Movatterモバイル変換


[0]ホーム

URL:


RU2273882C1 - Device for determining product reliability characteristics - Google Patents

Device for determining product reliability characteristics
Download PDF

Info

Publication number
RU2273882C1
RU2273882C1RU2004136442/09ARU2004136442ARU2273882C1RU 2273882 C1RU2273882 C1RU 2273882C1RU 2004136442/09 ARU2004136442/09 ARU 2004136442/09ARU 2004136442 ARU2004136442 ARU 2004136442ARU 2273882 C1RU2273882 C1RU 2273882C1
Authority
RU
Russia
Prior art keywords
input
output
product
adder
value
Prior art date
Application number
RU2004136442/09A
Other languages
Russian (ru)
Inventor
Владимир Дмитриевич Гришин (RU)
Владимир Дмитриевич Гришин
Александр Николаевич Павлов (RU)
Александр Николаевич Павлов
Александр Николаевич Шульгин (RU)
Александр Николаевич Шульгин
Александр Васильевич Перегудов (RU)
Александр Васильевич Перегудов
Original Assignee
Военно-космическая академия имени А.Ф. Можайского
Priority date (The priority date is an assumption and is not a legal conclusion. Google has not performed a legal analysis and makes no representation as to the accuracy of the date listed.)
Filing date
Publication date
Application filed by Военно-космическая академия имени А.Ф. МожайскогоfiledCriticalВоенно-космическая академия имени А.Ф. Можайского
Priority to RU2004136442/09ApriorityCriticalpatent/RU2273882C1/en
Application grantedgrantedCritical
Publication of RU2273882C1publicationCriticalpatent/RU2273882C1/en

Links

Landscapes

Abstract

FIELD: computer science, in particular, engineering of control devices, possible use for scientific research and constructor projects, where it is required to find optimal breakdown intensiveness values, providing for minimal possible product standstill coefficient.
SUBSTANCE: result is achieved by realization of mathematical model in detailed and full manner representing functioning of product, and due to finding computed values of product standstill coefficient simultaneously with values of breakdowns efficiency. To achieve result device additionally includes four adders, three delay elements and two keys. As a whole device includes stepped voltage generator, two non-linearity blocks, two integrators, six adders, two multiplication blocks, comparison block, three delay elements, three keys, two splitters and two amplifiers.
EFFECT: improved precision and information capacity of device.
1 dwg

Description

Translated fromRussian

Изобретение относится к устройствам контроля и может быть использовано в научных исследованиях и конструкторских разработках, где требуется находить значения интенсивности отказов изделий, обеспечивающие минимально возможный простой из-за неготовности изделия к применению при заданной стратегии технического обслуживания этих изделий.The invention relates to control devices and can be used in research and development, where it is necessary to find the values of the failure rate of products that provide the minimum possible downtime due to the unavailability of the product for use with a given maintenance strategy for these products.

Известны работы [1, 2], посвященные обоснованию требований к надежности элементов сложных систем. В них предлагаются подходы к установлению рациональных границ надежности элементов, показана неоправданность стремления к максимальной надежности элементов системы из-за экономической и технической нецелесообразности. Однако в этих работах не рассматривается существующая связь надежности изделий с параметрами стратегий их технического обслуживания.Known works [1, 2] devoted to the substantiation of the requirements for the reliability of elements of complex systems. They propose approaches to establishing rational boundaries of the reliability of elements; they show the unjustified desire for maximum reliability of system elements due to economic and technical inappropriateness. However, these works do not examine the existing relationship between the reliability of products and the parameters of their maintenance strategies.

Известны устройства [3, 4], предназначенные для определения оптимальных по критерию минимума коэффициента простоя периодов технического обслуживания изделий. Но эти устройства не позволяют решать задачу вычисления значений интенсивности отказов, которые обеспечивают минимум коэффициента простоя при известных параметрах стратегии технического обслуживания изделия.Known devices [3, 4], designed to determine optimal criteria for minimum downtime of periods of maintenance of products. But these devices do not allow to solve the problem of calculating the values of the failure rate, which provide a minimum of downtime with known parameters of the product maintenance strategy.

Известно также устройство [5], позволяющее определять значения интенсивности отказов изделия, обеспечивающее максимум времени полезного функционирования этого изделия при заданном периоде его технического обслуживания. Недостатком этого устройства является низкая точность и узкая область применения. Оно реализует приближенный вариант математической модели функционирования изделия с ограниченным запасом материального ресурса. Фактор расходования ресурса отражается на значении искомой величины интенсивности отказов. Дополнительно отметим, что в схеме и формуле изобретения данного устройства имеется ряд ошибок, не позволяющих использовать его в качестве прототипа (в схему ошибочно включен один из блоков 23; в формуле изобретения не отражены несколько межблочных связей).It is also known a device [5], which allows to determine the value of the failure rate of the product, providing the maximum useful life of this product for a given period of its maintenance. The disadvantage of this device is its low accuracy and narrow scope. It implements an approximate version of the mathematical model of the functioning of the product with a limited supply of material resource. The resource consumption factor is reflected in the value of the desired value of the failure rate. Additionally, we note that in the scheme and claims of this device there are a number of errors that do not allow using it as a prototype (one of the blocks 23 is mistakenly included in the scheme; several interconnects are not reflected in the claims).

Наиболее близким по технической сущности к предлагаемому изобретению является устройство [6], содержащее генератор ступенчатого напряжения, два блока нелинейности, два интегратора, два сумматора, два блока умножения, два делителя, два усилителя, блок сравнения и ключ. Оно позволяет определять значение интенсивности отказов, которое при заданном периоде технического обслуживания обеспечивает максимум времени полезного функционирования изделия. Недостатком данного устройства является низкая точность определения искомой величины, т.к. математическая модель, реализуемая устройством, имеет упрощенный вид и неадекватно отражает цикл технического обслуживания широкого класса изделий.The closest in technical essence to the present invention is a device [6], containing a step voltage generator, two non-linearity units, two integrators, two adders, two multiplication units, two dividers, two amplifiers, a comparison unit and a key. It allows you to determine the value of the failure rate, which for a given period of maintenance provides the maximum useful life of the product. The disadvantage of this device is the low accuracy of determining the desired value, because The mathematical model implemented by the device has a simplified view and inadequately reflects the maintenance cycle of a wide class of products.

Целями предлагаемого технического решения являются повышение точности и информативности устройства. Цели достигаются путем реализации математической модели, детально и полно отражающей процесс функционирования изделия и за счет вывода в качестве выходной величины вычисленных значений коэффициента простоя изделия.The objectives of the proposed technical solution are to increase the accuracy and information content of the device. The goals are achieved by implementing a mathematical model that thoroughly and fully reflects the product’s functioning process and by outputting the calculated values of the product downtime coefficient as an output quantity.

Процесс обслуживания изделий носит циклический характер. Средняя продолжительность цикла обслуживания определяется соотношениемThe process of servicing products is cyclical in nature. The average duration of a service cycle is determined by the ratio

Figure 00000002
или
Figure 00000002
or

Figure 00000003
Figure 00000003

где τ - период обслуживания изделия;where τ is the product service period;

Figure 00000004
- среднее время контроля работоспособности изделия;
Figure 00000004
- the average time for monitoring the health of the product;

Figure 00000005
- среднее время проведения планово-предупредительной профилактики;
Figure 00000005
- average time for preventive maintenance;

Figure 00000006
- среднее время аварийно-восстановительных работ;
Figure 00000006
- average time for emergency recovery work;

Р(τ) - вероятность безотказной работы изделия за время τ.P (τ) is the probability of failure-free operation of the product during time τ.

Контроль работоспособности изделия проводится в плановые сеансы с периодом τ. В связи с этим на интервале времени между сеансами контроля изделия может находиться не только в работоспособном состояние, но и в отказе. Поэтому имеет место соотношениеThe health monitoring of the product is carried out in scheduled sessions with a period of τ. In this regard, in the time interval between sessions, the product may not only be in a healthy state, but also in failure. Therefore, the relation

Figure 00000007
Figure 00000007

где

Figure 00000008
- среднее время работоспособного состояния;Where
Figure 00000008
- the average working time;

Figure 00000009
- среднее время пребывания изделия в отказе.
Figure 00000009
- the average residence time of the product in failure.

Значение

Figure 00000008
определяется по формулеValue
Figure 00000008
determined by the formula

Figure 00000010
Figure 00000010

Если результаты контроля покажут, что изделие работоспособно, то проводится плановая предупредительная профилактика. Если же оно окажется неработоспособно, то будут выполняться аварийно-восстановительные работы, в результате которых работоспособность будет восстановлена.If the results of the inspection show that the product is operational, then a planned preventive maintenance is carried out. If it turns out to be inoperative, then emergency repair work will be performed, as a result of which the operability will be restored.

При проведении операций контроля, планово-предупредительной профилактики и аварийно-восстановительных работ, а также при нахождении в состоянии отказа изделие не может функционировать по назначению, т.е. изделие простаивает, время простоя на интервале одного цикла обслуживания τц составляетDuring control operations, preventive maintenance and emergency recovery operations, as well as when in a state of failure, the product cannot function as intended, i.e. the product is idle, the downtime in the interval of one service cycle τC is

Figure 00000011
Figure 00000011

Используя соотношения (2) и (3), получимUsing relations (2) and (3), we obtain

Figure 00000012
Figure 00000012

Техническое состояние изделия в произвольный момент времени носит случайный характер. В связи с этим в теории и практике эксплуатации изделий широко используются вероятностные показатели качества функционирования, в том числе коэффициент простоя.The technical condition of the product at an arbitrary point in time is random. In this regard, in the theory and practice of product operation, probabilistic indicators of the quality of functioning, including the downtime coefficient, are widely used.

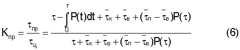
Под коэффициентом простоя принято понимать отношение времени простоя изделия на интервале цикла обслуживания к длительности этого цикла. С учетом (1) и (5) коэффициент простоя выражается следующим соотношением:The downtime factor is understood as the ratio of the downtime of the product on the interval of the service cycle to the duration of this cycle. Taking into account (1) and (5), the idle rate is expressed by the following relation:

Figure 00000013
Figure 00000013

При экспоненциальном законе распределения времени безотказной работы изделия величина Р(τ) выражается так:With the exponential law of the distribution of product uptime, the value of P (τ) is expressed as follows:

Figure 00000014
Figure 00000014

Из совместного рассмотрения (6) и (7) следует, что коэффициент простоя существенно зависит от интенсивности отказов и периода технического обслуживания изделия. Проведенные исследования показывают, что при фиксированном значении интенсивности отказов существует единственный (оптимальный) период обслуживания τ*, когда коэффициент простоя имеет минимальное значение. Увеличение значения интенсивности отказов влечет за собой уменьшение оптимального значения периода обслуживания. Из этого следует, что для заданного значения периода обслуживания можно определить такое значение интенсивности отказов, при котором коэффициент простоя будет минимальным.From a joint consideration of (6) and (7), it follows that the downtime coefficient substantially depends on the failure rate and the period of technical maintenance of the product. Studies show that for a fixed value of the failure rate, there is a single (optimal) service period τ *, when the downtime coefficient has a minimum value. An increase in the value of the failure rate entails a decrease in the optimal value of the service period. From this it follows that for a given value of the service period, it is possible to determine such a value of the failure rate at which the downtime coefficient will be minimal.

В связи с изложенным, задачу определения оптимального значения интенсивности отказов изделия запишем в следующем виде:In connection with the above, the problem of determining the optimal value of the failure rate of the product can be written as follows:

Figure 00000015
Figure 00000015

Предложенная модель может быть реализована с помощью предлагаемого устройства.The proposed model can be implemented using the proposed device.

На чертеже показана схема устройства. Оно содержит генератор ступенчатого напряжения 1; блоки нелинейности 2 и 14; интеграторы 3 и 15; сумматоры 4, 7, 8, 11, 12, 16; блоки умножения 9 и 13; блок сравнения 20; элементы задержки 18, 19, 21; делители 5 и 17; усилители 6 и 10; ключи 22, 23, 24.The drawing shows a diagram of the device. It contains a step voltage generator 1; blocks of nonlinearity 2 and 14; integrators 3 and 15; adders 4, 7, 8, 11, 12, 16; multiplication blocks 9 and 13; comparison unit 20; delay elements 18, 19, 21; dividers 5 and 17; amplifiers 6 and 10; keys 22, 23, 24.

Отметим, что в составе устройства имеются две совокупности блоков, аналогичные по своему составу. Первая совокупность включает: первый блок нелинейности 2; первый интегратор 3; первый 7, третий 4, четвертый 8 сумматоры; первый блок умножения 9; первый делитель 5 и первый усилитель 6. Вторая совокупность включает: второй усилитель 10; второй 11, пятый 12 и шестой 16 сумматоры; второй блок умножения 13; второй блок нелинейности 14; второй интегратор 15 и второй делитель 17.Note that the device has two sets of blocks that are similar in composition. The first set includes: the first block of nonlinearity 2; first integrator 3; first 7, third 4, fourth 8 adders; first block of multiplication 9; a first divider 5 and a first amplifier 6. The second population includes: a second amplifier 10; second 11, fifth 12 and sixth 16 adders; the second block of multiplication 13; the second block of nonlinearity 14; the second integrator 15 and the second divider 17.

Эти совокупности блоков обеспечивают вычисление коэффициента простоя КПР в окрестностях ±Δτ заданного значения τз периода технического обслуживания изделия. При этом для каждого возможного значения λj, j=1, 2,..., интенсивности отказов первая совокупность блоков обеспечивает вычисление

Figure 00000016
а вторая совокупность блоков -
Figure 00000017
. Процесс функционирования указанных совокупностей одинаковый. Поэтому при описании работы устройства ограничимся подробным рассмотрением лишь одной из этих совокупностей.These sets of blocks provide the calculation of the idle coefficient KPR in the vicinity of ± Δτ of the specified value τs of the product maintenance period. Moreover, for each possible value of λj , j = 1, 2, ..., the failure rate, the first set of blocks provides the calculation
Figure 00000016
and the second set of blocks is
Figure 00000017
. The process of functioning of these aggregates is the same. Therefore, when describing the operation of the device, we restrict ourselves to a detailed consideration of only one of these sets.

Вычисленные значения

Figure 00000018
и
Figure 00000019
используются в последующей работе устройства для определения оптимального значения λ* интенсивности отказов изделия.The calculated values
Figure 00000018
and
Figure 00000019
are used in the subsequent operation of the device to determine the optimal value λ * of the failure rate of the product.

Устройство работает следующим образом. Генератор ступенчатого напряжения 1 с шагом Δλ задает в порядке нарастания последовательность возможных значений интенсивности отказов изделия λj; λjj-1+Δλ; j=1, 2, 3...; λ0=0. Значение λj поступает на блоки 2 и 14 нелинейностей. С третьего входа устройства на входы усилителей 6 и 10 поступает значение периода τз технического обслуживания изделия. Усилители 6 и 10 имеют разные коэффициенты усиления, но такие, что на выходе первого 6 усилителя действует сигнал, соответствующий значению τз-Δτ периода технического обслуживания изделия, а на выходе второго 10 усилителя - τз+Δτ. Сигнал, соответствующий величине τз-Δτ, с выхода первого 6 усилителя поступает на второй вход первого 7 сумматора и на второй вход первого 2 блока нелинейности. При каждом значение λj в первом блоке 2 нелинейности (например, схема 3-4-2[7]) формируется функция

Figure 00000020
, которая подается на первый вход первого интегратора 3 и на второй вход первого блока 9 умножения. В интеграторе 3 осуществляется интегрирование функции Pj(t) на интервале [0, τз-Δτ]. С выхода первого 3 интегратора сигнал, соответствующий среднему значению времени работоспособного состояния изделия
Figure 00000021
, передается на второй вход третьего 4 сумматора. В первом блоке 9 умножения выполняется перемножение функций Pj(t) с величиной
Figure 00000022
, поступившей в блок 9 со второго входа устройства. Входной сигнал, соответствующий величине
Figure 00000022
, поступает также на первый вход второго блока 13 умножения. Результат перемножения Pj(t)
Figure 00000022
с выхода первого блока 9 умножения передается на первый вход четвертого 8 сумматора. Сигнал, соответствующий величине
Figure 00000023
, с первого входа устройства поступает на первые входы первого 7 и второго 11 сумматоров. В первом 7 сумматоре значение сигнала (τз-Δτ) складывается со значением
Figure 00000023
. Результат сложения
Figure 00000024
с выхода первого 7 сумматора передается на второй вход четвертого 8 сумматора. В четвертом 8 сумматоре реализуется соотношение (1) и выходной сигнал
Figure 00000025
подается на первый вход первого 5 делителя и на первый вход третьего 4 сумматора. Третий 4 сумматор работает в режиме вычитания, в нем в соответствии с (5) реализуется разность
Figure 00000026
, равное времени простоя изделия, и передается на второй вход первого 5 делителя. В первом 5 делителе вычисляется значение коэффициента простоя
Figure 00000027
в соответствии с соотношением (6). Выходной сигнал
Figure 00000018
первого 5 делителя подается на первый вход блока 20 сравнения.The device operates as follows. The step voltage generator 1 with a step Δλ sets in ascending order the sequence of possible values of the failure rate of the product λj ; λj = λj-1 + Δλ; j = 1, 2, 3 ...; λ0 = 0. The value of λj goes to blocks 2 and 14 of nonlinearities. From the third input of the device to the inputs of the amplifiers 6 and 10 receives the value of the period τs maintenance of the product. Amplifiers 6 and 10 have different amplification factors, but such that the output of the first 6 amplifier has a signal corresponding to the value of τs −Δτ of the product maintenance period, and the output of the second 10 amplifier has τs + Δτ. The signal corresponding to the value of τs -Δτ, from the output of the first 6 amplifier is fed to the second input of the first 7 adder and to the second input of the first 2 non-linearity block. For each value of λj in the first block 2 of nonlinearity (for example, circuit 3-4-2 [7]), a function
Figure 00000020
, which is fed to the first input of the first integrator 3 and to the second input of the first block 9 multiplication. In integrator 3, the function Pj (t) is integrated over the interval [0, τs −Δτ]. From the output of the first 3 integrators, the signal corresponding to the average value of the product’s operational state time
Figure 00000021
is transmitted to the second input of the third 4 adder. In the first block 9 of the multiplication is the multiplication of functions Pj (t) with the value
Figure 00000022
received in block 9 from the second input of the device. Input corresponding to
Figure 00000022
also acts on the first input of the second block 13 multiplication. The result of the multiplication Pj (t)
Figure 00000022
from the output of the first block 9 multiplication is transmitted to the first input of the fourth 8 adder. Signal corresponding to
Figure 00000023
, from the first input of the device goes to the first inputs of the first 7 and second 11 adders. In the first 7 adder, the signal value (τs -Δτ) is added to the value
Figure 00000023
. Addition result
Figure 00000024
from the output of the first 7 adder is transmitted to the second input of the fourth 8 adder. The fourth 8 adder implements the ratio (1) and the output signal
Figure 00000025
fed to the first input of the first 5 divider and the first input of the third 4 adder. The third 4 adder operates in the subtraction mode; in accordance with (5), the difference
Figure 00000026
equal to the idle time of the product, and is transmitted to the second input of the first 5 divider. In the first 5 divider, the idle factor value is calculated
Figure 00000027
in accordance with relation (6). Output signal
Figure 00000018
the first 5 divider is fed to the first input of the comparison unit 20.

Как отмечалось ранее, совокупность блоков с 10 по 17 обеспечивает аналогичные вычисления функции коэффициента простоя, но при τз+Δτ, то есть

Figure 00000019
. Вычисленное значение
Figure 00000019
с выхода второго 17 делителя передается на второй вход блока 20 сравнения. В блоке 20 производится сравнение значений
Figure 00000019
и
Figure 00000018
. Если окажется, что
Figure 00000028
, то появляется управляющий сигнал на первом выходе блока 20 сравнения и подается на вторые входы интеграторов 3 и 15, а также на вход генератора 1 ступенчатого напряжения. По этому сигналу интеграторы 3 и 15 сбрасываются в ноль, а генератор 1 ступенчатого напряжения выдает очередное значение λj+1 интенсивности отказов и весь цикл вычислений
Figure 00000029
и
Figure 00000030
повторится, но уже при новом λj+1 значении интенсивности отказов.As noted earlier, the set of blocks from 10 to 17 provides similar calculations of the idle coefficient function, but for τs + Δτ, i.e.
Figure 00000019
. The calculated value
Figure 00000019
from the output of the second 17 divider is transmitted to the second input of the comparison unit 20. Block 20 compares the values
Figure 00000019
and
Figure 00000018
. If it turns out that
Figure 00000028
, then a control signal appears at the first output of the comparison unit 20 and is supplied to the second inputs of the integrators 3 and 15, as well as to the input of the step voltage generator 1. According to this signal, the integrators 3 and 15 are reset to zero, and the step voltage generator 1 produces the next value λj + 1 of the failure rate and the entire calculation cycle
Figure 00000029
and
Figure 00000030
will be repeated, but already at a new λj + 1 value of the failure rate.

Как только выполнится неравенство

Figure 00000031
, управляющий сигнал появляется на втором выходе блока 20 сравнения и поступает на разрешающие входы первого 22, второго 23 и третьего 24 ключей. При этом на информационном входе первого 22 ключа действует выходной сигнал генератора 1 ступенчатого напряжения, задержанный первым 18 элементом задержки и соответствующий оптимальному значению λ* интенсивности отказов изделия. На информационном входе второго 23 ключа действует выходной сигнал второго 17 делителя, задержанный вторым 19 элементом задержки и соответствующий значению
Figure 00000032
коэффициента простоя изделия. На информационном входе третьего 24 ключа действует выходной сигнал первого 5 делителя, задержанный третьим 21 элементом задержки и соответствующий значению
Figure 00000033
коэффициента простоя.As soon as the inequality holds
Figure 00000031
, the control signal appears at the second output of the comparison unit 20 and is supplied to the enable inputs of the first 22, second 23, and third 24 keys. At the same time, the output signal of the step voltage generator 1, delayed by the first 18 delay elements and corresponding to the optimum value λ * of the failure rate of the product, acts on the information input of the first 22 keys. At the information input of the second 23 key, the output signal of the second 17 divider acts, delayed by the second 19 delay element and corresponding to the value
Figure 00000032
the coefficient of downtime of the product. At the information input of the third 24 key, the output signal of the first 5 divider acts, delayed by the third 21 delay elements and corresponding to the value
Figure 00000033
idle rate.

Время задержки элементов 18, 19, 21 одинаковое и соответствует длительности одного цикла вычислений. С выхода первого 22 ключа значение λ* интенсивности отказов изделия передается на первый выход устройства. На второй и третий выходы устройства передаются с выходов второго 23 и третьего 24 ключей соответственно

Figure 00000034
и
Figure 00000035
коэффициента простоя. На этом работа устройства заканчивается.The delay time of the elements 18, 19, 21 is the same and corresponds to the duration of one cycle of calculations. From the output of the first 22 keys, the value λ * of the failure rate of the product is transmitted to the first output of the device. The second and third outputs of the device are transmitted from the outputs of the second 23 and third 24 keys, respectively
Figure 00000034
and
Figure 00000035
idle rate. This completes the operation of the device.

Положительный эффект, который дает предлагаемое техническое решение, состоит в более точном определении оптимального значения интенсивности отказов, обеспечивающего минимум простоя изделия по техническим причинам, при заданных параметрах стратегии обслуживания этого изделия.The positive effect that the proposed technical solution provides is a more accurate determination of the optimal value of the failure rate, ensuring a minimum of product downtime for technical reasons, given the parameters of the service strategy of this product.

Источники информацииInformation sources

1. Ю.С.Коваленко, В.Ю.Муратов. Метод распределения требований к надежности элементов сложных систем. В сб. "Надежность, контроль качества", 1975 г., №9.1. Yu.S. Kovalenko, V.Yu. Muratov. Method for the distribution of requirements for the reliability of elements of complex systems. On Sat "Reliability, quality control", 1975, No. 9.

2. Л.Н.Чупров. Распределение требований к надежности системы между ее элементами. В сб. "Основные вопросы теории и практики надежности". - М.: Сов. Радио, 1975, с.98-106.2. L.N. Chuprov. Distribution of requirements for system reliability between its elements. On Sat "The main issues of the theory and practice of reliability." - M .: Owls. Radio, 1975, pp. 98-106.

3. Г.Н. Воробьев, В.Д. Гришин, В.А. Денченков. А.С. СССР №1320825. М. Кл4. G 07 C 3/08, 1987.3. G.N. Vorobiev, V.D. Grishin, V.A. Denchenkov. A.S. USSR No. 1320825. M. Cl4 . G 07 C 3/08, 1987.

4. В.Д.Гришин, Ю.С.Мануйлов, А.Н.Щенев. Патент РФ №2206123. М. Кл7. G 07 C 3/08, 2003.4. V.D. Grishin, Yu.S. Manuylov, A.N. Schenev. RF patent No. 2206123. M. Cl7 . G 07 C 3/08, 2003.

5. В.Д.Гришин, А.Н.Тимофеев, В.В.Лысак. А.С. СССР №1732364. М.Кл5 G 07 C 3/08, 1992.5. V.D. Grishin, A.N. Timofeev, V.V. Lysak. A.S. USSR No. 1732364. M. Cl5 G 07 C 3/08, 1992.

6. Г.Н.Воробьев, В.Д.Гришин, А.Н.Тимофеев. А.С. СССР №1580414. М. Кл5G 07 C 3/08, 1990.6. G.N. Vorobiev, V.D. Grishin, A.N. Timofeev. A.S. USSR No. 1580414. M. Cl5 G 07 C 3/08, 1990.

7. И.М.Тетельбаум, Ю.Р.Шнейдер. 400 схем для АВМ. - М.: Энергия, 1978.7. I.M. Tetelbaum, Yu.R. Schneider. 400 schemes for AVM. - M .: Energy, 1978.

Claims (1)

Translated fromRussian
Устройство для определения характеристик надежности изделия, содержащее генератор ступенчатого напряжения, выход которого соединен с первыми входами второго блока нелинейности и первого блока нелинейности, выход которого связан с первым входом первого интегратора, а второй вход через первый усилитель подключен к третьему входу устройства непосредственно и через второй усилитель - ко второму входу второго блока нелинейности, выход которого соединен с первым входом второго интегратора, второй вход которого связан со вторым входом первого интегратора, с входом генератора ступенчатого напряжения и с первым выходом блока сравнения, первый вход которого подключен к выходу первого делителя, второй вход - к выходу второго делителя, а второй выход - к разрешающему входу первого ключа, выход которого является первым выходом устройства, первый вход которого подключен к первым входам первого и второго сумматоров, второй вход - к первым входам первого и второго блоков умножения, отличающееся тем, что в него введены третий, четвертый, пятый и шестой сумматоры, первый, второй и третий элементы задержки, второй и третий ключи, причем выход первого усилителя соединен со вторым входом первого сумматора, выход которого подключен ко второму входу четвертого сумматора, выход которого связан с первыми входами третьего сумматора и первого делителя, а первый вход - с выходом первого блока умножения, второй вход которого соединен с первым входом первого интегратора, выход которого подключен ко второму входу третьего сумматора, выход которого связан со вторым входом первого делителя, выход которого через третий элемент задержки соединен с информационным входом третьего ключа, разрешающий вход которого вместе с разрешающим входом второго ключа подключен ко второму выходу блока сравнения, а выход является третьим выходом устройства, второй выход которого соединен с выходом второго ключа, информационный вход которого через второй элемент задержки связан с выходом второго делителя, первый вход которого соединен с выходом пятого сумматора и первым входом шестого сумматора, а второй вход подключен к выходу шестого сумматора, второй вход которого соединен с выходом второго интегратора, первый вход которого подключен ко второму входу второго блока умножения, выход которого связан с первым входом пятого сумматора, второй вход которого подключен к выходу второго сумматора, второй вход которого соединен со вторым входом второго блока нелинейности, первый вход которого через первый элемент задержки связан с информационным входом первого ключа.A device for determining the reliability characteristics of a product containing a step voltage generator, the output of which is connected to the first inputs of the second nonlinearity block and the first nonlinearity block, the output of which is connected to the first input of the first integrator, and the second input through the first amplifier is connected to the third input of the device directly and through the second amplifier - to the second input of the second nonlinearity block, the output of which is connected to the first input of the second integrator, the second input of which is connected to the second input of the first nth integrator, with the input of the step voltage generator and with the first output of the comparison unit, the first input of which is connected to the output of the first divider, the second input to the output of the second divider, and the second output to the enable input of the first key, the output of which is the first output of the device, the first the input of which is connected to the first inputs of the first and second adders, the second input to the first inputs of the first and second blocks of multiplication, characterized in that the third, fourth, fifth and sixth adders, the first, second and third are introduced into it delay elements, second and third keys, the output of the first amplifier being connected to the second input of the first adder, the output of which is connected to the second input of the fourth adder, the output of which is connected to the first inputs of the third adder and the first divider, and the first input to the output of the first multiplication unit, the second input of which is connected to the first input of the first integrator, the output of which is connected to the second input of the third adder, the output of which is connected to the second input of the first divider, the output of which is through the third delay element connected to the information input of the third key, the enable input of which, together with the enable input of the second key, is connected to the second output of the comparison unit, and the output is the third output of the device, the second output of which is connected to the output of the second key, the information input of which is connected through the second delay element to the output of the second a divider, the first input of which is connected to the output of the fifth adder and the first input of the sixth adder, and the second input is connected to the output of the sixth adder, the second input of which is connected to the output m of the second integrator, the first input of which is connected to the second input of the second multiplication unit, the output of which is connected to the first input of the fifth adder, the second input of which is connected to the output of the second adder, the second input of which is connected to the second input of the second nonlinearity block, the first input of which is through the first element delays associated with the information input of the first key.
RU2004136442/09A2004-12-142004-12-14Device for determining product reliability characteristicsRU2273882C1 (en)

Priority Applications (1)

Application NumberPriority DateFiling DateTitle
RU2004136442/09ARU2273882C1 (en)2004-12-142004-12-14Device for determining product reliability characteristics

Applications Claiming Priority (1)

Application NumberPriority DateFiling DateTitle
RU2004136442/09ARU2273882C1 (en)2004-12-142004-12-14Device for determining product reliability characteristics

Publications (1)

Publication NumberPublication Date
RU2273882C1true RU2273882C1 (en)2006-04-10

Family

ID=36459162

Family Applications (1)

Application NumberTitlePriority DateFiling Date
RU2004136442/09ARU2273882C1 (en)2004-12-142004-12-14Device for determining product reliability characteristics

Country Status (1)

CountryLink
RU (1)RU2273882C1 (en)

Cited By (3)

* Cited by examiner, † Cited by third party
Publication numberPriority datePublication dateAssigneeTitle
RU2452028C2 (en)*2010-08-132012-05-27Учреждение Российской академии наук Санкт-Петербургский институт информатики и автоматизации РАН (СПИИРАН)Device for determining values of reliability characteristics of article
RU2477526C2 (en)*2010-04-272013-03-10Федеральное государственное унитарное предприятие "Центральный научно-исследовательский институт машиностроения" (ФГУП ЦНИИмаш)Method for improving reliability of products (versions)
RU2524849C2 (en)*2011-08-262014-08-10Федеральное государственное бюджетное учреждение науки Санкт-Петербургский институт информатики и автоматизации Российской академии наук (СПИИРАН)Apparatus for determining reliability and performance characteristics of article

Citations (6)

* Cited by examiner, † Cited by third party
Publication numberPriority datePublication dateAssigneeTitle
SU1580414A1 (en)*1988-09-281990-07-23Военный Инженерный Краснознаменный Институт Им.А.Ф.МожайскогоDevice for determining optimum period of article maintenance
RU2009543C1 (en)*1990-03-121994-03-15Военная инженерно-космическая академия им.А.Ф.МожайскогоDevice for determining optimum maintenance schedule of a piece of equipment
RU2071116C1 (en)*1991-01-161996-12-27Военная инженерно-космическая Краснознаменная академия им.А.Ф.МожайскогоDevice for determining optimal serviceability check intervals
RU2071115C1 (en)*1991-01-161996-12-27Военная инженерно-космическая академия им.А.Ф.МожайскогоDevice for determining optimal maintenance intervals
US5892900A (en)*1996-08-301999-04-06Intertrust Technologies Corp.Systems and methods for secure transaction management and electronic rights protection
US6708157B2 (en)*1994-11-232004-03-16Contentguard Holdings Inc.System for controlling the distribution and use of digital works using digital tickets

Patent Citations (6)

* Cited by examiner, † Cited by third party
Publication numberPriority datePublication dateAssigneeTitle
SU1580414A1 (en)*1988-09-281990-07-23Военный Инженерный Краснознаменный Институт Им.А.Ф.МожайскогоDevice for determining optimum period of article maintenance
RU2009543C1 (en)*1990-03-121994-03-15Военная инженерно-космическая академия им.А.Ф.МожайскогоDevice for determining optimum maintenance schedule of a piece of equipment
RU2071116C1 (en)*1991-01-161996-12-27Военная инженерно-космическая Краснознаменная академия им.А.Ф.МожайскогоDevice for determining optimal serviceability check intervals
RU2071115C1 (en)*1991-01-161996-12-27Военная инженерно-космическая академия им.А.Ф.МожайскогоDevice for determining optimal maintenance intervals
US6708157B2 (en)*1994-11-232004-03-16Contentguard Holdings Inc.System for controlling the distribution and use of digital works using digital tickets
US5892900A (en)*1996-08-301999-04-06Intertrust Technologies Corp.Systems and methods for secure transaction management and electronic rights protection

Cited By (3)

* Cited by examiner, † Cited by third party
Publication numberPriority datePublication dateAssigneeTitle
RU2477526C2 (en)*2010-04-272013-03-10Федеральное государственное унитарное предприятие "Центральный научно-исследовательский институт машиностроения" (ФГУП ЦНИИмаш)Method for improving reliability of products (versions)
RU2452028C2 (en)*2010-08-132012-05-27Учреждение Российской академии наук Санкт-Петербургский институт информатики и автоматизации РАН (СПИИРАН)Device for determining values of reliability characteristics of article
RU2524849C2 (en)*2011-08-262014-08-10Федеральное государственное бюджетное учреждение науки Санкт-Петербургский институт информатики и автоматизации Российской академии наук (СПИИРАН)Apparatus for determining reliability and performance characteristics of article

Similar Documents

PublicationPublication DateTitle
RU2358320C2 (en)Device for determining optimum program for technical servicing system
RU2573266C1 (en)Method of monitoring digital transmission systems and apparatus therefor
RU2361276C1 (en)Device for determining optimum maintenance period of articles
RU2273882C1 (en)Device for determining product reliability characteristics
RU2701484C1 (en)Device for determining rational program of maintenance and operation of article
RU2604437C2 (en)Article optimum maintenance period determining device
RU2206123C2 (en)Device for evaluating optimal manufacture intervals for part
RU2233482C1 (en)Device for determining optimal period for maintenance of product
CN104102804A (en)Method and device for predicting service life of component of equipment
RU2273881C1 (en)Device for determining reliability characteristics of product
RU2279712C1 (en)Device for determining optimal period for technical maintenance of product
RU2343544C1 (en)Device for determination of optimum period for product maintenance
RU2452028C2 (en)Device for determining values of reliability characteristics of article
RU2476934C1 (en)Apparatus for determining optimum frequency of inspecting condition of article
RU2308765C1 (en)Device for determining optimal technical maintenance period of a system
RU2071116C1 (en)Device for determining optimal serviceability check intervals
RU2580099C2 (en)Apparatus for determining values ??of characteristics of readiness for use product
RU2524849C2 (en)Apparatus for determining reliability and performance characteristics of article
RU2429543C2 (en)Apparatus for determining optimum periods for system maintenance
RU2273883C1 (en)Device for determining product reliability characteristics
RU2525756C2 (en)Apparatus for determining values of operational characteristics of article for periodic use
RU2479041C1 (en)Device for determination of optimal period of control and management of product technical condition
RU2071115C1 (en)Device for determining optimal maintenance intervals
RU2071118C1 (en)Device for determining optimal maintenance intervals
RU2233481C1 (en)Method for determining normal period of product maintenance

Legal Events

DateCodeTitleDescription
MM4AThe patent is invalid due to non-payment of fees

Effective date:20061215


[8]ページ先頭

©2009-2025 Movatter.jp