



Область техникиTechnical field
Настоящее изобретение относится к способу генерации опорной сигнальной последовательности и, в частности, к способу группирования последовательностей, имеющих переменную длину, соответствующую одному или нескольким размерам блока ресурсов, способу генерации опорной сигнальной последовательности и способу генерации опорной сигнальной последовательности с использованием последовательности Задова-Чу (ZC).The present invention relates to a method for generating a reference signal sequence and, in particular, to a method for grouping sequences having a variable length corresponding to one or more resource block sizes, a method for generating a reference signal sequence, and a method for generating a reference signal sequence using a Zadov-Chu sequence (ZC )
Уровень техникиState of the art
Нижеследующее объяснение рассматривается, в основном, применительно к системе 3GPP LTE, но настоящее изобретение не ограничивается этой системой, и иллюстративная система 3GPP LTE предназначена лишь для того, чтобы специалист в данной области техники мог понять настоящее изобретение.The following explanation is considered mainly with respect to the 3GPP LTE system, but the present invention is not limited to this system, and the illustrative 3GPP LTE system is intended only for one skilled in the art to understand the present invention.
Существует много последовательностей, используемых для передачи сигнала, но в системе 3GPP LTE (3rd Generation Partnership Project Long Term Evolution) последовательность CAZAC (Constant Amplitude Zero Auto-Correlation, постоянная амплитуда, нулевая автокорреляция) образует базовую последовательность для передачи сигналов. Последовательность CAZAC можно использовать на различных каналах для извлечения ID или информации управления, например каналах восходящей/нисходящей линии связи (SCH), включающих в себя P-SCH (первичный SCH) и S-SCH (вторичный SCH), пилот-канал для передачи опорного сигнала. Кроме того, последовательность CAZAC можно использовать при скремблировании.There is a lot of sequences used for transmitting signal, but in 3GPP LTE system (3rd Generation Partnership Project Long Term Evolution) sequence CAZAC (Constant Amplitude Zero Auto-Correlation , constant amplitude, zero autocorrelation) forms a base sequence for transmitting signals. The CAZAC sequence can be used on various channels to retrieve ID or control information, for example, uplink / downlink (SCH) channels, including P-SCH (primary SCH) and S-SCH (secondary SCH), a pilot channel for transmitting the reference signal. In addition, the CAZAC sequence can be used in scrambling.
В качестве последовательностей CAZAC, в основном, используется два типа последовательностей CAZAC, т.е. последовательность CAZAC GCL и последовательность CAZAC Задова-Чу. Два типа последовательностей CAZAC связаны друг с другом отношением комплексного сопряжения. Таким образом, последовательность CAZAC GCL можно получить путем вычисления комплексно сопряженной последовательности CAZAC Задова-Чу. Последовательность CAZAC Задова-Чу задается следующим образом.As CAZAC sequences, basically two types of CAZAC sequences are used, i.e. the CAZAC GCL sequence and the CAZAC Zadova-Chu sequence. The two types of CAZAC sequences are linked together by a complex conjugation ratio. Thus, the CAZAC GCL sequence can be obtained by calculating the complex conjugate CAZAC Zadova-Chu sequence. The CAZAC Zadova-Chu sequence is defined as follows.
[Уравнение 1][Equation 1]
(для нечетных N) (for odd N)
[Уравнение 2][Equation 2]
(для четных N), (for even N),
где k представляет индекс компонента последовательности, N представляет длину генерируемой последовательности CAZAC и M представляет ID последовательности или индекс последовательности.where k represents the index of the sequence component, N represents the length of the generated CAZAC sequence, and M represents the sequence ID or sequence index.
Когда последовательность CAZAC Задова-Чу, заданная Уравнениями 1 и 2, и последовательность CAZAC GCL, которая получена комплексным сопряжением последовательности CAZAC Задова-Чу, представлены посредством c(k;N,M), эти последовательности могут иметь следующие три признака.When the CAZAC Zadova-Chu sequence given by
[Уравнение 3][Equation 3]
[Уравнение 4][Equation 4]
[Уравнение 5][Equation 5]
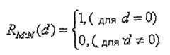
RM1,M2;N(d)=p (для всех M1, M2 и N)RM1, M2; N (d) = p (for all M1 , M2 and N)
Уравнение 3 означает, что последовательность CAZAC всегда имеет размер 1, и Уравнение 4 указывает, что автокорреляционная функция последовательности CAZAC выражается дельта-функцией. В этом случае автокорреляция основана на круговой корреляции. Кроме того, Уравнение 5 указывает, что взаимная корреляция всегда является постоянной.
Из этих двух видов последовательности CAZAC нижеследующее объяснение, в основном, сосредоточено на последовательности Задова-Чу (далее "последовательности ZC").Of these two kinds of CAZAC sequences, the following explanation is mainly focused on the Zadov-Chu sequence (hereinafter “ZC sequence”).
В системе 3GPP LTE, использующей эту последовательность ZC в качестве опорной сигнальной последовательности, длина последовательности ZC должна быть равна размеру блока ресурсов. Кроме того, можно использовать не только последовательность длиной в один размер блока ресурсов, но и опорную сигнальную последовательность, имеющую длину, соответствующую нескольким размерам блока ресурсов.In a 3GPP LTE system using this ZC sequence as a reference signal sequence, the length of the ZC sequence must be equal to the size of the resource block. In addition, you can use not only a sequence of one resource block size, but also a reference signal sequence having a length corresponding to several resource block sizes.
В односотовой среде опорные сигналы передаются методом локального FDM (мультиплексирования с частотным разделением) для мультиплексирования сигналов от нескольких экземпляров пользовательского оборудования (UE). Однако в многосотовой среде опорные сигналы передаются дополнительным методом CDM (мультиплексирования с кодовым разделением) для различения сигналов от сигналов соседних сот. При этом мультиплексировании можно использовать два метода. Один является методом CDM с использованием последовательностей ZC, имеющих разные индексы корня, а другой является методом CDM с использованием последовательностей ZC, имеющих один и тот же индекс (M) корня, но по-разному примененный циклический сдвиг.In a single cell environment, the reference signals are transmitted using the local FDM (frequency division multiplexing) method for multiplexing signals from multiple instances of user equipment (UE). However, in a multi-cell environment, reference signals are transmitted using an additional CDM (Code Division Multiplexing) method to distinguish signals from signals of neighboring cells. With this multiplexing, two methods can be used. One is a CDM method using ZC sequences having different root indices, and the other is a CDM method using ZC sequences having the same root index (M) but using a different cyclic shift.
Когда длина опорных сигналов, использующих эти разновидности последовательностей ZC, одинакова, значения взаимной корреляции в обоих случаях невелики. Однако, если бы опорные сигналы, имеющие другую длину, приходили как помеха от соседних сот и передавались с использованием того же частотного диапазона или перекрывающегося частотного диапазона, значение взаимной корреляции было бы значительным.When the length of the reference signals using these varieties of ZC sequences is the same, the cross-correlation values are small in both cases. However, if reference signals having a different length came as interference from neighboring cells and were transmitted using the same frequency range or an overlapping frequency range, the cross-correlation value would be significant.
Раскрытие изобретенияDisclosure of invention
Задача изобретенияObject of the invention
Соответственно, настоящее изобретение призвано обеспечивать способ генерации опорной сигнальной последовательности, который минимизирует помеху, обусловленную сигналами, имеющими другую длину, поступающими из соседних сот.Accordingly, the present invention is intended to provide a method for generating a reference signal sequence that minimizes interference caused by signals having a different length coming from neighboring cells.
Для этого способа настоящее изобретение также обеспечивает способ эффективного группирования последовательностей, согласно которому каждая из групп состоит из последовательностей, имеющих высокое значение взаимной корреляции, и поддерживает последовательности переменной длины для использования в качестве опорных сигналов.For this method, the present invention also provides a method for efficiently grouping sequences, according to which each group consists of sequences having a high cross-correlation value, and supports variable length sequences for use as reference signals.
Кроме того, настоящее изобретение обеспечивает способ генерации опорной сигнальной последовательности на основе вышеописанного группирования.In addition, the present invention provides a method for generating a reference signal sequence based on the grouping described above.
Решение задачProblem solving
Для решения этих задач и достижения других преимуществ и согласно цели изобретения, реализованной и широко описанной здесь, предусмотрен способ группирования последовательностей, имеющих переменную длину, соответствующую одному или нескольким размерам блока ресурсов. Согласно одному варианту осуществления способ содержит этапы, на которых группируют последовательности в группы так, чтобы каждая из групп содержала, по меньшей мере, одну последовательность каждой длины, причем сгруппированная последовательность является базовой последовательностью, которая используется для применения циклического сдвига, соответствующего переменному значению циклического сдвига, и базовая последовательность с циклическим сдвигом используется в качестве опорной сигнальной последовательности.To solve these problems and achieve other advantages, and according to the purpose of the invention, implemented and widely described here, a method for grouping sequences having a variable length corresponding to one or more sizes of a resource block is provided. According to one embodiment, the method comprises the steps of grouping sequences into groups so that each group contains at least one sequence of each length, the grouped sequence being the base sequence that is used to apply the cyclic shift corresponding to the variable value of the cyclic shift , and the base sequence with a cyclic shift is used as a reference signal sequence.
Предпочтительно, количество групп равно 30.Preferably, the number of groups is 30.
Кроме того, группирование можно осуществлять так, чтобы каждая из групп содержала одну базовую последовательность каждой длины, соответствующей от 1 до 5 размерам блока ресурсов, и две базовые последовательности каждой длины, соответствующей 6 или более размерам блока ресурсов.In addition, grouping can be carried out so that each of the groups contains one base sequence of each length corresponding to from 1 to 5 sizes of the resource block, and two basic sequences of each length corresponding to 6 or more sizes of the resource block.
Предпочтительно, базовая последовательность, имеющая длину, соответствующую 3 или более размерам блока ресурсов, задается с использованием последовательности Задова-Чу (ZC), и базовая последовательность, имеющая длину, соответствующую 1 или 2 размерам блока ресурсов, задается с использованием последовательности, отличной от последовательности ZC.Preferably, a base sequence having a length corresponding to 3 or more resource block sizes is specified using a Zadova-Chu (ZC) sequence, and a base sequence having a length corresponding to 1 or 2 resource block sizes is specified using a sequence other than the sequence ZC.
В другом аспекте настоящего изобретения предусмотрен способ генерации опорной сигнальной последовательности. В одном варианте осуществления этого аспекта способ содержит этапы, на которых задают одну или несколько базовых последовательностей, имеющих переменную длину, соответствующую одному или нескольким размерам блока ресурсов; и применяют циклический сдвиг, соответствующий переменному значению циклического сдвига, к заданной базовой последовательности, причем базовые последовательности делятся на группы и каждая из групп содержит, по меньшей мере, одну базовую последовательность каждой длины.In another aspect of the present invention, a method for generating a reference signal sequence is provided. In one embodiment of this aspect, the method comprises the steps of setting one or more base sequences having a variable length corresponding to one or more resource block sizes; and applying a cyclic shift corresponding to a variable value of the cyclic shift to a given base sequence, the base sequences being divided into groups and each of the groups containing at least one base sequence of each length.
В этом случае базовую последовательность можно задать посредством циклического расширения последовательности ZC, имеющей длину (), заданную наибольшим простым числом, которое меньше размера соответствующей опорной сигнальной последовательности. Кроме того, базовую последовательность можно задать усечением последовательности ZC, имеющей длину (), заданную наименьшим простым числом, которое больше размера соответствующей опорной сигнальной последовательности. Кроме того, в этом варианте осуществления, предпочтительно, количество групп равно 30.In this case, the base sequence can be specified by cyclic extension of the sequence ZC having a length ( ) given by the largest prime number that is less than the size of the corresponding reference signal sequence. In addition, the base sequence can be specified by truncating the ZC sequence having a length ( ) defined by the smallest prime number that is larger than the size of the corresponding reference signal sequence. In addition, in this embodiment, preferably, the number of groups is 30.
Кроме того, каждая из групп может содержать одну базовую последовательность каждой длины, соответствующую от 1 до 5 размерам блока ресурсов, и две базовые последовательности каждой длины, соответствующей 6 или более размерам блока ресурсов.In addition, each of the groups may contain one base sequence of each length corresponding to 1 to 5 resource block sizes, and two base sequences of each length corresponding to 6 or more resource block sizes.
Кроме того, базовую последовательность, имеющую длину, соответствующую 3 или более размерам блока ресурсов, можно задать с использованием последовательности Задова-Чу (ZC) с конкретным индексом (q) последовательности ZC, и базовую последовательность, имеющую длину, соответствующую 1 или 2 размерам блока ресурсов, можно задать с использованием последовательности, отличной от последовательности ZC.In addition, a base sequence having a length corresponding to 3 or more resource block sizes can be defined using a Zadova-Chu sequence (ZC) with a specific index (q) of the ZC sequence, and a base sequence having a length corresponding to 1 or 2 block sizes resources can be specified using a sequence other than the ZC sequence.
Кроме того, предпочтительно, конкретный индекс (q) последовательности ZC является функцией индекса (u) группы и индекса номера базовой последовательности (v) в группе.In addition, preferably, the specific index (q) of the sequence ZC is a function of the index (u) of the group and the index of the number of the base sequence (v) in the group.
Кроме того, заданную базовую последовательность с циклическим сдвигом можно использовать для опорной сигнальной последовательности восходящей линии связи.Furthermore, a predetermined cyclic shift base sequence may be used for the uplink reference signal sequence.
Кроме того, согласно вышеописанным вариантам осуществления размер блока ресурсов может соответствовать размеру 12 поднесущих в частотной области.Furthermore, according to the above-described embodiments, the resource block size may correspond to the size of 12 subcarriers in the frequency domain.
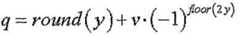
В другом аспекте настоящего изобретения предусмотрен способ генерации опорной сигнальной последовательности с использованием последовательности Задова-Чу (ZC). В одном варианте осуществления этого аспекта способ содержит этапы, на которых задают конкретную базовую последовательность с использованием q-й корневой последовательности ZC, причем базовые последовательности делятся на группы, и "q" является функцией индекса (u) группы и индекса (v) номера базовой последовательности в группе; и применяют циклический сдвиг, соответствующий переменному значению циклического сдвига, к заданной базовой последовательности для генерации опорной сигнальной последовательности.In another aspect of the present invention, there is provided a method for generating a reference signal sequence using a Zadoff-Chu (ZC) sequence. In one embodiment of this aspect, the method comprises the steps of defining a specific base sequence using the qth root sequence ZC, the base sequences being divided into groups, and “q” being a function of the group index (u) and index (v) of the base number sequence in the group; and applying a cyclic shift corresponding to the cyclic shift variable to a predetermined base sequence to generate a reference signal sequence.
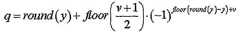
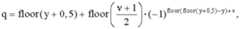
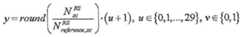
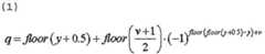
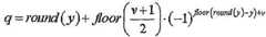
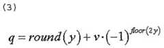
В одном случае, конкретный индекс (q) последовательности ZC можно определить одним из уравнений,In one case, the specific index (q) of the sequence ZC can be determined by one of the equations
гдеWhere
где илиWhere or
гдеWhere
где - длина, заданная наибольшим простым числом, которое меньше размера соответствующей опорной сигнальной последовательности, - размер соответствующей опорной сигнальной последовательности, "round(z)" является функцией округления до ближайшего целого числа, ближайшего к z, и "floor(z)" является функцией, возвращающей наибольшее целое число, не превышающее z. Однако может быть длиной, заданной наименьшим простым числом, которое больше соответствующей опорной сигнальной последовательности согласно другому варианту осуществления этого изобретения.Where - the length specified by the largest prime number that is less than the size of the corresponding reference signal sequence, is the size of the corresponding reference signal sequence, "round (z)" is a function of rounding to the nearest integer closest to z, and "floor (z)" is a function that returns the largest integer not exceeding z. However may be the length given by the smallest prime number that is greater than the corresponding reference signal sequence according to another embodiment of this invention.
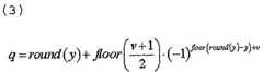
В другом случае, конкретный индекс (q) последовательности ZC можно определить одним из уравнений,In another case, the specific index (q) of the sequence ZC can be determined by one of the equations,
гдеWhere
где илиWhere or
гдеWhere
где - длина, заданная наибольшим простым числом, которое меньше размера соответствующей опорной сигнальной последовательности, - размер соответствующей опорной сигнальной последовательности, "round(z)" является функцией округления до ближайшего целого числа, ближайшего к z, и "floor(z)" является функцией, возвращающей наибольшее целое число, не превышающее z. Однако может быть длиной, заданной наименьшим простым числом, которое больше соответствующей опорной сигнальной последовательности, согласно другому варианту осуществления этого изобретения.Where - the length specified by the largest prime number that is less than the size of the corresponding reference signal sequence, is the size of the corresponding reference signal sequence, "round (z)" is a function of rounding to the nearest integer closest to z, and "floor (z)" is a function that returns the largest integer not exceeding z. However may be the length given by the smallest prime number that is greater than the corresponding reference signal sequence, according to another embodiment of this invention.
В одном конкретном варианте осуществления этого изобретения максимальное количество индексов (v) номера базовой последовательности в каждой группе можно задать равным 2, и затем конкретный индекс (q) последовательности ZC можно определить одним из уравнений,In one specific embodiment of this invention, the maximum number of indices (v) of the base sequence number in each group can be set to 2, and then the specific index (q) of the ZC sequence can be determined by one of the equations,
гдеWhere
где илиWhere or
гдеWhere
или одним из уравнений,or one of the equations
гдеWhere
где илиWhere or
гдеWhere
Предпочтительно, можно задать равным 31 или 37, но для можно задать и другие значения.Preferably, can be set to 31 or 37, but for You can specify other values.
Преимущества изобретенияAdvantages of the Invention
Согласно этим вариантам осуществления этого изобретения, поскольку базовая последовательность для применения циклического сдвига группируется и каждая группа содержит, по меньшей мере, одну базовую последовательность каждой длины, UE может использовать последовательности разной длины в качестве опорной сигнальной последовательности, когда конкретная группа выделяется одной соте или Node B.According to these embodiments of this invention, since the base sequence for applying the cyclic shift is grouped and each group contains at least one base sequence of each length, the UE can use sequences of different lengths as a reference signal sequence when a particular group is allocated to one cell or Node B.
Кроме того, поскольку каждая группа содержит базовые последовательности, имеющие высокую взаимную корреляцию, если каждая группа выделяется одной соте или Node B, межсотовую помеху можно минимизировать.In addition, since each group contains base sequences having high cross-correlation, if each group is allocated to one cell or Node B, inter-cell interference can be minimized.
Описание чертежейDescription of drawings
Фиг. 1 - обобщенная схема, поясняющая метод генерации усеченной последовательности.FIG. 1 is a generalized diagram illustrating a truncated sequence generation method.
Фиг. 2 - обобщенная схема, поясняющая метод генерации с использованием заполняющей части.FIG. 2 is a generalized diagram illustrating a generation method using a filling part.
Фиг. 3-5 - обобщенные схемы группирования последовательностей согласно одному варианту осуществления этого изобретения.FIG. 3-5 are generalized sequence grouping schemes according to one embodiment of this invention.
Осуществление изобретенияThe implementation of the invention
Далее, предпочтительные варианты осуществления настоящего изобретения будут подробно описаны со ссылкой на прилагаемые чертежи. Следует понимать, что подробное описание, которое будет раскрыто совместно с прилагаемыми чертежами, призвано описывать иллюстративные варианты осуществления настоящего изобретения и не призвано описывать уникальный вариант осуществления, который может выполнять настоящее изобретение.Further, preferred embodiments of the present invention will be described in detail with reference to the accompanying drawings. It should be understood that the detailed description, which will be disclosed in conjunction with the accompanying drawings, is intended to describe illustrative embodiments of the present invention and is not intended to describe a unique embodiment that can perform the present invention.
Далее, подробное описание включает в себя некоторые детали, позволяющие полностью понять настоящее изобретение. Однако специалисту в данной области техники очевидно, что настоящее изобретение можно осуществлять без указанных деталей. Во избежание неоднозначности концепции настоящего изобретения известные в технике конструкции и устройства будут опущены или будут показаны в виде блок-схемы на основании основных функций каждой конструкции или устройства. Кроме того, по мере возможности, одни и те же позиции будут использоваться в чертежах и описании изобретения для обозначения одинаковых или сходных деталей.Further, the detailed description includes some details to fully understand the present invention. However, it will be apparent to those skilled in the art that the present invention may be practiced without these details. In order to avoid ambiguity of the concept of the present invention, structures and devices known in the art will be omitted or shown in a block diagram based on the basic functions of each structure or device. In addition, to the extent possible, the same positions will be used in the drawings and description of the invention to refer to the same or similar parts.
Как указано выше, настоящее изобретение призвано обеспечивать способ генерации опорной сигнальной последовательности, который минимизирует помеху, обусловленную сигналами, имеющими другую длину, поступающими из соседних сот.As indicated above, the present invention is intended to provide a method for generating a reference signal sequence that minimizes interference caused by signals having a different length coming from neighboring cells.
Для этого рассмотрим длину последовательности CAZAC.To do this, consider the length of the CAZAC sequence.
В настоящее время в системе 3GPP LTE размер блока ресурсов (RB) для передачи любой разновидности символа OFDM, включая символ опорного сигнала, соответствует размеру 12 поднесущих. Потому, когда ZC генерируется для опорной сигнальной последовательности восходящей линии связи, размер последовательности ZC будет соответствовать размеру 12 поднесущих.Currently, in a 3GPP LTE system, a resource block size (RB) for transmitting any kind of OFDM symbol, including a reference signal symbol, corresponds to a size of 12 subcarriers. Therefore, when a ZC is generated for the uplink reference signal sequence, the size of the ZC sequence will correspond to the size of 12 subcarriers.
В случае последовательности CAZAC количество индексов (M) последовательностей CAZAC которые можно отличать друг от друга, определяется количеством взаимно простых чисел, взаимно простых с длиной (N) последовательности. Поэтому при генерации последовательности ZC длиной 12 количество последовательностей ZC, имеющих разные индексы последовательности, равно 4. Однако, если последовательность ZC генерируется на основании длины, равной простому числу (N), количество последовательностей ZC, имеющих разные индексы последовательности, может быть равно N-1, что максимизирует количество последовательностей ZC. Таким образом обеспечены различные способы генерации последовательности CAZAC на основании длины, равной простому числу.In the case of a CAZAC sequence, the number of indices (M) of CAZAC sequences that can be distinguished from each other is determined by the number of mutually prime numbers mutually prime with the length (N) of the sequence. Therefore, when generating a ZC sequence of length 12, the number of ZC sequences having different sequence indices is 4. However, if the ZC sequence is generated based on a length equal to a prime number (N), the number of ZC sequences having different sequence indices may be N- 1, which maximizes the number of ZC sequences. Thus, various methods for generating a CAZAC sequence based on a length equal to a prime are provided.
Сначала опишем метод генерации усеченной последовательности.First, we describe a method for generating a truncated sequence.
На фиг. 1 показана обобщенная схема, поясняющая метод генерации усеченной последовательности.In FIG. 1 shows a generalized diagram illustrating a truncated sequence generation method.
Согласно фиг. 1, когда необходимая длина последовательности CAZAC равна "L", генерируется последовательность CAZAC, имеющая длину, равную простому числу "X" (где X>L). Кроме того, сгенерированная последовательность CAZAC GCL, имеющая длину "X", усекается до длины "L", т.е. часть последовательности, имеющая длину "X-L", отсекается.According to FIG. 1, when the required length of the CAZAC sequence is “L”, a CAZAC sequence having a length equal to the prime number “X” (where X> L) is generated. In addition, the generated CAZAC GCL sequence having a length of "X" is truncated to a length of "L", i.e. the portion of the sequence having the length "X-L" is truncated.
Согласно этому способу количество последовательностей CAZAC достигает максимума. Но поскольку часть сгенерированной последовательности отсекается, свойства авто/кросс-корреляции последовательности CAZAC, определяемые уравнениями 4 и 5, несколько ухудшаются. Кроме того, при исключении последовательностей, имеющих низкие корреляционные свойства, фактическое количество последовательностей уменьшается. Кроме того, вследствие усечения хорошее свойство PAPR последовательности CAZAC также может ухудшаться.According to this method, the number of CAZAC sequences reaches a maximum. But since part of the generated sequence is cut off, the auto / cross-correlation properties of the CAZAC sequence, defined by equations 4 and 5, are somewhat impaired. In addition, with the exception of sequences having low correlation properties, the actual number of sequences decreases. In addition, due to truncation, the good PAPR property of the CAZAC sequence may also be degraded.
Таким образом представлен другой тип способов генерации последовательности CAZAC на основании длины, равной простому числу. Один из этих способов предусматривает генерацию последовательности CAZAC, имеющей длину, равную простому числу "X" (где X<L), и добавление компонентов, имеющих длину "L-X" к сгенерированной последовательности CAZAC GCL. Эти компоненты, добавляемые к сгенерированной последовательности, можно называть заполняющей частью, поэтому этот способ можно называть методом генерации с использованием заполняющей части.Thus, another type of method for generating a CAZAC sequence based on a length equal to a prime is presented. One of these methods involves generating a CAZAC sequence having a length equal to the prime number “X” (where X <L), and adding components having a length “L-X” to the generated CAZAC GCL sequence. These components added to the generated sequence can be called the filling part, so this method can be called the generation method using the filling part.
На фиг. 2 показана обобщенная схема, поясняющая метод генерации с использованием заполняющей части.In FIG. 2 is a generalized diagram illustrating a generation method using a fill part.
Согласно фиг. 2, когда необходимая длина последовательности CAZAC равна "L", генерируется последовательность CAZAC длиной "X", которая является максимальным простым числом, меньшим "L". Заполняющая часть, имеющая длину "L-X", добавляется к сгенерированной последовательности.According to FIG. 2, when the required CAZAC sequence length is “L”, a CAZAC sequence of length “X” is generated, which is the maximum prime number less than “L”. A fill portion having a length of "L-X" is added to the generated sequence.
Согласно одному способу для такого рода способов заполняющая часть может состоять из нулей. Согласно этому способу количество последовательностей CAZAC можно максимизировать. Кроме того, свойства авто/кросс-корреляции последовательности CAZAC можно поддерживать, когда различение между последовательностями осуществляется в отношении длины "C1", показанной на фиг. 2.According to one method for such methods, the filling part may consist of zeros. According to this method, the number of CAZAC sequences can be maximized. Furthermore, CAZAC sequence auto / cross-correlation properties can be maintained when the sequence is distinguished with respect to the length “C1” shown in FIG. 2.
Предпочтительно, заполняющая часть может быть циклическим расширением последовательности CAZAC. Таким образом, заполняющую часть (C2) можно генерировать путем циклического копирования первой части сгенерированной последовательности CAZAC GCL и добавления к сгенерированной последовательности. Благодаря этому результирующая последовательность может иметь хорошие свойства авто/кросс-корреляции, даже когда различение последовательностей производится в отношении полной длины последовательности (L). Поэтому этот способ имеет дополнительное преимущество над вышеописанным способом, использующим заполняющую часть, состоящую из нулей.Preferably, the filling portion may be a cyclic extension of the CAZAC sequence. Thus, the filling part (C2) can be generated by cyclic copying of the first part of the generated CAZAC GCL sequence and adding to the generated sequence. Due to this, the resulting sequence can have good auto / cross-correlation properties, even when the sequence is distinguished in relation to the total sequence length (L). Therefore, this method has an additional advantage over the above method, using a filling part consisting of zeros.
Настоящее изобретение для генерации опорной сигнальной последовательности с использованием последовательности CAZAC, в основном, основано на методе генерации с использованием заполняющей части, генерируемой посредством вышеописанного циклического расширения. Однако ограничиваться этим методом генерации не обязательно, т.е. настоящее изобретение может быть основано на методе генерации усеченной последовательности и методе генерации с использованием заполняющей части, состоящей из нулей.The present invention for generating a reference signal sequence using a CAZAC sequence is mainly based on a generation method using a fill portion generated by the above-described cyclic extension. However, it is not necessary to be limited to this generation method, i.e. the present invention can be based on a truncated sequence generation method and a generation method using a filler part consisting of zeros.
На этом основании рассмотрим межсотовую помеху, обусловленную использованием последовательностей, имеющих разную длину.On this basis, we consider the inter-cell interference caused by the use of sequences having different lengths.
Когда последовательность CAZAC используется в качестве опорной сигнальной последовательности, межсотовая помеха пропорциональна значению взаимной корреляции между двумя последовательностями. Таким образом, в нижеследующих примерах значение взаимной корреляции, обусловленной перекрытием между исходным опорным сигналом, переданным посредством определенной области ресурсов, и входящими последовательностями, поступающими из соседних сот, длина которых отличается от длины исходного опорного сигнала, и переданными посредством той же области ресурсов, рассматривается в отношении индекса последовательностей ZC.When the CAZAC sequence is used as a reference signal sequence, the inter-cell interference is proportional to the cross-correlation value between the two sequences. Thus, in the following examples, the cross-correlation value due to the overlap between the original reference signal transmitted by a certain resource region and incoming sequences coming from neighboring cells whose length is different from the length of the original reference signal and transmitted by the same resource region is considered regarding the sequence index ZC.
В частности, в нижеследующих примерах рассматриваются последовательности, имеющие длину 1 RB, 2 RB и 3 RB. Предположим, что последовательности, имеющие длину 1 RB и 2 RB, генерируются посредством циклического расширения последовательности ZC, имеющей длину, заданную наибольшим простым числом, которое меньше соответствующего размера блока ресурсов. Кроме того, предположим, что последовательность, имеющая длину 3 RB, генерируется методом генерации усеченной последовательности. Таким образом можно генерировать последовательности, имеющие соответствующий размер блока ресурсов, на основании длины, равной простому числу, одним из 3 вышеупомянутых методов генерации.In particular, in the following examples, sequences having a length of 1 RB, 2 RB, and 3 RB are considered. Assume that sequences having a length of 1 RB and 2 RB are generated by cyclically expanding a ZC sequence having a length specified by a largest prime number that is less than the corresponding resource block size. In addition, suppose that a sequence having a length of 3 RB is generated by the truncated sequence generation method. In this way, sequences having an appropriate resource block size can be generated based on a length equal to a prime number by one of the 3 aforementioned generation methods.
Сначала рассмотрим случай, когда последовательность, имеющая длину 1 RB, и последовательность, имеющая длину 2 RB, перекрываются в одной и той же области ресурсов. Последовательность, имеющую длину 1 RB, и последовательность, имеющую длину 2 RB, можно выразить следующим образом.First, consider the case where a sequence having a length of 1 RB and a sequence having a length of 2 RB overlap in the same resource area. A sequence having a length of 1 RB and a sequence having a length of 2 RB can be expressed as follows.
[Уравнение 6][Equation 6]
Здесь s1 и s2 обозначают индексы, являющиеся взаимно простыми, с длиной последовательности (N или 2N). В этом примере для последовательностей, имеющих длину 1 RB и длину 2 RB, генерируются с использованием метода циклического расширения, s1 может быть равен 1, 2, …, 10, и s2 может быть равен 1, 2, …, 22. N1 может быть равно 11, и N2 может быть равно 23.Here, s1 and s2 denote indices that are coprime with a sequence length (N or 2N). In this example, for sequences having a length of 1 RB and a length of 2 RB, are generated using the cyclic extension method, s1 may be 1, 2, ..., 10, and s2 may be 1, 2, ..., 22. N1 may be equal to 11, and N2 may be equal to 23.
На этом основании значение взаимной корреляции (), генерируемое, когда последовательность длиной 1 RB перекрывается с последовательностью длиной 2 RB в области первых 12 поднесущих последовательности длиной 2 RB, можно выразить следующим образом.On this basis, the value of cross-correlation ( ) generated when a sequence of 1 RB length overlaps with a sequence of 2 RB length in the region of the first 12 subcarriers of a sequence of 2 RB length can be expressed as follows.
[Уравнение 7][Equation 7]
Для d=0,For d = 0,
Из уравнения 7 следует, что, если комбинация индексов последовательности (s1 и s2) удовлетворяет условию, что выражение приближается к нулю, последовательности, указанные этими индексами последовательности, дают высокую взаимную корреляцию.From equation 7 it follows that if the combination of sequence indices (s1 and s2 ) satisfies the condition that the expression approaches zero, the sequences indicated by these sequence indices give a high cross-correlation.
Таким образом, один вариант осуществления настоящего изобретения предусматривает осуществление группирования последовательностей в группы так, чтобы последовательности, содержащиеся в каждой группе, имели высокую взаимную корреляцию друг с другом. Если рассматривать последовательность длиной 1 RB и последовательность длиной 2 RB, предусмотрено группирование комбинации индексов последовательности, которая удовлетворяет условию, что выражениеприближается к нулю.Thus, one embodiment of the present invention provides for the grouping of sequences into groups so that the sequences contained in each group have a high cross-correlation with each other. If we consider a sequence of
Однако для определения более общего условия для группирования последовательностей, рассмотрим некоторые другие примеры.However, to determine a more general condition for grouping sequences, consider some other examples.
Когда последовательность длиной 1 RB перекрывается в области последних 12 поднесущих последовательности длиной 2 RB, значение взаимной корреляции двух последовательностей можно выразить следующим образом.When a 1 RB sequence is overlapped in the region of the last 12 subcarriers of a 2 RB sequence, the cross-correlation value two sequences can be expressed as follows.
[Уравнение 8][Equation 8]
Для d=0For d = 0
Согласно уравнению 8 также можно заключить, что, если комбинация индексов последовательности (s1 и s2) удовлетворяет условию, что выражениеAccording to equation 8, we can also conclude that if the combination of sequence indices (s1 and s2 ) satisfies the condition that the expression
приближается к нулю, последовательности, указанные этими индексами последовательности, дают высокую взаимную корреляцию. Поэтому, если рассматривать последовательность длиной 1 RB и последовательность длиной 2 RB, позиция, где происходит перекрывание, не изменяет условие группирования.approaches zero, the sequences indicated by these sequence indices give a high cross-correlation. Therefore, if we consider a sequence of 1 RB length and a sequence of 2 RB length, the position where the overlap occurs does not change the grouping condition.
Теперь рассмотрим случай, когда последовательность длиной 1 RB и последовательность длиной 3 RB перекрываются в одной и той же области ресурсов.Now consider the case where a 1 RB sequence and a 3 RB sequence overlap in the same resource area.
Прежде всего, последовательность длиной 1 RB и последовательность длиной 3 RB можно выразить следующим образом.First of all, a sequence of
[Уравнение 9][Equation 9]
Здесь s1 и s3 обозначают индексы, являющиеся взаимно простыми с длиной последовательности (N или 3N). В этом примере, когда последовательности длиной 1 RB генерируются с использованием метода циклического расширения и последовательность длиной 3 RB генерируется с использованием метода генерации усеченной последовательности, s1 может быть равен 1, 2, …, 10, и s2 может быть равен 1, 2, …, 36. N1 может быть равно 11, и N2 может быть равно 37.Here s1 and s3 denote indices that are coprime with the length of the sequence (N or 3N). In this example, when sequences of
На этом основании, если последовательность длиной 1 RB перекрывается в области первых 12 поднесущих последовательности длиной 3 RB, значение взаимной корреляции между двумя последовательностями можно выразить следующим образом.On this basis, if a sequence of 1 RB length overlaps in the region of the first 12 subcarriers of a sequence of 3 RB length, the cross-correlation value between the two sequences can be expressed as follows.
[Уравнение 10][Equation 10]
Для d=0,For d = 0,
Из уравнения 10 следует, что, если комбинация индексов последовательности (s1 и s3) удовлетворяет условию, что выражение приближается к нулю, последовательности, указанные этими индексами последовательности, дают высокую взаимную корреляцию. Таким образом, если рассматривать последовательность длиной 1 RB и последовательность длиной 3 RB, предусмотрено группирование комбинации индексов последовательности, которая удовлетворяет условию, что выражение приближается к нулю.From equation 10 it follows that if the combination of sequence indices (s1 and s3 ) satisfies the condition that the expression approaches zero, the sequences indicated by these sequence indices give a high cross-correlation. Thus, if we consider a sequence of
Чтобы подтвердить соотношение в позиции, где происходит перекрывание, рассмотрим случай, когда последовательность длиной 1 RB перекрывается в области вторых 12 поднесущих последовательности длиной 3 RB. В этом случае значение взаимной корреляции между этими двумя последовательностями можно выразить следующим образом.To confirm the relationship at the position where the overlap occurs, consider the case where a sequence of 1 RB length overlaps in the region of the second 12 subcarriers of a sequence of 3 RB length. In this case, the value of cross-correlation between these two sequences can be expressed as follows.
[Уравнение 11][Equation 11]
Для d=0,For d = 0,
Когда последовательность длиной 1 RB перекрывается в области последних 12 поднесущих последовательности длиной 3 RB, значение взаимной корреляции можно выразить следующим образом.When a 1 RB sequence is overlapped in the region of the last 12 subcarriers of a 3 RB sequence, the cross-correlation value can be expressed as follows.
[Уравнение 12][Equation 12]
Для d=0,For d = 0,
Согласно уравнениям 11 и 12 также можно заключить, что, если комбинация индексов последовательности (s1 и s3) удовлетворяет условию, что выражение приближается к нулю, последовательности, указанные этими индексами последовательности, дают высокую взаимную корреляцию. Поэтому, если рассматривать последовательность длиной 1 RB и последовательность длиной 3 RB, позиция, где происходит перекрывание, не изменяет условие группирования.According to equations 11 and 12, we can also conclude that if the combination of sequence indices (s1 and s3 ) satisfies the condition that the expression approaches zero, the sequences indicated by these sequence indices give a high cross-correlation. Therefore, if we consider a sequence of
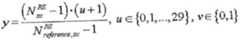
Согласно вышеприведенным примерам данный вариант осуществления предусматривает осуществление группирования последовательностей так, чтобы два индекса последовательности из всех индексов последовательности, сгруппированных в одну и ту же группу, удовлетворяли условию, что выражение (s2/N2 - s1/N1) приближается к нулю, если рассматривать две последовательности, имеющие длину N1 и N2. Здесь N1 и N2 могут быть максимальными взаимно простыми числами, которые меньше результирующей опорной сигнальной последовательности. Кроме того, s1 и s2 обозначают индексы корня последовательностей ZC и их можно выбирать в диапазонах 1~(N1-1) и 1~(N2-1) соответственно.According to the above examples, this embodiment provides for grouping sequences so that two sequence indices from all sequence indices grouped into the same group satisfy the condition that the expression (s2 / N2 - s1 / N1 ) approaches zero if we consider two sequences having a length of N1 and N2 . Here, N1 and N2 can be maximal mutually prime numbers that are less than the resulting reference signal sequence. In addition, s1 and s2 denote the root indices of the ZC sequences and can be selected in the
На основании этой концепции рассмотрим более общий метод группирования с учетом последовательностей разной длины.Based on this concept, we consider a more general grouping method taking into account sequences of different lengths.
На фиг. 3-5 показаны обобщенные схемы группирования последовательностей согласно одному варианту осуществления этого изобретения.In FIG. 3-5 show generalized sequence grouping schemes according to one embodiment of this invention.
Согласно этому варианту осуществления из последовательностей разной длины, например 1 RB, 2 RB, 3 RB …, как показано на фиг. 3, последовательности, индексы которых удовлетворяют вышеупомянутому условию высокой взаимной корреляции, можно группировать в одну и ту же группу. Каждую из групп последовательностей можно выделять одной и той же соте или Node B.According to this embodiment, from sequences of different lengths, for example 1 RB, 2 RB, 3 RB ... as shown in FIG. 3, sequences whose indices satisfy the aforementioned high cross-correlation condition can be grouped into the same group. Each of the groups of sequences can be allocated to the same cell or Node B.
В общем случае, FDM осуществляется для каждой соты или Node B, что позволяет минимизировать помеху, обусловленную использованием последовательностей, имеющих разную длину, одной соты или Node B. Таким образом, выделяя последовательности, имеющие высокую взаимную корреляцию, одной и той же соте или Node B, можно минимизировать межсотовую помеху, обусловленную использованием последовательностей разной длины.In general, FDM is performed for each cell or Node B, which minimizes interference due to the use of sequences having different lengths of one cell or Node B. Thus, by highlighting sequences having high cross-correlation, the same cell or Node B, inter-cell interference due to the use of sequences of different lengths can be minimized.
Еще один вариант осуществления этого изобретения предусматривает осуществление группирования так, чтобы каждая из групп содержала, по меньшей мере, одну последовательность каждой длины. Таким образом, выделение группы последовательностей одной и той же соте или Node B позволяет UE, находящемуся в этой соте или Node B, использовать опорные сигнальные последовательности различной длины. Однако конкретный метод группирования можно задавать по-разному.Another variant implementation of this invention provides for the implementation of grouping so that each of the groups contains at least one sequence of each length. Thus, the allocation of a group of sequences to the same cell or Node B allows the UE located in this cell or Node B to use reference signal sequences of different lengths. However, a particular grouping method can be defined in different ways.
Во-первых, количество последовательностей, выделенных одной группе, может быть пропорционально количеству RB, которое соответствует длине опорной сигнальной последовательности. Согласно фиг. 3 одна последовательность для последовательности длиной 1 RB, две последовательности для последовательности длиной 2 RB, 3 последовательности для последовательности длиной 3 RB и т.д. группируются.First, the number of sequences allocated to one group may be proportional to the number of RBs, which corresponds to the length of the reference signal sequence. According to FIG. 3 one sequence for a 1 RB sequence, two sequences for a 2 RB sequence, 3 sequences for a 3 RB sequence, etc. are grouped.
Во-вторых, количество последовательностей, выделенных одной группе, может быть постоянным числом. Согласно фиг. 4 одна последовательность для последовательности каждой длины группируется в одну и ту же группу.Secondly, the number of sequences allocated to one group can be a constant number. According to FIG. 4, one sequence for a sequence of each length is grouped into the same group.
Данный вариант осуществления может предусматривать осуществление группирования так, чтобы количество последовательностей, выделенных одной группе, не было ни пропорциональным длине последовательности, ни постоянным. На фиг. 5 показан пример группирования последовательностей так, чтобы одна последовательность для последовательности длиной 1 RB, 2 последовательности для последовательности длиной 2 RB, 2 последовательности для последовательности длиной 3 RB и 3 последовательности для последовательности длиной 4 RB и т.д. группировались в одну группу.This embodiment may include grouping so that the number of sequences allocated to one group is neither proportional to the length of the sequence, nor constant. In FIG. 5 shows an example of grouping sequences so that one sequence for a 1 RB sequence, 2 sequences for a 2 RB sequence, 2 sequences for a 3 RB sequence and 3 sequences for a 4 RB sequence, etc. grouped into one group.
Аналогично вышеописанному, если каждая группа содержит, по меньшей мере, одну последовательность каждой длины, можно задать максимальное количество последовательностей на группу. Когда максимальное количество последовательностей на группу задано, способ выбора индекса корня последовательности ZC с учетом предельного количества последовательностей можно задать следующим образом.Similar to the above, if each group contains at least one sequence of each length, you can specify the maximum number of sequences per group. When the maximum number of sequences per group is specified, the method for selecting the index of the root of the sequence ZC, taking into account the limit on the number of sequences, can be specified as follows.
Если для каждой длины последовательности выбрана одна последовательность и если одна конкретная последовательность с индексом s1 и длиной N1уже выбрана для этой группы, можно выбирать одну последовательность (имеющую индекс s2) для каждой длины, индекс которой делает выражение (s2/N2-s1/N1) ближайшим к нулю, где N2 - длина последовательности, соответствующая рассматриваемой длине. Если же для каждой определенной длины последовательности выбрано 2 последовательности и если одна конкретная последовательность с индексом s1 и длиной N1 уже выбрана для этой группы, можно выбирать две последовательности для этой длины, чтобы выражение (s2/N2-s1/N1) стремилось к нулю. Это можно дополнительно обобщить до максимального количества последовательностей "x" для каждой длины.If for each length of the sequence one sequence is selected and if one particular sequence with index s1 and length N1 is already selected for this group, you can select one sequence (having index s2 ) for each length whose index makes the expression (s2 / N2 -s1 / N1 ) closest to zero, where N2 is the length of the sequence corresponding to the length in question. If, for each specific sequence length, 2 sequences are selected and if one particular sequence with index s1 and length N1 is already selected for this group, two sequences for this length can be selected so that the expression (s2 / N2 -s1 / N1 ) tended to zero. This can be further generalized to the maximum number of x sequences for each length.
Еще один метод группирования можно задать следующим образом. Если для каждой длины последовательности выбрана одна последовательность и если одна конкретная последовательность с индексом s1 и длиной N1 уже выбрана для этой группы, сначала выбираем определенное число (y) последовательностей из последовательностей, для которых выражение (s2/N2-s1/N1) приближается к определенному значению, и затем выбираем одну последовательность из y последовательностей, которая имеет высокую взаимную корреляцию с последовательностью, имеющей индекс s1. Если же для каждой определенной длины последовательности выбрано 2 последовательности и если одна конкретная последовательность с индексом s1 и длиной N1 уже выбрана для этой группы, сначала выбираем определенное число (y) последовательностей из последовательностей, для которых выражение (s2/N2-s1/N1) приближается к определенному значению, и затем выбираем две последовательности из y последовательностей, которые имеют высокую взаимную корреляцию с последовательностью, имеющей индекс s1. Это можно дополнительно обобщить до максимального количества последовательностей «x» для каждой длины.Another grouping method can be defined as follows. If one sequence is selected for each sequence length and if one particular sequence with index s1 and length N1 is already selected for this group, we first select a certain number (y) of sequences from sequences for which the expression (s2 / N2 -s1 / N1 ) approaches a certain value, and then select one sequence of y sequences that has a high cross-correlation with a sequence having index s1 . If, for each specific sequence length, 2 sequences are selected and if one particular sequence with index s1 and length N1 is already selected for this group, we first select a certain number (y) of sequences from sequences for which the expression (s2 / N2 -s1 / N1 ) approaches a certain value, and then we select two sequences from y sequences that have a high cross-correlation with a sequence having index s1 . This can be further generalized to the maximum number of x sequences for each length.
В вышеприведенных примерах сначала выбирают одну конкретную последовательность с индексом s1 и длиной N1, которая становится опорой для выбора остальных последовательностей. Эту опорную последовательность можно задать как последовательность длиной 1 RB, последовательность длиной 2 RB, последовательность длиной 3 RB и т.д. Однако в нижеследующем объяснении предположим, что опорная последовательность представляет собой последовательность длиной 3 RB. Поскольку количество индексов последовательности для длины 3 RB равно 30, количество групп для группирования последовательностей согласно этому варианту осуществления изобретения может быть равно 30.In the above examples, one particular sequence is first selected with index s1 and length N1 , which becomes a support for selecting the remaining sequences. This reference sequence can be defined as a 1 RB sequence, a 2 RB sequence, a 3 RB sequence, etc. However, in the following explanation, suppose that the reference sequence is a 3 RB sequence. Since the number of sequence indices for a length of 3 RB is 30, the number of groups for grouping sequences according to this embodiment of the invention may be 30.
В случае, когда количество индексов корня для последовательности длиной 3 RB равно 30, количество индексов корня, выбранное для определенной группы, можно определить следующим образом.In the case where the number of root indices for a sequence of 3 RB length is 30, the number of root indices selected for a particular group can be determined as follows.
[Уравнение 13][Equation 13]
round (количество индексов корня для последовательности определенной длины/30)round (the number of root indices for a sequence of a certain length / 30)
Здесь "round(z)" является функцией округления до ближайшего целого числа, ближайшего к z.Here, "round (z)" is a function of rounding to the nearest integer closest to z.
Согласно уравнению 13 для длины 3 RB и 4 RB можно выбирать 1 последовательность. Для длины 5 RB~6 RB можно выбирать 2 последовательности. Кроме того, для длины свыше 6 RB можно выбирать 3 или более последовательностей соответственно. Кроме того, согласно одному варианту осуществления этого изобретения последовательность длиной меньше 3 длин RB можно задавать по-разному без использования последовательности ZC. Благодаря этому количество последовательностей, выбранных для длины 1 RB и длины 2 RB, можно задать равным 1.According to
В итоге, согласно этому варианту осуществления количество последовательностей на группу можно задать следующим образом.As a result, according to this embodiment, the number of sequences per group can be set as follows.
[Уравнение 14][Equation 14]
{1RB, 2RB, 3RB, 4RB, 5RB, 6RB, 8RB, 9RB, 10RB, 12RB, 15RB, 16RB, 18RB, 20RB, 24RB, 25RB, …}={1, 1, 1, 1, 2, 2, 3, 3, 4, 5, 6, 6, 7, 8, 9, 9, …}{1RB, 2RB, 3RB, 4RB, 5RB, 6RB, 8RB, 9RB, 10RB, 12RB, 15RB, 16RB, 18RB, 20RB, 24RB, 25RB, ...} = {1, 1, 1, 1, 2, 2, 3 , 3, 4, 5, 6, 6, 7, 8, 9, 9, ...}
На этом основании в нижеследующих таблицах 1-5 показан пример группирования последовательностей, при котором каждая группа содержит количество последовательностей согласно уравнению 14, и последовательности, выбранные для каждой группы, удовлетворяют вышеупомянутому условию высокой взаимной корреляции.On this basis, the following tables 1-5 show an example of grouping sequences in which each group contains the number of sequences according to
В таблицах 1-5 последовательности длиной 1 RB и 2 RB не показаны, поскольку последовательности длиной 1 RB и 2 RB задаются иначе.In tables 1-5, sequences of
В другом примере в случае, когда количество индексов корня для последовательности длиной 3 RB равно 30, количество индексов корня, выбранное для определенной группы, можно определить следующим образом.In another example, in the case where the number of root indices for a sequence of 3 RB is 30, the number of root indices selected for a particular group can be determined as follows.
[Уравнение 15][Equation 15]
floor (количество индексов корня для последовательности определенной длины/30)floor (number of root indices for a sequence of a certain length / 30)
Здесь floor(z) является функцией, возвращающей наибольшее целое число, не превышающее z.Here floor (z) is a function that returns the largest integer not exceeding z.
Согласно уравнению 15 для длины 3~5 RB можно выбирать 1 последовательность. Для длины 6~8 RB можно выбирать 2 последовательности. Кроме того, для длины свыше 9 длин RB можно выбирать 3 или более последовательностей соответственно. Кроме того, согласно одному варианту осуществления этого изобретения последовательность длиной меньше 3 длин RB можно задавать по-разному без использования последовательности ZC. Благодаря этому количество последовательностей, выбранных для длины 1 RB и длины 2 RB, можно задать равным 1.According to
В итоге, согласно этому варианту осуществления количество последовательностей на группу можно задать следующим образом.As a result, according to this embodiment, the number of sequences per group can be set as follows.
[Уравнение 16][Equation 16]
{1RB, 2RB, 3RB, 4RB, 5RB, 6RB, 8RB, 9RB, 10RB, 12RB, 15RB, 16RB, 18RB, 20RB, 24RB, 25RB, …}={1, 1, 1, 1, 1, 2, 2, 3, 3, 4, 5, 6, 7, 7, 9, 9, …}{1RB, 2RB, 3RB, 4RB, 5RB, 6RB, 8RB, 9RB, 10RB, 12RB, 15RB, 16RB, 18RB, 20RB, 24RB, 25RB, ...} = {1, 1, 1, 1, 1, 2, 2 , 3, 3, 4, 5, 6, 7, 7, 9, 9, ...}
На этом основании в нижеследующих таблицах 6-8 показан пример группирования последовательностей, при котором каждая группа содержит количество последовательностей согласно уравнению 16, и последовательности, выбранные для каждой группы, удовлетворяют вышеупомянутому условию высокой взаимной корреляции.On this basis, the following tables 6-8 show an example of grouping sequences in which each group contains the number of sequences according to equation 16, and the sequences selected for each group satisfy the above condition of high cross-correlation.
Наподобие таблиц 1-5 в таблицах 6-8 последовательности длиной 1 RB и 2 RB не показаны, поскольку последовательности длиной 1 RB и 2 RB задаются иначе.Like tables 1-5 in tables 6-8, sequences of 1 RB and 2 RB are not shown, since sequences of 1 RB and 2 RB are specified differently.
В еще одном варианте осуществления этого изобретения максимальное количество последовательностей на каждую группу можно заранее определить по различным причинам. В нижеследующих таблицах 9 и 10 показан пример случая, когда максимальное количество последовательностей на группу ограничено 5 последовательностями.In yet another embodiment of this invention, the maximum number of sequences per group can be predetermined for various reasons. The following tables 9 and 10 show an example of a case where the maximum number of sequences per group is limited to 5 sequences.
В другом примере, максимальное количество последовательностей можно заранее определить равным 4. Этот случай показан в нижеследующих таблицах 11 и 12.In another example, the maximum number of sequences can be predetermined equal to 4. This case is shown in the following tables 11 and 12.
В другом примере максимальное количество последовательностей можно заранее определить равным 3. Этот случай показан в нижеследующих таблицах 13 и 14.In another example, the maximum number of sequences can be predetermined equal to 3. This case is shown in the following tables 13 and 14.
В другом примере максимальное количество последовательностей можно заранее определить равным 2. Этот случай показан в нижеследующих таблицах 15 и 16.In another example, the maximum number of sequences can be predetermined equal to 2. This case is shown in the following tables 15 and 16.
В другом примере максимальное количество последовательностей можно заранее определить равным 1. Этот случай показан в нижеследующей таблице 17.In another example, the maximum number of sequences can be predetermined equal to 1. This case is shown in the following table 17.
С учетом сложности конфигурации и гибкости поддержки возможности UE использовать опорную сигнальную последовательность переменной длины один вариант осуществления этого изобретения предусматривает осуществление группирования так, чтобы каждая из групп содержала одну базовую последовательность каждой длины, соответствующей длине от 1 до 5 RB, и две базовые последовательности каждой длины, соответствующей длине 6 RB или более. Это соответствует таблицам 15 и 16.Given the complexity of the configuration and the flexibility to support the ability of the UE to use a variable length reference signal sequence, one embodiment of this invention provides for grouping such that each group contains one base sequence of each length corresponding to a length of 1 to 5 RB and two base sequences of each length corresponding to a length of 6 RB or more. This corresponds to tables 15 and 16.
Здесь базовая последовательность - это последовательность ZC, указанная индексом корня, которая используется для применения циклического сдвига, соответствующего различным значениям циклического сдвига. Базовую последовательность с циклическим сдвигом можно использовать в качестве опорной сигнальной последовательности.Here, the base sequence is the ZC sequence indicated by the root index, which is used to apply a cyclic shift corresponding to different values of the cyclic shift. The base sequence with a cyclic shift can be used as a reference signal sequence.
В вышеприведенных таблицах 1-17 отражен случай выбора индекса(ов) корня с использованием выражения (s1/N1-s2/N2). Однако в еще одном варианте осуществления этого изобретения индекс(ы) корня можно выбирать путем вычисления фактического значения взаимной корреляции. Нижеследующие таблицы 18-0 соответствуют таблицам 6-8, но индексы корня выбираются путем вычисления фактического значения взаимной корреляции.In the above tables 1-17 reflects the case of selecting the index (s) of the root using the expression (s1 / N1 -s2 / N2 ). However, in yet another embodiment of this invention, the root index (s) can be selected by calculating the actual cross-correlation value. The following tables 18-0 correspond to tables 6-8, but the root indices are selected by calculating the actual cross-correlation value.
В этом случае, если максимальное количество последовательностей на каждую группу заранее определено равным 5, группирование можно осуществлять согласно нижеследующим таблицам 21 и 22. В таблицах 21 и 22 также отражен случай выбора базовых последовательностей путем вычисления фактической взаимной корреляции.In this case, if the maximum number of sequences for each group is predetermined to be 5, grouping can be performed according to the following tables 21 and 22. Tables 21 and 22 also reflect the case of selecting the base sequences by calculating the actual cross-correlation.
В другом примере, если максимальное количество последовательностей на каждую группу заранее определено равным 4, группирование можно осуществлять согласно нижеследующим таблицам 23 и 24. В таблицах 23 и 24 также отражен случай выбора базовых последовательностей путем вычисления фактической взаимной корреляции.In another example, if the maximum number of sequences for each group is predetermined equal to 4, grouping can be performed according to the following tables 23 and 24. Tables 23 and 24 also reflect the case of selecting the base sequences by calculating the actual cross-correlation.
В другом примере, если максимальное количество последовательностей на каждую группу заранее определено равным 3, группирование можно осуществлять согласно нижеследующим таблицам 25 и 26. В таблицах 25 и 26 также отражен случай выбора базовых последовательностей путем вычисления фактической взаимной корреляции.In another example, if the maximum number of sequences for each group is predetermined to be 3, grouping can be performed according to the following tables 25 and 26. Tables 25 and 26 also reflect the case of selecting the base sequences by calculating the actual cross-correlation.
В другом примере, если максимальное количество последовательностей на каждую группу заранее определено равным 2, группирование можно осуществлять согласно нижеследующей таблице 27. В таблице 27 также отражен случай выбора базовых последовательностей путем вычисления фактической взаимной корреляции.In another example, if the maximum number of sequences for each group is predetermined equal to 2, grouping can be performed according to the following table 27. Table 27 also reflects the case of selecting the base sequences by calculating the actual cross-correlation.
В другом примере, если максимальное количество последовательностей на каждую группу заранее определено равным 1, группирование можно осуществлять согласно нижеследующей таблице 28. В таблице 28 также отражен случай выбора базовых последовательностей путем вычисления фактической взаимной корреляции.In another example, if the maximum number of sequences for each group is predetermined equal to 1, grouping can be performed according to the following table 28. Table 28 also reflects the case of selecting the base sequences by calculating the actual cross-correlation.
Для вышеописанных случаев таблицы можно реорганизовать согласно выделенному количеству последовательностей для каждой группы и каждой длины.For the above cases, the tables can be reorganized according to the allocated number of sequences for each group and each length.
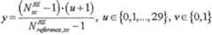
Для другого примера этого изобретения вышеприведенные таблицы можно распространить до длины 100 RB, и нижеследующие таблицы показывают этот пример. В этом примере максимальное значение номера индекса (v) корня для длины 5 RB или меньше задано равным 1, и максимальное значение номера (v) индекса корня для длины, превышающей 5 RB, задано равным 2.For another example of this invention, the above tables can be extended to a length of 100 RB, and the following tables show this example. In this example, the maximum root index number (v) for a length of 5 RB or less is set to 1, and the maximum root index number (v) for a length greater than 5 RB is set to 2.
На основании этих концепций настоящее изобретение обеспечивает следующий способ генерации опорной сигнальной последовательности с использованием последовательности ZC.Based on these concepts, the present invention provides the following method for generating a reference signal sequence using the ZC sequence.
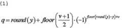
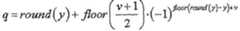
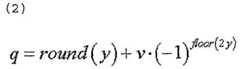
Для генерации опорной сигнальной последовательности один вариант осуществления настоящего изобретения задает конкретную базовую последовательность для применения циклического сдвига. В этом варианте осуществления базовая последовательность задается с использованием последовательности ZC с определенным индексом корня (далее “q”). Конкретная базовая последовательность выбирается из групп базовых последовательностей, и каждая группа базовых последовательностей содержит базовые последовательности, имеющие высокую взаимную корреляцию, как указано выше. Поэтому, если нужно выбрать конкретную базовую последовательность с индексом "q", "q" следует выбирать с учетом индекса группы (далее "u") и индекса номера базовой последовательности в каждой группе (далее “v”). Таким образом, "q" должен быть функцией "u" и "v".To generate a reference signal sequence, one embodiment of the present invention defines a particular base sequence for applying a cyclic shift. In this embodiment, the base sequence is specified using a ZC sequence with a specific root index (hereinafter “q”). A particular base sequence is selected from groups of base sequences, and each group of base sequences contains base sequences having high cross-correlation, as described above. Therefore, if you want to select a specific base sequence with the index "q", "q" should be selected taking into account the index of the group (hereinafter "u") and the index of the number of the basic sequence in each group (hereinafter “v"). Thus, q must be a function of u and v.
После выбора конкретной базовой последовательности с индексом корня "q" к выбранной базовой последовательности можно применять циклический сдвиг, соответствующий различным значениям циклического сдвига.After selecting a particular base sequence with the root index “q”, a cyclic shift corresponding to various values of the cyclic shift can be applied to the selected base sequence.
Если рассматривать соотношение между "q", "u" и “v” более конкретно, "q" можно получить согласно следующим уравнениям. Следующие уравнения 17 и 18 позволяют выбрать индекс "q", отвечающий условию, что выражение (s1/N1-s2/N2) приближается к нулю.If we consider the relationship between “q”, “u” and “v” more specifically, “q” can be obtained according to the following equations. The following equations 17 and 18 allow you to choose the index "q" that meets the condition that the expression (s1 / N1 -s2 / N2 ) approaches zero.
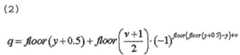
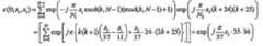
[Уравнение 17][Equation 17]
гдеWhere
[Уравнение 18][Equation 18]
гдеWhere
Здесь - длина генерации корневой последовательности ZC, используемой при генерации q-й корневой последовательности ZC, и задается наибольшим простым числом, которое меньше размера соответствующей опорной сигнальной последовательности. Таким образом, базовая последовательность генерируется методом циклического расширения.Here is the generation length of the root sequence ZC used to generate the qth root sequence ZC, and is given by the largest prime number that is less than the size of the corresponding reference signal sequence. Thus, the base sequence is generated by the cyclic extension method.
Кроме того, - это длина, заданная наибольшим простым числом, которое меньше размера опорной последовательности, например длины 3 RB. Если группирование основано на длине 3 RB, то равно 31. "round(z)" является функцией округления до ближайшего целого числа, ближайшего к z, и "floor(z)" является функцией, возвращающей наибольшее целое число, не превышающее z.Besides, is the length given by the largest prime number that is less than the size of the reference sequence, for example, a length of 3 RB. If the grouping is based on a length of 3 RB, then equals 31. "round (z)" is a function of rounding to the nearest integer closest to z, and "floor (z)" is a function that returns the largest integer not exceeding z.
Согласно другому варианту осуществления этого изобретения, если последовательность ZC генерируется методом усечения, то можно задать наименьшим простым числом, которое больше размера соответствующей опорной сигнальной последовательности. В этом случае может представлять собой длину, заданную наименьшим простым числом, которое больше размера опорной последовательности, например длины 3 RB. Если группирование основано на длине 3 RB, то может быть равно 37.According to another embodiment of this invention, if the ZC sequence is generated by truncation, then can be specified with the smallest prime number that is larger than the size of the corresponding reference signal sequence. In this case may be the length given by the smallest prime number that is larger than the size of the reference sequence, for example, a length of 3 RB. If the grouping is based on a length of 3 RB, then may be equal to 37.
Согласно уравнениям 17 и 18 "m"-й элемент "q"-й последовательности ZC () можно выразить следующим образом.According to equations 17 and 18, the “m” th element of the “q” th sequence ZC ( ) can be expressed as follows.
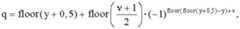
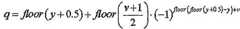
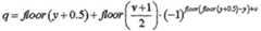
[Уравнение 19][Equation 19]
Поскольку "round(y)" и "floor(y+0.5)" фактически эквивалентны, уравнения 17 и 18 имеют один и тот же смысл. В уравнениях 17 и 18 выражение означает, что если "y" имеет значение 0.5 или более в своем десятичном разряде,Since "round (y)" and "floor (y + 0.5)" are actually equivalent, equations 17 and 18 have the same meaning. In equations 17 and 18, the expression means that if "y" has a value of 0.5 or more in its decimal place,
можно вычислить как "1", и если "y" имеет значение меньше 0.5 в своем десятичном разряде, можно вычислить как "-1". Поэтомуcan be calculated as "1", and if "y" has a value less than 0.5 in its decimal place, can be calculated as "-1". therefore
можно заменить или любыми другими эквивалентными выражениями, имеющими один и тот же смысл.can be replaced or any other equivalent expressions that have the same meaning.
В вышеприведенных примерах, когда группирование осуществляется для длины свыше 3 RB на основании длины 3 RB и при генерации последовательности ZC на основании метода циклического расширения, может быть равно 31. Кроме того, при генерации последовательности ZC методом усечения может быть равно 37. Когда группирование осуществляется для длины свыше 4 RB на основании длины 4 RB и при генерации последовательности ZC на основании метода циклического расширения, может быть равно 47. Кроме того, при генерации последовательности ZC методом усечения, может быть равно 49. Это можно легко применить к группированию на основании другой длины.In the above examples, when grouping is performed for a length of more than 3 RB based on a length of 3 RB and when generating a ZC sequence based on a cyclic extension method, may be 31. In addition, when generating a ZC sequence by truncation may be equal to 37. When grouping is performed for a length of more than 4 RB based on a length of 4 RB and when generating a ZC sequence based on the cyclic extension method, may be 47. In addition, when generating a ZC sequence by truncation, may be 49. This can easily be applied to grouping based on a different length.
Вышеприведенные таблицы можно получить из уравнений 17 и 18. Нижеследующие примеры демонстрируют выбор индекса корня согласно уравнениям 17 и 18.The above tables can be obtained from equations 17 and 18. The following examples demonstrate the choice of the root index according to equations 17 and 18.
Сначала, если Nreference,zc=31, способ выбора первой группы ("u"=0), когда 1)Nzc=47, 2)Nzc=71, 3)Nzc=211, осуществляется следующим образом. В нижеследующих примерах используется уравнение 18.First, if Nreference, zc = 31, the method of selecting the first group ("u" = 0), when 1) Nzc = 47, 2) Nzc = 71, 3) Nzc = 211, is as follows. In the following examples, equation 18 is used.
Поэтому для длины 4 RB количество первых базовых последовательностей (v=0) в первой группе (u=0) равно 2 (q=2).Therefore, for a length of 4 RB, the number of first base sequences (v = 0) in the first group (u = 0) is 2 (q = 2).
Поэтому для длины 6 RB количество первых базовых последовательностей (v=0) в первой группе (u=0) равно 2 (q=2).Therefore, for a length of 6 RB, the number of first base sequences (v = 0) in the first group (u = 0) is 2 (q = 2).
Поэтому для длины 18 RB количество первых базовых последовательностей (v=0) в первой группе (u=0) равно 7 (q=7).Therefore, for a length of 18 RB, the number of first base sequences (v = 0) in the first group (u = 0) is 7 (q = 7).
Для вышеописанных случаев выбранные индексы (q) корня соответствуют данным в таблицах 6-8, которые генерируются на основании длины 3 RB.For the above cases, the selected root indices (q) correspond to the data in Tables 6-8, which are generated based on a length of 3 RB.
В другом примере, если Nreference,zc=47 (на основании длины 4 RB), способ выбора второй группы (u=1), когда 1)Nzc=59, 2)Nzc=107, 3)Nzc=139 осуществляется следующим образом. В нижеследующих примерах используется уравнение 18.In another example, if Nreference, zc = 47 (based on the length of 4 RB), the method of choosing the second group (u = 1), when 1) Nzc = 59, 2) Nzc = 107, 3) Nzc = 139 carried out as follows. In the following examples, equation 18 is used.
Поэтому для длины 5 RB количество первых базовых последовательностей (v=0) во второй группе (u=1) равно 3 (q=3).Therefore, for a length of 5 RB, the number of first base sequences (v = 0) in the second group (u = 1) is 3 (q = 3).
Поэтому для длины 9 RB количество первых базовых последовательностей (v=0) во второй группе (u=1) равно 5 (q=5).Therefore, for a length of 9 RB, the number of first base sequences (v = 0) in the second group (u = 1) is 5 (q = 5).
Поэтому для длины 12 RB количество первых базовых последовательностей (v=0) во второй группе (u=1) равно 6 (q=6).Therefore, for a length of 12 RB, the number of first base sequences (v = 0) in the second group (u = 1) is 6 (q = 6).
В еще одном варианте осуществления настоящего изобретения уравнения 17 и 18 можно заменить следующим образом.In yet another embodiment of the present invention, equations 17 and 18 can be replaced as follows.
[Уравнение 20][Equation 20]
гдеWhere
[Уравнение 21][Equation 21]
гдеWhere
Поскольку «round(y)» и «floor(y+0.5)» фактически эквивалентны, уравнения 20 и 21 имеют один и тот же смысл.Since “round (y)” and “floor (y + 0.5)” are actually equivalent, equations 20 and 21 have the same meaning.
В еще одном варианте осуществления настоящего изобретения уравнения 17 и 18 можно заменить следующим образом.In yet another embodiment of the present invention, equations 17 and 18 can be replaced as follows.
[Уравнение 22][Equation 22]
гдеWhere
[Уравнение 23][Equation 23]
гдеWhere
Эти уравнения соответствуют различным методам группирования, объясненным в связи с вышеприведенными таблицами.These equations correspond to various grouping methods explained in connection with the above tables.
Если максимальное количество последовательностей, которые можно сгруппировать в одну группу, заранее определено равным 2, уравнения 17-18, 20-21 и 22-23 можно упростить следующим образом соответственно.If the maximum number of sequences that can be grouped into one group is predetermined equal to 2, equations 17-18, 20-21, and 22-23 can be simplified as follows.
[Уравнение 24][Equation 24]
гдеWhere
[Уравнение 25][Equation 25]
гдеWhere
[Уравнение 26][Equation 26]
гдеWhere
[Уравнение 27][Equation 27]
гдеWhere
[Уравнение 28][Equation 28]
гдеWhere
[Уравнение 29][Equation 29]
гдеWhere
Уравнения 17-18, 20-21 и 22-23 позволяют выбирать индекс корня ZC, отвечающий условию, что выражение (s1/N1-s2/N2) приближается к нулю. Уравнения 24-29 позволяют выбирать индекс корня ZC, когда максимальное количество последовательностей каждой длины на группу ограничено 2.Equations 17-18, 20-21 and 22-23 allow you to choose the root index ZC, corresponding to the condition that the expression (s1 / N1 -s2 / N2 ) approaches zero. Equations 24-29 allow you to choose the root index ZC, when the maximum number of sequences of each length per group is limited to 2.
Однако, если обобщить эти уравнения так, чтобы выражение (s1/N1-s2/N2) приближалось к конкретному значению (T), можно получить следующие уравнения. В этом случае значение "T" может быть равно 0, 1/2, -1/2, 1/3, -1/3. Однако значение "T" может иметь другое значение.However, if we generalize these equations so that the expression (s1 / N1 -s2 / N2 ) approaches the specific value (T), we can obtain the following equations. In this case, the value of "T" may be 0, 1/2, -1/2, 1/3, -1/3. However, the value of "T" may have a different meaning.
В следующих уравнениях уравнения 30 и 31 позволяют выбирать индекс корня ZC, когда максимальное количество последовательностей каждой длины на группу может иметь максимальное значение. Уравнения 32 и 33 позволяют выбирать индекс корня ZC, когда максимальное количество последовательностей каждой длины на группу ограничено 2.In the following equations, equations 30 and 31 allow you to select the root index ZC when the maximum number of sequences of each length per group can have a maximum value. Equations 32 and 33 allow you to choose the root index ZC, when the maximum number of sequences of each length per group is limited to 2.
[Уравнение 30][Equation 30]
гдеWhere
[Уравнение 31][Equation 31]
гдеWhere
[Уравнение 32][Equation 32]
гдеWhere
[Уравнение 33][Equation 33]
гдеWhere
Специалистам в данной области техники очевидно, что настоящее изобретение можно реализовать в других конкретных формах, не выходя за рамки сущности и отличительных признаков изобретения. Таким образом, вышеописанные варианты осуществления следует рассматривать во всех отношениях как иллюстративные, но не ограничительные. Объем изобретения должен определяться разумной интерпретацией формулы изобретения, и все изменения, укладывающиеся в эквивалентный объем изобретения, должны быть включены в объем изобретения.Specialists in the art it is obvious that the present invention can be implemented in other specific forms, without going beyond the essence and distinguishing features of the invention. Thus, the above embodiments should be considered in all respects as illustrative, but not restrictive. The scope of the invention should be determined by a reasonable interpretation of the claims, and all changes falling within the equivalent scope of the invention should be included in the scope of the invention.
Промышленное применениеIndustrial application
Согласно вариантам осуществления настоящего изобретения можно минимизировать межсотовую помеху, обусловленную использованием последовательностей переменной длины. Если каждая сгруппированная базовая последовательность выделяется конкретной соте или Node B, UE может использовать последовательность переменной длины в качестве опорного сигнала.According to embodiments of the present invention, inter-cell interference due to the use of variable length sequences can be minimized. If each grouped base sequence is allocated to a specific cell or Node B, the UE may use a variable length sequence as a reference signal.
Эти способы пригодны для использования в системе 3GPP LTE (3rd Generation Partnership Project Long Term Evolution). Однако специалисту в данной области техники очевидно, что эти способы можно применять к любой системе беспроводной связи, использующей последовательности разной длины в качестве опорных сигнальных последовательностей.These methods are suitable for use in the 3GPP LTE (3rd Generation Partnership Project Long Term Evolution) system. However, it will be apparent to those skilled in the art that these methods can be applied to any wireless communication system using sequences of different lengths as reference signal sequences.
| Application Number | Priority Date | Filing Date | Title | 
|---|---|---|---|
| US88806507P | 2007-02-02 | 2007-02-02 | |
| US60/888,065 | 2007-02-02 | ||
| KR20070047494 | 2007-05-16 | ||
| KR10-2007-0047494 | 2007-05-16 | ||
| KR10-2007-0099707 | 2007-10-04 | ||
| KR1020070108226AKR20080072511A (en) | 2007-02-02 | 2007-10-26 | Sequence allocation method having various resource block lengths and sequence grouping method therefor | 
| KR10-2007-0108226 | 2007-10-26 | ||
| KR10-2007-0109089 | 2007-10-29 | ||
| US98438607P | 2007-11-01 | 2007-11-01 | |
| US60/984,386 | 2007-11-01 | ||
| US61/019,588 | 2008-01-07 | 
| Publication Number | Publication Date | 
|---|---|
| RU2009132939A RU2009132939A (en) | 2011-03-10 | 
| RU2419234C1true RU2419234C1 (en) | 2011-05-20 | 
| Application Number | Title | Priority Date | Filing Date | 
|---|---|---|---|
| RU2009132939/09ARU2419234C1 (en) | 2007-02-02 | 2008-02-01 | Method to generate reference signal sequence with application of grouping | 
| Country | Link | 
|---|---|
| RU (1) | RU2419234C1 (en) | 
| Publication number | Priority date | Publication date | Assignee | Title | 
|---|---|---|---|---|
| US5430774A (en)* | 1992-11-30 | 1995-07-04 | Alcatel N.V. | Data transmission method and base transceiver station using this method | 
| RU2137312C1 (en)* | 1998-10-16 | 1999-09-10 | Военная академия связи | Method and device controlling transmission of data package over common-user communication channel | 
| US6115354A (en)* | 1994-07-20 | 2000-09-05 | Timlar Konle | Multiple carrier transmission in common-wave networks | 
| RU2195789C2 (en)* | 1997-05-13 | 2002-12-27 | Нокиа Нетворкс Ой | Process of data transmission with packet switching | 
| US20050226140A1 (en)* | 2004-03-30 | 2005-10-13 | Xiangyang Zhuang | Method and apparatus for pilot signal transmission | 
| Publication number | Priority date | Publication date | Assignee | Title | 
|---|---|---|---|---|
| US5430774A (en)* | 1992-11-30 | 1995-07-04 | Alcatel N.V. | Data transmission method and base transceiver station using this method | 
| US6115354A (en)* | 1994-07-20 | 2000-09-05 | Timlar Konle | Multiple carrier transmission in common-wave networks | 
| RU2195789C2 (en)* | 1997-05-13 | 2002-12-27 | Нокиа Нетворкс Ой | Process of data transmission with packet switching | 
| RU2137312C1 (en)* | 1998-10-16 | 1999-09-10 | Военная академия связи | Method and device controlling transmission of data package over common-user communication channel | 
| US20050226140A1 (en)* | 2004-03-30 | 2005-10-13 | Xiangyang Zhuang | Method and apparatus for pilot signal transmission | 
| Publication number | Publication date | 
|---|---|
| RU2009132939A (en) | 2011-03-10 | 
| Publication | Publication Date | Title | 
|---|---|---|
| US10044461B2 (en) | Method for generating a reference signal sequence using grouping | |
| USRE47661E1 (en) | Method for setting cyclic shift considering frequency offset | |
| US8681895B2 (en) | Method for setting cyclic shift considering frequency offset | |
| CN102983931A (en) | Base station device and communication method executed by base station device | |
| CN101674277B (en) | Method for generating a reference signal sequence using grouping | |
| KR101221907B1 (en) | Method For Multiplexing UE Signals Having Different Bandwidth, And Method For Transmitting Uplink Signal | |
| RU2419234C1 (en) | Method to generate reference signal sequence with application of grouping | |
| KR100934667B1 (en) | How to generate a reference signal sequence | |
| KR101356492B1 (en) | Method For Generating and Allocating Sequence Based On Grouping Of Resource Block | |
| CN102970098B (en) | The sending method that termination and termination perform | |
| ES2748581T3 (en) | Procedure of transmitting a reference signal sequence using a zadoff-chu (zc) sequence and a transmitting part device to transmit said reference signal sequence | |
| KR20080045941A (en) | Multiplexing of Reference Signals and Cascading Sequence Allocation Method |