
















ПЕРЕКРЕСТНАЯ ССЫЛКА НА СВЯЗАННЫЕ ЗАЯВКИCROSS REFERENCE TO RELATED APPLICATIONS
По данной заявке испрашивается приоритет согласно 35 U.S.C. § 119(e) по предварительной патентной заявке США с серийным номером № 60/709950, поданной 19 августа 2005 года, и предварительной патентной заявке с серийным номером № 60/787558, поданной 30 марта 2006 года, описания которых включены в настоящее описание в качестве ссылок в полном объеме.This application claims priority according to 35 U.S.C. § 119 (e) for U.S. provisional patent
ОБЛАСТЬ ТЕХНИКИFIELD OF TECHNOLOGY
Настоящее изобретение относится к композициям и способам для применения для направленной доставки лекарственного средства. В частности, настоящее изобретение относится к конъюгатам лиганда, включающим два или более лекарственных средств и их аналогов и производных, таким как конъюгаты связывающих рецептор для витамина соединений и двух или более лекарственных средств.The present invention relates to compositions and methods for use for targeted drug delivery. In particular, the present invention relates to ligand conjugates comprising two or more drugs and their analogs and derivatives, such as vitamin A receptor binding conjugates and two or more drugs.
УРОВЕНЬ ТЕХНИКИBACKGROUND
Иммунная система млекопитающих обладает средствами для распознавания и устранения опухолевых клеток, других патогенных клеток и проникающих чужеродных патогенов. Несмотря на то что в норме иммунная система обеспечивает интенсивную защиту, существует много примеров, когда опухолевые клетки, другие патогенные клетки или инфекционные агенты не поддаются иммунному ответу хозяина и пролиферируют или персистируют с сопутствующей патогенностью для хозяина. Для устранения, например, воспроизводящихся новообразований были разработаны химиотерапевтические средства и лучевая терапия. Однако многие из имеющихся в настоящее время химиотерапевтических средств и схем лучевой терапии обладают неблагоприятными побочными эффектами, поскольку они действуют не только посредством уничтожения патогенных клеток, но также они повреждают нормальные клетки организма-хозяина, такие как клетки кроветворной системы. Неблагоприятные побочные эффекты этих лекарственных средств против злокачественной опухоли демонстрируют необходимость в разработке новых лекарственных средств против патогенных популяций клеток, обладающих сниженной токсичностью для хозяина.The mammalian immune system has the ability to recognize and eliminate tumor cells, other pathogenic cells and penetrating foreign pathogens. Although the immune system normally provides intensive protection, there are many examples where tumor cells, other pathogenic cells, or infectious agents do not respond to the host’s immune response and proliferate or persist with concomitant host pathogenicity. To eliminate, for example, reproducing neoplasms, chemotherapeutic agents and radiation therapy have been developed. However, many of the currently available chemotherapeutic agents and radiation therapy regimens have adverse side effects because they not only act by killing pathogenic cells, but they also damage normal host cells, such as blood-forming cells. The adverse side effects of these drugs against malignant tumors demonstrate the need to develop new drugs against pathogenic populations of cells with reduced toxicity to the host.
Исследователи разработали терапевтические протоколы для уничтожения патогенных клеток посредством нацеливания на такие клетки цитотоксических соединений. Во многих из этих протоколов с целью минимизировать доставку токсина к нормальным клеткам применяют токсины, конъюгированные с антителами, которые связываются с антигенами, присущими только патогенным клеткам или сверхэспрессирующимися ими. С использованием этого подхода были разработаны определенные иммунотоксины, состоящие из антител, направленных на определенные антигены на патогенных клетках, где антитела связаны с токсинами, такими как рицин, экзотоксинPseudomonas, дифтерийный токсин и фактор некроза опухоли. Эти иммунотоксины нацелены на патогенные клетки, такие как опухолевые клетки, обладающие определенными антигенами, распознаваемыми антителом (Olsnes S., Immunol. Today, 10, p. 291-295, 1989; Melby EL., Cancer Res., 53(8), p. 1755-1760, 1993; Better M.D., международная публикация PCT № WO 91/07418, опубликованная 30 мая 1991).Researchers have developed therapeutic protocols for killing pathogenic cells by targeting cytotoxic compounds to such cells. In many of these protocols, toxins that are conjugated to antibodies that bind to antigens that are unique to or pathogenic to cells of the pathogen are used to minimize toxin delivery to normal cells. Using this approach, specific immunotoxins have been developed, consisting of antibodies directed at specific antigens on pathogenic cells, where the antibodies are bound to toxins such as ricin,Pseudomonas exotoxin, diphtheria toxin and tumor necrosis factor. These immunotoxins target pathogenic cells, such as tumor cells, having certain antigens recognized by the antibody (Olsnes S., Immunol. Today, 10, p. 291-295, 1989; Melby EL., Cancer Res., 53 (8), p. 1755-1760, 1993; Better MD, PCT International Publication No. WO 91/07418, published May 30, 1991).
Другим подходом для нацеливания на популяции патогенных клеток, таких как злокачественные клетки или чужеродные патогены, в организме-хозяине является повышение иммунного ответа хозяина против патогенных клеток для избежания необходимости введения соединений, которые также могут обладать независимой токсичностью для хозяина. Одной описанной стратегией для иммунотерапии является связывание антител, например, полученных способами генетической инженерии мультимерных антител, с поверхностью опухолевых клеток для экспонирования константного участка антител на клеточной поверхности и, таким образом, для индукции уничтожения опухолевых клеток различными опосредуемыми иммунной системой процессами (De Vita V.T., Biologic Therapy of Cancer, 2d ed. Philadelphia, Lippincott, 1995; Soulillou J.P., патент США № 5672486). Однако эти подходы были осложнены трудностями, связанными с определением опухолеспецифических антигенов.Another approach for targeting populations of pathogenic cells, such as malignant cells or foreign pathogens, in the host is to increase the host's immune response against pathogenic cells to avoid the need for administration of compounds that may also have independent toxicity to the host. One described strategy for immunotherapy is the binding of antibodies, for example, obtained by genetic engineering of multimeric antibodies, to the surface of tumor cells to expose a constant region of antibodies on the cell surface and, thus, to induce the destruction of tumor cells by various immune-mediated processes (De Vita VT, Biologic Therapy of Cancer, 2d ed. Philadelphia, Lippincott, 1995; Soulillou JP, U.S. Patent No. 5672486). However, these approaches have been complicated by the difficulties associated with the determination of tumor-specific antigens.
СУЩНОСТЬ ИЗОБРЕТЕНИЯSUMMARY OF THE INVENTION
В настоящем описании описаны конъюгаты лиганда с лекарственными средствами и их аналоги и производные. Конъюгаты включают связывающие клеточный рецептор лиганды, которые ковалентно связаны с двумя или более лекарственными средствами, которые могут быть нацелены на клетки. Конъюгаты, описанные в настоящем описании, также могут включать поливалентный линкер для присоединения лигандов к лекарственным средствам.In the present description describes the ligand conjugates with drugs and their analogues and derivatives. Conjugates include cell receptor binding ligands that are covalently linked to two or more drugs that can be targeted to cells. The conjugates described herein may also include a polyvalent linker for attaching ligands to drugs.
В одном варианте осуществления описан связывающий рецептор конъюгат лекарственного средства. Конъюгат для доставки лекарственного средства включает лиганд для рецептора клеточной поверхности, два или более лекарственных средств или их аналоги или производные и необязательно поливалентный линкер, который, главным образом, может быть представлен формулойIn one embodiment, a receptor-binding drug conjugate is described. A drug delivery conjugate includes a ligand for a cell surface receptor, two or more drugs or their analogs or derivatives, and optionally a polyvalent linker, which mainly can be represented by the formula
(B)-(L)-(D)n(B) - (L) - (D)n
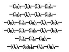
где (В) представляет собой связывающую рецептор группу; (D) представляет собой лекарственное средство или его аналог или производное, подлежащее нацеливанию на клетку с помощью связывающей рецептор группы; (L) представляет собой поливалентный линкер и n представляет собой число, большее 1. Поливалентный линкер (L) может содержать несколько линкеров, ковалентно связанных друг с другом. Например, поливалентный линкер (L) может содержать один или несколько спейсерных линкеров (lS) и/или высвобождаемых линкеров (lr), где они соединены друг с другом и с лигандом и с лекарственным средством посредством одного или нескольких линкеров с гетероатомами (lн). Эти различные линкеры можно выбирать и размещать в любом порядке для конструирования поливалентного линкера (L). В качестве примера, поливалентный линкер (L) можно конструировать из одного или нескольких из следующих двухвалентных линкеров:where (B) represents a receptor binding group; (D) is a drug or its analogue or derivative to be targeted to a cell using a receptor-binding group; (L) is a polyvalent linker and n is a number greater than 1. The polyvalent linker (L) may contain several linkers covalently linked to each other. For example, a polyvalent linker (L) may contain one or more spacer linkers (lS ) and / or releasable linkers (lr ), where they are connected to each other and to the ligand and to the drug via one or more linkers with heteroatoms (lm ). These various linkers can be selected and arranged in any order to construct the polyvalent linker (L). As an example, a polyvalent linker (L) can be constructed from one or more of the following divalent linkers:
где а, b, с, d и e представляют собой целые числа, такие как числа из диапазона от 0 до приблизительно 4, и (lS), (lн) и (lr) представляют собой спейсерные линкеры, высвобождаемые линкеры, линкеры с гетероатомами соответственно. Дополнительные иллюстративные примеры двухвалентных линкеров, которые можно использовать для конструирования поливалентных линкеров, описанных в настоящем описании, описаны в патентной заявке США с серийным № 10/765336 (также встречающейся как публикация патентной заявки США № US 2005/0002942 А1) и международной публикации РСТ № WO 2006/012527, описания которых включены в настоящее описание в качестве ссылок в полном объеме.where a, b, c, d and e are integers, such as numbers from the range from 0 to about 4, and (lS ), (ln ) and (lr ) are spacer linkers, releasable linkers, linkers with heteroatoms, respectively. Further illustrative examples of divalent linkers that can be used to construct the polyvalent linkers described herein are described in US Patent Application Serial No. 10/765336 (also found as US Patent Application Publication No. US 2005/0002942 A1) and PCT International Publication No. WO 2006/012527, the descriptions of which are incorporated herein by reference in full.
Следует понимать, что поливалентные линкеры могут соединять связывающую рецептор группу с двумя или более лекарственными средствами в виде множества структурных конфигураций, включая, но не ограничиваясь ими, следующие иллюстративные общие формулы:It should be understood that polyvalent linkers can combine a receptor-binding group with two or more drugs in the form of a variety of structural configurations, including, but not limited to, the following illustrative general formulas:
где В представляет собой связывающий рецептор лиганд, каждый из (L1), (L2) и (L3) представляет собой поливалентный линкер, сконструированный из одного или нескольких спейсерных линкеров, высвобождаемых линкеров или линкеров с гетероатомами, и каждый из (D1), D2 и D3 представляет собой лекарственное средство или его аналог или производное. Также в настоящем описании рассматривают другие варианты, включающие дополнительные лекарственные средства или их аналоги или производные, дополнительные линкеры и дополнительные конфигурации по расположению каждого из (В), (L) и (D).where B is a ligand binding receptor, each of (L1 ), (L2 ) and (L3 ) is a polyvalent linker constructed from one or more spacer linkers, releasable linkers or linkers with heteroatoms, and each of (D1 ), D2 and D3 is a drug or its analogue or derivative. Also in the present description, other options are considered, including additional drugs or their analogues or derivatives, additional linkers and additional configurations for the location of each of (B), (L) and (D).
В одном варианте в конъюгаты для доставки лекарственного средства, описанные в настоящем описании, включено более одного связывающего рецептор лиганда, включая, но не ограничиваясь ими, следующие иллюстративные общие формулы:In one embodiment, the drug delivery conjugates described herein comprise more than one ligand receptor binding, including, but not limited to, the following illustrative general formulas:
где каждый В представляет собой связывающий рецептор лиганд, каждый из (L1), (L2) и (L3) представляет собой поливалентный линкер, сконструированный из одного или нескольких спейсерных линкеров, высвобождаемых линкеров и/или линкеров с гетероатомами, и каждый из (D1), D2 и D3 представляет собой лекарственное средство или его аналог или производное. Также в настоящем описании рассматривают другие варианты, включающие дополнительные лекарственные средства или их аналоги или производные, дополнительные линкеры и дополнительные конфигурации по расположению каждого из (В), (L) и (D). В одном варианте связывающие рецептор лиганды предназначены для одного и того же рецептора, и в другом варианте связывающие рецептор лиганды предназначены для различных рецепторов.where each B represents a ligand binding receptor, each of (L1 ), (L2 ) and (L3 ) is a polyvalent linker constructed from one or more spacer linkers, released linkers and / or linkers with heteroatoms, and each of (D1 ), D2 and D3 is a drug or its analogue or derivative. Also in the present description, other options are considered, including additional drugs or their analogues or derivatives, additional linkers and additional configurations for the location of each of (B), (L) and (D). In one embodiment, receptor binding ligands are for the same receptor, and in another embodiment, receptor binding ligands are for different receptors.
В одном иллюстративном варианте осуществления конъюгатов для доставки лекарственного средства, описанных в настоящем описании, поливалентный линкер включает по меньшей мере один высвобождаемый линкер (lr). В другом иллюстративном варианте осуществления конъюгатов для доставки лекарственного средства, описанных в настоящем описании, поливалентный линкер включает по меньшей мере два высвобождаемых линкера (lr)2. В другом иллюстративном аспекте поливалентный линкер (L) включает по меньшей мере один высвобождаемый линкер (lr), который представляет собой не дисульфидный высвобождаемый линкер. В другом иллюстративном аспекте поливалентный линкер (L) обладает по меньшей мере двумя высвобождаемыми линкерами (lr)2, где один высвобождаемый линкер представляет собой не дисульфидный высвобождаемый линкер. Понятно, что, когда в поливалентный линкер включено более одного высвобождаемого линкера, эти высвобождаемые линкеры могут быть соседними. Далее, понятно, что, когда в поливалентном линкере два высвобождаемых линкера являются соседними, два высвобождаемых линкера могут совместно обеспечивать высвобождение лекарственного средства.In one illustrative embodiment of the drug delivery conjugates described herein, the polyvalent linker includes at least one releasable linker (lr ). In another illustrative embodiment of the drug delivery conjugates described herein, the polyvalent linker comprises at least two releasable linkers (lr )2 . In another illustrative aspect, the polyvalent linker (L) includes at least one releasable linker (lr ), which is a non-disulfide releasable linker. In another illustrative aspect, the polyvalent linker (L) has at least two releasable linkers (lr )2 , wherein one releasable linker is a non-disulfide releasable linker. It will be appreciated that when more than one releasable linker is included in the polyvalent linker, these releasable linkers may be adjacent. Further, it is understood that when in a polyvalent linker the two releasable linkers are adjacent, the two releasable linkers may together provide a release of the drug.
В другом варианте осуществления поливалентный линкер включает по меньшей мере один спейсерный линкер, который представляет собой пептид, образованный из аминокислот. В одном аспекте пептид включает встречающиеся в природе аминокислоты и их стереоизомеры. В другом аспекте пептид образован только из встречающихся в природе аминокислот и их стереоизомеров.In another embodiment, the polyvalent linker includes at least one spacer linker, which is a peptide derived from amino acids. In one aspect, the peptide includes naturally occurring amino acids and their stereoisomers. In another aspect, the peptide is formed only from naturally occurring amino acids and their stereoisomers.
Лиганды, описанные в настоящем описании, как правило, включают лиганды рецепторов клеточной поверхности. Иллюстративные лиганды, пригодные в конъюгатах, описанных в настоящем описании, включают, но не ограничиваются ими, витамины и другие группы, которые связываются с рецептором для витамина, переносчиком или другим представленным на поверхности белком, который специфично связывает витамины или их аналоги или производные, пептидные лиганды, идентифицированные посредством скрининга библиотеки, специфичные в отношении опухолевых клеток пептиды, специфичные в отношении опухолевых клеток аптамеры, специфичные в отношении опухолевых клеток углеводы, специфичные в отношении опухолевых клеток моноклональные или поликлональные антитела. Fab или scFv (т.е. одноцепочечный вариабельный участок) фрагменты антител, например, такие как Fab-фрагмент антитела, направленный против EphA2 или других белков, специфично экспрессируемых или доступных только на метастазирующих злокачественных клетках, низкомолекулярные органические молекулы, образованные из комбинаторных библиотек, факторы роста, такие как EGF, FGF, инсулин и инсулинподобные факторы роста, и гомологичные полипептиды, соматостатин и его аналоги, трансферрин, комплексы липопротеинов, соли желчных кислот, селектины, стероидные гормоны, содержащие Arg-Gly-Asp пептиды, ретиноиды, различные галектины, лиганды δ-опиодиных рецепторов, лиганды рецептора для холицистокинина А, лиганды, специфичные для рецепторов для ангиотензина AT1 или АТ2, лиганды для пероксисомных пролифератор-активируемых рецепторов λ, β-лактамные антибиотики, такие как пенициллин, низкомолекулярные органические молекулы, включающие противомикробные лекарственные средства, и другие молекулы, которые специфично связываются с рецептором, предпочтительно экспрессируемым на поверхности опухолевых клеток или на инфекционном организме, противомикробные и другие лекарственные средства, разработанные для встраивания в связывающий карман конкретного рецептора, на основе кристаллической структуры рецептора или другого белка клеточной поверхности, лиганды опухолевых антигенов или другие молекулы, предпочтительно экспрессируемые на поверхности опухолевых клеток, или фрагменты любой из этих молекул.Ligands described herein typically include cell surface receptor ligands. Illustrative ligands useful in the conjugates described herein include, but are not limited to, vitamins and other groups that bind to a vitamin receptor, carrier, or other surface-represented protein that specifically binds vitamins or their analogues or peptide derivatives ligands identified by screening the library, tumor cell specific peptides, tumor cell specific aptamers specific to tumor cells carbohydrates specific for tumor cells are monoclonal or polyclonal antibodies. Fab or scFv (i.e., single chain variable region) antibody fragments, for example, such as a Fab fragment of an antibody directed against EphA2 or other proteins specifically expressed or accessible only on metastatic malignant cells, low molecular weight organic molecules formed from combinatorial libraries, growth factors such as EGF, FGF, insulin and insulin-like growth factors, and homologous polypeptides, somatostatin and its analogues, transferrin, lipoprotein complexes, bile salts, selectins, steroid monomers containing Arg-Gly-Asp peptides, retinoids, various galectins, ligands of δ-opioid receptors, ligands of the receptor for cholicystokinin A, ligands specific for receptors for angiotensin AT1 or AT2, ligands for peroxisome proliferative-activated λ, β-lactam receptors antibiotics such as penicillin, low molecular weight organic molecules including antimicrobial drugs, and other molecules that specifically bind to a receptor, preferably expressed on the surface of tumor cells or on an infectious organism, antimicrobial and other drugs designed to be inserted into the binding pocket of a particular receptor, based on the crystal structure of the receptor or other cell surface protein, tumor antigen ligands or other molecules, preferably expressed on the surface of tumor cells, or fragments of any of these molecules.
Опухолеспецифические антигены, которые могут функционировать в качестве участка для связывания для конъюгатов лиганд-лекарственное средство, включают внеклеточные эпитопы членов семейства белков эфринов, таких как EphA2. Экспрессия EphA2 в нормальных клетках ограничена областями соединения клеток, однако в метастазирующих опухолевых клетках EphA2 распределен по всей поверхности клеток. Таким образом, EphA2 на метастазирующих клетках может быть доступным для связывания, например, с Fab-фрагментом антитела, конъюгированным с лекарственным средством, или его аналогом или производным, в то время как на нормальных клетках белок не является доступным для связывания с Fab-фрагментом, что приводит к тому, что конъюгат лиганд-лекарственное средство является специфичным в отношении метастазирующих злокачественных клеток.Tumor-specific antigens that can function as a binding site for the ligand-drug conjugates include extracellular epitopes of members of the family of etrin proteins, such as EphA2. Expression of EphA2 in normal cells is limited to the regions of cell connection, however, in metastatic tumor cells, EphA2 is distributed over the entire surface of the cells. Thus, EphA2 on metastatic cells may be available for binding, for example, to a Fab fragment of an antibody conjugated to a drug or its analogue or derivative, while on normal cells, the protein is not available for binding to a Fab fragment, which leads to the fact that the ligand drug conjugate is specific for metastatic malignant cells.
Лекарственные средства и их различные аналоги и производные, описанные в настоящем описании, главным образом, представляют собой лекарственные средства для устранения, уничтожения, препятствования росту и/или снижения роста популяции патогенных клеток, включающих инфекционных агентов, злокачественные опухоли, опухоли и т.п. Кроме того, лекарственные средства и их различные аналоги и производные, пригодные в конъюгатах, описанных в настоящем описании, могут обладать широким множеством механизмов действия, включая, но не ограничиваясь ими, алкилирующие средства, ингибиторы микротрубочек, включающие ингибиторы, которые стабилизируют и/или дестабилизируют образование микротрубочек, включая средства на основе бета-тубулина, ингибиторы циклинзависимых киназ (CDK), такие как CDKN1a, CDKN1b и т.п., ингибиторы топоизомеразы, ингибиторы белкового синтеза, ингибиторы протеинкиназ, включающие ингибиторы Ras, Raf, РКС, PI3K и т.п., ингибиторы транскрипции, антифолаты, блокаторы белков теплового шока и т.п.The drugs and their various analogs and derivatives described herein are mainly drugs for eliminating, killing, inhibiting the growth and / or reducing the growth of a population of pathogenic cells, including infectious agents, malignant tumors, tumors, and the like. In addition, drugs and their various analogues and derivatives useful in the conjugates described herein may have a wide variety of mechanisms of action, including, but not limited to, alkylating agents, microtubule inhibitors, including inhibitors that stabilize and / or destabilize microtubule formation, including beta-tubulin-based agents, cyclin-dependent kinase (CDK) inhibitors such as CDKN1a, CDKN1b and the like, topoisomerase inhibitors, protein synthesis inhibitors, protea inhibitors kinase inhibitors, including Ras, Raf, PKC, PI3K, and like inhibitors, transcription, antifolates, heat shock protein blockers, and the like
В другом варианте осуществления описана фармацевтическая композиция. Фармацевтическая композиция содержит конъюгат для доставки лекарственного средства, описанный в настоящем описании, в сочетании с фармацевтически приемлемым носителем, наполнителем и/или разбавителем для него.In another embodiment, a pharmaceutical composition is described. The pharmaceutical composition comprises a drug delivery conjugate described herein in combination with a pharmaceutically acceptable carrier, excipient and / or diluent for it.
В другом варианте осуществления описан способ устранения популяции патогенных клеток в животном-хозяине. В одном иллюстративном аспекте члены патогенной клеточной популяции обладают доступным участком для связывания связывающей рецептор группы или ее аналога или производного, и этот участок связывания экспрессируется только патогенными клетками, сверхэкспрессируется или предпочтительно экспрессируется ими. Способ включает стадию введения хозяину конъюгата для доставки лекарственного средства, описанного в настоящем описании, или его фармацевтической композиции, как описано в настоящем описании.In another embodiment, a method for eliminating a population of pathogenic cells in an animal host is described. In one illustrative aspect, members of a pathogenic cell population have an accessible site for binding to a receptor binding group or its analogue or derivative, and this binding site is expressed only by pathogenic cells, overexpressed or preferably expressed by them. The method includes the step of administering to the host a conjugate for delivering the drug described herein or its pharmaceutical composition as described herein.
КРАТКОЕ ОПИСАНИЕ РИСУНКОВBRIEF DESCRIPTION OF THE DRAWINGS
На ФИГ.1А представлена относительная аффинность связывания соединения примера 9 (■, 0,24) относительно фолиевой кислоты (●, 1,0) с рецептором фолиевой кислоты.FIG. 1A shows the relative binding affinity of the compound of Example 9 (■, 0.24) relative to folic acid (●, 1.0) with a folic acid receptor.
На ФИГ.1В представлена активность соединения примера 9 в отношении включения3H-тимидина в клетки KB при избытке фолиевой кислоты (о) и без него (●); IC50 соединения примера 2 составляет приблизительно 58 нМ.FIG. 1B shows the activity of the compound of Example 9 with respect to the incorporation of3 H-thymidine into KB cells with an excess of folic acid (o) and without it (●); The IC50 of the compound of Example 2 is approximately 58 nM.
На ФИГ.2 представлена относительная аффинность связывания соединения примера 11 (■, 0,21) относительно фолиевой кислоты (●, 1,0) с рецепторами фолиевой кислоты.FIG. 2 shows the relative binding affinity of the compound of Example 11 (■, 0.21) for folic acid (●, 1.0) with folic acid receptors.
На ФИГ.3 представлена активность соединения примера 11 (конъюгат с несколькими лекарственными средствами) в отношении включения3H-тимидина при избытке фолиевой кислоты (о) и без него (●); IC50 соединения примера 11=5 нМ.Figure 3 presents the activity of the compounds of example 11 (conjugate with several drugs) in relation to the inclusion of3 H-thymidine with an excess of folic acid (o) and without it (●); IC50 of the compound of Example 11 = 5 nM.
На ФИГ.4 представлена цитотоксическая активность соединения примера 11 in vitro (а) в отношении трех различных опухолевых клеточных линий (KB, 4T-1c12 и ID8-C115) по сравнению с соединением примера 11+ избыток фолиевой кислоты (b).FIG. 4 shows the cytotoxic activity of the compound of Example 11 in vitro (a) against three different tumor cell lines (KB, 4T-1c12 and ID8-C115) as compared to the compound of Example 11+ an excess of folic acid (b).
На ФИГ.5А представлена активность соединения примера 11 при 1 мкмоль/кг TIW (6 доз) (●) и 2 мкмоль/кг TIW (6 доз) (▼) в отношении FR-положительных опухолей М109 у мышей Balb/c относительно контролей без введения (■).FIG. 5A shows the activity of the compound of Example 11 at 1 μmol / kg TIW (6 doses) (●) and 2 μmol / kg TIW (6 doses) (▼) against FR-positive M109 tumors in Balb / c mice relative to controls without introduction (■).
На ФИГ.5В представлено отсутствие эффекта соединения примера 11 при 1 мкмоль/кг TIW (6 доз) (●) и 2 мкмоль/кг TIW (6 доз) (▼) на массу мышей Balb/c относительно контролей без введения (■).FIG. 5B shows the absence of the effect of the compound of Example 11 at 1 μmol / kg TIW (6 doses) (●) and 2 μmol / kg TIW (6 doses) (▼) on the weight of Balb / c mice relative to controls without administration (■).
На ФИГ.6 представлена активность соединения примера 11 при 1 мкмоль/кг TIW в течение 2 недель (6 доз) на FR-положительные опухоли KB с 40 мкмоль/кг ЕС20 (комплекс рения) (□) и без него (■) относительно контролей без введения (●); соединение примера II отдельно показало 5/5 полных ответов; соединение примера 11+ЕС20 показали 0/5 полных ответов.FIG. 6 shows the activity of the compound of Example 11 at 1 μmol / kg TIW for 2 weeks (6 doses) on FR-positive KB tumors with 40 μmol / kg EC20 (rhenium complex) (□) and without it (■) relative to the controls without introduction (●); the compound of example II separately showed 5/5 complete responses; the compound of example 11 + EC20 showed 0/5 complete answers.
На ФИГ.7 представлено отсутствие эффекта соединения примера 11 при 1 мкмоль/кг TIW в течение 2 недель (6 доз) на массу мышей nu/nu с 40 мкмоль/кг ЕС20 (комплекс рения) (D) и без него (■) относительно контролей без введения (●).FIG. 7 shows the absence of the effect of the compound of Example 11 at 1 μmol / kg TIW for 2 weeks (6 doses) on the weight of nu / nu mice with 40 μmol / kg EC20 (rhenium complex) (D) and without it (■) relative to controls without introduction (●).
На ФИГ.8 представлена активность соединения примера 11 при 1 мкмоль/кг TIW в течение 2 недель (6 доз) в отношении подкожных ксенотрансплантатов опухолей KB человека, имплантированных мышам nude с 40 мкмоль/кг ЕС20 (комплекс рения) (b) и без него (с) относительно контролей без введения (а); соединение примера 11 отдельно показало 5/5 полных ответов; соединение примера 11+ЕС20 показали 0/5 полных ответов.FIG. 8 shows the activity of the compound of Example 11 at 1 μmol / kg TIW for 2 weeks (6 doses) against subcutaneous xenografts of human KB tumors implanted in nude mice with 40 μmol / kg EC20 (rhenium complex) (b) and without it (c) with respect to controls without administration of (a); the compound of example 11 alone showed 5/5 complete responses; the compound of example 11 + EC20 showed 0/5 complete answers.
На ФИГ.9 представлено отсутствие эффекта соединения примера 11 при 1 мкмоль/кг TIW в течение 2 недель (6 доз) на массу мышей nude с 40 мкмоль/кг ЕС20 (комплекс рения) (b) и без него (с) относительно контролей без введения (а).FIG. 9 shows the absence of the effect of the compound of Example 11 at 1 μmol / kg TIW for 2 weeks (6 doses) on the weight of nude mice with 40 μmol / kg EC20 (rhenium complex) (b) and without it (c) relative to controls without introduction (a).
На ФИГ.10 представлена активность соединения примера 11 при 2 мкмоль/кг TIW (е) на положительные в отношении рецептора для фолата опухоли человека у мышей nude по сравнению со смесью неконъюгированных основных лекарственных средств, митомицином С и дезацетилвинбластином моногидразидом при 0,5 мкмоль/кг TIW (b), 1 мкмоль/кг TIW (с) и 2 мкмоль/кг TIW (d) и по сравнению с контролями без введения (а).FIG. 10 shows the activity of the compound of Example 11 at 2 μmol / kg TIW (e) positive for the folate receptor for human tumors in nude mice compared to a mixture of unconjugated essential drugs, mitomycin C and deacetylvinblastin monohydrazide at 0.5 μmol / kg TIW (b), 1 μmol / kg TIW (s) and 2 μmol / kg TIW (d) and compared with controls without administration (a).
На ФИГ.11 представлено отсутствие эффекта соединения примера 11 при 2 мкмоль/кг TIW в течение 2 недель (е) на массу мышей nude по сравнению с контролями (а). Снижение массы происходило при всех трех дозах смеси неконъюгированных основных лекарственных средств, митомицина С и дезацетилвинбластина моногидразида (0,5 мкмоль/кг TIW (b), 1 мкмоль/кг TIW (с), 2 мкмоль/кг TIW (d)). Введение высокой дозы (d) прекратили ранее 20 суток.Figure 11 shows the absence of the effect of the compound of example 11 at 2 μmol / kg TIW for 2 weeks (e) on the weight of nude mice compared to controls (a). Weight reduction occurred at all three doses of a mixture of unconjugated essential drugs, mitomycin C and deacetylvinblastin monohydrazide (0.5 μmol / kg TIW (b), 1 μmol / kg TIW (s), 2 μmol / kg TIW (d)). The administration of a high dose (d) was stopped before 20 days.
На ФИГ.12 представлена активность соединения примера 11 в отношении крупных опухолей KB трех размеров, 250 мм3 (b), 500 мм3(с) и 750 мм3 (d) у мышей nu/nu при 2 мкмоль/кг TIW в течение 2 недель по сравнению с контролями (а).12 shows the activity of the compound of example 11 in relation to large KB tumors of three sizes, 250 mm3 (b), 500 mm3 (s) and 750 mm3 (d) in nu / nu mice at 2 μmol / kg TIW for 2 weeks compared with controls (a).
На ФИГ.13 представлена активность соединения примера 11 (е) по сравнению с конъюгатами только одного лекарственного средства митомицина С (b), дезацетилвинбластина моногидразида (с) или смеси этих двух конъюгатов с одним лекарственным средством (d) по сравнению с контролями (а).FIG. 13 shows the activity of the compound of Example 11 (e) compared to conjugates of only one drug mitomycin C (b), deacetylvinblastin monohydrazide (c), or a mixture of these two conjugates with one drug (d) compared to controls (a) .
На ФИГ.14 представлено отсутствие активности соединения примера 11 (b) при введении 2 мкмоль/кг TIW в течение двух недель в отношении отрицательных по рецептору для фолата опухолей 4Т1 у мышей Ваblb/с по сравнению с контролями (а). Данные на ФИГ.14 показывают, что соединение примера 11 (b) не обладает никаким эффектом на опухоли по сравнению с контролями (а) вследствие отсутствия рецепторов для фолата на этих опухолях.FIG. 14 shows the lack of activity of the compound of Example 11 (b) when 2 μmol / kg TIW was administered for two weeks against 4T1 tumor negative receptor folate in Babb / c mice compared to controls (a). The data in FIG. 14 show that the compound of Example 11 (b) has no effect on tumors compared to controls (a) due to the lack of folate receptors on these tumors.
На ФИГ.15 представлена активность соединения примера 12 в отношении включения3H-тимидина в FR-положительные клетки КВ.FIG. 15 shows the activity of the compound of Example 12 with respect to the incorporation of3 H-thymidine into FR-positive KB cells.
ПОДРОБНОЕ ОПИСАНИЕDETAILED DESCRIPTION
В настоящем описании описаны конъюгаты лиганда с лекарственными средствами, и их аналогами и производными. Конъюгаты включают связывающие клеточный рецептор лиганды, включая лиганды для рецепторов клеточной поверхности, которые ковалентно присоединены к двум или более лекарственным средствам, которые могут быть нацелены на клетки, включая патогенные клетки. Конъюгаты, описанные в настоящем описании, также могут включать поливалентный линкер для присоединения лигандов к лекарственным средствам.In the present description, conjugates of a ligand with drugs and their analogs and derivatives are described. Conjugates include cell receptor binding ligands, including cell surface receptor ligands that are covalently attached to two or more drugs that can target cells, including pathogenic cells. The conjugates described herein may also include a polyvalent linker for attaching ligands to drugs.
Описаны связывающие рецептор конъюгаты для доставки лекарственного средства, содержащие связывающую рецептор группу (В), поливалентный линкер (L) и два или более лекарственных средств, или аналогов лекарственных средств, или производных лекарственных средств, (D)n, где n больше или равно 2. В конъюгатах для доставки, описанных в настоящем описании, каждый из связывающей рецептор группы (В) и двух или более лекарственных средств (D)n связаны с поливалентным линкером (L) через независимо выбранный линкер с гетероатомом (lн). Поливалентный линкер (L) содержит один или несколько спейсерных линкеров, линкеров с гетероатомом и высвобождаемых линкеров и их сочетания в любом порядке.Described receptor-binding drug delivery conjugates comprising a receptor-binding group (B), a polyvalent linker (L) and two or more drugs, or drug analogs, or drug derivatives, (D)n , where n is greater than or equal to 2 In the delivery conjugates described herein, each of the receptor-binding group (B) and two or more drugs (D)n are linked to a polyvalent linker (L) via an independently selected heteroatom linker (ln ). The polyvalent linker (L) contains one or more spacer linkers, heteroatom linkers and releasable linkers, and combinations thereof in any order.
В одном варианте осуществления описан связывающий рецептор конъюгат для доставки лекарственного средства. Конъюгат для доставки лекарственного средства содержит лиганд, такой как лиганд для рецептора клеточной поверхности, два или более лекарственных средств или их аналогов или производных и необязательно поливалентный линкер, который, главным образом, может быть представлен формулойIn one embodiment, a receptor-binding drug delivery conjugate is described. The drug delivery conjugate comprises a ligand, such as a cell surface receptor ligand, two or more drugs or their analogs or derivatives, and an optionally polyvalent linker, which can mainly be represented by the formula
(B)-(L)-(D)n(B) - (L) - (D)n
где (В) представляет собой связывающую рецептор группу; (D) представляет собой лекарственное средство или его аналог или производное, подлежащее нацеливанию на клетку посредством связывающей рецептор группы; (L) представляет собой поливалентный линкер и n представляет собой целое число, большее 1. Поливалентный линкер (L) может содержать несколько линкеров, ковалентно связанных друг с другом. Например, поливалентный линкер (L) может содержать один или несколько спейсерных линкеров (lS) и/или высвобождаемых линкеров (lr), где все они соединены другим с другом и с лигандом и лекарственном средством посредством одного или нескольких линкеров с гетероатомом (lH). Для конструирования поливалентного линкера (L) эти различные линкеры можно выбирать и располагать в любом порядке.where (B) represents a receptor binding group; (D) is a drug or its analogue or derivative to be targeted to a cell via a receptor-binding group; (L) is a polyvalent linker and n is an integer greater than 1. The polyvalent linker (L) may contain several linkers covalently linked to each other. For example, a polyvalent linker (L) may contain one or more spacer linkers (lS ) and / or releasable linkers (lr ), where they are all connected to each other and to the ligand and drug via one or more linkers with a heteroatom (lH ). To construct the polyvalent linker (L), these various linkers can be selected and arranged in any order.
В качестве иллюстративного примера поливалентный линкер (L) может быть сконструирован из одного или нескольких из следующих двухвалентных линкеров:As an illustrative example, a polyvalent linker (L) can be constructed from one or more of the following divalent linkers:
где а, b, с, d и е представляют собой целые числа, такие как числа из диапазона от 0 до приблизительно 4, и (lS), (lн) и (lr) представляют собой спейсерные линкеры, высвобождаемые линкеры, линкеры с гетероатомом соответственно. Дополнительные иллюстративные примеры двухвалентных линкеров, которые можно использовать для конструирования поливалентных линкеров, описанных в настоящем описании, описаны в патентной заявке США с серийным № 10/765336 (также встречающейся как публикация патентной заявки США № US 2005/0002942 А1) и в международной публикации РСТ № WO 2006/012527, описание которых включено в настоящее описание в качестве ссылок в полном объеме.where a, b, c, d and e are integers, such as numbers from the range from 0 to about 4, and (lS ), (ln ) and (lr ) are spacer linkers, releasable linkers, linkers with a heteroatom, respectively. Further illustrative examples of divalent linkers that can be used to construct the polyvalent linkers described herein are described in US Patent Application Serial No. 10/765336 (also found as US Patent Application Publication No. US 2005/0002942 A1) and in PCT International Publication No. WO 2006/012527, the description of which is incorporated into this description by reference in full.
Следует понимать, что поливалентные линкеры могут соединять связывающую рецептор группу с двумя или более лекарственными средствами в виде разнообразных структурных конфигураций, включая, но не ограничиваясь ими, следующие иллюстративные общие формулы:It should be understood that polyvalent linkers can combine a receptor-binding group with two or more drugs in the form of a variety of structural configurations, including, but not limited to, the following illustrative general formulas:
где В представляет собой связывающий рецептор лиганд, каждый из (L1), (L2) и (L3) представляет собой поливалентный линкер, сконструированный из одного или нескольких спейсерных линкеров, высвобождаемых линкеров и/или линкеров с гетероатомами, и каждый из (D1), D2 и D3 представляет собой лекарственное средство или его аналог или производное. Также в настоящем описании рассматривают другие варианты, включая дополнительные лекарственные средства или их аналоги или производные, дополнительные линкеры и дополнительные конфигурации по расположению каждого из (В), (L) и (D).where B is a ligand binding receptor, each of (L1 ), (L2 ) and (L3 ) is a polyvalent linker constructed from one or more spacer linkers, released linkers and / or linkers with heteroatoms, and each of ( D1 ), D2 and D3 is a drug or its analogue or derivative. Also in the present description, other options are considered, including additional drugs or their analogues or derivatives, additional linkers and additional configurations for the location of each of (B), (L) and (D).
В одном варианте в конъюгаты для доставки лекарственного средства, описанные в настоящем описании, включено более одного связывающего рецептор лиганда, включая, но не ограничиваясь ими, следующие иллюстративные общие формулы:In one embodiment, the drug delivery conjugates described herein comprise more than one ligand receptor binding, including, but not limited to, the following illustrative general formulas:
где каждый В представляет собой связывающий рецептор лиганд, каждый из (L1), (L2) и (L3) представляет собой поливалентный линкер, сконструированный из одного или нескольких спейсерных линкеров, высвобождаемых линкеров и/или линкеров с гетероатомами, и каждый из (D1), D2 и D3 представляет собой лекарственное средство или его аналог или производное. Также в настоящем описании рассмотрены другие варианты, включающие дополнительные лекарственные средства или их аналоги или производные, дополнительные линкеры и дополнительные конфигурации по расположению каждого из (В), (L) и (D). В одном варианте связывающие рецептор лиганды представляют собой лиганды для одного и того же рецептора, и в другом варианте связывающие рецептор лиганды представляют собой лиганды для различных рецепторов. Понятно, и как показано выше в формулах, что в конъюгаты для доставки лекарственного средства, описанные в настоящем описании, может быть включено более одного поливалентного линкера. Понятно, что в одном аспекте количество линкеров выбирают в зависимости от конфигурации связывающих рецептор лигандов и лекарственных средств.where each B represents a ligand binding receptor, each of (L1 ), (L2 ) and (L3 ) is a polyvalent linker constructed from one or more spacer linkers, released linkers and / or linkers with heteroatoms, and each of (D1 ), D2 and D3 is a drug or its analogue or derivative. Also described in the present description are other options, including additional drugs or their analogues or derivatives, additional linkers and additional configurations for the location of each of (B), (L) and (D). In one embodiment, receptor-binding ligands are ligands for the same receptor, and in another embodiment, receptor-binding ligands are ligands for different receptors. It is understood, and as shown in the above formulas, that more than one polyvalent linker may be included in the drug delivery conjugates described herein. It is understood that, in one aspect, the number of linkers is selected depending on the configuration of the receptor binding ligands and drugs.
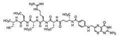
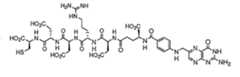
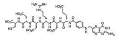
Например, в одном иллюстративном варианте осуществления способа, посредством которого ковалентно связывают линкеры для образования поливалентного линкера, или части поливалентного линкера, линкеры с гетероатомом, спейсерные линкеры и высвобождаемые линкеры соединяют с образованием поливалентной группы формулы:For example, in one illustrative embodiment of the method by which linkers are covalently linked to form a polyvalent linker, or portions of a polyvalent linker, heteroatom linkers, spacer linkers, and releasable linkers are combined to form a multivalent group of the formula:
где формула также может быть изображена какwhere the formula can also be depicted as
где (ls)1 представляет собой трипептид Asp-Asp-Asp, (lS)2 представляет собой Cys, (lr)1 представляет собой S-S, (lS)3представляет собой СН2СН2, (lн)1 представляет собой О, (lr)2представляет собой C(O)NHNH, (lS)4 представляет собой o-Lys, (lS)5представляет собой С(O)СН2СН2, (lr)3 представляет собой S-S и (lS)6 представляет собой CH2CH2.where (ls )1 is an Asp-Asp-Asp tripeptide, (lS )2 is Cys, (lr )1 is SS, (lS )3 is CH2 CH2 , (ln )1 represents O, (lr )2 represents C (O) NHNH, (lS )4 represents o-Lys, (lS )5 represents C (O) CH2 CH2 , (lr )3 represents SS and (lS )6 represents CH2 CH2 .
Лиганды для рецепторов клеточной поверхности, пригодные для описанных в настоящем описании конъюгатов, включают, но не ограничиваются ими, витамины и другие группы, которые связываются с рецептором для витамина, переносчиком или другим представленным на поверхности белком, который специфично связывает витамины или их аналоги или производные, пептидные лиганды, идентифицированные посредством скрининга библиотек, специфичные в отношении опухолевых клеток пептиды, специфичные в отношении опухолевых клеток аптамеры, специфичные в отношении опухолевых клеток углеводы, специфичные в отношении опухолевых клеток моноклональные или поликлональные антитела, фрагменты антител Fab или scFv (т.е. одноцепочечный вариабельный участок) например, такой как Fab-фрагмент антитела, направленного на ЕрhА2 или другие белки, специфично экспрессируемые или имеющиеся только на метастазирующих злокачественных клетках, низкомолекулярные органические молекулы, образованные из комбинаторных библиотек, факторы роста, такие как EGF, FGF, инсулин и инсулиноподобные факторы роста, и гомологичные полипептиды, соматостатин и его аналоги, трансферрин, комплексы липопротеинов, соли желчных кислот, селектины, стероидные гормоны, содержащие пептиды Arg-Gly-Asp, ретиноиды, различные галектины, лиганды δ-опиодного рецептора, лиганды рецептора для холицистокинина А, лиганды, специфичные для рецепторов для ангиотензина AT1 или АТ2, лиганды для пероксисомных пролифератор-активируемых рецепторов λ, β-лактамные антибиотики, такие как пенициллин, низкомолекулярные органические молекулы, включающие противомикробные лекарственные средства, и другие молекулы, которые специфично связываются с рецептором, предпочтительно экспрессируемым на поверхности опухолевых клеток или на инфекционном организме, противомикробные и другие лекарственные средства, разработанные для встраивания в связывающий карман конкретного рецептора, на основе кристаллической структуры рецептора или другого белка клеточной поверхности, лиганды опухолевых антигенов или другие молекулы, предпочтительно экспрессируемые на поверхности опухолевых клеток, или фрагменты любой из этих молекул. Пример опухолеспецифического антигена, который может функционировать в качестве участка для связывания для конъюгатов лиганд-лекарственное средство, включает внеклеточные эпитопы члена семейства белков эфринов, такого как EphA2. Экспрессия EphA2 в нормальных клетках ограничена областями соединения клеток, однако EphA2 распределен по всей поверхности клеток в метастазирующих опухолевых клетках. Таким образом, EphA2 на метастазирующих клетках может быть доступным для связывания, например, с Fab-фрагментом антитела, конъюгированным с лекарственным средством или его аналогом или производным, в то время как белок не является доступным для связывания с Fab-фрагментом на нормальных клетках, что приводит к тому, что конъюгат лиганд-лекарственное средство является специфичным в отношении метастазирующих злокачественных клеток.Cell surface receptor ligands suitable for conjugates described herein include, but are not limited to, vitamins and other groups that bind to a vitamin receptor, carrier, or other surface protein that specifically binds vitamins or their analogues or derivatives peptide ligands identified by screening of libraries, tumor cell specific peptides, tumor cell specific aptamers specific for tumor cells carbohydrates specific for tumor cells monoclonal or polyclonal antibodies, fragments of Fab or scFv antibodies (i.e. a single-stranded variable region) for example, such as a Fab fragment of an antibody directed to EphA2 or other proteins specifically expressed or available only on metastatic malignant cells, low molecular weight organic molecules formed from combinatorial libraries, growth factors such as EGF, FGF, insulin and insulin-like growth factors, and homologous to polype poultry, somatostatin and its analogues, transferrin, lipoprotein complexes, bile salts, selectins, steroid hormones containing Arg-Gly-Asp peptides, retinoids, various galectins, δ-opioid receptor ligands, receptor ligands for cholicystokinin A, ligands specific for receptors for angiotensin AT1 or AT2, ligands for peroxisome proliferator-activated receptors λ, β-lactam antibiotics such as penicillin, low molecular weight organic molecules including antimicrobial drugs, and other molecules ulcers that specifically bind to a receptor, preferably expressed on the surface of tumor cells or on an infectious organism, antimicrobial and other drugs designed to be inserted into the binding pocket of a specific receptor, based on the crystal structure of the receptor or other cell surface protein, tumor antigen ligands or other molecules, preferably expressed on the surface of tumor cells, or fragments of any of these molecules. An example of a tumor-specific antigen that can function as a binding site for the ligand-drug conjugates includes extracellular epitopes of a member of the etrin family of proteins, such as EphA2. The expression of EphA2 in normal cells is limited to the regions of the cell junction, however, EphA2 is distributed over the entire surface of the cells in metastatic tumor cells. Thus, EphA2 on metastatic cells may be available for binding, for example, to a Fab fragment of an antibody conjugated to a drug or its analogue or derivative, while the protein is not available to bind to a Fab fragment on normal cells, which leads to the fact that the ligand-drug conjugate is specific for metastatic malignant cells.
В одном варианте осуществления связывающая рецептор группа представляет собой витамин или связывающий рецептор для витамина его аналог или производное, такой как витамины и их аналоги и производные, которые способны связывать рецепторы для витаминов.In one embodiment, the receptor-binding group is a vitamin or vitamin-binding receptor analogue or derivative thereof, such as vitamins and their analogs and derivatives, which are capable of binding to vitamin receptors.
Витамины, которые можно использовать в соответствии со способами и соединениями, описанными в настоящем описании, включают карнитин, инозитол, липоевую кислоту, пиридоксаль, аскорбиновую кислоту, ниацин, пантотеновую кислоту, фолиевую кислоту, рибофлавин, тиамин, биотин, витамин В12, витамины A, D, Е и K, другие сходные молекулы витаминов, их аналоги и производные и их сочетания. Эти витамины и их связывающие рецептор аналоги и производные представляют собой иллюстративные группы для нацеливания, которые можно присоединять к соединениям лекарственного средства или их аналогам или производным, посредством поливалентных линкеров (L), описанных в настоящем описании, для получения конъюгатов для доставки лекарственного средства.Vitamins that can be used in accordance with the methods and compounds described herein include carnitine, inositol, lipoic acid, pyridoxal, ascorbic acid, niacin, pantothenic acid, folic acid, riboflavin, thiamine, biotin, vitamin B12, vitamins A, D, E and K, other similar molecules of vitamins, their analogues and derivatives and their combinations. These vitamins and their receptor binding analogs and derivatives are illustrative targeting groups that can be attached to drug compounds or their analogs or derivatives via the polyvalent linkers (L) described herein to formulate drug delivery conjugates.
В одном иллюстративном аспекте витамин может представлять собой фолиевую кислоту, аналог фолиевой кислоты или другую связывающую рецептор для фолата молекулу. Иллюстративные примеры аналогов фолата, которые можно использовать, включают фолиновую кислоту, птероилполиглутаминовую кислоту, птероевую кислоту и другие их аминокислотные производные и связывающие рецептор для фолата птеридины, такие как тетрагидроптерины, дигидрофолаты, тетрагидрофолаты, и их деаза- и дидеаза-аналоги. Термины "деаза"- и "дидеаза"-аналоги относится к известным в данной области аналогам, имеющим атом углерода, замещенный одним или двумя атомами азота во встречающейся в природе структуре фолиевой кислоты. Например, деаза-аналоги включают 1-деаза-, 3-деаза-, 5-деаза-, 8-деаза- и 10-деаза-аналоги. Дидеаза-аналоги включают, например, 1,5-дидеаза-, 5,10-дидеаза-, 8,10-дидеаза- и 5,8-дидеаза-аналоги. Указанные выше аналоги фолиевой кислоты обычно называют "фолатами", что отражает их способность связываться с рецепторами для фолата. Другие связывающие рецептор для фолата аналоги включают аминоптерин, аметоптерин (метотрексат), N10-метилфолат, 2-дезаминогидроксифолат, деаза-аналоги, такие как 1-деазаметоптерин или 3-деазаметоптерин и 3',5'-дихлор-4-амино-4-дезокси-N10-метилптероилглутаминовая кислота (дихлорметотрексат). Другие пригодные лиганды, способные связываться с рецепторами для фолата для запуска опосредуемого рецептором эндоцитозного транспорта конъюгата для доставки лекарственного средства, включают антитела к рецептору для фолата. Таким образом, в одном иллюстративном аспекте для запуска трансмембранного транспорта комплекса можно использовать соединение барвинка в комплексе с антителом к рецептору для фолата.In one illustrative aspect, the vitamin may be folic acid, a folic acid analog, or another folate binding receptor molecule. Illustrative examples of folate analogs that can be used include folic acid, pteroyl polyglutamic acid, pteroic acid and other amino acid derivatives thereof and folate receptor-binding pteridins, such as tetrahydropterins, dihydrofolates, tetrahydrofolates, and their dease and didease analogues. The terms "dease" and "didease" analogs refer to analogues known in the art having a carbon atom substituted with one or two nitrogen atoms in the naturally occurring structure of folic acid. For example, dease analogs include 1-dease, 3-dease, 5-dease, 8-dease, and 10-dease analogues. Didease analogues include, for example, 1,5-didease-, 5,10-didease-, 8,10-didease- and 5,8-didease-analogues. The folic acid analogs mentioned above are commonly referred to as “folates,” which reflects their ability to bind to folate receptors. Other folate receptor-binding analogs include aminopterin, amethopterin (methotrexate), N10 -methyl folate, 2-deaminohydroxypholate, dease analogues such as 1-deazameopterin or 3-deazameteropterin and 3 ', 5'-dichloro-4-amino-4 -deoxy-N10 -methylpteroylglutamic acid (dichloromethotrexate). Other suitable ligands capable of binding to folate receptors to trigger the receptor-mediated endocytotic transport of the drug delivery conjugate include antibodies to the folate receptor. Thus, in one illustrative aspect, a periwinkle complex in combination with an folate receptor antibody can be used to trigger transmembrane transport of the complex.
Иллюстративные варианты осуществления аналогов и/или производных витаминов также включают аналоги и производные биотина, такие как биоцитин, биотина сульфоксид, оксибиотин и другие связывающие рецептор для биотина соединения и т.п. Понятно, что также в настоящем описании рассматривают аналоги и производные других витаминов, описанных в настоящем описании.Illustrative embodiments of analogs and / or derivatives of vitamins also include analogs and derivatives of biotin, such as biocytin, biotin sulfoxide, oxybiotin and other biotin receptor binding compounds and the like. It is understood that analogs and derivatives of other vitamins described herein are also contemplated herein.
В настоящем описании рассматривают любую форму описанных конъюгатов, и она определяется тем, каким образом соединены лекарственные средства, связывающая рецептор группа и различные поливалентные линкеры. В одном аспекте общая трехмерная форма описанных в настоящем описании конъюгатов является линейной. В другом аспекте общая трехмерная форма описанных в настоящем описании конъюгатов представляет собой форму "Y" или "Т". В другом аспекте общая форма описанных в настоящем описании конъюгатов представляют собой форму "X" или форму креста.Any form of the described conjugates is contemplated herein, and it is determined by the manner in which the drugs, the receptor-binding group, and the various polyvalent linkers are linked. In one aspect, the overall three-dimensional form of the conjugates described herein is linear. In another aspect, the general three-dimensional shape of the conjugates described herein is a “Y” or “T” shape. In another aspect, the general form of the conjugates described herein is form “X” or the shape of a cross.
В одном иллюстративном варианте осуществления конъюгатов для доставки лекарственного средства, описанных в настоящем описании, поливалентный линкер включает по меньшей мере один высвобождаемый линкер (lr). В другом иллюстративном варианте осуществления конъюгатов для доставки лекарственного средства, описанных в настоящем описании, поливалентный линкер включает по меньшей мере два высвобождаемых линкера (lr)2. В другом иллюстративном аспекте поливалентный линкер (L) включает по меньшей мере один высвобождаемый линкер (lr), который представляет собой не дисульфидный высвобождаемый линкер. В другом иллюстративном аспекте поливалентный линкер (L) обладает по меньшей мере двумя высвобождаемыми линкерами (lr)2, где один высвобождаемый линкер представляет собой не дисульфидный высвобождаемый линкер. Понятно, что, когда в поливалентный линкер включено более одного высвобождаемого линкера, эти высвобождаемые линкеры могут быть соседними. Далее, понятно, что, когда два высвобождаемых линкера являются соседними в поливалентном линкере, два высвобождаемых линкера могут совместно обеспечивать высвобождение лекарственного средства. Как используют в настоящем описании, термин "высвобождаемый линкер" и также известный как "расщепляемый линкер" относится к линкеру, который включает по меньшей мере одну связь, которая может разрушаться в физиологических условиях (например, рН-лабильную, неустойчивую к кислотам, неустойчивую к окислению или неустойчивую к ферментам связь). Следует понимать, что такие физиологические условия, приводящие к разрушению связи, включают стандартные реакции химического гидролиза, которые проходят, например, при физиологических значениях рН или в результате компартментализации в клеточной органелле, такой как эндосома, имеющей более низкие значения рН, чем цитозольные значения рН.In one illustrative embodiment of the drug delivery conjugates described herein, the polyvalent linker includes at least one releasable linker (lr ). In another illustrative embodiment of the drug delivery conjugates described herein, the polyvalent linker comprises at least two releasable linkers (lr )2 . In another illustrative aspect, the polyvalent linker (L) includes at least one releasable linker (lr ), which is a non-disulfide releasable linker. In another illustrative aspect, the polyvalent linker (L) has at least two releasable linkers (lr )2 , wherein one releasable linker is a non-disulfide releasable linker. It will be appreciated that when more than one releasable linker is included in the polyvalent linker, these releasable linkers may be adjacent. Further, it is understood that when two releasable linkers are adjacent in the polyvalent linker, two releasable linkers may together provide a release of the drug. As used herein, the term “releasable linker” and also known as “cleavable linker” refers to a linker that includes at least one bond that can break down under physiological conditions (eg, pH-labile, acid-unstable, unstable to oxidation or enzyme unstable bond). It should be understood that such physiological conditions leading to bond breakdown include standard chemical hydrolysis reactions that take place, for example, at physiological pH values or as a result of compartmentalization in a cell organelle, such as an endosome, having lower pH values than cytosolic pH values .
Понятно, что расщепляемая связь может соединять два соседних атома в высвобождаемом линкере, и/или она может соединять другие линкеры или (В) и/или (D), как описано в настоящем описании, на любом или обоих концах высвобождаемого линкера. В случае когда расщепляемая связь соединяет два соседних атома в высвобождаемом линкере, после разрушения связи высвобождаемый линкер разделяется на два или более фрагментов. Альтернативно в случае, если расщепляемая связь расположена между высвобождаемым линкером и другой группой, такой как линкер с гетероатомом, спейсерный линкер, другой высвобождаемый линкер, лекарственное средство или его аналог или производное или витамин или его аналог или производное, то после разрушения связи высвобождаемый линкер отделяется от другой группы.It is understood that a cleavable bond can connect two adjacent atoms in a releasable linker, and / or it can join other linkers or (B) and / or (D), as described herein, at either or both ends of the releasable linker. In the case where the cleavable bond joins two adjacent atoms in the released linker, after the bond is broken, the released linker is split into two or more fragments. Alternatively, if the cleavable bond is located between the released linker and another group, such as a linker with a heteroatom, a spacer linker, another released linker, a drug or its analogue or derivative or vitamin or its analogue or derivative, then after the bond is broken, the released linker is separated from another group.
Лабильность расщепляемой связи можно корректировать, например, посредством замещения в расщепляемой связи или рядом с ней, такого как включение альфа-ветвления рядом с расщепляемой дисульфидной связью, повышение гидрофобности заместителей на оксиде кремния в группе, имеющей связь оксид кремния-кислород, которая может быть гидролизована, получение гомологов алкоксигрупп, которые могут образовывать часть кеталя или ацеталя, которая может быть гидролизована и т.п.The lability of the cleavable bond can be corrected, for example, by substitution in or near the cleavable bond, such as the inclusion of alpha branching next to the cleavable disulfide bond, increasing the hydrophobicity of the substituents on silica in the group having a silica-oxygen bond that can be hydrolyzed obtaining homologues of alkoxy groups which can form part of a ketal or acetal, which can be hydrolyzed, and the like.
Иллюстративные механизмы для расщепления двухвалентных линкеров, описанных в настоящем описании, включают следующие механизмы 1,4- и 1,6-фрагментацииIllustrative mechanisms for the cleavage of divalent linkers described herein include the following 1,4- and 1,6-fragmentation mechanisms
где Х представляет собой экзогенный или эндогенный нуклеофил, глутатион или биологический восстановитель и т.п. и каждый из Z или Z' представляет собой витамин или его аналог или производное, или лекарственное средство или его аналог или производное, или группу витамина или лекарственного средства, соединенную с другой частью поливалентного линкера. Следует понимать, что, несмотря на то что указанные выше механизмы фрагментации изображены в качестве согласованных механизмов, для достижения окончательной фрагментации поливалентного линкера до представленных конечных продуктов может быть проведено любое количество отдельных стадий. Например, следует понимать, что расщепление связи также может происходить посредством катализируемого кислотой удаления группы карбамата, которому может анхимерно способствовать стабилизация, обеспечиваемая либо арильной группой бета-серы, либо дисульфидом, иллюстрированными в представленных выше примерах. В таких вариантах этого варианта осуществления высвобождаемый линкер представляет собой группу карбамата. Альтернативно фрагментация может быть запущена нуклеофильной атакой на дисульфидную группу, вызывающей расщепление с образованием тиолята. Тиолят может внутримолекулярно вытеснять группу угольной кислоты или карбаминовой кислоты и образовывать соответствующий тиациклопропан. В случае содержащих бензил поливалентных линкеров после иллюстративного расщепления дисульфидной связи полученный фенилтиолят далее может быть фрагментирован с высвобождением группы угольной кислоты или карбаминовой кислоты посредством образования промежуточного соединения со стабилизированным резонансом. В любом из этих случаев высвобождаемый характер иллюстративных поливалентных линкеров, описанных в настоящем описании, может быть реализован любым механизмом, который может быть связан с имеющимися химическими, метаболическими, физиологическими или биологическими условиями.where X is an exogenous or endogenous nucleophile, glutathione or biological reducing agent, and the like. and each of Z or Z 'is a vitamin or an analogue or derivative thereof, or a medicine or its analogue or derivative, or a vitamin or drug group, connected to another part of the polyvalent linker. It should be understood that, although the above fragmentation mechanisms are depicted as coordinated mechanisms, any number of separate steps can be performed to achieve the final fragmentation of the polyvalent linker to the final products presented. For example, it should be understood that bond cleavage can also occur through acid-catalyzed removal of the carbamate group, which can be stabilized by an animerically stabilization provided by either the aryl beta-sulfur group or disulfide illustrated in the examples above. In such embodiments of this embodiment, the release linker is a carbamate group. Alternatively, fragmentation can be triggered by a nucleophilic attack on a disulfide group, causing cleavage to form thiolate. The thiolate can intramolecularly displace the carbonic acid or carbamic acid group and form the corresponding thiacyclopropane. In the case of benzyl-containing polyvalent linkers, after illustrative cleavage of the disulfide bond, the obtained phenylthiolate can then be fragmented to release a carbonic acid or carbamic acid group by forming an intermediate compound with stabilized resonance. In any of these cases, the released nature of the illustrative polyvalent linkers described herein may be implemented by any mechanism that may be associated with existing chemical, metabolic, physiological or biological conditions.
Другие иллюстративные механизмы для расщепления связи высвобождаемого линкера включают расщепление при помощи оксония следующим образом:Other illustrative mechanisms for cleaving a link of a released linker include cleavage with oxonium as follows:
где Z представляет собой витамин или его аналог или производное или лекарственное средство или его аналог или производное или каждый из них представляет собой группу витамина или лекарственного средства совместно с другими частями поливалентного линкера, такую как группа лекарственного средства или витамина, включающая один или несколько спейсерных линкеров, линкеров с гетероатомом и/или других высвобождаемых линкеров. В этом варианте осуществления катализируемое кислотой удаление карбамата приводит к высвобождению СО2 и содержащей азот группы, присоединенной к Z, и образованию катиона бензила, который может улавливаться водой, или любого другого основания Льюиса.where Z represents a vitamin or its analogue or derivative or a medicine or its analogue or derivative or each of them represents a group of a vitamin or a medicine together with other parts of a polyvalent linker, such as a group of a medicine or vitamin including one or more spacer linkers , heteroatom linkers and / or other releasable linkers. In this embodiment, acid-catalyzed removal of carbamate results in the release of CO2 and a nitrogen-containing group attached to Z and the formation of a benzyl cation, which can be trapped in water, or any other Lewis base.
Другой иллюстративный механизм включает расположение высвобождаемого линкера, спейсерного линкера и линкера с гетероатомом таким образом, чтобы после расщепления связи в поливалентном линкере высвобождаемые функциональные группы химически способствовали разрушению или расщеплению дополнительных связей, также называемому расщеплением или разрушением при помощи анхимерного эффекта. Иллюстративный вариант осуществления такого поливалентного линкера или его части включает соединения формулы:Another exemplary mechanism involves the arrangement of the releasable linker, spacer linker, and linker with a heteroatom so that, after cleavage of the bond in the polyvalent linker, the liberated functional groups chemically contribute to the breakdown or cleavage of the additional bonds, also called cleavage or breakdown, by animeric effect. An exemplary embodiment of such a polyvalent linker or part thereof includes compounds of the formula:
где Х представляет собой гетероатом, такой как азот, кислород или сера, n представляет собой целое число, выбранное из 0, 1, 2 и 3, R представляет собой водород или заместитель, включающий заместитель, способный стабилизировать положительный заряд индуктивно или посредством резонанса на арильном кольце, такой как алкокси и т.п., и каждый из Z или Z' представляет собой витамин или его аналог или производное, или лекарственное средство или его аналог или производное, или группу витамина или лекарственного средства совместно с другими частями поливалентного линкера. Понятно, что на арильном кольце, углероде бензила, азоте карбамата, алкановой кислоте или метиленовом мостике могут быть представлены другие заместители, включая, но не ограничиваясь ими, гидрокси, алкил, алкокси, алкилтио, галоген и т.п. Расщепление под воздействием может включать механизмы, вовлекающие промежуточные соединения бензилия, промежуточные соединения бензина, циклизацию лактона, промежуточные соединения оксония, бета-отщепление и т.п. Далее, понятно, что в дополнение к фрагментации после расщепления высвобождаемого линкера первоначальное расщепление высвобождаемого линкера можно облегчать посредством вспомогательного анхимерного механизма.where X is a heteroatom, such as nitrogen, oxygen or sulfur, n is an integer selected from 0, 1, 2 and 3, R is hydrogen or a substituent comprising a substituent capable of stabilizing a positive charge inductively or by resonance on aryl a ring, such as alkoxy and the like, and each of Z or Z 'is a vitamin or its analog or derivative, or a medicine or its analog or derivative, or a group of a vitamin or a medicine together with other parts of watering linker-equivalent. It is understood that other substituents may be present on the aryl ring, benzyl carbon, carbamate nitrogen, alkanoic acid or methylene bridge, including, but not limited to, hydroxy, alkyl, alkoxy, alkylthio, halogen, and the like. Cleavage by exposure may include mechanisms involving benzyl intermediates, gasoline intermediates, lactone cyclization, oxonium intermediates, beta cleavage, and the like. Further, it is understood that in addition to fragmentation after cleavage of the released linker, the initial cleavage of the released linker can be facilitated by an auxiliary antimer mechanism.
В этом варианте осуществления гидроксиалкановая кислота, которая может осуществлять циклизацию, способствует расщеплению метиленового мостика, например, посредством иона оксония и способствует расщеплению связи или последующей фрагментации после расщепления связи высвобождаемого линкера. Альтернативно катализируемое кислотой расщепление метиленового мостика при помощи иона оксония может запускать каскад фрагментации этого иллюстративного поливалентного линкера или его фрагмента. Альтернативно, катализируемый кислотой гидролиз карбамата может способствовать бета-отщеплению гидроксиалкановой кислоты, которая может осуществлять циклизацию, и способствовать расщеплению метиленового мостика, например, посредством иона оксония. Понятно, что такой каскад фрагментации могут запускать другие химические механизмы разрушения или расщепления связи в метаболических, физиологических или клеточных условиях, описанные в настоящем описании.In this embodiment, the hydroxyalkanoic acid, which can cyclize, promotes cleavage of the methylene bridge, for example by means of an oxonium ion, and promotes cleavage of the bond or subsequent fragmentation after cleavage of the bond of the released linker. Alternatively, an acid-catalyzed cleavage of a methylene bridge with an oxonium ion can trigger a fragmentation cascade of this illustrative polyvalent linker or fragment thereof. Alternatively, acid-catalyzed hydrolysis of carbamate can facilitate beta-cleavage of hydroxyalkanoic acid, which can cyclize, and promote cleavage of the methylene bridge, for example, via an oxonium ion. It is clear that such a cascade of fragmentation can trigger other chemical mechanisms of the destruction or cleavage of bonds in the metabolic, physiological or cellular conditions described in the present description.
В одном варианте осуществления поливалентные линкеры, описанные в настоящем описании, представляют собой соединения следующей формулыIn one embodiment, the polyvalent linkers described herein are compounds of the following formula
где n представляет собой целое число, выбранное от 1 до приблизительно 4; каждый Ra и Rb независимо выбран из группы, состоящей из водорода и алкила, включая низший алкил, такой как С1-С4-алкил, который является необязательно разветвленным; или R8и R13 совместно с атомом углерода, к которому они присоединены, образуют карбоциклическое кольцо; R представляет собой необязательно замещенную алкильную группу, необязательно замещенную ацильную группу или пригодную выбранную защитную группу азота; и (*) указывает на положения для присоединения лекарственного средства, витамина, радиофармацевтического средства, диагностического средства, других поливалентных линкеров или других частей конъюгата.where n is an integer selected from 1 to about 4; each Ra and Rb are independently selected from the group consisting of hydrogen and alkyl, including lower alkyl, such as C1 -C4 alkyl, which is optionally branched; or R8 and R13 together with the carbon atom to which they are attached form a carbocyclic ring; R represents an optionally substituted alkyl group, an optionally substituted acyl group or a suitable selected nitrogen protecting group; and (*) indicates provisions for the attachment of a drug, vitamin, radiopharmaceutical, diagnostic, other polyvalent linkers or other parts of the conjugate.
В другом варианте осуществления поливалентные линкеры, описанные в настоящем описании, включают соединения следующих формулIn another embodiment, the polyvalent linkers described herein include compounds of the following formulas
где m представляет собой целое число, выбранное от 1 до приблизительно 4; R представляет собой необязательно замещенную алкильную группу, необязательно замещенную ацильную группу или пригодную выбранную защитную группу азота; и (*) указывает на положение для присоединения лекарственного средства, витамина, радиофармацевтического средства, диагностического средства, других поливалентных линкеров или других частей конъюгата.where m is an integer selected from 1 to about 4; R represents an optionally substituted alkyl group, an optionally substituted acyl group or a suitable selected nitrogen protecting group; and (*) indicates a position for attaching a drug, vitamin, radiopharmaceutical, diagnostic, other polyvalent linkers or other parts of the conjugate.
В другом варианте осуществления поливалентные линкеры, описанные в настоящем описании, включают соединения следующих формулIn another embodiment, the polyvalent linkers described herein include compounds of the following formulas
где m представляет собой целое число, выбранное от 1 до приблизительно 4; R представляет собой необязательно замещенную алкильную группу, необязательно замещенную ацильную группу или пригодную выбранную защитную группу азота; и (*) указывает на положения для присоединения лекарственного средства, витамина, радиофармацевтического средства, диагностического средства, других поливалентных линкеров или других частей конъюгата.where m is an integer selected from 1 to about 4; R represents an optionally substituted alkyl group, an optionally substituted acyl group or a suitable selected nitrogen protecting group; and (*) indicates provisions for the attachment of a drug, vitamin, radiopharmaceutical, diagnostic, other polyvalent linkers or other parts of the conjugate.
В другом варианте осуществления высвобождаемый линкер, спейсерный линкер и линкер с гетероатомом может быть расположен таким образом, чтобы после расщепления связи в поливалентном линкере высвобождаемые функциональные группы химически способствовали разрушению или расщеплению дополнительных связей, также называемому разрушением или расщеплением при помощи анхимерного эффекта. Иллюстративный вариант осуществления такого поливалентного линкера или его части включает соединения формулы:In another embodiment, the releasable linker, spacer linker, and heteroatom linker may be positioned such that, after cleavage of the bond in the polyvalent linker, the liberated functional groups chemically contribute to the cleavage or cleavage of the additional bonds, also called cleavage or cleavage by animeric effect. An exemplary embodiment of such a polyvalent linker or part thereof includes compounds of the formula:
где Х представляет собой гетероатом, такой как азот, кислород или сера, n представляет собой целое число, выбранное из 0, 1, 2 и 3, R представляет собой водород или заместитель, включающий заместитель, способный стабилизировать положительный заряд индуктивно или посредством резонанса на арильном кольце, такой как алкокси и т.п., и символом (*) показаны положения для присоединения дополнительного спейсерного линкера, линкера с гетероатомом или высвобождаемого линкера, образующих поливалентный линкер, или альтернативно для присоединения лекарственного средства или его аналога или производного или витамина или его аналога или производного. Понятно, что на арильном кольце, углероде бензила, алкановой кислоте или метиленовом мостике могут быть представлены другие заместители, включая, но не ограничиваясь ими, гидрокси, алкил, алкокси, алкилтио, галоген и т.п. Расщепление под воздействием может включать механизмы, вовлекающие промежуточные соединения бензилия, промежуточные соединения бензина, циклизацию лактона, промежуточные соединения оксония, бета-отщепление и т.п. Далее, понятно, что в дополнение к фрагментации после расщепления высвобождаемого линкера первоначальное расщепление высвобождаемого линкера можно облегчать посредством вспомогательного анхимерного механизма.where X is a heteroatom, such as nitrogen, oxygen or sulfur, n is an integer selected from 0, 1, 2 and 3, R is hydrogen or a substituent comprising a substituent capable of stabilizing a positive charge inductively or by resonance on aryl a ring such as alkoxy or the like, and the symbol (*) indicate positions for attaching an additional spacer linker, a heteroatom linker or a releasable linker forming a polyvalent linker, or alternatively for drug attachment means venous or analogue or derivative thereof, or the vitamin, or analog or derivative. It is understood that other substituents may be present on the aryl ring, benzyl carbon, alkanoic acid, or methylene bridge, including, but not limited to, hydroxy, alkyl, alkoxy, alkylthio, halogen, and the like. Cleavage by exposure may include mechanisms involving benzyl intermediates, gasoline intermediates, lactone cyclization, oxonium intermediates, beta cleavage, and the like. Further, it is understood that in addition to fragmentation after cleavage of the released linker, the initial cleavage of the released linker can be facilitated by an auxiliary antimer mechanism.
В другом варианте осуществления поливалентный линкер включает линкеры с гетероатомом, спейсерные линкеры и высвобождаемые линкеры, соединенные с образованием поливолентной группы 3-тиосукцинимид-1-илалкилоксиметилокси, иллюстрируемой следующей формулойIn another embodiment, the multivalent linker includes heteroatom linkers, spacer linkers, and releasable linkers linked to form a polyvalent group of 3-thiosuccinimid-1-ylalkyloxymethyloxy, illustrated by the following formula
где n представляет собой целое число от 1 до 6, алкильная группа является необязательно замещенной и метил необязательно замещен дополнительным алкилом или необязательно замещен арильной группой, каждый из которых представлен независимо выбранной группой R. Символами (*) указаны положения для присоединения фрагмента поливалентного линкера к другим частям конъюгатов, описанных в настоящем описании.where n is an integer from 1 to 6, the alkyl group is optionally substituted, and methyl is optionally substituted with additional alkyl or optionally substituted with an aryl group, each represented by an independently selected group R. The symbols (*) indicate the positions for attaching the polyvalent linker fragment to the others parts of the conjugates described in the present description.
В другом варианте осуществления поливалентный линкер включает линкеры с гетероатомом, спейсерные линкеры и высвобождаемые линкеры, соединенные с образованием поливалентной группы 3-тиосукцинимид-1-илалкилкарбонила, иллюстрируемой следующей формулойIn another embodiment, the polyvalent linker includes heteroatom linkers, spacer linkers, and releasable linkers linked to form a polyvalent group of 3-thiosuccinimid-1-yl-alkylcarbonyl, illustrated by the following formula
где n представляет собой целое число от 1 до 6 и алкильная группа является необязательно замещенной. Символами (*) указаны положения для присоединения фрагмента поливалентного линкера к другим частям конъюгатов, описанных в настоящем описании. В другом варианте осуществления поливалентный линкер включает линкеры с гетероатомом, спейсерные линкеры и высвобождаемые линкеры, соединенные с образованием поливалентной группы 3-тиоалкилсульфонилалкил(дизамещенный силил)окси, где дизамещенный силил замещен алкилом и/или необязательно замещен арильными группами.where n is an integer from 1 to 6 and the alkyl group is optionally substituted. Symbols (*) indicate the position for attaching a fragment of a polyvalent linker to other parts of the conjugates described in the present description. In another embodiment, the polyvalent linker includes heteroatom linkers, spacer linkers, and releasable linkers linked to form a polyvalent 3-thioalkylsulfonylalkyl (disubstituted silyl) hydroxy group, wherein the disubstituted silyl is substituted with alkyl and / or optionally substituted with aryl groups.
В другом варианте осуществления поливалентный линкер включает линкеры с гетероатомом, спейсерные линкеры и высвобождаемые линкеры, соединенные с образованием поливалентной группы дитиоалкилкарбонилгидразида или поливалентной группы 3-тиосукцинимид-1-илалкилкарбонилгидразида, иллюстрируемыми следующими формуламиIn another embodiment, the polyvalent linker includes heteroatom linkers, spacer linkers, and releasable linkers linked to form a polyvalent group of dithioalkylcarbonyl hydrazide or a polyvalent group of 3-thiosuccinimid-1-ylalkylcarbonyl hydrazide, illustrated by the following formulas
где n представляет собой целое число от 1 до 6, алкильная группа является необязательно замещенной и гидразид образует гидразон с (В), (D) или другой частью поливалентного линкера (L). Символами (*) указаны положения для присоединения фрагмента поливалентного линкера к другим частям конъюгатов, описанных в настоящем описании.where n is an integer from 1 to 6, the alkyl group is optionally substituted and the hydrazide forms a hydrazone with (B), (D) or another part of the polyvalent linker (L). Symbols (*) indicate the position for attaching a fragment of a polyvalent linker to other parts of the conjugates described in the present description.
В другом варианте осуществления поливалентный линкер включает линкеры с гетероатомом, спейсерные линкеры и высвобождаемые линкеры, соединенные с образованием поливалентной группы 3-тиосукцинимид-1-илалкилоксиалкилоксиалкилидена, иллюстрируемой следующей формулойIn another embodiment, the polyvalent linker includes heteroatom linkers, spacer linkers, and releasable linkers linked to form a polyvalent group of 3-thiosuccinimid-1-ylalkyloxyalkyloxyalkylidene, illustrated by the following formula
где каждый n представляет собой независимо выбранное целое число от 1 до 6, каждая алкильная группа является независимо выбранной и необязательно замещена, например, алкилом или представляет собой необязательно замещенный арил и где алкилиден образует гидразон с (В), (D) или другой частью поливалентного линкера (L). Символами (*) указаны положения для присоединения фрагмента поливалентного линкера к другим частям конъюгатов, описанных в настоящем описании.where each n is an independently selected integer from 1 to 6, each alkyl group is independently selected and optionally substituted, for example, by alkyl or is optionally substituted aryl and where alkylidene forms a hydrazone with (B), (D) or another part of a polyvalent linker (L). Symbols (*) indicate the position for attaching a fragment of a polyvalent linker to other parts of the conjugates described in the present description.
В другом варианте осуществления поливалентный линкер включает линкеры с гетероатомом, спейсерные линкеры и высвобождаемые линкеры, соединенные с образованием поливалентной группы 3-тио- или 3-дитиоарилалкилоксикарбонила, группы 3-тио- или 3-дитиоарилалкиламинокарбонила, поливалентного 3-тио- или 3-дитиоалкилоксикарбонила или поливалентного 3-тио- или 3-дитиоалкиламинокарбонила, где алкилкарбонил образует карбонат, карбамат или мочевину с (В), (D) или другой частью поливалентного линкера (L). В качестве иллюстративного примера алкильная группа представляет собой этил.In another embodiment, the multivalent linker includes heteroatom linkers, spacer linkers and releasable linkers linked to form a polyvalent group of 3-thio- or 3-dithioarylalkyloxycarbonyl, 3-thio- or 3-dithioarylalkylaminocarbonyl, polyvalent 3-dioalkylcarbonyl 3-dioalkylcarbonyl or polyvalent 3-thio- or 3-dithioalkylaminocarbonyl, where alkylcarbonyl forms a carbonate, carbamate or urea with (B), (D) or another part of the polyvalent linker (L). As an illustrative example, the alkyl group is ethyl.
В другом варианте осуществления поливалентный линкер включает линкеры с гетероатомом, спейсерные линкеры и высвобождаемые линкеры, соединенные с образованием поливалентной группы 3-дитиоалкиламино, где амино образует винилогический амид с (В), (D) или с другой частью поливалентного линкера (L). В качестве иллюстративного примера алкильная группа представляет собой этил.In another embodiment, the polyvalent linker includes heteroatom linkers, spacer linkers, and releasable linkers linked to form the polyvalent 3-dithioalkylamino group, where the amino forms a vinyl logical amide with (B), (D) or with another part of the polyvalent linker (L). As an illustrative example, the alkyl group is ethyl.
В другом варианте осуществления поливалентный линкер включает линкеры с гетероатомом, спейсерные линкеры и высвобождаемые линкеры, соединенные с образованием поливалентной группы 1-алкоксициклоалкиленокси, поливалентной группы алкиленаминокарбонил(дикарбоксиларилен)карбоксилата, поливалентной группы 3-дитиоалкилоксикарбонила, поливалентной группы 3-дитиоалкилоксикарбонилгидразида, поливалентной.In another embodiment, the multivalent linker includes heteroatom linkers, spacer linkers and releasable linkers linked to form a polyvalent group of 1-alkoxycycloalkyleneoxy, a polyvalent group of an alkyleneaminocarbonyl (dicarboxylarylene) carboxylate, a polyvalent group of a 3-dithioalkyloxyalkyloxyalkyloxyalkyloxyalkyloxyalkyloxyalkyloxyalkyloxyalkyloxyalkyloxyalkyloxyalkyloxyalkyloxyalkyloxyalkyloxyalkyloxyalkyloxyalkyloxyalkyloxyalkyloxyalkyloxyalkyloxyalkyloxyalkyloxyalkyloxyalkyloxyalkyloxyalkyloxyalkyloxyalkyloxyalkyloxyalkyloxyalkyloxyalkyloalkylcarbonylalkylcarbonylalkylcarbonylalkylcarbonylalkylcarbonylalkylcarbonyloalkylcarbonyloalkylcarb older in broads wide in size in ?.
В другом варианте осуществления поливалентный линкер включает по меньшей мере один спейсерный линкер, который представляет собой пептид, образованный из аминокислот. В одном аспекте пептид включает встречающиеся в природе аминокислоты и их стереоизомеры. В другом аспекте пептид образован только из встречающихся в природе аминокислот и их стереоизомеров.In another embodiment, the polyvalent linker includes at least one spacer linker, which is a peptide derived from amino acids. In one aspect, the peptide includes naturally occurring amino acids and their stereoisomers. In another aspect, the peptide is formed only from naturally occurring amino acids and their stereoisomers.
Дополнительные иллюстративные примеры спейсерных и высвобождаемых линкеров представлены в таблицах 1 и 2, где (*) указывает на положение для присоединения другого линкера, алкалоида барвинка или его аналога или производного или связывающей рецептор группы.Additional illustrative examples of spacer and releasable linkers are presented in tables 1 and 2, where (*) indicates the position for attachment of another linker, vinca alkaloid or its analogue or derivative or receptor-binding group.
Таблица 1Table 1
Рассматриваемые спейсерные линкеры и линкеры с гетероатомами и их сочетанияConsidered spacer linkers and linkers with heteroatoms and their combinations
Таблица 2table 2
Рассматриваемые высвобождаемые линкеры и линкеры с гетероатомами и их сочетанияConsider releasable linkers and linkers with heteroatoms and their combinations
В конъюгаты для доставки лекарственного средства, описанные в настоящем описании, может быть включено лекарственное средство любого типа. В одном иллюстративном варианте осуществления лекарственные средства выбирают исходя из активности в отношении одной или нескольких популяций патогенных клеток. В одном аспекте эти патогенные клетки представляют собой клетки злокачественной опухоли, включая солидные опухоли.Any type of drug may be included in the drug delivery conjugates described herein. In one illustrative embodiment, drugs are selected based on activity against one or more populations of pathogenic cells. In one aspect, these pathogenic cells are cancer cells, including solid tumors.
В другом иллюстративном варианте осуществления выбирают лекарственные средства исходя из активности в отношении одной или нескольких популяций патогенных клеток с конкретным механизмом действия. Иллюстративные механизмы действия включают алкилирующие средства, ингибиторы микротрубочек, включая ингибиторы, которые стабилизируют и/или дестабилизируют образование микротрубочек, включая средства на основе бета-тубулина, ингибиторы циклинзависимых киназ (CDK), ингибиторы топоизомеразы, ингибиторы белкового синтеза, ингибиторы протеинкиназ, включая Ras, Raf, PKC, PI3K, и сходные ингибиторы, ингибиторы транскрипции, антифолаты, блокаторы теплового шока и т.п.In another illustrative embodiment, drugs are selected based on activity against one or more populations of pathogenic cells with a specific mechanism of action. Illustrative mechanisms of action include alkylating agents, microtubule inhibitors, including inhibitors that stabilize and / or destabilize microtubule formation, including beta-tubulin-based agents, cyclin-dependent kinase (CDK) inhibitors, topoisomerase inhibitors, protein synthesis inhibitors, protein kinase inhibitors, including Ras Raf, PKC, PI3K, and similar inhibitors, transcription inhibitors, antifolates, heat shock blockers, and the like.
Иллюстративные алкилирующие средства включают, но не ограничиваются ими, митомицины CBI и т.п. Иллюстративные ингибиторы циклинзависимых киназ (CDK) включают, но не ограничиваются ими, CYC202, селициклиб, R-росковитин, AGM-1470, и т.п. Иллюстративные ингибиторы топоизомеразы включают, но не ограничиваются ими, доксорубицин, другие антрациклины и т.п. Иллюстративные ингибиторы белкового синтеза включают, но не ограничиваются ими, бруцеантин и т.п. Иллюстративные ингибиторы протеинкиназ, включающие ингибиторы Ras, Raf, PKC, PI3K и т.п., включают, но не ограничиваются ими, L-779,450, R115777 и т.п. Иллюстративные ингибиторы транскрипции включают, но не ограничиваются ими, α-амантин, актиномицин и т.п. Иллюстративные антифолаты включают, но не ограничиваются ими, метотрексат и т.п. Иллюстративные блокаторы теплового шока включают, но не ограничиваются ими, гелданамицин и т.п.Illustrative alkylating agents include, but are not limited to, CBI mitomycin and the like. Illustrative inhibitors of cyclin-dependent kinases (CDKs) include, but are not limited to, CYC202, selicyclib, R-roskovitin, AGM-1470, and the like. Illustrative topoisomerase inhibitors include, but are not limited to, doxorubicin, other anthracyclines, and the like. Illustrative protein synthesis inhibitors include, but are not limited to, bruceantin and the like. Illustrative protein kinase inhibitors, including Ras, Raf, PKC, PI3K, and the like, include, but are not limited to, L-779,450, R115777, and the like. Illustrative transcription inhibitors include, but are not limited to, α-amantine, actinomycin, and the like. Illustrative antifolates include, but are not limited to, methotrexate and the like. Illustrative heat shock blockers include, but are not limited to, geldanamycin and the like.
Иллюстративные ингибиторы микротрубочек, включающие ингибиторы, которые стабилизируют и/или дестабилизируют образование микротрубочек, включают средства на основе β-тубулина, токсичные для микротрубочек средства и т.п. Иллюстративные токсичные для микротрубочек средства, которые связываются с выбранными рецепторами, включают, но не ограничиваются ими, ингибиторы, связывающиеся с участком для связывания соединения барвинка, такие как аренастатин, доластатин, халихондрин B, майтанзин, фомопсин A, ризоксин, устилоксин, винбластин, винкристин и т.п., стабилизаторы, связывающиеся с участком для связывания таксола, такие как дискодермалид, эпотилон, таксол, паклитаксол и т.п., ингибиторы, связывающиеся с участком для связывания колхицина, такие как колхицин, комбретастатин, курацин A, подофиллотоксин, стеганацин и т.п., и другие средства, связывающиеся с неизвестными участками, такие как криптофицин, тубулизины и т.п.Illustrative microtubule inhibitors, including inhibitors that stabilize and / or destabilize microtubule formation, include β-tubulin-based agents, microtubule toxic agents, and the like. Illustrative microtubule-toxic agents that bind to selected receptors include, but are not limited to, inhibitors that bind to the vinca compound binding site, such as arenastatin, dolastatin, chalichondrin B, maytansine, phomopsin A, rhizoxin, ustiloxin, vinblastine, vincristin, and the like, stabilizers that bind to the taxol binding site, such as discodermalide, epothilone, taxol, paclitaxol and the like, inhibitors that bind to the colchicine binding site, such as colchicine, bretastatin, kuratsin A, podophyllotoxin, steganatsin and the like, and other agents that bind to the unknown portions such as cryptophycin, tubuliziny etc.
В одном варианте осуществления конъюгатов для доставки лекарственного средства, описанных в настоящем описании, по меньшей мере одно из лекарственных средств представляет собой ингибитор микротрубочек или его аналог или производное. В другом варианте осуществления по меньшей мере одно из лекарственных средств представляет собой алкилирующее ДНК средство. В другом варианте осуществления по меньшей мере одно из лекарственных средств представляет собой алкилирующее ДНК средство и по меньшей мере одно другое из лекарственных средств представляет собой ингибитор микротрубочек. Алкалоиды, описанные в настоящем описании, включают все члены индол-дигидроиндолового семейства алкалоидов барвинка, таких как, но не ограничиваясь ими, виндезин, винбластин, винкристин, катарнитин, виндолин, леурозин, винорелбин, имидокарб, сибутамин, толтразурил, винбластиновая кислота и т.п., и их аналоги и производные.In one embodiment of the drug delivery conjugates described herein, at least one of the drugs is a microtubule inhibitor or an analogue or derivative thereof. In another embodiment, at least one of the drugs is a DNA alkylating agent. In another embodiment, at least one of the drugs is a DNA alkylating agent and at least one of the other drugs is a microtubule inhibitor. The alkaloids described herein include all members of the indole-dihydroindole family of periwinkle alkaloids, such as, but not limited to, vindesine, vinblastine, vincristine, catharnitine, vindolin, leurosin, vinorelbine, imidocarb, sibutamine, toltrazuric acid and tinblast, and vinb. p., and their analogues and derivatives.
В другом варианте осуществления конъюгатов для доставки лекарственного средства, описанных в настоящем описании, по меньшей мере одно из лекарственных средств представляет собой ингибитор P-гликопротеина (PGP). В другом варианте осуществления по меньшей мере одно из лекарственных средств, включенных в конъюгаты для доставки лекарственного средства, описанные в настоящем описании, представляет собой ингибитор PGP, и по меньшей мере одно другое из лекарственных средств, включенных в конъюгаты для доставки лекарственного средства, представляет собой субстрат PGP. В качестве иллюстративного примера в этом последнем варианте осуществления субстрат PGP представляет собой алкилирующее ДНК средство. В отношении этого варианта осуществления понятно, что спаривание ингибитора PGP с субстратом PGP, таким как алкилирующее ДНК средство, включая, но не ограничиваясь ими, любой из митомицинов, такой как митомицин C, митомицин A и т.п., может улучшать общее действие лекарственного средства, которое иначе представляет собой субстрат PGP. В конъюгатах с высвобождением, описанных в настоящем описании, как лекарственное средство на основе ингибитора PGP, так и лекарственное средство на основе субстрата PGP высвобождаются в клетке после эндоцитоза. Таким образом, лекарственное средство на основе ингибитора PGP может повышать общую эффективность и/или активность лекарственного средства на основе субстрата PGP. Кроме того, ингибитор PGP может снижать экспрессию PGP, что, в свою очередь, снизит выход из патогенной клетки одного или нескольких лекарственных средств, включенных в конъюгаты с несколькими лекарственными средствами, описанные в настоящем описании. Понятно, что митомицины или их аналоги или производные, такие как митомицин C, могут действовать в качестве ингибитора PGP или отрицательного регулятора PGP. Далее, понятно, что алкалоид барвинка или его аналог или производное, такой как аналоги и производные винбластина, могут представлять собой субстрат PGP, который защищен от выхода из патогенной клетки посредством ингибитора или отрицательного регулятора PGP.In another embodiment of the drug delivery conjugates described herein, at least one of the drugs is a P-glycoprotein inhibitor (PGP). In another embodiment, at least one of the drugs included in the drug delivery conjugates described herein is a PGP inhibitor, and at least one other of the drugs included in the drug delivery conjugates is PGP substrate. As an illustrative example, in this last embodiment, the PGP substrate is a DNA alkylating agent. With respect to this embodiment, it is understood that pairing a PGP inhibitor with a PGP substrate, such as a DNA alkylating agent, including but not limited to any of mitomycin, such as mitomycin C, mitomycin A and the like, can improve the overall effect of the drug an agent that is otherwise a PGP substrate. In the release conjugates described herein, both the PGP inhibitor drug and the PGP substrate drug are released in the cell after endocytosis. Thus, a drug based on a PGP inhibitor can increase the overall effectiveness and / or activity of a drug based on a PGP substrate. In addition, a PGP inhibitor can reduce the expression of PGP, which, in turn, will reduce the exit from a pathogenic cell of one or more drugs included in the multi-drug conjugates described herein. It is understood that mitomycins or their analogues or derivatives, such as mitomycin C, can act as a PGP inhibitor or a negative regulator of PGP. Further, it is understood that the vinca alkaloid or its analogue or derivative, such as vinblastine analogs and derivatives, can be a PGP substrate that is protected from escaping from a pathogenic cell by an inhibitor or negative PGP regulator.
В другом варианте осуществления конъюгатов для доставки лекарственного средства, описанных в настоящем описании, по меньшей мере одно из лекарственных средств представляет собой алкалоид барвинка или его аналог или производное. Алкалоиды барвинка, описанные в настоящем описании, включают все члены индол-дигидроиндольного семейства алкалоидов барвинка, такие как, но не ограничиваясь ими, виндезин, винбластин, винкристин, катарантин, виндолин, леурозин, винорелбин, имидокарб, сибутрамин, толтразурил, винбластиновая кислота и т.п., и их аналоги и производные.In another embodiment of the drug delivery conjugates described herein, at least one of the drugs is a vinca alkaloid or an analogue or derivative thereof. The periwinkle alkaloids described herein include all members of the indole-dihydroindole family of periwinkle alkaloids, such as, but not limited to, vindesine, vinblastine, vincristine, quarantine, vindolin, leurosin, vinorelbine, imidocarb, sibutramine, toltrazulir, and tovin trindrazole, .p., and their analogues and derivatives.
Как упомянуто в настоящем описании, лекарственные средства на основе барвинка, пригодные в конъюгатах, описанных в настоящем описании, включают все члены индол-дигидроиндольного семейства алкалоидов барвинка, такие как виндезин, винбластин, винкристин, катарантин, виндолин, леурозин, винорелбин, имидокарб, сибутрамин, толтразурил, винбластиновая кислота и т.п., и их аналоги и производные. В качестве иллюстративного примера такие аналоги и производные включают 3-карбоксазиды, описанные в патенте США № 4203898; N2-алкил- и другие производные 4-дезацетилвинбластин-3-карбоксигидразида, описанные в патенте США № 4166810; гидразид леурозина, описанный в Neuss et al. Tetrahedron Lett. 783 (1968); производные гидразида, описанные в Barnett et al. J. Med. Chem. 21:88 (1978); производные сложного эфира C-4, описанные в патентах США № 3392173 и 3387001; производные дикарбоновой кислоты, полученные посредством окисления, описанного в Langone et al. Anal. Biochem. 95:214 (1979); и гидразиды алкалоидов барвинка, описанные в EP 0247792 A2. Все упомянутые выше патенты и публикации включены в настоящее описание в качестве ссылок в отношении всех описаний способов синтеза и условий реакции для получения соединений барвинка.As mentioned in the present description, periwinkle-based drugs useful in the conjugates described herein include all members of the indole-dihydroindole family of periwinkle alkaloids, such as vindesine, vinblastine, vincristine, katarantin, vindoline, leurosin, vinorelbine, imidocarbine, sib , toltrazuril, vinblastic acid and the like, and their analogs and derivatives. By way of illustrative example, such analogs and derivatives include 3-carboxazides described in US Pat. No. 4,203898; N2 -alkyl- and other derivatives of 4-deacetylvinblastin-3-carboxyhydrazide described in US patent No. 4166810; leurosin hydrazide described in Neuss et al. Tetrahedron Lett. 783 (1968); hydrazide derivatives described in Barnett et al. J. Med. Chem. 21:88 (1978); C-4 ester derivatives described in US Pat. Nos. 3,392,173 and 3,387,001; dicarboxylic acid derivatives obtained by oxidation described in Langone et al. Anal. Biochem. 95: 214 (1979); and vinca alkaloids hydrazides described in EP 0247792 A2. All of the above patents and publications are incorporated herein by reference with respect to all descriptions of the synthesis methods and reaction conditions for the preparation of vinca compounds.
В одном иллюстративном варианте осуществления лекарственные средства на основе алкалоидов барвинка представляют собой соединения формулыIn one illustrative embodiment, periwinkle alkaloids-based drugs are compounds of the formula
где:Where:
один из R1 и R2 представляет собой H, а другой представляет собой этил и R3 представляет собой H или R1 представляет собой этил;one of R1 and R2 represents H, and the other represents ethyl and R3 represents H or R1 represents ethyl;
R2 и R3 вместе образуют -O-;R2 and R3 together form —O—;
каждый R4, R7 и R8 независимо выбран из H, алкила и ацила,each R4 , R7 and R8 is independently selected from H, alkyl and acyl,
каждый R5 и R6 независимо выбран из алкила;each R5 and R6 is independently selected from alkyl;
R9 представляет собой группу -NHNHR, где R представляет собой H, алкил или ацил;R9 represents a group —NHNHR, where R represents H, alkyl or acyl;
R10 представляет собой H или ацил иR10 represents H or acyl and
R11 представляет собой этил.R11 represents ethyl.
В одном аспекте лекарственные средства на основе алкалоидов барвинка представляют собой соединения указанной выше формулы, где каждый из R4 и R8 представляет собой H и каждый из R5, R6, R9 и R10 представляет собой метил.In one aspect, periwinkle alkaloids drugs are compounds of the above formula, wherein each of R4 and R8 is H and each of R5 , R6 , R9 and R10 is methyl.
В другом варианте осуществления описан связывающий рецептор конъюгат для доставки лекарственного средства, содержащий связывающую рецептор группу, поливалентный линкер (L), лекарственное средство на основе алкалоида барвинка или его аналог или производное и другое лекарственное средство или его аналог или производное, где каждый из связывающей рецептор группы, алкалоида барвинка и другого лекарственного средства связаны с поливалентным линкером (L) через линкер с гетероатомом (lн). Поливалентный линкер (L) содержит один или несколько спейсерных линкеров, линкеров с гетероатомом и высвобождаемых линкеров и их сочетание в любом порядке.In another embodiment, a receptor-binding drug delivery conjugate is described comprising a receptor-binding group, a polyvalent linker (L), a vinca alkaloid-based drug or its analogue or derivative, and another drug or its analogue or derivative, where each of the binding receptor groups, vinca alkaloids and other drugs are linked to a polyvalent linker (L) via a heteroatom linker (ln ). The polyvalent linker (L) contains one or more spacer linkers, heteroatom linkers and releasable linkers, and a combination thereof in any order.
В другом варианте осуществления по меньшей мере одно из лекарственных средств, включенных в конъюгаты для доставки лекарственного средства, описанные в настоящем описании, представляет собой акламицин или его аналог или производное. Возможно, акламицины и их аналоги и производные представляют собой субстраты для выкачивающего насоса для PGP. В одном аспекте по меньшей мере одно другое из лекарственных средств, включенных в конъюгаты для доставки лекарственного средства, описанные в настоящем описании, представляет собой алкилирующее ДНК средство, такое как митомицин или его аналог или производное.In another embodiment, at least one of the drugs included in the drug delivery conjugates described herein is aclamycin or an analogue or derivative thereof. Perhaps, aclamycins and their analogs and derivatives are substrates for the PGP booster pump. In one aspect, at least one other of the drugs included in the drug delivery conjugates described herein is a DNA alkylating agent such as mitomycin or an analogue or derivative thereof.
В другом варианте осуществления по меньшей мере одно из лекарственных средств, включенных в конъюгаты для доставки лекарственного средства, описанные в настоящем описании, представляет собой ингибитор синтеза ДНК или его аналог или производное. В другом варианте осуществления по меньшей мере одно из лекарственных средств, включенных в конъюгаты для доставки лекарственного средства, описанные в настоящем описании, представляет собой ингибитор образования веретена деления или его аналог или производное. В одном аспекте по меньшей мере одно из лекарственных средств, включенных в конъюгаты для доставки лекарственного средства, описанные в настоящем описании, представляет собой ингибитор синтеза ДНК или его аналог или производное и по меньшей мере одно другое из лекарственных средств, включенных в конъюгаты для доставки лекарственного средства, описанные в настоящем описании, представляет собой ингибитор образования веретена деления или его аналог или производное.In another embodiment, at least one of the drugs included in the drug delivery conjugates described herein is a DNA synthesis inhibitor or an analogue or derivative thereof. In another embodiment, at least one of the drugs included in the drug delivery conjugates described herein is an inhibitor of fission spindle formation or an analogue or derivative thereof. In one aspect, at least one of the drugs included in the drug delivery conjugates described herein is a DNA synthesis inhibitor or analogue or derivative thereof and at least one other of drugs included in the drug delivery conjugates the agents described herein is an inhibitor of spindle formation or an analogue or derivative thereof.
В другом варианте осуществления по меньшей мере одно из лекарственных средств, включенных в конъюгаты для доставки лекарственного средства, описанные в настоящем описании, представляет собой стабилизатор микротрубочек или его аналог или производное. В другом варианте осуществления по меньшей мере одно из лекарственных средств, включенных в конъюгаты для доставки лекарственного средства, описанные в настоящем описании, представляет собой ингибитор синтеза микротрубочек или его аналог или производное. В другом варианте осуществления по меньшей мере одно из лекарственных средств, включенных в конъюгаты для доставки лекарственного средства, описанные в настоящем описании, представляет собой дестабилизирующее микротрубочки средство или его аналог или производное.In another embodiment, at least one of the drugs included in the drug delivery conjugates described herein is a microtubule stabilizer or an analogue or derivative thereof. In another embodiment, at least one of the drugs included in the drug delivery conjugates described herein is a microtubule synthesis inhibitor or an analogue or derivative thereof. In another embodiment, at least one of the drugs included in the drug delivery conjugates described herein is a microtubule destabilizing agent or an analogue or derivative thereof.
В другом варианте осуществления по меньшей мере одно из лекарственных средств, включенных в конъюгаты для доставки лекарственного средства, описанные в настоящем описании, представляет собой индуцирующее апоптоз средство или его аналог или производное. В другом варианте осуществления по меньшей мере одно из лекарственных средств, включенных в конъюгаты для доставки лекарственного средства, описанные в настоящем описании, представляет собой таксол или его аналог или производное. В другом варианте осуществления по меньшей мере одно из лекарственных средств, включенных в конъюгаты для доставки лекарственного средства, описанные в настоящем описании, представляет собой антифолат или его аналог или производное. В другом варианте осуществления по меньшей мере одно из лекарственных средств, включенных в конъюгаты для доставки лекарственного средства, описанные в настоящем описании, представляет собой метотрексат или его аналог или производное. В одном аспекте по меньшей мере одно из лекарственных средств, включенных в конъюгаты для доставки лекарственного средства, описанные в настоящем описании, представляет собой антифолат или его аналог или производное, такой как метотрексат, и по меньшей мере одно другое из лекарственных средств, включенных в конъюгаты для доставки лекарственного средства, описанные в настоящем описании, представляет собой таксол или его аналог или производное.In another embodiment, at least one of the drugs included in the drug delivery conjugates described herein is an apoptosis inducing agent or an analogue or derivative thereof. In another embodiment, at least one of the drugs included in the drug delivery conjugates described herein is taxol or an analogue or derivative thereof. In another embodiment, at least one of the drugs included in the drug delivery conjugates described herein is an antifolate or an analogue or derivative thereof. In another embodiment, at least one of the drugs included in the drug delivery conjugates described herein is methotrexate or an analogue or derivative thereof. In one aspect, at least one of the drugs included in the drug delivery conjugates described herein is an antifolate or an analogue or derivative thereof, such as methotrexate, and at least one other of the drugs included in the conjugates for drug delivery, described herein is taxol or an analogue or derivative thereof.
В другом варианте осуществления по меньшей мере одно из лекарственных средств, включенных в конъюгаты для доставки лекарственного средства, описанные в настоящем описании, представляет собой фолат или его аналог или производное. В другом варианте осуществления по меньшей мере одно из лекарственных средств, включенных в конъюгаты для доставки лекарственного средства, описанные в настоящем описании, представляет собой ингибитор рецептора эпидермального фактора роста-2 человека (HER-2) или его аналог или производное. В другом варианте осуществления по меньшей мере одно из лекарственных средств, включенных в конъюгаты для доставки лекарственного средства, описанные в настоящем описании, представляет собой меченное радиоактивной меткой химиотерапевтическое средство, такое как цисплатин и т.п. В одном аспекте по меньшей мере одно из лекарственных средств, включенных в конъюгаты для доставки лекарственного средства, описанные в настоящем описании, представляет собой антифолат или его аналог или производное, такой как метотрексат, и по меньшей мере одно другое из лекарственных средств, включенных в конъюгаты для доставки лекарственного средства, описанные в настоящем описании, представляет собой фолат или его аналог или производное. В другом аспекте по меньшей мере одно из лекарственных средств, включенных в конъюгаты для доставки лекарственного средства, описанные в настоящем описании, представляет собой таксол или его аналог или производное, и по меньшей мере одно другое из лекарственных средств, включенных в конъюгаты для доставки лекарственного средства, описанные в настоящем описании, представляет собой ингибитор HER-2 или его аналог или производное. В другом аспекте по меньшей мере одно из лекарственных средств, включенных в конъюгаты для доставки лекарственного средства, описанные в настоящем описании, представляет собой таксол или его аналог или производное, по меньшей мере одно другое из лекарственных средств, включенных в конъюгаты для доставки лекарственного средства, описанные в настоящем описании, представляет собой меченное радиоактивной меткой химиотерапевтическое средство, такое как цисплатин, и по меньшей мере одно другое из лекарственных средств, включенных в конъюгаты для доставки лекарственного средства, описанные в настоящем описании, представляет собой ингибитор HER-2 или его аналог или производное.In another embodiment, at least one of the drugs included in the drug delivery conjugates described herein is a folate or an analogue or derivative thereof. In another embodiment, at least one of the drugs included in the drug delivery conjugates described herein is a human epidermal growth factor-2 receptor (HER-2) inhibitor or analogue or derivative thereof. In another embodiment, at least one of the drugs included in the drug delivery conjugates described herein is a radioactive-labeled chemotherapeutic agent such as cisplatin and the like. In one aspect, at least one of the drugs included in the drug delivery conjugates described herein is an antifolate or an analogue or derivative thereof, such as methotrexate, and at least one other of the drugs included in the conjugates for drug delivery, described herein, is folate or an analogue or derivative thereof. In another aspect, at least one of the drugs included in the drug delivery conjugates described herein is taxol or an analogue or derivative thereof, and at least one other of the drugs included in the drug delivery conjugates described herein is an HER-2 inhibitor or an analogue or derivative thereof. In another aspect, at least one of the drugs included in the drug delivery conjugates described herein is Taxol or an analogue or derivative thereof, at least one other of the drugs included in the drug delivery conjugates, described herein is a radiolabeled chemotherapeutic agent, such as cisplatin, and at least one other of the drugs included in the conjugate s for drug delivery as described herein is an inhibitor of HER-2 or an analogue or derivative thereof.
Конъюгаты для доставки лекарственного средства, описанные в настоящем описании, можно получать общепринятыми способами синтеза. Способы синтеза выбирают в зависимости от выбора линкеров с гетероатомом и функциональных групп, представленных на спейсерных линкерах и высвобождаемых линкерах. Как правило, соответствующие реакции образования связей описаны в Richard С.Larock, "Comprehensive Organic Transformations, a guide to functional group preparations," VCH Publishers, Inc. New York (1989), и в Theodora E. Greene & Peter G.M. Wuts, "Protective Groups ion Organic Synthesis", 2d edition, John Wiley & Sons, Inc. New York (1991), описания которых включены в настоящее описание в качестве ссылок в полном объеме. Дополнительные способы синтеза и условия реакции описаны в публикации патентной заявки США № US 2005/0002942 A1.The drug delivery conjugates described herein can be prepared by conventional synthetic methods. Synthesis methods are selected depending on the choice of linkers with a heteroatom and functional groups represented on spacer linkers and released linkers. Typically, appropriate linking reactions are described in Richard C. Larock, "Comprehensive Organic Transformations, a guide to functional group preparations," VCH Publishers, Inc. New York (1989), and Theodora E. Greene & Peter G.M. Wuts, "Protective Groups ion Organic Synthesis", 2d edition, John Wiley & Sons, Inc. New York (1991), the descriptions of which are incorporated herein by reference in full. Additional synthesis methods and reaction conditions are described in US Patent Application Publication No. US 2005/0002942 A1.
В качестве иллюстративного примера конъюгаты для доставки лекарственного средства, описанные в настоящем описании, можно получать с использованием как линейных, так и конвергентных способов синтеза. Иллюстративные промежуточные соединения, пригодные в таких способах, включают промежуточные соединения, содержащие поливалентный линкер, который включает группу для присоединения на каждом конце, пригодную для ковалентного присоединения к связывающей рецептор группе или ее аналогу или производному и к алкалоиду барвинка или его аналогу или производному. Другие иллюстративные промежуточные соединения, пригодные в таких способах, включают промежуточные соединения, содержащие связывающую рецептор группу или ее аналог или производное, присоединенную к поливалентному линкеру, который включает группу для присоединения. Другие иллюстративные промежуточные соединения, пригодные в таких способах, включают промежуточные соединения, содержащие алкалоид барвинка или его аналог или производное, присоединенный к поливалентному линкеру, который включает группу для присоединения. В любом случае группа для присоединения может представлять собой нуклеофил, электрофил или их предшественника.As an illustrative example, the drug delivery conjugates described herein can be prepared using both linear and convergent synthesis methods. Illustrative intermediates useful in such methods include intermediates comprising a polyvalent linker that includes a moiety at each end suitable for covalently joining a receptor binding group or its analogue or derivative and to a vinca alkaloid or its analogue or derivative. Other illustrative intermediates useful in such methods include intermediates containing a receptor binding group or an analogue or derivative thereof attached to a polyvalent linker that includes a group for attachment. Other illustrative intermediates useful in such methods include intermediates containing a vinca alkaloid or an analogue or derivative thereof attached to a polyvalent linker that includes a group for attachment. In any case, the attachment group may be a nucleophile, an electrophile, or a precursor thereof.
В одном иллюстративном варианте осуществления синтетических промежуточных соединений группа для присоединения представляет собой акцептор Михаэля и поливалентный линкер включает высвобождаемый линкер, имеющий формулу -C(O)NHN=, -NHC(O)NHN= или -СН2С(O)NHN=. В одном иллюстративном аспекте группа для присоединения и поливалентный линкер вместе образуют соединение формулы:In one illustrative embodiment of the synthetic intermediates, the attachment group is a Michael acceptor, and the polyvalent linker includes a releasable linker having the formula —C (O) NHN =, —NHC (O) NHN =, or —CH2 C (O) NHN =. In one illustrative aspect, the attachment group and the polyvalent linker together form a compound of the formula:
или его защищенное производное, где (D) представляет собой алкалоид барвинка или его аналог или производное, способный образовывать гидразон, как представлено в настоящем описании; и n представляет собой целое число, такое как 1, 2, 3 или 4. В другом иллюстративном аспекте промежуточного соединения связывающего рецептор конъюгата для доставки лекарственного средства, описанного в настоящем описании, второй линкер ковалентно присоединен к представленной выше формуле через алкилтиольный нуклеофил, включенный во второй линкер. В другом иллюстративном аспекте связывающая рецептор группа или ее аналог или производное ковалентно присоединена к представленной выше формуле через алкилтиольный нуклеофил, включенный в эту группу.or a protected derivative thereof, wherein (D) is a vinca alkaloid or its analogue or derivative capable of forming hydrazone as described herein; and n is an integer, such as 1, 2, 3, or 4. In another illustrative aspect of the intermediate drug-receptor-binding conjugate for drug delivery described herein, the second linker is covalently attached to the above formula via an alkylthiol nucleophile included in second linker. In another illustrative aspect, a receptor-binding group or an analogue or derivative thereof is covalently attached to the above formula via an alkylthiol nucleophile included in this group.
В другом иллюстративном варианте осуществления группа для присоединения представляет собой гетероатом, такой как азот, кислород или сера, и поливалентный линкер включает один или несколько линкеров с гетероатомом и один или несколько спейсерных линкеров, ковалентно соединяющих связывающую рецептор группу с группой для присоединения. В одном иллюстративном аспекте промежуточное соединение, описанное в настоящем описании, включает соединение формулы:In another illustrative embodiment, the attachment group is a heteroatom such as nitrogen, oxygen, or sulfur, and the polyvalent linker includes one or more linkers with a heteroatom and one or more spacer linkers covalently linking the receptor binding group to the attachment group. In one illustrative aspect, the intermediate compound described herein includes a compound of the formula:
или его защищенное производное, где X представляет собой кислород, азот или серу и m представляет собой целое число, такое как 1, 2 или 3, и где (B), lS и lH являются такими, как определено в настоящем описании. В одном иллюстративном аспекте lH представляет собой -NH- и m представляет собой 1. В другом иллюстративном аспекте lH представляет собой -NH-, m представляет собой 1 и X представляет собой -S-.or a protected derivative thereof, where X is oxygen, nitrogen or sulfur and m is an integer, such as 1, 2 or 3, and where (B), lS and lH are as defined herein. In one illustrative aspect, lH is —NH— and m is 1. In another illustrative aspect, lH is —NH—, m is 1, and X is —S—.
В другом иллюстративном варианте осуществления промежуточное соединение, описанное в настоящем описании, включает соединение формулы:In another illustrative embodiment, the intermediate compound described herein includes a compound of the formula:
или его защищенное производное, где Y представляет собой H или заместитель, в качестве иллюстративного примера электрон-акцепторный заместитель, включая, но не ограничиваясь ими, нитро, циано, галоген, алкилсульфонил, производное карбоновой кислоты и т.п., и где (B) и lS являются такими, как определено в настоящем описании. В другом иллюстративном варианте осуществления промежуточного соединения, описанного в настоящем описании, группа для присоединения представляет собой акцептор Михаэля и поливалентный линкер включает один или несколько линкеров с гетероатомом и один или несколько спейсерных линкеров, ковалентно соединяющих связывающую рецептор группу с группой для присоединения. В одном иллюстративном аспекте группа для присоединения и поливалентный линкер вместе образуют соединение формулы:or a protected derivative thereof, where Y is H or a substituent, as an illustrative example, an electron-acceptor substituent, including, but not limited to, nitro, cyano, halogen, alkylsulfonyl, a carboxylic acid derivative and the like, and where (B ) and lS are as defined herein. In another illustrative embodiment of the intermediate described herein, the attachment group is a Michael acceptor and the polyvalent linker includes one or more heteroatom linkers and one or more spacer linkers covalently linking the receptor binding group to the attachment group. In one illustrative aspect, the attachment group and the polyvalent linker together form a compound of the formula:
или его защищенное производное, где X представляет собой кислород, азот или серу и m и n представляют собой независимо выбранные целые числа, такие как 1, 2 или 3, и где (B), lS и lH являются такими, как определено в настоящем описании. В другом иллюстративном аспекте алкалоид барвинка или его аналог или производное ковалентно присоединен к представленной выше формуле через алкилтиольный нуклеофил, включенный в алкалоид барвинка.or its protected derivative, where X is oxygen, nitrogen or sulfur and m and n are independently selected integers, such as 1, 2 or 3, and where (B), lS and lH are as defined in the present description. In another illustrative aspect, the vinca alkaloid or its analogue or derivative is covalently attached to the above formula via an alkylthiol nucleophile included in the vinca alkaloid.
В другом иллюстративном аспекте промежуточное соединение включает соединения формул:In another illustrative aspect, the intermediate compound includes compounds of the formulas:
или их защищенные производные, где AA представляет собой одну или несколько аминокислот, в качестве иллюстративного примера выбранную из встречающихся в природе аминокислот, или их стереоизомеров, X представляет собой азот, кислород или серу, Y представляет собой водород или заместитель, в качестве иллюстративного примера электронно-акцепторный заместитель, включая, но не ограничиваясь ими, нитро, циано, галоген, алкилсульфонил, производное карбоновой кислоты и т.п., n и m представляют собой независимо выбранные целые числа, такие как 1, 2 или 3, и p представляет собой целое число, такое как 1, 2, 3, 4 или 5.or their protected derivatives, where AA is one or more amino acids, as an illustrative example selected from naturally occurring amino acids, or stereoisomers thereof, X is nitrogen, oxygen or sulfur, Y is hydrogen or a substituent, as an illustrative example electronically an acceptor substituent, including but not limited to nitro, cyano, halogen, alkylsulfonyl, a carboxylic acid derivative and the like, n and m are independently selected integers such as 1, 2 or 3, and p is an integer such as 1, 2, 3, 4, or 5.
AA также может представлять собой любую другую аминокислоту, такую как любая аминокислота общей формулы:AA may also be any other amino acid, such as any amino acid of the general formula:
где R представляет собой водород, алкил, ацил или пригодную защитную группу азота, R' и R" представляют собой водород или заместитель, каждый из которых в каждом случае выбран независимо, и t представляет собой целое число, такое как 1, 2, 3, 4 или 5. В качестве иллюстративного примера R' и/или R" независимо соответствуют, но не ограничиваются ими, водороду или боковым цепям, представленным на встречающихся в природе аминокислотах, таким как метил, бензил, гидроксиметил, тиометил, карбоксил, карбоксилметил, гуанидинопропил и т.п., и их производных и защищенных производных. Описанная выше формула включает все стереоизомерные варианты. Например, аминокислота может быть выбрана из аспарагина, аспарагиновой кислоты, цистеина, глутаминовой кислоты, лизина, глутамина, аргинина, серина, орнитина, треонина и т.п. В другом иллюстративном аспекте промежуточного соединения связывающего рецептор для витамина конъюгата для доставки лекарственного средства, описанного в настоящем описании, лекарственное средство или его аналог или производное включает алкилтиольный нуклеофил.where R is hydrogen, alkyl, acyl or a suitable nitrogen protecting group, R 'and R "are hydrogen or a substituent, each of which is independently selected in each case, and t is an integer, such as 1, 2, 3, 4 or 5. By way of illustrative example, R 'and / or R "independently correspond, but are not limited to, hydrogen or side chains represented on naturally occurring amino acids such as methyl, benzyl, hydroxymethyl, thiomethyl, carboxyl, carboxylmethyl, guanidinopropyl etc., and their derivatives and protection -substituted derivatives. The formula described above includes all stereoisomeric variants. For example, an amino acid may be selected from asparagine, aspartic acid, cysteine, glutamic acid, lysine, glutamine, arginine, serine, ornithine, threonine, and the like. In another illustrative aspect of the vitamin-receptor-binding intermediate of a drug delivery conjugate described herein, the drug or its analogue or derivative includes an alkylthiol nucleophile.
Каждое из представленных выше промежуточных соединений можно получать с использованием общепринятых способов синтеза. Дополнительные способы синтеза и условия реакций описаны в публикации патентной заявки США № US 2005/0002942 A1 и международной публикации PCT № WO 2006/012527.Each of the above intermediates can be prepared using conventional synthetic methods. Additional synthesis methods and reaction conditions are described in US Patent Application Publication No. US 2005/0002942 A1 and PCT International Publication No. WO 2006/012527.
Представленные выше иллюстративные варианты осуществления предназначены для иллюстрации этого изобретения, описанного в настоящем описании, и их не следует понимать или толковать как ограничивающие каким-либо образом это изобретение, как описано в настоящем описании. Например, для включения в это изобретение предназначены соединения, главным образом, соответствующие следующим иллюстративным промежуточным соединениям конъюгатов витамин-лекарственное средство, как описано в настоящем описании,The above illustrative embodiments are intended to illustrate this invention described in the present description, and should not be understood or construed as limiting in any way this invention, as described in the present description. For example, for inclusion in this invention are intended compounds, mainly corresponding to the following illustrative intermediate compounds of conjugates of a vitamin-drug, as described in the present description,
где каждый из R1 и R2 независимо представляет собой водород или алкил, такой как метил; и lH представляет собой гетероатом, такой как кислород, сера, необязательно замещенный азот или необязательно защищенный азот и т.п. Два или более лекарственных средств и необязательно дополнительные связывающие рецептор лиганды, такие как фолаты и их аналоги и производные, могут быть ковалентно присоединены к (lH) или к любой другой представленной функциональной группе, такой как азот амида или карбонил, карбоксилат кислоты или аминогруппа гуанидина, этого иллюстративного промежуточного соединения.where each of R1 and R2 independently represents hydrogen or alkyl, such as methyl; and lH represents a heteroatom such as oxygen, sulfur, optionally substituted nitrogen or optionally protected nitrogen and the like. Two or more drugs and optionally additional receptor binding ligands, such as folates and their analogues and derivatives, can be covalently attached to (lH ) or to any other functional group represented, such as amide nitrogen or carbonyl, acid carboxylate or guanidine amino group of this illustrative intermediate.
В другом варианте осуществления описано промежуточное соединение фолатного лиганда следующей формулыIn another embodiment, a folate ligand intermediate of the following formula is described
где m, n и q представляют собой целые числа, которые независимо выбраны из диапазона от 0 до приблизительно 8; AA представляет собой аминокислоту, R1 представляет собой водород, алкил или защитную группу азота и лекарственные средства необязательно присоединены к атомам (*). В одном аспекте AA представляет собой встречающуюся в природе аминокислоту природной или неприродной конфигурации. В другом аспекте одна или несколько из AA во фрагменте (-NH-AA-C(O)-)n представляют собой гидрофильную аминокислоту. В другом аспекте одна или несколько AA во фрагменте (-NH-AA-C(O)-)n представляют собой Asp и/или Arg. В другом аспекте целое число o представляет собой 1 или более. В другом аспекте целое число m представляет собой 2 или более. Лекарственные средства или их аналоги или производные и необязательно дополнительные линкеры и дополнительные связывающие рецептор лиганды могут быть соединены с представленной выше формулой в области трех свободных боковых цепей NH фрагментов 2,ω-диаминоалкановой кислоты или в области концевого карбоксилата, как показано посредством свободных валентностей в них.where m, n and q are integers that are independently selected from a range from 0 to about 8; AA is an amino acid, R1 is hydrogen, an alkyl or a nitrogen protecting group, and drugs are optionally attached to atoms (*). In one aspect, AA is a naturally occurring amino acid of a natural or non-natural configuration. In another aspect, one or more of the AA in the (-NH-AA-C (O) -)n fragment is a hydrophilic amino acid. In another aspect, one or more AAs in the moiety (-NH-AA-C (O) -)n are Asp and / or Arg. In another aspect, the integer o is 1 or more. In another aspect, the integer m is 2 or more. Medicines or their analogs or derivatives and optionally additional linkers and additional receptor binding ligands can be coupled with the above formula in the region of three free side chains of NH fragments 2, ω-diaminoalkanoic acid or in the terminal carboxylate region, as shown by free valencies therein .
В другом варианте осуществления описано промежуточное соединение фолатного лиганда следующей формулыIn another embodiment, a folate ligand intermediate of the following formula is described
где m, n, q и p представляют собой целые числа, которые независимо выбраны из диапазона от 0 до приблизительно 8; AA представляет собой аминокислоту, R1 представляет собой водород, алкил или защитную группу азота и лекарственные средства необязательно присоединены к атомам (*). В одном аспекте AA представляет собой встречающуюся в природе аминокислоту либо природной, либо неприродной конфигурации. В другом аспекте одна или несколько AA во фрагменте (-NH-AA-C(O)-)n представляет собой гидрофильную аминокислоту. В другом аспекте одна или несколько AA во фрагменте (-NH-AA-C(O)-)n представляет собой Asp и/или Arg. В другом аспекте целые числа o и p представляют собой 1 или более. В другом аспекте целое число m представляет собой 2 или более. Лекарственные средства или их аналоги или производные и необязательно дополнительные линкеры и дополнительные связывающие рецептор лиганды могут быть присоединены к указанной выше формуле в области свободных боковых цепей NH фрагментов 2,ω-диаминоалкановой кислоты, в области тиольных групп цистеинила или в области концевого карбоксилата, как указано посредством свободных валентностей в них.where m, n, q and p are integers that are independently selected from a range from 0 to about 8; AA is an amino acid, R1 is hydrogen, an alkyl or a nitrogen protecting group, and drugs are optionally attached to atoms (*). In one aspect, AA is a naturally occurring amino acid of either a natural or non-natural configuration. In another aspect, one or more AA in the moiety (-NH-AA-C (O) -)n is a hydrophilic amino acid. In another aspect, one or more AA in the moiety (-NH-AA-C (O) -)n represents Asp and / or Arg. In another aspect, the integers o and p are 1 or more. In another aspect, the integer m is 2 or more. Medicines or their analogs or derivatives and optionally additional linkers and additional receptor binding ligands can be attached to the above formula in the region of the free side chains of NH fragments 2, ω-diaminoalkanoic acid, in the region of cysteinyl thiol groups or in the terminal carboxylate region, as indicated through free valencies in them.
В другом варианте осуществления описано промежуточное соединение фолатного лиганда следующей формулыIn another embodiment, a folate ligand intermediate of the following formula is described
где m, n, q, p и r представляют собой целые числа, которые независимо выбраны из диапазона от 0 до приблизительно 8; AA представляет собой аминокислоту, R1 представляет собой водород, алкил или защитную группу азота и лекарственные средства необязательно присоединены к атомам (*). В одном аспекте AA представляет собой встречающуюся в природе аминокислоту либо природной, либо неприродной конфигурации. В другом аспекте одна или несколько AA во фрагмент (-NH-AA-C(O)-)n представляет собой гидрофильную аминокислоту. В другом аспекте одна или несколько AA во фрагменте (-NH- AA-C(O)-)n представляет собой Asp и/или Arg. В другом аспекте целые числа o, p и r представляют собой 1 или более. В другом аспекте целое число m представляет собой 2 или более. Лекарственные средства или их аналоги или производные и необязательно дополнительные линкеры и дополнительные связывающие рецептор лиганды могут быть присоединены к указанной выше формуле в области свободных боковых цепей фрагментов NH 2,ω-диаминоалкановой кислоты, в области тиольных групп цистеинила, гидроксигрупп серинила или концевого карбоксилата, как указано посредством свободных валентностей в них.where m, n, q, p and r are integers that are independently selected from a range from 0 to about 8; AA is an amino acid, R1 is hydrogen, an alkyl or a nitrogen protecting group, and drugs are optionally attached to atoms (*). In one aspect, AA is a naturally occurring amino acid of either a natural or non-natural configuration. In another aspect, one or more AA in the (-NH-AA-C (O) -)n fragment is a hydrophilic amino acid. In another aspect, one or more AA in the moiety (-NH-AA-C (O) -)n represents Asp and / or Arg. In another aspect, the integers o, p, and r are 1 or more. In another aspect, the integer m is 2 or more. Medicines or their analogs or derivatives and optionally additional linkers and additional receptor binding ligands can be attached to the above formula in the region of the free side chains of
В другом варианте осуществления описано промежуточное соединение фолатного лиганда, которое включает митомицин в качестве одного из лекарственных средств, имеющее следующую формулуIn another embodiment, a folate ligand intermediate is described that includes mitomycin as one of the drugs, having the following formula
где m, n и q представляют собой целые числа, которые независимо выбраны из диапазона от 0 до приблизительно 8; и AA представляет собой аминокислоту. В одном аспекте AA представляет собой встречающуюся в природе аминокислоту либо природной, либо неприродной конфигурации. В другом аспекте одна или несколько AA во фрагменте (-NH-AA-C(O)-)n представляет собой гидрофильную аминокислоту. В другом аспекте одна или несколько AA во фрагментеwhere m, n and q are integers that are independently selected from a range from 0 to about 8; and AA is an amino acid. In one aspect, AA is a naturally occurring amino acid of either a natural or non-natural configuration. In another aspect, one or more AA in the moiety (-NH-AA-C (O) -)n is a hydrophilic amino acid. In another aspect, one or more AA in fragment
(-NH-AA-C(O)-)n представляет собой Asp и/или Arg. В другом аспекте целое число o представляет собой 1 или более. В другом аспекте целое число m представляет собой 2 или более. Лекарственные средства или их аналоги или производные и необязательно дополнительные линкеры и дополнительные связывающие рецептор лиганды могут быть соединены к представленной выше формуле в области дополнительных свободных боковых цепей NH фрагментов 2,ω-диаминоалкановой кислоты или в области концевого карбоксилата, как указано посредством свободных валентностей в них.(-NH-AA-C (O) -)n represents Asp and / or Arg. In another aspect, the integer o is 1 or more. In another aspect, the integer m is 2 or more. Medicines or their analogs or derivatives and optionally additional linkers and additional receptor binding ligands can be coupled to the above formula in the region of additional free side chains of NH fragments 2, ω-diaminoalkanoic acid or in the terminal carboxylate region, as indicated by free valencies therein .
В другом варианте осуществления описан конъюгат фолатного лиганда и нескольких лекарственных средств, который включает митомицин и алкалоид барвинка, имеющий следующую формулуIn another embodiment, a folate ligand-multiple drug conjugate is described that includes mitomycin and a vinca alkaloid having the following formula
В другом варианте осуществления описан конъюгат фолатного лиганда и нескольких лекарственных средств, который включает митомицин, акламицин и алкалоид барвинка, имеющий следующую формулуIn another embodiment, a folate ligand-multiple drug conjugate is described which includes mitomycin, aclamycin, and periwinkle alkaloid having the following formula
В другом варианте осуществления описана фармацевтическая композиция. Фармацевтическая композиция содержит конъюгат для доставки лекарственного средства, описанный в настоящем описании, в сочетании с фармацевтически приемлемым носителем, наполнителем и/или разбавителем для него.In another embodiment, a pharmaceutical composition is described. The pharmaceutical composition comprises a drug delivery conjugate described herein in combination with a pharmaceutically acceptable carrier, excipient and / or diluent for it.
В другом варианте осуществления описан способ устранения популяции патогенных клеток в животном-хозяине, обладающем популяцией патогенных клеток. В одном иллюстративном аспекте члены популяции патогенных клеток обладают участком для связывания, доступным для связывающей рецептор группы или ее аналога или производного, и этот участок для связывания экспрессируется только патогенными клетками, сверхэкспрессируется или предпочтительно экспрессируется ими. Способ включает стадию введения хозяину конъюгата для доставки лекарственного средства, описанного в настоящем описании, или его фармацевтической композиции, как описано в настоящем описании.In another embodiment, a method for eliminating a population of pathogenic cells in an animal host having a population of pathogenic cells is described. In one illustrative aspect, members of a population of pathogenic cells have a binding site accessible to a receptor binding group or its analogue or derivative, and this binding site is expressed only by pathogenic cells, overexpressed, or preferably expressed by them. The method includes the step of administering to the host a conjugate for delivering the drug described herein or its pharmaceutical composition as described herein.
Популяции патогенных клеток, против которых можно проводить лечение с использованием способов, описанных в настоящем описании, включают, но не ограничиваются ими, злокачественные опухоли, такие как эпителиальные злокачественные опухоли яичника, молочной железы, толстого кишечника, легкого, носа, горла, головного мозга и другие типы опухолевых клеток, инфекционные агенты, активированные макрофаги, активированные моноциты и т.п.Populations of pathogenic cells that can be treated against using the methods described herein include, but are not limited to, malignant tumors, such as epithelial malignant tumors of the ovary, breast, colon, lung, nose, throat, brain, and other types of tumor cells, infectious agents, activated macrophages, activated monocytes, and the like.
Конъюгаты для доставки лекарственного средства, описанные в настоящем описании, можно использовать как для клинической медицины человека, так и для ветеринарных способов применения. Таким образом, животное-хозяин, которое имеет популяцию патогенных клеток и которое лечат конъюгатами для доставки лекарственного средства, может представлять собой человека или в случае ветеринарных способов применения может представлять собой лабораторное, сельскохозяйственное, домашнее или дикое животное. Конъюгаты для доставки лекарственного средства, описанные в настоящем описании, можно вводить животным-хозяевам, включая, но не ограничиваясь ими, человека, лабораторных животных, таких как грызуны (например, мыши, крысы, хомяки и т.д.), кролики, обезьяны, шимпанзе, домашние животные, такие как собаки, кошки и кролики, сельскохозяйственные животные, такие как коровы, лошади, свиньи, овцы, козы, и дикие животные в неволе, такие как медведи, панды, львы, тигры, леопарды, слоны, зебры, жирафы, гориллы, дельфины и киты.The drug delivery conjugates described herein can be used for both human clinical medicine and veterinary uses. Thus, a host animal that has a population of pathogenic cells and that is treated with drug delivery conjugates may be human or, in the case of veterinary uses, may be a laboratory, agricultural, domestic or wild animal. The drug delivery conjugates described herein can be administered to host animals, including, but not limited to, human, laboratory animals such as rodents (e.g. mice, rats, hamsters, etc.), rabbits, monkeys , chimpanzees, domestic animals such as dogs, cats and rabbits, farm animals such as cows, horses, pigs, sheep, goats, and wild animals in captivity such as bears, pandas, lions, tigers, leopards, elephants, zebras , giraffes, gorillas, dolphins and whales.
Конъюгаты для доставки лекарственного средства, описанные в настоящем описании, можно использовать для лечения множества патологий и патогенных клеток в животном-хозяине. Как используют в настоящем описании, "патогенные клетки" означают злокачественные клетки, инфекционные агенты, такие как бактерии и вирусы, инфицированные бактериями или вирусами клетки, активированные макрофаги, способные вызывать болезненное состояние, и любой другой тип патогенных клеток, которые единственные экспрессируют, предпочтительно экспрессируют или сверхэкспрессируют рецепторы для лигандов, такие как рецепторы для витаминов или рецепторы, которые связывают аналоги или производные витаминов. Патогенные клетки также могут включать любые клетки, вызывающие болезненное состояние, лечение которого посредством конъюгатов для доставки лекарственного средства приводит к снижению симптомов заболевания. Патогенные клетки также могут представлять собой клетки-хозяева, которые являются патогенными в некоторых условиях, такие как клетки иммунной системы, которые ответственны за реакцию "трансплантат против хозяина", но не являются патогенными в других условиях.The drug delivery conjugates described herein can be used to treat a variety of pathologies and pathogenic cells in a host animal. As used herein, “pathogenic cells” means malignant cells, infectious agents such as bacteria and viruses, bacteria or virus infected cells, activated macrophages capable of causing a disease state, and any other type of pathogenic cells that alone express, preferably express or overexpressing ligand receptors, such as vitamin receptors or receptors that bind analogs or derivatives of vitamins. Pathogenic cells can also include any cells that cause a disease state, the treatment of which by means of conjugates for drug delivery leads to a decrease in symptoms of the disease. Pathogenic cells can also be host cells that are pathogenic in some conditions, such as cells of the immune system that are responsible for the graft versus host reaction, but are not pathogenic in other conditions.
Таким образом, популяция патогенных клеток может представлять собой популяцию злокачественных клеток, которые вызывают опухоли, включая доброкачественные опухоли и злокачественные опухоли, или они могут представлять собой не вызывающие опухоли клетки. Популяция злокачественных клеток может возникать спонтанно или при помощи таких процессов, как мутации, имеющиеся в эмбриональных клетках животного-хозяина, или соматические мутации, или они могут быть индуцированными химически, вирусами или облучением. Это изобретение можно применять для лечения таких злокачественных опухолей, как карциномы, саркомы, лимфомы, болезнь Ходжкина, меланомы, мезотелиомы, лимфома Беркитта, носоглоточные карциномы, лейкозы и миеломы. Популяция злокачественных клеток может включать, но не ограничиваться ими, злокачественную опухоль ротовой полости, щитовидной железы, эндокринной системы, кожи, желудка, пищевода, гортани, поджелудочной железы, толстого кишечника, мочевого пузыря, кости, яичника, шейки матки, матки, молочной железы, яичка, предстательной железы, прямой кишки, почки, печени и легкого.Thus, a population of pathogenic cells can be a population of malignant cells that cause tumors, including benign tumors and malignant tumors, or they can be non-tumor cells. A population of malignant cells can occur spontaneously or through processes such as mutations found in the embryonic cells of the animal host, or somatic mutations, or they can be chemically induced, viruses or radiation. This invention can be used to treat malignant tumors such as carcinomas, sarcomas, lymphomas, Hodgkin’s disease, melanomas, mesotheliomas, Burkitt’s lymphomas, nasopharyngeal carcinomas, leukemias and myelomas. A population of malignant cells may include, but is not limited to, a malignant tumor of the oral cavity, thyroid gland, endocrine system, skin, stomach, esophagus, larynx, pancreas, large intestine, bladder, bone, ovary, cervix, uterus, mammary gland , testis, prostate, rectum, kidney, liver and lung.
В вариантах осуществления, где популяция патогенных клеток представляет собой популяцию злокачественных клеток, эффект введения конъюгата для доставки лекарственного средства представляет собой терапевтический ответ, определяемый снижением или устранением опухолевой массы или ингибированием пролиферации опухолевых клеток. В случае опухоли устранение может представлять собой устранение клеток первичной опухоли или клеток, которые метастазировали или находятся в процессе диссоциации от первичной опухоли. Также предусмотрено профилактическое лечение конъюгатом для доставки лекарственного средства для предотвращения повторного возникновения опухоли после ее удаления посредством любого терапевтического подхода, включающего хирургическое удаление опухоли, лучевую терапию, химиотерапию или биологическую терапию. Профилактическое лечение может представлять собой первоначальное лечение конъюгатом для доставки лекарственного средства, такое как лечение по схеме с несколькими дозами в сутки, и/или оно может представлять собой вспомогательное лечение или серию лечений после интервала, составляющего сутки или месяцы после исходного лечения(ий). Таким образом, устранение любой из популяций патогенных клеток, описанных выше, включает снижение количества патогенных клеток, ингибирование пролиферации патогенных клеток, профилактическое лечение, которое предотвращает повторное возникновение патогенных клеток, или лечение против патогенных клеток, которое приводит к уменьшению симптомов заболевания.In embodiments where the population of pathogenic cells is a population of malignant cells, the effect of administering a drug delivery conjugate is a therapeutic response defined by a decrease or elimination of the tumor mass or inhibition of the proliferation of tumor cells. In the case of a tumor, the elimination may be the elimination of primary tumor cells or cells that have metastasized or are in the process of dissociation from the primary tumor. Prophylactic treatment with a drug delivery conjugate is also provided to prevent the recurrence of a tumor after it has been removed by any therapeutic approach, including surgical removal of the tumor, radiation therapy, chemotherapy or biological therapy. A preventive treatment may be initial treatment with a drug delivery conjugate, such as a multi-dose regimen, and / or it may be adjuvant treatment or a series of treatments after an interval of one day or months after the initial treatment (s). Thus, eliminating any of the populations of pathogenic cells described above includes reducing the number of pathogenic cells, inhibiting the proliferation of pathogenic cells, prophylactic treatment that prevents the recurrence of pathogenic cells, or treatment against pathogenic cells, which leads to a decrease in the symptoms of the disease.
В случаях когда устранению подлежат клетки злокачественной опухоли, описанный в настоящем описании способ можно использовать в сочетании с хирургическим удалением опухоли, лучевой терапией, химиотерапией или биологическими способами терапии, такими как другие способы иммунотерапии, включая, но не ограничиваясь ими, терапию моноклональными антителами, лечение иммуномодулирующими средствами, адоптивный перенос иммунных эффекторных клеток, лечение гемопоэтическими факторами роста, цитокинами и вакцинация.In cases where cancer cells are to be eliminated, the method described herein can be used in combination with surgical removal of the tumor, radiation therapy, chemotherapy or biological methods of therapy, such as other immunotherapy methods, including, but not limited to, monoclonal antibody therapy, treatment immunomodulatory agents, adaptive transfer of immune effector cells, treatment with hematopoietic growth factors, cytokines and vaccination.
Способ, описанный в настоящем описании, также является применимым в отношении популяций патогенных клеток, которые вызывают множество инфекционных заболеваний. Например, настоящее изобретение является применимым для таких популяций патогенных клеток, как бактерии, грибы, включая дрожжи, вирусы, инфицированные вирусом клетки, микоплазму и паразиты. Инфекционные организмы против которых можно проводить лечение посредством конъюгатов для доставки лекарственного средства, описанных в настоящем описании, представляют собой любые известные в данной области инфекционные организмы, которые приводят к патогенезу у животного, включая такие организмы, как бактерии, которые представляют собой грамотрицательные или грамположительные кокки или бациллы. Например, с помощью конъюгатов для доставки лекарственного средства можно проводить лечение от видовProteus, видовKlebsiella, видовProvidencia, видовYersinia, видовErwinia, видовEnterobacter, видов Salmonella, видовSerratia, видовAerobacter, видовEscherichia, видовPseudomonas, видовShigella, видовVibrio, видовAeromonas, видовCampylobacter, видовStreptococcus, видовStaphylococcus, видовLactobacillus, видовMicrococcus, видовMoraxella, видовBacillus, видовClostridium, видовCorynebacterium, видовEberthella, видовMicrococcus, видовMycobacterium, видовNeisseria, видовHaemophilus, видовBacteroides, видовListeria, видовErysipelothrix, видовAcinetobacter, видовBrucella, видовPasteurella, видовVibrio, видовFlavobacterium, видовFusobacterium, видовStreptobacillus, видовCalymmatobacterium, видовLegionella, видовTreponema, видовBorrelia, видовLeptospira, видовActinomyces, видовNocardia, видовRickettsia и любого другого бактериального вида, который вызывает заболевание в животном-хозяине.The method described herein is also applicable to populations of pathogenic cells that cause many infectious diseases. For example, the present invention is applicable to pathogenic cell populations such as bacteria, fungi, including yeast, viruses, virus-infected cells, mycoplasma and parasites. Infectious organisms against which the drug delivery conjugates described herein can be treated are any infectious organisms known in the art that lead to pathogenesis in an animal, including organisms such as bacteria that are gram-negative or gram-positive cocci or bacilli. For example, conjugates for drug delivery can be used to treatProteus spp. ,Klebsiella spp. ,Providencia spp. ,Yersinia spp. ,Erwinia spp. ,Enterobacter spp. , Salmonella spp.,Serratiaspp. ,Aerobacter spp. ,Escherichia spp. ,Pseudomonas spp. ,Shigella spp. , Speciesof Vibrio, types ofthe Aeromonas, species ofCampylobacter, speciesof Streptococcus, speciesof Staphylococcus, speciesof Lactobacillus, a speciesof Micrococcus, speciesMoraxella,Bacillus species, speciesof Clostridium, a speciesof Corynebacterium, a speciesEberthella, species ofMicrococcus,Mycobacterium species, speciesof Neisseria, speciesof Haemophilus, species ofBacteroides,Listeriaspp. ,Erysipelothrix spp. ,Acinetobacterspp. ,Brucellaspp., Pasteure spp. lla ,Vibrio species,Flavobacterium species,Fusobacterium species,Streptobacillus species,Calymmatobacterium species,Legionella species,Treponema species,Borrelia species,Leptospira species,Actinomyces species,Nocardia species,Rickettsia species and any other bacterial species that causes disease in the animal host .
Особый интерес представляют бактерии, которые являются устойчивыми к антибиотикам, такие как устойчивые к антибиотикам видыStreptococcus и видыStaphlococcus, или бактерии, которые являются чувствительными к антибиотикам, но вызывают рекуррентные инфекции, которые лечат антибиотиками, так что в итоге развиваются устойчивые организмы. Для избежания развития этих устойчивых к антибиотикам штаммов лечение против бактерий, которые являются чувствительными к антибиотикам, но вызывают рекуррентные инфекции, которые лечат антибиотиками, так что в итоге развиваются устойчивые организмы, можно проводить посредством описанных в настоящем описании конъюгатов для доставки лекарственного средства в отсутствие антибиотиков или в сочетании с более низкими дозами антибиотиков, чем обычно вводят животному-хозяину.Of particular interest are bacteria that are resistant to antibiotics, such as the antibiotic resistant speciesStreptococcus andStaphlococcus species, or bacteria that are sensitive to antibiotics but cause recurrent infections that are treated with antibiotics, so that resistant organisms develop. In order to avoid the development of these antibiotic-resistant strains, treatment against bacteria that are sensitive to antibiotics but cause recurrent infections that are treated with antibiotics, so that resistant organisms develop, can be carried out using drug delivery conjugates described in the present description in the absence of antibiotics or in combination with lower doses of antibiotics than are usually administered to the host animal.
Заболевания, вызываемые вирусами, такими как ДНК- и РНК-вирусы, также можно лечить посредством конъюгатов для доставки лекарственного средства, описанных в настоящем описании. Такие вирусы включают, но не ограничиваются ими, ДНК-вирусы, такие как вирусы папилломы, парвовирусы, аденовирусы, герпес-вирусы и вирусы коровьей оспы и РНК-вирусы, такие как аренавирусы, коронавирусы, риновирусы, респераторные синцитиальные вирусы, вирусы гриппа, пикорнавирусы, парамиксовирусы, реовирусы, ретровирусы, лентивирусы и рабдовирусы.Diseases caused by viruses, such as DNA and RNA viruses, can also be treated with the drug delivery conjugates described herein. Such viruses include, but are not limited to, DNA viruses such as papilloma viruses, parvoviruses, adenoviruses, herpes viruses and vaccinia viruses, and RNA viruses such as arenaviruses, coronaviruses, rhinoviruses, respiratory syncytial viruses, influenza viruses, picornaviruses , paramyxoviruses, reoviruses, retroviruses, lentiviruses and rhabdoviruses.
Конъюгаты для доставки лекарственного средства, описанные в настоящем описании, также можно использовать для лечения заболеваний, вызываемых любыми грибами, включая дрожжи, виды микоплазмы, паразиты или другие инфекционные организмы, которые вызывают заболевание у животных. Примеры грибов, от которых можно лечить посредством способа и конъюгатов для доставки лекарственного средства, описанных в настоящем описании, включают грибы, которые растут в виде плесени или являются дрожжеподобными, включая, например, грибы, которые вызывают заболевания, такие как стригущий лишай, гистоплазмоз, бластомикоз, аспергиллез, криптококкоз, споротрихоз, кокцидиоидомикоз, паракокцидиоидомикоз, мукормикоз, хромобластомикоз, дерматофитоз, прототекоз, фузариоз, питириоз, мицетома, паракокцидиоидомикоз, феогифомикоз, псевдаллешериоз, споротрихоз, трихоспороз, инфекцияPneumocystis и кандидоз.The drug delivery conjugates described herein can also be used to treat diseases caused by any fungi, including yeast, mycoplasma species, parasites or other infectious organisms that cause disease in animals. Examples of fungi that can be treated by the method and drug delivery conjugates described herein include fungi that grow as mold or are yeast-like, including, for example, fungi that cause diseases such as ringworm, histoplasmosis, blastomycosis, aspergillosis, cryptococcosis, sporotrichosis, coccidioidomycosis, paracoccidioidomycosis, mucormycosis, chromoblastomycosis, dermatophytosis, protothecosis, fusariosis, pitiriosis, mycetoma, paracoccidioidomycosis, pheogyphosis sheriosis, sporotrichosis, trichosporosis,Pneumocystis infection and candidiasis.
Конъюгаты для доставки лекарственного средства, описанные в настоящем описании, также можно использовать для лечения паразитарных инфекций, включая, но не ограничиваясь ими, инфекции, вызываемые гельминтами, такими как видыTaenia, Hymenolepsis, Diphyllobothrium иEchinococcus, трематодами, такими как видыFasciolopsis,Heterophyes,Metagonimus, Clonorchis, Fasciola, Paragonimus иSchitosoma, круглыми червями, такими как видыEnterobius, Trichuris, Ascaris, Ancylostoma, Necator, Strongyloides, Trichinella, Wuchereria, Brugia, Loa Onchocerca иDracunculus, амебами, такими как виды Naegleria и Acanthamoeba, и простейшими, такими как виды Plasmodium, Trypanosoma, Leishmania, Toxoplasma, EntamoeIba, Giardia, Isospora, Cryptospondium и Enterocytozoon.The drug delivery conjugates described herein can also be used to treat parasitic infections, including but not limited to infections caused by helminths such asTaenia, Hymenolepsis, Diphyllobothrium andEchinococcus species, trematodes such asFasciolopsis ,Heterophyes species ,Metagonimus, Clonorchis, Fasciola, Paragonimus, andSchitosoma , roundworms such asEnterobius, Trichuris, Ascaris, Ancylostoma, Necator, Strongyloides, Trichinella, Wuchereria, Brugia, Loa Onchocerca andDracunculus , Amoeba, Amoeba, protozoa such as the species Plasmodium, Trypanosoma, Leishmania, Toxoplasma, EntamoeIba, Giardia, Isospora, Cryptospondium and Enterocytozoon.
Патогенные клетки, на которые направлены конъюгаты для доставки лекарственного средства, также могут представлять собой клетки, обладающие эндогенными патогенами, такими как клетки, инфицированные вирусами, микоплазмой, паразитами или бактериями, если эти клетки предпочтительно экспрессируют рецепторы для лигандов, такие как рецепторы для витаминов или их аналоги или производные.The pathogenic cells targeted for drug delivery conjugates can also be cells with endogenous pathogens, such as cells infected with viruses, mycoplasma, parasites or bacteria, if these cells preferably express receptors for ligands, such as receptors for vitamins or their analogues or derivatives.
В одном варианте осуществления конъюгаты для доставки лекарственного средства могут интернализовываться в патогенные клетки-мишени при связывании лиганда с рецептором, переносчиком или другим представленным на поверхности белком, который специфично связывает лиганд и который предпочтительно экспрессируется на патогенных клетках. Такая интернализация может происходить, например, посредством опосредуемого рецептором эндоцитоза. Если конъюгат для доставки лекарственного средства содержит высвобождаемый линкер, то лиганд и соединение барвинка могут диссоциировать внутриклеточно и соединение барвинка может действовать на его внутриклеточную мишень.In one embodiment, drug delivery conjugates can be internalized into pathogenic target cells by binding the ligand to a receptor, carrier, or other surface-represented protein that specifically binds the ligand and which is preferably expressed on pathogenic cells. Such internalization can occur, for example, through receptor-mediated endocytosis. If the drug delivery conjugate contains a releasable linker, then the ligand and periwinkle compound can dissociate intracellularly and the periwinkle compound can act on its intracellular target.
В другом иллюстративном варианте осуществления лиганд конъюгата для доставки лекарственного средства может связываться с патогенной клеткой, обеспечивая расположение соединения барвинка близко к поверхности патогенной клетки.In another illustrative embodiment, the drug delivery conjugate ligand can bind to a pathogenic cell, ensuring that the vinca compound is located close to the surface of the pathogenic cell.
Затем соединение барвинка может высвобождаться посредством расщепления высвобождаемого линкера. Например, соединение барвинка может высвобождаться посредством протеиндисульфидизомеразы, если высвобождаемый линкер представляет собой дисульфидную группу. Соединение барвинка может захватываться патогенной клеткой, с которой связался связывающий рецептор конъюгат для доставки лекарственного средства, или соединение барвинка может захватываться другой патогенной клеткой, расположенной вблизи к ней. Альтернативно соединение барвинка может высвобождаться посредством протеиндисульфидизомеразы внутри клетки, где высвобождаемый линкер представляет собой дисульфидную группу. Соединение барвинка также может высвобождаться посредством механизма гидролиза, такого как катализируемый кислотой гидролиз, как описано выше для определенных механизмов бета-отщепления, или посредством расщепления с помощью анхимерного эффекта через механизм образования иона оксония или иона лактония. Выбор высвобождаемого линкера или линкеров будет определять механизм, посредством которого соединение барвинка высвобождается из конъюгата. Понятно, что такой выбор может быть предварительно определен условиями, в которых будет использоваться конъюгат для доставки лекарственного средства.The periwinkle compound can then be released by cleavage of the released linker. For example, a periwinkle compound may be released by a protein disulfide isomerase if the released linker is a disulfide group. The periwinkle compound may be captured by the pathogenic cell to which the receptor-binding conjugate is bound for drug delivery, or the vinca compound may be captured by another pathogenic cell located close to it. Alternatively, the periwinkle compound may be released by protein disulfide isomerase inside the cell, where the released linker is a disulfide group. The periwinkle compound can also be released via a hydrolysis mechanism, such as acid-catalyzed hydrolysis, as described above for certain beta-cleavage mechanisms, or by cleavage by an antimer effect through the formation of an oxonium ion or lactonium ion. The choice of releasable linker or linkers will determine the mechanism by which the periwinkle compound is released from the conjugate. It is understood that such a choice may be predetermined by the conditions under which the conjugate will be used for drug delivery.
В другом иллюстративном варианте осуществления, где линкер не содержит высвобождаемого линкера, группа лиганда конъюгата для доставки лекарственного средства может связываться с патогенной клеткой, обеспечивая расположение соединения барвинка на поверхности патогенной клетки для нацеливания на патогенную клетку атаки другими молекулами, способными связываться с соединением барвинка. Альтернативно в этом варианте осуществления конъюгаты для доставки лекарственного средства могут при связывании интернализовываться в клетки-мишени, и группа лиганда и соединение барвинка может оставаться связанным внутриклеточно с соединением барвинка, оказывающим свои эффекты без диссоциации от группы лиганда.In another illustrative embodiment, where the linker does not contain a releasable linker, the drug delivery ligand group of the conjugate can bind to the pathogenic cell, allowing the vinca compound to be located on the surface of the pathogenic cell to target other pathogens capable of binding to the vinca compound. Alternatively, in this embodiment, drug delivery conjugates may internalize upon binding to target cells, and the ligand group and periwinkle compound may remain intracellularly coupled to the periwinkle compound, which exerts its effects without dissociation from the ligand group.
В другом варианте осуществления или в сочетании с описанными выше вариантами осуществления, где конъюгат для доставки лекарственного средства связывает рецептор для витамина или рецептор для другого лиганда, конъюгат может связываться с растворимыми рецепторами для витаминов, имеющимися в сыворотке, или с сывороточными белками, такими как альбумин, что приводит к пролонгированной циркуляции конъюгатов относительно неконъюгированного соединения барвинка и повышенной активности конъюгатов в отношении популяции патогенных клеток относительно неконъюгированного соединения барвинка.In another embodiment, or in combination with the above embodiments, wherein the drug delivery conjugate binds a vitamin receptor or a receptor for another ligand, the conjugate can bind to soluble vitamin receptors found in serum or to whey proteins such as albumin , which leads to a prolonged circulation of conjugates relative to the unconjugated compound of periwinkle and increased activity of conjugates in relation to the population of pathogenic cells rel Relatively unconjugated periwinkle compound.
Участок для связывания лиганда, такого как витамин, может включать рецепторы для лиганда, способные специфично связывать лиганд, где рецептор или другой белок экспрессируется только популяцией патогенных клеток, сверхэкспрессируется или предпочтительно экспрессируется ей. Представленный на поверхности белок, экспрессируемый только патогенными клетками, сверхэкспрессируемый или предпочтительно экспрессируемый ими, как правило, представляет собой рецептор, который либо не представлен на непатогенных клетках, либо представлен на них в более низких концентрациях, что обеспечивает способ для селективного устранения патогенных клеток. Конъюгаты для доставки лекарственного средства могут быть способны к связыванию с высокой аффинностью с рецепторами на злокачественных клетках или других типах патогенных клеток. Связывание с высокой аффинностью может быть присущим лиганду, или аффинность связывания можно повышать посредством применения химически модифицированного лиганда.A ligand binding site, such as a vitamin, may include ligand receptors capable of specifically binding a ligand, where a receptor or other protein is expressed only by a population of pathogenic cells, overexpressed or preferably expressed by it. Presented on the surface is a protein expressed only by pathogenic cells, overexpressed or preferably expressed by them, as a rule, is a receptor that is either not present on non-pathogenic cells or is presented on them in lower concentrations, which provides a method for the selective elimination of pathogenic cells. Drug delivery conjugates may be capable of binding with high affinity to receptors on cancer cells or other types of pathogenic cells. High affinity binding may be inherent to the ligand, or binding affinity may be enhanced by the use of a chemically modified ligand.
Конъюгаты для доставки лекарственного средства, описанные в настоящем описании, можно вводить в качестве комбинированной терапии с любым другим известным средством независимо от того, является ли дополнительное лекарственное средство нацеленным. Иллюстративные дополнительные лекарственные средства включают, но не ограничиваются ими, пептиды, олигопептиды, ретро-инверсо-олигопептиды, белки, аналоги белков, в которых по меньшей мере одна непептидная связь заменяет пептидную связь, апобелки, гликопротеины, ферменты, коферменты, ингибиторы ферментов, аминокислоты и их производные, рецепторы и другие мембранные белки, антигены и антитела к ним, гаптены и антитела к ним, гормоны, липиды, фосфолипиды, липосомы, токсины, антибиотики, обезболивающие средства, бронходилятаторы, бета-блокаторы, противомикробные средства, антигипертензивные средства, сердечно-сосудистые средства, включающие антиаритмические средства, сердечные гликозиды, антиангинальные средства, вазодилятаторы, средства для центральной нервной системы, включая стимуляторы, психотропные средства, средства против маний и деперессанты, противовирусные средства, антигистамины, лекарственные средства против злокачественной опухоли, включая химиотерапевтические средства, транквилизаторы, антидепрессанты, антагонисты H-2, противосудорожные препараты, средства против тошноты, простагландины и аналоги простагландинов, мышечные релаксанты, противовоспалительные вещества, стимуляторы, противоотечные средства, противорвотные средства, диуретики, спазмолитические средства, противоастматические средства, средства против болезни Паркинсона, отхаркивающие средства, подавляющие кашель средства, муколитические средства и минеральные и питательные добавки.The drug delivery conjugates described herein can be administered as a combination therapy with any other known agent, regardless of whether the additional drug is targeted. Illustrative complementary drugs include, but are not limited to, peptides, oligopeptides, retro-inverse oligopeptides, proteins, protein analogs in which at least one non-peptide bond replaces a peptide bond, apoproteins, glycoproteins, enzymes, coenzymes, enzyme inhibitors, amino acids and their derivatives, receptors and other membrane proteins, antigens and antibodies to them, haptens and antibodies to them, hormones, lipids, phospholipids, liposomes, toxins, antibiotics, painkillers, bronchodilators, beta-block orors, antimicrobials, antihypertensive agents, cardiovascular agents, including antiarrhythmic drugs, cardiac glycosides, antianginal drugs, vasodilators, central nervous system drugs, including stimulants, psychotropic drugs, anti-mania and depressant drugs, antiviral drugs, antihistamines, medicines against a malignant tumor, including chemotherapeutic agents, tranquilizers, antidepressants, H-2 antagonists, anticonvulsants, medium anti-nausea drugs, prostaglandins and prostaglandin analogues, muscle relaxants, anti-inflammatory substances, stimulants, decongestants, anti-emetics, diuretics, antispasmodics, anti-asthma drugs, Parkinson's disease drugs, expectorant drugs, cough suppressants, mucolytic drugs and mineral and nutritional supplements .
В другом иллюстративном аспекте дополнительное лекарственное средство может быть выбрано из соединения, способного стимулировать эндогенный иммунный ответ. Пригодные соединения включают, но не ограничиваются ими, цитокины или факторы роста иммунных клеток, такие как интерлейкины 1-18, фактор стволовых клеток, основной FGF, EGF, G-CSF, GM-CSF, лиганд FLK-2, HILDA, MTP-1α, TGF-α, TGF-β, M-CSF, IFN-α, IFN-β, IFN-γ, растворимый CD23, LIF, и их сочетания.In another illustrative aspect, the additional drug may be selected from a compound capable of stimulating an endogenous immune response. Suitable compounds include, but are not limited to, cytokines or immune cell growth factors such as interleukins 1-18, stem cell factor, basic FGF, EGF, G-CSF, GM-CSF, ligand FLK-2, HILDA, MTP-1α , TGF-α, TGF-β, M-CSF, IFN-α, IFN-β, IFN-γ, soluble CD23, LIF, and combinations thereof.
Можно использовать терапевтически эффективные сочетания этих иммуностимулирующих факторов. В одном варианте осуществления совместно с конъюгатами для доставки лекарственного средства можно использовать, например, терапевтически эффективные количества IL-2, например, в количествах в диапазоне от приблизительно 0,1 ММЕ/м2/доза/сутки до приблизительно 15 ММЕ/м2/доза/сутки по схеме с несколькими дозами в сутки, и IFN-α, например, в количествах в диапазоне от приблизительно 0,1 ММЕ/м2/доза/сутки до приблизительно 7,5 ММЕ/м2/доза/сутки по схеме с несколькими дозами в сутки, для устранения, снижения или нейтрализации патогенных клеток в животном-хозяине, обладающем патогенными клетками (ММЕ = миллионов международных единиц; м2 = приблизительная площадь поверхности тела среднего человека). В другом варианте осуществления IL-12 и IFN-α можно использовать в терапевтически эффективных количествах, описанных выше для интерлейкинов и интерферонов, и в другом варианте осуществления IL-15 и IFN-α можно использовать в терапевтически эффективных количествах, описанных выше для интерлейкинов и интерферонов. В альтернативном варианте осуществления IL-2, IFN-α или IFN-γ и GM-CSF можно использовать в сочетании в описанных выше терапевтически эффективных количествах. Также можно использовать любое другое эффективное сочетание цитокинов, включая сочетания других интерлейкинов и интерферонов и колониестимулирующих факторов.Therapeutically effective combinations of these immunostimulating factors can be used. In one embodiment, in conjunction with drug delivery conjugates, for example, therapeutically effective amounts of IL-2 can be used, for example, in amounts ranging from about 0.1 MIU / m2 / dose / day to about 15 MIU / m2 / dose / day according to the scheme with several doses per day, and IFN-α, for example, in amounts ranging from about 0.1 MIU / m2 / dose / day to about 7.5 MIU / m2 / dose / day according to the scheme with several doses per day, to eliminate, reduce or neutralize pathogenic cells in the stomach A host with pathogenic cells (MME = millions of international units; m2 = approximate surface area of the average human body). In another embodiment, IL-12 and IFN-α can be used in therapeutically effective amounts described above for interleukins and interferons, and in another embodiment, IL-15 and IFN-α can be used in therapeutically effective amounts described above for interleukins and interferons. . In an alternative embodiment, IL-2, IFN-α or IFN-γ and GM-CSF can be used in combination in therapeutically effective amounts described above. You can also use any other effective combination of cytokines, including combinations of other interleukins and interferons and colony stimulating factors.
Кроме того, дополнительное лекарственное средство может представлять собой любое лекарственное средство, известное в данной области, которое является цитотоксическим или цитостатическим, повышает проницаемость опухоли, ингибирует пролиферацию опухолевых клеток, запускает апоптоз, снижает антиапоптотическую активность в клетках-мишенях, которое применяют для лечения заболеваний, вызываемых инфекционными агентами, повышения эндогенного иммунного ответа, направленного против патогенных клеток, или является пригодным для лечения болезненного состояния, вызываемого любым типом патогенных клеток. Иллюстративные пригодные дополнительные лекарственные средства включают адренокортикоиды и кортикостероиды, алкилирующие средства, антиандрогены, антиэстрогены, андрогены, акламицин и производные акламицина, эстрогены, антиметаболиты, такие как цитозин-арабинозид, аналоги пуринов, аналоги пиримидинов и метотрексат, бисульфан, карбоплатин, хлорамбуцил, цисплатин и другие соединения платины, тамоксифен, таксол, паклитаксел, производные паклитаксела, Таксотер®, циклофосфамид, дауномицин, ризоксин, токсин T2, алкалоиды растений, преднизон, гидроксимочевину, тенипозид, митомицины, дискодермолиды, не относящиеся к алкалоидам барвинка ингибиторы микротрубочек, эпотилоны, тубулизин, циклопропил бенз[e]индолон,секо-циклопропил-бенз[e]индолон, O-Ac-секо-циклопропил бенз[e]индолон, блеомицин и любой другой антибиотик, азотистые иприты, нитрозомочевины, колхицин, производные колхицина, аллоколхицин, тиоколхицин, тритил-цистеин, халикондрин B, доластатины, такие как доластатин 10, аманитины, такие как α-аманитин, камптотецин, иринотекан и другие производные камптотецина, гелданамицин и производные гелданамицина, эстрамустин, нокодазол, MAP4, колцемид, виндезин, винбластин, винкристин, катарантин, виндолин, леурозин, винорелбин, имидокарб, сибутрамин, толтразурил, винбластиновую кислоту, майтанзины и их аналоги и производные, гемцитабин, воспалительные и провоспалительные средства, пептиды и пептидомиметики ингибиторов передачи сигнала, и другое известное в данной области лекарственное средство или токсин. Другие лекарственные средства, которые можно использовать в способах комбинированной терапии, включают пенициллины, цефалоспорины, ванкомицин, эритромицин, клиндамицин, рифампин, хлорамфеникол, аминогликозидные антибиотики, гентамицин, амфотерицин B, ацикловир, трифлуридин, ганцикловир, зидовудин, амантадин, рибавирин и любое другое известное в данной области противомикробное соединение. Также в способах комбинированной терапии можно использовать аналоги или производные любого из описанных выше дополнительных лекарственных средств.In addition, the additional drug can be any drug known in the art that is cytotoxic or cytostatic, increases the permeability of the tumor, inhibits the proliferation of tumor cells, triggers apoptosis, and reduces anti-apoptotic activity in target cells, which are used to treat diseases, caused by infectious agents, increasing the endogenous immune response directed against pathogenic cells, or is suitable for treating pain congestion caused by any type of pathogenic cell. Illustrative suitable additional drugs include adrenocorticoids and corticosteroids, alkylating agents, antiandrogens, anti-estrogens, androgens, aclamycin and derivatives of aclamycin, estrogens, antimetabolites such as cytosine arabinoside, purines analogues, pyrimidines analogues, methotrexate carbisulfin, bisulfan, bisulfan, bisulfan, bisulfan, bisulfan, bisulfan other platinum compounds, tamoxifen, taxol, paclitaxel, paclitaxel derivatives, Taxotere®, cyclophosphamide, daunomycin, rhizoxin, T2 toxin, plant alkaloids, prednisone N, hydroxyurea, teniposide, mitomycins, discodermolides, non-vinca alkaloids microtubule inhibitors, epothilones tubulizin, cyclopropyl benz [e] indolone,seco-cyclopropyl benz [e] indolone, O-Ac-seco-cyclopropyl benz [e] indolone, bleomycin and any other antibiotic, nitrogen mustards, nitrosoureas, colchicine, colchicine derivatives, allocolchicine, thiocolchicine, trityl-cysteine, chalicondrin B, dolastatins, such as
В другом иллюстративном варианте осуществления предусмотрены фармацевтические композиции. Фармацевтические композиции содержат количество конъюгата для доставки лекарственного средства, эффективное для устранения популяции патогенных клеток в животном-хозяине при введении в виде одной или нескольких доз. Конъюгат для доставки лекарственного средства предпочтительно вводят животному-хозяину парентерально, например внутрикожно, подкожно, внутримышечно, внутрибрюшинно, внутривенно или интратекально. Альтернативно конъюгат для доставки лекарственного средства можно вводить животному-хозяину другим пригодным с медицинской точки зрения способом, таким как оральный способ, и можно использовать любую эффективную дозу и пригодную терапевтическую дозированную форму, включая дозированные формы с замедленным высвобождением. Иллюстративные наполнители, пригодные для оральных дозированных форм, включают, но не ограничиваются ими, кукурузный крахмал, желатин, лактозу, стеарат магния, бикарбонат натрия, производные целлюлозы и натрия крахмала гликолят.In another illustrative embodiment, pharmaceutical compositions are provided. The pharmaceutical compositions contain an amount of a drug delivery conjugate effective to eliminate a population of pathogenic cells in a host animal when administered in one or more doses. The drug delivery conjugate is preferably administered parenterally to the host animal, for example, intradermally, subcutaneously, intramuscularly, intraperitoneally, intravenously or intrathecally. Alternatively, the drug delivery conjugate can be administered to the host animal in another medically acceptable manner, such as an oral route, and any effective dose and suitable therapeutic dosage form, including sustained release dosage forms, can be used. Illustrative excipients suitable for oral dosage forms include, but are not limited to, corn starch, gelatin, lactose, magnesium stearate, sodium bicarbonate, cellulose derivatives and sodium starch glycolate.
Примеры парентеральных дозированных форм включают водные растворы активного вещества в изотоническом физиологическом растворе, 5% растворе глюкозы или других хорошо известных фармацевтически приемлемых жидких носителях, таких как жидкие спирты, гликоли, сложные эфиры и амиды. Парентеральная дозированная форма в соответствии с этим изобретением может находиться в форме подлежащего растворению лиофилизата, содержащего дозу конъюгата для доставки лекарственного средства. В одном аспекте данного варианта осуществления можно вводить любую из множества дозированных форм для замедленного высвобождения, известных в данной области, например, такую как биологически деградируемые углеводные матрицы, описанные в патентах США № 4713249; 5266333 и 5417982, описания которых включены в настоящее описание в качестве ссылок, или альтернативно можно использовать медленный дозатор (например, осмотический дозатор).Examples of parenteral dosage forms include aqueous solutions of the active substance in isotonic saline, 5% glucose or other well-known pharmaceutically acceptable liquid carriers such as liquid alcohols, glycols, esters and amides. The parenteral dosage form in accordance with this invention may be in the form of a lyophilisate to be dissolved containing a dose of a drug delivery conjugate. In one aspect of this embodiment, any of a variety of sustained release dosage forms known in the art may be administered, for example, such as the biologically degradable carbohydrate matrices described in US Pat. Nos. 4,713,249; 5266333 and 5417982, the descriptions of which are incorporated herein by reference, or alternatively, a slow dispenser (e.g., osmotic dispenser) can be used.
Дополнительное лекарственное средство в комбинированной терапии можно вводить животному-хозяину до, после или одновременно с конъюгатами для доставки лекарственного средства и дополнительное лекарственное средство можно вводить как часть единой композиции, содержащей конъюгат для доставки лекарственного средства, или как часть композиции, отличающейся от композиции конъюгата для доставки лекарственного средства. Можно использовать любую такую комбинированную терапию с эффективной дозой дополнительного лекарственного средства.The additional drug in combination therapy can be administered to the host animal before, after or simultaneously with the drug delivery conjugates and the additional drug can be administered as part of a single composition containing the drug delivery conjugate, or as part of a composition different from the conjugate composition for drug delivery. Any such combination therapy with an effective dose of an additional drug may be used.
В другом иллюстративном аспекте можно использовать более одного типа конъюгата для доставки лекарственного средства. Например, животное-хозяина можно лечить с помощью протокола совместного дозирования конъюгатами с различными лигандами, такими как, например, конъюгаты фолат-алкалоид барвинка и витамин B12-алкалоид барвинка в сочетании и т.п. В другом иллюстративном варианте осуществления животное-хозяина можно лечить конъюгатами, содержащими более одного лиганда, например, как в случае нескольких молекул фолата или нескольких молекул витамина B12 в одном конъюгате или сочетаний лигандов в одном конъюгате, таких как соединение барвинка, конъюгированное как с лигандом в виде фолата, так и с лигандом в виде витамина B12. Более того, можно использовать конъюгаты для доставки лекарственного средства с различными типами соединений барвинка в отдельных конъюгатах для доставки лекарственного средства.In another illustrative aspect, more than one type of drug delivery conjugate may be used. For example, a host animal can be treated using a co-dosing protocol with conjugates with various ligands, such as, for example, folate-alkaloid periwinkle conjugates and vitamin B12-periwinkle alkaloid in combination, and the like. In another illustrative embodiment, the host animal can be treated with conjugates containing more than one ligand, for example, as in the case of several folate molecules or several vitamin B12 molecules in a single conjugate or combinations of ligands in a single conjugate, such as a periwinkle compound conjugated to both a ligand in in the form of folate, and with a ligand in the form of vitamin B12. Moreover, conjugates for drug delivery with various types of vinca compounds in separate conjugates for drug delivery can be used.
Однократная суточная дозировка конъюгата для доставки лекарственного средства может значительно варьировать в зависимости от состояния организма хозяина, подлежащего лечению болезненного состояния, молекулярной массы конъюгата, способа его введения и его распределения в тканях и возможности совместного применения других терапевтических способов лечения, таких как лучевая терапия или дополнительные лекарственные средства в комбинированных способах терапии. Эффективное количество, подлежащее введению животному-хозяину, основано на площади поверхности, массе и оценке врачом состояния пациента. Эффективные дозы могут варьировать, например, от приблизительно 1 нг/кг до приблизительно 1 мг/кг, от приблизительно 1 мкг/кг до приблизительно 500 мкг/кг и от приблизительно 1 мкг/кг до приблизительно 100 мкг/кг.A single daily dosage of the conjugate for drug delivery can vary significantly depending on the state of the host organism, the disease state to be treated, the molecular weight of the conjugate, its administration and its distribution in the tissues, and the possibility of the combined use of other therapeutic treatments, such as radiation therapy or additional medicines in combination therapies. The effective amount to be administered to the host animal is based on the surface area, weight, and doctor's assessment of the patient's condition. Effective doses may vary, for example, from about 1 ng / kg to about 1 mg / kg, from about 1 μg / kg to about 500 μg / kg, and from about 1 μg / kg to about 100 μg / kg.
Можно использовать любую эффективную схему введения конъюгатов для доставки лекарственного средства. Например, конъюгаты для доставки лекарственного средства можно вводить в качестве однократных доз или их можно разделять и вводить по схеме с многократными дозами в сутки. Кроме того, можно использовать смещенную схему, например, от одних до трех суток в неделю в качестве альтернативы введению каждые сутки, и для целей определения этого изобретения такая прерывающаяся или смещенная суточная схема предусмотрена и ее рассматривают как эквивалентную введению каждые сутки. В одном иллюстративном варианте осуществления животное-хозяина лечат многократными инъекциями конъюгата для доставки лекарственного средства для устранения популяции патогенных клеток. В одном варианте осуществления хозяину проводят несколько инъекций (предпочтительно приблизительно от 2 вплоть до приблизительно 50 раз) конъюгата для доставки лекарственного средства, например, с интервалами 12-72 часов или с интервалами 48-72 часов. Дополнительные инъекции конъюгата для доставки лекарственного средства можно проводить животному-хозяину с интервалом, составляющим сутки или месяцы, после исходной инъекции(ий), и дополнительные инъекции могут предотвращать повторное возникновение болезненного состояния, вызываемого патогенными клетками.You can use any effective scheme for the introduction of conjugates for drug delivery. For example, conjugates for drug delivery can be administered as single doses, or they can be separated and administered in a multiple dose schedule per day. In addition, you can use a biased schedule, for example, from one to three days a week as an alternative to the introduction of every day, and for the purposes of determining this invention, such a discontinuous or shifted daily regimen is provided and is considered equivalent to the introduction of every day. In one illustrative embodiment, the host animal is treated with multiple injections of a drug delivery conjugate to eliminate a population of pathogenic cells. In one embodiment, the host is given several injections (preferably from about 2 up to about 50 times) of the drug delivery conjugate, for example, at intervals of 12-72 hours or at intervals of 48-72 hours. Additional injections of the drug delivery conjugate can be given to the host animal at intervals of one day or months after the initial injection (s), and additional injections can prevent the recurrence of a disease state caused by pathogenic cells.
В одном иллюстративном аспекте витамины или их аналоги или производные, которые можно использовать в конъюгатах для доставки лекарственного средства, включают витамины или их аналоги или производные, которые связываются с рецепторами, экспрессируемыми специфично на активированных макрофагах, такими как рецептор для фолата, который связывает фолат, или его аналог или производное. Связанные с фолатом конъюгаты, например, можно использовать для уничтожения или подавления активности активированных макрофагов, которые вызывают болезненные состояния в организме-хозяине. Такие нацеленные на макрофаги конъюгаты при введении животному-хозяину, страдающему опосредуемым активированными макрофагами болезненным состоянием, действуют посредством концентрирования и ассоциации конъюгированных соединений барвинка с популяцией активированных макрофагов, уничтожая активированные макрофаги или подавляя функции макрофагов. Устранение, снижение или дезактивация популяции активированных макрофагов действует посредством остановки или снижения характерных признаков опосредуемого активированными макрофагами патогенеза болезненного состояния, подлежащего лечению. Иллюстративные примеры заболеваний, известных как опосредуемые активированными макрофагами, включают ревматоидный артрит, язвенный колит, болезнь Крона, псориаз, остеомиелит, рассеянный склероз, атеросклероз, фиброз легких, саркоидоз, системную склеродермию, отторжение трансплантата органа (РТПХ) и хроническое воспаление. Введение конъюгата для доставки лекарственного средства, как правило, продолжают до тех пор, пока не произойдет снижение или устранение симптомов болезненного состояния.In one illustrative aspect, vitamins or their analogues or derivatives that can be used in drug delivery conjugates include vitamins or their analogues or derivatives that bind to receptors expressed specifically on activated macrophages, such as a folate receptor that binds folate, or its analogue or derivative. Folate-bound conjugates, for example, can be used to kill or inhibit the activity of activated macrophages that cause disease states in the host organism. Such macrophage-targeted conjugates, when administered to a host animal suffering from a mediated macrophage-activated disease state, act by concentrating and associating conjugated vinca compounds with a population of activated macrophages, destroying activated macrophages or inhibiting macrophage functions. The elimination, reduction or deactivation of the activated macrophage population acts by stopping or reducing the characteristic signs of the pathogenesis of the disease state to be treated mediated by activated macrophages. Illustrative examples of diseases known as mediated by activated macrophages include rheumatoid arthritis, ulcerative colitis, Crohn's disease, psoriasis, osteomyelitis, multiple sclerosis, atherosclerosis, pulmonary fibrosis, sarcoidosis, systemic scleroderma, organ transplant rejection (GVHD) and chronic. The administration of a drug delivery conjugate is generally continued until the symptoms of the disease state are reduced or eliminated.
Конъюгаты для доставки лекарственного средства, вводимые для уничтожения активированных макрофагов или подавления функции активированных макрофагов, также можно вводить животному-хозяину парентерально, например внутрикожно, подкожно, внутримышечно, внутрибрюшинно или внутривенно, в сочетании с фармацевтически приемлемым носителем. Альтернативно конъюгаты для доставки лекарственного средства можно вводить животному-хозяину другими пригодными с медицинской точки зрения способами и эффективные дозы можно вводить в стандартных дозированных формах или дозированных формах с замедленным высвобождением. Терапевтический способ можно использовать отдельно или в сочетании с другими терапевтическими способами, известными для лечения болезненных состояний, опосредуемых активированными макрофагами.Drug delivery conjugates administered to kill activated macrophages or inhibit the function of activated macrophages can also be administered parenterally to the host animal, for example, intradermally, subcutaneously, intramuscularly, intraperitoneally or intravenously, in combination with a pharmaceutically acceptable carrier. Alternatively, drug delivery conjugates may be administered to the host animal by other medically suitable methods and effective doses may be administered in unit dosage or sustained release dosage forms. The therapeutic method can be used alone or in combination with other therapeutic methods known for the treatment of disease states mediated by activated macrophages.
Представленные ниже иллюстративные варианты осуществления не предназначены для ограничения, и их не следует толковать как ограничивающие. Например, в каждом соединении, представленном в настоящем описании, стереохимия аминокислот, используемых для образования ликера, может быть необязательно выбрана из природной L-конфигурации или неприродной D-конфигурации. Каждый пример был охарактеризован посредством ЯМР, МС и/или УФ-спектроскопии и/или ВЭЖХ, как указано; выбранные характерные сигналы указаны соответствующим образом.The following illustrative embodiments are not intended to be limiting, and should not be construed as limiting. For example, in each compound provided herein, the stereochemistry of the amino acids used to form the liquor may optionally be selected from a natural L configuration or an unnatural D configuration. Each example was characterized by NMR, MS and / or UV spectroscopy and / or HPLC, as indicated; selected characteristic signals are indicated accordingly.
ПРИМЕРЫ СПОСОБОВEXAMPLES OF METHODS
ПРИМЕР СПОСОБА 1. Ингибирование роста опухоли у мышей. Противоопухолевую активность соединений, описанных в настоящем описании, при введении внутривенно (i.v.) имеющим опухоль животным оценивали у мышей Balb/c, имеющих подкожные опухоли M 109. Приблизительно через 11 суток после инокуляции опухоли в подкожный слой правой подмышечной впадины посредством 1×106 клеток M109 (средний объем опухоли при to=60 мм3) мышам (5/группа) проводили внутривенные инъекции три раза в неделю (TIW) в течение 3 недель посредством 1500 нмоль/кг конъюгата для доставки лекарственного средства или эквивалентного объема дозы PBS (контроль). Рост опухоли измеряли с использованием штангенциркуля с интервалами 2 суток или 3 суток в каждой группе по введению. Объемы опухолей вычисляли с использованием выражения V = a×b2/2, где "a" представляет собой длину опухоли и "b" представляет собой ширину, выраженную в миллиметрах.
ПРИМЕР СПОСОБА 2. Ингибирование роста опухоли у мышей. Противоопухолевую активность соединений, описанных в настоящем описании, при введении внутривенно (i.v.) имеющим опухоль животным оценивали у мышей nu/nu, имеющих подкожные опухоли KB. Приблизительно через 8 суток после инокуляции опухоли в подкожный слой правой подмышечной впадины посредством 1×106 клеток KB (средний объем опухоли при to = 50-100 мм3) мышам (5/группа) проводили внутривенные инъекции три раза в неделю (TIW) в течение 3 недель посредством 5 мкмоль/кг конъюгата для доставки лекарственного средства или эквивалентного объема дозы PBS (контроль). Рост опухоли измеряли с использованием штангенциркуля с интервалами 2 суток или 3 суток в каждой группе по введению. Объемы опухолей вычисляли с использованием выражения V = a×b2/2, где "a" представляет собой длину опухоли и "b" представляет собой ширину, выраженную в миллиметрах.
ПРИМЕР СПОСОБА 3. Ингибирование клеточного синтеза ДНК.
Соединения, описанные в настоящем описании, оценивали с использованием анализа цитотоксичностиin vitro, который предсказывает способность лекарственного средства ингибировать рост положительных в отношении рецептора для фолата клеток KB. Соединения состояли из фолата, связанного с соответствующим химиотерапевтическим лекарственным средством, как получали в соответствии с протоколами, описанными в настоящем описании. Клетки KB подвергали воздействию указанных концентраций конъюгата фолат-лекарственное средство в течение вплоть до 7 ч при 37°C в отсутствие или в присутствии по меньшей мере 100-кратного избытка фолиевой кислоты. Затем клетки промывали один раз свежей культуральной средой и инкубировали в свежей культуральной среде в течение 72 часов при 37°C. Жизнеспособность клеток оценивали с использованием анализа включения3H-тимидина.The compounds described herein were evaluated using anin vitro cytotoxicityassay that predicts the ability of a drug to inhibit folate KB positive receptor growth. The compounds consisted of folate bound to an appropriate chemotherapeutic drug, as prepared in accordance with the protocols described herein. KB cells were exposed to the indicated folate-drug conjugate concentrations for up to 7 hours at 37 ° C in the absence or presence of at least a 100-fold excess of folic acid. Then the cells were washed once with fresh culture medium and incubated in fresh culture medium for 72 hours at 37 ° C. Cell viability was evaluated using3 H-thymidine incorporation assay.
Как представлено в настоящем описании на фигурах, зависимая от дозы цитотоксичность была измеримой, и в большинстве случаев значения IC50 (концентрации конъюгата лекарственного средства, требуемой для снижения включения3H-тимидина во вновь синтезируемую ДНК, на 50%) находились в низком наномолярном диапазоне. Более того, цитотоксичность этих конъюгатов была снижена в присутствии избытка фолиевой кислоты, указывая на то, что наблюдаемое уничтожение клеток было опосредовано рецептором для фолата.As presented in the present description in the figures, dose-dependent cytotoxicity was measurable, and in most cases, the IC50 values (drug conjugate concentration required to reduce the incorporation of3 H-thymidine into newly synthesized DNA by 50%) were in the low nanomolar range . Moreover, the cytotoxicity of these conjugates was reduced in the presence of an excess of folic acid, indicating that the observed cell killing was mediated by the folate receptor.
ПРИМЕР СПОСОБА 4. Анализ относительного связывания. Аффинность рецепторов для фолата (FR) в отношении фолата определяли в соответствии с описанным ранее способом (Westerhof G.R., J.H. Schornagel et al. (1995) Mol. Pharm. 48: 459-471) с небольшой модификацией. В кратком изложении, FR-положительные клетки KB плотно высевали в 24-луночные планшеты для культивирования клеток и позволяли прикрепляться к пластмассе в течение 18 ч. Использованную среду для инкубации заменяли в исследуемых лунках не содержащей фолата RPMI (FFRPMI), дополненной 100 нМ3H-фолиевой кислотой в отсутствие и присутствии возрастающих концентраций тестируемого образца или фолиевой кислоты. Клетки инкубировали в течение 60 мин при 37°C, а затем промывали 3 раза посредством PBS, pH 7,4. В каждую лунку добавляли пятьсот микролитров 1% SDS в PBS, pH 7,4. Затем клеточные лизаты собирали и добавляли в отдельные флаконы, содержащие 5 мл сцинтилляционной смеси, а затем подсчитывали радиоактивность. Пробирки с отрицательным контролем содержали только3H-фолиевую кислоту в FFRPMI (без конкурента). Пробирки с положительным контролем содержали конечную концентрацию фолиевой кислоты 1 мМ, и из всех образцов вычитали CPM, измеренные в этих образцах (соответствующие неспецифичному связыванию метки). Следует отметить, что относительную аффинность определяли как обратное молярное соотношение для соединения, требуемого для вытеснения 50%3H-фолиевой кислоты, связанной с FR на клетках KB, и относительной аффинности фолиевой кислоты для FR было присвоено значение 1.
СПОСОБ ПРИМЕРА 5. Анализ объема опухоли 4T-1. От шести до семи мышей в возрасте одной недели (самки линии Balb/c) получали от Harlan, Inc., Indianapolis, IN. Мышей содержали на не содержащем фолата корме Harlan всего в течение трех недель до начала и в ходе этого эксперимента. Отрицательные в отношении рецептора для фолата опухолевые клетки 4T-1 (1×106 клеток на животного) инокулировали в подкожный слой правой подмышечной области. Приблизительно через 5 суток после инокуляции опухоли, когда средний объем опухоли 4T-1 составлял ~100 мм3, мышам (5/группа) проводили внутривенную инъекцию три раза в неделю (TIW), в течение 3 недель, 3 мкмоль/кг конъюгата для доставки лекарственного средства или эквивалентного объема дозы PBS (контроль). Рост опухоли определяли с использованием штангенциркуля с интервалами 2 суток или 3 суток в каждой группе по введению. Объемы опухолей вычисляли с использованием выражения V = a×b2/2, где "a" представляет собой длину опухоли и "b" представляет собой ширину, выраженную в миллиметрах.METHOD OF EXAMPLE 5. Analysis of
ПРИМЕР СПОСОБА 6. Определение массы. Процентное изменение массы мышей определяли у мышей (5 мышей/группа) на указанные сутки после инокуляции опухоли (PTI), как представлено на графике для образцов, описанных в связанном с этим способом анализе объема опухоли.EXAMPLE OF
ПРИМЕР СПОСОБА 7. Общий способ получения линкеров фолат-пептиды. Линкеры, описанные в настоящем описании, которые включают пептид, получают с помощью последовательного подхода с полимерной основой с использованием стандартных способов, таких как стратегия Fmoc на чувствительной к кислоте смоле Fmoc-AA-Wang. В качестве иллюстративного примера фолатсодержащий пептидильный фрагмент Pte-Glu-(AA)n-NH(CHR2)CO2H (3) получают способом, представленным на схеме 1, из смолы Wang с прикрепленными аминокислотами и защищенным Fmoc синтезом аминокислот.EXAMPLE OF
Схема 1
(a) 20% пиперидин/DMF; (b) Fmoc-AA-OH, PyBop, DIPEA, DMF; (c) Fmoc-Glu-O-t-Bu или Fmoc-Glu(γ-O-t-Bu)-OH, PyBop, DIPEA, DMF; (d) N10(TFA)-Pte-OH; PyBop, DIPEA, DMSO; (e) TFAA, (CH2SH)2,i-Pr3SiH; (f) NH4OH, pH 9-10.(a) 20% piperidine / DMF; (b) Fmoc-AA-OH, PyBop, DIPEA, DMF; (c) Fmoc-Glu-Ot-Bu or Fmoc-Glu (γ-Ot-Bu) -OH, PyBop, DIPEA, DMF; (d) N10 (TFA) -Pte-OH; PyBop, DIPEA, DMSO; (e) TFAA, (CH2 SH)2 ,i -Pr3 SiH; (f) NH4 OH, pH 9-10.
В этом иллюстративном варианте осуществления процесса, описанного в настоящем описании, R1 представляет собой Fmoc, R2 представляет собой требуемую пригодным образом защищенную боковую цепь аминокислоты, Wang представляет собой 2-хлортритил-смолу и DIPEA представляет собой диизопропилэтиламин. Используют стандартные способы присоединения, такие как PyBOP и другие способы, описанные в настоящем описании или известные в данной области, где средство для присоединения, в качестве иллюстративного примера, применяют в качестве активирующего реагента для обеспечения эффективного присоединения. Защитные группы Fmoc удаляют после каждой стадии присоединения в стандартных условиях, таких как обработка пиперидином, фторидом тетрабутиламмония (TBAF) и т.п. Используют соответствующим образом защищенные аминокислотные структурные элементы, такие как Fmoc-Glu-OtBu, N10-TFA-Pte-OH и т.п., как описано в схеме 1 и представлено на стадии (b) как Fmoc-AA-OH. Таким образом, AA относится к любому исходному веществу на основе аминокислот, которое является соответствующим образом защищенным. Следует понимать, что под термином "аминокислота", как используют в настоящем описании, подразумевают любой реагент, имеющий функциональную группу как амина, так и карбоновой кислоты, разделенные одним или несколькими атомами углерода, и он включает встречающиеся в природе альфа- и бета-аминокислоты, а также аминокислотные производные и аналоги этих аминокислот. В частности, аминокислоты, имеющие защищенные боковые цепи, такие как защищенный серин, треонин, цистеин, аспартат и т.п., также можно использовать в синтезе фолат-пептида, описанном в настоящем описании. Кроме того, также в синтез фолат-пептида, описанный в настоящем описании, можно также включать в качестве исходных веществ гамма-, дельта- или более длинные гомологичные аминокислоты. Кроме того, аналоги аминокислот, имеющие гомологичные боковые цепи или чередующиеся ветвящиеся структуры, такие как норлейцин, изовалин, β-метилтреонин, β-метилцистеин, β,β-диметилцистеин и т.п., также могут быть включены в качестве исходных веществ в синтез фолат-пептида, описанный в настоящем описании.In this illustrative embodiment of the process described herein, R1 is Fmoc, R2 is the desired suitably protected amino acid side chain, Wang is a 2-chlorotrityl resin, and DIPEA is diisopropylethylamine. Standard attachment methods are used, such as PyBOP and other methods described herein or known in the art, where the attachment agent, as an illustrative example, is used as an activating reagent to ensure effective attachment. Fmoc protecting groups are removed after each addition step under standard conditions, such as treatment with piperidine, tetrabutylammonium fluoride (TBAF) and the like. Appropriately protected amino acid structural elements are used, such as Fmoc-Glu-OtBu, N10 -TFA-Pte-OH and the like, as described in
Последовательность присоединения (стадии (a) и (b)), включающую Fmoc-защищенные аминокислоты (AA) формулы Fmoc-AA-OH, проводят "n" раз для получения пептида на твердой подложке (2), где n представляет собой целое число и может составлять от 0 до приблизительно 100. После последней стадии присоединения остающуюся группу Fmoc удаляют (стадия (a)) и пептид последовательно присоединяют к производному глутамата (стадия (c)), удаляют защитную группу и присоединяют к TFA-защищенной птероевой кислоте (стадия (d)). Затем пептид отщепляют от полимерной подложки посредством обработки трифторуксусной кислотой, этандитиолом и триизопропилсиланом (стадия (e)). Эти условия реакции приводят к одновременному удалению защитных групп t-Bu, t-Boc и Trt, которые могут образовывать часть соответствующим образом защищенных боковых цепей аминокислот. Защитную группу TFA удаляют посредством обработки основанием (стадия (f)) с получением содержащего фолат пептидильного фрагмента (3).The sequence of accession (stages (a) and (b)), including Fmoc-protected amino acids (AA) of the formula Fmoc-AA-OH, is carried out "n" times to obtain the peptide on a solid substrate (2), where n is an integer and may range from 0 to about 100. After the last addition step, the remaining Fmoc group is removed (step (a)) and the peptide is sequentially attached to the glutamate derivative (step (c)), the protecting group is removed and attached to the TFA-protected pteroic acid (step ( d)). The peptide is then cleaved from the polymer support by treatment with trifluoroacetic acid, ethanedithiol and triisopropylsilane (step (e)). These reaction conditions lead to the simultaneous removal of the t-Bu, t-Boc and Trt protecting groups, which can form part of the appropriately protected amino acid side chains. The TFA protecting group is removed by treatment with a base (step (f)) to obtain a folate-containing peptidyl fragment (3).
ПРИМЕРЫ СОЕДИНЕНИЙEXAMPLES OF COMPOUNDS
ПРИМЕР 1EXAMPLE 1
В соответствии с общим способом примера способа 7 (схема 1) связанный со смолой Wang 4-метокситритил (MTT)-защищенный CyS-NH2 подвергали реакции в соответствии со следующей последовательностью: 1) a. Fmoc-Asp(OtBu)-OH, PyBOP, DIPEA; b. 20% пиперидин/DMF; 2) a. Fmoc-Asp(OtBu)-OH, PyBOP, DIPEA; b. 20% пиперидин/DMF; 3) a. Fmoc-Arg(Pbf)-OH, PyBOP, DIPEA; b. 20% пиперидин/DMF; 4) a. Fmoc-Asp(OtBu)-OH, PyBOP, DIPEA; b. 20% пиперидин/DMF; 5) a. Fmoc-Glu-OtBu, PyBOP, DIPEA; b. 20% пиперидин/DMF; 6) N10-TFA-птероевая кислота, PyBOP, DIPEA. Защитные группы MTT, tBu и Pbf удаляли посредством TFA/H2O/TIPS/EDT (92,5:2,5:2,5:2,5) и защитную группу TFA удаляли посредством водного раствора NH4OH при pH 9,3. Выбранные данные1H-ЯМР (D2O) δ (м.д.) 8,68 (с, 1H, FA H-7), 7,57 (д, 2H, J=8,4 Гц, FA H-12 и 16), 6,67 (д, 2H, J=9 Гц, FA H-13 и 15), 4,40-4,75 (м, 5H), 4,35 (м, 2H), 4,16 (м, 1H), 3,02 (м, 2H), 2,55-2,95 (м, 8H), 2,42 (м, 2H), 2,00-2,30 (м, 2H), 1,55-1,90 (м, 2H), 1,48 (м, 2H); МС (ESI, m+H+) 1046.In accordance with the general method of process example 7 (Scheme 1), Wang 4-methoxytrityl (MTT) -protected CyS-NH2 bound to the resin was reacted according to the following sequence: 1) a. Fmoc-Asp (OtBu) -OH, PyBOP, DIPEA; b. 20% piperidine / DMF; 2) a. Fmoc-Asp (OtBu) -OH, PyBOP, DIPEA; b. 20% piperidine / DMF; 3) a. Fmoc-Arg (Pbf) -OH, PyBOP, DIPEA; b. 20% piperidine / DMF; 4) a. Fmoc-Asp (OtBu) -OH, PyBOP, DIPEA; b. 20% piperidine / DMF; 5) a. Fmoc-Glu-OtBu, PyBOP, DIPEA; b. 20% piperidine / DMF; 6) N10 -TFA-pteroic acid, PyBOP, DIPEA. The protective groups MTT, tBu and Pbf were removed by TFA / H2 O / TIPS / EDT (92.5: 2.5: 2.5: 2.5) and the protective group TFA was removed by means of an aqueous solution of NH4 OH at
ПРИМЕР 2EXAMPLE 2
В соответствии с общим способом примера способа 7 (схема 1) связанный со смолой Wang 4-метокситритил (MTT)-защищенный CyS-NH2 подвергали реакции в соответствии со следующей последовательностью: 1) a. Fmoc-β-аминоаланин(NH-MTT)-OH, PyBOP, DIPEA; b. 20% пиперидин/DMF; 2) a. Fmoc-Asp(OtBu)-OH, PyBOP, DIPEA; b. 20% пиперидин/DMF; 3) a. Fmoc-Asp(OtBu)-OH, PyBOP, DIPEA; b. 20% пиперидин/DMF; 4) a. Fmoc-Asp(OtBu)-OH, PyBOP, DIPEA; b. 20% пиперидин/DMF; 5) a. Fmoc-Glu-OtBu, PyBOP, DIPEA; b. 20% пиперидин/DMF; 6) N10-TFA-птероевая кислота, PyBOP, DIPEA. Защитные группы MTT, tBu и TFA удаляли посредством a. 2% гидразин/DMF; b. TFA/H2O/TIPS/EDT (92,5:2,5:2,5:2,5).In accordance with the general method of process example 7 (Scheme 1), Wang 4-methoxytrityl (MTT) -protected CyS-NH2 bound to the resin was reacted according to the following sequence: 1) a. Fmoc-β-aminoalanine (NH-MTT) -OH, PyBOP, DIPEA; b. 20% piperidine / DMF; 2) a. Fmoc-Asp (OtBu) -OH, PyBOP, DIPEA; b. 20% piperidine / DMF; 3) a. Fmoc-Asp (OtBu) -OH, PyBOP, DIPEA; b. 20% piperidine / DMF; 4) a. Fmoc-Asp (OtBu) -OH, PyBOP, DIPEA; b. 20% piperidine / DMF; 5) a. Fmoc-Glu-OtBu, PyBOP, DIPEA; b. 20% piperidine / DMF; 6) N10 -TFA-pteroic acid, PyBOP, DIPEA. The protecting groups MTT, tBu and TFA were removed by a. 2% hydrazine / DMF; b. TFA / H2 O / TIPS / EDT (92.5: 2.5: 2.5: 2.5).
Для получения использовали реагенты, представленные в приведенной ниже таблице:To obtain used reagents presented in the table below:
Стадию присоединения проводили следующим образом: в емкость для пептидного синтеза добавляют смолу, добавляют раствор аминокислоты, DIPEA и PyBOP. В течение 1 ч барботируют аргоном и промывают 3X посредством DMF и IPA. Перед присоединением каждой аминокислоты для удаления защитной группы Fmoc используют 20% пиперидин в DMF 3X (10 мин). Продолжают до завершения всех 6 стадий присоединения. В конце смолу промывают 2% гидразином в DMF 3X (5 мин) для отщепления защитной группы TFA на птероевой кислоте.The addition step was carried out as follows: resin was added to the peptide synthesis vessel, an amino acid solution, DIPEA and PyBOP were added. Sparged with argon for 1 h and washed with 3X with DMF and IPA. Before each amino acid is attached, 20% piperidine in DMF 3X is used to remove the Fmoc protecting group (10 min). Continue to complete all 6 stages of accession. Finally, the resin is washed with 2% hydrazine in DMF 3X (5 min) to cleave the TFA protecting group on pteroic acid.
Пептидный аналог отщепляют от смолы с использованием следующего реагента: 92,5% (50 мл) TFA, 2,5% (1,34 мл) H2O, 2,5% (1,34 мл) триизопропилсилан, 2,5% (1,34 мл) этандитиол, стадию отщепления проводят следующим образом: добавляют 25 мл реагента для отщепления и барботируют в течение 1,5 ч, высушивают и промывают 3X посредством оставшегося реагента. Выпаривают до приблизительно 5 мл и осаждают в этиловом эфире. Центрифугируют и высушивают. Очистку проводят следующим образом: Column-Waters NovaPak C18 300×19 мм; буфер A = 10 мМ ацетат аммония, pH 5; B=CAN; от 1%B до 20%B в течение 40 минут при 15 мл/мин, с получением 350 мг (64%); ВЭЖХ - RT 10,307 мин, 100% чистота, спектр1H-ЯМР согласуется с указанной структурой, и MS (ES-): 1624,8, 1463,2, 1462,3, 977,1, 976,2, 975,1, 974,1, 486,8, 477,8.The peptide analog is cleaved from the resin using the following reagent: 92.5% (50 ml) TFA, 2.5% (1.34 ml) H2 O, 2.5% (1.34 ml) triisopropylsilane, 2.5% (1.34 ml) ethanedithiol, the cleavage step is carried out as follows: 25 ml of cleavage reagent are added and bubbled for 1.5 hours, dried and washed with 3X using the remaining reagent. Evaporate to approximately 5 ml and precipitate in ethyl ether. Centrifuged and dried. Cleaning is carried out as follows: Column-Waters NovaPak C18 300 × 19 mm; buffer A = 10 mM ammonium acetate,
ПРИМЕР 3EXAMPLE 3
В соответствии с общим способом примера способа 7 (схема 1) связанный со смолой Wang 4-метокситритил (MTT)-защищенный CyS-NH2 подвергали реакции в соответствии со следующей последовательностью: 1) a. Fmoc-1β-аминоаланин(NH-IvDde)-OH, PyBOP, DIPEA; b. 20% пиперидин/DMF; 2) a. Fmoc-Asp(OtBu)-OH, PyBOP, DIPEA; b. 20% пиперидин/DMF; 3) a. Fmoc-Asp(OtBu)-OH, PyBOP, DIPEA; b. 20% пиперидин/DMF; 4) a. Fmoc-Asp(OtBu)-OH, PyBOP, DIPEA; b. 20% пиперидин/DMF; 5) a. Fmoc-Glu-OtBu, PyBOP, DIPEA; b. 20% пиперидин/DMF; 6) N10-TFA-птероевая кислота, PyBOP, DIPEA. Защитные группы MTT, tBu и TFA удаляли посредством a. 2% гидразин/DMF; b. TFA/H2O/TIPS/EDT (92,5:2,5:2,5:2,5).In accordance with the general method of process example 7 (Scheme 1), Wang 4-methoxytrityl (MTT) -protected CyS-NH2 bound to the resin was reacted according to the following sequence: 1) a. Fmoc-1β-aminoalanine (NH-IvDde) -OH, PyBOP, DIPEA; b. 20% piperidine / DMF; 2) a. Fmoc-Asp (OtBu) -OH, PyBOP, DIPEA; b. 20% piperidine / DMF; 3) a. Fmoc-Asp (OtBu) -OH, PyBOP, DIPEA; b. 20% piperidine / DMF; 4) a. Fmoc-Asp (OtBu) -OH, PyBOP, DIPEA; b. 20% piperidine / DMF; 5) a. Fmoc-Glu-OtBu, PyBOP, DIPEA; b. 20% piperidine / DMF; 6) N10 -TFA-pteroic acid, PyBOP, DIPEA. The protecting groups MTT, tBu and TFA were removed by a. 2% hydrazine / DMF; b. TFA / H2 O / TIPS / EDT (92.5: 2.5: 2.5: 2.5).
Для получения использовали реагенты, представленные в приведенной ниже таблице:To obtain used reagents presented in the table below:
Стадию присоединения проводили следующим образом: в емкость для пептидного синтеза добавляют смолу, добавляют раствор аминокислоты в DMF, DIPEA и PyBOP. В течение 1 ч барботируют аргоном и промывают 3X10 мл посредством DMF и IPA. Перед присоединением каждой аминокислоты для удаления защитной группы Fmoc используют 20% пиперидин в DMF, 3X10 мл (10 мин). Продолжают до завершения 6 стадий присоединения. В конце смолу промывают 2% гидразином в DMF 3X10 мл (5 мин) для отщепления защитной группы TFA на птероевой кислоте и защитной группы IvDde на β-аминоаланине. В завершение, к свободному амину β-аминоаланина присоединяют Fmoc-тиопропионовую кислоту в DMF с использованием DIPEA и PyBop. Барботируют аргоном в течение 1 ч и промывают 3X10 мл посредством DMF и IPA. Сушат смолу в атмосфере аргона в течение 30 мин.The addition step was carried out as follows: resin was added to the peptide synthesis vessel, an amino acid solution in DMF, DIPEA and PyBOP was added. Sparged with argon for 1 h and washed with 3 X 10 ml with DMF and IPA. Prior to the addition of each amino acid, 20% piperidine in DMF, 3 X 10 ml (10 min) is used to remove the Fmoc protecting group. Continue until the completion of 6 stages of accession. Finally, the resin is washed with 2% hydrazine in DMF 3X10 ml (5 min) to remove the TFA protecting group on pteroic acid and the IvDde protecting group on β-aminoalanine. Finally, Fmoc-thiopropionic acid in DMF was added to the free amine of β-aminoalanine using DIPEA and PyBop. Sparged with argon for 1 h and washed with 3 X 10 ml with DMF and IPA. Dry the resin in an argon atmosphere for 30 minutes.
Отщепляют пептидный аналог от смолы с использованием следующего реагента, 92,5% (50 мл) TFA, 2,5% (1,34 мл) H2O, 2,5% (1,34 мл) триизопропилсилан, 2,5% (1,34 мл) этандитиол, стадию отщепления проводят следующим образом: добавляют 25 мл реагента для отщепления и барботируют в течение 1,5 ч, сушат и промывают 3X оставшимся реагентом. Выпаривают до приблизительно 5 мл и осаждают в этиловом эфире. Центрифугируют и сушат. Очистку проводили следующим образом: Column-Waters NovaPak C18 300×19 мм; буфер A = 10 мМ ацетат аммония, pH 5; B= CAN; от 1%B до 20%B в течение 40 минут при 15 мл/мин, с получением 450 мг (65%); спектр1H-ЯМР согласуется с указанной структурой.The peptide analog is cleaved from the resin using the following reagent, 92.5% (50 ml) TFA, 2.5% (1.34 ml) H2 O, 2.5% (1.34 ml) triisopropylsilane, 2.5% (1.34 ml) ethanedithiol, the cleavage step is carried out as follows: 25 ml of cleavage reagent are added and bubbled for 1.5 hours, dried and washed with 3X remaining reagent. Evaporate to approximately 5 ml and precipitate in ethyl ether. Centrifuged and dried. The purification was carried out as follows: Column-Waters NovaPak C18 300 × 19 mm; buffer A = 10 mM ammonium acetate,
ПРИМЕР 4EXAMPLE 4
В соответствии с общим способом примера способа 7 (схема 1) связанный со смолой Wang (MTT)-защищенный CyS-NH2 подвергали реакции в соответствии со следующей последовательностью: 1) a. Fmoc-Asp(OtBu)-OH, PyBOP, DIPEA; b. 20% пиперидин/DMF; 2) a. Fmoc-Asp(OtBu)-OH, PyBOP, DIPEA; b. 20% пиперидин/DMF; 3) a. Fmoc-Arg(Pbf)-OH, PyBOP, DIPEA; b. 20% пиперидин/DMF; 4) a. Fmoc-Asp(OtBu)-OH, PyBOP, DIPEA; b. 20% пиперидин/DMF; 5) a. Fmoc-Glu(γ-OtBu)-OH, PyBOP, DIPEA; b. 20% пиперидин/DMF; 6) N10-TFA-птероевая кислота, PyBOP, DIPEA. Защитные группы MTT, tBu и Pbf удаляли посредством TFA/H2O/TIPS/EDT (92,5:2,5:2,5:2,5) и защитную группу TFA удаляли посредством водного раствора NH4OH при pH 9,3. Спектр1H-ЯМР соответствовал указанной структуре.In accordance with the general method of process example 7 (Scheme 1), a Wang (MTT) -protected CyS-NH2 resin coupled was reacted in accordance with the following sequence: 1) a. Fmoc-Asp (OtBu) -OH, PyBOP, DIPEA; b. 20% piperidine / DMF; 2) a. Fmoc-Asp (OtBu) -OH, PyBOP, DIPEA; b. 20% piperidine / DMF; 3) a. Fmoc-Arg (Pbf) -OH, PyBOP, DIPEA; b. 20% piperidine / DMF; 4) a. Fmoc-Asp (OtBu) -OH, PyBOP, DIPEA; b. 20% piperidine / DMF; 5) a. Fmoc-Glu (γ-OtBu) -OH, PyBOP, DIPEA; b. 20% piperidine / DMF; 6) N10 -TFA-pteroic acid, PyBOP, DIPEA. The protective groups MTT, tBu and Pbf were removed by TFA / H2 O / TIPS / EDT (92.5: 2.5: 2.5: 2.5) and the protective group TFA was removed by means of an aqueous solution of NH4 OH at
ПРИМЕР 5EXAMPLE 5
В соответствии с общим способом примера способа 7 (Схема 1) связанный со смолой Wang MTT-защищенный D-CyS-NH2 подвергали реакции в соответствии со следующей последовательностью: 1) a. Fmoc-D-Asp(OtBu)-OH, PyBOP, DIPEA; b. 20% пиперидин/DMF; 2) a. Fmoc-D-Asp(OtBu)-OH, PyBOP, DIPEA; b. 20% пиперидин/DMF; 3) a. Fmoc-D-Arg(Pbf)-OH, PyBOP, DIPEA; b. 20% пиперидин/DMF; 4) a. Fmoc-D-Asp(OtBu)-OH, PyBOP, DIPEA; b. 20% пиперидин/DMF; 5) a. Fmoc-D-Glu-OtBu, PyBOP, DIPEA; b. 20% пиперидин/DMF; 6) N10-TFA-птероевая кислота, PyBOP, DIPEA. Защитные группы MTT, tBu и Pbf удаляли посредством TFA/H2O/TIPS/EDT (92,5:2,5:2,5:2,5) и защитную группу TFA удаляли посредством водного раствора NH4OH при pH 9,3. Спектр1H-ЯМР соответствовал указанной структуре.In accordance with the general method of process example 7 (Scheme 1), Wang resin-bound MTT-protected D-CyS-NH2 was reacted in accordance with the following sequence: 1) a. Fmoc-D-Asp (OtBu) -OH, PyBOP, DIPEA; b. 20% piperidine / DMF; 2) a. Fmoc-D-Asp (OtBu) -OH, PyBOP, DIPEA; b. 20% piperidine / DMF; 3) a. Fmoc-D-Arg (Pbf) -OH, PyBOP, DIPEA; b. 20% piperidine / DMF; 4) a. Fmoc-D-Asp (OtBu) -OH, PyBOP, DIPEA; b. 20% piperidine / DMF; 5) a. Fmoc-D-Glu-OtBu, PyBOP, DIPEA; b. 20% piperidine / DMF; 6) N10 -TFA-pteroic acid, PyBOP, DIPEA. The protective groups MTT, tBu and Pbf were removed by TFA / H2 O / TIPS / EDT (92.5: 2.5: 2.5: 2.5) and the protective group TFA was removed by means of an aqueous solution of NH4 OH at
ПРИМЕР 6EXAMPLE 6
К раствору гидразида дезацетилвинбластина (668 мг) в 5 мл DCM последовательно добавляли 2-[(бензотриазол-1-ил)-(оксикарбонилокси)этилдисульфанил]пиридин HCl (601 мг) и 378 мкл DIPEA при 0°C. Реакционной смеси позволяли нагреться до комнатной температуры и перемешивали в течение 3 часов. TLC (15% MeOH в DCM) показал полное превращение. Смесь очищали посредством хроматографии на силикагеле (1:9 MeOH/DCM). Объединенные фракции выпаривали, повторно растворяли в DCM и промывали посредством 10% Na2CO3, солевого раствора, сушили (MgSO4) и выпаривали до 550 мг (80%); ВЭЖХ - RT 12,651 мин, 91% чистота, спектр1H-ЯМР соответствует указанной структуре, и МС (ESI+): 984,3, 983,3, 982,4, 492,4, 491,9, 141,8. Дополнительное подробное описание этого процесса описано в публикации патентной заявки США № US 2005/0002942 A1, включенной в настоящее описание в качестве ссылки в полном объеме.To a solution of deacetylvinblastine hydrazide (668 mg) in 5 ml of DCM, 2 - [(benzotriazol-1-yl) - (hydroxycarbonyloxy) ethyl disulfanyl] pyridine HCl (601 mg) and 378 μl of DIPEA at 0 ° C were successively added. The reaction mixture was allowed to warm to room temperature and was stirred for 3 hours. TLC (15% MeOH in DCM) showed complete conversion. The mixture was purified by chromatography on silica gel (1: 9 MeOH / DCM). The combined fractions were evaporated, redissolved in DCM and washed with 10% Na2 CO3 , brine, dried (MgSO4 ) and evaporated to 550 mg (80%); HPLC - RT 12.651 min, 91% purity,1 H-NMR spectrum consistent with the indicated structure, and MS (ESI +): 984.3, 983.3, 982.4, 492.4, 491.9, 141.8. A further detailed description of this process is described in US Patent Application Publication No. US 2005/0002942 A1, incorporated by reference in its entirety.
ПРИМЕР 7EXAMPLE 7
Митомицин C-этилдисульфидпропионовую кислоту получали в соответствии со следующей схемойMitomycin C-ethyl disulfide propionic acid was prepared according to the following scheme.
(a) диизопропилэтиламин (DIPEA), MeOH.(a) diisopropylethylamine (DIPEA), MeOH.
К раствору аминоэтилдисульфидпропионовой кислоты (81 мг, 0,372 ммоль) в 2 мл метанола (MeOH) добавляли DIPEA (0,13 мл, 0,746 ммоль). К этому раствору медленно добавляли митомицин-A (100 мг, 0,286 ммоль) в MeOH (3,0 мл). Полученному раствору позволяли перемешаться в течение 3 ч. Анализ TLC (20% MeOH в CHCl3) показал, что реакция завершилась. Растворитель удаляли при пониженном давлении и осадок очищали с использованием колонки с диоксидом кремния. Градиентное элюирование (от 10% до 20% MeOH в CHCl3/0,5% TEA) привело к очищенным фракциям продукта (110 мг, 77%). Выбранные сигналы1H-ЯМР (CDCl3) δ (м.д.) 3,50 (д, 1H), 3,56 (дд, 1H), 3,90 (т, 2H), 4,15 (д, 1H), 4,25 (т, 1H), 4,68 (дд, 1H).To a solution of aminoethyl disulfide propionic acid (81 mg, 0.372 mmol) in 2 ml of methanol (MeOH) was added DIPEA (0.13 ml, 0.746 mmol). To this solution, mitomycin-A (100 mg, 0.286 mmol) in MeOH (3.0 ml) was slowly added. The resulting solution was allowed to stir for 3 hours. Analysis of TLC (20% MeOH in CHCl3 ) showed that the reaction was complete. The solvent was removed under reduced pressure and the precipitate was purified using a column of silica. Gradient elution (10% to 20% MeOH in CHCl3 / 0.5% TEA) resulted in purified product fractions (110 mg, 77%). Selected Signals1 H-NMR (CDCl3 ) δ (ppm) 3.50 (d, 1H), 3.56 (dd, 1H), 3.90 (t, 2H), 4.15 (d, 1H), 4.25 (t, 1H), 4.68 (dd, 1H).
ПРИМЕР 8EXAMPLE 8
Получали в соответствии с процессом примера 7.Received in accordance with the process of example 7.
ПРИМЕР 9EXAMPLE 9
Во флаконе для центрифугирования из полипропилена в 5 мл воды растворяли вещество примера 2 (82 мг, 0,084 ммоль) и барботировали аргоном в течение 10 мин. В другом флаконе барботировали аргоном 0,1 Н раствор NaHCO3 в течение 10 мин. pH раствора линкера доводили приблизительно до 6,9 с использованием 0,1 Н раствора NaHCO3. К указанному выше раствору медленно добавляли производное гидразида винбластина (вещество примера 6, 91 мг, 0,092 мМ) в 5 мл тетрагидрофурана (THF). Полученный прозрачный раствор перемешивали в атмосфере аргона в течение от 15 мин до 1 ч. Мониторинг хода реакции проводили посредством аналитической ВЭЖХ (10 мМ ацетат аммония, pH 7,0 и ацетонитрил). THF выпаривали и водный раствор фильтровали и инъецировали в колонку для препаративной ВЭЖХ (XTerra Column, 19×300 мМ). Элюирование посредством 1 мМ фосфата натрия, pH 7,0, и ацетонитрила приводило к очищенным фракциям, содержащим продукт, который выделяли после лиофилизации в течение 48 ч (78 мг, 50%); C83H103N19O26S2; точная масса: 1845,68; ММ: 1846,95; ВЭЖХ - RT 15,113 мин, 100% чистота, спектр1H-ЯМР соответствовал указанной структуре, и МС (ES-): 1846,6, 1845,5, 933,3, 924,2, 923,3, 922,5, 615,6, 614,7, 525,0.The substance of Example 2 (82 mg, 0.084 mmol) was dissolved in a centrifugation bottle from polypropylene in 5 ml of water and sparged with argon for 10 minutes. In another vial, a 0.1 N NaHCO3 solution was bubbled with argon for 10 minutes. The pH of the linker solution was adjusted to approximately 6.9 using a 0.1 N NaHCO3 solution. To the above solution, the vinblastine hydrazide derivative (the substance of Example 6, 91 mg, 0.092 mmol) in 5 ml of tetrahydrofuran (THF) was slowly added. The resulting clear solution was stirred in an argon atmosphere for 15 minutes to 1 hour. The reaction progress was monitored by analytical HPLC (10 mM ammonium acetate, pH 7.0, and acetonitrile). THF was evaporated and the aqueous solution was filtered and injected into a preparative HPLC column (XTerra Column, 19 × 300 mM). Elution with 1 mM sodium phosphate, pH 7.0, and acetonitrile resulted in purified fractions containing the product that was isolated after lyophilization for 48 hours (78 mg, 50%); C83 H103 N19 O26 S2 ; exact mass: 1845.68; MM: 1846.95; HPLC - RT 15.113 min, 100% purity,1 H-NMR spectrum consistent with the indicated structure, and MS (ES-): 1846.6, 1845.5, 933.3, 924.2, 923.3, 922.5, 615.6, 614.7, 525.0.
На ФИГ. 1A и 1B представлена относительная аффинность связывания для фолата относительно вещества примера 9 и эффекты вещества примера 9 на включение3H-тимидина, IC50 конъюгата (58 нМ) и что фолат конкурирует с конъюгатом за связывание с рецептором для фолата, показывая специфичность связывания конъюгата. Анализы проводили в соответствии с примерами способов 4 и 3 соответственно.In FIG. 1A and 1B show the relative binding affinity for folate relative to the substance of Example 9 and the effects of the substance of Example 9 on the incorporation of3 H-thymidine, IC50 conjugate (58 nM) and that folate competes with the conjugate for binding to the folate receptor, showing the specificity of conjugate binding. The analyzes were carried out in accordance with the examples of
На ФИГ. 1B представлена активность вещества примера 9 в отношении включения3H-тимидина в клетках KB с избытком фолиевой кислоты (○) и без него (●); IC50 примера 9 составляет приблизительно 58 нМ.In FIG. 1B shows the activity of the substance of Example 9 with respect to the incorporation of3 H-thymidine in KB cells with and without folic acid excess (○) (●); The IC50 of example 9 is approximately 58 nm.
ПРИМЕР 10EXAMPLE 10
Во флаконе для центрифугирования из полипропилена в 7,5 мл воды растворяли вещество примера 3 (56 мг) и барботировали аргоном в течение 10 мин. В другом флаконе 0,1 Н раствор NaHCO3 барботировали аргоном в течение 10 мин. pH раствора вещества примера 3 доводили до 6,9 с использованием 0,1 Н раствора NaHCO3. К раствору вещества примера 3 медленно добавляли вещество примера 6 (44 мг) в 7,5 мл тетрагидрофурана (THF). Полученный прозрачный раствор перемешивали в атмосфере аргона в течение от 15 мин до 1 ч. Мониторинг хода реакции проводили посредством аналитической ВЭЖХ (10 мМ ацетат аммония, pH 7,0 и ацетонитрил). THF выпаривали и водный раствор фильтровали и очищали посредством препаративной ВЭЖХ. Элюирование посредством 1 мМ фосфата натрия, pH 7,0, и ацетонитрила привело к очищенным фракциями которые объединяли, выпаривали при температуре окружающей среды, и полученный водный раствор доводили до pH 4,0 с использованием 0,1 Н HCl. Вещество примера 10 выделяли после лиофилизации в течение 48 ч (61 мг, 64%). Спектр1H-ЯМР и данные LCMS соответствовали указанной структуре.The substance of Example 3 (56 mg) was dissolved in a centrifugation bottle from polypropylene in 7.5 ml of water and sparged with argon for 10 minutes. In another vial, a 0.1 N NaHCO3 solution was bubbled with argon for 10 minutes. The pH of the solution of the substance of Example 3 was adjusted to 6.9 using a 0.1 N NaHCO3 solution. To a solution of the substance of Example 3, the substance of Example 6 (44 mg) in 7.5 ml of tetrahydrofuran (THF) was slowly added. The resulting clear solution was stirred in an argon atmosphere for 15 minutes to 1 hour. The reaction progress was monitored by analytical HPLC (10 mM ammonium acetate, pH 7.0, and acetonitrile). THF was evaporated and the aqueous solution was filtered and purified by preparative HPLC. Elution with 1 mM sodium phosphate, pH 7.0, and acetonitrile resulted in purified fractions which were combined, evaporated at ambient temperature, and the resulting aqueous solution was adjusted to pH 4.0 using 0.1 N HCl. The substance of example 10 was isolated after lyophilization for 48 hours (61 mg, 64%). H-NMR spectrum1 and LCMS data corresponded to this structure.
ПРИМЕР 11EXAMPLE 11
Способ A. Вещество примера 11 получали в соответствии со следующим процессом:Method A. The substance of example 11 was obtained in accordance with the following process:
(a) представляет собой DCC, DIPEA, THF; и (b) представляет собой смесь вода/THF при pH 8,5.(a) represents DCC, DIPEA, THF; and (b) is a water / THF mixture at pH 8.5.
Митомицин C-этилдисульфидпропионовую кислоту (34,4 мг, 0,069 ммоль) растворяли в сухом THF (1 мл) в атмосфере аргона. Добавляли N-гидроксисукцинамид (7,9 мг, 0,069 ммоль), а затем дициклогексилкарбодиимид (14,2 мг, 0,069 ммоль). Добавляли диизопропилэтиламин (0,024 мл, 0,138 ммоль) и полученную смесь перемешивали в течение 3 ч. Во флаконе для центрифугирования из полипропилена в 3 мл воды растворяли винбластин-фолат (пример 9,26 мг, 0,014 ммоль). pH раствора медленно доводили до 8,5 с использованием 0,1 Н NaHCO3. К раствору фолата добавляли активированное производное митомицина C, полученное, как описано в настоящем описании, в качестве раствора в 3 мл THF. Полученный раствор перемешивали в атмосфере аргона в течение от 15 мин до 1 ч, где мониторинг хода реакции проводили посредством аналитической ВЭЖХ (10 мМ ацетат аммония и ацетонитрил, pH 7,0). THF удаляли при пониженном давлении и водный раствор фильтровали и инъецировали в колонку для препаративной ВЭЖХ (X-terra Column, 19×300 мм). Элюирование посредством 1 мМ фосфата натрия (pH 7,0) и ацетонитрила приводило к очищенным фракциям, которые выпаривали и лиофилизировали в течение 48 ч с получением 12 мг (50% исходя из выделенного исходного вещества). Данные1H-ЯМР и масс-спектрометрии подтвердили указанную структуру, как представлено на ФИГ. 9 и 10 соответственно. C103H127N23O32S4; Точная масса 2325,79; ММ 2327,51. ВЭЖХ - RT 20,054 мин, 99% чистота, спектр1H-ЯМР соответствует указанной структуре, и МС (ES+): 1552,5, 116,0, 1165,3, 1164,3, 1148,4, 744,9, 746,4, 745,6.Mitomycin C-ethyl disulfide propionic acid (34.4 mg, 0.069 mmol) was dissolved in dry THF (1 ml) under argon. N-hydroxysuccinamide (7.9 mg, 0.069 mmol) was added, followed by dicyclohexylcarbodiimide (14.2 mg, 0.069 mmol). Diisopropylethylamine (0.024 ml, 0.138 mmol) was added and the resulting mixture was stirred for 3 hours. Vinblastine folate was dissolved in a centrifugation bottle of polypropylene in 3 ml of water (example 9.26 mg, 0.014 mmol). The pH of the solution was slowly adjusted to 8.5 using 0.1 N NaHCO3 . An activated mitomycin C derivative prepared as described herein as a solution in 3 ml THF was added to the folate solution. The resulting solution was stirred in an argon atmosphere for 15 minutes to 1 hour, where the reaction progress was monitored by analytical HPLC (10 mM ammonium acetate and acetonitrile, pH 7.0). THF was removed under reduced pressure and the aqueous solution was filtered and injected into a preparative HPLC column (X-terra Column, 19 × 300 mm). Elution with 1 mM sodium phosphate (pH 7.0) and acetonitrile resulted in purified fractions that were evaporated and lyophilized for 48 hours to give 12 mg (50% based on the recovered starting material). Data1 H-NMR and mass spectrometry confirmed the indicated structure, as shown in FIG. 9 and 10, respectively. C103 H127 N23 O32 S4 ; Exact mass 2325.79; MM 2327.51. HPLC - RT 20.054 min, 99% purity,1 H-NMR spectrum consistent with the indicated structure, and MS (ES +): 1552.5, 116.0, 1165.3, 1164.3, 1148.4, 744.9, 746 4,745.6.
Способ B: Безводный DMF (4,5 мл) впрыскивали в смесь вещества примера 10 (103 мг, 48,7 мкмоль) и вещества примера 8 (NO2-PySSCH2CH2-MMC, 33,4 мг, 1,25 экв.) при комнатной температуре в атмосфере аргона. В полученный раствор последовательно впрыскивали DIPEA (84,9 мкл, 10 экв.) и DBU (72,9 мкл, 10 экв.). Реакционную смесь перемешивали при комнатной температуре в атмосфере аргона в течение 20 минут, затем переносили в перемешиваемый диэтиловый эфир (50 мл). Полученную суспензию центрифугировали, осадок промывали диэтиловым эфиром (15 мл×2), затем растворяли в фосфатном буфере (9 мл, 1,25 мМ, pH 6,8) и подвергали препаративной ВЭЖХ (Колонка: Waters XTerra RP18, 7 мкм, 19×300 мм; подвижные фазы: A = 1,25 мМ фосфатный буфер, pH 6,8, B = ацетонитрил; Способ: от 10%B до 40%B в течение 25 мин при 25 мл/мин). Фракции через 11,72-13,88 минут собирали и лиофилизировали с получением 105,8 мг вещества, содержащего 99,2 мг и 6,6 мг фосфатных солей.Method B: Anhydrous DMF (4.5 ml) was injected into a mixture of the compound of Example 10 (103 mg, 48.7 μmol) and the compound of Example 8 (NO2 -PySSCH2 CH2 -MMC, 33.4 mg, 1.25 eq. .) at room temperature in an argon atmosphere. DIPEA (84.9 μl, 10 equiv.) And DBU (72.9 μl, 10 equiv.) Were successively injected into the resulting solution. The reaction mixture was stirred at room temperature under argon for 20 minutes, then transferred to stirred diethyl ether (50 ml). The resulting suspension was centrifuged, the precipitate was washed with diethyl ether (15 ml × 2), then dissolved in phosphate buffer (9 ml, 1.25 mm, pH 6.8) and subjected to preparative HPLC (Column: Waters XTerra RP18, 7 μm, 19 × 300 mm; mobile phases: A = 1.25 mm phosphate buffer, pH 6.8, B = acetonitrile; Method: from 10% B to 40% B for 25 min at 25 ml / min). Fractions after 11.72-13.88 minutes were collected and lyophilized to give 105.8 mg of a substance containing 99.2 mg and 6.6 mg of phosphate salts.
Способ C. Вещество примера 11 получали в соответствии со следующим процессом с выходом 34%:Method C. The substance of example 11 was obtained in accordance with the following process with a yield of 34%:
(a) NHS, DCC-Смола, DIPEA, THF; (b) Пример 7, DIPEA, DMSO.(a) NHS, DCC-Resin, DIPEA, THF; (b) Example 7, DIPEA, DMSO.
На ФИГ. 2 представлена относительная аффинность связывания для фолиевой кислоты (●, 1,0) относительно вещества примера 11 (■, 0,21). Данные на ФИГ. 2 показывают, что конъюгат обладает высоким относительным связыванием с рецептором для фолата. Анализ проводили в соответствии с примером способа 4.In FIG. 2 shows the relative binding affinity for folic acid (●, 1.0) relative to the substance of Example 11 (■, 0.21). The data in FIG. 2 show that the conjugate has high relative binding to the folate receptor. The analysis was carried out in accordance with an example of
На ФИГ. 1B и 3 представлены эффекты веществ примеров 9 (имеющее одно лекарственное средство) и 11 (имеющее два лекарственных средства) соответственно на включение3H-тимидина, IC50 конъюгатов вещества примера 9 (58 нМ) и вещества примера 11 (5 нМ). Данные на ФИГ. 1B и 3 также показывают, что фолиевая кислота конкурирует с конъюгатами за связывание с рецептором для фолата, демонстрируя специфичность связывания конъюгата. Анализ проводили в соответствии с примером способа 3. Кроме того, вещество примера 11, имеющее два лекарственных средства, показало эффективность, более чем в 10 раз превышающую эффективность в отношении рецептора для фолата, чем вещество примера 9, имеющее только одно лекарственное средство.In FIG. 1B and 3 show the effects of the substances of examples 9 (having one drug) and 11 (having two drugs), respectively, on the incorporation of3 H-thymidine, IC50 conjugates of the substance of example 9 (58 nM) and the substance of example 11 (5 nM). The data in FIG. 1B and 3 also show that folic acid competes with conjugates for binding to the folate receptor, demonstrating the specificity of conjugate binding. The analysis was carried out in accordance with the example of
На ФИГ. 4 представлена цитотоксическая активностьin vitro вещества примера 11 (a) на три различные опухолевые клеточные линии (KB, 4T-1cl2 и ID8-cl15). Кроме того, на ФИГ. 4 показано, что цитотоксическая активность вещества примера 11 снижается в присутствии избытка фолиевой кислоты (b), указывая на то, что вещество примера 11 действует на рецептор для фолата.In FIG. 4 shows thein vitro cytotoxic activity of the substance of Example 11 (a) on three different tumor cell lines (KB, 4T-1cl2 and ID8-cl15). In addition, in FIG. 4 shows that the cytotoxic activity of the substance of example 11 decreases in the presence of an excess of folic acid (b), indicating that the substance of example 11 acts on the folate receptor.
На ФИГ. 5A и 5B представлена активность вещества примера 11 в двух различных дозах (1 мкмоль/кг и 2 мкмоль/кг) в отношении опухолей рака легкого M109 у мышей Balb/c и массы мышей Balb/c (Balb/c использовали для анализа объема опухоли M109). Анализы проводили в соответствии с примерами способов 1 и 6 соответственно. Вещество примера 11 ингибировало рост солидных опухолей, но оказывало небольшой эффект на массу мышей в обеих дозах. Кроме того, более высокая доза (2 мкмоль/кг) показала сильное ингибирование роста опухоли даже после завершения дозирования на 20 сутки. Вертикальная линия соответствует последним суткам дозирования (20 сутки). Тестировали пять животных, и при более высокой дозе, составляющей 2 мкмоль/кг, у всех пяти мышей был выявлен полный ответ.In FIG. 5A and 5B show the activity of the substance of Example 11 in two different doses (1 μmol / kg and 2 μmol / kg) against M109 lung cancer tumors in Balb / c mice and the mass of Balb / c mice (Balb / c was used to analyze the volume of the M109 tumor ) The analyzes were carried out in accordance with examples of
На ФИГ. 6 представлена активность вещества примера 11 в дозе 1 мкмоль/кг TIW в течение 2 недель в отношении FR-положительных опухолей KB с 40 мкмоль/кг EC20 (комплекс рения) (b) и без него (c) по сравнению с контролями (a). Вертикальной пунктирной линией указаны последние сутки дозирования. На фигурах показано, что вещество примера 11 ингибирует рост солидных опухолей и что ингибиторный эффект предотвращается (происходит конкуренция) посредством комплекса рения EC20. Кроме того, на фигурах показано, что введение вещества примера 11 не оказывает значительного влияния на массу тестируемого животного по сравнению с контролями. EC20 (комплекс рения) представляет собой соединение формулыIn FIG. 6 shows the activity of the substance of example 11 at a dose of 1 μmol / kg TIW for 2 weeks against FR-positive KB tumors with 40 μmol / kg EC20 (rhenium complex) (b) and without it (c) compared to controls (a) . The vertical dashed line indicates the last day of dosing. The figures show that the substance of example 11 inhibits the growth of solid tumors and that the inhibitory effect is prevented (competition occurs) through the rhenium complex EC20. In addition, the figures show that the introduction of the substance of example 11 does not have a significant effect on the weight of the test animal in comparison with the controls. EC20 (rhenium complex) is a compound of the formula
хелатированное с рением. Получение EC20 описано в публикации патентной заявки США № US 2004/0033195 A1, описание процесса синтеза которой включено в настоящее описание в качестве ссылки. Анализ проводили в соответствии с примером способа 2. EC20 действует в качестве конкурента вещества примера 11 на рецепторы для фолата, и результаты показывают специфичность эффектов вещества примера 11.chelated with rhenium. The preparation of EC20 is described in US Patent Application Publication No. US 2004/0033195 A1, the synthesis process of which is incorporated herein by reference. The analysis was carried out in accordance with the example of
На ФИГ. 8 представлена активность вещества примера 11 в дозе 1 мкмоль/кг TIW в отношении положительных по рецептору для фолата подкожно имплантированных ксенотрансплантированных опухолей KB с добавлением 40 мкмоль/кг EC20 (комплекс рения) (b) и без него (c) у мышей nude. Данные на ФИГ. 8 показывают, что вещество примера 11 ингибирует рост солидных опухолей и что ингибиторный эффект предотвращается посредством комплекса рения EC20 (происходит конкуренция с ним), (b) относительно (c). Кроме того, данные на ФИГ. 8 показывают, что введение вещества примера 11 не оказывает значительного влияния на массу тестируемых в модели на животных мышей nude по сравнению с контролями (a).In FIG. Figure 8 shows the activity of the substance of Example 11 at a dose of 1 μmol / kg TIW with respect to folate positive subcutaneously implanted xenograft KB tumors with 40 μmol / kg EC20 (rhenium complex) (b) and without it (c) in nude mice. The data in FIG. 8 show that the substance of Example 11 inhibits the growth of solid tumors and that the inhibitory effect is prevented by the EC20 rhenium complex (competition with it), (b) relative to (c). In addition, the data in FIG. 8 show that the administration of the substance of Example 11 does not significantly affect the weight of nude mice tested in animal models compared to controls (a).
На ФИГ. 10 представлена активность вещества примера 11 в дозе 2 мкмоль/кг TIW (e) в отношении положительных по рецептору для фолата опухолей человека у мышей nude по сравнению со смесью неконъюгированных основных лекарственных средств, митомицина C и дезацетилвинбластина моногидразида в дозе 0,5 мкмоль/кг TIW (b), 1 мкмоль/кг TIW (c) и 2 мкмоль/кг TIW (d) по сравнению с необработанными контролями (a). Данные на ФИГ. 10 показывают, что вещество примера 11 ингибирует рост солидных опухолей, и оно привело к полному ответу у пяти из пяти тестированных животных. Напротив, введение смеси основных лекарственных средств в дозе 0,5 мкмоль/кг TIW (b) или в дозе 1 мкмоль/кг TIW (c) не показало полного ответа ни у одного из пяти тестированных животных. Введение смесей основных лекарственных средств с высокими дозами в дозе 2 мкмоль/кг TIW (d) прекратили до 20 суток вследствие выявленной токсичности, как представлено на ФИГ. 11, показывающей эффект основных лекарственных средств и вещества примера 11 на массу тестированного животного.In FIG. 10 shows the activity of the substance of Example 11 at a dose of 2 μmol / kg TIW (e) against folate receptors positive for human tumors in nude mice compared to a mixture of unconjugated essential drugs, mitomycin C and deacetylvinblastin monohydrazide at a dose of 0.5 μmol / kg TIW (b), 1 μmol / kg TIW (c) and 2 μmol / kg TIW (d) compared to untreated controls (a). The data in FIG. 10 show that the substance of Example 11 inhibits the growth of solid tumors, and it led to a complete response in five of the five animals tested. In contrast, administration of a basic drug mixture at a dose of 0.5 μmol / kg TIW (b) or at a dose of 1 μmol / kg TIW (c) did not show a complete response in any of the five animals tested. The introduction of mixtures of essential drugs with high doses at a dose of 2 μmol / kg TIW (d) was stopped up to 20 days due to the detected toxicity, as shown in FIG. 11, showing the effect of the essential drugs and the substance of Example 11 on the weight of the tested animal.
На ФИГ. 11 представлено, что вещество примера 11 (e) не оказывает значительного влияния на массу тестируемых животных в ходе введения по сравнению с контролями (a). В противоположность веществу примера 11, данные на ФИГ. 11 показывают, что пролонгированное введение более низких доз смеси неконъюгированных основных лекарственных средств, митомицина C и дезацетилвинбластина моногидразида (0,5 мкмоль/кг TIW (b) и 1 мкмоль/кг TIW (c)) приводило к значительному снижению массы тестируемых животных по сравнению с контролями (a). Кроме того, смеси неконъюгированных основных лекарственных средств с высокими дозами (2 мкмоль/кг TIW (d)) вызывали наибольшее снижение массы, что привело к прекращению теста.In FIG. 11 shows that the substance of example 11 (e) does not significantly affect the mass of test animals during administration compared to controls (a). In contrast to the substance of example 11, the data in FIG. 11 show that prolonged administration of lower doses of a mixture of unconjugated essential drugs, mitomycin C and deacetylvinblastin monohydrazide (0.5 μmol / kg TIW (b) and 1 μmol / kg TIW (c)) led to a significant decrease in the weight of the test animals compared with controls (a). In addition, mixtures of unconjugated high-dose non-conjugated essential drugs (2 μmol / kg TIW (d)) caused the greatest weight loss, leading to the termination of the test.
Соединения, описанные в настоящем описании, могут быть пригодными для лечения крупных или развернутых опухолей. В качестве иллюстративного примера вещество примера 11 является эффективным в отношении крупных опухолей. На ФИГ. 12 представлена активность вещества примера 11 в дозе 2 мкмоль/кг TIW, 2 недели, на крупные (250 мм3, 500 мм3 и 750 мм3) подкожные опухоли KB. Введение вещества примера 11 начинали, когда опухоли достигали одного из трех указанных объемов, как показано вертикальными стрелками, соответствующими объему опухоли. Данные на ФИГ. 12 показывают, что вещество примера 11 ингибирует рост крупных опухолей и приводит к полному ответу у тестируемых животных.The compounds described herein may be useful for treating large or advanced tumors. As an illustrative example, the substance of example 11 is effective against large tumors. In FIG. 12 shows the activity of the substance of Example 11 at a dose of 2 μmol / kg TIW, 2 weeks, on large (250 mm3 , 500 mm3 and 750 mm3 ) subcutaneous KB tumors. The introduction of the substance of example 11 began when the tumors reached one of the three indicated volumes, as shown by vertical arrows corresponding to the volume of the tumor. The data in FIG. 12 show that the substance of Example 11 inhibits the growth of large tumors and leads to a complete response in test animals.
На ФИГ. 13 показана активность вещества примера 11 (e) в дозе 1 мкмоль/кг TIW в течение двух недель введения на развернутые подкожные опухоли KB по сравнению с контролями (a); каждым конъюгатом с одним лекарственным средством отдельно, конъюгатом митомицина C (b) и конъюгатом дезацетилвинбластина моногидразида (c) или смесью этих конъюгатов с одним лекарственным средством (d). Каждый конъюгат лекарственного средства дозировали на одном уровне, составляющем 1 мкмоль/кг TIW в течение двух недель введения. На фигуре показано, что вещество примера 11 действует лучше, чем каждый из конъюгатов с одним лекарственным средством или смесь обоих конъюгатов с одним лекарственным средством. Удивительно, что смесь конъюгатов с одним лекарственным средством не оказывала значительно лучшего действия, чем конъюгаты с одним лекарственным средством, которые дозировали отдельно, и ни одна из схем дозирования конъюгатов с одним лекарственным средством не отличалась статистически значимо от контролей. Только соединение примера 11 было лучше контролей. Кроме того, эти данные подтверждают синергический эффект наличия в одном конъюгате как лекарственного средства на основе алкалоида барвинка, так и лекарственного средства митомицина.In FIG. 13 shows the activity of the substance of Example 11 (e) at a dose of 1 μmol / kg TIW for two weeks of administration to expanded subcutaneous KB tumors as compared to controls (a); each conjugate with one drug separately, conjugate of mitomycin C (b) and conjugate of deacetylvinblastin monohydrazide (c) or a mixture of these conjugates with one drug (d). Each drug conjugate was dosed at the same level of 1 μmol / kg TIW for two weeks of administration. The figure shows that the substance of example 11 works better than each of the conjugates with one drug or a mixture of both conjugates with one drug. Surprisingly, a single drug conjugate mixture did not have a significantly better effect than single drug conjugates, which were dosed separately, and none of the single drug conjugate dosage regimens differed statistically significantly from the controls. Only the compound of Example 11 was better than controls. In addition, these data confirm the synergistic effect of the presence in the same conjugate of both a drug based on a vinca alkaloid and a mitomycin drug.
ПРИМЕРЫ с 12 по 14EXAMPLES 12 TO 14
Проводили в соответствии с процессами и условиями, описанными в настоящем описании, включая процессы, описанные в настоящем описании выше для вещества примера 11. Дополнительное подробное описание получения требуемого активированного тиосульфонатом или пиридилдитио винбластина и активированных малеимидом производных винбластина приведено в публикации патентной заявки США № US 2005/0002942 A1. Дополнительное подробное описание получения требуемых производных митомицина приведено в публикации патентной заявки США № US 2005/0165227 A1, описание которой включено в настоящее описание в качестве ссылки.Conducted in accordance with the processes and conditions described herein, including the processes described hereinabove for the substance of Example 11. A further detailed description of the preparation of the desired thiosulfonate or pyridyldithio vinblastine activated and maleimide activated vinblastine derivatives is given in US Patent Application Publication No. US 2005 / 0002942 A1. A further detailed description of the preparation of the required mitomycin derivatives is given in US Patent Application Publication No. US 2005/0165227 A1, the disclosure of which is incorporated herein by reference.
ПРИМЕР 12EXAMPLE 12
На ФИГ. 15 представлена активность вещества примера 12 в концентрации 100 нМ на включение3H-тимидина в FR-положительные клетки KB относительно периода повторения импульсов. Анализ проводили в соответствии с примером способа 3.In FIG. 15 shows the activity of the substance of Example 12 at a concentration of 100 nM for incorporation of3 H-thymidine into FR-positive KB cells relative to the pulse repetition period. The analysis was carried out in accordance with an example of
ПРИМЕР 13EXAMPLE 13
ПРИМЕР 14EXAMPLE 14
| Application Number | Priority Date | Filing Date | Title | 
|---|---|---|---|
| US70995005P | 2005-08-19 | 2005-08-19 | |
| US60/709,950 | 2005-08-19 | ||
| US78755806P | 2006-03-30 | 2006-03-30 | |
| US60/787,558 | 2006-03-30 | ||
| PCT/US2006/032561WO2007022494A2 (en) | 2005-08-19 | 2006-08-18 | Multi-drug ligand conjugates | 
| Application Number | Title | Priority Date | Filing Date | 
|---|---|---|---|
| RU2012136587/15ADivisionRU2012136587A (en) | 2005-08-19 | 2012-08-27 | LIGAND CONJUGATES WITH MULTIPLE MEDICINES | 
| Publication Number | Publication Date | 
|---|---|
| RU2008110495A RU2008110495A (en) | 2009-09-27 | 
| RU2470668C2true RU2470668C2 (en) | 2012-12-27 | 
| Application Number | Title | Priority Date | Filing Date | 
|---|---|---|---|
| RU2008110495/15ARU2470668C2 (en) | 2005-08-19 | 2006-08-18 | Conjugates of ligand and drugs | 
| RU2012136587/15ARU2012136587A (en) | 2005-08-19 | 2012-08-27 | LIGAND CONJUGATES WITH MULTIPLE MEDICINES | 
| Application Number | Title | Priority Date | Filing Date | 
|---|---|---|---|
| RU2012136587/15ARU2012136587A (en) | 2005-08-19 | 2012-08-27 | LIGAND CONJUGATES WITH MULTIPLE MEDICINES | 
| Country | Link | 
|---|---|
| US (3) | US8465724B2 (en) | 
| EP (2) | EP1948241B1 (en) | 
| JP (2) | JP5475992B2 (en) | 
| KR (2) | KR20130113543A (en) | 
| CN (2) | CN103893779A (en) | 
| AU (1) | AU2006279304A1 (en) | 
| BR (1) | BRPI0615354A2 (en) | 
| CA (1) | CA2617660C (en) | 
| ES (1) | ES2468240T3 (en) | 
| RU (2) | RU2470668C2 (en) | 
| WO (1) | WO2007022494A2 (en) | 
| Publication number | Priority date | Publication date | Assignee | Title | 
|---|---|---|---|---|
| RU2798981C2 (en)* | 2017-08-18 | 2023-06-30 | Байли-Байо (Чэнду) Фармасьютикал Ко., Лтд. | Antibody conjugate with non-natural amatoxin | 
| Publication number | Priority date | Publication date | Assignee | Title | 
|---|---|---|---|---|
| DE3831382A1 (en)* | 1988-09-15 | 1990-04-12 | Hoechst Ag | METHOD FOR PRODUCING 2-ALKOXY-Benzenesulfonamide Compounds | 
| DE60231868D1 (en) | 2001-04-24 | 2009-05-20 | Purdue Research Foundation | FOLAT MIMETICS AND THEIR FOLAT RECEPTOR BINDING CONJUGATES | 
| EP2517730A3 (en) | 2003-01-27 | 2013-01-02 | Endocyte, Inc. | Vitamin receptor binding drug delivery conjugates | 
| CN101098854B (en) | 2004-07-23 | 2012-12-05 | 恩多塞特公司 | Bivalent linkers and conjugates thereof | 
| US8044200B2 (en)* | 2005-03-16 | 2011-10-25 | Endocyte, Inc. | Synthesis and purification of pteroic acid and conjugates thereof | 
| AU2006279304A1 (en) | 2005-08-19 | 2007-02-22 | Endocyte, Inc. | Multi-drug ligand conjugates | 
| EP2382995A3 (en)* | 2005-08-19 | 2013-09-25 | Endocyte, Inc. | Ligand conjugates of Vinca alkaloids, analogs and derivatives | 
| WO2008093166A2 (en) | 2006-05-11 | 2008-08-07 | Ghent University | Sialoadhesin-related compositions and methods | 
| ES2704199T3 (en) | 2007-02-16 | 2019-03-14 | Vergell Medical S A | Dual action prodrugs | 
| WO2008101231A2 (en) | 2007-02-16 | 2008-08-21 | Endocyte, Inc. | Methods and compositions for treating and diagnosing kidney disease | 
| EP2129402A2 (en)* | 2007-02-16 | 2009-12-09 | KTB Tumorforschungsgesellschaft mbH | Receptor and antigen targeted prodrug | 
| EP2139523B1 (en)* | 2007-03-14 | 2014-10-22 | Endocyte, Inc. | Conjugates of folate and tubulysin for targeted drug delivery | 
| DK2146944T3 (en) | 2007-04-11 | 2014-02-03 | Merck & Cie | PROCEDURE FOR THE PREPARATION OF 18F LABELED FOLATES | 
| AU2008268432B2 (en) | 2007-06-25 | 2015-01-15 | Endocyte, Inc. | Conjugates containing hydrophilic spacer linkers | 
| US9877965B2 (en) | 2007-06-25 | 2018-01-30 | Endocyte, Inc. | Vitamin receptor drug delivery conjugates for treating inflammation | 
| WO2009012109A2 (en) | 2007-07-13 | 2009-01-22 | Emory University | Cyanine-containing compounds for cancer imaging and treatment | 
| EP4464384A3 (en) | 2007-08-17 | 2025-01-08 | Purdue Research Foundation | Psma binding ligand-linker conjugates and methods for using | 
| US9187521B2 (en) | 2007-10-25 | 2015-11-17 | Endocyte, Inc. | Tubulysins and processes for preparing | 
| CA2737496A1 (en)* | 2008-09-17 | 2010-03-25 | Endocyte, Inc. | Folate receptor binding conjugates of antifolates | 
| WO2010045584A1 (en)* | 2008-10-17 | 2010-04-22 | Endocyte, Inc. | Folate targeting of nucleotides | 
| US8394922B2 (en) | 2009-08-03 | 2013-03-12 | Medarex, Inc. | Antiproliferative compounds, conjugates thereof, methods therefor, and uses thereof | 
| JP5954789B2 (en) | 2009-08-10 | 2016-07-20 | ユーシーエル ビジネス パブリック リミテッド カンパニー | Reversible covalent bonding of functional molecules | 
| WO2011027786A1 (en)* | 2009-09-07 | 2011-03-10 | ニプロパッチ株式会社 | Transdermally absorbable preparation | 
| WO2011069116A1 (en)* | 2009-12-04 | 2011-06-09 | Endocyte, Inc. | Binding ligand linked drug delivery conjugates of tubulysins | 
| US9951324B2 (en) | 2010-02-25 | 2018-04-24 | Purdue Research Foundation | PSMA binding ligand-linker conjugates and methods for using | 
| US20130203680A1 (en)* | 2010-09-27 | 2013-08-08 | Endocyte, Inc. | Folate conjugates for treating inflammation of the eye | 
| ES2661574T3 (en)* | 2010-12-23 | 2018-04-02 | Alkermes Pharma Ireland Limited | Multiple PAF loading prodrugs | 
| WO2012090104A1 (en)* | 2010-12-31 | 2012-07-05 | Kareus Therapeutics, Sa | Methods and compositions for designing novel conjugate therapeutics | 
| WO2013126797A1 (en) | 2012-02-24 | 2013-08-29 | Purdue Research Foundation | Cholecystokinin b receptor targeting for imaging and therapy | 
| US20140080175A1 (en) | 2012-03-29 | 2014-03-20 | Endocyte, Inc. | Processes for preparing tubulysin derivatives and conjugates thereof | 
| MX2015004757A (en)* | 2012-10-16 | 2015-07-17 | Endocyte Inc | Drug delivery conjugates containing unnatural amino acids and methods for using. | 
| US9636413B2 (en) | 2012-11-15 | 2017-05-02 | Endocyte, Inc. | Conjugates for treating diseases caused by PSMA expressing cells | 
| BR112015019432A2 (en) | 2013-02-14 | 2017-08-22 | Bristol Myers Squibb Co | TUBULISIN COMPOUNDS, PRODUCTION METHODS AND USE | 
| DE202014011600U1 (en) | 2013-10-18 | 2023-05-31 | Deutsches Krebsforschungszentrum, Stiftung Des Öffentlichen Rechts | Labeled prostate-specific membrane antigen (PSMA) inhibitors, their use as imaging agents and pharmaceutical agents for the treatment of prostate cancer | 
| JP6464166B2 (en) | 2013-11-14 | 2019-02-06 | エンドサイト・インコーポレイテッドEndocyte, Inc. | Compounds for positron emission tomography | 
| US10077287B2 (en) | 2014-11-10 | 2018-09-18 | Bristol-Myers Squibb Company | Tubulysin analogs and methods of making and use | 
| WO2016089879A1 (en)* | 2014-12-01 | 2016-06-09 | Endocyte, Inc. | Conjugates of garftase inhibitors | 
| US10188759B2 (en) | 2015-01-07 | 2019-01-29 | Endocyte, Inc. | Conjugates for imaging | 
| CN104569416B (en)* | 2015-01-22 | 2016-04-13 | 中国农业大学 | Detect method and the special ELISA reagent kit thereof of rice aspergin B | 
| WO2016148674A1 (en)* | 2015-03-13 | 2016-09-22 | Endocyte, Inc. | Conjugates for treating diseases | 
| WO2016183131A1 (en) | 2015-05-11 | 2016-11-17 | Purdue Research Foundation | Ligand ionophore conjugates | 
| US11571480B2 (en) | 2015-08-11 | 2023-02-07 | Coherent Biopharma I, Limited | Multi-ligand drug conjugates and uses thereof | 
| PE20231049A1 (en) | 2016-03-02 | 2023-07-11 | Eisai Randd Man Co Ltd | ERIBULIN-BASED ANTIBODY-DRUG CONJUGATES AND METHODS FOR THEIR USE | 
| CA3017214A1 (en) | 2016-03-16 | 2017-09-21 | Purdue Research Foundation | Carbonic anhydrase ix targeting agents and methods | 
| EP3429637A4 (en)* | 2016-03-16 | 2020-03-11 | Endocyte, Inc. | CARBOANHYDRASE IX INHIBITOR CONJUGATES AND USES THEREOF | 
| US20190134231A1 (en)* | 2016-04-21 | 2019-05-09 | The Board Of Regents Of The University Of Texas System | Methods and compositions for detecting aneurysms | 
| EP3463367A4 (en)* | 2016-05-25 | 2020-01-29 | Purdue Research Foundation | METHOD FOR TREATING CANCER BY TARGETING MYELOID-DERIVED SUPPRESSOR CELLS | 
| WO2018089481A1 (en)* | 2016-11-08 | 2018-05-17 | Mallinckrodt Llc | Mitomycin c prodrug liposome formulations and uses thereof | 
| CN112368024A (en) | 2018-04-17 | 2021-02-12 | 恩多塞特公司 | Methods of treating cancer | 
| AU2019336230B2 (en) | 2018-09-06 | 2023-09-07 | Cidara Therapeutics, Inc. | Compositions and methods for the treatment of viral infections | 
| TWI861205B (en) | 2019-09-06 | 2024-11-11 | 美商席達拉醫療有限公司 | Compositions and methods for the treatment of viral infections | 
| EP4028392A1 (en)* | 2019-09-09 | 2022-07-20 | Cidara Therapeutics, Inc. | Compositions and methods for the treatment of respiratory syncytial virus | 
| JP2020117509A (en)* | 2020-03-12 | 2020-08-06 | エンドサイト・インコーポレイテッドEndocyte, Inc. | Conjugates for treating diseases | 
| KR20240082410A (en)* | 2021-10-14 | 2024-06-10 | 시젱 하이스코 파마수티칼 씨오., 엘티디. | EphA2 bicyclic peptide ligand and conjugate thereof | 
| Publication number | Priority date | Publication date | Assignee | Title | 
|---|---|---|---|---|
| WO2000066091A1 (en)* | 1999-05-04 | 2000-11-09 | Biotech Australia Pty Limited | Amplification of folate-mediated targeting to tumor cells using polymers | 
| WO2001028592A1 (en)* | 1999-10-15 | 2001-04-26 | Mayo Foundation For Medical Education And Research | Cobalamin conjugates useful as imaging agents and as antitumor agents | 
| WO2004069159A2 (en)* | 2003-01-27 | 2004-08-19 | Endocyte, Inc. | Vitamin receptor binding drug delivery conjugates | 
| US20050165227A1 (en)* | 2002-05-15 | 2005-07-28 | Vlahov Iontcho R. | Vitamin-mitomycin conjugates | 
| Publication number | Priority date | Publication date | Assignee | Title | 
|---|---|---|---|---|
| US2515483A (en) | 1946-08-10 | 1950-07-18 | Merck & Co Inc | Diacylated pteroic acid and process for preparing same | 
| US2816110A (en) | 1956-11-23 | 1957-12-10 | Merck & Co Inc | Methods for the production of substituted pteridines | 
| US3392173A (en) | 1964-03-09 | 1968-07-09 | Lilly Co Eli | Novel acyl derivatives of desacetyl-vincaleukoblastine and processes for their preparation | 
| US3387001A (en) | 1964-10-19 | 1968-06-04 | Lilly Co Eli | Novel aminoacyl esters of desacetyl vincaleukoblastine | 
| US4203898A (en) | 1977-08-29 | 1980-05-20 | Eli Lilly And Company | Amide derivatives of VLB, leurosidine, leurocristine and related dimeric alkaloids | 
| US4166810A (en) | 1978-04-20 | 1979-09-04 | Eli Lilly And Company | Derivatives of 4-desacetyl VLB C-3 carboxyhydrazide | 
| US4337339A (en) | 1979-04-30 | 1982-06-29 | Baker Instruments Corp. | Process for preparation of folic acid derivatives | 
| US4639456A (en) | 1980-06-10 | 1987-01-27 | Omnichem S.A. | Vinblastin-23-oyl amino acid derivatives | 
| US4316885A (en) | 1980-08-25 | 1982-02-23 | Ayerst, Mckenna And Harrison, Inc. | Acyl derivatives of rapamycin | 
| US4713249A (en) | 1981-11-12 | 1987-12-15 | Schroeder Ulf | Crystallized carbohydrate matrix for biologically active substances, a process of preparing said matrix, and the use thereof | 
| US5140104A (en) | 1982-03-09 | 1992-08-18 | Cytogen Corporation | Amine derivatives of folic acid analogs | 
| US4770994A (en)* | 1982-07-30 | 1988-09-13 | Abbott Laboratories | Determination of carbohydrate acceptors | 
| EP0116208B1 (en) | 1982-12-07 | 1988-03-30 | Kyowa Hakko Kogyo Co., Ltd. | Mitomycin analogues | 
| ATE64396T1 (en) | 1983-04-29 | 1991-06-15 | Omnichem Sa | CONJUGATED VINBLASTIN COMPOUNDS AND THEIR DERIVATIVES, PROCESSES FOR THEIR PREPARATION AND PHARMACEUTICAL COMPOSITIONS CONTAINING THEM. | 
| US4866180A (en) | 1984-02-24 | 1989-09-12 | Bristol-Myers Company | Amino disulfide thiol exchange products | 
| JPS60255789A (en) | 1984-06-01 | 1985-12-17 | Kyowa Hakko Kogyo Co Ltd | Mitomycin derivative, its preparation, and antitumor agent | 
| US5266333A (en) | 1985-03-06 | 1993-11-30 | American Cyanamid Company | Water dispersible and water soluble carbohydrate polymer compositions for parenteral administration of growth hormone | 
| US4650803A (en) | 1985-12-06 | 1987-03-17 | University Of Kansas | Prodrugs of rapamycin | 
| IL82579A0 (en) | 1986-05-27 | 1987-11-30 | Lilly Co Eli | Immunoglobulin conjugates | 
| US4801688A (en) | 1986-05-27 | 1989-01-31 | Eli Lilly And Company | Hydrazone immunoglobulin conjugates | 
| WO1988001622A1 (en) | 1986-08-29 | 1988-03-10 | Kyowa Hakko Kogyo Kabusiki Kaisha | Mitomycin derivatives | 
| US5094849A (en) | 1988-08-08 | 1992-03-10 | Eli Lilly And Company | Cytotoxic antibody conjugates of hydrazide derivatized vinca analogs via simple organic linkers | 
| US5006652A (en) | 1988-08-08 | 1991-04-09 | Eli Lilly And Company | Intermediates for antibody-vinca drug conjugates | 
| US5108921A (en) | 1989-04-03 | 1992-04-28 | Purdue Research Foundation | Method for enhanced transmembrane transport of exogenous molecules | 
| US5688488A (en) | 1989-04-03 | 1997-11-18 | Purdue Research Foundation | Composition and method for tumor imaging | 
| JPH03206886A (en) | 1989-11-13 | 1991-09-10 | Green Cross Corp:The | Mouse-human chimera aio antibody having specificity against human tumor cell antigen | 
| US5627165A (en) | 1990-06-13 | 1997-05-06 | Drug Innovation & Design, Inc. | Phosphorous prodrugs and therapeutic delivery systems using same | 
| US5998603A (en) | 1994-09-29 | 1999-12-07 | Isis Pharmaceuticals, Inc. | 4'-desmethyl nucleoside analogs, and oligomers thereof | 
| JPH06502301A (en) | 1990-08-29 | 1994-03-17 | サントル オスピタリエ レジオナル デ ナント | Protein polyligand attached to a stable protein core | 
| US5130307A (en) | 1990-09-28 | 1992-07-14 | American Home Products Corporation | Aminoesters of rapamycin | 
| US5221670A (en) | 1990-09-19 | 1993-06-22 | American Home Products Corporation | Rapamycin esters | 
| US5378696A (en) | 1990-09-19 | 1995-01-03 | American Home Products Corporation | Rapamycin esters | 
| US5233036A (en) | 1990-10-16 | 1993-08-03 | American Home Products Corporation | Rapamycin alkoxyesters | 
| US5120842A (en) | 1991-04-01 | 1992-06-09 | American Home Products Corporation | Silyl ethers of rapamycin | 
| US5100883A (en) | 1991-04-08 | 1992-03-31 | American Home Products Corporation | Fluorinated esters of rapamycin | 
| US5194447A (en) | 1992-02-18 | 1993-03-16 | American Home Products Corporation | Sulfonylcarbamates of rapamycin | 
| US5118678A (en) | 1991-04-17 | 1992-06-02 | American Home Products Corporation | Carbamates of rapamycin | 
| US5138051A (en) | 1991-08-07 | 1992-08-11 | American Home Products Corporation | Rapamycin analogs as immunosuppressants and antifungals | 
| US5118677A (en) | 1991-05-20 | 1992-06-02 | American Home Products Corporation | Amide esters of rapamycin | 
| US5169851A (en) | 1991-08-07 | 1992-12-08 | American Home Products Corporation | Rapamycin analog as immunosuppressants and antifungals | 
| US6335434B1 (en) | 1998-06-16 | 2002-01-01 | Isis Pharmaceuticals, Inc., | Nucleosidic and non-nucleosidic folate conjugates | 
| US5151413A (en) | 1991-11-06 | 1992-09-29 | American Home Products Corporation | Rapamycin acetals as immunosuppressant and antifungal agents | 
| US5159079A (en) | 1991-12-20 | 1992-10-27 | Eli Lilly And Company | 2-piperidones as intermediates for 5-deaza-10-oxo- and 5-deaza-10-thio-5,6,7,8-tetrahydrofolic acids | 
| US6004555A (en) | 1992-03-05 | 1999-12-21 | Board Of Regents, The University Of Texas System | Methods for the specific coagulation of vasculature | 
| US5302584A (en) | 1992-10-13 | 1994-04-12 | American Home Products Corporation | Carbamates of rapamycin | 
| US5258389A (en) | 1992-11-09 | 1993-11-02 | Merck & Co., Inc. | O-aryl, O-alkyl, O-alkenyl and O-alkynylrapamycin derivatives | 
| US5260300A (en) | 1992-11-19 | 1993-11-09 | American Home Products Corporation | Rapamycin carbonate esters as immuno-suppressant agents | 
| CA2161101A1 (en) | 1993-04-23 | 1994-11-10 | Eduardo Gonzalez | Rapamycin conjugates and antibodies | 
| US5391730A (en) | 1993-10-08 | 1995-02-21 | American Home Products Corporation | Phosphorylcarbamates of rapamycin and oxime derivatives thereof | 
| US5385909A (en) | 1993-11-22 | 1995-01-31 | American Home Products Corporation | Heterocyclic esters of rapamycin | 
| US5385910A (en) | 1993-11-22 | 1995-01-31 | American Home Products Corporation | Gem-distributed esters of rapamycin | 
| US5385908A (en) | 1993-11-22 | 1995-01-31 | American Home Products Corporation | Hindered esters of rapamycin | 
| US5389639A (en) | 1993-12-29 | 1995-02-14 | American Home Products Company | Amino alkanoic esters of rapamycin | 
| US5417982A (en) | 1994-02-17 | 1995-05-23 | Modi; Pankaj | Controlled release of drugs or hormones in biodegradable polymer microspheres | 
| IL112873A (en) | 1994-03-08 | 2005-03-20 | Wyeth Corp | Rapamycin-fkbp12 binding proteins, their isolation and their use | 
| US6171859B1 (en) | 1994-03-30 | 2001-01-09 | Mitokor | Method of targeting conjugate molecules to mitochondria | 
| US5362718A (en) | 1994-04-18 | 1994-11-08 | American Home Products Corporation | Rapamycin hydroxyesters | 
| US5463048A (en) | 1994-06-14 | 1995-10-31 | American Home Products Corporation | Rapamycin amidino carbamates | 
| US5491231A (en) | 1994-11-28 | 1996-02-13 | American Home Products Corporation | Hindered N-oxide esters of rapamycin | 
| US5547668A (en) | 1995-05-05 | 1996-08-20 | The Board Of Trustees Of The University Of Illinois | Conjugates of folate anti-effector cell antibodies | 
| US6207157B1 (en) | 1996-04-23 | 2001-03-27 | The United States Of America As Represented By The Department Of Health And Human Services | Conjugate vaccine for nontypeable Haemophilus influenzae | 
| US6030941A (en) | 1996-05-01 | 2000-02-29 | Avi Biopharma, Inc. | Polymer composition for delivering substances in living organisms | 
| AU717020B2 (en) | 1996-05-03 | 2000-03-16 | Immunomedics Inc. | Targeted combination immunotherapy of cancer | 
| DE19621133A1 (en) | 1996-05-24 | 1997-11-27 | Boehringer Mannheim Gmbh | Determination method with oligomerized receptors | 
| CA2264592C (en)* | 1996-08-27 | 2012-02-21 | University Of Utah Research Foundation | Bioconjugates and delivery of bioactive agents | 
| US6056973A (en) | 1996-10-11 | 2000-05-02 | Sequus Pharmaceuticals, Inc. | Therapeutic liposome composition and method of preparation | 
| US6071532A (en) | 1996-10-15 | 2000-06-06 | Emory University | Synthesis of glycophospholipid and peptide-phospholipid conjugates and uses thereof | 
| US6177404B1 (en) | 1996-10-15 | 2001-01-23 | Merck & Co., Inc. | Conjugates useful in the treatment of benign prostatic hyperplasia | 
| WO1999020626A1 (en) | 1997-10-17 | 1999-04-29 | Purdue Research Foundation | Folic acid derivatives | 
| GB9723669D0 (en) | 1997-11-07 | 1998-01-07 | Univ Aberdeen | Skin penetration enhancing components | 
| US6380395B1 (en) | 1998-04-21 | 2002-04-30 | Bristol-Myers Squibb Company | 12, 13-cyclopropane epothilone derivatives | 
| US6093382A (en) | 1998-05-16 | 2000-07-25 | Bracco Research Usa Inc. | Metal complexes derivatized with folate for use in diagnostic and therapeutic applications | 
| US6291684B1 (en) | 1999-03-29 | 2001-09-18 | Bristol-Myers Squibb Company | Process for the preparation of aziridinyl epothilones from oxiranyl epothilones | 
| CN1244376C (en) | 1999-04-23 | 2006-03-08 | 阿尔萨公司 | Releasable bond and composition containing same | 
| AUPQ071299A0 (en) | 1999-06-02 | 1999-06-24 | Access Pharmaceuticals Australia Pty Limited | Vitamin directed dual targeting therapy | 
| CA2383798A1 (en)* | 1999-09-07 | 2001-03-15 | Conjuchem Inc. | Pulmonary delivery for bioconjugation | 
| US7067111B1 (en) | 1999-10-25 | 2006-06-27 | Board Of Regents, University Of Texas System | Ethylenedicysteine (EC)-drug conjugates, compositions and methods for tissue specific disease imaging | 
| ES2276708T3 (en) | 1999-11-24 | 2007-07-01 | Immunogen, Inc. | CYTOTOXIC AGENTS UNDERSTANDING TAXANS AND THERAPEUTIC USE. | 
| HRP20020787B1 (en) | 2000-03-31 | 2012-06-30 | Purdue Research Foundation | TREATMENT PROCEDURE USING THE LIGAND-IMMUNOGEN COMPLEX | 
| US6670355B2 (en) | 2000-06-16 | 2003-12-30 | Wyeth | Method of treating cardiovascular disease | 
| US6290929B1 (en) | 2000-07-28 | 2001-09-18 | The Procter & Gamble Company | Cancer treatment | 
| ATE278421T1 (en) | 2000-08-11 | 2004-10-15 | Wyeth Corp | METHOD FOR TREATING ESTROGEN RECEPTOR POSITIVE CARCINOMA | 
| EP1319008B1 (en) | 2000-09-19 | 2008-10-15 | Wyeth | Water soluble rapamycin esters | 
| US6399625B1 (en) | 2000-09-27 | 2002-06-04 | Wyeth | 1-oxorapamycins | 
| US6399626B1 (en) | 2000-10-02 | 2002-06-04 | Wyeth | Hydroxyesters of 7-desmethylrapamycin | 
| US6440991B1 (en) | 2000-10-02 | 2002-08-27 | Wyeth | Ethers of 7-desmethlrapamycin | 
| EP2316976A1 (en) | 2000-11-28 | 2011-05-04 | Wyeth LLC | Expression analysis of FKBP nucleic acids and polypeptides useful in the diagnosis and treatment of prostate cancer | 
| US20020168737A1 (en)* | 2001-01-24 | 2002-11-14 | Cornish Virginia W. | Binding and catalysis screen for high throughput determination of protein function using chemical inducers of dimerization | 
| CA2442066C (en) | 2001-04-02 | 2005-11-01 | Wyeth | Pd-1, a receptor for b7-4, and uses therefor | 
| AR036993A1 (en) | 2001-04-02 | 2004-10-20 | Wyeth Corp | USE OF AGENTS THAT MODULATE THE INTERACTION BETWEEN PD-1 AND ITS LINKS IN THE SUBMODULATION OF IMMUNOLOGICAL ANSWERS | 
| DE60231868D1 (en) | 2001-04-24 | 2009-05-20 | Purdue Research Foundation | FOLAT MIMETICS AND THEIR FOLAT RECEPTOR BINDING CONJUGATES | 
| US7109165B2 (en) | 2001-05-18 | 2006-09-19 | Sirna Therapeutics, Inc. | Conjugates and compositions for cellular delivery | 
| CA2449077A1 (en) | 2001-06-01 | 2002-12-12 | Gregory D. Vite | Epothilone derivatives | 
| US20040018203A1 (en) | 2001-06-08 | 2004-01-29 | Ira Pastan | Pegylation of linkers improves antitumor activity and reduces toxicity of immunoconjugates | 
| UA77200C2 (en) | 2001-08-07 | 2006-11-15 | Wyeth Corp | Antineoplastic combination of cci-779 and bkb-569 | 
| EP1419154B1 (en) | 2001-08-22 | 2005-10-05 | Wyeth | Rapamycin 29-enols | 
| CA2455311A1 (en) | 2001-08-22 | 2003-03-06 | Wyeth | Rapamycin dialdehydes | 
| DE60234782D1 (en) | 2001-09-28 | 2010-01-28 | Purdue Research Foundation | TREATMENT PROCEDURE WITH LIGAND IMMUNOGENIC CONJUGATES | 
| GR1004163B (en) | 2001-11-01 | 2003-02-21 | Polycarbocyclic derivatives for modification of resist, optical and etch resistance properties | |
| US6595757B2 (en)* | 2001-11-27 | 2003-07-22 | Kuei-Hsien Shen | Air compressor control system | 
| US8043602B2 (en) | 2002-02-07 | 2011-10-25 | Endocyte, Inc. | Folate targeted enhanced tumor and folate receptor positive tissue optical imaging technology | 
| US7000695B2 (en) | 2002-05-02 | 2006-02-21 | Halliburton Energy Services, Inc. | Expanding wellbore junction | 
| DE60330135D1 (en) | 2002-05-06 | 2009-12-31 | Endocyte Inc | Folate receptor directed imaging conjugates | 
| US6596757B1 (en) | 2002-05-14 | 2003-07-22 | Immunogen Inc. | Cytotoxic agents comprising polyethylene glycol-containing taxanes and their therapeutic use | 
| AU2003266233A1 (en) | 2002-07-09 | 2004-01-23 | Morphochem Aktiengesellschaft Fur Kombinatorische Chemie | Novel tubulysin analogues | 
| US20040047917A1 (en)* | 2002-09-06 | 2004-03-11 | Stephen Wilson | Drug delivery and targeting with vitamin B12 conjugates | 
| CA2501752A1 (en) | 2002-10-10 | 2004-04-22 | Wyeth | Compositions, organisms and methodologies employing a novel human kinase | 
| DE10254439A1 (en) | 2002-11-21 | 2004-06-03 | GESELLSCHAFT FüR BIOTECHNOLOGISCHE FORSCHUNG MBH (GBF) | Tubulysins, manufacturing processes and tubulysin agents | 
| CA2506633A1 (en) | 2002-11-21 | 2004-06-10 | Wyeth | Composition and method for treating lupus nephritis | 
| AR042938A1 (en) | 2003-02-06 | 2005-07-06 | Wyeth Corp | USE OF CCI-779 IN THE TREATMENT OF HEPATIC FIBROSIS | 
| WO2004094595A2 (en) | 2003-04-17 | 2004-11-04 | Alnylam Pharmaceuticals Inc. | MODIFIED iRNA AGENTS | 
| WO2004101803A2 (en) | 2003-05-12 | 2004-11-25 | Wyeth Holdings Corporation | Process for producing anticancer agent ll-d45042 | 
| CA2528173A1 (en) | 2003-07-16 | 2005-02-03 | Wyeth | Cci-779 isomer c | 
| ATE365169T1 (en) | 2003-08-07 | 2007-07-15 | Wyeth Corp | REGIOSELECTIVE SYNTHESIS OF CCI-779 | 
| US20060105975A1 (en) | 2004-04-19 | 2006-05-18 | Shannon Pendergrast | Aptamer-mediated intracellular delivery of therapeutic oligonucleotides | 
| CN101098854B (en) | 2004-07-23 | 2012-12-05 | 恩多塞特公司 | Bivalent linkers and conjugates thereof | 
| US7582744B2 (en) | 2004-08-10 | 2009-09-01 | Alnylam Pharmaceuticals, Inc. | Chemically modified oligonucleotides | 
| US8044200B2 (en) | 2005-03-16 | 2011-10-25 | Endocyte, Inc. | Synthesis and purification of pteroic acid and conjugates thereof | 
| EP2199796A1 (en) | 2005-03-30 | 2010-06-23 | Endocyte, Inc. | Method for cancer prognosis using cellular folate vitamin receptor quantification | 
| US20070009434A1 (en) | 2005-07-05 | 2007-01-11 | Low Philip S | Imaging and therapeutic method using monocytes | 
| EP2382995A3 (en) | 2005-08-19 | 2013-09-25 | Endocyte, Inc. | Ligand conjugates of Vinca alkaloids, analogs and derivatives | 
| AU2006279304A1 (en) | 2005-08-19 | 2007-02-22 | Endocyte, Inc. | Multi-drug ligand conjugates | 
| JP2009518289A (en) | 2005-11-21 | 2009-05-07 | メディバス エルエルシー | Polymer particles for delivery of macromolecules and methods of use | 
| AR062448A1 (en) | 2006-05-25 | 2008-11-12 | Endocyte Inc | CONJUGATES OF ANALOGS OF AZIRIDINIL-EPOTILONE AND PHARMACEUTICAL COMPOSITIONS THAT INCLUDE THE SAME | 
| WO2008101231A2 (en) | 2007-02-16 | 2008-08-21 | Endocyte, Inc. | Methods and compositions for treating and diagnosing kidney disease | 
| EP2139523B1 (en) | 2007-03-14 | 2014-10-22 | Endocyte, Inc. | Conjugates of folate and tubulysin for targeted drug delivery | 
| WO2010045598A2 (en) | 2008-10-17 | 2010-04-22 | Purdue Research Foundation | Psma binding ligand-linker conjugates and methods for using | 
| US20120258905A1 (en) | 2009-12-23 | 2012-10-11 | Endocyte, Inc. | Vitamin receptor drug delivery conjugates for treating inflammation | 
| Publication number | Priority date | Publication date | Assignee | Title | 
|---|---|---|---|---|
| WO2000066091A1 (en)* | 1999-05-04 | 2000-11-09 | Biotech Australia Pty Limited | Amplification of folate-mediated targeting to tumor cells using polymers | 
| WO2001028592A1 (en)* | 1999-10-15 | 2001-04-26 | Mayo Foundation For Medical Education And Research | Cobalamin conjugates useful as imaging agents and as antitumor agents | 
| US20050165227A1 (en)* | 2002-05-15 | 2005-07-28 | Vlahov Iontcho R. | Vitamin-mitomycin conjugates | 
| WO2004069159A2 (en)* | 2003-01-27 | 2004-08-19 | Endocyte, Inc. | Vitamin receptor binding drug delivery conjugates | 
| Title | 
|---|
| Ladino CA. et al., "Folate-maytansinoids: target-selective dmgs of low molecular weight." Int J Cancer. 1997 Dec 10; 73(6):859-64.* | 
| Дайсон Г., Мей П. Химия синтетических лекарственных веществ. Пер. с англ. - М.: Мир, 1964. Машковский М.Д. Лекарственные средства. - М.: Новая волна, 2001, т.1.* | 
| Publication number | Priority date | Publication date | Assignee | Title | 
|---|---|---|---|---|
| RU2798981C2 (en)* | 2017-08-18 | 2023-06-30 | Байли-Байо (Чэнду) Фармасьютикал Ко., Лтд. | Antibody conjugate with non-natural amatoxin | 
| RU2840926C2 (en)* | 2017-08-18 | 2025-05-30 | Байли-Байо (Чэнду) Фармасьютикал Ко., Лтд. | Conjugate of antibody with amatoxin of non-natural type | 
| RU2809116C2 (en)* | 2017-09-08 | 2023-12-06 | Байли-Байо (Чэнду) Фармасьютикал Ко., Лтд. | Amantine conjugate with antibody | 
| Publication number | Publication date | 
|---|---|
| RU2008110495A (en) | 2009-09-27 | 
| BRPI0615354A2 (en) | 2011-05-17 | 
| US8465724B2 (en) | 2013-06-18 | 
| CA2617660C (en) | 2014-03-25 | 
| US20130184435A1 (en) | 2013-07-18 | 
| JP2013079248A (en) | 2013-05-02 | 
| KR20080041223A (en) | 2008-05-09 | 
| JP2009504784A (en) | 2009-02-05 | 
| WO2007022494A3 (en) | 2007-09-07 | 
| ES2468240T3 (en) | 2014-06-16 | 
| EP1948241B1 (en) | 2014-03-05 | 
| RU2012136587A (en) | 2014-03-10 | 
| AU2006279304A1 (en) | 2007-02-22 | 
| US20080248052A1 (en) | 2008-10-09 | 
| CA2617660A1 (en) | 2007-02-22 | 
| EP2374480A3 (en) | 2013-05-01 | 
| EP2374480A2 (en) | 2011-10-12 | 
| KR20130113543A (en) | 2013-10-15 | 
| WO2007022494A2 (en) | 2007-02-22 | 
| EP1948241A2 (en) | 2008-07-30 | 
| CN103893779A (en) | 2014-07-02 | 
| CN103893778A (en) | 2014-07-02 | 
| KR101364912B1 (en) | 2014-02-21 | 
| US20140058064A1 (en) | 2014-02-27 | 
| JP5475992B2 (en) | 2014-04-16 | 
| Publication | Publication Date | Title | 
|---|---|---|
| RU2470668C2 (en) | Conjugates of ligand and drugs | |
| US10738086B2 (en) | Conjugates containing hydrophilic spacer linkers | |
| US9555139B2 (en) | Binding ligand linked drug delivery conjugates of tubulysins | |
| EP2382995A2 (en) | Ligand conjugates of Vinca alkaloids, analogs and derivatives | |
| HK40017582A (en) | Conjugates containing hydrophilic spacer linkers | |
| AU2013204293A1 (en) | Multi-drug ligand conjugates | |
| HK1174857A (en) | Binding ligand linked drug delivery conjugates of tubulysins | 
| Date | Code | Title | Description | 
|---|---|---|---|
| MM4A | The patent is invalid due to non-payment of fees | Effective date:20150819 |