



Настоящее изобретение относится к сетям радиодоступа. Это могут быть сети широкополосного радиодоступа стандарта IEEE802.16 (WiMAX) или другие сети, разворачиваемые с целью организации временной сети фиксированного или мобильного радиодоступа в полевых условиях. Такие временные сети радиодоступа обычно разворачиваются в зонах строительства, газо- и нефтеразработок, при проведении различных работ, когда все абоненты в зоне покрытия такой сети должны получать доступ к централизованной информации и обмениваться информацией друг с другом.The present invention relates to radio access networks. These can be IEEE802.16 (WiMAX) standard broadband radio access networks or other networks deployed with the aim of organizing a temporary fixed or mobile radio access network in the field. Such temporary radio access networks are usually deployed in the areas of construction, gas and oil exploration, during various operations, when all subscribers in the coverage area of such a network must access centralized information and exchange information with each other.
Заявленный способ может быть использован при создании автоматизированных программных комплексов планирования сетей радиодоступа на основе цифровых карт местности (ЦКМ). Такие программные комплексы позволят определять оптимальные координаты размещения базовых станций, при которых обеспечивается максимально эффективное покрытие, т.е. минимальное количество т.н. «мертвых зон» (зон с неустойчивым покрытием). Это позволит улучшить качество покрытия (которое выражается в большем отношении сигнал/шум и, как следствие, лучшем качестве связи).The claimed method can be used to create automated software systems for planning radio access networks based on digital terrain maps (CCM). Such software systems will determine the optimal coordinates for the placement of base stations, which provide the most effective coverage, i.e. minimum quantity of so-called "Dead zones" (areas with unstable coverage). This will improve the quality of coverage (which is expressed in a greater signal-to-noise ratio and, as a result, better communication quality).
При планировании сети радиодоступа основным принципом является сотовый принцип размещения базовых станций. Как правило, базовая станция имеет антенну с круговой диаграммой направленности. При составлении частотно-территориального плана сети пользуются идеальной моделью, аппроксимирующей зону покрытия круга.When planning a radio access network, the basic principle is the cellular principle of placing base stations. Typically, the base station has a circular antenna. In drawing up the frequency-territorial plan, the networks use the ideal model that approximates the coverage area of the circle.
Однако распространение радиоволн в условиях пересеченной местности имеет более сложный характер, чем распространение радиоволн в открытом пространстве. Это связано с эффектом затенения, с отражением радиоволн от препятствий под разными углами и наложением отраженных волн и основной волны в пространстве. В результате получается сложная картина распределения поля: максимумы напряженности поля чередуются с минимумами. Вследствие этого имеет место неравномерное покрытие, т.е. зона покрытия базовой станции представляет собой не круг (фиг.1).However, the propagation of radio waves in rough terrain is more complex than the propagation of radio waves in open space. This is due to the shading effect, with the reflection of radio waves from obstacles at different angles and the overlap of reflected waves and the main wave in space. The result is a complex picture of the field distribution: field strength maxima alternate with minima. As a result of this, uneven coverage, i.e. the coverage area of the base station is not a circle (figure 1).
Для планирования сетей радиодоступа существуют специальные программные комплексы, в которых используются цифровые карты местности.For planning radio access networks, there are special software systems that use digital terrain maps.
Известны специальные программные комплексы планирования сетей радиодоступа на основе цифровых карт местности, такие как RPLS (Radio PLanning System), RAPAN (Radio Planning & ANalysis) и другие. Такие программные комплексы используют цифровые карты местности, созданные в распространенных геоинформационных системах (ГИС), таких как Mapinfo, Arcinfo, Панорама и другие. Для расчетов зон покрытия в этих программных комплексах используются эмпирические модели распространения радиоволн, например, такие как модель "Окамура-Хата", "Ли" и другие, описанные, например, в книге Radio Propagation for Modern Wireless Systems, Henry L.Bertoni, Prentice Hall Professional Technical Reference, 1999, ISBN: 0130263737.Special software packages for planning radio access networks based on digital terrain maps are known, such as RPLS (Radio PLanning System), RAPAN (Radio Planning & ANalysis) and others. Such software systems use digital terrain maps created in common geographic information systems (GIS), such as Mapinfo, Arcinfo, Panorama and others. To calculate the coverage areas in these software systems, empirical models of radio wave propagation are used, for example, such as the Okamura-Khata, Lee models and others, described, for example, in the book Radio Propagation for Modern Wireless Systems, Henry L. Bertoni, Prentice Hall Professional Technical Reference, 1999, ISBN: 0130263737.
Исходными данными для проведения планирования в программных комплексах планирования радиосвязи являются: цифровая карта района работ с данными о высоте в каждой точке, координаты размещения базовых станций сети радиодоступа, параметры приемопередающих устройств базовых станций, частотный диапазон, высота подвеса, коэффициент усиления антенн базовых станций.The initial data for planning in the radio communication planning software are: a digital map of the work area with altitude data at each point, location coordinates of the base stations of the radio access network, parameters of the base station transceivers, frequency range, suspension height, gain of the base station antennas.
Цифровые карты местности содержат информацию о рельефе и характере заполнения определенного региона (растительность, водное пространство, строения).Digital maps of the area contain information about the relief and the nature of the filling of a certain region (vegetation, body of water, buildings).
Известны способы расчета покрытия базовой станции на основе цифровых карт местности. Эти способы описаны, например, в Method and apparatus for network planning US 2001/0041565 A1, Method of obtaining an anticipatory estimate of a cell's wireless coverage US 2003/0073442 A1.Known methods for calculating the coverage of a base station based on digital terrain maps. These methods are described, for example, in Method and apparatus for network planning US 2001/0041565 A1, Method of obtaining an anticipatory estimate of a cell's wireless coverage US 2003/0073442 A1.
В известных программных комплексах планирования сетей радиодоступа на основе цифровых карт местности точки расположения базовых станций задаются пользователем. Недостатком таких программных комплексов является то, что при таком подходе точки расположения базовых станций могут быть неоптимальными, т.е. не обеспечивающими максимально эффективное покрытие. Неоптимальность расположения точек установки базовых станций сети радиодоступа приводит к увеличению количества базовых станций, неэффективному покрытию, которое выражается в наличии «мертвых зон», т.е. зон с неустойчивым покрытием.In well-known software systems for planning radio access networks based on digital terrain maps, the location points of base stations are set by the user. The disadvantage of such software systems is that with this approach, the location points of the base stations may not be optimal, i.e. not providing the most effective coverage. The non-optimal location of the installation points of the base stations of the radio access network leads to an increase in the number of base stations, inefficient coverage, which is reflected in the presence of "dead zones", i.e. areas with unstable coverage.
Ручной подбор оптимальных координат расположения базовых станций (БС) сети занимает много времени и может не обеспечивать оптимального с точки зрения качества покрытия расположения базовых станций.Manual selection of the optimal location coordinates of the base stations (BS) of the network takes a lot of time and may not provide the optimal location of base stations in terms of coverage quality.
Целью настоящего изобретения является разработка способа эффективного планирования сетей радиодоступа, обеспечивающего более эффективное покрытие сети радиодоступа (без увеличения количества базовых станций) путем автоматизированной оптимизации расположения точек установки базовых станций.The aim of the present invention is to develop a method for efficient planning of radio access networks, providing more efficient coverage of the radio access network (without increasing the number of base stations) by automatically optimizing the location of the installation points of the base stations.
Способ эффективного планирования сетей радиодоступа в соответствии с настоящим изобретением заключается в оптимизации координат расположения (точек стояния) базовых станций. Оптимизация координат расположения базовых станций заключается в вычислении оптимальных координат расположения базовых станций и последовательном изменении координат расположения базовых станций с целью обеспечения требуемого уровня сигнала в зоне покрытия сети радиодоступа.A method for efficiently planning radio access networks in accordance with the present invention is to optimize the location coordinates (standing points) of base stations. Optimization of the coordinates of the location of base stations consists in calculating the optimal coordinates of the location of the base stations and sequentially changing the coordinates of the location of the base stations in order to ensure the required signal level in the coverage area of the radio access network.
Технический результат заключается в улучшении качества покрытия сети радиодоступа, которое выражается в уменьшении т.н. «мертвых зон» и увеличении количества зон с требуемым уровнем сигнала.The technical result consists in improving the quality of coverage of the radio access network, which is expressed in reducing the so-called "Dead zones" and an increase in the number of zones with the desired signal level.
Минимально допустимый уровень сигнала в зоне покрытия зависит от используемого оборудования и при использовании программных комплексов задается пользователем в качестве входного параметра.The minimum allowable signal level in the coverage area depends on the equipment used and when using software systems is set by the user as an input parameter.
В настоящем изобретении предложен и реализован алгоритм эффективного планирования сети радиодоступа.The present invention proposed and implemented an algorithm for efficient planning of a radio access network.
Сущность изобретения поясняется с помощью следующих фигур.The invention is illustrated using the following figures.
Фиг.1. Иллюстрация наложения сетки с крупной ячейкой на зону покрытия базовой станции.Figure 1. Illustration of overlaying a grid with a large cell on the coverage area of the base station.
Фиг.2. Иллюстрация наложения сетки с мелкой ячейкой на зону покрытия базовой станции.Figure 2. Illustration of overlaying a grid with a small cell on the coverage area of a base station.
Фиг.3. Пример отображения зоны с недопустимо низким уровнем сигнала.Figure 3. An example of displaying a zone with an unacceptably low signal level.
Фиг.4. Алгоритм планирования (оптимизации точек расположения базовых станций) сети.Figure 4. Algorithm of planning (optimization of location points of base stations) of the network.
Фиг.5. Алгоритм вычисления координат перемещения точки расположения базовой станции.Figure 5. An algorithm for calculating the coordinates of the movement of the base station location point.
В соответствии с настоящим изобретением способ планирования сетей радиодоступа заключается в последовательном анализе площади покрытия, выявлении зон с недопустимо низким уровнем сигнала и изменении координат точек расположения базовых станций.In accordance with the present invention, a method for planning radio access networks consists in sequentially analyzing the coverage area, identifying areas with unacceptably low signal levels, and changing the coordinates of base station locations.
В соответствии с настоящим изобретением находятся координаты центра зоны с недопустимо низким уровнем сигнала, выбирается совокупность из трех базовых станций, наиболее близко расположенных к данному центру зоны. Затем определяются последовательности ячеек, кратчайшим образом соединяющие точки установки каждой базовой станции с центром рассматриваемой зоны с недопустимо низким уровнем сигнала. Полученные последовательности ячеек сравниваются по длине (количеству ячеек, входящих в последовательность). Затем три рассматриваемые базовые станции классифицируются по приоритету перемещения. В первую очередь изменяются координаты самой дальней базовой станции. После каждого перемещения на одну ячейку осуществляется пересчет количества ячеек с недопустимо низким уровнем сигнала во всей сети, для того чтобы проверить, что улучшение в одной зоне не привело к ухудшению в другой. Далее, эта процедура повторяется для всех зон с недопустимо низким уровнем сигнала в сети.In accordance with the present invention, the coordinates of the center of the zone with an unacceptably low signal level are found, a combination of the three base stations closest to this center of the zone is selected. Then, sequences of cells are determined that connect the installation points of each base station in the shortest possible way with the center of the zone in question with an unacceptably low signal level. The resulting cell sequences are compared in length (the number of cells in the sequence). The three base stations in question are then classified by priority of movement. First of all, the coordinates of the farthest base station are changed. After each movement to one cell, the number of cells with an unacceptably low signal level in the entire network is recalculated in order to verify that the improvement in one zone did not lead to deterioration in the other. Further, this procedure is repeated for all zones with an unacceptably low signal level in the network.
Блок-схема алгоритма планирования сети радиодоступа представлена на фиг.4.A block diagram of a radio access network planning algorithm is shown in FIG. 4.
На этапе 401 выбирается шаг сетки, которая накладывается на ЦКМ. Чем меньше шаг сетки (т.е. периметр ячейки сетки), тем точнее расчеты, но вместе с тем возрастает объем вычислений, необходимых для оптимизации. Данный параметр определяется пользователем исходя из требуемой точности и мощности ЭВМ. В программных комплексах для планирования сетей на базе цифровых карт местности каждой ячейке ставится в соответствие высота над уровнем моря, характер заполнения местности. Кроме того, каждой ячейке ставится в соответствие кроме прочих параметров усредненный уровень сигнала БС (напряженность поля, создаваемого антенной БС в данной ячейке). Минимально допустимый уровень сигнала индивидуален для разного типа оборудования и задается пользователем перед началом работы в качестве входного параметра Wдоп.At step 401, a grid pitch is selected that is superimposed on the MSC. The smaller the grid step (i.e., the perimeter of the grid cell), the more accurate the calculations, but at the same time, the volume of calculations necessary for optimization increases. This parameter is determined by the user based on the required accuracy and power of the computer. In software complexes for planning networks based on digital terrain maps, each cell is associated with the height above sea level, the nature of the filling of the terrain. In addition, each cell is associated with, among other parameters, the average signal level of the BS (field strength created by the BS antenna in this cell). The minimum allowable signal level is individual for different types of equipment and is set by the user before starting work as an input parameter Wext .
На этапе 402 определяется общее количество ячеек с недопустимо низким уровнем сигнала в сети N_bad. Под ячейкой с недопустимо низким уровнем сигнала понимается ячейка, в которой усредненный уровень сигнала БС ниже допустимого уровня Wдоп.At step 402, the total number of cells with an unacceptably low signal level in the N_bad network is determined. A cell with an unacceptably low signal level is understood to mean a cell in which the average BS signal level is below the permissible level Wadd .
На этапе 403 определяется количество отдельных зон с недопустимо низким уровнем сигнала в сети N_zone. Под зоной с недопустимо низким уровнем сигнала понимается отдельно находящаяся ячейка с недопустимо низким уровнем сигнала или группа ячеек с недопустимо низким уровнем сигнала. Под группой ячеек с недопустимо низким уровнем сигнала понимается совокупность всех прилегающих друг к другу ячеек. На фиг.3 показан пример одной такой зоны в сети.At step 403, the number of individual zones with an unacceptably low signal level in the N_zone network is determined. A zone with an unacceptably low signal level is understood to mean a separately located cell with an unacceptably low signal level or a group of cells with an unacceptably low signal level. A group of cells with an unacceptably low signal level is understood as the totality of all cells adjacent to each other. Figure 3 shows an example of one such zone in the network.
На этапе 404 счетчик номера рассматриваемой зоны с недопустимо низким уровнем сигнала i_zone устанавливается в значение 1.At step 404, the counter number of the considered zone with an unacceptably low signal level i_zone is set to 1.
На этапе 405 определяется количество ячеек с недопустимо низким уровнем сигнала в зоне с номером i_zone.At step 405, the number of cells with an unacceptably low signal level in the zone number i_zone is determined.
На этапе 406 с помощью алгоритма, представленного на фиг.5, определяется БС с координатами (x, y), которую следует переместить, и координаты (x_new, y_new) для перемещения координат данной БС. Перемещение координат расположения БС означает ее перемещение в сторону зоны с недопустимо низким уровнем сигнала, а именно к центру этой зоны.At step 406, using the algorithm of FIG. 5, a BS is determined with coordinates (x, y) to be moved and coordinates (x_new, y_new) to move the coordinates of this BS. Moving the BS location coordinates means moving it toward the zone with an unacceptably low signal level, namely, towards the center of this zone.
На этапе 407 определяется количество ячеек в рассматриваемой зоне с недопустимо низким уровнем сигнала при текущих координатах стояния БС (x, y) и при координатах (x_new, y_new).At step 407, the number of cells in the considered zone with an unacceptably low signal level is determined at the current BS coordinates (x, y) and at coordinates (x_new, y_new).
На этапе 408 осуществляется проверка количества ячеек с недопустимо низким уровнем сигнала при текущих координатах (x, y) и при координатах (x_new, y_new) в зоне i_zone. Если количество ячеек с недопустимо низким уровнем сигнала не изменилось или уменьшилось, то осуществляется переход к этапу 406. Если количество ячеек с недопустимо низким уровнем сигнала увеличилось, то осуществляется переход к этапу 411, на котором счетчик номера рассматриваемой зоны с недопустимо низким уровнем сигнала i_zone увеличивается на 1, после чего осуществляется переход на этап 412.At step 408, the number of cells with an unacceptably low signal level is checked at the current coordinates (x, y) and at coordinates (x_new, y_new) in the i_zone zone. If the number of cells with an unacceptably low signal level has not changed or decreased, then proceed to step 406. If the number of cells with an unacceptably low signal level has increased, proceed to step 411, in which the counter of the number of the considered zone with an unacceptably low signal level i_zone increases by 1, after which proceeds to step 412.
На этапе 412 счетчик номера зоны с недопустимо низким уровнем сигнала (i_zone) сравнивается с общим количеством зон с недопустимо низким уровнем сигнала. Если i_zone>N_zone, то оптимизация завершена и осуществляется переход к этапу 413. Если i_zone≤N_zone, то осуществляется переход к этапу 405. На этапе 413 осуществляется вывод статистики.At step 412, the counter of the zone number with an unacceptably low signal level (i_zone) is compared with the total number of zones with an unacceptably low signal level. If i_zone> N_zone, then the optimization is completed and proceeds to step 413. If i_zone≤N_zone, then proceeds to step 405. At step 413, statistics are displayed.
На фиг.5 представлена блок-схема алгоритма определения базовой станции, координаты стояния которой следует переместить, и поиска координат (x_new, y_new) для перемещения данной базовой станции.Figure 5 presents the block diagram of the algorithm for determining the base station, the coordinates of which should be moved, and search for coordinates (x_new, y_new) to move this base station.
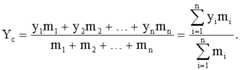
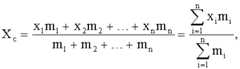
На этапе 501 осуществляется определение координат центра (Xc, Yc) зоны с номером i_zone.At
В настоящем изобретении для определения центра зоны с недопустимо низким уровнем сигнала предлагается использовать методику нахождения центра масс неоднородного плоского тела. Центр зоны определяется с помощью формул для нахождения центра масс неоднородного плоского тела. Обозначим зоны с недопустимо низким уровнем сигнала как систему материальных точек:In the present invention, to determine the center of the zone with an unacceptably low signal level, it is proposed to use the technique of finding the center of mass of an inhomogeneous plane body. The center of the zone is determined using formulas to find the center of mass of an inhomogeneous plane body. Let us designate zones with an unacceptably low signal level as a system of material points:
Р1(x1, y1); P2(x2, y2); …, Pn(xn, yn),P1 (x1 , y1 ); P2 (x2 , y2 ); ..., Pn (xn , yn ),
с массами m1, m2, m3, …, mn, причем под точкой понимается ячейка, а масса в данном случае является мерой уровня сигнала, т.е. уровень сигнала в данной ячейке. Причем чем ниже уровень сигнала, тем больше его масса.with masses m1 , m2 , m3 , ..., mn , and a point is a cell, and mass in this case is a measure of the signal level, i.e. signal level in this cell. Moreover, the lower the signal level, the greater its mass.
Произведения ximi и yimi называются статическими моментами массы mi относительно осей Oy и Ох.The products xi mi and yi mi are called static moments of mass mi relative to the axes Oy and Ox.
Обозначим через (Xc, Yc) координаты центра тяжести данной зоны. Тогда в соответствии с формулой для нахождения центра масс неоднородного плоского тела координаты его центра тяжести определяются формулами:Denote by (Xc, Yc) the coordinates of the center of gravity of this zone. Then, in accordance with the formula for finding the center of mass of an inhomogeneous plane body, the coordinates of its center of gravity are determined by the formulas:
На этапе 502 выбираются три БС, расположенные наиболее близко к центру масс (т.е. к центру зоны i_zone).At
На этапе 503 вычисляются расстояния r1, r2, r3 от каждой из трех базовых станций до центра зоны с номером i_zone и координатами (Хс, Yc). Точки стояния базовых станций обозначаются через (X1, Y1), (X2, Y2) и (X3, Y3).At
На этапе 504 вычисляется максимальное расстояние из r1, r2, r3.At
На этапе 505 определяется последовательность ячеек, кратчайшим образом соединяющая ячейку с координатами (Xc, Yc) и ближайшую базовую станцию.At
На этапе 506 определяются координаты (x_new, y_new) следующей ячейки из последовательности, определенной на этапе 505.At step 506, the coordinates (x_new, y_new) of the next cell from the sequence determined at
Предлагаемый способ обладает следующими преимуществами.The proposed method has the following advantages.
1. Возможность автоматизировать процесс планирования и оптимизации сети радиодоступа (определение координат точек расположения базовых станций, при которых обеспечивается наилучшее покрытие).1. The ability to automate the process of planning and optimizing the radio access network (determining the coordinates of the location points of base stations at which the best coverage is provided).
2. Возможность уменьшения «мертвых зон» в сети радиодоступа без увеличения количества базовых станций.2. The ability to reduce the "dead zones" in the radio access network without increasing the number of base stations.
Настоящее изобретение может быть использовано при разработке программных комплексов для автоматизированного планирования полевых сетей радиодоступа на базе цифровых карт местности.The present invention can be used in the development of software for automated planning of field radio access networks based on digital terrain maps.
| Application Number | Priority Date | Filing Date | Title | 
|---|---|---|---|
| RU2011105883/08ARU2460243C1 (en) | 2011-02-17 | 2011-02-17 | Method to plan radio access networks | 
| Application Number | Priority Date | Filing Date | Title | 
|---|---|---|---|
| RU2011105883/08ARU2460243C1 (en) | 2011-02-17 | 2011-02-17 | Method to plan radio access networks | 
| Publication Number | Publication Date | 
|---|---|
| RU2460243C1true RU2460243C1 (en) | 2012-08-27 | 
| Application Number | Title | Priority Date | Filing Date | 
|---|---|---|---|
| RU2011105883/08ARU2460243C1 (en) | 2011-02-17 | 2011-02-17 | Method to plan radio access networks | 
| Country | Link | 
|---|---|
| RU (1) | RU2460243C1 (en) | 
| Publication number | Priority date | Publication date | Assignee | Title | 
|---|---|---|---|---|
| RU2600096C2 (en)* | 2014-12-16 | 2016-10-20 | Андрей Николаевич Ганиев | Method for terrain assessing | 
| RU2677367C2 (en)* | 2017-01-09 | 2019-01-16 | Андрей Николаевич Ганиев | Method of control of air space | 
| Publication number | Priority date | Publication date | Assignee | Title | 
|---|---|---|---|---|
| RU2107994C1 (en)* | 1992-11-05 | 1998-03-27 | Самсунг Электроникс Ко., Лтд. | Power transmission control method for cellular radiophone system | 
| US7158799B2 (en)* | 2003-12-18 | 2007-01-02 | Hitachi, Ltd. | Wireless base station position setting method, wireless communication system, and program | 
| EP1925174B1 (en)* | 2005-09-14 | 2009-10-21 | Cisco Technology, Inc. | Automatic partitioning of wireless access points into overlay and underlay networks | 
| EP2120491A1 (en)* | 2008-05-14 | 2009-11-18 | Lucent Technologies Inc. | Allocating base stations to location areas in cellular telecommunications networks | 
| Publication number | Priority date | Publication date | Assignee | Title | 
|---|---|---|---|---|
| RU2107994C1 (en)* | 1992-11-05 | 1998-03-27 | Самсунг Электроникс Ко., Лтд. | Power transmission control method for cellular radiophone system | 
| US7158799B2 (en)* | 2003-12-18 | 2007-01-02 | Hitachi, Ltd. | Wireless base station position setting method, wireless communication system, and program | 
| EP1925174B1 (en)* | 2005-09-14 | 2009-10-21 | Cisco Technology, Inc. | Automatic partitioning of wireless access points into overlay and underlay networks | 
| EP2120491A1 (en)* | 2008-05-14 | 2009-11-18 | Lucent Technologies Inc. | Allocating base stations to location areas in cellular telecommunications networks | 
| Publication number | Priority date | Publication date | Assignee | Title | 
|---|---|---|---|---|
| RU2600096C2 (en)* | 2014-12-16 | 2016-10-20 | Андрей Николаевич Ганиев | Method for terrain assessing | 
| RU2677367C2 (en)* | 2017-01-09 | 2019-01-16 | Андрей Николаевич Ганиев | Method of control of air space | 
| Publication | Publication Date | Title | 
|---|---|---|
| US9730080B2 (en) | Network coverage planning method and apparatus of evolution communication system | |
| CN102036254B (en) | Quick automatic neighbor planning method for related networks | |
| EP2620024B1 (en) | Generation and use of coverage area models | |
| CN105898762B (en) | Base station optimization and deployment method and device | |
| CN112950243B (en) | 5G station planning method and device, electronic equipment and storage medium | |
| CN110167037B (en) | LTE network interference evaluation method, device, system and storage medium | |
| CN102647725B (en) | Method and device for determining neighbor cell priority in neighbor cell planning | |
| CN108260075A (en) | A kind of addressing method and device of base station deployment position | |
| CN107846688B (en) | Wireless network site planning method and device based on multiple operators | |
| CN103841602B (en) | Neighborhood configuration method and system | |
| CN103686759B (en) | TD-LTE system Cell Site Placement method and apparatus | |
| CN103188693A (en) | Antenna downward inclination angle determination method and device based on geographic information system (GIS) | |
| CN109495897B (en) | LTE network problem regionalization aggregation method and device | |
| CN106332130B (en) | Base station investigation method, device and system | |
| CN110366188B (en) | Interference measurement point deployment method, interference measurement path planning method and system | |
| WO2020024597A1 (en) | Indoor positioning method and apparatus | |
| CN107872805B (en) | Parameter acquisition method and device and network side equipment | |
| CN106937299A (en) | A kind of antenna adjusting method and device | |
| RU2460243C1 (en) | Method to plan radio access networks | |
| WO2022089761A1 (en) | Method and apparatus for designing a radio access network | |
| WO2013174013A1 (en) | Method, server and system for determining site | |
| CN106921978B (en) | Position distribution determination method and device | |
| CN104602249A (en) | Method and device for determining community relations | |
| CN103916873B (en) | A kind of existing network mends the configuring method for neighboring area and device at station | |
| CN119233306A (en) | Base station engineering calibrating method, device, equipment, medium and computer program product | 
| Date | Code | Title | Description | 
|---|---|---|---|
| QB4A | Licence on use of patent | Free format text:LICENCE Effective date:20131015 | |
| MM4A | The patent is invalid due to non-payment of fees | Effective date:20190218 |