Movatterモバイル変換


[0]ホーム

URL:


RU2543470C1 - Radio system - Google Patents

Radio system
Download PDF

Info

Publication number
RU2543470C1
RU2543470C1RU2013135134/08ARU2013135134ARU2543470C1RU 2543470 C1RU2543470 C1RU 2543470C1RU 2013135134/08 ARU2013135134/08 ARU 2013135134/08ARU 2013135134 ARU2013135134 ARU 2013135134ARU 2543470 C1RU2543470 C1RU 2543470C1
Authority
RU
Russia
Prior art keywords
radio signals
radio
coordinates
transmitting
parameters
Prior art date
Application number
RU2013135134/08A
Other languages
Russian (ru)
Other versions
RU2013135134A (en
Inventor
Владимир Петрович Панов
Original Assignee
Владимир Петрович Панов
Priority date (The priority date is an assumption and is not a legal conclusion. Google has not performed a legal analysis and makes no representation as to the accuracy of the date listed.)
Filing date
Publication date
Application filed by Владимир Петрович ПановfiledCriticalВладимир Петрович Панов
Priority to RU2013135134/08ApriorityCriticalpatent/RU2543470C1/en
Priority to PCT/RU2014/000555prioritypatent/WO2015012743A1/en
Publication of RU2013135134ApublicationCriticalpatent/RU2013135134A/en
Application grantedgrantedCritical
Publication of RU2543470C1publicationCriticalpatent/RU2543470C1/en

Links

Classifications

Landscapes

Abstract

FIELD: radio engineering, communication.
SUBSTANCE: radio system (RS) comprises a ground radio signal transmitting system with N≥5 radio signal transmitting stations, coordinates of phase centres of antennae of which are known at radio facilities (RO). The transmitting stations are configured for synchronised ordered transmission of radio signals in series, with given separate features and with given time delays between radio signals, which provide ordered arrival of radio signals at the RO, located at any point in a service area. Each RO comprises a radio signal receiving device configured to receive and identify radio signals of the corresponding transmitting station, a recorder for recording the reception time thereof in a time reference system specified at the RO and an information system configured, based on said coordinates and reception time of radio signals in the series, taking into account said time delays between radio signals, to measure coordinates of phase centres of the antenna of the RO according to the proposed measurement equations.
EFFECT: high efficiency and simplification of corresponding radio systems.
1 dwg

Description

Translated fromRussian

Изобретение относится к технике связи, а конкретнее к радиотехническим системам передачи и приема радиосигналов и извлечения информации. К таким системам относятся, в частности, радионавигационные и радиолокационные системы, системы радиоразведки радиотехнических средств, радионаблюдения поверхности Земли и др. [Радиотехнические системы / Ю.М. Казаринов и др. Под ред. Ю.М. Казаринова. - М.: ИЦ «Академия», 2008, стр. 7]. Заявляемая система содержит принимающие радиосигналы радиотехнические объекты, стационарные или подвижные, и наземную пунктовую передающую радиосигналы систему, включающую упорядоченные пронумерованные передающие радиосигналы пункты, в количестве не менее пяти, координаты фазовых центров антенн которых известны на принимающих радиосигналы радиотехнических объектах. Реализация системы позволит, в том числе, определить пространственные координаты указанных радиотехнических объектов, упростить соответствующие системы извлечения информации, увеличить их технико-экономическую эффективность с учетом всех компонентов, влияющих на стоимость и технические показатели.The invention relates to communication technology, and more particularly to radio systems for transmitting and receiving radio signals and extracting information. Such systems include, in particular, radio navigation and radar systems, radio reconnaissance systems for radio equipment, radio surveillance of the Earth’s surface, etc. [Radio systems / Yu.M. Kazarinov et al. Ed. Yu.M. Kazarinova. - M .: IC "Academy", 2008, p. 7]. The inventive system contains radio signals receiving radio engineering objects, stationary or mobile, and a ground-based point radio signal transmitting system, including ordered numbered radio signal transmitting points, in an amount of at least five, the coordinates of the phase centers of the antennas of which are known at radio signal-receiving radio objects. The implementation of the system will make it possible, among other things, to determine the spatial coordinates of the indicated radio engineering objects, simplify the corresponding information extraction systems, and increase their technical and economic efficiency, taking into account all the components that affect the cost and technical indicators.

Известные радиотехнические системы передачи и приема радиосигналов и извлечения информации используются, в том числе, для определения координат радиотехнических объектов и основаны на применении угломерных, дальномерных, разностно и суммарно-дальномерных и комбинированных методов определения местоположения объекта с амплитудными, временными, частотными, фазовыми и импульсно-фазовыми методами измерения параметров радиосигнала [Патенты РФ №№2018855, 2115137, 2258242, 2264598, 2309420, 2325666, 2363117, 2371737, 2378660; Основы испытаний летательных аппаратов / Е.И. Кринецкий и др. Под ред. Е.И. Кринецкого. - М.: Машиностр., 1979, с.64-89; Радиотехнические системы / Ю.М. Казаринов и др. Под ред. Ю.М. Казаринова. - М.: ИЦ «Академия», 2008, с.17-18, п.п.7.1-7.4, гл.10.; Мельников Ю.П., Попов СВ. Радиотехническая разведка. Методы оценки эффективности местоопределения источников излучения. - М.: Радиотехника, 2008, гл. 5]. Известные системы имеют те или иные недостатки, например необходимость механического перемещения антенной системы, невозможность однозначного определения координат объекта, необходимость априорной информации о местоположении объекта, необходимость общей синхронизации передающих и принимающих радиосигналы радиотехнических объектов, недостаточную надежность. По критерию минимальной достаточности наиболее близкой является система передачи и приема радиосигналов и извлечения информации по патенту RU №2453996.Known radio engineering systems for transmitting and receiving radio signals and extracting information are used, inter alia, to determine the coordinates of radio engineering objects and are based on the use of goniometric, rangefinder, difference and total-rangefinder and combined methods for determining the location of an object with amplitude, time, frequency, phase and pulse -phase methods for measuring the parameters of the radio signal [RF patents №№2018855, 2115137, 2258242, 2264598, 2309420, 2325666, 2363117, 2371737, 2378660; Fundamentals of testing aircraft / E.I. Krynetsky et al. Ed. E.I. Krynetsky. - M .: Mashinostr., 1979, p. 64-89; Radio engineering systems / Yu.M. Kazarinov et al. Ed. Yu.M. Kazarinova. - M .: IC "Academy", 2008, p.17-18, pp. 7.1-7.4, ch.10 .; Melnikov Yu.P., Popov SV. Radio intelligence. Methods for assessing the effectiveness of the determination of radiation sources. - M.: Radio Engineering, 2008, Ch. 5]. Known systems have certain disadvantages, for example, the need for mechanical movement of the antenna system, the impossibility of unambiguous determination of the coordinates of the object, the need for a priori information about the location of the object, the need for general synchronization of radio objects transmitting and receiving radio signals, and insufficient reliability. According to the criterion of minimum sufficiency, the closest is the system for transmitting and receiving radio signals and extracting information according to patent RU No. 2453996.

Преимуществом заявляемой системы по сравнению с известными является возможность повышения технико-экономической эффективности радиотехнических комплексов измерения пространственных координат и других характеристик объекта, функционально связанных с его координатами, в том числе обеспечение точности и достоверности их измерения в соответствии с современными требованиями. Это достигается тем, что заявляемая система, в частности, не требует общей синхронизации совокупности передающих и принимающих радиосигналы радиотехнических объектов. Также заявляемая система позволяет определять пространственные координаты посредством косвенного измерения с использованием простых выражений, зависящих от измеренных моментов времен приемов радиосигналов на принимающем радиосигналы радиотехническом объекте. Благодаря этому упрощается однозначное определение пространственных координат.An advantage of the claimed system in comparison with the known ones is the possibility of increasing the technical and economic efficiency of radio engineering complexes for measuring spatial coordinates and other characteristics of an object functionally related to its coordinates, including ensuring the accuracy and reliability of their measurement in accordance with modern requirements. This is achieved by the fact that the claimed system, in particular, does not require general synchronization of the aggregate of transmitting and receiving radio signals of radio engineering objects. Also, the inventive system allows you to determine the spatial coordinates through indirect measurements using simple expressions that depend on the measured moments of the times of receiving radio signals at a radio signal receiving radio object. This simplifies the unambiguous determination of spatial coordinates.

Для достижения указанного технического результата в соответствии с настоящим изобретением радиотехническая система содержит наземную пунктовую передающую радиосигналы систему и принимающие радиосигналы радиотехнические объекты, стационарные или подвижные, при этом указанная наземная пунктовая передающая радиосигналы система включает упорядоченно пронумерованные передающие радиосигналы пункты, в количестве N не менее пяти, каждый из них содержит антенные устройства, фазовые центры передающих антенн которых находятся в заданных, не расположенных в одной плоскости, и известных, в том числе на упомянутых объектах, точках с координатами Xn, Yn, Zn, где индекс n изменяется от 1 до N, соответственно, в заданной трехмерной декартовой системе координат (X, Y, Z), и подсоединенные к антенным устройствам передающие радиосигналы устройства, выполненные с возможностью синхронизированной упорядоченной передачи радиосигналов сериями, преимущественно по одному радиосигналу из каждого передающего радиосигналы пункта в серии, с заданными не обязательно одинаковыми интервалами между сериями, при необходимости указанные передающие радиосигналы устройства выполнены с возможностью передачи радиосигналов с заданными индивидуальными признаками, в том числе сложных и составных радиосигналов с заданными индивидуальными признаками их элементов и возможностью их разделения при приеме, и при необходимости с заданными, не обязательно одинаковыми, и известными на упомянутых принимающих радиосигналы радиотехнических объектах задержками по времени между радиосигналами, а каждый принимающий радиосигналы радиотехнический объект содержит антенное устройство, подключенное к нему принимающее радиосигналы устройство, выполненное с возможностью приема радиосигналов наземной пунктовой передающей радиосигналы системы и их идентификации соответствующим передающим радиосигналы пунктам, регистратор моментов времен приема радиосигналов от упомянутых передающих радиосигналы пунктов в заданной на принимающем радиосигналы радиотехническом объекте системе отсчета времени, соединенный с принимающим радиосигналы устройством, и информационную систему, функционально связанную с регистратором и выполненную с возможностью хранения упомянутых заданных координат Xn, Yn, Zn, указанных заданных времен задержек, при необходимости, и параметровai с размерностью площади, где индекс i изменяется от 1 до 6, определяемых через Xn, Yn, Zn в соответствии с выражениямиTo achieve the technical result in accordance with the present invention, the radio engineering system comprises a ground-based point transmitting radio signals system and receiving radio signals radio engineering objects, stationary or mobile, while the specified ground-based point transmitting radio signals system includes orderly numbered transmitting radio signals points, in an amount of N at least five, each of them contains antenna devices, the phase centers of the transmitting antennas of which are in predetermined, e arranged in one plane, and known, including said object points with the coordinates Xn, Yn, Zn, where index n varies from 1 to N, respectively, in a predetermined three-dimensional Cartesian coordinate system (X, Y, Z), and radio-transmitting devices connected to antenna devices configured to synchronize ordered transmission of radio signals in series, preferably one radio signal from each point transmitting radio signals in a series, with not necessarily the same intervals between in series, if necessary, said radio transmitting devices are capable of transmitting radio signals with predetermined individual characteristics, including complex and composite radio signals with predetermined individual characteristics of their elements and the possibility of their separation when receiving, and if necessary with predetermined, not necessarily the same, and known at said radio signal receiving radio objects, time delays between the radio signals, and each radio signal receiving radio signal the object contains an antenna device, a radio signal receiving device connected to it, configured to receive radio signals from a ground-based point transmitting radio signals system and identifying them with corresponding radio signal transmitting points, a time recorder of radio signal receiving times from said radio signal transmitting points in a time reference system specified on the radio signal receiving radio object connected to the device receiving radio signals, and an information system, function associated with the registrar and configured to store the specified coordinates Xn , Yn , Zn , the specified specified delay times, if necessary, and parametersai with the dimension of the area, where the index i varies from 1 to 6, determined through Xn , Yn , Zn in accordance with the expressions

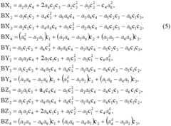
a1=Nn=1NXn2-(n=1NXn)2,a2=Nn=1NYn2(n=1NYn)2,a3=Nn=1NZn2-(n=1NZn)2,a4=Nn=1NXnYnn=1NXnn=1NYn,a5=Nn=1NXnZnn=1NXnn=1NZn,a6=Nn=1NYnZnn=1NYnn=1NZn,(1)

Figure 00000001
a one = N n = one N X n 2 - ( n = one N X n ) 2 , a 2 = N n = one N Y n 2 - ( n = one N Y n ) 2 , a 3 = N n = one N Z n 2 - ( n = one N Z n ) 2 , a four = N n = one N X n Y n - n = one N X n n = one N Y n , a 5 = N n = one N X n Z n - n = one N X n n = one N Z n , a 6 = N n = one N Y n Z n - n = one N Y n n = one N Z n , ( one )
Figure 00000001

и с возможностью, при необходимости, центрирования указанных моментов времен приема радиосигналов, в том числе при необходимости с исключенными указанными временами задержек, посредством исключения из каждого момента времени среднего значения всех моментов времен серии и определения таким образом зарегистрированных моментов времен tn, также указанная информационная система выполнена с возможностью измерения параметров dn с размерностью длины dn=υtn, где υ - скорость распространения радиосигнала, измерения параметров cj с размерностью площади, где индекс j изменяется от 1 до 4, через упомянутые Xn, Yn, Zn и измеренные параметры dn в соответствии с уравнениями измеренийand with the possibility, if necessary, of centering the indicated times of the reception of radio signals, including, if necessary, with the indicated delay times excluded, by eliminating from each moment of time the average value of all times of the series and determining thus recorded moments of times tn , also the specified information the system is configured to measure parameters dn with a dimension of length dn = υtn , where υ is the propagation speed of a radio signal, measure parameters cj with dimension area, where the index j varies from 1 to 4, through the above Xn , Yn , Zn and the measured parameters dn in accordance with the measurement equations

c1=Nn=1NdnXnn=1Ndnn=1NXn,c2=Nn=1NdnYnn=1Ndnn=1NYn,c3=Nn=1NdnZnn=1Ndnn=1NZn,c4=Nn=1Ndn2(n=1Ndn)2,(2)

Figure 00000002
c one = N n = one N d n X n - n = one N d n n = one N X n , c 2 = N n = one N d n Y n - n = one N d n n = one N Y n , c 3 = N n = one N d n Z n - n = one N d n n = one N Z n , c four = N n = one N d n 2 - ( n = one N d n ) 2 , ( 2 )
Figure 00000002

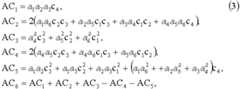
с возможностью измерения параметров ACk, где индекс k изменяется от 1 до 6, через параметрыai и cj в соответствии с уравнениями измеренийwith the ability to measure the parameters ACk , where the index k varies from 1 to 6, through the parametersai and cj in accordance with the measurement equations

AC1=a1a2a3c4,(3)AC2=2(a1a6c2c3+a2a5c1c3+a3a4c1c2+a4a5a6c4),AC3=a42c32+a52c22+a62c12,AC4=2(a4a5c2c3+a4a6c1c3+a5a6c1c2),AC5=a1a2c32+a1a3c22+a2a3c12+(a1a62++a2a52+a3a42)c4,AC6=AC1+AC2+AC3AC4AC5,

Figure 00000003
A C one = a one a 2 a 3 c four , ( 3 ) A C 2 = 2 ( a one a 6 c 2 c 3 + a 2 a 5 c one c 3 + a 3 a four c one c 2 + a four a 5 a 6 c four ) , A C 3 = a four 2 c 3 2 + a 5 2 c 2 2 + a 6 2 c one 2 , A C four = 2 ( a four a 5 c 2 c 3 + a four a 6 c one c 3 + a 5 a 6 c one c 2 ) , A C 5 = a one a 2 c 3 2 + a one a 3 c 2 2 + a 2 a 3 c one 2 + ( a one a 6 2 + + a 2 a 5 2 + a 3 a four 2 ) c four , A C 6 = A C one + A C 2 + A C 3 - A C four - A C 5 ,
Figure 00000003

и с возможностью измерения параметров bl, где индекс l изменяется от 1 до 4, через координаты Xn, Yn, Znи измеренные параметры dn в соответствии с уравнениями измеренийb1=[Nn=1NDn2Xnn=1NDn2n=1NXn+n=1Ndn2n=1NXnNn=1Ndn2Xn]/2,b2=[Nn=1NDn2Ynn=1NDn2n=1NYn+n=1Ndn2n=1NYnNn=1Ndn2Yn]/2,                  (4)b3=[Nn=1NDn2Znn=1NDn2n=1NZn+n=1Ndn2n=1NZnNn=1Ndn2Zn]/2,b4=[Nn=1NDn2dnn=1NDn2n=1Ndn+n=1Ndn2n=1NdnNn=1Ndn3]/2,

Figure 00000004
and with the possibility of measuring the parameters bl , where the index l varies from 1 to 4, through the coordinates Xn , Yn , Zn and the measured parameters dn in accordance with the measurement equations b one = [ N n = one N D n 2 X n - n = one N D n 2 n = one N X n + n = one N d n 2 n = one N X n - N n = one N d n 2 X n ] / 2 , b 2 = [ N n = one N D n 2 Y n - n = one N D n 2 n = one N Y n + n = one N d n 2 n = one N Y n - N n = one N d n 2 Y n ] / 2 , ( four ) b 3 = [ N n = one N D n 2 Z n - n = one N D n 2 n = one N Z n + n = one N d n 2 n = one N Z n - N n = one N d n 2 Z n ] / 2 , b four = [ N n = one N D n 2 d n - n = one N D n 2 n = one N d n + n = one N d n 2 n = one N d n - N n = one N d n 3 ] / 2 ,
Figure 00000004

гдеDn=Xn2+Yn2+Zn2

Figure 00000005
- расстояния от начала координат указанной системы координат до фазовых центров антенн антенных устройств наземной пунктовой передающей радиосигналы системы, кроме того, информационная система выполнена с возможностью измерения параметров BXm, BYm, BZm, где индекс m изменяется от 1 до 4, через параметрыai и cj в соответствии с уравнениями измеренийWhere D n = X n 2 + Y n 2 + Z n 2
Figure 00000005
- the distance from the origin of the coordinate system to the phase centers of the antennas of the antenna devices of a ground-based point transmitting radio signal system, in addition, the information system is configured to measure the parameters BXm , BYm , BZm , where the index m varies from 1 to 4, through the parametersai and cj according to the measurement equations

BX1=a2a3c4+2a6c2c3a2c32a3c22c4a62,BX2=a3c1c2+a4c32+a5a6c4a3a4c4a5c2c3a6c1c3,BX3=a2c1c3+a4a6c4+a5c22a2a5c4a4c2c3a6c1c2,(5)BX4=(a62a2a3)c1+(a3a4a5a6)c2+(a2a5a4a6)c3,BY1=a3c1c2+a4c32+a5a6c4a3a4c4a5c2c3a6c1c3,BY2=a1a3c4+2a5c1c3+a1c32a3c12c4a52,BY3=a1c2c3+a4a5c4+a6c12a1a6c4a4c1c3a5c1c2,BY4=(a3a4a5a6)c1+(a52a1a3)c2+(a1a6a4a5)c3,BZ1=a2a1c3+a4c6c4a5c22a2a5c4a4c2c3a6c1c2,BZ2=a1c2c3+a4a5c4+a6c12a1a6c4a4c1c3a5c1c2,BZ3=a1a2c4+2a4c1c2+a1c22a2c12c4a42,BZ4=(a2a5a4a6)c1+(a1a6a4a5)c2+(a42a1a2)c3,

Figure 00000006
B X one = a 2 a 3 c four + 2 a 6 c 2 c 3 - a 2 c 3 2 - a 3 c 2 2 - c four a 6 2 , B X 2 = a 3 c one c 2 + a four c 3 2 + a 5 a 6 c four - a 3 a four c four - a 5 c 2 c 3 - a 6 c one c 3 , B X 3 = a 2 c one c 3 + a four a 6 c four + a 5 c 2 2 - a 2 a 5 c four - a four c 2 c 3 - a 6 c one c 2 , ( 5 ) B X four = ( a 6 2 - a 2 a 3 ) c one + ( a 3 a four - a 5 a 6 ) c 2 + ( a 2 a 5 - a four a 6 ) c 3 , B Y one = a 3 c one c 2 + a four c 3 2 + a 5 a 6 c four - a 3 a four c four - a 5 c 2 c 3 - a 6 c one c 3 , B Y 2 = a one a 3 c four + 2 a 5 c one c 3 + a one c 3 2 - a 3 c one 2 - c four a 5 2 , B Y 3 = a one c 2 c 3 + a four a 5 c four + a 6 c one 2 - a one a 6 c four - a four c one c 3 - a 5 c one c 2 , B Y four = ( a 3 a four - a 5 a 6 ) c one + ( a 5 2 - a one a 3 ) c 2 + ( a one a 6 - a four a 5 ) c 3 , B Z one = a 2 a one c 3 + a four c 6 c four - a 5 c 2 2 - a 2 a 5 c four - a four c 2 c 3 - a 6 c one c 2 , B Z 2 = a one c 2 c 3 + a four a 5 c four + a 6 c one 2 - a one a 6 c four - a four c one c 3 - a 5 c one c 2 , B Z 3 = a one a 2 c four + 2 a four c one c 2 + a one c 2 2 - a 2 c one 2 - c four a four 2 , B Z four = ( a 2 a 5 - a four a 6 ) c one + ( a one a 6 - a four a 5 ) c 2 + ( a four 2 - a one a 2 ) c 3 ,
Figure 00000006

и с возможностью измерения пространственных координат фазового центра антенны антенного устройства принимающего радиотехнического объекта преимущественно в соответствии с уравнениями измеренийand with the ability to measure the spatial coordinates of the phase center of the antenna of the antenna device of the receiving radio object primarily in accordance with the measurement equations

x=(BX1b1+BX2b2+BX3b3+BX4b4)/AC6,y=(BY1b1+BY2b2+BY3b3+BY4b4)/AC6,(6)z=(BZ1b1+BZ2b2+BZ3b3+BZ4b4)/AC6,

Figure 00000007
x = ( B X one b one + B X 2 b 2 + B X 3 b 3 + B X four b four ) / A C 6 , y = ( B Y one b one + B Y 2 b 2 + B Y 3 b 3 + B Y four b four ) / A C 6 , ( 6 ) z = ( B Z one b one + B Z 2 b 2 + B Z 3 b 3 + B Z four b four ) / A C 6 ,
Figure 00000007

также при необходимости информационная система выполнена с возможностью сохранения измеренных в сериях указанных координат x, y, z, измерения через них других траекторных характеристик принимающего радиосигналы радиотехнического объекта, в том числе с использованием статистических методов траекторных измерений, при этом принимающий радиосигналы радиотехнический объект при необходимости содержит блок отображения и блок передачи информации потребителям, функционально связанные с указанной информационной системой, при этом наземная пунктовая передающая радиосигналы система при необходимости содержит блок приема и отображения информации, выполненный с возможностью приема информации, переданной указанным блоком передачи информации потребителям принимающего радиосигналы радиотехнического объекта, кроме того, при необходимости в наземную пунктовую передающую радиосигналы систему введен контрольный принимающий радиосигналы радиотехнический объект, выполненный с возможностью приема радиосигналов, передаваемых упомянутыми пунктами наземной пунктовой передающей радиосигналы системы, с заданными в указанной трехмерной декартовой системе координат (X, Y, Z) координатами фазового центра его антенны xк, yк, zк, составляющие элементы которого выполнены преимущественно идентично составляющим элементам упомянутого принимающего радиосигналы радиотехнического объекта, при этом информационная система упомянутого контрольного радиотехнического объекта выполнена дополнительно с возможностью коррекции указанных измеренных координат x, y, z по известным координатам xк, yк, zк и измеренным координатам xки, yки, zки фазового центра принимающей антенны контрольного принимающего радиосигналы радиотехнического объекта, также наземная пунктовая передающая радиосигналы система содержит подсистему управления ее работой.if necessary, the information system is also capable of storing the x, y, z coordinates measured in series, and measuring through them other trajectory characteristics of a radio object receiving radio signals, including using statistical methods of trajectory measurements, while a radio object receiving radio signals, if necessary, contains a display unit and a unit for transmitting information to consumers, functionally associated with the specified information system, while the ground optional radio signal transmitting system, if necessary, contains an information reception and display unit configured to receive information transmitted by said information transmission unit to consumers of a radio signal receiving radio signal object, in addition, if necessary, a control radio signal receiving radio signal object is inserted into the ground-based point transmitting radio signal system, made with the ability to receive radio signals transmitted by the said points radio signals of the system, with the coordinates of the phase center of its antenna xk , yk , zk specified in the indicated three-dimensional Cartesian coordinate system (X, Y, Z), the constituent elements of which are made essentially identical to the constituent elements of the aforementioned radio signal receiving radio object, while the information the system of said control radio engineering object is additionally configured to correct said measured coordinates x, y, z by known coordinates xk , yk , zk and measured coordinates xki , yki , zki of the phase center of the receiving antenna of the control receiving radio signals of a radio engineering object, also the ground-based point transmitting radio signals system contains a subsystem for controlling its operation.

В существующем уровне техники не выявлено источников информации, которые содержали бы сведения о системах того же назначения с указанной совокупностью признаков.In the current level of technology, no sources of information have been identified that would contain information about systems of the same purpose with the indicated set of features.

Ниже изобретение описано более детально со ссылками на фигуру.Below the invention is described in more detail with reference to the figure.

На фиг.1 показана заявляемая система. Радиотехническая система 1 содержит наземную пунктовую передающую радиосигналы систему (ПС) 2 и принимающий радиосигналы (р/с) радиотехнический объект (РО) 3. При этом ПС 2 включает упорядоченно пронумерованные передающие р/с пункты 4 (№№1, 2, …, n, …, N) в количестве N менее пяти. Каждый из них содержит антенные устройства 5, фазовые центры передающих антенн которых находятся в заданных, не расположенных в одной плоскости, и известных, в том числе на упомянутых объектах, точках с координатами Xn, Yn, Zn, где индекс n изменяется от 1 до N, соответственно, в заданной трехмерной декартовой системе координат (X, Y, Z). К антенным устройствам 5 подсоединены передающие радиосигналы устройства 6.Figure 1 shows the inventive system. The radio system 1 contains a ground-based point-to-point radio signal transmitting system (PS) 2 and a radio signal receiving (radio) radio engineering object (RO) 3. In this case, the MS 2 includes orderly numbered radio transmitting points 4 (No. 1, 2, ..., n, ..., N) in an amount of N less than five. Each of them contains antenna devices 5, the phase centers of the transmitting antennas of which are in predetermined, not located in the same plane, and known, including at the mentioned objects, points with coordinates Xn , Yn , Zn , where the index n varies from 1 to N, respectively, in a given three-dimensional Cartesian coordinate system (X, Y, Z). Radio antenna devices 5 are connected to antenna devices 5.

Устройства 6 выполнены с возможностью синхронизированной упорядоченной передачи р/с сериями, преимущественно по одному р/с из каждого передающего р/с пункта 4 в серии, и с заданными не обязательно одинаковыми интервалами между сериями. При необходимости устройства 6 выполнены с возможностью передачи р/с с заданными индивидуальными признаками, в том числе сложных и составных р/с с заданными индивидуальными признаками их элементов [Варакин Л.Е. Теория систем сигналов. М.: Сов. радио, 1978, с.18] и возможностью их разделения при приеме. Также при необходимости устройства 6 выполнены с возможностью передачи р/с с заданными, не обязательно одинаковыми, и известными на упомянутых принимающих р/с РО 3 задержками по времени между р/с.Devices 6 are configured to synchronize an ordered transmission of p / s series, mainly one p / s from each transmitting p / s point 4 in the series, and with specified not necessarily the same intervals between the series. If necessary, the device 6 is made with the possibility of transmitting r / s with predetermined individual characteristics, including complex and composite r / s with predetermined individual signs of their elements [L. Varakin Theory of signal systems. M .: Sov. radio, 1978, p.18] and the possibility of their separation when receiving. Also, if necessary, the device 6 is made with the possibility of transmitting r / s with predetermined, not necessarily the same, and known on the mentioned receiving r / s PO 3 time delays between r / s.

Каждый принимающий р/с РО 3 содержит антенное устройство 7 и подключенное к нему принимающее р/с устройство 8. Последнее выполнено с возможностью приема р/с наземной ПС 2 и их идентификации соответствующим передающим р/с пунктам 4. РО 3 содержит регистратор 9 моментов времен приема р/с от передающих р/с пунктов 4 в заданной на РО 3 системе отсчета времени. Регистратор 9 соединен с принимающим р/с устройством 8. РО 3 содержит информационную систему 10, функционально связанную с регистратором 9 и выполненную с возможностью хранения заданных координат Xn, Yn, Zn, заданных времен задержек, при необходимости, и параметроваi, определяемых в соответствии с выражениями (1). Также информационная система 10 выполнена с возможностью, при необходимости, центрирования указанных моментов времен приема р/с, в том числе при необходимости с исключенными указанными временами задержек, и определения таким образом зарегистрированных моментов времен tn и измерения упомянутых параметров dn, измерения упомянутых параметров cj, ACk, bl, BXm, BYm, BZm в соответствии с уравнениями измерений (2), (3), (4) и (5). Кроме того, информационная система 10 выполнена с возможностью измерения пространственных координат фазового центра антенны антенного устройства 7 принимающего р/с РО 3 преимущественно в соответствии с уравнениями измерений (6).Each receiving r / s PO 3 contains an antenna device 7 and a receiving r / s device 8 connected to it. The latter is configured to receive the r / s of the ground PS 2 and identify them with the corresponding transmitting r / s points 4. The PO 3 contains a recorder of 9 moments the time of receiving r / s from transmitting r / s points 4 in the time reference system set for PO 3. The registrar 9 is connected to the receiving r / s device 8. The PO 3 contains an information system 10 operably connected to the registrar 9 and configured to store the given coordinates Xn , Yn , Zn , given delay times, if necessary, and parametersai defined in accordance with expressions (1). Also, the information system 10 is configured to center, if necessary, the indicated moments of the reception times p / s, including, if necessary, with the indicated delay times excluded, and to determine the thus recorded moments of the times tn and measure the mentioned parameters dn , measure the mentioned parameters cj , ACk , bl , BXm , BYm , BZm in accordance with the measurement equations (2), (3), (4) and (5). In addition, the information system 10 is configured to measure the spatial coordinates of the phase center of the antenna of the antenna device 7 receiving r / s PO 3 mainly in accordance with the measurement equations (6).

При необходимости информационная система (10) выполнена с возможностью сохранения измеренных в сериях указанных координат x, y, z, измерения через них других траекторных характеристик РО 3, в том числе с использованием статистических методов траекторных измерений. При этом РО 3 при необходимости содержит блок отображения 11 и блок передачи информации потребителям 12, функционально связанные с информационной системой 10. ПС 2 при необходимости содержит блок приема и отображения информации 13, выполненный с возможностью приема информации, переданной указанным блоком передачи информации потребителям 12 РО 3.If necessary, the information system (10) is configured to save the measured x, y, z coordinates in series, and to measure other path characteristics of PO 3 through them, including using statistical methods of path measurements. At the same time, PO 3, if necessary, contains a display unit 11 and a unit for transmitting information to consumers 12, functionally connected with the information system 10. PS 2, if necessary, contains a unit for receiving and displaying information 13, configured to receive information transmitted by the specified unit for transmitting information to consumers 12 of PO 3.

Кроме того, при необходимости в ПС 2 введен контрольный принимающий р/с радиотехнический объект (КРО) 14, выполненный с возможностью приема р/с, передаваемых пунктами 4 с заданными в указанной трехмерной декартовой системе координат (X, Y, Z) координатами фазового центра его антенны xк, yк, zк, составляющие элементы которого выполнены преимущественно идентично составляющим элементам РО 3. При этом информационная система 10 КРО 14 выполнена дополнительно с возможностью коррекции указанных измеренных координат x, y, z по известным координатам xк, yк, zк и измеренным координатам xки, yки, zки фазового центра принимающей антенны КРО 14. Также ПС 2 содержит подсистему 15 управления ее работой.In addition, if necessary, in PS 2, a control receiver of the radio engineering object (CRO) 14 is introduced, configured to receive radio communications transmitted by points 4 with the coordinates of the phase center specified in the indicated three-dimensional Cartesian coordinate system (X, Y, Z) its antennas xk , yk , zk , the constituent elements of which are made essentially identical to the constituent elements of PO 3. Moreover, the information system 10 of the KPO 14 is additionally configured to correct said measured coordinates x, y, z by known coordinates xk , yk , zk and the measured coordinates xki , yki , zki of the phase center of the receiving antenna KRO 14. Also, the PS 2 contains a subsystem 15 for controlling its operation.

Предложенная система 1 работает следующим образом.The proposed system 1 operates as follows.

ПС 2 передает р/с синхронизированно. При этом р/с передают упорядоченно сериями, преимущественно по одному р/с из каждого передающего р/с пункта 4, содержащего антенное устройство 5 и передающее р/с устройство 6, в серии. Интервалы между сериями заданы не обязательно одинаковыми. При необходимости передающие р/с пункты 4 передают р/с с заданными индивидуальными признаками, в том числе сложные и составные р/с с заданными индивидуальными признаками их элементов и возможностью их разделения при приеме. Также при необходимости р/с передают с заданными, не обязательно одинаковыми, и известными на РО 3 задержками по времени между р/с.MS 2 transmits r / s synchronously. In this case, the r / s are transmitted in order by series, mainly one r / s from each transmitting r / s point 4 containing the antenna device 5 and the transmitting r / s device 6, in a series. The intervals between series are not necessarily the same. If necessary, transmitting r / s points 4 transmit r / s with predetermined individual characteristics, including complex and composite r / s with predetermined individual characteristics of their elements and the possibility of their separation during reception. Also, if necessary, p / s are transmitted with predetermined, not necessarily the same, and known by PO 3 time delays between p / s.

Радиосигналы принимают на конкретном PO 3 и идентифицируют их соответствующим передающим р/с пунктам 4. На этом объекте регистратором 9 регистрируют моменты времен приема р/с в заданной на нем системе отсчета времени. При необходимости в информационной системе 10 исключают из них соответствующие указанные времена задержек. В ней же указанные моменты времен приема р/с с исключенными временами задержек при необходимости центрируют посредством исключения из каждого момента времени среднего значения всех моментов времен серии. На основании таким образом зарегистрированных моментов времен tn измеряют упомянутые параметры dn. В информационной системе 10 РО 3 через указанные координаты Xn, Yn, Zn определяют (для конкретной ПС 2 один раз) параметрыai в соответствии с выражениями (1). Через упомянутые Xn, Yn, Zn и измеренные параметры dn измеряют параметры cj в соответствии с уравнениями измерений (2). Через параметрыaj и cj измеряют параметры ACk в соответствии с уравнениями измерений (3). Кроме того, через упомянутые Xn, Yn, Zn и через измеренные параметры dn измеряют параметры bl в соответствии с уравнениями измерений (4). Через параметрыai и cj измеряют параметры BXm, BYm, BZm в соответствии с уравнениями измерений (5). И, наконец, пространственные координаты x, y, z фазового центра принимающей антенны РО 3 измеряют преимущественно в соответствии с уравнениями измерений (6). При необходимости серии и все указанные действия в них повторяют и через измеренные в сериях координаты x, y, z РО 3 измеряют другие траекторные характеристики этого объекта, в том числе с использованием статистических методов траекторных измерений. Эту информацию при необходимости отображают и передают потребителям соответственно в блоках 11 и 12. При необходимости переданную потребителям информацию принимают и отображают в блоке 13 на ПС 2.The radio signals are received at a specific PO 3 and identified by their respective transmitting p / s points 4. At this object, the registrar 9 records the times of receiving p / s in a given time reference system. If necessary, in the information system 10, the corresponding indicated delay times are excluded from them. In it, the indicated moments of the reception times of the radio receivers with excluded delay times are, if necessary, centered by eliminating from each moment of time the average value of all the moments of the series. Based on the thus recorded time instants tn, said parameters dn are measured. In the information system 10 PO 3 through the specified coordinates Xn , Yn , Zn determine (for a specific PS 2 once) the parametersai in accordance with expressions (1). Through the mentioned Xn , Yn , Zn and the measured parameters dn, the parameters cj are measured in accordance with the measurement equations (2). Using parametersaj and cj, the parameters ACk are measured in accordance with the measurement equations (3). In addition, through the above-mentioned Xn , Yn , Zn and through the measured parameters dn, the parameters bl are measured in accordance with the measurement equations (4). Through the parametersai and cj, the parameters BXm , BYm , BZm are measured in accordance with the measurement equations (5). And finally, the spatial coordinates x, y, z of the phase center of the receiving antenna PO 3 are measured mainly in accordance with the measurement equations (6). If necessary, the series and all the indicated actions in them are repeated and other trajectory characteristics of this object are measured using the x, y, z PO 3 coordinates measured in the series, including using statistical methods of trajectory measurements. If necessary, this information is displayed and transmitted to consumers in blocks 11 and 12, respectively. If necessary, the information transmitted to consumers is received and displayed in block 13 on PS 2.

Кроме того, при необходимости р/с ПС 2 также принимают на КРО 14 с заданными в указанной трехмерной декартовой системе координат (X, Y, Z) координатами фазового центра его принимающей антенны xк, yк, zк. При этом на КРО 14 р/с принимают преимущественно идентично приему р/с на РО 3. Координаты xки, yки, zки фазового центра принимающей антенны КРО 14 измеряют идентично указанному измерению координат РО 3. Затем корректируют измеренные координаты x, y, z РО 3 по известным координатам xк, yк, zк и измеренным координатам xки, yки, zки фазового центра принимающей антенны КРО 14.In addition, if necessary, r / s PS 2 is also received at KRO 14 with the coordinates of the phase center of its receiving antenna xk , yk , zk specified in the indicated three-dimensional Cartesian coordinate system (X, Y, Z). At the same time, at KPO 14 p / s, it is taken predominantly identical to receiving p / s at PO 3. The coordinates xki , yki , zki of the phase center of the receiving antenna KPO 14 are measured identically to the specified coordinate measurement of PO 3. Then the measured coordinates x, y, are corrected z PO 3 according to the known coordinates xk , yk , zk and the measured coordinates xki , yki , zki of the phase center of the receiving antenna KRO 14.

Перечислим основные достоинства системы:We list the main advantages of the system:

- обеспечивает однозначное определение пространственных координат объекта с большой точностью, соответствующей современным требованиям,- provides an unambiguous determination of the spatial coordinates of the object with great accuracy, corresponding to modern requirements,

- не требуется общая синхронизация совокупности передающих и принимающих радиосигналы радиотехнических объектов,- General synchronization of the aggregate of transmitting and receiving radio signals of radio engineering objects is not required,

- обеспечивает возможность производить измерения с использованием одного из известных радиотехнических методов и существующей элементной базы и микропроцессорной техники,- provides the ability to make measurements using one of the well-known radio engineering methods and the existing elemental base and microprocessor technology,

- реализация системы проще и дешевле, чем известных аналогов,- the implementation of the system is simpler and cheaper than well-known analogues,

- пространственные координаты определяют посредством косвенного измерения с использованием простых выражений,- spatial coordinates are determined by indirect measurement using simple expressions,

- позволяет осуществлять одновременные измерения на неограниченном количестве радиотехнических объектов.- allows simultaneous measurements on an unlimited number of radio objects.

Результативность и эффективность использования заявляемой системы состоит в том, что она может быть применена на практике для развития и совершенствования радиотехнических систем определения, преимущественно координат объектов, а также в других приложениях. Таким образом, заявляемая система обеспечивает появление новых свойств. Проведенный анализ позволил установить: системы с совокупностью признаков, тождественных всем признакам заявленного технического решения, отсутствуют, что указывает на соответствие заявленной системы условию «новизны».The effectiveness and efficiency of using the inventive system is that it can be applied in practice for the development and improvement of radio engineering systems for determining, mainly the coordinates of objects, as well as in other applications. Thus, the inventive system provides the emergence of new properties. The analysis made it possible to establish: there are no systems with a set of features identical to all the features of the claimed technical solution, which indicates the conformity of the claimed system to the “novelty” condition.

Также не выявлена известность влияния предусматриваемых существенными признаками заявленного изобретения действий на достижение указанного результата. Следовательно, заявленное изобретение соответствует условию патентоспособности «изобретательский уровень».Also, the popularity of the influence of the actions provided for by the essential features of the claimed invention on the achievement of the specified result was not revealed. Therefore, the claimed invention meets the condition of patentability "inventive step".

Claims (1)

Translated fromRussian
Радиотехническая система, содержащая наземную пунктовую передающую радиосигналы систему и принимающие радиосигналы радиотехнические объекты, стационарные или подвижные, при этом указанная наземная пунктовая передающая радиосигналы система включает упорядоченно пронумерованные передающие радиосигналы пункты, в количестве N не менее пяти, каждый из них содержит антенные устройства, фазовые центры передающих антенн которых находятся в заданных, не расположенных в одной плоскости, и известных, в том числе на упомянутых объектах, точках с координатами Xn, Yn, Zn, где индекс n изменяется от 1 до N, соответственно, в заданной трехмерной декартовой системе координат (Χ, Υ, Ζ), и подсоединенные к антенным устройствам передающие радиосигналы устройства, выполненные с возможностью синхронизированной упорядоченной передачи радиосигналов сериями из каждого передающего радиосигналы пункта с заданными интервалами между сериями, указанные передающие радиосигналы устройства выполнены с возможностью передачи радиосигналов с заданными индивидуальными признаками, в том числе сложных и составных радиосигналов с заданными индивидуальными признаками их элементов и возможностью их разделения при приеме, и с заданными и известными на упомянутых принимающих радиосигналы радиотехнических объектах задержками по времени между радиосигналами, а каждый принимающий радиосигналы радиотехнический объект содержит антенное устройство, подключенное к нему принимающее радиосигналы устройство, выполненное с возможностью приема радиосигналов наземной пунктовой передающей радиосигналы системы и их идентификации соответствующим передающим радиосигналы пунктам, регистратор моментов времен приема радиосигналов от упомянутых передающих радиосигналы пунктов в заданной на принимающем радиосигналы радиотехническом объекте системе отсчета времени, соединенный с принимающим радиосигналы устройством, и информационную систему, функционально связанную с регистратором и выполненную с возможностью хранения упомянутых заданных координат Xn, Yn, Zn, указанных заданных времен задержек и параметров аi, с размерностью площади, где индекс i изменяется от 1 до 6, определяемых через Χn, Υn, Ζn в соответствии с выражениями
Figure 00000008

Figure 00000009

и с возможностью центрирования указанных моментов времен приема радиосигналов, в том числе с исключенными указанными временами задержек, посредством исключения из каждого момента времени среднего значения всех моментов времен серии и определения таким образом зарегистрированных моментов времен tn, также указанная информационная система выполнена с возможностью измерения параметров dn с размерностью длины dn=υtn, где υ - скорость распространения радиосигнала, измерения параметров cj с размерностью площади, где индекс j изменяется от 1 до 4, через упомянутые Xn, Yn, Zn и измеренные параметры dn в соответствии с уравнениями измерений
Figure 00000010

Figure 00000011

с возможностью измерения параметров АСk, где индекс k изменяется от 1 до 6, через параметры ai и cj, в соответствии с уравнениями измерений
Figure 00000012

Figure 00000013

Figure 00000014

Figure 00000015

Figure 00000016

Figure 00000017

и с возможностью измерения параметров b1, где индекс l изменяется от 1 до 4, через координаты Xn, Yn, Znи измеренные параметры dn в соответствии с уравнениями измерений
Figure 00000018

Figure 00000019

Figure 00000020

Figure 00000021

где
Figure 00000022
- расстояния от начала координат указанной системы координат до фазовых центров антенн антенных устройств наземной пунктовой передающей радиосигналы системы, кроме того, информационная система выполнена с возможностью измерения параметров BXm, BYm, BZm, где индекс m изменяется от 1 до 4, через параметры ai и cj в соответствии с уравнениями измерений
Figure 00000023

Figure 00000024

Figure 00000025

Figure 00000026

Figure 00000027

Figure 00000028

Figure 00000029

Figure 00000030

Figure 00000031

Figure 00000032

Figure 00000033

Figure 00000034

и с возможностью измерения пространственных координат фазового центра антенны антенного устройства принимающего радиотехнического объекта в соответствии с уравнениями измерений
Figure 00000035

Figure 00000036

Figure 00000037

также информационная система выполнена с возможностью сохранения измеренных в сериях указанных координат x, y, z, измерения через них других траекторных характеристик принимающего радиосигналы радиотехнического объекта, в том числе с использованием статистических методов траекторных измерений, при этом принимающий радиосигналы радиотехнический объект содержит блок отображения и блок передачи информации потребителям, функционально связанные с указанной информационной системой, при этом наземная пунктовая передающая радиосигналы система содержит блок приема и отображения информации, выполненный с возможностью приема информации, переданной указанным блоком передачи информации потребителям принимающего радиосигналы радиотехнического объекта, кроме того, в наземную пунктовую передающую радиосигналы систему введен контрольный принимающий радиосигналы радиотехнический объект, выполненный с возможностью приема радиосигналов, передаваемых упомянутыми пунктами наземной пунктовой передающей радиосигналы системы, с заданными в указанной трехмерной декартовой системе координат (Χ, Υ, Ζ) координатами фазового центра его антенны xк, yк, zк, при этом информационная система упомянутого контрольного радиотехнического объекта выполнена дополнительно с возможностью коррекции указанных измеренных координат x, y, z по известным координатам xк, yк, zк и измеренным координатам xки, yки, zки фазового центра принимающей антенны контрольного принимающего радиосигналы радиотехнического объекта, также наземная пунктовая передающая радиосигналы система содержит подсистему управления ее работой.A radio engineering system comprising a ground-based point-to-point transmitting radio signals system and receiving radio signals radio engineering objects, stationary or mobile, wherein said ground-based point-to-point transmitting radio signals system includes orderly numbered transmitting radio signals points, in an amount of N at least five, each of which contains antenna devices, phase centers transmitting antennas which are in predetermined, not located in the same plane, and known, including at the mentioned objects, points with coordinates Xn , Yn , Zn , where the index n varies from 1 to N, respectively, in a given three-dimensional Cartesian coordinate system (Χ, Υ, Ζ), and transmitting radio signals of the device connected to the antenna devices, configured to synchronize ordered transmitting radio signals in series from each point transmitting radio signals at predetermined intervals between series, said transmitting radio signals of the device are capable of transmitting radio signals with predetermined individual characteristics, including complex ones x and composite radio signals with predetermined individual characteristics of their elements and the possibility of their separation during reception, and with the set and known on the aforementioned radio signals receiving radio signals time delays between the radio signals, and each radio signal receiving radio object contains an antenna device, a radio signal receiving device connected to it made with the possibility of receiving radio signals ground station transmitting radio signals of the system and their identification corresponding points transmitting radio signals, a time recorder of times of receiving radio signals from said points transmitting radio signals, points in a time reference system connected to the receiver of the radio signals, and an information system operably connected to the recorder and configured to store the specified coordinates Xn , Yn, Zn, said predetermined delay times and the parameters ai, the square dimension, where the index i varies from 1 to 6, to determine Mykh through Χn, Υn, Ζn in accordance with the expressions
Figure 00000008

Figure 00000009

and with the possibility of centering the indicated times of the reception of radio signals, including those with the indicated delay times, by eliminating from each moment of time the average value of all the moments of the series and determining thus recorded moments of time tn , also the specified information system is configured to measure parameters dn with a length dimension dn = υtn, where υ - radio propagation speed, measuring the parameters cj from the area dimension, where the index j runs from 1 about 4, through said Xn, Yn, Zn and dn measured values in accordance with the measurement equations
Figure 00000010

Figure 00000011

with the ability to measure the parameters of ACk , where the index k varies from 1 to 6, through the parameters ai and cj , in accordance with the measurement equations
Figure 00000012

Figure 00000013

Figure 00000014

Figure 00000015

Figure 00000016

Figure 00000017

and with the ability to measure parameters b1 , where the index l varies from 1 to 4, through the coordinates Xn , Yn , Zn and the measured parameters dn in accordance with the measurement equations
Figure 00000018

Figure 00000019

Figure 00000020

Figure 00000021

Where
Figure 00000022
- the distance from the origin of the coordinate system to the phase centers of the antennas of the antenna devices of a ground-based point transmitting radio signal system, in addition, the information system is configured to measure the parameters BXm , BYm , BZm , where the index m varies from 1 to 4, through the parameters ai and cj according to the measurement equations
Figure 00000023

Figure 00000024

Figure 00000025

Figure 00000026

Figure 00000027

Figure 00000028

Figure 00000029

Figure 00000030

Figure 00000031

Figure 00000032

Figure 00000033

Figure 00000034

and with the ability to measure the spatial coordinates of the phase center of the antenna of the antenna device of the receiving radio object in accordance with the measurement equations
Figure 00000035

Figure 00000036

Figure 00000037

the information system is also capable of storing the x, y, z coordinates measured in a series of the indicated coordinates, measuring through them other trajectory characteristics of a radio object receiving radio signals, including using statistical trajectory measurement methods, while a radio object receiving radio signals contains a display unit and a block transmission of information to consumers, functionally associated with the specified information system, while the ground-based point transmitting radio signals the system contains an information reception and display unit configured to receive information transmitted by the indicated information transmission unit to consumers of a radio signal receiving radio signal object, in addition, a control radio signal receiving radio signal object is configured to receive radio signals transmitted by said points into a ground-based radio signal transmitting station ground-based point transmitting radio signals system, with specified in the specified three-dimensional Cartesian system subject of coordinates (Χ, Υ, Ζ) by the coordinates of the phase center of its antenna xk , yk , zk , while the information system of the said radio control object is additionally configured to correct the specified measured coordinates x, y, z from known coordinates xk , yk , zk and the measured coordinates xki , yki , zki of the phase center of the receiving antenna of the control receiving radio signals of a radio engineering object, also the ground-based point transmitting radio signals system contains a subsystem for controlling its operation.
RU2013135134/08A2013-07-262013-07-26Radio systemRU2543470C1 (en)

Priority Applications (2)

Application NumberPriority DateFiling DateTitle
RU2013135134/08ARU2543470C1 (en)2013-07-262013-07-26Radio system
PCT/RU2014/000555WO2015012743A1 (en)2013-07-262014-07-23Radio system

Applications Claiming Priority (1)

Application NumberPriority DateFiling DateTitle
RU2013135134/08ARU2543470C1 (en)2013-07-262013-07-26Radio system

Publications (2)

Publication NumberPublication Date
RU2013135134A RU2013135134A (en)2015-02-10
RU2543470C1true RU2543470C1 (en)2015-02-27

Family

ID=52393635

Family Applications (1)

Application NumberTitlePriority DateFiling Date
RU2013135134/08ARU2543470C1 (en)2013-07-262013-07-26Radio system

Country Status (2)

CountryLink
RU (1)RU2543470C1 (en)
WO (1)WO2015012743A1 (en)

Citations (3)

* Cited by examiner, † Cited by third party
Publication numberPriority datePublication dateAssigneeTitle
RU2363010C2 (en)*2007-06-062009-07-27Военно-космическая академия имени А.Ф. МожайскогоMethod of determining coordinates of radio-frequency radiation source and device to this end
RU2439799C1 (en)*2010-05-212012-01-10Владимир Петрович ПановMethod to transmit and receive radio signals of ground radio beacons
RU2453996C1 (en)*2011-02-182012-06-20Михаил Иванович ИващенкоSystem to receive radio signals at objects

Family Cites Families (2)

* Cited by examiner, † Cited by third party
Publication numberPriority datePublication dateAssigneeTitle
US6445927B1 (en)*2000-09-182002-09-03Motorola, Inc.Method and apparatus for calibrating base station locations and perceived time bias offsets in an assisted GPS transceiver
US6768459B2 (en)*2002-07-312004-07-27Interdigital Technology CorporationMethod and system for positioning mobile units based on angle measurements

Patent Citations (3)

* Cited by examiner, † Cited by third party
Publication numberPriority datePublication dateAssigneeTitle
RU2363010C2 (en)*2007-06-062009-07-27Военно-космическая академия имени А.Ф. МожайскогоMethod of determining coordinates of radio-frequency radiation source and device to this end
RU2439799C1 (en)*2010-05-212012-01-10Владимир Петрович ПановMethod to transmit and receive radio signals of ground radio beacons
RU2453996C1 (en)*2011-02-182012-06-20Михаил Иванович ИващенкоSystem to receive radio signals at objects

Also Published As

Publication numberPublication date
RU2013135134A (en)2015-02-10
WO2015012743A1 (en)2015-01-29

Similar Documents

PublicationPublication DateTitle
RU2624461C1 (en)Method of determining coordinates of object
RU2496270C1 (en)Radio system
RU2530231C1 (en)Radio signal transmission and reception method
RU2530233C1 (en)Radio-technical system
RU2578750C1 (en)Method of transmitting radio signals
RU2530236C1 (en)Radio-technical system
RU2478979C1 (en)Range radiotechnical system of short-range navigation of aircrafts
RU2543470C1 (en)Radio system
RU2519296C1 (en)Method of transmitting and receiving radio signals
RU2530241C1 (en)Radio signal transmission and reception method
RU2542579C1 (en)Radio system
RU2519294C1 (en)Method of transmitting and receiving radio signals
RU2542659C1 (en)Method of transmitting and receiving radio signals
RU2530234C1 (en)Radio-technical system
RU2530237C1 (en)Radio-technical system
RU2530232C1 (en)Radio signal transmission and reception method
RU2530240C1 (en)Radio signal transmission and reception method
RU2530239C1 (en)Radio signal transmission and reception method
RU2484604C1 (en)Radio method of extracting information
RU2496274C1 (en)Radio system
RU2494540C1 (en)Radio system
RU2496273C1 (en)Method of transmitting and receiving radio signals
RU2484605C1 (en)Radio information system
RU2496272C1 (en)Method of transmitting and receiving radio signals
RU2496271C1 (en)Radio system

Legal Events

DateCodeTitleDescription
PC41Official registration of the transfer of exclusive right

Effective date:20190415


[8]ページ先頭

©2009-2025 Movatter.jp