




Изобретение относится к радиолокационной технике и может быть использовано в радиолокационных и радионавигационных системах, а также в системах мобильной связи для определения местоположения объектов.The invention relates to radar technology and can be used in radar and radio navigation systems, as well as in mobile communication systems for determining the location of objects.
Известны способы определения координат цели в трехпозиционной дальномерной радиолокационной системе, включающие измерение дальностей до цели тремя позициями, расположенными на известном удалении друг от друга, и определение по измеренным дальностям и расстояниям между позициями прямоугольных координат цели в пространстве (1. см., например, А.Ф.Котов. Методы определения местоположения объектов с повышенной точностью: Учебное пособие / МИРЭА. - М., 1986, с.34,35), а также (2. Кондратьев B.C. и др. Многопозиционные радиотехнические системы / B.C.Кондратьев, А.Ф.Котов, Л.Н.Марков; Под ред. проф. В.В.Цветнова. - М.: Радио и связь, 1986, с.226,227).Known methods for determining the coordinates of a target in a three-position rangefinder radar system, including measuring the distances to the target with three positions located at a known distance from each other, and determining the measured distances and distances between the positions of the rectangular coordinates of the target in space (1. see, for example, A .F.Kotov. Methods for determining the location of objects with increased accuracy: Textbook / MIREA. - M., 1986, p. 34.35), as well as (2. Kondratyev BC, etc. Multiposition radio engineering systems / BCKondrat Ev, A.F. Kotov, L.N. Markov; Edited by Prof. V.V. Tsvetnov. - M.: Radio and Communications, 1986, p. 226.227).
Наиболее близким к изобретению по совокупности существенных признаков (прототипом) является способ определения координат цели в трехпозиционной дальномерной радиолокационной системе, включающий на каждой позиции излучение зондирующих сигналов, прием отраженных от цели сигналов, излученных этой позицией, измерение по принятым сигналам дальности от этой позиции до цели и последующее определение искомых координат (3. см.: Справочник по радиолокации. Под ред. М.Сколника. Т.4. Радиолокационные станции и системы. - М.: Сов. радио, 1978, с.193-197; рис.1,б; таблица 1, формулы (16), (17), (18)).Closest to the invention in terms of essential features (prototype) is a method for determining the coordinates of a target in a three-position rangefinder radar system, including at each position the radiation of sounding signals, receiving the signals reflected from the target, emitted by this position, measuring the received range signals from this position to the target and the subsequent determination of the desired coordinates (3. see: Handbook of radar. Edited by M. Skolnik. T.4. Radar stations and systems. - M .: Sov. radio, 1978, p.193-197; Fig. 1 , ; Table 1, the formulas (16), (17), (18)).
Недостатками известных способов являются неполное использование в системе всех отраженных от цели сигналов и снижение вследствие этого потенциально достижимой точности определения координат, необходимость большого взаимного удаления позиций для достижения требуемой точности, а также невозможность самостоятельного определения координат цели, скоростей их изменения и скорости цели на каждой позиции системы.The disadvantages of the known methods are the incomplete use of all the signals reflected from the target in the system and the consequent reduction in the potentially achievable accuracy of determining the coordinates, the need for a large mutual removal of positions to achieve the required accuracy, as well as the inability to independently determine the coordinates of the target, their speed of change and the speed of the target at each position system.
Техническим результатом заявляемого изобретения является повышение точности определения координат цели в трехпозиционной дальномерной радиолокационной системе при любом взаимном удалении позиций и обеспечение возможности определения координат цели, скоростей их изменения и скорости цели на каждой позиции системы.The technical result of the claimed invention is to increase the accuracy of determining the coordinates of the target in a three-position rangefinder radar system at any mutual removal of positions and providing the ability to determine the coordinates of the target, their speed of change and speed of the target at each position of the system.
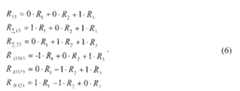
Сущность изобретения выражается в совокупности существенных признаков, достаточной для достижения обеспечиваемого изобретением технического результата, и состоит в том, что в предлагаемом способе определения координат цели в трехпозиционной дальномерной радиолокационной системе, включающем на каждой позиции излучение зондирующих сигналов, прием отраженных от цели сигналов, излученных этой позицией, измерение по принятым сигналам дальности от этой позиции до цели, определение координат цели, отличающемся тем, что на каждой позиции дополнительно измеряют скорости изменения дальности, принимают отраженные от цели сигналы, излученные двумя другими позициями, разделяют принятые сигналы по принадлежности к излучившей их позиции, измеряют по принятым сигналам две суммы дальностей и скорости их изменения от этой позиции до цели и от цели до двух других позиций и три попарные разности дальностей и скорости их изменения от первой, второй и третьей позиций до цели, передают сигналы, соответствующие измеренным значениям дальности и скоростям их изменения, суммы и разности дальностей и скорости их изменения на две другие позиции, измеряют три разности сумм расстояний и скорости их изменения между позициями системы, вычисляют уточненные значения дальности и скорости их изменения от первой, второй и третьей позиций до цели по формулам:The essence of the invention is expressed in the aggregate of essential features sufficient to achieve the technical result provided by the invention, and consists in the fact that in the proposed method for determining the coordinates of a target in a three-position rangefinder radar system, including at each position the radiation of sounding signals, the reception of signals reflected from the target emitted by this position, measuring the received range signals from this position to the target, determining the coordinates of the target, characterized in that at each position additionally measure the rate of change of range, receive the signals reflected from the target emitted by two other positions, separate the received signals by belonging to the position emitting them, measure by the received signals two sums of ranges and the speed of their change from this position to the target and from the target to two other positions and three pairwise differences of ranges and the speed of their change from the first, second and third positions to the target, transmit signals corresponding to the measured values of the range and the speed of their change, amount and difference yes lnities and the speed of their change to two other positions, measure the three differences of the sum of the distances and the speed of their change between the positions of the system, calculate the specified values of the range and speed of their change from the first, second and third positions to the target using the formulas:
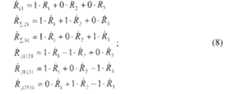
где R1, R2, R3 - вычисленные значения дальности от первой, второй и третьей позиций до цели соответственно;where R1 , R2 , R3 - calculated values of the distance from the first, second and third positions to the target, respectively;
R11, R22, R33 - измеренные значения дальности на первой, второй и третьей позициях соответственно;R11 , R22 , R33 - the measured range values at the first, second and third positions, respectively;
RΣ12, RΣ13, RΣ21, RΣ23, RΣ31, RΣ32 - измеренные значения сумм расстояний на первой, второй и третьей позициях соответственно;RΣ12 , RΣ13 , RΣ21 , RΣ23 , RΣ31 , RΣ32 - the measured values of the sums of distances at the first, second and third positions, respectively;
RΔ1121, RΔ1131, RΔ2131, RΔ2212, RΔ2232, RΔ1232, RΔ3313, RΔ3323, RΔ1323 - измеренные значения разности расстояний на первой, второй и третьей позициях соответственно;RΔ1121 , RΔ1131 , RΔ2131 , RΔ2212 , RΔ2232 , RΔ1232 , RΔ3313 , RΔ3323 , RΔ1323 are the measured values of the distance difference at the first, second and third positions, respectively;
RΔ1213, RΔ2123, RΔ3132 - измеренные значения разности расстояний между второй и третьей, первой и третьей, первой и второй позициями соответственно;RΔ1213 , RΔ2123 , RΔ3132 are the measured values of the distance difference between the second and third, first and third, first and second positions, respectively;
RΔ1213, RΔ2123, RΔ3132 - разности сумм расстояний, измеренные между второй и третьей, первой и третьей, первой и второй позициями соответственно;RΔ1213 , RΔ2123 , RΔ3132 - differences of the sums of the distances measured between the second and third, first and third, first and second positions, respectively;
где X, Y, Z - координаты цели,
Технический результат достигается путем кооперативной обработки координатной информации, обеспечивающей создание в многопозиционной системе избыточности измерений, что позволяет сформировать высокоточные оценки наклонных дальностей и скоростей их изменения относительно каждой из позиций. Это дает возможность сформировать высокоточные оценки прямоугольных координат и значение скорости цели за один цикл обработки информации.The technical result is achieved by cooperative processing of coordinate information, which ensures the creation of a measurement redundancy in a multi-position system, which makes it possible to form highly accurate estimates of the inclined ranges and the rates of change relative to each position. This makes it possible to form highly accurate estimates of the rectangular coordinates and the target velocity value in one information processing cycle.
Сущность изобретения раскрывается с помощью фигур 1-6.The invention is disclosed using figures 1-6.
На фиг.1 изображена блок-схема алгоритма для осуществления способа;Figure 1 shows a block diagram of an algorithm for implementing the method;
на фиг.2 - дальности, суммы и разности дальностей, измеряемые на позициях системы;figure 2 - ranges, sums and differences of ranges, measured at the positions of the system;
на фиг.3 - схема расположения элементов трехпозиционной дальномерной системы;figure 3 - arrangement of elements of a three-position rangefinder system;
на фиг.4 приведена структурная схема устройства для реализации заявляемого способа;figure 4 shows a structural diagram of a device for implementing the proposed method;
на фиг.5 - значения среднеквадратических ошибок (СКО) определения прямоугольных координат для прототипа и предлагаемого способа;figure 5 - the mean square error (RMS) of determining the rectangular coordinates for the prototype and the proposed method;
на фиг.6 - значения СКО определения высоты для прототипа и предлагаемого способа.figure 6 - the values of the standard determination of height for the prototype and the proposed method.
Способ включает следующие основные операции на каждой позиции системы (фиг.1):The method includes the following basic operations at each position of the system (figure 1):
1 - излучение сигналов;1 - radiation signals;
2 - прием отраженных от цели сигналов, излученных этой позицией;2 - reception of signals reflected from the target emitted by this position;
3 - прием отраженных от цели сигналов, излученных двумя другими позициями;3 - receiving reflected from the target signals emitted by two other positions;
4 - разделение принятых сигналов по принадлежности к излучившей их позиции;4 - separation of received signals by belonging to the position emitting them;
5 - измерение по принятым сигналам дальности от этой позиции до цели;5 - measurement of the received range signals from this position to the target;
6 - измерение по принятым сигналам двух сумм дальностей от этой позиции до цели и от цели до двух других позиций и трех попарных разностей дальностей от первой, второй и третьей позиций до цели и разности расстояний между двумя позициями;6 - measurement of the received signals of the two sums of ranges from this position to the target and from the target to two other positions and three pairwise differences of the distances from the first, second and third positions to the target and the distance difference between the two positions;
7 - измерение по принятым сигналам скоростей расстояний и скоростей изменения двух сумм дальностей от этой позиции до цели и от цели до двух других позиций и трех попарных скоростей изменения разностей дальностей от первой, второй и третьей позиций до цели и скоростей изменения разности расстояний между двумя позициями;7 - measurement of the received signals of the speeds of distances and rates of change of two sums of ranges from this position to the target and from the target to two other positions and three pairwise speeds of changes in the differences of distances from the first, second and third positions to the target and the rates of change of the difference of distances between two positions ;
8 - передача измеренных сигналов, соответствующих дальности, сумме и разности дальностей и скоростей изменения на вычислительное устройство;8 - transmission of the measured signals corresponding to the range, sum and difference of ranges and rates of change to a computing device;
9 - вычисление уточненных значений дальности от первой, второй и третьей позиций до цели;9 - calculation of the specified range values from the first, second and third positions to the target;
10 - вычисление уточненных значений дальностей и скоростей их изменения от первой, второй и третьей позиций до цели;10 - calculation of updated values of ranges and speeds of their change from the first, second and third positions to the target;
11 - определение прямоугольных координат цели;11 - determination of the rectangular coordinates of the target;
12 - определение скоростей изменения прямоугольных координат цели;12 - determination of the rate of change of the rectangular coordinates of the target;
13 - определение скорости цели.13 - determination of the speed of the target.
Предлагаемый способ может быть реализован на базе трех идентичных многочастотных РЛС (РЛС1, РЛС2 и РЛС3) в соответствии с фиг.4, где показаны: система 1 синхронизации, многочастотный передатчик 2, фазированная антенная решетка 3 (ФАР), многочастотный многоканальный приемник 4, измеритель 5 наклонной дальности, измеритель 6 сумм расстояний; измеритель 7 разностей расстояний, измеритель 8 скорости изменения наклонной дальности, измеритель 9 скорости изменения сумм расстояний, измеритель 10 скорости изменения разностей расстояний, аппаратура 11 передачи данных, вычислитель 12. При этом первый выход системы 1 синхронизации соединен со входом многочастотного передатчика 2, выход которого соединен со входом фазированной антенной решетки 3, выход которой соединен со вторым входом многочастотного многоканального приемника 4, первый вход которого соединен со вторым выходом системы 1 синхронизации, первый, второй, третий четвертый, пятый и шестой выходы многочастотного многоканального приемника 4 соединены со входами измерителя 5 наклонной дальности, измерителя 6 сумм расстояний, измерителя 7 разностей расстояний, измерителя 8 скорости изменения наклонной дальности, измерителя 9 скорости изменения сумм расстояний, измерителя 10 скорости изменения разностей расстояний, выходы которых соединены соответственно с первым, вторым, третьим, четвертым, пятым и шестым входами аппаратуры 11 передачи данных, выход которой является выходом первой РЛС и соединен с первым входом вычислителя 12, второй и третий входы которого являются входами для подключения выходов второй и третьей РЛС, выход вычислителя 12 является выходом системы.The proposed method can be implemented on the basis of three identical multi-frequency radars (radar1, radar2 and radar3) in accordance with figure 4, which shows:
Способ осуществляется следующим образом.The method is as follows.
Каждая из трех позиций системы излучает сигналы, принимает отраженные целью сигналы, излученные как этой позицией, так и двумя другими позициями, разделяет принятые сигналы по принадлежности к излучившим их позициям (операции 1, 2, 3, 4 алгоритма) и производит по ним независимые измерения дальностей (операция 5) и независимые измерения сумм и разностей дальностей (операция 6), а также независимые скорости изменения дальностей, сумм расстояний, разности расстояний (операция 7). Измерения сумм и разностей дальностей и скоростей их изменения независимы, так как они получены не на основе раздельных измерений дальностей R1, R2, R3,
Измеряемые величины показаны на фиг.2, 3 и равны:The measured values are shown in figure 2, 3 and are equal to:
на первой позицииin first position
на второй позицииin second position
на третьей позицииin third position
Кроме того, на первой, второй и третьей позициях измеряются разности расстояний, соответствующиеIn addition, at the first, second and third positions, distance differences corresponding to
Дополнительно измеряются скорости изменения величин:Additionally measured are the rates of change:
на первой позицииin first position
на второй позицииin second position
на третьей позицииin third position
Кроме того, на первой, второй и третьей позициях измеряются скорости изменения разностей расстояний, соответствующиеIn addition, at the first, second and third positions, the rates of change of the distance differences corresponding to
Сигналы, соответствующие измеренным величинам, передаются с каждой позиции на две другие позиции (операция 8), после чего на всех позициях системы вычисляются по выражениям (1) уточненные значения дальности от первой, второй и третьей позиций до цели (операция 9) и скорости их изменения (операция 10), которые используются для определения прямоугольных координат цели (операция 11) по формулам (2) скоростей их изменения, и скорости цели (операции 12 и 13) и по формулам (3).The signals corresponding to the measured values are transmitted from each position to two other positions (operation 8), after which, at all positions of the system, the specified values of the distance from the first, second and third positions to the target (operation 9) and their speed are calculated from expressions (1) changes (operation 10), which are used to determine the rectangular coordinates of the target (operation 11) according to formulas (2) of the rates of change, and speed of the target (
Система синхронизации первой РЛС (РЛС1) 1 формирует требуемые длительности и период повторения зондирующих импульсов.The synchronization system of the first radar (radar) 1 generates the required duration and repetition period of the probe pulses.
Многоканальный передатчик 2 генерирует СВЧ сигналы на соответствующей сетке частот и посредством фазированной антенной решетки (ФАР) 3 излучает их в пространство, аналогичные процессы происходят на РЛС2 и РЛС3, реализуя таким образом первую операцию способа - излучение сигналов.
Отраженные от цели сигналы принимаются фазированной антенной решеткой (ФАР) 3 и далее поступают на второй вход многочастотного многоканального приемника 4, который осуществляет прием и обработку сигналов, выделяя таким образом сигналы целей, реализуя операцию 2 способа, кроме того, ФАР 3 принимает сигналы целей, облученные двумя другими позициями системы, а многоканальный приемник 4 осуществляет их прием и обработку, реализуя опреацию 3 способа - прием отраженных от цели сигналов, излученных двумя другими позициями. Система синхронизации 1 по первому входу многочастотного многоканального приемника 4 осуществляет его временные режимы работы, выполняя операцию 4 способа - разделение принятых сигналов по принадлежности к излучившей их позиции, фиг.2а) - на первой РЛС, фиг.2б) - для второй РЛС и фиг 2в) - для третьей РЛС. Первый выход многоканального многочастотного приемника 4 соединен со входом измерителя 5 наклонной дальности, второй выход - со входом измерителя 6 сумм расстояний, а третий выход - со входом измерителя 7 разностей расстояний. Измеритель 5 наклонной дальности реализует процедуру 5 способа - измерение по принятым сигналам дальности от этой позиции до цели. Измеритель 6 сумм расстояний реализует процедуру 6 способа измерение по принятым сигналам двух сумм дальностей от этой позиции до цели и от цели до двух других позиций. Измеритель 7 разности расстояний реализует операцию 6 способа - измерение трех попарных разностей дальностей от первой, второй и третьей позиций до цели и разности расстояний между двумя позициями. Измеритель скорости изменения наклонной дальности 8, измеритель скорости изменения сумм расстояний - 9 и измеритель скорости изменения разностей расстояний - 10 реализуют процедуру 7 способа - измерение по принятым сигналам скоростей расстояний и скоростей изменения двух сумм дальностей от этой позиции до цели и от цели до двух других позиций и трех попарных скоростей изменения разностей дальностей от первой, второй и третьей позиций до цели и скоростей изменения разности расстояний между двумя позициями.The signals reflected from the target are received by a phased array (PAR) 3 and then fed to the second input of a multi-frequency
Таким образом, на первой РЛС измеряются величины согласно формулам (4), (8), (7) и (11), на второй по формулам (5), (9) (7) и (11) и на третьей по формулам (6), (10), (7) и (11).Thus, values are measured on the first radar according to formulas (4), (8), (7) and (11), on the second according to formulas (5), (9) (7) and (11) and on the third according to formulas ( 6), (10), (7) and (11).
Измеренные значения дальностей скоростей их изменения, сумм расстояний и скоростей их изменения, разностей расстояний и скоростей их изменения посредством аппаратуры передачи данных 11 транслируются на вычислитель, 12 реализуя таким образом операцию 8 способа - передача измеренных сигналов, соответствующих дальности, сумме и разности дальностей и скоростей изменения на вычислительное устройство.The measured values of the ranges of the rates of their change, the sum of the distances and rates of their change, the differences of the distances and the rates of their change by means of
Вычислитель 12 реализует следующие операции способа: 9 - вычисление уточненных значений дальности от первой, второй и третьей позиций до цели; 10 - вычисление уточненных значений дальностей и скоростей их изменения от первой, второй и третьей позиций до цели (формула 1); 11 - определение координат цели; 12 - определение скоростей изменения координат прямоугольных цели; 13 - определение скорости цели (формулы 2 и 3).The
Выражения (1), (2) получаются следующим образом.Expressions (1), (2) are obtained as follows.
Совокупность измерений (4)-(7), имеющуюся на каждой позиции, можно рассматривать как переопределенную систему из 21 линейного алгебраического уравнения относительно трех неизвестных R1 R2, R3, размерностью 21×3, в которой -1, 0, 1 - постоянные коэффициенты, а R11, R22, R33, RΣ12, RΣ13, RΣ21, RΣ23, RΣ31, RΣ32, RΔ1121, RΔ1131, RΔ2131, RΔ2212, RΔ2232, RΔ1232, RΔ3313, RΔ3323, RΔ1323, RΔ1213, RΔ2123, RΔ3132, RΔ1213, RΔ2123, RΔ3132, R11, R12, …, R36 - дальности, их суммы и разности, известные в результате измерений.The set of measurements (4) - (7), available at each position, can be considered as an overdetermined system of 21 linear algebraic equations for three unknowns R1 R2 , R3 ,
Обозначим:Denote:
- матрица постоянных коэффициентов; - matrix of constant coefficients;
R11, R22, R33 - значения дальности, измеренные на первой, второй и третьей позициях соответственно;R11 , R22 , R33 - range values measured at the first, second and third positions, respectively;
RΣ13, RΣ21, RΣ23, RΣ31, RΣ32 - значения сумм расстояний измеренные на первой, второй и третьей позициях соответственно;RΣ13 , RΣ21 , RΣ23 , RΣ31 , RΣ32 - values of the sums of distances measured at the first, second and third positions, respectively;
RΔ1121, RΔ1131, RΔ2131, RΔ2212, RΔ2232, RΔ1232, RΔ3313, RΔ3323, RΔ1323 - значения разности расстояний измеренные на первой, второй и третьей позициях соответственно;RΔ1121 , RΔ1131 , RΔ2131 , RΔ2212 , RΔ2232 , RΔ1232 , RΔ3313 , RΔ3323 , RΔ1323 - distance difference values measured at the first, second and third positions, respectively;
RΔ1213, RΔ2123, RΔ3132 - разности расстояний, измеренные между второй и третьей, первой и третьей, первой и второй позициями соответственно;RΔ1213 , RΔ2123 , RΔ3132 are the differences of the distances measured between the second and third, first and third, first and second positions, respectively;
- вектор измеренных дальностей, их сумм и разностей;- a vector of measured ranges, their sums and differences;
Т - знак транспонирования матрицы (вектора).T is the transpose sign of the matrix (vector).
Тогда исходная система линейных алгебраических уравнений преобразуется в линейное векторно-матричное уравнение видаThen the initial system of linear algebraic equations is transformed into a linear vector-matrix equation of the form
Умножим обе части этого уравнения с учетом условия сцепленности матриц слева сначала на матрицу АT:We multiply both sides of this equation, taking into account the cohesion condition of the matrices on the left, first by the matrix AT :
(ATA)R=ATSизм,(AT A) R = AT Srev ,
а затем на обратную квадратную матрицу (ATA)-1 размером 3×3 (здесь (.)-1 - знак обращения матрицы):and then onto the inverse square matrix (AT A)-1 of
(ATA)-1(ATA)S=(ATA)-1ATSизм.(AT A)-1 (AT A) S = (AT A)-1 AT Srev .
Так как произведение (ATA)-1(ATA) есть единичная матрица, тоSince the product (AT A)-1 (AT A) is the identity matrix, then
Произведя вычисления согласно (13), получим выражения (1) для уточненных значений дальностей, правильность которых непосредственно проверяется подстановкой входящих в них величин из (4)-(7).Having performed the calculations according to (13), we obtain expressions (1) for the refined range values, the correctness of which is directly verified by substituting the quantities included in them from (4) - (7).
Дифференцированием (13) по времени получим, что:By differentiating (13) with respect to time, we obtain that:
где:Where:
включает величины (8)-(11).includes quantities (8) - (11).
Нетрудно убедиться, что в силу линейности полученных выражений вычисленные по ним значения дальностей являются несмещенными (математические ожидания ошибок равны нулю) с дисперсиями
где
Заметим, что данное решение совпадает с решением уравнения (6) известным методом наименьших квадратов, который согласно теореме Гаусса-Маркова о наилучших линейных оценках дает несмещенную, эффективную (минимальную среди всех возможных) и состоятельную оценку вектора неизвестных дальностей по результатам измерений (4. см. Жданюк Б.Ф. Основы статистической обработки траекторных измерений. - М.: Сов. радио, 1978, с.31-34).Note that this solution coincides with the solution of equation (6) by the well-known least squares method, which, according to the Gauss-Markov best linear estimates theorem, gives an unbiased, effective (minimum among all possible) and consistent estimates of the vector of unknown ranges from the measurement results (4. cm Zhdanyuk BF Fundamentals of statistical processing of trajectory measurements. - M .: Sov. Radio, 1978, p.31-34).
Это означает, что вычисленные таким образом значения дальностей являются потенциально наиболее точными с минимальной дисперсией, которая на основании (8) для случая равноточных измерений составляет относительную величину, тогда дисперсии расчетных значений дальности на соответствующих позициях равны:This means that the range values calculated in this way are potentially the most accurate with a minimum dispersion, which, based on (8) for the case of uniform measurements, is a relative value, then the variances of the calculated range values at the corresponding positions are equal to:
Отсюда следует, что дисперсии вычисления дальностей R1, R2, R3уменьшаются по сравнению с точностью единичных измерений в 135/11=12.3 раза, а соответствующие среднеквадратические ошибки - в корень квадратный из них, т.е. в 3,5 раза. Во столько же раз примерно уменьшаются согласно теории ошибок измерений среднеквадратические ошибки определения искомых координат X, Y, Z по формулам (2) при любом взаимном удалении позиций (фиг.5, 6), равные соответственноIt follows that the variance of the calculation of the ranges R1 , R2 , R3 decreases compared with the accuracy of single measurements by 135/11 = 12.3 times, and the corresponding root-mean-square errors - to the square root of them, i.e. 3.5 times. According to the theory of measurement errors, the root-mean-square errors of determining the desired coordinates X, Y, Z according to formulas (2) for any mutual removal of positions (Figs. 5, 6), respectively equal, decrease by the same amount
где:
Выражения (16), (17), (18) получаются путем применения к (2) теоремы о линеаризации функции нескольких случайных аргументов и нахождения дисперсии суммы случайных величин по известным правилам теории вероятностей (5. см. Вентцель Е.С. Теория вероятностей. - М: Наука, 1969 г., с.255-257).Expressions (16), (17), (18) are obtained by applying to (2) a theorem on the linearization of the function of several random arguments and finding the variance of the sum of random variables according to the known rules of probability theory (5. see Wentzel E.S. Probability Theory. - M: Nauka, 1969, p. 255-257).
На фиг.5 приведены среднеквадратические ошибки определения координат X и Y, полученные при условиях R0=450 км, а=b=100 км σR=100 м, и V=200 м/с, где кривые 1 и 2 соответствует значению σX и σY для существующего способа, а кривые 3 и 4 - значению σX и σY для предлагаемого способа определения координат.Figure 5 shows the root mean square errors of determining the coordinates X and Y obtained under the conditions R0 = 450 km, a = b = 100 km, σR = 100 m, and V = 200 m / s, where
На фиг.6 приведены среднеквадратические ошибки определения высоты, где кривая 1 соответствует значению σZ для существующего способа, а кривая 2 - значению σZ для предлагаемого способа определения координат.Figure 6 shows the root mean square errors of determining the height, where
Анализ графиков, приведенных на фиг.5, 6, показывает, что среднеквадратическая ошибка определения прямоугольных координат в зависимости от местоположения цели уменьшается почти в 3 раза.Analysis of the graphs shown in figure 5, 6, shows that the standard error of determining the rectangular coordinates depending on the location of the target is reduced by almost 3 times.
Физической основой выигрыша в точности заявляемого способа по сравнению с прототипом является кратное увеличение количества принимаемых сигналов (с трех до двадцати одного), соответствующих им измерений (с трех до двадцати одного) и возникающая вследствие этого значительная избыточность (переопределенность) измерительной информации по отношению к минимально необходимой, что позволяет произвести ее оптимальную по критерию точности статистическую обработку.The physical basis of the gain in the accuracy of the proposed method compared to the prototype is a multiple increase in the number of received signals (from three to twenty one), their corresponding measurements (from three to twenty one) and the resulting significant redundancy (overdetermination) of the measurement information in relation to the minimum necessary, which makes it possible to perform statistical processing optimal by the accuracy criterion.
Возможность осуществления изобретения с реализацией указанного назначения подтверждается следующими сведениями.The possibility of carrying out the invention with the implementation of this purpose is confirmed by the following information.
Так, операции 1, 2, 3 способа выполняются с помощью антенных систем, фазированных антенных решеток, передатчиков и приемников сигналов. Фазированная антенная решетка может быть выполнена как в (6. патент на изобретение РФ №2456723, МПК H01Q 21/00, опубл. 20.07.2012) либо как в (7. Активные фазированные антенные решетки. Гостюхин В.Л., Трусов В.Н., Гостюхин А.В. - М.: Радиотехника, 2011, стр.20, рис.1.3).So,
Многочастотный передатчик и многочастотный многоканальный приемник могут быть также выполнены на элементах активных ФАР, например как в (8. Активные фазированные антенные решетки. Под ред. Д.И. Воскресенского и А.И. Канащенкова. - М.: Радиотехника, 2004).A multi-frequency transmitter and a multi-frequency multi-channel receiver can also be performed on active phased array elements, for example, as in (8. Active phased antenna arrays. Edited by D.I. Voskresensky and A.I. Kanaschenkov. - M .: Radio engineering, 2004).
Многоканальное радиопередающее устройство можно реализовать также как в (8. Активные фазированные антенные решетки. Под ред. Д.И. Воскресенского и А.И. Канащенкова. - М.: Радиотехника, 2004) на основе многоканального приемо-передающего модуля АФАР (стр.34, рис.2.3).A multi-channel radio transmitting device can be implemented in the same way as in (8. Active phased antenna arrays. Edited by D.I. Voskresensky and A.I. Kanaschenkov. - M.: Radio Engineering, 2004) based on the multi-channel transceiver module AFAR (p. 34, Fig. 2.3).
Кроме того, приемо-передающий модуль может быть выполнен как в (9. Патент изобретение РФ №2362268, МПК H01Q 21/00, опубл. 20.07.2009).In addition, the transceiver module can be performed as in (9. Patent invention of the Russian Federation No. 2362268,
Многочастотный передатчик можно представить также в виде отдельных передающих модулей, излучающих на соотвествующих частотах, например как в (10. Патент на изобретение РФ №2327184, МПК G01S 7/484, опубл. 20.06.2008).A multifrequency transmitter can also be represented as separate transmitting modules emitting at appropriate frequencies, for example, as in (10. RF patent for invention №2327184,
Многочастотный многоканальный приемник можно также представить в виде отдельных модулей, принимающих и обрабатывающих сигналы на соответствующих частотах, например как (11. Справочник по учебному проектированию приемно-усилительных устройств. Белкин М.К., Белинский В.Т., Мазор Ю.Л., Терещук Р.М. - К.: - Выща школа, 2-е издание. 1988 г., стр.405, рис.14.1).A multi-frequency multi-channel receiver can also be represented in the form of separate modules that receive and process signals at the corresponding frequencies, for example, as (11. Handbook on the educational design of receiving-amplifying devices. Belkin MK, Belinsky VT, Mazor Yu.L. , Tereshchuk R.M. - K .: - High School, 2nd Edition. 1988, p. 405, Fig. 14.1).
Разделение принятых сигналов разных позиций (операция 4) может осуществляться в приемнике каждой позиции по несущей частоте, времени их излучения и приема, очередности прихода сигналов и другим характерным признакам.The separation of the received signals of different positions (operation 4) can be carried out in the receiver of each position according to the carrier frequency, the time of their emission and reception, the order of arrival of the signals and other characteristic features.
Измерение дальностей, их сумм и разностей (операции 5, 6) производится на основе измерения времени прихода отраженных от цели сигналов первой, второй и третьей позиций с помощью известных аналоговых или цифровых устройств, предназначенных для измерения дальности (дальномеров), например, как описано в известных источниках информации (12. Бакулев П.А. Радиолокационные системы. - М: Радиотехника, 2004, с.240; 13. Аверьянов В.Я. Разнесенные радиолокационные станции и системы. - Минск: Техника, 1978, с.28 и с.116).Measurement of ranges, their sums and differences (
Измерение скорости изменения дальностей, их сумм и разностей (операция 7) производится на основе измерения соответствующих им доплеровских частот (12. Бакулев П.А. Радиолокационные системы. - М.: Радиотехника, 2004, с.277-279; 2. Многопозиционные радиотехнические системы / B.C. Кондратьев, А.Ф. Котов, Л.Н. Марков / Под ред. проф. В.В. Цветнова. - М.: Радио и связь, 1986, стр.246) либо методом дифференцирования измерений соответствующих дальностей, их сумм и разностей, например как в (14. Охрименко А.Е. Основы радиолокации и радиоэлектронная борьба. Часть 1. - М.: Воениздат, 1983, 456 с.387-388).The measurement of the rate of change of ranges, their sums and differences (operation 7) is based on the measurement of the corresponding Doppler frequencies (12. Bakulev PA Radar systems. - M .: Radio engineering, 2004, p.277-279; 2. Multiposition radio engineering systems / BC Kondratiev, A.F. Kotov, L.N. Markov / Edited by Prof. V.V. Tsvetnova. - M .: Radio and Communications, 1986, p. 246) or by the method of differentiation of measurements of the corresponding ranges, their sums and differences, for example, as in (14. Okhrimenko A.E. Fundamentals of radar and electronic warfare.
Передача данных, соответствующих дальности, сумме и разности дальностей и скоростей изменения, на вычислительное устройство (операция 8) выполняется посредством известных линий передачи данных, например, (15. Патент на изобретение РФ №2441330, МПК H04L 5/02, опубл. 27.01.2012). Синхронизация режимов работы РЛС может осуществляться как в (16. Патент на изобретение РФ №2304788, МПК G01S 7/285, H04L 7/00, опубл. 20.08.2007).The transmission of data corresponding to the range, the sum and the difference of the ranges and rates of change to the computing device (step 8) is carried out using known data lines, for example, (15. Patent for the invention of the Russian Federation No. 2441330,
Вычисление уточненных значений дальности от первой, второй и третьей позиций до цели, вычисление уточненных значений дальностей и скоростей их изменения от первой, второй и третьей позиций до цели, определение прямоугольных координат цели, определение скоростей изменения координат прямоугольных цели и 13 - определение скорости цели (операции 9-13) является вычислительной процедурой и может быть организовано как в (17. Патент на полезную модель РФ №72339, МПК G06F 15/16, опубл. 10.04.2008).Calculation of the adjusted values of the distance from the first, second and third positions to the target, calculation of the specified values of the ranges and the rates of their change from the first, second and third positions to the target, determination of the rectangular coordinates of the target, determination of the rates of change of coordinates of the rectangular targets and 13 - determination of the speed of the target ( operations 9-13) is a computational procedure and can be organized as in (17. Patent for a utility model of the Russian Federation No. 72339, IPC G06F 15/16, publ. 10.04.2008).
Таким образом, совокупность существенных признаков способа обеспечивает достижение требуемого технического результата, а именно повышение точности определения координат цели в трехпозиционной дальномерной радиолокационной системе при любом взаимном удалении позиций и обеспечение возможности определения координат цели и скоростей их изменения на каждой позиции системы.Thus, the set of essential features of the method ensures the achievement of the required technical result, namely, increasing the accuracy of determining the coordinates of the target in a three-position rangefinder radar system at any mutual removal of positions and providing the ability to determine the coordinates of the target and the speed of their change at each position of the system.
Использование данного способа в радиолокационных и радионавигационных системах, а также в системах мобильной связи позволит повысить их точность, расширить зону действия при заданной точности определения координат, а также обеспечить устойчивость и надежность функционирования этих систем в сложных условиях радиоэлектронной обстановки.The use of this method in radar and radio navigation systems, as well as in mobile communication systems, will increase their accuracy, expand the coverage area for a given accuracy of determining the coordinates, and also ensure the stability and reliability of the operation of these systems in difficult electronic conditions.
| Application Number | Priority Date | Filing Date | Title | 
|---|---|---|---|
| RU2012143786/07ARU2515571C1 (en) | 2012-10-05 | 2012-10-05 | Method of determining coordinates of target in three-position ranging radar system | 
| Application Number | Priority Date | Filing Date | Title | 
|---|---|---|---|
| RU2012143786/07ARU2515571C1 (en) | 2012-10-05 | 2012-10-05 | Method of determining coordinates of target in three-position ranging radar system | 
| Publication Number | Publication Date | 
|---|---|
| RU2012143786A RU2012143786A (en) | 2014-04-10 | 
| RU2515571C1true RU2515571C1 (en) | 2014-05-10 | 
| Application Number | Title | Priority Date | Filing Date | 
|---|---|---|---|
| RU2012143786/07ARU2515571C1 (en) | 2012-10-05 | 2012-10-05 | Method of determining coordinates of target in three-position ranging radar system | 
| Country | Link | 
|---|---|
| RU (1) | RU2515571C1 (en) | 
| Publication number | Priority date | Publication date | Assignee | Title | 
|---|---|---|---|---|
| RU2607639C2 (en)* | 2014-12-31 | 2017-01-10 | Федеральное государственное бюджетное учреждение "4 Центральный научно-исследовательский институт" Министерства обороны Российской Федерации | Method of determining range to object with radiation source signals with different frequencies | 
| RU2713498C1 (en)* | 2019-07-19 | 2020-02-05 | Федеральное государственное унитарное предприятие "Ростовский-на-Дону научно-исследовательский институт радиосвязи" (ФГУП "РНИИРС") | Method for survey active-passive lateral radar ranging of aerospace objects | 
| RU2717970C1 (en)* | 2019-10-07 | 2020-03-27 | Федеральное государственное унитарное предприятие "Ростовский-на-Дону научно-исследовательский институт радиосвязи" (ФГУП "РНИИРС") | Method for survey three-coordinate two-position lateration radar ranging of aerospace objects | 
| RU2759198C1 (en)* | 2020-06-30 | 2021-11-10 | Федеральное государственное бюджетное образовательное учреждение высшего образования "Санкт-Петербургский государственный университет телекоммуникаций им. проф. М.А. Бонч-Бруевича" | Method for determining the coordinates and parameters of movement of targets in a range measuring multi-positional radio location system | 
| Publication number | Priority date | Publication date | Assignee | Title | 
|---|---|---|---|---|
| US5406291A (en)* | 1993-10-05 | 1995-04-11 | Grumman Aerospace Corporation | Passive emitter location system | 
| US6239746B1 (en)* | 1997-06-03 | 2001-05-29 | Thomson-Csf | Radiogoniometry method and device co-operating in transmission | 
| WO2004011955A2 (en)* | 2002-07-31 | 2004-02-05 | Interdigital Technology Corporation | Method and system for positioning mobile units based on angle measurements | 
| RU2309420C1 (en)* | 2006-02-02 | 2007-10-27 | Военно-космическая академия имени А.Ф. Можайского | Time-difference method of finding coordinates of radio source and device for realization of the method | 
| RU2363010C2 (en)* | 2007-06-06 | 2009-07-27 | Военно-космическая академия имени А.Ф. Можайского | Method of determining coordinates of radio-frequency radiation source and device to this end | 
| RU2382378C1 (en)* | 2008-06-05 | 2010-02-20 | Государственное образовательное учреждение высшего профессионального образования "Военно-космическая академия имени А.Ф. Можайского" | Spaced differential-ranging direction finder | 
| WO2010072593A1 (en)* | 2008-12-23 | 2010-07-01 | Thales | Method for locating multiple rays of a source with or without aoa by multi-channel estimation of the tdoa and fdoa | 
| Publication number | Priority date | Publication date | Assignee | Title | 
|---|---|---|---|---|
| US5406291A (en)* | 1993-10-05 | 1995-04-11 | Grumman Aerospace Corporation | Passive emitter location system | 
| US6239746B1 (en)* | 1997-06-03 | 2001-05-29 | Thomson-Csf | Radiogoniometry method and device co-operating in transmission | 
| WO2004011955A2 (en)* | 2002-07-31 | 2004-02-05 | Interdigital Technology Corporation | Method and system for positioning mobile units based on angle measurements | 
| RU2309420C1 (en)* | 2006-02-02 | 2007-10-27 | Военно-космическая академия имени А.Ф. Можайского | Time-difference method of finding coordinates of radio source and device for realization of the method | 
| RU2363010C2 (en)* | 2007-06-06 | 2009-07-27 | Военно-космическая академия имени А.Ф. Можайского | Method of determining coordinates of radio-frequency radiation source and device to this end | 
| RU2382378C1 (en)* | 2008-06-05 | 2010-02-20 | Государственное образовательное учреждение высшего профессионального образования "Военно-космическая академия имени А.Ф. Можайского" | Spaced differential-ranging direction finder | 
| WO2010072593A1 (en)* | 2008-12-23 | 2010-07-01 | Thales | Method for locating multiple rays of a source with or without aoa by multi-channel estimation of the tdoa and fdoa | 
| Title | 
|---|
| Справочник по радиолокации. Под ред. М.СКОЛНИКА, Т.4, Москва, Советское радио, 1978, с.193-197, рис. 1,б, таблица 1, формулы (16), (17), (18).* | 
| Publication number | Priority date | Publication date | Assignee | Title | 
|---|---|---|---|---|
| RU2607639C2 (en)* | 2014-12-31 | 2017-01-10 | Федеральное государственное бюджетное учреждение "4 Центральный научно-исследовательский институт" Министерства обороны Российской Федерации | Method of determining range to object with radiation source signals with different frequencies | 
| RU2713498C1 (en)* | 2019-07-19 | 2020-02-05 | Федеральное государственное унитарное предприятие "Ростовский-на-Дону научно-исследовательский институт радиосвязи" (ФГУП "РНИИРС") | Method for survey active-passive lateral radar ranging of aerospace objects | 
| RU2717970C1 (en)* | 2019-10-07 | 2020-03-27 | Федеральное государственное унитарное предприятие "Ростовский-на-Дону научно-исследовательский институт радиосвязи" (ФГУП "РНИИРС") | Method for survey three-coordinate two-position lateration radar ranging of aerospace objects | 
| RU2759198C1 (en)* | 2020-06-30 | 2021-11-10 | Федеральное государственное бюджетное образовательное учреждение высшего образования "Санкт-Петербургский государственный университет телекоммуникаций им. проф. М.А. Бонч-Бруевича" | Method for determining the coordinates and parameters of movement of targets in a range measuring multi-positional radio location system | 
| Publication number | Publication date | 
|---|---|
| RU2012143786A (en) | 2014-04-10 | 
| Publication | Publication Date | Title | 
|---|---|---|
| US10557933B2 (en) | Radar device and position-determination method | |
| CN102819008B (en) | A non-cooperative radar emitter location method based on nonlinear least squares | |
| RU2515571C1 (en) | Method of determining coordinates of target in three-position ranging radar system | |
| RU2557808C1 (en) | Method of determining inclined range to moving target using passive monostatic direction-finder | |
| US20230350054A1 (en) | Radar system and method for performing direction of arrival estimation in a radar system | |
| US3852749A (en) | Radiolocation system | |
| RU2506605C2 (en) | Ranging method and device to determine coordinates of radiation source | |
| RU2728280C1 (en) | Method for operation of a system of pulse-doppler on-board radar stations during group action of fighters | |
| RU2713498C1 (en) | Method for survey active-passive lateral radar ranging of aerospace objects | |
| RU2402034C1 (en) | Radar technique for determining angular position of target and device for realising said method | |
| RU2711400C1 (en) | Method of determining the emitter or direction-finding antennas above the earth's surface | |
| RU2510038C2 (en) | Ranging-differential-ranging method for determining coordinates of radio-frequency radiation sources and apparatus realising said method | |
| RU2569843C1 (en) | Method of forming three-dimensional image of earth's surface in on-board doppler radar station with linear antenna array | |
| Wielgo et al. | Doppler only localization in GSM-based passive radar | |
| RU2660676C1 (en) | Doppler measurement of aircraft speed | |
| RU2668566C2 (en) | One-position multiplicative difference-relative method for determining of radio frequencies sources location coordinates | |
| RU2231806C2 (en) | Method for estimation of current co-ordinates of source of radio emission | |
| RU2527943C1 (en) | Method of processing signals during multichannel phase-based direction-finding of short-wave radio sources | |
| RU2572357C1 (en) | Method of forming three-dimensional image of earth's surface in on-board four-channel doppler radar set | |
| RU2651587C1 (en) | Multiplicative difference-relative method for determination of coordinates of position of pulsed radio-frequency source | |
| RU109869U1 (en) | DEVICE FOR DETERMINING MOVEMENT PARAMETERS PURPOSES | |
| RU2614035C1 (en) | One-stage method of decameter range radiation sources direction finding using phased antenna array consisting of mutually orthogonal symmetric horizontal dipoles | |
| RU2759198C1 (en) | Method for determining the coordinates and parameters of movement of targets in a range measuring multi-positional radio location system | |
| RU2273033C2 (en) | Method for determining traveling speed of airborne target at ground-based radiolocation station | |
| RU2787576C1 (en) | Radiolocation target simulator | 
| Date | Code | Title | Description | 
|---|---|---|---|
| MM4A | The patent is invalid due to non-payment of fees | Effective date:20181006 | |
| NF4A | Reinstatement of patent | Effective date:20211101 |