













Перекрестные ссылки на родственные заявкиCross references to related applications
Данная заявка имеет приоритет предварительной заявки US 60/870562 от 18 декабря 2006 года. Кроме того, данная заявка является частичным продолжением находящейся на рассмотрении заявки US 11/385354 от 20 марта 2006 года.This application has the priority of provisional application US 60/870562 of December 18, 2006. In addition, this application is a partial continuation of pending application US 11/385354 of March 20, 2006.
Область техникиTechnical field
Настоящее изобретение относится к оптимизации работы транспортного средства, а более конкретно к мониторингу и управлению работой транспортного средства, чтобы повысить эффективность и одновременно не нарушать расписания движения.The present invention relates to optimizing the operation of a vehicle, and more particularly to monitoring and controlling the operation of a vehicle in order to increase efficiency and at the same time not violate traffic schedules.
Предшествующий уровень техникиState of the art
Локомотивы - это комплексные системы с множеством подсистем, причем каждая подсистема взаимозависит от других подсистем. Машинист находится на борту локомотива, чтобы обеспечить надлежащую работу локомотива и соответствующую нагрузку в виде грузовых вагонов. Кроме обеспечения надлежащей работы локомотива машинист также отвечает за определение рабочих скоростей железнодорожного состава и сил, действующих в железнодорожном составе, частью которого являются локомотивы. Чтобы выполнять эту функцию, машинист, как правило, должен иметь большой опыт в управлении локомотивом и различными железнодорожными составами на указанной территории. Это знание необходимо для того, чтобы соблюдать предписанные рабочие скорости, которые могут варьироваться в зависимости от местоположения железнодорожного состава на железнодорожном пути. Более того, машинист также отвечает за обеспечение того, что силы в железнодорожном составе остаются в рамках допустимых пределов.Locomotives are complex systems with many subsystems, with each subsystem interdependent on other subsystems. The driver is on board the locomotive to ensure proper operation of the locomotive and the corresponding load in the form of freight cars. In addition to ensuring the proper operation of the locomotive, the driver is also responsible for determining the operating speeds of the train and the forces operating in the train, of which the locomotives are part. To perform this function, the driver, as a rule, must have extensive experience in driving a locomotive and various trains in the specified territory. This knowledge is necessary in order to comply with the prescribed operating speeds, which may vary depending on the location of the train on the railway. Moreover, the driver is also responsible for ensuring that the forces in the train remain within acceptable limits.
Тем не менее, чтобы обеспечить безопасную работу, машинист обычно не может управлять локомотивом так, чтобы потребление топлива минимизировалось для каждого рейса. Например, следует рассматривать другие факторы, которые могут включать в себя сигналы, отображающие окружающие условия машиниста, например шум/вибрацию, взвешенную комбинацию потребления топлива и выходную эмиссию и т.д. Это трудновыполнимо, поскольку, например, размер и нагрузка железнодорожных составов могут варьироваться, локомотивы и их характеристики расхода топлива отличаются, и погодные условия и условия движения варьируются. Машинисты могут более эффективно управлять железнодорожным составом, если они имеют средство для определения оптимального пути, по которому следует направлять железнодорожный состав в данный день, согласно требуемому расписанию (времени прибытия) при использовании минимально возможного количества топлива, несмотря на источники помех.However, to ensure safe operation, the driver usually cannot control the locomotive so that fuel consumption is minimized for each flight. For example, other factors should be considered, which may include signals representing the driver’s environment, such as noise / vibration, a weighted combination of fuel consumption and emission, etc. This is difficult because, for example, the size and load of trains can vary, locomotives and their fuel consumption characteristics differ, and weather and traffic conditions vary. Engineers can more efficiently manage the train if they have the means to determine the optimal route along which the train should be sent on a given day, according to the required schedule (arrival time) when using the minimum possible amount of fuel, despite the sources of interference.
Кроме железнодорожных составов, имеющих локомотивы, работающие на одном типе топлива, преимущественно использовать железнодорожный состав/локомотив и другие транспортные средства, включающие в себя OHV (внедорожные транспортные средства) и морские транспортные средства, имеющие двигатели, которые работают на множестве видов топлива, в том числе, по меньшей мере, на одном дизельном топливе и, по меньшей мере, одном альтернативном топливе. Кроме преимуществ стоимости и доступности альтернативных видов топлива, характеристики каждого типа топлива и их относительные смеси при работе каждого транспортного средства могут быть включены в определение оптимального способа управления каждым транспортным средством так, чтобы следовать требуемому расписанию при минимизации общего количества используемого топлива или минимизации общей выходной эмиссии.In addition to trains with locomotives operating on the same type of fuel, it is preferable to use a train / locomotive and other vehicles including OHV (off-road vehicles) and marine vehicles having engines that run on many types of fuel, including the number of at least one diesel fuel and at least one alternative fuel. In addition to the advantages of cost and availability of alternative fuels, the characteristics of each type of fuel and their relative mixtures during the operation of each vehicle can be included in determining the optimal way to drive each vehicle so as to follow the required schedule while minimizing the total amount of fuel used or minimizing the total output emission .
Сущность изобретенияSUMMARY OF THE INVENTION
Согласно одному варианту осуществления изобретения предложена система управления железнодорожным составом, имеющим один или более локомотивных составов, причем каждый локомотивный состав содержит один или более локомотивов. В варианте осуществления система содержит элемент определения местоположения железнодорожного состава. Также предусмотрен элемент характеристики железнодорожного пути, чтобы предоставлять информацию о железнодорожном пути. Система также имеет процессор, обеспечивающий прием информации от элемента определения местоположения и элемента характеристики железнодорожного пути. Также предусмотрен алгоритм, который осуществляется в рамках процессора, имеющего доступ к информации, чтобы создавать план рейса, который оптимизирует рабочие характеристики локомотивного состава в соответствии с одним или более рабочими критериями для железнодорожного состава.According to one embodiment of the invention, there is provided a train control system having one or more locomotive trains, each locomotive train comprising one or more locomotives. In an embodiment, the system comprises a train positioning element. A railway track characteristic element is also provided to provide information about the railway track. The system also has a processor capable of receiving information from the positioning element and the railway track characteristic element. An algorithm is also provided that is implemented within a processor having access to information to create a voyage plan that optimizes the performance of the locomotive in accordance with one or more operational criteria for the train.
Согласно другому варианту осуществления настоящего изобретения также предложен способ управления железнодорожным составом, имеющим один или более локомотивных составов, причем каждый локомотивный состав содержит один или более локомотивов. Способ содержит этапы определения местоположения железнодорожного состава на железнодорожном пути, определения характеристик железнодорожного пути, и дополнительно создания плана рейса на основе местоположения железнодорожного состава, характеристик железнодорожного пути и рабочих режимов локомотивного состава в соответствии, по меньшей мере, с одним рабочим критерием для железнодорожного состава.According to another embodiment of the present invention, there is also provided a method for controlling a train having one or more locomotive trains, each locomotive train comprising one or more locomotives. The method includes the steps of determining the location of the train on the railway track, determining the characteristics of the railway track, and additionally creating a flight plan based on the location of the train, characteristics of the railway track and operating modes of the locomotive in accordance with at least one operational criterion for the train.
Согласно другому варианту осуществления настоящего изобретения предложен компьютерный программный продукт для управления железнодорожным составом, имеющим вычислительный процессор и один или более локомотивных составов, причем каждый локомотивный состав содержит один или более локомотивов. Компьютерный программный продукт содержит программный модуль для создания плана рейса на основе местоположения железнодорожного состава, характеристик железнодорожного пути и рабочих условий локомотивного состава в соответствии, по меньшей мере, с одним рабочим критерием для железнодорожного состава.According to another embodiment of the present invention, there is provided a computer program product for controlling a train having a computing processor and one or more locomotive trains, each locomotive train comprising one or more locomotives. The computer software product contains a software module for creating a voyage plan based on the location of the train, the characteristics of the train and the operating conditions of the locomotive in accordance with at least one working criterion for the train.
Согласно еще одному варианту осуществления настоящего изобретения также предложен способ управления железнодорожным составом, имеющим один или более локомотивных составов, причем каждый локомотивный состав содержит один или более локомотивов, причем план рейса разработан для железнодорожного состава. Способ содержит этап определения значения мощности для локомотивного состава на основе плана рейса. Способ также управляет локомотивным составом при заданном значении мощности. Собирают данные по фактической скорости железнодорожного состава, фактическом значении мощности локомотивного состава и/или местоположении железнодорожного состава. Фактическая скорость железнодорожного состава, фактическое значение мощности локомотивного состава и/или местоположение железнодорожного состава сравнивают с заданным значением мощности.According to yet another embodiment of the present invention, there is also provided a method for controlling a train having one or more locomotive trains, each locomotive train comprising one or more locomotives, the train plan being developed for the train train. The method comprises the step of determining a power value for a locomotive train based on a flight plan. The method also controls the locomotive train at a given power value. Data is collected on the actual speed of the train, the actual value of the power of the locomotive and / or the location of the train. The actual speed of the train, the actual value of the power of the locomotive and / or the location of the train is compared with a given value of power.
Согласно еще одному варианту осуществления настоящего изобретения дополнительно предложен способ управления железнодорожным составом, имеющим один или более локомотивных составов, причем каждый локомотивный состав содержит один или более локомотивов, причем план рейса разработан для железнодорожного состава на основе предполагаемых рабочих параметров железнодорожного состава и/или локомотивного состава. Способ содержит этап оценки рабочих параметров железнодорожного состава и/или рабочих параметров локомотива. Способ дополнительно содержит этап сравнения оцененных рабочих параметров железнодорожного состава и/или рабочих параметров локомотивного состава с предполагаемыми рабочими параметрами железнодорожного состава и/или рабочими параметрами локомотивного состава.According to yet another embodiment of the present invention, there is further provided a method for controlling a train having one or more locomotives, each locomotive comprising one or more locomotives, the train plan being developed for the train based on the expected operating parameters of the train and / or locomotive . The method comprises the step of evaluating the operating parameters of the train and / or operating parameters of the locomotive. The method further comprises the step of comparing the estimated operating parameters of the train and / or operating parameters of the locomotive with the estimated operating parameters of the railway and / or operating parameters of the locomotive.
Согласно другому варианту осуществления настоящего изобретения дополнительно предложен способ управления железнодорожным составом, имеющим один или более локомотивных составов, причем каждый локомотивный состав содержит один или более локомотивов, где план рейса разработан для железнодорожного состава на основе требуемого параметра. Способ содержит этапы определения рабочих параметров железнодорожного состава и/или локомотивного состава, определения требуемого параметра на основе определенных рабочих параметров и сравнения определенного параметра с рабочими параметрами. Если определена разница из сравнения определенного параметра с рабочими параметрами, способ дополнительно содержит корректировку плана рейса.According to another embodiment of the present invention, there is further provided a method of controlling a train having one or more locomotives, each locomotive comprising one or more locomotives, where a flight plan is developed for the train based on a desired parameter. The method includes the steps of determining the operating parameters of the train and / or locomotive, determining the required parameter based on certain operating parameters and comparing a specific parameter with operating parameters. If the difference is determined from comparing a certain parameter with operating parameters, the method further comprises adjusting the flight plan.
Согласно другому варианту осуществления настоящего изобретения дополнительно предложен способ управления железнодорожной системой, имеющей один или более локомотивных составов, причем каждый локомотивный состав содержит один или более локомотивов. Способ содержит этапы определения местоположения железнодорожного состава на железнодорожном пути и определения характеристик железнодорожного пути. Способ дополнительно содержит этап формирования плана движения, по меньшей мере, для одного из локомотивов на основе местоположений железнодорожной системы, характеристики железнодорожного пути и/или рабочего режима локомотивного состава, чтобы минимизировать потребление топлива посредством железнодорожной системы.According to another embodiment of the present invention, there is further provided a method for controlling a railway system having one or more locomotive trains, each locomotive train comprising one or more locomotives. The method includes the steps of determining the location of the train on the railway and determining the characteristics of the railway. The method further comprises the step of generating a traffic plan for at least one of the locomotives based on the locations of the railway system, the characteristics of the railway track and / or the operating mode of the locomotive composition, in order to minimize fuel consumption by the railway system.
Согласно другому варианту осуществления настоящего изобретения дополнительно предложен способ управления железнодорожной системой, имеющей один или более локомотивных составов, причем каждый локомотивный состав содержит один или более локомотивов. С этой целью способ содержит этапы определения местоположения железнодорожного состава на железнодорожном пути и определения характеристик железнодорожного пути. Способ дополнительно содержит этап предоставления управления поступательным движением для локомотивного состава, чтобы минимизировать потребление топлива посредством железнодорожной системы.According to another embodiment of the present invention, there is further provided a method for controlling a railway system having one or more locomotive trains, each locomotive train comprising one or more locomotives. To this end, the method comprises the steps of determining the location of the train on the railway track and determining the characteristics of the railway track. The method further comprises the step of providing translational control for the locomotive train to minimize fuel consumption through the railway system.
В другом варианте осуществления настоящего изобретения предложена система управления транспортным средством, причем транспортное средство включает в себя двигатель, работающий, по меньшей мере, на одном типе топлива. Система включает в себя элемент определения местоположения транспортного средства, и элемент характеристик железнодорожного пути, чтобы предоставлять информацию по территории нахождения транспортного средства. Более конкретно, система содержит базу данных, чтобы сохранять информацию характеристик для каждого типа топлива, и процессор, обеспечивающий прием информации из элемента определения местоположения, элемента характеристик железнодорожного пути и базы данных. В рамках процессора с доступом к информации осуществлен алгоритм, чтобы создавать план рейса, который оптимизирует рабочие характеристики транспортного средства в соответствии с одним или более рабочими критериями для транспортного средства.In another embodiment of the present invention, there is provided a vehicle control system, wherein the vehicle includes an engine operating on at least one type of fuel. The system includes an element for determining the location of the vehicle, and an element of the characteristics of the railway track to provide information on the territory of the vehicle. More specifically, the system comprises a database to store performance information for each type of fuel, and a processor capable of receiving information from a location element, a rail track feature, and a database. Within the processor with access to information, an algorithm has been implemented to create a flight plan that optimizes the performance of the vehicle in accordance with one or more performance criteria for the vehicle.
В другом варианте осуществления настоящего изобретения предложен способ управления транспортным средством, причем транспортное средство включает в себя двигатель, работающий, по меньшей мере, на одном типе топлива. Способ включает в себя этапы определения местоположения транспортного средства, предоставления информации о территории транспортного средства и сохранения информации характеристик для каждого типа топлива. Более конкретно, способ включает в себя этап создания плана рейса, который оптимизирует рабочие характеристики транспортного средства в соответствии с одним или более рабочими критериями для транспортного средства.In another embodiment of the present invention, there is provided a method for driving a vehicle, the vehicle including an engine operating on at least one type of fuel. The method includes the steps of determining the location of the vehicle, providing information about the territory of the vehicle and storing information of characteristics for each type of fuel. More specifically, the method includes the step of creating a flight plan that optimizes the performance of the vehicle in accordance with one or more performance criteria for the vehicle.
В другом варианте осуществления предложен машиночитаемый носитель, содержащий программные инструкции для способа управления транспортным средством. Транспортное средство содержит двигатель, работающий, по меньшей мере, на одном типе топлива. Способ включает в себя этапы определения местоположения транспортного средства, предоставления информации о территории транспортного средства и сохранения информации о характеристиках для каждого типа топлива. Более конкретно, машиночитаемый носитель включает в себя компьютерный программный продукт, чтобы создавать план рейса, который оптимизирует рабочие характеристики транспортного средства в соответствии с одним или более рабочими критериями для транспортного средства.In another embodiment, a computer-readable medium is provided comprising program instructions for a vehicle control method. The vehicle comprises an engine operating on at least one type of fuel. The method includes the steps of determining the location of the vehicle, providing information about the territory of the vehicle and storing information about the characteristics for each type of fuel. More specifically, a computer-readable medium includes a computer program product to create a flight plan that optimizes vehicle performance in accordance with one or more operational criteria for the vehicle.
Краткое описание чертежейBrief Description of the Drawings
Более подробное описание изобретения представлено ниже, со ссылками на конкретные варианты осуществления, которые проиллюстрированы на прилагаемых чертежах, которые не ограничивают область применения изобретения и на которых:A more detailed description of the invention is presented below, with reference to specific embodiments, which are illustrated in the accompanying drawings, which do not limit the scope of the invention and in which:
Фиг.1 изображает блок-схему последовательности этапов способа, согласно варианту осуществления настоящего изобретения;Figure 1 depicts a flowchart of a method according to an embodiment of the present invention;
Фиг.2 - упрощенную модель железнодорожного состава, которая может быть использована согласно изобретению;Figure 2 - a simplified model of the train, which can be used according to the invention;
Фиг.3 - вариант осуществления настоящего изобретения;Figure 3 is an embodiment of the present invention;
Фиг.4 - вариант кривой расхода топлива/времени движения, согласно изобретению;4 is a variant of the curve of fuel consumption / travel time, according to the invention;
Фиг.5 - вариант сегментационного разложения для планирования рейса, согласно изобретению;5 is a variant of the segmentation decomposition for flight planning, according to the invention;
Фиг.6 - вариант осуществления сегментации, согласно изобретению;6 is an embodiment of a segmentation according to the invention;
Фиг.7 - блок-схему последовательности этапов способа варианта осуществления настоящего изобретения;7 is a flowchart of a method of an embodiment of the present invention;
Фиг.8 - вариант осуществления динамического дисплея для использования машинистом, согласно изобретению;Fig. 8 is an embodiment of a dynamic display for use by a driver according to the invention;
Фиг.9 - другой вариант осуществления динамического дисплея для использования машинистом, согласно изобретению;Fig.9 is another embodiment of a dynamic display for use by a driver according to the invention;
Фиг.10 - еще один вариант осуществления динамического дисплея для использования машинистом, согласно изобретению;Figure 10 is another embodiment of a dynamic display for use by a driver according to the invention;
Фиг.11 - вариант осуществления системы, согласно изобретению;11 is an embodiment of a system according to the invention;
Фиг.12 - вариант осуществления динамического дисплея для использования машинистом, согласно изобретения;12 is an embodiment of a dynamic display for use by a driver according to the invention;
Фиг.13 - другой вариант осуществления динамического дисплея для использования машинистом, согласно изобретению;13 is another embodiment of a dynamic display for use by a driver according to the invention;
Фиг.14 - еще один вариант осуществления динамического дисплея для использования машинистом, согласно изобретению;FIG. 14 is another embodiment of a dynamic display for use by a driver according to the invention; FIG.
Фиг.15 - блок-схему последовательности этапов способа настоящего изобретения.15 is a flowchart of the method of the present invention.
Подробное описание предпочтительных вариантов воплощения изобретенияDETAILED DESCRIPTION OF PREFERRED EMBODIMENTS
Ниже приводится подробное описание вариантов осуществления изобретения, примеры которых проиллюстрированы на прилагаемых чертежах.The following is a detailed description of embodiments of the invention, examples of which are illustrated in the accompanying drawings.
Согласно изобретению разрешаются проблемы в данной области техники посредством создания системы, способа и машинореализованного способа определения и реализации стратегии управления железнодорожным составом, имеющим локомотивный состав, определения подхода, чтобы отслеживать и управлять работой железнодорожного состава, чтобы улучшать определенные требования по параметрам целевых рабочих критериев при удовлетворении ограничений по расписанию и скорости. Варианты осуществления настоящего изобретения также применимы, когда локомотивный состав работает в режиме распределенной мощности. Специалистам в данной области техники ясно, что устройство, такое как система обработки данных, включающая в себя ЦП, запоминающее устройство, механизмы ввода-вывода, устройство хранения программ, соединительную шину и другие соответствующие компоненты, может быть запрограммировано или иным образом запроектировано так, чтобы упрощать практическое применение способа варианта осуществления изобретения. Эта система должна включать в себя соответствующее программное средство для выполнения способа варианта осуществления изобретения.According to the invention, problems in the art are solved by creating a system, method and computer-implemented method for determining and implementing a train control strategy having a locomotive train, defining an approach to monitor and control the work of the train in order to improve certain requirements for the parameters of the target operating criteria when satisfied schedule and speed limits. Embodiments of the present invention are also applicable when the locomotive train operates in distributed power mode. Those skilled in the art will appreciate that a device, such as a data processing system including a CPU, memory, input / output mechanisms, a program storage device, a connection bus, and other relevant components, can be programmed or otherwise designed so that to simplify the practical application of the method of an embodiment of the invention. This system should include appropriate software for executing the method of an embodiment of the invention.
Также изделие, такое как записанный диск или другой аналогичный компьютерный программный продукт для использования с системой обработки данных, включает в себя носитель и программу способа, записанную на него, для направления системы обработки данных, чтобы упрощать практическое применение способа варианта осуществления изобретения. Эти устройства и изделия также попадают в рамки духа и области применения изобретения.Also, an article, such as a recorded disc or other similar computer program product for use with a data processing system, includes a medium and a method program recorded thereon for directing the data processing system to facilitate the practical application of the method of an embodiment of the invention. These devices and products also fall within the spirit and scope of the invention.
В общих чертах варианты осуществления настоящего изобретения предоставляют способ, устройство и программу для определения и реализации стратегии управления железнодорожным составом, имеющим локомотивный состав, определения подхода для того, чтобы отслеживать и управлять работой железнодорожного состава так, чтобы улучшать определенные требования по параметрам целевых рабочих критериев при удовлетворении ограничений по расписанию и скорости. Чтобы упростить понимание вариантов осуществления настоящего изобретения, оно описывается далее со ссылкой на конкретные реализации. Варианты осуществления изобретения описываются в общем контексте машиноисполняемых команд, таких как программные модули, исполняемые посредством компьютера. Программные модули, в общем, включают в себя процедуры, программы, объекты, компоненты, структуры данных и т.д., которые выполняют отдельные задачи или реализуют отдельные абстрактные типы данных. Например, программные приложения, которые лежат в основе вариантов осуществления изобретения, могут быть закодированы на различных языках для использования на различных платформах обработки. В нижеследующем описании варианты осуществления изобретения поясняются в контексте веб-портала, который использует веб-браузер. Тем не менее, следует понимать, что принципы, лежащие в основе вариантов осуществления изобретения, могут быть использованы также с другими типами технологий вычислительных программ.In general terms, embodiments of the present invention provide a method, apparatus, and program for determining and implementing a locomotive management strategy for a train, determining an approach to track and manage the train so as to improve specific requirements for target performance criteria when meeting schedule and speed limits. To simplify the understanding of embodiments of the present invention, it is described below with reference to specific implementations. Embodiments of the invention are described in the general context of computer-executable instructions, such as program modules, being executed by a computer. Software modules, in General, include procedures, programs, objects, components, data structures, etc. that perform separate tasks or implement separate abstract data types. For example, the software applications that underlie embodiments of the invention may be encoded in various languages for use on various processing platforms. In the following description, embodiments of the invention are explained in the context of a web portal that uses a web browser. However, it should be understood that the principles underlying the embodiments of the invention can also be used with other types of computing technology technologies.
Более того, специалистам в данной области техники следует понимать, что варианты осуществления изобретения могут быть реализованы на практике с другими конфигурациями вычислительных систем, включая "карманные" устройства, многопроцессорные системы, основанную на микропроцессорах или программируемую бытовую электронную аппаратуру, мини-компьютеры, мейнфреймы и т.п. Варианты осуществления изобретения могут быть реализованы на практике в распределенных вычислительных окружениях, в которых задачи выполняются удаленными обрабатывающими устройствами, которые связаны через сеть связи. В распределенном вычислительном окружении программные модули могут быть расположены на носителе локального или удаленного компьютера, включая устройства памяти. Эти локальные и удаленные вычислительные окружения могут полностью находиться в локомотиве или в соседних локомотивах в составе, или не на борту, т.е. в перегонных либо центральных офисах, где используются средства беспроводной связи.Moreover, those skilled in the art should understand that embodiments of the invention may be practiced with other configurations of computing systems, including handheld devices, multiprocessor systems based on microprocessors or programmable consumer electronics, mini computers, mainframes, and etc. Embodiments of the invention may be practiced in distributed computing environments where tasks are performed by remote processing devices that are linked through a communications network. In a distributed computing environment, program modules may be located on the media of a local or remote computer, including memory devices. These local and remote computing environments can be completely in the locomotive or in neighboring locomotives in the train, or not on board, i.e. in distillation or central offices where wireless means are used.
В данном документе используется термин «локомотивный состав». При использовании в данном документе локомотивный состав может быть описан как имеющий один или более размещенных друг за другом локомотивов, сцепленных вместе, чтобы предоставлять возможность движения и/или торможения. Локомотивы сцепляются вместе, при этом нет железнодорожных вагонов между локомотивами. Железнодорожный состав может иметь более одного локомотивного состава в своей структуре. В частности, может быть ведущий локомотивный состав и более одного удаленного локомотивного состава, например, в середине линии вагонов и другой удаленный локомотивный состав в конце железнодорожного состава. Каждый локомотивный состав может иметь первый локомотив и замыкающий локомотив(ы). Кроме того, хотя состав обычно рассматривается как размещенные друг за другом локомотивы, специалистам в данной области техники ясно, что составная группа локомотивов также может быть распознана как состав даже, по меньшей мере, при одном вагоне, разделяющем локомотивы, например, когда состав сконфигурирован для распределенного управления мощностью, при этом команды регулировки дросселя и торможения передаются с ведущего локомотива в удаленные задние части посредством линии радиосвязи или физического кабеля. Поэтому термин «локомотивный состав» не должен считаться ограничивающим фактором при описании нескольких локомотивов в одном железнодорожном составе.The term “locomotive composition” is used herein. As used herein, a locomotive train can be described as having one or more locomotives stacked one after the other, coupled together to allow movement and / or braking. Locomotives are coupled together, with no rail cars between locomotives. A train may have more than one locomotive in its structure. In particular, there may be a leading locomotive train and more than one remote locomotive train, for example, in the middle of the line of wagons and another remote locomotive train at the end of the train. Each locomotive train may have a first locomotive and a trailing locomotive (s). In addition, although the train is usually regarded as locomotives placed one after the other, it will be apparent to those skilled in the art that a train of locomotives can also be recognized as a train even with at least one car sharing the locomotives, for example when the train is configured for distributed power control, while throttle and braking control commands are transmitted from the lead locomotive to the remote rear through a radio link or physical cable. Therefore, the term “locomotive train” should not be considered a limiting factor when describing several locomotives in one train.
Изобретение может быть реализовано множеством способов, в том числе как система (включая систему обработки), способ (включая компьютеризированный способ), устройство, машиночитаемый носитель, компьютерный программный продукт, графический пользовательский интерфейс, включающий в себя веб-портал, или структуру данных, материально размещенную в машиночитаемом запоминающем устройстве. Некоторые варианты осуществления изобретения рассматриваются ниже.The invention can be implemented in many ways, including as a system (including a processing system), a method (including a computerized method), a device, a computer-readable medium, a computer program product, a graphical user interface including a web portal, or data structure hosted in a computer readable storage device. Some embodiments of the invention are discussed below.
На фиг.1 показана блок-схема последовательности этапов варианта осуществления настоящего изобретения. Вводятся команды, конкретные для планирования рейса, либо на борту, либо из удаленного места, такого как диспетчерский центр 10. Входная информация включает в себя, но не только, местоположение железнодорожного состава, описание локомотивного состава (такое, как модели локомотивов), описание тяговой мощности локомотива, эффективность тяговой трансмиссии локомотива, потребление моторного топлива как функция от выходной мощности, характеристики охлаждения, заданный маршрут рейса (фактический уклон и кривизна железнодорожного пути как функция столбов с указанием числа миль либо компонент "фактического уклона", чтобы отражать кривизну, соответствующую стандартной железнодорожной практике), железнодорожный состав, представленный посредством структуры и загрузки вагонов вместе с действующими коэффициентами уклонов, требуемые параметры рейса, в том числе, но не только, время и место начала пути, место окончания, время движения, идентификация экипажа (пользователя и/или машиниста), время смены экипажа и маршрут рейса.1 is a flowchart of an embodiment of the present invention. Teams specific to flight planning are entered, either on board or from a remote location, such as a
Эти данные могут предоставляться в локомотив 42 рядом способов, таких как, но не только, ручной ввод машинистом в локомотиве 42 посредством бортового дисплея, вставка запоминающего устройства, такого как плата жесткого диска и/или USB-диска, содержащего данные, в приемник на борту локомотива, и передача информации посредством беспроводной связи из центрального или перегонного участка 41, такого как устройство передачи путевых сигналов и/или перегонное устройство, в локомотив 42. Характеристики нагрузки на локомотив 42 и железнодорожный состав 31 (к примеру, сопротивление) также могут изменяться в ходе маршрута (к примеру, с высотой над уровнем моря, температурой окружающей среды и состоянием железнодорожных путей и вагонов), и план может обновляться, чтобы отражать эти изменения, как требуется посредством любого из способов, описанных выше, и/или посредством автономного сбора в реальном времени режимов локомотивов/железнодорожного состава. Это включает в себя, например, изменения характеристик локомотива или железнодорожного состава, обнаруженные посредством оборудования мониторинга на борту или не на борту локомотива(ов) 42.This data can be provided to the locomotive 42 in a number of ways, such as, but not limited to, manual input by the driver in the locomotive 42 via the on-board display, insertion of a storage device, such as a hard disk board and / or USB drive containing the data, into the receiver on board locomotive, and transmitting information wirelessly from a central or
Система путевых сигналов определяет допустимую скорость железнодорожного состава. Предусмотрено множество типов систем путевых сигналов и правил управления, связанных с каждым из сигналов. Например, некоторые сигналы имеют один источник света (включено/выключено), некоторые сигналы имеют одну линзу с несколькими цветами, а некоторые сигналы имеют несколько источников света и цветов. Эти сигналы могут указывать на то, что железнодорожный путь свободен, и железнодорожный состав может продолжать движение на максимальной допустимой скорости. Они также могут указывать, что требуется снижение скорости или остановка. Снижение скорости может потребоваться быть выполненным немедленно или в определенном месте (к примеру, перед следующим сигналом или переездом).The track signal system determines the permissible speed of the train. There are many types of track signal systems and control rules associated with each of the signals. For example, some signals have one light source (on / off), some signals have one lens with several colors, and some signals have several light sources and colors. These signals may indicate that the railway is free and that the train can continue to travel at maximum permissible speed. They may also indicate that a speed reduction or stop is required. A speed reduction may be required to be performed immediately or at a specific location (for example, before the next signal or move).
Состояние сигнала сообщается в железнодорожный состав и/или машинисту посредством различных средств. Некоторые системы имеют схемы на железнодорожном пути и индуктивные воспринимающие катушки на локомотивах. Другие системы имеют системы беспроводной связи. Системы сигналов также могут требовать, чтобы машинист визуально определял сигнал и предпринимал соответствующие действия.The signal status is reported to the train and / or to the driver by various means. Some systems have circuits on the railway track and inductive pickup coils on locomotives. Other systems have wireless communication systems. Signal systems may also require the driver to visually identify the signal and take appropriate action.
Система передачи сигналов может взаимодействовать с бортовой системой сигналов и регулировать скорость локомотива согласно входным данным и соответствующим правилам управления. Для систем сигналов, которые требуют того, чтобы машинист визуально определял состояние сигналов, экран машиниста предоставляет соответствующие варианты сигналов, чтобы машинист вводил на основе местоположения железнодорожного состава. Тип системы сигналов и правил управления, в качестве функции от местоположения, может быть сохранен в бортовой базе 63 данных.The signal transmission system can interact with the on-board signal system and adjust the speed of the locomotive according to the input data and the corresponding control rules. For signal systems that require the driver to visually determine the state of the signals, the driver screen provides appropriate signal options for the driver to input based on the location of the train. The type of signal system and control rules, as a function of location, can be stored in the on-
На основе данных спецификаций, вводимых в вариант осуществления настоящего изобретения, вычисляют оптимальный план рейса, который минимизирует расход топлива и/или производимые выбросы, в соответствии с ограничениями предела скорости вдоль маршрута и требуемым временем начала и окончания, чтобы сформировать профиль 12 рейса. Профиль содержит параметры оптимальной скорости и мощности (положения контроллера управления), которым следует железнодорожный состав, выражаемые как функция от расстояния и/или времени с начала рейса, рабочие пределы железнодорожного состава, в том числе, но не только, настройки максимальной мощности, задаваемой положением контроллера, и торможения, пределы скорости как функция от местоположения и ожидаемого потребляемого топлива и произведенных выбросов. В варианте осуществления значение установки положения контроллера управления выбирается так, чтобы получать решения об изменении управления дросселем примерно каждые 10-30 секунд. Специалисты в данной области техники должны признавать, что решения об изменении управления дросселем могут приниматься с более короткими или длинными продолжительностями, если требуется, и/или желательно следовать оптимальному профилю скорости. В более широком смысле специалистам в данной области техники должно быть очевидно, что профили предоставляют настройки мощности железнодорожного состава на уровне железнодорожного состава, на уровне локомотивного состава и/или на уровне отдельного железнодорожного состава. Мощность включает в себя мощность торможения, мощность приведения в движение и мощность пневматического тормоза. В другом предпочтительном варианте вместо оперирования традиционными дискретными установками мощности, задаваемой положением регулятора, вариант осуществления настоящего изобретения допускает выбор непрерывной установки мощности, задаваемой как оптимальная для выбираемого профиля. Таким образом, если оптимальный профиль задает, например, установку положения контроллера управления в 6, 8 вместо функционирования при положении контроллера управления в 7, локомотив 42 может функционировать при 6, 8. Предоставление таких промежуточных установок мощности позволяет обеспечивать дополнительные преимущества по эффективности, как описано ниже.Based on these specifications introduced in an embodiment of the present invention, an optimal flight plan is calculated that minimizes fuel consumption and / or emissions in accordance with the speed limit along the route and the required start and end times to form a
Процедура, используемая для вычисления оптимального профиля, может включать в себя любое число способов вычисления последовательности мощности, которая приводит железнодорожный состав 31, чтобы минимизировать топливо и/или выбросы с учетом ограничений по функционированию локомотива и расписанию, как указано ниже. В некоторых случаях требуемый оптимальный профиль может быть достаточно близко к ранее определенному профилю, вследствие похожести конфигурации железнодорожного состава, маршрута и окружающих условий. В этих случаях может быть полезным провести поиск траектории управления в базе 63 данных и попытаться проследовать ей. Когда ни один ранее вычисленный план не подходит для использования, способы вычисления нового плана включают в себя, но не только, непосредственное вычисление оптимального профиля с помощью моделей дифференциальных уравнений, которые аппроксимируют физику движения железнодорожного состава. Настройка затрагивает выбор количественной целевой функции, обычно взвешенной суммы (интеграла) переменных модели, которые соответствуют скорости потребления топлива и формирования выбросов плюс показатель пенализации за чрезмерное изменение положения дросселя.The procedure used to calculate the optimal profile may include any number of methods for calculating the power sequence that leads the
Формулировка оптимального управления задана так, чтобы минимизировать количественную целевую функцию с учетом ограничений, включающих в себя, но не ограниченных этим, ограничения скорости и минимальные и максимальные установки мощности (дросселя). В зависимости от целей планирования в любое время проблема может быть гибко установлена так, чтобы минимизировать потребление топлива с учетом ограничений на выбросы и пределов скорости либо минимизировать выбросы с учетом ограничений на потребление топлива и время прибытия. Также можно установить цель, чтобы, например, минимизировать общее время движения без ограничений на общие выбросы или потреблением топлива, при этом такое ослабление ограничений разрешено или требуется для задачи.The formulation of the optimal control is set so as to minimize the quantitative objective function, taking into account restrictions that include, but are not limited to, speed limits and the minimum and maximum power settings (throttle). Depending on the planning goals, the problem can be flexibly set at any time so as to minimize fuel consumption taking into account emission limits and speed limits, or to minimize emissions taking into account restrictions on fuel consumption and arrival time. You can also set a goal, for example, to minimize the total travel time without restrictions on total emissions or fuel consumption, while such a relaxation of restrictions is allowed or required for the task.
В документе предоставлены уравнения и целевые функции для минимизации потребления топлива локомотива. Эти уравнения и функции служат только для иллюстрации, поскольку для того чтобы оптимизировать потребление топлива или оптимизировать другие рабочие параметры локомотива/железнодорожного состава, могут быть использованы другие уравнения и целевые функции.The document provides equations and objective functions to minimize locomotive fuel consumption. These equations and functions are for illustration only, because in order to optimize fuel consumption or optimize other operating parameters of a locomotive / train, other equations and objective functions can be used.
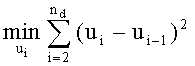
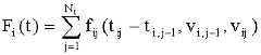
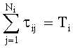
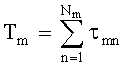
Математически проблема, которая должна быть разрешена, может быть сформулирована более точно. Физические основы выражаются посредством уравнений:Mathematically, the problem that must be solved can be formulated more precisely. Physical fundamentals are expressed through equations:
где: x - местоположение железнодорожного состава, v - его скорость, t - время (в милях, милях в часах и минутах или в часах, как требуется), u - входная команда положения контроллера (управления дросселем). Дополнительно, D обозначает расстояние, которое должно быть пройдено, Tf - требуемое время прибытия на расстояние D по железнодорожному пути, Te - тяговое усилие, формируемое для локомотивного состава, Ga - гравитационное сопротивление, которое зависит от длины железнодорожного состава, структуры железнодорожного состава и территории, на которой находится железнодорожный состав, и R - зависимое от чистой скорости сопротивление комбинации локомотивного состава и железнодорожного состава. Начальная и конечная скорость также может быть указана, но без потери общности принимается в данном случае равной нулю (железнодорожный состав остановлен в начале и конце рейса). Модель легко модифицируется так, чтобы включать в себя другие важные факторы динамики, такие как запаздывание между изменением управления дросселя u и результирующим тяговым или тормозным усилием. Используя эту модель, формулировка оптимального управления задана так, чтобы минимизировать количественную целевую функцию с учетом ограничений, включающих в себя, но не ограниченных этим, ограничения скорости и минимальные и максимальные установки мощности (дросселя). В зависимости от целей планирования в любое время проблема может быть установлена так, чтобы минимизировать потребление топлива с учетом ограничений на выбросы и пределов скорости либо минимизировать выбросы с учетом ограничений на потребление топлива и время прибытия.where: x is the location of the train, v is its speed, t is time (in miles, miles in hours and minutes or hours, as required), u is the input command for the position of the controller (throttle control). Additionally, D denotes the distance that must be covered, Tf - the required arrival time to the distance D along the railway track, Te - the traction force generated for the locomotive, Ga - gravitational resistance, which depends on the length of the train, the structure of the railway the composition and territory on which the train is located, and R is the resistance of the combination of locomotive and train, dependent on net speed. The initial and final speed can also be indicated, but without loss of generality in this case it is taken equal to zero (the train stopped at the beginning and end of the voyage). The model is easily modified to include other important dynamics factors, such as the delay between the change in throttle control u and the resulting traction or braking force. Using this model, the formulation of the optimal control is set in such a way as to minimize the quantitative objective function, taking into account restrictions that include, but are not limited to, speed limits and the minimum and maximum power settings (throttle). Depending on the planning goals, at any time, the problem can be fixed in such a way as to minimize fuel consumption, taking into account emission limits and speed limits, or to minimize emissions, taking into account restrictions on fuel consumption and arrival time.
Также можно установить цель, чтобы, например, минимизировать общее время движения без ограничений на общие выбросы или потребление топлива, при этом такое ослабление ограничений разрешено или требуется для задачи. Все эти показатели могут быть выражены как линейная комбинация любого из следующего:You can also set a goal, for example, to minimize the total driving time without limiting the total emissions or fuel consumption, while such a relaxation of restrictions is allowed or required for the task. All of these indicators can be expressed as a linear combination of any of the following:
1. - минимизация общего расхода топливаone. - minimization of total fuel consumption
2. - минимизация времени движения2. - minimization of travel time
3. - минимизация переходов из одного положения контроллера управления в другое (кусочно-линейные постоянные входные данные)3. - minimization of transitions from one position of the control controller to another (piecewise linear constant input data)
- минимизация переходов из одного положения контроллера управления в другое (постоянные входные данные) - minimization of transitions from one position of the control controller to another (constant input data)
Заменим член топлива F в (1) на член, соответствующий формированию выбросов. Например, для выбросов - минимизация общего потребления выбросов. В этом уравнении E - это количество выбросов в граммах на лошадиную силу-час (гр/л.с./час) для каждого из положений контроллера управления (или установок мощности). Помимо этого, минимизация может быть выполнена на основе взвешенной суммы топлива и выбросов.Replace the fuel term F in (1) with the term corresponding to the formation of emissions. For example, for emissions - minimization of total emissions. In this equation, E is the number of emissions in grams per horsepower-hour (g / hp / hour) for each of the positions of the control controller (or power settings). In addition, minimization can be done based on a weighted sum of fuel and emissions.
Общераспространенная и репрезентативная целевая функция, таким образом, следующая:A common and representative objective function is thus as follows:
(OP) (OP)
Коэффициенты линейной комбинации будут зависеть от важности (весового коэффициента), присвоенной каждому из членов. Когда транспортное средство работает в режиме с несколькими видами топлива, член F топлива является линейной суммарной комбинацией эффективностей топлива каждого вида, используемого транспортным средством, как описано более детально ниже. Отметим, что в уравнении (OP) u(t) - это переменная оптимизации, которая является постоянной позицией положения контроллера управления. Если требуется дискретное положение контроллера управления, к примеру, для старых локомотивов, решение уравнения (OP) дискретизируется, что может приводить к меньшей экономии топлива. Нахождение решения с минимальным временем (α1 и α2 приравниваются нулю) используется для того, чтобы найти нижние границы, предпочтительный вариант осуществления служит для решения уравнения (OP) для различных значений Tf с α3, приравненным нулю. Для тех, кто знаком с решениями проблем оптимизации, могут быть необходимы ограничения присоединения, к примеру пределы скорости в пути:The coefficients of the linear combination will depend on the importance (weight coefficient) assigned to each of the members. When the vehicle is operating in a multi-fuel mode, the fuel term F is a linear total combination of the fuel efficiencies of each type used by the vehicle, as described in more detail below. Note that in equation (OP), u (t) is an optimization variable that is a constant position of the position of the control controller. If a discrete position of the control controller is required, for example, for old locomotives, the solution of the equation (OP) is discretized, which can lead to lower fuel economy. Finding a solution with minimal time (α1 and α2 are equal to zero) is used to find the lower bounds, the preferred embodiment is to solve the equation (OP) for various values of Tf with α3 equal to zero. For those who are familiar with solutions to optimization problems, connection restrictions may be necessary, for example, speed limits along the way:
0≤v≤SL(x)0≤v≤SL (x)
Либо при использовании минимального времени в качестве цели должно содержаться ограничение конечной точки, например общее потребленное топливо должно быть меньше того, что находится в баке, к примеру, посредством уравнения:Or, when using the minimum time, the goal should contain a limit on the end point, for example, the total fuel consumed should be less than what is in the tank, for example, by means of the equation:
где: WF - топливо, оставшееся в баке в момент Tf. Специалистам в данной области техники ясно, что уравнение (OP) также может быть представлено в других формах и что вышеуказанная форма является уравнением для использования в примере настоящего изобретения.where: WF is the fuel remaining in the tank at time Tf . Those skilled in the art will appreciate that the equation (OP) can also be represented in other forms and that the above form is an equation for use in an example of the present invention.
Ссылка на эмиссию (выбросы) в контексте варианта осуществления настоящего изобретения фактически относится к накопленным выбросам, формируемым в форме оксидов азота (NOx), оксидов углерода (COx), несгоревших углеводородов (HC) и твердых частиц (PM) и т.д. Тем не менее, другие выбросы могут включать в себя, но не только, максимальное значение электромагнитных излучений, например предел радиочастотной (RF) выходной мощности, измеренной в ваттах, для соответствующих частот, излучаемых локомотивом. Еще одна форма эмиссии - это шум, создаваемый посредством локомотива, типично измеряемый в децибелах (дБ). Требование к выбросам может варьироваться в течение времени дня, времени года и/или атмосферных условий, таких как погода либо уровень загрязнения атмосферы. Нормы выбросов могут варьироваться географически в железнодорожной системе. Например, рабочая зона, такая как город или государство, может иметь заданные целевые показатели выбросов, а соседняя зона может иметь другие целевые показатели выбросов, например меньший объем допустимых выбросов или меньшая плата за данный уровень выбросов.The reference to emissions (emissions) in the context of an embodiment of the present invention actually refers to accumulated emissions generated in the form of nitrogen oxides (NOx), carbon oxides (COx), unburned hydrocarbons (HC) and particulate matter (PM), etc. However, other emissions may include, but not limited to, the maximum value of electromagnetic radiation, such as the limit of radio frequency (RF) output power, measured in watts, for the corresponding frequencies emitted by the locomotive. Another form of emission is noise generated by a locomotive, typically measured in decibels (dB). Emission requirements may vary during the time of day, time of year and / or atmospheric conditions, such as weather or atmospheric pollution. Emission rates can vary geographically in the railway system. For example, a work area, such as a city or state, may have specified emission targets, and a neighboring area may have other emission targets, such as lower emission limits or lower charges for a given emission level.
Соответственно, профиль выбросов для данной географической зоны может быть скорректирован так, чтобы включать в себя значения максимальной эмиссии (выбросов) для каждого из регулируемых значений, включенных в профиль, чтобы удовлетворять предварительно определенным целевым показателям, требуемым для этого региона. Типично для локомотива эти параметры определяются посредством, но не только, настройки мощности (положения контроллера управления), условий окружающей среды, способа регулирования двигателя и т.д. По конструкции каждый локомотив должен соответствовать стандартам по выбросам EPA, и, таким образом, в варианте осуществления настоящего изобретения, который оптимизирует выбросы, это может относиться к общим для задачи выбросам, для которых нет текущих технических требований EPA. Работа локомотива согласно оптимизированному плану рейса всегда совместима со стандартами выбросов EPA. Специалистам в данной области техники ясно, что поскольку дизельные двигатели используются в других применениях, то также возможны другие нормы. Например, выбросы CO2 упоминаются в международных соглашениях.Accordingly, the emission profile for a given geographic area can be adjusted to include the maximum emission (emissions) values for each of the controlled values included in the profile to satisfy the predefined targets required for that region. Typically for a locomotive, these parameters are determined by, but not limited to, power settings (position of the control controller), environmental conditions, method of controlling the engine, etc. By design, each locomotive must comply with EPA emission standards, and thus, in an embodiment of the present invention that optimizes emissions, this may refer to task-specific emissions for which there are no current EPA specifications. Locomotive performance according to an optimized flight plan is always compatible with EPA emission standards. It will be apparent to those skilled in the art that since diesel engines are used in other applications, other regulations are also possible. For example, CO2 emissions are mentioned in international agreements.
Если ключевая цель заключается в том, чтобы снизить выбросы, оптимальная формула управления, уравнение (OP), корректируется, чтобы учитывать эту цель. Ключевая гибкость при оптимизации заключается в том, что любые или все цели рейса могут варьироваться по географическому региону или задаче. Например, для высокоприоритетного железнодорожного состава минимальное время может быть единственной целью на маршруте вследствие приоритета железнодорожного состава. В другом примере выходные выбросы могут варьироваться от режима к режиму в запланированном маршруте железнодорожного состава.If the key goal is to reduce emissions, the optimal control formula, equation (OP), is adjusted to account for this goal. Key optimization flexibility is that any or all of the flight’s goals can vary by geographic region or task. For example, for a high-priority train, the minimum time may be the only goal on the route due to the priority of the train. In another example, output emissions may vary from mode to mode in the planned train route.
Чтобы разрешить результирующую проблему оптимизации в варианте осуществления настоящее изобретение преобразует проблему динамического оптимального управления во временной области в эквивалентную проблему статического математического программирования с N переменными решения, где число N зависит от частоты, с которой выполняются корректировки управления дросселем и торможения, и продолжительности рейса. Для типичных случаев N может измеряться в тысячах. Например, железнодорожный состав движется по железнодорожному пути протяженностью 172 мили на юго-востоке США. Используя настоящее изобретение, потребление топлива может быть снижено на 7,6% при сравнении рейса, заданного оператором, и реального рейса с реальными историческими данными управления дросселем/скоростью, когда движение в рейсе определялось машинистом. Повышенная экономия реализуется, поскольку оптимизация, предоставляемая посредством использования одного варианта осуществления настоящего изобретения, формирует стратегию движения с меньшей потерей на сопротивление движению и с небольшой или без потери торможения в сравнении с планом рейса, заданным машинистом.In order to solve the resulting optimization problem in an embodiment, the present invention converts the problem of dynamic optimal control in the time domain into the equivalent problem of static mathematical programming with N decision variables, where the number N depends on the frequency with which adjustments to throttle control and braking are performed, and the duration of the flight. For typical cases, N can be measured in thousands. For example, a train travels 172 miles in a southeastern United States. Using the present invention, fuel consumption can be reduced by 7.6% when comparing the flight specified by the operator and the real flight with real historical throttle / speed control data when the movement in the flight was determined by the driver. Increased savings are realized because the optimization provided by using one embodiment of the present invention forms a driving strategy with less loss of resistance to movement and with little or no loss of braking in comparison with the flight plan specified by the driver.
Чтобы сделать оптимизацию вычислительно легко обрабатываемой, может быть использована упрощенная модель железнодорожного состава, например, проиллюстрированная на фиг.2 и описываемая уравнениями, описанными выше. Ключевое усовершенствование в оптимальном профиле создается посредством извлечения более подробной модели со сформированной оптимальной последовательностью мощности, чтобы проверить, нарушаются ли какие-либо тепловые, электрические и механические ограничения, приводя к модифицированному профилю со скоростью по сравнению с расстоянием, который наиболее близок к ходу, который может быть достигнут без повреждения оборудования локомотива или железнодорожного состава, т.е. с удовлетворением дополнительных наложенных ограничений, таких как тепловые и электрические пределы, на усилия в локомотиве и между вагонами в железнодорожном составе.In order to make the optimization computationally easy to process, a simplified train model can be used, for example, illustrated in FIG. 2 and described by the equations described above. A key improvement in the optimal profile is created by extracting a more detailed model with the generated optimal power sequence to check if any thermal, electrical and mechanical constraints are violated, leading to a modified profile at a speed compared to the distance that is closest to the travel that can be achieved without damaging the equipment of the locomotive or train, i.e. with the satisfaction of additional restrictions imposed, such as thermal and electrical limits, on efforts in a locomotive and between cars in a train.
После того как рейс начат 12 (фиг.1), формируются команды мощности 14, чтобы задать план движения. В зависимости от операционной настройки одна команда инструктирует локомотив следовать команде оптимизированной мощности 16, чтобы достичь оптимальной скорости. Получают информацию фактической скорости и мощности от локомотивного состава железнодорожного состава 18. Вследствие неизбежных приближений в моделях, используемых для оптимизации, вычисление с замкнутым контуром корректировок в оптимизированную мощность получают так, чтобы отслеживать требуемую оптимальную скорость. Эти корректировки рабочих пределов железнодорожного состава могут выполняться автоматически или машинистом, который всегда осуществляет окончательное управление железнодорожным составом.After the flight is started 12 (Fig. 1), teams of
В некоторых случаях модель, используемая в оптимизации, может значительно отличаться от фактического железнодорожного состава. Это может происходить по множеству причин, в том числе, но не только, вследствие дополнительных захватов грузов или отцепок, локомотивов, которые ломаются в пути, ошибок в исходной базе 63 данных и ошибок ввода данных машинистом. По этим причинам система мониторинга размещена так, чтобы использовать данные железнодорожного состава реального времени, чтобы оценивать параметры локомотива и/или железнодорожного состава в реальном времени 20. Оцененные параметры затем сравниваются с предполагаемыми параметрами, когда рейс первоначально создавался 22. На основе каких-либо различий в предполагаемых и оцененных значениях рейс может быть перепланирован 24, если при новом плане может быть реализована значительная экономия.In some cases, the model used in optimization may differ significantly from the actual train. This can happen for a variety of reasons, including, but not limited to, additional captures of cargo or couplings, locomotives that break down along the way, errors in the
Другие причины, по которым рейс может быть перепланирован, включают в себя директивы из удаленного участка, например из диспетчерской, и/или запрос машиниста на изменения целевых показателей, так чтобы согласовать их с глобальными целевыми показателями планирования движения. Эти глобальные целевые показатели планирования движения могут включать в себя, но не только, расписания других железнодорожных составов, разрешенный выхлоп, который выветрится из туннеля, техническое обслуживание и т.д. Другая причина может быть обусловлена неисправностью элементов на борту. Стратегии перепланирования могут быть сгруппированы на пошаговые и крупные корректировки в зависимости от серьезности повреждения, как подробнее описано ниже. В общем новый план может быть получен из решения уравнения проблемы оптимизации, описанного выше, но могут быть найдены более быстрые приблизительные решения, как описано в данном документе.Other reasons why a flight may be rescheduled include directives from a remote location, such as a control room, and / or a request for a driver to change targets so as to align them with global traffic planning targets. These global traffic planning targets may include, but are not limited to, schedules of other trains, permitted exhaust that will erode from the tunnel, maintenance, etc. Another reason may be due to malfunction of the components on board. Rescheduling strategies can be grouped into incremental and major adjustments depending on the severity of the damage, as described in more detail below. In general, a new plan can be obtained from the solution of the optimization problem equation described above, but faster approximate solutions can be found, as described in this document.
При работе локомотив 42 постоянно отслеживает эффективность работы системы и постоянно обновляет план рейса на основе фактической измеренной эффективности каждый раз, когда это обновление может улучшить эффективность рейса. Вычисления перепланирования могут выполняться полностью в локомотиве(ах) или полностью либо частично выполняться в удаленном местоположении, таком как диспетчерская, либо перегонные технологические здания, в которых беспроводная технология используется для того, чтобы передавать план в локомотив 42. Настоящее изобретение также позволяет формировать тенденции эффективности для разработки данных для парка локомотивов относительно передаточных функций эффективности. Данные парка могут быть использованы при определении начального плана рейса и могут быть использованы для компромисса по сетевой оптимизации при рассмотрении местоположений множества железнодорожных составов. Например, кривая компромисса времени движения и потребления топлива (фиг.4) отражает характеристики железнодорожного состава на конкретном маршруте в конкретное время, обновляясь от множественных средних, собираемых от многих аналогичных железнодорожных составов на том же маршруте. Таким образом, центральная диспетчерская, собирающая кривые, аналогичные фиг.4, от множества локомотивов, может использовать эту информации, чтобы лучше координировать общее перемещение железнодорожного состава, чтобы добиться преимущества на уровне системы в потреблении топлива или пропускной способности.During operation, the locomotive 42 constantly monitors the performance of the system and constantly updates the flight plan based on the actual measured efficiency each time this update can improve the flight’s efficiency. Rescheduling calculations can be performed entirely in the locomotive (s) or completely or partially performed in a remote location, such as a control room, or distillation technology buildings in which wireless technology is used to transfer the plan to the locomotive 42. The present invention also allows for the formation of efficiency trends to develop data for a fleet of locomotives regarding the transfer functions of efficiency. The fleet data can be used to determine the initial flight plan and can be used to compromise on network optimization when considering the locations of many trains. For example, the compromise curve of travel time and fuel consumption (FIG. 4) reflects the characteristics of the train on a particular route at a specific time, updating from multiple averages collected from many similar trains on the same route. Thus, a central control room collecting curves similar to FIG. 4 from a plurality of locomotives can use this information to better coordinate the overall movement of the train, in order to achieve a system-level advantage in fuel consumption or throughput.
Большинство событий в ежедневной работе могут привести к необходимости формировать или модифицировать выполняемый в текущий момент времени план, при этом желательно поддерживать те же цели рейса, например, когда железнодорожный состав следует не по расписанию для запланированной встречи или прохода с другим железнодорожным составом и ему необходимо наверстать время. Используя фактическую скорость, мощность и местоположение железнодорожного состава, делается сравнение между запланированным временем прибытия и текущим оцененным (спрогнозированным) временем прибытия 25. На основе разности времени, а также разности параметров (обнаруженных или измененных диспетчерской или машинистом) корректируется 26 план. Эта корректировка может выполняться автоматически в ответ на политику железнодорожной компании по тому, как такие отклонения от плана должны быть обработаны, либо вручную предложены альтернативы для машиниста на борту и диспетчера совместно определить оптимальный подход возвращения к плану. Каждый раз, когда план обновлен, но исходные цели, такие как, но не только, время прибытия, остаются неизмененными, дополнительные изменения могут быть факторизованы параллельно, к примеру новые будущие изменения пределов скорости, что может повлиять на осуществимость восстановления исходного плана. В этих случаях, если план рейса не может быть поддержан, или, другими словами, железнодорожный состав не может удовлетворить исходные цели плана рейса, как описано в данном документе, машинисту, удаленному участку или диспетчерской может быть представлен другой план(ы) рейса.Most of the events in daily work can lead to the need to formulate or modify a plan that is currently being executed, while maintaining the same flight goals, for example, when the train is not scheduled for a scheduled meeting or passage with another train and needs to catch up time. Using the actual speed, capacity and location of the train, a comparison is made between the planned arrival time and the current estimated (predicted)
Перепланирование также может быть выполнено тогда, когда требуется изменить исходные цели. Это перепланирование может быть выполнено в фиксированное заранее запланированное время, вручную на усмотрение машиниста или диспетчера либо автономно, когда заранее заданные пределы, такие как рабочие пределы железнодорожного состава, превышены. Например, если выполнение текущего плана запущено позднее более чем на указанное пороговое значение, такое как тридцать минут, согласно одному варианту осуществления настоящего изобретения можно перепланировать рейс так, чтобы вместить задержку, за счет повышенного потребления топлива, как описано выше, или оповестить машиниста либо диспетчера о степени, в которой потерянное время может быть восстановлено, если это возможно (т.е. какое минимальное оставшееся время в пути или максимальное топливо, которое может быть сэкономлено в рамках ограничения по времени). Другие триггеры перепланирования также могут быть рассмотрены на основе потребленного топлива или режима тягового состава, в том числе, но не только, время прибытия, потеря лошадиных сил вследствие неполадок оборудования и/или временной неработоспособности оборудования (например, работа при слишком высокой или слишком низкой температуре) и/или обнаружение грубых ошибок установки, например, при предполагаемой нагрузке железнодорожного состава. Т.е. если изменение отражает ухудшение рабочих характеристик локомотива для текущего рейса, оно может факторизовано на модели и/или уравнения, используемые в оптимизации.Rescheduling can also be done when you need to change your original goals. This rescheduling can be done at a fixed, pre-scheduled time, manually at the discretion of the driver or dispatcher, or autonomously when predetermined limits, such as operating limits of the train, are exceeded. For example, if the execution of the current plan is started later than the specified threshold value, such as thirty minutes, according to one embodiment of the present invention, it is possible to reschedule the flight to accommodate the delay due to increased fuel consumption, as described above, or to notify the driver or dispatcher the extent to which lost time can be recovered, if possible (i.e. what is the minimum remaining travel time or the maximum fuel that can be saved as part of time limits). Other rescheduling triggers can also be considered based on fuel consumption or traction mode, including but not limited to arrival time, loss of horsepower due to equipment malfunctions and / or temporary equipment outages (for example, operating at too high or too low a temperature ) and / or the detection of gross installation errors, for example, with the estimated load of the train. Those. if the change reflects a deterioration in the performance of the locomotive for the current flight, it may be factorized into the models and / or equations used in the optimization.
Изменение целевых показателей плана также может вытекать из необходимости координировать события, когда план для одного железнодорожного состава нарушает способность другого железнодорожного состава удовлетворить целевые показатели, и требуется разрешение конфликта на другом уровне, к примеру в офисе диспетчерской. Например, координация встреч и прохождений может быть дополнительно оптимизирована посредством связи между железнодорожными составами. Таким образом, в качестве примера, если машинист знает то, что он отстает от расписания прибытия к месту встречи и/или прохода, связь от другого железнодорожного состава может известить машиниста опаздывающего железнодорожного состава (и/или диспетчерскую). Машинист может затем ввести информацию, относящуюся к задержке в один вариант осуществления настоящего изобретения, который повторно вычислит план рейса железнодорожного состава. Вариант осуществления настоящего изобретения также может быть использован на высоком уровне или сетевом уровне для того, чтобы предоставить диспетчеризацию, чтобы определить то, какой железнодорожный состав должен замедлить или увеличить скорость, если очевидно, что назначенное ограничение по времени встречи и/или прохода не может быть удовлетворено. Как поясняется в данном документе, это может быть осуществлено посредством передачи данных железнодорожными составами, чтобы диспетчеризовать, чтобы расставить приоритеты относительно того, как каждый железнодорожный состав должен изменить свои целевые показатели планирования. Выбор может зависеть либо от предпочтений по расписанию, либо от предпочтений по экономии топлива, в зависимости от ситуации.Changing the targets of the plan can also result from the need to coordinate events when the plan for one train violates the ability of another train to meet the targets, and conflict resolution at a different level is required, for example, in the control room. For example, the coordination of meetings and walkways can be further optimized through communication between trains. Thus, as an example, if the driver knows that he is behind the arrival schedule to the meeting point and / or passage, communication from another train may notify the late train operator (and / or control room). The driver can then enter information related to the delay in one embodiment of the present invention, which will recalculate the train plan of the train. An embodiment of the present invention can also be used at a high level or network level in order to provide scheduling, to determine which train should slow down or increase speed, if it is obvious that the assigned time limit for meeting and / or passage cannot be satisfied. As explained in this document, this can be accomplished by transmitting data by trains to dispatch, to prioritize how each train should change its planning targets. The choice may depend either on preferences on a schedule or on preferences for fuel economy, depending on the situation.
Для любой из вручную или автоматически инициированных перепланировок вариант осуществления настоящего изобретения может предоставлять несколько планов рейса машинисту. В варианте осуществления настоящее изобретение предоставляет различные профили машинисту, позволяя машинисту выбирать время прибытия, а также понимать соответствующее воздействие топлива и/или выбросов. Эта информация также может быть предоставлена в диспетчерскую по аналогичным соображениям либо в качестве простого списка альтернатив, либо как множество кривых компромиссов, например, как проиллюстрировано на фиг.4.For any of the manually or automatically triggered redevelopments, an embodiment of the present invention may provide several flight plans to the driver. In an embodiment, the present invention provides various profiles to the driver, allowing the driver to select the arrival time and also to understand the corresponding effects of fuel and / or emissions. This information can also be provided to the control room for similar reasons, either as a simple list of alternatives, or as a set of compromise curves, for example, as illustrated in FIG.
В одном варианте осуществления настоящее изобретение включает в себя возможность изучения и приспосабливания к ключевым изменениям в железнодорожном составе и локомотивном составе, которые могут содержаться в текущем плане и/или в будущих планах. Например, один из триггеров, описанных выше, это потеря лошадиных сил. При наращивании лошадиных сил во времени либо после потери лошадиных сил, либо в начале рейса переходная логика используется для того, чтобы определить, когда требуемые лошадиные силы достигнуты. Эта информация может быть сохранена в базе данных локомотивов 61 для использования в оптимизации либо будущих рейсов, либо текущего рейса, если потеря лошадиных сил происходит снова.In one embodiment, the present invention includes the ability to study and adapt to key changes in the train and locomotive composition that may be contained in the current plan and / or future plans. For example, one of the triggers described above is the loss of horsepower. When building horsepower over time, either after losing horsepower or at the beginning of a voyage, transitional logic is used to determine when the required horsepower is reached. This information can be stored in the locomotive database 61 for use in optimizing either future flights or the current flight if horsepower loss occurs again.
На фиг.3 показан вариант осуществления элементов системы оптимизации рейса, которая содержит элемент 30 определения местоположения для определения местоположения железнодорожного состава 31. Элемент 30 определения местоположения содержит GPS-датчик или систему датчиков, которые определяют местоположение железнодорожного состава 31. Примеры этих других систем могут включать в себя, но не только, перегонные устройства, такие как радиочастотные теги автоматической идентификации оборудования (RF AEI), диспетчерскую и/или определение на основе видео. Другая система может использовать тахометр(ы) на борту локомотива и вычисления расстояния от опорной точки. Как описано выше, система 47 беспроводной связи также может быть предусмотрена для того, чтобы обеспечить связь между железнодорожными составами и/или с удаленным участком, таким как диспетчерская. Информация о местах передвижения также может передаваться от других железнодорожных составов.Figure 3 shows an embodiment of elements of a voyage optimization system that includes a
Также имеется элемент 33 характеризации железнодорожного пути, который предоставляет информацию о железнодорожном пути, в частности информацию уклона, подъема и кривизны. Элемент 33 характеризации железнодорожного пути может включать в себя бортовую базу 36 данных связности железнодорожных путей. Датчики 38 измеряют тяговое усилие 40, применяемое локомотивным составом 42, настройку управления дросселем локомотивного состава 42, конфигурационную информацию локомотивного состава 42, скорость локомотивного состава 42, конфигурационную информацию отдельных локомотивов, характеристики отдельных локомотивов и т.д. В варианте осуществления конфигурационная информация локомотивного состава 42 может быть загружена без использования датчика 38, а введена посредством других подходов, как описано выше. Более того, может быть рассмотрено состояние локомотивов в составе также. Например, если один локомотив в составе не может работать выше уровня 5 положения контроллера управления мощностью, эта информация используется при оптимизации плана рейса.There is also an
Информация от элемента определения местоположения также может быть использована для того, чтобы определять соответствующее время прибытия железнодорожного состава 31. Например, если железнодорожный состав 31 перемещается по железнодорожному пути 34 в направлении пункта назначения и нет железнодорожного состава, едущего за ним, и железнодорожный состав не имеет фиксированного крайнего срока прибытия, чтобы удовлетворять ему, элемент определения местоположения, включающий в себя, но не только, радиочастотные теги автоматической идентификации оборудования (RF AEI), диспетчерскую и/или определения на основе видео, может быть использован для того, чтобы измерять точное местоположение железнодорожного состава 31. Более того, входные данные от этих систем передачи сигналов могут быть использованы для того, чтобы регулировать скорость железнодорожного состава. Используя бортовую базу данных железнодорожных путей, описанную ниже, и элемент определения местоположения, такой как GPS, можно регулировать интерфейс машиниста, чтобы отражать состояние системы передачи сигналов в данном местоположении локомотива. В ситуации, когда состояния сигнала указывают ограничительные скорости, планировщик может выбрать замедление железнодорожного состава, чтобы сэкономить потребление топлива.The information from the positioning element can also be used to determine the appropriate arrival time of the
Информация от элемента 30 определения местоположения также может быть использована для того, чтобы изменять целевые показатели планирования как функцию от расстояния до пункта назначения. Например, вследствие неизбежных неопределенностей о перегруженности вдоль маршрута, более быстрые целевые показатели времени на ранней стадии маршрута могут быть использованы в качестве защиты от задержек, которые по статистике возникают позднее. Если в конкретном рейсе эти задержки не возникают, целевые показатели в дальнейшей части передвижения могут быть модифицированы так, чтобы использовать встроенное время простоя, которое накоплено ранее, и тем самым восстанавливать определенную эффективность использования топлива. Аналогичная стратегия может быть активирована в отношении целевых показателей с ограничениями выбросов, к примеру, которые применяются при достижении городской зоны.The information from
В качестве примера стратегии защиты, если рейс запланирован из Нью-Йорка в Чикаго, система может предоставить вариант управлять железнодорожным составом медленнее в начале рейса, в середине рейса или в конце рейса. Вариант осуществления настоящего изобретения оптимизирует план рейса, чтобы предоставить возможность более медленной работы в конце рейса, поскольку неизвестные ограничения, такие как, но не только, погодные условия, техническое обслуживание железнодорожного пути и т.д., могут возникать и стать известными по ходу рейса. В качестве еще одного соображения, если традиционно перегруженные зоны известны, план разрабатывается с вариантом повысить гибкость движения в таких перегруженных регионах. Следовательно, вариант осуществления настоящего изобретения также может учитывать взвешивание/штрафование как функцию от времени/расстояния в будущем и/или на основе известного/предыдущего опыта. Специалисты в данной области техники должны легко признавать, что такое планирование и перепланирование для учета погодных условий, состояний железнодорожного пути, других железнодорожных составов на железнодорожном пути и т.д. может быть принято во внимание в любое время в ходе рейса, когда план рейса скорректирован соответствующим образом.As an example of a protection strategy, if a flight is planned from New York to Chicago, the system may provide an option to manage trains more slowly at the start of a journey, in the middle of a journey, or at the end of a journey. An embodiment of the present invention optimizes the flight plan to enable slower operation at the end of the flight, since unknown restrictions, such as, but not limited to, weather conditions, maintenance of the railway, etc., may arise and become known during the flight . As another consideration, if traditionally congested areas are known, a plan is being developed with an option to increase traffic flexibility in such congested regions. Therefore, an embodiment of the present invention may also consider weighting / penalty as a function of future time / distance and / or based on known / previous experience. Specialists in the art should easily recognize what planning and re-planning is to take into account weather conditions, conditions of the railway, other trains on the railway, etc. may be taken into account at any time during the voyage when the voyage plan is adjusted accordingly.
На фиг.3 дополнительно показаны другие элементы, которые могут быть частью варианта осуществления настоящего изобретения. Процессор 44 конфигурирован для принятия информации от элемента 30 определения местоположения, элемента 33 характеризации железнодорожного пути и датчиков 38. Алгоритм 46 работает в рамках процессора 44. Алгоритм 46 используется для вычисления оптимизированного плана рейса на основе параметров, включающих в себя локомотив 42, железнодорожный состав 31, железнодорожный путь 34 и целевые показатели задачи, как описано в данном документе. В варианте осуществления план рейса устанавливается на основе моделей режима работы железнодорожного состава по мере того, как железнодорожный состав 31 перемещается по железнодорожному пути 34, в качестве решения нелинейных уравнений, извлеченных из физики с упрощающими допущениями, которые предусмотрены в алгоритме. Алгоритм 46 имеет доступ к информации от элемента 30 определения местоположения, элемента 33 характеризации железнодорожного пути и/или датчиков 38, чтобы создать план рейса, минимизирующий потребление топлива локомотивного состава 42, минимизирующий выбросы локомотивного состава 42, устанавливающий требуемое время рейса и/или предоставляющий соответствующее время работы экипажа на борту локомотивного состава 42. В варианте осуществления также предусмотрен приводной механизм или элемент 51 контроллера. Элемент 51 контроллера может управлять железнодорожным составом по мере того, как он следует плану рейса. Дополнительно элемент 51 контроллера принимает решения по управлению железнодорожным составом автономно. В другом варианте осуществления машинист может участвовать в направлении железнодорожного состава, чтобы следовать плану рейса.Figure 3 further shows other elements that may be part of an embodiment of the present invention. The
Требованием изобретения является возможность первоначально создать и быстро изменить "на ходу" любой план, который выполняется. Это включает в себя создание первоначального плана, когда предполагается большое расстояние, по причине сложности алгоритма оптимизации плана. Когда общая протяженность профиля рейса превышает данное расстояние, алгоритм 46 может быть использован для того, чтобы сегментировать задачу, причем задача может быть разделена на точки маршрута. Хотя поясняется только один алгоритм 46, специалистам в данной области техники ясно, что несколько алгоритмов может быть использовано, причем эти алгоритмы могут быть связаны между собой. Точка маршрута может включать в себя естественные местоположения, где железнодорожный состав 31 останавливается, такие как, но не только, запасные пути, когда встреча с движущимся навстречу железнодорожным составом или пропуск железнодорожного состава позади текущего железнодорожного состава запланированы так, что они могут произойти на одноколейной железной дороге, либо сортировочные запасные пути или станции, где вагоны должны быть собраны и отправлены в путь, либо участки плановой работы. В этих точках маршрута железнодорожному составу 31 может потребоваться быть в нужном месте в запланированное время и остановиться или перемещаться со скоростью в указанном диапазоне. Продолжительность от прибытия до убытия в точках маршрута называется временем отстоя.A requirement of the invention is the ability to initially create and quickly change “on the go” any plan that is being implemented. This includes creating an initial plan when a long distance is expected, due to the complexity of the plan optimization algorithm. When the total length of the flight profile exceeds a given distance,
В варианте осуществления изобретения можно разбивать более длительный рейс на меньшие сегменты согласно систематическому процессу. Каждый сегмент может быть в некоторой степени произвольным по длине, но типично выбирается в естественном месте, таком как остановка или значительное ограничение скорости, либо в ключевых путевых точках или столбах с указанием числа миль, которые задают пересечения с другими маршрутами. С учетом секции или сегмента, выбранного таким образом, профиль движения создается для каждого сегмента железнодорожного пути как функция от времени движения, взятая как независимая переменная, как показано на фиг.4. Компромиссное отношение потребленное топливо/время движения, связанное с каждым сегментом, может быть вычислено до достижения железнодорожным составом 31 этого сегмента железнодорожного пути. Общий план рейса может быть создан из профилей движения, созданных для каждого сегмента. Распределяется время движения по всем сегментам рейса оптимальным способом так, чтобы удовлетворялось общее требуемое время рейса, и минимизировался общий расход топлива по всем сегментам. Трехсегментный рейс показан на фиг.6 и пояснен ниже. Тем не менее, специалистам в данной области техники ясно, что хотя описываются сегменты, план рейса может содержать один сегмент, представляющий полный рейс.In an embodiment of the invention, a longer flight can be divided into smaller segments according to a systematic process. Each segment may be somewhat arbitrary in length, but is typically selected at a natural location, such as a stop or significant speed limit, or at key waypoints or poles indicating the number of miles that define intersections with other routes. Given the section or segment selected in this way, a traffic profile is created for each segment of the railway track as a function of travel time, taken as an independent variable, as shown in FIG. 4. A trade-off in fuel consumption / travel time associated with each segment can be calculated before the
На фиг.4 показан вариант осуществления кривой "расход топлива/время движения". Как упоминалось выше, эта кривая 50 создается при вычислении оптимального профиля рейса для различного времени движения для каждого сегмента. То есть для данного времени 51 движения потребленное топливо 52 - это результат детального профиля движения, вычисленного так, как описано выше. После того как время движения для каждого сегмента назначено, определяется план мощности/скорости для каждого сегмента из ранее вычисленных решений. Если имеются какие-либо ограничения по скорости в путевых точках между сегментами, такие как, но не только, изменение предела скорости, они согласуются в ходе создания оптимального профиля рейса. Если ограничения скорости изменяются только в рамках одного сегмента, кривая 50 "расход топлива/время движения" должна быть повторно вычислена только для измененного сегмента. Это уменьшает время, требуемое для повторного вычисления дополнительных частей или сегментов рейса. Если локомотивный состав или железнодорожный состав существенно изменяется вдоль маршрута, к примеру, из-за отцепки локомотива или захвата или отцепки вагонов, профили движения для всех последующих сегментов должны быть пересчитаны, создавая новые экземпляры кривой 50. Эти новые кривые 50 затем используются наряду с новыми целевыми показателями расписания, чтобы распланировать оставшийся рейс.Figure 4 shows an embodiment of the curve "fuel consumption / travel time". As mentioned above, this
После того как план рейса создан так, траектория скорости и мощности в сравнении с расстоянием используется для того, чтобы достигать пункта назначения с минимальным расходом топлива и/или выбросами за требуемое время рейса. Предусмотрено несколько способов, которыми следует выполнять план рейса. Как подробнее описано ниже, в одном случае осуществления настоящего изобретения в обучающем режиме информация отображается машинисту, которой машинист должен следовать для того, чтобы достичь требуемой мощности и скорости, как определено согласно оптимальному плану рейса. В этом режиме рабочая информация считается рабочими условиями, которые должен использовать машинист. В другом варианте осуществления ускорение и поддержание постоянной скорости выполняются посредством варианта осуществления настоящего изобретения. Тем не менее, когда железнодорожный состав 31 должен быть замедлен, машинист отвечает за применение тормозной системы 52. В другом варианте осуществления настоящего изобретения осуществляется управление мощностью и торможением, как требуется для того, чтобы следовать желательному пути скорость-расстояние.After the flight plan is created in such a way, the speed and power trajectory in comparison with the distance is used in order to reach the destination with the minimum fuel consumption and / or emissions for the required flight time. There are several ways you should follow your flight plan. As described in more detail below, in one case of the implementation of the present invention in a training mode, information is displayed to the driver, which the driver must follow in order to achieve the required power and speed, as determined according to the optimal flight plan. In this mode, the operating information is considered the operating conditions that the operator should use. In another embodiment, acceleration and maintaining a constant speed are performed by an embodiment of the present invention. However, when the
Стратегии управления с обратной связью используются для того, чтобы предоставлять корректировки в последовательность управления мощностью в профиле, чтобы корректировать такие события, как, но не только, изменения нагрузки железнодорожного состава, вызываемые неустойчивым встречным ветром и/или попутным ветром. Другая такая ошибка может быть вызвана ошибкой в параметрах железнодорожного состава, такой как, но не только, масса и/или сопротивление железнодорожного состава, в сравнении с допущениями в оптимизированном плане рейса. Третий тип ошибки может возникать с информацией, содержащейся в базе 36 данных железнодорожных путей. Другая возможная ошибка может влечь за собой несмоделированные отличия в рабочих характеристиках, обусловленные двигателем локомотива, температурным снижением характеристик тягового электродвигателя и/или другими факторами. Стратегии управления с обратной связью сравнивают фактическую скорость как функцию от местоположения со скоростью в требуемом оптимальном профиле. На основе этой разности в оптимальный профиль мощности добавляется корректировка, чтобы привести фактическую скорость движения в соответствии с оптимальным профилем. Чтобы обеспечить стабильное регулирование, может быть предусмотрен компенсационный алгоритм, который фильтрует скорости обратной связи в корректировки мощности, чтобы обеспечить стабильность рабочих характеристик в замкнутом контуре. Компенсация может включать в себя стандартную динамическую компенсацию, используемую специалистами в области техники системного проектирования, чтобы удовлетворять целевым показателям производительности.Feedback control strategies are used to provide adjustments to the power control sequence in the profile in order to correct events such as, but not limited to, changes in the train load caused by unstable headwind and / or tailwind. Another such error may be caused by an error in the parameters of the train, such as, but not limited to, the mass and / or resistance of the train, in comparison with the assumptions in the optimized flight plan. A third type of error may occur with the information contained in the
Вариант осуществления настоящего изобретения предоставляет наиболее простое, а следовательно, наиболее быстрое средство для того, чтобы приспосабливать изменения в целевых показателях рейса, которые являются правилом, а не исключением в железнодорожных операциях. Для того чтобы определять оптимальный по топливу рейс из точки A в точку B, где имеются остановки по пути, а также для обновления рейса по оставшейся части рейса после того, как рейс начат, для нахождения оптимального профиля рейса может быть использован способ субоптимального разложения. Используя способы моделирования, способ вычисления позволяет находить план рейса с указанным временем движения и начальной и конечной скоростью, так чтобы удовлетворять всем пределам скоростей и ограничениям характеристик локомотива, когда предусмотрены остановки. Хотя нижеследующее описание направлено на оптимизацию потребления топлива, оно также может быть применено для того, чтобы оптимизировать другие факторы, такие как, но не только, выбросы, расписание, удобство экипажа и резкие изменения нагрузки. Способ может быть использован сначала при разработке плана рейса и, более важно, для адаптации к изменениям целевых показателей после инициирования рейса.An embodiment of the present invention provides the simplest, and therefore the fastest, means to accommodate changes in flight targets, which are the rule, and not the exception, in railway operations. In order to determine the fuel-efficient flight from point A to point B, where there are stops along the way, as well as to update the flight for the remainder of the flight after the flight has begun, a suboptimal decomposition method can be used to find the optimal flight profile. Using simulation methods, the calculation method allows you to find a flight plan with a specified travel time and initial and final speed, so as to satisfy all speed limits and the characteristics of the locomotive when stops are provided. Although the following description is aimed at optimizing fuel consumption, it can also be applied in order to optimize other factors, such as, but not limited to, emissions, schedule, crew comfort and sudden changes in load. The method can be used first when developing a flight plan and, more importantly, to adapt to changes in targets after the initiation of a flight.
Как поясняется в данном документе, вариант осуществления настоящего изобретения может использовать настройку, проиллюстрированную в блок-схеме последовательности операций способа (фиг.5), и в качестве типичного трехсегментного примера, подробно показанного на фиг.6. Рейс может быть разбит на два или более сегментов, T1, T2 и T3. Хотя, как описано в данном документе, можно рассматривать рейс как один сегмент. Границы сегмента могут не приводить к сегментам равной длины. Вместо этого сегменты используют естественные или конкретные для задачи границы. Оптимальные планы рейсов заранее вычисляются для каждого сегмента. Если потребление топлива в сравнении со временем движения является целью рейса, которая должна быть удовлетворена, для каждого сегмента формируются кривые топлива относительно времени движения. Кривые могут быть основаны на других факторах, при этом факторы являются целевыми показателями, которые должны быть удовлетворены согласно плану рейса. Когда время рейса является определяемым параметром, время рейса для каждого сегмента вычисляется при удовлетворении общих ограничений по времени движения. На фиг.6 иллюстрируются пределы скорости для трехсегментного 200-мильного рейса 97. Дополнительно проиллюстрированы изменения уклона в ходе 200-мильного рейса 98. Комбинированная схема 99, иллюстрирующая кривые потребляемого топлива для каждого сегмента рейса согласно времени движения, также показана.As explained herein, an embodiment of the present invention may use the setting illustrated in the flowchart of the method (FIG. 5), and as a typical three-segment example, shown in detail in FIG. 6. A flight can be divided into two or more segments, T1, T2 and T3. Although, as described in this document, you can consider the flight as one segment. Segment boundaries may not result in segments of equal length. Instead, segments use natural or task-specific boundaries. Optimum flight plans are pre-calculated for each segment. If fuel consumption in comparison with travel time is the goal of the flight that must be satisfied, fuel curves relative to travel time are generated for each segment. Curves can be based on other factors, while factors are targets that must be met according to the flight plan. When the flight time is a definable parameter, the flight time for each segment is calculated while satisfying the general travel time constraints. 6 illustrates speed limits for a three-segment 200-
Используя оптимальную установку управления, описанную ранее, настоящий способ вычисления позволяет находить план рейса с указанным временем движения и начальной и конечной скоростью, так чтобы удовлетворять всем пределам скоростей и ограничениям характеристик локомотива, когда предусмотрены остановки. Хотя нижеследующее описание направлено на оптимизацию потребления топлива, оно также может быть применено для того, чтобы оптимизировать другие факторы, описанные в данном документе, такие как, но не только, выбросы. Ключевая гибкость в том, чтобы урегулировать требуемое время отстоя на остановках и учитывать ограничения на самое раннее прибытие и убытие в данном месте, что может требоваться, например, при движении с одной колеей, где время для того, чтобы войти или пройти подъездной путь, является критичным.Using the optimal control setting described earlier, this calculation method allows you to find a flight plan with a specified travel time and initial and final speed, so as to satisfy all speed limits and locomotive performance limitations when stops are provided. Although the following description is aimed at optimizing fuel consumption, it can also be applied in order to optimize other factors described in this document, such as, but not limited to, emissions. The key flexibility is to adjust the required stopping time at stops and take into account the restrictions on the earliest arrival and departure at a given location, which may be required, for example, when driving with one track, where the time to enter or pass the access road is critical.
Вариант осуществления настоящего изобретенияAn embodiment of the present invention
Находят оптимальный по топливу рейс с расстояния D0 до DM, пройденный за время T, где M-1 промежуточных остановок в D1,…,DM-1, и при этом время прибытия и убытия на этих остановках ограничено посредством следующего:Find the fuel-optimal flight from a distance D0 to DM , covered in time T, where M-1 is an intermediate stop at D1 , ..., DM-1 , and the arrival and departure times at these stops are limited by the following:
tmin(i)≤tarr(Di)≤tmax(i)-Δti,tmin (i) ≤tarr (Di ) ≤tmax (i) -Δti ,
tarr(Di) + Δti≤tdep(Di)≤tmax(i) i=1,…, M-1tarr (Di ) + Δti ≤tdep (Di ) ≤tmax (i) i = 1, ..., M-1
где tarr(Di), tdep(Di) и Δti - это время прибытия, убытия и минимальной стоянки на i-й остановке, соответственно. При условии, что оптимальность по топливу подразумевает минимизацию времени остановки, имеем tdep (Di)=tarr (Di) + Δti, что исключает второе неравенство выше. Предположим, что для каждого i=1,…, M оптимальный по топливу рейс из Di-1 в Di для времени движения t, Tmin(i)≤t≤Tmax(i), неизвестен. Пусть Fi(t) будет потреблением топлива, соответствующим этому рейсу. Если время движения из Dj-1 в Dj обозначено Tj, то время прибытия в Di задается посредством следующего:where tarr (Di ), tdep (Di ) and Δti are the time of arrival, departure and minimum parking at the i-th stop, respectively. Provided that the fuel optimality implies minimizing the stopping time, we have tdep (Di ) = tarr (Di ) + Δti , which eliminates the second inequality above. Suppose that for each i = 1, ..., M, the fuel-efficient flight from Di-1 to Di for travel time t, Tmin (i) ≤t≤Tmax (i), is unknown. Let Fi (t) be the fuel consumption corresponding to this flight. If the travel time from Dj-1 to Dj is denoted by Tj , then the arrival time at Di is specified by the following:
где Δt0 равно нулю. Оптимальный по топливу рейс из D0 в DM для времени движения T затем получается посредством нахождения Ti, i=1,…, M, что минимизирует:where Δt0 is zero. The fuel-efficient flight from D0 to DM for the travel time T is then obtained by finding Ti , i = 1, ..., M, which minimizes:
при условии:provided:
Когда рейс в процессе прохождения, проблемой является повторное определение оптимального по топливу решения для оставшейся части рейса (первоначально из D0 в DM за время T) по мере того как рейс проходится, но где повреждения препятствуют следованию оптимальному по топливу решению. Пусть текущее расстояние и скорость будут x и v, соответственно, где Di-1<x≤Di.When the flight is in progress, the problem is re-determining the fuel-optimal solution for the remainder of the flight (initially from D0 to DM at time T) as the flight goes through, but where damage prevents the fuel-efficient solution from being followed. Let the current distance and speed be x and v, respectively, where Di-1 <x≤Di .
Кроме того, пусть текущее время с начала рейса будет tact. В таком случае оптимальное по топливу решение для оставшейся части рейса от x до DM, которое сохраняет исходное время прибытия в DM, получается посредством нахождения,, j=i+1,…M, который минимизирует:In addition, let the current time from the start of the flight be tact . In this case, the fuel-optimal solution for the remainder of the flight from x to DM , which preserves the original arrival time in DM , is obtained by finding , , j = i + 1, ... M, which minimizes:
при условии:provided:
Здесь- это потребление топлива в оптимальном рейсе от x до Di, пройденном за время t, при начальной скорости в x, равной v.Here is the fuel consumption in the optimal flight from x to Di , traveled over time t, with the initial speed in x equal to v.
Как описано выше, способ для того, чтобы предоставлять более эффективное перепланирование, составляет оптимальное решение для рейса от остановки до остановки из секционированных сегментов. Для рейса из Di-1 в Di со временем движения Ti выберем набор промежуточных точек Dij, j=1,…,Ni-1. Пусть Di0=Di-1 и. Затем выразим потребление топлива для оптимального рейса из Di-1 в Di как:As described above, a method in order to provide more efficient rescheduling is the optimal solution for a stop-to-stop flight from partitioned segments. For a flight from Di-1 to Di with travel time Ti, we choose a set of intermediate points Dij , j = 1, ..., Ni -1. Let Di0 = Di-1 and . Then we express the fuel consumption for the optimal flight from Di-1 to Di as:
где fij(t, vi,j-1,vij) - это потребление топлива для оптимального рейса из Di,j-1 в Dij, пройденного за время t при начальной и конечной скоростях в vi,j-1 и vij. Более того, tij - это время в оптимальном рейсе, соответствующее расстоянию Dij. По определению, tiNi - ti0 = Ti. Поскольку железнодорожный состав останавливается в Di0 и,0.where fij (t, vi, j-1 , vij ) is the fuel consumption for the optimal flight from Di, j-1 to Dij , covered during time t at the initial and final speeds in vi, j-1 and vij . Moreover, tij is the time in the optimal flight corresponding to the distance Dij . By definition, tiNi - ti0 = Ti . Since the train stops at Di0 and , 0.
Вышеприведенное выражение дает возможность альтернативного определения функции Fi(t) посредством определения сначала функций fij (•), 1≤j≤Ni, затем нахождения τij, 1≤j≤Niи vij, 1≤j<Ni, которые минимизируют:The above expression enables an alternative definition of the function Fi (t) by first determining the functions fij (•), 1≤j≤Ni , then finding τij , 1≤j≤Ni and vij , 1≤j <Ni that minimize:
при условии:provided:
j=1, …, Ni-1 j = 1, ..., Ni -1
Посредством выбора Dij (к примеру, при ограничениях скорости или в точках встречи) vmax(i,j) - vmin (i,j) может быть минимизировано, тем самым минимизируя область, в которой fij() должно быть известно.By choosing Dij (for example, under speed restrictions or at meeting points) vmax (i, j) - vmin (i, j) can be minimized, thereby minimizing the area in which fij () should be known.
На основе вышеуказанного секционирования более простой подход субоптимального перепланирования, чем описанный выше, заключается в том, чтобы ограничить перепланирование временем, когда железнодорожный состав находится в точках расстояния Dij, 1≤i≤M, 1≤j≤Ni. В точке Dij новый оптимальный рейс из Dij в DM может быть определен посредством нахождения τik, j<k≤Ni, vik, j<k<Ni и τmn, i<m≤M, 1≤n≤Nm,vmn, i<m≤ M, 1≤n<Nm, которые минимизируют:Based on the above sectioning, a simpler suboptimal re-planning approach than described above is to limit the re-planning to the time when the train is at the points of distance Dij , 1≤i≤M, 1≤j≤Ni . At the point Dij, a new optimal flight from Dij to DM can be determined by finding τik , j <k≤Ni , vik , j <k <Ni and τmn , i <m≤M, 1≤n ≤Nm , vmn , i <m≤ M, 1≤n <Nm , which minimize:
при условии:provided:
где:Where:
Дополнительное упрощение получается посредством результата повторного вычисления Tm, i<m≤M, до тех пор пока точка расстояния Di не достигнута. Таким образом, в точках Dij между Di-1 и Di вышеуказанная минимизация должна быть выполнена только для τik, j<k≤Ni, vik, j<k<Ni. Ti возрастает так, как требуется для того, чтобы включить любое более длительное время движения из Di-1 в Dij, чем запланировано. Это увеличение затем компенсируется, если возможно, посредством повторного вычисления Tm, i<m≤M, в точке Di расстояния.Further simplification is obtained by the result of the recalculation of Tm , i <m≤M, until the distance point Di is reached. Thus, at the points Dij between Di-1 and Di, the above minimization should be performed only for τik , j <k≤Ni , vik , j <k <Ni . Ti increases as required in order to include any longer travel time from Di-1 to Dij than planned. This increase is then compensated, if possible, by recalculating Tm , i <m≤M, at the distance point Di .
В отношении раскрытой выше конфигурации с замкнутым контуром общая входная энергия, требуемая для того, чтобы переместить железнодорожный состав 31 из точки A в точку B, состоит из суммы из четырех компонентов, в частности разности кинетической энергии между точками A и B; разности потенциальной энергии между точками A и B; потери энергии вследствие трения и других потерь на сопротивление движению; и энергии, рассеиваемой за счет применения тормозов. При условии, что начальная и конечная скорости равны (к примеру, стационарны), первый компонент равен нулю. Кроме того, второй компонент не зависит от стратегии движения. Таким образом, достаточно минимизировать сумму последних двух компонентов.With respect to the closed-loop configuration disclosed above, the total input energy required to move the
Следование профилю постоянной скорости минимизирует потери на сопротивление движению. Следование профилю постоянной скорости также минимизирует общую входную энергию, когда торможение не требуется для того, чтобы поддерживать постоянную скорость. Тем не менее, если торможение требуется для того, чтобы поддерживать постоянную скорость, применение торможения только для того, чтобы поддерживать постоянную скоростью, с большой вероятностью увеличит общую требуемую энергию вследствие необходимости пополнять энергию, рассеиваемую тормозами. Существует возможность того, что некоторое торможение может фактически снизить общее потребление энергии, если дополнительные потери на торможение превышают смещение от результирующего снижения потерь на сопротивление движению, вызываемого торможением, посредством уменьшения варьирования скорости.Following a constant speed profile minimizes loss of resistance to movement. Following a constant speed profile also minimizes the total input energy when braking is not required in order to maintain a constant speed. However, if braking is required in order to maintain a constant speed, applying braking only to maintain a constant speed is likely to increase the total energy required due to the need to replenish the energy dissipated by the brakes. There is the possibility that some braking can actually reduce overall energy consumption if the additional braking losses exceed the offset from the resulting reduction in drag losses caused by braking by reducing the variation in speed.
После завершения перепланирования из набора событий, описанных выше, новому оптимальному плану режекции/скорости можно следовать с помощью управления с замкнутым контуром, описанного в данном документе. Тем не менее, в некоторых ситуациях может быть недостаточно времени для того, чтобы осуществлять планирование с разложением по сегментам, описанное выше, и в частности, когда есть критичные ограничения по скорости, которые должны соблюдаться, альтернатива может быть необходима. В изобретении это достигается с помощью алгоритма, упоминаемого как "интеллектуальное автоматическое поддержание скорости движения". Алгоритм интеллектуального автоматического поддержания скорости движения является эффективным процессом для формирования на ходу эффективного по энергии (следовательно, эффективного по топливу) субоптимального предписания для управления железнодорожным составом 31 на известной территории. Этот алгоритм предполагает знание местоположения железнодорожного состава 31 на железнодорожном пути 34 в любой момент времени, а также знание уклона и кривизны железнодорожного пути в зависимости от местоположения. Способ базируется на модели точка-масса для движения железнодорожного состава 31, параметры которого могут быть адаптивно оценены из оперативных измерений движений железнодорожного состава, как описано выше.After the rescheduling is completed from the set of events described above, the new optimal notch / speed plan can be followed using the closed-loop control described in this document. However, in some situations, there may not be enough time to carry out the segmentation planning described above, and in particular when there are critical speed limits that must be respected, an alternative may be necessary. In the invention, this is achieved using an algorithm referred to as "intelligent automatic speed control". The algorithm of intelligent automatic speed control is an effective process for generating on the fly an energy efficient (and therefore fuel efficient) suboptimal prescription for controlling a
Алгоритм интеллектуального автоматического поддержания скорости движения имеет три главных компонента, а именно модифицированный профиль предела скорости, который выступает в качестве эффективного по энергии руководства по снижению пределов скорости; профиль настройки идеального управления дросселем или динамического тормоза, который пытается сбалансировать минимизацию изменений скорости и торможения; и механизм комбинирования двух вышеуказанных компонентов, чтобы сформировать команды положений контроллера, используя контур обратной связи скорости, чтобы скорректировать несовпадения смоделированных параметров в сравнении с реальными параметрами. Интеллектуальное автоматическое поддержание скорости движения может включать в себя стратегии в варианте осуществления настоящего изобретения без активного торможения (т.е. машинист получает сигналы и предполагается, что он обеспечивает нужное замедление) либо вариант, который предоставляет активное торможение.The algorithm of intelligent automatic maintenance of speed of movement has three main components, namely, a modified profile of the speed limit, which acts as an energy-efficient guide to reduce speed limits; Profile settings for ideal throttle or dynamic brake control that tries to balance minimizing speed and braking changes; and a combination mechanism of the two above components to form the controller position commands using the speed feedback loop to correct for mismatches of the simulated parameters in comparison with the actual parameters. Intelligent automatic maintenance of speed can include strategies in an embodiment of the present invention without active braking (i.e., the driver receives signals and is assumed to provide the desired slowdown) or an option that provides active braking.
В отношении алгоритма автоматического поддержания скорости движения, который не управляет динамическим торможением, три компонента: это модифицированный профиль ограничения скорости, который выступает в качестве эффективного с точки зрения энергобаланса руководства по снижению скоростных ограничений, это сигнал оповещения, чтобы оповещать машиниста, когда торможение должно быть применено, и это идеальный профиль управления дросселем, который пытается сбалансировать минимизацию изменений скорости и оповещение машинисту о применении тормозов, механизм, использующий контур обратной связи для того, чтобы скорректировать несовпадения параметров модели с реальными параметрами.Regarding the algorithm for automatically maintaining the speed that does not control dynamic braking, there are three components: this is a modified speed limit profile that acts as an energy-efficient guide to reduce speed limits, this is a warning signal to notify the driver when braking should be applied, and this is an ideal throttle control profile that tries to balance the minimization of speed changes and alerts the driver about applied and a brake mechanism that uses a feedback loop to adjust the parameters of model mismatch with the real parameters.
Также в вариант осуществления настоящего изобретения включен подход для того, чтобы идентифицировать значения ключевых параметров железнодорожного состава 31. Например, в отношении оценки массы железнодорожного состава фильтр Калмана и рекурсивный подход метода наименьших квадратов могут быть использованы для того, чтобы обнаруживать ошибки, которые могут развиваться со временем.Also included in an embodiment of the present invention is an approach to identify key parameter values of a
На фиг.7 показана примерная последовательность этапов варианта осуществления настоящего изобретения. Как описано ранее, удаленное оборудование, такое как диспетчерский центр 60, может предоставлять информацию в вариант осуществления настоящего изобретения. Эта информация предоставляется в исполнительный элемент 62 управления. Также в исполнительный элемент 62 управления предоставляется база 63 данных информации моделирования локомотивов, информации из базы 36 данных по железнодорожным путям, такая как, но не только, информации по уклонам железнодорожного пути и информации по пределам скорости, оцененные параметры железнодорожного состава, такие как, но не только, коэффициенты веса и сопротивления железнодорожного состава, и таблицы расхода топлива из блока 64 оценки расхода топлива. Исполнительный элемент 62 управления предоставляет информацию в планировщик 12, который подробнее раскрыт на фиг.1. После того как план рейса вычислен, план предоставляется в блок выдачи рекомендаций по управлению, машинисту или в элемент 51 контроллера. План рейса также предоставляется в исполнительный элемент 62 управления с тем, чтобы он мог сравнить рейс, когда предоставлены другие новые данные.7 shows an exemplary sequence of steps of an embodiment of the present invention. As described previously, remote equipment, such as a
Как описано выше, блок 51 выдачи рекомендаций по управлению может автоматически задавать мощность, задаваемую положением контроллера, либо значение мощности, задаваемой положением контроллера, при заранее установленной настройке положения контроллера, или оптимальное непрерывное значение мощности, задаваемой положением контроллера. Помимо предоставления команды скорости в локомотив 31 предоставляется дисплей 68 с тем, чтобы машинист мог видеть то, что рекомендовал планировщик. Машинист также имеет доступ к пульту 69 управления. Посредством пульта 69 управления машинист может принять решение о том, следует ли применять рекомендованную мощность, задаваемую положением контроллера. С этой целью машинист может ограничить целевую или рекомендованную мощность. То есть в любое время машинист всегда имеет окончательные полномочия над значением мощности, при которой будет функционировать локомотивный состав. Это включает в себя определение того, следует ли применять тормоза, если план рейса рекомендует замедление железнодорожного состава 31. Например, при управлении на затемненной территории или когда информация от перегонного оборудования не может электронно передавать информацию в железнодорожный состав, и вместо этого машинист видит визуальные сигналы от перегонного оборудования, машинист вводит команды на основе информации, содержащейся в базе данных железнодорожных путей, и визуальных сигналов от перегонного оборудования. На основе того, как функционирует железнодорожный состав 31, информация, касающаяся измерений топлива, предоставляется в блок 64 оценки расхода топлива. Поскольку прямое измерение расхода топлива типично недоступно в локомотивном составе, вся информация о топливе, потребленном к данной точке рейса, и перспективная оценка на будущее, следуя оптимальным планам, выполняется с помощью калиброванных физических моделей, так что они применяются при разработке оптимальных планов. Например, эти прогнозы могут включать в себя, но не только, использование измеренной полной мощности в л.с. и известные характеристики топлива, чтобы извлечь значение по всему потребленному топливу.As described above, the control
Железнодорожный состав 31 также имеет устройство 30 определения местоположения, такое как GPS-датчик, как описано выше. Информация предоставляется в блок 65 оценки параметров железнодорожного состава. Этот блок может включать в себя, но не только, данные GPS-датчиков, данные тягового/тормозного усилия, данные состояния торможения, скорость и все изменения данных скорости. С помощью информации, касающейся информации по уклонам и пределам скорости, коэффициенты веса и сопротивления предоставляются в исполнительный элемент 62 управления.The
Изобретение также обеспечивает возможность использования непрерывно изменяемой мощности в ходе планирования реализации и реализации управления с замкнутым контуром. В традиционном локомотиве мощность типично квантуется до восьми дискретных уровней. Современные локомотивы могут использовать непрерывное изменение лошадиных сил, которое может быть включено в ранее описанные способы оптимизации. При непрерывной мощности локомотив 42 может дополнительно оптимизировать рабочие условия, к примеру, посредством минимизации дополнительной нагрузки и потерь при передаче мощности и точно отрегулировать области лошадиных сил двигателя с оптимальной эффективностью или до точек меньших пределов выбросов. Примеры включают в себя, но не только, минимизацию потерь системы охлаждения, регулировку напряжений генератора переменного тока, регулировку скоростей двигателя и снижение числа приводимых осей. Дополнительно, локомотив 42 может использовать бортовую базу 36 данных железнодорожных путей и спрогнозированные требования к рабочим характеристикам, чтобы минимизировать дополнительную нагрузку и потери при передаче мощности, чтобы предоставить оптимальную эффективность для целевого потребления топлива/выбросов. Примеры включают в себя, но не только, снижение числа приводимых осей на равнинной территории и предварительное охлаждение двигателя локомотива перед въездом в туннель.The invention also provides the ability to use continuously variable power during the planning of implementation and implementation of closed-loop control. In a traditional locomotive, power is typically quantized to eight discrete levels. Modern locomotives can use a continuous change in horsepower, which can be included in the previously described optimization methods. With continuous power, the locomotive 42 can further optimize operating conditions, for example, by minimizing the additional load and losses during power transmission and fine-tuning the horsepower areas of the engine with optimum efficiency or to points of lower emission limits. Examples include, but are not limited to minimizing cooling system losses, adjusting the voltage of an alternator, adjusting engine speeds, and reducing the number of driven axles. Additionally, locomotive 42 may use the on-
В изобретении также может использоваться бортовая база 36 данных железнодорожных путей и спрогнозированные рабочие характеристики для того, чтобы корректировать рабочие характеристики локомотива, например гарантировать то, что железнодорожный состав имеет достаточную скорость по мере того, как он достигает холма и/или туннеля. Например, это может быть выражено как ограничение скорости в конкретном месте, которое становится частью формирования оптимального плана, созданного решением уравнения (OP). Дополнительно, изобретение может включать в себя правила управления железнодорожным составом, такие как, но не только, частоты отслеживания тягового усилия и частоты отслеживания максимального тормозного усилия. Они могут быть вставлены непосредственно в формулу оптимального профиля рейса либо альтернативно вставлены в регулятор с замкнутым контуром, используемый для того, чтобы управлять применением мощности, чтобы достигать целевой скорости.The invention can also use the on-board
В предпочтительном случае такой вариант осуществления устанавливается только на ведущем локомотиве железнодорожного состава. Хотя вариант осуществления настоящего изобретения не зависит от данных и взаимодействий с другими локомотивами, они могут быть интегрированы с функциональностью диспетчера состава, как раскрыто в US № 6691957 и заявке US № 10/429596, и/или функциональностью блока оптимизации состава, чтобы повысить эффективность. Взаимодействие с несколькими железнодорожными составами не исключается, как проиллюстрировано посредством примера диспетчерской, разрешающей два "независимо оптимизированных" железнодорожных состава, описанных в данном документе.In a preferred case, such an embodiment is installed only on the lead locomotive of the train. Although an embodiment of the present invention is independent of data and interactions with other locomotives, they can be integrated with the composition manager functionality, as disclosed in US No. 6691957 and US application No. 10/429596, and / or the functionality of the composition optimization unit to increase efficiency. Interaction with several trains is not excluded, as illustrated by the example of a control room allowing the two “independently optimized” trains described in this document.
Железнодорожные составы с системами распределенной мощности могут управляться в различных режимах. В одном режиме все локомотивы в железнодорожном составе управляются одной командой положения контроллера управления. Если ведущий локомотив командует движение с положением N8 контроллера управления, всем модулям в железнодорожном составе выдаются команды сгенерировать движение с положением N8 контроллера управления. Другой режим работы - "независимое" управление. В этом режиме локомотивы или наборы локомотивов, распределенные по железнодорожному составу, могут управляться с различной мощностью движения или торможения. Например, когда железнодорожный состав достигает вершины горы, ведущий локомотив (на спуске с горы) может быть переведен в торможение, тогда как локомотивы в середине или в конце железнодорожного состава (на подъеме в гору) могут приводиться в движение. Это делается для того, чтобы минимизировать растягивающие усилия на механические сцепки, которые соединяют вагоны и локомотивы. Традиционно управление системой с распределенной мощностью в "независимом" режиме требовало от машиниста вручную командовать каждым удаленным локомотивом или набором локомотивов посредством дисплея в ведущем локомотиве. Используя основанную на физике модель планирования, информацию конфигурации железнодорожного состава, бортовую базу данных железнодорожных путей, бортовые правила управления, систему определения местоположения, управление мощностью/тормозами с замкнутым контуром в реальном времени и обратную связь от датчиков, система может автоматически управлять системой с распределенной мощностью в "независимом" режиме.Train with distributed power systems can be controlled in various modes. In one mode, all locomotives in the train are controlled by a single command position controller. If the lead locomotive commands the movement with position N8 of the control controller, all modules in the train are instructed to generate traffic with position N8 of the control controller. Another mode of operation is "independent" control. In this mode, locomotives or sets of locomotives, distributed over the train, can be controlled with different power of movement or braking. For example, when the train reaches the top of the mountain, the lead locomotive (on the hill) can be put into braking, while the locomotives in the middle or at the end of the train (on the hill) can be driven. This is done in order to minimize tensile forces on the mechanical couplings that connect the cars and locomotives. Traditionally, controlling a system with distributed power in the “independent” mode required the driver to manually command each remote locomotive or set of locomotives through a display in the lead locomotive. Using a physics-based planning model, train configuration information, an on-board rail database, on-board control rules, a positioning system, real-time closed-loop power / brakes control and sensor feedback, the system can automatically control a distributed power system in "independent" mode.
При работе с распределенной мощностью машинист в ведущем локомотиве может управлять рабочими функциями удаленных локомотивов в удаленных составах посредством системы управления, такой как элемент управления распределенной мощностью. Таким образом, при работе с распределенной мощностью машинист может командовать каждому составу локомотивов работать на различном уровне мощности, задаваемой положением контроллера (или один состав может приводиться в движение, а другой - в торможении), при этом каждый отдельный локомотив в локомотивном составе работает на одинаковой мощности, задаваемой положением контроллера. Когда система установлена в железнодорожном составе, предпочтительно поддерживая связь с элементом управления распределенной мощностью, когда уровень мощности, задаваемой положением контроллера, удаленного локомотивного состава требуется поддерживать, как рекомендовано посредством оптимизированного плана рейса, система передает эту настройку мощности в удаленные составы локомотивов для реализации. Как описано ниже, то же самое справедливо для торможения.When operating with distributed power, the driver in the lead locomotive can control the operating functions of the remote locomotives in the remote train using a control system such as a distributed power control. Thus, when working with distributed power, the driver can command each train of locomotives to operate at a different power level, determined by the position of the controller (or one train can be driven, and the other in braking), while each individual locomotive in the locomotive train works at the same power set by the position of the controller. When the system is installed in a train, preferably communicating with the distributed power control element, when the power level set by the position of the controller, the remote locomotive train is required to be maintained, as recommended by the optimized flight plan, the system transfers this power setting to the remote locomotive trains for implementation. As described below, the same is true for braking.
Изобретение может быть использовано с составами, в которых локомотивы не являются смежными, к примеру с одним или более локомотивами впереди, другими в середине и хвосте железнодорожного состава. Такие конфигурации называются конфигурациями с распределенной мощностью, когда стандартное сцепление между локомотивами заменяется линией радиосвязи или дополнительным кабелем, чтобы связать локомотивы между собой. При работе с распределенной мощностью машинист в ведущем локомотиве может управлять рабочими функциями удаленных локомотивов в составе посредством системы управления, такой как элемент управления распределенной мощностью. В частности, при работе с распределенной мощностью машинист может командовать каждому локомотивному составу работать на различных уровнях мощности, задаваемой положением контроллера (или один состав может быть в движении, а другой - в торможении), при этом каждый отдельный элемент в составе локомотива работает на одинаковой мощности, задаваемой положением контроллера.The invention can be used with trains in which the locomotives are not adjacent, for example, with one or more locomotives in front, others in the middle and tail of the train. Such configurations are called distributed power configurations when the standard clutch between locomotives is replaced by a radio link or an additional cable to connect the locomotives to each other. When working with distributed power, the driver in the lead locomotive can control the operating functions of the remote locomotives in the train through a control system such as a distributed power control. In particular, when working with distributed power, the driver can command each locomotive train to work at different power levels, determined by the position of the controller (or one train can be in motion and the other in braking), while each individual element in the locomotive operates on the same power set by the position of the controller.
Когда система установлена в железнодорожном составе, предпочтительно поддерживая связь с элементом управления распределенной мощностью, когда уровень мощности, задаваемой положением контроллера, удаленного локомотивного состава требуется поддерживать, как рекомендовано посредством оптимизированного плана рейса, система передает эту настройку мощности в удаленные составы локомотивов для реализации. Как описано ниже, то же самое справедливо для торможения. При работе с распределенной мощностью ранее описанная проблема оптимизации может быть улучшена, чтобы разрешать дополнительные степени свободы в том, что каждый из удаленных модулей может независимо управляться с ведущего модуля. Ценность этого заключается в том, что дополнительные целевые показатели или ограничения, связанные с усилиями в железнодорожном составе, могут быть включены в функцию рабочих характеристик, при условии, что модель для того, чтобы отражать усилия в железнодорожном составе, также включена. Таким образом, вариант осуществления настоящего изобретения может включать в себя использование нескольких средств управления дросселем, чтобы более оптимально регулировать усилия в железнодорожном составе, а также потребление топлива и выбросы.When the system is installed in a train, preferably communicating with the distributed power control element, when the power level set by the position of the controller, the remote locomotive train is required to be maintained, as recommended by the optimized flight plan, the system transfers this power setting to the remote locomotive trains for implementation. As described below, the same is true for braking. When working with distributed power, the previously described optimization problem can be improved to allow additional degrees of freedom in that each of the remote modules can be independently controlled from the master module. The value of this is that additional targets or constraints associated with efforts in the train can be included in the performance function, provided that a model to reflect efforts in the train is also included. Thus, an embodiment of the present invention may include the use of several throttle controls to more optimally control rail forces as well as fuel consumption and emissions.
В железнодорожном составе, использующем диспетчер составов, ведущий локомотив в локомотивном составе может работать с отличной от других локомотивов в этом составе настройкой мощности, задаваемой положением контроллера. Другие локомотивы в составе работают с такой же настройкой мощности, задаваемой положением контроллера. Система может быть использована в связи с диспетчером составов, чтобы управлять настройками мощности, задаваемой положением контроллера, для локомотивов в составе. Таким образом, на основе варианта осуществления настоящего изобретения, поскольку диспетчер составов разделяет локомотивный состав на две группы, ведущий локомотив и ведомые модули, ведущий локомотив управляется так, чтобы работать при определенной мощности, задаваемой положением контроллера, а хвостовые локомотивы могут управляться так, чтобы работать при другой конкретной мощности, задаваемой положением контроллера. В варианте осуществления элементом управления с распределенной мощностью может быть система и/или устройство, где выполняется эта операция.In a train using a train manager, a lead locomotive in a locomotive train can operate with a power setting that is different from other locomotives in this train, set by the position of the controller. Other locomotives in the train operate with the same power setting as specified by the position of the controller. The system can be used in connection with the train manager to control the power settings specified by the controller position for locomotives in the train. Thus, based on an embodiment of the present invention, since the train manager divides the locomotive train into two groups, the lead locomotive and the driven modules, the lead locomotive is controlled to operate at a specific power set by the position of the controller, and the tail locomotives can be controlled to work at another specific power, set by the position of the controller. In an embodiment, the distributed power control may be a system and / or device where this operation is performed.
Аналогично, когда блок оптимизации состава используется с локомотивным составом, вариант осуществления настоящего изобретения может быть использован вместе с блоком оптимизации состава, чтобы определять мощность, задаваемую положением контроллера, для каждого локомотива в локомотивном составе. Например, предположим, что план рейса рекомендует настройку мощности, задаваемой положением контроллера, в четыре для локомотивного состава. На основе местоположения железнодорожного состава блок оптимизации состава принимает эту информацию и затем определяет настройку мощности, задаваемой положением контроллера, для каждого локомотива в составе. В этой реализации эффективность регулировок настроек мощности, задаваемой положением контроллера, для каналов связи внутри железнодорожного состава повышается. Более того, как описано выше, реализация этой конфигурации может быть осуществлена с помощью системы распределенного управления.Similarly, when a train optimization unit is used with a locomotive train, an embodiment of the present invention can be used together with a train optimization block to determine the power set by the position of the controller for each locomotive in the train. For example, suppose a flight plan recommends setting the power set by the position of the controller to four for a locomotive. Based on the location of the train, the train optimization unit receives this information and then determines the power setting specified by the position of the controller for each locomotive in the train. In this implementation, the efficiency of adjusting the power settings specified by the position of the controller for communication channels inside the train increases. Moreover, as described above, the implementation of this configuration can be carried out using a distributed control system.
Помимо этого, как пояснялось выше, изобретение может быть использовано для непрерывных корректировок и перепланирования в отношении того, когда состав железнодорожного состава использует торможение, на основе предстоящих интересующих элементов, таких как, но не только, железнодорожные переезды, изменения уклона, приближающиеся запасные пути, приближающиеся сортировочные станции и приближающиеся заправочные станции, при этом каждый локомотив в составе может потребовать собственного варианта торможения. Например, если железнодорожный состав проходит через возвышенность, ведущий локомотив может потребовать ввести режим торможения, в то время как удаленные локомотивы, еще не достигшие вершины возвышенности, могут оставаться в режиме приведения в движение.In addition, as explained above, the invention can be used for continuous adjustments and rescheduling regarding when the train is using braking, based on upcoming elements of interest, such as, but not limited to, level crossings, gradient changes, approaching sidings, approaching marshalling yards and approaching gas stations, with each locomotive in the train may require its own braking option. For example, if a train passes through a hill, the lead locomotive may require braking, while remote locomotives that have not yet reached the top of the hill may remain in propulsion mode.
На фиг.8, 9 и 10 показаны варианты динамических дисплеев для использования машинистом. Машинисту предоставляется 72 (фиг.8), профиль рейса. На профиле указано местоположение 73 локомотива. Предоставляется такая информация, как длина 105 железнодорожного состава и число вагонов 106 в железнодорожном составе. Также предоставлены элементы, касающиеся уклона 107 железнодорожного пути, кривизны и перегонных элементов 108, включая местоположение 109 мостов и скорость 110 железнодорожного состава. Дисплей 68 дает возможность машинисту видеть эту информацию, а также видеть то, где на маршруте находится железнодорожный состав. Предоставляется информация, касающаяся расстояния и/или оцененного времени прибытия в такие места, как переезды 112, сигналы 114, изменения 116 скорости, межевые ориентиры 118 и пункты 120 назначения. Средство 125 управления временем прибытия также предусмотрено для того, чтобы давать возможность пользователю определять экономию топлива, реализованную в ходе рейса. Машинист имеет возможность варьировать время 127 прибытия и видеть, как это влияет на экономию топлива. Как поясняется в данном документе, специалистам в данной области техники ясно, что экономия топлива является типичным примером только одного целевого показателя, который может быть проанализирован с помощью средства управления. В зависимости от рассматриваемого параметра другие параметры, описанные в данном документе, могут рассматриваться и оцениваться с помощью средства управления, видимого машинисту. Машинисту также предоставляется информация о том, как долго экипаж управляет железнодорожным составом. В вариантах осуществления информация времени и расстояния может быть проиллюстрирована как время и/или расстояние до конкретного события и/или местоположения либо она может предоставлять общее истекшее время.On Fig, 9 and 10 shows the options for dynamic displays for use by the driver. The driver is provided 72 (Fig. 8), a flight profile. The profile shows the location of 73 locomotive. Information such as
На фиг.9 дисплей предоставляет информацию о данных 130 состава, графику 132 событий и ситуаций, средство 134 управления временем прибытия и клавиши 136 управления. Аналогичная информация, как пояснено выше, также предоставляется на этом дисплее. Этот дисплей 68 также предоставляет клавиши 138 управления, чтобы позволить машинисту выполнить перепланирование, а также отсоединять 140 вариант осуществления настоящего изобретения.In Fig. 9, the display provides information about
На фиг.10 показан другой вариант осуществления дисплея. Видна типичная информация для современного локомотива, включающая в себя состояние 72 пневматического тормоза, аналоговый спидометр с цифровым входным каналом 74 и информацию о тяговом усилии в фунтах (или тяговых усилителях для локомотивов на постоянном токе). Индикатор 74 представлен для того, чтобы показывать текущую оптимальную скорость в выполняемом плане, а также график акселерометра, чтобы дополнить показания в милях/мин. Важные новые данные для оптимального выполнения плана находятся в центре экрана, в том числе график 76 с полосой прокрутки со значением оптимальной скорости и настройки режекции в зависимости от расстояния, в сравнении с текущей историей этих переменных. В этом варианте осуществления местоположение железнодорожного состава определяется с помощью элемента определения местоположения. Местоположение предоставляется для идентификации того, насколько далеко железнодорожный состав находится от конечного пункта назначения, абсолютной позиции, начального пункта назначения, промежуточной точки и/или ввода машиниста.10 shows another embodiment of a display. Typical information for a modern locomotive is visible, including
Ленточная диаграмма предоставляет просмотр вперед изменений скорости, необходимых для того, чтобы следовать оптимальному плану, что используется при ручном управлении и мониторинге плана в сравнении с фактом в ходе автоматического управления. Будучи в обучающем режиме, машинист может следовать либо положению контроллера управления, либо скорости, предлагаемой системой. Вертикальная линейка дает графическую иллюстрацию требуемого и фактического положения контроллера управления, которое также отображается в цифровой форме под ленточной диаграммой. Когда используется непрерывная мощность, задаваемая положением контроллера, как описано выше, дисплей просто округляет до ближайшего дискретного эквивалента, дисплеем может быть аналоговый дисплей, так что отображается аналоговый эквивалент или процент, либо фактические лошадиные силы/тяговое усилие.The ribbon chart provides a forward look at the speed changes necessary to follow the optimal plan, which is used for manual control and monitoring of the plan in comparison with the fact during automatic control. Being in the training mode, the driver can follow either the position of the control controller or the speed offered by the system. The vertical ruler provides a graphic illustration of the required and actual position of the control controller, which is also displayed digitally under the bar chart. When using continuous power set by the position of the controller as described above, the display simply rounds to the nearest discrete equivalent, the display can be an analog display, so that the analog equivalent or percentage, or the actual horsepower / traction, is displayed.
Критичная информация по состоянию рейса отображается на экране и показывает текущий уклон, который преодолевает 88 железнодорожный состав, либо ведущий локомотивов, либо другая часть железнодорожного состава или среднее по длине железнодорожного состава. Расстояние, пройденное по плану 90, совокупное потребленное топливо 92, местоположение или расстояние до следующей остановки планируется 94, раскрывается текущее и ожидаемое время прибытия 96 на следующую остановку. Дисплей 68 также показывает минимальное возможное время до пункта назначения с доступными вычисленными планами. Если требуется более позднее прибытие, выполняется перепланирование. Данные дельты плана показывают состояние по топливу и расписание с опережением или отставанием от текущего оптимального плана. Отрицательные числа означают меньшее количество топлива или опережение в сравнении с планом, положительные числа означают большее количество топлива или отставание в сравнении с планом, и в типичном варианте согласуются в противоположных направлениях (замедление для того, чтобы сэкономить топливо, приводит к запаздыванию железнодорожного состава, и наоборот).Critical information on the state of the trip is displayed on the screen and shows the current slope that 88 trains overcome, or the leading locomotive, or another part of the train, or the average length of the train. The distance covered by
Дисплеи 68 всегда дают машинисту указание на экране, где он находится по отношению к текущему установленному плану движения. Этот дисплей служит только для иллюстративных целей, поскольку может быть множество других способов отображения/передачи этой информации машинисту и/или в диспетчерскую. С этой целью информация, описанная выше, может быть объединена для того, чтобы предоставить отображение, отличающееся от раскрытых отображений.
Другие признаки, которые могут быть включены в вариант осуществления настоящего изобретения, включают в себя, но не только, возможность для формирования журналов данных и отчетов. Эта информация может быть сохранена в железнодорожном составе и загружена во внешнюю систему в тот же момент времени. Загрузка может осуществляться посредством ручной и/или беспроводной передачи. Эта информация также может просматриваться машинистом через дисплей в локомотиве. Данные могут включать в себя такую информацию, как, но не только, вводимые машинистом данные, данные функционирования системы учета времени, сэкономленное топливо, дисбаланс топлива в локомотивах железнодорожного состава, движение железнодорожного состава с отклонением от курса и системные диагностические проблемы, такие как неполадки GPS-датчиков.Other features that may be included in an embodiment of the present invention include, but are not limited to, the ability to generate data and report logs. This information can be stored in the train and loaded into the external system at the same time. Download may be via manual and / or wireless transmission. This information can also be viewed by the driver through a display in the locomotive. The data may include information such as, but not limited to, data entered by the driver, data from the time tracking system, fuel saved, fuel imbalance in the locomotives of the train, off-track movement of the train, and system diagnostic problems such as GPS problems sensors.
Поскольку планы рейсов также должны учитывать допустимое рабочее время экипажа, вариант осуществления настоящего изобретения может рассматривать данную информацию во время планирования рейса. Например, если максимальное время, которое может работать экипаж, составляет восемь часов, то рейс может быть приспособлен так, чтобы включать в себя место остановки, чтобы новый экипаж заменил текущий экипаж. Такие заданные места остановок могут включать в себя, но не только, железнодорожные станции, места встреч/проходов и т.д. Если по мере того как проходит рейс, время рейса может быть превышено, вариант осуществления настоящего изобретения может быть переопределен машинистом, чтобы удовлетворять другим критериям, определенным машинистом. В завершение, вне зависимости от режимов функционирования железнодорожного состава, таких как, но не только, высокая нагрузка, низкая скорость, режимы растягивания железнодорожного состава и т.д., машинист продолжает управлять так, чтобы отдавать команды для поддержания скорости и/или режима функционирования железнодорожного состава.Since flight plans must also take into account the crew’s allowable working time, an embodiment of the present invention may consider this information during flight planning. For example, if the maximum time that the crew can work is eight hours, then the flight can be adapted to include a stopping place so that the new crew replaces the current crew. Such predetermined stopping places may include, but not limited to, railway stations, meeting / passages, etc. If, as the flight proceeds, the flight time may be exceeded, an embodiment of the present invention may be redefined by the driver to satisfy other criteria defined by the driver. In conclusion, regardless of the operating modes of the train, such as, but not limited to, high load, low speed, stretching modes of the train, etc., the driver continues to control so as to issue commands to maintain speed and / or mode of operation train composition.
Железнодорожный состав может функционировать при множестве различных режимов. В одной концепции варианта осуществления настоящего изобретения можно предоставлять команды для управления поступательным движением и динамическим торможением. Машинист в это время управляет всеми остальными функциями железнодорожного состава. В другой концепции варианта осуществления настоящего изобретения команды предоставляются для управления только поступательным движением. Машинист в это время управляет динамическим торможением и всеми остальными функциями железнодорожного состава. В еще одной другой операционной концепции команды предоставляются для управления поступательным движением, динамическим торможением и применением пневматического тормоза. Машинист в это время управляет всеми остальными функциями железнодорожного состава.The train can function in many different modes. In one concept of an embodiment of the present invention, it is possible to provide instructions for controlling translational motion and dynamic braking. The driver at this time controls all the other functions of the train. In another concept of an embodiment of the present invention, commands are provided to control only translational motion. The driver at this time controls the dynamic braking and all other functions of the train. In yet another operational concept, commands are provided to control translational motion, dynamic braking, and air brake application. The driver at this time controls all the other functions of the train.
Хотя варианты осуществления настоящего изобретения описаны относительно железнодорожных транспортных средств, в частности железнодорожных составов и локомотивов, имеющих дизельные двигатели, варианты осуществления также применимы для других применений, таких как, но не только, внедорожные транспортные средства, морские транспортные средства и стационарные агрегаты, каждое из которых может использовать дизельный двигатель. С этой целью они включают в себя задание или требование, которое должно быть выполнено посредством системы с приводом от дизельного двигателя. Следовательно, относительно вариантов применения в железнодорожных, морских или внедорожных транспортных средствах это может относиться к перемещению системы из текущего места в пункт назначения. В случае стационарных вариантов применения, таких как, но не только, стационарная электростанция или сеть электростанций, указанная задача может относиться к величине мощности в ваттах (к примеру, МВт/час) или другому параметру либо требованию, которое должно быть удовлетворено посредством системы с приводом от дизельного двигателя. Аналогично, рабочее условие энергоблока на дизельном топливе может включать в себя одно или более из скорости, нагрузки, значения заправки топливом, времени и т.д.Although embodiments of the present invention have been described with respect to railway vehicles, in particular trains and locomotives having diesel engines, embodiments are also applicable to other applications, such as, but not limited to, off-road vehicles, marine vehicles and stationary units, each of which can use a diesel engine. To this end, they include a task or requirement that must be met by a diesel engine system. Consequently, with respect to applications in rail, sea or off-road vehicles, this may relate to moving the system from its current location to its destination. In the case of stationary applications, such as, but not limited to, a stationary power station or a network of power plants, this task may relate to the power value in watts (for example, MW / h) or another parameter or requirement that must be satisfied by means of a drive system from a diesel engine. Similarly, the operating condition of a diesel fuel power unit may include one or more of speed, load, fueling value, time, etc.
В примере, включающем в себя морские транспортные средства, множество буксирных суден могут работать вместе, причем все они перемещают одно более крупное судно, при этом каждое буксирное судно забронировано заблаговременно, чтобы выполнять задачу перемещения более крупного судна. В другом примере одно морское судно может иметь множество двигателей. Внедорожное транспортное средство (OHV) может включать в себя парк транспортных средств, которые имеют одну задачу перемещаться по земле из места A в место B, причем каждое OHV забронировано заблаговременно, чтобы выполнять задачу.In an example involving marine vehicles, a plurality of towing vessels can operate together, all of which move one larger vessel, with each towing vessel being booked well in advance to carry out the task of moving the larger vessel. In another example, a single marine vessel may have multiple engines. An off-road vehicle (OHV) may include a fleet of vehicles that have the same task of traveling on the ground from A to B, with each OHV being booked well in advance to complete the task.
Вариант осуществления настоящего изобретения также может быть использован для того, чтобы сообщать машинисту о предстоящих интересующих элементах или действиях, которые должны быть предприняты. В частности, логика прогнозирования варианта осуществления настоящего изобретения, непрерывные корректировки и перепланирование оптимизированного плана рейса, базы данных железнодорожных путей, машинист может оповещаться о предстоящих переездах, сигналах, изменениях уклона, тормозных действиях, запасных путях, железнодорожных станциях, заправочных станциях и т.д. Эти оповещения могут предоставляться в звуковой форме и/или посредством интерфейса машиниста.An embodiment of the present invention may also be used to inform the driver of upcoming items of interest or actions to be taken. In particular, the prediction logic of an embodiment of the present invention, continuous adjustments and re-planning of an optimized flight plan, a database of railway tracks, the driver can be notified of upcoming crossings, signals, changes in slope, braking actions, siding, railway stations, gas stations, etc. . These alerts may be provided in audio form and / or through the driver interface.
В частности, используя основанную на физике модель планирования, информацию конфигурации железнодорожного состава, бортовую базу данных железнодорожных путей, бортовые правила управления, систему определения местоположения, управление мощностью/тормозами с замкнутым контуром в реальном времени и обратную связь от датчиков, система представляет и/или оповещает машиниста о необходимых действиях. Уведомление может быть визуальным и/или звуковым. Примеры включают в себя уведомление о переездах, которые требуют от машиниста активировать сирену и/или звонковое устройство локомотива, и уведомление о "тихих" переездах, которые не требуют от машиниста активировать сирену или звонковое устройство локомотива.In particular, using a physics-based planning model, train configuration information, an on-board rail track database, on-board control rules, a positioning system, real-time closed-loop power / brakes control, and feedback from sensors, the system presents and / or notifies the driver of the necessary actions. The notification may be visual and / or audible. Examples include notification of crossings that require the driver to activate the siren and / or locomotive ring device, and notification of “silent” crossings that do not require the driver to activate the siren or ring device of the locomotive.
В другом варианте осуществления, используя основанную на физике модель планирования, описанную выше, информацию конфигурации железнодорожного состава, бортовую базу данных железнодорожных путей, бортовые правила управления, систему определения местоположения, управление мощностью/тормозами с замкнутым контуром в реальном времени и обратную связь от датчиков, система может предоставлять машинисту информацию (к примеру, индикатор на дисплее), которая дает возможность видеть, когда железнодорожный состав прибывает в различные места (фиг.9). Система дает возможность машинисту корректировать план рейса (целевое время прибытия). Эта информация (фактическое оцененное время прибытия или информация, требуемая для того, чтобы извлекать внешним образом) также может передаваться в диспетчерский центр, чтобы дать возможность диспетчеру или диспетчерской системе корректировать целевое время прибытия. Это позволяет системе быстро корректировать и оптимизировать соответствующую целевую функцию (например, компромиссное отношение скорость/расход топлива).In another embodiment, using the physics-based planning model described above, train configuration information, on-board rail track database, on-board control rules, location system, real-time closed-loop power / brakes control, and sensor feedback, the system can provide the driver with information (for example, an indicator on the display), which makes it possible to see when the train arrives at various places (fi g. 9). The system allows the driver to adjust the flight plan (target arrival time). This information (actual estimated arrival time or information required to retrieve externally) can also be transmitted to the dispatch center to enable the dispatcher or dispatch system to adjust the target arrival time. This allows the system to quickly adjust and optimize the corresponding target function (for example, a compromise ratio of speed / fuel consumption).
На фиг.11 показан другой вариант осуществления настоящего изобретения, включающий в себя систему 10' для управления транспортным средством 31'. Транспортное средство может включать в себя железнодорожный состав 31' с одним или более локомотивными составами 42', как проиллюстрировано на фиг.11, внедорожное транспортное средство (OHV), морское транспортное средство или любое аналогичное транспортное средство, включающее в себя двигатель, работающий на множестве типов топлива. Множество типов топлива включает в себя один или более дизельных типов топлива и один или более альтернативных типов топлива. Более конкретно, каждое альтернативное топливо может включать в себя одно из биодизеля, пальмового масла и репсового масла. Соответственно, хотя на фиг.11-14 показана система 10' для управления железнодорожным составом 31' с одним или более локомотивными составами 42', система аналогично может быть применена к OHV и морским транспортным средствам.11 shows another embodiment of the present invention, including a system 10 'for driving a vehicle 31'. The vehicle may include a train 31 'with one or more locomotive trains 42', as illustrated in FIG. 11, an off-road vehicle (OHV), a marine vehicle, or any similar vehicle including a multi-engine types of fuel. Many types of fuel include one or more diesel types of fuel and one or more alternative types of fuel. More specifically, each alternative fuel may include one of biodiesel, palm oil and rep oil. Accordingly, although FIGS. 11-14 show a system 10 'for controlling a train 31' with one or more locomotive trains 42 ', the system can likewise be applied to OHV and marine vehicles.
Хотя варианты осуществления настоящего изобретения описаны относительно железнодорожных транспортных средств, в частности железнодорожных составов и локомотивов, имеющих дизельные двигатели, варианты осуществления также применимы для других применений, таких как, но не только, внедорожные транспортные средства, морские транспортные средства и стационарные агрегаты, каждое из которых может использовать дизельный двигатель. Для этого они включают в себя задание или требование, которое должно быть выполнено посредством системы с приводом от дизельного двигателя. Следовательно, относительно вариантов применения в железнодорожных, морских или внедорожных транспортных средствах это может относиться к перемещению системы из текущего места в пункт назначения. В случае стационарных вариантов применения, таких как, но не только, стационарная электростанция или сеть электростанций, указанная задача может относиться к величине мощности в ваттах (к примеру, МВт/час) или другому параметру либо требованию, которое должно быть удовлетворено посредством системы с приводом от дизельного двигателя. Аналогично, рабочее условие энергоблока на дизельном топливе может включать в себя одно или более из скорости, нагрузки, значения заправки топливом, времени и т.д.Although embodiments of the present invention have been described with respect to railway vehicles, in particular trains and locomotives having diesel engines, embodiments are also applicable to other applications, such as, but not limited to, off-road vehicles, marine vehicles and stationary units, each of which can use a diesel engine. To this end, they include a task or requirement that must be fulfilled by a system driven by a diesel engine. Consequently, with respect to applications in rail, sea or off-road vehicles, this may relate to moving the system from its current location to its destination. In the case of stationary applications, such as, but not limited to, a stationary power station or a network of power plants, this task may relate to the power value in watts (for example, MW / h) or another parameter or requirement that must be satisfied by means of a drive system from a diesel engine. Similarly, the operating condition of a diesel fuel power unit may include one or more of speed, load, fueling value, time, etc.
В примере, включающем в себя морские транспортные средства, множество буксирных суден могут работать вместе, причем все они перемещают одно более крупное судно, при этом каждое буксирное судно забронировано заблаговременно, чтобы выполнять задачу перемещения более крупного судна. В другом примере одно морское судно может иметь множество двигателей. Внедорожное транспортное средство (OHV) может включать в себя парк транспортных средств, которые имеют одну задачу перемещаться по земле из места A в место B, причем каждое OHV забронировано заблаговременно, чтобы выполнять задачу.In an example involving marine vehicles, a plurality of towing vessels can operate together, all of which move one larger vessel, with each towing vessel being booked well in advance to carry out the task of moving the larger vessel. In another example, a single marine vessel may have multiple engines. An off-road vehicle (OHV) may include a fleet of vehicles that have the same task of traveling on the ground from A to B, with each OHV being booked well in advance to complete the task.
Система включает в себя элемент 30' определения местоположения, чтобы определять местоположение локомотивного состава 42'. Элементом 30' определения местоположения может быть GPS-датчик или система датчиков, которые определяют местоположение железнодорожного состава 31'. Примеры этих других систем могут включать в себя, но не только, перегонные устройства, такие как радиочастотные теги автоматической идентификации оборудования (RF AEI), диспетчерскую и/или видеоопределение. Другая система может включать в себя тахометр(ы) на борту локомотива и вычисления расстояния от опорной точки. Система 47 беспроводной связи также может быть предусмотрена для того, чтобы обеспечить связь между железнодорожными составами и/или с удаленным участком, таким как диспетчерская. Информация о местах передвижения также может передаваться от других железнодорожных составов.The system includes a positioning element 30 'to determine the location of the locomotive 42'. Element 30 'location can be a GPS sensor or a system of sensors that determine the location of the train 31'. Examples of these other systems may include, but are not limited to, distillation devices, such as radio frequency automatic equipment identification tags (RF AEIs), control rooms, and / or video detection. Another system may include tachometer (s) on board the locomotive and calculating the distance from the reference point.
Система 10' дополнительно включает в себя элемент 33' характеристики железнодорожного пути для того, чтобы предоставлять информацию по территории 34' (т.е. железнодорожному пути) локомотивного состава 42'. Элемент 33' характеристики железнодорожного пути может включать в себя бортовую базу 36' данных связанности железнодорожных путей. Датчики 38' используются для того, чтобы измерять тяговое усилие 40', применяемое посредством локомотивного состава 42', настройку управления акселератором локомотивного состава 42', конфигурационную информацию локомотивного состава 42', скорость локомотивного состава 42', конфигурацию отдельных локомотивов, характеристики отдельных локомотивов и т.д. В варианте осуществления конфигурационная информация локомотивного состава 42' может быть загружена без использования датчика 38', и при этом конфигурационная информация может быть загружена посредством устройства ввода. Устройство ввода может быть соединено с процессором 44' так, чтобы передавать информацию характеристик каждого типа топлива из множества типов топлива в процессор, включающую в себя, по меньшей мере, одно из эффективности использования топлива, характеристик выбросов, соответствующей вместимости бака, доступности цены и доступности в месте нахождения. Устройство ввода может предоставлять информацию характеристик каждого из множества типов топлива посредством одного из удаленного расположения, придорожного устройства и ручного ввода пользователем. Кроме характеристики каждого из множества типов топлива также может рассматриваться состояние локомотивов в составе. Например, если один локомотив не может работать выше уровня 5 мощности, задаваемой положением контроллера, эта информация используется при оптимизации плана рейса.System 10 'further includes a rail track characteristic element 33' in order to provide information on the
Информация от элемента 30' определения местоположения также может быть использована для того, чтобы определять соответствующее время прибытия железнодорожного состава 31'. Например, если есть железнодорожный состав 31', перемещающийся по железнодорожному пути 34' в направлении пункта назначения, и нет железнодорожного состава, едущего за ним, и железнодорожный состав не имеет фиксированного крайнего срока прибытия, элемент 30' определения местоположения, включающий в себя, но не только, радиочастотные теги автоматической идентификации оборудования (RF AEI), диспетчерскую и/или видеоопределение, может быть использован для того, чтобы определять точное местоположение железнодорожного состава 31'. Более того, входные данные от этих систем передачи сигналов могут быть использованы для того, чтобы регулировать скорость железнодорожного состава. Используя бортовую базу данных железнодорожных путей, описанную ниже, и элемент определения местоположения, такой как GPS, вариант осуществления настоящего изобретения может регулировать интерфейс машиниста, чтобы отражать состояние системы передачи сигналов в данном местоположении локомотива. В ситуации, когда состояния сигнала указывают ограничительные скорости, планировщик может выбрать замедление железнодорожного состава, чтобы сэкономить потребление топлива.The information from the
Информация от элемента 30 определения местоположения также может быть использована для того, чтобы изменять целевые показатели планирования как функцию от расстояния до пункта назначения. Вследствие неизбежных неопределенностей о перегруженности вдоль маршрута более быстрые целевые показатели времени на ранней стадии маршрута могут быть использованы в качестве защиты от задержек, которые по статистике возникают позднее. Если так случилось, что в конкретном рейсе эти задержки не возникают, целевые показатели в дальнейшей части передвижения могут быть модифицированы, чтобы использовать встроенное время простоя, которое накоплено ранее, и тем самым восстанавливать определенную эффективность использования топлива. Аналогичная стратегия может быть активирована в отношении целевых показателей с ограничениями выбросов, которые применяются при достижении городской зоны.The information from
В качестве примера стратегии защиты, если рейс запланирован из Нью-Йорка в Чикаго, система может предоставить вариант управления железнодорожным составом медленнее в начале рейса, в середине рейса или в конце рейса. Система оптимизирует план рейса, чтобы предоставить возможность более медленной работы в конце рейса, поскольку неизвестные ограничения, такие как, но не только, погодные условия, техническое обслуживание железнодорожного пути и т.д., могут возникать и стать известными по ходу рейса. В качестве еще одного соображения, если традиционно перегруженные зоны известны, план разрабатывается с вариантом повысить гибкость движения в этих регионах. Следовательно, система также может учитывать взвешивание/штрафование как функцию от времени/расстояния в будущем и/или на основе известного/предыдущего опыта. Специалистам в данной области техники ясно, что такое планирование и перепланирование для учета погодных условий, состояний железнодорожного пути, других железнодорожных составов на железнодорожном пути и т.д. может рассматриваться в любое время в ходе рейса, когда план рейса скорректирован соответствующим образом.As an example of a protection strategy, if a flight is planned from New York to Chicago, the system can provide the option of managing the train more slowly at the beginning of the flight, in the middle of the flight, or at the end of the flight. The system optimizes the flight plan to allow slower operation at the end of the flight, since unknown restrictions, such as, but not limited to, weather conditions, maintenance of the railway, etc., may arise and become known during the flight. As another consideration, if traditionally congested areas are known, a plan is being developed with an option to increase traffic flexibility in these regions. Therefore, the system can also consider weighting / penalty as a function of time / distance in the future and / or based on known / previous experience. Those skilled in the art will understand what planning and re-planning is to take into account weather conditions, conditions of the railway, other trains on the railway, etc. may be considered at any time during the voyage when the voyage plan is adjusted accordingly.
База 36' данных (фиг.11) дополнительно может быть использована для того, чтобы сохранять информацию характеристик по каждому из множества типов топлива. Информация характеристик для каждого типа топлива каждого локомотивного состава включает в себя одно или более из эффективности использования топлива, интенсивности выбросов, соответствующей вместимости бака, доступности цены, доступности в месте нахождения и любой другой характеристики каждого типа топлива, важной для определения рабочих характеристик локомотивного состава.Database 36 'of the data (FIG. 11) can additionally be used to store performance information for each of a plurality of fuel types. Information about the characteristics for each type of fuel of each locomotive train includes one or more of the fuel efficiency, emission rate, corresponding tank capacity, affordability, location availability and any other characteristic of each fuel type that is important for determining the performance of a locomotive train.
На фиг.11 дополнительно показан процессор 44', конфигурированный для приема информации из элемента 30' определения местоположения, элемента 33' характеристик железнодорожного пути и базы 36' данных. При приеме процессором 44' информации алгоритм 46', осуществленный в процессоре 44', с доступом к информации, создает план рейса, который оптимизирует рабочие характеристики локомотивного состава 42' в соответствии с одним или более рабочими критериями для локомотивного состава. Эти рабочие критерии могут включать в себя время отправления, время прибытия, ограничения на предельную скорость на железнодорожном пути локомотивного состава, интенсивность выбросов и ограничения на пройденные расстояния в милях на железнодорожном пути локомотивного состава, а также любые другие критерии, относящиеся к рейсу. Алгоритм 46' используется для того, чтобы вычислять оптимизированный план рейса на основе параметров, включающих в себя локомотив 42', железнодорожный состав 31', железнодорожный путь 34' и цели и задачи. Алгоритм 46' может создавать план рейса на основе моделей режима работы железнодорожного состава по мере того, как железнодорожный состав 31' перемещается по железнодорожному пути 34', в качестве решения нелинейных дифференциальных уравнений, извлеченных из физики с упрощающими допущениями, которые предусмотрены в алгоритме. Алгоритм 46' имеет доступ к информации из элемента 30' определения местоположения, элемента 33' характеристики железнодорожного пути, базы 36' данных и/или датчиков 38'.11 further illustrates a
Для морских транспортных средств процессор 44' не должен рассматривать информацию из элемента 33' характеристики железнодорожного пути, поскольку топология железнодорожного пути не применима к пути морского транспортного средства. Тем не менее, база 36' данных может включать в себя ограничения по звуковым излучениям для каждого места, в том числе портовых и непортовых зон, на основе информации местоположения из элемента 30' определения местоположения. Алгоритм 46' для морских транспортных средств может создавать план рейса по минимизации общего потребления топлива для всех типов топлива, с учетом ограничений на звуковые излучения, например, в каждом регионе. Для внедорожных транспортных средств элемент 33' характеристики пути может предоставлять информацию по топографии заранее определенного курса внедорожного транспортного средства, и база 36' данных может включать в себя ограничения на выбросы и пройденные расстояния в милях для каждого места, как в случае с локомотивами, описанном выше.For marine vehicles, the processor 44 'should not consider information from the railway track characteristic element 33', since the topology of the railway track is not applicable to the marine vehicle track. However, the
В варианте осуществления алгоритм 46' создает план рейса, минимизирующий общее потребление топлива для всех типов топлива локомотивного состава 42', с учетом рабочих критериев для локомотивного состава, в том числе пределов на интенсивность выбросов в ходе рейса. Например, алгоритм 46' может создавать план рейса так, чтобы минимизировать общее потребление топлива для каждого типа топлива из множества типов топлива локомотивного состава 42', с учетом максимальной интенсивности выбросов в 5,5 г/л.с.-час, помимо других вышеописанных рабочих критериев. Более конкретно, алгоритм 46' создает план рейса, минимизирующий общее потребление топлива для каждого типа топлива из множества типов топлива, при этом общее потребление топлива включает в себя взвешенную сумму с весовыми коэффициентами каждого соответствующего потребляемого топлива из каждого соответствующего типа топлива. В соответствии с уравнениями, раскрытыми в предыдущих вариантах осуществления, общее потребление топлива может быть вычислено с помощью уравнения для общей интенсивности потребления топлива на мили, выраженного как:In an embodiment, algorithm 46 'creates a voyage plan that minimizes total fuel consumption for all types of locomotive 42' fuel, taking into account operating criteria for the locomotive, including limits on emissions during the voyage. For example, algorithm 46 'may create a flight plan so as to minimize the total fuel consumption for each type of fuel from a plurality of types of locomotive fuel 42', taking into account a maximum emission rate of 5.5 g / hp-hour, among others described above working criteria. More specifically,
F = k1*F1 + k2*F2 +…F = k1 * F1 + k2 * F2 + ...
где: F - общая эффективность использования топлива (повременной норматив) для всех из множества типов топлива; F1 и F2 - соответствующие эффективности использования топлива для видов топлива 1 и 2; k1 и k2- соответствующие весовые коэффициенты для видов топлива 1 и 2. Хотя повременный норматив эффективности использования топлива приведен выше, он может быть преобразован в дистанционный норматив эффективности использования топлива, и общее потребление топлива соответствующим образом может быть вычислено посредством интегрирования F за расстояние, составляющее полный рейс.where: F is the total fuel efficiency (time-based standard) for all of the many types of fuel; F1 and F2 - the corresponding fuel efficiency for
При минимизации общего потребления топлива для каждого типа топлива алгоритм 46' определяет каждый соответствующий весовой коэффициент для каждого соответствующего типа топлива для плана рейса, который минимизирует общее потребление топлива для множества типов топлива локомотивного состава 42'. Например, если локомотивный состав 42' работает на топливе 1 и 2, алгоритм 46' может создавать план рейса, минимизирующий общее потребление топлива локомотивного состава 42', посредством определения весового коэффициента для топлива 1 равным 0,3 и весового коэффициента для топлива 2 равным 0,7. Каждый весовой коэффициент для каждого типа топлива зависит от множества факторов, в том числе соответствующей интенсивности топливных выбросов, времени года, доступности цены, надежности системы при работе на каждом типе топлива, соответствующей вместимости топливного бака и доступности в месте нахождения. Весовой коэффициент варьируется с интенсивностью топливных выбросов, поскольку конкретный рейс и рабочие критерии могут включать в себя конкретный низкий или высокий предел интенсивности выбросов на основе местоположения, а следовательно, соответствующая интенсивность топливных выбросов рассматривается при оценке весового коэффициента. Доступность места и время года рассматриваются, поскольку одного конкретного топлива может быть в достатке в одно конкретное время года или в конкретном регионе, но мало в другое время года или в другом регионе. Как проиллюстрировано на фиг.3, рассматривается соответствующая вместимость бака, поскольку каждое топливо хранится в соответствующих топливных баках 27, 37, и соответствующие уровни 29, 39 вместительности для этих баков, в сочетании с нормативами пройденного расстояния в милях, указывают оставшийся запас для соответствующего топлива. Алгоритм 46' сравнивает оставшийся запас конкретного топлива с расстоянием до предстоящей остановки локомотивного состава при вычислении каждого весового коэффициента, а также то, доступно ли топливо, которое должно быть повторно заполнено на каждой конкретной остановке.To minimize the total fuel consumption for each type of fuel, algorithm 46 'determines each respective weight coefficient for each respective type of fuel for a voyage plan that minimizes the total fuel consumption for a plurality of locomotive fuel types 42'. For example, if the locomotive 42 'runs on
В варианте осуществления алгоритм 46' создает план рейса, минимизирующий общий выход выбросов каждого типа топлива из множества типов топлива локомотивного состава 42', с учетом рабочих критериев для локомотивного состава, в том числе, к примеру, пределов на норматив для пройденного расстояния в милях в ходе рейса. Например, алгоритм 46' может создавать план рейса так, чтобы минимизировать выход выбросов для каждого типа топлива из множества типов топлива локомотивного состава 42', с учетом максимального норматива на пройденное расстояние в милях в 10 М/Г, помимо других вышеописанных рабочих критериев. Более конкретно, алгоритм 46' создает план рейса, минимизирующий общий выход выбросов для каждого типа топлива из множества типов топлива, при этом общий выход выбросов включает в себя взвешенную сумму с весовыми коэффициентами каждого соответствующего выхода выбросов из каждого соответствующего типа топлива. В соответствии с уравнениями, раскрытыми в предыдущих вариантах осуществления, общей выход выбросов может быть вычислен с помощью уравнения для общей интенсивности потребления выбросов, выраженного как:In an embodiment, algorithm 46 'creates a flight plan that minimizes the total emissions of each type of fuel from a plurality of types of locomotive fuel 42', taking into account operating criteria for a locomotive, including, for example, limits on the standard for the distance traveled in miles in the course of the flight. For example, algorithm 46 'can create a flight plan so as to minimize the emission of emissions for each type of fuel from multiple types of locomotive fuel 42', taking into account the maximum standard for the traveled distance in miles of 10 M / G, in addition to the other working criteria described above. More specifically,
E = l1* E1 + l2*E2 +…E = l1 * E1 + l2 * E2 + ...
где: E - общая интенсивность выбросов (повременной норматив или дистанционный норматив) для всех из множества типов топлива; E1 и E2 - соответствующие интенсивности выбросов для топлива 1 и 2; l1 и l2 - соответствующие весовые коэффициенты для топлива 1 и 2.where: E is the total emission intensity (time-based standard or distance standard) for all of the many types of fuel; E1 and E2 are the corresponding emission intensities for
При минимизации общего выхода выбросов для каждого типа топлива алгоритм 46' определяет каждый соответствующий весовой коэффициент для каждого соответствующего типа топлива для плана рейса, который минимизирует общий выход выбросов для множества типов топлива локомотивного состава 42'. Например, если локомотивный состав 42' работает на топливе 1 и 2, алгоритм 46' может создавать план рейса, минимизирующий общий выход выбросов локомотивного состава 42', посредством определения весового коэффициента для топлива 1 равным 0,8 и весового коэффициента для топлива 2 равным 0,2. Каждый весовой коэффициент для каждого типа топлива зависит от множества факторов, в том числе соответствующей интенсивности топливных выбросов, времени года, доступности цены, надежности топлива, соответствующей вместимости топливного бака и доступности в месте нахождения, в отношении необработанной доступности в каждом месте и региональных ограничений на выбросы в каждом месте. Весовой коэффициент варьируется с нормативом топлива на пройденное расстояние в милях, поскольку конкретный рейс и рабочие критерии могут включать в себя конкретный низкий или высокий предел топлива на пройденное расстояние в милях, а следовательно, соответствующий норматив топлива на пройденное расстояние в милях рассматривается при оценке весового коэффициента. Доступность места и время года рассматриваются, поскольку одного конкретного топлива может быть в достатке в одно конкретное время года или в конкретном регионе, но мало в другое время года или в другом регионе. Как проиллюстрировано на фиг.11, рассматривается соответствующая вместимость бака, поскольку каждое топливо хранится в соответствующих топливных баках 27', 37', и соответствующие уровни 29', 39' вместительности для этих баков, в сочетании с нормативами пройденного расстояния в милях, указывают оставшийся запас для соответствующего топлива. Алгоритм 46' сравнивает оставшийся запас конкретного топлива с расстоянием до предстоящей остановки локомотивного состава при вычислении каждого весового коэффициента, а также то, доступно ли топливо, которое должно быть повторно заполнено на каждой конкретной остановке.To minimize the total emission yield for each type of fuel, algorithm 46 'determines each respective weighting factor for each respective type of fuel for a voyage plan that minimizes the total emission yield for a plurality of locomotive fuel types 42'. For example, if locomotive 42 'runs on
На фиг.11 показаны соответствующие топливные баки 27',37' для соответствующих типов топлива, каждый топливный бак 27', 37' может быть использован для того, чтобы хранить различные типы топлива в различное время в ходе рейса локомотива. Каждый топливный бак 27', 37' может включать в себя датчики для каждого типа топлива. В варианте осуществления каждый датчик может быть использован для того, чтобы идентифицировать, какой тип находится внутри каждого топливного бака 27', 37' в различное время. Датчики могут включать в себя датчики, которые идентифицируют тип топлива в каждом топливном баке 27', 37' на основе информации, предоставляемой в локомотив 10', включая ручные датчики, электронно передаваемую информацию типа топлива из источника топлива, такого как железная дорога или соседний локомотив, и информацию из места, где топливный бак 27', 37' заполняется. Процессор 44' может включать в себя информацию типа топлива для каждого места, где осуществляется заполнение. Датчики могут дополнительно идентифицировать тип топлива в каждом топливном баке 27', 37' на основе свойств типа топлива в каждом баке 27', 37', обнаруженных посредством локомотива. Эти свойства могут включать в себя физические свойства каждого типа топлива, в том числе, например, вязкость и плотность, или химические свойства каждого типа топлива, в том числе, например, топливное число. Эти свойства каждого типа топлива могут быть обнаружены посредством датчиков или устройств в локомотиве. Датчики могут дополнительно идентифицировать тип топлива в каждом топливном баке 27', 37' на основе рабочих характеристик локомотива, таких как, к примеру, характеристики двигателя локомотива, при оценке входных и выходных свойств каждого типа топлива для двигателя. Чтобы двигатель локомотива генерировал 1000 л.с., регулятор топлива может иметь входное требование по хранимому топливу A в 200 галлонов, но требование по топливу B в 250 галлонов. Соответственно, тип топлива в каждом баке 27', 37' может быть идентифицирован посредством сравнения входных и выходных характеристик топлива с характеристиками двигателя локомотива.Figure 11 shows the respective fuel tanks 27 ', 37' for the respective types of fuel, each fuel tank 27 ', 37' can be used to store different types of fuel at different times during the flight of the locomotive. Each
При создании плана рейса и определении каждого весового коэффициента для каждого конкретного топлива из множества типов топлива посредством алгоритма 46', каждый весовой коэффициент может быть сохранен в базе 36' данных для последующего извлечения, когда локомотивный состав 42' возобновляет рейс. Дополнительно, весовые коэффициенты могут быть совместно использованы с другими аналогичными локомотивными составами с тем же самым множеством видов топлива, участвующих в аналогичных рейсах для минимизации общего потребления топлива.When creating a flight plan and determining each weight coefficient for each specific fuel from a plurality of fuel types using algorithm 46 ', each weight coefficient can be stored in a database 36' for later retrieval when the locomotive 42 'resumes the flight. Additionally, weights can be shared with other similar locomotive trains with the same set of fuels involved in similar flights to minimize overall fuel consumption.
Кроме этого, алгоритм 46' может создавать план рейса, устанавливая требуемое время рейса и/или предоставляя надлежащее время работы экипажа на борту локомотивного состава 42'. В варианте осуществления также предусмотрен формирователь, или элемент 51' контроллера. Элемент 51' контроллера используется для управления железнодорожным составом по мере того, как он следует плану рейса. В варианте осуществления элемент 51' контроллера принимает решения по управлению железнодорожным составом автономно. В другом варианте осуществления машинист может участвовать в направлении железнодорожного состава, чтобы следовать плану рейса.In addition, algorithm 46 'can create a flight plan by setting the required flight time and / or by providing the crew with the proper operating time on board the locomotive 42'. An embodiment also provides a driver, or controller element 51 '. The
Изобретение обеспечивает возможность первоначального создания и быстрого изменения "на ходу" любого плана. Это включает в себя создание первоначального плана, когда предполагается большое расстояние, по причине сложности алгоритма оптимизации плана. Когда общая протяженность профиля рейса превышает данное расстояние, алгоритм 46' может быть использован для того, чтобы сегментировать задачу, причем задача может быть разделена на точки маршрута. Хотя поясняется только один алгоритм 46', специалистам в данной области техники ясно, что может быть использовано несколько алгоритмов, причем эти алгоритмы могут быть связаны между собой. Точка маршрута может включать в себя естественные местоположения, где железнодорожный состав 31 останавливается, такие как, но не только, запасные пути, когда встреча с движущимся навстречу железнодорожным составом или пропуск железнодорожного состава позади текущего железнодорожного состава запланированы так, что они могут произойти на одноколейной железной дороге, либо сортировочные запасные пути или станции, где вагоны должны быть собраны и отправлены в путь, либо участки плановой работы. В этих точках маршрута железнодорожному составу 31' может потребоваться быть в нужном месте в запланированное время и остановиться или перемещаться со скоростью в указанном диапазоне. Продолжительность от прибытия до убытия в точках маршрута называется временем отстоя.The invention provides the ability to initially create and quickly change "on the go" any plan. This includes creating an initial plan when a long distance is expected, due to the complexity of the plan optimization algorithm. When the total length of the flight profile exceeds a given distance, algorithm 46 'can be used to segment the task, and the task can be divided into route points. Although only one algorithm 46 'is explained, it will be apparent to those skilled in the art that several algorithms may be used, and these algorithms may be interconnected. A route point may include natural locations where
В варианте осуществления изобретения можно разбивать более длительный рейс на меньшие сегменты специальным систематическим способом. Каждый сегмент может быть в некоторой степени произвольным по длине, но типично выбирается в естественном месте, таком как остановка или значительное ограничение скорости, либо в ключевых столбах с указанием числа миль, которые задают пересечения с другими маршрутами. При создании плана рейса в рамках каждого сегмента посредством алгоритма 46' весовые коэффициенты для общего потребления топлива или общего выхода выбросов по каждому топливу из множества типов топлива в каждом соответствующем сегменте варьируются с длиной сегмента.In an embodiment of the invention, a longer flight can be divided into smaller segments in a special systematic way. Each segment can be somewhat arbitrary in length, but is typically selected in a natural place, such as a stop or significant speed limit, or in key posts indicating the number of miles that define intersections with other routes. When creating a flight plan for each segment using Algorithm 46 ', the weights for the total fuel consumption or the total emission output for each fuel from the set of fuel types in each respective segment vary with the segment length.
Как проиллюстрировано на фиг.12-14, элемент 68' пользовательского интерфейса подключен к процессору и выборочно отображает объем каждого соответствующего типа топлива из множества типов топлива. На фиг.12 элемент 68' пользовательского интерфейса позволяет выбирать из множества различных типов топлива с помощью кнопки 123' выбора и просматривать экономию для каждого конкретного топлива в модуле 125' управления временем прибытия дисплея 68'. На фиг.13 пользователь может выбирать из множества различных типов топлива с помощью кнопки 139' выбора и просматривать запланированную экономию для каждого конкретного топлива в модуле 134' управления временем прибытия дисплея 68'. Дополнительно, на фиг.14 пользователь может выбирать то, какое топливо из множества типов топлива является первичным и вторичным. После задания первичного и вторичного топлива пользователь может нажимать кнопку 79' выбора первичного топлива, чтобы просматривать запланированные оставшиеся мили 81' первичного топлива в соответствующем баке, а также количество первичного топлива с отставанием/опережением плана рейса в модуле 82' дельты топлива. Дополнительно, пользователь может нажимать кнопку 80' выбора вторичного топлива, чтобы просматривать запланированные оставшиеся мили 81' вторичного топлива в соответствующем баке, и аналогично количество вторичного топлива с отставанием/опережением плана рейса в модуле 82' дельты топлива. Чтобы просмотреть планы по смеси первичного и вторичного топлива, пользователь может нажать кнопку 78' выбора смеси топлива. Другие элементы системы 10', не поясненные в данном документе, указанные в первоначальном обозначении, аналогичны этим элементам вышеописанных предшествующих вариантов осуществления, и не требуют дополнительного пояснения в данном документе.As illustrated in FIGS. 12-14, the
Другие элементы системы 10' настоящего изобретения аналогичны элементам вышеописанного варианта осуществления системы 10 настоящего изобретения и не требуют дополнительного пояснения.Other elements of the system 10 'of the present invention are similar to those of the above-described embodiment of the
Другой вариант осуществления настоящего изобретения раскрывает способ управления транспортным средством. Транспортное средство может включать в себя железнодорожный состав 31' с одним или более локомотивными составами 42', как проиллюстрировано на фиг.11, внедорожное транспортное средство (OHV), морское транспортное средство или любое аналогичное транспортное средство, включающее в себя двигатель, работающий на множестве типов топлива. Множество типов топлива включает в себя один или более дизельных типов топлива и один или более альтернативных типов топлива. Более конкретно, каждое альтернативное топливо может включать в себя одно из биодизеля, пальмового масла и репсового масла. Соответственно, способ управления железнодорожным составом 31' с одним или более локомотивными составами 42' аналогично может быть применен к OHV и морским транспортным средствам.Another embodiment of the present invention discloses a method of driving a vehicle. The vehicle may include a train 31 'with one or more locomotive trains 42', as illustrated in FIG. 11, an off-road vehicle (OHV), a marine vehicle, or any similar vehicle including a multi-engine types of fuel. Many types of fuel include one or more diesel types of fuel and one or more alternative types of fuel. More specifically, each alternative fuel may include one of biodiesel, palm oil and rep oil. Accordingly, the control method of the train 31 'with one or more locomotive trains 42' can likewise be applied to OHV and marine vehicles.
Каждый локомотивный состав 42' включает в себя двигатель, работающий на множестве типов топлива. Способ включает в себя определение местоположения локомотивного состава 42', предоставление информации о территории (т.е. железнодорожном пути 34') локомотивного состава 42' и сохранение информации характеристик для каждого типа топлива. Более конкретно, способ включает в себя создание плана рейса, который оптимизирует рабочие характеристики локомотивного состава в соответствии с одним или более рабочими критериями для локомотивного состава.Each locomotive 42 'includes an engine operating on a plurality of fuel types. The method includes locating the locomotive 42 ', providing information about the territory (i.e.,
Информация о характеристиках для каждого типа топлива каждого локомотивного состава включает в себя, по меньшей мере, одно из эффективности использования топлива, эффективности выбросов, соответствующей вместимости бака, доступности цены и доступности в месте нахождения.Information on the characteristics for each type of fuel of each locomotive train includes at least one of the fuel efficiency, emission efficiency, corresponding tank capacity, affordability and location availability.
Создание плана рейса включает в себя минимизацию общего потребления топлива для каждого типа топлива локомотивного состава. Более конкретно, минимизация общего потребления топлива для каждого типа топлива включает в себя минимизацию взвешенной суммы, имеющей весовые коэффициенты каждого соответствующего потребляемого топлива из множества типов топлива. Дополнительно, способ включает в себя определение соответствующих весовых коэффициентов для плана рейса, который минимизирует общее потребление топлива по каждому типу топлива локомотивного состава.Creating a voyage plan involves minimizing the total fuel consumption for each type of locomotive fuel. More specifically, minimizing the total fuel consumption for each type of fuel includes minimizing a weighted amount having weights of each respective fuel consumed from among the plurality of fuels. Additionally, the method includes determining the appropriate weights for the flight plan, which minimizes the total fuel consumption for each type of fuel of the locomotive.
На фиг.15 показан вариант блок-схемы последовательности операции осуществления способа 200 управления, по меньшей мере, одним транспортным средством 31', при этом каждое транспортное средство 31' содержит двигатель, работающий, по меньшей мере, на одном типе топлива. Способ начинается (этап 201) посредством определения (этап 202) местоположения транспортного средства, после чего идет предоставление (этап 204) информации о территории каждого транспортного средства. Дополнительно, способ 200 включает в себя сохранение (этап 206) информации характеристик для каждого типа топлива и создание (этап 208) плана рейса, который оптимизирует рабочие характеристики каждого транспортного средства в соответствии с одним или более рабочими критериями для транспортного средства, до завершения (этап 210).On Fig shows a variant of the flowchart of the implementation of the
На основе вышеприведенного подробного описания способ может быть реализован с помощью методик вычислительного программирования или проектирования, включающих в себя программное обеспечение, микропрограммное обеспечение, аппаратное обеспечение или любую комбинацию, либо поднабор вышеозначенного, при этом технический эффект состоит в том, чтобы оптимизировать рабочие характеристики транспортного средства в соответствии с одним или более рабочими критериями. Любая результирующая программа, имеющая средство машиночитаемого кода, может быть осуществлена или предусмотрена в рамках одного или более машиночитаемых носителей, тем самым создавая компьютерный программный продукт, т.е. изделие согласно варианту осуществления изобретения. Машиночитаемым носителем может быть, например, стационарный (жесткий) диск, дискета, оптический диск, магнитная лента, полупроводниковое запоминающее устройство, такое как постоянное запоминающее устройство (ROM) и т.д., либо любая среда передачи/приема, такая как Интернет либо другая сеть или линия связи. Изделие, содержащее вычислительный код, может быть создано и/или использовано посредством приведения в исполнение кода непосредственно из одного носителя, посредством копирования кода из одного носителя на другой носитель или посредством передачи кода по сети.Based on the above detailed description, the method can be implemented using methods of computational programming or design, including software, firmware, hardware or any combination, or a subset of the above, the technical effect being to optimize the performance of the vehicle in accordance with one or more working criteria. Any resulting program having computer-readable code means can be implemented or provided within one or more computer-readable media, thereby creating a computer program product, i.e. product according to an embodiment of the invention. A computer-readable medium may be, for example, a stationary (hard) disk, a diskette, an optical disk, a magnetic tape, a semiconductor memory device, such as read-only memory (ROM), etc., or any transmission / reception medium such as the Internet or another network or communication line. An article containing computing code can be created and / or used by executing the code directly from one medium, by copying the code from one medium to another medium, or by transmitting the code over a network.
Специалисты в данной области техники легко могут сочетать программное обеспечение, созданное так, как описано, с помощью соответствующих вычислительных аппаратных средств общего или специального назначения, например, микропроцессора, чтобы создавать вычислительную систему или вычислительную подсистему, осуществляющую способ одного варианта осуществления изобретения. Устройством для создания, использования или продажи одного варианта осуществления может быть одна или более систем обработки, в том числе, но не только, центральный процессор (CPU), запоминающее устройство, устройства хранения, линии и устройства связи, серверы, устройства ввода-вывода или любые подкомпоненты одной или более систем обработки, включающие в себя программное обеспечение, микропрограммное обеспечение, аппаратное обеспечение либо любую комбинацию или поднабор вышеозначенного, которые осуществляют вариант осуществления изобретения.Those skilled in the art can easily combine software created as described using appropriate general or special purpose computing hardware, such as a microprocessor, to create a computing system or computing subsystem implementing the method of one embodiment of the invention. A device for creating, using or selling one embodiment may be one or more processing systems, including, but not limited to, a central processing unit (CPU), storage device, storage devices, communication lines and devices, servers, input-output devices, or any subcomponents of one or more processing systems, including software, firmware, hardware, or any combination or subset of the foregoing, that implement an embodiment of the invention electricity.
Хотя вариант осуществления изобретения описан так, как в настоящее время считается предпочтительным вариантом осуществления, множество вариаций и модификаций должны быть очевидными специалистам в данной области техники. Следовательно, варианты осуществления изобретения предназначены для того, чтобы не ограничивать конкретный вариант осуществления, а интерпретироваться полностью в рамках духа и области применения прилагаемой формулы изобретения.Although an embodiment of the invention has been described as is currently considered a preferred embodiment, many variations and modifications will be apparent to those skilled in the art. Therefore, embodiments of the invention are intended not to limit a particular embodiment, but to be interpreted in full within the spirit and scope of the appended claims.
| Application Number | Priority Date | Filing Date | Title | 
|---|---|---|---|
| US87056206P | 2006-12-18 | 2006-12-18 | |
| US60/870,562 | 2006-12-18 | ||
| US11/671,533US7974774B2 (en) | 2006-03-20 | 2007-02-06 | Trip optimization system and method for a vehicle | 
| US11/671,533 | 2007-02-06 | 
| Publication Number | Publication Date | 
|---|---|
| RU2008125850A RU2008125850A (en) | 2009-12-27 | 
| RU2481988C2true RU2481988C2 (en) | 2013-05-20 | 
| Publication number | Priority date | Publication date | Assignee | Title | 
|---|---|---|---|---|
| WO2016068749A1 (en)* | 2014-10-31 | 2016-05-06 | Общество с ограниченной ответственностью "Смартвиз" | Motor vehicle control method and system for achieving optimum energy efficiency | 
| RU2671602C1 (en)* | 2015-01-05 | 2018-11-02 | Ниссан Мотор Ко., Лтд. | Device for forming of a target route and the device for controlling the drive | 
| RU2671790C1 (en)* | 2018-01-09 | 2018-11-06 | Акционерное общество Научно-исследовательский и проектно-конструкторский институт информатизации, автоматизации и связи на железнодорожном транспорте | System for managing work of distributing stations according to direction of the railway network | 
| RU2707855C1 (en)* | 2017-11-17 | 2019-11-29 | Тойота Дзидося Кабусики Кайся | Autonomous driving system (versions) | 
| CN114104043A (en)* | 2020-08-25 | 2022-03-01 | 比亚迪股份有限公司 | Method, device and vehicle for controlling a vehicle | 
| Publication number | Priority date | Publication date | Assignee | Title | 
|---|---|---|---|---|
| EP1136969A2 (en)* | 2000-03-15 | 2001-09-26 | New York Air Brake Corporation | Method of optimizing train operation and training | 
| RU2237589C1 (en)* | 2003-07-14 | 2004-10-10 | Омский государственный университет путей сообщения | Method of selection of most economical conditions of train movement on definite section of way | 
| RU2238860C1 (en)* | 2003-11-12 | 2004-10-27 | Закрытое акционерное общество "Отраслевой центр внедрения новой техники и технологий" | System for automatic driving of freight trains of increased mass and length with locomotives distributed over length of train | 
| Publication number | Priority date | Publication date | Assignee | Title | 
|---|---|---|---|---|
| EP1136969A2 (en)* | 2000-03-15 | 2001-09-26 | New York Air Brake Corporation | Method of optimizing train operation and training | 
| RU2237589C1 (en)* | 2003-07-14 | 2004-10-10 | Омский государственный университет путей сообщения | Method of selection of most economical conditions of train movement on definite section of way | 
| RU2238860C1 (en)* | 2003-11-12 | 2004-10-27 | Закрытое акционерное общество "Отраслевой центр внедрения новой техники и технологий" | System for automatic driving of freight trains of increased mass and length with locomotives distributed over length of train | 
| Publication number | Priority date | Publication date | Assignee | Title | 
|---|---|---|---|---|
| WO2016068749A1 (en)* | 2014-10-31 | 2016-05-06 | Общество с ограниченной ответственностью "Смартвиз" | Motor vehicle control method and system for achieving optimum energy efficiency | 
| EA031738B1 (en)* | 2014-10-31 | 2019-02-28 | Общество с ограниченной ответственностью "Смартвиз" | Method and system for energy-optimized driving a motor vehicle | 
| RU2671602C1 (en)* | 2015-01-05 | 2018-11-02 | Ниссан Мотор Ко., Лтд. | Device for forming of a target route and the device for controlling the drive | 
| RU2707855C1 (en)* | 2017-11-17 | 2019-11-29 | Тойота Дзидося Кабусики Кайся | Autonomous driving system (versions) | 
| US11768500B2 (en) | 2017-11-17 | 2023-09-26 | Toyota Jidosha Kabushiki Kaisha | Autonomous driving system | 
| RU2671790C1 (en)* | 2018-01-09 | 2018-11-06 | Акционерное общество Научно-исследовательский и проектно-конструкторский институт информатизации, автоматизации и связи на железнодорожном транспорте | System for managing work of distributing stations according to direction of the railway network | 
| CN114104043A (en)* | 2020-08-25 | 2022-03-01 | 比亚迪股份有限公司 | Method, device and vehicle for controlling a vehicle | 
| Publication | Publication Date | Title | 
|---|---|---|
| RU2469387C2 (en) | Method, system and computer software code for trip optimisation with train/track database augmentation | |
| RU2501695C2 (en) | System and method for optimisation of train haul | |
| US7974774B2 (en) | Trip optimization system and method for a vehicle | |
| JP5593066B2 (en) | Train travel optimization system, method and computer program | |
| US9266542B2 (en) | System and method for optimized fuel efficiency and emission output of a diesel powered system | |
| CN102026841B (en) | System and method for management energy storage capacity in maneuvering system | |
| US8398405B2 (en) | System, method, and computer software code for instructing an operator to control a powered system having an autonomous controller | |
| US8295993B2 (en) | System, method, and computer software code for optimizing speed regulation of a remotely controlled powered system | |
| US20070225878A1 (en) | Trip optimization system and method for a train | |
| US20080183490A1 (en) | Method and computer software code for implementing a revised mission plan for a powered system | |
| US20080125924A1 (en) | System, method, and computer software code for optimized fuel efficiency emission output, and mission performance of a diesel powered system | |
| EA025731B1 (en) | Method for controlling a powered system based on mission plan | |
| US8494696B2 (en) | System, method, and computer software code for improved fuel efficiency emission output, and mission performance of a powered system | |
| WO2008073547A2 (en) | Trip optimization system and method for a diesel powered system | |
| CN101378942A (en) | Trip optimization system and method for a vehicle | |
| CN101495929B (en) | Method, system and computer software code for trip optimization with train/track database augmentation | |
| RU2481988C2 (en) | System and method for optimisation of vehicle cruise | |
| RU2484994C2 (en) | System and method for optimisation of train cruise | |
| RU2466049C2 (en) | System and method to optimise parameters of multiple railway transport facilities running in railway networks with multiple crossings | |
| JP5469463B2 (en) | Navigation optimization system and method for trains | |
| MX2008003365A (en) | Trip optimization system and method for a vehicle | |
| MX2008003359A (en) | System and method for optimizing parameters of multiple rail vehicles operating over multiple intersecting railroad networks |