Movatterモバイル変換


[0]ホーム

URL:


RU2292558C1 - Method of determination electric current noise signal spectrum - Google Patents

Method of determination electric current noise signal spectrum
Download PDF

Info

Publication number
RU2292558C1
RU2292558C1RU2005115013/28ARU2005115013ARU2292558C1RU 2292558 C1RU2292558 C1RU 2292558C1RU 2005115013/28 ARU2005115013/28 ARU 2005115013/28ARU 2005115013 ARU2005115013 ARU 2005115013ARU 2292558 C1RU2292558 C1RU 2292558C1
Authority
RU
Russia
Prior art keywords
noise
spectrum
signal
spectra
sets
Prior art date
Application number
RU2005115013/28A
Other languages
Russian (ru)
Inventor
Валерий Григорьевич Тимошенков (RU)
Валерий Григорьевич Тимошенков
Original Assignee
Федеральное государственное унитарное предприятие "Центральный научно-исследовательский институт "Морфизприбор"
Priority date (The priority date is an assumption and is not a legal conclusion. Google has not performed a legal analysis and makes no representation as to the accuracy of the date listed.)
Filing date
Publication date
Application filed by Федеральное государственное унитарное предприятие "Центральный научно-исследовательский институт "Морфизприбор"filedCriticalФедеральное государственное унитарное предприятие "Центральный научно-исследовательский институт "Морфизприбор"
Priority to RU2005115013/28ApriorityCriticalpatent/RU2292558C1/en
Application grantedgrantedCritical
Publication of RU2292558C1publicationCriticalpatent/RU2292558C1/en

Links

Landscapes

Abstract

FIELD: hydroacoustics; radio engineering.
SUBSTANCE: method can be used for building signal detecting systems. N sets of digitized readings of noise electric process is received in equal time intervals. The sets are subject to quick inverse Fourier transform to get complex signal spectrum. Power spectrum of noise current signals is determined as sum of n-1 mutual spectra between complex spectra of any previous and any subsequent set of digitized readings of noise current process. Signal/noise ration is increased at small input noise electric process' signal/noise ratio.
EFFECT: reduced total error; increased signal/noise ratio.
1 dwg

Description

Translated fromRussian

Изобретение относится к области гидроакустики и радиотехники и может быть использовано для построения систем обнаружения сигнала.The invention relates to the field of hydroacoustics and radio engineering and can be used to build signal detection systems.

Известны способы определения энергетического спектра шумового электрического процесса, представляющего собой смесь шумового электрического сигнала и стационарной шумовой помехи, которые содержат спектральный анализ этого процесса, детектирование спектральных составляющих, интегрирование огибающей и сравнение с порогом (Евтютов Е.С. и Митько В.Б. Примеры инженерных расчетов в гидроакустике, Судостроение, 1981, с.77).Known methods for determining the energy spectrum of a noise electrical process, which is a mixture of a noise electrical signal and stationary noise interference, which contain a spectral analysis of this process, the detection of spectral components, the integration of the envelope and comparison with the threshold (Evtyutov E.S. and Mitko V.B. Examples engineering calculations in hydroacoustics, Shipbuilding, 1981, p.77).

Аналогичные способы приведены в "Справочнике по гидроакустике", Судостроение, 1988, с.27. При этом под спектральным анализом понимают, как правило, полосовую фильтрацию, выделяющую основную энергию шумового электрического процесса. При использовании цифровой техники в качестве спектрального анализа применяют процедуры быстрого преобразования Фурье (БПФ), которые обеспечивают выделение и измерение энергетического спектра шумового электрического процесса (Применение цифровой обработки сигналов, М.: Мир, 1990, стр.296).Similar methods are given in the "Reference on hydroacoustics", Shipbuilding, 1988, p.27. At the same time, spectral analysis means, as a rule, band pass filtering, which releases the main energy of a noise electrical process. When using digital technology, fast Fourier transform (FFT) procedures are used as spectral analysis, which provide the isolation and measurement of the energy spectrum of a noise electrical process (Digital Signal Processing, Moscow: Mir, 1990, p. 266).

Известен также способ определения энергетического спектра, изложенный в книге Ж. Макс. "Методы и техника обработки сигналов при физических измерениях " М. Мир 1983 г. с.248.There is also a method of determining the energy spectrum described in the book by J. Max. "Methods and techniques for processing signals in physical measurements" M. Mir 1983, p.248.

Способ содержит следующую последовательность операций: сначала производят дискретизацию входного шумового электрического процесса, затем производят набор дискретизированных отсчетов этого процесса, и этот набор подвергают быстрому преобразованию Фурье. Выделяют реальную часть спектра, выделяют мнимую часть спектра; определяют модуль реальной части спектра; определяют модуль мнимой части спектра и энергетический спектр данного набора дискретизированных отсчетов шумового электрического процесса определяют как сумму квадратов модулей реальной и мнимой частей спектра.The method contains the following sequence of operations: first, the input noise electric process is sampled, then a set of sampled samples of this process is produced, and this set is subjected to a fast Fourier transform. Allocate the real part of the spectrum, select the imaginary part of the spectrum; determine the modulus of the real part of the spectrum; determine the module of the imaginary part of the spectrum and the energy spectrum of this set of discretized samples of the noise electrical process is determined as the sum of the squares of the modules of the real and imaginary parts of the spectrum.

Определенный таким образом энергетический спектр запоминают, повторяют перечисленные операции n раз для каждого из n наборов дискретизированных отсчетов шумового электрического сигнала через равные промежутки времени Δt, производят суммирование, центрирование и нормирование суммарного энергетического спектра и этот центрированный энергетический спектр считают искомым энергетическим спектром входного шумового электрического сигнала.The energy spectrum defined in this way is remembered, the above operations are repeated n times for each of n sets of discretized samples of the noise electric signal at equal time intervals Δt, the total energy spectrum is summed, centered, and normalized, and this centered energy spectrum is considered to be the desired energy spectrum of the input noise electric signal .

Недостатком данного способа является то, что при накоплении происходит увеличение постоянной составляющей накопленного спектра не только за счет сигнала, но и за счет помех, что снижает точность определения энергетического спектра входного шумового электрического сигнала.The disadvantage of this method is that during the accumulation, the DC component of the accumulated spectrum increases not only due to the signal, but also due to interference, which reduces the accuracy of determining the energy spectrum of the input noise electric signal.

Этого недостатка лишен способ определения энергетического спектра шумового электрического сигнала по патенту РФ №2236687, который по технической сущности и количеству общих признаков наиболее близок к предлагаемому.This disadvantage is deprived of the method for determining the energy spectrum of a noise electrical signal according to RF patent No. 2236687, which is closest to the proposed one in terms of technical nature and the number of common features.

Указанный способ содержит следующую последовательность операций: как и в ранее описанном способе производят дискретизацию шумового электрического процесса, представляющего собой смесь шумового электрического сигнала и нормальной стационарной шумовой помехи, производят набор дискретизированных отсчетов шумового электрического процесса, быстрое преобразование Фурье данного набора дискретизированных отсчетов шумового электрического процесса, выделение реальной части энергетического спектра и выделение мнимой части энергетического спектра, т.е. определение комплексного спектра, повторяют эту процедуру для n определенных последовательно во времени наборов дискретизированных отсчетов шумового электрического процесса, а возведение в квадрат производят после суммирования реальных частей спектра по n наборам и мнимых частей спектра по n наборам, и энергетический спектр шумового электрического сигнала определяют как результат сложения квадратов этих сумм.The specified method contains the following sequence of operations: as in the previously described method, a noise electrical process is sampled, which is a mixture of a noise electrical signal and normal stationary noise interference, a set of sampled samples of a noise electrical process is produced, a fast Fourier transform of a given set of sampled samples of a noise electrical process, the selection of the real part of the energy spectrum and the selection of the imaginary part of the energy of the spectrum, ie, determination of the complex spectrum, repeat this procedure for n sets of discretized samples of noise electrical process determined sequentially in time, and squaring is performed after summing the real parts of the spectrum in n sets and imaginary parts of the spectrum in n sets, and the energy spectrum of the noise electrical signal is determined as the result addition of the squares of these sums.

В способе-прототипе происходит увеличение отношения сигнал/помеха выходного процесса как за счет увеличения энергии сигнала, поскольку накапливаемый сигнал коррелирован. Уменьшение энергии помехи происходит за счет вычитания спектральных отсчетов разных наборов. Однако при малом исходном отношении сигнал\помеха это увеличение может являться недостаточным. Действительно, в способе-прототипе величина суммы реальных и мнимых частей спектра зависит от исходного отношения сигнал\помеха. При малом исходном отношении сигнал\помеха увеличивается дисперсия каждой частоты измеряемого спектра и при n наборах частота в первом наборе может отличаться от частоты в n-ом наборе, что снижает точность определения энергетического спектра сигнала.In the prototype method, an increase in the signal-to-noise ratio of the output process occurs due to an increase in the signal energy, since the accumulated signal is correlated. The interference energy is reduced by subtracting the spectral readings of different sets. However, with a small initial signal-to-noise ratio, this increase may not be sufficient. Indeed, in the prototype method, the sum of the real and imaginary parts of the spectrum depends on the initial signal / noise ratio. With a small initial signal-to-noise ratio, the variance of each frequency of the measured spectrum increases, and for n sets, the frequency in the first set may differ from the frequency in the nth set, which reduces the accuracy of determining the energy spectrum of the signal.

Техническим результатом от использования изобретения является уменьшение суммарной помехи и повышение отношения сигнал/помеха при определении энергетического спектра шумового электрического сигнала при малом исходном отношении сигнал/помеха, что решает задачу повышения эффективности определения энергетического спектра шумового электрического сигнала.The technical result from the use of the invention is to reduce the total interference and increase the signal-to-noise ratio when determining the energy spectrum of a noise electric signal with a small initial signal-to-noise ratio, which solves the problem of increasing the efficiency of determining the energy spectrum of a noise electric signal.

Для достижения указанного технического результата в способ определения энергетического спектра шумового электрического сигнала на фоне нормальной стационарной шумовой помехи, содержащий дискретизацию шумового электрического процесса, представляющего собой смесь шумового электрического сигнала и нормальной шумовой помехи, набор дискретизированных отсчетов шумового электрического процесса, быстрое преобразование Фурье данного набора дискретизированных отсчетов шумового электрического процесса, получение комплексного спектра, повторение процедуры получения комплексного спектра для n последовательных во времени дискретизированных наборов отсчетов шумового электрического процесса, введены новые признаки, а именно: запоминают полученные комплексные спектры последовательно по каждому набору, определяют n-1 взаимных спектров между комплексными спектрами каждого предыдущего и каждого последующего набора дискретизированных отсчетов шумового электрического процесса, а энергетический спектр шумового электрического сигнала определяют как сумму этих n-1 взаимных спектров.To achieve the technical result, a method for determining the energy spectrum of a noise electrical signal against a background of normal stationary noise interference, comprising a discretization of the noise electrical process, which is a mixture of a noise electrical signal and normal noise interference, a set of sampled samples of a noise electrical process, a fast Fourier transform of a given set of sampled readings of a noise electrical process, obtaining a complex spectrum, repeating the procedure for obtaining a complex spectrum for n consecutive time-sampled sets of samples of a noise electrical process, new features are introduced, namely: remember the obtained complex spectra in sequence for each set, determine n-1 mutual spectra between the complex spectra of each previous and each subsequent set of sampled samples noise electrical process, and the energy spectrum of a noise electrical signal is defined as the sum of these n-1 reciprocal spectra.

Поясним достижения заявленного технического результата.Let us explain the achievements of the claimed technical result.

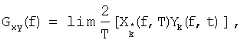
Известно, что если имеются два независимых стационарных эргодических процесса X(t) - электрический шумовой сигнал и Y(t) - шумовая нормальная стационарная помеха, то преобразование Фурье к-ой реализации длительностью Т каждого процесса определяется выражениемIt is known that if there are two independent stationary ergodic processes X (t) is an electric noise signal and Y (t) is a normal noise stationary noise, then the Fourier transform of the kth implementation of duration T of each process is determined by the expression

Figure 00000002
Figure 00000002

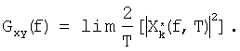
Тогда взаимный спектр этих двух случайных процессов определяется, с использованием свертки X×Y, соотношениемThen the mutual spectrum of these two random processes is determined, using the convolution X × Y, by the relation

Figure 00000003
Figure 00000003

где

Figure 00000004
- комплексно-сопряженный процесс, получаемый из исходного комплексного спектра.Where
Figure 00000004
- a complex conjugate process obtained from the original complex spectrum.

Если сигнал один и тот же, что соответствует входной реализации в соседних наборах временных дискретизированных отсчетов, содержащих один и тот же электрический шумовой сигнал, то взаимный спектр будет максимальным и определяться формулой

Figure 00000005
If the signal is the same, which corresponds to the input implementation in adjacent sets of temporal discretized samples containing the same electrical noise signal, then the mutual spectrum will be maximum and determined by the formula
Figure 00000005

Если взаимный спектр определяется между двумя реализациями нормального стационарного шума, то произведение Xk(f,T)пом и Yk+Δt(f,t)пом будет мало, так как Х и Y независимы. Таким образом, если взаимный спектр определяется между двумя одинаковыми реализациями, представляющими собой электрический шумовой сигнал, имеющий одну и ту же полосу и коррелированный в соседних наборах дискретизированных отсчетов, то энергия взаимного спектра будет максимальна, если же она определяется между независимыми сигналами, представляющими собой независимую шумовую помеху в соседних наборах дискретизированных отчетов, то она равна 0. Также взаимный спектр будет снижаться, если его определять между разнесенными во времени наборами дискретизированных отсчетов шумового электрического сигнала.If the mutual spectrum is determined between two realizations of normal stationary noise, then the product of Xk (f, T)pom and Yk + Δt (f, t)pom will be small, since X and Y are independent. Thus, if the mutual spectrum is determined between two identical realizations, which are an electric noise signal having the same band and correlated in neighboring sets of sampled samples, then the energy of the mutual spectrum will be maximum if it is determined between independent signals representing an independent noise interference in adjacent sets of discretized reports, then it is 0. Also, the mutual spectrum will decrease if it is determined between time-spaced n burs quantized samples of the electric signal noise.

После набора дискретизированных отсчетов длительностью Т входной реализации шумового электрического сигнала и шумовой помехи, которая не коррелирована с сигналом и независима от него, определяют суммарный спектр набора дискретизированных отсчетов длительностью Т, в который входит спектр сигнала и спектр независимой помехи.After a set of sampled samples of duration T of the input implementation of the noise electric signal and noise interference, which is not correlated with the signal and independent of it, determine the total spectrum of the set of sampled samples of duration T, which includes the signal spectrum and the spectrum of independent interference.

При накоплении n спектров происходит суммирование спектров сигнала и спектров помехи.When n spectra are accumulated, the signal spectra and the interference spectra are summed.

Поскольку электрический шумовой сигнал принимается непрерывно, то его спектр незначительно отличается от набора к набору и можно считать, что взаимный спектр будет иметь максимальное значение. С другой стороны взаимный спектр между энергетическими спектрами соседних наборов помехи будет близок к 0, в силу независимости сигналов помехи в соседних наборах. Также взаимный спектр между спектрами сигналов и спектрами помехи в соседних временных наборах будет также близка к 0. При суммировании n-1 взаимных спектров будут суммироваться спектральные составляющие сигналов, а энергия взаимных спектров помехи будет отсутствовать, также будут отсутствовать взаимные спектры шумового сигнала и шумовой помехи, поскольку они независимы.Since the electrical noise signal is received continuously, its spectrum is slightly different from set to set and we can assume that the mutual spectrum will have a maximum value. On the other hand, the mutual spectrum between the energy spectra of neighboring interference sets will be close to 0, due to the independence of interference signals in neighboring sets. Also, the mutual spectrum between the signal spectra and the interference spectra in adjacent time sets will also be close to 0. When summing n-1 mutual spectra, the spectral components of the signals will be summed up, and the energy of the mutual interference spectra will be absent, and there will be no mutual spectra of the noise signal and noise interference because they are independent.

На фиг.1 изображена блок-схема устройства, реализующего данный способ.Figure 1 shows a block diagram of a device that implements this method.

Устройство содержит дискретизатор 1 входного процесса, блоки 2 вычисления очередного спектра БПФ, блоки 3 и 4 памяти, блок 5 вычисления взаимного спектра, сумматор 6.The device comprises an input process discretizer 1, blocks 2 for calculating the next FFT spectrum, blocks 3 and 4 of memory, block 5 for calculating the mutual spectrum, adder 6.

С помощью описанного выше устройства предложенный способ реализуется следующим образом.Using the above device, the proposed method is implemented as follows.

Входное напряжение подается на вход дискретизатора 1 и далее дискретизированные отсчеты поступают на вход блока 2 определения комплексного спектра БПФ и далее в блоки памяти 3 или 4. С выхода блока 3 предыдущий комплексный спектр поступает на блок определения взаимного спектра, на второй вход которого поступает последующий комплексный спектр с блока памяти 4. С выхода блока 5 взаимный спектр поступает в сумматор 6. Следующий набор дискретизованных отсчетов длительностью Т, поступает на блок 2 БПФ, после чего определенные предыдущий и последующий комплексные спектры в блоках 3 и 4 поступают на блок 5 вычисления взаимного спектра и далее на сумматор 6, где и происходит суммирование n-1 последовательных взаимных спектров и далее определения суммарного энергетического спектра.The input voltage is applied to the input of the sampler 1 and then the sampled samples go to the input of the complex FFT spectrum definition block 2 and then to the memory blocks 3 or 4. From the output of block 3, the previous complex spectrum goes to the mutual spectrum determination block, to the second input of which the next complex spectrum from memory unit 4. From the output of block 5, the mutual spectrum enters adder 6. The next set of sampled samples of duration T is fed to FFT block 2, after which certain previous and subsequent complex spectra in blocks 3 and 4 go to block 5 for calculating the mutual spectrum and then to adder 6, where the summation of n-1 consecutive mutual spectra occurs and then determining the total energy spectrum.

При этом, как это было показано раньше, энергия сигнала увеличивается, а энергия помехи уменьшается, т.е. увеличивается точность определения спектра входного шумового электрического сигнала при меньших соотношениях сигнал/помеха во входном процессе. Результат был подтвержден экспериментально. Это позволяет считать заявленный технический результат достигнутым.In this case, as was shown earlier, the signal energy increases, and the interference energy decreases, i.e. the accuracy of determining the spectrum of the input noise electric signal increases with lower signal to noise ratios in the input process. The result was confirmed experimentally. This allows us to consider the claimed technical result achieved.

Claims (1)

Translated fromRussian
Способ определения энергетического спектра шумового электрического сигнала на фоне нормальной шумовой помехи, содержащий дискретизацию шумового электрического процесса, представляющего собой смесь шумового электрического сигнала и нормальной стационарной шумовой помехи, получение последовательно через равные промежутки времени n наборов дискретизированных отсчетов шумового электрического процесса и быстрое преобразование Фурье полученных наборов дискретизированных отсчетов шумового электрического процесса, получение комплексного спектра, повторение процедуры получения комплексного спектра для n последовательных во времени дискретизированных наборов отсчетов шумового электрического процесса, отличающийся тем, что запоминают полученные комплексные спектры последовательно по каждому набору, определяют n-1 взаимных спектров между комплексными спектрами каждого предыдущего и каждого последующего набора дискретизированных отсчетов шумового электрического процесса, а энергетический спектр шумового электрического сигнала определяют как сумму этих n-1 взаимных спектров.A method for determining the energy spectrum of a noise electrical signal against a background of normal noise interference, comprising discretizing a noise electrical process, which is a mixture of a noise electrical signal and normal stationary noise interference, obtaining n sets of sampled samples of a noise electrical process sequentially at equal time intervals and fast Fourier transform of the resulting sets discretized samples of a noise electrical process, obtaining a complex distinct spectrum, repeating the procedure for obtaining a complex spectrum for n time-consecutive discretized sets of samples of a noise electrical process, characterized in that the obtained complex spectra are stored sequentially for each set, n-1 mutual spectra are determined between the complex spectra of each previous and each subsequent set of sampled samples noise electrical process, and the energy spectrum of a noise electrical signal is defined as the sum of these n-1 interactions spectra.
RU2005115013/28A2005-05-172005-05-17Method of determination electric current noise signal spectrumRU2292558C1 (en)

Priority Applications (1)

Application NumberPriority DateFiling DateTitle
RU2005115013/28ARU2292558C1 (en)2005-05-172005-05-17Method of determination electric current noise signal spectrum

Applications Claiming Priority (1)

Application NumberPriority DateFiling DateTitle
RU2005115013/28ARU2292558C1 (en)2005-05-172005-05-17Method of determination electric current noise signal spectrum

Publications (1)

Publication NumberPublication Date
RU2292558C1true RU2292558C1 (en)2007-01-27

Family

ID=37773522

Family Applications (1)

Application NumberTitlePriority DateFiling Date
RU2005115013/28ARU2292558C1 (en)2005-05-172005-05-17Method of determination electric current noise signal spectrum

Country Status (1)

CountryLink
RU (1)RU2292558C1 (en)

Cited By (4)

* Cited by examiner, † Cited by third party
Publication numberPriority datePublication dateAssigneeTitle
RU2367970C2 (en)*2007-11-282009-09-20Государственное образовательное учреждение высшего профессионального образования Военно-морская академия имени Адмирала Флота Советского Союза Н.Г. КУЗНЕЦОВАDevice for detection of narrow-band noise hydroacoustic signals based on calculation of integral wavelet-spectrum
RU2449298C1 (en)*2010-12-232012-04-27ОАО "Концерн "Океанприбор"Method for determination of noise energy
RU2466416C1 (en)*2011-05-062012-11-10Открытое акционерное общество "Концерн "Океанприбор"Method of measuring signal-to-noise ratio
CN103336173A (en)*2013-01-292013-10-02上海海维工业控制有限公司Genetic algorithm based self-adaption harmonic detection method

Citations (2)

* Cited by examiner, † Cited by third party
Publication numberPriority datePublication dateAssigneeTitle
US5515300A (en)*1993-09-301996-05-07The United States Of America As Represented By The Secretary Of The NavyCoherent signal power detector using higher-order statistics
RU2236687C2 (en)*2002-08-052004-09-20Федеральное государственное унитарное предприятие "Центральный научно-исследовательский институт "Морфизприбор"Method of determining energy spectrum of noise electric signal

Patent Citations (2)

* Cited by examiner, † Cited by third party
Publication numberPriority datePublication dateAssigneeTitle
US5515300A (en)*1993-09-301996-05-07The United States Of America As Represented By The Secretary Of The NavyCoherent signal power detector using higher-order statistics
RU2236687C2 (en)*2002-08-052004-09-20Федеральное государственное унитарное предприятие "Центральный научно-исследовательский институт "Морфизприбор"Method of determining energy spectrum of noise electric signal

Non-Patent Citations (1)

* Cited by examiner, † Cited by third party
Title
МАКС Ж. Методы и техника обработки сигналов при физических измерениях: В 2-х томах. Пер. с франц. - М.: Мир, 1983, T.1, c.243.*

Cited By (4)

* Cited by examiner, † Cited by third party
Publication numberPriority datePublication dateAssigneeTitle
RU2367970C2 (en)*2007-11-282009-09-20Государственное образовательное учреждение высшего профессионального образования Военно-морская академия имени Адмирала Флота Советского Союза Н.Г. КУЗНЕЦОВАDevice for detection of narrow-band noise hydroacoustic signals based on calculation of integral wavelet-spectrum
RU2449298C1 (en)*2010-12-232012-04-27ОАО "Концерн "Океанприбор"Method for determination of noise energy
RU2466416C1 (en)*2011-05-062012-11-10Открытое акционерное общество "Концерн "Океанприбор"Method of measuring signal-to-noise ratio
CN103336173A (en)*2013-01-292013-10-02上海海维工业控制有限公司Genetic algorithm based self-adaption harmonic detection method

Similar Documents

PublicationPublication DateTitle
US5874916A (en)Frequency selective TDOA/FDOA cross-correlation
CN101128988A (en)Method and apparatus for channel estimation to electro-magnetic wave multi path between sender and receiver by using chirp signal
FI110731B (en) Procedure for estimating a channel and receiver
US20100002777A1 (en)Systems and methods for construction of time-frequency surfaces and detection of signals
CN109975771B (en)Broadband digital channelization method based on signal third-order phase difference
RU2292558C1 (en)Method of determination electric current noise signal spectrum
RU2549207C2 (en)Device for detecting hydroacoustic noise signals based on quadrature receiver
RU2282209C1 (en)Method and device for detection of complex wideband frequency-modulated signal with filtration within scale-time area
Shaw et al.Estimation of angles of arrivals of broadband signals
US9244156B1 (en)Orthogonal polarization signal agnostic matched filter
RU2460093C1 (en)Method of measuring distance using sonar
RU2236687C2 (en)Method of determining energy spectrum of noise electric signal
US6999526B2 (en)Method for simple signal, tone and phase change detection
US9172423B1 (en)Correlator time delay extraction for wireless acoustic sensors
RU2293358C1 (en)Mode of detection of a sonar echo-signal
RU2112249C1 (en)Method for detecting pulsed radio signals on narrow-band noise background
RU2768217C1 (en)Method for adaptive multichannel detection of radio signals in interference conditions with unknown parameters
CN116390224A (en) Positioning method based on channel frequency response, electronic equipment, storage medium
JP2713761B2 (en) Time-space signal spectrum estimation method
RU2550757C1 (en)Device for detecting hydroacoustic noise signals based on quadrature receiver
RU2555194C1 (en)Processing of hydroacoustic signal from noise-emitting object
RU2466416C1 (en)Method of measuring signal-to-noise ratio
JPH1130661A (en) Receiver
RU2504790C1 (en)Device and method for signal search and detection
Pogribny et al.Studying the exactitucle of digital matching filtration of widepass location signals

Legal Events

DateCodeTitleDescription
MM4AThe patent is invalid due to non-payment of fees

Effective date:20090518


[8]ページ先頭

©2009-2025 Movatter.jp