




Изобретение относится к области радиотехники и может быть использовано в радиолокационных станциях (РЛС) различного назначения.The invention relates to the field of radio engineering and can be used in radar stations (radar) for various purposes.
Известна двухчастотная антенна (Microwave System News, 1981, v.11, №10, p.69-74), представляющая собой сочетание моноимпульсной антенны Кассегрена, работающей на частоте 94 ГГц и принимающей сигналы горизонтальной поляризации, и однозеркальной моноимпульсной антенны, работающей на частоте 34 ГГц и принимающей сигналы вертикальной поляризации. Недостатком данной антенны является то, что принимаемые сигналы в каждом частотном диапазоне обязательно должны иметь взаимно ортогональную поляризацию. Кроме того, данная конструкция антенны не сможет обеспечить одновременную работу сантиметрового и высокочастотной части миллиметрового диапазонов волн, так как затенение, вносимое облучателем сантиметрового диапазона, приведет к резкому ухудшению параметров миллиметрового канала.Known dual-frequency antenna (Microwave System News, 1981, v.11, No. 10, p.69-74), which is a combination of a Cassegrain single-pulse antenna operating at a frequency of 94 GHz and receiving horizontal polarization signals, and a single-mirror single-pulse antenna operating at a frequency 34 GHz and receiving signals of vertical polarization. The disadvantage of this antenna is that the received signals in each frequency range must necessarily have mutually orthogonal polarization. In addition, this antenna design will not be able to provide simultaneous operation of the centimeter and high-frequency parts of the millimeter wave ranges, since the shading introduced by the irradiator in the centimeter range will lead to a sharp deterioration of the millimeter channel parameters.
Известна также двухзеркальная антенна (а.с. СССР №1566435 A1, H01Q 19/00, 9.03.1988), построенная по схеме Кассегрена и обеспечивающая работу в трех частотных диапазонах. Антенна содержит основное параболическое зеркало, вспомогательное гиперболическое зеркало, селективное диэлектрическое зеркало, имеющее форму параболы и узел облучения. Узел облучения располагается в вершине основного зеркала и представляет собой рупорно-параболическую антенну, внутри которой располагаются два рупорных облучателя более высокочастотных диапазонов. Недостатком данной антенны является то, что элементы конструкции облучателей более высокочастотных диапазонов, располагаясь внутри облучателя более низкочастотного диапазона, оказывают сильное влияние на его характеристики и не позволяют получить оптимальные диаграммы направленности антенного устройства в каждом частотном диапазоне. Существенным ограничением в работе также является то, что поляризация принимаемых антенной сигналов в низкочастотном и высокочастотном диапазонах должна быть взаимно ортогональной.Also known is a two-mirror antenna (AS USSR No. 1566435 A1, H01Q 19/00, 03/09/1988), built according to the Cassegrain scheme and providing operation in three frequency ranges. The antenna contains a main parabolic mirror, an auxiliary hyperbolic mirror, a selective dielectric mirror having the shape of a parabola and an irradiation unit. The irradiation unit is located at the top of the main mirror and is a horn-parabolic antenna, inside of which there are two horn irradiators of higher frequency ranges. The disadvantage of this antenna is that the structural elements of the irradiators of higher frequency ranges, located inside the irradiator of the lower frequency range, have a strong influence on its characteristics and do not allow to obtain optimal radiation patterns of the antenna device in each frequency range. A significant limitation in the work is also that the polarization of the signals received by the antenna in the low-frequency and high-frequency ranges must be mutually orthogonal.
Целью предлагаемого технического решения является получение оптимальных диаграмм направленности антенны в двух существенно разнесенных частотных диапазонах длин волн с соотношением рабочих частот приблизительно 1:10 (сантиметровом и высокочастотной части миллиметрового) при использовании одного излучающего раскрыва.The aim of the proposed technical solution is to obtain optimal antenna patterns in two substantially spaced frequency ranges of wavelengths with a ratio of working frequencies of approximately 1:10 (centimeter and high-frequency millimeter) using a single radiating aperture.
Поставленная цель достигается тем, что в двухдиапазонной антенне, содержащей общий излучающий раскрыв в виде волноводно-щелевой антенной решетки (ВЩАР) сантиметрового диапазона длин волн, который является также отражателем для облучателя коротковолновой части миллиметрового диапазона длин волн, излучающая поверхность выполнена в виде плоского отражательного фазового корректора с концентрическими ступеньками, ширина и высота которых обеспечивают коррекцию фазы от 0° до 360° с выбранным дискретом в миллиметровом диапазоне длин волн.This goal is achieved in that in a dual-band antenna containing a common radiating aperture in the form of a waveguide slot antenna array (VCHAR) of the centimeter wavelength range, which is also a reflector for the irradiator of the short-wavelength part of the millimeter wavelength range, the radiating surface is made in the form of a flat reflective phase corrector with concentric steps, the width and height of which provide phase correction from 0 ° to 360 ° with the selected discrete in the millimeter wavelength range.
Кроме того, отражательный фазовый корректор может быть выполнен в виде периодической решетки из проводящих печатных элементов, расположенных на заземленной печатной плате с четверть волновым диэлектрическим слоем, форма и размеры которых обеспечивают коррекцию фазы от 0° до 360° с выбранным дискретом в миллиметровом диапазоне длин волн.In addition, the reflective phase corrector can be made in the form of a periodic lattice of conductive printing elements located on a grounded printed circuit board with a quarter wave dielectric layer, the shape and dimensions of which provide phase correction from 0 ° to 360 ° with a selected discrete in the millimeter wavelength range .
Введение указанных признаков обеспечило возможность совмещения двух диапазонов длин волн при использовании одной излучающей поверхности за счет того, что в излучающую поверхность ВЩАР внесены фазокорректирующие элементы миллиметрового диапазона длин волн. Это позволило использовать излучающую поверхность ВЩАР сантиметрового диапазона в качестве отражателя, формирующего диаграмму направленности в миллиметровом диапазоне длин волн. Причем диаграммы направленности сантиметрового и миллиметрового диапазонов формируются практически независимо друг от друга.The introduction of these features made it possible to combine two ranges of wavelengths when using one radiating surface due to the fact that phase-correcting elements of the millimeter wavelength range are introduced into the radiating surface of the VCHAR. This made it possible to use the emitting surface of the VCHAR of the centimeter range as a reflector forming a radiation pattern in the millimeter wavelength range. Moreover, the radiation patterns of the centimeter and millimeter ranges are formed almost independently of each other.
Из известного уровня техники не выявлены решения, имеющие признаки, совпадающие с отличительными признаками предлагаемого технического решения. Поэтому можно считать, что предложенное техническое решение соответствует условию изобретательского уровня.From the prior art, no solutions have been identified that have features that match the distinctive features of the proposed technical solution. Therefore, we can assume that the proposed technical solution meets the condition of an inventive step.
Сущность изобретения поясняется чертежами, где представлено:The invention is illustrated by drawings, which represent:
на фиг.1 - двухдиапазонная антенна;figure 1 - dual-band antenna;
на фиг.2 - плоский печатный отражательный фазовый корректор;figure 2 - flat printed reflective phase corrector;
на фиг.3 - волноводно-распределительная система ВЩАР;figure 3 - waveguide-distribution system VCHAR;
на фиг.4 - расчетные диаграммы направленности в миллиметровом диапазоне длин волн;figure 4 - calculated radiation patterns in the millimeter wavelength range;
на фиг.5 - расчетные диаграммы направленности в сантиметровом диапазоне длин волн;figure 5 - calculated radiation patterns in the centimeter wavelength range;
на фиг.6 - экспериментальные диаграммы направленности в миллиметровом диапазоне длин волн.figure 6 - experimental radiation patterns in the millimeter wavelength range.
Предлагаемая двухдиапазонная антенна (фиг.1) содержит общий излучающий раскрыв 1 в виде ВЩАР 2 с излучающими щелями 3 сантиметрового диапазона длин волн. Отличительной особенностью предлагаемой антенны является то, что излучающий раскрыв 1 ВЩАР 2 служит отражателем для облучателя 4 коротковолновой части миллиметрового диапазона длин волн. Для этого излучающая поверхность 1 ВЩАР 2 выполнена в виде плоского отражающего фазового корректора 5, позволяющего преобразовать сферическую волну облучателя 4 в плоскую волну. Последовательная компенсация фазового набега в зонах Френеля осуществляется с помощью кольцевых ступенек 6 различной высоты.The proposed dual-band antenna (figure 1) contains a common radiating
Кроме того, предлагается отражающий фазовый корректор миллиметрового диапазона выполнять в виде плоского печатного отражающего фазового корректора (фиг.2), представляющего собой периодическую решетку проводящих печатных элементов 7, расположенных на четвертьволновом диэлектрическом слое 8 над заземленной подложкой 9. Технология проектирования и изготовления таких фазовых корректоров известна (IEEE Transactions on Antennas and Propagation, vol.55, №5, May 2007, pp.1452-1456).In addition, it is proposed that the reflective phase corrector of the millimeter range be performed in the form of a flat printed reflective phase corrector (Fig. 2), which is a periodic lattice of
Техническим результатом предлагаемого изобретения является возможность одновременной работы антенны в двух существенно разнесенных частотных диапазонах при использовании одного излучающего раскрыва и обеспечении в обоих частотных диапазонах характеристик излучения, близких к предельным. При этом поляризация излучаемых волн сантиметрового и миллиметрового диапазона может быть как параллельной, так и взаимно ортогональной.The technical result of the invention is the possibility of simultaneous operation of the antenna in two substantially spaced frequency ranges when using one radiating aperture and providing radiation characteristics close to the limit in both frequency ranges. Moreover, the polarization of the emitted waves of the centimeter and millimeter ranges can be both parallel and mutually orthogonal.
Указанный результат достигается следующим образом. В сантиметровом диапазоне длин волн диаграмма направленности формируется ВЩАР 2 (фиг.3). ВЩАР 2 резонансного типа состоит из прямоугольных волноводов 10, в широких стенках которых прорезаны продольные, смещенные относительно середин широких стенок, прямоугольные излучающие щели 3 с закругленными концами. Стенки волноводов 10, в которых прорезаны излучающие щели 3, образуют излучающую поверхность 1 ВЩАР 2. Каждые два соседних излучающих волновода 10 имеют общую узкую стенку. Излучающие щели 3 располагаются в каждом волноводе 10 на расстоянии, равном половине длины волны в волноводе. На расстоянии, равном четверти длины волны в волноводе, от центра последней излучающей щели 3 в излучающем волноводе 10 расположены короткозамыкающие металлические стенки.The specified result is achieved as follows. In the centimeter wavelength range, a radiation pattern is formed VCHAR 2 (figure 3). VCHAR 2 of the resonance type consists of
С противоположной излучающей поверхности 1 стороны ВЩАР 2 расположен питающий волновод 11, ориентированный перпендикулярно излучающим волноводам 10 и имеющий общую широкую стенку с излучающими волноводами 10. На пересечении осей излучающих 10 и питающего 11 волновода в общей широкой стенке прорезаны наклонные несмещенные прямоугольные питающие щели с закругленными концами. На расстоянии, равном половине длины волны в волноводе, от центра последней питающей щели в питающем волноводе 11 расположены короткозамыкающие металлические стенки.On the opposite
Между двумя центральными питающими щелями на широкой стенке питающего волновода, противоположной стенке с питающими щелями, прорезана щель, образующая совместно с вышележащим отрезком прямоугольного волновода E-плоскостной волноводный тройник, вход которого является входом ВЩАР 2.Between the two central supply slots on the wide wall of the supply waveguide, opposite the wall with the supply slots, a slot is cut, forming, together with the overlying segment of the rectangular waveguide, an E-plane waveguide tee, the input of which is the input of VCHAR 2.
Распределение амплитуд по щелям 3 излучающей поверхности 1 вдоль излучающих волноводов 10 определяется выбором смещений излучающих щелей 3 относительно середин широких стенок излучающих волноводов 10, а вдоль питающего волновода 11 - выбором углов наклона питающих щелей.The distribution of amplitudes along the
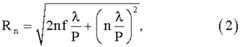
В миллиметровом диапазоне длин волн антенна работает по однозеркальной схеме. Отражателем для облучателя миллиметрового диапазона 4 служит излучающая поверхность 1 ВЩАР 2. Для этого излучающая поверхность 1 ВЩАР 2 выполнена в виде плоского отражательного фазового корректора 5, позволяющего преобразовать сферическую волну облучателя 4, падающую на поверхность фазового корректора 5, в плоскую отраженную волну. Фазовый корректор 5 представляет собой плоский металлический диск, на поверхности которого выполнены концентрические ступеньки 6 различной ширины и высоты, обеспечивающие последовательную коррекцию фазы от 0° до 360° с выбранным дискретом. Каждая ступенька 6 имеет кольцевую форму, разделяемую двумя следующими друг за другом радиусами Rn и Rn+1. Радиус Rn рассчитывается, используя оптическую теорию распространения луча. Полагая, что отражатель обеспечивает λ/P фазовую коррекцию, радиус Rn рассчитывается по классической формуле Френеля:In the millimeter wavelength range, the antenna operates according to a single-mirror scheme. The reflector for millimeter-
где f - фокусное расстояние;where f is the focal length;
n - порядковый номер зоны;n is the sequence number of the zone;
λ - длина волны;λ is the wavelength;
P - число корректирущих зон.P is the number of correction zones.
Из формулы (2) следует, что пространство, занимаемое каждой зоной и определяемое (Rn+1-Rn), уменьшается с возрастанием n, что является фактором, ограничивающим число корректирующих зон P. Высота ступенек h рассчитывается по формуле:From formula (2) it follows that the space occupied by each zone and determined by (Rn + 1 -Rn ) decreases with increasing n, which is a factor limiting the number of correction zones P. The height of steps h is calculated by the formula:
где m=1, 2, …P.where m = 1, 2, ... P.
Кроме того, фазовый корректор 5 может быть выполнен в виде плоского печатного отражательного фазового корректора (фиг.2). Он представляет собой периодическую решетку из проводящих печатных элементов 7, расположенную на заземленной печатной плате с четвертьволновым диэлектрическим слоем 8 над заземленной подложкой 9. Отражатель изготавливается из листового фольгированного диэлектрика методом химического травления. Затем в нем прорубаются отверстия, размер и расположение которых соответствуют щелям 3 ВЩАР 2. Плата крепится на излучающей поверхности 1 ВЩАР 2.In addition, the
Амплитудное распределение поля в раскрыве антенны, позволяющее получить требуемые диаграммы направленности в миллиметровом диапазоне, определяется характеристиками излучения облучателя 4. В качестве облучателя 4 может быть использован конический или пирамидальный волноводный рупор, фазовый центр которого помещается в точке фокуса отражательного фазового корректора 5. Параметры диаграммы направленности ВЩАР 2 определяются характеристиками ее волноводной распределительной системы, размерами и расположением излучающих щелей 3. Таким образом, в предлагаемой антенне формирование диаграмм направленности происходит практически независимо друг от друга. Для получения оптимальных характеристик излучения в каждом частотном диапазоне распределение поля в раскрыве для каждого диапазона может быть изменено с учетом взаимовлияния щелей 3 ВЩАР 2 и элементов конструкции и отражательного фазового корректора 5.The amplitude distribution of the field in the aperture of the antenna, which allows to obtain the desired radiation patterns in the millimeter range, is determined by the radiation characteristics of the
Было проведено компьютерное моделирование предлагаемой антенны с помощью пакета программ CST MICROWAVE STUDIO. В миллиметровом диапазоне длин волн моделирование проводилось для антенны с диаметром раскрыва 50 мм и фокусным расстоянием 30 мм. Число корректирующих зон P=8. В качестве облучателя использовался конический рупор с диаметром раскрыва 4 мм. Полученные диаграммы направленности (ДН) на частоте 94ГГц в электрической и магнитной плоскости (фиг.4а, б) подтверждают, что щели ВЩАР не оказывают значительного влияния на характеристики излучения антенны миллиметрового диапазона. В присутствии щелей расчетный уровень боковых лепестков не превышает 1% от максимума ДН. Коэффициент направленного действия антенны снижается незначительно, не более чем на 0,9 дБ.A computer simulation of the proposed antenna was carried out using the CST MICROWAVE STUDIO software package. In the millimeter wavelength range, modeling was performed for an antenna with an aperture diameter of 50 mm and a focal length of 30 mm. The number of correction zones P = 8. A conical horn with an aperture diameter of 4 mm was used as an irradiator. The obtained radiation patterns (ND) at a frequency of 94 GHz in the electric and magnetic plane (Figs. 4a, b) confirm that the VCHAR gaps do not significantly affect the radiation characteristics of the millimeter-wave antenna. In the presence of gaps, the calculated level of the side lobes does not exceed 1% of the maximum of the MD. The directional coefficient of the antenna decreases slightly, no more than 0.9 dB.
В сантиметровом диапазоне длин волн моделирование проводилось для ВЩАР диаметром 50 мм. Излучающая поверхность ВЩАР представляла собой ступенчатый отражательный фазовый корректор, на поверхности которого выполнены концентрические ступеньки, обеспечивающие коррекцию фазы с дискретом 45°. Полученные ДН в электрической и магнитной плоскостях на частоте 9,4 ГГц (фиг.5а, б) подтверждают, что ступеньки отражательного фазового корректора не оказывают сильного влияния на характеристики излучения ВЩАР. В присутствии фазового корректора расчетный уровень боковых лепестков ВЩАР не превышает 1,5% от максимума ДН. Коэффициент направленного действия антенны практически не изменяется (снижается на 0,3 дБ). Для отражательного печатного фазового корректора получены аналогичные результаты.In the centimeter wavelength range, modeling was carried out for
Экспериментальное подтверждение работоспособности двухдиапазонной антенны в миллиметровом диапазоне длин волн было проведено на макете однозеркальной антенны с плоским печатным отражательным фазовым корректором диаметром 165 мм, на поверхности которого располагались имитаторы щелей ВЩАР 3-х см диапазона. Измеренные ДН антенны в электрической и магнитной плоскостях на частоте 94 ГГц (фиг.6а, б) подтверждают незначительное влияние щелей ВЩАР на характеристики излучения антенны миллиметрового диапазона. Уровень боковых лепестков практически не изменяется, коэффициент направленного действия снижается незначительно, не более чем на 0,9 дБ.An experimental confirmation of the operability of a dual-band antenna in the millimeter wavelength range was carried out on a single-mirror antenna with a flat printed reflective phase corrector with a diameter of 165 mm, on the surface of which there were simulators of VSCHAR slots of 3 cm range. The measured antenna bottoms in the electric and magnetic planes at a frequency of 94 GHz (Fig. 6a, b) confirm the insignificant effect of the VCHAR gaps on the radiation characteristics of the millimeter-wave antenna. The level of the side lobes practically does not change, the coefficient of directional action decreases slightly, no more than 0.9 dB.
Предлагаемое техническое решение позволяет получить антенное устройство, работающее одновременно в двух диапазонах частот-сантиметровом и высокочастотной части миллиметрового. При этом достигаются значения высокочастотных характеристик, близких к предельным. Поляризация принимаемых и излучаемых высокочастотных сигналов миллиметрового и сантиметрового каналов может быть как параллельной, так и ортогональной. Антенное устройство имеет малые продольные габариты и вес.The proposed technical solution allows to obtain an antenna device operating simultaneously in two ranges of the frequency-centimeter and high-frequency parts of the millimeter. In this case, the values of high-frequency characteristics close to the limiting ones are achieved. The polarization of the received and emitted high-frequency signals of the millimeter and centimeter channels can be either parallel or orthogonal. The antenna device has small longitudinal dimensions and weight.
| Application Number | Priority Date | Filing Date | Title |
|---|---|---|---|
| RU2010116915/07ARU2435263C1 (en) | 2010-04-28 | 2010-04-28 | Dual-band antenna |
| Application Number | Priority Date | Filing Date | Title |
|---|---|---|---|
| RU2010116915/07ARU2435263C1 (en) | 2010-04-28 | 2010-04-28 | Dual-band antenna |
| Publication Number | Publication Date |
|---|---|
| RU2435263C1true RU2435263C1 (en) | 2011-11-27 |
| Application Number | Title | Priority Date | Filing Date |
|---|---|---|---|
| RU2010116915/07ARU2435263C1 (en) | 2010-04-28 | 2010-04-28 | Dual-band antenna |
| Country | Link |
|---|---|
| RU (1) | RU2435263C1 (en) |
| Publication number | Priority date | Publication date | Assignee | Title |
|---|---|---|---|---|
| RU2491686C1 (en)* | 2012-06-01 | 2013-08-27 | Открытое акционерное общество "Радиофизика" | Reflector feed polarisation corrector |
| RU2567127C1 (en)* | 2014-09-10 | 2015-11-10 | Закрытое акционерное общество "Меркурий" | Cassegrain antenna |
| RU2591033C1 (en)* | 2015-03-04 | 2016-07-10 | Открытое акционерное общество "МОСКОВСКИЙ НАУЧНО-ИССЛЕДОВАТЕЛЬСКИЙ ИНСТИТУТ "АГАТ" | Dual-band slotted waveguide antenna array |
| RU2652169C1 (en)* | 2017-05-25 | 2018-04-25 | Самсунг Электроникс Ко., Лтд. | Antenna unit for a telecommunication device and a telecommunication device |
| RU184941U1 (en)* | 2018-08-13 | 2018-11-14 | Федеральное государственное автономное образовательное учреждение высшего образования "Санкт-Петербургский государственный электротехнический университет "ЛЭТИ" им. В.И. Ульянова (Ленина) | Dielectric Reflective Antenna Array |
| RU2723909C1 (en)* | 2019-06-03 | 2020-06-18 | Акционерное общество "Московский научно-исследовательский институт "АГАТ" | Method of constructing bead conical antenna arrays |
| RU2821239C1 (en)* | 2024-02-15 | 2024-06-18 | Федеральное государственное казенное образовательное учреждение высшего образования "Академия Федеральной службы безопасности Российской Федерации" (Академия ФСБ России) | Dual-band antenna with ring focus and elliptical generatrix of counter-reflector |
| Publication number | Priority date | Publication date | Assignee | Title |
|---|---|---|---|---|
| US3763493A (en)* | 1970-10-17 | 1973-10-02 | Nippon Telegraph & Telephone | Antenna device applicable for two different frequency bands |
| US4097868A (en)* | 1976-12-06 | 1978-06-27 | The United States Of America As Represented By The Secretary Of The Army | Antenna for combined surveillance and foliage penetration radar |
| SU1566435A1 (en)* | 1988-03-09 | 1990-05-23 | Таганрогский радиотехнический институт им.В.Д.Калмыкова | Double-reflector antenna |
| RU2062536C1 (en)* | 1993-12-14 | 1996-06-20 | Евгений Александрович Соколов | Combined double-range antenna array |
| US5781162A (en)* | 1996-01-12 | 1998-07-14 | Hughes Electronic Corporation | Phased array with integrated bandpass filter superstructure |
| RU92745U1 (en)* | 2009-11-30 | 2010-03-27 | Открытое акционерное общество "Федеральный научно-производственный центр "Нижегородский научно-исследовательский институт радиотехники" | CONTROLLED POLARIZED ANTENNA Fragment of a PHASED ANTENNA ARRAY |
| Publication number | Priority date | Publication date | Assignee | Title |
|---|---|---|---|---|
| US3763493A (en)* | 1970-10-17 | 1973-10-02 | Nippon Telegraph & Telephone | Antenna device applicable for two different frequency bands |
| US4097868A (en)* | 1976-12-06 | 1978-06-27 | The United States Of America As Represented By The Secretary Of The Army | Antenna for combined surveillance and foliage penetration radar |
| SU1566435A1 (en)* | 1988-03-09 | 1990-05-23 | Таганрогский радиотехнический институт им.В.Д.Калмыкова | Double-reflector antenna |
| RU2062536C1 (en)* | 1993-12-14 | 1996-06-20 | Евгений Александрович Соколов | Combined double-range antenna array |
| US5781162A (en)* | 1996-01-12 | 1998-07-14 | Hughes Electronic Corporation | Phased array with integrated bandpass filter superstructure |
| RU92745U1 (en)* | 2009-11-30 | 2010-03-27 | Открытое акционерное общество "Федеральный научно-производственный центр "Нижегородский научно-исследовательский институт радиотехники" | CONTROLLED POLARIZED ANTENNA Fragment of a PHASED ANTENNA ARRAY |
| Publication number | Priority date | Publication date | Assignee | Title |
|---|---|---|---|---|
| RU2491686C1 (en)* | 2012-06-01 | 2013-08-27 | Открытое акционерное общество "Радиофизика" | Reflector feed polarisation corrector |
| RU2567127C1 (en)* | 2014-09-10 | 2015-11-10 | Закрытое акционерное общество "Меркурий" | Cassegrain antenna |
| RU2591033C1 (en)* | 2015-03-04 | 2016-07-10 | Открытое акционерное общество "МОСКОВСКИЙ НАУЧНО-ИССЛЕДОВАТЕЛЬСКИЙ ИНСТИТУТ "АГАТ" | Dual-band slotted waveguide antenna array |
| RU2652169C1 (en)* | 2017-05-25 | 2018-04-25 | Самсунг Электроникс Ко., Лтд. | Antenna unit for a telecommunication device and a telecommunication device |
| RU184941U1 (en)* | 2018-08-13 | 2018-11-14 | Федеральное государственное автономное образовательное учреждение высшего образования "Санкт-Петербургский государственный электротехнический университет "ЛЭТИ" им. В.И. Ульянова (Ленина) | Dielectric Reflective Antenna Array |
| RU2723909C1 (en)* | 2019-06-03 | 2020-06-18 | Акционерное общество "Московский научно-исследовательский институт "АГАТ" | Method of constructing bead conical antenna arrays |
| RU2821239C1 (en)* | 2024-02-15 | 2024-06-18 | Федеральное государственное казенное образовательное учреждение высшего образования "Академия Федеральной службы безопасности Российской Федерации" (Академия ФСБ России) | Dual-band antenna with ring focus and elliptical generatrix of counter-reflector |
| Publication | Publication Date | Title |
|---|---|---|
| Numan et al. | Printed $ W $-band multibeam antenna with Luneburg lens-based beamforming network | |
| RU2494506C1 (en) | Electronic beam scanning lens antenna | |
| KR100964623B1 (en) | Waveguide Slot Array Antenna and Planar Slot Array Antenna | |
| CN108701905B (en) | a horn antenna | |
| RU2435263C1 (en) | Dual-band antenna | |
| Wang et al. | Ellipsoidal Luneburg lens binary array for wide-angle scanning | |
| Zhu et al. | Aperture-shared all-metal endfire high-gain parabolic antenna for millimeter-wave multibeam and sub-6-GHz communication applications | |
| Juneja et al. | Design considerations for implementation of planar antennas for millimeter wave (mmW) 5G network: a review | |
| JP2015046846A (en) | Antenna device design method and antenna device | |
| Yousefbeiki et al. | Ku-band dielectric-loaded SIW horn for vertically-polarized multi-sector antennas | |
| CN105789908A (en) | Novel cylindrical surface luneberg lens antenna capable of realizing circular polarization or bi-circular polarization | |
| CN111052507B (en) | Antenna and wireless device | |
| Patil et al. | Gain improvement of lower UWB monopole antenna using FSS layer | |
| CN110011075B (en) | High-performance beam forming antenna and beam forming method | |
| RU184941U1 (en) | Dielectric Reflective Antenna Array | |
| RU2755403C1 (en) | Non-directional antenna of horizontal polarization | |
| RU2629906C1 (en) | Mirror antenna with double polarization and wide scanning angle | |
| US20240347922A1 (en) | Application of a metasurface lens | |
| Liu et al. | Frequency-scanning dual-beam parallel-plate waveguide continuous transverse stub antenna array with sidelobe suppression | |
| Goudarzi et al. | A cylindrical coaxial-fed resonant cavity antenna with off-axis beaming for 5G applications | |
| Zhang et al. | Planar conical beam leaky-wave antenna with high scanning rate and out-of-roundness | |
| Khattak et al. | Design of planar surface wave launcher based multi-beam leaky-wave antenna | |
| Bansal et al. | Bespoke Homogeneous Dielectric Lens for Meander Line-Based Leaky Wave Antenna | |
| Poveda-García et al. | Millimeter-wave substrate-integrated waveguide based leaky-wave antenna with broadbeam radiation at broadside | |
| Zhu et al. | High Efficiency Transmitarray Antenna with Optimum Feed |
| Date | Code | Title | Description |
|---|---|---|---|
| PD4A | Correction of name of patent owner |