A.A. Electrical part of stations and substations (2nd ed., Rev. and additional) / A.A. Vasiliev. - M.: Energoatomizdat, 1990. - 576 p.).
Потери электроэнергии от токов утечки по изоляторам воздушных линий электропередачи отнесены к техническим потерям. Величина этих потерь определяется расчетным путем на основе средних значений потерь мощности в гирлянде в зависимости от номинального напряжения (Железко Ю.С. Расчет, анализ и нормирование потерь электроэнергии в электрических сетях: Руководство для практических расчетов / Ю.С. Железко, А.В. Артемьев, О.В. Савченко. - М.: НЦ ЭНАС, 2004. - 280 с). Измерение токов утечки позволит более точно определять технические потери, так как ток утечки зависит не только от степени загрязнения поверхности изоляторов (Правила устройства электроустановок. Изд. 7-е: утв. М-вом энергетики Рос. Федерации 20.05.03 №187: ввод в действие с 01.10.03. - М.: НЦ ЭНАС, 2003. - 457 с.), но и в значительной степени от вида и интенсивности увлажнения, что никак не учитывается в расчетном способе определения потерь электроэнергии от токов утечки по изоляторам воздушных линий электропередачи. Также измерение тока утечки позволяет диагностировать изоляционную прочность подвесных изоляторов (Пешков П.Г. Диагностика состояния опорных изоляторов 10-35 кВ по их токам утечки / П.Г. Пешков, А.И. Котыш // Материалы докладов IV Всероссийской научно-технической конференции «Ограничение перенапряжений. Режимы заземления нейтрали. Электрооборудование сетей 6-35 кВ». - Новосибирск. - 2006).Losses of electricity from leakage currents through insulators of overhead power lines are classified as technical losses. The magnitude of these losses is determined by calculation based on the average values of power losses in the garland depending on the rated voltage (Zhelezko Yu.S. Calculation, analysis and rationing of electric power losses in electric networks: Guide for practical calculations / Yu.S. Zhelezko, A.V. Artemyev, OV Savchenko. - M .: SC ENAS, 2004. - 280 s). The measurement of leakage currents will make it possible to more accurately determine technical losses, since the leakage current depends not only on the degree of contamination of the surface of the insulators (Electrical Installation Rules. Ed. 7th: approved by the Ministry of Energy of the Russian Federation. 05.20.03 No. 187: commissioning valid from 01.10.03. - M.: NTs ENAS, 2003. - 457 p.), but also to a large extent on the type and intensity of humidification, which is not taken into account in the calculation method for determining the energy losses from leakage currents from insulators of overhead power transmission lines . Also, the measurement of leakage current allows you to diagnose the insulation strength of suspension insulators (Peshkov P.G. Diagnostics of the condition of supporting insulators 10-35 kV by their leakage currents / P.G. Peshkov, A.I. Kotysh // Report of the IV All-Russian Scientific and Technical Conference "Surge protection. Neutral grounding modes. Electrical equipment of 6-35 kV networks." - Novosibirsk. - 2006).
Известен способ и устройство для измерения электрического напряжения на устройстве выключения электропитания по патенту РФ 2385464, МПК G01R 15/18, 2010. Изобретение относится к устройствам выключения электропитания и, в частности, относится к способу измерения уровней потенциала в устройстве выключения электропитания. Определение значения потенциала осуществляется с помощью емкостного делителя напряжения, которое содержит высоковольтное и низковольтное плечо. В качестве высоковольтного плеча выступает емкость, образованная экраном трансформатора тока и проводником, а в качестве низковольтного плеча выступает один или множество конденсаторов. Количество конденсаторов низковольтного плеча может изменяться с целью регулировки амплитуды выходного напряжения емкостного делителя напряжения. Выходное значение делителя напряжения измеряется, преобразуется и отображается для пользователя.A known method and device for measuring electrical voltage on a power-off device according to the patent of the Russian Federation 2385464, IPC G01R 15/18, 2010. The invention relates to power-off devices and, in particular, relates to a method for measuring potential levels in a power-off device. The determination of the potential value is carried out using a capacitive voltage divider, which contains a high-voltage and low-voltage arm. The capacitance formed by the screen of the current transformer and the conductor acts as a high-voltage arm, and one or a plurality of capacitors acts as a low-voltage arm. The number of low voltage arm capacitors can be varied to adjust the amplitude of the output voltage of the capacitive voltage divider. The output value of the voltage divider is measured, converted and displayed to the user.
Недостатком данного способа является то, что для использования его на воздушных линиях электропередач необходимо монтировать высоковольтный трансформатор тока в рассечку фазного провода, что ограничивает использование заявленного устройства только в границах подстанции.The disadvantage of this method is that for using it on overhead power lines, it is necessary to mount a high-voltage current transformer in the phase-wire cut, which limits the use of the claimed device only within the substation.
Известен способ измерения переменного напряжения вариационным резистивным делителем с емкостным плечом по патенту РФ 2368907, МПК G01R 19/00, 2009 - прототип. Изобретение относится к измерительной технике, в частности к способу измерения переменного напряжения, преимущественно от 10 кВ до 1500 кВ. Способ позволяет произвести точное измерение переменного напряжения с помощью емкостно-резистивного делителя с вариацией параметров измерительной цепи. Одно из устройств, описанных в патенте прототипа, основано на вариационном делителе и содержит высоковольтное емкостное плечо и два последовательно соединенных сопротивления в низковольтном плече делителя. Параллельно одному из сопротивлений R1 низковольтного плеча включен элемент с односторонней проводимостью, например диод. Напряжение низковольтного плеча делителя снимается с выводов другого сопротивления R2. Сопротивления низковольтного плеча варьируется на разных полупериодах протекания по цепи переменного тока. При одном направлении ток течет по цепи, имеющей одно сопротивление R1, при другом направлении ток течет по цепи, имеющей другое сопротивление R1 и R2. Аналого-цифровой преобразователь или осциллограф фиксирует падение напряжение на выходе низковольтных плеч. В один полупериод величина амплитуды падения напряжения U1 будет соответствовать одному значению параметров делителя, а в другой полупериод величина амплитуды падения напряжения U2 будет соответствовать другому значению параметров высоковольтного делителя. Измеренное напряжение (ток) во втором полупериоде U2 подается в компьютер, где производятся вычисления значения высоковольтного напряжения с использованием значений замера на предыдущем полупериоде U1.There is a method of measuring AC voltage by a variational resistive divider with a capacitive arm according to the patent of the Russian Federation 2368907, IPC G01R 19/00, 2009 - prototype. The invention relates to measuring equipment, in particular to a method for measuring AC voltage, mainly from 10 kV to 1500 kV. The method allows for accurate measurement of AC voltage using a capacitive-resistive divider with a variation of the parameters of the measuring circuit. One of the devices described in the patent of the prototype is based on a variational divider and contains a high voltage capacitive arm and two series-connected resistors in the low voltage arm of the divider. In parallel with one of the resistances R1 of the low-voltage arm, an element with one-sided conductivity, for example a diode, is connected. The voltage of the low voltage arm of the divider is removed from the terminals of another resistance R2. The resistance of the low-voltage arm varies at different half-periods of flow along the AC circuit. In one direction, the current flows in a circuit having one resistance R1, in the other direction, the current flows in a circuit having another resistance R1 and R2. An analog-to-digital converter or oscilloscope detects a voltage drop at the output of the low voltage arms. In one half-cycle, the magnitude of the amplitude of the voltage drop U1 will correspond to one value of the parameters of the divider, and in the other half-period, the magnitude of the amplitude of the voltage drop U2 will correspond to another value of the parameters of the high-voltage divider. The measured voltage (current) in the second half-cycle U2 is supplied to the computer, where the high-voltage voltage is calculated using the measurement values on the previous half-cycle U1.
Недостатком данного способа является то, что нелинейная вольтамперная характеристика элемента с односторонней проводимостью при малых значениях измеряемого напряжения увеличивает погрешность измерения.The disadvantage of this method is that the nonlinear current-voltage characteristic of an element with one-sided conductivity at low values of the measured voltage increases the measurement error.
Известен емкостной источник питания по патенту РФ 2381585, МПК G01R 15/04, H01F 27/42, 2010. Изобретение относится к электротехнике и может быть использовано, в частности, для питания находящихся под высоким потенциалом устройств измерения переменного электрического тока. Техническим результатом изобретения является повышение надежности. Согласно изобретению емкостноой источник питания (ЕИП) содержит токопровод, конденсатор отбора мощности и конденсатор связи, соединенные последовательно одними своими обкладками. При этом другая обкладка конденсатора отбора мощности присоединена к токопроводу, а другая обкладка конденсатора связи заземлена. Электромагнитное устройство подсоединяется параллельно к конденсатору отбора мощности и имеет клеммы для подсоединения нагрузки, находящейся под высоким потенциалом, в качестве питающей шины ЕИП использован токопровод.Known capacitive power supply according to the patent of the Russian Federation 2381585, IPC G01R 15/04, H01F 27/42, 2010. The invention relates to electrical engineering and can be used, in particular, for powering high-potential devices for measuring alternating electric current. The technical result of the invention is to increase reliability. According to the invention, a capacitive power supply (SIP) comprises a current lead, a power take-off capacitor and a coupling capacitor connected in series with one of their plates. In this case, another lining of the power take-off capacitor is connected to the current lead, and the other lining of the coupling capacitor is grounded. The electromagnetic device is connected in parallel to the power take-off capacitor and has terminals for connecting a load at high potential, a current conductor is used as the supply bus of the EIT.
Данный источник питания может быть реализован в составе оптикоэлектронного измерителя переменного тока.This power source can be implemented as part of an ac optoelectronic meter.
Недостатком данного источника питания является то, что для питания электромагнитных устройств необходимо обеспечить изоляционную прочность конденсатора связи за счет применения изоляционных конструкций в сети высокого напряжения, которые приводят к увеличению стоимости и массогабаритных параметров устройства.The disadvantage of this power source is that to power the electromagnetic devices it is necessary to ensure the insulation strength of the coupling capacitor through the use of insulating structures in the high voltage network, which lead to an increase in the cost and weight and size parameters of the device.
Известно устройство для измерения тока и напряжения в высоковольтной сети по патенту РФ 2516034, МПК G01R 19/25, H02J 9/00, 2014. Изобретение относится к измерительной технике, представляет собой устройство для масштабного преобразования тока и напряжения с гальванической развязкой между высоковольтной сетью и приборами измерения на основе аналого-цифрового кодирования величин тока и напряжения с последующим излучением модулированного светового потока. Устройство содержит изоляционную конструкцию, первичный масштабный преобразователь тока, первичный масштабный преобразователь напряжения (высокоомный делитель напряжения), аналого-цифровой преобразователь с оптическим выходом, световод, приемное устройство, блок питания, быстронасыщающийся трансформатор тока с дополнительной обмоткой, триггерное устройство. Устройство измерения тока и напряжения в высоковольтной цепи работает следующим образом. Первичный масштабный преобразователь тока и напряжения масштабируют ток и напряжение высоковольтной цепи до значений, пригодных для обработки. Ввиду того что первичные масштабные преобразователи расположены на высоком потенциале сети, достигается высокая точность измерения уровней тока и напряжения. Аналого-цифровой преобразователь, расположенный также на высоком потенциале сети, преобразовывает измеренные уровни тока и напряжения в цифровой код и выводит его в оптическом виде в световод. Сигнал о токе и напряжении, пройдя световод, попадает в приемное устройство, где либо преобразовывается обратно в аналоговую форму, либо преобразовывается в соответствующую форму для дальнейшей обработки другими приборами измерения или защиты. Питание аналого-цифрового преобразователя осуществляется блоком питания, который получает питание от быстронасыщающегося трансформатора тока. Энергия от быстронасыщающегося трансформатора тока поступает в блок питания при наличии хотя бы минимального тока в высоковольтной сети. При пропадании тока в высоковольтной сети, например, при ее отключении от нагрузки, но при наличии напряжения срабатывает триггерное устройство, измеряющее уровень сигнала на выходе первичного масштабного преобразователя тока. При срабатывании триггерного устройства дополнительная обмотка, намотанная на магнитопровод быстронасыщающегося трансформатора тока, подключается между высоковольтной сетью и первичным масштабным преобразователем напряжения. По обмотке начинает протекать ток, обеспечивая через быстронасыщающийся трансформатор тока энергией блок питания.A device for measuring current and voltage in a high voltage network according to the patent of the Russian Federation 2516034,
Недостатками данного устройства являются наличие изоляционной конструкции, что удорожает данное устройство, и отсутствие средств беспроводной передачи данных, что не позволяет измерять ток и напряжение на удаленных подстанциях.The disadvantages of this device are the presence of an insulating structure, which makes this device more expensive, and the lack of wireless data transmission, which does not allow measuring current and voltage at remote substations.
Известен датчик тока ДТУ-03 (Техническое описание. Общество с ограниченной ответственностью Торговый дом «ЗРЗ»), предназначенный для измерения максимального значения и действующих значений гармонических составляющих 50 Гц и 150 Гц тока проводимости, протекающего через ограничитель перенапряжения (ОПН) при рабочем напряжении. Данные измерения необходимы для выявления преждевременного старения нелинейных металлоксидных сопротивлений, из которых комплектуется ОПН и входят в обязательный объем испытаний ОПН, предусмотренный в эксплуатации. В состав устройства входит: датчик тока и пульт измерения, подключаемый к датчику на время измерений. Измерение тока основывается на принципе пояса Роговского. Датчик тока включается в цепь заземления ОПН (в рассечку заземляющего проводника). Ток проводимости, стекающий по заземляющему проводнику ОПН, наводит ЭДС в измерительной обмотке, величина которой пропорциональна произведению частоты и амплитуды соответствующих гармонических составляющих тока и определяется их суммой. Сигнал с измерительной обмотки поступает на пульт, где производится его частотная селекция, усиление и преобразование сигнала в цифровую форму для индикации.Known current sensor DTU-03 (Technical Description. Trading House "ZRZ" Limited Liability Company), designed to measure the maximum value and the effective values of the harmonic components of 50 Hz and 150 Hz of the conduction current flowing through an overvoltage limiter (AR) at an operating voltage. These measurements are necessary to detect premature aging of nonlinear metal oxide resistances, of which the arrester is equipped and is included in the mandatory scope of arrester tests provided for in operation. The structure of the device includes: a current sensor and a measurement console connected to the sensor for the duration of the measurements. Current measurement is based on the principle of the Rogowski belt. The current sensor is included in the grounding circuit of the arrester (in the cut of the grounding conductor). The conduction current flowing down the grounding conductor of the arrester induces an EMF in the measuring winding, the magnitude of which is proportional to the product of the frequency and amplitude of the corresponding harmonic components of the current and is determined by their sum. The signal from the measuring winding is fed to the remote control, where it is frequency-selected, amplified and converted into digital form for indication.
Недостатком данного устройства является то, что оно не предназначено для работы с линейными подвесными изоляторами, так как отсутствует техническая возможность установки данного устройства в гирлянду изоляторов и отсутствуют средства беспроводной передачи данных.The disadvantage of this device is that it is not designed to work with linear suspended insulators, since there is no technical ability to install this device in a garland of insulators and there are no means of wireless data transmission.
Известно устройство контроля напряжения для определения места замыкания на землю воздушной линии электропередач по патенту РФ 134666, МПК G01R 31/08, 2013. Изобретение относится к техническому обслуживанию разветвленной линии электропередач (ЛЭП) устройствами контроля напряжения и может быть использовано для определения места однофазного замыкания на землю в ЛЭП с изолированной нейтралью и короткого замыкания в ЛЭП любого класса напряжений. Устройство содержит средства для снятия первичной информации о фазном напряжении на линии электропередач, средства обработки сигналов, средства обработки информации и средства передачи информации, средство обработки информации соединено с выходом приемника спутниковых сигналов глобального позиционирования. Средство для снятия первичной информации о фазном напряжении выполнено на основе емкостного трансформатора напряжения, где высоковольтным плечом является тарельчатый изолятор. Один из выводов высоковольтного тарельчатого изолятора соединен с заземленной арматурой высоковольтной опоры линии электропередач, другой вывод изолятора соединен с одной из обкладок емкости низковольтного плеча трансформатора, другая обкладка емкости соединена с фазным проводом, а напряжение с обкладок емкости низковольтного плеча трансформатора подается одновременно на ряд фильтров, отличающихся частотными характеристиками. Емкостной трансформатор напряжения предназначен для нормирования по величине фазный сигнал напряжения промышленной частоты. При ОЗЗ один из ряда фильтров, обладающий наиболее полно согласованной с аварийным спектром амплитудно-частотной характеристикой, произведет оптимальную фильтрацию сигнала, в результате чего на выходе этого фильтра сигнал будет обладать наибольшим отношением сигнал/шум. Превышение выходного сигнала одного из ряда фильтров порогового значения запускает фиксацию временной метки от приемника спутниковых сигналов глобального позиционирования в средстве обработки сигналов. Временная метка передается на диспетчерский пункт с помощью средства передачи информации, где вычисляется расстояние до места повреждения линии электропередач.A voltage monitoring device for determining the location of a fault on the ground of an overhead power line according to the patent of the Russian Federation 134666, IPC G01R 31/08, 2013. The invention relates to the maintenance of a branched power line (power transmission line) voltage control devices and can be used to determine the location of a single-phase circuit ground in power transmission lines with isolated neutral and short circuit in power lines of any voltage class. The device comprises means for removing primary information about the phase voltage on the power lines, signal processing means, information processing means and information transmission means, the information processing means is connected to the output of the global positioning satellite signal receiver. The means for removing primary information about the phase voltage is based on a capacitive voltage transformer, where the high-voltage arm is a disk insulator. One of the terminals of the high-voltage plate insulator is connected to the grounded armature of the high-voltage support of the power line, the other terminal of the insulator is connected to one of the capacitance plates of the low-voltage transformer arm, the other capacitor plate is connected to the phase conductor, and the voltage from the capacitance plates of the low-voltage transformer arm is applied simultaneously to a number of filters, differing in frequency characteristics. A capacitive voltage transformer is designed to normalize the phase voltage signal of industrial frequency in magnitude. With OZZ, one of the series of filters that has the amplitude-frequency characteristic most fully coordinated with the emergency spectrum will perform optimal signal filtering, as a result of which the signal will have the highest signal-to-noise ratio at the output of this filter. Exceeding the output signal of one of a number of threshold filters triggers the fixation of the time stamp from the receiver of satellite signals of global positioning in the signal processing means. The time stamp is transmitted to the control room using the information transfer tool, where the distance to the place of damage to the power line is calculated.
Использование в данном устройстве одного емкостного трансформатора напряжения не позволяет использовать его для определения величины фазного напряжения ЛЭП, так как параметры высоковольтного плеча подвержены изменению под влиянием атмосферного воздействия.The use of one capacitive voltage transformer in this device does not allow it to be used to determine the phase voltage of power lines, since the parameters of the high-voltage arm are subject to change under the influence of atmospheric effects.
Известен способ определения места однофазного замыкания на землю в разветвленной воздушной линии электропередач, способ определения места междуфазного короткого замыкания в разветвленной воздушной линии электропередач и устройство контроля тока и напряжения для их осуществления по патенту РФ 2372624, МПК G01R 31/08, 2009 - прототип. Изобретение относится к техническому обслуживанию воздушных линий электропередач (ЛЭП) с разветвленной структурой и может быть использовано для определения фазного напряжения воздушной ЛЭП. В данном патенте описано устройство, которое монтируется на фазный провод ЛЭП и содержит питающий и измерительный трансформаторы тока, датчик напряжения, блок питания, микроконтроллер, радиомодем, приемник спутниковых сигналов глобальной системы позиционирования. Питающий трансформатор тока соединен с блоком питания, измерительный трансформатор тока через резистивную нагрузку соединен с микроконтроллером, с микроконтроллером соединены датчик напряжения, радиомодем и приемник спутниковых сигналов глобальной системы позиционирования. Измерения фазного напряжения воздушной ЛЭП осуществляется с помощью датчика напряжения, который представляет собой электрическую антенну. Измеренные значения напряжения передаются в диспетчерский центр с помощью GSM модема.There is a method of determining the location of a single-phase earth fault in a branched overhead power line, a method for determining the location of an interphase short circuit in a branched overhead power line, and a current and voltage control device for their implementation according to RF patent 2372624, IPC G01R 31/08, 2009 - prototype. The invention relates to the maintenance of overhead power lines (power lines) with a branched structure and can be used to determine the phase voltage of an overhead power line. This patent describes a device that is mounted on a phase wire of a power transmission line and contains a supply and measuring current transformers, a voltage sensor, a power supply, a microcontroller, a radio modem, a satellite receiver of global positioning system signals. The supply current transformer is connected to the power supply, the measuring current transformer is connected to the microcontroller through the resistive load, the voltage sensor, the radio modem and the satellite receiver of the global positioning system are connected to the microcontroller. Measurement of the phase voltage of an overhead power line is carried out using a voltage sensor, which is an electric antenna. The measured voltage values are transmitted to the control center using a GSM modem.
Недостатком данного устройства является то, что измерение электрической антенной фазного напряжения ЛЭП основано на измерении напряженности электрического поля, которое вблизи ЛЭП является неоднородным и зависит от близости к опорам, изоляторам и древесно-кустарниковой растительности.The disadvantage of this device is that the measurement of the electric antenna of the phase voltage of the power transmission line is based on the measurement of the electric field strength, which is heterogeneous near the power transmission line and depends on the proximity to poles, insulators and woody-shrubby vegetation.
Задачей изобретения является измерение фазного напряжения, поверхностного сопротивления и тока утечки линейного подвесного изолятора в реальном времени и в любом месте воздушной линии электропередач.The objective of the invention is to measure the phase voltage, surface resistance and leakage current of a linear suspension insulator in real time and anywhere in the overhead power line.
Способ определения фазного напряжения линии электропередач, поверхностного сопротивления и тока утечки линейного подвесного изолятора воздушной линии основан на применении датчика напряжения с двумя высоковольтными делителями напряжения (ДН), состоящими из общего высоковольтного плеча и двух разных низковольтных плеч. Схема замещения датчика напряжения с двумя ДН изображена на фиг. 1, где 1 - датчик напряжения, 2 - питающий трансформатор тока, 3 - фазный провод, 4 - быстродействующий ключ, 5 - блок измерений, 6 - комплексное сопротивление низковольтного плеча первого ДН величиной, 7 -комплексное сопротивление низковольтного плеча второго ДН величиной, 8 - емкость высоковольтного плеча величиной С, 9 - поверхностное сопротивление изоляторов величиной R, U - величина амплитуды фазного напряжения сети или входное напряжение, Ux - величина амплитуды падения напряжения на низковольтном плече соответствующего ДН, которое линейно связано с током I, обусловленным полным током утечки линейного подвесного изолятора или гирлянды изоляторов.The method for determining the phase voltage of a power line, surface resistance and leakage current of a linear overhead line insulator is based on the use of a voltage sensor with two high-voltage voltage dividers (DN), consisting of a common high-voltage arm and two different low-voltage arms. The equivalent circuit of the voltage sensor with two voltage transformers is shown in FIG. 1, where 1 is a voltage sensor, 2 is a supply current transformer, 3 is a phase wire, 4 is a high-speed switch, 5 is a measurement unit, 6 is the complex resistance of the low-voltage arm of the first DN , 7-complex resistance of the low-voltage arm of the second DN value , 8 - capacitance of a high-voltage arm of magnitude C, 9 - surface resistance of insulators of magnitude R, U - magnitude of the amplitude of the phase voltage of the network or input voltage, Ux - magnitude of the amplitude of the voltage drop across the low-voltage arm of the corresponding DN, which is linearly related to current I due to the total current leakage of a linear suspension insulator or a string of insulators.
Технический результат достигается тем, что для определения искомых параметров применяются два высоковольтных делителя напряжения, состоящие из общего высоковольтного плеча и двух разных низковольтных плеч, на смежных периодах промышленной частоты попеременно регистрируются осциллограммы сигналов напряжений на разных низковольтных плечах высоковольтных делителей напряжения, которые передаются в диспетчерский центр с помощью GSM модема для численного определения поверхностного сопротивления линейного подвесного изолятора R по формуле (1), фазного напряжения линии электропередач U по формуле (2), тока утечки линейного подвесного изолятора по формуле (3).The technical result is achieved by the fact that two high-voltage voltage dividers are used to determine the required parameters, consisting of a common high-voltage arm and two different low-voltage arms, at adjacent periods of industrial frequency, oscillograms of voltage signals are alternately recorded on different low-voltage arms of the high-voltage dividers, which are transmitted to the control center using a GSM modem for numerically determining the surface resistance of a linear suspension insulator R according to the form u (1), the phase voltage of the power line U according to the formula (2), the leakage current of the linear suspension insulator according to the formula (3).
Быстродействующий ключ обеспечивает поочередную работу двух ДН, у которых одно и то же высоковольтное плечо в виде емкости С и разные низковольтные плечи с комплексными сопротивлениями Одно положение ключа соответствует первому ДН с низковольтным плечом, другое положение соответствует второму ДН с низковольтным плечом. Высокое быстродействие ключа обеспечивает моментальное переключение низковольтных плеч ДН. В результате один период выходного напряжения будет соответствовать одному ДН с амплитудой U1, второй период - другому ДН с амплитудой U2. Величины выходных напряжений U1 и U2 линейно связаны с фазным напряжением в сети при неизменном поверхностном сопротивлении загрязнения.A high-speed switch ensures the successive operation of two firearms with the same high-voltage arm in the form of capacitance C and different low-voltage arms with complex resistances One key position corresponds to the first low voltage arm , another position corresponds to the second low voltage arm . High key performance provides instant switching of low-voltage arms of the beam. As a result, one period of the output voltage will correspond to one DN with amplitude U1, the second period - to another DN with amplitude U2. The values of the output voltages U1 and U2 are linearly related to the phase voltage in the network with a constant surface pollution resistance.
Измерение амплитуды выходных напряжений U1, U2 и аргумента φk будет производиться с погрешностью, обусловленной разрядностью аналого-цифрового преобразователя (АЦП) микроконтроллера. В результате расчета величина поверхностного сопротивления по формуле (1) будет комплексной, погрешность которой будет больше, чем погрешность АЦП микроконтроллера. Так как поверхностное сопротивление является активным, то для уменьшения погрешности расчета необходимо величину амплитуды выходного напряжения первого ДН принять за базовое значение, а величину амплитуды выходного напряжения второго ДН корректировать до тех пор, пока мнимая составляющая поверхностного сопротивления, вычисленная по формуле (1), не станет равной нулю. После выполнения вышеуказанного условия погрешность определения выходных напряжений U1 и скорректированного выходного напряжения U2* будет одинакова и равна погрешности первого ДН, напряжение которого принятого за базовое значение.The amplitude of the output voltages U1, U2 and the argument φk will be measured with an error due to the bit depth of the analog-to-digital converter (ADC) of the microcontroller. As a result of the calculation, the surface resistance value according to formula (1) will be complex, the error of which will be greater than the error of the ADC of the microcontroller. Since the surface resistance is active, to reduce the calculation error, it is necessary to take the amplitude value of the output voltage of the first DN as the base value, and adjust the magnitude of the amplitude of the output voltage of the second DN as long as the imaginary component of the surface resistance calculated by formula (1) is not will become equal to zero. After fulfilling the above conditions, the error in determining the output voltages U1 and the adjusted output voltage U2 * will be the same and equal to the error of the first DN, the voltage of which is taken as the base value.
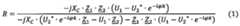
Амплитуда фазного напряжения U находится по формуле (2), где берется модуль от полученного выражения на основе измеренного выходного напряжения U1, скорректированного выходного напряжения U2*, разности фаз φk и заранее известных сопротивлений низковольтных плеч Погрешность определения фазного напряжения будет определяться погрешностью измерения выходного напряжения U1 и U2.The amplitude of the phase voltage U is found by formula (2), where the module is taken from the expression obtained on the basis of the measured output voltage U1, the adjusted output voltage U2 *, the phase difference φk and the previously known low-voltage arm resistances The error in determining the phase voltage will be determined by the error in measuring the output voltage U1 and U2.
где Хс - емкостное сопротивление высоковольтного плеча;where Xwith the capacitive resistance of the high voltage arm;
- комплексные сопротивления низковольтных плеч; - complex resistance of low-voltage shoulders;
U1 - величина амплитуды выходного напряжения первого делителя напряжения;U1 is the magnitude of the amplitude of the output voltage of the first voltage divider;
U2* - скорректированная величина амплитуды выходного напряжения второго делителя напряжения по условию равенства нулю мнимой составляющей поверхностного сопротивления R;U2 * is the adjusted amplitude of the output voltage of the second voltage divider according to the condition that the imaginary component of the surface resistance R is equal to zero;
φk - разность фаз осциллограмм выходных напряжений U1 и U2;φk is the phase difference of the waveforms of the output voltages U1 and U2;
- модуль сопротивления низковольтного плеча. - low voltage shoulder resistance module.
Технический результат достигается тем, что в устройстве для определения фазного напряжения, поверхностного сопротивления и тока утечки линейного подвесного изолятора воздушной линии электропередач, включающем в себя микроконтроллер, радиомодем, питающий трансформатор тока, первичной обмоткой которого является прямолинейный фазный провод высоковольтной линии электропередач, который вторичной обмоткой соединен с диодным выпрямительным мостом, стабилитроном, диодом и ионистором, для определения искомых параметров применяется два высоковольтных делителя напряжения, состоящие из общего высоковольтного плеча, в качестве которого выступает линейный подвесной изолятор воздушной линии электропередач, и из двух разных низковольтных плеч, в качестве которых могут выступать резистор, конденсатор или катушка индуктивности, при этом один конец низковольтного плеча соединен последовательно с высоковольтным плечом, а другой конец соединен с фазным проводом через быстродействующий ключ, который при подаче управляющего сигнала каждый период переключает делитель напряжения с одного низковольтного плеча на другое, линейный подвесной изолятор соединен с заземленной арматурой высоковольтной опоры линии электропередач, осциллограммы выходных напряжений высоковольтного делителя напряжения регистрируются блоком измерения устройства.The technical result is achieved in that in a device for determining the phase voltage, surface resistance and leakage current of a linear pendant insulator of an overhead power line, including a microcontroller, a radio modem supplying a current transformer, the primary winding of which is a rectilinear phase wire of a high voltage power line, which is a secondary winding connected to a diode rectifier bridge, a zener diode, a diode and an ionistor, two parameters are used to determine the desired parameters a voltage divider consisting of a common high-voltage arm, which is a linear overhead power line insulator, and of two different low-voltage arms, which can be a resistor, capacitor or inductor, while one end of the low-voltage arm is connected in series with the high-voltage shoulder, and the other end is connected to the phase wire through a high-speed key, which, when a control signal is applied, switches the voltage divider every period from one low-voltage arm to another, the linear suspension insulator is connected to the grounded armature of the high-voltage support of the power line, oscillograms of the output voltages of the high-voltage voltage divider are recorded by the device’s measuring unit.
Датчик напряжения монтируется на фазный провод линии электропередач и получает электроэнергию от фазного тока с помощью разъемного трансформатора тока, который обеспечивает электропитанием микроконтроллер и GSM модем для передачи измеренной информации. На фиг. 2 представлена блок-схема датчика напряжения. Заявляемое устройство состоит из питающего трансформатора тока 2, диодного выпрямительного моста 10, стабилитрона 11, диода 12 и ионистора 13. Ионистор подключен к входу импульсного стабилизатора 14, выход которого соединен с микроконтроллером 15 и радиомодемом 16. Выход высоковольтного делителя напряжения 17 соединен с аналоговым входом микроконтроллера 15. Микроконтроллер 15 и радиомодем 16 связаны каналом последовательной асинхронной передачи данных. Элементы 10-16 по тексту объединены термином блок измерений.The voltage sensor is mounted on the phase wire of the power line and receives electricity from the phase current using a detachable current transformer, which provides power to the microcontroller and GSM modem for transmitting the measured information. In FIG. 2 is a block diagram of a voltage sensor. The inventive device consists of a supply
Данный метод позволяет определять фазное напряжение сети, как в нормальном, так и в аварийном установившемся режиме вне зависимости от степени загрязненности линейного подвесного изолятора в любой точке воздушной линии электропередач. К тому же по сравнению с трансформаторами напряжения, установленными на подстанциях, затраты на измерение фазного напряжения заявленным устройством меньше за счет исключения затрат на массивные громоздкие изоляционные конструкции, так как датчик напряжения находится под высоким потенциалом и имеет гальваническую развязку от земли.This method allows you to determine the phase voltage of the network, both in normal and in emergency steady state, regardless of the degree of contamination of the linear suspension insulator at any point in the overhead power line. In addition, compared with voltage transformers installed in substations, the cost of measuring the phase voltage of the claimed device is less due to the exclusion of the cost of massive bulky insulation structures, since the voltage sensor is at high potential and has galvanic isolation from the ground.
ДН может быть реализован как в составе гирлянды изоляторов, когда фазный провод изолирован от опоры несколькими изоляторами, так и на отдельном линейном подвесном изоляторе, когда фазный провод изолирован от опоры одним изолятором. На фиг. 3 представлено расположение датчика напряжения на фазном проводе с подключением к ДН в составе гирлянды изоляторов, где 1 - датчик напряжения, 2 - питающий трансформатор тока, 3 - фазный провод, 4 - быстродействующий ключ, 5 - блок измерений, 6, 7 - низковольтные плечи двух ДН сопротивлением соответственно, 18 - гирлянда изоляторов, которая является общим высоковольтным плечом двух ДН, 19 - траверса опоры воздушной линии электропередач. Для ликвидации опасности перекрытия гирлянды изоляторов из-за шунтирования крайнего изолятора в состав гирлянды изоляторов монтируется дополнительный линейный подвесной изолятор. На фиг. 4 представлено расположение датчика напряжения на фазном проводе с подключением к ДН, в котором в качестве высоковольтного плеча выступает отдельный линейный подвесной изолятор, где 1 - датчик напряжения, 2 - питающий трансформатор тока, 3 - фазный провод, 4 - быстродействующий ключ, 5 - блок измерений, 6, 7 -низковольтные плечи двух ДН сопротивлением соответственно, 19 - траверса опоры воздушной линии электропередач, 20 - штатный линейный подвесной изолятор, 21 - дополнительный линейный подвесной изолятор, который является общим высоковольтным плечом двух ДН. Так как отдельный линейный изолятор расположен рядом с линейным изолятором, то можно утверждать, что они загрязнены одинаково.DN can be implemented both in the string of insulators, when the phase wire is isolated from the support by several insulators, and on a separate linear hanging insulator, when the phase wire is isolated from the support by one insulator. In FIG. Figure 3 shows the location of the voltage sensor on the phase wire with the insulator string connected to the DN, where 1 is the voltage sensor, 2 is the supply current transformer, 3 is the phase wire, 4 is the high-speed switch, 5 is the measurement unit, 6, 7 are low-voltage shoulders two daylight resistance accordingly, 18 is a string of insulators, which is the common high-voltage arm of two DNs, 19 is the crosshead of the overhead power line support. To eliminate the risk of overlapping insulator strings due to shunting of the outermost insulator, an additional linear suspension insulator is mounted in the insulator strings. In FIG. Figure 4 shows the location of the voltage sensor on the phase wire connected to the DN, in which a separate linear suspension insulator acts as a high-voltage arm, where 1 is a voltage sensor, 2 is a supply current transformer, 3 is a phase wire, 4 is a high-speed switch, 5 is a block measurements, 6, 7 low-voltage shoulders of two impedance DNs accordingly, 19 is the crosshead of the overhead power line support, 20 is the standard linear suspension insulator, 21 is the additional linear suspension insulator, which is the common high-voltage arm of two DNs. Since a separate line insulator is located next to the line insulator, it can be argued that they are equally contaminated.
Заявляемый способ осуществляется следующим образом.The inventive method is as follows.
Установленные в выбранных точках ЛЭП на одноименных фазных проводах или на всех фазных проводах датчики напряжения с заданной периодичностью регистрируют последовательно две разные осциллограммы выходных напряжений с низковольтных плеч двух разных ДН на интервале двух периодов промышленной частоты. С помощью GSM модема зарегистрированные осциллограммы передаются в диспетчерский центр для определения величины амплитуды выходных напряжений U1 и U2 и разность аргументов φk. Параметры ДН известны и в расчете считаются неизменными. По формуле (1) определяется комплексная величина поверхностного сопротивления R изолятора. Для уменьшения погрешности определения фазного напряжения выходное напряжение U1 принимается за неизменное, а величина амплитуды напряжения U2 корректируется до такой величины, пока мнимая часть поверхностного сопротивления R не будет равна нулю. Далее напряжение U1 и скорректированное напряжение U2* подставляются в формулу (2), и определяется комплексное число фазного напряжения, модуль которого является амплитудой фазного напряжения сети U. Полный ток утечки определяется по формуле (3).The voltage sensors installed at the selected power line points on the same phase wires or on all phase wires register two different waveforms of the output voltages from the low-voltage arms of two different voltage transformers in the interval of two periods of the industrial frequency with a predetermined frequency. Using a GSM modem, the recorded waveforms are transmitted to a control center to determine the amplitude of the output voltages U1 and U2 and the argument difference φk. The parameters of the pattern are known and are considered unchanged in the calculation. By the formula (1), the complex value of the surface resistance R of the insulator is determined. To reduce the error in determining the phase voltage, the output voltage U1 is assumed to be unchanged, and the amplitude of the voltage U2 is adjusted to such a value until the imaginary part of the surface resistance R is equal to zero. Next, the voltage U1 and the adjusted voltage U2 * are substituted into formula (2), and the complex number of phase voltage is determined, the module of which is the amplitude of the phase voltage of the network U. The total leakage current is determined by formula (3).
Использование в датчике напряжения ДН позволяет вести постоянный мониторинг уровня напряжения в сети, уменьшить стоимость измерения фазного напряжения за счет исключения трансформатора напряжения, определять полный ток утечки и поверхностное сопротивление линейного подвесного изолятора воздушной линии электропередач.Using a voltage detector in the voltage sensor allows constant monitoring of the voltage level in the network, reduces the cost of measuring the phase voltage by eliminating the voltage transformer, and determines the total leakage current and surface resistance of the linear suspended insulator of the overhead power line.
| Application Number | Priority Date | Filing Date | Title | 
|---|---|---|---|
| RU2014143874/28ARU2578726C1 (en) | 2014-10-29 | 2014-10-29 | Method of determining phase voltage, surface resistance and leak current for linear suspended insulator of overhead transmission line and device therefor | 
| Application Number | Priority Date | Filing Date | Title | 
|---|---|---|---|
| RU2014143874/28ARU2578726C1 (en) | 2014-10-29 | 2014-10-29 | Method of determining phase voltage, surface resistance and leak current for linear suspended insulator of overhead transmission line and device therefor | 
| Publication Number | Publication Date | 
|---|---|
| RU2578726C1true RU2578726C1 (en) | 2016-03-27 | 
| Application Number | Title | Priority Date | Filing Date | 
|---|---|---|---|
| RU2014143874/28ARU2578726C1 (en) | 2014-10-29 | 2014-10-29 | Method of determining phase voltage, surface resistance and leak current for linear suspended insulator of overhead transmission line and device therefor | 
| Country | Link | 
|---|---|
| RU (1) | RU2578726C1 (en) | 
| Publication number | Priority date | Publication date | Assignee | Title | 
|---|---|---|---|---|
| CN106970322A (en)* | 2017-05-26 | 2017-07-21 | 华北电力科学研究院有限责任公司 | Hybrid high voltage DC breaker Fast mechanical switch dynamic voltage balancing test system | 
| CN107748345A (en)* | 2017-11-08 | 2018-03-02 | 中国南方电网有限责任公司超高压输电公司检修试验中心 | A kind of HVDC divider second divided voltage board parameter calibration equipment and method | 
| RU2702914C1 (en)* | 2018-12-18 | 2019-10-14 | Федеральное государственное бюджетное образовательное учреждение высшего образования "Казанский государственный энергетический университет" (ФГБОУ ВО "КГЭУ") | Device for measuring voltage in high-voltage circuit with remote transmission of information | 
| EP3747100B1 (en)* | 2018-01-30 | 2022-03-16 | Hitachi Energy Switzerland AG | Surge arrestor dimensioning in a dc power transmission system | 
| Publication number | Priority date | Publication date | Assignee | Title | 
|---|---|---|---|---|
| RU2372624C1 (en)* | 2008-03-12 | 2009-11-10 | Рустэм Газизович Хузяшев | Method for detection of single-phase earth fault location in ramified overhead power transmission line, method for detection of phase-to-phase short circuit in ramified overhead power transmission line and device for current and voltage monitoring for their realisation | 
| RU2385464C2 (en)* | 2004-06-21 | 2010-03-27 | Абб Текнолоджи Аг | Method and device for measuring electrical voltage across device for switching off electrical power | 
| RU2392738C2 (en)* | 2005-08-15 | 2010-06-20 | Юнивёсити Оф Денвер | Method of testing to estimate diffusion and leakage currents in insulators | 
| RU107368U1 (en)* | 2011-03-21 | 2011-08-10 | Государственное образовательное учреждение высшего профессионального образования "Самарский государственный университет путей сообщения" | INSULATION CONDITION MONITORING SYSTEM | 
| US8665102B2 (en)* | 2008-07-18 | 2014-03-04 | Schweitzer Engineering Laboratories Inc | Transceiver interface for power system monitoring | 
| Publication number | Priority date | Publication date | Assignee | Title | 
|---|---|---|---|---|
| RU2385464C2 (en)* | 2004-06-21 | 2010-03-27 | Абб Текнолоджи Аг | Method and device for measuring electrical voltage across device for switching off electrical power | 
| RU2392738C2 (en)* | 2005-08-15 | 2010-06-20 | Юнивёсити Оф Денвер | Method of testing to estimate diffusion and leakage currents in insulators | 
| RU2372624C1 (en)* | 2008-03-12 | 2009-11-10 | Рустэм Газизович Хузяшев | Method for detection of single-phase earth fault location in ramified overhead power transmission line, method for detection of phase-to-phase short circuit in ramified overhead power transmission line and device for current and voltage monitoring for their realisation | 
| US8665102B2 (en)* | 2008-07-18 | 2014-03-04 | Schweitzer Engineering Laboratories Inc | Transceiver interface for power system monitoring | 
| RU107368U1 (en)* | 2011-03-21 | 2011-08-10 | Государственное образовательное учреждение высшего профессионального образования "Самарский государственный университет путей сообщения" | INSULATION CONDITION MONITORING SYSTEM | 
| Publication number | Priority date | Publication date | Assignee | Title | 
|---|---|---|---|---|
| CN106970322A (en)* | 2017-05-26 | 2017-07-21 | 华北电力科学研究院有限责任公司 | Hybrid high voltage DC breaker Fast mechanical switch dynamic voltage balancing test system | 
| CN106970322B (en)* | 2017-05-26 | 2023-09-05 | 华北电力科学研究院有限责任公司 | Dynamic voltage-equalizing test system for quick mechanical switch of hybrid high-voltage direct-current circuit breaker | 
| CN107748345A (en)* | 2017-11-08 | 2018-03-02 | 中国南方电网有限责任公司超高压输电公司检修试验中心 | A kind of HVDC divider second divided voltage board parameter calibration equipment and method | 
| EP3747100B1 (en)* | 2018-01-30 | 2022-03-16 | Hitachi Energy Switzerland AG | Surge arrestor dimensioning in a dc power transmission system | 
| RU2702914C1 (en)* | 2018-12-18 | 2019-10-14 | Федеральное государственное бюджетное образовательное учреждение высшего образования "Казанский государственный энергетический университет" (ФГБОУ ВО "КГЭУ") | Device for measuring voltage in high-voltage circuit with remote transmission of information | 
| Publication | Publication Date | Title | 
|---|---|---|
| US20090309754A1 (en) | Wireless current transformer | |
| RU2372624C1 (en) | Method for detection of single-phase earth fault location in ramified overhead power transmission line, method for detection of phase-to-phase short circuit in ramified overhead power transmission line and device for current and voltage monitoring for their realisation | |
| US11977105B2 (en) | Current and voltage measuring unit | |
| RU2578726C1 (en) | Method of determining phase voltage, surface resistance and leak current for linear suspended insulator of overhead transmission line and device therefor | |
| JP2018532249A (en) | Capacitor-type instrument transformer for transient overvoltage monitoring system | |
| FI20225120A1 (en) | METHOD AND DEVICE FOR FAULT DETECTION IN A DISTRIBUTION NETWORK | |
| RU119120U1 (en) | DEVICE FOR VOLTAGE MEASUREMENT IN A HIGH VOLTAGE CIRCUIT WITH REMOTE INFORMATION TRANSMISSION | |
| RU2346285C1 (en) | High-voltage optoelectronic device for current measurement | |
| CN105403808B (en) | A kind of localization method and device of DC line earth fault | |
| RU121594U1 (en) | DEVICE FOR VOLTAGE MEASUREMENT IN A HIGH VOLTAGE CIRCUIT WITH REMOTE INFORMATION TRANSMISSION | |
| CN106980036A (en) | Total solids holography high-tension current potential sensor | |
| Brown et al. | A wireless differential protection system for air-core inductors | |
| Trotsenko et al. | Experimental laboratory equipped with voltage dividers for power quality monitoring | |
| RU2482502C1 (en) | Device to measure current in high-voltage circuit with remote data transfer | |
| CN202330523U (en) | Capacitive sampling voltage box for voltage quality monitoring of 220kV power system | |
| CN210514521U (en) | Insulation and voltage resistance inspection device | |
| RU2678330C1 (en) | Currents in the high-voltage oil-filled transformers, auto-transformers or electrical reactors windings measuring device | |
| Regnier et al. | Measurement Transducers for LCC and VSC HVDC Converter Stations | |
| RU2368907C2 (en) | Method for measurement of ac voltage by variation resistive divider with capacitance arm | |
| Sandler et al. | Measurement Systems for High Voltage Transients in Power Networks | |
| Pakonen et al. | A novel concept of secondary substation monitoring: Possibilities and challenges | |
| Strickland et al. | Low cost current measurement of three phase cables | |
| RU150093U1 (en) | HIGH VOLTAGE DIGITAL CURRENT MEASUREMENT DEVICE | |
| RU2482503C1 (en) | Device to measure voltage in high-voltage circuit with remote data transfer | |
| RU2807018C1 (en) | High-voltage direct-connection electric energy meter |