




Изобретение относится к радиотехнике, в частности к способам приема многолучевых сигналов в L-диапазоне частот (1,5/1,6 ГГц), и может быть использовано в системах подвижной спутниковой связи, навигации и передачи данных для улучшения качества приема цифровой информации, передаваемой сложными фазоманипулированными сигналами в условиях их отражений, преимущественно от морской поверхности, а также от других видов подстилающей поверхности в отсутствие затеняющих объектов (например, для степи, тундры, снежной равнины и др.).The invention relates to radio engineering, in particular to methods for receiving multipath signals in the L-frequency range (1.5 / 1.6 GHz), and can be used in systems of mobile satellite communications, navigation and data transmission to improve the quality of reception of digital information transmitted complex phase-manipulated signals in the conditions of their reflections, mainly from the sea surface, as well as from other types of the underlying surface in the absence of shading objects (for example, for the steppe, tundra, snow plain, etc.).
При многолучевом распространении принимаемый сигнал испытывает замирания, которые существенно ухудшают условия передачи информации, в результате чего достоверность принятой информации резко ухудшается, а скорость ее передачи падает. Данное обстоятельство обусловливает принципиальную важность учета влияния отражений сигнала от поверхности моря при энергетических расчетах и выборе характеристик радиоканалов спутниковых систем передачи информации, а также разработки методов повышения помехоустойчивости приема замирающих сигналов в таких системах.With multipath propagation, the received signal experiences fading, which significantly worsen the conditions for transmitting information, as a result of which the reliability of the received information sharply deteriorates, and its transmission speed drops. This circumstance determines the fundamental importance of taking into account the influence of signal reflections from the sea surface during energy calculations and selecting the characteristics of the radio channels of satellite information transmission systems, as well as the development of methods to increase the noise immunity of receiving fading signals in such systems.
Известен способ, позволяющий оценивать уровень многолучевых замираний в L-диапазоне вследствие отражений сигнала от поверхности моря [Karasawa Y., Shiokawa T. Characteristics of L-band multipath fading due to sea surface reflection. IEEE Transactions on Antennas and Propagation, 1984, vol.AP-32, №6, pp.618-623), в которых представлено техническое решение для определения энергетических потерь в радиоканале в зависимости от угла места, коэффициента усиления приемной антенны абонентской станции, высоты и наклона морской волны. Данное техническое решение выбрано в качестве первого аналога к заявленному способу.A known method for estimating the level of multipath fading in the L-band due to reflections of the signal from the sea surface [Karasawa Y., Shiokawa T. Characteristics of L-band multipath fading due to sea surface reflection. IEEE Transactions on Antennas and Propagation, 1984, vol. AP-32, No. 6, pp. 618-623), which presents a technical solution for determining energy losses in a radio channel depending on the elevation angle, gain of the receiving antenna of the subscriber station, height and tilt of the sea wave. This technical solution is selected as the first analogue to the claimed method.
Недостатком вышеприведенного первого аналога является то, что он обеспечивает оценку уровня замираний только гармонического сигнала и не учитывает реальную структуру сигналов, используемых в настоящее время в спутниковых системах связи, навигации и передачи данных, и, кроме того, в нем не предлагается метод ослабления влияния замираний в морском спутниковом радиоканале.The disadvantage of the above first analogue is that it provides an estimate of the level of fading only of the harmonic signal and does not take into account the real structure of the signals currently used in satellite communication, navigation and data transmission systems, and, moreover, it does not propose a method of reducing the effect of fading in a marine satellite radio channel.
Известен способ передачи информации в многолучевом канале [Патент RU №2118052 С1, МПК Н04В 7/015 от 25.07.1996 г.], выбранный в качестве второго аналога. В данном техническом решении для ослабления влияния многолучевости в системах связи использованы сложные фазоманипулированные сигналы на основе манипуляции фазы несущей псевдослучайной последовательностью с соответствующим корреляционным преобразованием на приемной стороне. Указанный второй аналог является наиболее близким по совокупности существенных признаков и достигаемому результату и выбран в качестве прототипа к заявленному способу.A known method of transmitting information in a multipath channel [Patent RU No. 2118052 C1, IPC
Недостатком прототипа является то, что он недостаточно эффективен в морских спутниковых системах связи, навигации и передачи данных, поскольку не учитывает специфику морской отражающей поверхности, которая практически всегда находится в движении (взволнована) и поэтому не может быть описана какой-либо регулярной функцией.The disadvantage of the prototype is that it is not effective enough in marine satellite communication, navigation and data transfer systems, since it does not take into account the specifics of the sea reflecting surface, which is almost always in motion (excited) and therefore cannot be described by any regular function.
Технической задачей, на решение которой направлено заявленное изобретение, является достижение существенного ослабления влияния многолучевых замираний в спутниковом радиоканале L-диапазона вследствие отражений сигналов от поверхности моря и, как следствие, повышение помехоустойчивости приема замирающих сигналов в системах подвижной спутниковой связи, навигации и передачи данных.The technical problem to which the claimed invention is directed is to achieve a significant attenuation of the effect of multipath fading in the L-band satellite channel due to reflections of signals from the sea surface and, as a result, increasing the noise immunity of receiving fading signals in mobile satellite communication systems, navigation and data transmission.
Техническим результатом изобретения является повышение помехоустойчивости спутникового радиоканала L-диапазона в условиях отражений сигналов от морской поверхности за счет того, что значения тактовой частоты псевдослучайной последовательности (ПСП) Fт излученного с космического аппарата сложного фазоманипулированного сигнала выбирают исходя из условия обеспечения ослабления влияния замираний при априорных данных о параметрах радиоканала, усредненных за время эксплуатации космического аппарата (КА) и абонентской станции (АС) морского базирования.The technical result of the invention is to increase the noise immunity of a satellite radio channel of the L-band in the conditions of reflections of signals from the sea surface due to the fact that the clock frequency of the pseudorandom sequence (PSP) Ft of the complex phase-shift signal emitted from the spacecraft is selected based on the condition of ensuring the weakening effect of fading at a prior data on the parameters of the radio channel averaged during the operation of the spacecraft (SC) and subscriber station (AS) th home.
Сущность заявленного изобретения заключается в следующем.The essence of the claimed invention is as follows.
Морская поверхность практически всегда находится в движении, т.е. является статистически шероховатой и поэтому описывается с помощью аппарата случайных функций. В этом случае отраженный от такой поверхности сигнал также является случайным, при этом его статистические характеристики существенно зависят от соотношения параметров неровной поверхности и падающих на нее радиоволн [Зубкович С.Г. «Статистические характеристики радиосигналов, отраженных от земной поверхности». М.: Сов. радио, 1968, с.57].The sea surface is almost always in motion, i.e. is statistically rough and is therefore described using the apparatus of random functions. In this case, the signal reflected from such a surface is also random, while its statistical characteristics substantially depend on the ratio of the parameters of the uneven surface and the radio waves incident on it [Zubkovich SG "Statistical characteristics of radio signals reflected from the earth's surface." M .: Sov. Radio, 1968, p. 57].
Критерием шероховатости поверхности служит параметр Релея [Papa R.J., Lennon J.F. The dependence of rough surface scattering on surface height statistics and correlation function. - IEEE Transactions on Antennas and Propagation, 1987, vol.AP-35, №2, p.240]:The criterion for surface roughness is the Rayleigh parameter [Papa R.J., Lennon J.F. The dependence of rough surface scattering on surface height statistics and correlation function. - IEEE Transactions on Antennas and Propagation, 1987, vol. AP-35, No. 2, p. 240]:
, ,
где волновое число в свободном пространстве;Where free space wave number;
λ - длина волны приходящего сигнала;λ is the wavelength of the incoming signal;
hв - среднеквадратическое значение высоты морских волн;hin - the rms value of the height of the sea waves;
θп, θp - соответственно угол падения и угол отражения (рассеяния) падающей волны, измеряемые от вертикального направления, так что, α - угол места космического аппарата.θp , θp are the angle of incidence and the angle of reflection (scattering) of the incident wave, measured from the vertical direction, so , α is the elevation angle of the spacecraft.
При u<<1 поверхность моря практически создает зеркальное когерентное отражение под углом, равным углу падения, а при u>>1 рассеивает энергию падающего сигнала по всем направлениям. В этом случае отражение от поверхности представляет собой некогерентное рассеяние, т.е. случайный процесс с распределением, зависящим от ее статистических характеристик.For u << 1, the sea surface practically creates a mirror coherent reflection at an angle equal to the angle of incidence, and for u >> 1 it scatters the energy of the incident signal in all directions. In this case, reflection from the surface is incoherent scattering, i.e. random process with a distribution depending on its statistical characteristics.
Морская волна в общем случае состоит из основной (первичной) волны и наложенных на нее более коротких (вторичных) волн (фиг.3). Однако поскольку в L-диапазоне параметр Релея, характеризующий степень шероховатости поверхности, для вторичных волн значительно меньше, чем для основной, их влиянием на основную волну можно пренебречь. Кроме того, будем считать, что поверхность моря является однородно шероховатой, т.е. все ее участки имеют одинаковые характеристики высот. В этом случае значение hв одинаково по всей поверхности.A sea wave in the general case consists of a main (primary) wave and shorter (secondary) waves superimposed on it (Fig. 3). However, since in the L-range the Rayleigh parameter characterizing the degree of surface roughness is much smaller for secondary waves than for the main one, their influence on the main wave can be neglected. In addition, we assume that the surface of the sea is uniformly rough, i.e. all its sections have the same height characteristics. In this case, the value of his the same over the entire surface.
Когда неровности имеют большие по сравнению с длиной волны размеры (hв>λ/4) и пологие склоны, а затенение одних элементов поверхности другими отсутствует, как это имеет место в L-диапазоне, для расчета отраженного поля можно использовать метод, основанный на приближении Кирхгофа [см. указанную выше книгу Зубковича С.Г., с.35]. В этом случае закономерности формирования отраженного сигнала могут быть описаны методами геометрической оптики и суперпозиции элементарных отражений от множества отдельных плоскостей, касательных к поверхности морской волны в соответствующих ее точках.When irregularities are large in comparison with the wavelength (hin > λ / 4) and gentle slopes, and there is no shadowing of some surface elements with others, as is the case in the L-range, we can use the approximation-based method to calculate the reflected field Kirchhoff [see the above book of Zubkovich S.G., p.35]. In this case, the patterns of formation of the reflected signal can be described by geometric optics and by superposition of elementary reflections from many separate planes tangent to the surface of the sea wave at its corresponding points.
Случайными параметрами, характеризующими состояние поверхности моря, являются высота гребней морских волн и их наклон относительно линии горизонта, задаваемые среднеквадратическими значениями hв и βв, а также интервал корреляции поверхности l0, т.е. такое расстояние между точками случайной поверхности, при котором статистическая связь между ними становится пренебрежимо малой.Random parameters characterizing the state of the sea surface are the height of the crests of the sea waves and their slope relative to the horizon, given by the rms values of hin and βin , as well as the correlation interval of the surface l0 , i.e. such a distance between points of a random surface at which the statistical relationship between them becomes negligible.
Величина неровностей характеризуется высотой Н их максимального размаха от подножия до вершины. В океанологии для разных типов волн отношение hв/Н принимают равным 0,19-0,24 [см. упомянутую выше книгу Зубковича С.Г., с.70], откуда следует, что высота волны Н связана с hвсоотношением. В дальнейшем используется соотношение H=4hв.The size of the irregularities is characterized by the height H of their maximum range from the foot to the top. In oceanology, for different types of waves, the ratio hin / N is taken equal to 0.19-0.24 [see the above-mentioned book of Zubkovich SG, p. 70], whence it follows that the wave height H is related to hin the ratio . In what follows, the ratio H = 4hin .
Среднеквадратическое отклонение наклона морской волны βв определяется на основании приведенных в литературе статистических данных о мировом океане, собранных в течение длительного периода времени. Так, в случае, когда высота волны Н изменяется от 1 до 4 м, которая преобладает большую часть времени, среднеквадратическое значение наклона морских волн меняется в пределах 0,04-0,07 [Karasawa Y., Shiokawa Т., Characteristics of L-band multipath fading due to sea surface reflection. - IEEE Transactions on Antennas and Propagation, 1984, vol.AP-32, No.6, p.620].The standard deviation of the tilt of the sea wave βin is determined on the basis of statistical data on the oceans collected in a literature over a long period of time. So, in the case when the wave height H varies from 1 to 4 m, which prevails most of the time, the rms value of the slope of the sea waves varies between 0.04-0.07 [Karasawa Y., Shiokawa T., Characteristics of L- band multipath fading due to sea surface reflection. - IEEE Transactions on Antennas and Propagation, 1984, vol. AP-32, No.6, p.620].
Уровень замираний Fd принимаемого сигнала вследствие его отражений от поверхности моря определяется из следующего уравнения:The fade level Fd of the received signal due to its reflections from the sea surface is determined from the following equation:
, ,
где p - вероятность, с которой в течение сеанса связи уровень замираний в радиоканале не превышает полученное расчетное значение;where p is the probability with which during the communication session the level of fading in the radio channel does not exceed the calculated value;
- плотность распределения вероятностей нормированной огибающей Uфл флюктуирующего сигнала, поступающего на корабельную антенну, - the probability distribution density of the normalized envelope Ufl fluctuating signal supplied to the ship's antenna,
где φ - разность фаз вследствие разности хода между прямым сигналом Uп и когерентной компонентой Uк отраженного сигнала;where φ is the phase difference due to the path difference between the direct signal Up and the coherent component Uk of the reflected signal;
I0(x) - модифицированная функция Бесселя нулевого порядка;I0 (x) is the modified zero-order Bessel function;
- нормированная амплитуда когерентной составляющей отраженного сигнала, - the normalized amplitude of the coherent component of the reflected signal,
гдеWhere
- нормированная величина напряжения на выходе коррелятора в интервале (0,τ0);is the normalized voltage value at the output of the correlator in the interval (0, τ0 );
τ0=1/Fт - длительность элемента сложного фазоманипулированного сигнала;τ0 = 1 / Ft - the duration of the element of the complex phase-manipulated signal;
Fт - тактовая частота псевдослучайной последовательности;Ft - the clock frequency of the pseudo-random sequence;
Бc=Fт/Rт - база сложного фазоманипулированного сигнала;Bc = Ft / Rt - the base of a complex phase-shifted signal;
Rт - скорость передачи информации в канале;Rt - the speed of information transmission in the channel;
τ=Lx/c - задержка прихода отраженного сигнала на вход приемника из-за разности хода между прямым и отраженным сигналами до точки приема;τ = Lx / c is the delay in the arrival of the reflected signal to the input of the receiver due to the travel difference between the direct and reflected signals to the receiving point;
c - скорость распространения электромагнитных колебаний;c is the propagation velocity of electromagnetic waves;
- разность хода между прямым и отраженным сигналами до точки приема; - the path difference between the direct and reflected signals to the receiving point;
θa - угол между направлением на космический аппарат и направлением прихода отраженного сигнала;θa is the angle between the direction to the spacecraft and the direction of arrival of the reflected signal;
- расстояние между приемной антенной и элементарной площадкой отражения; - the distance between the receiving antenna and the elementary reflection platform;
Нa - высота установки антенны над средним уровнем моря;Ha - antenna installation height above mean sea level;
G(2α) - коэффициент усиления приемной антенны в направлении точки зеркального отражения относительно направления на космический аппарат;G (2α) is the gain of the receiving antenna in the direction of the specular reflection point relative to the direction to the spacecraft;
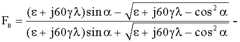
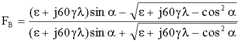
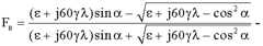
F(θп) - коэффициент отражения Френеля от поверхности моря для волн с круговой поляризацией в L-диапазоне.F (θp ) is the Fresnel reflection coefficient from the sea surface for waves with circular polarization in the L-band.
Волну с круговой поляризацией можно представить в виде двух линейно поляризованных волн, амплитуды которых равны, плоскости поляризации взаимно перпендикулярны, а фазы сдвинуты на угол π/2. В качестве ортогональных компонент сигнала используются составляющие вертикальной и горизонтальной поляризации, для которыхA circularly polarized wave can be represented as two linearly polarized waves, whose amplitudes are equal, the plane of polarization is mutually perpendicular, and the phases are shifted by an angle π / 2. As the orthogonal components of the signal, vertical and horizontal polarization components are used, for which
в этом случае ортогональные составляющие комплексного коэффициента отражения Френеля определяются по известным формулам:in this case, the orthogonal components of the complex Fresnel reflection coefficient are determined by known formulas:
- вертикальная составляющая; - vertical component;
- горизонтальная составляющая, - horizontal component
где ε - диэлектрическая проницаемость морской воды;where ε is the dielectric constant of sea water;
γ - удельная проводимость морской воды [См/м].γ is the specific conductivity of sea water [S / m].
Дисперсия нормированной некогерентной компоненты отраженного сигналаDispersion of the normalized incoherent component of the reflected signal
, ,
где φp - угол рассеяния в горизонтальной плоскости;where φp is the scattering angle in the horizontal plane;
А - площадь отражающего участка поверхности моря;A is the area of the reflecting section of the sea surface;
- удельная эффективная площадь рассеяния поверхности моря, - specific effective area of dispersion of the sea surface,
где;Where ;
- дисперсия наклона морской волны; - variance of the slope of the sea wave;
S(θп,θp) - функция затенения приходящего сигнала морскими волнами [Smith В.G. Geometrical shadowing of a random rough surface. - IEEE Transactions on Antennas and Propagation, 1967, vol.AP-15, №5, p.671].S (θp , θp ) is the function of shading the incoming signal by sea waves [Smith B.G. Geometrical shadowing of a random rough surface. - IEEE Transactions on Antennas and Propagation, 1967, vol. AP-15, No. 5, p.671].
Таким образом, заявленный способ позволяет оценивать уровень многолучевых замираний Fd в спутниковом радиоканале L-диапазона (фиг.4), а также определять такие значения тактовой частоты псевдослучайной последовательности Fт сложного фазоманипулированного сигнала, при которых обеспечивается существенное ослабление влияния замираний в канале связи (фиг.5) и, как следствие, повышение его помехоустойчивости в условиях отражений от морской поверхности.Thus, the claimed method allows to evaluate the level of multipath fading Fd in the satellite radio channel of the L-band (figure 4), as well as to determine such values of the clock frequency of the pseudorandom sequence Ft complex phase-shift signal, which provides a significant reduction of the effect of fading in the communication channel (Fig .5) and, as a consequence, an increase in its noise immunity under conditions of reflections from the sea surface.
Значения параметров радиоканала по первому варианту изобретения выбирают в результате усреднения их значений за время функционирования КА и АС морского базирования, а по второму варианту - в результате измерения их значений.The values of the parameters of the radio channel according to the first embodiment of the invention are selected as a result of averaging their values during the operation of the spacecraft and sea-based speakers, and according to the second embodiment, as a result of measuring their values.
Устройства (заявитель не претендует на их защиту - прим. заявителя) для осуществления вариантов заявленного способа передачи информации в условиях отражений поясняются следующими фигурами:Devices (the applicant does not claim to protect them - approx. The applicant) for implementing variants of the claimed method of transmitting information in the conditions of reflections are illustrated by the following figures:
- на фиг.1 представлена общая структурная схема устройства для осуществления заявленного способа передачи информации в условиях отражений по пп.1, 2 формулы;- figure 1 presents the General structural diagram of a device for implementing the claimed method of transmitting information under reflection conditions according to
- на фиг.2 представлена структурная схема устройства передачи информации в условиях отражений, реализующего заявленный способ по п.3 формулы;- figure 2 presents a structural diagram of a device for transmitting information in the conditions of reflections that implements the claimed method according to
- на фиг.3 представлена модель морской волны;- figure 3 presents a model of a sea wave;
- на фиг.4 приведена качественная зависимость уровня замираний Fd от угла места α для случая взволнованной поверхности моря (H=1 м) при βb=0,04-0,07;- figure 4 shows the qualitative dependence of the level of fading Fd from elevation angle α for the case of an excited sea surface (H = 1 m) with βb = 0.04-0.07;
- на фиг.5 качественно показано ослабление влияния отражений в морском спутниковом канале L-диапазона при использовании сложных фазоманипулированных сигналов с тактовой частотой псевдослучайной последовательности Fт.- figure 5 shows qualitatively the attenuation of the influence of reflections in the marine satellite channel of the L-band when using complex phase-shifted signals with a clock frequency of the pseudo-random sequence Ft .
Устройство для осуществления заявленного способа по пп.1, 2 формулы содержит блок 1 формирования и излучения сложного фазоманипулированного сигнала с тактовой частотой псевдослучайной последовательности Fт, выполненный с возможностью генерации псевдослучайной последовательности с тактовой частотой Fт и блок 2 приема и обработки сложного фазоманипулированного сигнала с тактовой частотой псевдослучайной последовательности Fт, выполненный с возможностью генерации псевдослучайной последовательности с тактовой частотой Fт (фиг.1).A device for implementing the inventive method according to
Устройство, реализующее заявленный способ по п.3 формулы и изображенное на фиг.2, дополнительно содержит пульт управления 3 тактовой частотой псевдослучайной последовательности Fт, аппаратуру линии связи 4, вычислительный блок 5, измеритель 6 высоты морской волны H, измеритель 7 наклона морской волны относительно линии горизонта βв и измеритель 8 угла места космического аппарата α.A device that implements the claimed method according to
Блок 1 формирования и излучения сложного фазоманипулированного сигнала с тактовой частотой псевдослучайной последовательности Fт на космическом аппарате формирует и излучает сложный фазоманипулированный сигнал с тактовой частотой псевдослучайной последовательности Fт и выполнен с возможностью генерации ПСП с тактовой частотой Fт.The
Блок 2 приема и обработки сложного фазоманипулированного сигнала с тактовой частотой псевдослучайной последовательности Fт на абонентской станции морского базирования осуществляет прием и обработку сложного фазоманипулированного сигнала с тактовой частотой псевдослучайной последовательности Fт и выполнен с возможностью генерации ПСП с тактовой частотой Fт.The
Пульты управления 3 тактовой частотой ПСП Fт подключены к управляющим входам блока 1 формирования и излучения сложного фазоманипулированного сигнала с тактовой частотой псевдослучайной последовательности Fт и блока 2 приема и обработки сложного фазоманипулированного сигнала с тактовой частотой псевдослучайной последовательности Fт на КА и АС соответственно. Пульты управления формируют команды (управляющие сигналы), подаваемые на управляющие входы блоков 1 и 2 для выработки значения тактовой частоты псевдослучайной последовательности Fтi, где i=1, 2…N, N - число состояний канала связи, с помощью управляемых генераторов ПСП, входящих в состав блоков 1 и 2, на основании вычисления Fтi, произведенного вычислительным блоком 5. (Вышеуказанные управляемые генераторы ПСП не показаны на фиг.1 и 2, поскольку, по мнению заявителя, в этом нет необходимости - примечание заявителя.
Вычислительный блок 5 рассчитывает значения тактовой частоты псевдослучайной последовательности Fтi, соответствующие конкретным состояниям радиоканала, которые имеют место при различных местоположениях космического аппарата и абонентской станции морского базирования и априорных данных о параметрах радиоканала - высоте морской волны Н, наклоне морской волны относительно линии горизонта βв и угле места космического аппарата α, усредненных за время функционирования КА и АС морского базирования или их измеренных значениях.
Аппаратура линии связи 4, размещенная на космическом аппарате или абонентской станции морского базирования и связывающая пульты управления 3 частотой ПСП Fт на КА и на АС морского базирования, выполнена с возможностью осуществления передачи информации о значениях тактовой частоты псевдослучайной последовательности Fтi. При этом в качестве аппаратуры линии связи может быть использована штатная радиолиния передачи информации. Таким образом обеспечивается оперативная перестройка значений тактовой частоты Fт во время штатного режима работы при изменении местоположения космического аппарата и/или абонентской станции морского базирования.The equipment of the
Функционирование устройства в динамическом режиме, реализующее заявленный способ по п.3 формулы, заключается в следующем.The functioning of the device in dynamic mode, which implements the claimed method according to
Измеритель 6 высоты морской волны Н, измеритель 7 наклона морской волны βв и измеритель 8 угла места космического аппарата α измеряют указанные параметры H, βв и α соответственно. На основе измерения указанных параметров вычислительный блок 5 рассчитывает значения тактовой частоты псевдослучайной последовательности Fтi, соответствующие конкретным состояниям радиоканала, которые имеют место при различных местоположениях космического аппарата и абонентской станции морского базирования.The
Покажем возможность осуществления изобретения, т.е. возможность его промышленного применения.We show the possibility of carrying out the invention, i.e. the possibility of its industrial application.
Блоки 1 формирования и излучения сложного фазоманипулированного сигнала с тактовой частотой ПСП Fт и 2 приема и обработки сложного фазоманипулированного сигнала с тактовой частотой ПСП Fт известны из прототипа или из нижеуказанных источников информации: Варакин Л.Е. «Системы связи с шумоподобными сигналами». - М.: Радио и связь, 1985, с.329-343; «Глобальная навигационная система NAVSTAR». - «Зарубежная радиоэлектроника», 1980, №8, с.59-63.
Покажем правило (метод), с помощью которого могут быть получены пульт управления 3 частотой псевдослучайной последовательности Fт и управляемый генератор ПСП.We show a rule (method) by which a
Пульт управления 3 частотой ПСП Fт, задачей которого является выбор значения тактовой частоты Fт, в простейшем случае представляет формирователь управляющего сигнала, например значения напряжения, подаваемого на управляющие входы блоков 1 и 2, а конкретно - на управляющие входы генераторов ПСП. Этот управляющий сигнал (значение напряжения), поступающий, например, на варикап задающего кварцевого генератора, входящего в состав управляемого генератора ПСП, изменяет его тактовую частоту до требуемого значения (см., например, Альтшуллер Г.Б. и др. «Кварцевые генераторы». - М.: Радио и связь, 1984, с.145-150). Возможно и иное техническое решение для изменения тактовой частоты ПСП, описанное, например, в книге Голембо В.А., Котляров В.Л., Швецкий Б.М. «Пьезокварцевые амплитудно-цифровые преобразователи температуры». - Львов: ЛГУ, 1977, с.171 и заключающееся в использовании управляемого делителя частоты, т.е. делителя частоты с произвольным коэффициентом деления. Отметим, что указанный делитель функционирует с управляющим сигналом в виде двоичного кода, поэтому в данном случае пульт управления 3 частотой ПСП Fт должен формировать команды управления в двоичном коде (или иметь в своем составе амплитудно-цифровой преобразователь для преобразования постоянного управляющего напряжения в двоичный код). Указанный делитель частоты может быть установлен на выходе управляемого генератора ПСП, устанавливая таким образом требуемое значение тактовой частоты Fт.The
По существу, управляемые генераторы ПСП известны и широко используются: см., например, патент RU №1840447 А1, МПК Н04В 5/02 от 28.05.1979 г., патент RU №1840167 А1, МПК Н04М 13/00, H04L 7/00 от 22.01.1985 г.Essentially, controlled PSP generators are known and widely used: see, for example, patent RU No. 1840447 A1,
Однако в указанных источниках информации недостаточно полно раскрыта их структура, поэтому заявитель для конкретности и привел очевидное правило (метод) построения такого управляемого генератора ПСП.However, in the indicated sources of information their structure is not fully disclosed, therefore the applicant, for concreteness, also cited the obvious rule (method) for constructing such a controlled generator of bandwidth.
Аппаратура линии связи 5, обеспечивающая передачу информации о значениях тактовой частоты ПСП Fтi, известна, см., например, источники информации: Пенин П.И. «Системы передачи цифровой информации». Учебное пособие для вузов. - М.: Сов. радио, 1976, с.342-345; Спилкер Дж. «Цифровая спутниковая связь». Пер. с англ. - М.: Связь, 1979, с.15-21.The equipment of the
Вычислительный блок 5, обеспечивающий вычисление значений тактовой частоты ПСП Fтi, охарактеризован в материалах заявки на функциональном уровне, и его реализация предполагает использование программируемого средства. Такие программируемые средства известны: персональный компьютер, ЭВМ, см., например, источники информации: Пятибратов А.П., Гудыно Л.П., Кириченко А.А. «Вычислительные системы, сети и коммуникации». - М.: Финансы и статистика. 2004, с.1-273; Пул Л. «Работа на персональном компьютере». Пер. с англ. - М.: Мир, 1986, с.73-88.The
Измеритель 6 высоты морской волны Н известен: см., например, Загородников А.А. «Радиолокационная съемка морского волнения». - Л.: Гидрометеоиздат, 1978, с.141-158; Ванаев А.П., Чернявец В.В. «Определение параметров волнения совмещенной системой измерения скорости судна и высоты волн». - «Судостроение», 1993, №8-9, с.6-8; патент RU №2328757 С2, МПК G01W 1/04, G01C 13/00, В63В 22/00 от 04.09.2006 г.The measuring
Измеритель 7 наклона морской волны βв известен: см., например, патент RU №2231033 С2, МПК G01L 11/00, G01P 5/00 от 17.09.2002 г.; патент RU №2328757 С2, МПК G01W 1/04, G01C 13/00, В63В 22/00 от 04.09.2006 г.The measure of the inclination of the sea wave βin is known: see, for example, patent RU No. 2231033 C2, IPC G01L 11/00,
Измеритель 8 угла места космического аппарата α представляет собой радиопеленгатор (см., например, «Справочник по радиоэлектронным системам». Под ред. Б.X.Кривицкого, т.2. - М.: Энергия, 1979, с.165-169); патент RU №2144200 С1, МПК G01S 3/14, G01S 3/74 от 17.06.1999 г.The measuring
| Application Number | Priority Date | Filing Date | Title | 
|---|---|---|---|
| RU2011112491/07ARU2461124C1 (en) | 2011-04-04 | 2011-04-04 | Method of information transfer in conditions of reflections (versions) | 
| Application Number | Priority Date | Filing Date | Title | 
|---|---|---|---|
| RU2011112491/07ARU2461124C1 (en) | 2011-04-04 | 2011-04-04 | Method of information transfer in conditions of reflections (versions) | 
| Publication Number | Publication Date | 
|---|---|
| RU2461124C1true RU2461124C1 (en) | 2012-09-10 | 
| Application Number | Title | Priority Date | Filing Date | 
|---|---|---|---|
| RU2011112491/07ARU2461124C1 (en) | 2011-04-04 | 2011-04-04 | Method of information transfer in conditions of reflections (versions) | 
| Country | Link | 
|---|---|
| RU (1) | RU2461124C1 (en) | 
| Publication number | Priority date | Publication date | Assignee | Title | 
|---|---|---|---|---|
| US4901307A (en)* | 1986-10-17 | 1990-02-13 | Qualcomm, Inc. | Spread spectrum multiple access communication system using satellite or terrestrial repeaters | 
| US5161248A (en)* | 1989-10-02 | 1992-11-03 | Motorola, Inc. | Method of predicting cell-to-cell hand-offs for a satellite cellular communications system | 
| US5233626A (en)* | 1992-05-11 | 1993-08-03 | Space Systems/Loral Inc. | Repeater diversity spread spectrum communication system | 
| US5237586A (en)* | 1992-03-25 | 1993-08-17 | Ericsson-Ge Mobile Communications Holding, Inc. | Rake receiver with selective ray combining | 
| RU2118052C1 (en)* | 1996-07-25 | 1998-08-20 | Андрей Константинович Морозов | Method and device for information transmission in multiple beam channel | 
| RU2153226C2 (en)* | 1995-06-06 | 2000-07-20 | Глоубалстар Л.П. | Device for controlling distributed signal transmission system using satellite retransmitters | 
| RU2192709C2 (en)* | 2000-11-30 | 2002-11-10 | Гармонов Александр Васильевич | Method and device for receiving multiple-beam signals in code-division multiple access communication system | 
| RU2348560C1 (en)* | 2007-06-14 | 2009-03-10 | Виктор Иванович Дикарев | Device for combined radio communication and radio navigation and device to this end for rail way transport | 
| Publication number | Priority date | Publication date | Assignee | Title | 
|---|---|---|---|---|
| US4901307A (en)* | 1986-10-17 | 1990-02-13 | Qualcomm, Inc. | Spread spectrum multiple access communication system using satellite or terrestrial repeaters | 
| US5161248A (en)* | 1989-10-02 | 1992-11-03 | Motorola, Inc. | Method of predicting cell-to-cell hand-offs for a satellite cellular communications system | 
| US5237586A (en)* | 1992-03-25 | 1993-08-17 | Ericsson-Ge Mobile Communications Holding, Inc. | Rake receiver with selective ray combining | 
| US5233626A (en)* | 1992-05-11 | 1993-08-03 | Space Systems/Loral Inc. | Repeater diversity spread spectrum communication system | 
| RU2153226C2 (en)* | 1995-06-06 | 2000-07-20 | Глоубалстар Л.П. | Device for controlling distributed signal transmission system using satellite retransmitters | 
| RU2118052C1 (en)* | 1996-07-25 | 1998-08-20 | Андрей Константинович Морозов | Method and device for information transmission in multiple beam channel | 
| RU2192709C2 (en)* | 2000-11-30 | 2002-11-10 | Гармонов Александр Васильевич | Method and device for receiving multiple-beam signals in code-division multiple access communication system | 
| RU2348560C1 (en)* | 2007-06-14 | 2009-03-10 | Виктор Иванович Дикарев | Device for combined radio communication and radio navigation and device to this end for rail way transport | 
| Publication | Publication Date | Title | 
|---|---|---|
| EP0619024B1 (en) | Correlation sonar system | |
| Braasch | Multipath | |
| Counselman et al. | Miniature interferometer terminals for earth surveying: ambiguity and multipath with global positioning system | |
| US20120050103A1 (en) | Synthetic aperture device for receiving signals of a system comprising a carrier and means for determining its trajectory | |
| CN107607914B (en) | Modeling method for ultra-low-altitude target and multipath echo of missile-borne PD system radar | |
| CN110988884A (en) | Medium latitude ionosphere detection method based on high-frequency ground wave radar | |
| Calvert et al. | The feasibility of radio sounding in the magnetosphere | |
| Tsutsumi et al. | Meteor observations with an MF radar | |
| RU2461124C1 (en) | Method of information transfer in conditions of reflections (versions) | |
| Carey et al. | Sound transmission and spatial coherence in selected shallow-water areas: measurements and theory | |
| CN113359204A (en) | Underwater gravity field inversion method and system based on GNSS-R pseudo-random noise code delay | |
| Yang et al. | Ionospheric Clutter Model for HF Sky‐Wave Path Propagation with an FMCW Source | |
| Essen et al. | Measurement of ocean wave height and direction by means of HF radar: An empirical approach | |
| Ansari et al. | A hardware-in-loop simulation test-bed for navic reflectometry experiments | |
| James | Effects on transionospheric HF propagation observed by ISIS at middle and auroral latitudes | |
| Di Martino et al. | Results of the first Italian planetary radar experiment | |
| Cui et al. | Retrieval of ocean wave characteristics from K-band radar | |
| Titchenko et al. | New Opportunities for Multistatic Remote Sensing Of Water Surface Using Receivers with Different Antenna Patterns | |
| Vertogradov et al. | Oblique sounding and modeling of the ionospheric HF channel | |
| US20250293430A1 (en) | Method and apparatus for processing radio signals | |
| Xu et al. | Signal carrier frequency variation approach for GEO satellite multipath mitigation in the BDS | |
| RU2071080C1 (en) | Amplitude direction finder | |
| JPH03272487A (en) | Space floating object detection method | |
| Ravan et al. | Modeling the received signal for the canadian over-the-horizon-radar | |
| Kulik et al. | About Presicion of Underwater Vehicles Location Using Underwater Acoustic Modems | 
| Date | Code | Title | Description | 
|---|---|---|---|
| PD4A | Correction of name of patent owner |