



Изобретение относится к навигации, а именно к системам определения положения объекта без использования отражения или вторичного излучения, и может быть использовано для расширения возможностей систем круиз-контроля и предупреждения водителей транспортных средств о нарушении скоростного режима движения.The invention relates to navigation, and in particular to systems for determining the position of an object without using reflection or secondary radiation, and can be used to expand the capabilities of cruise control systems and warn drivers of vehicles about violation of the high-speed mode of movement.
Известен способ определения положения контролируемого объекта или отдельных его точек в трехмерном пространстве [1], относящийся к системам технического зрения (СТЗ). Способ основан на трехмерной локации точки с помощью трех или двух измерительных систем, оптические оси которых направлены вдоль осей ортогональной системы координат (X, Y, Z) и пересекаются в ее начале (фиг.1).A known method for determining the position of a controlled object or its individual points in three-dimensional space [1], relating to systems of technical vision (STZ). The method is based on a three-dimensional location of a point using three or two measuring systems, the optical axes of which are directed along the axes of the orthogonal coordinate system (X, Y, Z) and intersect at its beginning (Fig. 1).
Используя, например, два ОЛБ с системами отсчета координат внутри каждого, можно определить координаты точки А путем решения следующей системы уравнений:Using, for example, two ARSs with coordinate systems within each coordinate, you can determine the coordinates of point A by solving the following system of equations:
где αxj - угловая координата точки А, отсчитанная от оси х в j-м ОЛБ; αyj - угловая координата точки А, отсчитанная от оси у в j-м ОЛБ; dj - расстояние до начала координат от передней узловой точки фотообъектива j-го ОЛБ.where αxj is the angular coordinate of point A, counted from the x axis in the j-th ARS; αyj is the angular coordinate of point A, counted from the y axis in the j-th ARS; dj is the distance to the origin from the front nodal point of the j-ARB photographic lens.
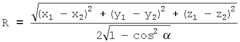
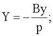
Известен наиболее близкий по технической сущности к изобретению способ, описанный в [1, 2], относящийся к системам дистанционного определения координат подвижных объектов - системам технического зрения. Способ определения положения контролируемого объекта или отдельных его точек в трехмерном пространстве основан на использовании стереоскопической схемы геометрического типа, состоящей из двух одинаковых фотообъективов 01 и 02 с параллельными оптическими осями, разнесенных на известное расстояние, и двух матричных фотодетекторов. Главные точки объективов расположены на одной линии (линии базы), перпендикулярной к оптическим осям (фиг.2). Если выбрать начало координат О в середине линии базы длиной В, то измеряя координаты изображений x1 и x2 произвольной точки А и их разность p=x1-x2, называемую линейным параллаксом, можно определить координату точки А. Две другие координаты (на фиг.2 не показаны) определяются в соответствии с выражениями:Known closest in technical essence to the invention, the method described in [1, 2], relating to remote sensing systems of coordinates of moving objects - vision systems. The method for determining the position of a controlled object or its individual points in three-dimensional space is based on the use of a stereoscopic geometric type scheme consisting of two identical photo lenses 01 and 02 with parallel optical axes spaced a known distance, and two photodetector arrays. The main points of the lenses are located on the same line (base line), perpendicular to the optical axes (figure 2). If you choose the origin of coordinates O in the middle of the base line of length B, then measuring the coordinates of the images x1 and x2 of an arbitrary point A and their difference p = x1 -x2 , called linear parallax, you can determine the coordinate points A. Two other coordinates (not shown in FIG. 2) are determined in accordance with the expressions:
где у=у1-у2 - координата изображений точки по оси Y, перпендикулярной к плоскости чертежа; Z - ось системы координат, направленная от середины базы О к плоскости предметов.where y = y1 -y2 is the coordinate of the images of the point along the Y axis perpendicular to the plane of the drawing; Z is the axis of the coordinate system, directed from the middle of the base O to the plane of objects.
Недостатком описанных аналога и прототипа является отсутствие возможности определения допустимой скорости движения транспортного средства на повороте дороги.The disadvantage of the described analogue and prototype is the inability to determine the allowable speed of the vehicle at a bend in the road.
Технической задачей изобретения является контроль скорости движения транспортного средства на повороте. Технический результат изобретения заключается в определении радиуса кривизны предстоящего участка дороги, текущей и допустимой скорости движения транспортного средства по условиям опрокидывания и скольжения, что достигается за счет использования высокоточного измерителя первичной навигационной информации - двух оптико-локационных блоков и вычислителя.An object of the invention is to control the speed of the vehicle in a bend. The technical result of the invention is to determine the radius of curvature of the upcoming road section, the current and permissible speed of the vehicle under the conditions of tipping and sliding, which is achieved through the use of a high-precision measuring instrument for primary navigation information - two optical-location blocks and a computer.
Единый технический результат изобретения достигается тем, что в способе контроля скорости транспортного средства на повороте, основанном на трехмерной локации точки с помощью оптико-локационных блоков, каждый из которых содержит фотообъектив и матричный фотоприемник, а также вычислителя, в вычислителе осуществляют обработку оцифрованных изображений поверхности автодороги, снимаемых с двух разнесенных оптико-локационных блоков, установленных на транспортном средстве, выбирают в поле изображения три идентичные точки в одноименных вершинах штриховых линий разметки определяют координаты этих точек на фотоматрицах (Ym1, Zm1), (Ym2, Zm2), (Ym3, Zm3), где m - номер фотоматрицы, а второй индекс l=1, 2, 3 - номер точки B1, В2, В3 соответственно, вычисляют координаты точек B1, В2, В3 в системе координат OXYZ, связанной с транспортным средством,A single technical result of the invention is achieved by the fact that in the method of controlling the vehicle’s speed on a bend, based on a three-dimensional location of a point using optical-location blocks, each of which contains a photo lens and a matrix photodetector, as well as a computer, the computer processes digital images of the road surface removed from two spaced-apart optical-location blocks mounted on a vehicle, three identical points in the same field are selected in the image field The coordinates of these points on the photomatrices (Ym1 , Zm1 ), (Ym2 , Zm2 ), (Ym3 , Zm3 ), where m is the number of the photomatrix, and the second index l = 1, 2, 3 - the point number B1 , B2 , B3, respectively, calculate the coordinates of the points B1 , B2 , B3 in the coordinate system OXYZ associated with the vehicle,
где F - фокусное расстояние первого и второго фотообъективов, м;where F is the focal length of the first and second photo lenses, m;
В - расстояние между фотоматрицами, м,B - distance between photomatrixes, m,
вычисляют радиус изгиба автодороги, мcalculate the bending radius of the highway, m
гдеWhere
задают условия движения, определяющие коэффициент трения сцепления колес транспортного средства о покрытие дороги, которые включают в себя погодные условия, характер покрытия автодороги, качества резины, вычисляют допустимую скорость транспортного средства на повороте по условию опрокидывания:set the driving conditions that determine the coefficient of friction of the clutch of the vehicle’s wheels on the road surface, which include weather conditions, the nature of the road cover, the quality of the rubber, calculate the allowable speed of the vehicle when cornering according to the rollover condition:
где g - ускорение свободного падения, м/с2, hцт - высота центра тяжести автомобиля, м, lб - колесная база автомобиля, м,where g is the acceleration of gravity, m / s2 , hct is the height of the center of gravity of the car, m, lb is the wheelbase of the car, m,
вычисляют допустимую скорость автомобиля на повороте по условиям сцепленияcalculate the allowable speed of the car on the corner according to the clutch
где - коэффициент трения сцепления колес транспортного средства о покрытие дороги, значения индекса i=1,2,3 зависят от погодных условий, соответственно сухо, дождь, обледенение, значения индекса j=1,2,3, зависят от покрытия автодороги, соответственно асфальт, бетон, гравий, значения индекса k=1,2,3, зависят от качества резины, соответственно летняя, зимняя, шипованная,Where - coefficient of friction of the clutch of the wheels of the vehicle on the road surface, the values of the index i = 1,2,3 depend on weather conditions, respectively, dry, rain, icing, the values of the index j = 1,2,3 depend on the surface of the road, respectively, asphalt, concrete, gravel, index values k = 1,2,3, depend on the quality of the rubber, respectively summer, winter, studded,
определяют текущую и допустимую скорости транспортного средства на поворотеdetermine the current and permissible speed of the vehicle when cornering
где V - текущая скорость транспортного средства, Vдоп - допустимая скорость транспортного средства на повороте, минимальная из двух величин Vдоп.с и Vдоп.о, X1,n - координата идентичной точки в tn момент времени с номером n=1,2,3…,where V is the current speed of the vehicle, Vadd is the allowable speed of the vehicle on a turn, the minimum of two values of Vadd and Vadd , X1, n is the coordinate of an identical point at tn point in time with number n = 1 , 2,3 ...,
осуществляют контроль превышения текущей скорости транспортного средства над допустимой скоростью транспортного средства на поворотеcontrol the excess of the current vehicle speed over the permissible vehicle speed in a bend
V≤Vдоп.о.V≤Vadd.
Существенными отличительными признаками от прототипа по способу является следующая совокупность действий:Salient features from the prototype of the method is the following set of actions:
выбор в поле изображения трех идентичных точек в одноименных углах фрагментов линии дорожной разметки (фиг.3);the selection in the image field of three identical points in the same corners of the fragments of the line of the road marking (figure 3);
вычисление координат трех идентичных точек в системе координат OXYZ, связанной с транспортным средством;calculating the coordinates of three identical points in the OXYZ coordinate system associated with the vehicle;
задание условий движения, определяющих коэффициент трения сцепления колес транспортного средства о покрытие дороги;setting traffic conditions that determine the coefficient of friction of the clutch of the vehicle’s wheels on the road surface;
вычисление допустимой скорости транспортного средства на повороте по условию опрокидывания;Calculation of the permissible speed of the vehicle on a turn according to the condition of capsizing;
вычисление допустимой скорости транспортного средства на повороте по условиям сцепления;the calculation of the allowable speed of the vehicle on a turn according to the clutch conditions;
определение текущей и допустимой скорости транспортного средства на повороте;determination of the current and permissible vehicle speed in a bend;
контроль превышения текущей скорости транспортного средства над допустимой скоростью транспортного средства на повороте.monitoring the excess of the current vehicle speed over the permissible vehicle speed in a bend.
На фиг.1 приведена схема трехмерной локации точки с помощью трех или двух измерительных систем, оптические оси которых направлены вдоль осей ортогональной системы координат (аналог).Figure 1 shows a diagram of a three-dimensional location of a point using three or two measuring systems, the optical axes of which are directed along the axes of the orthogonal coordinate system (analogue).
На фиг.2 изображена стереоскопическая схема геометрического типа (прототип).Figure 2 shows a stereoscopic diagram of a geometric type (prototype).
На фиг.3 показана пунктирная линия разметки автодороги и система координат, связанная с транспортным средством.Figure 3 shows the dashed line marking the road and the coordinate system associated with the vehicle.
На фиг.4 показан способ определения радиуса кривизны автодороги.Figure 4 shows a method for determining the radius of curvature of the road.
Описание способа контроля скорости транспортного средства на повороте автодорогиDescription of a method for controlling vehicle speed at a bend of a highway
Известно, что превышение допустимой скорости на повороте автодороги является причиной множества катастроф, но решение задачи об обоснованном выборе скорости выполнения такого маневра на практике всегда подменяется туманными рассуждениями об ограничении скорости. Решим задачу об определении допустимой скорости транспортного средства на повороте в два этапа. На первом этапе рассмотрим способ определения радиуса изгиба автодороги по наблюдаемым линиям дорожной разметки. На втором этапе получим условие безопасного преодоления поворота по условиям опрокидывания и скольжения автомобиля.It is known that exceeding the permissible speed at the turn of the road is the cause of many disasters, but the solution to the problem of the reasonable choice of the speed of such a maneuver in practice is always replaced by vague arguments about speed limitation. We solve the problem of determining the allowable vehicle speed in a turn in two stages. At the first stage, we will consider a method for determining the bend radius of a road from the observed road marking lines. At the second stage, we obtain the condition for safely overcoming the turn according to the conditions of capsizing and sliding of the car.
Пусть транспортное средство имеет два разнесенных оптических блока с параллельными оптическими осями, связанных с вычислителем, который по изображениям, поступающим с фотоматриц, решает задачу определения координат точек фотографируемого ландшафта дороги.Let the vehicle have two spaced optical units with parallel optical axes connected to a computer that, using images from photomatrixes, solves the problem of determining the coordinates of the points of the photographed landscape of the road.
Выберем в поле изображения дорожного полотна три разнесенные идентичные точки B1, В2, В3, лежащие на линии дорожной разметки (фиг.3). Координаты этих точек обозначим (Ym1, Zm1), (Ym2, Zm2), (Ym3, Zm3), где m - номер фотоматрицы, а второй индекс l=1, 2, 3 - номер точки B1, В2, В3 соответственно.Choose in the image field of the roadway three spaced identical points B1 , B2 , B3 lying on the line of the road marking (figure 3). The coordinates of these points are denoted by (Ym1 , Zm1 ), (Ym2 , Zm2 ), (Ym3 , Zm3 ), where m is the number of the photomatrix and the second index l = 1, 2, 3 is the number of the point B1 , In2 , in3, respectively.
Выбор точек в поле изображения может осуществляться, например, по контурам штриховых линий разметки методом оконтуривания /1/. Эти идентичные точки должны быть выбраны в одноименных вершинах штриховых линий разметки.The points in the image field can be selected, for example, along the contours of dashed lines of the marking by the contouring method / 1 /. These identical points should be selected at the same vertices of the dashed lines of the marking.
Вычислим координаты точек B1, В2, В3 в системе координат, связанной с автомобилем:We calculate the coordinates of points B1 , B2 , B3 in the coordinate system associated with the car:
где F - фокусное расстояние первого и второго фотообъективов, м;where F is the focal length of the first and second photo lenses, m;
В - расстояние между фотоматрицами, м.B - distance between photomatrixes, m.
Угол α между векторами и найдем из известного выражения для скалярного произведения векторов и,Angle α between vectors and we find from the well-known expression for the scalar product of vectors and ,
гдеWhere
Радиус окружности найдем из треугольника O2O1B1 (фиг.4), поскольку 2π-β=2α, то sin α=sin β/2, а следовательно,We find the radius of the circle from the triangle O2 O1 B1 (Fig. 4), since 2π-β = 2α, then sin α = sin β / 2, and therefore
Подставим в это соотношение выражения для B1B3 и для sinα, получим:We substitute into this ratio the expressions for B1 B3 and for sinα, we obtain:
Для решения задачи об определении допустимой скорости на повороте рассмотрим силы, действующие на автомобиль в процессе поворота (фиг.5).To solve the problem of determining the permissible speed in a bend, we consider the forces acting on the car during the bend (Fig. 5).
Будем полагать, что поверхность дороги совпадает с горизонтальной плоскостью, поэтому вектор силы тяжести автомобиля Р, приложенный к его центру тяжести О, совпадает с вертикалью, а вектор центростремительной силы F параллелен плоскости горизонта. Положение равнодействующей этих сил вектора G определяет возможность опрокидывания автомобиля, если точка В лежит внутри отрезка АС, то опрокидывание не произойдет. Величина отрезка АС представляет собой половину колесной базы автомобиля lб. Тогда условие опрокидывания автомобиля имеет вид:We assume that the road surface coincides with the horizontal plane, therefore, the vehicle’s gravity vector P, applied to its center of gravity O, coincides with the vertical, and the centripetal force vector F is parallel to the horizon plane. The position of the resultant of these forces of the vector G determines the possibility of the vehicle tipping over; if point B lies inside the AC segment, then the tipping will not occur. The value of the AC segment is half the wheelbase of the car lb . Then the condition of the rollover of the car has the form:
илиor
где Vдоп.о - допустимая скорость автомобиля на повороте по условию опрокидывания, g - ускорение свободного падения, m - масса автомобиля, ОА - высота центра тяжести автомобиля.where Vadd.o is the permissible speed of the car in the corner according to the rollover condition, g is the acceleration of gravity, m is the mass of the car, OA is the height of the center of gravity of the car.
Тогда условие неопрокидывания автомобиля будет иметь вид:Then the condition of non-rollover of the car will look like:
где V - текущее значение скорости автомобиля.where V is the current value of the vehicle speed.
Скорость автомобиля V может быть получена от датчика скорости - спидометра, но и СТЗ позволяет решать эту задачу совершенно автономно. Поскольку непрерывно происходит определение координат Xk,n, Yk,n, Zk,n точек поверхности дорожного полотна, то скорость автомобиля можно вычислить по следующей формуле:Vehicle speed V can be obtained from the speed sensor - speedometer, but STZ also allows you to solve this problem completely autonomously. Since the coordinates Xk, n , Yk, n , Zk, n of the points of the road surface are continuously determined, the vehicle speed can be calculated using the following formula:
где Xk,n - координата k-й точки (фиг.3) в n-й момент времени tn.where Xk, n is the coordinate of the k-th point (figure 3) at the n-th point in time tn .
Сигнал о превышении скорости может быть передан водителю либо использован системой круиз-контроля для автоматического поддержания безопасной скорости на повороте.A speeding signal can be transmitted to the driver or used by the cruise control system to automatically maintain safe speed when cornering.
Рассмотренный механизм опрокидывания автомобиля на повороте не является единственным источником опасности, следует рассмотреть также возможность возникновения поперечного скольжения колес (юза). Это явление возникает, когда поперечная сила (центростремительная) превышает силу сцепления колеса с дорожным покрытием, что выражается следующим соотношением:The considered vehicle rollover mechanism at a bend is not the only source of danger; one should also consider the possibility of lateral wheel sliding (skidding). This phenomenon occurs when the transverse force (centripetal) exceeds the adhesion force of the wheel with the road surface, which is expressed by the following ratio:
где - коэффициент трения сцепления колес о покрытие автодороги.Where - coefficient of friction of the clutch of the wheels on the road surface.
После сокращения левой и правой частей равенства на массу получим:After reducing the left and right sides of the equality by mass we get:
где Vдоп.с - допустимая скорость автомобиля на повороте по условиям сцепления.where Vextra.s - the permissible speed of the car in the corner according to the clutch.
Условие отсутствия скольжения на повороте будет иметь вид:The condition for the absence of slip in the bend will be:
Величина скорости V автомобиля измеряется посредством СТЗ, а вот коэффициент трения Ктр принимает не вполне определенные значения, в зависимости от погодных условий, характера дорожного покрытия и качества резины (летняя, зимняя, шипованная). Поэтому для практического использования последнего равенства необходимо экспериментально определить значения коэффициента трения в различных случаях, соответствующих значениям индексов i, j, k. Значениям индекса i=1,2,3 соответствуют погодные условия, соответственно сухо, дождь, обледенение. Значениям индекса j=1,2,3 соответствуют покрытия автодороги, соответственно асфальт, бетон, гравий. Значениям индекса k=1,2,3 соответствуют качества резины, соответственно летняя, зимняя, шипованная.The magnitude of the speed V of the car is measured by STZ, but the coefficient of friction KTr takes not quite certain values, depending on weather conditions, the nature of the road surface and the quality of the tires (summer, winter, studded). Therefore, for the practical use of the last equality, it is necessary to experimentally determine the values of the coefficient of friction in various cases corresponding to the values of the indices i, j, k. The values of the index i = 1,2,3 correspond to weather conditions, respectively, dry, rain, icing. Index values j = 1,2,3 correspond to the road surface, respectively, asphalt, concrete, gravel. The values of the index k = 1,2,3 correspond to the quality of the rubber, respectively, summer, winter, studded.
Все эти признаки устанавливаются водителем вручную в зависимости от условий движения, но возможна и частичная автоматизация, например индекс погоды может устанавливаться от дополнительного датчика обледенения, широко применяемого в авиации, датчиков температуры и влажности. Следует также иметь в виду, что последнее условие будет давать на практике тем лучшие результаты, чем более детально (в более широком диапазоне условий вождения) будут определены значения. Эти условия могут быть как расширены, так и ограничены любым числом факторов.All these signs are set manually by the driver depending on traffic conditions, but partial automation is also possible, for example, the weather index can be set from an additional icing sensor, widely used in aviation, temperature and humidity sensors. It should also be borne in mind that the last condition will give in practice the better results, the more detailed (in a wider range of driving conditions) the values are determined . These conditions can be both expanded and limited by any number of factors.
Таким образом, объединим условия (1) и (2) путем выбораThus, we combine conditions (1) and (2) by choosing
где Vдоп - минимальная из двух величин Vдоп.с и Vдоп.о.where Vadd - the minimum of two values of Vadd. and Vadd .
Обобщенное условие безопасного преодоления изгиба дороги будет иметь вид:The generalized condition for safe overcoming the bend of the road will be:
V≤Vдоп.V≤Vadd .
Источники информацииInformation sources
1. Техническое зрение роботов. Под общ. ред. Ю.Г.Якушенкова. - М.: Машиностроение, 1990. - c.168-176.1. Technical vision of robots. Under the total. ed. Yu.G. Yakushenkova. - M.: Mechanical Engineering, 1990. - c.168-176.
2. Патент РФ на изобретение №2275652, кл. G01S /16, опубл. 10.06.2006, бюл. 200734 (прототип).2. RF patent for the invention No. 2275652, class. G01S / 16, publ. 06/10/2006, bull. 200734 (prototype).
| Application Number | Priority Date | Filing Date | Title | 
|---|---|---|---|
| RU2009111625/09ARU2407032C1 (en) | 2009-04-01 | 2009-04-01 | Method to control transport facility speed at turns | 
| Application Number | Priority Date | Filing Date | Title | 
|---|---|---|---|
| RU2009111625/09ARU2407032C1 (en) | 2009-04-01 | 2009-04-01 | Method to control transport facility speed at turns | 
| Publication Number | Publication Date | 
|---|---|
| RU2009111625A RU2009111625A (en) | 2010-10-10 | 
| RU2407032C1true RU2407032C1 (en) | 2010-12-20 | 
| Application Number | Title | Priority Date | Filing Date | 
|---|---|---|---|
| RU2009111625/09ARU2407032C1 (en) | 2009-04-01 | 2009-04-01 | Method to control transport facility speed at turns | 
| Country | Link | 
|---|---|
| RU (1) | RU2407032C1 (en) | 
| Publication number | Priority date | Publication date | Assignee | Title | 
|---|---|---|---|---|
| RU2530476C2 (en)* | 2013-01-10 | 2014-10-10 | Валерий Георгиевич Бондарев | Method of determining position of vehicle relative to dotted road marking | 
| RU2589802C1 (en)* | 2015-04-09 | 2016-07-10 | Общество С Ограниченной Ответственностью "Автодория" | Method for determining average speed of vehicle movement in section of road, having curvilinear segments | 
| Publication number | Priority date | Publication date | Assignee | Title | 
|---|---|---|---|---|
| US3765765A (en)* | 1971-12-27 | 1973-10-16 | Us Navy | Optical ranging device | 
| WO2001043104A1 (en)* | 1999-12-10 | 2001-06-14 | David Sitrick | Methodology, apparatus, and system for electronic visualization of traffic conditions | 
| RU2169373C2 (en)* | 1999-01-18 | 2001-06-20 | Дагестанский государственный университет | Device controlling range and velocity of travel of objects | 
| RU2271516C2 (en)* | 2002-10-16 | 2006-03-10 | Эл Джи Электроникс Инк. | Mode and arrangement for controlling of a road-crossing in a navigational system | 
| RU2275652C2 (en)* | 2001-05-28 | 2006-04-27 | Валерий Тимофеевич Глущенко | Method for location of radiation source and device for its realization | 
| RU59868U1 (en)* | 2006-04-03 | 2006-12-27 | Муниципальное образовательное учреждение дополнительного образования детей "Аэрокосмическая школа" | ROAD MANAGEMENT DEVICE | 
| US7286930B2 (en)* | 2004-01-30 | 2007-10-23 | Microsoft Corporation | Ghost following | 
| Publication number | Priority date | Publication date | Assignee | Title | 
|---|---|---|---|---|
| US3765765A (en)* | 1971-12-27 | 1973-10-16 | Us Navy | Optical ranging device | 
| RU2169373C2 (en)* | 1999-01-18 | 2001-06-20 | Дагестанский государственный университет | Device controlling range and velocity of travel of objects | 
| WO2001043104A1 (en)* | 1999-12-10 | 2001-06-14 | David Sitrick | Methodology, apparatus, and system for electronic visualization of traffic conditions | 
| RU2275652C2 (en)* | 2001-05-28 | 2006-04-27 | Валерий Тимофеевич Глущенко | Method for location of radiation source and device for its realization | 
| RU2271516C2 (en)* | 2002-10-16 | 2006-03-10 | Эл Джи Электроникс Инк. | Mode and arrangement for controlling of a road-crossing in a navigational system | 
| US7286930B2 (en)* | 2004-01-30 | 2007-10-23 | Microsoft Corporation | Ghost following | 
| RU59868U1 (en)* | 2006-04-03 | 2006-12-27 | Муниципальное образовательное учреждение дополнительного образования детей "Аэрокосмическая школа" | ROAD MANAGEMENT DEVICE | 
| Publication number | Priority date | Publication date | Assignee | Title | 
|---|---|---|---|---|
| RU2530476C2 (en)* | 2013-01-10 | 2014-10-10 | Валерий Георгиевич Бондарев | Method of determining position of vehicle relative to dotted road marking | 
| RU2589802C1 (en)* | 2015-04-09 | 2016-07-10 | Общество С Ограниченной Ответственностью "Автодория" | Method for determining average speed of vehicle movement in section of road, having curvilinear segments | 
| Publication number | Publication date | 
|---|---|
| RU2009111625A (en) | 2010-10-10 | 
| Publication | Publication Date | Title | 
|---|---|---|
| US11281918B1 (en) | 3D position estimation of objects from a monocular camera using a set of known 3D points on an underlying surface | |
| US12195083B2 (en) | Lane change maneuvers with minimized tire slip | |
| US11868133B1 (en) | Avoiding blind spots of other vehicles | |
| US10604156B2 (en) | System and method for adjusting a road boundary | |
| CN109074069B (en) | Autonomous vehicle with improved visual detection capability | |
| US10528055B2 (en) | Road sign recognition | |
| US9707966B2 (en) | Methods and systems for determining instructions for pulling over an autonomous vehicle | |
| US20250085707A1 (en) | Use of a Reference Image to Detect a Road Obstacle | |
| CN102222236A (en) | Image processing system and position measurement system | |
| US11189049B1 (en) | Vehicle neural network perception and localization | |
| US20190049974A1 (en) | Vehicle control apparatus, vehicle control method, and program | |
| US11662741B2 (en) | Vehicle visual odometry | |
| US11505191B2 (en) | Vehicle traveling control device | |
| CN105984342A (en) | Driving control device | |
| US20200180614A1 (en) | Vehicle control device | |
| CN112566603B (en) | Wheelchair structure parameter self-adaptive adjusting method, system and storage medium | |
| US20220090939A1 (en) | Ehorizon upgrader module, moving objects as ehorizon extension, sensor detected map data as ehorizon extension, and occupancy grid as ehorizon extension | |
| CN115195778A (en) | Vehicle control device, storage medium, and vehicle control method | |
| RU2407032C1 (en) | Method to control transport facility speed at turns | |
| Abegaz et al. | Sensors based lane keeping and cruise control of self driving vehicles | |
| CN116674557B (en) | Vehicle autonomous lane change dynamic programming method and device and domain controller | |
| RU2422772C1 (en) | Method of locating vehicle relative to traffic mark | |
| RU2402037C1 (en) | Method of determination road surface unevenness device for realising said method | |
| CN113826145B (en) | System and method for distance measurement | |
| JP7132758B2 (en) | Map data processing system | 
| Date | Code | Title | Description | 
|---|---|---|---|
| MM4A | The patent is invalid due to non-payment of fees | Effective date:20120402 |