Movatterモバイル変換


[0]ホーム

URL:


RU2345996C1 - Annelated azaheterocyclic amides, which include pyrimidine fragment, method of obtaining and their application - Google Patents

Annelated azaheterocyclic amides, which include pyrimidine fragment, method of obtaining and their application
Download PDF

Info

Publication number
RU2345996C1
RU2345996C1RU2007127192/04ARU2007127192ARU2345996C1RU 2345996 C1RU2345996 C1RU 2345996C1RU 2007127192/04 ARU2007127192/04 ARU 2007127192/04ARU 2007127192 ARU2007127192 ARU 2007127192ARU 2345996 C1RU2345996 C1RU 2345996C1
Authority
RU
Russia
Prior art keywords
optionally substituted
substituted
alkyl
atom
general formula
Prior art date
Application number
RU2007127192/04A
Other languages
Russian (ru)
Inventor
Александр Васильевич Иващенко (US)
Александр Васильевич Иващенко
Сергей Евгеньевич Ткаченко (RU)
Сергей Евгеньевич Ткаченко
Иль Матусович Окунь (US)
Илья Матусович Окунь
Николай Филиппович Савчук (RU)
Николай Филиппович Савчук
Андрей Александрович Иващенко (RU)
Андрей Александрович Иващенко
Дмитрий Владимирович Кравченко (RU)
Дмитрий Владимирович Кравченко
Елена Александровна Рыжова (RU)
Елена Александровна Рыжова
бьев Сергей Борисович Ал (RU)
Сергей Борисович Алябьев
Александр Викторович Хват (US)
Александр Викторович Хват
Original Assignee
Андрей Александрович Иващенко
Алла Хем, Ллс
Priority date (The priority date is an assumption and is not a legal conclusion. Google has not performed a legal analysis and makes no representation as to the accuracy of the date listed.)
Filing date
Publication date
Application filed by Андрей Александрович Иващенко, Алла Хем, ЛлсfiledCriticalАндрей Александрович Иващенко
Priority to RU2007127192/04ApriorityCriticalpatent/RU2345996C1/en
Priority to PCT/IB2008/052846prioritypatent/WO2009010925A2/en
Application grantedgrantedCritical
Publication of RU2345996C1publicationCriticalpatent/RU2345996C1/en

Links

Classifications

Landscapes

Abstract

FIELD: chemistry.
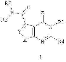
SUBSTANCE: present invention relates to new annelated azaheterocyclic amides, including a pyrimidine fragment, with the general formula 1, method of obtaining them and their application in the form of free bases or their pharmaceutically accepted salts as inhibitors of P13K kinase, in compounds with the general formula 1:
Figure 00000130
, where: X represents an oxygen atom, sulphur atom or not necessarily substituted at the nitrogen NH group, where the substitute is selected from lower alkyls and possibly a substituted aryl; Y represents an atom of nitrogen or substituted at the carbon atom CH group, where the substitute is selected from lower alkyls; Z represents an oxygen atom; R1 represents a hydrogen atom or not necessarily substituted C1-C6alkyl, or Z represents a nitrogen atom, which is together with a carbon atom, with which it is joined, form through Z and R1 annelated imidazole cycle; R2 and R3 independently from each other represent hydrogen, not necessarily substituted with C1-C6alkyl, C3-C6cycloalkyl, not necessarily substituted with phenyl, not necessarily substituted with 6-member aza-heteroaryl, under the condition, when Y represents a nitrogen atom, or R2 and R3 independently from each other represent not necessarily substituted C1-C6alkyl, not necessarily substituted with phenyl, not necessarily substituted with 5-7-member heterocycle with 1-2 heteroatoms, selected from nitrogen and oxygen, and possibly annelated with a phenyl ring, under the condition, when Y does not necessarily represent a substituted carbon atom at the CH group, and X represents an oxygen atom, sulphur atom, or R2 represents hydrogen, and R3 represents a substituted aminoC1-C6alkyl and not necessarily substituted 5-6-member aza-heterocycloalkyl, under the condition, when Y represents a group which is substituted at the CH atom, and X represents an oxygen atom, sulphur atom, or R2 represents hydrogen, and R3 represents phenyl which is not necessarily substituted, pyridyl which is not necessarily substituted, pyrimidinyl which is not necessarily substituted, under the conditions, when R1 represents a substituted aminoC1-C6alkyl, substituted C2-C3hydroxyalkyl and aza-heterocycloalkyl not necessarily substituted, Y represents a group with CH substituted, and X represents an oxygen atom, sulphur, and the substitute of the above indicated substituted alkyl, phenyl, heterocycle, pyridyl, pyrimidyl are selected from groups of hydroxyl-, cyano-groups, hydrogen, lower alkyls, possibly mono- or di-substituted lower alkyl sulfamoyl, carbamoyl, C1-C6alkoxycarbonyl, amino, mono- or di-lower alkyl-amine, N-(lower alkyl), N-(phenylC1-C6alkyl)amine, phenyl, possibly substituted with a halogen atom, C1-C6alkyl, haloid-C1-C6alkyl; phenylC1-C6alkyl, saturated or non-saturated 5-6-member heterocycle containing 1-2-heteroatoms, selected from nitrogen, oxygen and sulphur, and possible condensation with a benzene ring R4 represents hydrogen or a lower alkyl.
EFFECT: obtaining new annelated aza-heterocyclic amides, including a pyrimidine fragment, with the general formula with the possibility of their application in the form of free bases or their pharmaceutically accepted salts as inhibitors of PI3K kinase.
16 cl, 5 tbl, 5 ex

Description

Translated fromRussian

Текст описания приведен в факсимильном виде.

Figure 00000001
Figure 00000002
Figure 00000003
Figure 00000004
Figure 00000005
Figure 00000006
Figure 00000007
Figure 00000008
Figure 00000009
Figure 00000010
Figure 00000011
Figure 00000012
Figure 00000013
Figure 00000014
Figure 00000015
Figure 00000016
Figure 00000017
Figure 00000018
Figure 00000019
Figure 00000020
Figure 00000021
Figure 00000022
Figure 00000023
Figure 00000024
Figure 00000025
Figure 00000026
Figure 00000027
Figure 00000028
Figure 00000029
Figure 00000030
Figure 00000031
Figure 00000032
Figure 00000033
Figure 00000034
Figure 00000035
Figure 00000036
Figure 00000037
Figure 00000038
Figure 00000039
Figure 00000040
Figure 00000041
Figure 00000042
Figure 00000043
Figure 00000044
Figure 00000045
Figure 00000046
Figure 00000047
Figure 00000048
Figure 00000049
Figure 00000050
Figure 00000051
Figure 00000052
Figure 00000053
Figure 00000054
Figure 00000055
Figure 00000056
Figure 00000057
Figure 00000058
Figure 00000059
Figure 00000060
Figure 00000061
Figure 00000062
Figure 00000063
Figure 00000064
Figure 00000065
Figure 00000066
Figure 00000067
Figure 00000068
Figure 00000069
Figure 00000070
Figure 00000071
Figure 00000072
Figure 00000073
Figure 00000074
Figure 00000075
Figure 00000076
Figure 00000077
Figure 00000078
Figure 00000079
Figure 00000080
Figure 00000081
Figure 00000082
Figure 00000083
Figure 00000084
Figure 00000085
Figure 00000086
Figure 00000087
Figure 00000088
Figure 00000089
Figure 00000090
Figure 00000091
Figure 00000092
Figure 00000093
Figure 00000094
Figure 00000095
Figure 00000096
Figure 00000097
Figure 00000098
Figure 00000099
Figure 00000100
Figure 00000101
Figure 00000102
Figure 00000103
Figure 00000104
Figure 00000105
Figure 00000106
Figure 00000107
Figure 00000108
Figure 00000109
The text of the description is given in facsimile form.
Figure 00000001
Figure 00000002
Figure 00000003
Figure 00000004
Figure 00000005
Figure 00000006
Figure 00000007
Figure 00000008
Figure 00000009
Figure 00000010
Figure 00000011
Figure 00000012
Figure 00000013
Figure 00000014
Figure 00000015
Figure 00000016
Figure 00000017
Figure 00000018
Figure 00000019
Figure 00000020
Figure 00000021
Figure 00000022
Figure 00000023
Figure 00000024
Figure 00000025
Figure 00000026
Figure 00000027
Figure 00000028
Figure 00000029
Figure 00000030
Figure 00000031
Figure 00000032
Figure 00000033
Figure 00000034
Figure 00000035
Figure 00000036
Figure 00000037
Figure 00000038
Figure 00000039
Figure 00000040
Figure 00000041
Figure 00000042
Figure 00000043
Figure 00000044
Figure 00000045
Figure 00000046
Figure 00000047
Figure 00000048
Figure 00000049
Figure 00000050
Figure 00000051
Figure 00000052
Figure 00000053
Figure 00000054
Figure 00000055
Figure 00000056
Figure 00000057
Figure 00000058
Figure 00000059
Figure 00000060
Figure 00000061
Figure 00000062
Figure 00000063
Figure 00000064
Figure 00000065
Figure 00000066
Figure 00000067
Figure 00000068
Figure 00000069
Figure 00000070
Figure 00000071
Figure 00000072
Figure 00000073
Figure 00000074
Figure 00000075
Figure 00000076
Figure 00000077
Figure 00000078
Figure 00000079
Figure 00000080
Figure 00000081
Figure 00000082
Figure 00000083
Figure 00000084
Figure 00000085
Figure 00000086
Figure 00000087
Figure 00000088
Figure 00000089
Figure 00000090
Figure 00000091
Figure 00000092
Figure 00000093
Figure 00000094
Figure 00000095
Figure 00000096
Figure 00000097
Figure 00000098
Figure 00000099
Figure 00000100
Figure 00000101
Figure 00000102
Figure 00000103
Figure 00000104
Figure 00000105
Figure 00000106
Figure 00000107
Figure 00000108
Figure 00000109

Claims (16)

Translated fromRussian
1. Аннелированные азагетероциклы, включающие пиримидиновый фрагмент, общей формулы 1 в форме свободных оснований или фармацевтически приемлемых солей
Figure 00000110

где Х представляет собой атом кислорода, атом серы или необязательно замещенную по азоту NH группу, где заместитель выбирается из низшего алкила или возможно замещенного арила;
Y представляет собой атом азота или замещенную по атому углерода СН группу, где заместитель выбирается из низшего алкила;
Z представляет собой атом кислорода;
R1 представляет собой атом водорода или необязательно замещенный C16 алкил, или
Z представляет собой атом азота, который вместе с атомом углерода, с которым он связан, образуют через Z и R1 аннелированный имидазолиновый цикл;
R2 и R3 независимо друг от друга представляют собой водород, необязательно замещенный C16алкил, С36ациклоалкил, необязательно замещенный фенил, необязательно замещенный 6-членный азагетероарил, при условии, когда Y представляет собой атом азота, или
R2 и R3 независимо друг от друга представляют собой необязательно замещенный C16алкил, необязательно замещенный фенил, необязательно замещенный 5-7-членный гетероциклил с 1-2 гетероатомами, выбираемыми из азота и кислорода, и возможно аннелированный с фенильным кольцом, или R2 и R3 вместе с атомом азота, с которым они связаны, образуют необязательно замещенный 5-7-членный азагетероциклил, возможно конденсированный с бензольным кольцом или спироконденсированный с диоксаланом, при условии, когда Y представляет собой необязательно замещенную по атому углерода СН группу, а Х представляет собой атом кислорода, атом серы, или
R2 представляет собой водород, a R3 представляет собой замещенный аминоС16алкил или необязательно замещенный 5-6-членный азагетероциклилалкил, при условии, когда Y представляет собой необязательно замещенную по атому углерода СН группу, а Х представляет собой атом кислорода, атом серы, или
R2 представляет собой водород, а R3 представляет собой необязательно замещенный фенил, необязательно замещенный пиридил, необязательно замещенный пиримидинил, при условии, когда R1 представляет собой замещенный аминоС16алкил, замещенный С23 гидроксиалкил или необязательно замещенный азагетероциклилалкил, Y представляет необязательно замещенную по атому углерода СН группу, а Х представляет атом кислорода, атом серы;
при этом заместители в указанных выше замещенных алкиле, фениле, гетероциклиле, пиридиле, пиримидиле выбираются из группы гидрокси, цианогруппы, галогена, низшего алкила, возможно моно- или дизамещенного низшим алкилом сульфамоила, карбамоила, С16алкоксикарбонила, амино, моно- или ди-низшего алкиламина, N-(низший алкил), N-(фенилС16алкил)амина, фенила, возможно замещенного атомом галогена, C16алкилом, галоид-С16алкилом; фенилС16алкила, насыщенного или ненасыщенного 5-6-членного гетероциклила, содержащего 1-2-гетероатома, выбранных из азота, кислорода и серы, и возможно конденсированного с бензольным кольцом,
R4 представляет собой водород или низший алкил;
исключая 4,5-дигидро-6-метил-4-оксо-1-(2,4,6-трихлорфенил)-1Н-пиразоло[3,4-d]пиримидин-3-карбоксамид; 4,5-дигидро-4-оксо-1-дифенил-1Н-пиразоло[3,4-d]пиримидин-3-карбоксамид; 4,5-дигидро-4-оксо-1β-D-рибофуранозил-1Н-пиразоло3,4-пиримидин-3-карбоксамид.1. Annelated azaheterocycles comprising the pyrimidine moiety of general formula 1 in the form of free bases or pharmaceutically acceptable salts
Figure 00000110

where X represents an oxygen atom, a sulfur atom or an optionally nitrogen-substituted NH group, where the substituent is selected from lower alkyl or optionally substituted aryl;
Y represents a nitrogen atom or a CH group substituted on a carbon atom, wherein the substituent is selected from lower alkyl;
Z represents an oxygen atom;
R1 represents a hydrogen atom or optionally substituted C1 -C6 alkyl, or
Z represents a nitrogen atom, which, together with the carbon atom to which it is bonded, form an annelated imidazoline ring through Z and R1;
R 2 and R 3 independently of one another are hydrogen, optionally substituted C1 -C6 alkyl, C3 -C6 acycloalkyl, optionally substituted phenyl, optionally substituted 6-membered azaheteroaryl, provided that Y represents a nitrogen atom, or
R2 and R3 independently from each other are optionally substituted C1 -C6 alkyl, optionally substituted phenyl, optionally substituted 5-7 membered heterocyclyl with 1-2 heteroatoms selected from nitrogen and oxygen, and optionally annelated with a phenyl ring, or R 2 and R 3 together with the nitrogen atom to which they are bonded form an optionally substituted 5-7 membered azaheterocyclyl, possibly fused to a benzene ring or spirocondensed with dioxalan, provided that Y is an optionally substituted p carbon atom of the CH group and X represents an oxygen atom, a sulfur atom, or
R2 is hydrogen, and R3 is substituted aminoC1 -C6 alkyl or optionally substituted 5-6 membered azaheterocyclylalkyl, provided that Y is an optionally substituted carbon atom CH group, and X represents an oxygen atom, a sulfur atom , or
R2 is hydrogen, and R3 is optionally substituted phenyl, optionally substituted pyridyl, optionally substituted pyrimidinyl, provided that R1 is substituted aminoC1 -C6 alkyl, substituted C2 -C3 hydroxyalkyl or optionally substituted azaheterocyclylalkyl, Y is optionally substituted at the carbon atom of the CH group, and X represents an oxygen atom, a sulfur atom;
while the substituents in the above substituted alkyl, phenyl, heterocyclyl, pyridyl, pyrimidyl are selected from the group of hydroxy, cyano, halogen, lower alkyl, possibly mono- or disubstituted by lower alkyl sulfamoyl, carbamoyl, C1 -C6 alkoxycarbonyl, amino, mono or di-lower alkylamine, N- (lower alkyl), N- (phenylC1 -C6 alkyl) amine, phenyl optionally substituted with a halogen atom, C1 -C6 alkyl, halogen-C1 -C6 alkyl; phenylC1 -C6 alkyl, saturated or unsaturated 5-6 membered heterocyclyl containing 1-2 heteroatoms selected from nitrogen, oxygen and sulfur, and possibly fused to a benzene ring,
R4 represents hydrogen or lower alkyl;
excluding 4,5-dihydro-6-methyl-4-oxo-1- (2,4,6-trichlorophenyl) -1H-pyrazolo [3,4-d] pyrimidine-3-carboxamide; 4,5-dihydro-4-oxo-1-diphenyl-1H-pyrazolo [3,4-d] pyrimidine-3-carboxamide; 4,5-dihydro-4-oxo-1β-D-ribofuranosyl-1H-pyrazolo-3,4-pyrimidine-3-carboxamide.2. Соединения по п.1, представляющие собой замещенные амиды 4-оксо-3,4-дигидрофуро(или тиено)[2,3-b]пиримидин-5-карбоновых кислот общей формулы 1.1 или их фармацевтически приемлемые соли
Figure 00000111

где R1 и Z имеют вышеуказанные значения; X1 представляет собой атом кислорода, атом серы; R2 и R3 независимо друг от друга представляют собой необязательно замещенный алкил, необязательно замещенный фенил, необязательно замещенный гетероциклил, или R2 и R3 вместе с атомом азота, с которым они связаны, образуют необязательно замещенный 5-7-членный азагетероциклил, возможно конденсированный с бензольным кольцом, или
R2 представляет собой водород, а R3 представляет собой замещенный амино C16алкил или необязательно замещенный азагетероциклилалкил, или
R2 представляет собой водород, а R3 представляет собой необязательно замещенный фенил, необязательно замещенный пиридил, необязательно замещенный пиримидинил, при условии, когда R1 представляет собой замещенный аминоалкил или необязательно замещенный азагетероциклилалкил;
R5 представляет собой водород или низший алкил.
2. The compounds according to claim 1, which are substituted amides of 4-oxo-3,4-dihydrofuro (or thieno) [2,3-b] pyrimidine-5-carboxylic acids of the general formula 1.1 or their pharmaceutically acceptable salts
Figure 00000111

where R1 and Z have the above meanings; X1 represents an oxygen atom, a sulfur atom; R2 and R3 independently from each other are optionally substituted alkyl, optionally substituted phenyl, optionally substituted heterocyclyl, or R2 and R3 together with the nitrogen atom to which they are attached form an optionally substituted 5-7 membered azaheterocyclyl, possibly fused to a benzene ring , or
R2 is hydrogen, and R3 is substituted amino C1 -C6 alkyl or optionally substituted azaheterocyclylalkyl, or
R2 is hydrogen, and R3 is optionally substituted phenyl, optionally substituted pyridyl, optionally substituted pyrimidinyl, provided that R1 is substituted aminoalkyl or optionally substituted azaheterocyclylalkyl;
R5 represents hydrogen or lower alkyl.
3. Соединения по п.2, представляющие собой замещенные амиды 4-оксо-3,4-дигидрофуро[2,3-b]пиримидин-5-карбоновых кислот общей формулы 1.1.1, замещенные амиды 4-оксо-3,4-дигидротиено[2,3-b]пиримидин-5-карбоновых кислот общей формулы 1.1.2, замещенные амиды 2,3-дигидрофуро[3,2-е]имидазо[1,2-с]пиримидин-9-карбоновых кислот 1.1.3 и замещенные амиды 2,3-дигидротиено[3,2-е]имидазо[1,2-с]пиримидин-9-карбоновых кислот 1.1.4 или их фармацевтически приемлемые соли
Figure 00000112
Figure 00000113
Figure 00000114
Figure 00000115

где R1 и R5 имеют вышеуказанное значение;
R2 и R3 независимо друг от друга представляют собой необязательно замещенный C16алкил, необязательно замещенный фенил, необязательно замещенный гетероциклил, или R2 и R3 вместе с атомом азота, с которым они связаны, образуют необязательно замещенный 5-7-членный азагетероциклил, возможно конденсированный с бензольным кольцом, или
R2 представляет собой водород, а R3 представляет собой замещенный амино C16алкил или необязательно замещенный азагетероциклилалкил, или
R2 представляет собой водород, а R3 представляет собой необязательно замещенный фенил, необязательно замещенный пиридил, необязательно замещенный пиримидинил, при условии, когда R1 представляет собой замещенный аминоС16алкил или необязательно замещенный азагетероциклилалкил;
R6 и R7 независимо друг от друга представляют собой водород.
3. The compounds according to claim 2, which are substituted amides of 4-oxo-3,4-dihydrofuro [2,3-b] pyrimidine-5-carboxylic acids of the general formula 1.1.1, substituted amides of 4-oxo-3,4- dihydrothieno [2,3-b] pyrimidine-5-carboxylic acids of the general formula 1.1.2, substituted amides of 2,3-dihydrofuro [3,2-e] imidazo [1,2-c] pyrimidine-9-carboxylic acids 1.1. 3 and substituted amides of 2,3-dihydrothieno [3,2-e] imidazo [1,2-c] pyrimidine-9-carboxylic acids 1.1.4 or their pharmaceutically acceptable salts
Figure 00000112
Figure 00000113
Figure 00000114
Figure 00000115

where R1 and R5 have the above meaning;
R2 and R3, independently of one another, are optionally substituted C1 -C6 alkyl, optionally substituted phenyl, optionally substituted heterocyclyl, or R2 and R3 together with the nitrogen atom to which they are attached form an optionally substituted 5-7 membered azaheterocyclyl, possibly condensed with a benzene ring, or
R2 is hydrogen, and R3 is substituted amino C1 -C6 alkyl or optionally substituted azaheterocyclylalkyl, or
R2 is hydrogen, and R3 is optionally substituted phenyl, optionally substituted pyridyl, optionally substituted pyrimidinyl, provided that R1 is substituted aminoC1 -C6 alkyl or optionally substituted azaheterocyclylalkyl;
R6 and R7 are independently hydrogen.
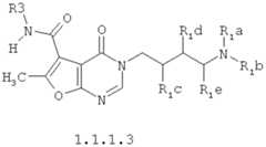
4. Соединения по п.3, представляющие собой замещенные амиды 3-аминоалкил-6-метил-4-оксо-3,4-дигидрофуро[2,3-b]пиримидин-5-карбоновых кислот общей формулы 1.1.1.1, 1.1.1.2 и 1.1.1.3, замещенные амиды 3-аминоалкил-6-метил-4-оксо-3,4-дигидротиено[2,3-b]пиримидин-5-карбоновых кислот общей формулы 1.1.1.4, 1.1.1.5 и 1.1.1.6, замещенные амиды 3-гидроксиалкил-6-метил-4-оксо-3,4-дигидро-фуро[2,3-b]пиримидин-5-карбоновых кислот общей формулы 1.1.1.7 и 1.1.1.8 и замещенные амиды 3-гидроксиалкил-6-метил-4-оксо-3,4-дигидротиено[2,3-b]пиримидин-5-карбоновых кислот общей формулы 1.1.1.9 и 1.1.1.10 или их фармацевтически приемлемые соли
Figure 00000116
Figure 00000117
Figure 00000118

Figure 00000119
Figure 00000120
Figure 00000121

Figure 00000122
Figure 00000123
Figure 00000124
Figure 00000125

где R3 представляет собой необязательно замещенный фенил, необязательно замещенный пиридил, необязательно замещенный пиримидинил;
R1a и R1b независимо друг от друга представляют собой атом водорода, необязательно замещенный низший алкил или вместе с атомом углерода, с которым они связаны, образуют 5-7 членный азагетероциклил;
R1c, R1d и R1e представляют собой атом водорода или необязательно замещенный низший алкил или один из R1c, R1d и R1e вместе с атомом углерода, с которым он связан, и R1a вместе с атомом азота, с которым он связан, образуют 5-6-членный насыщенный гетероциклил с 1-2 гетероатомами, выбранными из азота и кислорода, при условии, когда два других из R1c, R1b и R1e и R1d являются водородом.
4. The compounds according to claim 3, which are substituted amides of 3-aminoalkyl-6-methyl-4-oxo-3,4-dihydrofuro [2,3-b] pyrimidine-5-carboxylic acids of the general formula 1.1.1.1, 1.1. 1.2 and 1.1.1.3, substituted amides of 3-aminoalkyl-6-methyl-4-oxo-3,4-dihydrothieno [2,3-b] pyrimidine-5-carboxylic acids of the general formulas 1.1.1.4, 1.1.1.5 and 1.1. 1.6, substituted amides of 3-hydroxyalkyl-6-methyl-4-oxo-3,4-dihydro-furo [2,3-b] pyrimidine-5-carboxylic acids of the general formula 1.1.1.7 and 1.1.1.8 and substituted amides 3- hydroxyalkyl-6-methyl-4-oxo-3,4-dihydrothieno [2,3-b] pyrimidine-5-carboxylic acids of the general formulas 1.1.1.9 and 1.1.1.10 or their pharmaceutical ski acceptable salts
Figure 00000116
Figure 00000117
Figure 00000118

Figure 00000119
Figure 00000120
Figure 00000121

Figure 00000122
Figure 00000123
Figure 00000124
Figure 00000125

where R3 is optionally substituted phenyl, optionally substituted pyridyl, optionally substituted pyrimidinyl;
R1 a and R1 b independently represent a hydrogen atom, an optionally substituted lower alkyl, or together with the carbon atom to which they are attached form 5-7 membered azaheterocyclyl;
R1 c, R1 d and R1 e represent a hydrogen atom or an optionally substituted lower alkyl or one of R1 c, R1 d and R1 e together with the carbon atom to which it is bonded, and R1 a together with the nitrogen atom to which it is bonded forms a 5-6 membered saturated heterocyclyl with 1-2 heteroatoms selected from nitrogen and oxygen, provided that the other two of R1 c, R1 b and R1 e and R1 d are hydrogen.
5. Соединения по п.1, представляющие собой замещенные амиды 4-оксо-4,5-дигидро-азолопиримидин-3-карбоновых кислот общей формулы 1.2 или их фармацевтически приемлемые соли:
Figure 00000126

где R1, R4, X и Z имеют вышеуказанные значения; R2 и R3 независимо друг от друга представляют собой водород, необязательно замещенный C16алкил, необязательно замещенный фенил, необязательно замещенный 6-членный азотсодержащий гетероциклил или R2 и R3 вместе с атомом азота, с которым они связаны, образуют необязательно замещенный 5-7-членный азагетероциклил.
5. The compounds according to claim 1, which are substituted amides of 4-oxo-4,5-dihydro-azolopyrimidin-3-carboxylic acids of the general formula 1.2 or their pharmaceutically acceptable salts:
Figure 00000126

where R1, R4, X and Z have the above meanings; R2 and R3 independently from each other are hydrogen, optionally substituted C1 -C6 alkyl, optionally substituted phenyl, optionally substituted 6-membered nitrogen-containing heterocyclyl, or R2 and R3 together with the nitrogen atom to which they are attached form an optionally substituted 5- 7 membered azaheterocyclyl.
6. Способ получения соединений общей формулы 1 по любому из пп.1-5 взаимодействием соответствующих кислот общей формулы F1 с аминами общей формулы F2 в присутствии конденсирующих реагентов
Figure 00000127
Figure 00000128

где X, Y, Z, R1, R2, R3 и R4 имеют вышеуказанные для соединений общей формулы 1 значения.
6. A method for producing compounds of general formula 1 according to any one of claims 1 to 5 by reacting the corresponding acids of general formula F1 with amines of general formula F2 in the presence of condensing agents
Figure 00000127
Figure 00000128

where X, Y, Z, R1, R2, R3 and R4 have the above meanings for compounds of general formula 1.
7. Ингибиторы PI3 киназ, представляющие собой соединения общей формулы 1 по п.1.7. Inhibitors of PI3 kinases, which are compounds of General formula 1 according to claim 1.8. Селективные ингибиторы изоформы р110-альфа PI3 киназ по п.7, представляющие собой соединения общей формулы 1 по п.1.8. Selective inhibitors of the isoform p110-alpha PI3 kinases according to claim 7, which are compounds of General formula 1 according to claim 1.9. Селективные ингибиторы изоформы р110-бета PI3 киназ по п.7, представляющие собой соединения общей формулы 1 по п.1.9. Selective inhibitors of the isoform of p110-beta PI3 kinases according to claim 7, which are compounds of the general formula 1 according to claim 1.10. Селективные ингибиторы изоформы р110-гамма PI3 киназ по п.7, представляющие собой соединения общей формулы 1 по п.1.10. Selective inhibitors of the isoform p110-gamma PI3 kinases according to claim 7, which are compounds of general formula 1 according to claim 1.11. Селективные ингибиторы изоформы р110-дельта PI3 киназ по п.7, представляющие собой соединения общей формулы 1 по п.1.11. Selective inhibitors of the isoform p110-delta PI3 kinases according to claim 7, which are compounds of the general formula 1 according to claim 1.12. Селективные ингибиторы изоформы р110-альфа PI3 киназ с мутацией в эксоне 20(H1047R) по п.7, представляющие собой соединения общей формулы 1 по п.1.12. Selective inhibitors of the isoform p110-alpha PI3 kinases with mutation in exon 20 (H1047R) according to claim 7, which are compounds of the general formula 1 according to claim 1.13. Соединения общей формулы 1 по п.1, в качестве биологически активных ингредиентов для получения лекарственных средств для лечения онкологических заболеваний.13. The compounds of General formula 1 according to claim 1, as biologically active ingredients for the manufacture of medicines for the treatment of cancer.14. Фармацевтическая композиция, обладающая свойствами ингибитора PI3 киназ, содержащая в качестве активного ингредиента, по крайней мере, одно соединение общей формулы 1 по п.1 или соединение по любому из пп.2-5 или его фармацевтически приемлемую соль в эффективном количестве.14. A pharmaceutical composition having the properties of a PI3 kinase inhibitor, containing as an active ingredient at least one compound of general formula 1 according to claim 1 or a compound according to any one of claims 2-5 or a pharmaceutically acceptable salt thereof in an effective amount.15. Способ получения фармацевтической композиции по п.14 смешением биологически активного ингредиента по п.13 с инертным наполнителем и/или растворителем.15. The method of obtaining the pharmaceutical composition according to p. 14 by mixing the biologically active ingredient according to p. 13 with an inert filler and / or solvent.16. Лекарственное средство в форме таблеток, капсул или инъекций, помещенных в фармацевтически приемлемую упаковку, включающее ингибитор Р13 киназ по любому из пп.7-12 или фармацевтическую композицию по п.14 в эффективном количестве.16. A drug in the form of tablets, capsules, or injections in a pharmaceutically acceptable package, comprising the P13 kinase inhibitor according to any one of claims 7-12 or the pharmaceutical composition of claim 14 in an effective amount.
RU2007127192/04A2007-07-172007-07-17Annelated azaheterocyclic amides, which include pyrimidine fragment, method of obtaining and their applicationRU2345996C1 (en)

Priority Applications (2)

Application NumberPriority DateFiling DateTitle
RU2007127192/04ARU2345996C1 (en)2007-07-172007-07-17Annelated azaheterocyclic amides, which include pyrimidine fragment, method of obtaining and their application
PCT/IB2008/052846WO2009010925A2 (en)2007-07-172008-07-16Annelated azaheterocyclic amides containing a pyrimidine fragment and method for the production and use thereof

Applications Claiming Priority (1)

Application NumberPriority DateFiling DateTitle
RU2007127192/04ARU2345996C1 (en)2007-07-172007-07-17Annelated azaheterocyclic amides, which include pyrimidine fragment, method of obtaining and their application

Publications (1)

Publication NumberPublication Date
RU2345996C1true RU2345996C1 (en)2009-02-10

Family

ID=40260168

Family Applications (1)

Application NumberTitlePriority DateFiling Date
RU2007127192/04ARU2345996C1 (en)2007-07-172007-07-17Annelated azaheterocyclic amides, which include pyrimidine fragment, method of obtaining and their application

Country Status (2)

CountryLink
RU (1)RU2345996C1 (en)
WO (1)WO2009010925A2 (en)

Cited By (1)

* Cited by examiner, † Cited by third party
Publication numberPriority datePublication dateAssigneeTitle
RU2557237C2 (en)*2010-02-102015-07-20Киссеи Фармасьютикал Ко., Лтд.Salt of condensed heterocyclic derivative and its crystals

Families Citing this family (48)

* Cited by examiner, † Cited by third party
Publication numberPriority datePublication dateAssigneeTitle
US9512125B2 (en)2004-11-192016-12-06The Regents Of The University Of CaliforniaSubstituted pyrazolo[3.4-D] pyrimidines as anti-inflammatory agents
ES2423010T3 (en)2006-04-042013-09-17The Regents Of The University Of California Pyrazolopyrimidine derivatives for use as kinase antagonists
GB2467670B (en)2007-10-042012-08-01Intellikine IncChemical entities and therapeutic uses thereof
KR101660050B1 (en)2008-01-042016-09-26인텔리카인, 엘엘씨Certain chemical entities, compositions and methods
US8193182B2 (en)2008-01-042012-06-05Intellikine, Inc.Substituted isoquinolin-1(2H)-ones, and methods of use thereof
JP5547099B2 (en)2008-03-142014-07-09インテリカイン, エルエルシー Kinase inhibitors and methods of use
US8993580B2 (en)2008-03-142015-03-31Intellikine LlcBenzothiazole kinase inhibitors and methods of use
NZ590258A (en)2008-07-082013-10-25Intellikine LlcKinase inhibitors and methods of use
US20110224223A1 (en)2008-07-082011-09-15The Regents Of The University Of California, A California CorporationMTOR Modulators and Uses Thereof
CA2738429C (en)2008-09-262016-10-25Intellikine, Inc.Heterocyclic kinase inhibitors
EP2358720B1 (en)2008-10-162016-03-02The Regents of The University of CaliforniaFused ring heteroaryl kinase inhibitors
US8476431B2 (en)2008-11-032013-07-02Itellikine LLCBenzoxazole kinase inhibitors and methods of use
CA2760791C (en)2009-05-072017-06-20Intellikine, Inc.Heterocyclic compounds and uses thereof
WO2011047384A2 (en)2009-10-162011-04-21The Regents Of The University Of CaliforniaMethods of inhibiting ire1
ES2593256T3 (en)2010-05-212016-12-07Infinity Pharmaceuticals, Inc. Chemical compounds, compositions and methods for kinase modulations
AU2011326427B2 (en)2010-11-102016-01-07Infinity Pharmaceuticals Inc.Heterocyclic compounds and uses thereof
NZ612909A (en)2011-01-102015-09-25Infinity Pharmaceuticals IncProcesses for preparing isoquinolinones and solid forms of isoquinolinones
CN103491962B (en)2011-02-232016-10-12因特利凯有限责任公司Combinations of kinase inhibitors and uses thereof
EP2734520B1 (en)2011-07-192016-09-14Infinity Pharmaceuticals, Inc.Heterocyclic compounds and uses thereof
CA2842190A1 (en)2011-07-192013-01-24Infinity Pharmaceuticals Inc.Heterocyclic compounds and uses thereof
MX2014002542A (en)2011-08-292014-07-09Infinity Pharmaceuticals IncHeterocyclic compounds and uses thereof.
CA2846496C (en)2011-09-022020-07-14The Regents Of The University Of CaliforniaSubstituted pyrazolo[3,4-d]pyrimidines and uses thereof
US8940742B2 (en)2012-04-102015-01-27Infinity Pharmaceuticals, Inc.Heterocyclic compounds and uses thereof
US8828998B2 (en)2012-06-252014-09-09Infinity Pharmaceuticals, Inc.Treatment of lupus, fibrotic conditions, and inflammatory myopathies and other disorders using PI3 kinase inhibitors
RU2015115631A (en)2012-09-262016-11-20Дзе Риджентс Оф Дзе Юниверсити Оф Калифорния MODULATION IRE1
PL2914296T5 (en)2012-11-012022-01-17Infinity Pharmaceuticals, Inc.Treatment of cancers using pi3 kinase isoform modulators
RS58040B1 (en)*2012-12-212019-02-28Epizyme IncPrmt5 inhibitors and uses thereof
US9481667B2 (en)2013-03-152016-11-01Infinity Pharmaceuticals, Inc.Salts and solid forms of isoquinolinones and composition comprising and methods of using the same
WO2015051241A1 (en)2013-10-042015-04-09Infinity Pharmaceuticals, Inc.Heterocyclic compounds and uses thereof
PH12016500582B1 (en)2013-10-042023-06-30Infinity Pharmaceuticals IncHeterocyclic compounds and uses thereof
CN113616656B (en)2014-03-192023-02-17无限药品股份有限公司Heterocyclic compounds for the treatment of PI 3K-gamma mediated disorders
WO2015160975A2 (en)2014-04-162015-10-22Infinity Pharmaceuticals, Inc.Combination therapies
WO2016054491A1 (en)2014-10-032016-04-07Infinity Pharmaceuticals, Inc.Heterocyclic compounds and uses thereof
TWI698436B (en)2014-12-302020-07-11美商佛瑪治療公司Pyrrolo and pyrazolopyrimidines as ubiquitin-specific protease 7 inhibitors
MA41291A (en)2014-12-302017-11-07Forma Therapeutics Inc PYRROLOTRIAZINONE AND IMIDAZOTRIAZINONE DERIVATIVES AS UBIQUE-SPECIFIC PROTEASE INHIBITORS No. 7 (USP7) FOR THE TREATMENT OF CANCER
JP2018504430A (en)2015-02-052018-02-15フォーマ セラピューティクス,インコーポレイテッド Quinazolinones and azaquinazolinones as ubiquitin-specific protease 7 inhibitors
HK1248222A1 (en)2015-02-052018-10-12Forma Therapeutics, Inc.Thienopyrimidinones as ubiquitin-specific protease 7 inhibitors
JP2018504432A (en)2015-02-052018-02-15フォーマ セラピューティクス,インコーポレイテッド Isothiazolopyrimidinone, pyrazolopyrimidinone and pyrrolopyrimidinone as ubiquitin-specific protease 7 inhibitors
JP6980649B2 (en)2015-09-142021-12-15インフィニティー ファーマシューティカルズ, インコーポレイテッド The solid form of the isoquinolinone derivative, the method for producing it, the composition containing it, and the method for using it.
WO2017161116A1 (en)2016-03-172017-09-21Infinity Pharmaceuticals, Inc.Isotopologues of isoquinolinone and quinazolinone compounds and uses thereof as pi3k kinase inhibitors
WO2017214269A1 (en)2016-06-082017-12-14Infinity Pharmaceuticals, Inc.Heterocyclic compounds and uses thereof
IL263680B1 (en)2016-06-242025-06-01Infinity Pharmaceuticals Inc PI3K inhibitors for use in combination with a second therapeutic agent for the treatment, management or prevention of cancer
ES2983048T3 (en)2017-09-222024-10-21Jubilant Epipad LLC Heterocyclic compounds as PAD inhibitors
US11426412B2 (en)2017-10-182022-08-30Jubilant Epipad LLCImidazo-pyridine compounds as PAD inhibitors
AU2018362046B2 (en)2017-11-062023-04-13Jubilant Prodel LLCPyrimidine derivatives as inhibitors of PD1/PD-L1 activation
RS65576B1 (en)2017-11-242024-06-28Jubilant Episcribe LlcHeterocyclic compounds as prmt5 inhibitors
AU2019234185B2 (en)2018-03-132024-08-01Jubilant Prodel LLC.Bicyclic compounds as inhibitors of PD1/PD-L1 interaction/activation
CN111281873B (en)*2020-01-202021-01-26浙江大学 DNA methyltransferase 3A inhibitor and its application

Citations (4)

* Cited by examiner, † Cited by third party
Publication numberPriority datePublication dateAssigneeTitle
RU2104276C1 (en)*1991-06-271998-02-10Такеда Кемикал Индастриз Лтд.Heterocyclic compounds, pharmaceutical composition showing antagonistic activity with respect to angiotensin-ii and a method of antagonization of angiotensin-ii in mammals
WO2002092603A1 (en)*2001-05-142002-11-21Novartis AgOxazolo-and furopyrimidines and their use in medicaments against tumors
WO2004014916A1 (en)*2002-08-132004-02-19Warner-Lambert Company LlcPyrimidine fused bicyclic metalloproteinase inhibitors
WO2007039285A1 (en)*2005-10-042007-04-12Novartis AgBicyclic aromatic compounds useful as inhibitors of mitogen-activated protein kinase-activated protein kinase-2

Family Cites Families (3)

* Cited by examiner, † Cited by third party
Publication numberPriority datePublication dateAssigneeTitle
GB0118479D0 (en)*2001-07-282001-09-19Astrazeneca AbNovel compounds
JP2005515208A (en)*2001-12-062005-05-26メルク エンド カムパニー インコーポレーテッド Mitotic kinesin inhibitor
MXPA04008592A (en)*2002-03-072004-12-06Hoffmann La RocheBicyclic pyridine and pyrimidine p38 kinase inhibitors.

Patent Citations (4)

* Cited by examiner, † Cited by third party
Publication numberPriority datePublication dateAssigneeTitle
RU2104276C1 (en)*1991-06-271998-02-10Такеда Кемикал Индастриз Лтд.Heterocyclic compounds, pharmaceutical composition showing antagonistic activity with respect to angiotensin-ii and a method of antagonization of angiotensin-ii in mammals
WO2002092603A1 (en)*2001-05-142002-11-21Novartis AgOxazolo-and furopyrimidines and their use in medicaments against tumors
WO2004014916A1 (en)*2002-08-132004-02-19Warner-Lambert Company LlcPyrimidine fused bicyclic metalloproteinase inhibitors
WO2007039285A1 (en)*2005-10-042007-04-12Novartis AgBicyclic aromatic compounds useful as inhibitors of mitogen-activated protein kinase-activated protein kinase-2

Cited By (1)

* Cited by examiner, † Cited by third party
Publication numberPriority datePublication dateAssigneeTitle
RU2557237C2 (en)*2010-02-102015-07-20Киссеи Фармасьютикал Ко., Лтд.Salt of condensed heterocyclic derivative and its crystals

Also Published As

Publication numberPublication date
WO2009010925A2 (en)2009-01-22
WO2009010925A3 (en)2009-07-02

Similar Documents

PublicationPublication DateTitle
RU2345996C1 (en)Annelated azaheterocyclic amides, which include pyrimidine fragment, method of obtaining and their application
ES2800308T3 (en) Dihydropteridinones for the treatment of oncological diseases
CA2932175C (en)3,5-(un)substituted-1h-pyrrolo[2,3-b]pyridine, 1h-pyrazolo[3,4-b]pyridine and 5h-pyrrolo[2,3-b]pyrazine dual itk and jak3 kinase inhibitors
RU2341527C1 (en)Annelated asaheterocycles including pyrimidine fragment, method of production thereof and pi3k kinase inhibitors
DK2497772T3 (en)A compound for inhibiting mitotic progression
JP2007538092A5 (en)
TWI585089B (en) Novel condensed pyrimidine compounds or salts
ES2879679T3 (en) Ultra-potent vinca alkaloids: added molecular complexity further alters the dimer-dimer interface of tubulin
WO2018011569A1 (en)Wee-1 inhibiting pyrazolopyrimidinone compounds
EA200401378A1 (en) N-SUBSTITUTED TRICYCLIC 3-AMINOPYRAZOLES AS A PDGF RECEPTOR INHIBITORS
TR201816387T4 (en) Antiviral activity of bicyclic heterocycles.
JP2013522286A5 (en)
AR038000A1 (en) COMPOSITE DERIVED FROM TIEN [2,3-D] PIRIMIDIN-2,4 (1H, 3H) -DIONA, PHARMACEUTICAL COMPOSITION, PROCESS FOR PREPARATION AND USE IN THE MANUFACTURE OF A MEDICINAL PRODUCT
AR043674A1 (en) PIRIDAZINONE DERIVATIVES AS NON-NUCLEOSID INHIBITORS OF THE REVERSA TRANSCRIPT
ME02635B (en) Novel pyrrole derivatives, their method of preparation and pharmaceutical compositions containing them
EA200501332A1 (en) DERIVATIVES OF PYRIMIDIN-4-IT AND THEIR APPLICATION AS KINAZA P38 MODULATORS
PE20080266A1 (en) 4-AMINO-PIRIDO [3,2-E] PIRAZINES, THEIR USE AS INHIBITORS OF PHOSPHODIESTERASE 10 AND PROCESSES FOR THEIR PREPARATION
IL292229A (en) Pharmacological combination of prmt5 inhibitors
KR20120044281A (en)Method of treating disorders associated with protein kinase ck2 activity
MX2007007428A (en)Heterocyclic compounds as ccr2b antagonists.
RU2012102424A (en) SELECTIVE INHIBITORS Haspin KINASES
CA2619897A1 (en)Novel tricyclic compounds, preparation method and pharmaceutical compositions containing same
WO2005040345A3 (en)4-azole substituted imidazole compositions useful as inhibitors or c-met receptor tyrosine kinase
ECSP13012416A (en) FUSIONED HETEROCYCLIC DERIVATIVES AS S1P MODULATORS
RU2014142633A (en) 6- (4- (1-amino-3-hydroxycyclobutyl) phenyl) -5-phenyl (furo, thieno or pyrrolo) [2,3-D] pyrimidine-4-new derivatives for the treatment of cancer

Legal Events

DateCodeTitleDescription
MM4AThe patent is invalid due to non-payment of fees

Effective date:20110718


[8]ページ先頭

©2009-2025 Movatter.jp