

1. Область техники, к которой относится изобретение1. The technical field to which the invention relates.
Изобретение относится к области гироскопических систем ориентации и навигации подвижных объектов, конкретно - к бесплатформенным инерциальным навигационным системам (БИНС) и бесплатформенным инерциальным системам ориентации (БИСО) на трехосных волоконно-оптических гироскопах с одним общим источником излучения.The invention relates to the field of gyroscopic orientation and navigation systems for moving objects, specifically to strapdown inertial navigation systems (SINS) and strapdown inertial orientation systems (BISO) on triaxial fiber optic gyroscopes with one common radiation source.
2. Уровень техники2. The level of technology
Известны трехосные ВОГ (ТВОГ) двух типов:Known triaxial VOG (TWOG) of two types:
I тип - ТВОГ на трех автономных одноосных ВОГ,Type I - TWOG on three autonomous uniaxial FOGs,
II тип - ТВОГ с одним общим источником излучения (ОИИ) (патенты США: №4,815,853, МПК4 G01B 9/02, 28.03.1989; №4,828,389, МПК4 G01B 9/02, 09.05.1989; №5,184,195, МПК5 G01C 19/72, 02.02.1993; №5,818,589, МПК6 G01C 19/64, 06.10.1998; №5,854,678, МПК6 G01C 19/72, 29.12.1998).Type II - TWOG with one common radiation source (OII) (US patents: No. 4,815,853, IPC4 G01B 9/02, 03/28/1989; No. 4,828,389, IPC4 G01B 9/02, 05/09/1989; No. 5,184,195, IPC5 G01C 19/72, 02.02.1993; No. 5.818.589, IPC6 G01C 19/64, 10/06/1998; No. 5.854.678, IPC6 G01C 19/72, 12/29/1998).
Известны многоосные (более трех осей чувствительности) ВОГ, например, четырехосные ВОГ с ОИИ (патент США №7,746,476 В2, МПК G01C 19/72 (2006.01), 29.06.2010).Known multiaxial (more than three axes of sensitivity) FOG, for example, four-axis FOG with OII (US patent No. 7,746,476 B2, IPC G01C 19/72 (2006.01), 06/29/2010).
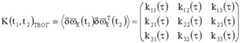
Принципиальное различие ТВОГ (и многоосных ВОГ) I и II типа состоит в следующем. В ТВОГ I типа шумы в трех измерительных каналах (ИК) ТВОГ независимы. В ТВОГ II типа шумы в трех ИК ТВОГ зависимы, что обусловлено наличием одного и того же шума ОИИ одновременно в трех ИК ТВОГ ("синхронная помеха"). В результате в корреляционной матрице шумов (КМШ) ТВОГ I типа отличны от нуля только три диагональных элемента КМШ, а в КМШ ТВОГ II типа отличны от нуля все девять элементов КМШ ТВОГ.The fundamental difference between TWOG (and multi-axis FOG) of type I and II is as follows. In TWOG type I, the noise in the three measuring channels (IR) of TWOG is independent. In TWOG type II, noise in three IR TWOGs is dependent, which is due to the presence of the same OII noise simultaneously in three IR TWOG ("synchronous interference"). As a result, in the noise correlation matrix (CMS) of the type I TVOG, only three diagonal elements of the CMS are nonzero, and in the CMS of the TWOG type II all nine elements of the TVOG CMS are nonzero.
Оси чувствительности (ОЧ) ТВОГ номинально взаимно ортогональны. Три орта (k=1, 2, 3), направленных по ОЧ ТВОГ ("измерительный базис"), образуют, жестко связанный с управляемым объектом (УО).The sensitivity axes (OX) of TWOG are nominally mutually orthogonal. Three Orts (k = 1, 2, 3), directed along the OV TWOG ("measuring basis"), form rigidly associated with a managed entity (RO).
Задача БИСО состоит в определении ориентации (углового положения) связанного базиса E(t) относительно его начального положения - инерциального базиса IThe task of the BISO is to determine the orientation (angular position) of the associated basis E (t) with respect to its initial position - the inertial basis I
на основании интегрирования кинематических уравнений (КУ) в терминах тех или иных кинематических параметров (КП) и формализмов [1].based on the integration of kinematic equations (KU) in terms of certain kinematic parameters (KP) and formalisms [1].
Предпосылки создания изобретения:The background of the invention:
Заявленный способ повышения точности БИСО на основе ТВОГ с ОИИ не следует из уровня техники, - возможность повышения точности БИСО на основе ТВОГ с ОИИ можно было заметить систематически исследуя влияние погрешностей и шумов ТВОГ на точность БИСО [2-6].The claimed method of increasing the accuracy of BISO based on TWOG with OII does not follow from the prior art — the possibility of increasing the accuracy of BISO based on TWOG with OII could be noticed systematically by studying the influence of errors and noise of TWOG on the accuracy of BISO [2-6].
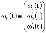
Вектору абсолютной угловой скорости (ВАУС) ставятся в соответствие матрицы-столбцы (I - представление и E-представление ВАУС):The absolute angular velocity vector (VAUS) is assigned to the matrix-columns (I - representation and e-presentation VAUS):
;, ; ,
которые связаны матрицами направляющих косинусов (МНК) [1]:which are connected by matrices of guide cosines (OLS) [1]:
; ;
;; ; ;
B(t)=AT(t)=A-1(t)⇔A(t)=BT(t)=B-1(t); detA(t)=detB(t)=+1.B (t) = AT (t) = A-1 (t) ⇔ A (t) = BT (t) = B-1 (t); detA (t) = detB (t) = + 1.
E-представление ВАУС измеряется гироскопами с погрешностями. В результате в БИСО используется возмущенная информация ("T" - символ транспонирования матрицы):The E-representation of the VAUS is measured by gyroscopes with errors. As a result, perturbed information is used in the BISO ("T" is the matrix transpose symbol):
;, ; ,
гдеWhere
δωi(t) (i=1, 2, 3) - ошибки гироскопов.δωi (t) (i = 1, 2, 3) - errors of gyroscopes.
Известна теорема о погрешности БИСО.The well-known BISO error theorem is known.
Теорема. [7, 8]. Погрешность определения ориентации посредством БИСО представляет собой вращение вычисленного алгоритмом БИСО (на основании интегрирования КУ в терминах тех или иных КП и формализмов) образа инерциалъного базиса
I - представление ВАУС базиса I*(t) имеет вид:.I - representation of the VAUS of the basis I* (t) has the form: .
Здесь:Here:
- погрешность измерения Е-представления ВАУС; - measurement error of the E-representation of the WAUS;
- МНК, характеризирующая вращение объекта. - OLS, characterizing the rotation of an object.
На основании этой теоремы в качестве строгих КУ ошибок (КУО) БИСО можно использовать любые КУ (в терминах любых КП и формализмов). Например, в терминах МНК ΔA и ΔB; ΔB=ΔA-1=ΔAT) строгие КУО БИСО принимают вид:Based on this theorem, any KU (in terms of any KP and formalisms) can be used as strict KU errors of the BISO. For example, in terms of OLS ΔA and ΔB ; ΔB = ΔA-1 = ΔAT ) strict BISO KUO take the form:
;;. ; ; .
Решения КУО (1) представляются рядом последовательных приближений (РПП) в форме ряда Пикара, который сходится равномерно и абсолютно:The solutions of KUO (1) are represented by a series of successive approximations (RPP) in the form of a Picard series that converges uniformly and absolutely:
МНК АА и АВ параметризируются вектором эйлерова поворота (ВЭП)OLS AA and AB are parameterized by the Euler rotation vector (EEP)
, ,
характеризующим вращение базиса I*(t) относительно базиса I:characterizing the rotation of the basis I * (t) relative to the basis I:
. .
ВЭП называется "вектор погрешности ориентации" (ВПО) БИСО. Критерий точности БИСО - угол эйлерова поворота (УЭП) Δs(t) базиса I*(t) относительно базиса I - "угол погрешности ориентации" (УПО). С учетом (2)-(4) имеем:VEP called the "orientation error vector" (HPO) BISO. The BISO accuracy criterion is the Euler rotation angle (UEP) Δs (t) of the basis I* (t) with respect to the basis I - the "orientation error angle" (UPR). Taking into account (2) - (4) we have:
Здесь:Here:
SpX - след (сумма диагональных элементов) матрицы X.SpX is the trace (the sum of the diagonal elements) of the matrix X.
Сходимость рядов (2), (3) гарантирует сходимость рядов (5).The convergence of the series (2), (3) guarantees the convergence of the series (5).
На основании (5) ВПО и УПО можно представить в виде РПП:Based on (5), HPE and UPR can be represented in the form of RPP:
Для построения РПП введен "малый" параметр.To build RPP introduced a "small" parameter .
В используемых на практике БИСО ошибки малы: Δs(t)<<1, с учетом sinΔs(t)/Δs(t)≈1 Два первых приближения теории возмущений имеют вид:In the BISOs used in practice, the errors are small: Δs (t) << 1, taking into account sinΔs (t) / Δs (t) ≈1 The first two approximations of the perturbation theory have the form:
. .
Двух первых приближений (~ε и ~ε2) (7), как правило, достаточно (за редкими исключениями [4]) для корректного анализа точности БИСО в зависимости от шумов гироскопов и вида вращения УО.The first two approximations (~ ε and ~ ε2 ) (7) are usually sufficient (with rare exceptions [4]) for the correct analysis of the BISO accuracy depending on the noise of the gyroscopes and the type of rotation of the UO.
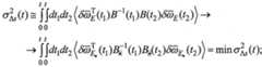
Дисперсия ошибки БИСО определяется следующим образом:The variance of the BISO error is defined as follows:
, ,
гдеWhere
〈.〉 - символ статистического усреднения по ансамблю.〈.〉 Is the symbol of statistical averaging over the ensemble.
В первом ("корреляционном") приближении теории возмущений дисперсия ошибки БИСО вычисляется квадратурой [3]:In the first (“correlation”) approximation of perturbation theory, the variance of the BISO error is calculated by quadrature [3]:
Модель ошибок (МО) ТВОГ содержит три структурные составляющие: аддитивную (не зависящую от ВАУС), мультипликативную (линейную по ВАУС) и нелинейную:The TWOG error model (MO) contains three structural components: additive (independent of VAUS), multiplicative (linear in VAUS) and nonlinear:
Индексыa, m, n, по которым проводится суммирование, нумеруют процессы ζa, ζm, ζn, влияющие на соответствующие составляющие МО.The indicesa , m, n, over which summation is carried out, number the processes ζa , ζm , ζn , which affect the corresponding components of the MO.
МО ТВОГ (9) содержит только случайные составляющие (предполагается что систематические составляющие МО калибруются, паспортизируются и алгоритмически корректируются в БИСО известными способами):MO TWOG (9) contains only random components (it is assumed that the systematic components of the MO are calibrated, certified and algorithmically adjusted in the BISO by known methods):
. .
В КМШ ТВОГ I типа (ТВОГ на трех одноосных автономных ВОГ) отличны от нуля только три диагональных элементаIn KMSH TWOG type I (TWOG on three uniaxial autonomous FOGs), only three diagonal elements are nonzero
а в КМШ ТВОГ II типа (ТВОГ с ОИИ) - все девять элементов ненулевые:and in KMSh TWOG type II (TWOG with OII) - all nine elements are nonzero:
Отношение дисперсии ошибки БИСО на ТВОГ II типа к дисперсии ошибки БИСО на ТВОГ I типа (в корреляционном приближении (Δs(t))=0) имеет вид [3]:The ratio of the variance of the BISO error on TWOG type II to the variance of the BISO error on TWOG type I (in the correlation approximation (Δs (t)) = 0) has the form [3]:
Функция зависит только от диагональных элементов КМШ, а функцияThe function depends only on the diagonal elements of the KMSh, and the function
Gn - только от недиагональных элементов КМШ.Gn - only from off-diagonal elements of KMSh.
На основании (8)-(11) различие ошибок БИСО на ТВОГ I и II типа можно анализировать для произвольных вращений B(f) и произвольных КМШ (11).Based on (8) - (11), the difference between the BISO errors on type I and II TWOGs can be analyzed for arbitrary rotations B (f) and arbitrary LMSs (11).
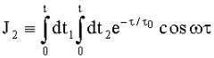
Рассмотрим модель КМШ ТВОГ, соответствующую "синхронной помехе", обусловленной использованием в ТВОГ ОИИ (в предположении марковского процесса с коэффициентом корреляциии k(τ)=ехр(-τ/τ0)) [3]Let us consider the KOGS TVOG model corresponding to “synchronous interference” due to the use of SRI in TVOG (assuming a Markov process with a correlation coefficient k (τ) = exp (-τ / τ0 )) [3]
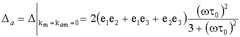
Рассмотрим вращение объекта с постоянной угловой скоростью, например, соответствующее движению искусственного спутника Земли (ИСЗ);;. Отношение дисперсий ошибок БИСО (12) принимает вид:Consider the rotation of an object with a constant angular velocity, for example, corresponding to the motion of an artificial Earth satellite (AES) ; ; . The ratio of the variances of errors BISO (12) takes the form:
R=1+Δ;R is 1 + Δ;
гдеWhere
;; ; ;
c1=3ka+2kamω(e1+e2+e3)+kmω2;c1 = 3ka + 2kam ω (e1 + e2 + e3 ) + km ω2 ;
. .
Для "быстрых" (естественных) флуктуации (τ0=τ0e) различие точности БИСО на ТВОГ I и II типа пренебрежимо мало, так как ωτ0<<1. Для "медленных" (технических) флуктуации (τ0=τ0T) параметр ωτ0 не является малым, так как времена корреляции технических флуктуаций τ0T>>τ0е имеют порядок минут и часов.For “fast” (natural) fluctuations (τ0 = τ0e ), the difference in BISO accuracy on TWOGs of type I and II is negligible, since ωτ0 << 1. For "slow" (technical) fluctuations (τ0 = τ0T ), the parameter ωτ0 is not small, since the correlation times of technical fluctuations τ0T >> τ0e are of the order of minutes and hours.
Вычисляя (14), при t>>τ0 получаем:Calculating (14), for t >> τ0 we obtain:
так какas
J1≅2τ0t; J2≅2τ0t[1+ωτ0)2]-1;.J1 ≅ 2τ0 t; J2 ≅2τ0 t [1 + ωτ0 )2 ]-1 ; .
Скалярная функция Δ (15) при t>>τ0 не зависит от времени и является анизотропной функцией векторного аргумента - зависит от направления ВАУС относительно базиса E.The scalar function Δ (15) for t >> τ0 does not depend on time and is an anisotropic function of the vector argument - it depends on the direction of the VAUS relative to the basis E.
Возможны три ситуации:Three situations are possible:
1) Δ=0. Точности БИСО на ТВОГ I и II типа совпадают.1) Δ = 0. The accuracy of the BISO on TWOG type I and II are the same.
2) Δ>0. Точность БИСО на ТВОГ I типа превосходит точность БИСО на ТВОГ II типа.2) Δ> 0. The accuracy of the BISO on TWOG type I exceeds the accuracy of the BISO on TWOG type II.
3) Δ<0. Точность БИСО на ТВОГ II типа превосходит точность БИСО на ТВОГ II типа.3) Δ <0. The accuracy of the BISO on TWOG type II exceeds the accuracy of the BISO on TWOG type II.
Рассмотрим вклады корреляционных функций ka и km (13) при t/τ0>>1:Consider the contributions of the correlation functions ka and km (13) for t / τ0 >> 1:
; ;
. .
Графики анизотропных функций Δm/2 и Δa/2 (при ωτ0>>1) представлены на Рис.2 и Рис.3.The graphs of the anisotropic functions Δm / 2 and Δa / 2 (for ωτ0 >> 1) are presented in Fig. 2 and Fig. 3.
При вращениях с "большими" угловыми скоростями, когдаDuring rotations with "large" angular velocities, when
, ,
точность БИСО на ТВОГ II типа ни при каких дополнительных условиях не превосходит точность БИСО на ТВОГ I типа, так какthe accuracy of the BISO on TWOG type II under no additional conditions does not exceed the accuracy of the BISO on TWOG type I, since
Δ=Δm∈[0, 2]⇔R∈[1, 3].Δ = Δm ∈ [0, 2] ⇔R∈ [1, 3].
При вращениях с "малыми" угловыми скоростями, когдаDuring rotations with "small" angular velocities, when
точность БИСО на ТВОГ II типа может превосходить (причем превосходитьBISO accuracy on TWOG type II may exceed (and exceed
существенно - на порядки) точность БИСО на ТВОГ I типа, так какsignificantly - by orders of magnitude) BISO accuracy on TWOG type I, since
Условие (18) означает, что в первом приближении (~ε) ошибка БИСО на ТВОГ II типа не возрастает во времени - строго равна нулю. Для расчета возрастающей во времени ошибки БИСО необходимо учитывать второе приближение (~ε2) (7). Но ошибки БИСО, учитываемые во втором приближении теории возмущений (6), (7), имеют второй порядок малости. Результат (18) означает, что в первом порядке теории возмущений решения строгих КУО БИСО - в корреляционном приближении (8) - при малых постоянных угловых скоростях УО при определенных ориентациях ВАУС УО относительно связанного базиса УО в БИСО может реализовываться полная (то есть 100-процентная) автокомпенсация "синхронной помехи" -коррелированных шумов ТВОГ, обусловленных шумом ОИИ.Condition (18) means that in a first approximation (~ ε), the BISO error on TWOG type II does not increase in time - it is strictly equal to zero. To calculate the BISO error increasing in time, it is necessary to take into account the second approximation (~ ε2 ) (7). But the BISO errors taken into account in the second approximation of perturbation theory (6), (7) have a second order of smallness. The result (18) means that in the first order of the perturbation theory, the solutions of strict BIO BFCs — in the correlation approximation (8) —for small constant angular velocities of the ROs for certain orientations of the VAUS ROs relative to the associated basis of the ROs in BISOs, can be realized complete (i.e., 100% ) auto-compensation of "synchronous interference" -correlated TVOG noises due to noise of OII.
3. Сущность изобретения3. The invention
Целью заявляемого изобретения является способ повышения точности БИСО на основе ТВОГ с ОИИ. Поставленная цель достигается с учетом новой (впервые обнаруженной автором) анизотропной зависимости точности БИСО - дисперсии ошибки БИСО - от направления ВАУС УО относительно связанного базиса - измерительного базиса, образованного ортами 04 ТВОГ, за счет использования следующих существенных признаков изобретения:The aim of the invention is a method of improving the accuracy of BISO based on TWOG with OII. This goal is achieved taking into account the new (first discovered by the author) anisotropic dependence of the accuracy of the BISO — the variance of the BISO error — on the direction of the VAUS UO with respect to the associated basis — the measuring basis formed by the TWT 04 orts, by using the following essential features of the invention:
1) Использование нового установленного свойства зависимости погрешности БИСО от недиагональных элементов КМШ трехосных гироскопов;1) Using the new established property of the dependence of the BISO error on the off-diagonal elements of the KMS of triaxial gyroscopes;
2) Использование информации о структуре КМШ трехосного гироскопа, в том числе о диагональных и недиагональных элементах КМШ;2) Use of information on the structure of the KMSh of a triaxial gyroscope, including the diagonal and off-diagonal elements of the KMSh;
3) Использование информации о синхронной помехе в ТВОГ с ОИИ. Известны способы ослабления влияния шумов трехосных гироскопов на точность определения пространственной ориентации (углового положения) в различных гироскопических и инерциальных навигационных устройствах в результате автокомпенсации вращением систематических и медленно изменяющихся погрешностей ВОГ и ТВОГ, например, [9, 10] (аналоги). Очевидным недостатком таких способов является существенное техническое усложнение, связанное с использованием дополнительных устройств для принудительного вращения гироскопов и/или инерциальных измерительных блоков.3) Use of information on synchronous interference in TWOG with OII. Known methods of attenuating the influence of noise of triaxial gyroscopes on the accuracy of determining spatial orientation (angular position) in various gyroscopic and inertial navigation devices as a result of auto-compensation by the rotation of systematic and slowly changing errors of FOG and TWOG, for example, [9, 10] (analogues). An obvious disadvantage of such methods is a significant technical complication associated with the use of additional devices for the forced rotation of gyroscopes and / or inertial measuring units.
Известен способ фильтрации шумов гироскопов в составе БИСО и БИНС [11, 12] (прототип). Недостатком такого способа является только частичное ослабление влияния шумов гироскопов на точность определения ориентации. Заявляемое изобретение представляет собой способ повышения точности БИСО на основе ТВОГ с ОИИ без повышения точности ТВОГ, без алгоритмической коррекции, без фильтрации и без каких-либо технических усложнений ТВОГ и БИСО. В предложенном изобретении осуществляется стопроцентная (в корреляционном приближении) автокомпенсация в БИСО синхронной помехи ТВОГ, обусловленной шумами ОИИ и существенное повышение точности БИСО.A known method of filtering the noise of gyroscopes as part of BISO and SINS [11, 12] (prototype). The disadvantage of this method is only a partial weakening of the influence of noise of gyroscopes on the accuracy of determining the orientation. The invention is a method of increasing the accuracy of BISO based on TWOG with OII without increasing the accuracy of TWOG, without algorithmic correction, without filtering and without any technical complications of TWOG and BISO. In the proposed invention, one hundred percent (in the correlation approximation) autocompensation in the BISO of the synchronous interference of the TWOG due to noise of OII and a significant increase in the accuracy of the BISO is carried out.
Погрешность БИСО (6) - это функционал двух функций [4]: погрешностей ТВОГ ТГ и вращения УО B{t). В частности, в первом приближении теории возмущений решений строгих КУО БИСО - в корреляционном приближении, в котором для оценок точности БИСО достаточна информация только о КМШ ТВОГ (информация о статистических моментах выше второго порядка и о типе статистики шумов не требуется):The BISO error (6) is the functional of two functions [4]: TWOG TG errors and rotations of the EO B (t). In particular, in the first approximation of the perturbation theory of solutions of strict BISO QCFs - in the correlation approximation, in which information on BISC accuracy is sufficient only for information on the statistical information above the second order and on the type of noise statistics is not required):
; ;
t'∈[0, t].t'∈ [0, t].
Исследование этого функционала показывает, что при фиксированной КМШ, как в общем случае нестационарных шумов, когда КМШ ТВОГ имеет видThe study of this functional shows that for a fixed CMS, as in the general case of unsteady noise, when the CMS of TWOG has the form
, ,
так и в частном случае стационарных шумов, когда КМШ ТВОГ имеет видand in the particular case of stationary noise, when KMSH TWOG has the form
, ,
4. Краткое описание чертежей4. Brief Description of the Drawings
На Фиг.1. в качестве иллюстрации представлен ТВОГ с ОИИ в составе бесплатформенного измерительного блока фирмы Northrop Grumman [13]. На Фиг.2. представлен трехмерный график анизотропной функции Δm/2In figure 1. TWOG with OII as a part of the strapdown measuring unit of Northrop Grumman [13] is presented as an illustration. Figure 2. presents a three-dimensional graph of the anisotropic function Δm / 2
. .
При вращениях с большими угловыми скоростями, когдаDuring rotations with large angular velocities, when
, ,
автокомпенсация шумов ТВОГ с ОИИ в БИСО не происходит так как для произвольного вращения УО с большими угловыми скоростямиself-compensation of TWOG noises from the FIR in BISO does not occur since for arbitrary rotation of the VO with large angular velocities
Δ=Δm∈[0, 2]⇔R∈[1, 3].Δ = Δm ∈ [0, 2] ⇔R∈ [1, 3].
На Фиг.3. представлен трехмерный график анизотропной функции Δa/2In figure 3. presents a three-dimensional graph of the anisotropic function Δa / 2
. .
При вращениях УО с малыми угловыми скоростями, когдаWith rotations of the CI with low angular velocities, when
точность БИСО на ТВОГ с ОИИ может превосходить (причем превосходить существенно - на порядки, если вклад шумов ОИИ в результирующую погрешность БИСО превосходит вклад независимых в ИК шумов ТВОГ в погрешность БИСО) точность БИСО на основе ТВОГ на трех автономных одноосных ВОГBISO accuracy on TWOG with IRR can exceed (and significantly exceed by orders of magnitude, if the contribution of OII noise to the resulting BISO error exceeds the contribution of TWOG independent in IR noise to the BISO error) BISO accuracy based on TWOG on three autonomous uniaxial FOG
; ;
5. Осуществление изобретения5. The implementation of the invention
Для УО, вращающихся в инерциальном пространстве с малыми постоянными угловыми скоростями, например, для ИСЗ, в МО ТВОГ (9) можно учитывать только аддитивные составляющие (составляющие дрейфа нуля ВОГ [14]), которые вносят основной вклад в погрешность БИСО (при вращении УО с малыми угловыми скоростями).For RRs rotating in inertial space with small constant angular velocities, for example, for satellites, in the MO TVOG (9), only additive components (components of the FOG zero drift [14]) can be taken into account, which make the main contribution to the BISO error (during RR rotation with low angular velocities).
На ИСЗ и других УО, вращающихся в инерциальном пространстве с малыми постоянными угловыми скоростями, когда основной вклад в ошибку БИСО вносят дрейфы нулей ТВОГ (16), использование ТВОГ с ОИИ позволяет повысить точность БИСО (17) за счет специальной ориентации 04 ТВОГ относительно ВАУС спутника.On satellites and other UOs rotating in inertial space with small constant angular velocities, when the main contribution to the BISO error is made by TWOG zero drifts (16), the use of TWOG with OII makes it possible to increase the BISO accuracy (17) due to the special orientation of 04 TWOG relative to the VAUS of the satellite .
Выбором ориентации связанного базиса E относительно ВАУС УО можно обеспечить выполнение условия: R→0 (в пределе: R=0) (17). Критерий выбора ориентации связанного базиса Е относительно ВАУС УО в типичном случае коэффициента корреляции синхронной помехи в виде, соответствующем марковскому случайному процессу: k(τ)=ехр(-τ/τ0) (13 имеет вид:.By choosing the orientation of the associated basis E with respect to the VAUS of the MA, it is possible to satisfy the condition: R → 0 (in the limit: R = 0) (17). The criterion for choosing the orientation of the associated basis E with respect to the VAUS UO in the typical case of the correlation coefficient of synchronous interference in the form corresponding to the Markov random process: k (τ) = exp (-τ / τ0 ) (13 has the form: .
Реально в ТВОГ с ООИИ шумы в трех ИК преддставляют собой суммы двух слагаемых - синхронной помехи (шум ОИИ ζ(t) общий для всех трех ИК ТВОГ) и некоррелированных в трех ИК ТВОГ слагаемых ζ2(t) (i=1, 2, 3), обусловленных всеми остальными (за исключением ОИИ) источниками шумов ТВОГIn reality, in TWOG with OOII, the noise in three IRs is the sum of two terms: synchronous interference (noise of the OII ζ (t) common to all three IR TWOGs) and the terms ζ2 (t) uncorrelated in three IR TWOG (i = 1, 2, 3) due to all other (with the exception of OII) noise sources of TWOG
Здесь:Here:
ζi(t) (i=1, 2, 3) - некоррелированные в трех ИК ТВОГ шумы;ζi (t) (i = 1, 2, 3) - noise uncorrelated in three IR TWOG;
ς(t) - тождественный в трех ИК ТВОГ шум, обусловленный шумом ОИИ (синхронная помеха);ς (t) is the identity in three IR TWOG noise due to the noise of OII (synchronous interference);
〈ς=(t)〉=〈ζ1(t)〉=〈ζ2(t)〉=〈ζ3(t)〉=0;〈Σ = (t)〉 = 〈ζ1 (t)〉 = 〈ζ2 (t)〉 = 〈ζ3 (t)〉 = 0;
〈ς(t1)ζ1(t2)〉=〈ς(t1)ζ2(t2)〉=〈ς(t1)ζ3(t2)〉=0;〈Σ (t1 ) ζ1 (t2 )〉 = 〈ς (t1 ) ζ2 (t2 )〉 = 〈ς (t1 ) ζ3 (t2 )〉 = 0;
〈ζ1(t1)ζ2(t2)〉=〈ζ1(t1)ζ3(t2)〉=〈ζ2(t1)ζ2(t3)〉=0.〈Ζ1 (t1 ) ζ2 (t2 )〉 = 〈ζ1 (t1 ) ζ3 (t2 )〉 = 〈ζ2 (t1 ) ζ2 (t3 )〉 = 0.
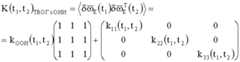
В общем случае КМШ ТВОГ с ОИИ имеет видIn the general case, KMSh TWOG with OII has the form
Здесь:Here:
〈ς(t1)ς(t2)〉=kООИ(t1, t2);〈Σ (t1 ) ς (t2 )〉 = kOOI (t1 , t2 );
〈ζ1(t1)ζ1(t2)〉=k11(t1, t2);〈Ζ1 (t1 ) ζ1 (t2 )〉 = k11 (t1 , t2 );
〈ζ2(t1)ζ2(t2)〉=k22(t1, t2);〈Ζ2 (t1 ) ζ2 (t2 )〉 = k22 (t1 , t2 );
〈ζ3(t1)ζ3(t2)〉=k33(t1, t2).〈Ζ3 (t1 ) ζ3 (t2 )〉 = k33 (t1 , t2 ).
Для применений ТВОГ в составе БИСО ИСЗ и других УО с длительным функционированием и временем предстартовой подготовки, превышающим времена переходных процессов в информационных сигналах ТВОГ после включения, - шумы ТВОГ можно считать стационарнымиFor TWOG applications as part of the BISO satellite and other UOs with long-term operation and prelaunch times exceeding the transient times in the TWOG information signals after switching on, the TWOG noise can be considered stationary
kООИ(t1, t2)=kООИ(τ);kOOI (t1 , t2 ) = kOOI (τ);
k11(t1, t2)=k11(τ);k11 (t1 , t2 ) = k11 (τ);
k22(t1, t2)=k22(τ);k22 (t1 , t2 ) = k22 (τ);
k33(t1, t2)=k33(τ);k33 (t1 , t2 ) = k33 (τ);
τ≡|t1-t2|.τ≡ | t1 -t2 |.
При достаточной отработке ВОГ в производстве точностные характеристики трех ИК ТВОГ идентичны, в частностиWith sufficient FOG testing in production, the accuracy characteristics of the three IR TWOG are identical, in particular
k11(τ)=k22(τ)=k33(τ)=k(τ).k11 (τ) = k22 (τ) = k33 (τ) = k (τ).
В результате КМШ ТВОГ с ОИИ принимает видAs a result, KSH TWOG with OII takes the form
Полезность изобретенияUtility of invention
Точность современных ВОГ от 10 град/час до 0,0001 град/час [3].The accuracy of modern FOGs is from 10 degrees / hour to 0.0001 degrees / hour [3].
В случае, если шум ОИИ существенно превосходит некоррелированные шумы в ИК ТВОГ, т.е. когдаIn the case where the noise of the OII significantly exceeds the uncorrelated noise in IR TWOG, i.e. when
в КМШ ТВОГ (19) для оценок точности БИСО можно учитывать только первое слагаемое.in the KOG of TWOG (19), for evaluating the accuracy of the BISO, only the first term can be taken into account.
В этом случае, при точности БИСО на ТВОГ на основе трех автономных ВОГ (в КМШ (19) учитывается только второе слагаемое) порядка (0,05÷0,0005) град (за время функционирования БИСО) точность БИСО на ТВОГ на основе ОИИ при использовании заявленного изобретения может превосходить точность БИСО на ТВОГ на основе трех автономных ВОГ на 2-6 порядков (в 102÷106 раз). Иными словами, используя специальный выбор ориентации 04 ТВОГ относительно ВАУС УО, предложенный в заявленном изобретении, точность БИСО на ТВОГ с ОИИ можно повысить в 102÷106, раз (если шум ОИИ существенно превосходит некоррелированные шумы в ИК ТВОГ).In this case, with BISO accuracy on TWOG based on three autonomous FOGs (in KMSh (19) only the second term is taken into account) of the order of (0.05 ÷ 0.0005) deg (during the BISO functioning), BISO accuracy on TWOG based on OII at using the claimed invention can exceed the accuracy of the BISO on TWOG based on three autonomous FOGs by 2-6 orders of magnitude (102 ÷ 106 times). In other words, using the special choice of orientation 04 TWOG relative to the VAUS UO proposed in the claimed invention, the accuracy of the BISO on TWOG with SRI can be increased by 102 ÷ 106 times (if the noise of the SRI significantly exceeds the uncorrelated noise in IR TWOG).
В настоящее время, на современном этапе отработки ВОГ в РФ, отношение недиагональных элементов КМШ ТВОГ с ОИИ к диагональным элементам КМШ ТВОГ с ОИИ (отношение интенсивности шума ОИИ к интенсивности некоррелированных шумов ИК ТВОГ с ОИИ) составляет (40-80)% [15]At present, at the present stage of FOG development in the Russian Federation, the ratio of off-diagonal elements of KSSh TWOG with OII to diagonal elements of KMSh TWOG with OII (the ratio of noise intensity of OII to the intensity of uncorrelated noise of IR TWOG with OII) is (40-80)% [15]
kООИ(τ)/k(τ)~(0,4÷0,%),kOOI (τ) / k (τ) ~ (0.4 ÷ 0,%),
что позволяет повысить точность БИСО на основе ТВОГ с ОИИ, в соответствии со способом заявленного изобретения, в (2,5÷5) раз. В процессе последующей отработки ВОГ в производстве отношение недиагональных элементов КМШ ТВОГ с ОИИ к диагональным элементам КМШ ТВОГ с ОИИ (отношение интенсивности шума ОИИ к интенсивности некоррелированных шумов ИК ТВОГ с ОИИ) будет повышаться (шумы источника излучения ВОГ - один из основных принципиально неустранимых источников шумов ВОГ), что приведет к дальнейшему увеличению повышения точности БИСО на основе ТВОГ с ОИИ в соответствии со способом заявленного изобретения.which improves the accuracy of BISO based on TWOG with OII, in accordance with the method of the claimed invention, (2.5 ÷ 5) times. In the process of further development of FOG in production, the ratio of off-diagonal elements of KMSh TWOG with OII to diagonal elements of KMSh TWOG with OII (the ratio of the intensity of noise of OII to the intensity of uncorrelated noise of IR TWOG with OII) will increase (noise of the radiation source of VOG is one of the main fundamentally unrecoverable noise sources FOG), which will lead to a further increase in the accuracy of BISO based on TWOG with OII in accordance with the method of the claimed invention.
Список использованных источниковList of sources used
1. Бранец В.Н. Применение кватернионов в задачах ориентации твердого тела / В.Н. Бранец, И.П. Шмыглевский. - М.: Наука, 1973. - 320 с.1. Branets V.N. Application of quaternions in problems of orientation of a solid body / V.N. Branets, I.P. Shmyglevsky. - M .: Nauka, 1973. - 320 p.
2. Кробка Н.И. Особенности бесплатформенных инерциальных систем ориентации на основе трехосных волоконно-оптических гироскопов с одним общим источником излучения // Юбилейная XV Санкт-Петербургская международная конференция по интегрированным навигационным системам (26-28 мая 2008 г., Санкт-Петербург, Россия). Сборник материалов. - Санкт-Петербург: ГНЦ РФ - ЦНИИ «Электроприбор». - 2008. - С.87-89.2. Krobka N.I. Features of strapdown inertial orientation systems based on triaxial fiber-optic gyroscopes with one common radiation source // Jubilee XV St. Petersburg International Conference on Integrated Navigation Systems (May 26-28, 2008, St. Petersburg, Russia). Collection of materials. - St. Petersburg: SSC RF - Central Research Institute "Elektropribor". - 2008. - P.87-89.
3. Кробка Н.И. Новый некоммутативный кинематический эффект и его проявления в бесплатформенных инерциальных системах ориентации на основе волоконно-оптических гироскопов // Гироскопия и навигация. - 2009. - №1. - С.36-51.3. Krobka N.I. A new non-commutative kinematic effect and its manifestations in strapdown inertial orientation systems based on fiber-optic gyroscopes // Gyroscopy and navigation. - 2009. - No. 1. - S.36-51.
4. Кробка Н.И. Некоммутативные кинематические эффекты и закономерности накопления шумов волоконно-оптических гироскопов в бесплатформенных инерциальных системах ориентации // XVI Санкт-Петербургская международная конференция по интегрированным навигационным системам. Сборник материалов. (25-27 мая 2009 г., Санкт-Петербург, Россия). - СПб.: ГНЦ РФ ЦНИИ «Электроприбор», 2009. - С.69-72.4. Krobka N.I. Non-commutative kinematic effects and patterns of noise accumulation of fiber-optic gyroscopes in strapdown inertial orientation systems // XVI St. Petersburg International Conference on Integrated Navigation Systems. Collection of materials. (May 25-27, 2009, St. Petersburg, Russia). - SPb .: SSC RF Central Research Institute "Elektropribor", 2009. - S.69-72.
5. Кробка Н.И. Дифференциальные методы идентификации структуры шумов гироскопов // Гироскопия и навигация. - 2011. - №1 (72). - С.59-77.5. Krobka N.I. Differential methods for identifying the structure of the noise of gyroscopes // Gyroscopy and navigation. - 2011. - No. 1 (72). - S. 59-77.
6. Кробка Н.И. Некоммутативные кинематические эффекты вращения твердого тела вокруг точки и их проявления в особенностях построения бесплатформенных систем ориентации на лазерных и волоконно-оптических гироскопах // Вестник Нижегородского университета им. Н.И.Лобачевского. - 2011. - №4 (2) - С.181-183.6. Krobka N.I. Non-commutative kinematic effects of the rotation of a rigid body around a point and their manifestations in the features of the construction of strapdown orientation systems on laser and fiber-optic gyroscopes // Bulletin of the Nizhny Novgorod University. N.I. Lobachevsky. - 2011. - No. 4 (2) - S.181-183.
7. Krobka N.I. Accurate error equations of the strapdown inertial navigation systems // The Second Soviet-Chinese Symposium of Inertial Technology (Saint Petersburg, October 9-15, 1991). - Saint Petersburg: The Scientific Council on Problems of Motion Control and Navigation of the Academy of Sciences (Section of Autonomous Navigation and Sensors). Chinese Society of Inertial Technology. CSRI "Electropribor", 1992. - P.43-50.7. Krobka N.I. Accurate error equations of the strapdown inertial navigation systems // The Second Soviet-Chinese Symposium of Inertial Technology (Saint Petersburg, October 9-15, 1991). - Saint Petersburg: The Scientific Council on Problems of Motion Control and Navigation of the Academy of Sciences (Section of Autonomous Navigation and Sensors). Chinese Society of Inertial Technology. CSRI "Electropribor", 1992. - P.43-50.
8. Кробка H.И. Концепция строгих уравнений ошибок и оценки квантовых пределов точности бесплатформенных инерциальных навигационных систем на лазерных гироскопах, волоконно-оптических гироскопах и атомных интерферометрах на волнах де Бройля // XVII Санкт-Петербургская международная конференция по интегрированным навигационным системам (31 мая - 02 июня 2010 г., Санкт-Петербург, Россия). Сборник материалов. - СПб: ГНЦ РФ ОАО «Концерн «ЦНИИ «Электроприбор», 2010. - С.91-108.8. Krobka H.I. The concept of strict error equations and estimates of the quantum limits of accuracy of strapdown inertial navigation systems based on laser gyroscopes, fiber optic gyroscopes and atomic interferometers based on de Broglie waves // XVII St. Petersburg International Conference on Integrated Navigation Systems (May 31 - June 2, 2010, Saint-Petersburg, Russia). Collection of materials. - St. Petersburg: State Research Center of the Russian Federation OJSC Concern Central Research Institute Elektropribor, 2010. - S.91-108.
9. Пешехонов В.Г., Несенюк Л.П., Старосельцев Л.П., Блажнов Б.А., Буравлев А.С. Гирогоризонткомпас на волоконно-оптических гироскопах с вращением блока чувствительных элементов // Гироскопия и навигация. - 2002. - №1. - С.57-63.9. Peshekhonov V.G., Nesenyuk L.P., Staroseltsev L.P., Blazhnov B.A., Buravlev A.S. Girogorizontkompas on fiber-optic gyroscopes with rotation of the block of sensitive elements // Gyroscopy and navigation. - 2002. - No. 1. - S. 57-63.
10. Мешковский И.К., Стригалев В.Е., Дейнека Г.Б., Пешехонов В.Г., Волынский Д.В., Унтилов А.А. Трехосный волоконно-оптический гироскоп. Результаты разработки // XVIII Санкт-Петербургская международная конференция по интегрированным навигационным системам. Сборник материалов. (30 мая - 01 июня 2011 г., Санкт-Петербург, Россия) / Гл. ред. акад. РАН В.Г. Пешехонов. - Санкт-Петербург: ГНЦ РФ ОАО «Концерн «ЦНИИ «Электроприбор», 2011. - С.8-14.10. Meshkovsky I.K., Stigalev V.E., Deineka GB, Peshekhonov V.G., Volynsky D.V., Untilov A.A. Triaxial fiber optic gyroscope. Development results // XVIII St. Petersburg International Conference on Integrated Navigation Systems. Collection of materials. (May 30 - June 01, 2011, St. Petersburg, Russia) / Ch. ed. Acad. RAS V.G. Peshekhonov. - St. Petersburg: State Scientific Center of the Russian Federation, Concern Central Research Institute Elektropribor OJSC, 2011. - S.8-14.
11. Степанов О. А. Применение теории нелинейной фильтрации в задачах обработки навигационной информации. - СПб.: ГНЦ РФ ЦНИИ "Электроприбор", 1998. - 370 с.11. Stepanov O. A. Application of the theory of nonlinear filtering in the problems of processing navigation information. - SPb .: SSC RF Central Research Institute "Elektropribor", 1998. - 370 p.
12. Степанов О.А. Основы теории оценивания с приложениями к задачам обработки навигационной информации. Ч. I. Введение в теорию оценивания. - СПб.: ГНЦ РФ ЦНИИ "Электроприбор", 2008. - 500 с.12. Stepanov O.A. Fundamentals of the theory of assessment with applications to the tasks of processing navigation information. Part I. Introduction to the theory of evaluation. - SPb .: SSC RF Central Research Institute "Elektropribor", 2008. - 500 p.
13. FOG 2500. - www.northropgrumman.com.13. FOG 2500. - www.northropgrumman.com.
14. IEEE Std 952-1997. IEEE Standard Specification Format Guide and Test Procedure for Single-Axis Interferometric Fiber Optic Gyros.14. IEEE Std 952-1997. IEEE Standard Specification Format Guide and Test Procedure for Single-Axis Interferometric Fiber Optic Gyros.
15. Кробка H.И., Баландин А.И., Кеда С.В., Терешкин А.И., Щербицкий Д.С. Исследование корреляционных матриц шумов многоосных волоконно-оптических гироскопов с одним общим источником излучения // XVIII Санкт-Петербургская международная конференция по интегрированным навигационным системам. Сборник материалов. (30 мая - 01 июня 2011 г. Санкт-Петербург, Россия) / Гл. ред. акад. РАН В.Г. Пешехонов. - Санкт-Петербург: ГНЦ РФ ОАО «Концерн «ЦНИИ «Электроприбор», 2011. - С.56-60.15. Krobka H.I., Balandin A.I., Keda S.V., Tereshkin A.I., Scherbitsky D.S. A study of the correlation noise matrices of multiaxial fiber-optic gyroscopes with one common radiation source // XVIII St. Petersburg International Conference on Integrated Navigation Systems. Collection of materials. (May 30 - June 1, 2011 St. Petersburg, Russia) / Ch. ed. Acad. RAS V.G. Peshekhonov. - St. Petersburg: State Scientific Center of the Russian Federation, Concern Central Research Institute Elektropribor OJSC, 2011. - P.56-60.
| Application Number | Priority Date | Filing Date | Title |
|---|---|---|---|
| RU2011147991/28ARU2502048C2 (en) | 2011-11-25 | 2011-11-25 | Method to increase accuracy of platformless inertial system of orientation based on triaxial fibre-optic gyroscopes with one common source of radiation |
| Application Number | Priority Date | Filing Date | Title |
|---|---|---|---|
| RU2011147991/28ARU2502048C2 (en) | 2011-11-25 | 2011-11-25 | Method to increase accuracy of platformless inertial system of orientation based on triaxial fibre-optic gyroscopes with one common source of radiation |
| Publication Number | Publication Date |
|---|---|
| RU2011147991A RU2011147991A (en) | 2013-05-27 |
| RU2502048C2true RU2502048C2 (en) | 2013-12-20 |
| Application Number | Title | Priority Date | Filing Date |
|---|---|---|---|
| RU2011147991/28ARU2502048C2 (en) | 2011-11-25 | 2011-11-25 | Method to increase accuracy of platformless inertial system of orientation based on triaxial fibre-optic gyroscopes with one common source of radiation |
| Country | Link |
|---|---|
| RU (1) | RU2502048C2 (en) |
| Publication number | Priority date | Publication date | Assignee | Title |
|---|---|---|---|---|
| RU2785971C2 (en)* | 2020-07-20 | 2022-12-15 | ФЕДЕРАЛЬНОЕ ГОСУДАРСТВЕННОЕ КАЗЕННОЕ ВОЕННОЕ ОБРАЗОВАТЕЛЬНОЕ УЧРЕЖДЕНИЕ ВЫСШЕГО ОБРАЗОВАНИЯ Военная академия Ракетных войск стратегического назначения имени Петра Великого МИНИСТЕРСТВА ОБОРОНЫ РОССИЙСКОЙ ФЕДЕРАЦИИ | Method for calculation of coordinates with non-orthogonal orientation of input axes of meters of angular motion parameters |
| Publication number | Priority date | Publication date | Assignee | Title |
|---|---|---|---|---|
| US5684591A (en)* | 1996-05-23 | 1997-11-04 | Alliedsignal Inc. | Fiber optic gyroscope with reduced non-linearity at low angular rates |
| RU2246097C2 (en)* | 2002-09-17 | 2005-02-10 | Открытое акционерное общество Пермская научно-производственная приборостроительная компания | Method of phase modulation in ringular interferometer of fiber-optic gyro |
| RU2343417C1 (en)* | 2007-05-02 | 2009-01-10 | Александр Михайлович Курбатов | Method of low-frequency phase modulation for stabilisation of scale factor of fibre gyroscope |
| Publication number | Priority date | Publication date | Assignee | Title |
|---|---|---|---|---|
| US5684591A (en)* | 1996-05-23 | 1997-11-04 | Alliedsignal Inc. | Fiber optic gyroscope with reduced non-linearity at low angular rates |
| RU2246097C2 (en)* | 2002-09-17 | 2005-02-10 | Открытое акционерное общество Пермская научно-производственная приборостроительная компания | Method of phase modulation in ringular interferometer of fiber-optic gyro |
| RU2343417C1 (en)* | 2007-05-02 | 2009-01-10 | Александр Михайлович Курбатов | Method of low-frequency phase modulation for stabilisation of scale factor of fibre gyroscope |
| Title |
|---|
| Гирогоризонткомпас на волоконно-оптических гироскопах с вращением блока чувствительных элементов / ПЕШЕХОНОВ В.Г., НЕСЕНЮК Л.П., СТАРОСЕЛЫДЕВ Л.П. и др. / Гироскопия и навигация. 2002. №1. с.57-63. СТЕПАНОВ О.А. Основы теории оценивания с приложениями к задачам обработки навигационной информации. Ч.I. Введение в теорию оценивания. - СПб.: ГНЦ РФ ЦНИИ "Электроприбор", 2008. 496 с.* |
| Publication number | Priority date | Publication date | Assignee | Title |
|---|---|---|---|---|
| RU2785971C2 (en)* | 2020-07-20 | 2022-12-15 | ФЕДЕРАЛЬНОЕ ГОСУДАРСТВЕННОЕ КАЗЕННОЕ ВОЕННОЕ ОБРАЗОВАТЕЛЬНОЕ УЧРЕЖДЕНИЕ ВЫСШЕГО ОБРАЗОВАНИЯ Военная академия Ракетных войск стратегического назначения имени Петра Великого МИНИСТЕРСТВА ОБОРОНЫ РОССИЙСКОЙ ФЕДЕРАЦИИ | Method for calculation of coordinates with non-orthogonal orientation of input axes of meters of angular motion parameters |
| Publication | Publication Date | Title |
|---|---|---|
| El-Diasty et al. | Calibration and stochastic m odelling of i nertial na vigation s ensor errors | |
| Woodman | An introduction to inertial navigation | |
| Li et al. | Gradient descent optimization-based self-alignment method for stationary SINS | |
| CN109855653A (en) | A kind of scaling method after the noise reduction process of redundance type MEMS-IMU | |
| Zhang et al. | An improved computation scheme of strapdown inertial navigation system using rotation technique | |
| Bhatia et al. | Development of an analytical method for IMU calibration | |
| Chen et al. | In-flight calibration for outer-azimuth dual-axis RINS based on incremental azimuth observation method | |
| Zhao et al. | A reliable adaptive estimation method for the installation error of optical angular encoder in outfield tests | |
| Egorov et al. | Study on dead zones of fiber-optic gyros | |
| Ma et al. | A novel calibration model of polarization navigation sensor | |
| Krobka | Estimating quantum limits on SINS accuracy based on accurate error equations | |
| RU2502048C2 (en) | Method to increase accuracy of platformless inertial system of orientation based on triaxial fibre-optic gyroscopes with one common source of radiation | |
| Vyazmin et al. | Initial and final alignment of a strapdown airborne gravimeter and accelerometer bias determination | |
| Li et al. | A ground fine alignment of strapdown INS under a vibrating base | |
| Liu et al. | Reducing the effect of the accelerometer-slope bias error on the calibration error of a high-precision RLG INS system-level fitting method | |
| Sotak | Determining stochastic parameters using an unified method | |
| Abdel-Hafez | On the development of an inertial navigation error-budget system | |
| Chang et al. | A time asynchronous parameters calibration method of high-precision FOG-IMU based on a single-axis continuous rotation scheme | |
| Zhang et al. | Implementation and complexity analysis of orientation estimation algorithms for human body motion tracking using low-cost sensors | |
| Choi et al. | Calibration of inertial measurement units using pendulum motion | |
| Gao et al. | Four-position heading effect calibration algorithm for rotation inertial navigation system based on fiber optic gyro | |
| Krobka | The concept of accurate equations of errors and estimations of quantum limits of accuracy of strapdown inertial navigation systems based on laser gyros, fiber-optical gyros, and atom interferometers on de Broglie waves | |
| Krobka | A new noncommutative kinematic effect and its manifestations in strapdown inertial orientation systems based on fiber optic gyros | |
| Krobka | On the influence of non-ideal onboard time scale on the structure of error equations and the accuracy of strapdown inertial navigation systems | |
| Arnaudov et al. | Earth rotation measurement with micromechanical yaw-rate gyro |
| Date | Code | Title | Description |
|---|---|---|---|
| MM4A | The patent is invalid due to non-payment of fees | Effective date:20131126 |